Enhancements to the Generalized Sidelobe Canceller
for Audio Beamforming in an Immersive Environment
                                         Phil Townsend
                                       MSEE Candidate
                                  University of Kentucky




    www.vis.uky.edu   |   Dedicated to Research, Education and Industrial Outreach   |   859.257.1257
Overview
1) Introduction
       - Adaptive Beamforming and the GSC
2) Amplitude Scaling Improvements
       - 1/r Model, Acoustic Physics, Statistical
3) Automatic Target Alignment
       - Thresholded Cross Correlation using PHAT-β
4) Array Geometry Analysis
       - Volumetric Beamfield Plots
       - Monte Carlo Test of Geometric Parameters
5) Final Conclusions and Questions



     www.vis.uky.edu   |   Dedicated to Research, Education and Industrial Outreach   |   859.257.1257
Part 1: Introduction
• What's beamforming?
• A spatial filter that enhances sound
  based on its spatial position through the
  coherent processing of signals from
  distributed microphones.
  – Reduce room noise/effects
  – Suppress interfering speakers


   www.vis.uky.edu   |   Dedicated to Research, Education and Industrial Outreach   |   859.257.1257
Adaptive Beamforming
• Optimization of Generalized Filter
  Coefficients
                                                   T
                              y[ n]=W [ n] X [n ]  opt
  – Often requires minimizing output energy
    while keeping target component unchanged
• Estimate statistics on the fly
  – Input Correlation Matrix unknown/changing
• Gradient Descent Toward Optimal Taps
  – Constrained Lowest Energy Output Forms
    Unique Minimum to Bowl-Shaped Surface
    www.vis.uky.edu   |   Dedicated to Research, Education and Industrial Outreach   |   859.257.1257
Visualization of Gradient Descent




 From http://en.wikipedia.org/wiki/Gradient_descent; Image in Public Domain
  www.vis.uky.edu   |   Dedicated to Research, Education and Industrial Outreach   |   859.257.1257
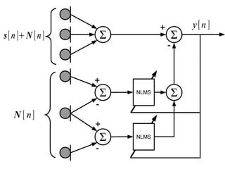
Generalized Sidelobe Canceller
             (GSC)
• Simplifies Frost's constrained adaptation
  into two stages
  – A fixed, Delay-Sum Beamformer
  – A Blocking Matrix that's adaptively filtered
    and subtracted.
  – Adaptation can be any algorithm; we use
    NLMS here
  – Simplification comes mostly from enforcing
    distortionless response
   www.vis.uky.edu   |   Dedicated to Research, Education and Industrial Outreach   |   859.257.1257
www.vis.uky.edu   |   Dedicated to Research, Education and Industrial Outreach   |   859.257.1257
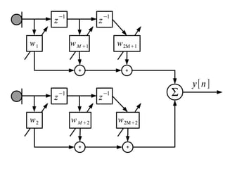
GSC (con't)
• Upper branch DSB result



• Lower branch BM tracks are

 where traditional Blocking Matrix is



   www.vis.uky.edu   |   Dedicated to Research, Education and Industrial Outreach   |   859.257.1257
GSC (con't)
• Final output is



• Adaption algorithm for each BM track is
  (NLMS, much faster than constrained)




    www.vis.uky.edu   |   Dedicated to Research, Education and Industrial Outreach   |   859.257.1257
Limitations of Current Models and
                Methods
• Blocking Matrix Leakage
   – Farfield assumption not valid for immsersive
     microphone arrays
   – Target steering might be incorrect
• Most research limited to equispaced linear arrays
   – Hard to construct
   – Limited useful frequency range
   – Want to explore other geometries and find the best



    www.vis.uky.edu   |   Dedicated to Research, Education and Industrial Outreach   |   859.257.1257
Part 2: Amplitude Correction
• Nearfield acoustics means target
  component has different amplitude in
  each microphone
• Propose and test a few models to correct
  cancellation
  – 1/r Model
  – Sound propagation filtering
  – Statistical filtering


   www.vis.uky.edu   |   Dedicated to Research, Education and Industrial Outreach   |   859.257.1257
Simple 1/r Model
• The acoustic wave equation is solved by
  a function inversely proportional in r



