CHAPTER ONE
INTRODUCTION
1.1

Background to the study
Bolger(2000) defined capacity as the abilities, skills understanding, attitudes,

values, relationships, behaviours, motivations, resources and conditions that enable
individuals, organizations, network/sectors and broader social system to carry out
functions and achieve their development objectives over time. According to Umar
(2004), a number of professional development activities have been created; however,
nearly all these activities and programmes revolve around continuing professional
education. Continuing education plays an important part in professional development.
Training and retraining, staff exchanges, links with similar and related professions, etc
are other activities professionals undertake to develop themselves.
The concept of capacity has been defined as the power of something to perform or
to produce. From the UNDP perspectives, it is the ability of individuals and organizations
or units to perform functions effectively, efficiently, or sustainably. Alternatively, it can
refer to the people, institutions, and practices that enable a country to achieve its
development objectives. Capacity has both human and institutional dimensions with the
following components:
 skilled human resources
 leadership and vision
 viable institutions
 financial and material resources and
 effective work practices, including systems, procedures and appropriate
incentives.
Capacity building according to Ballantyne et. al (2000) is the process by which
individuals,

groups,

organisations,

institutions

and

societies

develop

abilities

(individually and collectively) to perform functions, solve problems, set and achieve
objectives. It involves acquiring skills and knowledge. Capacity building also enables one
to be aware of new possibilities and empowered by gaining new skills upgrading their old
skills. (Mabawonku, 2001)
Special libraries are libraries maintained by individual corporations, associations,
1
government agencies, international organisations or any other groups within the society.
These types of libraries are primarily designed to serve limited number of experts,
scientists, researchers with specialised needs, hence the need for competent hands to man
the affairs of these libraries to make the objective of making information resources
available to achieve the overall goals and objectives of the organisation (Bender, 1998).
Special libraries are special because they vary so widely in their organizational structure,
purpose, function, level of support and size that it is difficult to generalize about them.
Special libraries may include those with collections devoted to materials on a single
subject or related group of subjects (art libraries, business libraries, law and medical
libraries); others may be described by the form of material collected (map libraries and
picture libraries). Many can be described in terms of their parent organizations (museum
libraries and government libraries). Furthermore, special libraries may be either publicly
or privately supported. The most significant characteristic which distinguishes the special
library from other types of libraries, however, is that it is established to obtain and exploit
specialised information for the private advantage of the organisation which provides its
financial support whether the parent organization is a government agency, business or
industrial company or group of companies, a nonprofit organisation, private society or
institution, a research association, or a hospital.
There are other important differences which distinguish the special library from
the academic or public library. Typically, the special library tends to be comparatively
small in the size of its collection, in the space occupied and in the size of staff. At the
same time, its clientele forms a more clearly-defined community in terms of its
objectives, in relation to the parent organization and its products and services. Many
special libraries provide services exclusively to their own organizations and are not open
to the public except through special arrangement. There may be, in fact, situations in
which information or a certain part of the collection is regarded as proprietary or
confidential and accessible only to designated individuals on a need-to-know basis.
Above all, it is the users who are the raison d’etre for the existence of the special library,
all their information needs related to the organization’s mission and development must be
met. Larson (1983).
The following are the services rendered in modern special libraries:

2
 Internet/ database searches and retrieval;
 electronic deliver of documents regardless of the location;
 maintaining library’s catalog on the web;
 inter- library loan;
 reference services either electronically, phone, or at the circulation desk;
 lending of books and journal;
 selective dissemination of information (SDI);
 indexing and abstracting services;
 publishing and alerting services; and
 records management and archival functions.
Special librarians and other library staff need some level of skills and competence to be
able to render these services effectively. Canadian Association of Research Libraries
(2010) identified some skills which librarians in the 21st century must possess which are;
interpersonal skills, leadership and management skills, collection development skills,
information literacy skills, information technology skills, and must embark on research
and contribute to the development of the profession.
The management and staffing of special libraries are more varied and distinct than
that found in other types of libraries. Often the administrator responsible for the library is
not a librarian but a director or officer of a major department or division. In business and
industrial libraries, the director of research and development or the vice presidents of
marketing may be given responsibility for administering the library or information center.
These administrators usually hire library and information staff that supports their own
conceptions of library services. Thus if a research and development (R&D) director
considers library services important, then that person will provide a sufficient number of
well-trained staff members to support the R&D function. Such a library might have a
staff of information professionals supported by technicians and clerks.
The personnel working is special libraries and information centers usually have
more varied backgrounds than those working in other types of libraries. Ideally,
personnel should have both library and subject expertise. The special librarians or
information specialist may have a degree in a subject specialty as well as in library

3
science, and the staff may also include subject and language specialist. This subject
expertise may be so important to companies and businesses that they may prefer a
technician with subject specialization to a professional with a master’s degree in library
or information science. Large libraries often include professional librarians or
information scientist backed up subject specialist, technicians, programmers and clerks.
In some cases, the only staff member in a special library may be a secretary who
has been put in charge of collection of books and magazines. While in some special
libraries, someone who is a librarian or information specialist in name only may
supervise several clerks and technicians. This manager may have a degree in the subject
specialty of the parent’s corporation or institution but may not have any knowledge of
library or information science. Sometimes library services may be outsourced, some
organisations may hire a professional library consultant to set up a library that is then
turned over to lower-paid personnel who are charged with the responsibilities of carrying
out daily operations (Fourier and Dowell, 2002).
1.2

Statement of the problem
Libraries in the twenty first century engage in complex activities .The users most

especially in special libraries have diverse information needs in different formats.
Application of information and communication technology into library activities is daily
posing new challenges to librarians, there is need for librarians who want to remain
relevant and keep their jobs to rise up to the challenge and get equipped through capacity
building programmes that would afford acquisition of skills needed to remain functional
in the modern library environment.
The need for capacity building becomes imperative because the main focus of
courses and training in Nigerian tertiary institutions where librarians are trained are
theoretical based with little opportunity for skills development. Librarians are quick at
jumping at training as a means of capacity building without critically analyzing the skill
requirement of the organisations and what employee will practically contribute to the
organisation after the training programme. Capacity building is the only way
professionals and supporting staff of special libraries could possess abilities, skills,
understandings, attitudes, values, relationships, behaviors, motivations, resources and

4
conditions that enable individuals and organizations, to carry out functions that could
help in achieving goals and objectives of the parent organisation.
1.3 Objectives of the study
The objectives of the study are to:
1. identify types of capacity building programmes of the selected special libraries in
Oyo state;
2. find out the benefits of the capacity building programmes to the libraries and to
the library staff;
3.

identify staff perception of capacity building programmes in these special

libraries;
4. investigate the level of management commitment to staff capacity building in the
selected special libraries in Oyo-state;
5. recommend ways of promoting capacity building of library staff for the benefit of
these libraries.
1.4

Research question
The following questions are raised for the study:

1. What are the types of capacity building programmes employed by the management of
the special libraries?
2.

What are the benefits of capacity building activities to the libraries and to the library
staff?

3.

What is the perception of staff about the capacity building programmes of the
special libraries?

4.

What is the level of the commitment of the management to staff capacity building?

5.

How can staff capacity building be promoted in special libraries?

1.5

Scope of the Study

The focus of this study is ten special libraries in Ibadan Oyo state. Sample comprises
library and information science professionals and supportive staff at Nigerian Institute of
Social and Economic Research (NISER) Library, E. Latunde Odeku Medical Library,
Cocoa Research Institute of Nigeria (CRIN) Library, Forest Research Institute of Nigeria

5
(FRIN) Library, Nigerian Horticultural Research Institute (NIHORT) Library and
Institute of Agricultural Research and Training(IAR&T) Library, Dominican Institute
Library, Immanuel College of Theology and Christian Education Library, Nigerian
Institute of Science Laboratory Technology(NIST) Library and 2 Division Library of the
Nigerian Army.
1.6

Significance of the Study

The significance of this study first and foremost lies in its contribution to the existing
body of knowledge on capacity building of library staff. The study would therefore help
library managers, information professionals, employees of special libraries and other
types of libraries to adopt capacity building of staff as a strategy that can aid the
achievement of both corporate and individual goals and objectives. The study will also
serve as a useful resource material for students of library, archival and information
studies and those already in the field most especially those who want to research on
capacity building in terms of training and development and serve as a source of
encouragement for students and researchers who want to conduct their researches on
special libraries because majority of the students are only emphasizing academic libraries
without thinking much on this most important type of library that can accelerate our
technological and industrial development.
1.7

Operational definition of Terms

In this study the following terms are briefly defined:
Capacity building: Capacity building is the process of equipping individuals
with the understanding, skills, access to information, knowledge and training that enables
them to perform effectively.
Competency: can be seen as the underlying behaviours that are regarded as
necessary to achieve a desired outcome. It is something that can be demonstrated.
Continuing education can be referred to as a career-long process of improving
and updating skills, abilities and competencies of staff by regular in –service training and
education, supported by external courses.
Continuing professional education refers to education that takes place once
professional qualification is achieved, with the intent of maintaining competence and/or
learning new skills.

6
Development: This is defined as an “act or instance of developing; the process of
being developed, a stage of growth and advancement”. Development can also refer to
staff development and organizational development.
Special library: Special libraries are libraries maintained by individual,
corporations, associations, government agencies, international organisations or any other
groups within the society. This type of library is primarily designed to serve a limited
number of experts, scientist, researchers with specialized needs hence the need for a
competent personnel to man the affairs of the library so that the goal of making
information available to the users for the attainment of the vision and mission of the
parent body would be attainable.
Training: Training is the act or process of teaching or learning a skill or
discipline. It is also noticed that the human resources management/ development
definition of training does not differ significantly. This is a planned and systematic effort
to modify or develop knowledge, skills and attitudes through learning experiences to
achieve effective performance in an activity or range of activities

7
CHAPTER TWO
REVIEW OF RELATED LITERATURE
2.1

Introduction

Relevant literature shall be reviewed under the following headings:
•
•

Concept of Capacity building

•

Levels and types of capacity building

•

Library capacity building

•

Benefits of training

•

Various methods of training in library and information centres

•

Characteristics and types of special libraries in Nigeria

•

2.2

Concept of training and development

Categories of staff in special libraries

Concepts of training and development
Jones, George and Hill, (2000) viewed training as primarily focused on teaching

organisational members how to perform their current jobs and helping them acquire the
knowledge and skills they need to be effective performers. Goldstein & Ford (2002) see
training as a systematic approach to learning and development to improve individual,
team, and organizational effectiveness.

According to Abiodun (1999) training is a

systematic development of the knowledge, skills and attitudes required by employees to
perform adequately on a given task or job. It can take place in a number of ways, on the
job or off the job; in the organization or outside organization. Adeniyi (1995) observed
that staff training is a work activity that can make a very significant contribution to the
overall effectiveness and profitability of an organization. He therefore, provides a
systematic approach to training which encases the main elements of training. According
to him, the effectiveness and success of an organization lies on the people who form and
work within the organization. It follows therefore that the employees in an organization
to be able to perform their duties and make meaningful contributions to the success of the
organizational goals need to acquire the relevant skills and knowledge.
The purpose of training is to improve knowledge and skills and to change attitude,

8
Mullins (1999) argued that training is capable of producing the following benefits:
• Increase the confidence, motivation and commitment of staff;
• Provide recognition, enhanced responsibility, and the possibility of increased pay and
promotion;
• Give feeling of personal satisfaction and achievement, and broaden opportunities for
career progression; and
• Help to improve the availability and quality of staff.
Laird (1985) defined training as an experience, a discipline or a regimen, which
causes people to acquire new, predetermined behaviours. The effectiveness and success
of an organization therefore lies on the people who form and work within the
organization. It follows therefore that the employees in an organization to be able to
perform their duties and make meaningful contributions need to acquire the relevant
skills and knowledge. In appreciation of this fact, libraries conduct training programmes
so that the employee could acquire requisite knowledge and skill in modern day library
working environment.
Training according to Udoh-Ilomechine (2009) is a process of acquiring specific
skills. It is a continuous process after basic education. Antai (2002) defines training as the
systematic development of employees' knowledge, skills, and attitudes that are required
for an organization to meet its goals. Training gives employees inspiration and guidance
to perform their jobs effectively. Cowling and Mailer (1992) see training as the
development of knowledge required to perform adequately a given task or job
(Schermerhorn 1989). Udoh-Ilomechine (2009) lists nine reasons for training. They are:
• Increase in productivity;
• Improvement in the quality of work and morale;
• Development of new skills, knowledge, understanding, and attitude;
• Correct use of new tools, machines, process methods, or modification thereof;
• Reduction of waste, accident, turnover, and other overhead costs;
• Fighting of obsolescence in skills, technologies, methods, products, markets, and
capital management;
• Bringing incumbents to a level of performance for the job;

9
• Development of replacements, preparing people for advancement, improving;
manpower development, and ensuring continuity of leadership and
• The survival and growth of organization.
Healthlink (2003) defined training as ‘the process of bringing a person to an
agreed standard of skill by practice and instruction’. Another definition is ‘a trainer and
participant working together to transfer information from the trainer to the participant, to
develop the participant’s knowledge, attitudes or skills so they can perform work tasks
better’. Taken together these definitions say two things: Training is directed towards
agreed standards or objectives. These are sometimes called learning outcomes — what
you want people to learn from training and the person being trained participates with the
trainer in the training activity, rather than simply receiving instruction.
Training usually involves participation. This means that a person being trained
has an active role in the training process, rather than a passive role. Also it often takes
place in the workplace or community where the skills and knowledge being
communicated will be used. Training and development focus on “providing knowledge,
skills, and abilities (KSAs) specific to a particular task or job.”
According to SHRM (2002b), training is focused on the short-term and seeks to
teach skills that can be applied immediately. Examples of training activities include
learning a specific job task or procedures, learning how to operate a piece of equipment,
or mastering a piece of software. Developmental activities are broader in focus and are
aimed at increasing the long-term capacities of employees to perform their current jobs
and future jobs. Examples of developmental activities include formal education,
mentoring, and special assignments.
Development on the other hand focuses on building the knowledge and skills of
organisational members so that they will be prepared to take on new responsibilities and
challenges. In the view of Adamolekun (1983), staff development involves the training,
education and career development of staff members. The purpose of training and
development has been identified to include: creating a pool of readily available and
adequate replacements for personnel who may leave or move up in the organization;
enhancing the company’s ability to adopt and use advances in technology because of a
sufficiently knowledgeable staff; building a more efficient, effective and highly

10
motivated team, which enhances the company’s competitive position and improves
employee morale; and ensuring adequate human resources for expansion into new
programs.
Oribabor (2000) submitted that training and development aim at developing
competences such as technical, human, conceptual and managerial for the furtherance of
individual and organization growth. Isyaku (2000) postulated that the process of training
and development is a continuous one. Man is dynamic in nature, the need to be current
and relevant in all spheres of human endeavor’s make staff development a necessity, to
keep track with current event and methods. Ajibade, (1993) and Adeniyi, (1995) drew
attention to the inestimable value of training and development. It is an avenue to acquire
more and new knowledge and develop further the skills and techniques to function
effectively. Fareed (2009) viewed training as encompassing everything that is expected
for the enhancement of organizational development and competencies. In order that the
total performance may be improved, organizations need to have trained and experienced
people. Sound organizations move along and administer training and development
programs for the employees. These programs are purposive and meant to equip the
employees with the necessary skills that are required for particular jobs. Besides, failing
to reach an expected or required level of performance of the employees or declines in the
productivity or changes due to technological breakthroughs also necessitate training and
development programs to be administered in the organizations. Also, the complexities of
various jobs emerge the importance of training and development programs.
Training is a process of learning as well as the application of acquired knowledge
aiming at better performance of the employees, while development involves not only the
related process but also helps the employees in building up their personalities, at the same
time as, improving their progress towards the actualization of their full potentials. It is
training and development programs that bring about tremendous change in terms of
knowledge, attitudes and behavior of the employees. Owing to these programs, the
employees are not only well acquainted with what is expected of them and how they need
to enhance their skills and competencies but also it is a way to achieve overall
organizational development, effectiveness and efficiency in a desired manner.
Management appoints leaders, the managers, who influence the employees so that they

11
can make goal directed efforts to produce the desired results. They inspire the employees
for the accomplishment of organizational goals. They build up competencies and ethical
standards. They direct the employees towards defined objectives of the organization
while providing effective training and development programs. They enthuse and motivate
them so that the tasks can be carried out effectively and efficiently.
Before the implementation of the training programs, there is need to carry out
proper training needs assessment to ensure whether training can serve the desired
purpose. Depending upon the needs of various jobs, different methods of training
programs are conducted, such as, on-and-off the job methods, special lectures,
conferences and seminars. The purpose of on-the-job method is to involve the employees
in learning while they are at work, whereas through off-the-job training program, the
employees need to leave the work place so as to spend the required duration in the
learning process. Special lectures are meant to create the awareness of fundamental
knowledge. By way of arranging conferences, various discussions are held on the points
of common interest, in regard to the organization and various issues, ideas are collected
and experience is shared in order to deal with the problems. With critical discussions, the
participants of seminars study the various aspects and the complexities of particular jobs.
The sole purpose of training and development programs is to build the necessary skills of
the employees and to create positive feelings among them. It’s a fact and apposed to the
supposition that man can do things what he believes he can. Thus, a true leader is the
most influential person to build self-confidence of the employees. He is a source of
inspiration to his subordinates. He strives to instill the team spirit by making his members
believe that they are capable of doing challenging tasks. This is how the employees learn
many things and develop their personalities while improving organizational competence
under the healthy environment of an organization.
A trained and skilled employee is far better than those untrained and unskilled. He
becomes competent and performs his assigned task independently. As an illustration,
once an untrained employee asked his friend who was trained, “After all what you learn
by training program? I don’t think it’s of any worth.” He replied jokingly, “We are
trained even how to ask questions and the art of effective communication which you
seem to be lacking.” In fact, it’s funny instance but it reveals the fact that training is all

12
encompassing - it covers all necessary skills of the employees required in the workplace
while motivating them to work in a desired and capable manner. The major benefits of
training and development programs are that the employees who are trained need lesser
supervision than those who are not. A trainee acquires new knowledge, skills and
attitudes and applies them in job situations. Training is a way to create the confidence
among the employees so that they can operate the tasks without any obstruction with all
efficiency and effectiveness. To conduct such programs is to save money because a
company is likely to bear heavy expenditure on hiring new employees. It is also one of
the best ways to expand the span of management. (Fareed 2009)
According to Diejomah (1982) employee training and development is the process,
which leads to the formation of values and attitudes, the development of the skill and the
knowledge of a people, thereby contributing to the enhancement of an improvement in
the quality of a nation’s personnel of which a nation ultimately depends. Pattern defined
employee training and development as the process of increasing the knowledge, skills
and the capability of all people in a society. Bantai (2008) sees development as that range
of activities an organization put in place with a view to helping its members of staff
acquire the skills and knowledge necessary for efficient and effective performance of
their roles and responsibilities within the organisation. These activities may include
among others orientation, meetings, supervisory, counseling, workshop etc.
2.3

The Concept of capacity building
Capacity Building involves human resource development, the development of

organizations and promoting the emergence of an overall policy environment, conducive
to the generation of appropriate responses to emerging needs. The concept of Capacity
Building includes the following:
Human capacity building is the process of equipping individuals with the understanding,
skills and access to information, knowledge and training that enables them to perform
effectively. Organizational development, the elaboration of management structures,
processes and procedures, not only within organizations but also the management of
relationships between the different organizations and sectors (public, private and
community).Institutional and legal framework development, making legal and regulatory

13
changes to enable organizations, institutions and agencies at all levels and in all sectors to
enhance their capacities. Urban Capacity Building Network (1992)
The United Nations Development Programme (UNDP) defined capacity building
as the creation of an enabling environment with appropriate policy and legal frameworks,
institutional development, including community participation (of women in particular),
human resources development and strengthening of managerial systems, adding that,
UNDP recognizes that capacity building is a long-term, continuing process, in which all
stakeholders participate (ministries, local authorities, non-governmental organizations
and water user groups, professional associations, academics and others".( UNDP,1998 ).
“Capacity building” is sometimes used interchangeably with “institution building”,
“institutional and organizational development” and “institutional capacity building”
(Jones and Blunt, 1999; Tadele and Manyena, 2009).
Capacity building, according to Ballantyne, Lebelle and Rugard (2000) is “the
process by which individuals, groups, organization, institutions and society developed
abilities (individually and collectively), to perform functions, solve problems, set and
achieve objectives. Capacity building involves acquiring skill and knowledge. Capacity
building also enables one to be “aware of new possibilities and empowered by gaining
new skills upgrading their old skills” (Mabawonku 2001). Mabawonku(2005) sees
capacity building for LIS professionals as involving training and retraining of library and
information department to increase their capacity on equipment management, information
handling, packaging and repackaging, system design and managing, developing and
maintaining good web site, digitization of records building and updating joint catalogues,
e-resources use and disseminating consortia report .
2.4

Levels and types of capacity building
The previous section defined the broad concept of capacity building. However

capacity building is a much more complex activity than defined above. It can be viewed
at different levels, the broader system/ societal level, the entity/ organisational level and
the group of people/individual level. With these levels including different dimensions
according to UNDP (1998) capacity is the power/ability of something – a system, an
organisation or a person to perform and produce properly. Capacity issues can then be

14
addressed at these three levels. These levels relate to their application of capacity in
society and have been identified as follows:
1. The broader system/societal level.
The highest level within which capacity initiatives may be considered is the system or
enabling environment level. For development initiatives that are national in context, the
system would cover the entire country or society and all subcomponents that are
involved. For initiatives at a sectoral level, the system would include only those
components that are relevant. The dimensions of capacity at a systems level may include
areas such as policies, legal / regulatory framework, management and accountability
perspectives, and the resources available.
2. The entity/organisational level.
An entity may be a formal organisation such as government or one of its departments or
agencies, a private sector operation, or an informal organisation such as a community
based or volunteer organisation. At this level, successful approaches to capacity building
include the role of the entity within the system, and the interaction with other entities,
stakeholders and clients. The dimensions of capacity at the entity level may include areas
such as mission and strategy, culture and competencies, processes, resources (human,
financial and information resources), and infrastructure.
3.

The group of people/individual level.

