Selling Formal Insurance to the
       Informally Insured

       A. Mushfiq Mobarak
        Mark Rosenzweig
          Yale University
Background
• Formal insurance markets largely absent where they
  are needed
   – 75% of the world’s poor engaged in agriculture
   – 90% of variation in Indian agricultural production
     caused by variation in rainfall
   – 90% of Indians not covered by formal insurance
• Informal risk sharing networks are important
  – Protects against idiosyncratic risk and perhaps aggregate
    risk
  – But risk-sharing is incomplete (Townsend 1994). Lower
    risk-taking by farmers than we would want
  – Informal risk-sharing can drive out formal insurance,
    given moral hazard (Arnott and Stiglitz, 1991)
                                                                2
Index Insurance
• Low Incidence of Formal Crop Insurance
  – Demand: Income/liquidity constraints, Trust/fraud
  – Supply: High overhead costs (moral hazard, adverse
    selection)
• Index-based insurance
  – Payment schemes based on an exogenous publicly
    observable index, such as local rainfall
  – Mitigates moral hazard and adverse selection
     • Arnott and Stiglitz (1991) analysis not directly relevant
  – Eliminates the need for in-field assessments
  – But basis risk (Clarke 2011)
  – Observe low demand (Cole et al 2009, Gine and Yang
    2009)
                                                                   3
Setting and Approach
•   We design a simple index insurance contract for the
    Agricultural Insurance Company of India
•   We randomize insurance offers to 5100 cultivators and
    wage laborers across three states in India
    –   Wage laborers face less basis risk than cultivators
•   The sub-caste (jati) is the identifiable risk-sharing network
    that people are born into.
    –   Jatis can span districts or even states (permits aggregate risk
        sharing of village rainfall shocks)
•   We make offers to jatis for whom we have rich, detailed
    histories of both aggregate and idiosyncratic shocks and
    responsiveness to shocks.
•   We randomly allocate rainfall stations to some villages.
                                                                          4
Research Questions
1. Demand for Insurance:
– How does the presence of risk-sharing networks
   affect the demand for index insurance?
2. Interaction between Index Insurance with Basis
   Risk and Informal Risk Sharing:
– How important is basis risk in affecting index
   insurance take-up?
3. Risk Taking:
– How does formal index insurance affect risk-taking
   (in the presence of informal risk sharing)?
                                                  5
Research Questions (cont.)

• We use three types of variation:
  – Estimated variation in informal risk-sharing across
    sub-castes (data from 17 states)
    •   Using village censuses (i.e. large sample for each caste)
  – Designed variation in index insurance offers
    (3 states)
  – Designed variation in extent of basis risk (1 state)


                                                                    6
Outline
• Theory
   – Index insurance with basis risk embedded in a model of
     cooperative risk sharing (Arnott-Stiglitz 1991 and Clarke 2011)
   – Demand for index insurance (with basis risk) by network
• (Historical) Survey Data
   – Characterize jatis in terms of indemnification of
     idiosyncratic and aggregate losses
   – Effect of informal insurance on risk-taking
• Field Experiment
   – Demand for formal insurance by different jatis
   – Effect of formal index insurance on risk-taking

                                                                   7
A-S Model of Informal Risk-sharing
• Game with two identical, cooperative partners and full
  information
• Each member faces an independent adverse event with
  probability P, which causes a loss d
• P can be lowered by investing in a risk-mitigating
  technology e, but that also lowers w: P(e)’<0, w(e)<0.
• If a farmer incurs a loss he receives a payment δ from his
  partner if the partner does not incur a loss. Thus, he also
  pays out δ if his partner incurs a loss and he does not.
• Each partner chooses e and δ to maximize:
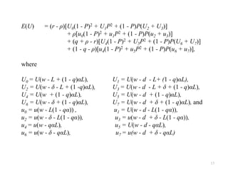
       E(U) = U0(1- P)2 + U1P2 + (1 - P)P(U2 + U3),
  where U0 = U(w) , U1 = U(w - d), U2 = U(w - δ), U3 = U(w - d + δ).
• Arnott-Stiglitz result: informal insurance could decrease risk taking.

                                                                       8
FOC:

   e: P'[-2(1 - P)U0 + 2PU1 + (1 - 2P)(U2 + U3)] =

                         -w'[U0'(1- P)2 + U1'P2 + (1 - P)P(U2' + U3 ')

   δ: (-U2' + U3')P(1 - P) = 0


   So, optimal δ, δ*, is

             δ* = d /2        where -U2' + U3 = 0       (A-S result)




                                                                         9
Aggregate Risk and Index Insurance
Now introduce a new aggregate risk and index insurance (No basis risk)

       Probability that an adverse event causes losses for all participants = q

       Loss from aggregate shock = L                Index insurance payout = i

    Actuarially-fair index insurance premium = qi

    Assume q and P are independent.                 P is now idiosyncratic risk
E(U)       = q [U0(1 - P)2 + U1P2 + (1 - P)P(U2 + U3)]

            + (1-q) [u0(1 - P)2 + u1P2 + (1 - P)P(u2 + u3)]

where      U0 = U(w - L + (1 – q)i),      U1 = U(w - d - L+ (1 - q)i),
           U2 = U(w - δ - L + (1 -q)i),   U3 = U(w - d - L + δ + (1 - q)i),
           u0 = u(w - qi) ,               u1 = U(w - d - qi),
           u2 = u(w - δ - qi),            u3 = u(w - d + δ - qi)
Proposition 2:
  If there is no basis risk and index insurance is actuarially fair,
  the partners will choose full index insurance. The demand for
  index insurance is independent of δ.

 The FOC’s for δ and i:
 δ:        q(-U2’+ U3’)P(1-P)+(1-q)(-u2’+u3’)P(1-P) = 0
 i:        q(1-q){[U0’(1-P)2+U1’P2+(U2’+U3’)P(1-P)]
           + [u0’(1-P)2+u1’P2+ (u2’+u3’)P(1-P]}=0
 Thus
 δ * = d/2           Optimal private individual insurance remains the same
 i* = L              Full index insurance (if actuarially fair) is optimal
 So aggregate risk or index insurance does not affect optimal informal payout

 Informal individual insurance does not crowd out index
 insurance – in the absence of basis risk
 Intuition: index insurance and informal risk-sharing address
 two separate, independent risks.
Introducing Basis Risk (Clarke, 2011)
• Insurance company pays out when index passes a
  threshold
• r = probability a payout is made by insurance
  company
• q and r correlated imperfectly
• Basis Risk parameter ρ :
   – ρ = the joint probability that there is no payout from
     index insurance but each community member
     experiences the loss L
• α = fraction of loss the agent chooses to indemnify
                                                              12
E(U)    = (r - ρ)[U0(1 - P)2 + U1P2 + (1 - P)P(U2 + U3)]
                  + ρ[u0(1 - P)2 + u1P2 + (1 - P)P(u2 + u3)]
                  + (q + ρ - r)[U4(1 - P)2 + U5P2 + (1 - P)P(U6 + U7)]
                  + (1 - q - ρ)[u4(1 - P)2 + u5P2 + (1 - P)P(u6 + u7)],

where

U0 = U(w - L + (1 - q)αL),         U1 = U(w - d - L+ (1 - q)αL),
U2 = U(w - δ - L + (1 -q)αL),      U3 = U(w - d - L + δ + (1 - q)αL),
U4 = U(w + (1 - q)αL),             U5 = U(w - d + (1 - q)αL),
U6 = U(w - δ + (1 - q)αL),         U7 = U(w - d + δ + (1 - q)αL), and
u0 = u(w - L(1 - qα)) ,            u1 = U(w - d - L(1 - qα)),
u2 = u(w - δ - L(1 - qα)),          u3 = u(w - d + δ - L(1 - qα)),
u4 = u(w - qαL),                    u5 = U(w - d - qαL),
u6 = u(w - δ - qαL),                u7 = u(w - d + δ - qαL)