• so make a BM using that fact (keep
  tracks in distance order)




   www.vis.uky.edu   |   Dedicated to Research, Education and Industrial Outreach   |   859.257.1257
ISO Acoustic Physics Model
• Fluid dynamics can be taken into
  account to design a filter based on
  distance, temperature, humidity, and
  pressure (ISO standard 9613)



• Might allow us to add easily-obtainable
  information to enhance beamforming

   www.vis.uky.edu   |   Dedicated to Research, Education and Industrial Outreach   |   859.257.1257
Statistical Amplitude Scaling
• Lump all corruptive effects together and
  minimize energy of difference of tracks

• Carry out as a function of frequency to
  get




   www.vis.uky.edu   |   Dedicated to Research, Education and Industrial Outreach   |   859.257.1257
ISO and Statistical BM's
• ISO Model (Frequency Domain)



• Statistical Scaling (Frequency Domain)




   www.vis.uky.edu   |   Dedicated to Research, Education and Industrial Outreach   |   859.257.1257
A Perfect Blocking Matrix
• Audio Cage data was collected with
  targets and speakers separate, so a
  perfect BM can be simulated
• Shows upper bound on possible
  improvement




   www.vis.uky.edu   |   Dedicated to Research, Education and Industrial Outreach   |   859.257.1257
www.vis.uky.edu   |   Dedicated to Research, Education and Industrial Outreach   |   859.257.1257
Experimental Evaluation of
             Methods
• Set initial intelligibility to around .3
• Beamform for many target and noise
  scenarios
• Find mean correlation coefficient of BM
  tracks (want as low as possible) and
  overall output (want as large as possible)



   www.vis.uky.edu   |   Dedicated to Research, Education and Industrial Outreach   |   859.257.1257
Results
• Most real methods make little difference
  – Statistical scaling a little worse b/c of bad
    SNR
  – ISO filtering a little better b/c of more info
  – 1/r model made no difference
• Perfect BM made slight improvement,
  but array geometry was most important!
• Listen to some examples...


   www.vis.uky.edu   |   Dedicated to Research, Education and Industrial Outreach   |   859.257.1257
Output Correlation Chart




www.vis.uky.edu   |   Dedicated to Research, Education and Industrial Outreach   |   859.257.1257
BM Correlation Chart




www.vis.uky.edu   |   Dedicated to Research, Education and Industrial Outreach   |   859.257.1257
Part 3: Automatic Steering
• If steering delays aren't right then target
  signal leakage occurs and DSB is
  weaker.
• Cross correlation is a highly robust
  technique for finding similarities between
  signals, so use to fine tune delays
• Apply window and correlation strength
  thresholds to try to improve performance
  in poor SNR environment
   www.vis.uky.edu   |   Dedicated to Research, Education and Industrial Outreach   |   859.257.1257
GCC and PHAT-β
• Find the cross correlation between tracks




  over only a small window of possible movements



  and whiten to make the spike stand out



    www.vis.uky.edu   |   Dedicated to Research, Education and Industrial Outreach   |   859.257.1257
Correlation Coefficient Threshold
• Since environment is noisy and speaker
  might go silent, update only if max
  correlation is sufficiently strong




   www.vis.uky.edu   |   Dedicated to Research, Education and Industrial Outreach   |   859.257.1257
Experimental Evaluation
• Same setup as before
  – Initial intel ~.3
  – Find output correlation with closest mic
• Vary correlation threshold .1 to .9




