1
Online E-Voting Prototype System with
Web Services
A Mini Project submitted
by
DALYSHA J (961616104011)
JENIBA S (961616104013)
JENISHA J (961616104014)
MARTHANDAM COLLEGE OF ENGINEERING & TECHNOLOGY
DEPARTMENT OF COMPUTER SCIENCE AND ENGINEERING
ANNA UNIVERSITY, CHENNAI
OCT 2019
2
Abstract
The purpose of this master‘s project is to develop an Online E-Voting prototype system
utilizing the Paillier Threshold Cryptosystem (PTC) web services and applying MESE processes
to it in an attempt to find possible solutions to further improve existing PTC web services.
Online voting (e-voting) would be more convenient, relatively secure and utilize fewer
resources. To be able to access e-voting system from a personal, business or even a public library
computer may be more convenient for many people needing to vote. This could potentially be a
solution for the low voter turnout at the polls. However, it is still questionable whether elections
can be conducted online or over the internet due to the high level of concern over security.
Systems considered to be apart of e-voting are Machine readable (create, read, count)
ballot systems, Direct Recording Electronic (DRE) systems, voting using mobile devices and
internet voting [1]. As part of this project, an online e-voting prototype system has been
constructed using the demonstration windows application tool created for PTC web services. A
pre-computation process is applied due to efficiency improvements. The details of this
optimization and improvement in the web services process will be explained in the subsequent
sections.
In addition to the application of the pre-computation to the process, the Chinese
Remainder Theorem can be applied during the decryption process. This change might not be as
noticeable as the pre-computation, however it will make it more efficient as the calculation gets
easier.
3
Table of Contents
Online E-Voting System Project Documentation 5
Abstract 2
1. Introduction 7
2. E-Voting System Related Literature 8
2.1. Public Key Cryptography 8
2.2. Homomorphic Encryption 9
2.3. Zero Knowledge Proofs 10
2.4. Threshold Cryptography 10
2.5. Cryptographic Voting Protocol 11
2.6. Issues in secure e-voting system 12
2.7. Completely Automated Public Turing test to tell Computers and Humans Apart
(CAPTCHA) 13
2.8. Chinese Remainder Theorem (CRT) 14
3. Online E-Voting System Project Description 16
3.1. Paillier Threshold Crytosystem Web Services Architecture and Design 16
4. Online E-Voting Prototype System 20
4.1. E-Voting System Overview 20
4.1.1 User Login 21
4
4.1.2. Election Set-Up 22
4.1.3. Creating Ballots 23
4.1.4. Vote Format 24
4.2. Voting 25
4.2.1. Creating the Vote 25
4.3. Tally the Vote 26
5. PTC Web Services Efficiency Improvement 27
5.1 Pre-Computation 27
5.2 Chinese Remainder Theorem (CRT) 27
5.3 Paillier Scheme Pre-computations for Decryption 28
6. Results 29
6.1 Pre-Computation Performance Evaluations 29
6.2. Defects Found 31
6.3. Conclusion 33
6.5. Future Suggestions 34
7. References 35
5
Online E-Voting System Project Documentation
The subsequent files are located on the following web site:
http://cs.uccs.edu/~gsc/pub/master/hevecek/doc/
o CS701Proposal_EVotingPrototype.doc : This document describes what the project would
be for the advisory committee. It was submitted in February 2007.
o EVoting_SRS Document.doc: This is the online E-Voting prototype System Requirements
Specification document for the project. The demonstration windows application created used
to get the requirements for the online tool. It also has the use cases.
o EVoting_SDS Document.doc : This describes the internal design of the project. This
document has both black box and white box designs. Also class diagrams from the web
services are also prepared for documenting although they were developed previously. It has
the main use cases to make it easier to create the SDS. It also involves database design.
o EVoting_Test Plan.doc: The tests for the project are documented in this document. Test
plans cover all the requirements testing.
o Online E-Voting Prototype with PTC Web Services.doc: This is the project report
document. It is the final report for the project that has discussions about e-voting system.
There are some e-voting related papers researched about the online e-voting system
implementation and I tried to explain why it is so hard to implement, develop and deploy
today by using these papers. Also in this report for the PTC design section and PTC develop
description, [15] is used. Lastly, some efficiency improvements applied in the code and
according to the results that will be explained, it has improved.
6
o Paillier ThresholdCryptoService_UserGuide_Updated.doc: This document that is the
user guide for the PTC web services. Source files for the code is placed in the link below:
http://cs.uccs.edu/~gsc/pub/master/hevecek/src/
7
1. Introduction
In traditional elections, a voter usually goes to the voting stations. After direct person-
person verification with some IDs, the voter is allowed to vote. The voter is then given a ballot
which allows a single vote. Once the ballot is used, it cannot be used again. However, this ballot
must also be anonymous. The ballot must identify the voter as being permitted to vote, but not
reveal their actual identity, and the voter must also be given assurances of this. Traditional
polling methods trust a lot of parties during the election. The current methods require an attacker
interact directly with the voting process to disrupt it. There is a greater chance of getting caught
as there will be physical evidence in the traditional polling.
On the other end, internet is harder to control and manage the security as Network and
internet related attacks are more difficult to trace. In the traditional polling, you know who is in
the election room. Also with the internet or network related voting, from all around the world
you will have attackers, not only by the few people in the room [3]. Figure 1 shows the hierarchy
of the voting schemes just discussed [17].
8
Voting
Schemes
Electronic
Voting
Traditional
Voting
Poll Station
E-Voting
Remote E-
voting
Lever
Systems
Paper
Ballots
Internet E-
voting
Chaum’s
scheme
DRE
machines
Figure 1: The categorization of the voting schemes [17].
Another issue with e-voting is educating the voters. We can not consider that all the users
are computer gurus and they will use the e-voting systems easily. When e-voting is designed it
needs to be easy to use. We should consider the fact that a large portion of the voting public has
a very little knowledge about the computers. According to some of the research done by the
Public Policy Institute of California over 50% of 18-44 years of age voters prefers Internet
voting [3].
Some recent studies have focused on e-voting, its security concerns and making it more
secure. Below is the list of related literature about e-voting:
2. E-Voting System Related Literature
2.1. Public Key Cryptography
9
Public key cryptography, also known as asymmetric cryptography, is a form of
cryptography in which each user will have a key that didn‘t have to be kept secret. Having this
public key will not inhibit the system‘s secrecy as a message encrypted with the public key can
be decrypted only with the corresponding private key. The private key is kept secret, while the
public key may be widely distributed. The public and private keys are related mathematically.
The private key cannot be practically derived from the public key [4]. The two main branches of
public key cryptography are:
Public key encryption — a message encrypted with a recipient's public key cannot be
decrypted by anyone except the recipient possessing the corresponding private key. This is used
to ensure confidentiality [4].
The problem with the public key encryption is the intruder can easily replace the private
key with his when the sender requests the public key. This means the newly received public key
will have the intruder‘s private key and he can easily decrypt the message. To avoid this issue
digital signature can be used.
Digital Signatures — a message signed with a sender's private key can be verified by
anyone who has access to the sender's public key, thereby proving that the sender signed it and
that the message has not been tampered with. This is used to ensure authenticity [4].
Conversely, Secret key cryptography, also known as symmetric cryptography uses a
single secret key for both encryption and decryption. It is also known as one-key or private-key
encryption. The requirement is the shared secret that both parties should have a copy. In this e-
voting prototype shared keys will be used for the users‘ encryption in our tests.
2.2. Homomorphic Encryption
10
The encryption algorithm E ( ) is homomorphic if given E(x) and E(y), one can obtain
E(x Φ y) without decrypting x; y for some operation Φ.
In that case, homomorphic encryption is a special type of cryptography in which the sum
of two encrypted values is equal to the encrypted sum of the values. In simple mathematics, this
is equivalent to the communicative property of multiplication. For a majority of cryptographic
algorithms, this does not hold true.
It is one of the schemes that can be used in e-voting especially to be able to tally the votes
even though the results are encrypted. There are few cryptosystems which uses homographic
encryption. They will be discussed in the next section.
2.3. Zero Knowledge Proofs
In cryptography it is often needed to prove some statement to someone without giving
extra information. This is accomplished by Zero Knowledge Proofs. Especially for the
authentication systems Zero Knowledge Proofs can be used. For example, a party might want to
prove his identity with secret information and does not want the other party to learn anything
about this secret. In other words, second party can only know the correctness of the statement or
identity of the first party and no more information.
2.4. Threshold Cryptography
Threshold Cryptography is a term used to describe a cryptosystem in which the ability to
perform a cryptographic function can be distributed amongst several participants in such a way
that only through cooperation of a specified subset of the participants can the operation be
performed. In addition, if less than the required number of participants‘ attempts to perform the
action, no useful information can be constructed or obtained. The threshold value is typically
11
denoted by the letter t. In a threshold system as defined here, only t+1 cooperating authorities
can perform the desired cryptographic operation.
The essential components of a threshold cryptography system are a key generation
algorithm, an encryption algorithm, a share decryption algorithm, and a combining algorithm [5].
First, the key generation algorithm generates the public key parameters, a set of secret key
―shares‖, and a set of ―verifier keys‖. The secret key shares are distributed to the participants in
a secure manner. The encryption algorithm provides encryption services for an appropriately-
sized message m by applying the public key parameters and an encryption algorithm to generate
the ciphertext c. The share decryption algorithm is used by each participant with a secret key
share to ―partially decrypt‖ the encrypted message c. Each participant also uses the verifier key
corresponding to the secret key share to generate a proof of correct encryption. The combining
algorithm takes all of the ―partial decryptions‖ or ―decryption shares‖, verifies their
corresponding proofs, and combines the decryption shares to reveal the original message m. The
combining step only succeeds if t+1 valid decryption shares are used.