This level addresses the need for individuals to function efficiently and effectively within
the entity and within the broader system. Human Resource Development (HRD) is about
assessing the capacity needs of people and addressing the gaps through adequate
measures of education and training. Capacity assessment and development at this third
level is considered the most critical. The dimension of capacity at the individual level
should include the design of educational and training programs and courses to meet the
identified gaps within the skills base and to provide the appropriate number of qualified
staff to operate the systems.
Adetoro, et .al (2010) divide capacity building into human/technical capacity and
institutional capacity building.
Technical or human capacity building

15
Technical or human capacity building refers to the development and the improvement in
the human resources capabilities through the acquisition of general and technical
knowledge, skill and effectiveness required for the realisation of goals. Human capacity
therefore includes general education, on the job training and professional deepening in
crosscutting skills.
Institutional capacity building
Institutional capacity building deals with the development of capabilities of organizations
and institutions, such that their set goals are realized. Institutional capacity has to do with
reinforcement of institutions capability to use available resources and staff more
effectively; developing new structures and reorganization of structures and processes for
efficiency.
2.5

Library capacity building
Library capacity consists of the people in the library, its culture, attitude,

environment and appearance. It requires commitment to training to develop people skills.
It requires libraries to identify and take advantage of opportunities and strengths. How
does one recognize that capacity is being built? The Community Development Handbook
identifies factors that confirm capacity is being built. “People are active, interested and
participating in what is going on. People may also be questioning, challenging and
debating but they will be debating what should be done, not complaining that nothing
will ever change. More people are getting involved, helping to identify key issues, and
taking action. Results are becoming obvious and the abilities, esteem and resources of
many communities are growing as capacity grows.” These factors may also be used to
indicate when library capacity is being built (Ashu and Clandening, 2007). Library
capacity is basically focused on community building since it offers community meeting
space, facilitate access to computers and the internet, provide public access to desired set
of information needed for community building, Therefore, libraries can bring experience
in restructuring and reorganizing information sources for the community’s development.
2.6

The benefits of training

According to Chandan (2000), training is “a short term process utilizing a systematic and
Organized procedure by which non–managerial personnel learn technical knowledge and
Skills for a definite process.” The weakness of this definition is that training is limited to

16
the non–managerial personnel, whereas human resource development embraces both the
managerial and non–managerial staff. All of them in librarianship and information
systems need some kind of training and education in the new areas of their profession.
Training is an integral part of vocational or career development and it is fast becoming a
global and pervasive phenomenon in any establishment, the absence of which spells
doom for such an institution and the presence of which determines the success of any
enterprise. Fielden (1987) noted this pervasiveness when he said that training is among
the series of variables that serves as a checklist for buying software. Also, training has
also been identified as one of the characteristics that make a software package worthy of
purchase; others are cost, responsiveness of dealers, and support.
Obviously, the role that training can play in human resource development
especially in libraries and information systems is inestimable and unquantifiable. It is a
truism, of course, that training of staff enhances productivity. The library system in
Nigeria cannot afford to allow its staff to degenerate in the acquisition of knowledge and
the knowledge already acquired cannot be allowed to diminish because society cannot
afford to jettison the roles of libraries and librarians in the socio–cultural and educational
development of a nation. That is why Billings (1995) remarked that the library, librarians,
and library education will all be needed tomorrow. He therefore called for the production
of quality graduates and relevant and adequate programme services. Also, Ojiambo
(1992) has attributed the lack of training in human resources to the low or non–existence
of industrial and information technology development in the developing countries like
Nigeria.
Yesufu (2000) also agrees that training of personnel enhances productivity.
According to him, “education and training are generally indicated as the most important
direct means of upgrading the human intellect and skills for productive employment.”
Productivity, which is enhanced by training, is not only limited to the establishment; the
librarians and other staff of the library can also become more productive. Another
advantage of staff training is that it improves job performance and therefore promotes
management efficiency. Writing from a vendor’s perspective, Hyman (1991) opines that
without training, consumers may not be efficient in the use of computers. They may not
therefore derive maximum benefits from their systems. Both Ojiambo (1992) and Stoner

17
(2002) agree that training programmes should be directed towards improving efficiency
and job performance. There is no doubt that staff trained in information technologies will
be more efficient in the use of information and computer facilities than those who never
had such training experience.
Other advantages of training include reduction in cost, reduced staff turnover,
human resources reserve, faster decision, continuity of effort, improvement in employee
morale, availability for future personnel needs of the organization, improvement in health
and safety, reduced supervision, personal growth and organizational stability (Silver,
1981; Chandan, 2000). The benefits of personnel development cannot therefore be easily
over– emphasized. Several studies conducted in European countries have documented the
impact of training on organizational performance. Arag ´ on-S´anchez et al. (2003)
investigated the relationship between training and organizational performance by
distributing a survey to 457 small and medium-size businesses in the United Kingdom,
the Netherlands, Portugal, Finland, and Spain. Organizational performance was
operationalized as (a) effectiveness (i.e., employee involvement, human resource
indicators, and quality), and (b) profitability (i.e., sales volume, benefits before interest
and taxes, and a ratio of benefit before taxes/sales). Results indicated that some types of
training activities, including on-the-job training and training inside the organization using
in-house trainers, were positively related to most dimensions of effectiveness and
profitability.
Ubeda Garc´ıa (2005) conducted a study including 78 Spanish firms with more
than 100 employees. This study related organizations’ training policies (e.g., functions
assumed by the training unit, goals of the training unit, nature of training, and how
training is evaluated) with four types of organizational-level benefits: employee
satisfaction, customer satisfaction, owner/shareholder satisfaction, and workforce
productivity (i.e., sales per employee). Results suggested that training programs oriented
toward human capital development were directly related to employee, customer, and
owner/shareholder satisfaction as well as an objective measure of business performance
(i.e., sales per employee). Guerrero & Barraud- Didier (2004) administered a
questionnaire to 1530 human resource directors working in large companies in France
and collected financial information from the companies’ financial directors or through

18
databases approximately one year later. Five questions in the survey addressed the extent
to which the company implemented training practices. The survey also included
questions about social and organizational performance including work climate, employee
attendance, quality of products and services, and employee productivity. Results showed
that 4.6% of the variance in financial performance was explained by training (via the
mediating role of social and organizational performance).
Mabey & Ramirez (2005) conducted a study including 179 firms in the United
Kingdom, Denmark, France, Germany, Norway, and Spain. Human resource managers
or equivalent and line managers completed a survey on training practices. Financial data
were gathered from the Amadeus database; a two factor measure of financial
performance was computed based on (a) operating revenue per employee and (b) cost of
employees as a percentage of operating revenues. Results indicated that the manner in
which management development was implemented accounted for substantive variance in
the financial performance measure. Specifically, firms with line managers reporting that
management development programs are valued were more likely to have a positive
relationship between management development and financial performance. Because of
the paucity of primary-level studies examining the benefits of training at the
organizational level, the meta-analytic reviews published to date include only a small
number of studies.
In the meta-analysis by Arthur et al. (2003), the researchers also examined the
impact of training on organizational-level results. Only 26 studies (N = 1748) examined
the benefits of training at the organizational level. Results showed that the benefits of
training vary depending on the type of training delivery method, the skill or task being
trained, and the measure used to assess effectiveness. However, the mean d for
organizational results was 0.62, precisely the same effect size found for the impact of
training on job-related behaviors and performance at the individual level of analysis.
Similarly, the Collins and Holton (2004) meta-analysis of managerial leadership
development programs included only seven studies (of 83) that included information
regarding the relationship between training and tangible organizational-level benefits
(e.g. reduced costs, improved quality and quantity). The total sample size in these seven
studies was 418 and the overall mean d was 0.39, favoring training compared to control

19
groups.
2.7 Various methods of training in library and information
centres
Mabawonku (2005) highlighted some of the training activities and the mode that
could be used in training library professionals would include the under listed:
 Meeting of stakeholders like directors and management personnel are useful to
keep participants informed of new electronic information resources. The meeting could
also discuss pricing of electronic materials and relationship with publishers and vendors.
 Spending time in libraries in developed countries. International Staff exchanges
training and short visit/attachments to skilled staff in libraries in the consortium or
other libraries in the world have the benefit of providing exposure to the participants.
Staff could do various attachment programmes, update their IT skills and have work
experience placements on individual basis.
 Training on new products especially library software packages and application,
internet use e.g. for virtual library.
 Library school courses. Consortium could approach library schools to have
courses packaged into modules so that individual professionals could choose the desired
module or part of. The duration could range between one to three months or part of to be
up to 1-3 months and under supervision.
 Follow-up coaching/interactive communication after the training. This could be
through email etc.
 Continuous use of instructional packages of precious training programmes which
include books, handouts. Power point presentation and other multimedia to be taken away
by the participants.
 Newsletters, manuals and documents could be useful methods of disseminating
capacity building information to library professionals.
 Short courses that are non-credit are often offered by private organizations and
higher institutions. An example is the Africa Regional Centre for information Science in
Nigeria, which provides short courses on ICT. Staff members could be sponsored to these

20
courses to these courses by the libraries.
 Seminars and conferences are useful for exchanging ideas among participants.
These consortium libraries could organize these on periodic basis.
 Group trainings for librarians and information professionals in all the libraries in
the consortium are useful as these save costs.
There are various training techniques that special library personnel can be exposed to
on short– and long–term bases. Silver (1981) has identified ten training techniques which
are listed below:
 On–the–job training (OJT);
 Vestibule training;
 Classroom/lecture method;
 Case study, in–basket, case history methods;
 Self–study;
 Electronic teaching media;
 T groups, encounter groups, and sensitivity training;
 Schools and outside seminars and;
 Consultants and special training.
In fact, Burton (1997) had earlier listed the following five long–term training
techniques: (1) on–the–job training, (2) job rotation, (3) coaching, (4) apprenticeship, and
(5) modeling. According to Burton, these management–development programmes are
efforts to train and develop the manager to his or her fullest potential, and the
development should be seen as a lifetime process provided for maximum managerial
performance and efficiency throughout the manager’s career. Also, the three common
training techniques about which researchers on management, personnel development and
career development often talk and which are also considered very relevant for the
development of library personnel are discussed below:
Study visits: Library personnel with theoretical knowledge of library and information
science may broaden and update their knowledge by understudying computer operations
in other information and automated library systems.
In–service training: Staff can be introduced to an automated library system and to the

21
varieties of software that can be used for the development and management of an
automated library. The training will help staff to update their knowledge for professional
competence.
Industrial attachments: Students of librarianship can spend between six weeks and
three months on industrial attachments in automated libraries and information systems.
The exposure will further prepare librarians to face challenges in the automated systems
on which they may find themselves working.
Similarly, Akhigbe (1997) and Ugbokwe (1998) are of the view that training
should take the form of continuing education, industrial attachment, formal education
programmes leading to certificates, diploma and degrees, on–the–job learning from
experienced colleagues, coaching and special project and off–the–job lectures, seminars,
discussions and instructions of various types. At these fora, the relationship between the
computer vendors and consumers, whose majority are in the information industry, will
become strengthened. If consumers are properly trained, the successful implementation of
library automation and the maximum use of their systems will be guaranteed (Litchfield,
1990). Writing on the nature and the quality of formal education that should be provided
in the library schools, Harvard–Williams (1981) is of the view that professional library
education should not be mere training. The education imparted should be capable and
adequate for effective professional performance on job postings after certification. Such
effective performance on the part of the professionals must be sustained for a period of
two decades before a need for retraining can arise.
2.8 Characteristics and types of special libraries
Special library is different from other types of library, in size, the nature of
clientele, and in the nature of its collections. According to Aina (2004) a library is special
depending on whether it covers a specialised collection, a special subject, or a particular
group of users or even the type of the type of the parent organisation. A library that
collects only films, museum objects or maps can be can be categorized as a special
library because of the specialised collection. Libraries primarily designed to serve a
limited number of experts, scientists, research workers, etc and not coming within any of
the categories of national libraries, university libraries and school libraries are special

22
libraries. Their holdings in general relate to some particular subject, e.g. agriculture,
medicine, law, history, economics etc , these libraries may be attached to various bodies
such as parliament, or a government department, a scientific or other research institution,
a learned society, professional association, museum, industries, chamber of commerce,
etc.
Edoka (2000) summarized some of the important characteristics of special
libraries as follows:
 provision of information for practical purposes, and the information
provided must be quick and precise;
 the librarians are involved in researching and findings answers for client
rather than client seeking information with the assistance of the library;
 their users are homogeneous;
 they generally have small number of users, hence they usually have their
research profiles. These users have information being selectively
disseminated to them;
 the collections are directly and narrowly related to the mission of the
organisation and
 evidence of the usefulness of the library to the organisation must always
be demonstrated; thus it is expected that a special library must make a
significant contribution to the parent organisation in order to justify its
existence.
According to Alokun (2004) the following are the characteristics of special libraries:
 the collections are of specialized nature e.g. periodicals, reports and abstract;
 it serves a specialized body of users e.g.;
 staff has specialized training in a particular in a particular discipline and
 it offers specialized and usually personalized services.
The most significant characteristic which distinguishes the special library from
other types of libraries, however, is that it is established to obtain and exploit specialised
information for the private advantage of the organisation which provides its financial
support whether the parent organization is a government agency, business or industrial

23
company or group of companies, a nonprofit organization, private society or institution, a
research association, or a hospital. There are other important differences which
distinguish the special library from the academic or public library. Typically, the special
library tends to be comparatively small in the size of its collection, in the space occupied
and in the size of staff. At the same time, its clientele forms a more clearly-defined
community in terms of its objectives, in relation to the parent organization and its
products and services. Many special libraries provide services exclusively to their own
organizations and are not open to the public except through special arrangement. There
may be, in fact, situations in which information or a certain part of the collection is
regarded as proprietary or confidential and accessible only to designated individuals on a
need-to-know basis.
Special librarians are information resource experts dedicated to putting
knowledge to work to attain the goals of their organizations. They are employed most
frequently by corporations, private businesses, government agencies, museums, colleges,
hospitals, associations and information management consulting firms. Special librarians
do far more than locate and collect data. Using the Internet and other current technology,
they also evaluate, analyze, organize, package, and present information in a way that
maximizes its usefulness. A few examples of the diverse services that special librarians
may perform include:
 Preparing research reports in response to staff requests for specific information;
 Gathering competitive intelligence;
 Identifying research done at other organizations to avoid unnecessary
duplication;
 Verifying facts for external and internal reports and publications;
 Creating databases for organizations to access their internal information;
 Searching patents and trademarks;
 Evaluating and comparing information software and sources of data prior to
purchase; and
 Training other staff to efficiently and cost-effectively use online databases.

24
Special libraries can be divided into those maintained by an association, government
service, parliament, research institution (excluding university institutes), learned society,
professional association, museum, business firm, industrial enterprise, chamber of
commerce etc., or other organised group, the greater part of their collections covering a
specific field or subject, e.g. natural sciences, social sciences, agriculture, chemistry,
medicine, economics, engineering, law, history. Special Libraries are divided into six
subgroups, as follows:
Government libraries:
Those maintained by any government service, department or agency, or parliament,
including both central (national) and local (regional) government organisations. Exclude
National Libraries, Public Libraries and Health Service libraries, which have their own
categories.
Health service libraries:
Those which serve health service professionals in hospitals or elsewhere, whether in the
private or public sector. Exclude pharmaceutical company libraries, which should is
included under industrial and commercial organisations.
Professional associations:
Libraries maintained by professional or trade associations, learned societies, trade unions
and other similar bodies whose primary objective is to provide services to the members
and practitioners of a specific trade or profession.
Industrial & commercial organisations:
These are libraries in any industrial enterprise or business firm. They are maintained by
the parent organisation to service the information needs of its staff. Include libraries
maintained by information and management consultants, the media, manufacturing and
service industries and law libraries
Research libraries
Research libraries are attached to research institutes to support researches by making
information that would facilitate researches available to their scientists and researchers
who are their patrons. Examples of these libraries are International Institute of Tropical
Agriculture (IITA) Library Ibadan, National Horticultural Research Institute (NIHORT)
Library in Ibadan and National Institute of Medical Research Library Lagos.

25
Others:
Any other library not included elsewhere. Include libraries within voluntary
organisations, museums, etc., and other libraries of a learned character which are neither
libraries of institutions of higher education nor national libraries. A return is also included
for the total of all Special Libraries.
2.9

Categories of staff in special libraries
Banti (2008) categorized staffs in libraries into: Professionals, para-professionals

and library Assistants. Kumar (1997) categorized staff in the library into three;
Professional, supporting (administrative) and supporting (technical) / para -professional.
Professional staff consists of those who are employed on professional jobs and possess
Bachelor degree in Library and information studies (BLIS) and Master in Library and
Information studies. Supporting staff (technical) play important roles in the working of
the libraries they are supposed to have diploma or certificate in Library and Information
studies. The following jobs may be carried out by supporting staff (technical);
accessioning of books, registration of periodicals, typing of catalogue cards, charging and
discharging of books, maintenance of issue-record, shelving of books and periodicals and
descriptive cataloguing of books. Supporting staff (administrative) perform the following
duties in special libraries which are; Secretarial services in the library, maintenance of
personnel records (appointments, personal files, service book, confidential records, etc.)
typing of official documents, library security services and any other services allocated.
The personnel working in special libraries and information centers usually have
more varied backgrounds than those working in other types of libraries. Ideally,
personnel should have both library and subject expertise. The special librarians or
information specialist may have a degree in a subject specialty as well as in library
science, and the staff may also include subject and language specialist. This subject
expertise may be so important to companies and businesses that they may prefer a
technician with subject specialization to a professional with a master’s degree in library
or information science. Large libraries often include professional librarians or
information scientist backed up subject specialist, technicians, programmers and clerks.
In some cases, the only staff member in a special library may be a secretary who
has been put in charge of collection of books and magazines. While in some special
26
libraries, someone who is a librarian or information specialist in name only may
supervise several clerks and technicians. This manager may have a degree in the subject
specialty of the parent’s corporation or institution but may not have any knowledge of
library or information science. Sometimes library services may be outsourced, some
organisations may hire a professional library consultant to set up a library that is then
turned over to lower-paid personnel who are charged with the responsibilities of carrying
out daily operations (Fourie and Dowell, 2002).
2.10 Summary of the literature review
Capacity building in special libraries is a matter that requires urgent and continuous
attention due to the Information and Communication Technology (ICT) that is being
applied to virtually every aspect of librarianship. Mabawonku(2005) emphasized that
capacity building for LIS professionals as involving training and retraining of library and
information department to increase their capacity on equipment management, information
handing, packaging and repackaging, system design and managing, developing and
maintaining good website, digitization of records building and updating joint catalogues,
e-resources use and disseminating consortia report. The role that training can play in
human resources development especially in libraries and information system is
inestimable and unquantifiable. Training enhances staff productivity, improves job
performance and therefore promotes management efficiency, it reduces cost, reduces staff
turnover, promotes human resources reserve, aids faster decision making, enhances
continuity of efforts, improvement in employee morale, availability for future personnel
needs of the organization, improvement in health and safety, reduces supervision,
personnel growth and organization stability. (Silver,1981; Chandan, 2000)
The literature reviewed has shed light on various techniques that could be adopted
in training staff in special libraries among which are stakeholders meeting, spending time
in developed nation libraries, and training on new product such as library software, short
training in library school, seminars, conferences and classroom training in the library
schools. The advent of internet and electronic resources is really changing the way in
which information services are rendered to users, many of the clientele in the special
libraries now prefer electronic resources to print materials, and most of the services are
now being rendered electronically, for any information professional to remain relevant

27
and retain his/her job in this era of digitization and globalization, the importance of
training (capacity building) cannot be overemphasized.

CHAPTER THREE
RESEARCH METHODOLOGY
3.1

Introduction
This chapter is concerned with the description of procedures adopted in carrying

out the study, as organised under the following sub-headings.
3.0 Research Methodology
3.1 Introduction
3.2 Research Design
3.3 Population of the Study
3.4 Sampling Technique and Sample size
3.5 Data Collection Instrument
3.6 Validity of the Instrument
3.7 Method of Data Collection
3.8 Method of Data Analysis
3.2 Research Design
This study adopted a descriptive design which falls within the empirical research
methodology. The purpose of the descriptive case study which is to collect detailed data
as they describe existing phenomenon, identify problems or justify current conditions and
practices and to make comparison and evaluation. They also determine what other
researches have done with similar problems or situations and how to benefit from their
experience in making future plans and decisions. It also consists of a set of gathered data
or information analysed, summarized and interpreted along certain lines for the pursuit of
specific purpose or study which include the subject of this research study.
3.3

Population of the Study

The population of this study are the members of staff of ten special libraries in Ibadan
Oyo State of Nigeria which are: Cocoa Research Institute of Nigeria (CRIN) Library,

28
Dominican Institute library, Forestry Research Institute of Nigeria (FRIN) Library,
Immanuel College of Theology & Christian Education library, Nigerian Horticultural
Research Institute (NIHORT) Library, Nigerian Institute of Social and Economic
Research (NISER) Library, Nigerian Institute of Science Laboratory Technology(NIST)
library, E Latunde Odeku Medical Library, Institute of Agricultural Research and
Training(IAR&T) Library and 2 Division Library of the Nigerian Army. The total
numbers of library staffs to be sampled are ninety two (92)
3.4

Sampling Technique and Sample size

Special libraries are usually small in size and may not have many staffs; therefore every
member of staff of the selected special library is the sample population for this study.
Table 3.1 Sample of staff in selected special libraries.
SPECIAL LIBRARY

Professional Parastaff

professional

Supportive

Total

staff

staff
Cocoa Research Institute of Nigeria 4

5

9

library (CRIN)
Dominican Institute library

1

2

3

Forest Research Institute of Nigeria 6

2

8

(FRIN)
Immanuel College of Theology & 1

2

3

12

16

15

19

library
Nigerian Institute of Social and 6

4

10

Economic Research(NISER) library
Nigerian
Institute
of
Science 1

1

2

11
2

18
4

Christian Education library
Institute of Agricultural Research & 1

3

Training library (IAR&T)
Nigerian Institute of Horticulture 4
Research & Training

(NIHORT)

Laboratory Technology(NIST) library
E Latunde Odeku Medical library
2
2Division Library of the Nigerian 2

5

Army

29
Total

28

3.5

8

56

92

Data Collection Instrument

The main instrument for data collection is the questionnaire. The questions in the
questionnaire are not ambiguous, they are open ended questions presented in an objective
form. The questionnaire for this study is tagged “Capacity Building of Library Staff
(CBLS)’’. It has six sections, Section A is about the demographic variables of the
respondents, Section B is about types of capacity building programmes employed by the
management of the libraries, Section C deals with benefits of the capacity building
programmes of the library, Section D wants to know the perception of staff capacity
building programmes, Section E investigated the level of commitment of management to
staff capacity building and Section F sought for opinion of respondents on how to
promote capacity building in special libraries. Respondents are expected to show their
agreement with option provided by ticking the most appropriate option or their
disagreement by simply ignoring such.
3.6

Validation of the Instrument

The validity of the instrument was established on face and content validity. Validity of
the instrument was also made available to the supervisor for assessment after necessary
corrections.
3.7 Method of Data Collection
The researcher personally visited and administered the questionnaire in these ten special
libraries. The respondents are required to answer all the questions provided in the
questionnaire by ticking the most appropriate options.
3.8

Method of Data Analysis

The data for this study was analysed using simple percentages, frequency counts and bar
chart.