   www.vis.uky.edu   |   Dedicated to Research, Education and Industrial Outreach   |   859.257.1257
Results
• Tighter threshold better but updates never help
  vs original GSC
   – Low threshold: erratic focal point movement
   – High threshold: can't recover from bad
     updates
   – Low SNR makes good estimates very
     difficult
• Retrace of lags (multilateration) shows search
  window D should be tighter
• Array geometry still more important
• Listen to some more examples...
    www.vis.uky.edu   |   Dedicated to Research, Education and Industrial Outreach   |   859.257.1257
Output Correlation Chart
                                    Normal GSC Performance for Comparison




www.vis.uky.edu   |   Dedicated to Research, Education and Industrial Outreach   |   859.257.1257
www.vis.uky.edu   |   Dedicated to Research, Education and Industrial Outreach   |   859.257.1257
www.vis.uky.edu   |   Dedicated to Research, Education and Industrial Outreach   |   859.257.1257
Part 4: Array Geometry
• Since array geometry is the most
  important factor, we need to find what
  the best layouts are and why
• Start by generating beamfields to
  visualize array performance and look for
  patterns qualitatively
• Then propose parameters and run
  computer simulations quantitatively


   www.vis.uky.edu   |   Dedicated to Research, Education and Industrial Outreach   |   859.257.1257
Volumetric Beamfield Plots
• GSC beamfield changes over time, but
  DSB is root of the system and
  performance is constant.
• Need to see performance in three
  dimensions
• Use layered approach with colors to
  indicate intensity and transparency to
  see features inside the space

   www.vis.uky.edu   |   Dedicated to Research, Education and Industrial Outreach   |   859.257.1257
Linear Array
• Generally good performance
  – Office too small for sidelobes to appear
• Mainlobe elongated toward array




   www.vis.uky.edu   |   Dedicated to Research, Education and Industrial Outreach   |   859.257.1257
www.vis.uky.edu   |   Dedicated to Research, Education and Industrial Outreach   |   859.257.1257
Perimeter Array
• Also generally good
  – Very tight mainlobe
• No height resolution
  – Not a problem in an office though
  – Motivation for ceiling arrays




   www.vis.uky.edu   |   Dedicated to Research, Education and Industrial Outreach   |   859.257.1257
www.vis.uky.edu   |   Dedicated to Research, Education and Industrial Outreach   |   859.257.1257
Random Arrays
• Performance highly variable
  – One best of the lot, one very bad
• Need to find ways to describe and select
  best random arrays (coming soon)




   www.vis.uky.edu   |   Dedicated to Research, Education and Industrial Outreach   |   859.257.1257
www.vis.uky.edu   |   Dedicated to Research, Education and Industrial Outreach   |   859.257.1257
www.vis.uky.edu   |   Dedicated to Research, Education and Industrial Outreach   |   859.257.1257
A Monte Carlo Experiment for
     Analysis of Geometry
• Propose the following parameters for
  describing array geometry in 2D and
  evaluate array performance for many
  randomly-chosen geometries:
  – Centroid
      • Array center of gravity (mean position)
  – Dispersion
      • Mic spread (standard deviation of positions)


   www.vis.uky.edu   |   Dedicated to Research, Education and Industrial Outreach   |   859.257.1257
Parameter Examples




www.vis.uky.edu   |   Dedicated to Research, Education and Industrial Outreach   |   859.257.1257
Monte Carlo (con't)
• For a given centroid and dispersion,
  evaluate the array based on:
  – PSR – Peak to Side lobe Ratio
      • Worst-case interference
  – MLW – Main Lobe Width
      • Tightness of enhancement area
      • Redefined in 2D to use x and y 3dB widths