                                                                          13
Basis Risk, Index and Informal Insurance
Proposition 3:
  Basis risk reduces the demand for index insurance.
              α* < 1 and dα*/dρ < 0
Proposition 4:
  When actuarially fair index insurance with basis risk is
  purchased, the demand for index insurance is no longer
  independent of informal idiosyncratic risk sharing

Now, assume δ cannot achieve the optimum
 (constraints?) and examine the effect of being able
 to increase δ on α*
                                                             14
dα*/dδ =

     {(1 - P)P{(r - ρ)(1 - q)(U3 - U2) - ρq(u3 - u 2)

     + (q + ρ - r)(1 - q)(U7 - U6) -

     (1 - q - ρ)q(u7 - u6)}/Θ,

where Θ =

(1 - q)2{(r - ρ)[U0(1 - P)2 + U1P2 + (1 - P)P(U2+ U3)]
 + (q + ρ - r)[U4(1 - P)2 + U5P2 + (1 - P)P(U6 + U7)]}
+ q2{ρ[u0(1 - P)2 + u 1P2 + (1 - P)P(u2 + u 3)] + (1 - q - ρ)[u4(1 - P)2 +
u5P2 + (1 - P)P(u6 + u7)]}<0


     Thus, dα*/dδ  0

     but dα*/dδ can be either positive or negative


                                                                             15
Intuition
• Consider two communities:
  – ‘A’ has an informal risk sharing network, ‘B’ does not
  – The absolute worst state (incur loss d , loss L, pay the
    insurance premium but receive no compensation from
    the contract) is worse for community B
  – But, greater indemnification of the idiosyncratic loss
    when the aggregate loss is partially indemnified by the
    contract lowers the utility gain from the contract
Proposition 5: At larger values of basis risk ρ informal
 and formal index insurance may be more complementary.
  – The first term is larger and the second term is smaller
  – For example, with larger basis risk, the probability of the
    absolute worst state gets larger.

                                                               16
Implications to be Tested
• When there is no basis risk, informal idiosyncratic
  coverage should not affect the demand for formal index
  insurance.
• With larger basis risk, indemnification against idiosyncratic
  risk and index insurance are complements.
• Index insurance can allow more risk-taking even in the
  presence of informal insurance
• As wage workers face less basis risk than cultivators, a
  reduction in basis risk will affect wage workers less than
  cultivators
• If the informal network already provides index coverage,
  that can crowd out formal index insurance.

                                                             17
Setting
• Advantages of data on sub-castes:
  – The risk sharing network is well defined (jati)
  – Exogenous (by birth, with strong penalties on inter-
    marriage (<5% marry outside jati in rural India)
  – Jati, not village (or geography) is the relevant risk-sharing
    group. Majority (61%) of informal loans and transfers
    originate outside the village.
  – Depending on jati characteristics, both idiosyncratic and
    aggregate risk may get indemnified to different extents.
  – We have historical (REDS) data on jati identity and
    transfers for a large sample (17 states, N=119,709 for
    census, and N=7,342 for detailed sample survey) in
    response to idiosyncratic and aggregate risks
                                                                18
Figure 1:Lowess-Smoothed Relationship between Inter-Village Distance (Km)
and June-August Rainfall Correlation, Andhra Pradesh and Uttar Pradesh 1999-2006
 1

0.9

0.8

0.7

0.6

0.5

0.4

0.3

0.2

0.1
      0
          25.9
                 40.1
                        54
                             67.4
                                    77.2
                                           86.7
                                                  95
                                                       132
                                                             186
                                                                   267
                                                                         305
                                                                               355
                                                                                     384
                                                                                           432
                                                                                                 453
                                                                                                       471
                                                                                                             498
                                                                                                                   520
                                                                                                                         580
Key information from 2007/8 REDS
1.   Amounts of “assistance received at time of difficulty”+ loans from
     relatives/friends within and outside the village in 2005/6
2.   Monthly rainfall in each village from 1999/2000 through 2005/6
3.   History of Village-level distress events (crop loss, pest attack, drought,
     cyclone/floods/hailstrorm, livestock epidemic) 1999/2000 - 2007/8
4.   History of Household-specific distress events (fire, deaths of immediate
     family, health problems/accidents, crop failure, theft/robbery, dry
     wells) 1999/2000 - 2007/8
5.   Amounts of losses from each event
6.   Measures taken by household to reduce impact of events after they
     occurred (crop choice, improved technology, livestock immunization)
7.   Caste, land holdings, education, occupation, detail for computing farm
     profits (Foster and Rosenzweig, 2011).

=> Can   estimate jati responsiveness to idiosyncratic and aggregate
     shocks
                                                                            19
Distribution of Distress Event Types, 1999-2006

Distress Type                                                           Percent
Village level
     Crop loss                                                           15.9
     Drought                                                             18.2
     Floods/hailstorm                                                    12.9
     Pest attack                                                          8.9
     Livestock epidemic                                                   3.1
     Dry wells                                                            3.1
     Water-borne diseases                                                 2.1
     Epidemic                                                             2.2
Household level
     Price increase                                                      12.4
     Crop failure                                                         7.8
     Sudden health problem                                                5.5
     Death of immediate family member                                     5.1
     Fire, theft, loss/damage of assets, job loss, theft/robbery, dry
     well                                                                 2.7
                                                                                  20
21
Randomized Field Experiment
• Sample drawn from 2006 REDS census data in Andhra
  Pradesh, Tamil Nadu and Uttar Pradesh (63 villages, of
  which 21 were controls)
• Households belonging to large castes (>50 households in
  census) so that jati indemnification against idiosyncratic
  risk and aggregate risk can be precisely characterized
• Experiment:
   – Insurance offer randomized at caste/village level (spillovers)
   – Price randomized at the individual level (N=4667): 0, 10, 50
     or 75% subsidy
   – Basis risk: 12 of 19 randomly chosen UP villages received
     rainfall gauge in the village itself.

                                                                      22
Delayed Monsoon Onset Insurance Product
                 Agricultural Insurance Company of India (AICI)

AICI offers area based and weather based crop insurance programs in almost
500 districts of India, covering almost 20 million farmers, making it one of the
biggest crop insurers in the world.

                           Timing and Payout Function

    Trigger       Range of Days Post Onset Payout (made if less than 30-40mm
    Number          (varied across states and (depending on state) is received at
                             villages)               each trigger point)
        1                    15-20                              Rs. 300

        2                    20-30                              Rs. 750

        3                    25-40                             Rs. 1,200


  Rainfall measured at the block level from AWS (Automatic weather stations)
Rainfall Insurance Take-up Rates and
             Average Number of Policy Units Purchased
80


70                                                                 2.6

                                                                                4.9
                                                                         1.6
60


50                                                                                     TN
                                                                                       AP
                                                       1.3
40                                              1.38                                   UP
                                                             2.1


30                                      1.1

                        1.08
                  1.0             1.1
20
          1.0
     1
10


 0
         Discount = 0          Discount = 10%     Discount = 50%    Discount= 75 %




                                                                                      24
Rain per Day in 2011 Kharif Crop Season in Uttar Pradesh, by Rainfall Station
              18

              16

              14

              12
Centimeters




              10

              8

              6

              4

              2

              0
Rain per Day in 2011 Kharif Crop Season in Andhra Pradesh, by Rainfall Station
                               Insurance Payout Stations in Red (with Rupee Payout)
              18

              16

              14

              12
Centimeters




              10

               8

               6

               4                                                                      300
                                       300
               2                               750                    1200

               0
Identifying the strength of informal, group-based
          idiosyncratic and index insurance
• Need to estimate the determinants of informal indemnification δ
• Payment δijk made to household i in caste group j in village k in the
  event of a household-specific loss dijk or an aggregate village
  production shock ζk

         δijk = ηij dijk +ιij ζk + μj where ηij= η(Xj, Xij), ιij= ι(Xj, Xij )

• Indemnification of shocks depends on caste and household
  characteristics.
• What are the relevant caste-level variables that affect the ability to
  pool risk?
    – Group’s ability to indemnify risk and avoid moral hazard depends on the
      group’s level of resources, its ability to agree on common actions, its ability to
      diversify risk, and its ability to monitor.