30
CHAPTER FOUR
PRESENTATION AND ANALYSIS OF RESULTS
4.1

Introduction

The purpose of this study is to investigate the "capacity building of library staff of
selected special libraries in Oyo State of Nigeria”. The study adopted a survey research
method and data were collected through the use of questionnaires which were
administered to the library staff in ten special libraries.
One of the basic characteristics of special libraries is that it is usually small in size
and the personnel are usually very few. Out of ninety two (92) copies of questionnaire
distributed in ten special libraries selected for this study, eighty one (81) copies (88%)
were returned with valid responses. Simple percentage and frequency count together with
bar chart were used to analyse the data.
4.2 ANALYSIS OF DEMOGRAPHIC VARIABLES OF THE RESPONDENTS
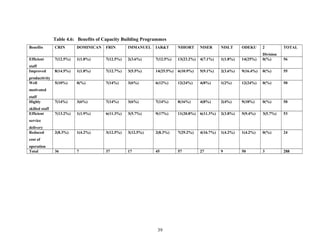
Table 4.1 revealed that 9(11.1%) respondents were sampled in CRIN library, 3(3.7%)
respondents were sampled in Dominican Institute library, 7(8.6%) were sampled in
FRIN library, 14(17.3%) were sampled in NIHORT library, 14(17.3%) respondents were
sampled in IAR&T library, 8(9.9%)

respondents were sampled in NISER library,

2(2.5%) respondents were sampled in NISLT library, 17(21%) respondents were sampled
in Odeku Medical library and the remaining 4(4.9%) respondents were sampled in
2Division Library of the Nigerian Army.
Table 4.1 List of the special libraries sampled
SPECIAL LIBRARY
FREQUENCY
Cocoa Research Institute of Nigeria 9

PERCENTAGE(%)
11.1

library (CRIN)
Dominican Institute library
3
Forest Research Institute of Nigeria 7

3.7
8.6

(FRIN)
Immanuel

3.7

College

of

Theology

& 3

Christian Education library
Institute of Agricultural Research & 14

31

17.3
Training library (IAR&T)
Nigerian Institute of Horticulture 14

17.3

Research & Training (NIHORT) library
Nigerian Institute of Social and 8

9.9

Economic Research(NISER) library
Nigerian Institute of Science Laboratory 2

2.5

Technology(NISLT) library
E Latunde Odeku Medical library
2Division Library of the Nigerian Army
Total

21
4.9
100

17
4
81

Figure 4.1

Table 4.2 showing the educational qualification of the respondents, revealed that
1(1.23%) respondent had PhD, 13(16.01%) respondents had masters degree, 32(39.51%)
respondents had Bachelor degree/ Higher National Diploma, 24(29.63%) had National
Certificate in Education/Diploma in Library Studies/ Ordinary National Diploma,
10(12.35%) had Senior School Certificate while the remaining 1(1.23%) had Primary
School leaving certificate.
Table 4.2 Educational qualifications of the respondents
EDUCATIONAL QUALIFICATION

FREQUENCY PERCENTAGE (%)
32
Doctor of Philosophy (PhD)
Masters Degree
Bachelor Degree/Higher National Diploma
(BSC/HND)
National Certificate

in

Education

1
13
32

, 24

1
16
40
30

Diploma in Library Studies and Ordinary
National Diploma(NCE/DLS/ND)
Senior School Certificate Examination 10

12

(SSCE)
Primary School Leaving Certificate
Total

1
100

1
81

Figure 4.2

Table 4.3 showing the categories of staff in the special libraries sampled showed that
16(19.8%) were professional, 21(25.9%) were para-professionals while the remaining
44(54.3%) were supportive staff.
Table 4.3 Categories of staff in the libraries sampled
CATEGORY
PROFESSIONAL

FREQUENCY
16

33

PERCENTAGE (%)
19.8
PARA-PROFESSIONAL
SUPPORTIVE
TOTAL

21
44
81

25.9
54.3
100

Figure 4.3

From the table 4.4 showed that 26(32.1%) respondents had between zero to five years
working experience, 16(19.8%) respondents had six to ten years working experience,
12(14.8%) had worked between eleven to fifteen years, 12(14.8%) had sixteen to twenty
years working experience,10(12.3%) had between twenty one to twenty five years
working experience, 2(2.5%) had between twenty six to thirty years working experience
while the remaining 3(3.7%) had thirty one to thirty five years working experience.
Table 4.4 Work experience of the respondents
WORK EXPERIENCE
0-5 years
6-10 years
11-15 years
16-20 years
21-25 years
26-30 years
31-35 years

FREQUENCY
26
16
12
12
10
2
3

34

PERCENTAGE (%)
32.1
19.8
14.8
14.8
12.3
2.5
3.7
Total

81

100

Figure 4.4

35
4.3

ANALYSIS OF RESEARCH QUESTIONS
INTRODUCTION
There are five research questions raised for this research work which would be

answered using questions in the questionnaire in the following ways. Question one was
used to answer research question one, question two was used to answer research question
two, question three was used to answer research question three, question five was used to
answer research question four while question six was used to answer research question
five.
4.3.1

Research question one: what are the types of capacity building programmes

employed by the management of the special libraries?
Table 4.5 showing analysis of research question one revealed that seminar /workshop
61(21%) was the most widely used capacity building programme in most of the libraries
sampled which was followed by conferences 52(17%), on the job training 43(14.8%), in
service training 42(14.5%), library school courses 27(9.3%), consultants and special
training 24(8.3%), spending time in libraries of developed countries and classroom/
lecture method 14(4.8%) while non credit earning short courses was the least adopted
capacity building programme 13(4.5%) in ten special libraries sampled.

36
Table 4.5: Capacity Building programmes employed in Special Libraries

Capacity
building

CRIN

DOMMI
NICAN

FRIN

IMMAN
IAR&T
UEL
COLLEG
E

NIHOR
T

NISER
Library

NISLT
library

Odeku
Medical
Library

Conferences

8(15.4%)

0(%)

7(13.5%)

3(5.8%)

9(17.3%)

6(11.5%)

2(3.8%)

6(11.5%)

Seminars/
Workshops
Spending time in
developed
countries
Library school
courses
On the job
training
Classroom/
Lecture methods
Consultant/
Special training
In service
training
Non-credit
earning
short
courses
Others specify
Total

8(13.1%)

0(%)

7(11.5%)

3(4.9%)

8(13.1%)

7(11.5%)

2(3.3%)

11(18%)

2(3.3%)

61

3(21.4%)

1(7.1%)

5(35.7%)

0(%)

0(%)

11(21.2
%)
13(21.3
%)
0(%)

2
Total
Divisio
n
Nigeria
n Army
Library
0(%)
52

0(%)

0(%)

5(35.7%)

0(%)

14

4(14.8%)

1(3.7%)

4(14.8%)

0(%)

1(3.7%)

4(14.8%)

0(%)

6(22.2%)

1(3.7%)

27

7(16.3%)

1(2.3%)

4(9.3%)

3(7%)

6(14%)

4(9.3%)

2(4.7%)

11(25.6%)

0(%)

43

2(14.3%)

2(14.3%)

2(14.3%)

3(21.4%)

1(7.1%)

6(22.2%
)
5(11.6%
)
1(7.1%)

2(14.3%)

0(%)

1(7.1%)

0(%)

14

6(25%)

1(4.7%)

4(16.7%)

1(4.7%)

3(12.5%)

2(8.3%)

1(4.7%)

2(8.3%)

0(%)

24

6(14.3%)

1(2.4%)

3(7.1%)

3(7.1%)

3(7.1%)

4(16.7%
)
8(19%)

3(7.1%)

2(4.8%)

12(28.6%)

1(2.4%)

42

1(7.7%)

0(%)

4(30.8%)

0(%)

1(7.7%)

4(30.8%
)

1(7.7%)

1(7.7%)

0(%)

1(7.7%)

13

0
45

0
7

0
41

0
16

0
32

0
52

0
29

0
10

0
54

0
5

0
290

37
Figure 4.5

4.3.2 Research question two: What are the benefits of capacity building activities to
the libraries and to the library staff?
From table 4.6 showing the benefits of capacity building showed that efficient staff was
the major benefit of capacity building programme 56(19.4%) followed by improved
productivity 55(19.1%), efficient service delivery 53(18.4%), well motivated staff and
highly skilled staff 50(17.4%) and reduced cost of operation was the least benefit 24
(8.3%).

38
Table 4.6: Benefits of Capacity Building Programmes
Benefits

CRIN

DOMINICAN

FRIN

IMMANUEL

IAR&T

NIHORT

NISER

NISLT

ODEKU

2

TOTAL

Efficient

7(12.5%)

1(1.8%)

7(12.5%)

2(3.6%)

7(12.5%)

13(23.2%)

4(7.1%)

1(1.8%)

14(25%)

Division
0(%)

56

staff
Improved

8(14.5%)

1(1.8%)

7(12.7%)

3(5.5%)

14(25.5%)

6(10.9%)

5(9.1%)

2(3.6%)

9(16.4%)

0(%)

55

productivity
Well

5(10%)

0(%)

7(14%)

3(6%)

6(12%)

12(24%)

4(8%)

1(2%)

12(24%)

0(%)

50

staff
Highly

7(14%)

3(6%)

7(14%)

3(6%)

7(14%)

8(16%)

4(8%)

2(4%)

9(18%)

0(%)

50

skilled staff
Efficient

7(13.2%)

1(1.9%)

6(11.3%)

3(5.7%)

9(17%)

11(20.8%)

6(11.3%)

2(3.8%)

5(9.4%)

3(5.7%)

53

2(8.3%)

1(4.2%)

3(12.5%)

3(12.5%)

2(8.3%)

7(29.2%)

4(16.7%)

1(4.2%)

1(4.2%)

0(%)

24

36

7

37

17

45

57

27

9

50

3

288

motivated

service
delivery
Reduced
cost of
operation
Total

39
Figure 4.6

4.3.3

Research question three: What is the perception of staff about the capacity

building programmes of the special libraries?
From table 4.7 showing perception of the capacity building programme of the
special libraries revealed that the highest percentage 50(55.6%) of respondents agreed
that the capacity building programme should be improved in all the libraries sampled
which was followed by 32 (35.6%) respondents who perceived it as being adequate and
8(8.8%) respondents who perceived it as inadequate.

40
Table 4.7: Perception of Capacity Building Programmes

Perception
Adequate

CRIN
3(9.4%

DOMINICAN FRIN

IMMANUEL IAR&T

NIHORT NISER

NISLT

ODEKU

2

TOTAL

5(15.6%)

1(3.1%

1(3.1%

7(21.9%

Division
0(%)
32

0(%)

)
1(12.5%

3(37.5%)

)
2(25%)

)
0(%)

)
1(12.5%

1(12.5

8

3(6%)

1(2%)

)
9(18%)

9(18%)

6(12%)

2(4%)

)
9(18%)

%)
2(4%)

50

0

0

0

0

0

0

0

0

0

0

4

7

3

17

17

9

3

17

3

90

2(6.3%)

4(12.5

2(6.3%)

7(21.9%

)
Inadequate 0(%)

0(%)

)
0(%)

Should be 7(14%)

2(4%)

improved
Others

0

specify
Total

10

41
Figure 4.7

4.3.4

Research question four: What is the level of the commitment of the

management to staff capacity building?
From the table 4.8 showed that the management is committed having the higher
percentage 34(42.5%) followed by highly committed 26(32.5%), partial committed 17
(21.3%), not committed 2(2.5%) while 1(1.2%) respondent was undecided.

42
Table 4.3.5: Level of Commitment of Management to Capacity Building Programmes

43
Level

of CRIN

DOMINICAN FRIN

IMMANUEL IAR&T

NIHORT

NISER

NISLT

commitment

OD
U

Highly

3(11.5%

1(3.8%)

5(19.2%

0(%)

5(19.2%

Committed
Committed

)
4(11.8%

Partially

3(11.5%)

2(5.9%)

)
2(5.9%)

0(%)

)
6(17.6%

7(20.6%)

)
2(11.8%

0(%)

0(%)

3(17.6%)

)
1(5.9%)

committed
Not

)
0(%)

0(%)

0(%)

0(%)

committed
Undecided
Total

0(%)
9

0(%)
3

0(%)
7

0(%)
3

0(%)

0(%)

9(34.

6(17.6%

2(5.9%

)
5(14.

5(29.4%)

)
1(5.9%)

)
0(%)

)
3(17.

0(%)

1(50%)

0(%)

0(%)

)
0(%)

0(%)
12

0(%)
16

0(%)
7

0(%)
2

1(100
18

Figure 4.8

4.3.5

Research question five: How can staff capacity building be promoted in

special libraries?

44
From the

Table 4.9 showed that capacity building of staff can be

promoted in special libraries through making fund available for training
programme with the highest respondents 68 (15.7%) followed by organising
regular training 66 (15.2%), trainee should be encouraged to apply knowledge
gained 66 (15.2%), staff should be sponsored for oversee training 60 (13.8%),
outstanding performance should be rewarded 60 (13.8%), proper training needs
assessment 57 (13.1%) and right training technique should be employed 57
(13.1%).

45
Table 4.3.6: How to Promote Capacity Building Programmes in Special Libraries

How to
promote
capacity
building
Organising
regular
training
programme
Fund should
be made
available
Proper
training needs
assessment
Right training
techniques
should be
employed
Staff should be
sponsored for
oversee
training
Trainee should
be encouraged
to apply
knowledge
gained
Outstanding
performance
should be
rewarded
Total

CRIN

DOMINICAN

FRIN

IMMANUEL IAR&T

NIHORT

NISER

NISLT

ODEKU

TOTAL

13(19.7%)

2 Division
Nigerian
Army
Library
2(3.0%)

6(9.1%)

3(4.5%)

7(10.6%)

3(4.5%)

10(15.2%)

14(21.2%)

6(9.1%)

2(3.0%)

6(8.8%)

2(2.9%)

7(10.3%)

2(2.9%)

10(14.7%)

14(20.6%)

7(10.3%)

2(2.9%)

16(23.5%)

2(2.9%)

68

7(12.3%)

2(3.5%)

7(12.3%)

2(3.5%)

9(15.8%)

10(17.5%)

6(10.5%)

2(3.5%)

9(15.8%)

3(5.3%)

57

6(10.5%)

1(1.8%)

7(12.3%)

3(5.3%)

10(17.5%)

9(15.8%)

7(12.3%)

2(3.5%)

10(17.5%)

2(3.5%)

57

7(11.7%)

2(3.3%)

7(11.7%)

2(3.3%)

10(16.7%)

9(15%)

6(10%)

2(3.3%)

14(23.3%)

1(1.7%)

60

7(10.6%)

2(3.0%)

7(10.6%)

3(4.5%)

9(13.6%)

13(19.7%)

6(9.1%)

2(3.0%)

15(22.7%)

2(3.0%)

66

6(10%)

2(3.3%)

7(11.7%)

2(3.3%)

10(16.7%)

11(18.3%)

5(8.3%)

2(3.3%)

13(21.7%)

2(3.3%)

60

45

14

49

17

68

80

43

14

90

14

434

46

66
Figure 4.8

4.4

Discussion of the findings

The study was conducted on capacity building of library staff of selected special libraries
in Oyo State Nigeria. The concept ‘capacity building’ also referred to as ‘manpower
development’, ‘human resource development’, ‘staff development’, and ‘personnel
development’ can be conceived as any conscious and deliberate effort, endeavour, facility
and opportunity provided to the employees of an organization, establishment and outfit
irrespective of their status to improve their skills, attitude, behaviour, experience, ideas
knowledge, education and information acquisition with the view to enhance their
performance and productivity for ensuring optimal success in achieving the overall
objectives, goals, mission and aspirations of both the employer and the employee.
Naturally, beside the availability of funds, information, technology and other relevant
material infrastructure and resources in an organization, human resources is needed to
activate, coordinate, manage all the factors of production and the functions, operations
systems and activities of the organization to survive and succeed in achieving its specific
and overall objectives, goals and mission. The quality of the staff in an organization will
be a sine qua non to the extent to which it will achieve its objectives, goals and mission

47
this makes human resources the most important asset of the organization. Just as the other
assets of the organizations like building, plant and machinery are subject to depreciation,
human capacity to perform in libraries and information centers are also subject to
depreciation if deliberate efforts are not taken to arrest the situation through initiating
capacity building programme on continual basis. Ten special libraries in Oyo state of
Nigeria was sampled to collect data for this study and the findings

revealed that

seminar /workshop 61 (21%) is the most widely used capacity building programme in
most of the libraries sampled followed by conferences 52(17.9%), followed by on the job
training 43(14.8%), followed by in service training 42(14.5%), followed by library school
courses 27(9.3%), followed by consultants and special training 24(8.3%) followed by
spending time in libraries of developed countries libraries and classroom/ lecture method
14(4.8%) and non credit earning short courses which is the least adopted capacity
building programme 13(4.5%) the result of the finding is similar to some of the various
capacity building listed by Mabawonku (2005). These capacity building programmes in
the findings are similar to what Ojiambo (1992) recommended in his developing human
resource capacity for information services in Africa. He emphasized that training can be
conducted in these ways, former training leading to a certificate, diploma or degree which
involves sending staff on formal training programmes and if management has decided to
adopt this method, the knowledge and skills to be acquired and the institutions that can
offer such needed skills must be identified before embarking on it.
Continuing education programme in form of short courses, seminars or workshops,
in a specific area of study for a particular group of participants. Short courses can be
organized internally as in-service programmes or externally. Ojiambo(1992) concluded
with industrial attachment which he admitted that it is very useful for newly employed
staff. However attachment should be carefully planned and the participants be supervised
by experienced and qualified staff, competent employee can be sent abroad for
attachment in highly special areas.
The findings show that staff capacity building programmes have the following
benefits; it brings about efficient staff 56(19.4%) followed by improved productivity 55
(19.1%), efficient service delivery 53 (18.4%), followed by well motivated staff and
highly skilled staff 50(17.4%) and reduced cost of operation is the least benefit 24(8.3%)

48
the finding is similar to some benefits highlighted by Yesufu (2000) who emphasized that
training of personnel enhances productivity and improves job performance. Other
advantages of training include reduction in cost, reduced staff turnover, human resources
reserve, faster decision, continuity of effort, improvement in employee morale,
availability for future personnel needs of the organization, improvement in health and
safety, reduced supervision, personal growth and organizational stability (Chandan,
2000).
This finding is further endorsed by go2 Tourism HR Society (2011) who stated
that staff capacity building in form of training and development is essential for specific
purposes related to your business. You may require new workers to undertake instruction
in first aid, food handling or a new booking system. Incorporating training that develops
employees toward long-term career goals can also promote greater job satisfaction. A
more satisfied employee is likely to stay longer and be more productive while on your
team. Training reduces cost of turnover. A recent survey indicates that 40 per cent of
employees who receive poor job training leave their positions within the first year. They
cite the lack of skills training and development as the principal reason for moving on.
Consider the cost of turnover. With one fewer worker, your company’s productivity slips.
Sales decline. Your current staff members are required to work more hours. Morale may
suffer. To find a replacement, you spend time screening and interviewing applicants.
Once you hire someone, you need to train that person.
The cost of staff turnover adds up. Figures vary, but it can cost as much as
$2,500, depending on the position, to replace a frontline employee. That is a hefty price
to pay for not training staff. Despite the initial monetary costs, staff training pays back
your investment. Here are just some of the reasons to take on development initiatives:
Training helps your business run better. Trained employees will be better equipped to
handle customer inquiries, make a sale or use computer systems. Training is a recruiting
tool. Today's young workers want more than a pay cheque. They are geared toward
seeking employment that allows them to learn new skills. You are more likely to attract
and keep good employees if you can offer development opportunities. Training promotes
job satisfaction. Nurturing employees to develop more rounded skill sets will help them
contribute to the company. The more engaged and involved they are in working for your

49
success, the better your rewards. Training is a retention tool, instilling loyalty and
commitment from good workers. Staff looking for the next challenge will be more likely
to stay if you offer ways for them to learn and grow while at your company. Don't give
them a reason to move on by letting them stagnate once they've mastered initial tasks.
Training adds flexibility and efficiency. You can cross-train employees to be capable in
more than one aspect of the business. Teach them to be competent in sales, customer
service, administration and operations. This will help keep them interested and will be
enormously helpful to you when setting schedules or filling in for absences. Crosstraining also fosters team spirit, as employees appreciate the challenges faced by coworkers. Training is essential for knowledge transfer. It's very important to share
knowledge among your staff. If only one person has special skills, you'll have a tough
time recouping their knowledge if they suddenly leave the company. Spread knowledge
around — it's like diversifying your investments. Training gives seasonal workers a
reason to return. Let seasonal employees know there are more ways than one to
contribute. Instead of hiring someone new, offer them a chance to learn new skills and
benefit from their experience.
On the perception of staff of the capacity building programme of these special
libraries, the study shows that 32respondents (35.6%) perceived the capacity building
programmes of the libraries as being adequate, 8 respondents (8.8%) perceived it as being
inadequate, 50 respondents (55.6%) perceived the capacity building programmes of these
libraries as a matter that needs improvement. Library and information profession is very
dynamic, it is a profession that was borrowed from a number of disciplines (Aina,
2004) ,therefore anything that impacts on these disciplines will definitely affects library
and information profession. Information and communication technology (ICT) has
radically transformed most of the services provided by the library. ICT is heavily being
used in the storage, processing and dissemination of information. Even the vocabulary of
librarianship is changing; “dissemination” is being replaced by “communication”
“repository” by “databases”. “literature” by “knowledge” search by “navigation” etc.
Any modern library and information professional must be knowledgeable in
library automation, networking, internet surfing, database management, processing
software, statistical software etc. For professionals and other library staff to keep pace

50
with the latest development, the management of the library cannot be relied upon to
single handedly design the capacity building programmes that would suit every
categories of workers.(Ogunsola,2011) This is not to cover inefficiency of the
management in capacity building of the library staff, the truth of the matter is
professionals and other categories of staff should make personal development a matter of
priority while continuous pressure should be mounted on the management to improve on
her capacity building programmes, personal efforts should be made in sponsoring
themselves to training and development programmes that can improve their competence.
The researcher tried to know the level of commitment of the management to the
capacity building of library staff by the management of the various libraries studied. The
result shows that 26 respondents (32.5%) agreed that their management is highly
committed, 34 respondents (42.5%) agreed that their management is committed, 17
respondents (21.3%) agreed that their management is partially committed, 2 respondents
(2.5%) agreed that their management is not committed while 1 respondent (1.2%) is
undecided. From the findings of this research work, it was revealed that the
management’s commitment to capacity building is only restricted to what is available
locally, while much has not being done in the area of sending employees to developed
countries for capacity building. Efforts should be intensify to allow professionals to spent
time in developed countries libraries to equip themselves with needed skills that could be
used to transform special libraries and other types of libraries in Nigeria and to be
exposed to global best professional practices. It should also be noted that information
technology is the driven force of the modern librarianship and the level of our
technological development in Nigeria is very low, the management of these libraries
should not forget that the library has a lot to gain if this method can be adopted.

