รายงานฉบับสมบูรณ์

            โครงการศึกษาวิจย ั
แนวทางการพัฒนาศูนย์กลางสุขภาพของประเทศไทย
          (Thailand Medical Hub)




              รศ.ดร.อัญชนา ณ ระนอง
                ดร.วิโรจน์ ณ ระนอง
              รศ.นพ.ศิรชัย จินดารักษ์
       สถาบันบัณฑิตพัฒนบริหารศาสตร์ (NIDA)

                      เสนอ
        สภาทีปรึกษาเศรษฐกิจและสังคมแห่งชาติ
             ่
             ฉบับปรับปรุง มีนาคม 2552
รายงานฉบับสมบูรณ์

             โครงการศึกษาวิจย ั
แนวทางการพัฒนาศูนย์กลางสุขภาพของประเทศไทย
           (Thailand Medical Hub)


                      เสนอ
      สภาที่ปรึกษาเศรษฐกิจและสังคมแห่งชาติ

                  หัวหน้ าโครงการ
              รศ.ดร.อัญชนา ณ ระนอง
  คณะรัฐประศาสนศาสตร์ สถาบันบัณฑิตพัฒนบริหารศาสตร์ (NIDA)


                       ทีมวิจย
                             ั
                ดร.วิโรจน์ ณ ระนอง
  ผูอานวยการวิจยด้านเศรษฐศาสตร์สาธารณสุขและการเกษตร
   ้ ํ         ั
         สถาบันวิจยเพื่อการพัฒนาประเทศไทย (TDRI)
                  ั
                        และ
               รศ.นพ.ศิรชัย จินดารักษ์
         คณะแพทยศาสตร์ จุฬาลงกรณ์มหาวิทยาลัย

                    สิงหาคม 2551
              แก้ไขปรับปรุง มีนาคม 2552

                           i
ii
คํานํารายงานฉบับแก้ไข

          คณะผูวจยได้นําเสนอและส่งมอบรายงานฉบับสมบูรณ์ต่อสภาที่ปรึกษาเศรษฐกิจและ
                  ้ิ ั
สังคมแห่งชาติในเดือนสิงหาคม 2551 อย่างไรก็ตาม เนื่องจากมีความเปลียนแปลงทีสาคัญ
                                                                           ่          ่ ํ
เกิด ขึ้น หลายประการหลัง จากนัน ที่อ าจมีผ ลกระทบต่ อ การดํา เนิ น การด้า นนี้ (เช่น การปิ ด
                                  ้
สนามบินหลายแห่งของไทยรวมทังสนามบินนานาชาติ และการลุกลามของวิกฤตเศรษฐกิจไป
                                    ้
ทัวโลก) คณะผู้วจยจึงได้ปรับปรุงรายงานนี้ ให้ทนต่อเหตุ การณ์ มากขึ้น รวมทังได้นําข้อมูล
   ่                    ิ ั                    ั                                ้
บางส่วนทีหามาได้เพิมในระหว่างเดือนกันยายน 2551 ถึงเดือนมีนาคม 2552 มาประกอบการ
            ่               ่
วิเคราะห์ดวย ทังนี้ คณะผูวจยหวังว่าการปรับปรุงรายงานให้ทนต่อเหตุการณ์มากขึนจะเป็ น
              ้      ้        ้ิั                            ั                      ้
                       ่ ่ ่
ประโยชน์กบทุกฝายทีเกียวข้อง
                ั


                                                        คณะผูวจย
                                                             ้ิั
                                                        มีนาคม 2552




รายละเอียดสําหรับติดต่อคณะผูวิจย
                           ้ ั
รศ.ดร.อัญชนา ณ ระนอง (หัวหน้ าโครงการ)
คณะรัฐประศาสนศาสตร์ สถาบันบัณฑิตพัฒนบริหารศาสตร์ (NIDA)
โทรศัพท์ : 081-259-8659 โทรสาร: 02-722-7461
E-mail: anchana@nida.ac.th
ดร.วิ โรจน์ ณ ระนอง
ผูอานวยการวิจยด้านเศรษฐศาสตร์สาธารณสุขและการเกษตร
  ้ํ            ั
สถาบันวิจยเพือการพัฒนาประเทศไทย (TDRI)
           ั ่
โทรศัพท์ : 081-382-7846 โทรสาร: 02-722-7461
E-mail: viroj@tdri.or.th
รศ.นพ.ศิ รชัย จิ นดารักษ์
ภาควิชาศัลยศาสตร์ คณะแพทยศาสตร์ จุฬาลงกรณ์มหาวิทยาลัย
โทรศัพท์ : 02-256-4117, 02-256-4120
E-mail: dr.sirachai@gmail.com




                                             iii
iv
กิตติกรรมประกาศ

         งานวิจยนี้ได้รบการสนับสนุ นทางการเงินจากสภาทีปรึกษาเศรษฐกิจและสังคมแห่งชาติ
                     ั   ั                                 ่
โดยความริเริมของคณะทํางานเศรษฐกิจภาคบริการ ซึ่งคุณภรณี ลีนุตพงษ์ ประธานคณะทํางาน
               ่
คุณชัชวาล ศรีวชิราวัฒน์ และ คุณราชันย์ วีระพันธุ์ รองประธานคณะทํางาน คุณชวลิต อาคม
ธน คุณทวี เตชะธีราวัฒน์ คุณเธียรชัย มหาศิริ คุณนิมตร สัมพันธารักษ์ คุณพนัส ไทยล้วน
                                                       ิ
คุณวันชัย วัฒนธาดากุล คุณสงวน ลิวมโนมนต์ คุณอนุ วฒน์ ธุมชัย คุณโอกาส เตพละกุล
                                       ่                 ั
คุณเกษม จันทร์น้อย คุณใยอนงค์ ทิมสุวรรณ คุณสมหมาย ปาริจฉัตต์ คุณสุวทย์ ธนียวัน       ิ
และคุณธิดา จันทร์เพ็ญ คณะทํางาน และ นพ.เจตน์ ศิรธรานนท์ คุณวิจตร ณ ระนอง คุณพนิดา
                                                                         ิ
ตังกิจจารักษ์ และคุณสงขลา วิชยขัทคะ คณะที่ปรึกษา ได้ให้ความสนใจ ความสนับสนุ น และ
    ้                            ั
คําแนะนํ ามาโดยตลอด โดยเฉพาะ นพ.เจตน์ ศิรธรานนท์ ทีรเริมโครงการนี้มาตังแต่แรกและ
                                                               ่ิ ่                    ้
หลังจากทีทานได้ลาออกจากการเป็ นทีปรึกษาคณะทํางานไปเป็ นวุฒสมาชิกแล้ว ก็ยงคงติดตาม
           ่ ่                       ่                               ิ                   ั
ความคืบหน้าของโครงการอย่างสมํ่าเสมอ คุณจุฑามาศ กุลรัตน์ และคุณจันทนา วุฒกาญจนกุล           ิ
  ่
ฝายเลขานุ การคณะทํางาน ได้ชวยเหลือในด้านการติดต่อประสานงานตลอดช่วงโครงการ
                               ่
         งานวิจยนี้จะไม่สามารถสําเร็จลุล่วงไปได้เลย ถ้าหากคณะผูวจยไม่ได้รบความช่วยเหลือ
                   ั                                                ้ิ ั         ั
และความร่วมมือ ทังในด้านข้อมูล ความเห็น และคําปรึกษาจากผู้ท่ีเกี่ยวข้องจํานวนมาก ซึ่ง
                       ้
คณะผูวจยคงไม่สามารถระบุรายชื่อทีครบถ้วน (อีกทังหลายท่านได้กรุณาให้ขอมูลและความคิดเห็น
       ้ิั                         ่                ้                         ้
โดยไม่ประสงค์ออกนามด้วย) โดยเฉพาะอย่างยิงจากผู้บริหารและเจ้าหน้ าที่โรงพยาบาลต่างๆ
                                                ่
กระทรวงสาธารณสุข กระทรวงพาณิชย์ และบริษทตัวแทนต่างๆ ซึงคณะผูวจยขอขอบคุณทุกท่าน
                                              ั                   ่          ้ิั
เป็ นอย่างสูง
         สุดท้าย คณะผูวจยขอขอบคุณ ศ.อัมมาร สยามวาลา ทีกรุณาให้คาปรึกษาทีเป็ นประโยชน์
                           ้ิั                               ่             ํ       ่
ต่อโครงการวิจยเป็ นอย่างมาก คุณนนทลี วุฒมานพ จากคณะรัฐประศาสนศาสตร์ สถาบัน
                 ั                                ิ
บัณฑิตพัฒนบริหารศาสตร์ (NIDA) และคุณพรรณลดา ไตรพิทยากุล จากสถาบันวิจยเพือการ                 ั ่
พัฒนาประเทศไทย (TDRI) มีสวนช่วยในการรวบรวมข้อมูลในช่วงแรกและช่วงท้ายของ
                                         ่
โครงการ




                                               v
vi
บทคัดย่อ
         ประเทศไทยเป็ นประเทศเปิ ดและเป็ นแหล่งท่องเที่ยวที่มช่อเสียงและเป็ นที่นิยมของ
                                                             ี ื
ชาวต่างชาติมาเป็ นเวลาค่อนศตวรรษแล้ว โรงพยาบาลเอกชนหลายแห่งของไทยได้พฒนาขึน      ั       ้
มาและได้ให้บริการคนไข้ชาวต่างชาติท่มาทํางานและท่องเที่ยวในภูมภาคนี้เพิมขึนเป็ นลําดับ
                                          ี                          ิ   ่ ้
แต่จุดเปลียนสําคัญทีก่อให้เกิดการขยายตัวของบริการทางการแพทย์สาหรับชาวต่างชาติ (หรือ
           ่               ่                                       ํ
medical tourist ซึงหมายถึงชาวต่างชาติทมจุดประสงค์หลักในการเดินทางเข้ามาเพื่อรับบริการ
                    ่                         ่ี ี
ด้านรักษาพยาบาล) ไม่ได้เป็ นแผนที่โรงพยาบาลเหล่านี้มมาตังแต่ต้น หากเกิดจากปญหาที่
                                                        ี ้                        ั
โรงพยาบาลเหล่านี้ประสบอันสืบเนื่องมาจากวิกฤติเศรษฐกิจในปี 2540 ซึ่งทําให้โรงพยาบาล
เอกชนทีมการลงทุนอย่างมากในช่วงฟองสบู่มภาวะเตียงว่างจํานวนมาก โรงพยาบาลเอกชน
         ่ ี                                       ี
ชันนํ าของไทยจึงพยายามปรับ ตัวโดยการหาลูกค้าจากประเทศที่มกําลังซื้อสูงจากแทบทุก
  ้                                                              ี
ภูมภาคของโลก (เช่น อเมริกา ยุโรป ตะวันออกกลาง และญีปุ่น) เข้ามาทดแทน รัฐบาลเองก็มี
    ิ                                                    ่
นโยบายทีจะผลักดันให้ประเทศไทยเป็ นศูนย์กลางของการบริการทางด้านสุขภาพของเอเชีย ซึง
             ่                                                                             ่
ถือได้วาประสบความสําเร็จเป็ นอย่างสูง โดยในปี พ.ศ. 2550 มีคนไข้ชาวต่างชาติทรบการรักษา
       ่                                                                    ่ี ั
ในประเทศไทย (รวมนักท่องเทียวและชาวต่างชาติทมาทํางานหรือตังถินฐานในภูมภาคนี้) มาก
                                   ่                 ่ี        ้ ่            ิ
ถึง 1.4 ล้านคน
         งานวิ จ ัย นี้ ศึ ก ษาพัฒ นาการและการขยายตัว ของบริก ารทางการแพทย์ สํ า หรับ
ชาวต่างชาติ (รวมทังนโยบายของรัฐทีจะผลักดันให้ประเทศไทยเป็ นศูนย์กลางของการบริการ
                         ้              ่
ทางด้านสุขภาพ หรือทีนิยมเรียกกันในประเทศไทยว่า medical hub) และผลกระทบทีมต่อ
                              ่                                                      ่ ี
เศรษฐกิจ บุ ค ลากรทางการแพทย์ และอัต ราค่า รัก ษาพยาบาลสํา หรับ คนไข้ช าวไทย โดย
รวบรวมข้อมูลทังจากสถานพยาบาล บริษททัวร์หรือตัวแทนทีนําคนไข้มาจากต่างประเทศ และ
                  ้                         ั              ่
จากหน่วยงานภาครัฐทีเกียวข้อง ่ ่
        ผลการศึกษาพบว่า ในระยะหลัง มีสถานพยาบาลเอกชนของไทยจํานวนมากได้ปรับตัว
เพือให้บริการและเจาะตลาดคนไข้ชาวต่างชาติมากขึน โดยมีจุดเน้นทีต่างกัน (ซึงส่วนหนึ่ง
    ่                                        ้                    ่            ่
ขึนกับความถนัดของสถานพยาบาลทีมมาแต่เดิม) เช่น มีทงสถานพยาบาลกลุ่มทีเน้นการรักษา
  ้                              ่ ี                  ั้                 ่
ด้วยเทคโนโลยีมาตรฐานระดับโลก กลุ่มทีเน้นการรักษาทีเป็ นความเชียวชาญเฉพาะทางของ
                                       ่                 ่          ่
สถานพยาบาล (เช่น ในด้านศัลยกรรมตกแต่ง) กลุมทีเน้นการรักษาด้วยเทคโนโลยีในระดับสูง
                                               ่ ่
แต่ยงอยูในขันทดลอง (เช่น การรักษาด้วย Stem Cell) กลุ่มทีเน้นการรักษาด้านทีสามารถรอได้
      ั ่ ้                                                  ่             ่
พอสมควร (โดยเฉพาะอย่างยิงทันตกรรม) และกลุ่มทีเน้นการให้บริการตรวจสุขภาพ หลาย
                           ่                       ่
โรงพยาบาลได้ผานการรับรองมาตรฐาน JCIA (ซึ่งเป็ นมาตรฐานสําหรับโรงพยาบาลนานาชาติ)
               ่
และได้ใช้วธการทําตลาดในต่างประเทศทีหลากหลาย ไม่วาจะเป็ นวิธใช้ตวแทนทังในประเทศ
           ิี                        ่                     ่     ี ั         ้
และในต่างประเทศ หรือการทําตลาดด้วยตนเองล้วนๆ



                                            vii
การขยายตัวของการให้บริการทางการแพทย์กบชาวต่างชาติมผลกระทบทังในด้านบวก
                                                                          ั               ี           ้
และด้านลบ โดยในด้านเศรษฐกิจนัน บริการนี้ชวยสร้างมูลค่าเพิมประมาณร้อยละ 0.4 ของ
                                              ้                    ่               ่
ผลิตภัณฑ์มวลรวมของประเทศ (GDP) แต่การทีคนไข้ชาวต่างชาติมจานวนเพิมขึนมากก็ทาให้
                                                                 ่                       ีํ         ่ ้   ํ
  ั
ปญหาการขาดแคลนบุคลากรทางการแพทย์ (โดยเฉพาะแพทย์ ทันตแพทย์ และพยาบาล) มี
ความรุนแรงมากขึน            ้        การทีชาวต่างชาติเข้ามาพร้อมกับกําลังซือทีสงกว่าคนไทยมากมีสวน
                                            ่                                        ้ ู่                   ่
สําคัญในการดึงดูดแพทย์ (โดยเฉพาะอย่างยิงแพทย์ผเชียวชาญ) จากทังภาคเอกชนและภาครัฐ
                                                             ่          ู้ ่                ้
รวมทังอาจารย์แพทย์และทีมงานจากโรงพยาบาลมหาวิทยาลัยต่างๆ ไปสูโรงพยาบาลเอกชน
        ้                                                                                     ่
กลุ่มทีเน้นการรักษาคนไข้ต่างชาติมากขึน ซึงอาจส่งผลกระทบต่อคุณภาพของการผลิตแพทย์
          ่                                      ้             ่
ในระยะยาว                      ั
                              ปญหาการขาดแคลนบุคลากรมีสวนทีทาให้คารักษาพยาบาลในโรงพยาบาล
                                                                     ่ ่ ํ ่
เอกชนเพิมในอัตราทีสงขึนในระยะหลัง และมีแนวโน้มทีจะทําให้ทงสถานพยาบาลและโครงการ
             ่                ู่ ้                                           ่ ั้
ด้านหลักประกันสุขภาพต่างๆ ของรัฐ (ไม่วาจะเป็ นโครงการบัตรทอง สวัสดิการข้าราชการ หรือ
                                                         ่
โครงการประกันสังคม)                    มีตนทุนเพิมขึนในการรักษาบุคลากรไม่ให้ถูกดึงออกไปมากจนเกิด
                                          ้        ่ ้
ผลกระทบทีรนแรงต่อคุณภาพบริการของโครงการเหล่านี้
                  ุ่
            เพื่อทีจะรักษาสมดุลของผลกระทบในด้านบวกและลบ คณะผูวจยได้จดทําข้อเสนอแนะ
                     ่                                                                   ้ิั      ั
หลายประการ โดยนอกจากเสนอให้ผลิตบุคลากรทางการแพทย์เพิม (รวมทังผลิตพยาบาลให้             ่        ้
เต็มศักยภาพ) แล้ว ยังได้เสนอให้ปรับปรุงกฎระเบียบของแพทยสภาให้เอื้อกับการนํ าแพทย์
ชาวต่างชาติทมคุณภาพเข้ามาเพื่อบรรเทาผลกระทบในด้านการขาดแคลนบุคลากรซึ่งมีความ
                       ่ี ี
รุนแรงมากขึ้นจากการที่มคนไข้ต่างชาติเดินทางเข้ามารับการรักษาพยาบาลในประเทศไทย
                                   ี
เพิมขึน และในกรณีท่จํานวนคนไข้ต่างชาติกลุ่มนี้ยงมีแนวโน้มเพิมขึน เสนอให้พจารณาเก็บ
    ่ ้                          ี                                    ั               ่ ้               ิ
ค่าธรรมเนียมพิเศษจากคนไข้ต่างชาติทมจุดประสงค์หลักในการเดินทางมาประเทศไทยเพื่อรับ
                                                    ่ี ี
บริการด้านรักษาพยาบาล แล้วนํ ารายได้สวนนี้มาอุดหนุ นการผลิตบุคลากรทางการแพทย์เพิม
                                                           ่                                                  ่
และช่วยเพิมแรงจูงใจในการรักษาและเพิมจํานวนอาจารย์แพทย์ผูเชียวชาญแพทย์ในโรงเรียน
                ่                                      ่                          ้ ่
แพทย์




                                                      viii
Abstract
    A Development Guideline for Thailand’s Medical Hub
                              1                       2                               3
    Anchana NaRanong, Viroj NaRanong, and Sirachai Jindarak

         Thailand has been an open country and a well-known tourist place for at least
a half century. It was not until this decade that medical tourism in Thailand has been
surging. Since the 1997 Asian economic crisis, bed occupancy in most private
hospitals has significantly declined, prompted high-end private hospitals—which
invested substantially during the economic bubble to seek out medical tourists from
abroad, mainly from North America, the European Union, the Middle East and East
Asian countries. Since then, every Thai government regime has announced various
policy measures to promote medical tourism in order to generate revenue for the
country. In 2007, 1.4 million foreign patients (including general tourists and
foreigners who work or live in Thailand) received medical treatment in Thailand,
making her a leading destination for medical tourists from almost all continents.
         This study focuses on the development of Thai medical tourism and its
impacts on the Thai economy, human resources, and medical costs for Thais. Data
have been collected from hospitals, tourist agencies, and the government.
         The study finds that more and more private hospitals have been transformed
into foreign-oriented facilities. This development appeared in many forms (partly
depending on hospitals’ specialization) such as treatments with high technology, new
treatments at experimental stages (such as treatment with stem cells), and dental care.
Several hospitals have sought accreditation and have been accredited by the Joint
Commission International (JCI), and various marketing plans have been launched to
attract international customers.
         Medical tourism has had both positive and negative impacts on Thailand. For
the Thai economy, it generates the value added that is equivalent to 0.4% of GDP.
However, the surge of medical tourists in Thailand has exacerbated the shortage of
medical personnel (especially of physicians, dentists, and nurses). The higher
purchasing power of foreigners has drawn more medical personnel, especially
specialists, from both the private and public sector (including professors in medical
schools) to foreigner-oriented hospitals, and this brain-drain will potentially affect the
availability and quality of medical training in the future. This personnel shortage has
raised medical costs in the private hospitals substantially and is likely to drive up the
costs of the public hospitals and the publicly-provided Universal Coverage Health
Insurance (including the Social Security Scheme and the Civil Servant Medical
Benefit Scheme)—which covers most of the Thai population. To strike a balance
under this dilemma, this study proposes several recommendations, including lifting
the regulation that has prevented importing qualified foreign physicians and imposing
specific taxes/fees on medical tourists whose purpose of visit is solely for medical
treatment and use such revenue to expand physician training and retain personnel in
public medical schools.