2.5. Cryptographic Voting Protocol
Basic requirements for electronic voting
 Privacy – All votes should be kept secret
 Completeness – All valid votes should be counted correctly
 Soundness – Any invalid vote should not be counted
 Unreusability – No voter can vote twice
 Eligibility – Only authorized voters can cast a vote
 Fairness – Nothing can affect the voting
12
Extended Requirements for electronic voting
 Robustness – faulty behavior of any reasonably sized coalition of participants can
be tolerated. In other words, the system must be able to tolerate to certain faulty conditions and
must be able to manage these situations.
 Universal Verifiability – any party can verify the result of the voting
 Receipt-freeness – Voters are unable to prove the content of his/her vote
 Incoercibility – Voter cannot be coerced into casting a particular vote by a
coercer.
There are four main approaches to efficient and fully secure elections:
 Schemes based on homomorphic encryption
 Schemes based on mixnets
 Heterodox schemes
 Schemes based on secret sharing among several mutually distrustful election
authorities.
2.6. Issues in secure e-voting system
The issues behind e-voting need to be examined conservatively before such potentially
dangerous moves are made. In a voting system, privacy and security are desired, but are not
always simultaneously achievable at a reasonable cost. In online voting systems, verification is
very difficult to do accurately, and anonymity is difficult to ensure. This document shows some
of the many problems with practical e-voting and why public elections are too important to trust
to it [3].
13
When e-voting system scheme is considered there are different modules involved to
consider the security and design. Three important phases of having a secure system are
considered as design, development and deployment. In other words, it is important tp have the
foundation in designing a secure and practical e-voting scheme to produce a secure, efficient and
publicly acceptable implementation of voting schemes in the real world.
2.7. Completely Automated Public Turing test to tell Computers and Humans Apart
(CAPTCHA)
Any additional check for the security or spam will decrease the security concerns users
have today for the e-voting systems. A CAPTCHA is a program that can generate and grade tests
that humans can pass but current computer programs cannot. In our project this is used to
confirm that users are trying to vote instead of the automated computer systems. CAPTCHAs
have several applications for practical security like preventing comment spam in blogs,
protecting web registrations, online polls where you want to make sure that humans are voting
not the programs, preventing dictionary attacks, search engine bots, worms and spasm etc.
Official Captcha site has published some guidelines for it [6].
Accessibility: It should be easily accessible for reading the text. If it is a problem due to
legal reasons audio CAPTCHA can also be used.
Image Security: Images should be distorted randomly. Without random distortion,
application will be open to the attacks.
Script Security: By using this, systems are closed to any computer attacks. However we
also need to make sure that scripts used are not easily accessible so that attacker will find the
easy way around them to use the systems.
14
Security Even After Wide Spread Adoption: Some of the sites might be using the sites
that have CAPTCHAs setup. It is important that the security level kept the same and these sites
are still secure even after a significant number of sites adopt them [6].
2.8. Chinese Remainder Theorem (CRT)
On several papers for improving the efficiency, CRT is recommended to use both on
encryption and encryption process [16], [21]. As described below CRT is not affecting to the
multiplication. In other words, multiplying two big prime numbers and processing the
multiplication will be the same as processing them first and then multiplying. This way the
process will be done with smaller numbers and will be faster. Then multiplication can be done.
Theorem Statement:
Suppose n1, n2, …, nk are integers which are pairwise coprime. Then, for any given
integers a1,a2, …, ak, there exists an integer x solving the system of simultaneous congruences
Furthermore, all solutions x to this system are congruent modulo the product
N = n1n2…nk.
Sometimes, the simultaneous congruences can be solved even if the ni's are not pairwise
coprime. A solution x exists if and only if:
All solutions x are then congruent modulo the least common multiple of the ni.
15
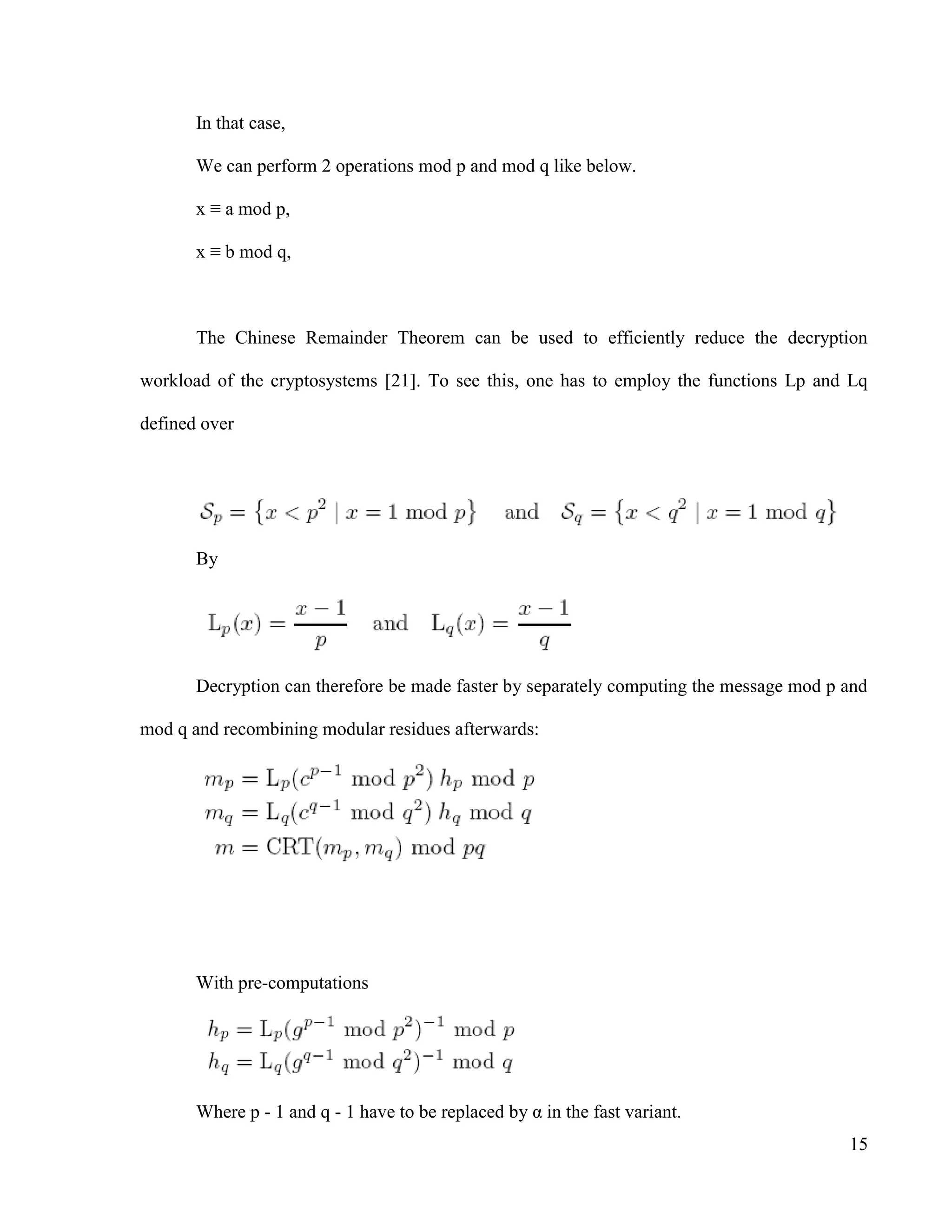
In that case,
We can perform 2 operations mod p and mod q like below.
x ≡ a mod p,
x ≡ b mod q,
The Chinese Remainder Theorem can be used to efficiently reduce the decryption
workload of the cryptosystems [21]. To see this, one has to employ the functions Lp and Lq
defined over
By
Decryption can therefore be made faster by separately computing the message mod p and
mod q and recombining modular residues afterwards:
With pre-computations
Where p - 1 and q - 1 have to be replaced by α in the fast variant.
16
3. Online E-Voting System Project Description
In this project, PTC Web services are used. In this section, I will explain how the PTC
web services work. Efficiency improvement that will be applied to the PTC web services
required some changes on some of the classes used. Applying more improvements will need
more changes on the classes where calculations applied. Details will be explained in the
following sections of this report.
3.1. Paillier Threshold Crytosystem Web Services Architecture and Design
The Paillier cryptosystem is a probabilistic asymmetric algorithm for public key
cryptography, first published by Pascal Paillier in 1999. This probabilistic scheme has generated
a good amount of interest and further study since it was discovered.
The problem of computing n-th residue classes is believed to be computationally difficult
to compute. This is known as the Composite Residuosity (CR). The scheme is an additive
homomorphic cryptosystem; this means that, given only the public-key and the encryption of m1
and m2, one can compute the encryption of m1 + m2.
One of the properties of Paillier as mentioned above is the homomorphic property which
can allow this cryptosystem to do simple addition operations on several encrypted values and
obtain the encrypted sum. The encrypted sum can later be decrypted without ever knowing the
encrypted values that made up the sum. Due to these useful characteristics of Paillier, the scheme
has been suggested for use in threshold cryptosystems, secret sharing schemes and the design of
voting protocols especially the e-voting systems.