                                                     2              2
                             w3dB=  x  y           3dB            3dB


   www.vis.uky.edu   |   Dedicated to Research, Education and Industrial Outreach   |   859.257.1257
Monte Carlo Simulation
• Test variation of one parameter while
  holding the other constant.
• Generate random positions from an
  8x8m square and target a sound source
  1m below center
• Choose 120 random geometries for each
  run (a “class” of arrays)
• Compare to rectangular array

   www.vis.uky.edu   |   Dedicated to Research, Education and Industrial Outreach   |   859.257.1257
Layout




www.vis.uky.edu   |   Dedicated to Research, Education and Industrial Outreach   |   859.257.1257
Centroid Displacement




www.vis.uky.edu   |   Dedicated to Research, Education and Industrial Outreach   |   859.257.1257
Dispersion




www.vis.uky.edu   |   Dedicated to Research, Education and Industrial Outreach   |   859.257.1257
Results
• Centroid centered over target always best
  – Irregular arrays more robust when centroid
     shifts
• Dispersion a classic tradeoff
  – Tightly-packed array: tight mainlobe but strong
     sidelobes
  – Widely-spread array: wide mainlobe but weak
     sidelobes




    www.vis.uky.edu   |   Dedicated to Research, Education and Industrial Outreach   |   859.257.1257
Part 5. Final Conclusions & Future Work
 • Statistical methods for improving GSC ineffective
    – Low SNR introduces large error
 • Introducing separate, concrete info helped
    – ISO model gave a tiny improvement
    – More accurate target position (laser, SSL) always best
       for steering
 • Array geometry is most important to improving performance
    – Linear array good, but random arrays have potential to
       do better
    – Found that a ceiling array should be centered over its
       intended target, but...
    – Open question: how does one describe the best array
       for beamforming on human speech?
      www.vis.uky.edu   |   Dedicated to Research, Education and Industrial Outreach   |   859.257.1257
Special Thanks
• Advisor
  – Dr. Kevin Donohue
• Thesis Committee Members
  – Dr. Jens Hannemann
  – Dr. Samson Cheung
• Everyone at the UK Vis Center



   www.vis.uky.edu   |   Dedicated to Research, Education and Industrial Outreach   |   859.257.1257
Questions?




www.vis.uky.edu   |   Dedicated to Research, Education and Industrial Outreach   |   859.257.1257
Extra Slides




www.vis.uky.edu   |   Dedicated to Research, Education and Industrial Outreach   |   859.257.1257
Frost Algorithm
• Solution to the constrained optimization

 subject to the constraint (C a selection
 matrix)

  The constraint vector dictates the sum of
  column weights, often F = [1 0 0 0...]
• Solution (P and F constant matrices):

   www.vis.uky.edu   |   Dedicated to Research, Education and Industrial Outreach   |   859.257.1257
www.vis.uky.edu   |   Dedicated to Research, Education and Industrial Outreach   |   859.257.1257