51
CHAPTER FIVE
SUMMARY, CONCLUSION AND RECOMMENDATION
5.1 SUMMARY
Staff capacity building in special libraries is a matter that requires a continuous
attention in this information age when special librarians and other library workers are
expected to provide essential information and services to meet critical information needs
of the parent organization. To be able to do this, special librarians and other library staff
need to be knowledgeable

in the areas of information resources, information access,

technology, management and research and the ability to use these areas of knowledge as
a basis for providing library and information services.
The concept ‘capacity building’ also referred to as ‘manpower development’,
‘human resource development’, ‘staff development’, and ‘personnel development’ can be
conceived as any conscious and deliberate effort, endeavour, facility and opportunity
provided to the employees of an organization, establishment and outfit irrespective of
their status to improve their skills, attitude, behaviour, experience, ideas knowledge,
education and information acquisition with the view to enhance their performance and
productivity for ensuring optimal success in achieving the overall objectives, goals,
mission and aspirations of both the employer and the employee. (Mohammed, 2009)
There are various methods employed in special libraries for the purpose of
capacity building they are conferences, seminar/workshop, spending time in developed
countries libraries for the purpose of skill acquisition, library school courses, on the job
training, classroom/lecture method, consultants and special training, in service training
and non credit earning short courses. The roles that staff capacity building can play in
libraries are inestimable, it enhances productivity and capacity building in terms of
training is the most important direct means of upgrading the human intellect and skills for
productive employment (Yesufu, 2000). Other benefits are reduction in cost of
production/operation; it reduces employee turnover, faster and qualitative decisions,
continuity of efforts, improvement in employee morale, improvement in health and
safety, reduced supervision, personal growth and organizational stability (Chanda, 2000).
52
The findings of this research work revealed that seminar /workshop is the most
widely used capacity building programme in most of the libraries sampled followed by
conferences, on the job training, in-service training, library school courses, followed by
consultants and special training followed by spending time in libraries of developed
countries libraries and classroom/ lecture method

and non credit earning short courses

which is the least adopted capacity building programme. The respondents agreed that
capacity building has the following benefits efficient staff as the major benefit of capacity
building programme followed by improved productivity, efficient service delivery,
followed by well motivated staff and highly skilled staff and reduced cost of operation.
The study shows that libraries staff in these ten special libraries sampled for this
study have different perception of the capacity building programme of the management
of their libraries, 32(35.6%) respondents perceived capacity building programmes of their
libraries to be adequate, 8 respondents (8.8%) perceived it to be inadequate, while the
respondents who perceived capacity building programmes of the managements of these
libraries as matters that should be improved are the highest 50 respondents (55.6%).
The researcher sought to know the commitment of the libraries sampled to staff
capacity building, 58 respondents agreed that the management is committed to giving
permission to staff to attend training programmes, 57 respondents agreed that qualified
staff are given permission to take part-time/ full time programmes, 43 respondents agreed
that the management is committed to encouraging trainees to apply knowledge gained
from the training programmes, 36 respondents agreed that the management is committed
to paying training allowances to staff undergoing training programmes, 35 respondents
agreed that the management is committed to approving study leave to staff that merit it,
34 respondents agreed that the managements of their libraries are committed to regular
training of the staff, 30 respondents agreed that the management is committed to making
funds available for training. 23 respondents agreed that management is committed to
sending staff oversee for training while 4 respondents are of the opinion that their own
managements are committed to any of these.
The research tried to know the level of commitment of the management of the
libraries sampled, 26 respondents (32.5%) rated their management as highly committed
to staff capacity building, 34 respondents (42.5%) agreed that their managements are

53
committed, 17 respondents (21.3%) agreed that their management is partially committed,
2 respondents (2.5%) agreed that the management is not committed and 1 respondent is
undecided. One can conclude that the management of these libraries are committed to
capacity building and what is needed is improvement so that the employees would be
well equipped to cope with changes that are taking place in library and information
profession and for optimum productivity.
5.2

CONCLUSION
The basic function, duty and responsibility of a typical library and information

centre personnel is to manage the human knowledge through collection and acquisition of
all available relevant information resources (printed and non printed), organization and
manipulation of the information resources, preservation and storage of the information
resources and retrieval and dissemination of the relevant information to the right users in
the most appropriate package, channel location and time. However, the extent to which
the library and information centre staff is able and capable of performing his/her duties
and responsibility effectively and efficiently will be a function of several factors which
include the acquisition of relevant skills, experiences, ideas education and training.
Hence, the need for human capacity building in not only in special libraries but rather in
all types of libraries and information centres, organizations and institutions.
The concept ‘capacity building’ also referred to as ‘manpower development’,
‘human resource development’, ‘staff development’, and ‘personnel development’ can be
conceived as any conscious and deliberate effort, endeavour, facility and opportunity
provided to the employees of an organization, establishment and outfit irrespective
of their status to improve their skills, attitude, behaviour, experience, ideas knowledge,
education and information acquisition with the view to enhance their performance and
productivity for ensuring optimal success in achieving the overall objectives, goals,
mission and aspirations of both the employer and the employee. Naturally, beside the
availability of funds, information, technology and other relevant material infrastructure
and resources in an organization, human resources is needed to activate, coordinate,
manage all the factors of production and the functions, operations systems and activities

54
of the organization to survive and succeed in achieving its specific and overall objectives,
goals and mission. (Mohammed and BOT, 2009)
The quality of the staff in an organization will be a sine qua non to the extent to
which it will achieve its objectives, goals and mission. Mohammed (2003) observed that
the personnel in the 21`st century organizations and establishment, of which libraries and
information centres are one, need more education, training, knowledge, skills, ideas,
experiences, information and enlightenment now more than ever before in order to cope
with the challenges of the time. He added that, the personnel who continue to improve in
their knowledge, experience, education, information ideas and skills acquisition as well
as grow positively in their attitudes, behaviours, performance and productivity in their
work place, will eventually make a better employees with stronger feeling of self
satisfaction and fulfillment about their work and assurance of ensuring the achievement
of the objectives, goals and mission of their employers and of themselves.
Capacity building of staff in special libraries should be addressed through formal
education in library and information science programmes and continuing education of
staff. It is also important that in developing an educational programme for librarians,
employers and trainers should look beyond competencies and skills to changing the
philosophy, attitudes and mindset of the professionals in the field. There is need to
continue research into what kind of models should be used in the training of African
librarians to meet up with present challenges.
The level of professional training in information technology should be increased
now that information and communication technology is increasingly being deployed by
libraries most especially special libraries because the level of training in this area by the
professional and paraprofessional library staff is generally inadequate (Ajidahun, 2007).
Greater efforts must be made to provide adequate training programmes in information
technology and other related subjects for library staff, especially professional staff, in
order to make them relevant and adequate to face the technological challenges of the
twenty–first century. Special libraries should therefore begin to initiate capacity building
process which will involve among other things, a definition of goals and objectives, an
assessment of staff strengths and weaknesses, development of long– and short–range
training programmes, the implementation and evaluation of the effectiveness of the

55
programme. If the staff capacity building programmes are well implemented, the issue of
lack of resources to sponsor staff to attend professional workshops, conferences and
seminars may no longer arise. This is because priority attention will be put on human
resources development; consequently, the right funds will be provided for overall
development of the libraries and information centres.
5.3

RECOMMENDATIONS
Staff capacity building is a must in special libraries if they are to remain relevant

in this digital age. Based on my findings, I therefore make the following
recommendations:
Adequate annual budgetary provision should be made available for staff capacity
building programmes in special libraries;
Management should make provisions for librarians and other library staff to spend
time in developed nations libraries for the purpose of skill acquisition and to be abreast of
the latest development in the profession and global best professional practices;
Training allowance should be paid to staffs undergoing training programmes to
further motivate them to acquire needed skills and to apply them to work situations;
There should be a proper training need assessment before embarking on any
training programme so that the resources available could be optimally utilized and the
training would be able to address skills deficiencies;
There should be a forum for special librarians to interact share knowledge and
exchange ideals; this will further build the capacity of professionals in special libraries;
Workshops, seminars and conferences should be accorded priority to provide a
platform for exchange of information and to build capacity of various categories of staff
in the library;
The management should improve their commitment to capacity building of
library staff through training and retraining programmes and look beyond cost
implications of training so as to enjoy benefits training will bring to the libraries;
The management should encourage trainees to apply knowledge gained from
the training programmes so that capacity building programmes will not be seen as a
formality and this will make them to be more committed;

56
Library association such as NLA, SCALUWA should make training of
librarians on modern practices a priority;
Library school should overhaul their curricula to accommodate the recent
advances in information and computer technologies in order to make their products
relevant to modern society;
Libraries staff should be well exposed to Information and Communication
Technology (ICT) and the various ways of its application to Library services;
Government and owners of special libraries and information centres in the
country must also accord the provision of facilities and adequate remuneration for the
purpose of utilization and retention of acquired skills;
Institutions should take a critical look at their organizations with a view to
carrying out necessary restructuring leading to the recruitment of fresh personnel in
appropriate areas and the commensurate assignment of duties and tasks. This will ensure
maximum use of knowledge and skills acquired;
Information training institutions and departments must carry out a reassessment of
their training curriculum and make it conform to the training needs of today's library and
information work environment;
Management should be rewarding outstanding performance, this will make library
staff to always strive for excellence;
On the job training in terms of short courses, conferences and workshops must
also be carefully examined such that it meets the training needs of the personnel in
organizations in order to address the recurring problem of obsolescence among
information workers while the provision of adequate budget for this purpose must be
priortised.

57
REFERENCES
Abiodun, E.J. A.1999. Human resources management, an overview. Lagos: Concept
Publication. 110-121.
Adamolekun, L. 1983. Public Administration: Nigeria and Comparative
Perspective. London: Longmans.
Adebayo A. and Rowland, L.1972. Local Government Finance in
Nigeria. Ile-Ife: University of Ife Press.
Adedigba, Y.A., et al. 1995. Education and Training in Library
Automation in Africa: IITA’s Contributions. African Journal of
Library, Archives and Information Science 5.1: 55–64.
Adeniyi, O.I.1995 Staff training and development in Ejiogu, A; Achumba, I. Asika
Eds. Lagos: Maltho use Press Ltd. 159-167.
Adetoro, N, Oyefuga, A. B and Osunkoya. 2010. Capacity building for sustainable
Library and information services development in Nigeria Journal of research in
national development .8.1
Aina, L.O. 2004. Library and information science text in Africa. Ibadan: Third World
Information Sciences Ltd. 27- 38
Ajibade, E.S. 1993. Staff development and in-service for teachers in Ajibade (Ed)
Emia Nigerian Educational issues policies and practice in the eighties and beyond.
Publication. 147-157
Ajidahun, C. O.2007. The Training, Development and Education of Library Manpower
in Information Technology in University Libraries in Nigeria. World Libraries
17.1.
Akhigbe, O. O. 1997. Professional Skills Required by Nigerian Library/ Information
Centres of the Future. Nigerian Libraries 31.1 & 2: 1–11.
Alokun, N.A.T. 2004. The use of library: a textbook for students in tertiary institutions.
Lagos: Nudex International Company. 16-24
Arag ´ on-S´anchez A, Barba-Arag ´on I, Sanz-Valle R. 2003. Effects of training on
business results. International Journal of Human Resource Management
14:956–80

58
Arthur W. J. 2003. Effectiveness of training in organizations: A meta analysis of
design and evaluation features. Journal of Applied Psychology 88:234–45
Ashu, M and Clendening, L. 2007. It takes a library to raise a community,
Partnership. The Canadian Journal of Library and Information Practice and
Research 2. 2.
Ballantyne, P. Labelle, R. and Rudgard, S. 2000. Information and Knowledge
Management: Challenges for Capacity Building. Maastrich: ECDPM (Policy
Management Brief) 11: 2.
Banti, R.C. 2008. Staff development and continuing education in a technological
University library in Nigeria: The Abubakar Tafawa Balewa University
example. Gateway Library Journal 11.1: 25-32
Beardwell, I. and Holden, L.1997. Human resources management. 2nd ed. London:
Putnam Publishers.
Bender, D. 1998. What’s special about special libraries? – SLA and the continuous
education challenge INSPEL 324:197-204
Billings, H. 1995. The Tomorrow Librarian. Wilson Library Bulletin 69. 5: 34–37.
Bolger, J. 2000. Capacity development : Why, what and how in capacity development.
Occasional series. CIDA, policy branch Canadian International Development
Agency 1.1
Botha, E. and Erasmus, R. 2009. Evaluating the impact of a special library and
information service. Journal of librarianship and information science 41.2
Brown K. G. 2007. Applying a social capital perspective to the evaluation of distance
training. In Where is the Learning in Distance Learning? Towards a Science
Distributed Learning and Training, ed. SM Fiore, E Salas. Washington, DC:
American Psychology Association. 41–63.
Burton, G. and Manab, T. 1997. Management Today: Principles and Practice.
New Delhi: McGraw–Hill.
Bryant, J. and Poustie, B. 2001. competencies needed by public library staff. Gütersloh:
Kay elsmann Foundation
Canadian Association of Research Libraries 2010. Core competencies for 21st Century
CARL librarians. Canada : Canadian Association of Research Libraries

59
Chandan, J. S. 2000. Management: Theory and Practice. New Delhi: Vikas Publishing
House PVT Ltd.
Collins, D.B. 2004. The effectiveness of managerial leadership development programs:
A meta analysis of studies from 1982 to 2001. Human.Resource Development.
Quarterly 15:217–48.
Craig, R.L. 1976. Training and development handbook. London: McGraw Hill
Darch, H, and Lucas, T. 2002. Training as an e-commerce enabler. Journal of Workplace
Learning 14:148–55
David, O. 1987. Buying Software: A Customer Survival Kit. Audiovisual.
Librarian 13.1: 50–53.
Diejomah, V. 1982 Manpower Development Management in Nigeria.
Dyer, W. G., Robert, D. and William G.1990 The Fielden challenges of management.
San Diego: Harcourt Brace–Jovanovich.
Edoka, B. E. 2000 Introduction to library science. Onitsha: Palma publishing. 191
Erika, B. and Martie, V. 2009. Evaluating the impact of a special library and information
service. Journal of librarianship and information science 41.2.
Fareed, K. A. 2009. Benefits of Training and Development Programs” retrieved from
www.expertscolumn.com/content/benefits/training/development.
Fisher, W. and Matarazzo J. M. 1993. Professional development for special librarians:
formal education and continuing education for excellence” Library trend fall
Fourie, k. D. and Dowell, R. D. 2002 Libraries in the information age: An Introduction
and career exploration. Colorado: Libraries Unlimited. 76-89
go2 Tourism HR Society. 2011 “Employee Training is Worth the Investment” retrieved
from http: // www.go2hr.calForbrEmployers/Training Development/
returnoninvestment/HighcustomerRetentionatDestinationsnow/tabid/442
default.aspx.
Goldstein, I.L, Ford, J. K. 2002. Training in Organizations. Belmont, CA: Wadsworth.
Guerrero, S. 2004. High-involvement practices and performance of French firms
International Journal of Human Resource Management. 15:1408–23
Harvard–Williams, P.1981 Professional Education: A Personal View.
International Library Review 13. 4: 351–56.

60
Healthlink worldwide 2003. Works to improve the health of poor and vulnerable
communities by strengthening the provision, use and impact of information.
London: Healthlink Worldwide
Holt, G. 2007. May you live in interesting times. Informed Librarian Online.
www.informedlibrarian.com/guestForum.cfm?FILE=gf0704.html.
Hyman, M. 1991 “A Software Supplier’s View of Training and Support
— Can You Really Survive Without Them? Library Micromation News 31:911
Huang, J and Wong, K. 2006 Technical services and user service improvement.
Library Management 2. 6/7: 505-514.
available at: www.emeraldinsight.com, accessed 27 August, 2009.
Isyaku, I.A. 2000. Training and retraining of Teachers through Distance Education.
Being apaper presented at the National Workshop on Distance Education Held
at Abuja Nigeria. 27-29
Ita, N.O. 1991 Education for Librarianship in Nigeria: A Re–assessment.
Nigerian Libraries 25&26, 1–4 : 86–99.
Jones, G.R., George, J.M. and Hill, C.W.L. 2000. Contemporary Management.
New York: Irwin and McGraw Hills
Jones, M.L and Blunt, P. (1999), Twinning as a method of sustainable institutional
capacity building Public Administration and Development 19.1: 381-40
Kumar, K. 1997. Library Administration and Management. New Delhi: Vikas Publishing
House PVT Ltd.
Lafontaine, A. 2000 Assessment of Capacity Development Efforts of Other
Development Cooperation Agencies. Capacity Development Initiative, 2
GEF-UNDP Strategic Partnership.
Litchfield, Charles A. 1990 Vendor Training: A Question of Commitment to user success
Journal of Library Administration 12. 2: 2–12
Mabawonku, I. 2001. Providing Information for Capacity Building:
The Role of an NGO Library in Nigeria. Information Development 17.2:100-106
Mabawonku, I. 2005. Capacity Building for the Sustenance of Library Consortia in
African University Libraries. Proceedings of SCAULWA Conferences, Darka

61
7-11th November.107
Mabey, C. and Ramirez, M. 2005. Does management development improve
organizational productivity? A six country analysis of European firms.
International Journal of Human Resources Management. 16:1067–82
Metzger, A.J. 1992. The Training of Teacher Librarians for Community Junior
Secondary Schools in Botswana. African Journal of Library Archives and
Information Science 2. 2: 141–147.
Mohammed, Z and BOT, N. G.2009. Capacity Building For Library and Information
Centre Personnel in ICT Environment. Samaru Journal of Information Studies
9. 1
Moyo, L. M. 1996. The Training Component of the Support Services offered by software
vendors in Botswana.” African Journal of Library, Archives and Information
Science 6, no. 2 (1996): 113–120.
Mullins, L.J. 1999. Management and Organisational Behaviour. London: Prentice Hall
Muller, B. 2008 Challenges facing special libraries in South Africa. Johannesburg:
Gordon Institute of Business Science.107-119.
Nawe, J. 2004. Strategizing financing of public university libraries in East
Africa. Library Management 25 .8/9:381-385.
Nzotta, B.C. 1984 Library Manpower and Education: 1962–1983. Nigerian
Libraries 20: 39–52.
Ogunseye, F.A. 1984. 21 Years of Library Service: Keynote Address. Nigerian
Libraries 20: 1–14.
Ogunsola, L.A. 2011. Libraries as tools for capacity building in developing countries.
Library Philosophy and Practice: 1-7.
Ojiambo, J.B. 1992 Developing Human Resource Capacity for Information
Services in Africa. African Journal of Library, Archives and
Information Science 2. 2: 83–92.
Oketunji, Ibidapo. 2001 Education of librarians in an electronically oriented society,
paper presented at the Cataloguing, Classification and Indexing Section of the
Nigerian Library Association’s Seminar/Workshop on Software Choice
Parameters for Cataloguing in Nigerian Libraries, held at the Conference Hall of

62
Ondo State Branch of the National Library of Nigeria, Akure, 22–27 October.
Oribabor, P.E. 2000.Human Resources Management, A Strategic Approval.
Human resources management 9.4: 21 – 24
Perrucci, R. and Tothman, R. 1969 Obsolescence of Knowledge and the
Professional Career, In: Perrucci, R. and J.E. Gerstl. The Engineers and
the Social System. New York: John Wiley. 247–275.
Poll, R. 2005. Libraries – A Voyage of Discovery’, World Library and Information
Congress: 71st IFLA general Conference and Council, Oslo, 14–18 August, URL
http://www.ifla.org./IV/ifla71/Programme.htm
Poll, R. 2007. Quality Measures for Special Libraries World Library and Information
Congress: 73rd IFL general conference and council, Durban, 19–13 August,14
URL http://www.ifla.org/IV/ifla73/papers/152-Poll-en.pdf
Schermerhorn, J.R.1989. Management for productivity. New York: Wiley. Street, M.D.,
Street, V.L. 2006. Taking sides: Clashing views on controversial issues in management.
USA: McGraw-Hill.
Senge, P., Kleiner, A., Robberts, C. and Smith, B. 1999. A fifth discipline resource: The
dance of change . London: Nicholas Brealey Publishing.
Shin, E. J. and Kim, Y. S. 2002. Restructuring library organizations for the
twenty-first century: the future of user-oriented services in Korean
academic libraries AslibProceedings 54.4: 260-266.
available at: www.emeraldinsight.com, accessed 27 August, 2011
Silver, G. A. 1981 .Introduction to Management. St. Paul, Minn.: West Publishing.
Sidorko, P. E. and Yang, T. T. 2009. Refocusing for the future: meeting user
expectations in a digital age . Library Management 30.1/2: 6-24.
Society for Human Resource Management . 2002b. SHRM learning system.
Module3: Human resource development. Alexandria, VA: SHRM.
Special Libraries Association. 2003 Special Committee on Competencies for Special
Librarians: Competencies for information professionals of the 21st century.
Revised edition. www.sla.org/content/learn/comp2003/index.cfm.
Standing Conference of African University Libraries, Western Area .2002.
Publishing, Stoner, J.A.F., R.E. Freeman, and Daniel A. Gilbert.

63
Management. New Delhi: Prentice–Hall
Tippelt, R. 2003. Competency-based training Compilation of seminar subject matter:
Training the trainers. Germany: Capacity Building International.
Tadele, F. and Manyena, S.B. 2009. Building disaster resilience through
capacity building in Ethiopia, Disaster Prevention and Management,
18.3: 317-326, available at:www.emeraldinsight.com
Ugbokwe, C.U.1998. Staff Development: A Motivational Tool in
University Library Management. Library Bulletin 3. 1 & 2: 74–77.
Umar, I. 2004. Libraries as tools for Professional Development. Paper
Presented at Nigerian Library Association Conference and AGM at Akure,
Nigeria, June 20 – 25, 27-30.
UNDP/UNDOALOS, 1994. Report on the Consultative Meeting on
Training in Integrated Management of Coastal and Marine Areas for
Sustainable Development, Sassari, Sardinia, Italy, 21-23 June, 1993.
United Nations Development Programme and Division for Ocean Affairs, United
Nations, New York
UNDP. 1998. Capacity Assessment and Development. Technical Advisory
Paper No.3.http://magnet.undp.org/Docs/cap/CAPTECH3.htm Accessed 13
April 2011.
Vallejo, S.M. 2006. Are we meeting the challenges for capacity building
for managing ocean and coasts?, Balboa, Panama, November 13-14.
Wilson, T. 1989. Towards an Information Management Curriculum.
Journal of Information Science 15. 4 & 5: 203–209
Witten, I H. 2002. The promise of digital libraries in developing countries” The
Electronic Library 20.1:7-13, available
http://www.emeraldinsight.com/Insight/ViewContentServlet?contentType=
Article&Filename=Published/EmeraldFullTextArticle/Articles/2630200101.html,
Yesufu, T.M. 2000. The Human Factor in National Development. Benin
City: University of Benin Press and Spectrum Books Ltd.

64
UNIVERSITY OF IBADAN
DEPARTMENT OF LIBRARY, ARCHIVAL AND INFORMATION STUDIES
CAPACITY BUILDING OF LIBRARY STAFF (CBLS)
QUESTIONNAIRE
Dear Respondent,
I am a Master’s student from the Department of Library, Archival and
Information Studies, University of Ibadan. I am conducting a study on capacity building
of library staff in partial fulfillment of the requirements for the award of Master Degree
of Library and Information Studies (MLIS). I solicit your assistance in completing the
questionnaire and all the information supplied will be treated as confidential and used
only for academic purpose.

Yours faithfully,
Owoeye Peter O.
SECTION A
Demographic variables
Tick the Column Where Appropriate
1. Gender : Male ( ) Female ( )
2. Designation………………………………………
3.

Name of the library……………………………………

4.