Another property of Paillier cryptosystem is self-blinding. This property is essential as it
means a ciphertext can be re-encrypted with a random parameter without changing the
underlying cleartext and without changing the ability to decrypt the ciphertext using the original
17
keypair[15]. Probabilistic property of Paillier will help to protect voter‘s privacy since none of
the votes will be encrypted to the same ciphertext.
Paillier has described three different methods in his research. PTC Web services that will
be used in this project are using one of these three methods. Below are the schemes invented by
Pascal Paillier [21] and
Scheme 1: Scheme 1 is probabilistic encryption scheme based on composite residuosity.
According to theorem mentioned in his paper [21] Scheme 1 is one-way if an only if the
Computational Composite Residuosity Assumption holds. It is also semantically secure if and
only if the Decisional Composite Residuosity Assumption hold. n is the multiplication of two
prime numbers, n = pq. g is randomly selected base. This can be done by checking
whether . This is done on the PTC web services used. n and g are
public parameters and (p, q) or λ remains private.
Encryption:
plaintext m < n
randomly select r < n
ciphertext c =
Decryption:
ciphertext c < n2
Table 3.1 Paillier‘s Scheme 1 [21]
18
Scheme 2: Scheme 2 is a trapdoor permutation based on composite residuosity. As
described above n is the product of two prime numbers. From the table below, there are steps
explained for decryption. To be able to retrieve m, all these steps will be required. Scheme 2 is
one-way if and only if RSA [n,a] is hard [21].
Encryption:
plaintext m < n2
split m into m1, m2 such that m = m1 + nm2
ciphertext c =
Decryption:
ciphertext c < n2
plaintext m = m1 + n m2
Table 3.2 Paillier‘s Scheme 2 [21]
Scheme 3: Third scheme is the variant with fast decryption. As this is a fast decryption,
this scheme can be applied to improve the efficiency. In the following sections this scheme will
be re-visited and it will be recommended for efficiency improvements in the current web
services.
Encryption:
plaintext m < n
randomly select r < n
ciphertext =
Decryption:
ciphertext c < n2
Table 3.3 Paillier‘s Scheme 3 [21]
19
It is assumed that g Є for some 1 ≤ α ≤ λ. In other words α and λ are not the same
secret keys.
Below are the steps for the key generation, encryption and decryption used [22]. Key
generation
1. Choose two large prime numbers p and q randomly.
2. Compute n = pq and λ = lcm(p − 1, q − 1)
3. Select random integer g where
4. Ensure n divides the order of g by checking the existence of the following
multiplicative inverse:
where function L is defined as
The public (encryption) key is (n,g).
The private (decryption) key is (λ,μ).
Encryption
1. Let m be a message to be encrypted where
2. Select random r where
3. Compute ciphertext as:
Decryption
1. Ciphertext
2. Compute message:
20
It is the same as the scheme 1 described above. This computation takes some time due to
the large prime numbers used. The secret key is SK = λ(n) = lcm((p-1),(q-1)).
4. Online E-Voting Prototype System
The capabilities of the Paillier Threshold Cryptography system has been demonstrated on
an Online E-Voting Prototype system created for this project. This is a prototype and should not
be used in the real world scenarios. It shows the use of the Paillier Threshold Cryptography Web
Service. It also has some additional security features like Completely Automated Public Turing
test to tell Computers and Humans Apart (CAPTCHA) added to decrease the security concerns.
This prototype system SRS and SDS document are all created and they can be downloaded from
http://www.cs.uccs.edu/~gsc/pub/master/hevecek/doc/ folder.
4.1. E-Voting System Overview
The e-voting system allows for 1 out of L candidate ballots. No options are provided for
n out of L ballots or write-in ballots. An ―election‖ may consist of more than one ballot. An
election administrator creates the ballots and other election parameters. The administrator
requests the Paillier threshold encryption parameters from the PTC Web Service during the
initial election set-up. The administrator submits the election parameters to a VotingService web
service, and saves the election parameters (including the cryptosystem parameters) to an XML
file. Voters then load the election parameters by opening the XML file, make their selection(s),
and cast their encrypted vote(s) to the VotingService web service. During the tally phase, the
votes are multiplied together, and, due to the homomorphic properties of the Paillier
cryptosystem, the product can be decrypted to reveal the sum total of all the votes [15].
21
4.1.1 User Login
User Login is the first form users connected when the voting page is loaded from the
internet. It will have a connection to the database to validate the user credentials. User types are
either voters or Administrators. It is assumed that users have used another interface or form to
register for voting. In the same login page there will be Completely Automated Public Turing
test to tell Computers and Humans Apart (CAPTCHA) validation with random numbers. Six
digit random numbers will be created each time the page is loaded to be able to stop any kind of
computer attacks to the voting site.
Figure 4.1 User Login Form
22
4.1.2. Election Set-Up
The election administrator uses the Election Builder form to create or modify an election
(before the election is posted to the voting web service). To create a new election, the
administrator clicks on the ―New Election‖ button. A new election is created and a unique
election id is assigned. The administrator must then enter his/her name and a descriptive title for
the election. Election page is the most important Administrator page as it has all the
functionality setup for the election.
Before ballots can be added to the election, the encryption parameters must be specified
and retrieved from the web service. This must occur before the ballots are added or created,
since the vote format is dependent on the specified key size. The administrator clicks to the
―Encryption Parameters‖ . This button will be available after the Administrator details are
entered. Once this button is clicked, the administrator specifies the key size and whether or not to
encrypt the returned key shares. The administrator can then add the key share owner information
for each owner that is to receive a secret key share. If the key shares will be encrypted, the
administrator will be required to enter the owner‘s username which is the same as the users login
and certificate name to be able to choose automatically. Once all owners have been added, the
administrator selects the cryptosystem threshold value and then clicks ―Send Request‖, which
sends the request to the web service. In the current configuration, a key size of larger than 256
and sometimes 512 bits will result in such a delay that a ―timeout‖ error is caused, so it is not
recommended that key sizes greater than 256 be used for the web application. The web service
will generate the requested parameters, encrypt the key shares (if specified), and return them
[15]. The Encryption Parameter Request form will transfer the returned parameters to the
23
Election Builder form and close automatically. The election crypto parameters are displayed at
the bottom of the Election Builder form.
Lastly, on the same election page ballots can be added for the election. If the ballots are
created prior to the election creation page, the list will appear in the window for administrator to
choose from the list. They can be added to any election by highlighting from the list and clicking
to the‖Add Ballots‖ button. If the ballot is valid, it will be imported into the election and
displayed in the Election Summary textbox in the form.
After all the users, ballots and Administrator details loaded from the election form, the
Administrator will need to save and post the election to be able to initialize election voting. The
election will be saved as an XML file. First save the election by clicking to the ―Save Election‖
button. It will be saved in the web server ―App_Data/XMLFiles Folder‖. Details of the folder
structures are documented in the Software Design Specification document. Posting the election
to the voting web service is a non-reversible operation in the application unless the details are
manually deleted from the database. Post Election button will be enabled after saving the
election. To post the election, click to ―Post Election‖ button. A web service call will be made
that posts the election data to the web service, which then creates the appropriate database entries
that are used to manage the election [15].
4.1.3. Creating Ballots
Existing ballots can now be added to the election or new ballots can be created using the
options from the Election form. To create a new ballot, the administrator will need to click to the
―New Ballot‖ link from the elections page. It will open the Ballot Builder form. A new ballot
will be created and the random ballot id displayed in the form. Administrator will need to put
ballot issue/ problem, and then enter all of the available choices, one at a time by using the ―Add
24
Choices‖ button and the text box. Each choice is entered by typing the appropriate text. A
choice can be deleted by selecting the choice in the list, and clicking ―Delete Candidate‖ button.
When the ballot is complete, the ballot should be saved by clicking ―Save ballot‖ button. This
button will get all the details entered and save the ballot in XML format in the web server
―App_DataXML FilesBallots‖ folder. The Ballot Builder Form must be closed and then re-
opened in order to create another ballot. Ballot creation page is also accessible from the
Administrator menu.
4.1.4. Vote Format
When a ballot is added to an election, the format of the vote for that ballot is derived
from the key size chosen for the election and the number of ―candidate‖ choices on the ballot.
These two values determine the maximum number of voters allowed. The total size of the vote
is limited to the key size k (in bits). The vote is split into c bit fields where c is the number of
candidates. The size of the bit fields vc= k/c. However, vc is limited to 32 bits so that each
candidate‘s field will fit into a 32-bit integer (for ease of extraction only). Therefore, if k/c > 32,
vc=32 and only the first 32*c bits of the vote will be used. To cast a vote, a voter votes the value
2^(ic*vc) where ic is the desired candidates ballot index (0,…,c-1). By using votes of this format,
the tally can be computed by multiplying all of the votes together and decrypting the product.
Due to the homomorphic property of the Paillier cryptosystem, the multiplication carried out in
the ciphertext space corresponds to addition in the cleartext space, and thus the decryption of the
product will contain the summed votes for each candidate. Each candidate‘s bit field can then be
extracted and evaluated to determine the total number of votes for that candidate [15].
