PAT 1 (มี.ค. 57) 1
PAT 1 (มี.ค. 57)
รหัสวิชา 71 วิชา ความถนัดทางคณิตศาสตร์ (PAT 1)
วันเสาร์ที่ 8 มีนาคม 2557 เวลา 13.00 - 16.00 น.
ตอนที่ 1: แบบปรนัย 4 ตัวเลือก เลือก 1 คาตอบที่ถูกต้องที่สุด จานวน 30 ข้อ (ข้อ 1 – 30) ข้อละ 6 คะแนน
1. ให้ แทนคอมพลีเมนต์ของเซต และ ( ) แทนจานวนสมาชิกของเซต กาหนดให้ แทนเอกภพสัมพัทธ์
ถ้า และ เป็นสับเซตใน โดยที่ ( ∪ ) = 30 , ( ∪ ) = 18 , ( ∩ ) = 3
และ ( ) = 8 แล้วจานวนสมาชิกของเอกภพสัมพัทธ์ เท่ากับข้อใดต่อไปนี้
1. 29 2. 30 3. 37 4. 42
2. กาหนดให้ และ เป็นจานวนจริง โดยที่ > 0
ให้ แทนประพจน์ “ถ้า < แล้ว > ” และ แทนประพจน์ “√ = √ √ ”
ประพจน์ในข้อใดต่อไปนี้มีค่าความจริงเป็นจริง
1. ( ) ( ) 2. ( ) ( )
3. ( ) ( ) 4. ( ) ( )
3. กาหนดให้ , , และ เป็นประพจน์ใดๆ พิจารณาข้อความต่อไปนี้
(ก) ถ้าประพจน์ ( ) ( ) และประพจน์ มีค่าความจริงเป็นจริง
แล้วสรุปได้ว่าประพจน์ มีค่าความจริงเป็นจริง
(ข) ประพจน์ ( ) ( ) สมมูลกับ ประพจน์ [ ( )] [ ( )]
ข้อใดต่อไปนี้ถูกต้อง
1. (ก) ถูก และ (ข) ถูก 2. (ก) ถูก แต่ (ข) ผิด
3. (ก) ผิด แต่ (ข) ถูก 4. (ก) ผิด และ (ข) ผิด
14 May 2014
2 PAT 1 (มี.ค. 57)
4. ให้ แทนเซตของจานวนจริง ถ้า { | √ }
แล้วเซต เป็นสับเซตของข้อใดต่อไปนี้
1. ( ∞, ) ∪ ( , ) 2. ( ∞,0) ∪ ( ,∞) 3. ( ∞, 1) ∪ (4,∞) 4. ( 1,∞)
5. กาหนดให้ และ เป็นจานวนจริงบวก และ <
เซตคาตอบของสมการ | | | | = เท่ากับข้อใดต่อไปนี้
1. { } 2. ( , ] 3. [ , ∞) 4. ( , ∞)
6. ให้ แทนเซตของจานวนจริง ถ้า เป็นฟังก์ชัน ซึ่งมีโดเมนและเรนจ์เป็นสับเซตของเซตจานวนจริง
โดยที่ ( ) = เมื่อ ≠ 1 แล้วเรนจ์ของฟังก์ชัน เป็นสับเซตของข้อใดต่อไปนี้
1. { | 0 } 2. { | 10 0 }
3. { | 1 0 } 4. { | 1 0 }
PAT 1 (มี.ค. 57) 3
7. กาหนดให้ = [
1
0 1
] , I = [
1 0
0 1
] และ เป็นเมทริกซ์ใดๆ มีมิติ 2 × 2
ให้ เป็นจานวนจริงที่สอดคล้องกับ det( + I) = 0 พิจารณาข้อความต่อไปนี้
(ก) det( + I) = 0
(ข) det( + I ) = det( )
ข้อใดต่อไปนี้ถูกต้อง
1. (ก) ถูก และ (ข) ถูก 2. (ก) ถูก แต่ (ข) ผิด
3. (ก) ผิด แต่ (ข) ถูก 4. (ก) ผิด และ (ข) ผิด
8. กาหนดให้ L เป็นเส้นตรงมีสมการเป็น = 1 เมื่อ , > 0 และให้ และ เป็นวงกลมสองวงที่ต่างกัน
โดยที่มีรัศมีเท่ากันและวงกลมทั้งสองวงต่างสัมผัสกับเส้นตรง L ที่จุดเดียวกัน ถ้าวงกลม มีจุดศูนย์กลางที่จุด
(0, 0) แล้วสมการของวงกลม คือข้อใดต่อไปนี้
1. ( ) ( ) ( )( ) = 0
2. ( )( ) ( ) = 0
3. ( ) ( ) ( )( ) = 0
4. ( )( ) ( ) = 0
4 PAT 1 (มี.ค. 57)
9. กาหนดให้ไฮเพอร์โบลารูปหนึ่งมีสมการเป็น = 0 ถ้าพาราโบลามีโฟกัสเป็นจุดกึ่งกลางของส่วน
ของเส้นตรงที่เชื่อมระหว่างจุดตัดของเส้นตรง = 2 กับเส้นกากับของไฮเพอร์โบลา และมีเส้นไดเรกตริกซ์เป็น
เส้นตรงที่ผ่านจุดยอดทั้งสองของไฮเพอร์โบลา แล้วสมการของพาราโบลาคือข้อใดต่อไปนี้
1. 1 1 = 0 2. 1 1 = 0
3. 1 = 0 4. 1 = 0
10. พิจารณาข้อความต่อไปนี้
(ก) ให้ P( , ) เป็นจุดใดๆ ในระนาบ ถ้าผลบวกของระยะทางจากจุด P( , ) ไปยังจุด (0, –2)
และระยะทางจากจุด P( , ) ไปยังจุด (2, –2) เท่ากับ 2√ แล้ว
เซตของจุด P( , ) คือ { ( , ) | 0 1 0 }
(ข) จุด (1, 1) เป็นจุดบนพาราโบลา อยู่ใกล้กับเส้นตรง = 2 – 4 มากที่สุด
ข้อใดต่อไปนี้ถูกต้อง
1. (ก) ถูก และ (ข) ถูก 2. (ก) ถูก แต่ (ข) ผิด
3. (ก) ผิด แต่ (ข) ถูก 4. (ก) ผิด และ (ข) ผิด
PAT 1 (มี.ค. 57) 5
11. กาหนดให้ เป็นจานวนจริงใดๆ พิจารณาข้อความต่อไปนี้
(ก) 1 =
(ข) = ( )( 1)
ข้อใดต่อไปนี้ถูกต้อง
1. (ก) ถูก และ (ข) ถูก 2. (ก) ถูก แต่ (ข) ผิด
3. (ก) ผิด แต่ (ข) ถูก 4. (ก) ผิด และ (ข) ผิด
12. ( √
√
√
) มีค่าเท่ากับข้อใดต่อไปนี้
1. √ 2. √ 3. √
√
4. √
13. กาหนดให้ ̅ , ̅ และ ̅ เป็นเวกเตอร์ใดๆในสามมิติ พิจารณาข้อความต่อไปนี้
(ก) ̅ ( ̅ ̅) = ̅ (̅ ̅)
(ข) ถ้า |̅| = |̅| , |̅ ̅| = | ̅ ̅| และเวกเตอร์ ̅ ตั้งฉากกับเวกเตอร์ ̅
แล้วเวกเตอร์ ̅ ตั้งฉากกับเวกเตอร์ ̅
ข้อใดต่อไปนี้ถูกต้อง
1. (ก) ถูก และ (ข) ถูก 2. (ก) ถูก แต่ (ข) ผิด
3. (ก) ผิด แต่ (ข) ถูก 4. (ก) ผิด และ (ข) ผิด
6 PAT 1 (มี.ค. 57)
14. กาหนดให้ = + i เป็นจานวนเชิงซ้อน เมื่อ และ เป็นจานวนจริงที่สอดคล้องกับสมการ
( ) (1 ) = 3 + 7i พิจารณาข้อความต่อไปนี้
(ก) Im  zi = Re(i )
(ข) =
ข้อใดต่อไปนี้ถูกต้อง
1. (ก) ถูก และ (ข) ถูก 2. (ก) ถูก แต่ (ข) ผิด
3. (ก) ผิด แต่ (ข) ถูก 4. (ก) ผิด และ (ข) ผิด
15. ในคนกลุ่มหนึ่งประกอบด้วยชาย 6 คน และหญิงจานวนหนึ่ง ความน่าจะเป็นที่เลือกกรรมการ 2 คน เป็นชายทั้งสอง
เท่ากับ ความน่าจะเป็นที่จะเลือกกรรมการ 5 คนเป็นชายไม่น้อยกว่า 3 คน เท่ากับข้อใดต่อไปนี้
1. 2. 3. 4.
16. ต้องการสร้างจานวนสามหลัก โดยที่มีตัวเลข 5 อย่างน้อย 1 หลัก แต่ไม่มีตัวเลข 7 ในหลักใดเลย มีจานวนวิธีสร้าง
จานวนสามหลักเท่ากับข้อใดต่อไปนี้
1. 128 2. 136 3. 153 4. 200
PAT 1 (มี.ค. 57) 7
17. ให้ และ เป็นจานวนจริง และให้ ( ) = {
,
√ 1 ,
,
ถ้า เป็นฟังก์ชันต่อเนื่องบนเซตของจานวนจริง แล้ว เท่ากับข้อใดต่อไปนี้
1. 5 2. 8 3. 11 4. 12
18. ถ้า
2
2
 | | = เมื่อ และ เป็นจานวนเต็มที่ ≠ 0 และ ห.ร.ม. ของ และ เท่ากับ 1
แล้วค่าของ เท่ากับข้อใดต่อไปนี้
1. 33 2. 69 3. 102 4. 104
19. กาหนดให้ ( ) = เมื่อ เป็นจานวนจริงบวกใดๆ พิจารณาข้อความต่อไปนี้
(ก) เป็นฟังก์ชันเพิ่มบนช่วง (0, 3)
(ข) ค่าสูงสุดสัมพัทธ์ของ เท่ากับ
ข้อใดต่อไปนี้ถูกต้อง
1. (ก) ถูก และ (ข) ถูก 2. (ก) ถูก แต่ (ข) ผิด
3. (ก) ผิด แต่ (ข) ถูก 4. (ก) ผิด และ (ข) ผิด
8 PAT 1 (มี.ค. 57)
20. กาหนดให้ = √ 1 √ เมื่อ 1, , , … ค่าของ
n
lim √ เท่ากับเท่าใด
1. 0 2. 1 3. 2 4. 8
21. ให้ I แทนเซตของจานวนเต็ม ถ้า = { ( , ) | 1 }
แล้วจานวนสมาชิกของเซต เท่ากับข้อใดต่อไปนี้
1. 5 2. 4 3. 3 4. 2
22. จานวนประชากรในจังหวัดหนึ่ง ตั้งแต่ พ.ศ. 2550 ถึง พ.ศ. 2554 มีดังนี้
ถ้าจานวนประชากรสัมพันธ์เชิงฟังก์ชันกับเวลา (พ.ศ.) เป็นเส้นตรง และทานายว่าในปี พ.ศ. 2557 จะมีประชากร
1,028,000 คน แล้วใน พ.ศ. 2552 จะมีประชากรกี่คน
1. 204,000 คน 2. 272,000 คน 3. 340,000 คน 4. 408,000 คน
พ.ศ. 2550 2551 2552 2553 2554
จานวนประชากร (แสนคน) 1.2 2.6 5.4 6.3
PAT 1 (มี.ค. 57) 9
23. ถ้า และ เป็นจานวนจริงที่สอดคล้องกับสมการ ( ) ( )
แล้ว ( )( ) เท่ากับข้อใดต่อไปนี้
1. 8 2. 27 3. 64 4. 125
24. พิจารณาข้อความต่อไปนี้
(ก) ถ้าข้อมูลชุดหนึ่งมีส่วนเบี่ยงเบนควอไทล์เท่ากับ 20 และสัมประสิทธิ์ของส่วนเบี่ยงเบนควอไทล์เท่ากับ
แล้วสรุปได้ว่าร้อยละ 50 ของข้อมูลชุดนี้มีค่าระหว่าง 10 กับ 50
(ข) ในการสอบวิชาคณิตศาสตร์ของนักเรียนห้องหนึ่ง มีนักเรียนชาย 20 คน และนักเรียนหญิง 40 คน นักเรียน
ชายได้คะแนนสอบคนละ 32 คะแนน ส่วนคะแนนสอบของนักเรียนหญิง มีค่าเฉลี่ยเลขคณิตของคะแนน
สอบเท่ากับ 20 คะแนน และความแปรปรวนของคะแนนสอบเท่ากับ 90 สรุปว่าความแปรปรวนของ
คะแนนสอบของนักเรียนห้องนี้เท่ากับ 36 คะแนน
ข้อใดต่อไปนี้ถูกต้อง
1. (ก) ถูก และ (ข) ถูก 2. (ก) ถูก แต่ (ข) ผิด
3. (ก) ผิด แต่ (ข) ถูก 4. (ก) ผิด และ (ข) ผิด
10 PAT 1 (มี.ค. 57)
25. เงินเดือนของพนักงานจานวน 50 คนของบริษัทแห่งหนึ่งมีการแจกแจงความถี่ ดังนี้
พิจารณาข้อความต่อไปนี้
(ก) ฐานนิยมของเงินเดือนเท่ากับ 39,999.50 บาท
(ข) มัธยฐานของเงินเดือนเท่ากับ 37,999.50 บาท
ข้อใดต่อไปนี้ถูกต้อง
1. (ก) ถูก และ (ข) ถูก 2. (ก) ถูก แต่ (ข) ผิด
3. (ก) ผิด แต่ (ข) ถูก 4. (ก) ผิด และ (ข) ผิด
26. กาหนดให้ { } เป็นลาดับของจานวนจริง โดยที่มี = 2 และ = + 1 สาหรับ , , , …
และกาหนดให้ = … ข้อใดต่อไปนี้ถูกต้อง
1. = ( ) 1 2. = ( ) 1
3. = ( ) 1 4. = ( )
27. กาหนดให้ และ เป็นเมทริกซ์จัตุรัสมิติเท่ากัน โดยที่ ( ) ≠ 0 และ ( ) ≠ 0
ถ้า ( ) ≠ 0 และ ( ) ≠ 0 แล้ว ( ) ตรงกับข้อใดต่อไปนี้
1. ( ) 2. ( )
3. ( ) 4. ( )
เงินเดือน (บาท) จานวนพนักงาน (คน)
10,000 – 19,999 5
20,000 – 29,999 10
30,000 – 49,999 25
50,000 – 59,999 10
PAT 1 (มี.ค. 57) 11
28. กาหนดให้ = เป็นฟังก์ชันจุดประสงค์
เมื่อ และ เป็นจานวนจริงบวกที่สอดคล้องกับ 3 = 2 โดยมีอสมการข้อจากัด ดังนี้
20 , 105 , 15 , 0 และ 0
ถ้า มีค่ามากที่สุดท่ากับ และ มีค่าน้อยที่สุดเท่ากับ แล้ว ข้อใดต่อไปนี้ถูกต้อง
1. 2 = 11 2. 5 = 11 3. 2 = 4. 5 =
29. ถ้า , , , , เป็นจานวนเต็มบวก โดยที่ 5 = 4 = 3 = 2 = และ เป็น
จานวนเต็มบวกที่น้อยที่สุด แล้วค่าของ เท่ากับข้อใดต่อไปนี้
1. 52 2. 120 3. 262 4. 312
30. ตู้นิรภัยมีรหัสเปิดตู้เป็นจานวน 10 หลัก คือ ABCDEFGHIJ โดยที่
(ก) A, B, , D, E, F, G, H, , J {0, 1, , … , }
และ A, B, C, D, F, G, H, I, J เป็นจานวนที่แตกต่างกันทั้งหมด
(ข) A, B, C, D เป็นจานวนคี่ที่เรียงติดกันและ A > B > C > D
(ค) E, F, G เป็นจานวนคู่ที่เรียงติดกันและ E > F > G
(ง) H > I > J และ H + I + J = 15
ค่าของ C + F + I เท่ากับข้อใดต่อไปนี้
1. 10 2. 13 3. 15 4. 17
12 PAT 1 (มี.ค. 57)
ตอนที่ 2: แบบอัตนัย ระบายคาตอบที่เป็นตัวเลข จานวน 15 ข้อ (ข้อ 31 – 45) ข้อละ 8 คะแนน
31. ถ้า เป็นจานวนจริงที่มากที่สุดที่เป็นคาตอบของสมการ √1 √ = 1
แล้วค่าของ | | เท่ากับเท่าใด