1
  School of Public Administration, National Institute of Development Administration (NIDA)
2
  Thailand Development Research Institute (TDRI)
3
  Faculty of Medicines, Chulalongkorn University

                                            ix
x
สารบัญ
                                                                                                                                          หน้ า
คํานํารายงานฉบับแก้ไขปรับปรุง ..................................................................................................... iii
กิตติกรรมประกาศ ..........................................................................................................................v
บทคัดย่อ ................................................................................................................................... vii
Abstract ..................................................................................................................................... ix
สารบัญ ...................................................................................................................................... xi
สารบัญตาราง ............................................................................................................................... xiii
สารบัญกรอบ ................................................................................................................................. xv
สารบัญรูป ..................................................................................................................................... xv
1. บทนํา ...................................................................................................................................... 1
           1.1 วัตถุประสงค์ ........................................................................................................... 3
           1.2 ขอบเขตการศึกษา .................................................................................................. 4
           1.3 ระยะเวลาศึกษา ..................................................................................................... 4
           1.4 วิธการดําเนินงาน .................................................................................................. 4
                      ี
           1.5 วิธการศึกษาโดยละเอียด......................................................................................... 4
                        ี
           1.6 ผลทีคาดว่าจะได้รบ .............................................................................................. 12
                          ่                   ั
           1.7 เนื้อหาของรายงาน .............................................................................................. 12
2. ความเป็ นมา สถานการณ์ แนวโน้ม และการดําเนินการตามนโยบายศูนย์กลางทางการแพทย์
           (medical hub) ............................................................................................................. 15
           2.1 ประวัตความเป็ นมา .............................................................................................. 15
                            ิ
           2.2 สถานการณ์ แนวโน้ม และการดําเนินการตามนโยบายศูนย์กลางทางการแพทย์
                   (medical hub) ทีผานมาของไทย ......................................................................... 18
                                             ่ ่
3. การศึกษาเปรียบเทียบการให้บริการศูนย์กลางด้านสุขภาพในประเทศไทยกับประเทศอืนทีมการ                                              ่ ่ ี
           ดําเนินการด้าน medical tourism.................................................................................. 43
           3.1 ประเทศสิงคโปร์.................................................................................................... 43
           3.2 ประเทศอินเดีย ..................................................................................................... 47
           3.3 ประเทศมาเลเซีย .................................................................................................. 50
           3.4 การเปรียบเทียบ medical hub ในแต่ละประเทศ: มุมมองของฝายต่างๆ ................ 52                  ่
           3.5 บทเรียนจากต่างประเทศ ..................................................................................... 59
4. ผลกระทบด้านเศรษฐกิจของประเทศ ......................................................................................... 67
            4.1 การประมาณการรายรับและมูลค่าเพิมทีเกิดจากการให้บริการคนไข้ต่างชาติ………...…70
                                                                     ่ ่
5. ผลกระทบต่อบุคลากร ............................................................................................................... 83
           5.1 ความต้องการแพทย์สาหรับคนไข้ตางชาติ (medical hub) .................................... 83
                                                   ํ                  ่
           5.2 ความต้องการบุคลากรสําหรับคนไทยในระบบหลักประกันสุขภาพถ้วนหน้า ............ 88
6. ผลกระทบต่อราคาค่ารักษาพยาบาลและการเข้าถึงบริการทีมคุณภาพของคนไทย .................... 105
                                                                                       ่ ี

                                                                       xi
6.1 ผลกระทบในด้านราคาค่ารักษาพยาบาล ............................................................ 105
          6.2 ผลกระทบต่อการเข้าถึงบริการทีมคุณภาพของคนไทย ......................................... 113
                                                        ่ ี
7. บทสรุป แนวทางการพัฒนา และข้อเสนอแนะ.......................................................................... 123
          7.1 บทสรุป ............................................................................................................. 123
                                                      ่
          7.2 ข้อเสนอแนะเชิงนโยบายของฝายต่างๆ .............................................................. 127
          7.3 แนวทางการพัฒนา ............................................................................................ 131
          7.4 ข้อเสนอของคณะผูวจย ...................................................................................... 140
                                     ้ิั
          7.5 อุปสรรคในการศึกษา ข้อจํากัด และข้อเสนอแนะเพิมเติม ..................................... 147
                                                                                    ่




                                                                 xii
สารบัญตาราง
                                                                                                                                         หน้ า
ตารางที่ 2.1 ประมาณการเป้าหมายรายได้ของแต่ละผลผลิต....................................................... 17
ตารางที่ 2.2 งบประมาณแผนยุทธศาสตร์การพัฒนาประเทศไทยเป็ นศูนย์กลางสุขภาพเอเชีย
           จําแนกตามยุทธวิธแผนงาน .......................................................................................... 18
                                        ี
ตารางที่ 2.3 จํานวนชาวต่างชาติทมารับบริการทางการแพทย์ในโรงพยาบาลเอกชนไทย
                                                   ่ี
           ระหว่างปี พ.ศ. 2544-2550 .......................................................................................... 19
ตารางที่ 2.4 จํานวนชาวต่างประเทศทีรบบริการในโรงพยาบาลเอกชนไทย 55 แห่งในปี 2550 .... 20
                                                            ่ั
ตารางที่ 2.5 สัดส่วนจํานวนและรายรับจากคนไข้ชาวต่างชาติของโรงพยาบาลปิยะเวท ปี 2546-
           2550 ........................................................................................................................... 25
ตารางที่ 2.6 ตัวอย่างบริษทตัวแทนทีมบริการนําคนไข้เข้ามารับบริการด้านสุขภาพในประเทศไทย
                                     ั                  ่ ี
           .................................................................................................................................... 33
ตารางที่ 3.1 เป้าหมายจํานวนผูปวยทีเข้ารับการรักษาพยาบาลในสิงคโปร์ .................................. 46
                                              ้ ่ ่
ตารางที่ 3.2 เปรียบเทียบ competitive advantage ระหว่างไทยกับคูแข่งอื่นในเอเชีย ................. 55  ่
ตารางที่ 3.3 เปรียบเทียบ medical tourism ของประเทศไทยและประเทศคูแข่งในภูมภาคนี้ โดย                            ่              ิ
           The Boston Consulting Group ................................................................................... 56
ตารางที่ 4.1 ประมาณการเป้าหมายรายได้จาก medical hub และข้อมูลจํานวนคนไข้ต่างชาติทมา                                                         ่ี
           รับการรักษาในประเทศไทย .......................................................................................... 67
ตารางที่ 4.2 ประมาณการรายได้จาก medical tourism และข้อมูลจํานวนคนไข้ต่างชาติ.............. 68
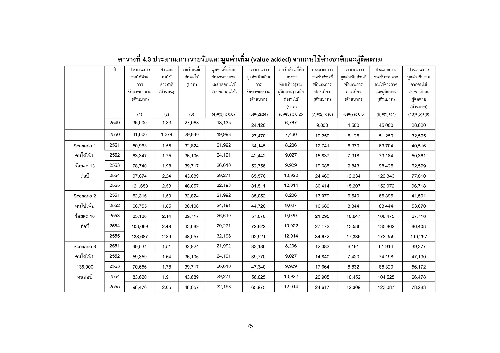
ตารางที่ 4.3 ประมาณการรายรับและมูลค่าเพิม (value added) จากคนไข้ต่างชาติและผูตดตาม.. 75
                                                                   ่                                                              ้ ิ
                                                                            ้ ่
ตารางที่ 5.1 ประมาณการความต้องการแพทย์โดยผูปวยต่างชาติ พ.ศ. 2546-2558 ..................... 84
ตารางที่ 5.2 จํานวนแพทย์ผได้รบใบอนุ ญาตฯ และจํานวนแพทย์ทถูกถอนชือจากทะเบียน
                                          ู้ ั                                                    ่ี             ่
           ผูประกอบวิชาชีพเวชกรรมจากแพทยสภา .................................................................... 89
              ้
ตารางที่ 5.3 ข้อมูลจํานวนและการกระจายของแพทย์ รวบรวมโดยสํานักนโยบายและยุทธศาสตร์
           กระทรวงสาธารณสุข .................................................................................................... 92
ตารางที่ 5.4 จํานวนแพทย์ในโรงพยาบาลในสังกัดสํานักปลัดกระทรวงสาธารณสุข ...................... 93
                                                                             ้ ่
ตารางที่ 5.5 ประมาณการความต้องการแพทย์โดยผูปวยชาวไทย พ.ศ. 2546-2558 .................... 94
ตารางที่ 5.6 ประมาณการความต้องการแพทย์รวม พ.ศ. 2550-2558.......................................... 95
ตารางที่ 5.7 จํานวนและการกระจายของทันตแพทย์ รวบรวมโดยสํานักนโยบายและยุทธศาสตร์
           กระทรวงสาธารณสุข .................................................................................................... 98
ตารางที่ 5.8 จํานวนทันตแพทย์ทขนทะเบียนเป็ นผูประกอบวิชาชีพทันตกรรม ตังแต่ปี 2537-2550
                                                 ่ี ้ ึ                   ้                                            ้
           .................................................................................................................................... 99
ตารางที่ 5.9 ข้อมูลจํานวนและการกระจายของพยาบาล รวบรวมโดยสํานักนโยบายและยุทธศาสตร์
           กระทรวงสาธารณสุข .................................................................................................. 102
ตารางที่ 5.10 จํานวนผูสมัครสอบและขึนทะเบียนเป็ นผูประกอบวิชาชีพพยาบาล 2541-2550...... 103
                               ้                          ้                     ้


                                                                       xiii
ตารางที่ 6.1 ค่าใช้จายเฉลียต่อรายจาก case ทีเกิดขึนจริงของคนไข้ชาวไทยทีโรงพยาบาล
                          ่       ่                              ่ ้                                              ่
                                              ั ั
           ก. ตังแต่ปี 2548 จนถึงปจจุบน ................................................................................... 107
                  ้
ตารางที่ 6.2 ค่าบริการเหมาจ่ายแบบเป็ นแพคเกจสําหรับคนไข้ชาวไทยทีโรงพยาบาล ก. ปี 2550-                   ่
           2551 ......................................................................................................................... 108
ตารางที่ 6.3 ค่าใช้จายเฉลียต่อรายจาก case ทีเกิดขึนจริงของคนไข้ชาวไทยทีโรงพยาบาล
                            ่       ่                             ่ ้                                           ่
                                             ั ั
           ข. ตังแต่ปี 2546 จนถึงปจจุบน ................................................................................... 109
                ้
ตารางที่ 6.4 ค่าบริการเหมาจ่ายแบบเป็ นแพคเกจสําหรับคนไข้ชาวไทยทีโรงพยาบาล                                 ่
           ข. เมือต้นปี 2551....................................................................................................... 109
                      ่
ตารางที่ 6.5 ค่าบริการเหมาจ่ายแบบเป็ นแพคเกจสําหรับคนไข้ชาวไทยทีโรงพยาบาล                                   ่
           ค. เมือต้นปี 2551 ...................................................................................................... 110
                        ่
ตารางที่ 6.6 ค่าใช้จายเฉลียต่อรายจาก case ทีเกิดขึนจริงทีโรงพยาบาล
                              ่       ่                            ่ ้              ่
                                          ั ั
           ง. ตังแต่ปี 2548 ถึงปจจุบน....................................................................................... 111
                    ้
ตารางที่ 6.7 ค่าใช้จายเฉลียต่อรายจาก case ทีเกิดขึนจริง ทีโรงพยาบาลกรุงเทพภูเก็ต
                                ่       ่                           ่ ้               ่
           ปี 2549-2550 ............................................................................................................ 112




                                                                    xiv
สารบัญกรอบ
                                                                                                                                           หน้ า
กรอบที่ 2.1 กระบวนการดําเนินการของโรงพยาบาลทีทาตลาดเอง: กรณีศกษาโรงพยาบาล่ ํ                           ึ
           เจ้าพระยา .................................................................................................................... 26
กรอบที่ 2.2 กระบวนการตลาดของโรงพยาบาลทีผานตัวแทน (agent) เป็ นหลัก: กรณีศกษา
                                                                 ่ ่                                                       ึ
           โรงพยาบาลยันฮี .......................................................................................................... 30
กรอบที่ 6.1 “The Heart by Siriraj”: โรงพยาบาลเอกชนในโรงพยาบาลรัฐ? ................................ 117
กรอบที่ 7.1 ตัวอย่าง medical hub ของไทย: กรณีศกษาโรงพยาบาลกรุงเทพภูเก็ต .................... 146
                                                                     ึ




                                                             สารบัญรูป
                                                                                                                                            หน้ า
                                     ้ ่
รูปที่ 2.1 จํานวนและประมาณการจํานวนผูปวยชาวต่างประเทศทีมารักษาในประเทศต่างๆ โดย
                                                       ่
             รัฐบาลสิงคโปร์........................................................................................................... 23
                          ้ ่
รูปที่ 3.1 จํานวนผูปวยชาวต่างชาติทมารักษาทีสงคโปร์ในช่วงก่อนและหลังวิกฤติเศรษฐกิจปี 2540
                                                      ่ี             ่ ิ
          .......................................................................................................................................61
รูปที่ 4.1 ประมาณการรายรับจากการให้บริการคนไข้ต่างชาติ ภายใต้ Scenario ต่างๆ..................77
รูปที่ 4.2 ประมาณการมูลค่าเพิ่มจากการให้บริ การคนไข้ต่างชาติ ภายใต้ Scenario ต่างๆ……………………80


รูปที่ 7.1 บัตรขาเข้าตรวจคนเข้าเมือง……………………………………………………………...………133




                                                                        xv
xvi
1.       บทนํา

           ในช่วงทีประเทศไทยอยู่ในภาวะฟองสบู่ (ก่อนทีจะจบลงด้วยภาวะวิกฤติเศรษฐกิจหลัง
                         ่                                  ่
                                                    ั
ฟองสบู่แตกในปี พ.ศ.2540) ประเทศไทยมีปญหาขาดดุลบัญชีเดินสะพัดในอัตราทีสงติดต่อกัน    ่ ู
มานานหลายปี หลังจากฟองสบู่แตก รัฐบาลก็ได้พยายามผลักดันให้มการส่งออกเพิมขึน โดย
                                                                     ี                  ่ ้
นอกจากการส่งออกสินค้า (และแรงงาน) ไปต่างประเทศแล้ว กรมส่งเสริมการส่งออก กระทรวง
พาณิชย์ ยังหันมาสนใจการหารายได้เข้าประเทศจากบริการด้านสาธารณสุข ซึ่งที่ผ่านมาก็มี
ชื่อเสียงเป็ นทีรูจกกันดีในระดับภูมภาคอยู่แล้ว (เช่น ในประเทศเพื่อนบ้านและประเทศในแถบ
                    ่้ั                 ิ
เอเชียใต้และตะวันออกกลาง) ให้ขยายบริการในรูปของ medical tourism ทีมการนําคนไข้จาก
                                                                           ่ ี
ประเทศที่มกําลังซื้อสูงมารับบริการทางการแพทย์และสุขภาพในประเทศไทย และดึงดูดผูท่ี
               ี                                                                              ้
เกษียณอายุมาตังถินฐานในประเทศไทย ในช่วงเดียวกันนัน โรงพยาบาลเอกชนจํานวนมาก ซึง
                        ้ ่                                     ้                                 ่
                                                                  ั
มีก ารลงทุ น อย่ า งขนานใหญ่ ใ นช่ ว งฟองสบู่ ก็ ป ระสบป ญ หาภาวะเตี ย งว่ า งจํ า นวนมาก
โรงพยาบาลเอกชนทีถอได้ว่าเป็ นกลุ่ม high-end บางกลุ่ม จึงพยายามปรับตัวโดยการหาลูกค้า
                            ่ ื
                   ่ ีํ ้              ่ ุ่
จากประเทศทีมกาลังซือสูง (เช่น ญีปน ยุโรป และตะวันออกกลาง) เข้ามาด้วย ซึงก็นบว่าประสบ
                                                                               ่ ั
ความสําเร็จพอสมควร โดยเฉพาะโรงพยาบาลเอกชนขนาดใหญ่ สองแห่ง (รวมทังเครือข่ายของ   ้
โรงพยาบาลเอกชนขนาดใหญ่แห่งหนึ่ง)
           ในช่ ว งรัฐ บาลต่ อ มา (รัฐ บาลที่นํ า โดยพรรคไทยรัก ไทย) แม้ว่ า ภาวะวิก ฤติ ข อง
โรงพยาบาลเอกชนโดยรวมจะบรรเทาลง และในปี พ.ศ.2544 รัฐบาลได้ขยายหลักประกัน
สุขภาพให้ครอบคลุมคนไทยทังประเทศ ผ่านโครงการ “30 บาทรักษาทุกโรค” (ซึงมีผลทําให้มี
                                 ้                                                ่
การใช้บริการด้านการรักษาพยาบาลเพิ่มขึ้นอย่างมีนัยสําคัญ) แล้ว รัฐบาล (โดยทังกระทรวง      ้
พาณิชย์และกระทรวงสาธารณสุข) ก็มนโยบายทีจะผลักดันให้ประเทศไทยเป็ นศูนย์กลางของการ
                                            ี           ่
บริการด้านการแพทย์ (medical hub) การบริการด้านสุขภาพ และผลิตภัณฑ์สุขภาพให้แก่
ชาวต่างชาติ เพื่อดึงดูดให้คนจากทัวโลกเข้ามาใช้บริการในประเทศไทยซึงเป็ นทางหนึ่งทีจะนํ า
                                          ่                            ่                    ่
รายได้เข้าประเทศ โดยมีการกําหนดเป็ นวิสยทัศน์ ของประเทศเอาไว้ว่าประเทศไทยจะเป็ น
                                                      ั
ศูนย์กลางสุขภาพของเอเชีย (Thailand: Centre of Excellent Health Care of Asia) ภายใน
ระยะเวลา 5 ปี (พ.ศ. 2551) (กระทรวงสาธารณสุข 2546)
           ในการทีประเทศไทยจะพัฒนาขึนไปเป็ น medical hub เพื่อรองรับลูกค้าจากประเทศทีมี
                      ่                           ้                                             ่
กําลังซือสูง ซึงส่วนใหญ่จะเป็ นประเทศพัฒนาแล้วนัน นอกเหนือจากจะต้องมีค่ารักษาพยาบาล
         ้       ่                                        ้
ที่ต่ํา กว่า ประเทศต้นทางอย่า งมีนัย สํา คัญ และมีศ ักยภาพที่จะรองรับ คนไข้จ ากต่ า งประเทศ
จํานวนมากแล้ว ยังมีกุญแจสําคัญที่ต้องพิจารณาอย่างน้ อยสองประการคือ (ก) มีการพัฒนา
มาตรฐานในด้านการรักษาพยาบาลทีทดเทียม (หรือใกล้เคียง) กับประเทศทีพฒนาแล้ว และ (ข)
                                              ่ ั                        ่ ั
มีระบบการคุ้มครองผูบริโภคที่มความน่ าเชื่อถือ (โดยทัวไปแล้ว ประเทศที่มมาตรฐานในการ
                              ้     ี                         ่              ี




                                                1
รักษาพยาบาลทีดมกจะมีระบบการคุมครองสิทธิของผูปวยทีดควบคู่กนไปด้วย)4 ซึงในทังสอง
                 ่ ี ั                           ้                      ้ ่ ่ ี        ั        ่   ้
ส่วนนี้ต้องอาศัยการพัฒนาทังในส่วนของโรงพยาบาลเองและในหน่ วยงานของรัฐที่ทําหน้ าที่
                                       ้
                                                         ั
กํากับดูแลสถานพยาบาลเหล่านี้ และเป็ นปจจัยสําคัญทีไม่สามารถทดแทนได้โดยการโฆษณา
                                                                           ่
ประชาสัมพันธ์ให้ชาวต่างชาติเข้ามาใช้บริการการรักษาพยาบาลของไทย
         แต่นอกจากนโยบายพัฒนาศูนย์กลางการแพทย์ (medical hub) ของประเทศไทยจะต้อง
             ั
คํานึงถึงปจจัยที่มผลต่อการเติบโตและความสามารถในการแข่งขันของตัวสถานพยาบาลเองแล้ว
                     ี
ยังมีความจําเป็ นต้องคํานึ งถึงผลกระทบทังในทางบวกและทางลบต่ อระบบสาธารณสุขของ
                                                       ้
ประเทศไทยเองด้วย ในทางบวกนัน การปรับตัวของสถานพยาบาลของไทยและหน่ วยงานที่
                                             ้
กํากับดูแลเพื่อรองรับนโยบายนี้ย่อมมีโอกาสทําให้สถานพยาบาลจํานวนหนึ่งพัฒนามาตรฐาน
ไปสูระดับสากลได้มากขึน รวมทังมีขดความสามารถในการติดตามความก้าวหน้าทางเทคโนโลยี
     ่                     ้               ้ ี
ทางการแพทย์สมัยใหม่ได้ดขน แต่นโยบายนี้ก็มโอกาสที่จะสร้างผลกระทบในทางลบเช่นกัน
                                    ี ้ึ                         ี
โดยเฉพาะอย่างยิงในบริบทใหญ่ของประเทศ ซึงการเกิดขึนและการขยายตัวของ medical hub
                   ่                                       ่                 ้
มีโอกาสทีจะส่งผลกระทบด้านลบต่อนโยบายสร้างหลักประกันสุขภาพถ้วนหน้าได้ในหลายด้าน
           ่
เช่น ผลกระทบในด้านการใช้ทรัพยากรและบุคลากรด้านสุขภาพ ผลกระทบต่อราคาของบริการ
ด้านสุขภาพ5 และผลกระทบในด้านการเข้าถึงบริการทีมคุณภาพของคนไทย เป็ นต้น ่ ี
         ด้ว ยเหตุ ผ ลที่ก ล่ า วมาข้า งต้น จะเห็น ได้ว่ า มีโ อกาสมากที่น โยบายศู น ย์ก ลางทาง
การแพทย์ (medical hub) จะส่งผลทีขดแย้งกับนโยบายสร้างหลักประกันสุขภาพถ้วนหน้า
                                                   ่ ั
(อย่างน้ อยในบางด้าน) ซึ่งย่อมทําให้การผลักดันสองนโยบายนี้แยกจากกันโดยไม่ได้พจารณา                ิ
ปฏิสมพันธ์ (interaction) ทีสองนโยบายมีต่อกันนัน จะไม่ได้ผลเท่ากับทีสามารถคาดหวังได้จาก
       ั                          ่                            ้                         ่
การเลือกผลักดันเพียงนโยบายใดนโยบายหนึ่ง (แน่นอนว่า สองนโยบายนี้อาจมีสวนทีหนุ นช่วย            ่ ่
ซึ่งกันและกันหรือ synergistic ในบางด้าน เช่น ในด้านความก้าวหน้ าทางวิชาการและการ
พัฒนามาตรฐานต่างๆ รวมทังอาจพัฒนาเป็ นศูนย์รบส่งต่อผูปวยหรือฝึ กอบรมนักศึกษาแพทย์)
                                     ้                             ั             ้ ่
แต่ในการกําหนดนโยบายสุขภาพของประเทศในภาพรวมนัน มีความจําเป็ นทีรฐจะต้องพิจารณา ้           ่ั
(หรือประเมิน) นโยบายศูนย์กลางทางการแพทย์ (medical hub) ในบริบทของการมีหลักประกัน
สุขภาพถ้วนหน้า ซึงถือได้วาเป็ นนโยบายหลักด้านสุขภาพของประเทศ ไม่ใช่แยกพิจารณาและ
                       ่        ่
ผลักดันสองนโยบายทีอาจขัดแย้งกันโดยไม่สนใจผลกระทบที่นโยบายหนึ่งจะมีต่ออีกนโยบาย
                         ่
หนึ่ง (อุปมาได้เหมือนกับการขับรถโดยเหยียบทังคันเร่งและเบรคพร้อมๆ กัน) และในกรณีทจะ
                                                             ้                                        ่ี
ดําเนินสองนโยบายนี้ควบคู่กนไปนัน (หรือแม้กระทังในกรณีท่จะสนับสนุ นนโยบายเดียว แต่
                                         ั     ้                     ่               ี