25
4.2. Voting
4.2.1. Creating the Vote
Once an election has been created, saved, and posted to the election web service, voters
can create and cast votes. After the user login page user logs in either as an Administrator or a
voter. If the user logs in as an Administrator, he will have a link from the menu for the voting
page. If the user has logged in with voter credentials, then he will be connected to the voting
page automatically. When connected to the voting page, a list box will have all the elections
available for the voters. This list is the list of the elections in the elections folder. After
highlighting the election and clicking to the button to load the election, election details will be
loaded for voters to vote. The ballots from the election will be loaded, with each issue being
loaded into the issue text box, and it‘s corresponding choices loaded into the textbox to the right
(the choices textbox). The voter can make his/her choice simply by clicking on the desired
choice. That issue‘s choices will then be displayed in the choices textbox. Again, select the
desired choice by clicking on it in the choices textbox. Once a choice has been selected, the
ballot issue and the selected choice will appear in the ―Current Votes‖ textbox. To the right of
the issue question and the selected choice is the hex value of the vote to be cast. Once all
choices have been made, the voter can submit his/her vote by selecting ―Submit Vote‖ button at
the bottom of the page. This button will cal the web services and save the vote into the database.
Once the vote is submitted, no changes can be made.
At any time after submitting his/her vote, a voter can check the posted values of his/her
vote by selecting ―Check Submitted Vote‖ button. This invokes a web service call to the voting
web service which retrieves the encrypted vote values posted for that election [15].
26
4.3. Tally the Vote
Administrator will have access to use the Tall Vote option during the election process to
tally the vote. Administrator will need to click the ―Tally/Decrypt Vote‖ button on the menu.
The Tally form will open. In a list box elections list will appear for Administrator to choose and
tall the vote. If the secret key shares were encrypted, the program will automatically get the
certificates according to the issued names of the users to decrypt the owner‘s Paillier secret key
share. That‘s why it is important for Administrator to collect all the registration details from the
user to be able to create the users. He/she will assign the right certificates so that there won‘t be
any issues in the future process like tally / decrypt vote process. The product of the votes for
each ballot is then calculated and displayed both encrypted and decrypted, and the candidate‘s
tallies are extracted from the decrypted bit field and displayed.
27
5. PTC Web Services Efficiency Improvement
This can be done in three different ways.
5.1 Pre-Computation
This change will be done for the key generation where the prime numbers will be
calculated prior. Any real-time computations will slow down the process on cryptography
application. Any pre-computation will improve the efficiency of the application. This pre-
computation can be done via background thread setup in the application.
<setting name="ServerPath" serializeAs="String">
<value>c:inetpubwwwrootEVotingPreComputation</value>
</setting>
<setting name="PrimeNumberCalculationType" serializeAs="String">
<value>DB</value>
</setting>
This pre-computation is applied to the SafePrimeNumbers generator function. This
function is used for the pre-computation.
5.2 Chinese Remainder Theorem (CRT)
Chinese Remainder Theorem is one of the most useful theorems of number theory as it
says it is possible to reconstruct the integers in a certain range from their residues module a set of
pair wise relatively prime module. Details of CRT is explained in the previous sections. Paillier
has suggested to use CRT for especially key generation and decryption processes [21]. Also
CRT has become standard today in many RSA applications as it increases the decryption up to 4
times [16]. Decryptions can be made faster by separately computing the messages mod p and
mod q instead of mod n and recombining modular residues later.
28
With pre-computations:
where p-1 and q-1 have to be placed by α
5.3 Paillier Scheme Pre-computations for Decryption
Scheme 1 used in this project is not the most efficient one especially for decryption as it
is also mentioned in Pascal papers study [21]. Scheme 3 improves the performance of decryption
and he suggested in the same paper to pre-compute the constant instead of only
p and q values applied in this project. Also another constant parameter below can be pre-
computed [21].
These constant pre-computations can be done with the same methods used in this project.
29
6. Results
6.1 Pre-Computation Performance Evaluations
Pre-computations results are put into both the text file and the Pre-Computation tables
created in the SQL Server. Both the text file and the database solutions have increased the
performance in other words response time more than 80% in average for both 256 and 128 bit
key sizes. Unfortunately this test failed with 1024 and 512 bit key sizes due to time out issues.
There is a parameter setup in the settings to use the random prime number generator
either real time or text file or database. As a default it will set to the real time. XML solution also
needs some improvements and this will be suggested in the future improvements section of the
project.
30
With Pre-Computation Real Time Computation Change %
Algorithm 128 bit 128 bit 128 bit
Regular Avg 0.283 1.937 86%
Max 0.368 2.804 38%
Min 0.203 0.329 85%
Table 6.1a 128 bit safe Prime numbers calculation table
Encrpytion Parameters Process Period with
Key Size 128
0
500
1000
1500
2000
2500
3000
3500
1 2 3 4 5 6 7 8 9 10 11 12 13 14 15 16 17 18 19 20
Number (#)
Time(msec)
Table 6.1b 128 bit safe Prime numbers calculation.
31
With Pre-Computation Real Time Computation Change %
Algorithm 256 bit 256 bit 256 bit
Regular Avg 0.381 2.133 82%
Max 0.542 2.926 81%
Min 0.291 0.306 5%
Table 6.2a 256 bit safe Prime numbers calculation table
Encrpytion Parameters Process Period with
Key Size 256
0
500
1000
1500
2000
2500
3000
3500
4000
1 2 3 4 5 6 7 8 9 10 11 12 13 14 15 16 17 18 19 20 21
Number (#)
Time(msec)
Table 6.2b 256 bit safe Prime numbers calculation.
6.2. Defects Found
These defects are listed in the order in which they were found. It only includes those
defects found while creating the automated test suites, not those found and fixed during software
development.
32
DefectID 1: When the election is created, it can not save title and username details in the
xml file.
Solution: _election parameter stored in the session was not initialized in the beginning of
the function. After initializing it is fixed.
DefectID 2: Back button is required after the ballots are created.
Solution: After ballots are created, back button is required by the Administrator to be
able to complete the election creation or ballot creation. Two link buttons are added, one to the
Main menu link and the other one is a link to the Elections page.
DefectID 3: Outside the compiler application was not able to respond to the certificate
assignment for the users.
Solution: This is fixed by assigning ports each time we run the application. A dedicated
port needs to be used by the administrator.
DefectID 4: XML output for the pre-computation does not work properly and need to be
fixed. Only real time computation and DB computations work which is enough to show the
efficiency improvements in the code.
Solution: This need to be fixed in the future releases.
DefectID 5: User Login page does not hide the password text.
Solution: This is fixed by changing the text box property.
33
DefectID 6: User Name is the same as the certificate issued name used in the certificate.
If these names do not match, certificate can not be used and this will throw an error. To minimize
the issues, user name from the login page will be passed to the voting page automatically. This
enhancement needs to be applied as this is an additional requirement.
Solution: This is done by using Sessions in ASP .Net. username session is created and
the username is passed to the next form which is voting form.
6.3. Conclusion
Online E-voting system is a prototype developed by using PTC Web services. As the
need for voting system has started to increase and some organizations or countries has started to
look for the solutions, this can be the starting point to improve and deploy in the real world
scenarios.
In this project I have tried to explain the importance of Paillier cryptosystem, , its unique
properties and its application areas especially in e-voting.
We need to keep in mind htat voting is not the only process during the whole voting
processes. There might be some other security concerns that need to be considered when such an
application is built for practical reasons.
Lastly, Paillier Cryptosystem efficiency can be improved as suggested in many papers
[1], [8]. Random numbers pre-computation is one of the ways implemented in this project. It has
increased the calculation more than one of the ways. In the next section, I will be listing all
improvements that can be done to this web service and application.
34
6.5. Future Suggestions
In this project E-Voting Online prototype application has been implemented. PTC Web
Services are used for the encryption and decryption process. The method implemented and used
on the PTC Web services is the first scheme invented by Paillier ad explained above. In the
following years in numerous projects other similar method called Second Paillier Cryptosystem
is used and this calculation simplifies the decryption. This can be implemented in PTC Web
services to improve the efficiency.
Additionally, there are few suggestions made about the efficiency improvement above.
Any of these or all of these can be applied to make the web services more efficient. Most of the
suggestions involve pre-computation of the constants in the schemes invented. The pre-
computation applied in this project can be applied to more generic constants and have a dll
application running continuously on the back ground thread from the server instead of a button
from the web server.
Lastly, tests failed on 512 and 1024 bit key size encryption. Design can be changed to
make it work with these key sizes.
35
7. References
[1] http://cris.joongbu.ac.kr/publication/evoting_implementation-APIEMS2004.pdf
Implementation issues in a secure e-voting schemes, Riza Aditya, Byoungcheon Lee, Colin Boyd
and Ed Dawson.
[2] http://www.euractiv.com/en/egovernment/estonia-country-world-introduce-internet-
voting/article-145735, Estonia first country in the world to introduce internet voting, October
2005.
[3] http://www.cs.virginia.edu/~pev5b/writing/academic/thesis/thesis.html
Vote Early, Vote Often, and VoteHere: A Security Analysis of VoteHere, Philip E. Varner, May
11, 2001.
[4] http://en.wikipedia.org/wiki/Public-key_cryptography Public-key cryptography.
[5] http://www.trustycom.fr/pdf/FoPoSt00.pdf P. Fouque, G. Poupard, J.Stern, Sharing
Decryption in the Context of Voting or Lotteries, Financial Cryptography 2000 Proceedings.
[6] http://www.captcha.net/ , the Official CAPTCHA web site.
[7] http://www.vote.caltech.edu/reports/alv-nag_loyola.pdf R. Michael Alvarez, Jonathan
Nagler, The Likely consequences of Internet Voting for Political Representations.
[8] P. Paillier, Public-Key Cryptosystems Based on Composite Degree Residuosity Classes,
Eurocrypt ‗99
[9] P. Fouque, G. Poupard, J.Stern, Sharing Decryption in the Context of Voting or Lotteries,
Financial Cryptography 2000 Proceedings.