Educational Qualification : Ph.D (

BLIS, B.Sc, B.ed, B.A ( ) HND (
5. Working experience: 0- 5years (

)MLS ( ) M.Sc., M.A, M. Ed ( )

) ND (

) SSCE ( ) Primary school certificate( )

) 6- 10 years ( ) 11- 15 years ( ) 16- 20 years ( )

21- 25 years ( ) 26 – 30 years ( ) 31- 35 years ( )

65
SECTION B: TYPES OF CAPACITY BUILDING PROGRAMMES
(1) What are the capacity building programmes employed by the management of your
library?
S/N Capacity building programmes
1
2
3
4
5
6
7
8
9
10

Tick

Conferences
Seminars/ workshops
Spending time in libraries of developed countries
Library school courses
On-the –job training
Classroom/ lecture methods
Consultants and special training
In-service training
Non-credit earning short courses
Others specify

SECTION C: BENEFITS OF THE OF STAFF CAPACITY BUILDING
(2) What are the benefits of the capacity building programme of the library?
S/N
1
2
3
4
5
6

Benefits of capacity building
Efficient staff
Improved productivity
Well motivated staff
Highly skilled staff
Efficient service delivery
Reduced cost of operation

Tick

SECTION D: PERCEPTION OF STAFF CAPACITY BUILDING PROGRAMME
(3) How do you perceive staff capacity building programmes of the library?
S/N
1
2
3
4

Perception
Adequate
Inadequate
Should be improved
Others specify

Tick

66
SECTION E: LEVEL OF COMMITMENT OF MANAGEMENT TO STAFF
CAPACITY BUILDING
(4) Which of the following is management committed to?
S/N
1
2
3
4
5
6
7
8
9
10

Management’s commitment
Regular training
Funds are made available for training
Training allowance are paid to staff undergoing training
Permissions are given to staff to attend training programmes
Trainees are encouraged to apply knowledge acquired
Staffs are given permission to take part time/ full time courses
Study leaves are approved for qualified staffs
Staffs are sent to oversee for training
The management is not committed to any
Others specify

Tick

(5) What do you think is the level of management’s commitment to staff capacity
building?
S/ Levels of commitment Tick
N
1
2
3
4
5

Highly committed
Committed
Partially committed
Not committed
Undecided

(6) SECTION F: OPINION ON HOW TO PROMOTE CAPACITY BUILDING IN
SPECIAL LIBRARIES
S/N How to promote capacity building in special library
SA A
D
SD
1
Organising regular training programme
2
Funds should be made available
3
Proper training needs assessment before training
4
Right training techniques should be employed
5
Staffs should be sponsored for oversee training
6
Trainee should be encouraged to apply knowledge gained
7
Outstanding performance should be adequately rewarded
8
Others specify

67

CAPACITY BUILDING OF LIBRARY STAFF OF SELECTED SPECIAL LIBRARIES IN OYO-STATE, NIGERIA.

