MsP Kodam (Assistant Pofso elasSmAte
(
VCET, Vabas
Solid and ttezandow auk Nanogeenk SHWM)
Moolulo 1:
Date
Page
Neun eCals
TyPE 1:Moistuu Conttnt Poblerm
C Fnd the peacenkagee d mnstuwe Com tent o
MSW8ample om a qiven olata
SrNo (omyponent wt: 7 moist Contens
Ltypita
Food uasR 35
Tenble I5
Ppea
Rub bea
3
2
5 tathe
2
Muminim
3 3
Otkars
oluhom Stco1: Calialak ecly Mas o
Compnents d MS Samle
Hssume cokq ok Msuw Samyk
(2 el ASSMAte
Date
Page
S7-Noorponenb t.(k) moist: cont: Jy Conk
oodcwa)é 35 o
I5
2 Terhe
94
Rbber 2
5. Lcolhr
Atuminum
Othes 3 3
90 X35 315kq
Dry mass
rod case
0 XIS l3.5kq
Dr mes
TErtile
Dry mass 9 pape4 K10 E t k
D
1Drymas g Kabben zE IE X11 = 6-67 kq
ethe 90 x 15(3:5K
9Dry
67y mass aluminium- 5 41ka
(00
efASSMALe
Date
Page
Jry mas oas 14 X3 zTIK
Total mass2 MSw=31-5+13:5+ 4 4/64
t13-5 t4.7 t2 7
Sep2(alalate moistu Content qMSw
Mostuu Content lotalmaSs eMSU -DrymGSGMSO|
MSW Sample Total mass Ms c
= (00-72 3E X{O0
oo
763
The gim MS Sa has 737ka
Conft
mostuvA
maRs ancd
t 6 3 7 o
mostne Contd
aASSMALe
Date
Page
R2 Caludak mastune ontnt q s soldyask
Sumple som e given daa,-
S-Yo
,wt Zmost onkns typi
foodwask
Pape 15
3.
Candbaals 5
Tio CanS
3
Dirt, As
Kbhe
lass
3
15 2
20
8 Cood
Soluhon, Step 1
Calul atn d cdymas MSW S
Assme Kq g MStO Sample
7. day o
weyat (Ka) 7.ostoal
25
STNo Comuponank
30
Food wa
a4
2
Pope
5 95
3 Candbeand
Tin Cons
92
Dvt,Ak
Ruste
Glass
5
IS
Z
coool
eASSMAte
Date
Page
y musS ds wasee 30xzS F5k
Dr
mass 94
3) mass P CaclLoone! 95X I0 =R:5
Dy mass Tin Cang 97 x 5- 4:$5.
Oo
Dy mesS2
Ash
6) ymass Rubhen
Mas s 94lass K X I5=4:FÁ
OD
8 X25 -20
Dry
Dg
mass (CD
5 +/tl t2:S tffS 76
TotalDzy mes t : 6 t zt20
clASSMAte
Date
Page
Step Caulaton
Moi'stu Conn
1eetrs
=Tota mass dy MAS
7.MoTshe Corten
MS mple
Ms Lob
D-t5 3 F X 100
7 qiven MS Sample has 45-3
kq g
dymass andoa:63) mostue Contet
TYPE2: PRobLEMS ON DENSITY
Estmcutt e densty MSu Sanpe om
htl unq date
Densiry glm)
2a%
SrNo Conyonents 7awt:
20
Food wayt
Plaste 5 65
(O5
yndlen imniny
25 GS
Tent'e
320
5 Mtals
in Can
elASSMAte
Date
Page
2oletun
Denst = Mass
Volume
Volwm Mass
Desi
ok
aj mass MSU Samle
Assume
6
DSoMass foocd aaste - 2o X/000D
Volume q foad 2alt 20 Xlooo 210
0 6&9
ass
Mass plashc x I0007
VolumaPlasc
230 m
Mass Yande mmvn9
S x CO
o0O7+ (0S -I42f
Vof Gonden timn q
elAsSMAte
(s Date
Page
Tent
l e 25_X(o0o 65
Vod
CoO
3 46m
5 ot rts:
Mass g Metals 2 SXooo/
320
Vot Metals 5 X(o00
46 &
Mass Tin Cans z
6
Vot: in ans o X lo070 I:1lm
lotel Vot O'689+2:304 + l:428t3-846
tO:4
6Stl1
Vol
MSSamp
eiAsSMAtLe
( Date
Page
Ste Catutaton Densit Mst Jmpl
Denh e MSw: lage Tetal mass
Letel Voluma
(000
9 84 &
lo 5+ k/m
TYPE3:- ENERGY CoNTEN T
tlet e Erey Content Su Sam
having cemo n geo in prilensngfaée
hat 5s e enegy Comte om d easis
and sh tee d ass
Sr.N et. Enengy CKIKg)
Lompornent
Food wase
Pype (6ooob
6 300
3 Cand
boond_
Plasc 3230o
S
6
6 a o d
Tin Con
alASSMAte
(lo Date
Page.