[10] I. Damgard, M. Jurik, J. Nielson, A Generalization of Paillier’s Public-Key System with
Applications to Electronic Voting, Aarhus University, Dept. of Computer Science.
[11] A. Shamir, How to Share a Secret, Communications of the ACM 1979
36
[12] A.J. Menezes, P. C. van Oorschot, and S.A. Vanstone, Handbook of Applied Cryptography,
CRC Press, 1997.
[13] D. Naccache, Double-Speed Safe Prime Generation, Gemplus Card International.
[14] M. Wiener, Safe Prime Generation with a Combined Sieve, Cryptographic Clarity.
[15] B. Wilson, C. E. Chow, Paillier Threshold Cryptography Web Service User’s Guide,
University of Colorado – Colorado Springs Master‘s Project, 2006.
[16]http://www.cs.rit.edu:8080/ms/static/spr/2005/4/kar1141/report.pdf , Progress on
Probabilistic Encryption Schemes, Kert Richardson, July 2006.
[17] http://www.cs.umd.edu/~jkatz/THESES/staub.pdf.gz An Analysis of Chaum‘s voter-
verifiable election scheme, Julie Ann Staub, 2005
[18] http://www.brics.dk/RS/00/45/BRICS-RS-00-45.pdf Ivan Damgard and Mads J. Jurik, A
Generalization, a Simplification and Some Applications of Paillier‘s Probabilistic Public-Key
System, PKC 2001.
[19] http://www.cryptovirology.com/cryptovfiles/newbook/Chapter4.pdf Implementing Perfect
Questionable Encryptions, Adam L. Young and Moti M. Yung.
[20] http://www.rsa.com/rsalabs/cryptobytes/CryptoBytes_January_2002_final.pdf
CryptoBytes, Dan Boneh, Hovav Shacham, Spring 2002.
[21] http://www.gemplus.com/smart/rd/publications/pdf/Pai99pai.pdf Public-Key
CryptoSystems Based on Composite Degree Residuosity Classes, Pascal Paillier, 1999
[22] http://en.wikipedia.org/wiki/Paillier_cryptosystem , Paillier Crytosystem from Wikipedia,
the free encyclopedia.

Online e voting

  • 1.
    1 Online E-Voting PrototypeSystem with Web Services A Mini Project submitted by DALYSHA J (961616104011) JENIBA S (961616104013) JENISHA J (961616104014) MARTHANDAM COLLEGE OF ENGINEERING & TECHNOLOGY DEPARTMENT OF COMPUTER SCIENCE AND ENGINEERING ANNA UNIVERSITY, CHENNAI OCT 2019
  • 2.
    2 Abstract The purpose ofthis master‘s project is to develop an Online E-Voting prototype system utilizing the Paillier Threshold Cryptosystem (PTC) web services and applying MESE processes to it in an attempt to find possible solutions to further improve existing PTC web services. Online voting (e-voting) would be more convenient, relatively secure and utilize fewer resources. To be able to access e-voting system from a personal, business or even a public library computer may be more convenient for many people needing to vote. This could potentially be a solution for the low voter turnout at the polls. However, it is still questionable whether elections can be conducted online or over the internet due to the high level of concern over security. Systems considered to be apart of e-voting are Machine readable (create, read, count) ballot systems, Direct Recording Electronic (DRE) systems, voting using mobile devices and internet voting [1]. As part of this project, an online e-voting prototype system has been constructed using the demonstration windows application tool created for PTC web services. A pre-computation process is applied due to efficiency improvements. The details of this optimization and improvement in the web services process will be explained in the subsequent sections. In addition to the application of the pre-computation to the process, the Chinese Remainder Theorem can be applied during the decryption process. This change might not be as noticeable as the pre-computation, however it will make it more efficient as the calculation gets easier.
  • 3.
    3 Table of Contents OnlineE-Voting System Project Documentation 5 Abstract 2 1. Introduction 7 2. E-Voting System Related Literature 8 2.1. Public Key Cryptography 8 2.2. Homomorphic Encryption 9 2.3. Zero Knowledge Proofs 10 2.4. Threshold Cryptography 10 2.5. Cryptographic Voting Protocol 11 2.6. Issues in secure e-voting system 12 2.7. Completely Automated Public Turing test to tell Computers and Humans Apart (CAPTCHA) 13 2.8. Chinese Remainder Theorem (CRT) 14 3. Online E-Voting System Project Description 16 3.1. Paillier Threshold Crytosystem Web Services Architecture and Design 16 4. Online E-Voting Prototype System 20 4.1. E-Voting System Overview 20 4.1.1 User Login 21
  • 4.
    4 4.1.2. Election Set-Up22 4.1.3. Creating Ballots 23 4.1.4. Vote Format 24 4.2. Voting 25 4.2.1. Creating the Vote 25 4.3. Tally the Vote 26 5. PTC Web Services Efficiency Improvement 27 5.1 Pre-Computation 27 5.2 Chinese Remainder Theorem (CRT) 27 5.3 Paillier Scheme Pre-computations for Decryption 28 6. Results 29 6.1 Pre-Computation Performance Evaluations 29 6.2. Defects Found 31 6.3. Conclusion 33 6.5. Future Suggestions 34 7. References 35
  • 5.
    5 Online E-Voting SystemProject Documentation The subsequent files are located on the following web site: http://cs.uccs.edu/~gsc/pub/master/hevecek/doc/ o CS701Proposal_EVotingPrototype.doc : This document describes what the project would be for the advisory committee. It was submitted in February 2007. o EVoting_SRS Document.doc: This is the online E-Voting prototype System Requirements Specification document for the project. The demonstration windows application created used to get the requirements for the online tool. It also has the use cases. o EVoting_SDS Document.doc : This describes the internal design of the project. This document has both black box and white box designs. Also class diagrams from the web services are also prepared for documenting although they were developed previously. It has the main use cases to make it easier to create the SDS. It also involves database design. o EVoting_Test Plan.doc: The tests for the project are documented in this document. Test plans cover all the requirements testing. o Online E-Voting Prototype with PTC Web Services.doc: This is the project report document. It is the final report for the project that has discussions about e-voting system. There are some e-voting related papers researched about the online e-voting system implementation and I tried to explain why it is so hard to implement, develop and deploy today by using these papers. Also in this report for the PTC design section and PTC develop description, [15] is used. Lastly, some efficiency improvements applied in the code and according to the results that will be explained, it has improved.
  • 6.
    6 o Paillier ThresholdCryptoService_UserGuide_Updated.doc:This document that is the user guide for the PTC web services. Source files for the code is placed in the link below: http://cs.uccs.edu/~gsc/pub/master/hevecek/src/
  • 7.
    7 1. Introduction In traditionalelections, a voter usually goes to the voting stations. After direct person- person verification with some IDs, the voter is allowed to vote. The voter is then given a ballot which allows a single vote. Once the ballot is used, it cannot be used again. However, this ballot must also be anonymous. The ballot must identify the voter as being permitted to vote, but not reveal their actual identity, and the voter must also be given assurances of this. Traditional polling methods trust a lot of parties during the election. The current methods require an attacker interact directly with the voting process to disrupt it. There is a greater chance of getting caught as there will be physical evidence in the traditional polling. On the other end, internet is harder to control and manage the security as Network and internet related attacks are more difficult to trace. In the traditional polling, you know who is in the election room. Also with the internet or network related voting, from all around the world you will have attackers, not only by the few people in the room [3]. Figure 1 shows the hierarchy of the voting schemes just discussed [17].
  • 8.
    8 Voting Schemes Electronic Voting Traditional Voting Poll Station E-Voting Remote E- voting Lever Systems Paper Ballots InternetE- voting Chaum’s scheme DRE machines Figure 1: The categorization of the voting schemes [17]. Another issue with e-voting is educating the voters. We can not consider that all the users are computer gurus and they will use the e-voting systems easily. When e-voting is designed it needs to be easy to use. We should consider the fact that a large portion of the voting public has a very little knowledge about the computers. According to some of the research done by the Public Policy Institute of California over 50% of 18-44 years of age voters prefers Internet voting [3]. Some recent studies have focused on e-voting, its security concerns and making it more secure. Below is the list of related literature about e-voting: 2. E-Voting System Related Literature 2.1. Public Key Cryptography
  • 9.
    9 Public key cryptography,also known as asymmetric cryptography, is a form of cryptography in which each user will have a key that didn‘t have to be kept secret. Having this public key will not inhibit the system‘s secrecy as a message encrypted with the public key can be decrypted only with the corresponding private key. The private key is kept secret, while the public key may be widely distributed. The public and private keys are related mathematically. The private key cannot be practically derived from the public key [4]. The two main branches of public key cryptography are: Public key encryption — a message encrypted with a recipient's public key cannot be decrypted by anyone except the recipient possessing the corresponding private key. This is used to ensure confidentiality [4]. The problem with the public key encryption is the intruder can easily replace the private key with his when the sender requests the public key. This means the newly received public key will have the intruder‘s private key and he can easily decrypt the message. To avoid this issue digital signature can be used. Digital Signatures — a message signed with a sender's private key can be verified by anyone who has access to the sender's public key, thereby proving that the sender signed it and that the message has not been tampered with. This is used to ensure authenticity [4]. Conversely, Secret key cryptography, also known as symmetric cryptography uses a single secret key for both encryption and decryption. It is also known as one-key or private-key encryption. The requirement is the shared secret that both parties should have a copy. In this e- voting prototype shared keys will be used for the users‘ encryption in our tests. 2.2. Homomorphic Encryption
  • 10.