  • 1.
    CHAPTER ONE INTRODUCTION 1.1 Background tothe study Bolger(2000) defined capacity as the abilities, skills understanding, attitudes, values, relationships, behaviours, motivations, resources and conditions that enable individuals, organizations, network/sectors and broader social system to carry out functions and achieve their development objectives over time. According to Umar (2004), a number of professional development activities have been created; however, nearly all these activities and programmes revolve around continuing professional education. Continuing education plays an important part in professional development. Training and retraining, staff exchanges, links with similar and related professions, etc are other activities professionals undertake to develop themselves. The concept of capacity has been defined as the power of something to perform or to produce. From the UNDP perspectives, it is the ability of individuals and organizations or units to perform functions effectively, efficiently, or sustainably. Alternatively, it can refer to the people, institutions, and practices that enable a country to achieve its development objectives. Capacity has both human and institutional dimensions with the following components:  skilled human resources  leadership and vision  viable institutions  financial and material resources and  effective work practices, including systems, procedures and appropriate incentives. Capacity building according to Ballantyne et. al (2000) is the process by which individuals, groups, organisations, institutions and societies develop abilities (individually and collectively) to perform functions, solve problems, set and achieve objectives. It involves acquiring skills and knowledge. Capacity building also enables one to be aware of new possibilities and empowered by gaining new skills upgrading their old skills. (Mabawonku, 2001) Special libraries are libraries maintained by individual corporations, associations, 1
  • 2.
    government agencies, internationalorganisations or any other groups within the society. These types of libraries are primarily designed to serve limited number of experts, scientists, researchers with specialised needs, hence the need for competent hands to man the affairs of these libraries to make the objective of making information resources available to achieve the overall goals and objectives of the organisation (Bender, 1998). Special libraries are special because they vary so widely in their organizational structure, purpose, function, level of support and size that it is difficult to generalize about them. Special libraries may include those with collections devoted to materials on a single subject or related group of subjects (art libraries, business libraries, law and medical libraries); others may be described by the form of material collected (map libraries and picture libraries). Many can be described in terms of their parent organizations (museum libraries and government libraries). Furthermore, special libraries may be either publicly or privately supported. The most significant characteristic which distinguishes the special library from other types of libraries, however, is that it is established to obtain and exploit specialised information for the private advantage of the organisation which provides its financial support whether the parent organization is a government agency, business or industrial company or group of companies, a nonprofit organisation, private society or institution, a research association, or a hospital. There are other important differences which distinguish the special library from the academic or public library. Typically, the special library tends to be comparatively small in the size of its collection, in the space occupied and in the size of staff. At the same time, its clientele forms a more clearly-defined community in terms of its objectives, in relation to the parent organization and its products and services. Many special libraries provide services exclusively to their own organizations and are not open to the public except through special arrangement. There may be, in fact, situations in which information or a certain part of the collection is regarded as proprietary or confidential and accessible only to designated individuals on a need-to-know basis. Above all, it is the users who are the raison d’etre for the existence of the special library, all their information needs related to the organization’s mission and development must be met. Larson (1983). The following are the services rendered in modern special libraries: 2
  • 3.
     Internet/ databasesearches and retrieval;  electronic deliver of documents regardless of the location;  maintaining library’s catalog on the web;  inter- library loan;  reference services either electronically, phone, or at the circulation desk;  lending of books and journal;  selective dissemination of information (SDI);  indexing and abstracting services;  publishing and alerting services; and  records management and archival functions. Special librarians and other library staff need some level of skills and competence to be able to render these services effectively. Canadian Association of Research Libraries (2010) identified some skills which librarians in the 21st century must possess which are; interpersonal skills, leadership and management skills, collection development skills, information literacy skills, information technology skills, and must embark on research and contribute to the development of the profession. The management and staffing of special libraries are more varied and distinct than that found in other types of libraries. Often the administrator responsible for the library is not a librarian but a director or officer of a major department or division. In business and industrial libraries, the director of research and development or the vice presidents of marketing may be given responsibility for administering the library or information center. These administrators usually hire library and information staff that supports their own conceptions of library services. Thus if a research and development (R&D) director considers library services important, then that person will provide a sufficient number of well-trained staff members to support the R&D function. Such a library might have a staff of information professionals supported by technicians and clerks. The personnel working is special libraries and information centers usually have more varied backgrounds than those working in other types of libraries. Ideally, personnel should have both library and subject expertise. The special librarians or information specialist may have a degree in a subject specialty as well as in library 3
  • 4.
    science, and thestaff may also include subject and language specialist. This subject expertise may be so important to companies and businesses that they may prefer a technician with subject specialization to a professional with a master’s degree in library or information science. Large libraries often include professional librarians or information scientist backed up subject specialist, technicians, programmers and clerks. In some cases, the only staff member in a special library may be a secretary who has been put in charge of collection of books and magazines. While in some special libraries, someone who is a librarian or information specialist in name only may supervise several clerks and technicians. This manager may have a degree in the subject specialty of the parent’s corporation or institution but may not have any knowledge of library or information science. Sometimes library services may be outsourced, some organisations may hire a professional library consultant to set up a library that is then turned over to lower-paid personnel who are charged with the responsibilities of carrying out daily operations (Fourier and Dowell, 2002). 1.2 Statement of the problem Libraries in the twenty first century engage in complex activities .The users most especially in special libraries have diverse information needs in different formats. Application of information and communication technology into library activities is daily posing new challenges to librarians, there is need for librarians who want to remain relevant and keep their jobs to rise up to the challenge and get equipped through capacity building programmes that would afford acquisition of skills needed to remain functional in the modern library environment. The need for capacity building becomes imperative because the main focus of courses and training in Nigerian tertiary institutions where librarians are trained are theoretical based with little opportunity for skills development. Librarians are quick at jumping at training as a means of capacity building without critically analyzing the skill requirement of the organisations and what employee will practically contribute to the organisation after the training programme. Capacity building is the only way professionals and supporting staff of special libraries could possess abilities, skills, understandings, attitudes, values, relationships, behaviors, motivations, resources and 4
  • 5.
    conditions that enableindividuals and organizations, to carry out functions that could help in achieving goals and objectives of the parent organisation. 1.3 Objectives of the study The objectives of the study are to: 1. identify types of capacity building programmes of the selected special libraries in Oyo state; 2. find out the benefits of the capacity building programmes to the libraries and to the library staff; 3. identify staff perception of capacity building programmes in these special libraries; 4. investigate the level of management commitment to staff capacity building in the selected special libraries in Oyo-state; 5. recommend ways of promoting capacity building of library staff for the benefit of these libraries. 1.4 Research question The following questions are raised for the study: 1. What are the types of capacity building programmes employed by the management of the special libraries? 2. What are the benefits of capacity building activities to the libraries and to the library staff? 3. What is the perception of staff about the capacity building programmes of the special libraries? 4. What is the level of the commitment of the management to staff capacity building? 5. How can staff capacity building be promoted in special libraries? 1.5 Scope of the Study The focus of this study is ten special libraries in Ibadan Oyo state. Sample comprises library and information science professionals and supportive staff at Nigerian Institute of Social and Economic Research (NISER) Library, E. Latunde Odeku Medical Library, Cocoa Research Institute of Nigeria (CRIN) Library, Forest Research Institute of Nigeria 5
  • 6.
    (FRIN) Library, NigerianHorticultural Research Institute (NIHORT) Library and Institute of Agricultural Research and Training(IAR&T) Library, Dominican Institute Library, Immanuel College of Theology and Christian Education Library, Nigerian Institute of Science Laboratory Technology(NIST) Library and 2 Division Library of the Nigerian Army. 1.6 Significance of the Study The significance of this study first and foremost lies in its contribution to the existing body of knowledge on capacity building of library staff. The study would therefore help library managers, information professionals, employees of special libraries and other types of libraries to adopt capacity building of staff as a strategy that can aid the achievement of both corporate and individual goals and objectives. The study will also serve as a useful resource material for students of library, archival and information studies and those already in the field most especially those who want to research on capacity building in terms of training and development and serve as a source of encouragement for students and researchers who want to conduct their researches on special libraries because majority of the students are only emphasizing academic libraries without thinking much on this most important type of library that can accelerate our technological and industrial development. 1.7 Operational definition of Terms In this study the following terms are briefly defined: Capacity building: Capacity building is the process of equipping individuals with the understanding, skills, access to information, knowledge and training that enables them to perform effectively. Competency: can be seen as the underlying behaviours that are regarded as necessary to achieve a desired outcome. It is something that can be demonstrated. Continuing education can be referred to as a career-long process of improving and updating skills, abilities and competencies of staff by regular in –service training and education, supported by external courses. Continuing professional education refers to education that takes place once professional qualification is achieved, with the intent of maintaining competence and/or learning new skills. 6
  • 7.
    Development: This isdefined as an “act or instance of developing; the process of being developed, a stage of growth and advancement”. Development can also refer to staff development and organizational development. Special library: Special libraries are libraries maintained by individual, corporations, associations, government agencies, international organisations or any other groups within the society. This type of library is primarily designed to serve a limited number of experts, scientist, researchers with specialized needs hence the need for a competent personnel to man the affairs of the library so that the goal of making information available to the users for the attainment of the vision and mission of the parent body would be attainable. Training: Training is the act or process of teaching or learning a skill or discipline. It is also noticed that the human resources management/ development definition of training does not differ significantly. This is a planned and systematic effort to modify or develop knowledge, skills and attitudes through learning experiences to achieve effective performance in an activity or range of activities 7
  • 8.
    CHAPTER TWO REVIEW OFRELATED LITERATURE 2.1 Introduction Relevant literature shall be reviewed under the following headings: • • Concept of Capacity building • Levels and types of capacity building • Library capacity building • Benefits of training • Various methods of training in library and information centres • Characteristics and types of special libraries in Nigeria • 2.2 Concept of training and development Categories of staff in special libraries Concepts of training and development Jones, George and Hill, (2000) viewed training as primarily focused on teaching organisational members how to perform their current jobs and helping them acquire the knowledge and skills they need to be effective performers. Goldstein & Ford (2002) see training as a systematic approach to learning and development to improve individual, team, and organizational effectiveness. According to Abiodun (1999) training is a systematic development of the knowledge, skills and attitudes required by employees to perform adequately on a given task or job. It can take place in a number of ways, on the job or off the job; in the organization or outside organization. Adeniyi (1995) observed that staff training is a work activity that can make a very significant contribution to the overall effectiveness and profitability of an organization. He therefore, provides a systematic approach to training which encases the main elements of training. According to him, the effectiveness and success of an organization lies on the people who form and work within the organization. It follows therefore that the employees in an organization to be able to perform their duties and make meaningful contributions to the success of the organizational goals need to acquire the relevant skills and knowledge. The purpose of training is to improve knowledge and skills and to change attitude, 8
  • 9.
    Mullins (1999) arguedthat training is capable of producing the following benefits: • Increase the confidence, motivation and commitment of staff; • Provide recognition, enhanced responsibility, and the possibility of increased pay and promotion; • Give feeling of personal satisfaction and achievement, and broaden opportunities for career progression; and • Help to improve the availability and quality of staff. Laird (1985) defined training as an experience, a discipline or a regimen, which causes people to acquire new, predetermined behaviours. The effectiveness and success of an organization therefore lies on the people who form and work within the organization. It follows therefore that the employees in an organization to be able to perform their duties and make meaningful contributions need to acquire the relevant skills and knowledge. In appreciation of this fact, libraries conduct training programmes so that the employee could acquire requisite knowledge and skill in modern day library working environment. Training according to Udoh-Ilomechine (2009) is a process of acquiring specific skills. It is a continuous process after basic education. Antai (2002) defines training as the systematic development of employees' knowledge, skills, and attitudes that are required for an organization to meet its goals. Training gives employees inspiration and guidance to perform their jobs effectively. Cowling and Mailer (1992) see training as the development of knowledge required to perform adequately a given task or job (Schermerhorn 1989). Udoh-Ilomechine (2009) lists nine reasons for training. They are: • Increase in productivity; • Improvement in the quality of work and morale; • Development of new skills, knowledge, understanding, and attitude; • Correct use of new tools, machines, process methods, or modification thereof; • Reduction of waste, accident, turnover, and other overhead costs; • Fighting of obsolescence in skills, technologies, methods, products, markets, and capital management; • Bringing incumbents to a level of performance for the job; 9
  • 10.
    • Development ofreplacements, preparing people for advancement, improving; manpower development, and ensuring continuity of leadership and • The survival and growth of organization. Healthlink (2003) defined training as ‘the process of bringing a person to an agreed standard of skill by practice and instruction’. Another definition is ‘a trainer and participant working together to transfer information from the trainer to the participant, to develop the participant’s knowledge, attitudes or skills so they can perform work tasks better’. Taken together these definitions say two things: Training is directed towards agreed standards or objectives. These are sometimes called learning outcomes — what you want people to learn from training and the person being trained participates with the trainer in the training activity, rather than simply receiving instruction. Training usually involves participation. This means that a person being trained has an active role in the training process, rather than a passive role. Also it often takes place in the workplace or community where the skills and knowledge being communicated will be used. Training and development focus on “providing knowledge, skills, and abilities (KSAs) specific to a particular task or job.” According to SHRM (2002b), training is focused on the short-term and seeks to teach skills that can be applied immediately. Examples of training activities include learning a specific job task or procedures, learning how to operate a piece of equipment, or mastering a piece of software. Developmental activities are broader in focus and are aimed at increasing the long-term capacities of employees to perform their current jobs and future jobs. Examples of developmental activities include formal education, mentoring, and special assignments. Development on the other hand focuses on building the knowledge and skills of organisational members so that they will be prepared to take on new responsibilities and challenges. In the view of Adamolekun (1983), staff development involves the training, education and career development of staff members. The purpose of training and development has been identified to include: creating a pool of readily available and adequate replacements for personnel who may leave or move up in the organization; enhancing the company’s ability to adopt and use advances in technology because of a sufficiently knowledgeable staff; building a more efficient, effective and highly 10
  • 11.
    motivated team, whichenhances the company’s competitive position and improves employee morale; and ensuring adequate human resources for expansion into new programs. Oribabor (2000) submitted that training and development aim at developing competences such as technical, human, conceptual and managerial for the furtherance of individual and organization growth. Isyaku (2000) postulated that the process of training and development is a continuous one. Man is dynamic in nature, the need to be current and relevant in all spheres of human endeavor’s make staff development a necessity, to keep track with current event and methods. Ajibade, (1993) and Adeniyi, (1995) drew attention to the inestimable value of training and development. It is an avenue to acquire more and new knowledge and develop further the skills and techniques to function effectively. Fareed (2009) viewed training as encompassing everything that is expected for the enhancement of organizational development and competencies. In order that the total performance may be improved, organizations need to have trained and experienced people. Sound organizations move along and administer training and development programs for the employees. These programs are purposive and meant to equip the employees with the necessary skills that are required for particular jobs. Besides, failing to reach an expected or required level of performance of the employees or declines in the productivity or changes due to technological breakthroughs also necessitate training and development programs to be administered in the organizations. Also, the complexities of various jobs emerge the importance of training and development programs. Training is a process of learning as well as the application of acquired knowledge aiming at better performance of the employees, while development involves not only the related process but also helps the employees in building up their personalities, at the same time as, improving their progress towards the actualization of their full potentials. It is training and development programs that bring about tremendous change in terms of knowledge, attitudes and behavior of the employees. Owing to these programs, the employees are not only well acquainted with what is expected of them and how they need to enhance their skills and competencies but also it is a way to achieve overall organizational development, effectiveness and efficiency in a desired manner. Management appoints leaders, the managers, who influence the employees so that they 11
  • 12.
    can make goaldirected efforts to produce the desired results. They inspire the employees for the accomplishment of organizational goals. They build up competencies and ethical standards. They direct the employees towards defined objectives of the organization while providing effective training and development programs. They enthuse and motivate them so that the tasks can be carried out effectively and efficiently. Before the implementation of the training programs, there is need to carry out proper training needs assessment to ensure whether training can serve the desired purpose. Depending upon the needs of various jobs, different methods of training programs are conducted, such as, on-and-off the job methods, special lectures, conferences and seminars. The purpose of on-the-job method is to involve the employees in learning while they are at work, whereas through off-the-job training program, the employees need to leave the work place so as to spend the required duration in the learning process. Special lectures are meant to create the awareness of fundamental knowledge. By way of arranging conferences, various discussions are held on the points of common interest, in regard to the organization and various issues, ideas are collected and experience is shared in order to deal with the problems. With critical discussions, the participants of seminars study the various aspects and the complexities of particular jobs. The sole purpose of training and development programs is to build the necessary skills of the employees and to create positive feelings among them. It’s a fact and apposed to the supposition that man can do things what he believes he can. Thus, a true leader is the most influential person to build self-confidence of the employees. He is a source of inspiration to his subordinates. He strives to instill the team spirit by making his members believe that they are capable of doing challenging tasks. This is how the employees learn many things and develop their personalities while improving organizational competence under the healthy environment of an organization. A trained and skilled employee is far better than those untrained and unskilled. He becomes competent and performs his assigned task independently. As an illustration, once an untrained employee asked his friend who was trained, “After all what you learn by training program? I don’t think it’s of any worth.” He replied jokingly, “We are trained even how to ask questions and the art of effective communication which you seem to be lacking.” In fact, it’s funny instance but it reveals the fact that training is all 12
  • 13.
    encompassing - itcovers all necessary skills of the employees required in the workplace while motivating them to work in a desired and capable manner. The major benefits of training and development programs are that the employees who are trained need lesser supervision than those who are not. A trainee acquires new knowledge, skills and attitudes and applies them in job situations. Training is a way to create the confidence among the employees so that they can operate the tasks without any obstruction with all efficiency and effectiveness. To conduct such programs is to save money because a company is likely to bear heavy expenditure on hiring new employees. It is also one of the best ways to expand the span of management. (Fareed 2009) According to Diejomah (1982) employee training and development is the process, which leads to the formation of values and attitudes, the development of the skill and the knowledge of a people, thereby contributing to the enhancement of an improvement in the quality of a nation’s personnel of which a nation ultimately depends. Pattern defined employee training and development as the process of increasing the knowledge, skills and the capability of all people in a society. Bantai (2008) sees development as that range of activities an organization put in place with a view to helping its members of staff acquire the skills and knowledge necessary for efficient and effective performance of their roles and responsibilities within the organisation. These activities may include among others orientation, meetings, supervisory, counseling, workshop etc. 2.3 The Concept of capacity building Capacity Building involves human resource development, the development of organizations and promoting the emergence of an overall policy environment, conducive to the generation of appropriate responses to emerging needs. The concept of Capacity Building includes the following: Human capacity building is the process of equipping individuals with the understanding, skills and access to information, knowledge and training that enables them to perform effectively. Organizational development, the elaboration of management structures, processes and procedures, not only within organizations but also the management of relationships between the different organizations and sectors (public, private and community).Institutional and legal framework development, making legal and regulatory 13
  • 14.
    changes to enableorganizations, institutions and agencies at all levels and in all sectors to enhance their capacities. Urban Capacity Building Network (1992) The United Nations Development Programme (UNDP) defined capacity building as the creation of an enabling environment with appropriate policy and legal frameworks, institutional development, including community participation (of women in particular), human resources development and strengthening of managerial systems, adding that, UNDP recognizes that capacity building is a long-term, continuing process, in which all stakeholders participate (ministries, local authorities, non-governmental organizations and water user groups, professional associations, academics and others".( UNDP,1998 ). “Capacity building” is sometimes used interchangeably with “institution building”, “institutional and organizational development” and “institutional capacity building” (Jones and Blunt, 1999; Tadele and Manyena, 2009). Capacity building, according to Ballantyne, Lebelle and Rugard (2000) is “the process by which individuals, groups, organization, institutions and society developed abilities (individually and collectively), to perform functions, solve problems, set and achieve objectives. Capacity building involves acquiring skill and knowledge. Capacity building also enables one to be “aware of new possibilities and empowered by gaining new skills upgrading their old skills” (Mabawonku 2001). Mabawonku(2005) sees capacity building for LIS professionals as involving training and retraining of library and information department to increase their capacity on equipment management, information handling, packaging and repackaging, system design and managing, developing and maintaining good web site, digitization of records building and updating joint catalogues, e-resources use and disseminating consortia report . 2.4 Levels and types of capacity building The previous section defined the broad concept of capacity building. However capacity building is a much more complex activity than defined above. It can be viewed at different levels, the broader system/ societal level, the entity/ organisational level and the group of people/individual level. With these levels including different dimensions according to UNDP (1998) capacity is the power/ability of something – a system, an organisation or a person to perform and produce properly. Capacity issues can then be 14
  • 15.
    addressed at thesethree levels. These levels relate to their application of capacity in society and have been identified as follows: 1. The broader system/societal level. The highest level within which capacity initiatives may be considered is the system or enabling environment level. For development initiatives that are national in context, the system would cover the entire country or society and all subcomponents that are involved. For initiatives at a sectoral level, the system would include only those components that are relevant. The dimensions of capacity at a systems level may include areas such as policies, legal / regulatory framework, management and accountability perspectives, and the resources available. 2. The entity/organisational level. An entity may be a formal organisation such as government or one of its departments or agencies, a private sector operation, or an informal organisation such as a community based or volunteer organisation. At this level, successful approaches to capacity building include the role of the entity within the system, and the interaction with other entities, stakeholders and clients. The dimensions of capacity at the entity level may include areas such as mission and strategy, culture and competencies, processes, resources (human, financial and information resources), and infrastructure. 3. The group of people/individual level. This level addresses the need for individuals to function efficiently and effectively within the entity and within the broader system. Human Resource Development (HRD) is about assessing the capacity needs of people and addressing the gaps through adequate measures of education and training. Capacity assessment and development at this third level is considered the most critical. The dimension of capacity at the individual level should include the design of educational and training programs and courses to meet the identified gaps within the skills base and to provide the appropriate number of qualified staff to operate the systems. Adetoro, et .al (2010) divide capacity building into human/technical capacity and institutional capacity building. Technical or human capacity building 15
  • 16.
    Technical or humancapacity building refers to the development and the improvement in the human resources capabilities through the acquisition of general and technical knowledge, skill and effectiveness required for the realisation of goals. Human capacity therefore includes general education, on the job training and professional deepening in crosscutting skills. Institutional capacity building Institutional capacity building deals with the development of capabilities of organizations and institutions, such that their set goals are realized. Institutional capacity has to do with reinforcement of institutions capability to use available resources and staff more effectively; developing new structures and reorganization of structures and processes for efficiency. 2.5 Library capacity building Library capacity consists of the people in the library, its culture, attitude, environment and appearance. It requires commitment to training to develop people skills. It requires libraries to identify and take advantage of opportunities and strengths. How does one recognize that capacity is being built? The Community Development Handbook identifies factors that confirm capacity is being built. “People are active, interested and participating in what is going on. People may also be questioning, challenging and debating but they will be debating what should be done, not complaining that nothing will ever change. More people are getting involved, helping to identify key issues, and taking action. Results are becoming obvious and the abilities, esteem and resources of many communities are growing as capacity grows.” These factors may also be used to indicate when library capacity is being built (Ashu and Clandening, 2007). Library capacity is basically focused on community building since it offers community meeting space, facilitate access to computers and the internet, provide public access to desired set of information needed for community building, Therefore, libraries can bring experience in restructuring and reorganizing information sources for the community’s development. 2.6 The benefits of training According to Chandan (2000), training is “a short term process utilizing a systematic and Organized procedure by which non–managerial personnel learn technical knowledge and Skills for a definite process.” The weakness of this definition is that training is limited to 16
  • 17.
    the non–managerial personnel,whereas human resource development embraces both the managerial and non–managerial staff. All of them in librarianship and information systems need some kind of training and education in the new areas of their profession. Training is an integral part of vocational or career development and it is fast becoming a global and pervasive phenomenon in any establishment, the absence of which spells doom for such an institution and the presence of which determines the success of any enterprise. Fielden (1987) noted this pervasiveness when he said that training is among the series of variables that serves as a checklist for buying software. Also, training has also been identified as one of the characteristics that make a software package worthy of purchase; others are cost, responsiveness of dealers, and support. Obviously, the role that training can play in human resource development especially in libraries and information systems is inestimable and unquantifiable. It is a truism, of course, that training of staff enhances productivity. The library system in Nigeria cannot afford to allow its staff to degenerate in the acquisition of knowledge and the knowledge already acquired cannot be allowed to diminish because society cannot afford to jettison the roles of libraries and librarians in the socio–cultural and educational development of a nation. That is why Billings (1995) remarked that the library, librarians, and library education will all be needed tomorrow. He therefore called for the production of quality graduates and relevant and adequate programme services. Also, Ojiambo (1992) has attributed the lack of training in human resources to the low or non–existence of industrial and information technology development in the developing countries like Nigeria. Yesufu (2000) also agrees that training of personnel enhances productivity. According to him, “education and training are generally indicated as the most important direct means of upgrading the human intellect and skills for productive employment.” Productivity, which is enhanced by training, is not only limited to the establishment; the librarians and other staff of the library can also become more productive. Another advantage of staff training is that it improves job performance and therefore promotes management efficiency. Writing from a vendor’s perspective, Hyman (1991) opines that without training, consumers may not be efficient in the use of computers. They may not therefore derive maximum benefits from their systems. Both Ojiambo (1992) and Stoner 17
  • 18.
    (2002) agree thattraining programmes should be directed towards improving efficiency and job performance. There is no doubt that staff trained in information technologies will be more efficient in the use of information and computer facilities than those who never had such training experience. Other advantages of training include reduction in cost, reduced staff turnover, human resources reserve, faster decision, continuity of effort, improvement in employee morale, availability for future personnel needs of the organization, improvement in health and safety, reduced supervision, personal growth and organizational stability (Silver, 1981; Chandan, 2000). The benefits of personnel development cannot therefore be easily over– emphasized. Several studies conducted in European countries have documented the impact of training on organizational performance. Arag ´ on-S´anchez et al. (2003) investigated the relationship between training and organizational performance by distributing a survey to 457 small and medium-size businesses in the United Kingdom, the Netherlands, Portugal, Finland, and Spain. Organizational performance was operationalized as (a) effectiveness (i.e., employee involvement, human resource indicators, and quality), and (b) profitability (i.e., sales volume, benefits before interest and taxes, and a ratio of benefit before taxes/sales). Results indicated that some types of training activities, including on-the-job training and training inside the organization using in-house trainers, were positively related to most dimensions of effectiveness and profitability. Ubeda Garc´ıa (2005) conducted a study including 78 Spanish firms with more than 100 employees. This study related organizations’ training policies (e.g., functions assumed by the training unit, goals of the training unit, nature of training, and how training is evaluated) with four types of organizational-level benefits: employee satisfaction, customer satisfaction, owner/shareholder satisfaction, and workforce productivity (i.e., sales per employee). Results suggested that training programs oriented toward human capital development were directly related to employee, customer, and owner/shareholder satisfaction as well as an objective measure of business performance (i.e., sales per employee). Guerrero & Barraud- Didier (2004) administered a questionnaire to 1530 human resource directors working in large companies in France and collected financial information from the companies’ financial directors or through 18