olueStp 1 Calclofone Tatal Eneig S snpk
fssuirme fotas meess Sol wQJt a 00g2
MessCkg Totalenegy(KI)
Sr-o
20 2o 46So 9300O
Ao x 6ooo 64oo o.
6, 300 146F00.
2
x 32 300 3530o
5 OAGSo0
X& 600 UE6OO
t
To Enenge 141440o(k
alASSMAte
( Date.
Page
S1NoConponen Cot(k , most od:
foodcoae
y Contnt
20
94
95
2
odbood
Mastc 2
5 Caacken cwas (O GO 40
6 20
oowc
Can 3
:
nass mass ood
frod awase = 8o K2026kK
316
y mass q Conclboancl = 5xq 8 55 ka
7
Ptash
4) mass 2
S riess 9 anclan coase 10XiO 4ka
Dry mass
CwCool SUb XG
OO
n mass in Can 17 xt =3:8k
lASSMALe
Date
Page
Totasay mas Gt3+G +8:55+ of t4
Mosfun Conttnt = /(otlmass 9MS-Jymass MS
MS Sanle
1oteelmass MsD
X
(00- Xeð
2 31
ote EnAgy Comtent |414400 kj
onen99 Conttnt in I K) TatrlEntgy
_Cn bass
44400
6
2
18 7OG S2 kIkK
alasSMAte
(19 Date
Page-
onent n h bee cdpbaj
sSun2 Qsh ontent: 51 otl wehr(toak
Ldo sh aeght 5 XI00 SK.
Ash pee dy contcnts y Gntent AsA c he
7
- S
fo61
d Enegg Camtent in (k[y) 2 7afelEregy (k)
nA ee aybaya
elASSMAte
Date
Page
S: stima he enongy content Soldut
lcn y bass d a fe y bass) ci
fodousng
fabe e l -
Comyositm a gen in
ompomUs 7, masS
4656
650
35
Fod cwaste
Paype
2 20
3 Cancdhoaac 15 /6300
Plastk 32 600
OS
IGanden Trmming
Cwodd 22 8co
Foo
Tin anv
Solum
Caloscte7e fotal Srar Ms O Sare
Assununn mass g Solid caste as (cokq
elASSMAte
(ts Date
Page
Omcman
OrNo: AbacrF
fod aa e Mass( Total Enagy
4 SO x 35 :
Cs6
2 20
(61750 20 =
55,o0G
3
(6500 XIS_ 244, SOO
3 26oO xIO 32-0,o0o
Plashe
cuclen Timn OS 6Soo xS 32, SoB0
12 18 6 o0 X(2 223,200
in ans FOo K3 22I OO
Totl &neqy 1326,OSO
ots Enerqy MSC 1326,a so
aryeiIRI|kg)
132 6O so Kf
Step negy Contrn m
Zycoknt
30U
4
or NoComlonen wt (kg)|7 moiston
3 5
o 20
od aa
e
OG
2
O5 5
5
Con dood
Plaste
4 2
S O5
Lmoleninnn|
O
2
awood
Cans
ASSMA4te
Date
Page
mas5 o ad wcste- 30 35 (aSka
OO
massq Papen 14 x0>_8-o k
6 (00
3 asscondlaack 5xIS= 25k
2s k
4 mas 2 P a y h e
5 mes Gaden inimmins40XS=
nes 5 Coood Go_x1R 96kq
(oO
Tih Can: 2:71
otas Fy mass. 0stISot42s t9So t2t
MonshunContnta Tatd mass 7 MS-y mass9MSu
Tot nass MSW
XJo0 &KEkata
00 67 86 X 00 3.14)
(O0
elAsSMAte
(1 Date
Page
(ofal Enangy Cantnt 132G O50.g
nerqy contntin(K/k) -132c050
Ch beys 67&6
(,5t0.76 (T|k