4
  โดยเฉพาะอย่างยิง เมื่อคํานึงว่าผูป่วยทีรบการรักษาในต่างประเทศจะมีความเสียงบางด้านมากกว่าการรักษาใน
                  ่                ้    ่ั                                ่
ประเทศตนเอง เช่น อาจมีขอจํากัดมากกว่า (หรือบางครังก็เป็ นไปไม่ได้) ในการฟ้องร้องในกรณีท่เกิดความ
                             ้                          ้                                   ี
เสียหายที่เกิดจากการรักษาพยาบาล หรือในด้านการรักษาต่อเนื่อง (follow up) เมื่อผูป่วยเดินทางกลับไปสู่
                                                                                  ้
ประเทศตัวเองแล้ว และการมีระบบการคุ้มครองผู้ป่วยที่ดคงจะมีส่วนในการผลักดันให้สถานพยาบาลต้อง
                                                          ี
ปรับปรุงคุณภาพของตนตามไปด้วย (ดูการวิเคราะห์ประเด็นนี้ได้ใน วิโรจน์ ณ ระนอง 2541)
5
  ซึงอาจส่งผลไปถึงงบค่าใช้จายของภาครัฐด้วย
    ่                          ่

                                                   2
ยอมให้มการดําเนินการในอีกด้านหนึ่งด้วย) ก็ควรต้องมีการกําหนดเป้าหมายและมาตรการ
          ี
ควบคุมทีคํานึงถึงผลกระทบภายนอก (externality) เพื่อจํากัดผลกระทบด้านลบทีอาจเกิดขึนให้อยู่
            ่                                                                    ่       ้
ในระดับทียอมรับได้
              ่
        สภาที่ปรึกษาเศรษฐกิจและสังคมแห่งชาติ โดยคณะทํางานเศรษฐกิจภาคบริการ ได้
ตระหนักถึงข้อเท็จจริงและสภาพการณ์ ดงกล่าว ประกอบกับบทบาทของสภาที่ปรึกษาฯ มี
                                        ั
                                                        ั
หน้าที่ให้คําปรึกษาและข้อเสนอแนะต่อคณะรัฐมนตรีในปญหาต่างๆ ที่เกี่ยวกับเศรษฐกิจและ
สังคม โดยเฉพาะประเด็น เกี่ย วกับ ชีวิต ความเป็ น อยู่ การประกอบอาชีพ ที่มีผ ลกระทบกับ
ประชาชนทังประเทศ จึงได้สนับสนุ นให้คณะผู้วิจยจัดทําโครงการศึกษาวิจย “แนวทางการ
                ้                                 ั                            ั
พัฒนาศูนย์กลางสุขภาพของประเทศไทย (Thailand Medical Hub)” เพื่อศึกษาความสัมพันธ์
และผลกระทบของนโยบายศูนย์กลางสุขภาพของไทยกับนโยบายด้านสุขภาพอื่นๆ ทีเกี่ยวข้อง         ่
(เช่น นโยบายหลักประกันสุขภาพถ้วนหน้า ฯลฯ) เพือนํามาเป็ นข้อมูลจัดทําแนวทางการปรับปรุง
                                                ่
นโยบายศูนย์กลางทางการแพทย์ของไทยในบริบทที่มความสัมพันธ์และสมดุลย์กบนโยบาย
                                                      ี                            ั
หลัก ประกัน สุข ภาพถ้ว นหน้ า และนโยบายที่เ กี่ย วข้อ งอื่น ๆ เพื่อ ให้เ กิด ประโยชน์ สูงสุ ด กับ
ประเทศไทยต่อไป

1.1 วัตถุประสงค์
    1. เพื่อศึกษาสถานการณ์ แนวโน้ ม และผลการดําเนินการของนโยบายศูนย์กลางทาง
       การแพทย์ (medical hub) ของไทยตังแต่ปี พ.ศ.2546 เป็ นต้นมา
                                              ้
    2. เพื่อศึกษาเปรียบเทียบการให้บริการคนไข้ต่างชาติตามนโยบายศูนย์กลางด้านสุขภาพ
       ในประเทศไทยกับประเทศอื่นที่มการผลักดันนโยบายนี้ ในทวีปเอเชีย ทังในด้านสภาพ
                                        ี                                 ้
         ั
       ปญหา อุปสรรค และศักยภาพ เพื่อนํ ามากําหนดแนวทางการพัฒนาศูนย์กลางสุขภาพของ
       ไทย
    3. เพื่อ ศึก ษาความสัม พัน ธ์ แ ละผลกระทบของนโยบายศู น ย์ ก ลางสุ ข ภาพของไทย
       (Thailand Medical Hub) กับนโยบายด้านสุขภาพอื่นๆ ทีเกียวข้อง ทังในด้านผลกระทบ
                                                           ่ ่       ้
       ทางด้านเศรษฐกิจและสังคม ผลกระทบต่ อบุคลากร และผลกระทบที่มีต่อราคาของ
       บริการด้านสุขภาพและการเข้าถึงบริการทีมคุณภาพของประชาชน
                                                   ่ ี
    4. เพื่อศึกษาเชิงคุณภาพเพื่อให้ทราบถึง มุมมอง ทัศนะ และข้อเสนอในด้านแนวทางและ
                                            ั                  ่
       มาตรการปรับปรุง และ/หรือ แก้ไขปญหา จากมุมมองของฝายต่างๆ ตังแต่ผทมสวนใน
                                                                       ้     ู้ ่ี ี ่
       การกําหนดนโยบาย ไปจนถึงกลุ่มผูทมสวนได้สวนเสียต่างๆ
                                          ้ ่ี ี ่       ่
                       ้                               ่ ั       ่
    5. เพือสังเคราะห์ขอเสนอแนะเชิงนโยบาย เพือให้รฐบาลและฝายต่างๆ ทีเกียวข้องนําไป
           ่                                                             ่ ่
       ดําเนินการให้เกิดประโยชน์สงสุดต่อประเทศ
                                    ู




                                               3
1.2 ขอบเขตการศึกษา
        1) ศึกษาผลกระทบของนโยบายศูนย์กลางสุขภาพของไทย (Thailand Medical Hub)
ทังในด้านผลกระทบต่ อเศรษฐกิจ ผลกระทบที่มต่อบุ คลากร และผลกระทบที่มต่อราคาของ
    ้                                             ี                        ี
บริการด้านสุขภาพและการเข้าถึงบริการทีมคุณภาพของประชาชน
                                         ่ ี
        2) ศึกษาเปรียบเทียบการให้บริการศูนย์กลางด้านสุขภาพในประเทศไทยกับประเทศ
  ่        ิ                                               ้           ั
คูแข่งในภูมภาคนี้ อันได้แก่ สิงคโปร์ อินเดีย และมาเลเซีย ทังในด้านสภาพปญหา อุปสรรค และ
ศักยภาพ
        3) นํ า เสนอข้อ เสนอแนะเชิง นโยบายในการพัฒ นาแนวทางการดํา เนิ น นโยบายที่
เหมาะสมสําหรับ การพัฒนาศูนย์กลางสุขภาพของไทย และมีความสมดุ ล กับนโยบายด้าน
สุขภาพทีเกียวข้อง โดยเฉพาะนโยบายหลักประกันสุขภาพถ้วนหน้า
         ่ ่

1.3 ระยะเวลาที่ศึกษา
       12 เดือน (กันยายน 2550 ถึง สิงหาคม 2551)

1.4 วิธีการดําเนินงาน
          1) รวบรวม ศึกษา วิเคราะห์ สังเคราะห์ขอมูลจากเอกสารรายงานและเอกสารการวิจย
                                                  ้                                      ั
ที่เกี่ยวกับสถานการณ์ แนวโน้ม และผลการดําเนินการของนโยบายศูนย์กลางทางการแพทย์
(medical hub) ของไทย
          2) ศึกษาเปรียบเทียบการให้บริการศูนย์กลางด้านสุขภาพในประเทศไทยกับประเทศ
เพือนบ้าน ทีเป็ นคูแข่งในภูมภาคนี้ อันได้แก่ สิงคโปร์ อินเดีย และมาเลเซีย
    ่        ่    ่         ิ
          3) สัมภาษณ์เชิงลึก และเก็บข้อมูลจากสถานพยาบาล และหน่วยงานทีมสวนเกียวข้อง
                                                                             ่ ี่ ่
กับการดําเนินงานตามนโยบายศูนย์กลางสุขภาพของไทย และนโยบายทีเกียวข้องอื่นๆ่ ่
          4) จัดประชุมสัมมนาเสนอผลการศึกษา และระดมความคิดเห็นผูเกียวข้องและผูมสวน
                                                                         ้ ่        ้ ี่
ได้ส่วนเสีย เพื่อนํ าความคิดเห็น มุมมอง และข้อเสนอแนะของฝ่ายต่างๆ มาสังเคราะห์เป็ น
ข้อเสนอเชิงนโยบายสําหรับทางสภาทีปรึกษาฯ และรัฐบาลต่อไป
                                      ่

1.5 วิธีการศึกษาโดยละเอียด
        การศึกษานี้แบ่งออกเป็ น 7 ส่วนหลักๆ โดยในส่วนแรกเป็ นการศึกษาความเป็ นมา
สถานการณ์ แนวโน้ม และการดําเนินการตามนโยบายศูนย์กลางทางการแพทย์ (medical hub)
ส่วนทีสองศึกษาเปรียบเทียบการให้บริการศูนย์กลางด้านสุขภาพในประเทศไทย กับประเทศอื่น
      ่
ทีมการดําเนินการด้าน medical tourism ส่วนที่ 3 ประมาณการผลกระทบของการมี medical
  ่ ี
hub ที่มต่อเศรษฐกิจของประเทศ ในด้านรายรับและมูลค่าเพิมที่เกิดจากการให้บริการทาง
          ี                                                 ่
การแพทย์ และในกิจกรรมที่ต่ อ เนื่ อง เช่น การท่องเที่ยว ส่ว นที่ 4-5 เป็ นการศึกษา


                                            4
ความสัมพันธ์และผลกระทบของนโยบายศูนย์กลางสุขภาพของไทยกับนโยบายหลักประกัน
สุข ภาพถ้ว นหน้ า        ทังในด้า นผลกระทบที่มต่ อบุ ค ลากร และผลกระทบที่มีต่ อ ราคาค่า
                           ้                  ี
รัก ษาพยาบาลและการเข้าถึงบริการที่มคุณภาพของคนไทย และส่ว นที่ 7 เป็ นการนํ าผล
                                       ี
การศึกษาข้างต้นมาจัดเวทีแลกเปลี่ยนมุมมอง ความคิดเห็น และข้อเสนอแนะฝ่ายต่างๆ และ
นํามาสังเคราะห์เป็ นข้อเสนอเชิงนโยบายสําหรับสภาทีปรึกษาฯ และรัฐบาล
                                                  ่

          ส่วนที ่ 1: ศึกษาความเป็ นมา สถานการณ์ แนวโน้ ม และการดําเนิ นการตาม
          นโยบายศูนย์กลางทางการแพทย์ (medical hub) ของไทย
          การศึก ษาในส่ว นนี้ ใ ช้ข้อ มูล จากสองส่ว นหลัก ๆ คือ การทบทวนข้อมูล จากเอกสาร
(content analysis) จากหน่ วยงานต่างๆ ทีเกี่ยวข้อง ทังหน่ วยงานของภาครัฐและเอกชน
                                                   ่           ้
ประกอบกับการสัมภาษณ์ เจาะลึกผู้บริหารองค์กรและหน่ วยงานที่เกี่ยวข้อง แล้วนํ ามาสรุป
เพือให้ได้ทราบถึงประวัตความเป็ นมา สถานการณ์ แนวโน้ม และผลการดําเนินการของนโยบาย
    ่                    ิ
ศูนย์กลางทางการแพทย์ (medical hub) ของไทยโดยมีจุดเน้นตังแต่ปี พ.ศ.2546 เป็ นต้นมา
                                                                   ้
          ในด้านการการทบทวนข้อมูลจากเอกสารนัน การศึกษาส่วนนี้อาศัยข้อมูลทุตยภูมจาก
                                                           ้                         ิ ิ
หน่วยงานราชการต่างๆ โดยเฉพาะอย่างยิง กระทรวงสาธารณสุข กระทรวงพาณิชย์ และ
                                              ่
กระทรวงศึกษาธิการ            (ซึงมีบทบาทกํากับโรงเรียนแพทย์)
                                ่                                    และการวิเคราะห์ขอมูลของ
                                                                                      ้
                                                                        ้ ่
โรงพยาบาลเอกชนในตลาดหลักทรัพย์ท่ี specialize ในด้านการรักษาผูปวยต่างประเทศ จาก
ข้อมูลทีโรงพยาบาลเหล่านันรายงานตลาดหลักทรัพย์แห่งประเทศไทย
        ่                  ้
          ในส่วนของการสัมภาษณ์ผู้บริหารโรงพยาบาลภาคเอกชนนัน ใช้วธีสมภาษณ์ เจาะลึก
                                                                      ้     ิ ั
                                          ่                              ั ั
โรงพยาบาลเอกชนสามกลุ่มคือ กลุ่มทีเน้นการให้บริการชาวต่างชาติในปจจุบน กลุ่มทีเริมขยาย่ ่
                                                                                ั ั
บริการด้านนี้ในระยะหลัง และกลุ่มที่ไม่ได้เน้ นการให้บริการชาวต่ างชาติในปจจุบน ในการ
สัมภาษณ์ส่วนนี้ นอกจากจะครอบคลุมประเด็นทีกล่าวมาในตอนต้น และพยายามเปรียบเทียบ
                                                       ่
แนวทางและวิธการดําเนินการของโรงพยาบาลทีเน้นการให้บริการชาวต่างชาติว่ามีส่วนสําคัญ
                   ี                                     ่
อะไรบ้างทีแตกต่างจากโรงพยาบาลเอกชนกลุ่มทีไม่ได้เน้นการให้บริการชาวต่างชาติแล้ว ยังได้
             ่                                       ่
สอบถามถึงอุปสรรคและความต้องการความสนับสนุ นจากภาครัฐด้วย (ตัวอย่างเช่น ที่ผ่านมา
ภาคเอกชนบางส่วนเห็นว่า ความช่วยเหลือของรัฐทีประกอบด้วยการจัดประชาสัมพันธ์ในทาง
                                                             ่
ประเทศ รวมทัง road show ทีให้เอกชนร่วมเดินทางไปประชาสัมพันธ์ และการช่วยเหลือด้าน
                 ้                  ่
ยืดอายุวซ่าให้แก่คนไข้และญาติทตามมาดูแล ยังไม่เพียงพอทีจะสนับสนุ นให้นโยบายนี้ดาเนิน
           ี                          ่ี                         ่                      ํ
ไปได้อย่างมีประสิทธิภาพ) การศึกษารวมไปถึงโรงพยาบาลรัฐขนาดใหญ่ทเป็ นโรงเรียนแพทย์
                                                                             ่ี
ด้วย
          สําหรับการสัมภาษณ์ผูบริหารภาครัฐนัน นอกจากจะครอบคลุมประเด็นต่างๆ ข้างต้น
                                  ้              ้
แล้ว ในส่วนของผู้บริหารหน่ วยงานที่เกี่ยวข้องกับด้านสุขภาพ (เช่น กระทรวงสาธารณสุข
ผูบริหารโรงเรียนแพทย์และคณะทันตแพทย์ และพยาบาล) ยังเชื่อมโยงไปถึงการกํากับดูแลใน
  ้
ด้ า นมาตรฐานและการคุ้ ม ครองผู้ บ ริโ ภค ด้ า นกํ า ลัง คน และผลกระทบที่มีต่ อ โครงการ


                                             5
หลักประกันสุขภาพถ้วนหน้าและโครงการประกันสังคม และภาพรวมด้านสุขภาพของประเทศ
ตลอดจนความเห็นเกียวกับทิศทางแนวทางทีเหมาะสมในการพัฒนาศูนย์กลางทางการแพทย์ท่ี
                 ่                   ่
เหมาะสมและสมดุลย์สาหรับประเทศไทยด้วย
                   ํ

        ส่วนที ่ 2: ศึกษาเปรียบเทียบการให้บริ การศูนย์กลางด้านสุขภาพในประเทศไทย
        กับประเทศอืนทีประสบความสําเร็จ และทีพยายามผลักดันโครงการ medical
                       ่ ่                           ่
        hub
            ประเทศไทยไม่ใช่ประเทศเดียว (หรือประเทศแรก) ในภูมภาคนี้ ทีพยายามผลักดันให้
                                                                ิ     ่
ประเทศตัวเองกลายเป็ น medical hub ตัวอย่างประเทศเพื่อนบ้านทีผลักดันเรื่องนี้มาก่อนและ
                                                                  ่
ประสบความสําเร็จพอสมควรคือ สิงคโปร์ นอกจากนี้ยงมีประเทศอื่นๆ ในภูมภาคนี้ทพยายาม
                                                   ั                     ิ    ่ี
ดันตัวเองขึนมา แต่ยงไม่ประสบความสําเร็จเท่าสิงคโปร์ เช่น อินเดีย และมาเลเซีย
             ้       ั
            บทเรียนของทังประเทศทีเคยประสบความสําเร็จมาก (เช่น สิงคโปร์) และประเทศที่
                         ้            ่
ยังไม่ประสบความสําเร็จมากน่ าจะเป็ นประโยชน์ในการกําหนดแนวทางพัฒนา medical hub
ของไทย นอกจากนี้ การทีหลายประเทศในภูมภาคพยายามดันตัวเองขึนมาเป็ น medical hub
                             ่              ิ                       ้
ย่อมหมายความว่าประเทศเหล่านี้เป็ นคู่แข่งของไทยในระดับหนึ่ง การศึกษาเปรียบเทียบการ
ให้บริการศูนย์กลางด้านสุขภาพในประเทศไทยกับประเทศเหล่านี้ (โดยเฉพาะอย่างยิงในทวีป ่
                           ั
เอเชีย) ทังในด้านสภาพปญหา อุปสรรค และศักยภาพ จึงน่ าจะเป็ นประโยชน์ในการกําหนด
          ้
แนวทางการพัฒนาศูนย์กลางสุขภาพของไทย
            การศึกษาในส่วนนี้ประกอบด้วยการศึกษาพืนฐานและผลการดําเนินการของ medical
                                                 ้
hub ในประเทศต่างๆ ในภูมภาคนี้ โดยการทบทวนจากเอกสารและทางอินเตอร์เน็ต รวมทังผล
                               ิ                                                   ้
                                 ่ี ่                  ้     ั
การประชุมสัมมนานานาชาติทเกียวข้อง เพื่อให้ได้เรียนรูสภาพปญหา อุปสรรค ศักยภาพ และ
แผนงานในอนาคตของ medical hub ในประเทศอื่นๆ เพื่อนําบทเรียนมาเสนอแนวทางการ
พัฒนาศูนย์กลางสุขภาพของไทยต่อไป

       ส่วนที ่ 3: ศึกษาผลกระทบด้านเศรษฐกิ จของประเทศ
       การศึกษาส่วนนี้ประมาณการผลกระทบของการมี medical hub ทีมต่อเศรษฐกิจของ
                                                                      ่ ี
ประเทศ ทังในด้านรายรับ (และมูล ค่า เพิ่ม) ที่เ กิดจากการให้บ ริก ารทางการแพทย์ และใน
           ้
กิจกรรมทีต่อเนื่อง เช่น การท่องเทียว ทังในส่วนของผูป่วยในช่วงก่อนและหลังการรับบริการ
         ่                       ่     ้             ้
ด้านการแพทย์ และในส่วนของญาติทเี่ ดินทางมาด้วย
       การประมาณการในส่วนของบริการด้านการแพทย์ คณะผูวจยได้พยายามหาข้อมูลปฐม
                                                            ้ิั
ภูมจากการศึกษาในส่วนอื่นๆ (เช่น ส่วนที่ 1 ในการสัมภาษณ์และขอข้อมูลจากสถานพยาบาล)
   ิ
และข้อมูลทุติยภูมจากตลาดหลักทรัพย์ สําหรับในส่วนของกิจกรรมที่ต่อเนื่องก็ได้พยายาม
                   ิ
ประยุกต์ใช้ขอมูลจากการสัมภาษณ์ผูประกอบการและข้อมูลจากหน่ วยงานรัฐทีเกี่ยวข้อง (เช่น
             ้                     ้                                      ่
                               ้          ั
ททท.) แต่การหาข้อมูลในทังสองส่วนมีปญหาค่อนข้างมาก จึงได้หนไปใช้ตวเลขของทาง
                                                                    ั       ั


                                         6
ราชการ (เช่น กรมส่งเสริมการส่งออก ซึ่งรับรายงานจากสถานพยาบาลเอกชน การประมาณ
การรายรับจากเป้าหมายของกระทรวงสาธารณสุข และการสํารวจของสํานักงานสถิตแห่งชาติ)   ิ
ประกอบกับข้อสมมุตต่างๆ รวมทังที่ได้จากศึกษาในส่วนอื่น (เช่น สัดส่วนของคนไข้ต่างชาติ
                         ิ         ้
ประเภทต่างๆ) และข้อสมมุตเกียวกับการเพิมขึนของคนไข้ต่างชาติภายใต้ scenario ต่างๆ
                             ิ ่               ่ ้
เช่น Scenario 1 จํานวนคนไข้ต่างชาติมอตราเพิมในระดับทีใกล้เคียงกับในปี 2546-2548 (ตาม
                                          ี ั    ่     ่
ข้อมูลทีมอยูในช่วงทีเริมศึกษา) Scenario 2 จํานวนคนไข้ต่างชาติเพิมขึนในอัตราทีสงกว่าในปี
        ่ ี ่         ่ ่                                        ่ ้         ู่
2546-2548 (เป็ นตัวแทน scenario ทีนโยบาย medical hub ประสบความสําเร็จเป็ นอย่างสูง)
                                        ่
Scenario 3 จํานวนคนไข้ต่างชาติเพิมขึนในจํานวนคงที่ (1.3-1.4 แสนคน เท่ากับจํานวนทีเพิม
                                     ่ ้                                           ่ ่
ในปี 2547 และ 2548) Scenario 4 เพิมขึนในอัตราทีเท่ากับปี 2548-2550 และ Scenario 5
                                           ่ ้     ่
เพิมขึนในอัตราครึงหนึ่งของปี 2548-2550 (เป็ นตัวแทน scenario ทีมการขยายตัวของคู่แข่งใน
   ่ ้              ่                                          ่ ี
หลายประเทศ รวมทังมีโครงการตังโรงพยาบาลหลายแห่งในประเทศแถบตะวันออกกลาง และ
                       ้         ้
อาจรวมถึงกรณีทภาครัฐมีมาตรการทีมผลชะลอการเติบโตของ medical hub)
                 ่ี                   ่ ี