    10 The encryption algorithmE ( ) is homomorphic if given E(x) and E(y), one can obtain E(x Φ y) without decrypting x; y for some operation Φ. In that case, homomorphic encryption is a special type of cryptography in which the sum of two encrypted values is equal to the encrypted sum of the values. In simple mathematics, this is equivalent to the communicative property of multiplication. For a majority of cryptographic algorithms, this does not hold true. It is one of the schemes that can be used in e-voting especially to be able to tally the votes even though the results are encrypted. There are few cryptosystems which uses homographic encryption. They will be discussed in the next section. 2.3. Zero Knowledge Proofs In cryptography it is often needed to prove some statement to someone without giving extra information. This is accomplished by Zero Knowledge Proofs. Especially for the authentication systems Zero Knowledge Proofs can be used. For example, a party might want to prove his identity with secret information and does not want the other party to learn anything about this secret. In other words, second party can only know the correctness of the statement or identity of the first party and no more information. 2.4. Threshold Cryptography Threshold Cryptography is a term used to describe a cryptosystem in which the ability to perform a cryptographic function can be distributed amongst several participants in such a way that only through cooperation of a specified subset of the participants can the operation be performed. In addition, if less than the required number of participants‘ attempts to perform the action, no useful information can be constructed or obtained. The threshold value is typically
  • 11.
    11 denoted by theletter t. In a threshold system as defined here, only t+1 cooperating authorities can perform the desired cryptographic operation. The essential components of a threshold cryptography system are a key generation algorithm, an encryption algorithm, a share decryption algorithm, and a combining algorithm [5]. First, the key generation algorithm generates the public key parameters, a set of secret key ―shares‖, and a set of ―verifier keys‖. The secret key shares are distributed to the participants in a secure manner. The encryption algorithm provides encryption services for an appropriately- sized message m by applying the public key parameters and an encryption algorithm to generate the ciphertext c. The share decryption algorithm is used by each participant with a secret key share to ―partially decrypt‖ the encrypted message c. Each participant also uses the verifier key corresponding to the secret key share to generate a proof of correct encryption. The combining algorithm takes all of the ―partial decryptions‖ or ―decryption shares‖, verifies their corresponding proofs, and combines the decryption shares to reveal the original message m. The combining step only succeeds if t+1 valid decryption shares are used. 2.5. Cryptographic Voting Protocol Basic requirements for electronic voting  Privacy – All votes should be kept secret  Completeness – All valid votes should be counted correctly  Soundness – Any invalid vote should not be counted  Unreusability – No voter can vote twice  Eligibility – Only authorized voters can cast a vote  Fairness – Nothing can affect the voting
  • 12.
    12 Extended Requirements forelectronic voting  Robustness – faulty behavior of any reasonably sized coalition of participants can be tolerated. In other words, the system must be able to tolerate to certain faulty conditions and must be able to manage these situations.  Universal Verifiability – any party can verify the result of the voting  Receipt-freeness – Voters are unable to prove the content of his/her vote  Incoercibility – Voter cannot be coerced into casting a particular vote by a coercer. There are four main approaches to efficient and fully secure elections:  Schemes based on homomorphic encryption  Schemes based on mixnets  Heterodox schemes  Schemes based on secret sharing among several mutually distrustful election authorities. 2.6. Issues in secure e-voting system The issues behind e-voting need to be examined conservatively before such potentially dangerous moves are made. In a voting system, privacy and security are desired, but are not always simultaneously achievable at a reasonable cost. In online voting systems, verification is very difficult to do accurately, and anonymity is difficult to ensure. This document shows some of the many problems with practical e-voting and why public elections are too important to trust to it [3].
  • 13.
    13 When e-voting systemscheme is considered there are different modules involved to consider the security and design. Three important phases of having a secure system are considered as design, development and deployment. In other words, it is important tp have the foundation in designing a secure and practical e-voting scheme to produce a secure, efficient and publicly acceptable implementation of voting schemes in the real world. 2.7. Completely Automated Public Turing test to tell Computers and Humans Apart (CAPTCHA) Any additional check for the security or spam will decrease the security concerns users have today for the e-voting systems. A CAPTCHA is a program that can generate and grade tests that humans can pass but current computer programs cannot. In our project this is used to confirm that users are trying to vote instead of the automated computer systems. CAPTCHAs have several applications for practical security like preventing comment spam in blogs, protecting web registrations, online polls where you want to make sure that humans are voting not the programs, preventing dictionary attacks, search engine bots, worms and spasm etc. Official Captcha site has published some guidelines for it [6]. Accessibility: It should be easily accessible for reading the text. If it is a problem due to legal reasons audio CAPTCHA can also be used. Image Security: Images should be distorted randomly. Without random distortion, application will be open to the attacks. Script Security: By using this, systems are closed to any computer attacks. However we also need to make sure that scripts used are not easily accessible so that attacker will find the easy way around them to use the systems.
  • 14.
    14 Security Even AfterWide Spread Adoption: Some of the sites might be using the sites that have CAPTCHAs setup. It is important that the security level kept the same and these sites are still secure even after a significant number of sites adopt them [6]. 2.8. Chinese Remainder Theorem (CRT) On several papers for improving the efficiency, CRT is recommended to use both on encryption and encryption process [16], [21]. As described below CRT is not affecting to the multiplication. In other words, multiplying two big prime numbers and processing the multiplication will be the same as processing them first and then multiplying. This way the process will be done with smaller numbers and will be faster. Then multiplication can be done. Theorem Statement: Suppose n1, n2, …, nk are integers which are pairwise coprime. Then, for any given integers a1,a2, …, ak, there exists an integer x solving the system of simultaneous congruences Furthermore, all solutions x to this system are congruent modulo the product N = n1n2…nk. Sometimes, the simultaneous congruences can be solved even if the ni's are not pairwise coprime. A solution x exists if and only if: All solutions x are then congruent modulo the least common multiple of the ni.
  • 15.
    15 In that case, Wecan perform 2 operations mod p and mod q like below. x ≡ a mod p, x ≡ b mod q, The Chinese Remainder Theorem can be used to efficiently reduce the decryption workload of the cryptosystems [21]. To see this, one has to employ the functions Lp and Lq defined over By Decryption can therefore be made faster by separately computing the message mod p and mod q and recombining modular residues afterwards: With pre-computations Where p - 1 and q - 1 have to be replaced by α in the fast variant.
  • 16.
    16 3. Online E-VotingSystem Project Description In this project, PTC Web services are used. In this section, I will explain how the PTC web services work. Efficiency improvement that will be applied to the PTC web services required some changes on some of the classes used. Applying more improvements will need more changes on the classes where calculations applied. Details will be explained in the following sections of this report. 3.1. Paillier Threshold Crytosystem Web Services Architecture and Design The Paillier cryptosystem is a probabilistic asymmetric algorithm for public key cryptography, first published by Pascal Paillier in 1999. This probabilistic scheme has generated a good amount of interest and further study since it was discovered. The problem of computing n-th residue classes is believed to be computationally difficult to compute. This is known as the Composite Residuosity (CR). The scheme is an additive homomorphic cryptosystem; this means that, given only the public-key and the encryption of m1 and m2, one can compute the encryption of m1 + m2. One of the properties of Paillier as mentioned above is the homomorphic property which can allow this cryptosystem to do simple addition operations on several encrypted values and obtain the encrypted sum. The encrypted sum can later be decrypted without ever knowing the encrypted values that made up the sum. Due to these useful characteristics of Paillier, the scheme has been suggested for use in threshold cryptosystems, secret sharing schemes and the design of voting protocols especially the e-voting systems. Another property of Paillier cryptosystem is self-blinding. This property is essential as it means a ciphertext can be re-encrypted with a random parameter without changing the underlying cleartext and without changing the ability to decrypt the ciphertext using the original
  • 17.
    17 keypair[15]. Probabilistic propertyof Paillier will help to protect voter‘s privacy since none of the votes will be encrypted to the same ciphertext. Paillier has described three different methods in his research. PTC Web services that will be used in this project are using one of these three methods. Below are the schemes invented by Pascal Paillier [21] and Scheme 1: Scheme 1 is probabilistic encryption scheme based on composite residuosity. According to theorem mentioned in his paper [21] Scheme 1 is one-way if an only if the Computational Composite Residuosity Assumption holds. It is also semantically secure if and only if the Decisional Composite Residuosity Assumption hold. n is the multiplication of two prime numbers, n = pq. g is randomly selected base. This can be done by checking whether . This is done on the PTC web services used. n and g are public parameters and (p, q) or λ remains private. Encryption: plaintext m < n randomly select r < n ciphertext c = Decryption: ciphertext c < n2 Table 3.1 Paillier‘s Scheme 1 [21]
  • 18.
    18 Scheme 2: Scheme2 is a trapdoor permutation based on composite residuosity. As described above n is the product of two prime numbers. From the table below, there are steps explained for decryption. To be able to retrieve m, all these steps will be required. Scheme 2 is one-way if and only if RSA [n,a] is hard [21]. Encryption: plaintext m < n2 split m into m1, m2 such that m = m1 + nm2 ciphertext c = Decryption: ciphertext c < n2 plaintext m = m1 + n m2 Table 3.2 Paillier‘s Scheme 2 [21] Scheme 3: Third scheme is the variant with fast decryption. As this is a fast decryption, this scheme can be applied to improve the efficiency. In the following sections this scheme will be re-visited and it will be recommended for efficiency improvements in the current web services. Encryption: plaintext m < n randomly select r < n ciphertext = Decryption: ciphertext c < n2 Table 3.3 Paillier‘s Scheme 3 [21]
  • 19.