2nengy Contnt an sh pee Day beju
A3sune2 Ash Content 5 g Tatalaeah (/eok
h fee dy ontert k Content -shaezat
6T.U 5
TotalErag,()
oneg1 Content
on/t dhybais
2 R E OSO
:
elASSMAte
(13 Date
Page
pe 7heocKC Value e Melhane
CCH
Esbrnat theorekcal Value Meane CCh)
that Gcale ondd e eyprctd pe)
L ton easK haie
OCssHuoOssN
anaenobr olç h cn
e Cem/posit
Keachom naesotie Jcemypositron 9
Soid_coedt
Ca H O Na t
ta-b-2 t Bol Ho7
4 th-e -3edCH +4a-bt2et24otdl
Solut,Gin Comosihon ssHroHra Oss N
Q 55b=llO,C 85,d= 2
Usin as Cocffujent Te latn9 e carC
Jecery
CssHio O35 + 4x55- l0-12K35t3x2 H
O
4x55-no t2xSbi G
A155+t I1o -%3S-3x2|CH, +
t2NH
clASSMAte
(19) Date
Page
Lss Hie as W + !5 H, O2 31-45 CH, t23.25(O
t2WHB
C12 H 0-16,N It
CI255tuo+ I6XAS tAx 2) + (l1:s(2+Ic)2
31 5 12x4) t23:25 (12+2x1L) +2(413)
358 t2o 2508+tO23 +3 4
(56 (565
Fon 155 kq2 S Sarypkgeneate ecleCS_
2hetare CCH
on Sw GCnagal
. 314 0
SOKkq
d4 /000xaog
358
eon
374:0Fkaanhann i gerenttd b lton 9
Sw SamlVc
(density) melhan
0656 Kam
O-656
clASSMALe
Date
2 C
page
YPE S: Estvaton q meun
aDCalelat
Stabize
he amount 9 onygn Jeg wd
ehav
han
1 ton Soicd aod
Conyosihon Lss HO4sN
Ca H O Nt ha th-2e-34)Oa t{h
tdNHb
Soluh. a 55 b: O C45 d- 2
Css Huo O4s N2 +/4 x55tilo-2K45 -3x2) O
55
Co/uo-H
HhO+ NH>
Css Huo O4s N2 t585O 55 CO tS2H,0 t2NH
C:12, H O- |6, 14
1255) t(uox) t(16 x4s) t(4 x 2) 5512tRRJ
t52(1x2 +K)
3310 3310
aASSMAte
Date
Page
Fo 518
ot: q SusSarnple gued & F2
C
Se 1 ton q Sw smple,
A
Hmt 2 yqn egwrd -(000 X&t2 (233:2ka
Adclihonal ongen *qud
VH t 2022 tNos tH20
4 3 t2(2x I6) x4 t SA1) tCIK2+/k)
81- &1
S
addihmal o7
S sanplc omsumey
Additonak 0a1n o0o X 64X 2 2Hfor{
lestslzes
518 /and henc(2){
SamplC Stal3inq peS
(233 2 ts432
(317 52
Date
Page
kansityS)gair l428ST
22 OSm
Vofume 2_ar 1317
4 2S
TPe 6-Mockibecd alon oul
sEshmak th_enegyCortert edofrd Ru
Sample cu ltonusri Cannjos/h_
ModshedDalng _ordla
wing
omponent
Calen
py mau
9 5
45
Nisqe
Slph 2
Total
23 alASSMAte
Date.
Page
Modfrd ulonqs formulo s a vilo
l n
nenq Contnt /45 C t6/0 140St/0N
mattt in ne_prote 55
So
hat Comtend
Colulab on
a aill natbe iculelin
CnaAGq_con
Cortent 145 3g t 610/4-41S
t40x 2 4j0X a
2SO:6 5 pt Lib

Numericals on Generation of Solid waste .pdf

  • 1.