32. กาหนดให้ เป็นเซตของจานวนเชิงซ้อนทั้งหมดที่สอดคล้องกับสมการ | | ( ) = 0
และให้ = { | | | } ผลบวกของสมาชิกทั้งหมดในเซต เท่ากับเท่าใด
33. กาหนดให้ ABC เป็นรูปสามเหลี่ยมใดๆ โดยที่มีความยาวของด้านตรงข้ามมุม A มุม B และมุม C เท่ากับ
หน่วย หน่วย และ หน่วย ตามลาดับ ถ้ามุม A มีขนาดมากกว่า 90° มุม B มีขนาด 45°
และ √ = (√ 1) แล้ว (A B ) B เท่ากับเท่าใด
PAT 1 (มี.ค. 57) 13
34. กาหนดให้ แทนเซตคาตอบของสมการ ( ( )
) =
และให้ = { | } ผลบวกของสมาชิกทั้งหมดในเซต เท่ากับเท่าใด
35. ให้ แทนเซตคาตอบของจานวนจริง [0, ) ทั้งหมดที่สอดคล้องกับสมการ
( ) ( )
= 1
จานวนสมาชิกของเซต เท่ากับเท่าใด
36. กาหนดให้ = 0 โดยที่ 0 < <
ถ้า = และ = แล้วค่าของ เท่ากับเท่าใด
14 PAT 1 (มี.ค. 57)
37. กาหนดให้ =
n
k 1
 เมื่อ 1, , , … ค่าของ
n
lim
( )
√
เท่ากับเท่าใด
38. กาหนดให้ ( ) = เมื่อ และ เป็นจานวนจริง
ถ้า (1) = 2 และ ( )(0) = 10 แล้วค่าของ
2
1
 ( ) เท่ากับเท่าใด
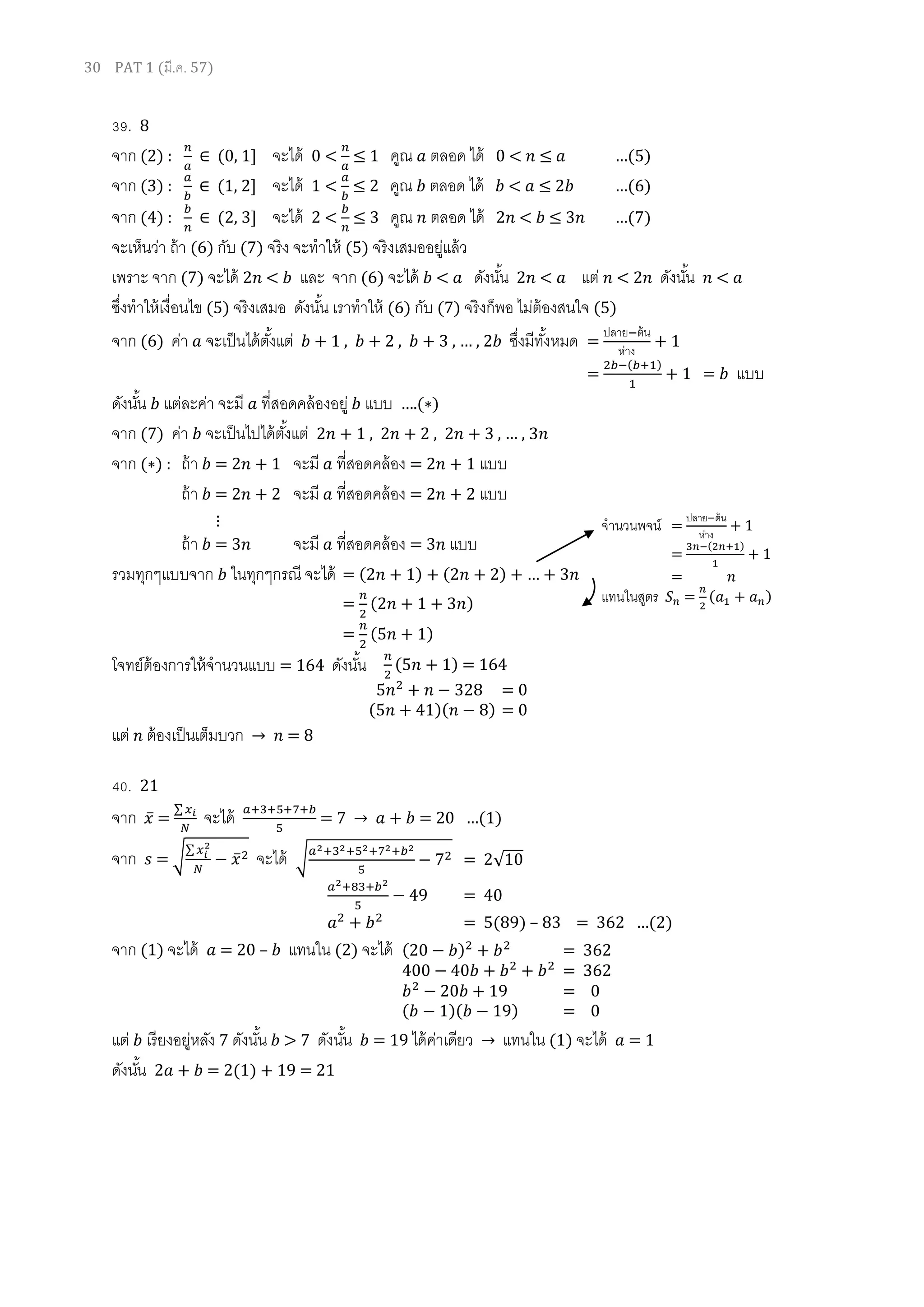
39. สาหรับจานวนเต็มบวก ใดๆ ให้ ( ) แทนจานวนคู่อันดับ ( , ) ทั้งหมดที่สอดคล้องกับเงื่อนไขต่อไปนี้
(1) และ เป็นจานวนเต็มบวก
(2) (0, 1] (3) (1, ] (4) ( , ]
ค่าของ ที่ทาให้ ( ) = 164 เท่ากับเท่าใด
PAT 1 (มี.ค. 57) 15
40. ข้อมูลชุดหนึ่งเรียงจากน้อยไปหามาก ดังนี้ , 3, 5, 7,
ถ้าข้อมูลชุดนี้มีค่าเฉลี่ยเลขคณิตเท่ากับ 7 และ ส่วนเบี่ยงเบนมาตรฐานเท่ากับ 2√10
แล้วค่าของ 2 + เท่ากับเท่าใด
41. คะแนนสอบวิชาคณิตศาสตร์และวิชาภาษาอังกฤษของนักเรียนกลุ่มหนึ่งมีการแจกแจงปกติ ค่าเฉลี่ยเลขคณิตและ
ความแปรปรวนของคะแนนแต่ละวิชามีดังนี้
ถ้านักเรียนคนหนึ่งในกลุ่มนี้สอบทั้งสองวิชาได้คะแนนเท่ากัน พบว่าคะแนนสอบวิชาคณิตศาสตร์ของเขาเป็นตาแหน่ง
เปอร์เซ็นไทล์ที่ 88.49 คะแนนสอบวิชาภาษาอังกฤษเป็นตาแหน่งเปอร์เซ็นไทล์เท่ากับเท่าใด
เมื่อกาหนดพื้นที่ใต้เส้นโค้งปกติ ระหว่าง 0 ถึง ดังตารางต่อไปนี้
42. ให้ แทนเซตของจานวนจริง ถ้า : → เป็นฟังก์ชันซึ่ง ( ) = 3 + 6 สาหรับทุกจานวนจริง และ
ความชันของเส้นสัมผัสโค้ง = ( ) ณ จุด (2, 22) เท่ากับ 20 แล้วค่าของ 4
lim
x
( ) เท่ากับเท่าใด
วิชา ค่าเฉลี่ยเลขคณิต (คะแนน) ความแปรปรวน (คะแนน)
วิชาคณิตศาสตร์ 63 25
วิชาภาษาอังกฤษ 72 9
0.9 1.0 1.1 1.2 1.3
พื้นที่ 0.3159 0.3413 0.3643 0.3849 0.4032
16 PAT 1 (มี.ค. 57)
43. กาหนดให้ ( ) = และ ( ) = เมื่อ และ เป็นจานวนจริง
ถ้า ( ) = 0 และ หาร ( ) มีเศษเหลือเท่ากับ 5 แล้วค่าของ ( )(1) เท่ากับเท่าใด
44. หนังสือเล่มหนึ่งมี 500 หน้า หน้าแรกมีคาผิด 1 คา เว้นไป 1 หน้า หน้าที่สามมีคาผิด 1 คา เว้นไป 3 หน้า หน้าที่
เจ็ด มีคาผิด 1 คา เว้นไป 5 หน้า เป็นเช่นนี้ต่อๆไป จานวนหน้าที่ไม่มีคาผิดจะเพิ่มขึ้นทีละ 2 หน้า จานวนคาผิดใน
หนังสือเล่มนี้เท่ากับเท่าใด
45. ในกล่องใบหนึ่งบรรจุลูกบอลสีขาว ลูกบอลสีแดง และลูกบอลสีเหลือง โดยที่จานวนลูกบอลสีขาวมีจานวนไม่น้อยกว่า
จานวนลูกบอลสีแดง แต่ไม่มากกว่าหนึ่งในสามเท่าของจานวนลูกบอลสีเหลือง และผลรวมของจานวนลูกบอลสีขาว
และสีแดงไม่น้อยกว่า 76 ลูก อยากทราบว่าผลรวมของจานวนลูกบอลสีขาวและลูกบอลสีเหลืองมีอย่างน้อยกี่ลูก
PAT 1 (มี.ค. 57) 17
เฉลย
1. 3 11. 1 21. 2 31. 4 41. 15.87
2. 3 12. 4 22. 3 32. 5 42. 100
3. 1 13. 1 23. 4 33. 2 43. 721
4. 2 14. 4 24. 2 34. 5 44. 22
5. 3 15. 2 25. 1 35. 3 45. 152
6. 3 16. 4 26. 4 36. 153
7. 1 17. 2 27. 2 37. 3
8. 2 18. 4 28. 1 38. 12
9. 4 19. 3 29. 4 39. 8
10. 3 20. 3 30. 2 40. 21
แนวคิด
1. 3
วาดได้ 4 รูป
เอารูปแรก หักด้วย (รูปที่สามกับสี่รวมกัน) จะเหลือ
เอารูปที่ห้าที่เพิ่งได้ รวมกับรูปที่สอง จะได้ครบทุกส่วนพอดี ดังนั้น ทุกส่วน = 19 + 18 = 37
2. 3
: จาก < เนื่องจาก > 0 เราสามารถเอา หารตลอด โดยไม่ต้องกลับเครื่องหมายได้
จะได้ < ดังนั้น < สลับข้าง ได้ > ดังนั้น เป็นจริง
: การที่ > 0 อาจมาจาก ลบ คูณ ลบ กลายเป็นบวกก็ได้
และถ้า , เป็นลบ เราจะหา √ กับ √ ไม่ได้ ในขณะที่ยังหา √ ได้อยู่
ดังนั้น √ กับ √ √ จะไม่เหมือนกันในกรณีนี้ ดังนั้น เป็นเท็จ
แทน ≡ T , ≡ F ในแต่ละตัวเลือก จะได้ข้อ 3 เป็นจริง
1. ( F) (F ) ≡ F F ≡ F 2. ( F ) ( F ) ≡ F … ≡ F
3. ( F) (F ) ≡ ≡ T 4. ( F) ( F) ≡ T F ≡ F
3. 1
ก) แทน ≡ T จะได้ จะได้ ≡ T เท่านั้น ถึงจะ แล้วเป็น T
จะได้ , ต้องจริงทั้งคู่ ถึงจะ กันแล้วเป็น T ดังนั้น ข้อ (ก) ถูก
ข) ทาทั้งสองฝั่งให้เป็นรูปอย่างง่าย
ทั้งสองฝั่ง จัดรูปได้เหมือนกัน จึงสมมูลกัน ดังนั้น ข้อ (ข) ถูก
( ∪ ) = 30 ( ∪ ) = 18 ( ∩ ) = 3 ( ) = 8
30 – (3 + 8) = 19
( ) ( ) ≡ T
T ( ) ≡ T
( ) ( ) ≡ [ ( )] [ ( )]
( ) ( ) ≡ [ ( )] [ ( )]
( ) ( ) ≡ [ ] [ ]
≡ ( ) [ ]
18 PAT 1 (มี.ค. 57)
4. 2
ย้ายข้าง ได้อสมการคือ √ > 0
เปลี่ยนตัวแปร ให้ √ = แล้วจัดรูป อื่นๆที่เหลือให้กลายเป็น จะได้
ดังนั้น อสมการจะกลายเป็น
แต่ คือค่ารูท เป็นลบไม่ได้ จะได้ > 2 เท่านั้น
แทนค่า กลับไป จะได้
ซึ่งจะเป็นสับเซตของข้อ 2 เท่านั้น
5. 3
เนื่องจาก มี และ ในค่าสัมบูรณ์ และ <
วาดเส้นจานวน จะแบ่งเป็น 3 กรณี ดังรูป
กรณี (1) < : จะได้ทั้ง และ เป็นลบ
ถอดเครื่องหมายค่าสัมบูรณ์ ได้
เนื่องจาก < ดังนั้น ฝั่งซ้ายติดลบ แต่ฝั่งขวาเป็นบวก สมการเป็นเท็จโดยไม่ขึ้นกับค่า → กรณีนี้ไม่มีคาตอบ
กรณี (2) < : จะได้ 0 แต่ เป็นลบ
ถอดเครื่องหมายค่าสัมบูรณ์ ได้
แต่ = ไม่อยู่ในเงื่อนไข < ดังนั้น กรณีนี้ไม่มีคาตอบ
กรณี (3) : จะได้ทั้ง และ 0
ถอดเครื่องหมายค่าสัมบูรณ์ ได้
จะได้สมการเป็นจริงเสมอ ดังนั้น ทุกค่าในกรณีนี้จะทาให้สมการเป็นจริง → ได้คาตอบคือ [ , ∞)
6. 3
หาเรนจ์ ต้องจัดรูปสมการให้เป็น “ = ก้อนของ ”
แต่ข้อนี้ เป็นกาลังสอง ต้องจัดในรูป = 0
แล้วใช้สูตร =
√
=
=
> 0
> 0
( )( ) > 0 3 2
+ +
√ > 2
> 4
> 0
( ) > 0
0 3
+ +
( ( )) ( ( )) =
=
=
( ) ( ( )) =
=
=
=
(1)
(2)
(3)
( ) ( ) =
=
=
=
=
0 =
0 = ( ) ( )
=
( ) √( ) ( )( )
( )
PAT 1 (มี.ค. 57) 19
ใน √ ต้อง 0 ดังนั้น
ได้ เรนจ์ คือ ( ∞, ] ∪ [ , ∞) ถัดมา ต้องแก้อสมการในตัวเลือก
1. ( )( 1) 0 → ( ∞, ] ∪ [1, ∞) 2. ( )( ) 0 → ( ∞, 5] ∪ [ , ∞)
3. ( )( ) 0 → ( ∞, ] ∪ [ , ∞) 4. ( )( ) 0 → ( ∞, ] ∪ [ , ∞)
จะเห็นว่า ข้อ 3 จะคลุม ( ∞, ] ∪ [ , ∞) ได้ ดังนั้น ตอบข้อ 3
7. 1
+ I = [
1
0 1
] [
1
0 1
] [
1 0
0 1
] = [
1 0
0 1
] [
0
0
] = [
1 0
0 1
]
แต่จาก det( + I) = 0 จะได้ ( 1) = 0 ดังนั้น = 1
ก) + I = [
1
0 1
] ( 1) [
1 0
0 1
] = [
0
0
] → ได้ (0)(–2) – (0)(– ) 0 → (ก) ถูก
ข) จากที่เคยทาเรามี + I = [
1 0
0 1
] แทน = 1 จะได้ + I = [
0 0
0 0
] = 0
ดังนั้น ฝั่งซ้าย det( + I ) = det(0 ) = det( ) = ( 1) det = det
และฝั่งขวา det( ) = det ด้วย → (ข) ถูก
8. 2
วาดรูปเส้นตรง L ก่อน จะเห็นว่าถ้าแทน = 0 จะได้ = และถ้าแทน = 0 จะได้ =
ดังนั้น L เป็นเส้นตรงที่ตัดแกน ที่ และตัดแกน ที่ เนื่องจาก , > 0 จะวาดได้ดังรูป
วาด กับ ตามข้อมูลที่โจทย์ให้ จะได้ดังรูป
= ระยะจากจุด (0,0) ถึงเส้นตรง = 1 (จัดรูปได้เป็น = 0)
=
| |
√
→ เนื่องจาก , > 0 จะถอดค่าสัมบูรณ์ได้ =
√
จะเห็นว่า ∆EOD ~ ∆ABO เพราะมีมุมฉากเท่ากัน และ OÊD = BÂO (เพราะต่างก็
บวกกับ ÊA ได้ 90°) ดังนั้น = =
จาก OA = , OB = พีทากอรัสจะได้ AB = √
และจาก EO = =
√
จะได้ OD = × BO = และ DE = × OA =
ดังนั้น มี ศก ( , ) และ =
√
→ สมการคือ ( ) ( ) (
√
)
จัดรูป
คูณตลอดด้วย จะได้ ( )( ) ( ) = 0
( ) ( )( ) 0
1 0
1 0
( )( ) 0 4 4
+ +
A
B
O D
E
( ) ( )
=
( ) ( )
=
( ) ( )
( )
=
( )
=
( )
= 0
20 PAT 1 (มี.ค. 57)
9. 4
จัดรูปไฮเพอร์โบลา ได้เป็น ( 1) = 1 จะได้เส้นกากับคือ ( 1) 0 …(1)
แก้ระบบสมการ กับ = …( ) เพื่อหาจุดตัด → แทน = 2 จะได้
แทนใน (2) จะได้ = , → จุดตัดคือ ( 1, 2) , ( , )
จะได้จุดกึ่งกลางจุดตัด คือ ( , ) = ( , ) = โฟกัสของพาราโบลา
จากไฮเพอร์โบลา ( 1) = 1 เป็นแนวนอน มี ศก ที่ (1, 0)
ดังนั้น เส้นตรงที่ผ่านจุดยอดทั้งสอง จะผ่าน (1, 0) ในแนวนอนด้วย
จะได้ ไดเรกตริกซ์ ของพาราโบลา คือ แกน นั่นเอง ซึ่งจะวาดพาราโบลาได้ดังรูป
จุดยอด V จะอยู่ตรงกลางระหว่าง F และเส้นไดเรกตริกซ์ = ( , ) = ( , )
และ = ระยะจาก V ถึง F = แทน ( , ) และ ใน พาราโบลาคว่า จะได้
10. 3
ก. จะสอดคล้องกับสมบัติของวงรี ที่มี (0, 2) และ (2, 2) เป็นจุดโฟกัส และมีแกนเอกยาว 2√
โฟกัส เรียงตามแนวนอน จะได้เป็นวงรีแนวนอน โดยจุดศูนย์กลาง ( , ) = ( , ) = (1, 2)
ระยะโฟกัส = 2 – 1 = 1 และ =
√
= √ ดังนั้น = √ = √ 1 = 2
จะได้วงรี คือ ( ) ( )
1 →
ข. วาดคร่าวๆได้ดังรูป
จะเห็นว่า จุดบนพาราโบลา ที่ใกล้เส้นตรงมากสุด คือจุด A
ซึ่งจะมีสมบัติว่า ความชันเส้นสัมผัส ณ จุด A ต้องเท่ากับความชันเส้นตรง
ความชันของพาราโบลาคือ = 2 จะได้ความชัน ณ จุด (1, 1) คือ 2(1) = 2
และ เส้นตรง = 2 + 4 จะมีความชัน → ข. ถูก
11. 1
ก. ฝั่งขวา
( 1) ( ) = 0
( 1 )( 1 ) = 0
( 1)( 1) = 0
= 1 ,
( ) = ( ) ( )
=
1 = 1
1 = 0
F( , )
ไดเรกตริกซ์ X
Y
(1,0)
( )
√
+
( )
= 1
= 1
0 0 = 20
0 0 → ก. ผิด
=
=
A
B
C
=
= ( )
=
= (1 )
= (1 (1 ))
= ( )
=
= ( )
= 1 → ก. ถูก
PAT 1 (มี.ค. 57) 21
ข.