    19 It is assumedthat g Є for some 1 ≤ α ≤ λ. In other words α and λ are not the same secret keys. Below are the steps for the key generation, encryption and decryption used [22]. Key generation 1. Choose two large prime numbers p and q randomly. 2. Compute n = pq and λ = lcm(p − 1, q − 1) 3. Select random integer g where 4. Ensure n divides the order of g by checking the existence of the following multiplicative inverse: where function L is defined as The public (encryption) key is (n,g). The private (decryption) key is (λ,μ). Encryption 1. Let m be a message to be encrypted where 2. Select random r where 3. Compute ciphertext as: Decryption 1. Ciphertext 2. Compute message:
  • 20.
    20 It is thesame as the scheme 1 described above. This computation takes some time due to the large prime numbers used. The secret key is SK = λ(n) = lcm((p-1),(q-1)). 4. Online E-Voting Prototype System The capabilities of the Paillier Threshold Cryptography system has been demonstrated on an Online E-Voting Prototype system created for this project. This is a prototype and should not be used in the real world scenarios. It shows the use of the Paillier Threshold Cryptography Web Service. It also has some additional security features like Completely Automated Public Turing test to tell Computers and Humans Apart (CAPTCHA) added to decrease the security concerns. This prototype system SRS and SDS document are all created and they can be downloaded from http://www.cs.uccs.edu/~gsc/pub/master/hevecek/doc/ folder. 4.1. E-Voting System Overview The e-voting system allows for 1 out of L candidate ballots. No options are provided for n out of L ballots or write-in ballots. An ―election‖ may consist of more than one ballot. An election administrator creates the ballots and other election parameters. The administrator requests the Paillier threshold encryption parameters from the PTC Web Service during the initial election set-up. The administrator submits the election parameters to a VotingService web service, and saves the election parameters (including the cryptosystem parameters) to an XML file. Voters then load the election parameters by opening the XML file, make their selection(s), and cast their encrypted vote(s) to the VotingService web service. During the tally phase, the votes are multiplied together, and, due to the homomorphic properties of the Paillier cryptosystem, the product can be decrypted to reveal the sum total of all the votes [15].
  • 21.
    21 4.1.1 User Login UserLogin is the first form users connected when the voting page is loaded from the internet. It will have a connection to the database to validate the user credentials. User types are either voters or Administrators. It is assumed that users have used another interface or form to register for voting. In the same login page there will be Completely Automated Public Turing test to tell Computers and Humans Apart (CAPTCHA) validation with random numbers. Six digit random numbers will be created each time the page is loaded to be able to stop any kind of computer attacks to the voting site. Figure 4.1 User Login Form
  • 22.
    22 4.1.2. Election Set-Up Theelection administrator uses the Election Builder form to create or modify an election (before the election is posted to the voting web service). To create a new election, the administrator clicks on the ―New Election‖ button. A new election is created and a unique election id is assigned. The administrator must then enter his/her name and a descriptive title for the election. Election page is the most important Administrator page as it has all the functionality setup for the election. Before ballots can be added to the election, the encryption parameters must be specified and retrieved from the web service. This must occur before the ballots are added or created, since the vote format is dependent on the specified key size. The administrator clicks to the ―Encryption Parameters‖ . This button will be available after the Administrator details are entered. Once this button is clicked, the administrator specifies the key size and whether or not to encrypt the returned key shares. The administrator can then add the key share owner information for each owner that is to receive a secret key share. If the key shares will be encrypted, the administrator will be required to enter the owner‘s username which is the same as the users login and certificate name to be able to choose automatically. Once all owners have been added, the administrator selects the cryptosystem threshold value and then clicks ―Send Request‖, which sends the request to the web service. In the current configuration, a key size of larger than 256 and sometimes 512 bits will result in such a delay that a ―timeout‖ error is caused, so it is not recommended that key sizes greater than 256 be used for the web application. The web service will generate the requested parameters, encrypt the key shares (if specified), and return them [15]. The Encryption Parameter Request form will transfer the returned parameters to the
  • 23.
    23 Election Builder formand close automatically. The election crypto parameters are displayed at the bottom of the Election Builder form. Lastly, on the same election page ballots can be added for the election. If the ballots are created prior to the election creation page, the list will appear in the window for administrator to choose from the list. They can be added to any election by highlighting from the list and clicking to the‖Add Ballots‖ button. If the ballot is valid, it will be imported into the election and displayed in the Election Summary textbox in the form. After all the users, ballots and Administrator details loaded from the election form, the Administrator will need to save and post the election to be able to initialize election voting. The election will be saved as an XML file. First save the election by clicking to the ―Save Election‖ button. It will be saved in the web server ―App_Data/XMLFiles Folder‖. Details of the folder structures are documented in the Software Design Specification document. Posting the election to the voting web service is a non-reversible operation in the application unless the details are manually deleted from the database. Post Election button will be enabled after saving the election. To post the election, click to ―Post Election‖ button. A web service call will be made that posts the election data to the web service, which then creates the appropriate database entries that are used to manage the election [15]. 4.1.3. Creating Ballots Existing ballots can now be added to the election or new ballots can be created using the options from the Election form. To create a new ballot, the administrator will need to click to the ―New Ballot‖ link from the elections page. It will open the Ballot Builder form. A new ballot will be created and the random ballot id displayed in the form. Administrator will need to put ballot issue/ problem, and then enter all of the available choices, one at a time by using the ―Add
  • 24.
    24 Choices‖ button andthe text box. Each choice is entered by typing the appropriate text. A choice can be deleted by selecting the choice in the list, and clicking ―Delete Candidate‖ button. When the ballot is complete, the ballot should be saved by clicking ―Save ballot‖ button. This button will get all the details entered and save the ballot in XML format in the web server ―App_DataXML FilesBallots‖ folder. The Ballot Builder Form must be closed and then re- opened in order to create another ballot. Ballot creation page is also accessible from the Administrator menu. 4.1.4. Vote Format When a ballot is added to an election, the format of the vote for that ballot is derived from the key size chosen for the election and the number of ―candidate‖ choices on the ballot. These two values determine the maximum number of voters allowed. The total size of the vote is limited to the key size k (in bits). The vote is split into c bit fields where c is the number of candidates. The size of the bit fields vc= k/c. However, vc is limited to 32 bits so that each candidate‘s field will fit into a 32-bit integer (for ease of extraction only). Therefore, if k/c > 32, vc=32 and only the first 32*c bits of the vote will be used. To cast a vote, a voter votes the value 2^(ic*vc) where ic is the desired candidates ballot index (0,…,c-1). By using votes of this format, the tally can be computed by multiplying all of the votes together and decrypting the product. Due to the homomorphic property of the Paillier cryptosystem, the multiplication carried out in the ciphertext space corresponds to addition in the cleartext space, and thus the decryption of the product will contain the summed votes for each candidate. Each candidate‘s bit field can then be extracted and evaluated to determine the total number of votes for that candidate [15].
  • 25.
    25 4.2. Voting 4.2.1. Creatingthe Vote Once an election has been created, saved, and posted to the election web service, voters can create and cast votes. After the user login page user logs in either as an Administrator or a voter. If the user logs in as an Administrator, he will have a link from the menu for the voting page. If the user has logged in with voter credentials, then he will be connected to the voting page automatically. When connected to the voting page, a list box will have all the elections available for the voters. This list is the list of the elections in the elections folder. After highlighting the election and clicking to the button to load the election, election details will be loaded for voters to vote. The ballots from the election will be loaded, with each issue being loaded into the issue text box, and it‘s corresponding choices loaded into the textbox to the right (the choices textbox). The voter can make his/her choice simply by clicking on the desired choice. That issue‘s choices will then be displayed in the choices textbox. Again, select the desired choice by clicking on it in the choices textbox. Once a choice has been selected, the ballot issue and the selected choice will appear in the ―Current Votes‖ textbox. To the right of the issue question and the selected choice is the hex value of the vote to be cast. Once all choices have been made, the voter can submit his/her vote by selecting ―Submit Vote‖ button at the bottom of the page. This button will cal the web services and save the vote into the database. Once the vote is submitted, no changes can be made. At any time after submitting his/her vote, a voter can check the posted values of his/her vote by selecting ―Check Submitted Vote‖ button. This invokes a web service call to the voting web service which retrieves the encrypted vote values posted for that election [15].
  • 26.
    26 4.3. Tally theVote Administrator will have access to use the Tall Vote option during the election process to tally the vote. Administrator will need to click the ―Tally/Decrypt Vote‖ button on the menu. The Tally form will open. In a list box elections list will appear for Administrator to choose and tall the vote. If the secret key shares were encrypted, the program will automatically get the certificates according to the issued names of the users to decrypt the owner‘s Paillier secret key share. That‘s why it is important for Administrator to collect all the registration details from the user to be able to create the users. He/she will assign the right certificates so that there won‘t be any issues in the future process like tally / decrypt vote process. The product of the votes for each ballot is then calculated and displayed both encrypted and decrypted, and the candidate‘s tallies are extracted from the decrypted bit field and displayed.
  • 27.