MSEE Defense

  • 1.
    Enhancements to theGeneralized Sidelobe Canceller for Audio Beamforming in an Immersive Environment Phil Townsend MSEE Candidate University of Kentucky www.vis.uky.edu | Dedicated to Research, Education and Industrial Outreach | 859.257.1257
  • 2.
    Overview 1) Introduction - Adaptive Beamforming and the GSC 2) Amplitude Scaling Improvements - 1/r Model, Acoustic Physics, Statistical 3) Automatic Target Alignment - Thresholded Cross Correlation using PHAT-β 4) Array Geometry Analysis - Volumetric Beamfield Plots - Monte Carlo Test of Geometric Parameters 5) Final Conclusions and Questions www.vis.uky.edu | Dedicated to Research, Education and Industrial Outreach | 859.257.1257
  • 3.
    Part 1: Introduction •What's beamforming? • A spatial filter that enhances sound based on its spatial position through the coherent processing of signals from distributed microphones. – Reduce room noise/effects – Suppress interfering speakers www.vis.uky.edu | Dedicated to Research, Education and Industrial Outreach | 859.257.1257
  • 4.
    Adaptive Beamforming • Optimizationof Generalized Filter Coefficients T y[ n]=W [ n] X [n ] opt – Often requires minimizing output energy while keeping target component unchanged • Estimate statistics on the fly – Input Correlation Matrix unknown/changing • Gradient Descent Toward Optimal Taps – Constrained Lowest Energy Output Forms Unique Minimum to Bowl-Shaped Surface www.vis.uky.edu | Dedicated to Research, Education and Industrial Outreach | 859.257.1257
  • 5.
    Visualization of GradientDescent From http://en.wikipedia.org/wiki/Gradient_descent; Image in Public Domain www.vis.uky.edu | Dedicated to Research, Education and Industrial Outreach | 859.257.1257
  • 6.
    Generalized Sidelobe Canceller (GSC) • Simplifies Frost's constrained adaptation into two stages – A fixed, Delay-Sum Beamformer – A Blocking Matrix that's adaptively filtered and subtracted. – Adaptation can be any algorithm; we use NLMS here – Simplification comes mostly from enforcing distortionless response www.vis.uky.edu | Dedicated to Research, Education and Industrial Outreach | 859.257.1257
  • 7.
    www.vis.uky.edu | Dedicated to Research, Education and Industrial Outreach | 859.257.1257
  • 8.
    GSC (con't) • Upperbranch DSB result • Lower branch BM tracks are where traditional Blocking Matrix is www.vis.uky.edu | Dedicated to Research, Education and Industrial Outreach | 859.257.1257
  • 9.
    GSC (con't) • Finaloutput is • Adaption algorithm for each BM track is (NLMS, much faster than constrained) www.vis.uky.edu | Dedicated to Research, Education and Industrial Outreach | 859.257.1257
  • 10.
    Limitations of CurrentModels and Methods • Blocking Matrix Leakage – Farfield assumption not valid for immsersive microphone arrays – Target steering might be incorrect • Most research limited to equispaced linear arrays – Hard to construct – Limited useful frequency range – Want to explore other geometries and find the best www.vis.uky.edu | Dedicated to Research, Education and Industrial Outreach | 859.257.1257
  • 11.
    Part 2: AmplitudeCorrection • Nearfield acoustics means target component has different amplitude in each microphone • Propose and test a few models to correct cancellation – 1/r Model – Sound propagation filtering – Statistical filtering www.vis.uky.edu | Dedicated to Research, Education and Industrial Outreach | 859.257.1257
  • 12.
    Simple 1/r Model •The acoustic wave equation is solved by a function inversely proportional in r • so make a BM using that fact (keep tracks in distance order) www.vis.uky.edu | Dedicated to Research, Education and Industrial Outreach | 859.257.1257
  • 13.
    ISO Acoustic PhysicsModel • Fluid dynamics can be taken into account to design a filter based on distance, temperature, humidity, and pressure (ISO standard 9613) • Might allow us to add easily-obtainable information to enhance beamforming www.vis.uky.edu | Dedicated to Research, Education and Industrial Outreach | 859.257.1257
  • 14.
    Statistical Amplitude Scaling •Lump all corruptive effects together and minimize energy of difference of tracks • Carry out as a function of frequency to get www.vis.uky.edu | Dedicated to Research, Education and Industrial Outreach | 859.257.1257
  • 15.
    ISO and StatisticalBM's • ISO Model (Frequency Domain) • Statistical Scaling (Frequency Domain) www.vis.uky.edu | Dedicated to Research, Education and Industrial Outreach | 859.257.1257