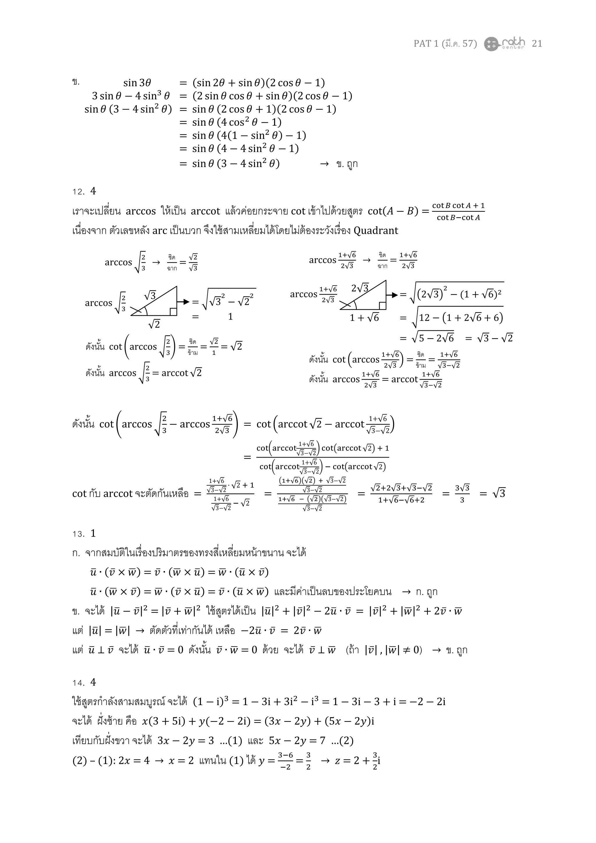
12. 4
เราจะเปลี่ยน arccos ให้เป็น arccot แล้วค่อยกระจาย cot เข้าไปด้วยสูตร ( ) =
เนื่องจาก ตัวเลขหลัง arc เป็นบวก จึงใช้สามเหลี่ยมได้โดยไม่ต้องระวังเรื่อง Quadrant
ดังนั้น ( √
√
√
) = ( √
1 √
√ √
)
=
(
1 √
√ √
) ( √ )
(
1 √
√ √
) ( √ )
cot กับ arccot จะตัดกันเหลือ =
1 √
√ √
√
1 √
√ √
√
=
( √ )(√ ) √ √
√ √
√ (√ )(√ √ )
√ √
=
√ √ √ √
√ √
=
√
= √
13. 1
ก. จากสมบัติในเรื่องปริมาตรของทรงสี่เหลี่ยมหน้าขนาน จะได้
̅ ( ̅ ̅) = ̅ (̅ ̅) = ̅ (̅ ̅)
̅ (̅ ̅) = ̅ ( ̅ ̅) = ̅ (̅ ̅) และมีค่าเป็นลบของประโยคบน → ก. ถูก
ข. จะได้ |̅ ̅| = | ̅ ̅| ใช้สูตรได้เป็น |̅| | ̅| ̅ ̅ = | ̅| |̅| ̅ ̅
แต่ |̅| = |̅| → ตัดตัวที่เท่ากันได้ เหลือ ̅ ̅ = ̅ ̅
แต่ ̅ ⊥ ̅ จะได้ ̅ ̅ = 0 ดังนั้น ̅ ̅ = 0 ด้วย จะได้ ̅ ⊥ ̅ (ถ้า | ̅| , |̅| ≠ 0) → ข. ถูก
14. 4
ใช้สูตรกาลังสามสมบูรณ์ จะได้ (1 ) = 1 = 1 = i
จะได้ ฝั่งซ้าย คือ ( ) ( ) = ( ) ( )i
เทียบกับฝั่งขวา จะได้ …(1) และ …( )
(2) – (1): 2 → = 2 แทนใน (1) ได้ = = → = 2 + i
= ( )( 1)
= ( )( 1)
( ) = ( 1)( 1)
= ( 1)
= ( (1 ) 1)
= ( 1)
= ( ) → ข. ถูก
= √√ √
= 1
√
√
√
√ →
ชิด
ฉาก
=
√
√
ดังนั้น ( √ ) =
ชิด
ข้าม
=
√
= √
ดังนั้น √ = √
= √( √ ) (1 √ )
= √1 (1 √ )
= √ √ = √ √
√
√
1 + √
2√
√
√
→
ชิด
ฉาก
=
√
√
ดังนั้น (
√
√
) =
ชิด
ข้าม
=
√
√ √
ดังนั้น √
√
=
√
√ √
22 PAT 1 (มี.ค. 57)
ก. i = 2i ดังนั้น ฝั่งซ้าย = Im( 2i ) = 2 , ฝั่งขวา = ( ) = → ก. ผิด
ข. คูณไขว้ได้ 7 = ( ) = ( ) ( ) = ( ) ( )( ) = ( )( )
เข้าสูตรผลต่างกาลังสอง ได้ ( ) → ข. ผิด
15. 2
ให้มีคนทั้งหมด คน จะได้จานวนวิธีเลือกสองคน = ( ) , จานวนวิธีเลือก ชายสองคน = ( )
ดังนั้น
( )
( )
= → =
( )
→ 0 ( 1)
แยก 240 เป็นสองตัวติดกันคูณกัน ได้ 1 1 → 1 → มี ญ = 16 – 6 = 10 คน
เลือก 5 คน เป็นชายไม่น้อยกว่า 3 คือ เป็น ชาย 3 หญิง 2 หรือ ชาย 4 หญิง 1 หรือ ชาย 5 ญ 0
จะได้ความน่าจะเป็น =
( )( ) ( )( ) ( )( )
( )
= = = =
16. 4
จะใช้วิธีนับแบบตรงข้าม : พิจารณาเฉพาะในกลุ่มเลขที่ “ไม่มี 7” ในหลักใดเลย จะแบ่งเป็น มี 5 กับ ไม่มี 5
ดังนั้น จานวนเลขที่ไม่มี 7 = จานวนเลขที่ไม่มี 7 และมี 5 + จานวนเลขที่ไม่มี 7 และไม่มี 5
จานวนเลขที่ไม่มี 7 → หลักแรกห้ามเป็น 0, 7 จะเหลือ 8 แบบ และสองหลักที่เหลือห้ามเป็น 7 จะเหลือ 9 แบบ
ได้ = 8 × 9 × 9 = 648 แบบ
ไม่มี 7 และไม่มี 5 → หลักแรกห้ามเป็น 0, 5, 7 จะเหลือ 7 แบบ และสองหลักที่เหลือห้ามเป็น 5 กับ 7 จะเหลือ 8 แบบ
ได้ = 7 × 8 × 8 = 448 แบบ
ดังนั้น จานวนเลขที่ไม่มี 7 และมี 5 = 648 – 448 = 200
17. 2
ต่อเนื่อง แสดงว่าบริเวณรอยต่อ คือ = 2 และ = 5 ต้องได้ค่า ( ) เท่ากัน
ที่ = 2 : ( ) = √ 1 → = 3 …(1)
ที่ = 5 : √ 1 = ( ) → = 2 …( )
หา จาก (2) – 2(1) ได้ 2 2( 3) = 8 ก็ได้
หรือถ้าจะทาตรงๆ (2) – (1) จะได้ 3 → = แทนใน (1) ได้ = =
จะได้ = ( ) = = 8
18. 4
เราต้องดูว่า เป็นลบเป็นบวกในช่วงไหนบ้าง
จะได้กาจัดเครื่องหมายค่าสัมบูรณ์ตามสมบัติ | | = {
, 0
, 0
ได้
แยกตัวประกอบได้ = ( 1)( ) ซึ่งเขียนเส้นจานวนได้ดังรูป
อินทิเกรต ตั้งแต่ 2 ถึง 2 ดังนั้น จะผ่านการเปลี่ยนเครื่องหมาย 1 ครั้ง ที่ = 1
2 ถึง 1 เป็นบวก → จะได้ | | =
1 ถึง 2 เป็นลบ → จะได้ | | = ( )
เราจะแบ่งอินทิเกรตเป็น 2 ช่วง เพื่อกาจัดเครื่องหมายค่าสัมบูรณ์ ดังนี้
1 6
+ +
PAT 1 (มี.ค. 57) 23
2
2
 | | =
1
2
 +
2
1
 ( )
=
1
2

2
1

= ( |
1
) ( |
1
)
= (( ) ( 1 )) (( 1 ) ( ))
= 1 1 = 1 1 =
ดังนั้น = 101 + 3 = 104
19. 3
ก. ฟังก์ชันเพิ่ม ต้องดูจาก ( ) เป็นบวก
จะเห็นว่า ( 1) , ( 1) และ ( ) เป็นบวกได้เท่านั้น ไม่มีผลกับเครื่องหมาย
เป็นบวกหรือศูนย์ได้เท่านั้น ดังนั้นจะมี 0 อยู่บนเส้นจานวน แต่ไม่มีการกลับเครื่องหมาย
และ + 2 พล็อตเส้นจานวนได้ตามปกติ
และ 12 ที่คูณอยู่ จะทาให้ช่วงขวาสุด เริ่มด้วย – ดังรูป
จะเห็นว่า ช่วง (0, 3) คลุมช่วง (2, 3) ที่ ( ) เป็นลบด้วย → ก. ผิด
ข. ค่าสูงสุดสัมพัทธ์ จะเกิดที่ ( ) = 0 โดย ( ) รอบๆ ต้องเปลี่ยนจาก → 0 → ได้แก่ = 2 นั่นเอง
ดังนั้น ค่าสูงสุดสัมฟัทธ์ = ( ) =
( )
( )
ตัด ทั้งเศษและส่วน ได้ = = → ข. ถูก
20. 3
ต้องทา ให้อยู่ในรูปเศษส่วนก่อน ค่อยหาลิมิตของลาดับ
คูณคอนจูเกต จะได้ = (√ 1 √ )
√ √
√ √
=
( ) ( )
√ √
=
√ √
หา n
lim ในรูปเศษส่วน เราสามารถตัดตัวดีกรีน้อยที่บวกลบอยู่ได้ → เหลือ √ √
= = = 8
ดังนั้น n
lim √ = √ = 2
( ) =
( )( ) ( )( )
( )
=
( )( ) ( )( )
( )
=
[( ) ( )( )]
( )
=
[ ]
( )
=
[ ]
( )
=
[ ]
( )
=
( )( )
( )
=
( )( )( )( )
( )
=
( )( )( )( )
( )
=
( )(( ) )( )(( ) )
( )
2 0
+ +
2
+ 0
2
24 PAT 1 (มี.ค. 57)
21. 2
สมการจานวนเต็ม ต้องจัดฝั่งหนึ่ง เป็นตัวเลข และแยกตัวประกอบอีกฝั่ง → = 21
เติม 4 ทั้งสองฝั่ง เพื่อให้ฝั่งซ้ายแยกตัวประกอบได้
จะเห็นว่า 17 แยกเป็นจานวนเต็ม 2 จานวนคูณกันได้แค่ (1)(17) , (–1)(–17) , (17)(1) , (–17)(–1)
ทั้งหมด 4 แบบ และแต่ละแบบจับเท่ากับ ( )( 1) จะได้ค่า กับ ทั้งหมด 4 ชุด
เนื่องจากข้อนี้ไม่ได้ถามค่า , แต่ถามจานวน ( , ) ดังนั้น จะได้คาตอบคือ 4
22. 3
ทานายเกี่ยวกับเวลา และมีข้อมูล 5 ชุด เราจะให้ตรงกลางเป็น 0
ให้สมการการทานายคือ ̂ =
(โจทย์ใช้ตัวแปร ไปแล้ว จึงต้องเปลี่ยนไปใช้ตัวแปรชื่ออื่น) ดังนั้น
และในการทานายเกี่ยวกับเวลา จะได้ ∑ = 0 เสมอ (เช่น ( ) ( 1) 0 1 = 0)
จะเหลือระบบสมการคือ
∑ จะหาไม่ได้ เพราะไม่รู้ แต่ตัวอื่นใน (2) จะหาได้เพราะ จะคูณกับ 0 แล้วกลายเป็น 0
จะได้
แทนใน (2) จะได้ 13 = (10) → = 1.3
จากที่โจทย์ให้ พ.ศ. 2557 จะมี = 2557 – 2552 = 5 และ 1,028,000 = 10.28 แสนคน
ดังนั้น 10.28 = + = + 1.3(5) จะได้ = 10.28 – 1.3(5) = 10.28 – 6.5 = 3.78
แทน = 3.78 กลับไปใน (1) โดย = 5 จะได้ ∑ = ( ) = 18.9
ดังนั้น = 18.9 – (1.2 + 2.6 + 5.4 + 6.3) = 18.9 – 15.5 = 3.4 แสนคน
23. 4
24. 2
ก. สบบ.ควอไทล์ = = 20 ดังนั้น = 40 …(1)
และ สปส.สบบ.ควอไทล์ = = แทนค่าจาก (1) จะได้ = ดังนั้น 0 …( )
( ) ( )
จะได้ = 50 แทนใน (2) จะได้ = 10
= 21 – 4
( 1) ( 1) = 17
( )( 1) = 17
2 1 0 1 2
1.2 2.6 5.4 6.3
∑ = ( )(1 ) ( 1)( ) (0)( ) (1)( ) ( )( )
= ( 2.4) + ( 2.6) + 0 + 5.4 + 12.6 = 13
∑ = ( ) ( 1) 0 1 = 4 + 1 + 0 + 1 + 4 = 10
∑ = + ∑
∑ = ∑ + ∑
∑ = …(1)
∑ = ∑ …( )
3( ) = ( )
3 =
=
= 5
= 5
= = 125
PAT 1 (มี.ค. 57) 25
ดังนั้น มีข้อมูลระหว่าง (=10) กับ (=50) อยู่ 2 ควอเตอร์ ซึ่งคิดเป็น 50% → ก. ถูก
ข. ผลรวมคะแนนชาย = (20)(32) = 640 , ผลรวมคะแนนหญิง = (40)(20) = 800
มีคนทั้งหมด 20 + 40 = 60 คน ดังนั้น ̅รวม = = 24 ดังนั้น ความแปรปรวนรวม =
∑( )
…( )
เราจะแยกหา ∑( ) ของกลุ่ม ชาย กับ หญิง แล้วค่อยเอามาบวกกัน
กลุ่มชาย : ทั้ง 20 คน ได้ 32 หมดทุกคน → ∑ ( )ช = 0( ) = 20(64) = 1280
กลุ่มหญิง : ความแปรปรวนหญิง = 90 ดังนั้น
∑ ( ̅ญ)ญ
ญ
=
∑ ( )ญ
0 → ∑ ( 0)ญ = 3600
เนื่องจากเราต้องหา ∑ ( )ญ มารวมกับของกลุ่มชาย เพื่อแทนใน ( ) เราจะกระจาย ∑ ( 0)ญ และจัด
รูปให้เป็นตัวที่เราต้องการ ดังนี้
∑ญ = ผลรวมคะแนนกลุ่มหญิง = 800
และ ∑ ( 0 )ญ = ∑ ( 0)( 0)ญ = ∑ ( )( )ญ = 40(4)(44) (เพราะมี ญ 40 คน)
ดังนั้น ∑ ( )ญ = 00 ( 00) 0( )( ) = 00 00 7040 = 4240
รวมกับ 1280 ของกลุ่มชาย แทนใน ( ) จะได้ รวม = = → ข. ผิด
หมายเหตุ: จะใช้สูตร รวม =
ช( ช ( ̅ช ̅รวม) ) ญ( ญ ( ̅ญ ̅รวม) )
ช ญ
ก็ได้
กลุ่มชาย ทุกคนเท่ากัน ดังนั้น ช = 0 จะได้ รวม =
( ( ) ) ( ( ) )
= = 92
25. 1
ก. ความกว้างชั้นไม่เท่ากัน ต้องใช้ จานวนคน
ความกว้างชั้น
เป็นตัววัดระดับความหนาแน่น ว่าชั้นไหนได้รับความนิยมสูงสุด
ชั้น 3 หนาแน่นสุด ดังนั้น ฐานนิยมอยู่ชั้น 3
และจะได้ = 0.00125 – 0.0010 = 0.00025
= 0.00125 – 0.0010 = 0.00025
ข. มัธยฐาน อยู่ตาแหน่งที่ = 25
สร้างช่องความถี่สะสม ( ) → เกิน 25 (= 40) ที่ชั้นที่ 3
ดังนั้น มัธยฐานอยู่ชั้นที่ 3
มัธยฐาน = (
ตาแหน่ง
)
= 29999.5 + ( ) ( )
= 29999.5 + ( ) ( 0000) → ข. ถูก
∑ ( ( 0) 0 )ญ = 3600
∑ ( ( ) )ญ = 3600 ∑ ( )ญ ∑ 0ญ + ∑ญ
∑ ( )ญ = 3600 8∑ญ ∑ ( 0 )ญ
เติมทั้ง 2 ฝั่ง ให้ฝั่งซ้ายจัดรูปได้ตัวที่เราต้องการ
เงินเดือน (บาท) จานวนพนักงาน (คน)
10,000 – 19,999 5 5
20,000 – 29,999 10 15
30,000 – 49,999 25 40
50,000 – 59,999 10 50
เงิน คน ขอบล่าง ขอบบน กว้าง ความนิยม
10,000 – 19,999 5 9,999.5 19,999.5 10,000 5/10,000 = 0.0005
20,000 – 29,999 10 19,999.5 29,999.5 10,000 10/10,000 = 0.0010
30,000 – 49,999 25 29,999.5 49,999.5 20,000 25/20,000 = 0.00125
50,000 – 59,999 10 49,999.5 59,999.5 10,000 10/10,000 = 0.0010
ลบกัน =
ลบกัน =
ฐานนิยม= + ( )
= 29999.5 + ( ) ( 0000)
= 29999.5 + ( ) ( 0000)
→ ก. ถูก
26 PAT 1 (มี.ค. 57)
26. 4
จะได้
จะเห็นว่า
จะได้ = ∑ = ∑
( )
=
∑ ∑
…( )
โดยที่ ∑ = 1 … =
( )( )
= และ ∑ 1 = (1)( ) =
แทนใน ( ) จะได้ =
( )
→ คูณ 4 ตลอด ได้ = ( ) → ตอบข้อ 4
27. 2
ต้องจัดรูป ( ) ให้มี กับ ในลักษณะคล้ายๆตัวเลือกทั้ง 4 โดยจะต้องทาให้ดึงตัวร่วมได้