                                                                                      27
Estimate the effect of informal insurance on
      formal index insurance demand
• Compute from the estimates caste-specific (and household-
  specific) abilities to indemnify against

       actual individual losses: ηj = ΣηjnXjn

       aggregate shocks (index) ιij = Σ ι jnXjn

• Use estimates as determinants of formal insurance take-up

• Bootstrap standard errors (1,000 draws) clustered at caste level.


                                                                      28
Estimation of ηj and ιij
• Problem:
   – Household losses have a caste-level component:(dijk + dj)
   – Arnott-Stiglitz model indicates that risk-taking is endogenous
     at the sub-caste level
   – Other unobserved caste-level characteristics might also matter.
• Solution:
   – Can estimate the interaction parameters ηjn and iim even after
     adding caste-fixed effects to eliminate, dj , μj (and any
     unmeasured differences across Indian states)
   – Cannot identify the effect of caste variables on the level of
     transfers, but they are not of direct interest here
   – Caste fixed-effects accounts for other caste unobservables
     such as average risk aversion or how close knit the community
     is on average transfers

                                                                  29
Bias from Moral Hazard
• Schulhofer-Wohl (JPE 2012) and Mazzocco and Saini (AER
  2011) argue that individual losses are correlated with individual
  preferences for risk, and this biases consumption/income-type
  tests of risk sharing.
• Unlike this literature, we use direct data on transfers in
  response to shocks (not income-consumption co-movements).
• However, larger transfers may lead to moral hazard, and
  individuals face greater shocks as a result
   – This cannot be true of village-level rainfall shocks (since village
     location choices are unlikely to be endogenous in this context)
   – Arnott-Stiglitz model assumes that the network monitors moral
     hazard, so this is not true in the model within castes
   – Caste (jati) fixed effect absorbs differences across castes in risk-
     taking
   Hausman test: uses rainfall shocks interacted with household characteristics to
     predict hh losses; cannot reject exogeneity (net of caste fixed effect)
                                                                                     30
Response to Aggregate Risk
     ML Conditional Logit Estimates of the Determinants of Receiving Financial Assistance
                 (Informal Loans + Non-regular Transfers in Crop Year 2005/6)
Variable/Coefficient type                      Log-Odds         P      Log-Odds         P
                                                -0.00183 -0.00046 -0.00179           0.00045
Adverse village rain deviation in 05/06
                                                  [2.41]      [2.41]      [2.35]      [2.35]
                                                0.000256     0.00006 0.000274        0.00007
     ×Caste’s mean land holdings
                                                  [1.64]      [1.64]      [1.71]      [1.71]
                                                 0.00139     0.00035     0.00165     0.00041
     ×Caste’s proportion landless
                                                  [1.35]      [1.35]      [1.68]      [1.68]
     ×Caste’s proportion hh’s with in non-ag.    0.0206     0.00513      0.0207     0.0052
     occupations                                 [3.29]      [3.29]      [3.32]      [3.32]
     ×Caste’s standard deviation of land        -0.00232    0.000579    -0.00426    0.0011
     holdings (x10-3)                            [0.18]      [0.18]      [0.32]      [0.32]
     ×Number of same-caste households in        0.00109    -0.000273    0.00114     0.00028
     village (x10-3)                             [0.90]      [0.90]      [0.93]      [0.93]

                                                                                        31
Response to Idiosyncratic Risk
                                                             -0.833   -0.204251   -0.794    -0.195
Any individual household loss from distress event in 05/06
                                                             [2.49]     [2.61]    [2.38]    [2.48]
                                                              0.144   0.036024     0.165   0.0412
      ×Caste’s mean land holdings
                                                             [1.68]     [1.68]    [1.98]    [1.98]
                                                              1.37    0.341520     1.22      0.305
      ×Caste’s proportion landless
                                                             [2.40]     [2.40]    [2.01]    [2.01]
                                                              3.05    0.761193     3.25      0.81
      ×Caste’s proportion hh’s with in non-ag. occupations
                                                             [1.47]     [1.47]    [1.53]    [1.53]
                                                              -16.5    -4.1194     -18.8     -4.69
      ×Caste’s standard deviation of land holdings (x10-3)
                                                             [1.84]     [1.84]    [2.12]    [2.12]
                                                              1.77      0.4415     1.73    0.00043
      ×Number of same-caste households in village (x10-3)
                                                             [2.38]     [2.38]    [2.37]    [2.37]




                                                                                            32
Is there basis risk in this sample?
Variable                       Uttar Pradesh (randomized)         UP+AP
Rain per day                     0.16516       0.30169      0.13937 0.23606
                                  [1.32]        [2.20]       [1.40]     [2.09]
Distance to aws (km)                           0.12483                 0.08460
                                                [2.40]                  [1.92]
Rain per day x Distance to aws                -0.02231                -0.01673
                                                [3.53]                  [2.81]
Number of cultivators              945           936         1,459      1,418




                                                                                 33
Figure 1: Lowess-Smoothed Relationship Between Log Output Value per Acre and Log Rain
       in the Kharif Season, by Randomized Placement of Rain Station (UP Villages)
   13


  12


  11


  10

                                                  AWS Outside Village
   9
                                                  AWS in Village
   8


   7


   6
       1.8    1.9       2        2.1      2.2       2.3       2.4       2.5     2.6
Fixed-Effects Estimates: Determinants of Formal Insurance Take-up (bootstrapped t -ratios)
                                                          FE-State                            FE-Caste
                                        Three         Two States                            Two States
Variable/Est. Method                    States       (AP and UP)     UP only AP only       (AP and UP)
                                        0.125      0.151 0.0228       -0.523 -0.029          -         -
η j [Informal idiosyncratic coverage]
                                        [0.56]     [0.61] [0.07]      [0.73] [0.06]
                                           -          -     0.151     0.174 0.153        0.139 0.157
η j × Distance to AWS
                                                            [3.42]    [1.34] [1.16]      [2.55] [2.31]
                                         -198      -209.6 -209.7       -78.2 -121.7          -         -
ι j [Informal aggregate coverage]
                                        [1.71]     [1.28] [0.94]      [0.48] [0.33]
                                           -          -        -         -       -           -       -18.6
ι j × Distance to AWS
                                                                                                   [-0.528]
                                           -          -    -0.0254    -0.029 -0.025     -0.0246 -0.019
Distance to AWS (km)
                                                            [3.50]    [1.67] [0.90]      [2.63] [1.50]
                                       -0.0343    -0.0341 -0.028      -0.047 -0.018     -0.0238 -0.0379
Agricultural laborer
                                        [2.19]     [2.13] [1.58]      [1.41] [0.92]      [1.49] [1.43]
Agricultural laborer × Distance            -          -        -         -       -           -      0.0033
to aws                                                                                              [0.797]
                                      -0.00143    -0.0016 -0.0017     -0.003 -0.001     -0.0015 -0.0016
Actuarial price
                                        [2.07]     [2.07] [2.40]      [1.46] [1.81]      [2.14] [2.14]
                                        0.389       0.355    0.35      0.187 0.447       0.376 0.372
Subsidy
                                        [3.38]     [2.86] [3.10]      [0.68] [3.95]      [3.26] [3.20]
Village coefficient of variation,       0.523       0.751 0.747        1.050 0.267       0.874 0.908
rainfall                                [2.16]     [2.89] [2.77]      [2.93] [0.46]      [2.92] [3.04]
N                                       4,260       3,338 3,338        1,693 1,645       3,338 3,338
Is it Trust?
• Perhaps distance to the rain station (village
  presence) allows respondents to trust that they
  will get a payment
• Lack of trust, when asked why did not purchase,
  was not a salient issue
• Probability that farmers mentioned trust as an
  issue in non-purchase not correlated with
  distance (multinomial logit estimates for
  purchase versus not purchase by reason)
                                                36
Reasons
                                      Table 8
                Reasons Given for Not Purchasing Marketed Insurance,
                                by Cultivator Status
Variable                           Cultivator (%)            Non-cultivator (%)
Too expensive                          2.26                            1.32
Currently not holding cash             45.4                            49.7
No need                                35.5                            38.8
Do not trust insurance/payout
unlikely                               13.8                            9.62
Do not understand                      3.02                            0.62