        ส่วนที ่ 4: ศึกษาผลกระทบต่อบุคลากร
        การศึกษาส่วนนี้จะประมาณการผลกระทบด้านบุคลากรของทังโครงการ medical hub
                                                                    ้
และผลทีเกิดนโยบายหลักประกันสุขภาพถ้วนหน้า โดยมีจุดเน้นทีแพทย์และทันตแพทย์ ซึงเป็ น
         ่                                                    ่                     ่
                               6
บุคลากรทีขาดแคลนมากทีสด
           ่              ุ่
        ก. ในด้านความต้องการบุคลากรของโครงการ medical hub จะประมาณการ
personnel requirement สําหรับรักษาคนไข้ต่างชาติในอนาคต ทังนี้ การประเมินความต้องการ
                                                                ้
บุคลากรสําหรับรักษาคนไข้ต่างชาติโดยเฉลี่ยนัน ใช้วธการศึกษาเจาะลึกโดยเก็บข้อมูลเวลาที่
                                                ้        ิี
แพทย์ใช้กบคนไข้ไทยและคนไข้ต่างชาติท่เป็ นคนไข้นอกในโรงพยาบาลเอกชน โดยแห่งแรก
             ั                             ี
เป็ นโรงพยาบาลเอกชนที่ถือเป็ น high-end ของเครือหนึ่ง ซึ่งชาวต่างชาติท่มารับบริการส่วน
                                                                         ี
ใหญ่ จ ะเป็ น ชาวตะวัน ตก สํา หรับ แห่ง ที่ส องเป็ น โรงพยาบาลเอกชนที่มีช าวเอเชีย ใต้แ ละ
ตะวันออกกลางนิยมมาใช้บริการ
        ข. การประเมินความต้องการแพทย์/ทันตแพทย์ในโครงการหลักประกันสุขภาพถ้วน
หน้า โดยเริมจากมาตรฐานทีมการกําหนดสําหรับโครงการ (เช่น จะต้องมีแพทย์อย่างน้อย 1 คน
               ่             ่ ี
ต่อประชาชน 10,000 คน และทันตแพทย์ อย่างน้อย 1 คนต่อประชาชน 20,000 คน) อย่างไรก็
ตาม มาตรฐานดังกล่าวถือได้ว่าเป็ นมาตรฐานทีค่อนข้างตํ่า (เพราะตามมาตรฐานนี้ ถ้าแพทย์
                                                  ่
ทํางานสัปดาห์ละ 5 วัน และประชาชนมาพบแพทย์เฉลียปี ละ 2.5 ครัง ในแต่ละวันแพทย์คนหนึ่งก็
                                                       ่          ้
จะต้องตรวจคนไข้ถงประมาณ 100 คน ซึงพอจะอนุ มานได้ไม่ยากว่าเป็ นระดับของการตรวจรักษาที่
                    ึ                ่
ยากทีจะทําให้มคุณภาพตามมาตรฐานอย่างคงเส้นคงวาได้) จึงหันไปอ้างอิงผลการศึกษาในอดีต
      ่          ี
ทีน่าจะมีความสมเหตุสมผลมากกว่า
  ่

6
 ดูวโรจน์ ณ ระนอง และคณะ 2547 “การหมุนเวียนของบุคลากรทีให้บริการในสถานพยาบาลภาครัฐ”
    ิ                                                      ่
รายงานวิจยเล่มที ่ 5 โครงการติดตามประเมินผลการจัดหลักประกันสุขภาพถ้วนหน้า ระยะทีสอง (2546-47)
          ั                                                                     ่

                                               7
เมื่อได้ขอมูลความต้องการบุคลากรจากทังสองส่วนแล้ว คณะผูวจยได้นําไปเทียบกับ
                 ้                          ้                 ้ิ ั
ข้อมูลการผลิตแพทย์ และประมาณการจํานวนแพทย์และทันตแพทย์ทคาดว่าจะขาด (หรือเกิน)
                                                           ่ี
  ้ ั ั
ทังในปจจุบนและในอนาคตอันใกล้

               ส่วนที ่ 5: ศึกษาผลกระทบต่อราคาของบริ การด้านสุขภาพ
               โดยทั ว ไปแล้ ว ในภาคบริ ก ารและสํ า หรับ สิ น ค้ า ที่ ไ ม่ มี ก ารส่ ง ออกหรื อ นํ า เข้ า
                       ่
(nontradable goods) ราคาของสินค้าหรือบริการเหล่านันจะขึนกับอุปสงค์และอุปทานทีมอยูใน
                                                                          ้      ้                         ่ ี ่
พื้นที่นันๆ ดังนัน เมื่อมีการเพิมอุปสงค์ (demand)
             ้             ้              ่                                  เข้ามาในระบบโดยชักนํ าคนไข้จาก
ต่างประเทศเข้ามารับบริการในประเทศไทย (ในอัตราเพิมทีสูงกว่าจํานวนแพทย์ทกลับมาหรือ
                                                                            ่ ่                         ่ี
อพยพมาจากต่างประเทศ) ก็ย่อมมีโอกาสมากทีจะดึงให้ราคาค่ารักษาพยาบาลในประเทศไทย
                                                               ่
สูง ขึ้น ตามไปด้ว ย อย่ า งไรก็ต าม ผลกระทบด้า นราคามีแ นวโน้ ม ที่จ ะแตกต่ า งกัน ในกลุ่ ม
สถานพยาบาล ตั ว อย่ า งเช่ น ราคาค่ า รัก ษาพยาบาลน่ า จะมี แ นวโน้ ม เพิ่ ม ขึ้ น มากใน
สถานพยาบาลที่เน้นการรักษาผูป่วยต่างประเทศ (ซึ่งมีกําลังซื้อเข้ามาที่โรงพยาบาลเหล่านัน
                                            ้                                                                    ้
โดยตรง) มากกว่าในโรงพยาบาลเอกชนอื่นๆ ที่ไม่ได้เน้นการรักษาผูป่วยต่างประเทศ (เช่น             ้
                             ่ ั ั
โรงพยาบาลเอกชนทีปจจุบนเน้นการให้บริการผูมสทธิ ์ประกันสังคม) หรือในสถานพยาบาลของ
                                                              ้ ี ิ
รัฐทีหางไกล (ซึงอาจได้รบเพียงผลกระทบทางอ้อม เช่น จากการทีรฐบาลต้องเพิมค่าตอบแทน
       ่ ่               ่          ั                                                    ่ั         ่
เพื่อพยายามรักษาแพทย์ให้อยู่ในระบบบริการของรัฐ ซึงอาจจะมีผลต่อต้นทุนต่อ visit หรือ
                                                                        ่
admission ไม่มากนัก)
               การศึกษาส่วนนี้ทําโดยเปรียบเทียบราคาของบริการทางการแพทย์ในสถานพยาบาล
กลุ่มต่างๆ ในช่วงเวลาทีเปลี่ยนไป (โดยพยายามเปรียบเทียบข้อมูลปจจุบนกับเมื่อประมาณ 5
                                  ่                                                         ั ั
ปี ก่ อ น หรือ ปี ล่ า สุด ที่มีข้อมูลย้อนกลับไป) โดยพยายามศึกษาอัตราเพิมของค่าบริการของ          ่
โรงพยาบาลเอกชนกลุ่มทีหนมาเน้นการรักษาผูป่วยต่างประเทศ กับอัตราเพิมของค่าบริการของ
                                 ่ ั                    ้                                       ่
โรงพยาบาลเอกชนกลุ่มทีไม่ได้เน้นการรักษาผูปวยต่างประเทศ
                                      ่                   ้ ่
               ในส่วนของโรงพยาบาลเอกชน ทังกลุ่มที่เน้นการรักษาผูป่วยต่างประเทศ และกลุ่มที่
                                                   ้                                   ้
ไม่ ไ ด้เ น้ น การรัก ษาผู้ป่ ว ยต่ า งประเทศ คณะผู้วิจ ัย ใช้วิธีข อความร่ ว มมือ ด้า นข้อ มู ล จาก
สถานพยาบาล (จากโรงพยาบาลเอกชนสองกลุ่มหลักที่เน้ นการให้บริการชาวต่ างชาติ และ
โรงพยาบาลเอกชนอีกสองกลุ่มทีไม่ได้เน้นการให้บริการชาวต่างชาติ) และพยายามนําข้อมูลที่
                                              ่
โรงพยาบาลรายงานให้ตลาดหลักทรัพย์มาคํานวณเป็ นดัชนีราคาค่าบริการถ่วงนํ้ าหนักอีกทาง
หนึ่ง
               ในการเปรียบเทียบราคาค่าบริการนัน คณะผูวจยได้พยายามหาข้อมูลด้วยสองวิธคอ
                                                      ้             ้ิั                                     ี ื
               วิธแรก เพื่อทีจะหลีกเลียงความผันแปรทีเกิดจากการทีคนไข้แต่ละรายมีความหนักเบา
                  ี           ่         ่                        ่                 ่
ของโรคทีแตกต่างกันไป คณะผูวจยได้สอบถามข้อมูลจากสถานพยาบาลถึงค่าใช้จายสําหรับการ
                ่                       ้ิั                                                           ่
รักษาประมาณ 5 โรค โดยเลือกจากโรคทีมกระบวนการรักษาทีค่อนข้างคงที่ และมีค่าใช้จ่ายใน
                                                  ่ ี                                ่
ส่วนทีเป็ นค่ายาไม่สูงมาก หรือไม่ผนแปรตามแต่ละเคสมากนัก (เช่น การคลอดโดยวิธผ่าตัด
           ่                                    ั                                                            ี


                                                        8
คลอด การผ่าตัดไส้ติ่ง การผ่าตัดไส้เลื่อน การผ่าตัดถุ งนํ้ าดี และการผ่าตัดเปลี่ยนข้อเข่า
ทัง หมดนี้ คิด เฉพาะกรณี ท่ีไ ม่ มีโ รคแทรกซ้อ น) 7 เพื่อ มาดู ว่ า ค่ า ใช้จ่ า ยรวมในแต่ ล ะกรณี ใ น
  ้
สถานพยาบาลแต่ละประเภท (เช่น การคลอดปกติทนอนโรงพยาบาล 2 คืน) เปลียนแปลงไป
                                                      ่ี                                 ่
มากน้อยเพียงใดในช่วงประมาณ 5 ปี ทผานมา    ่ี ่
       วิธทสอง ใช้การหารายรับเฉลียจากต่อคนไข้ (ต่อ visit หรือต่อ admission) โดยในกรณี
            ี ่ี                        ่
โรงพยาบาลเอกชนทังสองกลุ่ม พยายามสกัดข้อมูลบัญชีในภาพรวมของโรงพยาบาลจากข้อมูล
                     ้
รายงานของโรงพยาบาลที่ส่ง ให้ต ลาดหลัก ทรัพ ย์ โดยทัง สองวิธีจ ะพยายามเปรีย บเทีย บ
                                                               ้
โรงพยาบาลในตลาดหลัก ทรัพ ย์ ก ลุ่ ม ที่ เ น้ น การขยายตัว รองรับ ผู้ป่ ว ยชาวต่ า งชาติ กับ
                                                     ้ ่
โรงพยาบาลเอกชนทีอยูในตลาดหลักทรัพย์แต่เน้นผูปวยภายในประเทศในเขตกรุงเทพมหานคร
                    ่ ่
และปริมณฑล

        ส่วนที ่ 6: ศึกษาผลกระทบต่อการเข้าถึงบริ การทีมีคณภาพของคนไทย         ่ ุ
        การมี medical hub มีโอกาสทีจะส่งผลกระทบในทังสองด้าน กล่าวคือ การปรับตัวของ
                                         ่                                  ้
สถานพยาบาลของไทยเพื่อ รับ คนไข้ต่ า งชาติย่อ มทํา ให้ส ถานพยาบาลจํา นวนหนึ่ ง พัฒ นา
มาตรฐานไปสู่ระดับสากลได้มากขึน ซึ่งน่ าจะช่วยให้ผูป่วยชาวไทยทีมกําลังทรัพย์มากพอทีจะ
                                       ้                           ้                  ่ ี                   ่
แข่งขันกับกําลังซื้อจากต่างประเทศและยังสามารถไปใช้บริการจากสถานพยาบาลเหล่านันมี                           ้
โอกาสได้รบบริการทีมคณภาพมาตรฐานสูงขึน
           ั          ่ ีุ                          ้
        ในขณะเดียวกัน ค่าใช้จ่ายที่ (คาดกันว่าจะ) มีแนวโน้มทีเพิมขึนอย่างรวดเร็ว ก็อาจจะ
                                                                                   ่ ่ ้
ทํา ให้คนไทยจํ านวนไม่ น้ อยที่เคยเข้าถึงบริการเหล่ านั น ไม่ มีกํ าลังทรัพย์พอที่จะใช้บริการที่
                                                                       ้
สถานพยาบาลเดิมหรือในระดับเดิมได้อกต่อไป และต้องหันไปหาบริการทีสถานพยาบาลระดับ
                                           ี                                                 ่
รองลงมาทีคงมีราคาแพงขึนเช่นกัน (แต่ยงไม่แพงเท่าสถานพยาบาลกลุ่มแรก) และอาจมีผลต่อ
             ่                  ้               ั
กันไปเป็ นลูกโซ่
        สําหรับคนไทยส่วนใหญ่ทมรายได้กระจุกกันอยูทดานล่าง ซึงคงต้องหันไปพึงบริการ
                                    ่ี ี                             ่ ่ี ้              ่           ่
ของโครงการหลักประกันสุขภาพถ้วนหน้า (รวมทังประกันสังคม และสวัสดิการข้าราชการ) มาก
                                                          ้
ขึน ในขณะทีแพทย์ทมทกษะสูงถูกดึงดูดไปสูภาคทีมกาลังซือสูงจากต่างประเทศมากขึนนัน ก็
  ้              ่       ่ี ี ั                       ่       ่ ีํ ้                               ้ ้
ย่อมทําให้คนส่วนใหญ่ของประเทศมีโอกาสทีจะได้รบบริการทีมคุณภาพตํ่าลง
                                                  ่         ั                  ่ ี               (หรืออาจจะ
เข้าถึงยากขึนและได้รบการดูแลในเวลาทีจากัดขึน ซึงผลกระทบในส่วนนี้มโอกาสทีจะเป็ นปญหา
               ้       ั                     ่ํ         ้        ่                         ี   ่        ั
ใหญ่กว่าทีคนทัวไปคิด เพราะคนไข้ต่างประเทศทีเข้ามาหนึ่งคนอาจใช้เวลาของแพทย์เป็ นสิบ
          ่ ่                                                  ่
หรือหลายสิบเท่าของเวลาทีแพทย์ใช้ตรวจคนไข้ในโครงการหลักประกันสุขภาพถ้วนหน้าหรือใน
                                  ่
                            8
โครงการประกันสังคม) และถ้าจะรักษาคุณภาพการรักษาพยาบาลของโครงการเหล่านี้ (หรือ

7
   ในโรงพยาบาลแห่งหนึ่งรายงานข้อมูลค่าใช้จ่ายการผ่าตัดริดสีดวงทวาร ซึ่งก็เป็ นหัตถการทีมคุณลักษณะที่
                                                                                      ่ ี
ใกล้เคียงกับกรณีทเี่ หลือ
8
  เป็ นไปได้วา ในสภาวะการณ์ทเี่ ปลียนแปลงไปนี้ จะก่อให้เกิดการ “ปฏิรป” และเปลียนแปลงกระบวนทัศน์
                ่                  ่                                ู            ่
             ่ี                      ่
เช่น คนไข้ทมาโรงพยาบาลโดยไม่ได้ปวยหนักอาจจะได้พบพยาบาลเวชปฏิบตแทนการพบแพทย์ หรืออาจมี
                                                                      ั ิ

                                                     9
ยกระดับคุณภาพมาตรฐานให้ทดเทียมหรือใกล้เคียงกับสถานพยาบาลใน medical hub) ก็คงมี
                                       ั
ความจําเป็ นต้องปรับเพิมค่าใช้จายในด้านการรักษาพยาบาล (โดยเฉพาะอย่างยิงในส่วนของ
                                 ่         ่                                                 ่
ค่าตอบแทนแพทย์) ของทังโครงการหลักประกันสุขภาพถ้วนหน้าและโครงการประกันสังคมใน
                                     ้
อัตราทีสงขึนและเร็วขึนกว่าในกรณีทไม่มโครงการนี้เป็ นอย่างมาก
         ู่ ้              ้                     ่ี ี
            นอกจากนี้ การขยายตัวและการยกระดับคุณภาพมาตรฐานของ medical hub ซึงย่อมมี            ่
ส่ว นที่ใ ห้บ ริก ารคนไทยด้ว ยนัน ย่อ มมีโ อกาสที่จ ะเพิ่ม ความแตกต่ า งในด้า นมาตรฐานการ
                                         ้
                          ั ั ี
รักษาพยาบาล (ซึ่งปจจุบนก็มความเป็ นทวิและพหุมาตรฐานอยู่แล้ว) ขึนไปอีก รวมทังความ    ้              ้
นิ ย มในการใช้เ ทคโนโลยีแ ละยาใหม่ๆ ที่มีร าคาแพง (รวมทัง เทคโนโลยีแ ละยาที่ย ง อยู่ใ น
                                                                              ้                  ั
ขันทดลอง หรือเทคโนโลยีและยาที่ผ่านการพิสูจน์ผลในด้านการรักษามาพอสมควรแล้ว แต่มี
   ้
ต้นทุนทีสงเมื่อเทียบกับระดับรายได้ของคนไทย) ซึงอาจส่งผลให้เกิดแนวโน้มการเรียกร้องสิทธิ ์
            ู่                                                  ่
ในการใช้เทคโนโลยีและยาราคาแพงในโครงการหลักประกันสุขภาพถ้วนหน้ าและโครงการ
                                                                          ั
ประกันสังคมเพิมขึ้น และส่งผลกระทบต่อค่าใช้จ่ายหรือปญหาในการบริหารจัดการโครงการ
                     ่
เหล่านี้ตามมา
            เนื่ องจากการวัดประโยชน์ ท่ีคนไทยจะได้รบจากการปรับ ตัวและปรับมาตรฐานของ
                                                                    ั
สถานพยาบาลต่ างๆ ทําได้ค่อนข้างยาก (และการวัดเฉพาะประโยชน์ เฉพาะจากผู้ท่ีได้รบ                              ั
ประโยชน์ โดยไม่ได้วดความสูญเสียของผูท่ถูกผลักดันออกไปจากสถานพยาบาลที่เขาเคยใช้
                             ั                          ้ ี
ด้วยอุปสรรคด้านการเงิน ก็คงจะไม่ใช่วธวดทีดนัก) การวัดทีน่าจะเป็ นเครื่องชีทดในกรณีจงน่าจะ
                                                   ิีั ่ ี                  ่         ้ ่ี ี         ึ
เป็ น การวัด ผลกระทบของโครงการนี้ ท่ีมีต่ อ คุ ณ ภาพและการเข้า ถึ ง ในส่ ว นของโครงการ
หลักประกันสุขภาพถ้วนหน้า (รวมประกันสังคม) ทีเปลียนแปลงไปจากการมี medical hub (ไม่ว่า
                                                               ่ ่
จะเป็ นทางบวกหรือลบ) มากกว่า แต่ กรณีดงกล่ า วน่ า จะเป็ นการศึกษาที่มีความสําคัญมาก
                                                            ั
พอทีจะแยกเป็ นการศึกษาต่างหาก (อีกทังยังยากทีจะแยกความเปลียนแปลงทีเกิดจากตัวแปร
      ่                                               ้           ่               ่        ่
                               ้             ั
อื่นออกไปด้วย) ดังนัน ด้วยปญหาข้อจํากัดต่างๆ ทีกล่าวมาข้างต้น การศึกษาในส่วนนี้จงใช้วธี
                                                                      ่                                ึ ิ
การศึกษาในเชิงคุณภาพ โดยพยายามประมวลให้เห็นภาพความเปลียนแปลงในด้านบุคลากรในส่วน ่
ของแพทย์ผู้เชี่ยวชาญในโรงเรียนแพทย์และสถานพยาบาลตติยภู มิเฉพาะทางของรัฐ โดย
สัมภาษณ์ผูบริหารโรงเรียนแพทย์ (เช่น โรงพยาบาลศิรราช และโรงพยาบาลรามาธิบดี) และใน
                 ้                                                      ิ
โรงพยาบาลตติยภูมเฉพาะทางของรัฐ (สถาบันโรคทรวงอก) ซึ่งการศึกษาส่วนนี้จะช่วยเสริมผล
                        ิ
การศึกษาในตอนที่ 5 (ทีเป็ นการศึกษาเรื่องบุคลากรในเชิงปริมาณ) อีกทางหนึ่ง ผลการศึกษาใน
                                   ่
สองส่วนนี้ ประกอบกับผลกระทบในด้านราคา (จากส่วนที่ 5) และผลต่อเศรษฐกิจของประเทศ
(จากส่วนที่ 4) น่ าจะช่วยให้เห็นภาพรวมของผลกระทบของโครงการ medical hub ทังทีได้                         ้ ่
                                                              ั ั
ดําเนินการจนประสบความสําเร็จพอสมควรในปจจุบนแล้ว กับแนวโน้มในอนาคต เพื่อจะเป็ น
ข้อมูลพืนฐานให้ฝ่ายต่างๆ ได้พจารณาต่อไปว่าการที่จะทําให้เกิด (หรือรักษา) สมดุลระหว่าง
          ้                                    ิ


การหันมาใช้ระบบนัดตรวจล่วงหน้า หรือการใช้การปรึกษาทางโทรศัพท์มากขึน ฯลฯ การปฏิรปเหล่านี้คงมี
                                                                     ้              ู
ส่วนช่วยลดต้นทุนและทําให้ cost effective มากขึน แต่กมโอกาสทีตองเสียสละ “คุณภาพ” ลงบางส่วนเช่นกัน
                                              ้     ็ ี     ่ ้

                                                    10
ผลกระทบในด้านต่างๆ ของการมี medical hub ทีผานมา (และ/หรือทีกําลังจะเกิดขึนในอนาคต
                                             ่ ่             ่           ้
อันใกล้) นัน ควรต้องมีการปรับเปลียนนโยบายหรือมาตรการต่างๆ หรือไม่เพียงใด
           ้                     ่