โดยจะใช้สมบัติว่า = = และ = = , = = ดังนี้
เมทริกซ์สลับที่การบวกได้ → จะได้ตรงกันกับข้อ 2
28. 1
หาจุดตัดแกน
และวาดกราฟคร่าวๆ จะได้ดังรูป
หาจุดมุม → แก้ (1) กับ (2)
จะได้จุดมุมคือ (6,7) , (0,5) , (0,10) ,
(3,0) , (15,0)
จาก 3 = 2 → =
ดังนั้น = ( ) = ( ) → เอาแต่ละจุดไปแทน แล้วดูว่ามากสุด, น้อยสุด ได้เท่าไหร่
เนื่องจาก เป็นบวก ดังนั้น มากสุด = 11 , น้อยสุด = 2
จะได้ = = → คูณไขว้จะได้ 2 = 11 → ตอบ 1
= 3 + 1 = 3(2) + 1
= 3 + 1 = 3(3(2) + 1) + 1 = 2( ) + 3 + 1
= 3 + 1 = 3(2( ) + 3 + 1) + 1 = 2( ) + + 3 + 1
= 3 + 1 = 3(2( ) + + 3 + 1) + 1 = 2( ) + + + 3 + 1
= 2( ) + + … 1
= 2( ) +
( )( )
= 2( ) + =
( )
อนุกรมเรขา =
( ) = ( ) (สมบัติของ )
= ( ( ) ( ) ) (สมบัติของอินเวอร์ส)
= ( ) (เมทริกซ์เปลี่ยนกลุ่มการคูณได้)
= ( ( )) (ดึงตัวร่วม ทางซ้าย)
= ( ( ) ) (ดึงตัวร่วม ทางขวา)
= ( ) (กระจายอินเวอร์ส ต้องสลับตาแหน่ง)
(6,7) → = (4+7) = 11
(0,5) → = (0+5) = 5
(0,10) → = (0+10) = 10
(3,0) → = (2+0) = 2
(15,0) → = (10+0) = 10
+2 = 20 ..(1)
7 +9 = 105 ..(2)
5 +3 = 15 ..(3) 10
11 กว่าๆ
5
3 15 20
7(1) – (2) : =
( )
( )
= = 7
แทนใน (1) : = 20 – 2(7) = 6
PAT 1 (มี.ค. 57) 27
29. 4
จะได้ว่า ต้องหารด้วย 5, 4, 3, 2 ลงตัว → น้อยสุด = ค.ร.น. ของ 5, 4, 3, 2 = 60
แทนค่า = 60 ใน 5 = 4 = 3 = 2 = จะได้ = 12 , = 15 , = 20 , = 30
เนื่องจาก สปส ในสมการเป็นบวกหมด ดังนั้น ถ้า มากกว่านี้จะทาให้ได้ , , , ที่มากกว่านี้ซึ่งจะทาให้
มากยิ่งขึ้น ดังนั้น = 60 จะได้ผลบวกดังกล่าวน้อยที่สุด
ดังนั้น = 12 + 4(15) + 3(20) + 4(30) + 60 = 312
30. 2
A, B, C, D จะใช้เลขคี่ไป 4 ตัว และ E, F, G จะใช้เลขคู่ไป 3 ตัว ดังนั้น จะเหลือ คี่ 1 ตัว กับ คู่ 2 ตัว ให้ H, I, J
เนื่องจาก A, B, C, D ต้องเรียงติดกันด้วย → เลขคี่ที่เหลือให้ H, I, J จะเป็นได้แค่ 1 หรือ 9 เท่านั้น
E, F, G ต้องเรียงติดกันด้วย → เลขคู่ที่เหลือให้ H, I, J จะเป็นได้แค่ 0, 2 หรือ 6, 8 หรือ 0, 8 เท่านั้น
จับกลุ่ม H, I, J ที่บวกกันได้ 15 จะมีแค่ 1 + 6 + 8 เท่านั้น
จะได้ (H, I, J) = (8, 6, 1) และ (A, B, C, D) = (9, 7, 5, 3) และ (E, F, G) = (4, 2, 0)
ดังนั้น C + F + I = 5 + 2 + 6 = 13
31. 4
ตรวจคาตอบ = : √1 √ = = 1 → จริง
= 5 : √1 1 √ = 2 3 = 1 → ไม่จริง
แทนในที่โจทย์ถาม จะได้ = | | = | | = 4
32. 5
จากสมบัติของ ̅ จะได้ ̅ = | |
ถ้าแทน | | ในสมการด้วย ̅ จะดึง เป็นตัวร่วมได้
จะได้ = 0 หรือ
จะได้คาตอบสองค่า คือ = 0 , i
จะได้ + i = i , 4 ดังนั้น | + i| = 1 , 4 ดังนั้น ผลบวกสมาชิกใน = 1 + 4 = 5
√1 = 1 + √
1 = 1 + 2√ +
4 2 = 2√
2 = √
4 4 + =
= 0
( 1)( ) = 0
= , 5
̅ ( ) = 0
( ̅ ) = 0
̅ 28 + i + = 0
( ) ( ) = 0
3 3 i 28 + i + 4 + 4 i = 0
(7 28) + ( + 1)i = 0
= 4 และ = 1
ให้ = + i จะได้ ̅ = i
28 PAT 1 (มี.ค. 57)
33. 2
จาก A + B + C = 180° และ B = 45° จะเหลือ A + C = 135° ดังนั้น A = 135° …( )
จาก √ = (√ 1) จะได้ =
√
√
…(1)
แต่จากกฎของ sin จะได้ = = ( )
= = √ √
ดึงตัวร่วม ให้ sin C มาตัดกัน จะได้ = √
( )
=
√ ( )
…( )
ใช้ เป็นตัวเชื่อม (1) กับ (2) จะได้ √
√
=
√ ( )
→ + 1 =
√
ดังนั้น cot C =
√
1 =
√
√
=
√
√
→ ดึง √ จากเศษ จะได้ =
√ (√ )
√
= √
เนื่องจาก 0 < C < 180° และ cot C = √ จะได้ C = 30° แทนใน ( ) จะได้ A = 105°
แทนในที่โจทย์ถาม จะได้ = 0 0 = = 2
34. 5
เปลี่ยนตัวแปรก่อน ให้ + = จะได้ 2 + 2 = 2 → สมการกลายเป็น ( ) = +
และ = = 10 จะได้
ตรวจคาตอบ จะได้ว่า ทั้ง 2 และ 0 ทาให้หลัง log เป็นบวก และได้สมการที่เป็นจริง
แทนกลับไปหา จะได้
ดังนั้น { , 1, 0, 1} → ซ้าคิดเป็นสมาชิกแค่ตัวเดียว → { , 1, 0} → ตอบ 4 + 1 + 0 = 5
35. 3
แยกตัวประกอบด้วยทฤษฎีเศษ แทน = ±1 , จะเห็นว่า = 1 จะได้ 1 = 0
หารสังเคราะห์ จะแยกได้
แทนค่า กลับไปเป็น [0, ) จะได้
ดังนั้น มีสมาชิก 3 ตัว
( ) = + 10
=
=
= 10
10 = 0
( )( 1) = 0
= 2 , 0
= 2
= 0
( )( 1) = 0
= 2 , 1
= 0
( )( 1) = 0
= 0 , 1
1 2 5 4 1
2 3 1
2 3 1 0
1 = 0
( ) ( ) ( ) 1 = 0
5 + 1 = 0
เปลี่ยนตัวแปร ให้ =
( 1)( 1) = 0
( 1)( 1)( 1) = 0
= 1 ,
= 1
= 0
= 0 ,
=
= 1
=
PAT 1 (มี.ค. 57) 29
36. 153
เนื่องจาก 0 < < ดังนั้น กับ จะไม่มีทางเป็น 0 ได้ ดังนั้น 1 = 0
จะได้ = → = 60° ดังนั้น = =
√ ( √ )
( )
= √
= =
(
√
) (
√
)
( ) ( )
=
√
= √
ดังนั้น + = ( √ ) (√ ) = 144 + 9 = 153
37. 3
จะได้ = … → เป็นอนุกรมเรขาดัดแปลง ต้องใช้เอาตัวมันเองมาหักกับตัวมันเอง ดังนี้
จะได้ ( ) = ( ( )) = ( ) = 6 + 3
ดังนั้น n
lim
( )
√
=
n
lim
√
=
n
lim
√
=
n
lim 3 = 3
38. 12
จะได้ (1) = 1 และจาก (1) = 2 จะได้ 1 + + → 1 …( )
จะได้ ( )(0) = ( (0)) = (0 0 ) = ( ) = = ( )
= ( 1 ) + = 2
และจาก ( )(0) = 10 จะได้ 2 10 → = 5 แทนใน ( ) จะได้ = 4
ดังนั้น
2
1
 ( ) =
2
1
 = |
1
= ( 10) ( ) = 12
= 0
4 = 0
2 = 0
( ) = 0
( (1 )) = 0
( ) = 0
( ) = 0
( )( 1) = 0
= … + …(1)
2 = 1 + + + … …( )
(2) – (1) : = 1 + + + …
=
( )( )
=
คูณ 2 ตลอด และเลื่อนให้
ตัวส่วนตรงกับสมการแรก
อนุกรมเรขา =
( )
30 PAT 1 (มี.ค. 57)
39. 8
จาก (2) : (0, 1] จะได้ 0 < 1 คูณ ตลอด ได้ 0 < …(5)
จาก (3) : (1, ] จะได้ 1 < คูณ ตลอด ได้ < …(6)
จาก (4) : ( , ] จะได้ 2 < คูณ ตลอด ได้ 2 < …(7)
จะเห็นว่า ถ้า (6) กับ (7) จริง จะทาให้ (5) จริงเสมออยู่แล้ว
เพราะ จาก (7) จะได้ 2 < และ จาก (6) จะได้ < ดังนั้น 2 < แต่ < 2 ดังนั้น <
ซึ่งทาให้เงื่อนไข (5) จริงเสมอ ดังนั้น เราทาให้ (6) กับ (7) จริงก็พอ ไม่ต้องสนใจ (5)
จาก (6) ค่า จะเป็นได้ตั้งแต่ + 1 , + 2 , , … , ซึ่งมีทั้งหมด =
ปลาย ต้น
ห่าง
+ 1
=
( )
1 = แบบ
ดังนั้น แต่ละค่า จะมี ที่สอดคล้องอยู่ แบบ … ( )
จาก (7) ค่า จะเป็นไปได้ตั้งแต่ 1 , , , … ,
จาก ( ) : ถ้า = 1 จะมี ที่สอดคล้อง = 1 แบบ
ถ้า = จะมี ที่สอดคล้อง = แบบ
⋮
ถ้า = จะมี ที่สอดคล้อง = แบบ
รวมทุกๆแบบจาก ในทุกๆกรณี จะได้ = ( 1) ( ) …
= ( 1 )
= ( 1)
โจทย์ต้องการให้จานวนแบบ = 164 ดังนั้น
แต่ ต้องเป็นเต็มบวก → = 8
40. 21
จาก ̅ =
∑
จะได้ → 0 …(1)
จาก = √
∑
̅ จะได้
จาก (1) จะได้ = 20 – แทนใน (2) จะได้
แต่ เรียงอยู่หลัง 7 ดังนั้น > 7 ดังนั้น = 19 ได้ค่าเดียว → แทนใน (1) จะได้ = 1
ดังนั้น 2 + = 2(1) + 19 = 21
จานวนพจน์ =
ปลาย ต้น
ห่าง
+ 1
=
( )
+ 1
=
แทนในสูตร = ( )
( 1) = 164
= 0
( 1)( ) = 0
√ = 2√10
= 40
= 5(89) – …( )
( 0 ) = 362
00 0 = 362
0 1 = 0
( 1)( 1 ) = 0
PAT 1 (มี.ค. 57) 31
41. 15.87
วิชาคณิตศาสตร์ : จะเลย ไป 38.49% จะวาดได้ดังรูป
เปิดตาราง จะได้ = 1.2
วิชาคณิตศาสตร์ มี ̅ = 63 , = √ = 5
แปลงกลับเป็น ด้วยสูตร ̅
= จะได้ 1 → = 6 + 63 = 69
ดังนั้น วิชาภาษาอังกฤษ ได้คะแนน 69 คะแนนด้วย
ภาษาอังกฤษ มี ̅ = 72 , = √ = 3 ดังนั้น = = 1
เป็นลบ จะอยู่ทางซ้าย
ต้องเปิดตารางที่ = 1 ได้พื้นที่ = 0.3413 แล้วสะท้อนมาทางซ้าย ดังรูป
จะเหลือพื้นที่ทางฝั่งซ้าย = 0.5 – 0.3413 = 0.1587
ดังนั้น มีคนได้อังกฤษน้อยกว่านักเรียนคนนี้1 % → คะแนนอังกฤษของเขา = เปอร์เซ็นไทล์ที่ 15.87
42. 100
อินทิเกรต ( ) จะได้ ( ) = …(1)
จากความชันที่ = 2 คือ 20 ดังนั้น ( ) = 20 แทนใน (1) จะได้ 3(2) + 3( ) + = 20
แก้สมการ จะได้ = 2 แทนใน (1) จะได้ ( ) =
อินทิเกรต ( ) ต่ออีกรอบ ได้ ( ) = …( )
จาก ผ่านจุด (2, 22) จะได้ ( ) = 22 แทนใน (2) จะได้ ( )
( ) = 22
แก้สมการ จะได้ = 4 แทนใน (2) จะได้ ( ) =
ดังนั้น ( ) =
( )
( ) = 24 + 64 + 8 + 4 = 100
43. 721
จาก ( ) = 0 จะได้ ( ) ( ) = 0 → ÷3 ตลอด แล้วจัดรูปได้ 10 0 …(1)
จากเศษ 5 ใช้ทฤษฎีเศษจะได้ ( ) = 5 ดังนั้น ( ) ( ) = 5
ย้าย 5 มาลบ , ÷2 ตลอด แล้วจัดรูปได้ 0 …( )
(1) (2) : 0 → = 7 แทนใน (2) จะได้ = ( ) = 11
ดังนั้น ( )(1) = ( (1)) = (1 (1 ) 11(1) ) = ( ) = 11( ) ( )
= 704 + 24 – 7 = 721
44. 22
หาสูตรพจน์ทั่วไปของหน้าที่มีคาผิดก่อน โดยคาว่า “เว้นไป หน้า” จะเหมือนกับ “ถัดไป + 1 หน้า”
ผิดคาแรกที่หน้าที่ 1 → = 1 = 1
เว้น 1 หน้า = ถัดไป 2 หน้า = หน้าที่ 1 + 2 = 3 → = 1 + 2 = 1 + 2(1)
เว้น 3 หน้า = ถัดไป 4 หน้า = หน้าที่ 1 + 2 + 4 = 7 → = 1 + 2 + 4 = 1 + 2(1 + 2)
เว้น 5 หน้า = ถัดไป 6 หน้า = หน้าที่ 1 + 2 + 4 + 6 = 13 → = 1 + 2 + 4 + 6 = 1 + 2(1 + 2 + 3)
จะได้ = 1 + (1 … 1) = 1 + 2(
( )(( ) )
) = 1 + ( 1)( )
4
lim
x
0.3849
1
0.3413
32 PAT 1 (มี.ค. 57)
แต่หนังสือมีแค่ 500 หน้า เราต้องหา ที่มากที่สุด ที่ 00
แทนสูตร จะได้ 1 + ( 1)( ) 00 → ( 1)( )
จะเห็นว่า 1 กับ เป็นสองจานวนเรียงติดกัน และจาก √ ~ √ 00 = 10√ ~ (10)(2.23) = 22.3
ดังนั้น สองจานวนเรียงติดกันมากสุดที่คูณกันแล้ว จะอยู่แถวๆ 22.3
ลองคูณ (22)(23) จะได้ 0 → เกิน
(21)(22) จะได้ → ใช้ได้ ดังนั้น ( 1)( ) คือ (21)(22) จะได้ = 22
ดังนั้น มากสุด ที่ 00 คือ = 22 ดังนั้น จะมีคาผิดได้ 22 คา
45. 152
ให้มีสีขาว แดง เหลือง = W, R, Y ลูก ตามลาดับ
จากข้อมูลที่โจทย์ให้ จะได้ W R และ W และ W R โดยโจทย์ถามว่า W Y ?