                                                                                  37
AWS Distance and Trust
                                               Table 9
     Marginal Effects from Multinomial Logit Regression of Reasons for not Purchasing Insurance
                                       [bootstrapped t-ratios]
                                                    Purchased Insurance         Lack of Trust
                                                           -0.034                  0.080
ηj
                                                           [0.23]                  [1.64]
                                                           0.200                   0.007
ηj × Distance to aws
                                                           [3.40]                  [0.55]
                                                          213.879                  14.481
ιj
                                                           [1.30]                  [0.33]

ιj × Distance to aws


                                                           -0.036                  0.000
Distance to aws (km)
                                                           [3.67]                  [0.08]
                                                                                                38
Risk-taking effects of formal index insurance
       (ITT estimates for Tamil Nadu)
• Compare treated sample to control sample
• Control sample: in villages and jatis not receiving offer (N=648)
   – No possibility of spillovers
• Measures of risk-taking: crop choice
   – Average return and resistance to drought of planted rice
     varieties
   – Based on perceived qualities of 94 different rice varieties
     planted in prior seasons rated on three-category ordinal scale




                                                                  39
The index for yield and drought resistance is
Ili = Σaisσls/Σais
where
    l is drought resistance or yield
    σls = fraction of all farmers rating rice variety s “good” with
    respect to the characteristic l
    ais=acreage of rice variety s planted by farmer I
Median rice portfolio: 57% “good” for yield, 63% “good” for
tolerance
        Only 5% of farmers planted varieties considered
        “good” for yield by every farmer
        Only 9% of farmers planted varieties considered
        “good” for drought resilience by all farmers

                                                                      40
Properties of Rice Varieties Planted by Tamil Nadu Rice Farmers
                                               Drought       Disease       Insect
Property                         Yield         Resistant    Resistant     Resistant
Good                             61.0           58.9          40.3          34.7
Neither good nor poor            30.7           30.9          46.2          50.6
Poor                              8.3           10.2          13.5          14.7
Total                            100.0         100.0         100.0         100.0
Number of varieties                                     94
Number of farmers                                      364




                                                                                      41
Estimating equation:

   Ili = gωlωi + gωlηωiηj + gωlιωiιj + x ijg + gj + εij

   where
      ωi = 1 if the index insurance product was offered to
      the farmer
      gj = caste fixed effect
      εij is an iid error

   Model suggests that

       gωl>0 for l=drought resistance
       gωl<0 for l=yield


                                                             42
Intent-to-Treat Caste Fixed-Effects Estimates of Index Insurance on Risk and Yield:
 Proportion of Planted Crop Varieties Rated "Good" for Drought Tolerance and Yield, Tamil Nadu
                                       Kharif Rice Farmers

Crop Characteristic:                Good Drought Tolerance                   Good Yield
Variable                                      (1)                                (1)
Offered insurance                          -0.0593                             0.0519
                                            [2.67]                             [1.93]
Owned land holdings                       0.0000934                           0.00056
                                            [0.02]                             [0.12]
Village coefficient of variation, r          0.351                             -0.516
                                            [0.88]                             [0.81]
N                                             325                               325
Absolute values of t-ratios in brackets, clustered by caste/village (because the randomized insurance
treatment was stratified at the caste/village level).
Conclusions
• Informal networks lower the demand for formal
  insurance only if the network covers aggregate risk.
• When formal insurance carries basis risk, informal
  risk sharing can be a complement to formal
  insurance
• Formal insurance enables households to take more
  risk, and thus assists in income growth.
• Landless laborers’ livelihoods are weather
  dependent, and they also demonstrate a strong
  demand for insurance, especially relative to
  cultivators living farther away from rainfall stations.

                                                        45
What is the relationship between risk-taking and

          A. Weather Insurance

          B. Informal Loss Indemnification

Theory

Empirical findings using rainfall variation:

          A. NCAER REDS 2007-8 cultivators

                     1. Informal jati-level indemnification estimates and rainfall
                     deviations from 8-year mean

          B. RCT in Andhra Pradesh and Uttar Pradesh - cultivators

                     1. Informal jati-level indemnification estimates

                     2. Randomized weather insurance
Partners behave cooperatively, choosing e and ä to maximize:

    E(U) = U0(1- P)2 + U1P2 + (1 - P)P(U2 + U3),

         where U0 = U(w) , U1 = U(w - d), U2 = U(w - ä), U3 = U(w - d + ä)
FOC:

    e:   P'[-2(1 - P)U0 + 2PU1 + (1 - 2P)(U2 + U3)] =

                            -w'[U0'(1- P)2 + U1'P2 + (1 - P)P(U2' + U3')

    ä:   (-U2' + U3')P(1 - P) = 0


    So, optimal ä, ä*, is

              ä* = d /2          where -U2' + U3 = 0      (A-S result)

Suppose that the group cannot attain “full” insurance ä*(limited commitment,
liquidity constraints), so that ä < ä*.
What is the effect of exogenous fall in ä at the optimum ä*, on risk mitigation
e?

     Proposition 1: A decrease in the ability to informally indemnify individual
     losses below the first-best constrained optimum, may increase risk-taking.

     de/dä = -[(1 - 2P)(U2' + U3')P'+ (1 - P)P(-U2" + U3")w"]/Ö,

          where     Ö = (w')2[U0"(1 - P)2 + U1"P2 + (1 - P)P(U2" + U3")]

                    + [U0'(1 - P)2 + U1'P2 + (1 - P)P(U2' + U3')][w" - P"W'/P']

                    + 2(P')2[U0 + U1 - U2 - U3] < 0


          and            -U2' + U3 > 0, -U2" + U3"<0 for ä < ä*

     For P $ ½, decreased coverage unambiguously decreases risk-mitigation,
     but below ½, the effect may be negative as well.