  • 16.
    A Perfect BlockingMatrix • Audio Cage data was collected with targets and speakers separate, so a perfect BM can be simulated • Shows upper bound on possible improvement www.vis.uky.edu | Dedicated to Research, Education and Industrial Outreach | 859.257.1257
  • 17.
    www.vis.uky.edu | Dedicated to Research, Education and Industrial Outreach | 859.257.1257
  • 18.
    Experimental Evaluation of Methods • Set initial intelligibility to around .3 • Beamform for many target and noise scenarios • Find mean correlation coefficient of BM tracks (want as low as possible) and overall output (want as large as possible) www.vis.uky.edu | Dedicated to Research, Education and Industrial Outreach | 859.257.1257
  • 19.
    Results • Most realmethods make little difference – Statistical scaling a little worse b/c of bad SNR – ISO filtering a little better b/c of more info – 1/r model made no difference • Perfect BM made slight improvement, but array geometry was most important! • Listen to some examples... www.vis.uky.edu | Dedicated to Research, Education and Industrial Outreach | 859.257.1257
  • 20.
    Output Correlation Chart www.vis.uky.edu | Dedicated to Research, Education and Industrial Outreach | 859.257.1257
  • 21.
    BM Correlation Chart www.vis.uky.edu | Dedicated to Research, Education and Industrial Outreach | 859.257.1257
  • 22.
    Part 3: AutomaticSteering • If steering delays aren't right then target signal leakage occurs and DSB is weaker. • Cross correlation is a highly robust technique for finding similarities between signals, so use to fine tune delays • Apply window and correlation strength thresholds to try to improve performance in poor SNR environment www.vis.uky.edu | Dedicated to Research, Education and Industrial Outreach | 859.257.1257
  • 23.
    GCC and PHAT-β •Find the cross correlation between tracks over only a small window of possible movements and whiten to make the spike stand out www.vis.uky.edu | Dedicated to Research, Education and Industrial Outreach | 859.257.1257
  • 24.
    Correlation Coefficient Threshold •Since environment is noisy and speaker might go silent, update only if max correlation is sufficiently strong www.vis.uky.edu | Dedicated to Research, Education and Industrial Outreach | 859.257.1257
  • 25.
    Experimental Evaluation • Samesetup as before – Initial intel ~.3 – Find output correlation with closest mic • Vary correlation threshold .1 to .9 www.vis.uky.edu | Dedicated to Research, Education and Industrial Outreach | 859.257.1257
  • 26.
    Results • Tighter thresholdbetter but updates never help vs original GSC – Low threshold: erratic focal point movement – High threshold: can't recover from bad updates – Low SNR makes good estimates very difficult • Retrace of lags (multilateration) shows search window D should be tighter • Array geometry still more important • Listen to some more examples... www.vis.uky.edu | Dedicated to Research, Education and Industrial Outreach | 859.257.1257
  • 27.
    Output Correlation Chart Normal GSC Performance for Comparison www.vis.uky.edu | Dedicated to Research, Education and Industrial Outreach | 859.257.1257
  • 28.
    www.vis.uky.edu | Dedicated to Research, Education and Industrial Outreach | 859.257.1257
  • 29.
    www.vis.uky.edu | Dedicated to Research, Education and Industrial Outreach | 859.257.1257
  • 30.
    Part 4: ArrayGeometry • Since array geometry is the most important factor, we need to find what the best layouts are and why • Start by generating beamfields to visualize array performance and look for patterns qualitatively • Then propose parameters and run computer simulations quantitatively www.vis.uky.edu | Dedicated to Research, Education and Industrial Outreach | 859.257.1257
  • 31.
    Volumetric Beamfield Plots •GSC beamfield changes over time, but DSB is root of the system and performance is constant. • Need to see performance in three dimensions • Use layered approach with colors to indicate intensity and transparency to see features inside the space www.vis.uky.edu | Dedicated to Research, Education and Industrial Outreach | 859.257.1257
  • 32.
    Linear Array • Generallygood performance – Office too small for sidelobes to appear • Mainlobe elongated toward array www.vis.uky.edu | Dedicated to Research, Education and Industrial Outreach | 859.257.1257
  • 33.