จาก W R จะได้ W – R 0 เอามาบวกกับสมการ W R จะได้ W → W
และจาก W จะได้ Y W ( ) 11 ดังนั้น W Y 11 1
และจะเห็นว่า W = 38 , Y = 114 , R = 38 สามารถทาให้ทุกเงื่อนไขในโจทย์เป็นจริงได้
ดังนั้น สีขาวกับสีเหลืองรวมกัน ต้องมีอย่างน้อย 152 ลูก
เครดิต
ขอบคุณ คุณ สนธยา เสนามนตรี , คุณ พชร อูบุนตู้ สาหรับข้อสอบนะครับ
ขอบคุณ คุณ Mean Sattabongkot ที่ช่วยบอกจุดผิดในข้อสอบ
ขอบคุณ คุณ Piyapan Sujarittham และ คุณ Terasut Numwong ที่ช่วยตรวจทานและแจ้งจุดผิดในเฉลย
ขอบคุณ เฉลยของ คุณ GTP Ping และ คุณ Oui The Tutor ที่ผมใช้ดูเป็นแนวทางในการทาเฉลยด้วย

Pat157

  • 1.
    PAT 1 (มี.ค.57) 1 PAT 1 (มี.ค. 57) รหัสวิชา 71 วิชา ความถนัดทางคณิตศาสตร์ (PAT 1) วันเสาร์ที่ 8 มีนาคม 2557 เวลา 13.00 - 16.00 น. ตอนที่ 1: แบบปรนัย 4 ตัวเลือก เลือก 1 คาตอบที่ถูกต้องที่สุด จานวน 30 ข้อ (ข้อ 1 – 30) ข้อละ 6 คะแนน 1. ให้ แทนคอมพลีเมนต์ของเซต และ ( ) แทนจานวนสมาชิกของเซต กาหนดให้ แทนเอกภพสัมพัทธ์ ถ้า และ เป็นสับเซตใน โดยที่ ( ∪ ) = 30 , ( ∪ ) = 18 , ( ∩ ) = 3 และ ( ) = 8 แล้วจานวนสมาชิกของเอกภพสัมพัทธ์ เท่ากับข้อใดต่อไปนี้ 1. 29 2. 30 3. 37 4. 42 2. กาหนดให้ และ เป็นจานวนจริง โดยที่ > 0 ให้ แทนประพจน์ “ถ้า < แล้ว > ” และ แทนประพจน์ “√ = √ √ ” ประพจน์ในข้อใดต่อไปนี้มีค่าความจริงเป็นจริง 1. ( ) ( ) 2. ( ) ( ) 3. ( ) ( ) 4. ( ) ( ) 3. กาหนดให้ , , และ เป็นประพจน์ใดๆ พิจารณาข้อความต่อไปนี้ (ก) ถ้าประพจน์ ( ) ( ) และประพจน์ มีค่าความจริงเป็นจริง แล้วสรุปได้ว่าประพจน์ มีค่าความจริงเป็นจริง (ข) ประพจน์ ( ) ( ) สมมูลกับ ประพจน์ [ ( )] [ ( )] ข้อใดต่อไปนี้ถูกต้อง 1. (ก) ถูก และ (ข) ถูก 2. (ก) ถูก แต่ (ข) ผิด 3. (ก) ผิด แต่ (ข) ถูก 4. (ก) ผิด และ (ข) ผิด 14 May 2014
  • 2.
    2 PAT 1(มี.ค. 57) 4. ให้ แทนเซตของจานวนจริง ถ้า { | √ } แล้วเซต เป็นสับเซตของข้อใดต่อไปนี้ 1. ( ∞, ) ∪ ( , ) 2. ( ∞,0) ∪ ( ,∞) 3. ( ∞, 1) ∪ (4,∞) 4. ( 1,∞) 5. กาหนดให้ และ เป็นจานวนจริงบวก และ < เซตคาตอบของสมการ | | | | = เท่ากับข้อใดต่อไปนี้ 1. { } 2. ( , ] 3. [ , ∞) 4. ( , ∞) 6. ให้ แทนเซตของจานวนจริง ถ้า เป็นฟังก์ชัน ซึ่งมีโดเมนและเรนจ์เป็นสับเซตของเซตจานวนจริง โดยที่ ( ) = เมื่อ ≠ 1 แล้วเรนจ์ของฟังก์ชัน เป็นสับเซตของข้อใดต่อไปนี้ 1. { | 0 } 2. { | 10 0 } 3. { | 1 0 } 4. { | 1 0 }
  • 3.
    PAT 1 (มี.ค.57) 3 7. กาหนดให้ = [ 1 0 1 ] , I = [ 1 0 0 1 ] และ เป็นเมทริกซ์ใดๆ มีมิติ 2 × 2 ให้ เป็นจานวนจริงที่สอดคล้องกับ det( + I) = 0 พิจารณาข้อความต่อไปนี้ (ก) det( + I) = 0 (ข) det( + I ) = det( ) ข้อใดต่อไปนี้ถูกต้อง 1. (ก) ถูก และ (ข) ถูก 2. (ก) ถูก แต่ (ข) ผิด 3. (ก) ผิด แต่ (ข) ถูก 4. (ก) ผิด และ (ข) ผิด 8. กาหนดให้ L เป็นเส้นตรงมีสมการเป็น = 1 เมื่อ , > 0 และให้ และ เป็นวงกลมสองวงที่ต่างกัน โดยที่มีรัศมีเท่ากันและวงกลมทั้งสองวงต่างสัมผัสกับเส้นตรง L ที่จุดเดียวกัน ถ้าวงกลม มีจุดศูนย์กลางที่จุด (0, 0) แล้วสมการของวงกลม คือข้อใดต่อไปนี้ 1. ( ) ( ) ( )( ) = 0 2. ( )( ) ( ) = 0 3. ( ) ( ) ( )( ) = 0 4. ( )( ) ( ) = 0
  • 4.
    4 PAT 1(มี.ค. 57) 9. กาหนดให้ไฮเพอร์โบลารูปหนึ่งมีสมการเป็น = 0 ถ้าพาราโบลามีโฟกัสเป็นจุดกึ่งกลางของส่วน ของเส้นตรงที่เชื่อมระหว่างจุดตัดของเส้นตรง = 2 กับเส้นกากับของไฮเพอร์โบลา และมีเส้นไดเรกตริกซ์เป็น เส้นตรงที่ผ่านจุดยอดทั้งสองของไฮเพอร์โบลา แล้วสมการของพาราโบลาคือข้อใดต่อไปนี้ 1. 1 1 = 0 2. 1 1 = 0 3. 1 = 0 4. 1 = 0 10. พิจารณาข้อความต่อไปนี้ (ก) ให้ P( , ) เป็นจุดใดๆ ในระนาบ ถ้าผลบวกของระยะทางจากจุด P( , ) ไปยังจุด (0, –2) และระยะทางจากจุด P( , ) ไปยังจุด (2, –2) เท่ากับ 2√ แล้ว เซตของจุด P( , ) คือ { ( , ) | 0 1 0 } (ข) จุด (1, 1) เป็นจุดบนพาราโบลา อยู่ใกล้กับเส้นตรง = 2 – 4 มากที่สุด ข้อใดต่อไปนี้ถูกต้อง 1. (ก) ถูก และ (ข) ถูก 2. (ก) ถูก แต่ (ข) ผิด 3. (ก) ผิด แต่ (ข) ถูก 4. (ก) ผิด และ (ข) ผิด
  • 5.
    PAT 1 (มี.ค.57) 5 11. กาหนดให้ เป็นจานวนจริงใดๆ พิจารณาข้อความต่อไปนี้ (ก) 1 = (ข) = ( )( 1) ข้อใดต่อไปนี้ถูกต้อง 1. (ก) ถูก และ (ข) ถูก 2. (ก) ถูก แต่ (ข) ผิด 3. (ก) ผิด แต่ (ข) ถูก 4. (ก) ผิด และ (ข) ผิด 12. ( √ √ √ ) มีค่าเท่ากับข้อใดต่อไปนี้ 1. √ 2. √ 3. √ √ 4. √ 13. กาหนดให้ ̅ , ̅ และ ̅ เป็นเวกเตอร์ใดๆในสามมิติ พิจารณาข้อความต่อไปนี้ (ก) ̅ ( ̅ ̅) = ̅ (̅ ̅) (ข) ถ้า |̅| = |̅| , |̅ ̅| = | ̅ ̅| และเวกเตอร์ ̅ ตั้งฉากกับเวกเตอร์ ̅ แล้วเวกเตอร์ ̅ ตั้งฉากกับเวกเตอร์ ̅ ข้อใดต่อไปนี้ถูกต้อง 1. (ก) ถูก และ (ข) ถูก 2. (ก) ถูก แต่ (ข) ผิด 3. (ก) ผิด แต่ (ข) ถูก 4. (ก) ผิด และ (ข) ผิด
  • 6.
    6 PAT 1(มี.ค. 57) 14. กาหนดให้ = + i เป็นจานวนเชิงซ้อน เมื่อ และ เป็นจานวนจริงที่สอดคล้องกับสมการ ( ) (1 ) = 3 + 7i พิจารณาข้อความต่อไปนี้ (ก) Im  zi = Re(i ) (ข) = ข้อใดต่อไปนี้ถูกต้อง 1. (ก) ถูก และ (ข) ถูก 2. (ก) ถูก แต่ (ข) ผิด 3. (ก) ผิด แต่ (ข) ถูก 4. (ก) ผิด และ (ข) ผิด 15. ในคนกลุ่มหนึ่งประกอบด้วยชาย 6 คน และหญิงจานวนหนึ่ง ความน่าจะเป็นที่เลือกกรรมการ 2 คน เป็นชายทั้งสอง เท่ากับ ความน่าจะเป็นที่จะเลือกกรรมการ 5 คนเป็นชายไม่น้อยกว่า 3 คน เท่ากับข้อใดต่อไปนี้ 1. 2. 3. 4. 16. ต้องการสร้างจานวนสามหลัก โดยที่มีตัวเลข 5 อย่างน้อย 1 หลัก แต่ไม่มีตัวเลข 7 ในหลักใดเลย มีจานวนวิธีสร้าง จานวนสามหลักเท่ากับข้อใดต่อไปนี้ 1. 128 2. 136 3. 153 4. 200
  • 7.
    PAT 1 (มี.ค.57) 7 17. ให้ และ เป็นจานวนจริง และให้ ( ) = { , √ 1 , , ถ้า เป็นฟังก์ชันต่อเนื่องบนเซตของจานวนจริง แล้ว เท่ากับข้อใดต่อไปนี้ 1. 5 2. 8 3. 11 4. 12 18. ถ้า 2 2  | | = เมื่อ และ เป็นจานวนเต็มที่ ≠ 0 และ ห.ร.ม. ของ และ เท่ากับ 1 แล้วค่าของ เท่ากับข้อใดต่อไปนี้ 1. 33 2. 69 3. 102 4. 104 19. กาหนดให้ ( ) = เมื่อ เป็นจานวนจริงบวกใดๆ พิจารณาข้อความต่อไปนี้ (ก) เป็นฟังก์ชันเพิ่มบนช่วง (0, 3) (ข) ค่าสูงสุดสัมพัทธ์ของ เท่ากับ ข้อใดต่อไปนี้ถูกต้อง 1. (ก) ถูก และ (ข) ถูก 2. (ก) ถูก แต่ (ข) ผิด 3. (ก) ผิด แต่ (ข) ถูก 4. (ก) ผิด และ (ข) ผิด
  • 8.
    8 PAT 1(มี.ค. 57) 20. กาหนดให้ = √ 1 √ เมื่อ 1, , , … ค่าของ n lim √ เท่ากับเท่าใด 1. 0 2. 1 3. 2 4. 8 21. ให้ I แทนเซตของจานวนเต็ม ถ้า = { ( , ) | 1 } แล้วจานวนสมาชิกของเซต เท่ากับข้อใดต่อไปนี้ 1. 5 2. 4 3. 3 4. 2 22. จานวนประชากรในจังหวัดหนึ่ง ตั้งแต่ พ.ศ. 2550 ถึง พ.ศ. 2554 มีดังนี้ ถ้าจานวนประชากรสัมพันธ์เชิงฟังก์ชันกับเวลา (พ.ศ.) เป็นเส้นตรง และทานายว่าในปี พ.ศ. 2557 จะมีประชากร 1,028,000 คน แล้วใน พ.ศ. 2552 จะมีประชากรกี่คน 1. 204,000 คน 2. 272,000 คน 3. 340,000 คน 4. 408,000 คน พ.ศ. 2550 2551 2552 2553 2554 จานวนประชากร (แสนคน) 1.2 2.6 5.4 6.3
  • 9.
    PAT 1 (มี.ค.57) 9 23. ถ้า และ เป็นจานวนจริงที่สอดคล้องกับสมการ ( ) ( ) แล้ว ( )( ) เท่ากับข้อใดต่อไปนี้ 1. 8 2. 27 3. 64 4. 125 24. พิจารณาข้อความต่อไปนี้ (ก) ถ้าข้อมูลชุดหนึ่งมีส่วนเบี่ยงเบนควอไทล์เท่ากับ 20 และสัมประสิทธิ์ของส่วนเบี่ยงเบนควอไทล์เท่ากับ แล้วสรุปได้ว่าร้อยละ 50 ของข้อมูลชุดนี้มีค่าระหว่าง 10 กับ 50 (ข) ในการสอบวิชาคณิตศาสตร์ของนักเรียนห้องหนึ่ง มีนักเรียนชาย 20 คน และนักเรียนหญิง 40 คน นักเรียน ชายได้คะแนนสอบคนละ 32 คะแนน ส่วนคะแนนสอบของนักเรียนหญิง มีค่าเฉลี่ยเลขคณิตของคะแนน สอบเท่ากับ 20 คะแนน และความแปรปรวนของคะแนนสอบเท่ากับ 90 สรุปว่าความแปรปรวนของ คะแนนสอบของนักเรียนห้องนี้เท่ากับ 36 คะแนน ข้อใดต่อไปนี้ถูกต้อง 1. (ก) ถูก และ (ข) ถูก 2. (ก) ถูก แต่ (ข) ผิด 3. (ก) ผิด แต่ (ข) ถูก 4. (ก) ผิด และ (ข) ผิด
  • 10.
    10 PAT 1(มี.ค. 57) 25. เงินเดือนของพนักงานจานวน 50 คนของบริษัทแห่งหนึ่งมีการแจกแจงความถี่ ดังนี้ พิจารณาข้อความต่อไปนี้ (ก) ฐานนิยมของเงินเดือนเท่ากับ 39,999.50 บาท (ข) มัธยฐานของเงินเดือนเท่ากับ 37,999.50 บาท ข้อใดต่อไปนี้ถูกต้อง 1. (ก) ถูก และ (ข) ถูก 2. (ก) ถูก แต่ (ข) ผิด 3. (ก) ผิด แต่ (ข) ถูก 4. (ก) ผิด และ (ข) ผิด 26. กาหนดให้ { } เป็นลาดับของจานวนจริง โดยที่มี = 2 และ = + 1 สาหรับ , , , … และกาหนดให้ = … ข้อใดต่อไปนี้ถูกต้อง 1. = ( ) 1 2. = ( ) 1 3. = ( ) 1 4. = ( ) 27. กาหนดให้ และ เป็นเมทริกซ์จัตุรัสมิติเท่ากัน โดยที่ ( ) ≠ 0 และ ( ) ≠ 0 ถ้า ( ) ≠ 0 และ ( ) ≠ 0 แล้ว ( ) ตรงกับข้อใดต่อไปนี้ 1. ( ) 2. ( ) 3. ( ) 4. ( ) เงินเดือน (บาท) จานวนพนักงาน (คน) 10,000 – 19,999 5 20,000 – 29,999 10 30,000 – 49,999 25 50,000 – 59,999 10
  • 11.