More effective informal risk-sharing may be associated with lower risk-taking
B. Sensitivity of output farm profits and output to rainfall (REDS and RCT)

         1. Riskier crops, assets, technologies: manifested in greater responsiveness
         of farm profits to rainfall shock (Rosenzweig and Binswanger, 1993)

         2. Assess how rain sensitivity varies with çj and éj and with index insurance

                   Informal loss indemnification may lower sensitivity

                   Index insurance, informal or formal should increase sensitivity

         3. Use REDS survey data on profits per acre, shock measured by crop-year
         deviation in village-level rainfall from the eight-year mean

         4. RCT:

              Compare control and treated per-acre output sensitivity to village
              rainfall

              Within the control group, look at the effects of the informal risk-
              sharing indemnification parameters on output-rainfall sensitivity
Table 4
           Caste Fixed-Effects Estimates: Effect of an Adverse Village-Level Rainfall Shock
                                       on Farm Profits per Acre
Variable                                                      (1)                   (2)
Village adverse rainfall shock                               -.0457               -.0448
                                                             (3.18)               (2.81)
     ×çj                                                      .389                  .404
                                                             (3.25)                (3.38)
     ×éj                                                     -6.30                 -6.47
                                                             (0.19)                (0.19)
     ×Head’s years of schooling                                -                 -.000482
                                                                                   (2.10)
     ×Owned land holdings                                      -                 -.000346
                                                                                   (2.59)
Head’s years of schooling                                      -                    57.7
                                                                                   (1.45)
Owned land holdings                                          202.6                 200.5
                                                             (5.13)                (4.87)
N                                                            2,669                  2,669
Absolute values of bootstrapped t-ratios in parentheses clustered at the village level.
Figure 6: Lowess-Smoothed Relationship Between Log Per-Acre Output Value
          and Log Rain per Day in the Kharif Season, by Insurance Type and Level
 11