    27 5. PTC WebServices Efficiency Improvement This can be done in three different ways. 5.1 Pre-Computation This change will be done for the key generation where the prime numbers will be calculated prior. Any real-time computations will slow down the process on cryptography application. Any pre-computation will improve the efficiency of the application. This pre- computation can be done via background thread setup in the application. <setting name="ServerPath" serializeAs="String"> <value>c:inetpubwwwrootEVotingPreComputation</value> </setting> <setting name="PrimeNumberCalculationType" serializeAs="String"> <value>DB</value> </setting> This pre-computation is applied to the SafePrimeNumbers generator function. This function is used for the pre-computation. 5.2 Chinese Remainder Theorem (CRT) Chinese Remainder Theorem is one of the most useful theorems of number theory as it says it is possible to reconstruct the integers in a certain range from their residues module a set of pair wise relatively prime module. Details of CRT is explained in the previous sections. Paillier has suggested to use CRT for especially key generation and decryption processes [21]. Also CRT has become standard today in many RSA applications as it increases the decryption up to 4 times [16]. Decryptions can be made faster by separately computing the messages mod p and mod q instead of mod n and recombining modular residues later.
  • 28.
    28 With pre-computations: where p-1and q-1 have to be placed by α 5.3 Paillier Scheme Pre-computations for Decryption Scheme 1 used in this project is not the most efficient one especially for decryption as it is also mentioned in Pascal papers study [21]. Scheme 3 improves the performance of decryption and he suggested in the same paper to pre-compute the constant instead of only p and q values applied in this project. Also another constant parameter below can be pre- computed [21]. These constant pre-computations can be done with the same methods used in this project.
  • 29.
    29 6. Results 6.1 Pre-ComputationPerformance Evaluations Pre-computations results are put into both the text file and the Pre-Computation tables created in the SQL Server. Both the text file and the database solutions have increased the performance in other words response time more than 80% in average for both 256 and 128 bit key sizes. Unfortunately this test failed with 1024 and 512 bit key sizes due to time out issues. There is a parameter setup in the settings to use the random prime number generator either real time or text file or database. As a default it will set to the real time. XML solution also needs some improvements and this will be suggested in the future improvements section of the project.
  • 30.
    30 With Pre-Computation RealTime Computation Change % Algorithm 128 bit 128 bit 128 bit Regular Avg 0.283 1.937 86% Max 0.368 2.804 38% Min 0.203 0.329 85% Table 6.1a 128 bit safe Prime numbers calculation table Encrpytion Parameters Process Period with Key Size 128 0 500 1000 1500 2000 2500 3000 3500 1 2 3 4 5 6 7 8 9 10 11 12 13 14 15 16 17 18 19 20 Number (#) Time(msec) Table 6.1b 128 bit safe Prime numbers calculation.
  • 31.
    31 With Pre-Computation RealTime Computation Change % Algorithm 256 bit 256 bit 256 bit Regular Avg 0.381 2.133 82% Max 0.542 2.926 81% Min 0.291 0.306 5% Table 6.2a 256 bit safe Prime numbers calculation table Encrpytion Parameters Process Period with Key Size 256 0 500 1000 1500 2000 2500 3000 3500 4000 1 2 3 4 5 6 7 8 9 10 11 12 13 14 15 16 17 18 19 20 21 Number (#) Time(msec) Table 6.2b 256 bit safe Prime numbers calculation. 6.2. Defects Found These defects are listed in the order in which they were found. It only includes those defects found while creating the automated test suites, not those found and fixed during software development.
  • 32.
    32 DefectID 1: Whenthe election is created, it can not save title and username details in the xml file. Solution: _election parameter stored in the session was not initialized in the beginning of the function. After initializing it is fixed. DefectID 2: Back button is required after the ballots are created. Solution: After ballots are created, back button is required by the Administrator to be able to complete the election creation or ballot creation. Two link buttons are added, one to the Main menu link and the other one is a link to the Elections page. DefectID 3: Outside the compiler application was not able to respond to the certificate assignment for the users. Solution: This is fixed by assigning ports each time we run the application. A dedicated port needs to be used by the administrator. DefectID 4: XML output for the pre-computation does not work properly and need to be fixed. Only real time computation and DB computations work which is enough to show the efficiency improvements in the code. Solution: This need to be fixed in the future releases. DefectID 5: User Login page does not hide the password text. Solution: This is fixed by changing the text box property.
  • 33.
    33 DefectID 6: UserName is the same as the certificate issued name used in the certificate. If these names do not match, certificate can not be used and this will throw an error. To minimize the issues, user name from the login page will be passed to the voting page automatically. This enhancement needs to be applied as this is an additional requirement. Solution: This is done by using Sessions in ASP .Net. username session is created and the username is passed to the next form which is voting form. 6.3. Conclusion Online E-voting system is a prototype developed by using PTC Web services. As the need for voting system has started to increase and some organizations or countries has started to look for the solutions, this can be the starting point to improve and deploy in the real world scenarios. In this project I have tried to explain the importance of Paillier cryptosystem, , its unique properties and its application areas especially in e-voting. We need to keep in mind htat voting is not the only process during the whole voting processes. There might be some other security concerns that need to be considered when such an application is built for practical reasons. Lastly, Paillier Cryptosystem efficiency can be improved as suggested in many papers [1], [8]. Random numbers pre-computation is one of the ways implemented in this project. It has increased the calculation more than one of the ways. In the next section, I will be listing all improvements that can be done to this web service and application.
  • 34.
    34 6.5. Future Suggestions Inthis project E-Voting Online prototype application has been implemented. PTC Web Services are used for the encryption and decryption process. The method implemented and used on the PTC Web services is the first scheme invented by Paillier ad explained above. In the following years in numerous projects other similar method called Second Paillier Cryptosystem is used and this calculation simplifies the decryption. This can be implemented in PTC Web services to improve the efficiency. Additionally, there are few suggestions made about the efficiency improvement above. Any of these or all of these can be applied to make the web services more efficient. Most of the suggestions involve pre-computation of the constants in the schemes invented. The pre- computation applied in this project can be applied to more generic constants and have a dll application running continuously on the back ground thread from the server instead of a button from the web server. Lastly, tests failed on 512 and 1024 bit key size encryption. Design can be changed to make it work with these key sizes.
  • 35.
    35 7. References [1] http://cris.joongbu.ac.kr/publication/evoting_implementation-APIEMS2004.pdf Implementationissues in a secure e-voting schemes, Riza Aditya, Byoungcheon Lee, Colin Boyd and Ed Dawson. [2] http://www.euractiv.com/en/egovernment/estonia-country-world-introduce-internet- voting/article-145735, Estonia first country in the world to introduce internet voting, October 2005. [3] http://www.cs.virginia.edu/~pev5b/writing/academic/thesis/thesis.html Vote Early, Vote Often, and VoteHere: A Security Analysis of VoteHere, Philip E. Varner, May 11, 2001. [4] http://en.wikipedia.org/wiki/Public-key_cryptography Public-key cryptography. [5] http://www.trustycom.fr/pdf/FoPoSt00.pdf P. Fouque, G. Poupard, J.Stern, Sharing Decryption in the Context of Voting or Lotteries, Financial Cryptography 2000 Proceedings. [6] http://www.captcha.net/ , the Official CAPTCHA web site. [7] http://www.vote.caltech.edu/reports/alv-nag_loyola.pdf R. Michael Alvarez, Jonathan Nagler, The Likely consequences of Internet Voting for Political Representations. [8] P. Paillier, Public-Key Cryptosystems Based on Composite Degree Residuosity Classes, Eurocrypt ‗99 [9] P. Fouque, G. Poupard, J.Stern, Sharing Decryption in the Context of Voting or Lotteries, Financial Cryptography 2000 Proceedings. [10] I. Damgard, M. Jurik, J. Nielson, A Generalization of Paillier’s Public-Key System with Applications to Electronic Voting, Aarhus University, Dept. of Computer Science. [11] A. Shamir, How to Share a Secret, Communications of the ACM 1979
  • 36.
    36 [12] A.J. Menezes,P. C. van Oorschot, and S.A. Vanstone, Handbook of Applied Cryptography, CRC Press, 1997. [13] D. Naccache, Double-Speed Safe Prime Generation, Gemplus Card International. [14] M. Wiener, Safe Prime Generation with a Combined Sieve, Cryptographic Clarity. [15] B. Wilson, C. E. Chow, Paillier Threshold Cryptography Web Service User’s Guide, University of Colorado – Colorado Springs Master‘s Project, 2006. [16]http://www.cs.rit.edu:8080/ms/static/spr/2005/4/kar1141/report.pdf , Progress on Probabilistic Encryption Schemes, Kert Richardson, July 2006. [17] http://www.cs.umd.edu/~jkatz/THESES/staub.pdf.gz An Analysis of Chaum‘s voter- verifiable election scheme, Julie Ann Staub, 2005 [18] http://www.brics.dk/RS/00/45/BRICS-RS-00-45.pdf Ivan Damgard and Mads J. Jurik, A Generalization, a Simplification and Some Applications of Paillier‘s Probabilistic Public-Key System, PKC 2001. [19] http://www.cryptovirology.com/cryptovfiles/newbook/Chapter4.pdf Implementing Perfect Questionable Encryptions, Adam L. Young and Moti M. Yung. [20] http://www.rsa.com/rsalabs/cryptobytes/CryptoBytes_January_2002_final.pdf CryptoBytes, Dan Boneh, Hovav Shacham, Spring 2002. [21] http://www.gemplus.com/smart/rd/publications/pdf/Pai99pai.pdf Public-Key CryptoSystems Based on Composite Degree Residuosity Classes, Pascal Paillier, 1999 [22] http://en.wikipedia.org/wiki/Paillier_cryptosystem , Paillier Crytosystem from Wikipedia, the free encyclopedia.