  • 19.
    databases approximately oneyear later. Five questions in the survey addressed the extent to which the company implemented training practices. The survey also included questions about social and organizational performance including work climate, employee attendance, quality of products and services, and employee productivity. Results showed that 4.6% of the variance in financial performance was explained by training (via the mediating role of social and organizational performance). Mabey & Ramirez (2005) conducted a study including 179 firms in the United Kingdom, Denmark, France, Germany, Norway, and Spain. Human resource managers or equivalent and line managers completed a survey on training practices. Financial data were gathered from the Amadeus database; a two factor measure of financial performance was computed based on (a) operating revenue per employee and (b) cost of employees as a percentage of operating revenues. Results indicated that the manner in which management development was implemented accounted for substantive variance in the financial performance measure. Specifically, firms with line managers reporting that management development programs are valued were more likely to have a positive relationship between management development and financial performance. Because of the paucity of primary-level studies examining the benefits of training at the organizational level, the meta-analytic reviews published to date include only a small number of studies. In the meta-analysis by Arthur et al. (2003), the researchers also examined the impact of training on organizational-level results. Only 26 studies (N = 1748) examined the benefits of training at the organizational level. Results showed that the benefits of training vary depending on the type of training delivery method, the skill or task being trained, and the measure used to assess effectiveness. However, the mean d for organizational results was 0.62, precisely the same effect size found for the impact of training on job-related behaviors and performance at the individual level of analysis. Similarly, the Collins and Holton (2004) meta-analysis of managerial leadership development programs included only seven studies (of 83) that included information regarding the relationship between training and tangible organizational-level benefits (e.g. reduced costs, improved quality and quantity). The total sample size in these seven studies was 418 and the overall mean d was 0.39, favoring training compared to control 19
  • 20.
    groups. 2.7 Various methodsof training in library and information centres Mabawonku (2005) highlighted some of the training activities and the mode that could be used in training library professionals would include the under listed:  Meeting of stakeholders like directors and management personnel are useful to keep participants informed of new electronic information resources. The meeting could also discuss pricing of electronic materials and relationship with publishers and vendors.  Spending time in libraries in developed countries. International Staff exchanges training and short visit/attachments to skilled staff in libraries in the consortium or other libraries in the world have the benefit of providing exposure to the participants. Staff could do various attachment programmes, update their IT skills and have work experience placements on individual basis.  Training on new products especially library software packages and application, internet use e.g. for virtual library.  Library school courses. Consortium could approach library schools to have courses packaged into modules so that individual professionals could choose the desired module or part of. The duration could range between one to three months or part of to be up to 1-3 months and under supervision.  Follow-up coaching/interactive communication after the training. This could be through email etc.  Continuous use of instructional packages of precious training programmes which include books, handouts. Power point presentation and other multimedia to be taken away by the participants.  Newsletters, manuals and documents could be useful methods of disseminating capacity building information to library professionals.  Short courses that are non-credit are often offered by private organizations and higher institutions. An example is the Africa Regional Centre for information Science in Nigeria, which provides short courses on ICT. Staff members could be sponsored to these 20
  • 21.
    courses to thesecourses by the libraries.  Seminars and conferences are useful for exchanging ideas among participants. These consortium libraries could organize these on periodic basis.  Group trainings for librarians and information professionals in all the libraries in the consortium are useful as these save costs. There are various training techniques that special library personnel can be exposed to on short– and long–term bases. Silver (1981) has identified ten training techniques which are listed below:  On–the–job training (OJT);  Vestibule training;  Classroom/lecture method;  Case study, in–basket, case history methods;  Self–study;  Electronic teaching media;  T groups, encounter groups, and sensitivity training;  Schools and outside seminars and;  Consultants and special training. In fact, Burton (1997) had earlier listed the following five long–term training techniques: (1) on–the–job training, (2) job rotation, (3) coaching, (4) apprenticeship, and (5) modeling. According to Burton, these management–development programmes are efforts to train and develop the manager to his or her fullest potential, and the development should be seen as a lifetime process provided for maximum managerial performance and efficiency throughout the manager’s career. Also, the three common training techniques about which researchers on management, personnel development and career development often talk and which are also considered very relevant for the development of library personnel are discussed below: Study visits: Library personnel with theoretical knowledge of library and information science may broaden and update their knowledge by understudying computer operations in other information and automated library systems. In–service training: Staff can be introduced to an automated library system and to the 21
  • 22.
    varieties of softwarethat can be used for the development and management of an automated library. The training will help staff to update their knowledge for professional competence. Industrial attachments: Students of librarianship can spend between six weeks and three months on industrial attachments in automated libraries and information systems. The exposure will further prepare librarians to face challenges in the automated systems on which they may find themselves working. Similarly, Akhigbe (1997) and Ugbokwe (1998) are of the view that training should take the form of continuing education, industrial attachment, formal education programmes leading to certificates, diploma and degrees, on–the–job learning from experienced colleagues, coaching and special project and off–the–job lectures, seminars, discussions and instructions of various types. At these fora, the relationship between the computer vendors and consumers, whose majority are in the information industry, will become strengthened. If consumers are properly trained, the successful implementation of library automation and the maximum use of their systems will be guaranteed (Litchfield, 1990). Writing on the nature and the quality of formal education that should be provided in the library schools, Harvard–Williams (1981) is of the view that professional library education should not be mere training. The education imparted should be capable and adequate for effective professional performance on job postings after certification. Such effective performance on the part of the professionals must be sustained for a period of two decades before a need for retraining can arise. 2.8 Characteristics and types of special libraries Special library is different from other types of library, in size, the nature of clientele, and in the nature of its collections. According to Aina (2004) a library is special depending on whether it covers a specialised collection, a special subject, or a particular group of users or even the type of the type of the parent organisation. A library that collects only films, museum objects or maps can be can be categorized as a special library because of the specialised collection. Libraries primarily designed to serve a limited number of experts, scientists, research workers, etc and not coming within any of the categories of national libraries, university libraries and school libraries are special 22
  • 23.
    libraries. Their holdingsin general relate to some particular subject, e.g. agriculture, medicine, law, history, economics etc , these libraries may be attached to various bodies such as parliament, or a government department, a scientific or other research institution, a learned society, professional association, museum, industries, chamber of commerce, etc. Edoka (2000) summarized some of the important characteristics of special libraries as follows:  provision of information for practical purposes, and the information provided must be quick and precise;  the librarians are involved in researching and findings answers for client rather than client seeking information with the assistance of the library;  their users are homogeneous;  they generally have small number of users, hence they usually have their research profiles. These users have information being selectively disseminated to them;  the collections are directly and narrowly related to the mission of the organisation and  evidence of the usefulness of the library to the organisation must always be demonstrated; thus it is expected that a special library must make a significant contribution to the parent organisation in order to justify its existence. According to Alokun (2004) the following are the characteristics of special libraries:  the collections are of specialized nature e.g. periodicals, reports and abstract;  it serves a specialized body of users e.g.;  staff has specialized training in a particular in a particular discipline and  it offers specialized and usually personalized services. The most significant characteristic which distinguishes the special library from other types of libraries, however, is that it is established to obtain and exploit specialised information for the private advantage of the organisation which provides its financial support whether the parent organization is a government agency, business or industrial 23
  • 24.
    company or groupof companies, a nonprofit organization, private society or institution, a research association, or a hospital. There are other important differences which distinguish the special library from the academic or public library. Typically, the special library tends to be comparatively small in the size of its collection, in the space occupied and in the size of staff. At the same time, its clientele forms a more clearly-defined community in terms of its objectives, in relation to the parent organization and its products and services. Many special libraries provide services exclusively to their own organizations and are not open to the public except through special arrangement. There may be, in fact, situations in which information or a certain part of the collection is regarded as proprietary or confidential and accessible only to designated individuals on a need-to-know basis. Special librarians are information resource experts dedicated to putting knowledge to work to attain the goals of their organizations. They are employed most frequently by corporations, private businesses, government agencies, museums, colleges, hospitals, associations and information management consulting firms. Special librarians do far more than locate and collect data. Using the Internet and other current technology, they also evaluate, analyze, organize, package, and present information in a way that maximizes its usefulness. A few examples of the diverse services that special librarians may perform include:  Preparing research reports in response to staff requests for specific information;  Gathering competitive intelligence;  Identifying research done at other organizations to avoid unnecessary duplication;  Verifying facts for external and internal reports and publications;  Creating databases for organizations to access their internal information;  Searching patents and trademarks;  Evaluating and comparing information software and sources of data prior to purchase; and  Training other staff to efficiently and cost-effectively use online databases. 24
  • 25.
    Special libraries canbe divided into those maintained by an association, government service, parliament, research institution (excluding university institutes), learned society, professional association, museum, business firm, industrial enterprise, chamber of commerce etc., or other organised group, the greater part of their collections covering a specific field or subject, e.g. natural sciences, social sciences, agriculture, chemistry, medicine, economics, engineering, law, history. Special Libraries are divided into six subgroups, as follows: Government libraries: Those maintained by any government service, department or agency, or parliament, including both central (national) and local (regional) government organisations. Exclude National Libraries, Public Libraries and Health Service libraries, which have their own categories. Health service libraries: Those which serve health service professionals in hospitals or elsewhere, whether in the private or public sector. Exclude pharmaceutical company libraries, which should is included under industrial and commercial organisations. Professional associations: Libraries maintained by professional or trade associations, learned societies, trade unions and other similar bodies whose primary objective is to provide services to the members and practitioners of a specific trade or profession. Industrial & commercial organisations: These are libraries in any industrial enterprise or business firm. They are maintained by the parent organisation to service the information needs of its staff. Include libraries maintained by information and management consultants, the media, manufacturing and service industries and law libraries Research libraries Research libraries are attached to research institutes to support researches by making information that would facilitate researches available to their scientists and researchers who are their patrons. Examples of these libraries are International Institute of Tropical Agriculture (IITA) Library Ibadan, National Horticultural Research Institute (NIHORT) Library in Ibadan and National Institute of Medical Research Library Lagos. 25
  • 26.
    Others: Any other librarynot included elsewhere. Include libraries within voluntary organisations, museums, etc., and other libraries of a learned character which are neither libraries of institutions of higher education nor national libraries. A return is also included for the total of all Special Libraries. 2.9 Categories of staff in special libraries Banti (2008) categorized staffs in libraries into: Professionals, para-professionals and library Assistants. Kumar (1997) categorized staff in the library into three; Professional, supporting (administrative) and supporting (technical) / para -professional. Professional staff consists of those who are employed on professional jobs and possess Bachelor degree in Library and information studies (BLIS) and Master in Library and Information studies. Supporting staff (technical) play important roles in the working of the libraries they are supposed to have diploma or certificate in Library and Information studies. The following jobs may be carried out by supporting staff (technical); accessioning of books, registration of periodicals, typing of catalogue cards, charging and discharging of books, maintenance of issue-record, shelving of books and periodicals and descriptive cataloguing of books. Supporting staff (administrative) perform the following duties in special libraries which are; Secretarial services in the library, maintenance of personnel records (appointments, personal files, service book, confidential records, etc.) typing of official documents, library security services and any other services allocated. The personnel working in special libraries and information centers usually have more varied backgrounds than those working in other types of libraries. Ideally, personnel should have both library and subject expertise. The special librarians or information specialist may have a degree in a subject specialty as well as in library science, and the staff may also include subject and language specialist. This subject expertise may be so important to companies and businesses that they may prefer a technician with subject specialization to a professional with a master’s degree in library or information science. Large libraries often include professional librarians or information scientist backed up subject specialist, technicians, programmers and clerks. In some cases, the only staff member in a special library may be a secretary who has been put in charge of collection of books and magazines. While in some special 26
  • 27.
    libraries, someone whois a librarian or information specialist in name only may supervise several clerks and technicians. This manager may have a degree in the subject specialty of the parent’s corporation or institution but may not have any knowledge of library or information science. Sometimes library services may be outsourced, some organisations may hire a professional library consultant to set up a library that is then turned over to lower-paid personnel who are charged with the responsibilities of carrying out daily operations (Fourie and Dowell, 2002). 2.10 Summary of the literature review Capacity building in special libraries is a matter that requires urgent and continuous attention due to the Information and Communication Technology (ICT) that is being applied to virtually every aspect of librarianship. Mabawonku(2005) emphasized that capacity building for LIS professionals as involving training and retraining of library and information department to increase their capacity on equipment management, information handing, packaging and repackaging, system design and managing, developing and maintaining good website, digitization of records building and updating joint catalogues, e-resources use and disseminating consortia report. The role that training can play in human resources development especially in libraries and information system is inestimable and unquantifiable. Training enhances staff productivity, improves job performance and therefore promotes management efficiency, it reduces cost, reduces staff turnover, promotes human resources reserve, aids faster decision making, enhances continuity of efforts, improvement in employee morale, availability for future personnel needs of the organization, improvement in health and safety, reduces supervision, personnel growth and organization stability. (Silver,1981; Chandan, 2000) The literature reviewed has shed light on various techniques that could be adopted in training staff in special libraries among which are stakeholders meeting, spending time in developed nation libraries, and training on new product such as library software, short training in library school, seminars, conferences and classroom training in the library schools. The advent of internet and electronic resources is really changing the way in which information services are rendered to users, many of the clientele in the special libraries now prefer electronic resources to print materials, and most of the services are now being rendered electronically, for any information professional to remain relevant 27
  • 28.
    and retain his/herjob in this era of digitization and globalization, the importance of training (capacity building) cannot be overemphasized. CHAPTER THREE RESEARCH METHODOLOGY 3.1 Introduction This chapter is concerned with the description of procedures adopted in carrying out the study, as organised under the following sub-headings. 3.0 Research Methodology 3.1 Introduction 3.2 Research Design 3.3 Population of the Study 3.4 Sampling Technique and Sample size 3.5 Data Collection Instrument 3.6 Validity of the Instrument 3.7 Method of Data Collection 3.8 Method of Data Analysis 3.2 Research Design This study adopted a descriptive design which falls within the empirical research methodology. The purpose of the descriptive case study which is to collect detailed data as they describe existing phenomenon, identify problems or justify current conditions and practices and to make comparison and evaluation. They also determine what other researches have done with similar problems or situations and how to benefit from their experience in making future plans and decisions. It also consists of a set of gathered data or information analysed, summarized and interpreted along certain lines for the pursuit of specific purpose or study which include the subject of this research study. 3.3 Population of the Study The population of this study are the members of staff of ten special libraries in Ibadan Oyo State of Nigeria which are: Cocoa Research Institute of Nigeria (CRIN) Library, 28
  • 29.
    Dominican Institute library,Forestry Research Institute of Nigeria (FRIN) Library, Immanuel College of Theology & Christian Education library, Nigerian Horticultural Research Institute (NIHORT) Library, Nigerian Institute of Social and Economic Research (NISER) Library, Nigerian Institute of Science Laboratory Technology(NIST) library, E Latunde Odeku Medical Library, Institute of Agricultural Research and Training(IAR&T) Library and 2 Division Library of the Nigerian Army. The total numbers of library staffs to be sampled are ninety two (92) 3.4 Sampling Technique and Sample size Special libraries are usually small in size and may not have many staffs; therefore every member of staff of the selected special library is the sample population for this study. Table 3.1 Sample of staff in selected special libraries. SPECIAL LIBRARY Professional Parastaff professional Supportive Total staff staff Cocoa Research Institute of Nigeria 4 5 9 library (CRIN) Dominican Institute library 1 2 3 Forest Research Institute of Nigeria 6 2 8 (FRIN) Immanuel College of Theology & 1 2 3 12 16 15 19 library Nigerian Institute of Social and 6 4 10 Economic Research(NISER) library Nigerian Institute of Science 1 1 2 11 2 18 4 Christian Education library Institute of Agricultural Research & 1 3 Training library (IAR&T) Nigerian Institute of Horticulture 4 Research & Training (NIHORT) Laboratory Technology(NIST) library E Latunde Odeku Medical library 2 2Division Library of the Nigerian 2 5 Army 29
  • 30.
    Total 28 3.5 8 56 92 Data Collection Instrument Themain instrument for data collection is the questionnaire. The questions in the questionnaire are not ambiguous, they are open ended questions presented in an objective form. The questionnaire for this study is tagged “Capacity Building of Library Staff (CBLS)’’. It has six sections, Section A is about the demographic variables of the respondents, Section B is about types of capacity building programmes employed by the management of the libraries, Section C deals with benefits of the capacity building programmes of the library, Section D wants to know the perception of staff capacity building programmes, Section E investigated the level of commitment of management to staff capacity building and Section F sought for opinion of respondents on how to promote capacity building in special libraries. Respondents are expected to show their agreement with option provided by ticking the most appropriate option or their disagreement by simply ignoring such. 3.6 Validation of the Instrument The validity of the instrument was established on face and content validity. Validity of the instrument was also made available to the supervisor for assessment after necessary corrections. 3.7 Method of Data Collection The researcher personally visited and administered the questionnaire in these ten special libraries. The respondents are required to answer all the questions provided in the questionnaire by ticking the most appropriate options. 3.8 Method of Data Analysis The data for this study was analysed using simple percentages, frequency counts and bar chart. 30
  • 31.
    CHAPTER FOUR PRESENTATION ANDANALYSIS OF RESULTS 4.1 Introduction The purpose of this study is to investigate the "capacity building of library staff of selected special libraries in Oyo State of Nigeria”. The study adopted a survey research method and data were collected through the use of questionnaires which were administered to the library staff in ten special libraries. One of the basic characteristics of special libraries is that it is usually small in size and the personnel are usually very few. Out of ninety two (92) copies of questionnaire distributed in ten special libraries selected for this study, eighty one (81) copies (88%) were returned with valid responses. Simple percentage and frequency count together with bar chart were used to analyse the data. 4.2 ANALYSIS OF DEMOGRAPHIC VARIABLES OF THE RESPONDENTS Table 4.1 revealed that 9(11.1%) respondents were sampled in CRIN library, 3(3.7%) respondents were sampled in Dominican Institute library, 7(8.6%) were sampled in FRIN library, 14(17.3%) were sampled in NIHORT library, 14(17.3%) respondents were sampled in IAR&T library, 8(9.9%) respondents were sampled in NISER library, 2(2.5%) respondents were sampled in NISLT library, 17(21%) respondents were sampled in Odeku Medical library and the remaining 4(4.9%) respondents were sampled in 2Division Library of the Nigerian Army. Table 4.1 List of the special libraries sampled SPECIAL LIBRARY FREQUENCY Cocoa Research Institute of Nigeria 9 PERCENTAGE(%) 11.1 library (CRIN) Dominican Institute library 3 Forest Research Institute of Nigeria 7 3.7 8.6 (FRIN) Immanuel 3.7 College of Theology & 3 Christian Education library Institute of Agricultural Research & 14 31 17.3
  • 32.
    Training library (IAR&T) NigerianInstitute of Horticulture 14 17.3 Research & Training (NIHORT) library Nigerian Institute of Social and 8 9.9 Economic Research(NISER) library Nigerian Institute of Science Laboratory 2 2.5 Technology(NISLT) library E Latunde Odeku Medical library 2Division Library of the Nigerian Army Total 21 4.9 100 17 4 81 Figure 4.1 Table 4.2 showing the educational qualification of the respondents, revealed that 1(1.23%) respondent had PhD, 13(16.01%) respondents had masters degree, 32(39.51%) respondents had Bachelor degree/ Higher National Diploma, 24(29.63%) had National Certificate in Education/Diploma in Library Studies/ Ordinary National Diploma, 10(12.35%) had Senior School Certificate while the remaining 1(1.23%) had Primary School leaving certificate. Table 4.2 Educational qualifications of the respondents EDUCATIONAL QUALIFICATION FREQUENCY PERCENTAGE (%) 32
  • 33.
    Doctor of Philosophy(PhD) Masters Degree Bachelor Degree/Higher National Diploma (BSC/HND) National Certificate in Education 1 13 32 , 24 1 16 40 30 Diploma in Library Studies and Ordinary National Diploma(NCE/DLS/ND) Senior School Certificate Examination 10 12 (SSCE) Primary School Leaving Certificate Total 1 100 1 81 Figure 4.2 Table 4.3 showing the categories of staff in the special libraries sampled showed that 16(19.8%) were professional, 21(25.9%) were para-professionals while the remaining 44(54.3%) were supportive staff. Table 4.3 Categories of staff in the libraries sampled CATEGORY PROFESSIONAL FREQUENCY 16 33 PERCENTAGE (%) 19.8
  • 34.
    PARA-PROFESSIONAL SUPPORTIVE TOTAL 21 44 81 25.9 54.3 100 Figure 4.3 From thetable 4.4 showed that 26(32.1%) respondents had between zero to five years working experience, 16(19.8%) respondents had six to ten years working experience, 12(14.8%) had worked between eleven to fifteen years, 12(14.8%) had sixteen to twenty years working experience,10(12.3%) had between twenty one to twenty five years working experience, 2(2.5%) had between twenty six to thirty years working experience while the remaining 3(3.7%) had thirty one to thirty five years working experience. Table 4.4 Work experience of the respondents WORK EXPERIENCE 0-5 years 6-10 years 11-15 years 16-20 years 21-25 years 26-30 years 31-35 years FREQUENCY 26 16 12 12 10 2 3 34 PERCENTAGE (%) 32.1 19.8 14.8 14.8 12.3 2.5 3.7
  • 35.
  • 36.
    4.3 ANALYSIS OF RESEARCHQUESTIONS INTRODUCTION There are five research questions raised for this research work which would be answered using questions in the questionnaire in the following ways. Question one was used to answer research question one, question two was used to answer research question two, question three was used to answer research question three, question five was used to answer research question four while question six was used to answer research question five. 4.3.1 Research question one: what are the types of capacity building programmes employed by the management of the special libraries? Table 4.5 showing analysis of research question one revealed that seminar /workshop 61(21%) was the most widely used capacity building programme in most of the libraries sampled which was followed by conferences 52(17%), on the job training 43(14.8%), in service training 42(14.5%), library school courses 27(9.3%), consultants and special training 24(8.3%), spending time in libraries of developed countries and classroom/ lecture method 14(4.8%) while non credit earning short courses was the least adopted capacity building programme 13(4.5%) in ten special libraries sampled. 36
  • 37.
    Table 4.5: CapacityBuilding programmes employed in Special Libraries Capacity building CRIN DOMMI NICAN FRIN IMMAN IAR&T UEL COLLEG E NIHOR T NISER Library NISLT library Odeku Medical Library Conferences 8(15.4%) 0(%) 7(13.5%) 3(5.8%) 9(17.3%) 6(11.5%) 2(3.8%) 6(11.5%) Seminars/ Workshops Spending time in developed countries Library school courses On the job training Classroom/ Lecture methods Consultant/ Special training In service training Non-credit earning short courses Others specify Total 8(13.1%) 0(%) 7(11.5%) 3(4.9%) 8(13.1%) 7(11.5%) 2(3.3%) 11(18%) 2(3.3%) 61 3(21.4%) 1(7.1%) 5(35.7%) 0(%) 0(%) 11(21.2 %) 13(21.3 %) 0(%) 2 Total Divisio n Nigeria n Army Library 0(%) 52 0(%) 0(%) 5(35.7%) 0(%) 14 4(14.8%) 1(3.7%) 4(14.8%) 0(%) 1(3.7%) 4(14.8%) 0(%) 6(22.2%) 1(3.7%) 27 7(16.3%) 1(2.3%) 4(9.3%) 3(7%) 6(14%) 4(9.3%) 2(4.7%) 11(25.6%) 0(%) 43 2(14.3%) 2(14.3%) 2(14.3%) 3(21.4%) 1(7.1%) 6(22.2% ) 5(11.6% ) 1(7.1%) 2(14.3%) 0(%) 1(7.1%) 0(%) 14 6(25%) 1(4.7%) 4(16.7%) 1(4.7%) 3(12.5%) 2(8.3%) 1(4.7%) 2(8.3%) 0(%) 24 6(14.3%) 1(2.4%) 3(7.1%) 3(7.1%) 3(7.1%) 4(16.7% ) 8(19%) 3(7.1%) 2(4.8%) 12(28.6%) 1(2.4%) 42 1(7.7%) 0(%) 4(30.8%) 0(%) 1(7.7%) 4(30.8% ) 1(7.7%) 1(7.7%) 0(%) 1(7.7%) 13 0 45 0 7 0 41 0 16 0 32 0 52 0 29 0 10 0 54 0 5 0 290 37
  • 38.
    Figure 4.5 4.3.2 Researchquestion two: What are the benefits of capacity building activities to the libraries and to the library staff? From table 4.6 showing the benefits of capacity building showed that efficient staff was the major benefit of capacity building programme 56(19.4%) followed by improved productivity 55(19.1%), efficient service delivery 53(18.4%), well motivated staff and highly skilled staff 50(17.4%) and reduced cost of operation was the least benefit 24 (8.3%). 38
  • 39.
    Table 4.6: Benefitsof Capacity Building Programmes Benefits CRIN DOMINICAN FRIN IMMANUEL IAR&T NIHORT NISER NISLT ODEKU 2 TOTAL Efficient 7(12.5%) 1(1.8%) 7(12.5%) 2(3.6%) 7(12.5%) 13(23.2%) 4(7.1%) 1(1.8%) 14(25%) Division 0(%) 56 staff Improved 8(14.5%) 1(1.8%) 7(12.7%) 3(5.5%) 14(25.5%) 6(10.9%) 5(9.1%) 2(3.6%) 9(16.4%) 0(%) 55 productivity Well 5(10%) 0(%) 7(14%) 3(6%) 6(12%) 12(24%) 4(8%) 1(2%) 12(24%) 0(%) 50 staff Highly 7(14%) 3(6%) 7(14%) 3(6%) 7(14%) 8(16%) 4(8%) 2(4%) 9(18%) 0(%) 50 skilled staff Efficient 7(13.2%) 1(1.9%) 6(11.3%) 3(5.7%) 9(17%) 11(20.8%) 6(11.3%) 2(3.8%) 5(9.4%) 3(5.7%) 53 2(8.3%) 1(4.2%) 3(12.5%) 3(12.5%) 2(8.3%) 7(29.2%) 4(16.7%) 1(4.2%) 1(4.2%) 0(%) 24 36 7 37 17 45 57 27 9 50 3 288 motivated service delivery Reduced cost of operation Total 39
  • 40.
    Figure 4.6 4.3.3 Research questionthree: What is the perception of staff about the capacity building programmes of the special libraries? From table 4.7 showing perception of the capacity building programme of the special libraries revealed that the highest percentage 50(55.6%) of respondents agreed that the capacity building programme should be improved in all the libraries sampled which was followed by 32 (35.6%) respondents who perceived it as being adequate and 8(8.8%) respondents who perceived it as inadequate. 40
  • 41.
    Table 4.7: Perceptionof Capacity Building Programmes Perception Adequate CRIN 3(9.4% DOMINICAN FRIN IMMANUEL IAR&T NIHORT NISER NISLT ODEKU 2 TOTAL 5(15.6%) 1(3.1% 1(3.1% 7(21.9% Division 0(%) 32 0(%) ) 1(12.5% 3(37.5%) ) 2(25%) ) 0(%) ) 1(12.5% 1(12.5 8 3(6%) 1(2%) ) 9(18%) 9(18%) 6(12%) 2(4%) ) 9(18%) %) 2(4%) 50 0 0 0 0 0 0 0 0 0 0 4 7 3 17 17 9 3 17 3 90 2(6.3%) 4(12.5 2(6.3%) 7(21.9% ) Inadequate 0(%) 0(%) ) 0(%) Should be 7(14%) 2(4%) improved Others 0 specify Total 10 41
  • 42.
    Figure 4.7 4.3.4 Research questionfour: What is the level of the commitment of the management to staff capacity building? From the table 4.8 showed that the management is committed having the higher percentage 34(42.5%) followed by highly committed 26(32.5%), partial committed 17 (21.3%), not committed 2(2.5%) while 1(1.2%) respondent was undecided. 42
  • 43.
    Table 4.3.5: Levelof Commitment of Management to Capacity Building Programmes 43
  • 44.
    Level of CRIN DOMINICAN FRIN IMMANUELIAR&T NIHORT NISER NISLT commitment OD U Highly 3(11.5% 1(3.8%) 5(19.2% 0(%) 5(19.2% Committed Committed ) 4(11.8% Partially 3(11.5%) 2(5.9%) ) 2(5.9%) 0(%) ) 6(17.6% 7(20.6%) ) 2(11.8% 0(%) 0(%) 3(17.6%) ) 1(5.9%) committed Not ) 0(%) 0(%) 0(%) 0(%) committed Undecided Total 0(%) 9 0(%) 3 0(%) 7 0(%) 3 0(%) 0(%) 9(34. 6(17.6% 2(5.9% ) 5(14. 5(29.4%) ) 1(5.9%) ) 0(%) ) 3(17. 0(%) 1(50%) 0(%) 0(%) ) 0(%) 0(%) 12 0(%) 16 0(%) 7 0(%) 2 1(100 18 Figure 4.8 4.3.5 Research question five: How can staff capacity building be promoted in special libraries? 44
  • 45.
    From the Table 4.9showed that capacity building of staff can be promoted in special libraries through making fund available for training programme with the highest respondents 68 (15.7%) followed by organising regular training 66 (15.2%), trainee should be encouraged to apply knowledge gained 66 (15.2%), staff should be sponsored for oversee training 60 (13.8%), outstanding performance should be rewarded 60 (13.8%), proper training needs assessment 57 (13.1%) and right training technique should be employed 57 (13.1%). 45
  • 46.
    Table 4.3.6: Howto Promote Capacity Building Programmes in Special Libraries How to promote capacity building Organising regular training programme Fund should be made available Proper training needs assessment Right training techniques should be employed Staff should be sponsored for oversee training Trainee should be encouraged to apply knowledge gained Outstanding performance should be rewarded Total CRIN DOMINICAN FRIN IMMANUEL IAR&T NIHORT NISER NISLT ODEKU TOTAL 13(19.7%) 2 Division Nigerian Army Library 2(3.0%) 6(9.1%) 3(4.5%) 7(10.6%) 3(4.5%) 10(15.2%) 14(21.2%) 6(9.1%) 2(3.0%) 6(8.8%) 2(2.9%) 7(10.3%) 2(2.9%) 10(14.7%) 14(20.6%) 7(10.3%) 2(2.9%) 16(23.5%) 2(2.9%) 68 7(12.3%) 2(3.5%) 7(12.3%) 2(3.5%) 9(15.8%) 10(17.5%) 6(10.5%) 2(3.5%) 9(15.8%) 3(5.3%) 57 6(10.5%) 1(1.8%) 7(12.3%) 3(5.3%) 10(17.5%) 9(15.8%) 7(12.3%) 2(3.5%) 10(17.5%) 2(3.5%) 57 7(11.7%) 2(3.3%) 7(11.7%) 2(3.3%) 10(16.7%) 9(15%) 6(10%) 2(3.3%) 14(23.3%) 1(1.7%) 60 7(10.6%) 2(3.0%) 7(10.6%) 3(4.5%) 9(13.6%) 13(19.7%) 6(9.1%) 2(3.0%) 15(22.7%) 2(3.0%) 66 6(10%) 2(3.3%) 7(11.7%) 2(3.3%) 10(16.7%) 11(18.3%) 5(8.3%) 2(3.3%) 13(21.7%) 2(3.3%) 60 45 14 49 17 68 80 43 14 90 14 434 46 66
  • 47.
    Figure 4.8 4.4 Discussion ofthe findings The study was conducted on capacity building of library staff of selected special libraries in Oyo State Nigeria. The concept ‘capacity building’ also referred to as ‘manpower development’, ‘human resource development’, ‘staff development’, and ‘personnel development’ can be conceived as any conscious and deliberate effort, endeavour, facility and opportunity provided to the employees of an organization, establishment and outfit irrespective of their status to improve their skills, attitude, behaviour, experience, ideas knowledge, education and information acquisition with the view to enhance their performance and productivity for ensuring optimal success in achieving the overall objectives, goals, mission and aspirations of both the employer and the employee. Naturally, beside the availability of funds, information, technology and other relevant material infrastructure and resources in an organization, human resources is needed to activate, coordinate, manage all the factors of production and the functions, operations systems and activities of the organization to survive and succeed in achieving its specific and overall objectives, goals and mission. The quality of the staff in an organization will be a sine qua non to the extent to which it will achieve its objectives, goals and mission 47
  • 48.