          ส่วนที ่ 7: กระบวนการและเวทีระดมความเห็นเพือเสาะหาทางออกและมาตรการที ่
                                                                            ่
          เหมาะสม
          จากการวิเคราะห์ในเชิงทฤษฎีประกอบกับ ข้อมูลที่คณะผู้วิจยมีอยู่ในขันต้น ก็ช้ีไป
                                                                                      ั              ้
ในทางทีว่าน่ าจะมีความขัดแย้งระหว่างนโยบาย medical hub กับนโยบายหลักประกันสุขภาพ
          ่
ถ้วนหน้าในระดับหนึ่ง แต่ในสังคมทีมความหลากหลายและให้ความสําคัญกับทุกฝ่ายนัน การ
                                                       ่ ี                                                     ้
จัดการกับความขัดแย้งของนโยบายไม่ได้หมายความว่าจะต้องเลือกเอาอันเดียวเสมอไป (แต่ก็
ไม่ใช่ปล่อยนโยบายที่ขดแย้งกันดําเนินไปอย่างเสรีทงคู่หรือตามกําลังความสามารถในการ
                              ั                                        ั้
                                      ่
แข่งขันหรือผลักดันของแต่ละฝาย) ดังนัน นอกจากการศึกษานี้จะมีสวนที่ 1 ซึงเป็ นการศึกษา
                                                           ้                        ่             ่
เชิงคุณภาพทีเจาะลึกไปถึงความต้องการ มุมมอง และข้อเสนอแนะของฝายต่างๆ (รวมทังผูทมี
                    ่                                                                   ่                        ้ ้ ่ี
ส่วนได้ส่วนเสียด้วย) แล้ว ยังได้มกระบวนการแลกเปลียนมุมมองและความเห็นของฝายต่างๆ
                                           ี                              ่                                ่
ในช่วงท้ายของการศึกษาอีกรอบหนึ่ง เพื่อเป็ นเวทีท่นําความเห็นและข้อเสนอแนะต่างๆ มา
                                                                     ี
อภิปรายแลกเปลียนกัน และนําไปสูการหาทางออกและมาตรการทีเหมาะสม (และบางกรณีอาจ
                        ่                        ่                                ่
                                                    ่ ่ ่
เป็ น win-win solution สําหรับทุกฝายทีเกียวข้อง) ตัวอย่างเช่น ทฤษฎีทางเศรษฐศาสตร์บ่งชี้
ว่า ผลกระทบของ medical hub ทีมต่อการขาดแคลนแพทย์และราคาค่ารักษาพยาบาลอาจจะ
                                                   ่ ี
                                             ้ ่
บรรเทาลงได้ถานอกจากเราจะนําผูปวยเข้ามาแล้ว เรายัง “นําเข้า” แพทย์เข้ามาช่วยรักษาผูปวย
                      ้                                                                                            ้ ่
เหล่านันด้วย ซึ่งการที่จะหาทางออกทํานองนี้ได้ก็จะต้องมีการแก้ไขกฎกติกาโดยคํานึงถึง
        ้
ผลกระทบทังในระยะสันและระยะยาวสําหรับฝ่ายต่างๆ ที่เกี่ยวข้องอย่างกว้างขวาง หรือจาก
                ้           ้
การศึกษาในอดีตของคณะผูวจยพบว่าในแต่ละปีจะมีนกศึกษาทันตแพทย์ปี 1 ลาออกไปสอบเข้า
                                  ้ิั                              ั
มหาวิทยาลัยใหม่ ทําให้คณะทันตแพทย์ส่วนใหญ่ผลิตทันตแพทย์ได้น้อยกว่าศักยภาพจริงของ
ตน ซึ่งถ้ามีกระบวนการที่ทําให้ฝ่ายต่างๆ ที่เกี่ยวข้องในระบบมหาวิทยาลัยสามารถโยกย้าย
นักศึกษาทีจบปี 1 จากคณะอื่นทีเรียนคล้ายกันมาเรียนต่อแทน ก็จะทําให้สามารถผลิตทันต
              ่                                ่
แพทย์เพิมขึนได้ไม่น้อยในแต่ละปี เป็ นต้น การศึกษาที่พยายามเข้าถึงมุมมองของฝ่ายต่างๆ
            ่ ้
และจะทําให้ผทเกียวข้อง (เช่น รัฐบาล แพทยสภา มหาวิทยาลัย โรงเรียนแพทย์ หรือแม้กระทัง่
                  ู้ ่ี ่
ราชวิทยาลัยฯ ต่างๆ) รวมทังมีกระบวนการและเวทีแลกเปลียนความคิดเห็น จึงน่ าจะมีสวนช่วย
                                   ้                                          ่                              ่
ให้มการปรับนโยบายและเครื่องมือทีเกียวข้องเพื่อให้การพัฒนาศูนย์กลางสุขภาพของประเทศไทย
     ี                                        ่ ่
สามารถดําเนินไปได้อย่างสมดุลย์กบบริบทของประเทศ และไม่กลายเป็ นนโยบายที่ไปสร้าง
                                                     ั
ค ว า ม ไ ม่ ส ม ดุ ล ย์ ใ ห้ ข ย า ย ตั ว จ น ก่ อ ใ ห้ เ กิ ด ผ ล ก ร ะ ท บ ด้ า น ล บ ที่ รุ น แ ร ง ต่ อ ร ะ บ บ
สุขภาพของประเทศและสุขภาวะของประชาชน




                                                         11
การสังเคราะห์ข้อเสนอแนะ
        หลังจากทีได้ดาเนินการศึกษาในทุกส่วนและผ่านกระบวนการระดมและแลกเปลียน
                 ่ ํ                                                          ่
ความคิดเห็นกันแล้ว คณะผูวจยได้นํามาสังเคราะห์เป็ นข้อสรุปและข้อเสนอแนะในการปรับปรุง
                           ้ิั
แนวนโยบายและทิศทางและแนวทางทีเหมาะสมสําหรับการพัฒนาศูนย์กลางสุขภาพของ
                                   ่
ประเทศไทย (Thailand Medical Hub) ทีมความสมดุลย์ในบริบทใหญ่ของประเทศทีมนโยบาย
                                        ่ ี                               ่ ี
หลักประกันสุขภาพถ้วนหน้าทีระบบบริการสุขภาพของภาครัฐจะยังคงมีบทบาททีสาคัญ (และ
                            ่                                          ่ํ
เชื่อมโยงไปถึงนโยบายอื่นๆ ทีเกียวข้องอีกด้วย เช่น การผลิตบุคลากร และแนวทางการออก
                              ่ ่
ใบอนุญาตประกอบโรคศิลปะให้กบแพทย์ต่างชาติสาหรับให้บริการชาวต่างประเทศ)
                                ั             ํ

1.6 ผลที่คาดว่าจะได้รบ
                     ั
       1. ได้ทราบถึงสถานการณ์ แนวโน้ม และผลการดําเนินการของนโยบายศูนย์กลาง
ทางการแพทย์ (medical hub) และนโยบายด้านสุขภาพอื่นๆ ทีเกียวข้อง เพื่อนํามาปรับปรุง
                                                        ่ ่
การดําเนินนโยบายศูนย์กลางสุขภาพให้มความเหมาะสมและเกิดประโยชน์สงสุดต่อไป
                                     ี                         ู
                            ั
       2. ได้ทราบถึงสภาพปญหา อุปสรรค และศักยภาพ ในการดําเนินนโยบายศูนย์กลางด้าน
สุขภาพของประเทศอื่นๆ เพือนํามากําหนดแนวทางการพัฒนาศูนย์กลางสุขภาพของไทย
                          ่
       3. ได้ขอสรุปและข้อเสนอแนะในการปรับปรุงแนวนโยบายศูนย์กลางทางการแพทย์
               ้
(medical hub) ของไทยในบริบททีมความสัมพันธ์และสมดุลย์กบนโยบายหลักประกันสุขภาพ
                                 ่ ี                  ั
ถ้วนหน้า และนโยบายทีเกียวข้องอื่นๆ
                      ่ ่
       4. ข้อสรุปและข้อเสนอแนะในการปรับปรุงแนวนโยบายและทิศทางและแนวทางของการ
ดําเนินนโยบายศูนย์กลางทางการแพทย์ ทีเชื่อมโยงไปถึงนโยบายด้านสาธารณสุข (โดยเฉพาะอย่าง
                                    ่
ยิงในด้านกําลังคน)
  ่


1.7 เนื้ อหาของรายงาน
        รายงานฉบับนี้ประกอบด้วย 7 ตอน โดยในตอนแรกเป็ นบทนํา ซึงกล่าวถึงหลักการและ
                                                              ่
เหตุ ผ ล วัต ถุ ป ระสงค์ข องโครงการ ขอบเขตการศึก ษา ระยะเวลา วิธีก ารดํ า เนิ น งาน วิธี
การศึกษาโดยละเอียด และผลทีคาดว่าจะได้รบจากการศึกษานี้ ตอนที่ 2 นําเสนอความเป็ นมา
                               ่         ั
สถานการณ์ แนวโน้ม และผลการดําเนินการของนโยบายศูนย์กลางทางการแพทย์ (medical
hub) ของไทยตังแต่ปี พ.ศ. 2546 เป็ นต้นมา ตอนที่ 3 ศึกษาเปรียบเทียบการให้บริการ
                    ้
ศูนย์กลางด้านสุขภาพในประเทศไทยกับประเทศเพื่อนบ้านทีมการดําเนินการด้าน medical
                                                      ่ ี
tourism ตอนที่ 4 เป็ นการประมาณการผลกระทบด้านเศรษฐกิจของประเทศ ทังในด้านรายรับ
                                                                       ้
(และมูลค่าเพิม) ทีเกิดจากการให้บริการทางการแพทย์ และในกิจกรรมทีต่อเนื่องด้านทีพกและ
                ่ ่                                             ่                ่ ั
การท่องเทียว ตอนที่ 5 เป็ นการศึกษาด้านผลกระทบทีมต่อบุคลากร ตอนที่ 6 พิจารณาถึง
           ่                                      ่ ี


                                          12
ผลกระทบต่อราคาค่ารักษาพยาบาลและการเข้าถึงบริการทีมคุณภาพของคนไทย และตอน
                                                    ่ ี
สุดท้าย (ตอนที่ 7) เป็ นการสรุปผลการศึกษาและข้อเสนอแนะทังทีคณะผูวจยรวบรวมมาได้
                                                        ้ ่     ้ิั
จากการศึกษาในช่วงทีผานมา และแนวทางพัฒนาทีเสนอโดยคณะผูวจย
                    ่ ่                    ่            ้ิั

เอกสารอ้างอิง
กระทรวงสาธารณสุข. 2546. แผนยุทธศาสตร์การพัฒนาให้ประเทศไทยเป็ นศูนย์กลาง
          สุขภาพแห่งเอเชีย(พ.ศ.2547-2551). ค้นวันที่ 19 มิถุนายน. จาก
          http://www.moph.go.th/ops/spa/center%20health%20ASIA.ppt
วิโรจน์ ณ ระนอง. 2541. การคุ้มครองผู้บริ โภคในด้านการรักษาพยาบาลในโรงพยาบาล
        เอกชน. โครงการวิจยเพือจัดทําแผนแม่บทกระทรวงพาณิชย์ 2540-2550. กรุงเทพ:
                           ั ่
        สถาบันวิจยเพือการพัฒนาประเทศไทย. (รายงานฉบับแก้ไข)
                  ั ่




                                      13
14
2. ความเป็ นมา สถานการณ์ แนวโน้ ม และการดําเนินการตามนโยบาย
              ศูนย์กลางทางการแพทย์ (medical hub)

2.1 ประวัติความเป็ นมา
          นโยบายศูนย์กลางทางการแพทย์ (medical hub) ของไทย เป็ นนโยบายทีประกาศใช้                      ่
โดยรัฐบาลทีนําโดยพรรคไทยรักไทยเมื่อปี พ.ศ. 2546 อย่างไรก็ตาม จุดเริมของนโยบายนี้มา
                    ่                                                                           ่
จากการขยายตัวของการท่องเทียวเชิงการแพทย์ (medical tourism) หรือเชิงสุขภาพ (health
                                                      ่
                ่             ้                                               ู้ ่
tourism) ซึงเกิดขึนในหลายประเทศ โดยมีการจัดให้ผปวยไปรับบริการด้านการแพทย์หรือด้าน
สุขภาพในประเทศอื่น ทีมบริการทีมคุณภาพสูงกว่าและ/หรือมีค่าใช้จ่ายตํ่ากว่า หรือเสียเวลารอ
                                          ่ ี           ่ ี
คิวน้อยกว่า และในบางกรณีกมการผสมผสานบริการด้านการรักษาพยาบาลและการพักฟื้ นกับ
                                                    ็ ี
การท่องเทียวด้วย
            ่
          การทีประเทศไทยเป็ นแหล่งท่องเทียวทีเป็ นทีนิยมของชาวต่างชาติ และเป็ นประเทศที่
                      ่                                           ่ ่     ่
เปิ ดโอกาสให้ชาวต่างชาติเข้ามาลงทุนและทํางานอย่างกว้างขวาง ทําให้สถานพยาบาลใน
ประเทศไทยหลายแห่งมีประสบการณ์กบการรักษาชาวต่างชาติอยู่แล้ว ประกอบกับประเทศ
                                                                ั
ไทยมีแพทย์ทไปศึกษาต่อในต่างประเทศจํานวนมาก แพทย์ไทยจํานวนไม่น้อยจึงมีศกยภาพใน
                        ่ี                                                                              ั
การรักษาพยาบาลชาวต่างประเทศและนักท่องเทียวอยูแล้ว                     ่         ่
          แต่จุดเปลียนทีสาคัญของการขยายการท่องเทียวเชิงการแพทย์ (medical tourism) ใน
                             ่ ่ ํ                                          ่
ประเทศไทยเกิดขึนหลังปี 2540 จากความพยายามของภาคเอกชนเพื่อแก้ปญหาผลกระทบจาก
                           ้                                                                  ั
ภาวะเศรษฐกิจฟองสบู่แตกในปี 2540 กล่าวคือ ในช่วงที่ประเทศไทยอยู่ในภาวะฟองสบู่นัน                                     ้
โรงพยาบาลเอกชนของไทย ก็คล้ายกับธุรกิจเอกชนอื่นๆ ทีได้มการลงทุนด้านการก่อสร้างและ   ่ ี
ขยายกิจการอย่างขนานใหญ่ โดยในระหว่างปี 2534-2542 มีการขยายจํานวนเตียงจาก
14,927 เพิมเป็ น 40,825 เตียง หรือเพิมขึนร้อยละ 173.5 (ในบางปี เช่น ปี 2535 มีอตราเพิมขึน
              ่                                             ่ ้                                     ั           ่ ้
ถึงร้อยละ 47 ในชัวระยะเวลาเพียงปี เดียว) (กระทรวงสาธารณสุข 2546) หลังฟองสบู่แตก
                                   ่
                                                              ั
โรงพยาบาลเอกชนหลายแห่งก็ประสบปญหาอัตราการครองเตียง (Bed Occupation Rate) ที่
ตํ่าลงมากและมีภาวะเตียงว่างจํานวนมาก (โดยเฉพาะอย่างยิง โรงพยาบาลเอกชนที่ถอได้ว่า     ่                        ื
เป็ นกลุ่ม high-end                         เนื่องจากกลุ่มที่เคยเป็ นลูกค้าหลักมีรายได้ลดลง จึงหันไปรับบริการ
รักษาพยาบาลที่อ่น) โรงพยาบาลเหล่านี้จงพยายามปรับตัวโดยการหาลูกค้าจากประเทศที่มี
                                ื                                  ึ
                                     ่ ุ่
กําลังซือสูง (เช่น ญีปน ยุโรป และตะวันออกกลาง) เข้ามาเสริม
       ้
          ในส่ ว นของภาครัฐ นั น เนื่ อ งจากในช่ ว งฟองสบู่ ป ระเทศไทยมีป ญ หาขาดดุ ล บัญ ชี
                                                  ้                                               ั
เดินสะพัดในอัตราที่สูงติดต่อกันมานานหลายปี หลังจากฟองสบู่แตก รัฐบาลจึงได้พยายาม
ผลักดันให้มการส่งออกเพิมขึน ซึ่งนอกจากการส่งออกสินค้า (และแรงงาน) ไปต่างประเทศแล้ว
                  ี                           ่ ้
กรมส่งเสริมการส่งออก กระทรวงพาณิชย์ ยังหันมาสนใจการหารายได้เข้าประเทศจากบริการ
ด้านสาธารณสุข ซึงทีผานมาสาธารณสุขของไทยก็มช่อเสียงเป็ นทีรจกกันดีในระดับภูมภาคอยู่
                                  ่ ่ ่                                 ี ื            ่ ู้ ั               ิ
แล้ว (เช่น ในประเทศเพื่อนบ้าน ประเทศในแถบเอเชียใต้ และตะวันออกกลาง) ให้มการขยาย                           ี

                                                        15
บริการในรูปของ medical tourism ทีมการนําคนไข้จากประเทศทีมกําลังซือสูงมารับบริการทาง
                                        ่ ี                             ่ ี       ้
การแพทย์และสุขภาพในประเทศไทย และดึงดูดผูท่เกษียณอายุมาตังถินฐานในประเทศไทย
                                                        ้ ี                 ้ ่
(วิโรจน์ ณ ระนอง 2541)
         ในช่ ว งรัฐ บาลต่ อ มา (รัฐ บาลทัก ษิณ ) ถึง แม้ว่ า ภาวะวิก ฤติข องโรงพยาบาลเอกชน
โดยรวมจะบรรเทาลง และในปี 2544 รัฐบาลได้ขยายหลักประกันสุขภาพให้ครอบคลุมคนไทย
ทังประเทศ ผ่านโครงการ “30 บาทรักษาทุกโรค” (ซึ่งมีผลทําให้มการใช้บริการด้านการ
   ้                                                                          ี
รัก ษาพยาบาลเพิ่มขึ้นอย่างมีนัยสําคัญ) แล้ว รัฐบาล (โดยทังกระทรวงพาณิ ชย์และกระทรวง
                                                                    ้
สาธารณสุข) ยังคงผลักดันนโยบายการพัฒนาและสนับสนุ นประเทศไทยให้เป็ นศูนย์กลางทาง
การแพทย์ในภูมภาค (medical hub) ในปี 2546 รัฐบาลประกาศนโยบายทีจะผลักดันให้
                  ิ                                                                   ่
ประเทศไทยเป็ นศูนย์กลางของการบริการทางด้านการแพทย์ (medical hub) และเป็ นศูนย์กลาง
ของการบริการทางด้านสุขภาพ (health hub) ทีให้บริการด้านการสร้างเสริมสุขภาพและบริการ
                                                  ่
อื่นๆ (เช่น สปา) และผลิตภัณฑ์สขภาพ (เช่น สมุนไพร) ให้แก่ชาวต่างชาติ เพื่อดึงดูดให้คนจาก
                                   ุ
ทัวโลกเข้ามาใช้บริการในประเทศไทยและเป็ นทางหนึ่งทีจะนํารายได้เข้าประเทศ
     ่                                                        ่
         ทังนี้ ในการดําเนินการของภาครัฐ ได้มการประชุมเพื่อจัดทําแผนพัฒนาประเทศไทย
           ้                                        ี
เป็ นศูนย์กลางด้านการแพทย์สาธารณสุขของเอเชีย (Medical Hub of Asia) ในเดือนพฤษภาคม
2546 โดยมีคณะทํางานจาก 4 กระทรวงหลัก ประกอบด้วย กระทรวงสาธารณสุข กระทรวงการ
ท่องเที่ยวและกีฬา กระทรวงการคลัง และกระทรวงพาณิชย์ รวมถึงโรงพยาบาลและธุรกิจที่
เกี่ยวข้อง โดยที่กระทรวงสาธารณสุขเป็ นกลไกหลักในการผลักดันนโยบาย นโยบายนี้ได้ถูก
กําหนดเป็ นแผนยุทธศาสตร์ 5 ปี (2547-2551) ภายใต้หลักการและเหตุผลว่าโครงการ 30 บาท
รักษาทุกโรค ส่งผลให้บริการสาธารณสุขกระจายทัวถึงทังประเทศ ทําให้โรงพยาบาลเอกชนทีมี
                                                      ่         ้                           ่
ขีดความสามารถเหลือเป็ นโอกาสทีจะพัฒนาบริการและสิงอํานวยความสะดวกทางด้านบริการ
                                      ่                           ่
การแพทย์และสุขภาพโดยยกระดับมาตรฐานคุณภาพสูสากล แล้วไปนําเสนอในต่างประเทศได้
                                                            ่
เพือเป็ นแหล่งรายได้ใหม่ทมประสิทธิภาพและขยายตัวได้อย่างต่อเนื่องให้กบประเทศ (กระทรวง
       ่                      ่ี ี                                                  ั
สาธารณสุ ข 2546) ทัง นี้ ได้มีก ารมอบหมายให้ก รมสนั บ สนุ น บริก ารสุ ข ภาพ กระทรวง
                            ้
สาธารณสุข เป็ นผูรบผิดชอบด้านผลิตภัณฑ์ (product)
                     ้ั                                               โดยแยกประเภทของผลิตภัณฑ์
ออกเป็ นสามประเภทคือ
         • การบริการด้านการแพทย์ (Medical Service) เน้นการรักษาพยาบาลในระดับสูง
             โดยนํ าเสนอแง่ความเป็ นเลิศในการบริการทางการแพทย์ท่ดท่สุดในเอเชีย เช่น
                                                                                ี ี ี
             การผ่าตัดรักษามะเร็ง การรักษาโรคหัวใจ การรักษาด้านทันตกรรม
         • การบริการด้านสุขภาพ (Health Service) เช่น การเสริมสวย สปา นวดแผนไทย
             การท่องเทียวเชิงสุขภาพ
                          ่
         • ผลิตภัณฑ์สุขภาพและสมุนไพร (Herbal Products) เช่น เครื่องสําอาง อาหารเสริม
             โดยเน้นทีผลิตภัณฑ์สมุนไพร
                        ่