10.5



 10



 9.5



  9



 8.5
                High Informal Indemnification, No Rainfall Insurance

  8
                Low Informal Indemnification, No Rainfall Insurance

                Offered Rainfall Insurance
 7.5



  7
   0.75               1.25               1.75                2.25       2.75

02.07.2013 - Mark Rosenzweig

  • 1.
    Selling Formal Insuranceto the Informally Insured A. Mushfiq Mobarak Mark Rosenzweig Yale University
  • 2.
    Background • Formal insurancemarkets largely absent where they are needed – 75% of the world’s poor engaged in agriculture – 90% of variation in Indian agricultural production caused by variation in rainfall – 90% of Indians not covered by formal insurance • Informal risk sharing networks are important – Protects against idiosyncratic risk and perhaps aggregate risk – But risk-sharing is incomplete (Townsend 1994). Lower risk-taking by farmers than we would want – Informal risk-sharing can drive out formal insurance, given moral hazard (Arnott and Stiglitz, 1991) 2
  • 3.
    Index Insurance • LowIncidence of Formal Crop Insurance – Demand: Income/liquidity constraints, Trust/fraud – Supply: High overhead costs (moral hazard, adverse selection) • Index-based insurance – Payment schemes based on an exogenous publicly observable index, such as local rainfall – Mitigates moral hazard and adverse selection • Arnott and Stiglitz (1991) analysis not directly relevant – Eliminates the need for in-field assessments – But basis risk (Clarke 2011) – Observe low demand (Cole et al 2009, Gine and Yang 2009) 3
  • 4.
    Setting and Approach • We design a simple index insurance contract for the Agricultural Insurance Company of India • We randomize insurance offers to 5100 cultivators and wage laborers across three states in India – Wage laborers face less basis risk than cultivators • The sub-caste (jati) is the identifiable risk-sharing network that people are born into. – Jatis can span districts or even states (permits aggregate risk sharing of village rainfall shocks) • We make offers to jatis for whom we have rich, detailed histories of both aggregate and idiosyncratic shocks and responsiveness to shocks. • We randomly allocate rainfall stations to some villages. 4
  • 5.
    Research Questions 1. Demandfor Insurance: – How does the presence of risk-sharing networks affect the demand for index insurance? 2. Interaction between Index Insurance with Basis Risk and Informal Risk Sharing: – How important is basis risk in affecting index insurance take-up? 3. Risk Taking: – How does formal index insurance affect risk-taking (in the presence of informal risk sharing)? 5
  • 6.
    Research Questions (cont.) •We use three types of variation: – Estimated variation in informal risk-sharing across sub-castes (data from 17 states) • Using village censuses (i.e. large sample for each caste) – Designed variation in index insurance offers (3 states) – Designed variation in extent of basis risk (1 state) 6
  • 7.
    Outline • Theory – Index insurance with basis risk embedded in a model of cooperative risk sharing (Arnott-Stiglitz 1991 and Clarke 2011) – Demand for index insurance (with basis risk) by network • (Historical) Survey Data – Characterize jatis in terms of indemnification of idiosyncratic and aggregate losses – Effect of informal insurance on risk-taking • Field Experiment – Demand for formal insurance by different jatis – Effect of formal index insurance on risk-taking 7
  • 8.
    A-S Model ofInformal Risk-sharing • Game with two identical, cooperative partners and full information • Each member faces an independent adverse event with probability P, which causes a loss d • P can be lowered by investing in a risk-mitigating technology e, but that also lowers w: P(e)’<0, w(e)<0. • If a farmer incurs a loss he receives a payment δ from his partner if the partner does not incur a loss. Thus, he also pays out δ if his partner incurs a loss and he does not. • Each partner chooses e and δ to maximize: E(U) = U0(1- P)2 + U1P2 + (1 - P)P(U2 + U3), where U0 = U(w) , U1 = U(w - d), U2 = U(w - δ), U3 = U(w - d + δ). • Arnott-Stiglitz result: informal insurance could decrease risk taking. 8
  • 9.
    FOC: e: P'[-2(1 - P)U0 + 2PU1 + (1 - 2P)(U2 + U3)] = -w'[U0'(1- P)2 + U1'P2 + (1 - P)P(U2' + U3 ') δ: (-U2' + U3')P(1 - P) = 0 So, optimal δ, δ*, is δ* = d /2 where -U2' + U3 = 0 (A-S result) 9
  • 10.
    Aggregate Risk andIndex Insurance Now introduce a new aggregate risk and index insurance (No basis risk) Probability that an adverse event causes losses for all participants = q Loss from aggregate shock = L Index insurance payout = i Actuarially-fair index insurance premium = qi Assume q and P are independent. P is now idiosyncratic risk E(U) = q [U0(1 - P)2 + U1P2 + (1 - P)P(U2 + U3)] + (1-q) [u0(1 - P)2 + u1P2 + (1 - P)P(u2 + u3)] where U0 = U(w - L + (1 – q)i), U1 = U(w - d - L+ (1 - q)i), U2 = U(w - δ - L + (1 -q)i), U3 = U(w - d - L + δ + (1 - q)i), u0 = u(w - qi) , u1 = U(w - d - qi), u2 = u(w - δ - qi), u3 = u(w - d + δ - qi)
  • 11.
    Proposition 2: If there is no basis risk and index insurance is actuarially fair, the partners will choose full index insurance. The demand for index insurance is independent of δ. The FOC’s for δ and i: δ: q(-U2’+ U3’)P(1-P)+(1-q)(-u2’+u3’)P(1-P) = 0 i: q(1-q){[U0’(1-P)2+U1’P2+(U2’+U3’)P(1-P)] + [u0’(1-P)2+u1’P2+ (u2’+u3’)P(1-P]}=0 Thus δ * = d/2 Optimal private individual insurance remains the same i* = L Full index insurance (if actuarially fair) is optimal So aggregate risk or index insurance does not affect optimal informal payout Informal individual insurance does not crowd out index insurance – in the absence of basis risk Intuition: index insurance and informal risk-sharing address two separate, independent risks.
  • 12.
    Introducing Basis Risk(Clarke, 2011) • Insurance company pays out when index passes a threshold • r = probability a payout is made by insurance company • q and r correlated imperfectly • Basis Risk parameter ρ : – ρ = the joint probability that there is no payout from index insurance but each community member experiences the loss L • α = fraction of loss the agent chooses to indemnify 12
  • 13.
    E(U) = (r - ρ)[U0(1 - P)2 + U1P2 + (1 - P)P(U2 + U3)] + ρ[u0(1 - P)2 + u1P2 + (1 - P)P(u2 + u3)] + (q + ρ - r)[U4(1 - P)2 + U5P2 + (1 - P)P(U6 + U7)] + (1 - q - ρ)[u4(1 - P)2 + u5P2 + (1 - P)P(u6 + u7)], where U0 = U(w - L + (1 - q)αL), U1 = U(w - d - L+ (1 - q)αL), U2 = U(w - δ - L + (1 -q)αL), U3 = U(w - d - L + δ + (1 - q)αL), U4 = U(w + (1 - q)αL), U5 = U(w - d + (1 - q)αL), U6 = U(w - δ + (1 - q)αL), U7 = U(w - d + δ + (1 - q)αL), and u0 = u(w - L(1 - qα)) , u1 = U(w - d - L(1 - qα)), u2 = u(w - δ - L(1 - qα)), u3 = u(w - d + δ - L(1 - qα)), u4 = u(w - qαL), u5 = U(w - d - qαL), u6 = u(w - δ - qαL), u7 = u(w - d + δ - qαL) 13
  • 14.
    Basis Risk, Indexand Informal Insurance Proposition 3: Basis risk reduces the demand for index insurance. α* < 1 and dα*/dρ < 0 Proposition 4: When actuarially fair index insurance with basis risk is purchased, the demand for index insurance is no longer independent of informal idiosyncratic risk sharing Now, assume δ cannot achieve the optimum (constraints?) and examine the effect of being able to increase δ on α* 14
  • 15.
    dα*/dδ = {(1 - P)P{(r - ρ)(1 - q)(U3 - U2) - ρq(u3 - u 2) + (q + ρ - r)(1 - q)(U7 - U6) - (1 - q - ρ)q(u7 - u6)}/Θ, where Θ = (1 - q)2{(r - ρ)[U0(1 - P)2 + U1P2 + (1 - P)P(U2+ U3)] + (q + ρ - r)[U4(1 - P)2 + U5P2 + (1 - P)P(U6 + U7)]} + q2{ρ[u0(1 - P)2 + u 1P2 + (1 - P)P(u2 + u 3)] + (1 - q - ρ)[u4(1 - P)2 + u5P2 + (1 - P)P(u6 + u7)]}<0 Thus, dα*/dδ  0 but dα*/dδ can be either positive or negative 15
  • 16.
    Intuition • Consider twocommunities: – ‘A’ has an informal risk sharing network, ‘B’ does not – The absolute worst state (incur loss d , loss L, pay the insurance premium but receive no compensation from the contract) is worse for community B – But, greater indemnification of the idiosyncratic loss when the aggregate loss is partially indemnified by the contract lowers the utility gain from the contract Proposition 5: At larger values of basis risk ρ informal and formal index insurance may be more complementary. – The first term is larger and the second term is smaller – For example, with larger basis risk, the probability of the absolute worst state gets larger. 16
  • 17.
    Implications to beTested • When there is no basis risk, informal idiosyncratic coverage should not affect the demand for formal index insurance. • With larger basis risk, indemnification against idiosyncratic risk and index insurance are complements. • Index insurance can allow more risk-taking even in the presence of informal insurance • As wage workers face less basis risk than cultivators, a reduction in basis risk will affect wage workers less than cultivators • If the informal network already provides index coverage, that can crowd out formal index insurance. 17