    PAT 1 (มี.ค.57) 11 28. กาหนดให้ = เป็นฟังก์ชันจุดประสงค์ เมื่อ และ เป็นจานวนจริงบวกที่สอดคล้องกับ 3 = 2 โดยมีอสมการข้อจากัด ดังนี้ 20 , 105 , 15 , 0 และ 0 ถ้า มีค่ามากที่สุดท่ากับ และ มีค่าน้อยที่สุดเท่ากับ แล้ว ข้อใดต่อไปนี้ถูกต้อง 1. 2 = 11 2. 5 = 11 3. 2 = 4. 5 = 29. ถ้า , , , , เป็นจานวนเต็มบวก โดยที่ 5 = 4 = 3 = 2 = และ เป็น จานวนเต็มบวกที่น้อยที่สุด แล้วค่าของ เท่ากับข้อใดต่อไปนี้ 1. 52 2. 120 3. 262 4. 312 30. ตู้นิรภัยมีรหัสเปิดตู้เป็นจานวน 10 หลัก คือ ABCDEFGHIJ โดยที่ (ก) A, B, , D, E, F, G, H, , J {0, 1, , … , } และ A, B, C, D, F, G, H, I, J เป็นจานวนที่แตกต่างกันทั้งหมด (ข) A, B, C, D เป็นจานวนคี่ที่เรียงติดกันและ A > B > C > D (ค) E, F, G เป็นจานวนคู่ที่เรียงติดกันและ E > F > G (ง) H > I > J และ H + I + J = 15 ค่าของ C + F + I เท่ากับข้อใดต่อไปนี้ 1. 10 2. 13 3. 15 4. 17
  • 12.
    12 PAT 1(มี.ค. 57) ตอนที่ 2: แบบอัตนัย ระบายคาตอบที่เป็นตัวเลข จานวน 15 ข้อ (ข้อ 31 – 45) ข้อละ 8 คะแนน 31. ถ้า เป็นจานวนจริงที่มากที่สุดที่เป็นคาตอบของสมการ √1 √ = 1 แล้วค่าของ | | เท่ากับเท่าใด 32. กาหนดให้ เป็นเซตของจานวนเชิงซ้อนทั้งหมดที่สอดคล้องกับสมการ | | ( ) = 0 และให้ = { | | | } ผลบวกของสมาชิกทั้งหมดในเซต เท่ากับเท่าใด 33. กาหนดให้ ABC เป็นรูปสามเหลี่ยมใดๆ โดยที่มีความยาวของด้านตรงข้ามมุม A มุม B และมุม C เท่ากับ หน่วย หน่วย และ หน่วย ตามลาดับ ถ้ามุม A มีขนาดมากกว่า 90° มุม B มีขนาด 45° และ √ = (√ 1) แล้ว (A B ) B เท่ากับเท่าใด
  • 13.
    PAT 1 (มี.ค.57) 13 34. กาหนดให้ แทนเซตคาตอบของสมการ ( ( ) ) = และให้ = { | } ผลบวกของสมาชิกทั้งหมดในเซต เท่ากับเท่าใด 35. ให้ แทนเซตคาตอบของจานวนจริง [0, ) ทั้งหมดที่สอดคล้องกับสมการ ( ) ( ) = 1 จานวนสมาชิกของเซต เท่ากับเท่าใด 36. กาหนดให้ = 0 โดยที่ 0 < < ถ้า = และ = แล้วค่าของ เท่ากับเท่าใด
  • 14.
    14 PAT 1(มี.ค. 57) 37. กาหนดให้ = n k 1  เมื่อ 1, , , … ค่าของ n lim ( ) √ เท่ากับเท่าใด 38. กาหนดให้ ( ) = เมื่อ และ เป็นจานวนจริง ถ้า (1) = 2 และ ( )(0) = 10 แล้วค่าของ 2 1  ( ) เท่ากับเท่าใด 39. สาหรับจานวนเต็มบวก ใดๆ ให้ ( ) แทนจานวนคู่อันดับ ( , ) ทั้งหมดที่สอดคล้องกับเงื่อนไขต่อไปนี้ (1) และ เป็นจานวนเต็มบวก (2) (0, 1] (3) (1, ] (4) ( , ] ค่าของ ที่ทาให้ ( ) = 164 เท่ากับเท่าใด
  • 15.
    PAT 1 (มี.ค.57) 15 40. ข้อมูลชุดหนึ่งเรียงจากน้อยไปหามาก ดังนี้ , 3, 5, 7, ถ้าข้อมูลชุดนี้มีค่าเฉลี่ยเลขคณิตเท่ากับ 7 และ ส่วนเบี่ยงเบนมาตรฐานเท่ากับ 2√10 แล้วค่าของ 2 + เท่ากับเท่าใด 41. คะแนนสอบวิชาคณิตศาสตร์และวิชาภาษาอังกฤษของนักเรียนกลุ่มหนึ่งมีการแจกแจงปกติ ค่าเฉลี่ยเลขคณิตและ ความแปรปรวนของคะแนนแต่ละวิชามีดังนี้ ถ้านักเรียนคนหนึ่งในกลุ่มนี้สอบทั้งสองวิชาได้คะแนนเท่ากัน พบว่าคะแนนสอบวิชาคณิตศาสตร์ของเขาเป็นตาแหน่ง เปอร์เซ็นไทล์ที่ 88.49 คะแนนสอบวิชาภาษาอังกฤษเป็นตาแหน่งเปอร์เซ็นไทล์เท่ากับเท่าใด เมื่อกาหนดพื้นที่ใต้เส้นโค้งปกติ ระหว่าง 0 ถึง ดังตารางต่อไปนี้ 42. ให้ แทนเซตของจานวนจริง ถ้า : → เป็นฟังก์ชันซึ่ง ( ) = 3 + 6 สาหรับทุกจานวนจริง และ ความชันของเส้นสัมผัสโค้ง = ( ) ณ จุด (2, 22) เท่ากับ 20 แล้วค่าของ 4 lim x ( ) เท่ากับเท่าใด วิชา ค่าเฉลี่ยเลขคณิต (คะแนน) ความแปรปรวน (คะแนน) วิชาคณิตศาสตร์ 63 25 วิชาภาษาอังกฤษ 72 9 0.9 1.0 1.1 1.2 1.3 พื้นที่ 0.3159 0.3413 0.3643 0.3849 0.4032
  • 16.
    16 PAT 1(มี.ค. 57) 43. กาหนดให้ ( ) = และ ( ) = เมื่อ และ เป็นจานวนจริง ถ้า ( ) = 0 และ หาร ( ) มีเศษเหลือเท่ากับ 5 แล้วค่าของ ( )(1) เท่ากับเท่าใด 44. หนังสือเล่มหนึ่งมี 500 หน้า หน้าแรกมีคาผิด 1 คา เว้นไป 1 หน้า หน้าที่สามมีคาผิด 1 คา เว้นไป 3 หน้า หน้าที่ เจ็ด มีคาผิด 1 คา เว้นไป 5 หน้า เป็นเช่นนี้ต่อๆไป จานวนหน้าที่ไม่มีคาผิดจะเพิ่มขึ้นทีละ 2 หน้า จานวนคาผิดใน หนังสือเล่มนี้เท่ากับเท่าใด 45. ในกล่องใบหนึ่งบรรจุลูกบอลสีขาว ลูกบอลสีแดง และลูกบอลสีเหลือง โดยที่จานวนลูกบอลสีขาวมีจานวนไม่น้อยกว่า จานวนลูกบอลสีแดง แต่ไม่มากกว่าหนึ่งในสามเท่าของจานวนลูกบอลสีเหลือง และผลรวมของจานวนลูกบอลสีขาว และสีแดงไม่น้อยกว่า 76 ลูก อยากทราบว่าผลรวมของจานวนลูกบอลสีขาวและลูกบอลสีเหลืองมีอย่างน้อยกี่ลูก
  • 17.
    PAT 1 (มี.ค.57) 17 เฉลย 1. 3 11. 1 21. 2 31. 4 41. 15.87 2. 3 12. 4 22. 3 32. 5 42. 100 3. 1 13. 1 23. 4 33. 2 43. 721 4. 2 14. 4 24. 2 34. 5 44. 22 5. 3 15. 2 25. 1 35. 3 45. 152 6. 3 16. 4 26. 4 36. 153 7. 1 17. 2 27. 2 37. 3 8. 2 18. 4 28. 1 38. 12 9. 4 19. 3 29. 4 39. 8 10. 3 20. 3 30. 2 40. 21 แนวคิด 1. 3 วาดได้ 4 รูป เอารูปแรก หักด้วย (รูปที่สามกับสี่รวมกัน) จะเหลือ เอารูปที่ห้าที่เพิ่งได้ รวมกับรูปที่สอง จะได้ครบทุกส่วนพอดี ดังนั้น ทุกส่วน = 19 + 18 = 37 2. 3 : จาก < เนื่องจาก > 0 เราสามารถเอา หารตลอด โดยไม่ต้องกลับเครื่องหมายได้ จะได้ < ดังนั้น < สลับข้าง ได้ > ดังนั้น เป็นจริง : การที่ > 0 อาจมาจาก ลบ คูณ ลบ กลายเป็นบวกก็ได้ และถ้า , เป็นลบ เราจะหา √ กับ √ ไม่ได้ ในขณะที่ยังหา √ ได้อยู่ ดังนั้น √ กับ √ √ จะไม่เหมือนกันในกรณีนี้ ดังนั้น เป็นเท็จ แทน ≡ T , ≡ F ในแต่ละตัวเลือก จะได้ข้อ 3 เป็นจริง 1. ( F) (F ) ≡ F F ≡ F 2. ( F ) ( F ) ≡ F … ≡ F 3. ( F) (F ) ≡ ≡ T 4. ( F) ( F) ≡ T F ≡ F 3. 1 ก) แทน ≡ T จะได้ จะได้ ≡ T เท่านั้น ถึงจะ แล้วเป็น T จะได้ , ต้องจริงทั้งคู่ ถึงจะ กันแล้วเป็น T ดังนั้น ข้อ (ก) ถูก ข) ทาทั้งสองฝั่งให้เป็นรูปอย่างง่าย ทั้งสองฝั่ง จัดรูปได้เหมือนกัน จึงสมมูลกัน ดังนั้น ข้อ (ข) ถูก ( ∪ ) = 30 ( ∪ ) = 18 ( ∩ ) = 3 ( ) = 8 30 – (3 + 8) = 19 ( ) ( ) ≡ T T ( ) ≡ T ( ) ( ) ≡ [ ( )] [ ( )] ( ) ( ) ≡ [ ( )] [ ( )] ( ) ( ) ≡ [ ] [ ] ≡ ( ) [ ]
  • 18.
    18 PAT 1(มี.ค. 57) 4. 2 ย้ายข้าง ได้อสมการคือ √ > 0 เปลี่ยนตัวแปร ให้ √ = แล้วจัดรูป อื่นๆที่เหลือให้กลายเป็น จะได้ ดังนั้น อสมการจะกลายเป็น แต่ คือค่ารูท เป็นลบไม่ได้ จะได้ > 2 เท่านั้น แทนค่า กลับไป จะได้ ซึ่งจะเป็นสับเซตของข้อ 2 เท่านั้น 5. 3 เนื่องจาก มี และ ในค่าสัมบูรณ์ และ < วาดเส้นจานวน จะแบ่งเป็น 3 กรณี ดังรูป กรณี (1) < : จะได้ทั้ง และ เป็นลบ ถอดเครื่องหมายค่าสัมบูรณ์ ได้ เนื่องจาก < ดังนั้น ฝั่งซ้ายติดลบ แต่ฝั่งขวาเป็นบวก สมการเป็นเท็จโดยไม่ขึ้นกับค่า → กรณีนี้ไม่มีคาตอบ กรณี (2) < : จะได้ 0 แต่ เป็นลบ ถอดเครื่องหมายค่าสัมบูรณ์ ได้ แต่ = ไม่อยู่ในเงื่อนไข < ดังนั้น กรณีนี้ไม่มีคาตอบ กรณี (3) : จะได้ทั้ง และ 0 ถอดเครื่องหมายค่าสัมบูรณ์ ได้ จะได้สมการเป็นจริงเสมอ ดังนั้น ทุกค่าในกรณีนี้จะทาให้สมการเป็นจริง → ได้คาตอบคือ [ , ∞) 6. 3 หาเรนจ์ ต้องจัดรูปสมการให้เป็น “ = ก้อนของ ” แต่ข้อนี้ เป็นกาลังสอง ต้องจัดในรูป = 0 แล้วใช้สูตร = √ = = > 0 > 0 ( )( ) > 0 3 2 + + √ > 2 > 4 > 0 ( ) > 0 0 3 + + ( ( )) ( ( )) = = = ( ) ( ( )) = = = = (1) (2) (3) ( ) ( ) = = = = = 0 = 0 = ( ) ( ) = ( ) √( ) ( )( ) ( )
  • 19.
    PAT 1 (มี.ค.57) 19 ใน √ ต้อง 0 ดังนั้น ได้ เรนจ์ คือ ( ∞, ] ∪ [ , ∞) ถัดมา ต้องแก้อสมการในตัวเลือก 1. ( )( 1) 0 → ( ∞, ] ∪ [1, ∞) 2. ( )( ) 0 → ( ∞, 5] ∪ [ , ∞) 3. ( )( ) 0 → ( ∞, ] ∪ [ , ∞) 4. ( )( ) 0 → ( ∞, ] ∪ [ , ∞) จะเห็นว่า ข้อ 3 จะคลุม ( ∞, ] ∪ [ , ∞) ได้ ดังนั้น ตอบข้อ 3 7. 1 + I = [ 1 0 1 ] [ 1 0 1 ] [ 1 0 0 1 ] = [ 1 0 0 1 ] [ 0 0 ] = [ 1 0 0 1 ] แต่จาก det( + I) = 0 จะได้ ( 1) = 0 ดังนั้น = 1 ก) + I = [ 1 0 1 ] ( 1) [ 1 0 0 1 ] = [ 0 0 ] → ได้ (0)(–2) – (0)(– ) 0 → (ก) ถูก ข) จากที่เคยทาเรามี + I = [ 1 0 0 1 ] แทน = 1 จะได้ + I = [ 0 0 0 0 ] = 0 ดังนั้น ฝั่งซ้าย det( + I ) = det(0 ) = det( ) = ( 1) det = det และฝั่งขวา det( ) = det ด้วย → (ข) ถูก 8. 2 วาดรูปเส้นตรง L ก่อน จะเห็นว่าถ้าแทน = 0 จะได้ = และถ้าแทน = 0 จะได้ = ดังนั้น L เป็นเส้นตรงที่ตัดแกน ที่ และตัดแกน ที่ เนื่องจาก , > 0 จะวาดได้ดังรูป วาด กับ ตามข้อมูลที่โจทย์ให้ จะได้ดังรูป = ระยะจากจุด (0,0) ถึงเส้นตรง = 1 (จัดรูปได้เป็น = 0) = | | √ → เนื่องจาก , > 0 จะถอดค่าสัมบูรณ์ได้ = √ จะเห็นว่า ∆EOD ~ ∆ABO เพราะมีมุมฉากเท่ากัน และ OÊD = BÂO (เพราะต่างก็ บวกกับ ÊA ได้ 90°) ดังนั้น = = จาก OA = , OB = พีทากอรัสจะได้ AB = √ และจาก EO = = √ จะได้ OD = × BO = และ DE = × OA = ดังนั้น มี ศก ( , ) และ = √ → สมการคือ ( ) ( ) ( √ ) จัดรูป คูณตลอดด้วย จะได้ ( )( ) ( ) = 0 ( ) ( )( ) 0 1 0 1 0 ( )( ) 0 4 4 + + A B O D E ( ) ( ) = ( ) ( ) = ( ) ( ) ( ) = ( ) = ( ) = 0
  • 20.
    20 PAT 1(มี.ค. 57) 9. 4 จัดรูปไฮเพอร์โบลา ได้เป็น ( 1) = 1 จะได้เส้นกากับคือ ( 1) 0 …(1) แก้ระบบสมการ กับ = …( ) เพื่อหาจุดตัด → แทน = 2 จะได้ แทนใน (2) จะได้ = , → จุดตัดคือ ( 1, 2) , ( , ) จะได้จุดกึ่งกลางจุดตัด คือ ( , ) = ( , ) = โฟกัสของพาราโบลา จากไฮเพอร์โบลา ( 1) = 1 เป็นแนวนอน มี ศก ที่ (1, 0) ดังนั้น เส้นตรงที่ผ่านจุดยอดทั้งสอง จะผ่าน (1, 0) ในแนวนอนด้วย จะได้ ไดเรกตริกซ์ ของพาราโบลา คือ แกน นั่นเอง ซึ่งจะวาดพาราโบลาได้ดังรูป จุดยอด V จะอยู่ตรงกลางระหว่าง F และเส้นไดเรกตริกซ์ = ( , ) = ( , ) และ = ระยะจาก V ถึง F = แทน ( , ) และ ใน พาราโบลาคว่า จะได้ 10. 3 ก. จะสอดคล้องกับสมบัติของวงรี ที่มี (0, 2) และ (2, 2) เป็นจุดโฟกัส และมีแกนเอกยาว 2√ โฟกัส เรียงตามแนวนอน จะได้เป็นวงรีแนวนอน โดยจุดศูนย์กลาง ( , ) = ( , ) = (1, 2) ระยะโฟกัส = 2 – 1 = 1 และ = √ = √ ดังนั้น = √ = √ 1 = 2 จะได้วงรี คือ ( ) ( ) 1 → ข. วาดคร่าวๆได้ดังรูป จะเห็นว่า จุดบนพาราโบลา ที่ใกล้เส้นตรงมากสุด คือจุด A ซึ่งจะมีสมบัติว่า ความชันเส้นสัมผัส ณ จุด A ต้องเท่ากับความชันเส้นตรง ความชันของพาราโบลาคือ = 2 จะได้ความชัน ณ จุด (1, 1) คือ 2(1) = 2 และ เส้นตรง = 2 + 4 จะมีความชัน → ข. ถูก 11. 1 ก. ฝั่งขวา ( 1) ( ) = 0 ( 1 )( 1 ) = 0 ( 1)( 1) = 0 = 1 , ( ) = ( ) ( ) = 1 = 1 1 = 0 F( , ) ไดเรกตริกซ์ X Y (1,0) ( ) √ + ( ) = 1 = 1 0 0 = 20 0 0 → ก. ผิด = = A B C = = ( ) = = (1 ) = (1 (1 )) = ( ) = = ( ) = 1 → ก. ถูก
  • 21.