    MsP Kodam (AssistantPofso elasSmAte ( VCET, Vabas Solid and ttezandow auk Nanogeenk SHWM) Moolulo 1: Date Page Neun eCals TyPE 1:Moistuu Conttnt Poblerm C Fnd the peacenkagee d mnstuwe Com tent o MSW8ample om a qiven olata SrNo (omyponent wt: 7 moist Contens Ltypita Food uasR 35 Tenble I5 Ppea Rub bea 3 2 5 tathe 2 Muminim 3 3 Otkars oluhom Stco1: Calialak ecly Mas o Compnents d MS Samle Hssume cokq ok Msuw Samyk
  • 2.
    (2 el ASSMAte Date Page S7-Noorponenbt.(k) moist: cont: Jy Conk oodcwa)é 35 o I5 2 Terhe 94 Rbber 2 5. Lcolhr Atuminum Othes 3 3 90 X35 315kq Dry mass rod case 0 XIS l3.5kq Dr mes TErtile Dry mass 9 pape4 K10 E t k D 1Drymas g Kabben zE IE X11 = 6-67 kq ethe 90 x 15(3:5K 9Dry 67y mass aluminium- 5 41ka (00
  • 3.
    efASSMALe Date Page Jry mas oas14 X3 zTIK Total mass2 MSw=31-5+13:5+ 4 4/64 t13-5 t4.7 t2 7 Sep2(alalate moistu Content qMSw Mostuu Content lotalmaSs eMSU -DrymGSGMSO| MSW Sample Total mass Ms c = (00-72 3E X{O0 oo 763 The gim MS Sa has 737ka Conft mostuvA maRs ancd t 6 3 7 o mostne Contd
  • 4.
    aASSMALe Date Page R2 Caludak mastuneontnt q s soldyask Sumple som e given daa,- S-Yo ,wt Zmost onkns typi foodwask Pape 15 3. Candbaals 5 Tio CanS 3 Dirt, As Kbhe lass 3 15 2 20 8 Cood Soluhon, Step 1 Calul atn d cdymas MSW S Assme Kq g MStO Sample 7. day o weyat (Ka) 7.ostoal 25 STNo Comuponank 30 Food wa a4 2 Pope 5 95 3 Candbeand Tin Cons 92 Dvt,Ak Ruste Glass 5 IS Z coool
  • 5.
    eASSMAte Date Page y musS dswasee 30xzS F5k Dr mass 94 3) mass P CaclLoone! 95X I0 =R:5 Dy mass Tin Cang 97 x 5- 4:$5. Oo Dy mesS2 Ash 6) ymass Rubhen Mas s 94lass K X I5=4:FÁ OD 8 X25 -20 Dry Dg mass (CD 5 +/tl t2:S tffS 76 TotalDzy mes t : 6 t zt20
  • 6.
    clASSMAte Date Page Step Caulaton Moi'stu Conn 1eetrs =Totamass dy MAS 7.MoTshe Corten MS mple Ms Lob D-t5 3 F X 100 7 qiven MS Sample has 45-3 kq g dymass andoa:63) mostue Contet TYPE2: PRobLEMS ON DENSITY Estmcutt e densty MSu Sanpe om htl unq date Densiry glm) 2a% SrNo Conyonents 7awt: 20 Food wayt Plaste 5 65 (O5 yndlen imniny 25 GS Tent'e 320 5 Mtals in Can
  • 7.
    elASSMAte Date Page 2oletun Denst = Mass Volume VolwmMass Desi ok aj mass MSU Samle Assume 6 DSoMass foocd aaste - 2o X/000D Volume q foad 2alt 20 Xlooo 210 0 6&9 ass Mass plashc x I0007 VolumaPlasc 230 m Mass Yande mmvn9 S x CO o0O7+ (0S -I42f Vof Gonden timn q
  • 8.
    elAsSMAte (s Date Page Tent l e25_X(o0o 65 Vod CoO 3 46m 5 ot rts: Mass g Metals 2 SXooo/ 320 Vot Metals 5 X(o00 46 & Mass Tin Cans z 6 Vot: in ans o X lo070 I:1lm lotel Vot O'689+2:304 + l:428t3-846 tO:4 6Stl1 Vol MSSamp
  • 9.