  • 18.
    Setting • Advantages ofdata on sub-castes: – The risk sharing network is well defined (jati) – Exogenous (by birth, with strong penalties on inter- marriage (<5% marry outside jati in rural India) – Jati, not village (or geography) is the relevant risk-sharing group. Majority (61%) of informal loans and transfers originate outside the village. – Depending on jati characteristics, both idiosyncratic and aggregate risk may get indemnified to different extents. – We have historical (REDS) data on jati identity and transfers for a large sample (17 states, N=119,709 for census, and N=7,342 for detailed sample survey) in response to idiosyncratic and aggregate risks 18
  • 19.
    Figure 1:Lowess-Smoothed Relationshipbetween Inter-Village Distance (Km) and June-August Rainfall Correlation, Andhra Pradesh and Uttar Pradesh 1999-2006 1 0.9 0.8 0.7 0.6 0.5 0.4 0.3 0.2 0.1 0 25.9 40.1 54 67.4 77.2 86.7 95 132 186 267 305 355 384 432 453 471 498 520 580
  • 20.
    Key information from2007/8 REDS 1. Amounts of “assistance received at time of difficulty”+ loans from relatives/friends within and outside the village in 2005/6 2. Monthly rainfall in each village from 1999/2000 through 2005/6 3. History of Village-level distress events (crop loss, pest attack, drought, cyclone/floods/hailstrorm, livestock epidemic) 1999/2000 - 2007/8 4. History of Household-specific distress events (fire, deaths of immediate family, health problems/accidents, crop failure, theft/robbery, dry wells) 1999/2000 - 2007/8 5. Amounts of losses from each event 6. Measures taken by household to reduce impact of events after they occurred (crop choice, improved technology, livestock immunization) 7. Caste, land holdings, education, occupation, detail for computing farm profits (Foster and Rosenzweig, 2011). => Can estimate jati responsiveness to idiosyncratic and aggregate shocks 19
  • 21.
    Distribution of DistressEvent Types, 1999-2006 Distress Type Percent Village level Crop loss 15.9 Drought 18.2 Floods/hailstorm 12.9 Pest attack 8.9 Livestock epidemic 3.1 Dry wells 3.1 Water-borne diseases 2.1 Epidemic 2.2 Household level Price increase 12.4 Crop failure 7.8 Sudden health problem 5.5 Death of immediate family member 5.1 Fire, theft, loss/damage of assets, job loss, theft/robbery, dry well 2.7 20
  • 22.
  • 23.
    Randomized Field Experiment •Sample drawn from 2006 REDS census data in Andhra Pradesh, Tamil Nadu and Uttar Pradesh (63 villages, of which 21 were controls) • Households belonging to large castes (>50 households in census) so that jati indemnification against idiosyncratic risk and aggregate risk can be precisely characterized • Experiment: – Insurance offer randomized at caste/village level (spillovers) – Price randomized at the individual level (N=4667): 0, 10, 50 or 75% subsidy – Basis risk: 12 of 19 randomly chosen UP villages received rainfall gauge in the village itself. 22
  • 24.
    Delayed Monsoon OnsetInsurance Product Agricultural Insurance Company of India (AICI) AICI offers area based and weather based crop insurance programs in almost 500 districts of India, covering almost 20 million farmers, making it one of the biggest crop insurers in the world. Timing and Payout Function Trigger Range of Days Post Onset Payout (made if less than 30-40mm Number (varied across states and (depending on state) is received at villages) each trigger point) 1 15-20 Rs. 300 2 20-30 Rs. 750 3 25-40 Rs. 1,200 Rainfall measured at the block level from AWS (Automatic weather stations)
  • 25.
    Rainfall Insurance Take-upRates and Average Number of Policy Units Purchased 80 70 2.6 4.9 1.6 60 50 TN AP 1.3 40 1.38 UP 2.1 30 1.1 1.08 1.0 1.1 20 1.0 1 10 0 Discount = 0 Discount = 10% Discount = 50% Discount= 75 % 24
  • 26.
    Rain per Dayin 2011 Kharif Crop Season in Uttar Pradesh, by Rainfall Station 18 16 14 12 Centimeters 10 8 6 4 2 0
  • 27.
    Rain per Dayin 2011 Kharif Crop Season in Andhra Pradesh, by Rainfall Station Insurance Payout Stations in Red (with Rupee Payout) 18 16 14 12 Centimeters 10 8 6 4 300 300 2 750 1200 0
  • 28.
    Identifying the strengthof informal, group-based idiosyncratic and index insurance • Need to estimate the determinants of informal indemnification δ • Payment δijk made to household i in caste group j in village k in the event of a household-specific loss dijk or an aggregate village production shock ζk δijk = ηij dijk +ιij ζk + μj where ηij= η(Xj, Xij), ιij= ι(Xj, Xij ) • Indemnification of shocks depends on caste and household characteristics. • What are the relevant caste-level variables that affect the ability to pool risk? – Group’s ability to indemnify risk and avoid moral hazard depends on the group’s level of resources, its ability to agree on common actions, its ability to diversify risk, and its ability to monitor. 27
  • 29.
    Estimate the effectof informal insurance on formal index insurance demand • Compute from the estimates caste-specific (and household- specific) abilities to indemnify against actual individual losses: ηj = ΣηjnXjn aggregate shocks (index) ιij = Σ ι jnXjn • Use estimates as determinants of formal insurance take-up • Bootstrap standard errors (1,000 draws) clustered at caste level. 28
  • 30.
    Estimation of ηjand ιij • Problem: – Household losses have a caste-level component:(dijk + dj) – Arnott-Stiglitz model indicates that risk-taking is endogenous at the sub-caste level – Other unobserved caste-level characteristics might also matter. • Solution: – Can estimate the interaction parameters ηjn and iim even after adding caste-fixed effects to eliminate, dj , μj (and any unmeasured differences across Indian states) – Cannot identify the effect of caste variables on the level of transfers, but they are not of direct interest here – Caste fixed-effects accounts for other caste unobservables such as average risk aversion or how close knit the community is on average transfers 29
  • 31.
    Bias from MoralHazard • Schulhofer-Wohl (JPE 2012) and Mazzocco and Saini (AER 2011) argue that individual losses are correlated with individual preferences for risk, and this biases consumption/income-type tests of risk sharing. • Unlike this literature, we use direct data on transfers in response to shocks (not income-consumption co-movements). • However, larger transfers may lead to moral hazard, and individuals face greater shocks as a result – This cannot be true of village-level rainfall shocks (since village location choices are unlikely to be endogenous in this context) – Arnott-Stiglitz model assumes that the network monitors moral hazard, so this is not true in the model within castes – Caste (jati) fixed effect absorbs differences across castes in risk- taking Hausman test: uses rainfall shocks interacted with household characteristics to predict hh losses; cannot reject exogeneity (net of caste fixed effect) 30
  • 32.
    Response to AggregateRisk ML Conditional Logit Estimates of the Determinants of Receiving Financial Assistance (Informal Loans + Non-regular Transfers in Crop Year 2005/6) Variable/Coefficient type Log-Odds P Log-Odds P -0.00183 -0.00046 -0.00179 0.00045 Adverse village rain deviation in 05/06 [2.41] [2.41] [2.35] [2.35] 0.000256 0.00006 0.000274 0.00007 ×Caste’s mean land holdings [1.64] [1.64] [1.71] [1.71] 0.00139 0.00035 0.00165 0.00041 ×Caste’s proportion landless [1.35] [1.35] [1.68] [1.68] ×Caste’s proportion hh’s with in non-ag. 0.0206 0.00513 0.0207 0.0052 occupations [3.29] [3.29] [3.32] [3.32] ×Caste’s standard deviation of land -0.00232 0.000579 -0.00426 0.0011 holdings (x10-3) [0.18] [0.18] [0.32] [0.32] ×Number of same-caste households in 0.00109 -0.000273 0.00114 0.00028 village (x10-3) [0.90] [0.90] [0.93] [0.93] 31
  • 33.
    Response to IdiosyncraticRisk -0.833 -0.204251 -0.794 -0.195 Any individual household loss from distress event in 05/06 [2.49] [2.61] [2.38] [2.48] 0.144 0.036024 0.165 0.0412 ×Caste’s mean land holdings [1.68] [1.68] [1.98] [1.98] 1.37 0.341520 1.22 0.305 ×Caste’s proportion landless [2.40] [2.40] [2.01] [2.01] 3.05 0.761193 3.25 0.81 ×Caste’s proportion hh’s with in non-ag. occupations [1.47] [1.47] [1.53] [1.53] -16.5 -4.1194 -18.8 -4.69 ×Caste’s standard deviation of land holdings (x10-3) [1.84] [1.84] [2.12] [2.12] 1.77 0.4415 1.73 0.00043 ×Number of same-caste households in village (x10-3) [2.38] [2.38] [2.37] [2.37] 32
  • 34.