    PAT 1 (มี.ค.57) 21 ข. 12. 4 เราจะเปลี่ยน arccos ให้เป็น arccot แล้วค่อยกระจาย cot เข้าไปด้วยสูตร ( ) = เนื่องจาก ตัวเลขหลัง arc เป็นบวก จึงใช้สามเหลี่ยมได้โดยไม่ต้องระวังเรื่อง Quadrant ดังนั้น ( √ √ √ ) = ( √ 1 √ √ √ ) = ( 1 √ √ √ ) ( √ ) ( 1 √ √ √ ) ( √ ) cot กับ arccot จะตัดกันเหลือ = 1 √ √ √ √ 1 √ √ √ √ = ( √ )(√ ) √ √ √ √ √ (√ )(√ √ ) √ √ = √ √ √ √ √ √ = √ = √ 13. 1 ก. จากสมบัติในเรื่องปริมาตรของทรงสี่เหลี่ยมหน้าขนาน จะได้ ̅ ( ̅ ̅) = ̅ (̅ ̅) = ̅ (̅ ̅) ̅ (̅ ̅) = ̅ ( ̅ ̅) = ̅ (̅ ̅) และมีค่าเป็นลบของประโยคบน → ก. ถูก ข. จะได้ |̅ ̅| = | ̅ ̅| ใช้สูตรได้เป็น |̅| | ̅| ̅ ̅ = | ̅| |̅| ̅ ̅ แต่ |̅| = |̅| → ตัดตัวที่เท่ากันได้ เหลือ ̅ ̅ = ̅ ̅ แต่ ̅ ⊥ ̅ จะได้ ̅ ̅ = 0 ดังนั้น ̅ ̅ = 0 ด้วย จะได้ ̅ ⊥ ̅ (ถ้า | ̅| , |̅| ≠ 0) → ข. ถูก 14. 4 ใช้สูตรกาลังสามสมบูรณ์ จะได้ (1 ) = 1 = 1 = i จะได้ ฝั่งซ้าย คือ ( ) ( ) = ( ) ( )i เทียบกับฝั่งขวา จะได้ …(1) และ …( ) (2) – (1): 2 → = 2 แทนใน (1) ได้ = = → = 2 + i = ( )( 1) = ( )( 1) ( ) = ( 1)( 1) = ( 1) = ( (1 ) 1) = ( 1) = ( ) → ข. ถูก = √√ √ = 1 √ √ √ √ → ชิด ฉาก = √ √ ดังนั้น ( √ ) = ชิด ข้าม = √ = √ ดังนั้น √ = √ = √( √ ) (1 √ ) = √1 (1 √ ) = √ √ = √ √ √ √ 1 + √ 2√ √ √ → ชิด ฉาก = √ √ ดังนั้น ( √ √ ) = ชิด ข้าม = √ √ √ ดังนั้น √ √ = √ √ √
  • 22.
    22 PAT 1(มี.ค. 57) ก. i = 2i ดังนั้น ฝั่งซ้าย = Im( 2i ) = 2 , ฝั่งขวา = ( ) = → ก. ผิด ข. คูณไขว้ได้ 7 = ( ) = ( ) ( ) = ( ) ( )( ) = ( )( ) เข้าสูตรผลต่างกาลังสอง ได้ ( ) → ข. ผิด 15. 2 ให้มีคนทั้งหมด คน จะได้จานวนวิธีเลือกสองคน = ( ) , จานวนวิธีเลือก ชายสองคน = ( ) ดังนั้น ( ) ( ) = → = ( ) → 0 ( 1) แยก 240 เป็นสองตัวติดกันคูณกัน ได้ 1 1 → 1 → มี ญ = 16 – 6 = 10 คน เลือก 5 คน เป็นชายไม่น้อยกว่า 3 คือ เป็น ชาย 3 หญิง 2 หรือ ชาย 4 หญิง 1 หรือ ชาย 5 ญ 0 จะได้ความน่าจะเป็น = ( )( ) ( )( ) ( )( ) ( ) = = = = 16. 4 จะใช้วิธีนับแบบตรงข้าม : พิจารณาเฉพาะในกลุ่มเลขที่ “ไม่มี 7” ในหลักใดเลย จะแบ่งเป็น มี 5 กับ ไม่มี 5 ดังนั้น จานวนเลขที่ไม่มี 7 = จานวนเลขที่ไม่มี 7 และมี 5 + จานวนเลขที่ไม่มี 7 และไม่มี 5 จานวนเลขที่ไม่มี 7 → หลักแรกห้ามเป็น 0, 7 จะเหลือ 8 แบบ และสองหลักที่เหลือห้ามเป็น 7 จะเหลือ 9 แบบ ได้ = 8 × 9 × 9 = 648 แบบ ไม่มี 7 และไม่มี 5 → หลักแรกห้ามเป็น 0, 5, 7 จะเหลือ 7 แบบ และสองหลักที่เหลือห้ามเป็น 5 กับ 7 จะเหลือ 8 แบบ ได้ = 7 × 8 × 8 = 448 แบบ ดังนั้น จานวนเลขที่ไม่มี 7 และมี 5 = 648 – 448 = 200 17. 2 ต่อเนื่อง แสดงว่าบริเวณรอยต่อ คือ = 2 และ = 5 ต้องได้ค่า ( ) เท่ากัน ที่ = 2 : ( ) = √ 1 → = 3 …(1) ที่ = 5 : √ 1 = ( ) → = 2 …( ) หา จาก (2) – 2(1) ได้ 2 2( 3) = 8 ก็ได้ หรือถ้าจะทาตรงๆ (2) – (1) จะได้ 3 → = แทนใน (1) ได้ = = จะได้ = ( ) = = 8 18. 4 เราต้องดูว่า เป็นลบเป็นบวกในช่วงไหนบ้าง จะได้กาจัดเครื่องหมายค่าสัมบูรณ์ตามสมบัติ | | = { , 0 , 0 ได้ แยกตัวประกอบได้ = ( 1)( ) ซึ่งเขียนเส้นจานวนได้ดังรูป อินทิเกรต ตั้งแต่ 2 ถึง 2 ดังนั้น จะผ่านการเปลี่ยนเครื่องหมาย 1 ครั้ง ที่ = 1 2 ถึง 1 เป็นบวก → จะได้ | | = 1 ถึง 2 เป็นลบ → จะได้ | | = ( ) เราจะแบ่งอินทิเกรตเป็น 2 ช่วง เพื่อกาจัดเครื่องหมายค่าสัมบูรณ์ ดังนี้ 1 6 + +
  • 23.
    PAT 1 (มี.ค.57) 23 2 2  | | = 1 2  + 2 1  ( ) = 1 2  2 1  = ( | 1 ) ( | 1 ) = (( ) ( 1 )) (( 1 ) ( )) = 1 1 = 1 1 = ดังนั้น = 101 + 3 = 104 19. 3 ก. ฟังก์ชันเพิ่ม ต้องดูจาก ( ) เป็นบวก จะเห็นว่า ( 1) , ( 1) และ ( ) เป็นบวกได้เท่านั้น ไม่มีผลกับเครื่องหมาย เป็นบวกหรือศูนย์ได้เท่านั้น ดังนั้นจะมี 0 อยู่บนเส้นจานวน แต่ไม่มีการกลับเครื่องหมาย และ + 2 พล็อตเส้นจานวนได้ตามปกติ และ 12 ที่คูณอยู่ จะทาให้ช่วงขวาสุด เริ่มด้วย – ดังรูป จะเห็นว่า ช่วง (0, 3) คลุมช่วง (2, 3) ที่ ( ) เป็นลบด้วย → ก. ผิด ข. ค่าสูงสุดสัมพัทธ์ จะเกิดที่ ( ) = 0 โดย ( ) รอบๆ ต้องเปลี่ยนจาก → 0 → ได้แก่ = 2 นั่นเอง ดังนั้น ค่าสูงสุดสัมฟัทธ์ = ( ) = ( ) ( ) ตัด ทั้งเศษและส่วน ได้ = = → ข. ถูก 20. 3 ต้องทา ให้อยู่ในรูปเศษส่วนก่อน ค่อยหาลิมิตของลาดับ คูณคอนจูเกต จะได้ = (√ 1 √ ) √ √ √ √ = ( ) ( ) √ √ = √ √ หา n lim ในรูปเศษส่วน เราสามารถตัดตัวดีกรีน้อยที่บวกลบอยู่ได้ → เหลือ √ √ = = = 8 ดังนั้น n lim √ = √ = 2 ( ) = ( )( ) ( )( ) ( ) = ( )( ) ( )( ) ( ) = [( ) ( )( )] ( ) = [ ] ( ) = [ ] ( ) = [ ] ( ) = ( )( ) ( ) = ( )( )( )( ) ( ) = ( )( )( )( ) ( ) = ( )(( ) )( )(( ) ) ( ) 2 0 + + 2 + 0 2
  • 24.
    24 PAT 1(มี.ค. 57) 21. 2 สมการจานวนเต็ม ต้องจัดฝั่งหนึ่ง เป็นตัวเลข และแยกตัวประกอบอีกฝั่ง → = 21 เติม 4 ทั้งสองฝั่ง เพื่อให้ฝั่งซ้ายแยกตัวประกอบได้ จะเห็นว่า 17 แยกเป็นจานวนเต็ม 2 จานวนคูณกันได้แค่ (1)(17) , (–1)(–17) , (17)(1) , (–17)(–1) ทั้งหมด 4 แบบ และแต่ละแบบจับเท่ากับ ( )( 1) จะได้ค่า กับ ทั้งหมด 4 ชุด เนื่องจากข้อนี้ไม่ได้ถามค่า , แต่ถามจานวน ( , ) ดังนั้น จะได้คาตอบคือ 4 22. 3 ทานายเกี่ยวกับเวลา และมีข้อมูล 5 ชุด เราจะให้ตรงกลางเป็น 0 ให้สมการการทานายคือ ̂ = (โจทย์ใช้ตัวแปร ไปแล้ว จึงต้องเปลี่ยนไปใช้ตัวแปรชื่ออื่น) ดังนั้น และในการทานายเกี่ยวกับเวลา จะได้ ∑ = 0 เสมอ (เช่น ( ) ( 1) 0 1 = 0) จะเหลือระบบสมการคือ ∑ จะหาไม่ได้ เพราะไม่รู้ แต่ตัวอื่นใน (2) จะหาได้เพราะ จะคูณกับ 0 แล้วกลายเป็น 0 จะได้ แทนใน (2) จะได้ 13 = (10) → = 1.3 จากที่โจทย์ให้ พ.ศ. 2557 จะมี = 2557 – 2552 = 5 และ 1,028,000 = 10.28 แสนคน ดังนั้น 10.28 = + = + 1.3(5) จะได้ = 10.28 – 1.3(5) = 10.28 – 6.5 = 3.78 แทน = 3.78 กลับไปใน (1) โดย = 5 จะได้ ∑ = ( ) = 18.9 ดังนั้น = 18.9 – (1.2 + 2.6 + 5.4 + 6.3) = 18.9 – 15.5 = 3.4 แสนคน 23. 4 24. 2 ก. สบบ.ควอไทล์ = = 20 ดังนั้น = 40 …(1) และ สปส.สบบ.ควอไทล์ = = แทนค่าจาก (1) จะได้ = ดังนั้น 0 …( ) ( ) ( ) จะได้ = 50 แทนใน (2) จะได้ = 10 = 21 – 4 ( 1) ( 1) = 17 ( )( 1) = 17 2 1 0 1 2 1.2 2.6 5.4 6.3 ∑ = ( )(1 ) ( 1)( ) (0)( ) (1)( ) ( )( ) = ( 2.4) + ( 2.6) + 0 + 5.4 + 12.6 = 13 ∑ = ( ) ( 1) 0 1 = 4 + 1 + 0 + 1 + 4 = 10 ∑ = + ∑ ∑ = ∑ + ∑ ∑ = …(1) ∑ = ∑ …( ) 3( ) = ( ) 3 = = = 5 = 5 = = 125
  • 25.
    PAT 1 (มี.ค.57) 25 ดังนั้น มีข้อมูลระหว่าง (=10) กับ (=50) อยู่ 2 ควอเตอร์ ซึ่งคิดเป็น 50% → ก. ถูก ข. ผลรวมคะแนนชาย = (20)(32) = 640 , ผลรวมคะแนนหญิง = (40)(20) = 800 มีคนทั้งหมด 20 + 40 = 60 คน ดังนั้น ̅รวม = = 24 ดังนั้น ความแปรปรวนรวม = ∑( ) …( ) เราจะแยกหา ∑( ) ของกลุ่ม ชาย กับ หญิง แล้วค่อยเอามาบวกกัน กลุ่มชาย : ทั้ง 20 คน ได้ 32 หมดทุกคน → ∑ ( )ช = 0( ) = 20(64) = 1280 กลุ่มหญิง : ความแปรปรวนหญิง = 90 ดังนั้น ∑ ( ̅ญ)ญ ญ = ∑ ( )ญ 0 → ∑ ( 0)ญ = 3600 เนื่องจากเราต้องหา ∑ ( )ญ มารวมกับของกลุ่มชาย เพื่อแทนใน ( ) เราจะกระจาย ∑ ( 0)ญ และจัด รูปให้เป็นตัวที่เราต้องการ ดังนี้ ∑ญ = ผลรวมคะแนนกลุ่มหญิง = 800 และ ∑ ( 0 )ญ = ∑ ( 0)( 0)ญ = ∑ ( )( )ญ = 40(4)(44) (เพราะมี ญ 40 คน) ดังนั้น ∑ ( )ญ = 00 ( 00) 0( )( ) = 00 00 7040 = 4240 รวมกับ 1280 ของกลุ่มชาย แทนใน ( ) จะได้ รวม = = → ข. ผิด หมายเหตุ: จะใช้สูตร รวม = ช( ช ( ̅ช ̅รวม) ) ญ( ญ ( ̅ญ ̅รวม) ) ช ญ ก็ได้ กลุ่มชาย ทุกคนเท่ากัน ดังนั้น ช = 0 จะได้ รวม = ( ( ) ) ( ( ) ) = = 92 25. 1 ก. ความกว้างชั้นไม่เท่ากัน ต้องใช้ จานวนคน ความกว้างชั้น เป็นตัววัดระดับความหนาแน่น ว่าชั้นไหนได้รับความนิยมสูงสุด ชั้น 3 หนาแน่นสุด ดังนั้น ฐานนิยมอยู่ชั้น 3 และจะได้ = 0.00125 – 0.0010 = 0.00025 = 0.00125 – 0.0010 = 0.00025 ข. มัธยฐาน อยู่ตาแหน่งที่ = 25 สร้างช่องความถี่สะสม ( ) → เกิน 25 (= 40) ที่ชั้นที่ 3 ดังนั้น มัธยฐานอยู่ชั้นที่ 3 มัธยฐาน = ( ตาแหน่ง ) = 29999.5 + ( ) ( ) = 29999.5 + ( ) ( 0000) → ข. ถูก ∑ ( ( 0) 0 )ญ = 3600 ∑ ( ( ) )ญ = 3600 ∑ ( )ญ ∑ 0ญ + ∑ญ ∑ ( )ญ = 3600 8∑ญ ∑ ( 0 )ญ เติมทั้ง 2 ฝั่ง ให้ฝั่งซ้ายจัดรูปได้ตัวที่เราต้องการ เงินเดือน (บาท) จานวนพนักงาน (คน) 10,000 – 19,999 5 5 20,000 – 29,999 10 15 30,000 – 49,999 25 40 50,000 – 59,999 10 50 เงิน คน ขอบล่าง ขอบบน กว้าง ความนิยม 10,000 – 19,999 5 9,999.5 19,999.5 10,000 5/10,000 = 0.0005 20,000 – 29,999 10 19,999.5 29,999.5 10,000 10/10,000 = 0.0010 30,000 – 49,999 25 29,999.5 49,999.5 20,000 25/20,000 = 0.00125 50,000 – 59,999 10 49,999.5 59,999.5 10,000 10/10,000 = 0.0010 ลบกัน = ลบกัน = ฐานนิยม= + ( ) = 29999.5 + ( ) ( 0000) = 29999.5 + ( ) ( 0000) → ก. ถูก
  • 26.