    this makes humanresources the most important asset of the organization. Just as the other assets of the organizations like building, plant and machinery are subject to depreciation, human capacity to perform in libraries and information centers are also subject to depreciation if deliberate efforts are not taken to arrest the situation through initiating capacity building programme on continual basis. Ten special libraries in Oyo state of Nigeria was sampled to collect data for this study and the findings revealed that seminar /workshop 61 (21%) is the most widely used capacity building programme in most of the libraries sampled followed by conferences 52(17.9%), followed by on the job training 43(14.8%), followed by in service training 42(14.5%), followed by library school courses 27(9.3%), followed by consultants and special training 24(8.3%) followed by spending time in libraries of developed countries libraries and classroom/ lecture method 14(4.8%) and non credit earning short courses which is the least adopted capacity building programme 13(4.5%) the result of the finding is similar to some of the various capacity building listed by Mabawonku (2005). These capacity building programmes in the findings are similar to what Ojiambo (1992) recommended in his developing human resource capacity for information services in Africa. He emphasized that training can be conducted in these ways, former training leading to a certificate, diploma or degree which involves sending staff on formal training programmes and if management has decided to adopt this method, the knowledge and skills to be acquired and the institutions that can offer such needed skills must be identified before embarking on it. Continuing education programme in form of short courses, seminars or workshops, in a specific area of study for a particular group of participants. Short courses can be organized internally as in-service programmes or externally. Ojiambo(1992) concluded with industrial attachment which he admitted that it is very useful for newly employed staff. However attachment should be carefully planned and the participants be supervised by experienced and qualified staff, competent employee can be sent abroad for attachment in highly special areas. The findings show that staff capacity building programmes have the following benefits; it brings about efficient staff 56(19.4%) followed by improved productivity 55 (19.1%), efficient service delivery 53 (18.4%), followed by well motivated staff and highly skilled staff 50(17.4%) and reduced cost of operation is the least benefit 24(8.3%) 48
  • 49.
    the finding issimilar to some benefits highlighted by Yesufu (2000) who emphasized that training of personnel enhances productivity and improves job performance. Other advantages of training include reduction in cost, reduced staff turnover, human resources reserve, faster decision, continuity of effort, improvement in employee morale, availability for future personnel needs of the organization, improvement in health and safety, reduced supervision, personal growth and organizational stability (Chandan, 2000). This finding is further endorsed by go2 Tourism HR Society (2011) who stated that staff capacity building in form of training and development is essential for specific purposes related to your business. You may require new workers to undertake instruction in first aid, food handling or a new booking system. Incorporating training that develops employees toward long-term career goals can also promote greater job satisfaction. A more satisfied employee is likely to stay longer and be more productive while on your team. Training reduces cost of turnover. A recent survey indicates that 40 per cent of employees who receive poor job training leave their positions within the first year. They cite the lack of skills training and development as the principal reason for moving on. Consider the cost of turnover. With one fewer worker, your company’s productivity slips. Sales decline. Your current staff members are required to work more hours. Morale may suffer. To find a replacement, you spend time screening and interviewing applicants. Once you hire someone, you need to train that person. The cost of staff turnover adds up. Figures vary, but it can cost as much as $2,500, depending on the position, to replace a frontline employee. That is a hefty price to pay for not training staff. Despite the initial monetary costs, staff training pays back your investment. Here are just some of the reasons to take on development initiatives: Training helps your business run better. Trained employees will be better equipped to handle customer inquiries, make a sale or use computer systems. Training is a recruiting tool. Today's young workers want more than a pay cheque. They are geared toward seeking employment that allows them to learn new skills. You are more likely to attract and keep good employees if you can offer development opportunities. Training promotes job satisfaction. Nurturing employees to develop more rounded skill sets will help them contribute to the company. The more engaged and involved they are in working for your 49
  • 50.
    success, the betteryour rewards. Training is a retention tool, instilling loyalty and commitment from good workers. Staff looking for the next challenge will be more likely to stay if you offer ways for them to learn and grow while at your company. Don't give them a reason to move on by letting them stagnate once they've mastered initial tasks. Training adds flexibility and efficiency. You can cross-train employees to be capable in more than one aspect of the business. Teach them to be competent in sales, customer service, administration and operations. This will help keep them interested and will be enormously helpful to you when setting schedules or filling in for absences. Crosstraining also fosters team spirit, as employees appreciate the challenges faced by coworkers. Training is essential for knowledge transfer. It's very important to share knowledge among your staff. If only one person has special skills, you'll have a tough time recouping their knowledge if they suddenly leave the company. Spread knowledge around — it's like diversifying your investments. Training gives seasonal workers a reason to return. Let seasonal employees know there are more ways than one to contribute. Instead of hiring someone new, offer them a chance to learn new skills and benefit from their experience. On the perception of staff of the capacity building programme of these special libraries, the study shows that 32respondents (35.6%) perceived the capacity building programmes of the libraries as being adequate, 8 respondents (8.8%) perceived it as being inadequate, 50 respondents (55.6%) perceived the capacity building programmes of these libraries as a matter that needs improvement. Library and information profession is very dynamic, it is a profession that was borrowed from a number of disciplines (Aina, 2004) ,therefore anything that impacts on these disciplines will definitely affects library and information profession. Information and communication technology (ICT) has radically transformed most of the services provided by the library. ICT is heavily being used in the storage, processing and dissemination of information. Even the vocabulary of librarianship is changing; “dissemination” is being replaced by “communication” “repository” by “databases”. “literature” by “knowledge” search by “navigation” etc. Any modern library and information professional must be knowledgeable in library automation, networking, internet surfing, database management, processing software, statistical software etc. For professionals and other library staff to keep pace 50
  • 51.
    with the latestdevelopment, the management of the library cannot be relied upon to single handedly design the capacity building programmes that would suit every categories of workers.(Ogunsola,2011) This is not to cover inefficiency of the management in capacity building of the library staff, the truth of the matter is professionals and other categories of staff should make personal development a matter of priority while continuous pressure should be mounted on the management to improve on her capacity building programmes, personal efforts should be made in sponsoring themselves to training and development programmes that can improve their competence. The researcher tried to know the level of commitment of the management to the capacity building of library staff by the management of the various libraries studied. The result shows that 26 respondents (32.5%) agreed that their management is highly committed, 34 respondents (42.5%) agreed that their management is committed, 17 respondents (21.3%) agreed that their management is partially committed, 2 respondents (2.5%) agreed that their management is not committed while 1 respondent (1.2%) is undecided. From the findings of this research work, it was revealed that the management’s commitment to capacity building is only restricted to what is available locally, while much has not being done in the area of sending employees to developed countries for capacity building. Efforts should be intensify to allow professionals to spent time in developed countries libraries to equip themselves with needed skills that could be used to transform special libraries and other types of libraries in Nigeria and to be exposed to global best professional practices. It should also be noted that information technology is the driven force of the modern librarianship and the level of our technological development in Nigeria is very low, the management of these libraries should not forget that the library has a lot to gain if this method can be adopted. 51
  • 52.
    CHAPTER FIVE SUMMARY, CONCLUSIONAND RECOMMENDATION 5.1 SUMMARY Staff capacity building in special libraries is a matter that requires a continuous attention in this information age when special librarians and other library workers are expected to provide essential information and services to meet critical information needs of the parent organization. To be able to do this, special librarians and other library staff need to be knowledgeable in the areas of information resources, information access, technology, management and research and the ability to use these areas of knowledge as a basis for providing library and information services. The concept ‘capacity building’ also referred to as ‘manpower development’, ‘human resource development’, ‘staff development’, and ‘personnel development’ can be conceived as any conscious and deliberate effort, endeavour, facility and opportunity provided to the employees of an organization, establishment and outfit irrespective of their status to improve their skills, attitude, behaviour, experience, ideas knowledge, education and information acquisition with the view to enhance their performance and productivity for ensuring optimal success in achieving the overall objectives, goals, mission and aspirations of both the employer and the employee. (Mohammed, 2009) There are various methods employed in special libraries for the purpose of capacity building they are conferences, seminar/workshop, spending time in developed countries libraries for the purpose of skill acquisition, library school courses, on the job training, classroom/lecture method, consultants and special training, in service training and non credit earning short courses. The roles that staff capacity building can play in libraries are inestimable, it enhances productivity and capacity building in terms of training is the most important direct means of upgrading the human intellect and skills for productive employment (Yesufu, 2000). Other benefits are reduction in cost of production/operation; it reduces employee turnover, faster and qualitative decisions, continuity of efforts, improvement in employee morale, improvement in health and safety, reduced supervision, personal growth and organizational stability (Chanda, 2000). 52
  • 53.
    The findings ofthis research work revealed that seminar /workshop is the most widely used capacity building programme in most of the libraries sampled followed by conferences, on the job training, in-service training, library school courses, followed by consultants and special training followed by spending time in libraries of developed countries libraries and classroom/ lecture method and non credit earning short courses which is the least adopted capacity building programme. The respondents agreed that capacity building has the following benefits efficient staff as the major benefit of capacity building programme followed by improved productivity, efficient service delivery, followed by well motivated staff and highly skilled staff and reduced cost of operation. The study shows that libraries staff in these ten special libraries sampled for this study have different perception of the capacity building programme of the management of their libraries, 32(35.6%) respondents perceived capacity building programmes of their libraries to be adequate, 8 respondents (8.8%) perceived it to be inadequate, while the respondents who perceived capacity building programmes of the managements of these libraries as matters that should be improved are the highest 50 respondents (55.6%). The researcher sought to know the commitment of the libraries sampled to staff capacity building, 58 respondents agreed that the management is committed to giving permission to staff to attend training programmes, 57 respondents agreed that qualified staff are given permission to take part-time/ full time programmes, 43 respondents agreed that the management is committed to encouraging trainees to apply knowledge gained from the training programmes, 36 respondents agreed that the management is committed to paying training allowances to staff undergoing training programmes, 35 respondents agreed that the management is committed to approving study leave to staff that merit it, 34 respondents agreed that the managements of their libraries are committed to regular training of the staff, 30 respondents agreed that the management is committed to making funds available for training. 23 respondents agreed that management is committed to sending staff oversee for training while 4 respondents are of the opinion that their own managements are committed to any of these. The research tried to know the level of commitment of the management of the libraries sampled, 26 respondents (32.5%) rated their management as highly committed to staff capacity building, 34 respondents (42.5%) agreed that their managements are 53
  • 54.
    committed, 17 respondents(21.3%) agreed that their management is partially committed, 2 respondents (2.5%) agreed that the management is not committed and 1 respondent is undecided. One can conclude that the management of these libraries are committed to capacity building and what is needed is improvement so that the employees would be well equipped to cope with changes that are taking place in library and information profession and for optimum productivity. 5.2 CONCLUSION The basic function, duty and responsibility of a typical library and information centre personnel is to manage the human knowledge through collection and acquisition of all available relevant information resources (printed and non printed), organization and manipulation of the information resources, preservation and storage of the information resources and retrieval and dissemination of the relevant information to the right users in the most appropriate package, channel location and time. However, the extent to which the library and information centre staff is able and capable of performing his/her duties and responsibility effectively and efficiently will be a function of several factors which include the acquisition of relevant skills, experiences, ideas education and training. Hence, the need for human capacity building in not only in special libraries but rather in all types of libraries and information centres, organizations and institutions. The concept ‘capacity building’ also referred to as ‘manpower development’, ‘human resource development’, ‘staff development’, and ‘personnel development’ can be conceived as any conscious and deliberate effort, endeavour, facility and opportunity provided to the employees of an organization, establishment and outfit irrespective of their status to improve their skills, attitude, behaviour, experience, ideas knowledge, education and information acquisition with the view to enhance their performance and productivity for ensuring optimal success in achieving the overall objectives, goals, mission and aspirations of both the employer and the employee. Naturally, beside the availability of funds, information, technology and other relevant material infrastructure and resources in an organization, human resources is needed to activate, coordinate, manage all the factors of production and the functions, operations systems and activities 54
  • 55.
    of the organizationto survive and succeed in achieving its specific and overall objectives, goals and mission. (Mohammed and BOT, 2009) The quality of the staff in an organization will be a sine qua non to the extent to which it will achieve its objectives, goals and mission. Mohammed (2003) observed that the personnel in the 21`st century organizations and establishment, of which libraries and information centres are one, need more education, training, knowledge, skills, ideas, experiences, information and enlightenment now more than ever before in order to cope with the challenges of the time. He added that, the personnel who continue to improve in their knowledge, experience, education, information ideas and skills acquisition as well as grow positively in their attitudes, behaviours, performance and productivity in their work place, will eventually make a better employees with stronger feeling of self satisfaction and fulfillment about their work and assurance of ensuring the achievement of the objectives, goals and mission of their employers and of themselves. Capacity building of staff in special libraries should be addressed through formal education in library and information science programmes and continuing education of staff. It is also important that in developing an educational programme for librarians, employers and trainers should look beyond competencies and skills to changing the philosophy, attitudes and mindset of the professionals in the field. There is need to continue research into what kind of models should be used in the training of African librarians to meet up with present challenges. The level of professional training in information technology should be increased now that information and communication technology is increasingly being deployed by libraries most especially special libraries because the level of training in this area by the professional and paraprofessional library staff is generally inadequate (Ajidahun, 2007). Greater efforts must be made to provide adequate training programmes in information technology and other related subjects for library staff, especially professional staff, in order to make them relevant and adequate to face the technological challenges of the twenty–first century. Special libraries should therefore begin to initiate capacity building process which will involve among other things, a definition of goals and objectives, an assessment of staff strengths and weaknesses, development of long– and short–range training programmes, the implementation and evaluation of the effectiveness of the 55
  • 56.
    programme. If thestaff capacity building programmes are well implemented, the issue of lack of resources to sponsor staff to attend professional workshops, conferences and seminars may no longer arise. This is because priority attention will be put on human resources development; consequently, the right funds will be provided for overall development of the libraries and information centres. 5.3 RECOMMENDATIONS Staff capacity building is a must in special libraries if they are to remain relevant in this digital age. Based on my findings, I therefore make the following recommendations: Adequate annual budgetary provision should be made available for staff capacity building programmes in special libraries; Management should make provisions for librarians and other library staff to spend time in developed nations libraries for the purpose of skill acquisition and to be abreast of the latest development in the profession and global best professional practices; Training allowance should be paid to staffs undergoing training programmes to further motivate them to acquire needed skills and to apply them to work situations; There should be a proper training need assessment before embarking on any training programme so that the resources available could be optimally utilized and the training would be able to address skills deficiencies; There should be a forum for special librarians to interact share knowledge and exchange ideals; this will further build the capacity of professionals in special libraries; Workshops, seminars and conferences should be accorded priority to provide a platform for exchange of information and to build capacity of various categories of staff in the library; The management should improve their commitment to capacity building of library staff through training and retraining programmes and look beyond cost implications of training so as to enjoy benefits training will bring to the libraries; The management should encourage trainees to apply knowledge gained from the training programmes so that capacity building programmes will not be seen as a formality and this will make them to be more committed; 56
  • 57.
    Library association suchas NLA, SCALUWA should make training of librarians on modern practices a priority; Library school should overhaul their curricula to accommodate the recent advances in information and computer technologies in order to make their products relevant to modern society; Libraries staff should be well exposed to Information and Communication Technology (ICT) and the various ways of its application to Library services; Government and owners of special libraries and information centres in the country must also accord the provision of facilities and adequate remuneration for the purpose of utilization and retention of acquired skills; Institutions should take a critical look at their organizations with a view to carrying out necessary restructuring leading to the recruitment of fresh personnel in appropriate areas and the commensurate assignment of duties and tasks. This will ensure maximum use of knowledge and skills acquired; Information training institutions and departments must carry out a reassessment of their training curriculum and make it conform to the training needs of today's library and information work environment; Management should be rewarding outstanding performance, this will make library staff to always strive for excellence; On the job training in terms of short courses, conferences and workshops must also be carefully examined such that it meets the training needs of the personnel in organizations in order to address the recurring problem of obsolescence among information workers while the provision of adequate budget for this purpose must be priortised. 57
  • 58.
    REFERENCES Abiodun, E.J. A.1999.Human resources management, an overview. Lagos: Concept Publication. 110-121. Adamolekun, L. 1983. Public Administration: Nigeria and Comparative Perspective. London: Longmans. Adebayo A. and Rowland, L.1972. Local Government Finance in Nigeria. Ile-Ife: University of Ife Press. Adedigba, Y.A., et al. 1995. Education and Training in Library Automation in Africa: IITA’s Contributions. African Journal of Library, Archives and Information Science 5.1: 55–64. Adeniyi, O.I.1995 Staff training and development in Ejiogu, A; Achumba, I. Asika Eds. Lagos: Maltho use Press Ltd. 159-167. Adetoro, N, Oyefuga, A. B and Osunkoya. 2010. Capacity building for sustainable Library and information services development in Nigeria Journal of research in national development .8.1 Aina, L.O. 2004. Library and information science text in Africa. Ibadan: Third World Information Sciences Ltd. 27- 38 Ajibade, E.S. 1993. Staff development and in-service for teachers in Ajibade (Ed) Emia Nigerian Educational issues policies and practice in the eighties and beyond. Publication. 147-157 Ajidahun, C. O.2007. The Training, Development and Education of Library Manpower in Information Technology in University Libraries in Nigeria. World Libraries 17.1. Akhigbe, O. O. 1997. Professional Skills Required by Nigerian Library/ Information Centres of the Future. Nigerian Libraries 31.1 & 2: 1–11. Alokun, N.A.T. 2004. The use of library: a textbook for students in tertiary institutions. Lagos: Nudex International Company. 16-24 Arag ´ on-S´anchez A, Barba-Arag ´on I, Sanz-Valle R. 2003. Effects of training on business results. International Journal of Human Resource Management 14:956–80 58
  • 59.
    Arthur W. J.2003. Effectiveness of training in organizations: A meta analysis of design and evaluation features. Journal of Applied Psychology 88:234–45 Ashu, M and Clendening, L. 2007. It takes a library to raise a community, Partnership. The Canadian Journal of Library and Information Practice and Research 2. 2. Ballantyne, P. Labelle, R. and Rudgard, S. 2000. Information and Knowledge Management: Challenges for Capacity Building. Maastrich: ECDPM (Policy Management Brief) 11: 2. Banti, R.C. 2008. Staff development and continuing education in a technological University library in Nigeria: The Abubakar Tafawa Balewa University example. Gateway Library Journal 11.1: 25-32 Beardwell, I. and Holden, L.1997. Human resources management. 2nd ed. London: Putnam Publishers. Bender, D. 1998. What’s special about special libraries? – SLA and the continuous education challenge INSPEL 324:197-204 Billings, H. 1995. The Tomorrow Librarian. Wilson Library Bulletin 69. 5: 34–37. Bolger, J. 2000. Capacity development : Why, what and how in capacity development. Occasional series. CIDA, policy branch Canadian International Development Agency 1.1 Botha, E. and Erasmus, R. 2009. Evaluating the impact of a special library and information service. Journal of librarianship and information science 41.2 Brown K. G. 2007. Applying a social capital perspective to the evaluation of distance training. In Where is the Learning in Distance Learning? Towards a Science Distributed Learning and Training, ed. SM Fiore, E Salas. Washington, DC: American Psychology Association. 41–63. Burton, G. and Manab, T. 1997. Management Today: Principles and Practice. New Delhi: McGraw–Hill. Bryant, J. and Poustie, B. 2001. competencies needed by public library staff. Gütersloh: Kay elsmann Foundation Canadian Association of Research Libraries 2010. Core competencies for 21st Century CARL librarians. Canada : Canadian Association of Research Libraries 59
  • 60.
    Chandan, J. S.2000. Management: Theory and Practice. New Delhi: Vikas Publishing House PVT Ltd. Collins, D.B. 2004. The effectiveness of managerial leadership development programs: A meta analysis of studies from 1982 to 2001. Human.Resource Development. Quarterly 15:217–48. Craig, R.L. 1976. Training and development handbook. London: McGraw Hill Darch, H, and Lucas, T. 2002. Training as an e-commerce enabler. Journal of Workplace Learning 14:148–55 David, O. 1987. Buying Software: A Customer Survival Kit. Audiovisual. Librarian 13.1: 50–53. Diejomah, V. 1982 Manpower Development Management in Nigeria. Dyer, W. G., Robert, D. and William G.1990 The Fielden challenges of management. San Diego: Harcourt Brace–Jovanovich. Edoka, B. E. 2000 Introduction to library science. Onitsha: Palma publishing. 191 Erika, B. and Martie, V. 2009. Evaluating the impact of a special library and information service. Journal of librarianship and information science 41.2. Fareed, K. A. 2009. Benefits of Training and Development Programs” retrieved from www.expertscolumn.com/content/benefits/training/development. Fisher, W. and Matarazzo J. M. 1993. Professional development for special librarians: formal education and continuing education for excellence” Library trend fall Fourie, k. D. and Dowell, R. D. 2002 Libraries in the information age: An Introduction and career exploration. Colorado: Libraries Unlimited. 76-89 go2 Tourism HR Society. 2011 “Employee Training is Worth the Investment” retrieved from http: // www.go2hr.calForbrEmployers/Training Development/ returnoninvestment/HighcustomerRetentionatDestinationsnow/tabid/442 default.aspx. Goldstein, I.L, Ford, J. K. 2002. Training in Organizations. Belmont, CA: Wadsworth. Guerrero, S. 2004. High-involvement practices and performance of French firms International Journal of Human Resource Management. 15:1408–23 Harvard–Williams, P.1981 Professional Education: A Personal View. International Library Review 13. 4: 351–56. 60
  • 61.
    Healthlink worldwide 2003.Works to improve the health of poor and vulnerable communities by strengthening the provision, use and impact of information. London: Healthlink Worldwide Holt, G. 2007. May you live in interesting times. Informed Librarian Online. www.informedlibrarian.com/guestForum.cfm?FILE=gf0704.html. Hyman, M. 1991 “A Software Supplier’s View of Training and Support — Can You Really Survive Without Them? Library Micromation News 31:911 Huang, J and Wong, K. 2006 Technical services and user service improvement. Library Management 2. 6/7: 505-514. available at: www.emeraldinsight.com, accessed 27 August, 2009. Isyaku, I.A. 2000. Training and retraining of Teachers through Distance Education. Being apaper presented at the National Workshop on Distance Education Held at Abuja Nigeria. 27-29 Ita, N.O. 1991 Education for Librarianship in Nigeria: A Re–assessment. Nigerian Libraries 25&26, 1–4 : 86–99. Jones, G.R., George, J.M. and Hill, C.W.L. 2000. Contemporary Management. New York: Irwin and McGraw Hills Jones, M.L and Blunt, P. (1999), Twinning as a method of sustainable institutional capacity building Public Administration and Development 19.1: 381-40 Kumar, K. 1997. Library Administration and Management. New Delhi: Vikas Publishing House PVT Ltd. Lafontaine, A. 2000 Assessment of Capacity Development Efforts of Other Development Cooperation Agencies. Capacity Development Initiative, 2 GEF-UNDP Strategic Partnership. Litchfield, Charles A. 1990 Vendor Training: A Question of Commitment to user success Journal of Library Administration 12. 2: 2–12 Mabawonku, I. 2001. Providing Information for Capacity Building: The Role of an NGO Library in Nigeria. Information Development 17.2:100-106 Mabawonku, I. 2005. Capacity Building for the Sustenance of Library Consortia in African University Libraries. Proceedings of SCAULWA Conferences, Darka 61
  • 62.
    7-11th November.107 Mabey, C.and Ramirez, M. 2005. Does management development improve organizational productivity? A six country analysis of European firms. International Journal of Human Resources Management. 16:1067–82 Metzger, A.J. 1992. The Training of Teacher Librarians for Community Junior Secondary Schools in Botswana. African Journal of Library Archives and Information Science 2. 2: 141–147. Mohammed, Z and BOT, N. G.2009. Capacity Building For Library and Information Centre Personnel in ICT Environment. Samaru Journal of Information Studies 9. 1 Moyo, L. M. 1996. The Training Component of the Support Services offered by software vendors in Botswana.” African Journal of Library, Archives and Information Science 6, no. 2 (1996): 113–120. Mullins, L.J. 1999. Management and Organisational Behaviour. London: Prentice Hall Muller, B. 2008 Challenges facing special libraries in South Africa. Johannesburg: Gordon Institute of Business Science.107-119. Nawe, J. 2004. Strategizing financing of public university libraries in East Africa. Library Management 25 .8/9:381-385. Nzotta, B.C. 1984 Library Manpower and Education: 1962–1983. Nigerian Libraries 20: 39–52. Ogunseye, F.A. 1984. 21 Years of Library Service: Keynote Address. Nigerian Libraries 20: 1–14. Ogunsola, L.A. 2011. Libraries as tools for capacity building in developing countries. Library Philosophy and Practice: 1-7. Ojiambo, J.B. 1992 Developing Human Resource Capacity for Information Services in Africa. African Journal of Library, Archives and Information Science 2. 2: 83–92. Oketunji, Ibidapo. 2001 Education of librarians in an electronically oriented society, paper presented at the Cataloguing, Classification and Indexing Section of the Nigerian Library Association’s Seminar/Workshop on Software Choice Parameters for Cataloguing in Nigerian Libraries, held at the Conference Hall of 62
  • 63.
    Ondo State Branchof the National Library of Nigeria, Akure, 22–27 October. Oribabor, P.E. 2000.Human Resources Management, A Strategic Approval. Human resources management 9.4: 21 – 24 Perrucci, R. and Tothman, R. 1969 Obsolescence of Knowledge and the Professional Career, In: Perrucci, R. and J.E. Gerstl. The Engineers and the Social System. New York: John Wiley. 247–275. Poll, R. 2005. Libraries – A Voyage of Discovery’, World Library and Information Congress: 71st IFLA general Conference and Council, Oslo, 14–18 August, URL http://www.ifla.org./IV/ifla71/Programme.htm Poll, R. 2007. Quality Measures for Special Libraries World Library and Information Congress: 73rd IFL general conference and council, Durban, 19–13 August,14 URL http://www.ifla.org/IV/ifla73/papers/152-Poll-en.pdf Schermerhorn, J.R.1989. Management for productivity. New York: Wiley. Street, M.D., Street, V.L. 2006. Taking sides: Clashing views on controversial issues in management. USA: McGraw-Hill. Senge, P., Kleiner, A., Robberts, C. and Smith, B. 1999. A fifth discipline resource: The dance of change . London: Nicholas Brealey Publishing. Shin, E. J. and Kim, Y. S. 2002. Restructuring library organizations for the twenty-first century: the future of user-oriented services in Korean academic libraries AslibProceedings 54.4: 260-266. available at: www.emeraldinsight.com, accessed 27 August, 2011 Silver, G. A. 1981 .Introduction to Management. St. Paul, Minn.: West Publishing. Sidorko, P. E. and Yang, T. T. 2009. Refocusing for the future: meeting user expectations in a digital age . Library Management 30.1/2: 6-24. Society for Human Resource Management . 2002b. SHRM learning system. Module3: Human resource development. Alexandria, VA: SHRM. Special Libraries Association. 2003 Special Committee on Competencies for Special Librarians: Competencies for information professionals of the 21st century. Revised edition. www.sla.org/content/learn/comp2003/index.cfm. Standing Conference of African University Libraries, Western Area .2002. Publishing, Stoner, J.A.F., R.E. Freeman, and Daniel A. Gilbert. 63
  • 64.
    Management. New Delhi:Prentice–Hall Tippelt, R. 2003. Competency-based training Compilation of seminar subject matter: Training the trainers. Germany: Capacity Building International. Tadele, F. and Manyena, S.B. 2009. Building disaster resilience through capacity building in Ethiopia, Disaster Prevention and Management, 18.3: 317-326, available at:www.emeraldinsight.com Ugbokwe, C.U.1998. Staff Development: A Motivational Tool in University Library Management. Library Bulletin 3. 1 & 2: 74–77. Umar, I. 2004. Libraries as tools for Professional Development. Paper Presented at Nigerian Library Association Conference and AGM at Akure, Nigeria, June 20 – 25, 27-30. UNDP/UNDOALOS, 1994. Report on the Consultative Meeting on Training in Integrated Management of Coastal and Marine Areas for Sustainable Development, Sassari, Sardinia, Italy, 21-23 June, 1993. United Nations Development Programme and Division for Ocean Affairs, United Nations, New York UNDP. 1998. Capacity Assessment and Development. Technical Advisory Paper No.3.http://magnet.undp.org/Docs/cap/CAPTECH3.htm Accessed 13 April 2011. Vallejo, S.M. 2006. Are we meeting the challenges for capacity building for managing ocean and coasts?, Balboa, Panama, November 13-14. Wilson, T. 1989. Towards an Information Management Curriculum. Journal of Information Science 15. 4 & 5: 203–209 Witten, I H. 2002. The promise of digital libraries in developing countries” The Electronic Library 20.1:7-13, available http://www.emeraldinsight.com/Insight/ViewContentServlet?contentType= Article&Filename=Published/EmeraldFullTextArticle/Articles/2630200101.html, Yesufu, T.M. 2000. The Human Factor in National Development. Benin City: University of Benin Press and Spectrum Books Ltd. 64
  • 65.
    UNIVERSITY OF IBADAN DEPARTMENTOF LIBRARY, ARCHIVAL AND INFORMATION STUDIES CAPACITY BUILDING OF LIBRARY STAFF (CBLS) QUESTIONNAIRE Dear Respondent, I am a Master’s student from the Department of Library, Archival and Information Studies, University of Ibadan. I am conducting a study on capacity building of library staff in partial fulfillment of the requirements for the award of Master Degree of Library and Information Studies (MLIS). I solicit your assistance in completing the questionnaire and all the information supplied will be treated as confidential and used only for academic purpose. Yours faithfully, Owoeye Peter O. SECTION A Demographic variables Tick the Column Where Appropriate 1. Gender : Male ( ) Female ( ) 2. Designation……………………………………… 3. Name of the library…………………………………… 4. Educational Qualification : Ph.D ( BLIS, B.Sc, B.ed, B.A ( ) HND ( 5. Working experience: 0- 5years ( )MLS ( ) M.Sc., M.A, M. Ed ( ) ) ND ( ) SSCE ( ) Primary school certificate( ) ) 6- 10 years ( ) 11- 15 years ( ) 16- 20 years ( ) 21- 25 years ( ) 26 – 30 years ( ) 31- 35 years ( ) 65
  • 66.
    SECTION B: TYPESOF CAPACITY BUILDING PROGRAMMES (1) What are the capacity building programmes employed by the management of your library? S/N Capacity building programmes 1 2 3 4 5 6 7 8 9 10 Tick Conferences Seminars/ workshops Spending time in libraries of developed countries Library school courses On-the –job training Classroom/ lecture methods Consultants and special training In-service training Non-credit earning short courses Others specify SECTION C: BENEFITS OF THE OF STAFF CAPACITY BUILDING (2) What are the benefits of the capacity building programme of the library? S/N 1 2 3 4 5 6 Benefits of capacity building Efficient staff Improved productivity Well motivated staff Highly skilled staff Efficient service delivery Reduced cost of operation Tick SECTION D: PERCEPTION OF STAFF CAPACITY BUILDING PROGRAMME (3) How do you perceive staff capacity building programmes of the library? S/N 1 2 3 4 Perception Adequate Inadequate Should be improved Others specify Tick 66
  • 67.
    SECTION E: LEVELOF COMMITMENT OF MANAGEMENT TO STAFF CAPACITY BUILDING (4) Which of the following is management committed to? S/N 1 2 3 4 5 6 7 8 9 10 Management’s commitment Regular training Funds are made available for training Training allowance are paid to staff undergoing training Permissions are given to staff to attend training programmes Trainees are encouraged to apply knowledge acquired Staffs are given permission to take part time/ full time courses Study leaves are approved for qualified staffs Staffs are sent to oversee for training The management is not committed to any Others specify Tick (5) What do you think is the level of management’s commitment to staff capacity building? S/ Levels of commitment Tick N 1 2 3 4 5 Highly committed Committed Partially committed Not committed Undecided (6) SECTION F: OPINION ON HOW TO PROMOTE CAPACITY BUILDING IN SPECIAL LIBRARIES S/N How to promote capacity building in special library SA A D SD 1 Organising regular training programme 2 Funds should be made available 3 Proper training needs assessment before training 4 Right training techniques should be employed 5 Staffs should be sponsored for oversee training 6 Trainee should be encouraged to apply knowledge gained 7 Outstanding performance should be adequately rewarded 8 Others specify 67