                                             16
โดยมีจุดเน้นอยูทบริการประเภทแรก คือ การบริการด้านการแพทย์ (Medical Service)
                        ่ ่ี
โดยได้กําหนดวิสยทัศน์ให้ประเทศไทยเป็ นศูนย์กลางการแพทย์ของเอเชีย (Thailand: The
                  ั
Excellent Medical Hub of Asia) ภายใน 5 ปี (พ.ศ. 2551)9 (กระทรวงสาธารณสุข 2546) และ
ทางกระทรวงสาธารณสุขได้จดทําประมาณการเป้าหมายรายได้ของแต่ละผลผลิตดังตาราง
                              ั
ต่อไปนี้

               ตารางที่ 2.1 ประมาณการเป้ าหมายรายได้ของแต่ละผลผลิ ต
                                                               (หน่วย: ล้านบาท)
   ประเภทธุรกิ จ      2547         2548         2549        2550         2551         รวม
รักษาพยาบาล          19,635       23,100       27,433      32,898       39,833      142,899
ส่งเสริมสุขภาพ        4,996        6,754       9,185       12,492       16,989       50,419
ผลิตภัณฑ์สขภาพ
            ุ         1,500        2,000       3,000        4,000        7,000       17,500
        รวม          26,131       31,845       39,618      49,390       63,822      210,815
ทีมา: กระทรวงสาธารณสุข (2546)
  ่

        ในด้านงบประมาณในการจัดการนัน ตามมติคณะรัฐมนตรีเมื่อวันที่ 19 มิถุนายน 2547
                                    ้
(สํานักเลขาธิการคณะรัฐมนตรี 2547) ได้มการจัดสรรงบประมาณตามแผนยุทธศาสตร์การ
                                      ี
พัฒนาประเทศไทยเป็ นศูนย์กลางสุขภาพเอเชียและแผนยุทธศาสตร์การพัฒนาอุตสาหกรรม
สมุนไพร ของกระทรวงสาธารณสุข โดยมีการเห็นชอบในหลักการกรอบวงเงินงบประมาณ
รายจ่ายของแผนยุทธศาสตร์การพัฒนาประเทศไทยเป็ นศูนย์กลางสุขภาพเอเชียในระหว่างปี
2547-2551 รวมเป็ นจํานวน 564.5 ล้านบาท งบประมาณดังกล่าวได้ครอบคลุมทังการส่งเสริม
                                                                        ้
การบริการด้านการแพทย์ (Medical Service) การบริการด้านสุขภาพ (Health Service) และ
ผลิตภัณฑ์สขภาพและสมุนไพร (Herbal Products) ตามรายละเอียดในตารางที่ 2.2 ดังนี้
           ุ




9
   สําหรับการบริการด้านสุขภาพ (Health Service เช่น การเสริมสวย สปา นวดแผนไทย การท่องเทียวเชิง
                                                                                         ่
สุขภาพ) กระทรวงสาธารณสุขได้กําหนดวิสยทัศน์ของการพัฒนาธุรกิจบริการส่งเสริมสุขภาพ คือ ประเทศ
                                         ั
ไทยเป็ นศูนย์กลางการดูแลสุขภาพของเอเชีย (Thailand: The Wellness Capital of Asia) และในส่วนของ
ผลิตภัณฑ์สขภาพและสมุนไพร (Herbal Products) กระทรวงสาธารณสุขก็ได้กําหนดวิสยทัศน์ของการพัฒนา
             ุ                                                             ั
ธุรกิจผลิตภัณฑ์สขภาพและสมุนไพรไทยไว้วา ประเทศไทยเป็ นแหล่งกําเนิดของสมุนไพรทีทรงคุณค่าเพื่อการ
                ุ                          ่                                 ่
มีสขภาพทีดี (Thailand: The Origin of Precious Herbs for Superior Health)
   ุ       ่


                                             17
ตารางที่ 2.2 งบประมาณแผนยุทธศาสตร์การพัฒนาประเทศไทย
                เป็ นศูนย์กลางสุขภาพเอเชีย จําแนกตามยุทธวิ ธีแผนงาน
                                                                  (หน่วย: ล้านบาท)
     ยุทธวิ ธีแผนงาน                                   งบประมาณ
                             2547        2548        2549     2550          2551        รวม
 การพัฒนาบริการสุขภาพ        20.0        55.0        70.0     85.0          100.0      330.0
  และผลิตภัณฑ์สขภาพ
                ุ
    การบริหารจัดการ          11.0        20.0        20.0        20.0       20.0        91.0
  ประสานการตลาดและ           13.5        25.0        30.0        35.0       40.0       143.5
     ประชาสัมพันธ์
         รวม                 44.5       100.0        120.0      140.0       160.0      564.5
ทีมา: กระทรวงสาธารณสุข (2546)
  ่

2.2 สถานการณ์ แนวโน้ ม และการดําเนินการตามนโยบายศูนย์กลางทาง
                           ่
การแพทย์ (medical hub) ที่ผานมาของไทย
        ที่ผ่านมา โรงพยาบาลเอกชนเป็ นกําลังสําคัญที่รองรับคนไข้ต่างชาติ10 ดังนัน ข้อมูล
                                                                               ้
จากโรงพยาบาลเอกชนที่ร วบรวมโดยกรมส่ง เสริม การส่งออก กระทรวงพาณิ ช ย์ (ดูข้อ มูล
ระหว่างปี 2544-2550 จากตารางที่ 2.3) จึงน่าจะบ่งบอกถึงสถานการณ์ดานนี้ได้เป็ นอย่างดี11
                                                                    ้
จากข้อมูลดังกล่าว จะเห็นได้ว่าจํานวนชาวต่างชาติทีมารับการรักษาในประเทศไทยเพิมขึน
                                                 ่                                ่ ้
อย่างรวดเร็วในระหว่างปี 2544-2548 โดยเฉพาะอย่างยิงในปี 2546 ซึงมีอตราเพิมสูงกว่าร้อย
                                                       ่         ่ ั      ่
ละ 50 ในปี นัน เป็ นช่วงทีรฐบาลเพิงเริมประกาศแผนยุทธศาสตร์การพัฒนาประเทศไทยเป็ น
               ้         ่ั       ่ ่
ศูนย์กลางสุขภาพเอเชีย การขยายตัวอย่างรวดเร็วจึงน่ าจะเป็ นผลมาจากการทําการตลาดของ
โรงพยาบาลเอกชนเป็ นหลัก12 ถึงแม้ว่าในระหว่างปี 2541-2546 โรงพยาบาลเอกชนจะได้รบ        ั
ความช่วยเหลือในด้านการประชาสัมพันธ์จากภาครัฐอยูบางก็ตาม
                                                   ่ ้


10
          ่    ั ั
   ถึงแม้วาในปจจุบนโรงเรียนแพทย์บางแห่ง เช่น โรงพยาบาลศิรราช (รวมทังศูนย์หวใจแห่งใหม่ “The Heart
                                                             ิ       ้    ั
by Siriraj” และโครงการความร่วมมือกับบริษท MEDS ซึ่งมีความร่วมมือกับโรงพยาบาลศิรราชและ
                                                 ั                                        ิ
โรงพยาบาลรามาธิบดี) จะเปิ ดรับคนไข้ต่างชาติเช่นกัน แต่กยงมีจานวนไม่มากนัก และการรับคนไข้ต่างชาติ
                                                        ็ ั ํ
คงไม่ใช่เป้าหมายหลัก (ดูรายละเอียดเพิมเติมในหัวข้อถัดไปและในบทที่ 6)
                                     ่
11
    แม้วาข้อมูลทีรายงานอาจจะตํ่ากว่าความเป็ นจริง เพราะรวบรวมโดยการส่งแบบสํารวจ ซึ่งได้รบการตอบ
        ่        ่                                                                      ั
กลับมาไม่ครบทุกโรงพยาบาล และจํานวนโรงพยาบาลทีตอบกลับมาในปี หลังๆ (55 โรงพยาบาล) ก็มากกว่า
                                                     ่
ในปีแรกๆ (20-30 โรงพยาบาล)
12
       อย่างไรก็ตาม อัตราการขยายตัวที่รายงานในตารางอาจสูงกว่าความเป็ นจริง เนื่องจากในปี แรกๆ มี
โรงพยาบาลตอบแบบสํารวจกลับมาค่อนข้างน้อย แต่เนื่องจากโรงพยาบาลทีเน้นการให้บริการชาวต่างชาติม ี
                                                                       ่
ไม่มาก ความคลาดเคลื่อนทีเกิดจากการทีมจานวนโรงพยาบาลทีรายงานมาน้อยจึงอาจไม่สงนัก
                          ่            ่ ีํ                ่                    ู

                                                18
ตารางที่ 2.3 จํานวนชาวต่างชาติ ที่มารับบริ การทางการแพทย์ในโรงพยาบาลเอกชนไทย
                                          ระหว่างปี พ.ศ. 2544-2550
                                                                     จํานวนผูป่วยชาวต่างประเทศ
                                                                            ้
                                                                                                                        รวมยอดปี
ลําดับ         สัญชาติ           ปี 2544    ปี 2545     ปี 2546      ปี 2547      ปี 2548       ปี 2549       ปี 2550   44-48 และ 50
   1      ญี่ปน
              ุ่                118,170 131,584 162,909             247,238       185,616          n/a       233,389      1,078,906
   2      สหรัฐอเมริ กา          49,253      59,402     85,292      118,771       132,239          n/a       136,248       581,205
   3      เอเชียใต้              34,857      47,555     69,574      107,627        98,303          n/a        85,412       443,328
   4      อังกฤษ                 36,778      41,599     74,856       95,941       108,156          n/a       110,286       467,616
   5      ตะวันออกกลาง             n/a       20,004     34,704       71,051        98,451          n/a       169,091       393,301
   6      อาเซียน                  n/a         n/a      36,708       93,516        74,178          n/a       115,561       319,963
   7      ไต้หวัน/จีน            26,893      27,438     46,624       57,051        57,279          n/a        29,783       245,068
   8      เยอรมนี                19,057      18,923     37,055       40,180        42,798          n/a        41,313       199,326
   9      ออสเตรเลีย             14,265      16,479     24,228       35,092        40,161          n/a        42,688       172,913
  10      ฝรังเศส
             ่                   16,102      17,679     25,582       32,409        36,175          n/a        37,251       165,198
  11      เกาหลีใต้              14,419      14,877     19,588       31,303        26,571          n/a        26,259       133,017
  12      สแกนดิ เนเวีย            n/a         n/a      19,851       20,990        22,921          n/a        49,817       113,579
  13      แคนาดา                   n/a         n/a      12,909       18,144        18,177          n/a        22,907       72,137
  14      ยุโรปตะวันออก            n/a         n/a       8,634        6,728        6,120           n/a         9,413       30,895
  15      อื่นๆ                 220,367 234,460 315,018 127,054 302,834         n/a    264,389                            1,464,122
            รวม                 550,161 630,000 973,532 1,103,095 1,249,948 1,330,000 1,373,807                           7,210,543
อัตราการขยายตัว (%ต่อปี )                    14.55       54.53        13.31        13.32          6.40          3.29        16.48
  ทีมา: สํานักส่งเสริมธุรกิจบริการ กรมส่งเสริมการส่งออก กระทรวงพาณิชย์
    ่
  หมายเหตุ: 1/ ข้อมูลเหล่านี้รวบรวมจากตัวเลขทีโรงพยาบาลรายงานเข้ามา (รวม 55 โรงพยาบาลในปี 2550) ซึงอาจยังไม่ครบถ้วน
                                                 ่                                                   ่
              2/ ข้อมูลตังแต่ปี 2546 เป็ นต้นมา อาจรวมกรณีทคนไข้กลับมารับการรักษาซํ้า (revisit) ด้วย
                         ้                                 ่ี




                                                                   19
ตารางที่ 2.4 จํานวนชาวต่างประเทศที่รบบริ การในโรงพยาบาลเอกชนไทย 55 แห่ง
                                      ั
                                  ในปี 2550
ภูมิภาค/ประเทศ                             จํานวนคนไข้ชาวต่างประเทศ (คน)   สัดส่วน (ร้อยละ)
 อเมริ กาเหนื อ                                       159,755                          11.69
- สหรัฐอเมริกา                                        136,248                           9.93
- แคนาดา                                               22,907                           1.68
- อื่น ๆ (เม็กซิโก)                                      600                            0.08
อเมริ กากลาง                                            1,278                           0.13
อเมริ กาใต้                                             1,026                           0.11
แอฟริ กา                                                1,948                           0.18
 ยุโรปตะวันตก                                         286,336                          21.01
- อังกฤษ                                              110,286                           8.04
- เยอรมนี                                              41,313                           3.02
- ฝรังเศส
      ่                                                37,251                           2.72
- เนเธอร์แลนด์                                         14,218                           1.05
- สวิสเซอร์แลนด์                                       12,395                           0.90
- สวีเดน                                               21,056                           1.54
- อื่น ๆ (อิตาลี สเปน นอร์เวย์ ฟินแลนด์)               49,817                           3.74
 ยุโรปตะวันออก                                          9,413                           0.71
- รัสเซีย                                               9,293                           0.69
- อื่น ๆ (ยูเครน คาซัคสถาน)                              120                            0.02
 ตะวันออกกลาง                                         169,091                          12.46
- สหรัฐอาหรับเอมิเรตส์                                 91,859                           6.70
- โอมาน                                                34,356                           2.52
- คูเวต                                                 6,205                           0.47
- บาห์เรน                                               3,304                           0.25
- กาตาร์                                               18,709                           1.39
- เยเมน                                                 2,763                           0.25
- อื่นๆ (อิสราเอล อิหร่าน ซาอุดอาระเบีย)
                                ิ                      11,894                           0.88
 เอเชียกลาง                                              963                            0.01
 เอเชียใต้                                             85,412                           6.26
- บังคลาเทศ                                            32,313                           2.35
- อินเดีย                                              36,645                           2.67
- ปากีสถาน                                              3,826                           0.28


                                               20
ภูมิภาค/ประเทศ                                จํานวนคนไข้ชาวต่างประเทศ (คน)              สัดส่วน (ร้อยละ)
 - ศรีลงกาั                                                     1,660                                  0.12
 - มัลดีฟส์                                                     5,690                                  0.45
 - อื่นๆ (เนปาล อัฟกานิสถาน)                                    5,278                                  0.39
  อาเซียน                                                     115,561                                  8.48
 - กัมพูชา                                                     28,080                                  2.06
  - พม่า                                                       40,338                                  2.95
 - เวียดนาม                                                     5,080                                  0.38
 - อินโดนีเซีย                                                  7,448                                  0.56
 - ฟิลปปินส์
        ิ                                                      13,498                                  0.98
 - อื่น ๆ (ลาว สิงคโปร์ มาเลเซีย)                              21,116                                  1.55
  เอเชียตะวันออก                                              295,650                                 21.59
      ่ ่
 - ญีปุน                                                      233,389                                 16.99
 - จีน                                                         24,392                                  1.79
 - เกาหลีใต้                                                   26,259                                  1.95
 - ไต้หวัน                                                      5,391                                  0.39
 - อื่น ๆ (ฮ่องกง เกาหลีเหนือ)                                  6,219                                  0.47
  โอเชียเนี ย                                                  51,863                                  3.84
 - ออสเตรเลีย                                                  42,688                                  3.15
 - นิวซีแลนด์                                                   8,774                                  0.65
 - อื่น ๆ (ฟิจ)ิ                                                 401                                   0.04
 อื่น ๆ                                                       195,511                                 14.24
                 รวมทังสิ้ น
                       ้                                     1,373,807                               100.00
ทีมา: สํานักส่งเสริมธุรกิจบริการ กรมส่งเสริมการส่งออก กระทรวงพาณิชย์
  ่
หมายเหตุ: ข้อมูลเหล่านี้รวบรวมจากตัวเลขทีโรงพยาบาลรายงานเข้ามา (รวม 55 โรงพยาบาลในปี 2550) ซึงอาจไม่ครบถ้วน
                                            ่                                                ่


       จากตารางที่ 2.3 จะเห็นได้ว่าเพียงแค่ปี 2547 จํานวนผู้ป่วยต่างชาติท่ใช้บริการ
                                                                          ี
รักษาพยาบาลในประเทศไทยมีจํานวนมากถึง 1.1 ล้านคน และเพิมขึนมาโดยตลอดเป็ น 1.25
                                                         ่ ้
ล้านคนในปี 2548 1.33 ล้านคนในปี 2549 และ 1.37 ล้านคนในปี 255013 ดังนัน ถ้าพิจารณา
                                                                     ้
จากจํานวนคนไข้แล้ว ก็คงสามารถกล่าวได้วา ประเทศไทยประสบความสําเร็จตามเป้าทีตงไว้ว่า
                                        ่                                   ่ ั้

13
    ตามรายงานที่สํานักส่งเสริมธุรกิจบริการ กรมส่งเสริมการส่งออก กระทรวงพาณิชย์ รวบรวมจาก 55
โรงพยาบาลในปี 2550 และ 30 โรงพยาบาลในปี 2546 (แต่จานวนโรงพยาบาลทีกล่าวถึงนี้อาจจะต่างกับ
                                                         ํ               ่
ความเข้าใจของคนทัวไป ตัวอย่างเช่น โรงพยาบาลกรุงเทพ ทีซอยศูนย์วจย ได้เพิมจาก 1 โรงพยาบาลเป็ น 4
                  ่                                    ่       ิั      ่
              ั ั
โรงพยาบาลในปจจุบน แต่ในความเข้าใจของประชาชนทัวไปคงจะนับเป็ นแค่ 1 โรงพยาบาลเหมือนเดิม)
                                                  ่

                                                     21
ประเทศไทยเป็ นศูนย์กลางสุขภาพของเอเชียภายในปี พ.ศ. 255114 และดูเหมือนว่าจะทะลุเป้า
ขึนมาเป็ นอันดับต้นๆ ของภูมภาค15หรือของโลกเสียด้วยซํ้า16
  ้                           ิ
         แน่ น อนว่ า จํา นวนคนไข้ค งไม่ ใ ช่ ม าตรวัด ประการเดีย วในเรื่อ งนี้ ตัว อย่า งเช่ น ถ้า
พิจารณาจากสัดส่วนของคนไข้ต่างชาติต่อคนไข้ของชาตินันๆ ในปี 2001 จะพบว่ามาเลเซีย
                                                            ้
(ซึ่งมีคนไข้จากอินโดนี เ ซีย ข้ามมารัก ษาเป็ นจํานวนมาก) และสิงคโปร์ มีส ดส่วนของคนไข้
                                                                                  ั
ต่างชาติต่อคนไข้ชาติตวเองประมาณร้อยละ 4.5 และ 4.3 ขณะทีสดส่วนของไทยอยู่ทรอยละ
                           ั                                          ่ ั                  ่ี ้
     17
0.7 (Ministry of Trade and Industry Singapore. The Healthcare Services Working
Group, n.d.(c).) หรือในแง่การนําเงินตราต่างประเทศเข้ามา ซึงสิงคโปร์ (ทีเน้นความเป็ นเลิศ
                                                                  ่             ่
ในด้านเทคโนโลยี) อาจจะมีรายได้ในด้านบริการทางการแพทย์ต่อคนไข้หนึ่ งคนสูงกว่าไทย
ในขณะทีรายได้จากบริการทางการแพทย์ต่อคนไข้หนึ่งคนของไทยก็จะสูงกว่าอินเดีย เป็ นต้น
          ่
อย่างไรก็ตาม การทีมคนไข้ชาวต่างชาติมารับบริการถึง 1.4 ล้านคนต่อปี ในปจจุบน ย่อมส่งผล
                       ่ ี                                                          ั ั
กระทบต่อบริการด้านการรักษาพยาบาลในประเทศไทยอย่างหลีกเลียงไม่ได้     ่




14
   อย่างไรก็ตาม จํานวน “คนไข้ต่างชาติ” ทีกล่าวถึงนี้ ส่วนใหญ่เป็ นชาวต่างชาติทมาทํางานหรือตังถินฐานใน
                                           ่                                    ่ี           ้ ่
ประเทศไทยและประเทศเพื่อนบ้านเป็ นส่วนใหญ่ (อาจสูงถึงร้อยละ 60) อีกประมาณร้อยละ 10 เป็ น
นักท่องเทียวทีป่วย และทีเหลือประมาณร้อยละ 30 จึงเป็ นชาวต่างชาติทตงใจเดินทางเข้ามารับบริการทาง
           ่ ่             ่                                             ่ี ั ้
การแพทย์ในประเทศไทย ซึ่ งตกประมาณ 400,000 คนปี 2549 และ 420,000 คน ซึ่ งเป็ นจํานวนทีสงพอๆ กับ
                                                                                           ่ ู
สิงคโปร์ ทั้งนี้ SingaporeMedicine ซึงประกอบด้วยหน่วยงานต่างๆ ของรัฐหลายหน่ วยงาน (เช่น Economic
                                    ่
Development Board, Singapore Tourism Board และ International Enterprise Singapore ดูรายละเอียด
ใน www.SingaporeMedicine.com) ระบุในโฆษณาใน Newsweek September 24, 2007 ว่าในปี 2549 มี
คนไข้ชาวต่างชาติเข้ามารับบริการในสิงคโปร์มากกว่า 400,000 คน) ในขณะที่ Boston Consulting Group
(2008) ประมาณว่าในปี 2549 มี medical tourist เดินทางมาไทย 660,000 คน ขณะทีไปสิงคโปร์ 450,000
                                                                                    ่
คน และอินเดียและมาเลเชียประเทศละ 300,000 คน
15
   รายงานของ SingaporeMedicine เองก็แสดงให้เห็นว่า ในช่วงหลังวิกฤติเศรษฐกิจปี 2540 จํานวนคนไข้
ต่างชาติท่เดินทางมารักษาในประเทศไทยสูงกว่าประเทศคู่แข่งอื่นในภูมภาคนี้ อันได้แก่ สิงคโปร์ มาเลเซีย
            ี                                                          ิ
และออสเตรเลีย
16
    นายแพทย์ชาตรี ดวงเนตร ประธานคณะผูบริหารศูนย์การแพทย์โรงพยาบาลกรุงเทพ บริษทกรุงเทพดุสต
                                              ้                                         ั              ิ
เวชการ จํากัด (มหาชน) ระบุว่าขณะนี้ประเทศไทยก้าวขึนสู่ศูนย์กลางของการรักษาพยาบาล (เมดิคลฮับ)
                                                         ้                                           ั
โดยมีย อดผูเ ดิน ทางเข้า มารัก ษามากทีสุด ในโลก รองลงมาคือ อิน เดีย เยอรมนี และอัง กฤษ (ผูจ ด การ
              ้                         ่                                                        ้ ั
ออนไลน์ 27 สิงหาคม 2550)
17        ั ั
   แต่ในปจจุบน สัดส่วนนี้ของไทยน่าจะเพิมขึนเป็ นประมาณร้อยละ 2.5-3 แล้ว
                                          ่ ้

                                                  22
รูปที่ 2.1 จํานวนและประมาณการจํานวนผูป่วยชาวต่างประเทศที่มารักษาในประเทศ
                                       ้
                           ต่างๆ โดยรัฐบาลสิ งคโปร์
                                                 Singapore          Australia

                         600000                  Malaysia           Thailand




                         500000



                         400000
    Number of patients




                         300000



                         200000



                         100000



                             0
                                  1998   1999   2000         2001         2002   2003   2004


Source: Ministry of Trade and Industry Singapore. The Healthcare Services Working
Group, n.d. (c).