    26 PAT 1(มี.ค. 57) 26. 4 จะได้ จะเห็นว่า จะได้ = ∑ = ∑ ( ) = ∑ ∑ …( ) โดยที่ ∑ = 1 … = ( )( ) = และ ∑ 1 = (1)( ) = แทนใน ( ) จะได้ = ( ) → คูณ 4 ตลอด ได้ = ( ) → ตอบข้อ 4 27. 2 ต้องจัดรูป ( ) ให้มี กับ ในลักษณะคล้ายๆตัวเลือกทั้ง 4 โดยจะต้องทาให้ดึงตัวร่วมได้ โดยจะใช้สมบัติว่า = = และ = = , = = ดังนี้ เมทริกซ์สลับที่การบวกได้ → จะได้ตรงกันกับข้อ 2 28. 1 หาจุดตัดแกน และวาดกราฟคร่าวๆ จะได้ดังรูป หาจุดมุม → แก้ (1) กับ (2) จะได้จุดมุมคือ (6,7) , (0,5) , (0,10) , (3,0) , (15,0) จาก 3 = 2 → = ดังนั้น = ( ) = ( ) → เอาแต่ละจุดไปแทน แล้วดูว่ามากสุด, น้อยสุด ได้เท่าไหร่ เนื่องจาก เป็นบวก ดังนั้น มากสุด = 11 , น้อยสุด = 2 จะได้ = = → คูณไขว้จะได้ 2 = 11 → ตอบ 1 = 3 + 1 = 3(2) + 1 = 3 + 1 = 3(3(2) + 1) + 1 = 2( ) + 3 + 1 = 3 + 1 = 3(2( ) + 3 + 1) + 1 = 2( ) + + 3 + 1 = 3 + 1 = 3(2( ) + + 3 + 1) + 1 = 2( ) + + + 3 + 1 = 2( ) + + … 1 = 2( ) + ( )( ) = 2( ) + = ( ) อนุกรมเรขา = ( ) = ( ) (สมบัติของ ) = ( ( ) ( ) ) (สมบัติของอินเวอร์ส) = ( ) (เมทริกซ์เปลี่ยนกลุ่มการคูณได้) = ( ( )) (ดึงตัวร่วม ทางซ้าย) = ( ( ) ) (ดึงตัวร่วม ทางขวา) = ( ) (กระจายอินเวอร์ส ต้องสลับตาแหน่ง) (6,7) → = (4+7) = 11 (0,5) → = (0+5) = 5 (0,10) → = (0+10) = 10 (3,0) → = (2+0) = 2 (15,0) → = (10+0) = 10 +2 = 20 ..(1) 7 +9 = 105 ..(2) 5 +3 = 15 ..(3) 10 11 กว่าๆ 5 3 15 20 7(1) – (2) : = ( ) ( ) = = 7 แทนใน (1) : = 20 – 2(7) = 6
  • 27.
    PAT 1 (มี.ค.57) 27 29. 4 จะได้ว่า ต้องหารด้วย 5, 4, 3, 2 ลงตัว → น้อยสุด = ค.ร.น. ของ 5, 4, 3, 2 = 60 แทนค่า = 60 ใน 5 = 4 = 3 = 2 = จะได้ = 12 , = 15 , = 20 , = 30 เนื่องจาก สปส ในสมการเป็นบวกหมด ดังนั้น ถ้า มากกว่านี้จะทาให้ได้ , , , ที่มากกว่านี้ซึ่งจะทาให้ มากยิ่งขึ้น ดังนั้น = 60 จะได้ผลบวกดังกล่าวน้อยที่สุด ดังนั้น = 12 + 4(15) + 3(20) + 4(30) + 60 = 312 30. 2 A, B, C, D จะใช้เลขคี่ไป 4 ตัว และ E, F, G จะใช้เลขคู่ไป 3 ตัว ดังนั้น จะเหลือ คี่ 1 ตัว กับ คู่ 2 ตัว ให้ H, I, J เนื่องจาก A, B, C, D ต้องเรียงติดกันด้วย → เลขคี่ที่เหลือให้ H, I, J จะเป็นได้แค่ 1 หรือ 9 เท่านั้น E, F, G ต้องเรียงติดกันด้วย → เลขคู่ที่เหลือให้ H, I, J จะเป็นได้แค่ 0, 2 หรือ 6, 8 หรือ 0, 8 เท่านั้น จับกลุ่ม H, I, J ที่บวกกันได้ 15 จะมีแค่ 1 + 6 + 8 เท่านั้น จะได้ (H, I, J) = (8, 6, 1) และ (A, B, C, D) = (9, 7, 5, 3) และ (E, F, G) = (4, 2, 0) ดังนั้น C + F + I = 5 + 2 + 6 = 13 31. 4 ตรวจคาตอบ = : √1 √ = = 1 → จริง = 5 : √1 1 √ = 2 3 = 1 → ไม่จริง แทนในที่โจทย์ถาม จะได้ = | | = | | = 4 32. 5 จากสมบัติของ ̅ จะได้ ̅ = | | ถ้าแทน | | ในสมการด้วย ̅ จะดึง เป็นตัวร่วมได้ จะได้ = 0 หรือ จะได้คาตอบสองค่า คือ = 0 , i จะได้ + i = i , 4 ดังนั้น | + i| = 1 , 4 ดังนั้น ผลบวกสมาชิกใน = 1 + 4 = 5 √1 = 1 + √ 1 = 1 + 2√ + 4 2 = 2√ 2 = √ 4 4 + = = 0 ( 1)( ) = 0 = , 5 ̅ ( ) = 0 ( ̅ ) = 0 ̅ 28 + i + = 0 ( ) ( ) = 0 3 3 i 28 + i + 4 + 4 i = 0 (7 28) + ( + 1)i = 0 = 4 และ = 1 ให้ = + i จะได้ ̅ = i
  • 28.
    28 PAT 1(มี.ค. 57) 33. 2 จาก A + B + C = 180° และ B = 45° จะเหลือ A + C = 135° ดังนั้น A = 135° …( ) จาก √ = (√ 1) จะได้ = √ √ …(1) แต่จากกฎของ sin จะได้ = = ( ) = = √ √ ดึงตัวร่วม ให้ sin C มาตัดกัน จะได้ = √ ( ) = √ ( ) …( ) ใช้ เป็นตัวเชื่อม (1) กับ (2) จะได้ √ √ = √ ( ) → + 1 = √ ดังนั้น cot C = √ 1 = √ √ = √ √ → ดึง √ จากเศษ จะได้ = √ (√ ) √ = √ เนื่องจาก 0 < C < 180° และ cot C = √ จะได้ C = 30° แทนใน ( ) จะได้ A = 105° แทนในที่โจทย์ถาม จะได้ = 0 0 = = 2 34. 5 เปลี่ยนตัวแปรก่อน ให้ + = จะได้ 2 + 2 = 2 → สมการกลายเป็น ( ) = + และ = = 10 จะได้ ตรวจคาตอบ จะได้ว่า ทั้ง 2 และ 0 ทาให้หลัง log เป็นบวก และได้สมการที่เป็นจริง แทนกลับไปหา จะได้ ดังนั้น { , 1, 0, 1} → ซ้าคิดเป็นสมาชิกแค่ตัวเดียว → { , 1, 0} → ตอบ 4 + 1 + 0 = 5 35. 3 แยกตัวประกอบด้วยทฤษฎีเศษ แทน = ±1 , จะเห็นว่า = 1 จะได้ 1 = 0 หารสังเคราะห์ จะแยกได้ แทนค่า กลับไปเป็น [0, ) จะได้ ดังนั้น มีสมาชิก 3 ตัว ( ) = + 10 = = = 10 10 = 0 ( )( 1) = 0 = 2 , 0 = 2 = 0 ( )( 1) = 0 = 2 , 1 = 0 ( )( 1) = 0 = 0 , 1 1 2 5 4 1 2 3 1 2 3 1 0 1 = 0 ( ) ( ) ( ) 1 = 0 5 + 1 = 0 เปลี่ยนตัวแปร ให้ = ( 1)( 1) = 0 ( 1)( 1)( 1) = 0 = 1 , = 1 = 0 = 0 , = = 1 =
  • 29.
    PAT 1 (มี.ค.57) 29 36. 153 เนื่องจาก 0 < < ดังนั้น กับ จะไม่มีทางเป็น 0 ได้ ดังนั้น 1 = 0 จะได้ = → = 60° ดังนั้น = = √ ( √ ) ( ) = √ = = ( √ ) ( √ ) ( ) ( ) = √ = √ ดังนั้น + = ( √ ) (√ ) = 144 + 9 = 153 37. 3 จะได้ = … → เป็นอนุกรมเรขาดัดแปลง ต้องใช้เอาตัวมันเองมาหักกับตัวมันเอง ดังนี้ จะได้ ( ) = ( ( )) = ( ) = 6 + 3 ดังนั้น n lim ( ) √ = n lim √ = n lim √ = n lim 3 = 3 38. 12 จะได้ (1) = 1 และจาก (1) = 2 จะได้ 1 + + → 1 …( ) จะได้ ( )(0) = ( (0)) = (0 0 ) = ( ) = = ( ) = ( 1 ) + = 2 และจาก ( )(0) = 10 จะได้ 2 10 → = 5 แทนใน ( ) จะได้ = 4 ดังนั้น 2 1  ( ) = 2 1  = | 1 = ( 10) ( ) = 12 = 0 4 = 0 2 = 0 ( ) = 0 ( (1 )) = 0 ( ) = 0 ( ) = 0 ( )( 1) = 0 = … + …(1) 2 = 1 + + + … …( ) (2) – (1) : = 1 + + + … = ( )( ) = คูณ 2 ตลอด และเลื่อนให้ ตัวส่วนตรงกับสมการแรก อนุกรมเรขา = ( )
  • 30.
    30 PAT 1(มี.ค. 57) 39. 8 จาก (2) : (0, 1] จะได้ 0 < 1 คูณ ตลอด ได้ 0 < …(5) จาก (3) : (1, ] จะได้ 1 < คูณ ตลอด ได้ < …(6) จาก (4) : ( , ] จะได้ 2 < คูณ ตลอด ได้ 2 < …(7) จะเห็นว่า ถ้า (6) กับ (7) จริง จะทาให้ (5) จริงเสมออยู่แล้ว เพราะ จาก (7) จะได้ 2 < และ จาก (6) จะได้ < ดังนั้น 2 < แต่ < 2 ดังนั้น < ซึ่งทาให้เงื่อนไข (5) จริงเสมอ ดังนั้น เราทาให้ (6) กับ (7) จริงก็พอ ไม่ต้องสนใจ (5) จาก (6) ค่า จะเป็นได้ตั้งแต่ + 1 , + 2 , , … , ซึ่งมีทั้งหมด = ปลาย ต้น ห่าง + 1 = ( ) 1 = แบบ ดังนั้น แต่ละค่า จะมี ที่สอดคล้องอยู่ แบบ … ( ) จาก (7) ค่า จะเป็นไปได้ตั้งแต่ 1 , , , … , จาก ( ) : ถ้า = 1 จะมี ที่สอดคล้อง = 1 แบบ ถ้า = จะมี ที่สอดคล้อง = แบบ ⋮ ถ้า = จะมี ที่สอดคล้อง = แบบ รวมทุกๆแบบจาก ในทุกๆกรณี จะได้ = ( 1) ( ) … = ( 1 ) = ( 1) โจทย์ต้องการให้จานวนแบบ = 164 ดังนั้น แต่ ต้องเป็นเต็มบวก → = 8 40. 21 จาก ̅ = ∑ จะได้ → 0 …(1) จาก = √ ∑ ̅ จะได้ จาก (1) จะได้ = 20 – แทนใน (2) จะได้ แต่ เรียงอยู่หลัง 7 ดังนั้น > 7 ดังนั้น = 19 ได้ค่าเดียว → แทนใน (1) จะได้ = 1 ดังนั้น 2 + = 2(1) + 19 = 21 จานวนพจน์ = ปลาย ต้น ห่าง + 1 = ( ) + 1 = แทนในสูตร = ( ) ( 1) = 164 = 0 ( 1)( ) = 0 √ = 2√10 = 40 = 5(89) – …( ) ( 0 ) = 362 00 0 = 362 0 1 = 0 ( 1)( 1 ) = 0
  • 31.
    PAT 1 (มี.ค.57) 31 41. 15.87 วิชาคณิตศาสตร์ : จะเลย ไป 38.49% จะวาดได้ดังรูป เปิดตาราง จะได้ = 1.2 วิชาคณิตศาสตร์ มี ̅ = 63 , = √ = 5 แปลงกลับเป็น ด้วยสูตร ̅ = จะได้ 1 → = 6 + 63 = 69 ดังนั้น วิชาภาษาอังกฤษ ได้คะแนน 69 คะแนนด้วย ภาษาอังกฤษ มี ̅ = 72 , = √ = 3 ดังนั้น = = 1 เป็นลบ จะอยู่ทางซ้าย ต้องเปิดตารางที่ = 1 ได้พื้นที่ = 0.3413 แล้วสะท้อนมาทางซ้าย ดังรูป จะเหลือพื้นที่ทางฝั่งซ้าย = 0.5 – 0.3413 = 0.1587 ดังนั้น มีคนได้อังกฤษน้อยกว่านักเรียนคนนี้1 % → คะแนนอังกฤษของเขา = เปอร์เซ็นไทล์ที่ 15.87 42. 100 อินทิเกรต ( ) จะได้ ( ) = …(1) จากความชันที่ = 2 คือ 20 ดังนั้น ( ) = 20 แทนใน (1) จะได้ 3(2) + 3( ) + = 20 แก้สมการ จะได้ = 2 แทนใน (1) จะได้ ( ) = อินทิเกรต ( ) ต่ออีกรอบ ได้ ( ) = …( ) จาก ผ่านจุด (2, 22) จะได้ ( ) = 22 แทนใน (2) จะได้ ( ) ( ) = 22 แก้สมการ จะได้ = 4 แทนใน (2) จะได้ ( ) = ดังนั้น ( ) = ( ) ( ) = 24 + 64 + 8 + 4 = 100 43. 721 จาก ( ) = 0 จะได้ ( ) ( ) = 0 → ÷3 ตลอด แล้วจัดรูปได้ 10 0 …(1) จากเศษ 5 ใช้ทฤษฎีเศษจะได้ ( ) = 5 ดังนั้น ( ) ( ) = 5 ย้าย 5 มาลบ , ÷2 ตลอด แล้วจัดรูปได้ 0 …( ) (1) (2) : 0 → = 7 แทนใน (2) จะได้ = ( ) = 11 ดังนั้น ( )(1) = ( (1)) = (1 (1 ) 11(1) ) = ( ) = 11( ) ( ) = 704 + 24 – 7 = 721 44. 22 หาสูตรพจน์ทั่วไปของหน้าที่มีคาผิดก่อน โดยคาว่า “เว้นไป หน้า” จะเหมือนกับ “ถัดไป + 1 หน้า” ผิดคาแรกที่หน้าที่ 1 → = 1 = 1 เว้น 1 หน้า = ถัดไป 2 หน้า = หน้าที่ 1 + 2 = 3 → = 1 + 2 = 1 + 2(1) เว้น 3 หน้า = ถัดไป 4 หน้า = หน้าที่ 1 + 2 + 4 = 7 → = 1 + 2 + 4 = 1 + 2(1 + 2) เว้น 5 หน้า = ถัดไป 6 หน้า = หน้าที่ 1 + 2 + 4 + 6 = 13 → = 1 + 2 + 4 + 6 = 1 + 2(1 + 2 + 3) จะได้ = 1 + (1 … 1) = 1 + 2( ( )(( ) ) ) = 1 + ( 1)( ) 4 lim x 0.3849 1 0.3413
  • 32.
    32 PAT 1(มี.ค. 57) แต่หนังสือมีแค่ 500 หน้า เราต้องหา ที่มากที่สุด ที่ 00 แทนสูตร จะได้ 1 + ( 1)( ) 00 → ( 1)( ) จะเห็นว่า 1 กับ เป็นสองจานวนเรียงติดกัน และจาก √ ~ √ 00 = 10√ ~ (10)(2.23) = 22.3 ดังนั้น สองจานวนเรียงติดกันมากสุดที่คูณกันแล้ว จะอยู่แถวๆ 22.3 ลองคูณ (22)(23) จะได้ 0 → เกิน (21)(22) จะได้ → ใช้ได้ ดังนั้น ( 1)( ) คือ (21)(22) จะได้ = 22 ดังนั้น มากสุด ที่ 00 คือ = 22 ดังนั้น จะมีคาผิดได้ 22 คา 45. 152 ให้มีสีขาว แดง เหลือง = W, R, Y ลูก ตามลาดับ จากข้อมูลที่โจทย์ให้ จะได้ W R และ W และ W R โดยโจทย์ถามว่า W Y ? จาก W R จะได้ W – R 0 เอามาบวกกับสมการ W R จะได้ W → W และจาก W จะได้ Y W ( ) 11 ดังนั้น W Y 11 1 และจะเห็นว่า W = 38 , Y = 114 , R = 38 สามารถทาให้ทุกเงื่อนไขในโจทย์เป็นจริงได้ ดังนั้น สีขาวกับสีเหลืองรวมกัน ต้องมีอย่างน้อย 152 ลูก เครดิต ขอบคุณ คุณ สนธยา เสนามนตรี , คุณ พชร อูบุนตู้ สาหรับข้อสอบนะครับ ขอบคุณ คุณ Mean Sattabongkot ที่ช่วยบอกจุดผิดในข้อสอบ ขอบคุณ คุณ Piyapan Sujarittham และ คุณ Terasut Numwong ที่ช่วยตรวจทานและแจ้งจุดผิดในเฉลย ขอบคุณ เฉลยของ คุณ GTP Ping และ คุณ Oui The Tutor ที่ผมใช้ดูเป็นแนวทางในการทาเฉลยด้วย