    eiAsSMAtLe ( Date Page Ste CatutatonDensit Mst Jmpl Denh e MSw: lage Tetal mass Letel Voluma (000 9 84 & lo 5+ k/m TYPE3:- ENERGY CoNTEN T tlet e Erey Content Su Sam having cemo n geo in prilensngfaée hat 5s e enegy Comte om d easis and sh tee d ass Sr.N et. Enengy CKIKg) Lompornent Food wase Pype (6ooob 6 300 3 Cand boond_ Plasc 3230o S 6 6 a o d Tin Con
  • 10.
    alASSMAte (lo Date Page. olueStp 1Calclofone Tatal Eneig S snpk fssuirme fotas meess Sol wQJt a 00g2 MessCkg Totalenegy(KI) Sr-o 20 2o 46So 9300O Ao x 6ooo 64oo o. 6, 300 146F00. 2 x 32 300 3530o 5 OAGSo0 X& 600 UE6OO t To Enenge 141440o(k
  • 11.
    alASSMAte ( Date. Page S1NoConponen Cot(k, most od: foodcoae y Contnt 20 94 95 2 odbood Mastc 2 5 Caacken cwas (O GO 40 6 20 oowc Can 3 : nass mass ood frod awase = 8o K2026kK 316 y mass q Conclboancl = 5xq 8 55 ka 7 Ptash 4) mass 2 S riess 9 anclan coase 10XiO 4ka Dry mass CwCool SUb XG OO n mass in Can 17 xt =3:8k
  • 12.
    lASSMALe Date Page Totasay mas Gt3+G+8:55+ of t4 Mosfun Conttnt = /(otlmass 9MS-Jymass MS MS Sanle 1oteelmass MsD X (00- Xeð 2 31 ote EnAgy Comtent |414400 kj onen99 Conttnt in I K) TatrlEntgy _Cn bass 44400 6 2 18 7OG S2 kIkK
  • 13.
    alasSMAte (19 Date Page- onent nh bee cdpbaj sSun2 Qsh ontent: 51 otl wehr(toak Ldo sh aeght 5 XI00 SK. Ash pee dy contcnts y Gntent AsA c he 7 - S fo61 d Enegg Camtent in (k[y) 2 7afelEregy (k) nA ee aybaya
  • 14.
    elASSMAte Date Page S: stima heenongy content Soldut lcn y bass d a fe y bass) ci fodousng fabe e l - Comyositm a gen in ompomUs 7, masS 4656 650 35 Fod cwaste Paype 2 20 3 Cancdhoaac 15 /6300 Plastk 32 600 OS IGanden Trmming Cwodd 22 8co Foo Tin anv Solum Caloscte7e fotal Srar Ms O Sare Assununn mass g Solid caste as (cokq
  • 15.
    elASSMAte (ts Date Page Omcman OrNo: AbacrF fodaa e Mass( Total Enagy 4 SO x 35 : Cs6 2 20 (61750 20 = 55,o0G 3 (6500 XIS_ 244, SOO 3 26oO xIO 32-0,o0o Plashe cuclen Timn OS 6Soo xS 32, SoB0 12 18 6 o0 X(2 223,200 in ans FOo K3 22I OO Totl &neqy 1326,OSO ots Enerqy MSC 1326,a so aryeiIRI|kg) 132 6O so Kf Step negy Contrn m Zycoknt 30U 4 or NoComlonen wt (kg)|7 moiston 3 5 o 20 od aa e OG 2 O5 5 5 Con dood Plaste 4 2 S O5 Lmoleninnn| O 2 awood Cans
  • 16.