บทบาทของโรงพยาบาลเอกชน
        ในปี 2549 ประเทศไทยมีจานวนโรงพยาบาลเอกชน 354 แห่ง มีจานวนเตียง 36,323
                                   ํ                                  ํ
เตียง โดยในจํานวนนี้รอยละ 63 อยูในภาคกลาง (ร้อยละ 29.1 อยู่ในกรุงเทพมหานคร) ที่
                         ้           ่
เหลืออยู่ในภาคเหนือร้อยละ 14.7 ภาคตะวันออกเฉียงเหนือร้อยละ 11.9 และภาคใต้รอยละ     ้
10.4 ตามลําดับ           โดยในปี 2547 มีโรงพยาบาลขนาดใหญ่กว่า 250 เตียง 28 แห่ง และ
โรงพยาบาลขนาด 101-250 เตีย งอีก 71 แห่ ง (ประชาชาติธุ ร กิจ 2547, 7-10 ตุ ล าคม)
โรงพยาบาลเอกชนมีทงโรงพยาบาลเดียวและกลุ่มเครือข่ายโรงพยาบาล โดยในปจจุบน กลุ่ม
                      ั้               ่                                    ั ั
โรงพยาบาลเอกชนที่มข นาดใหญ่ ท่ีสุด ได้แก่ กลุ่ มกรุงเทพดุสต เวชการ (กลุ่มโรงพยาบาล
                           ี                               ิ
กรุงเทพ) ซึงมีโรงพยาบาลในเครืออย่างน้อย 17 แห่ง
            ่
        นอกจากนี้ โรงพยาบาลเอกชนของไทยยังมีศกยภาพในการรับคนไข้เพิมมากพอสมควร
                                                ั                       ่
โดยในปี 2545 มีอตราการครองเตียง (Bed Occupancy Rate) เพียงร้อยละ 60.45 (สํานัก
                    ั
นโยบายและยุทธศาสตร์ 2545 อ้างใน กระทรวงสาธารณสุข 2546) แม้ว่าอัตรานี้จะมีแนวโน้ม
   ่ ้          ั ั ั
เพิมขึน แต่ในปจจุบนก็ยงอยู่ท่ประมาณไม่เกินร้อยละ 70 ซึ่งส่วนหนึ่งเป็ นเพราะโรงพยาบาล
                              ี
เอกชนมีการขยายการลงทุนค่อนข้างมากในระหว่างปี 2545-2548
        ในการดําเนิ น งานของโรงพยาบาลเอกชนนัน โรงพยาบาลเอกชนขนาดใหญ่ ห ลาย
                                                  ้
รายได้รุ ก ตลาดต่ า งประเทศมาประมาณ 8-9 ปี แ ล้ว โดยได้มีก ารพัฒ นาอุ ป กรณ์ เ ครื่อ งมือ

                                                        23
บุ ค ลากรทางการแพทย์ม าตลอด และยัง ได้ร ับ มาตรฐานเป็ น ที่ย อมรับ ในระดับ นานาชาติ
ตัวอย่างเช่น โรงพยาบาลบํารุงราษฎร์เป็ นโรงพยาบาลแห่ง แรกในทวีป เอเชีย ทีไ ด้ร บ การ  ่ ั
รับรองมาตรฐาน Joint Commission International Accreditation (JCIA) จาก Joint
Commission International (JCI) (ซึ่งพัฒนาขึนมาจาก The Joint Commission on
                                                 ้
Accreditation of Healthcare Organizations หรือ JCAHO ของสหรัฐฯ ซึ่งต่อมาเปลี่ยนชื่อ
เป็ น The Joint Commission) ในปี 2545 ในขณะทีโรงพยาบาลกรุงเทพและโรงพยาบาล
                                                     ่
สมิต เ วชก็ไ ด้ดํา เนิน การรับ รองมาตรฐานจาก JCIA
      ิ                                                   ในปี 2550 ในช่ว งแรกมีเ พีย ง
โรงพยาบาลบํารุงราษฎร์และเครือโรงพยาบาลกรุงเทพ (ซึ่งประกอบด้วยโรงพยาบาล BNH
โรงพยาบาลสมิตเวช โรงพยาบาลกรุงเทพ และเครือข่ายโรงพยาบาลกรุงเทพในเมืองท่องเทียว
                   ิ                                                                          ่
ต่างๆ เช่น โรงพยาบาลกรุงเทพพัทยา และโรงพยาบาลกรุงเทพภูเก็ต) ที่ให้ความสนใจและ
ประสบความสําเร็จในการดึงดูดลูกค้าต่างชาติ แต่ในระยะหลังโรงพยาบาลเอกชนหลายแห่งใน
กรุงเทพมหานครได้หนมาสนใจลูกค้ากลุ่มนี้มากขึ้น ตัวอย่างเช่น โรงพยาบาลปิ ยะเวท ซึ่ง
                           ั
ให้บ ริการคนไข้ต่ างชาติเ พิมขึ้นอย่างรวดเร็วในระหว่างปี 2546-2549
                               ่                                                (ดูตารางที่ 2.5)
โรงพยาบาลยันฮี เน้นการให้บริการด้านศัลยกรรมตกแต่งและเสริมความงาม และโรงพยาบาล
เจ้าพระยา ซึ่งมีจุดเริมจากศูนย์หวใจที่รองรับคนไข้โรคหัวใจชาวต่างชาติท่ต้องการรักษาด้วย
                       ่          ั                                      ี
Stem Cell
         นอกเหนือจากการขยายสาขาและเครือข่ายให้กว้างขึนแล้ว โรงพยาบาลเอกชนหลายแห่ง
                                                        ้
ได้พยายามพัฒนาด้านคุณภาพและความพร้อมในการให้บริการเฉพาะทาง โดยโรงพยาบาลขนาด
ใหญ่เช่น โรงพยาบาลกรุงเทพ ได้เปิ ดเป็ นโรงพยาบาลเฉพาะทางสําหรับรักษาโรคหัวใจและมะเร็ง
(รวมทังมีตกใหม่สาหรับให้บริการคนไข้ต่างชาติโดยเฉพาะ และมีแผนทีจะเปิ ดโรงพยาบาลทีเน้น
        ้ ึ          ํ                                           ่                          ่
            ้ ่
การรักษาผูปวยจากตะวันออกกลางด้วย) นอกจากนี้ โรงพยาบาลเอกชนทีมขนาดรองลงมา เช่น
                                                                    ่ ี
                         ่ ั ั ู ั
โรงพยาบาลปิยะเวท ซึงปจจุบนมีศนย์หวใจ สมอง สูตนารี ศัลยกรรมตกแต่ง และกระดูกและข้อ ก็
                                                   ิ
เตรียมทีจะเปิ ดศูนย์ต่อมลูกหมาก ศูนย์ทางเดินอาหาร และศูนย์รกษาตา เพิมขึน หรือแม้แต่
         ่                                                  ั           ่ ้
โรงพยาบาลเอกชนที่มขนาดไม่ใหญ่ นัก และในอดีตจะเน้ นที่ลูกค้าคนไทย เช่น โรงพยาบาล
                             ี
เจ้าพระยา ก็เปิดศูนย์หวใจทีมจุดเน้นในการรองรับคนไข้โรคหัวใจชาวต่างชาติทตองการรักษาด้วย
                          ั ่ ี                                            ่ี ้
Stem Cell เป็ นต้น




                                              24
ตารางที่ 2.5 สัดส่วนจํานวนและรายรับจากคนไข้ชาวต่างชาติ ของโรงพยาบาลปิ ยะเวท
                                     ปี 2546-2550
                                                                      ปี
                                             2546        2547        2548         2549        2550
จํานวน    คนไข้ไทย                            37,316      40,278       53,193      74,658     89,815
คนไข้
          คนไข้ต่างชาติ                          368       5,354       10,157      14,577     14,940

          สัดส่วนของคนไข้ต่างชาติ             0.98%      11.73%        16.03%     16.34%     14.26%
รายได้    คนไข้ไทย                          113,266      126,171      178,934    515,933     549,597
          คนไข้ต่างชาติ                    5,724          79,492      244,734    203,051     219,764
          สัดส่วนรายได้จากคนไข้
          ต่างชาติ                        4.81%          38.65%        57.77%     28.24%     28.56%
   ทีมา: ประมวลผลจากข้อมูลของโรงพยาบาลปิยะเวท
     ่

            นอกจากการเปิ ดศูนย์บริการเฉพาะทางต่างๆ เช่น ศูนย์โรคหัวใจ โรคมะเร็ง โรคกระดูก
   โรคทางเดินหายใจ ศูนย์ศลยกรรม (และศัลยกรรมตกแต่ง) แล้ว โรงพยาบาลบางแห่งยังเปิ ดศูนย์
                                ั
   ดูแลสุ ขภาพและศู นย์สุ ขภาพแพทย์ทางเลือก มุ่ งทํ าตลาดแบบเจาะลึกถึงกลุ่ มเฉพาะบุ คคล
   (Customize Marketing) และมีการโฆษณาเพิมสร้างภาพลักษณ์ว่ามีความเชี่ยวชาญในการ
                                                       ่
   ให้บ ริก ารและรัก ษาในด้ า นนั น ๆ เพื่อ สร้า งความน่ า เชื่อ ถือ และมัน ใจแก่ ลู ก ค้ า นอกจากนี้
                                        ้                                     ่
   โรงพยาบาลเอกชนของไทยหลายแห่ ง ยังมีโ ครงการร่ ว มมือ กับ โรงพยาบาลที่มีช่ือเสีย งใน
   ต่างประเทศเพื่อสร้างความน่ าเชื่อถือเพิมขึน เช่น โรงพยาบาลพญาไทได้รวมมือกับมหาวิทยาลัย
                                            ่ ้                                     ่
   ฮาร์วาร์ด ในการจัดตังศูนย์หวใจพญาไท-ฮาร์วาร์ด โรงพยาบาลจักษุรตนินได้จดตังศูนย์เลสิกและ
                          ้         ั                                     ั             ั ้
   รักษาสายตารัตนิน-กิมเบลขึน โดยเป็ นความร่วมมือกับสถาบันกิมเบลอายเซ็นเตอร์จากประเทศ
                                  ้
   แคนาดา เป็ นพันธมิตรทีให้การช่วยเหลือด้านเทคโนโลยีทางการแพทย์ เป็ นต้น
                            ่
                              ้ ่ ้
            ในด้านการรับผูปวยนัน ศูนย์การแพทย์โรงพยาบาลกรุงเทพ ได้ลงทุน 500 ล้านบาท
   เพื่อจัดให้มบริการเฮลิคอปเตอร์รบส่งผูป่วย ทีสามารถให้บริการได้ทวประเทศ และประเทศ
               ี                          ั  ้       ่                           ั่
   เพื่อนบ้านใกล้เคียง โดยเริมให้บริการตังแต่ 1 ตุลาคม 2550 ทังนี้ ผูบริหารโรงพยาบาล
                                      ่         ้                               ้ ้
   กรุงเทพระบุวาทางโรงพยาบาลเป็ นเพียงแห่งเดียวทีให้บริการนี้ในภูมภาคเอเชียตะวันออกเฉียง
                 ่                                       ่                  ิ
   ใต้
            นอกจากนี้ โรงพยาบาลเอกชนต่างๆ ยังมีการพัฒนาด้านมีบริการอํานวยความสะดวก
   แก่ผป่วยต่างประเทศ โดยพัฒนาบุคลากรด้านการบริการมากขึน ซึงปจจุบนโรงพยาบาลหลาย
        ู้                                                             ้ ่ ั ั
   แห่งได้จดแผนกดูแลคนไข้ต่างชาติโดยเฉพาะ พร้อมกับจ้างบุคลากรที่มความสามารถด้าน
             ั                                                                        ี
   ภาษาต่างประเทศไว้บริการ เช่น โรงพยาบาลบํารุงราษฎร์มล่ามให้บริการมากถึง 12 ภาษา
                                                                     ี
                        ั                          ้               ้ ่
   โรงพยาบาลเหล่านี้ยงมีบริการแบบเบ็ดเสร็จ ตังแต่การรับส่งผูปวยทางอากาศมายังโรงพยาบาล
   การติดต่ อกับ หน่ ว ยราชการเกี่ย วกับ วีซ่า เข้ามาประเทศ มีเมนู อาหารต่ างประเทศ รวมถึง

                                                    25
ิ             ํ          ่ ั                    ้ ่
เซอร์วสอพาร์ตเมนต์สาหรับเป็ นทีพกอาศัยของญาติของผูปวยต่างชาติ ตัวอย่างเช่น โรงพยาบาล
บํารุงราษฎร์มทพกคือ บี.เอช.เรสิเด้นซ์เซอร์วสอพาร์ตเมนต์ทเี่ ชื่อมต่อกับอาคารโรงพยาบาลและมี
              ี ่ี ั                       ิ
การตกแต่งได้มาตรฐานเดียวกับโรงแรม
         การเพิมขึนอย่างรวดเร็วของคนไข้ต่างชาติในโรงพยาบาลเอกชนในช่วงหลายปี ทผ่าน
                ่ ้                                                                   ่ี
มา แสดงให้เห็นว่าโรงพยาบาลเหล่านี้มศกยภาพในการทําตลาดเป็ นอย่างดี ไม่วาจะโดยการทํา
                                      ี ั                                      ่
ตลาดเองเป็ นหลัก เช่น โรงพยาบาลเจ้าพระยา (ดูกรอบที่ 2.1) หรือผ่านตัวแทนขาย (agent)
เป็ นหลัก เช่น โรงพยาบาลยันฮี (ดูกรอบที่ 2.2)      แต่ไม่ว่าในกรณีใด การให้ขอมูลผ่านทาง
                                                                                 ้
เว็บไซต์และการบอกต่อปากต่อปากของชาวต่างชาติกยงเป็ นเครืองมือทีสาคัญในด้านการตลาด
                                                   ็ ั           ่      ่ํ
ของทุกโรงพยาบาล

กรอบที่ 2.1              กระบวนการดําเนิ นการของโรงพยาบาลที่ ทําตลาดเอง: กรณี ศึ กษา
โรงพยาบาลเจ้าพระยา
            โรงพยาบาลเจ้าพระยาเป็ นโรงพยาบาลเอกชนอีกแห่งหนึ่งทีได้เริมขยายการให้บริการ
                                                                  ่ ่
กับกลุ่มของลูกค้าชาวต่างชาติในระยะ 2-3 ปี ท่ผ่านมา โรงพยาบาลตังอยู่รมแม่น้ํ าเจ้าพระยา
                                                 ี                   ้ ิ
       ั่
(ฝงธนบุร) อาศัยทีมแพทย์ผูเชียวชาญซึ่งส่วนใหญ่เป็ นอาจารย์แพทย์จากโรงพยาบาลศิรราช
             ี                    ้ ่                                                   ิ
โรงพยาบาลเจ้าพระยาระบุว่าเป็ นโรงพยาบาลแห่งแรกในประเทศไทยทีนําระบบการปลูกถ่าย
                                                                        ่
Stem Cell มาทดลองใช้ในคนไข้ โรงพยาบาลได้จดตังศูนย์การแพทย์เฉพาะทาง เช่น ศูนย์หวใจ
                                                   ั ้                                    ั
ศูนย์ความงาม ศูนย์ตรวจสุขภาพ และศูนย์โรคระบบทางเดินอาหารและตับ นอกจากนี้ ยังเป็ น
โรงพยาบาลเอกชนแห่งแรกทีมศูนย์แพทย์เฉพาะทางทีเปิ ดให้บริการตลอด 24 ชัวโมง อันได้แก่
                                   ่ ี                   ่                       ่
ศูนย์หวใจ ศูนย์จกษุ และศูนย์กุมารเวช
          ั          ั
            ในการขยายบริการไปสู่ลูกค้าชาวต่างชาตินัน โรงพยาบาลเจ้าพระยาดําเนินการติดต่อ
                                                       ้
                                                ้ ่
ประสานงานกับลูกค้าชาวต่างชาติเอง โดยจัดตังฝายต่างประเทศ (International Division)
  ้              ่                   ่               ่
ขึนมาทําหน้าทีน้ีโดยเฉพาะ ซึงการดําเนินงานของฝายต่างประเทศ จะติดต่อลูกค้าชาวต่างชาติ
โดยตรงโดยไม่ผ่านตัวแทน (agent) ทังนี้ ผูประสานงานของโรงพยาบาลเจ้าพระยาจะเป็ น
                                           ้ ้
ผูดาเนินการเองทังหมด เริมตังแต่การหาลูกค้า จัดเตรียมจดหมายรับรองทีระบุคนไข้จะเดินทาง
    ้ ํ                ้        ่ ้                                           ่
มารับบริการ รวมถึงประสานงานกับสํานักงานตรวจคนเข้าเมืองในกรณีทผป่วยจําเป็ นต้องพัก
                                                                          ่ี ู้
ฟื้ นในประเทศไทยนานเกิน 1 เดือน ลูกค้าชาวต่างชาติทเข้ารับบริการทีโรงพยาบาลเจ้าพระยา
                                                               ่ี     ่
ส่วนใหญ่จะทําการศึกษามาก่อนจากงานวิจยและวารสารทางการแพทย์ รวมทังเว็บไซต์ของ
                                            ั                                      ้
โรงพยาบาลจากอินเตอร์เน็ต ลูกค้าส่วนใหญ่จะให้ความสําคัญกับแพทย์ผรกษาเป็ นอันดับแรก
                                                                            ู้ ั
และมักจะระบุช่อแพทย์ทต้องการให้ทําการรักษามาอย่างชัดเจน หรือในอีกกรณีหนึ่งคือลูกค้า
                   ื         ่ี
ชาวต่างชาติจะส่ง case มาปรึกษา ซึงทางโรงพยาบาลก็จะตรวจสอบดูว่าพอจะมีแพทย์ทรองรับ
                                       ่                                             ่ี
ในสาขาดังกล่าวหรือไม่ ก่อนที่จะส่ง refer ไปให้แพทย์ในสาขานันๆ เมื่อตกลงกันเป็ นที่
                                                                   ้
                                                           ้ ่
เรียบร้อยแล้วก็จะทําการนัดหมายแพทย์ ในขันตอนนี้ ผูปวยจะต้องโอนเงินมาก่อนบางส่วนหรือ
                                              ้
ทังหมดแล้วแต่กรณี
     ้


                                            26
ในด้า นการเดิน ทางนัน โรงพยาบาลจะมีบ ริก ารรถรับ -ส่ง ลูก ค้า จากสนามบิน มายัง
                                         ้
โรงพยาบาล โดยผูประสานงานจะไปรับลูกค้าด้วยตนเองถึงสนามบิน รวมถึงจัดหาทีพกซึงเป็ น
                           ้                                                                         ่ ั ่
                                  ่                                    ู้ ่
คอนโดนิเนียมริมนํ้าทีทางโรงพยาบาลจัดเตรียมไว้ให้บริการแก่ผปวยและญาติทมารับการรักษา         ่ี
และใช้บริการทีโรงพยาบาลเจ้าพระยา ห้องพักเป็ นห้องชุด 2 ห้องนอน 2 ห้องนํ้า เตียงนอน
                     ่
                                                        ้ ่
สําหรับ 2 ท่าน พร้อมด้วยบริการอินเตอร์เน็ต โดยผูปวยสามารถนัดแพทย์ได้โดยตรงจากใน
ห้องพักซึงตังอยู่ตดกับโรงพยาบาล อัตราค่าบริการจะอยู่ท่ี 3,000 บาทต่อคืน รวมอาหารเช้า
           ่ ้           ิ
นอกจากนี้ ทางโรงพยาบาลยัง มีบ ริก ารล่ อ งเรือ เที่ย วชมแม่ น้ํ า เจ้า พระยาไว้ใ ห้บ ริก ารแก่
ชาวต่างชาติดวย     ้
          โรงพยาบาลมี International Ward ไว้เพื่อให้บริการแก่ผป่วยชาวต่างชาติโดยเฉพาะ
                                                                              ู้
โดยเน้นการให้บริการอย่างอบอุ่นและเป็ นกันเอง ผูประสานงานฝ่ายต่างประเทศจะดูแลผูป่วย
                                                      ้                                                    ้
ชาวต่างชาติลงลึกเป็ นรายบุคคล โดยผูประสานงานจะช่วยแนะนํ าการบริการทางการแพทย์
                                               ้
อํานวยความสะดวกในช่วงทีเข้ารับการรักษา ตลอดจนพูดคุยและแนะนํ าสถานที่ท่องเที่ยวใน
                                       ่
                       ี            ่                           ้ ่
ประเทศไทยให้อกด้วย ซึงทางโรงพยาบาลเชื่อว่าการดูแลผูปวยเสมือนคนในครอบครัว จะทําให้
ผูป่วยชาวต่างชาติประทับใจและกลับมาใช้บริการของโรงพยาบาล อีกทังยังแนะนํ าเพื่อน และ
  ้                                                                                   ้
ญาติให้มาใช้บริการทีโรงพยาบาลเจ้าพระยาอีกด้วย
                                ่
          อย่างไรก็ตาม ในปจจุบน จํานวนผูป่วยชาวต่างชาติยงมีจานวนไม่มากนักเมื่อเทียบกับ
                                      ั ั        ้                   ั ํ
ผูป่วยชาวไทย (ประมาณร้อยละ 10 ของจํานวนคนไข้ทงหมด) ซึงทางโรงพยาบาลเห็นว่าส่วน
    ้                                                        ั้             ่
หนึ่งคงเป็ นเพราะโรงพยาบาลเจ้าพระยาไม่ได้ตงอยู่ใจกลางเมืองหรืออยู่ในทําเลทีชาวต่างชาติ
                                                   ั้                                           ่
อาศัยอยู่เป็ นจํานวนมาก ดังเช่นโรงพยาบาลบํารุงราษฎร์และโรงพยาบาลกรุงเทพ และการที่
โรงพยาบาลหาลูกค้าเองโดยไม่ผานตัวแทน (agent) ทําให้ไม่มลูกค้าชาวต่างชาติทเข้ามาเป็ น
                                             ่                           ี                        ่ี
กลุ่มใหญ่ๆ ลูกค้าของโรงพยาบาลส่วนใหญ่เป็ นชาวอเมริกน โดยมีชาวยุโรปและแอฟริกนบ้าง
                                                                   ั                                     ั
ประปราย
          บริการทางการแพทย์ท่เป็ นที่ยอมรับและได้รบความนิยมจากลูกค้าชาวต่างชาติ คือ
                                           ี             ั
ศูนย์หวใจ การผ่าตัดกระดูกสันหลัง (Spine Operation) การผ่าตัดต้อกระจก การผ่าตัดหัวเข่า
       ั
และข้อกระดูก และการรักษาโรคเกี่ยวกับต่อมลูกหมาก นอกจากนี้ โรงพยาบาลยังได้พยายาม
                                                           ้               ู้ ่
ขยายการให้บริการเป็ น one-stop services เพื่อกระตุนให้ญาติผปวยใช้บริการทางแพทย์อ่นๆ                          ื
ขณะทีรอผูป่วยทําการรักษา ยกตัวอย่างเช่น ในกรณีของลูกค้าชาวต่างชาติทเข้ารับการผ่าตัด
         ่ ้                                                                            ่ี
กระดูกสันหลัง ซึ่งต้องใช้เวลาในการพักฟื้ นนาน ภรรยาก็สามารถไปใช้บริการทีศูนย์ความงาม          ่
ได้
          ในส่วนของอัตราค่าบริการของคนไข้ชาวต่างชาตินัน จะคิดในเกณฑ์เดียวกับคนไข้ชาว
                                                                 ้
ไทย โดยไม่มการคิดค่าใช้จ่ายพิเศษอื่นๆ อาทิ ค่าล่าม ค่าธรรมเนียมแพทย์ รวมถึงค่าห้องและ
                 ี
ค่าอาหาร เพิมเติม ถึงแม้ว่าจะมี International Ward แต่คณะแพทย์ททาการรักษาและพยาบาล
               ่                                                                 ่ี ํ
                             ่ ู ้ ่
เป็ นคณะเดียวกับทีดแลผูปวยชาวไทย