    Is there basisrisk in this sample? Variable Uttar Pradesh (randomized) UP+AP Rain per day 0.16516 0.30169 0.13937 0.23606 [1.32] [2.20] [1.40] [2.09] Distance to aws (km) 0.12483 0.08460 [2.40] [1.92] Rain per day x Distance to aws -0.02231 -0.01673 [3.53] [2.81] Number of cultivators 945 936 1,459 1,418 33
  • 35.
    Figure 1: Lowess-SmoothedRelationship Between Log Output Value per Acre and Log Rain in the Kharif Season, by Randomized Placement of Rain Station (UP Villages) 13 12 11 10 AWS Outside Village 9 AWS in Village 8 7 6 1.8 1.9 2 2.1 2.2 2.3 2.4 2.5 2.6
  • 36.
    Fixed-Effects Estimates: Determinantsof Formal Insurance Take-up (bootstrapped t -ratios) FE-State FE-Caste Three Two States Two States Variable/Est. Method States (AP and UP) UP only AP only (AP and UP) 0.125 0.151 0.0228 -0.523 -0.029 - - η j [Informal idiosyncratic coverage] [0.56] [0.61] [0.07] [0.73] [0.06] - - 0.151 0.174 0.153 0.139 0.157 η j × Distance to AWS [3.42] [1.34] [1.16] [2.55] [2.31] -198 -209.6 -209.7 -78.2 -121.7 - - ι j [Informal aggregate coverage] [1.71] [1.28] [0.94] [0.48] [0.33] - - - - - - -18.6 ι j × Distance to AWS [-0.528] - - -0.0254 -0.029 -0.025 -0.0246 -0.019 Distance to AWS (km) [3.50] [1.67] [0.90] [2.63] [1.50] -0.0343 -0.0341 -0.028 -0.047 -0.018 -0.0238 -0.0379 Agricultural laborer [2.19] [2.13] [1.58] [1.41] [0.92] [1.49] [1.43] Agricultural laborer × Distance - - - - - - 0.0033 to aws [0.797] -0.00143 -0.0016 -0.0017 -0.003 -0.001 -0.0015 -0.0016 Actuarial price [2.07] [2.07] [2.40] [1.46] [1.81] [2.14] [2.14] 0.389 0.355 0.35 0.187 0.447 0.376 0.372 Subsidy [3.38] [2.86] [3.10] [0.68] [3.95] [3.26] [3.20] Village coefficient of variation, 0.523 0.751 0.747 1.050 0.267 0.874 0.908 rainfall [2.16] [2.89] [2.77] [2.93] [0.46] [2.92] [3.04] N 4,260 3,338 3,338 1,693 1,645 3,338 3,338
  • 37.
    Is it Trust? •Perhaps distance to the rain station (village presence) allows respondents to trust that they will get a payment • Lack of trust, when asked why did not purchase, was not a salient issue • Probability that farmers mentioned trust as an issue in non-purchase not correlated with distance (multinomial logit estimates for purchase versus not purchase by reason) 36
  • 38.
    Reasons Table 8 Reasons Given for Not Purchasing Marketed Insurance, by Cultivator Status Variable Cultivator (%) Non-cultivator (%) Too expensive 2.26 1.32 Currently not holding cash 45.4 49.7 No need 35.5 38.8 Do not trust insurance/payout unlikely 13.8 9.62 Do not understand 3.02 0.62 37
  • 39.
    AWS Distance andTrust Table 9 Marginal Effects from Multinomial Logit Regression of Reasons for not Purchasing Insurance [bootstrapped t-ratios] Purchased Insurance Lack of Trust -0.034 0.080 ηj [0.23] [1.64] 0.200 0.007 ηj × Distance to aws [3.40] [0.55] 213.879 14.481 ιj [1.30] [0.33] ιj × Distance to aws -0.036 0.000 Distance to aws (km) [3.67] [0.08] 38
  • 40.
    Risk-taking effects offormal index insurance (ITT estimates for Tamil Nadu) • Compare treated sample to control sample • Control sample: in villages and jatis not receiving offer (N=648) – No possibility of spillovers • Measures of risk-taking: crop choice – Average return and resistance to drought of planted rice varieties – Based on perceived qualities of 94 different rice varieties planted in prior seasons rated on three-category ordinal scale 39
  • 41.
    The index foryield and drought resistance is Ili = Σaisσls/Σais where l is drought resistance or yield σls = fraction of all farmers rating rice variety s “good” with respect to the characteristic l ais=acreage of rice variety s planted by farmer I Median rice portfolio: 57% “good” for yield, 63% “good” for tolerance Only 5% of farmers planted varieties considered “good” for yield by every farmer Only 9% of farmers planted varieties considered “good” for drought resilience by all farmers 40
  • 42.
    Properties of RiceVarieties Planted by Tamil Nadu Rice Farmers Drought Disease Insect Property Yield Resistant Resistant Resistant Good 61.0 58.9 40.3 34.7 Neither good nor poor 30.7 30.9 46.2 50.6 Poor 8.3 10.2 13.5 14.7 Total 100.0 100.0 100.0 100.0 Number of varieties 94 Number of farmers 364 41
  • 43.
    Estimating equation: Ili = gωlωi + gωlηωiηj + gωlιωiιj + x ijg + gj + εij where ωi = 1 if the index insurance product was offered to the farmer gj = caste fixed effect εij is an iid error Model suggests that gωl>0 for l=drought resistance gωl<0 for l=yield 42
  • 44.
    Intent-to-Treat Caste Fixed-EffectsEstimates of Index Insurance on Risk and Yield: Proportion of Planted Crop Varieties Rated "Good" for Drought Tolerance and Yield, Tamil Nadu Kharif Rice Farmers Crop Characteristic: Good Drought Tolerance Good Yield Variable (1) (1) Offered insurance -0.0593 0.0519 [2.67] [1.93] Owned land holdings 0.0000934 0.00056 [0.02] [0.12] Village coefficient of variation, r 0.351 -0.516 [0.88] [0.81] N 325 325 Absolute values of t-ratios in brackets, clustered by caste/village (because the randomized insurance treatment was stratified at the caste/village level).
  • 45.
    Conclusions • Informal networkslower the demand for formal insurance only if the network covers aggregate risk. • When formal insurance carries basis risk, informal risk sharing can be a complement to formal insurance • Formal insurance enables households to take more risk, and thus assists in income growth. • Landless laborers’ livelihoods are weather dependent, and they also demonstrate a strong demand for insurance, especially relative to cultivators living farther away from rainfall stations. 45
  • 46.
    What is therelationship between risk-taking and A. Weather Insurance B. Informal Loss Indemnification Theory Empirical findings using rainfall variation: A. NCAER REDS 2007-8 cultivators 1. Informal jati-level indemnification estimates and rainfall deviations from 8-year mean B. RCT in Andhra Pradesh and Uttar Pradesh - cultivators 1. Informal jati-level indemnification estimates 2. Randomized weather insurance
  • 47.
    Partners behave cooperatively,choosing e and ä to maximize: E(U) = U0(1- P)2 + U1P2 + (1 - P)P(U2 + U3), where U0 = U(w) , U1 = U(w - d), U2 = U(w - ä), U3 = U(w - d + ä) FOC: e: P'[-2(1 - P)U0 + 2PU1 + (1 - 2P)(U2 + U3)] = -w'[U0'(1- P)2 + U1'P2 + (1 - P)P(U2' + U3') ä: (-U2' + U3')P(1 - P) = 0 So, optimal ä, ä*, is ä* = d /2 where -U2' + U3 = 0 (A-S result) Suppose that the group cannot attain “full” insurance ä*(limited commitment, liquidity constraints), so that ä < ä*.
  • 48.
    What is theeffect of exogenous fall in ä at the optimum ä*, on risk mitigation e? Proposition 1: A decrease in the ability to informally indemnify individual losses below the first-best constrained optimum, may increase risk-taking. de/dä = -[(1 - 2P)(U2' + U3')P'+ (1 - P)P(-U2" + U3")w"]/Ö, where Ö = (w')2[U0"(1 - P)2 + U1"P2 + (1 - P)P(U2" + U3")] + [U0'(1 - P)2 + U1'P2 + (1 - P)P(U2' + U3')][w" - P"W'/P'] + 2(P')2[U0 + U1 - U2 - U3] < 0 and -U2' + U3 > 0, -U2" + U3"<0 for ä < ä* For P $ ½, decreased coverage unambiguously decreases risk-mitigation, but below ½, the effect may be negative as well. More effective informal risk-sharing may be associated with lower risk-taking
  • 49.
    B. Sensitivity ofoutput farm profits and output to rainfall (REDS and RCT) 1. Riskier crops, assets, technologies: manifested in greater responsiveness of farm profits to rainfall shock (Rosenzweig and Binswanger, 1993) 2. Assess how rain sensitivity varies with çj and éj and with index insurance Informal loss indemnification may lower sensitivity Index insurance, informal or formal should increase sensitivity 3. Use REDS survey data on profits per acre, shock measured by crop-year deviation in village-level rainfall from the eight-year mean 4. RCT: Compare control and treated per-acre output sensitivity to village rainfall Within the control group, look at the effects of the informal risk- sharing indemnification parameters on output-rainfall sensitivity
  • 50.
    Table 4 Caste Fixed-Effects Estimates: Effect of an Adverse Village-Level Rainfall Shock on Farm Profits per Acre Variable (1) (2) Village adverse rainfall shock -.0457 -.0448 (3.18) (2.81) ×çj .389 .404 (3.25) (3.38) ×éj -6.30 -6.47 (0.19) (0.19) ×Head’s years of schooling - -.000482 (2.10) ×Owned land holdings - -.000346 (2.59) Head’s years of schooling - 57.7 (1.45) Owned land holdings 202.6 200.5 (5.13) (4.87) N 2,669 2,669 Absolute values of bootstrapped t-ratios in parentheses clustered at the village level.
  • 51.
    Figure 6: Lowess-SmoothedRelationship Between Log Per-Acre Output Value and Log Rain per Day in the Kharif Season, by Insurance Type and Level 11 10.5 10 9.5 9 8.5 High Informal Indemnification, No Rainfall Insurance 8 Low Informal Indemnification, No Rainfall Insurance Offered Rainfall Insurance 7.5 7 0.75 1.25 1.75 2.25 2.75