    www.vis.uky.edu | Dedicated to Research, Education and Industrial Outreach | 859.257.1257
  • 34.
    Perimeter Array • Alsogenerally good – Very tight mainlobe • No height resolution – Not a problem in an office though – Motivation for ceiling arrays www.vis.uky.edu | Dedicated to Research, Education and Industrial Outreach | 859.257.1257
  • 35.
    www.vis.uky.edu | Dedicated to Research, Education and Industrial Outreach | 859.257.1257
  • 36.
    Random Arrays • Performancehighly variable – One best of the lot, one very bad • Need to find ways to describe and select best random arrays (coming soon) www.vis.uky.edu | Dedicated to Research, Education and Industrial Outreach | 859.257.1257
  • 37.
    www.vis.uky.edu | Dedicated to Research, Education and Industrial Outreach | 859.257.1257
  • 38.
    www.vis.uky.edu | Dedicated to Research, Education and Industrial Outreach | 859.257.1257
  • 39.
    A Monte CarloExperiment for Analysis of Geometry • Propose the following parameters for describing array geometry in 2D and evaluate array performance for many randomly-chosen geometries: – Centroid • Array center of gravity (mean position) – Dispersion • Mic spread (standard deviation of positions) www.vis.uky.edu | Dedicated to Research, Education and Industrial Outreach | 859.257.1257
  • 40.
    Parameter Examples www.vis.uky.edu | Dedicated to Research, Education and Industrial Outreach | 859.257.1257
  • 41.
    Monte Carlo (con't) •For a given centroid and dispersion, evaluate the array based on: – PSR – Peak to Side lobe Ratio • Worst-case interference – MLW – Main Lobe Width • Tightness of enhancement area • Redefined in 2D to use x and y 3dB widths 2 2 w3dB=  x  y 3dB 3dB www.vis.uky.edu | Dedicated to Research, Education and Industrial Outreach | 859.257.1257
  • 42.
    Monte Carlo Simulation •Test variation of one parameter while holding the other constant. • Generate random positions from an 8x8m square and target a sound source 1m below center • Choose 120 random geometries for each run (a “class” of arrays) • Compare to rectangular array www.vis.uky.edu | Dedicated to Research, Education and Industrial Outreach | 859.257.1257
  • 43.
    Layout www.vis.uky.edu | Dedicated to Research, Education and Industrial Outreach | 859.257.1257
  • 44.
    Centroid Displacement www.vis.uky.edu | Dedicated to Research, Education and Industrial Outreach | 859.257.1257
  • 45.
    Dispersion www.vis.uky.edu | Dedicated to Research, Education and Industrial Outreach | 859.257.1257
  • 46.
    Results • Centroid centeredover target always best – Irregular arrays more robust when centroid shifts • Dispersion a classic tradeoff – Tightly-packed array: tight mainlobe but strong sidelobes – Widely-spread array: wide mainlobe but weak sidelobes www.vis.uky.edu | Dedicated to Research, Education and Industrial Outreach | 859.257.1257
  • 47.
    Part 5. FinalConclusions & Future Work • Statistical methods for improving GSC ineffective – Low SNR introduces large error • Introducing separate, concrete info helped – ISO model gave a tiny improvement – More accurate target position (laser, SSL) always best for steering • Array geometry is most important to improving performance – Linear array good, but random arrays have potential to do better – Found that a ceiling array should be centered over its intended target, but... – Open question: how does one describe the best array for beamforming on human speech? www.vis.uky.edu | Dedicated to Research, Education and Industrial Outreach | 859.257.1257
  • 48.
    Special Thanks • Advisor – Dr. Kevin Donohue • Thesis Committee Members – Dr. Jens Hannemann – Dr. Samson Cheung • Everyone at the UK Vis Center www.vis.uky.edu | Dedicated to Research, Education and Industrial Outreach | 859.257.1257
  • 49.
    Questions? www.vis.uky.edu | Dedicated to Research, Education and Industrial Outreach | 859.257.1257
  • 50.
    Extra Slides www.vis.uky.edu | Dedicated to Research, Education and Industrial Outreach | 859.257.1257
  • 51.
    Frost Algorithm • Solutionto the constrained optimization subject to the constraint (C a selection matrix) The constraint vector dictates the sum of column weights, often F = [1 0 0 0...] • Solution (P and F constant matrices): www.vis.uky.edu | Dedicated to Research, Education and Industrial Outreach | 859.257.1257
  • 52.
    www.vis.uky.edu | Dedicated to Research, Education and Industrial Outreach | 859.257.1257