    ASSMA4te Date Page mas5 o adwcste- 30 35 (aSka OO massq Papen 14 x0>_8-o k 6 (00 3 asscondlaack 5xIS= 25k 2s k 4 mas 2 P a y h e 5 mes Gaden inimmins40XS= nes 5 Coood Go_x1R 96kq (oO Tih Can: 2:71 otas Fy mass. 0stISot42s t9So t2t MonshunContnta Tatd mass 7 MS-y mass9MSu Tot nass MSW XJo0 &KEkata 00 67 86 X 00 3.14) (O0
  • 17.
    elAsSMAte (1 Date Page (ofal EnangyCantnt 132G O50.g nerqy contntin(K/k) -132c050 Ch beys 67&6 (,5t0.76 (T|k 2nengy Contnt an sh pee Day beju A3sune2 Ash Content 5 g Tatalaeah (/eok h fee dy ontert k Content -shaezat 6T.U 5 TotalErag,() oneg1 Content on/t dhybais 2 R E OSO :
  • 18.
    elASSMAte (13 Date Page pe 7heocKCValue e Melhane CCH Esbrnat theorekcal Value Meane CCh) that Gcale ondd e eyprctd pe) L ton easK haie OCssHuoOssN anaenobr olç h cn e Cem/posit Keachom naesotie Jcemypositron 9 Soid_coedt Ca H O Na t ta-b-2 t Bol Ho7 4 th-e -3edCH +4a-bt2et24otdl Solut,Gin Comosihon ssHroHra Oss N Q 55b=llO,C 85,d= 2 Usin as Cocffujent Te latn9 e carC Jecery CssHio O35 + 4x55- l0-12K35t3x2 H O 4x55-no t2xSbi G A155+t I1o -%3S-3x2|CH, + t2NH
  • 19.
    clASSMAte (19) Date Page Lss Hieas W + !5 H, O2 31-45 CH, t23.25(O t2WHB C12 H 0-16,N It CI255tuo+ I6XAS tAx 2) + (l1:s(2+Ic)2 31 5 12x4) t23:25 (12+2x1L) +2(413) 358 t2o 2508+tO23 +3 4 (56 (565 Fon 155 kq2 S Sarypkgeneate ecleCS_ 2hetare CCH on Sw GCnagal . 314 0 SOKkq d4 /000xaog 358 eon 374:0Fkaanhann i gerenttd b lton 9 Sw SamlVc (density) melhan 0656 Kam O-656
  • 20.
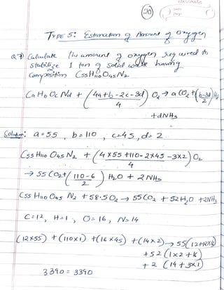
    clASSMALe Date 2 C page YPE S:Estvaton q meun aDCalelat Stabize he amount 9 onygn Jeg wd ehav han 1 ton Soicd aod Conyosihon Lss HO4sN Ca H O Nt ha th-2e-34)Oa t{h tdNHb Soluh. a 55 b: O C45 d- 2 Css Huo O4s N2 +/4 x55tilo-2K45 -3x2) O 55 Co/uo-H HhO+ NH> Css Huo O4s N2 t585O 55 CO tS2H,0 t2NH C:12, H O- |6, 14 1255) t(uox) t(16 x4s) t(4 x 2) 5512tRRJ t52(1x2 +K) 3310 3310
  • 21.
    aASSMAte Date Page Fo 518 ot: qSusSarnple gued & F2 C Se 1 ton q Sw smple, A Hmt 2 yqn egwrd -(000 X&t2 (233:2ka Adclihonal ongen *qud VH t 2022 tNos tH20 4 3 t2(2x I6) x4 t SA1) tCIK2+/k) 81- &1 S addihmal o7 S sanplc omsumey Additonak 0a1n o0o X 64X 2 2Hfor{ lestslzes 518 /and henc(2){ SamplC Stal3inq peS (233 2 ts432 (317 52
  • 22.
    Date Page kansityS)gair l428ST 22 OSm Vofume2_ar 1317 4 2S TPe 6-Mockibecd alon oul sEshmak th_enegyCortert edofrd Ru Sample cu ltonusri Cannjos/h_ ModshedDalng _ordla wing omponent Calen py mau 9 5 45 Nisqe Slph 2 Total
  • 23.
    23 alASSMAte Date. Page Modfrd ulonqsformulo s a vilo l n nenq Contnt /45 C t6/0 140St/0N mattt in ne_prote 55 So hat Comtend Colulab on a aill natbe iculelin CnaAGq_con Cortent 145 3g t 610/4-41S t40x 2 4j0X a 2SO:6 5 pt Lib