                                                     27
นอกจากนี้ ทางโรงพยาบาลเจ้าพระยายังคงให้ความสําคัญในการพัฒนาการให้บริการ
ทางการแพทย์อย่างต่อเนื่อง โดยในทุกสัปดาห์ จะมีการประชุมแพทย์ของโรงพยาบาลเพื่อแจ้ง
ข่าวสารและความคืบหน้าของข้อมูลเชิงวิชาการ รวมถึงการขยายฐานลูกค้าชาวต่างชาติ โดยใน
ส่ว นของชาวต่ า งชาติท่ีพํา นัก อยู่ใ นประเทศไทยนัน โรงพยาบาลก็พ ยายามส่ ง เสริม ให้ช่ือ
                                                                  ้
โรงพยาบาลเจ้าพระยาเป็ นทีรจกในวงกว้าง โดยใช้หนังสือพิมพ์ภาษาอังกฤษเป็ นสื่อกลาง ซึงที่
                                     ่ ู้ ั                                                                ่
ผ่านมา การประชาสัมพันธ์โดยวิธน้ีให้ผลเป็ นที่น่าพอใจ คนไข้ชาวต่างชาติท่เข้ามารับบริการ
                                            ี                                              ี
จํานวนไม่น้อยทีรจกโรงพยาบาลจากทางหนังสือพิมพ์ ในขณะทีในต่างประเทศ ชาวต่างชาติจะ
                        ่ ู้ ั                                            ่
รู้จ ัก โรงพยาบาลเจ้า พระยาจากบทความวิช าการหรือ เอกสารทางการแพทย์ท่ีเ ผยแพร่ ใ น
อินเตอร์เน็ต คนไข้ชาวต่างชาติบางรายเป็ นคนไข้ประจําของอาจารย์แพทย์ทศรราช เมื่อแพทย์  ่ี ิ ิ
เหล่านันมาประจําที่โรงพยาบาลเจ้าพระยา คนไข้เหล่านันจึงมารับบริการที่น่ีดวย นอกจากนี้
             ้                                                        ้                        ้
   ่
ฝายต่างประเทศกําลังเพิมเจ้าหน้าทีและบุคลากรเพื่อประสานงานกับลูกค้าชาติต่างๆ ให้มากขึน
                                   ่          ่                                                              ้
โดยมุงเน้นการประชาสัมพันธ์แบบ network socializing กล่าวคือ ให้บุคลากรของโรงพยาบาล
         ่
ไปแนะนํ าบริการทางการแพทย์ของโรงพยาบาลแก่สมาคมชาวต่างชาติท่อาศัยอยู่ในประเทศ       ี
ไทย อาทิ สมาคมชาวอังกฤษ สมาคมชาวแคนาดา เป็ นต้น
               ในด้านความช่วยเหลือจากภาครัฐ ประเด็นหลักทีทางโรงพยาบาลต้องการก็คอ ต้องการ
                                                                    ่                              ื
ให้ภาครัฐเข้ามาช่วยเจรจากับหน่ วยงานทีเกียวข้องในต่างประเทศ เพื่อให้บริษทประกันสุขภาพ
                                                    ่ ่                                  ั
ในต่างประเทศจ่ายชดเชยค่ารักษาพยาบาลและค่าใช้จ่ายในการเดินทางให้กบผูป่วยทีเดินทาง        ั ้          ่
                                                          ั ั
มารับการรักษาในประเทศไทย เพราะในปจจุบน ทางโรงพยาบาลทราบว่ามีเพียง Bupa
Insurance                 เท่านันที่ครอบคลุ มค่าใช้จ่ายในส่วนนี้ ผู้ป่วยชาวต่างชาติท่ีเข้ามารักษาที่
                                ้
โรงพยาบาลต้องแบกรับภาระค่าใช่จ่ายเองทังหมด ซึงถ้าภาครัฐเข้ามาจัดการเรื่องนี้อย่างจริงจัง
                                                        ้       ่
แล้ว ก็เ ชื่อ ว่ า น่ า จะมีช าวต่ า งชาติอีก จํ า นวนไม่ น้ อ ยเดิน ทางเข้า มารัก ษาในประเทศไทย
นอกจากนี้ สํานักงานตรวจคนเข้าเมืองซึงเป็ นหน้าตาของประเทศในด่านแรก ควรให้บริการด้วย
                                                ่
ใบหน้ายิ้มแย้มและด้วยความเต็มใจ และสํานักงานตรวจคนเข้าเมืองควรให้ขอมูลเบื้องต้นแก่           ้
ชาวต่างชาติเรื่องการขยายเวลาในวีซ่า เพราะในบางราย ผูป่วยจําเป็ นต้องพักฟื้ นเป็ นระยะ
                                                                        ้
เวลานานกว่าจํานวนวันที่ระบุไว้ในวีซ่า ซึ่งถ้าดําเนินการโดยสํานักงานตรวจคนเข้าเมืองจะ
ค่อนข้างยุ่งยากและเสียค่าใช้จ่าย 1,900 บาท แต่ถ้าไปเสียค่าปรับทีสนามบินจะต้องจ่ายวันละ
                                                                             ่
500 บาท ซึงข้อมูลเหล่านี้ชาวต่างชาติมกจะไม่ทราบ นอกจากนี้ ภาครัฐน่าจะมีสวนช่วยในการ
                      ่                           ั                                              ่
รวมตัวจัดตังกลุ่มผูให้บริการทางการแพทย์ (Medical Provider) เพื่อเป็ นศูนย์กลางการให้ขอมูล
                    ้        ้                                                                           ้
และบริการทางการแพทย์ของไทยอย่างครบวงจร และเพื่อสร้างภาพลักษณ์ให้บริการทางการ
แพทย์ของไทยเป็ นที่รูจกในระดับสากลเพิมมากขึน สุดท้าย ภาครัฐควรหาทางเร่งแก้ปญหา
                               ้ ั                    ่     ้                                          ั
ความไม่มนคงทางการเมือง เพื่อสร้างความเชื่อมันให้นักท่องเที่ยวในการเดินทางมาประเทศ
                 ั่                                           ่
ไทย ซึงจะเป็ นการช่วยส่งเสริมธุรกิจภาคบริการของประเทศอีกทางหนึ่งด้วย
           ่




                                                     28
บทบาทของตัวแทน (Agent)
         นอกจากโรงพยาบาลเอกชนชันนํ าที่ชาวต่างชาตินิยมใช้บริการแทบทุกแห่งจะมีฝ่าย
                                            ้
ต่างประเทศที่ทําหน้าที่ประสานงานและให้ขอมูลแก่คนไข้ชาวต่างชาติแล้ว โรงพยาบาลบาง
                                                ้
แห่งยังอาศัยตัวแทน (agent) ทําหน้าทีตดต่อประสานงานในประเทศของกลุ่มลูกค้า และอํานวย
                                         ่ ิ
ความสะดวกในการนํ าลูกค้าชาวต่างชาติเข้ามารับบริการทางการแพทย์ทโรงพยาบาลนันๆ ใน
                                                                      ่ี          ้
ประเทศไทย ตัวอย่างของโรงพยาบาลทีอาศัยตัวแทนในการทําตลาดเป็ นหลักคือโรงพยาบาล
                                              ่
ยันฮี (ดูรายละเอียดเพิมเติมในกรอบที่ 2.2)
                             ่
         บริษทตัวแทน (agent) เป็ นช่องทางสําคัญในการนํ าชาวต่างชาติเข้ามาเทียวและใช้
               ั                                                                ่
บริก ารในไทย และยัง มีบ ทบาทสํา คัญ ในการติด ต่ อ ประสานงาน รวมถึง ให้ก ารดูแ ลลู ก ค้า
ชาวต่างชาติทมาใช้บริการทีประเทศไทย บริษทตัวแทนมีทงในประเทศต้นทางและในประเทศ
                    ่ี               ่               ั           ั้
ไทย โดยส่วนใหญ่บริษทเหล่านี้จะมีโรงพยาบาลคูสญญาหลายราย (และ/หรือในหลายประเทศ
                                 ั                       ่ ั
                                                  18
สําหรับบริษทตัวแทนทีอยู่ในประเทศต้นทาง ) ทีพร้อมจะรองรับและให้บริการทางการแพทย์
             ั                 ่                       ่
โดยบริษทจะช่วยจัดการในด้านการเดินทางเข้ามารับบริการ แนะนํ าโรงพยาบาลและแพทย์
           ั
ผูเชี่ยวชาญ นัดหมายแพทย์เพื่อทําการรักษา อํานวยความสะดวกในการติดต่อประสานงาน
   ้
บางรายอาจช่วยจัดหาที่พกและบริการรถรับส่ง ตังแต่ลูกค้าเดินทางมาถึงเมืองไทย พร้อมทัง
                                   ั                      ้                           ้
รับส่งจากที่พกไปยังโรงพยาบาลอีกด้วย นอกจากนี้ บางรายอาจมีบริการนํ าเที่ยวรอบเมือง
                 ั
(City Tour) ทังนี้ ขึนอยูกบความต้องการของลูกค้า
                   ้ ้ ่ ั
         การศึกษาในส่วนต่อไปนี้จะกล่าวถึงบทบาทของบริษทตัวแทนต่างๆ ทีตงอยูหรือมีสาขา
                                                               ั         ่ ั้ ่
ในประเทศไทยโดยสังเขป (สําหรับบริษัทตัวแทนในต่างประเทศนัน ดูต ัวอย่างรายชื่อและ
                                                                    ้
บริการของบริษทตัวแทนในสหรัฐอเมริกาได้ในหนังสือ Patients Beyond Borders (Second
                       ั
Edition 2008) ซึ่งเป็ นหนังสือคู่มอสําหรับคนไข้ท่จะเดินทางไปรักษาในต่างประเทศ (ใน
                                          ื                  ี
ลักษณะเดียวกับคูมอนักท่องเทียวหรือ Traveler’s Guide)
                         ่ ื           ่




18
    บริษทตัวแทนบางบริษททําหน้าทีเป็ นตัวแทนของบริษทประกันสุขภาพด้วย (บางบริษทเป็ นบริษทลูกด้วย
        ั             ั         ่                  ั                          ั         ั
เช่น บริษท Companion Global Healthcare Inc เป็ นบริษทลูกของ Blue Cross Blue Shield) และมีแนวโน้ม
            ั                                        ั
ว่าบริษทประกันสุขภาพขนาดใหญ่ของสหรัฐจะหันมาส่งคนไข้ของตนออกไปรับการรักษาในต่างประเทศมาก
          ั
ขึน (Woodman 2008)
  ้

                                               29
กรอบที่ 2.2 กระบวนการตลาดของโรงพยาบาลที่ผานตัวแทน (agent) เป็ นหลัก:            ่
             กรณี ศึกษาโรงพยาบาลยันฮี
            โรงพยาบาลยันฮี เป็ นโรงพยาบาลเอกชนที่ให้บริการอย่างครบวงจรทังโรคทัวไปและ                               ้             ่
โรคเฉพาะทาง โดยเฉพาะอย่างยิงการให้บริการด้านศัลยกรรมความงามซึ่งมีช่ือเสียงทังใน
                                                ่                                                                                    ้
ประเทศไทยและในอีกหลายประเทศ โดยเฉพาะอย่างยิงในเอเชียตะวันออก เช่น ญี่ปุ่น และ            ่
เกาหลีใต้ นอกจากนี้ โรงพยาบาลยันฮีมศูนย์กลางการแปลงเพศครบวงจรทังจากชายเป็ นหญิง
                                                         ี                                                   ้
และจากหญิงเป็ นชาย อีกทังยังมีศูนย์การแพทย์เฉพาะทางครบวงจร ศูนย์แพทย์ทางเลือกที่
                                        ้
                                                     ั
ให้บริการทังการแพทย์แผนไทย การฝงเข็มและล้างลําไส้ (Detox) อย่างไรก็ดี ศัลยกรรม
               ้
ตกแต่งและความงามยังคงเป็ นบริการทีเป็ นทีนิยมและมีลูกค้าทังชาวไทยและชาวต่างชาติมารับ
                                                       ่           ่                           ้
บริการมากเป็ นอันดับหนึ่ง รองลงมาคือการเปลียนข้อกระดูก การตรวจสุขภาพ และทันตกรรม
                                                                     ่
            ในช่วง 5 ปี ทผ่านมา โรงพยาบาลได้ส่งเสริมการให้บริการแก่นักท่องเทียวชาวต่างชาติ
                            ่ี                                                                                   ่
อย่างต่อเนื่อง โดยทางโรงพยาบาลได้จดให้มศูนย์กลางให้ขอมูลผูป่วยชาวต่างชาติผ่านทาง
                                                           ั           ี                     ้       ้
                                                                             ่ ่
Email และ Call Center เป็ นภาษาอังกฤษ ภาษาญีปุน ภาษาอาหรับ และภาษาเกาหลี และมี
ล่ามให้บริการในบางภาษา เช่น ภาษาอังกฤษ ภาษาเยอรมัน ภาษาฝรังเศส ภาษาญี่ปุ่น ภาษา                          ่
เกาหลี และภาษาอาหรับ นอกจากนี้ยงมีเจ้าหน้ าที่ชาวเวียดนาม พม่า และกัมพูชา คอย
                                                             ั
ให้บริการกลุ่มลูกค้าจากประเทศเพื่อนบ้านทีส่วนใหญ่เดินทางเข้ามารักษาโรคทัวไป ในขณะที่
                                                               ่                                                     ่
ลู ก ค้ า จากประเทศที่ พ ัฒ นาแล้ ว ส่ ว นใหญ่ จ ะเข้ า มารับ บริ ก ารด้ า นความสวยความงาม
โรงพยาบาลได้จดให้มหอผูป่วย (ward) สําหรับคนไข้ชาวต่างชาติโดยเฉพาะ ซึงจะมีล่ามและ
                      ั          ี ้                                                                                         ่
เจ้าหน้าที่ชาวต่างชาติ คอยให้อํานวยความสะดวกแก่ผูมารับบริการอย่างใกล้ชด ถึงแม้ว่าทีม ้                                 ิ
แพทย์และพยาบาลจะเป็ นชุดเดียวกับทีทาการรักษาคนไข้ชาวไทย แต่จะมีพยาบาลชาวต่างชาติ
                                                    ่ ํ
ซึ่งส่วนใหญ่เป็ นชาวฟิ ลปปิ นส์ และนักศึกษาพยาบาลจากเนเธอร์แลนด์และเยอรมันทีเดินทาง
                                    ิ                                                                                          ่
ศึกษาดูงาน ทําหน้าทีเป็ นผูช่วยพยาบาล คอยให้คําปรึกษาด้านความรูทางการแพทย์และการ
                               ่      ้                                                                    ้
พยาบาล ตลอดจนช่วยสื่อสารให้การบริการเป็ นไปได้อย่างถูกต้องตรงตามความต้องการของ
คนไข้ นอกจากนี้ ทางฝ่ายต่างประเทศของโรงพยาบาลยันฮีก็มทมเจ้าหน้ าที่คอยให้กําลังใจ                ี ี
   ้ ่ ่ ํ
ผูปวยทีกาลังพักฟื้นอีกด้วย
            คนไข้ชาวต่างชาติทเี่ ดินทางเข้ามารับบริการส่วนใหญ่จะใช้บริการผ่านทาง agent ทีเป็ น                                     ่
ตัว แทนของโรงพยาบาลยัน ฮีใ นต่ า งประเทศ ซึ่ง มีท ัง ในทวีป เอเชีย ยุ โ รป อเมริก า และ้
ออสเตรเลีย โดย agent จะทําหน้าทีหาลูกค้า แนะนําบริการของโรงพยาบาล ติดต่อประสานงาน
                                                  ่
รวมถึงจัดหาทีพกและอํานวยความสะดวกแก่ลูกค้าทีตองการเข้ามารับบริการทางการแพทย์ใน
                  ่ ั                                                         ่ ้
ประเทศไทย อย่างไรก็ตาม สําหรับคนไข้บางรายทีเดินทางมาด้วยตนเองโดยการแนะนําของผูท่ี
                                                                          ่                                                            ้
เคยใช้บริการมาก่อนนัน ในกรณีท่คนไข้ชาวต่างชาติทต้องการข้อมูลการท่องเทียวในประเทศ
                                  ้           ี                                   ่ี                                     ่
ไทย ทางโรงพยาบาลจะประสานงานกับบริษททัวร์ในประเทศเพื่อให้คาแนะนํ าเกียวกับสถานที่
                                                                 ั                                     ํ                   ่
ท่องเทียว รวมถึงทีพกในประเทศให้ หรือในคนไข้บางรายทีเดินทางเข้ามารับบริการด้วยตัวเอง
          ่             ่ ั                                                                ่
                                          ่ ั                            ้ ่
ทางโรงพยาบาลจะช่วยจัดหาทีพกและมีรถจัดส่งผูปวยจากโรงพยาบาลไปยังทีพก ซึงทีพกส่วน                                 ่ ั ่ ่ ั


                                                                  30
ใหญ่จะอยู่บริเวณใกล้เคียงกับโรงพยาบาล อาทิ โรงแรมรอยัลริเวอร์ หรือเกสต์เฮาส์บนถนน
ข้าวสาร ทังนี้ขนอยูกบความต้องการของคนไข้
            ้ ้ึ ่ ั
         ข้อมูลจากฝ่ายต่างประเทศของโรงพยาบาลระบุว่า ในปจจุบน (กลางปี 2551) คนไข้
                                                              ั ั
ชาวต่างชาติคดเป็ นร้อยละ 30 ของจํานวนคนไข้ทงหมดของโรงพยาบาล ทังนี้ ในปี ท่ผ่านมา
                  ิ                             ั้                         ้      ี
จํานวนชาวต่างชาติทเข้ามารับบริการทีโรงพยาบาลยันฮีโดยเฉลี่ยอยู่ท่ี 915 คนต่อเดือน เป็ น
                          ่ี           ่
   ้ ่                                   ้ ่
ผูปวยนอก (OPD) 750 คนต่อเดือน และผูปวยใน (IPD) 165 คนต่อเดือน เพิมขึนจาก 5 ปี ก่อน
                                                                          ่ ้
                                                               ้ ่            ้ ่
ทีมจานวนลูกค้าชาวต่างชาติโดยเฉลีย 770 คนต่อเดือน (แยกเป็ นผูปวยนอกและผูปวยใน 630
    ่ ีํ                           ่
                                                                     ่ ุ่
และ 140 คน ตามลําดับ) ชาติทเี่ ดินทางเข้ามารับบริการมากทีสด คือ ญีปน รองลงมาคือเกาหลี
                                                           ุ่
ยุโรป อเมริกน และอาหรับ
              ั
         เกณฑ์การคิดค่ารักษาพยาบาลในคนไข้ชาวต่างชาติจะต่างจากคนไข้ชาวไทย เนื่องจาก
คนไข้ชาวต่างชาติจะได้รบการบริการที่เพิมเติมจากชาวไทย กล่าวคือ จะมีล่ามและเจ้าหน้าที่
                               ั            ่
ชาวต่างชาติให้บริการตลอดระยะเวลาพักฟื้น มีบริษทบริหารจัดการเกียวกับอาหารคอยดูแลและ
                                                   ั               ่
ให้บริการคนไข้ทงชาวไทยและชาวต่างชาติ มีบริการ Call Center และ Wi-Fi อินเตอร์เน็ตไว้
                       ั้
บริการที่ International Ward ส่งผลให้อตราค่าบริการของชาวต่างชาติจะสูงกว่าของคนไทย
                                              ั
ประมาณร้อยละ 10-20
         การเพิมขึนของลูกค้าชาวต่างชาติทําให้โรงพยาบาลยันฮีมแผนที่จะขยายตึกใหม่เพื่อ
                    ่ ้                                         ี
รองรับการขยายตัวของลูกค้ากลุ่มนี้ ซึงตึกใหม่น้ีอยู่ในระหว่างการดําเนินการ คาดว่าจะพร้อม
                                     ่
ให้บริการภายในปี 2552 นอกจากนี้ โรงพยาบาลยังมีแผนทีจะเปิ ดตลาดเชิงรุกให้มากขึน โดย
                                                         ่                          ้
มุ่งเจาะกลุ่มตลาดใหม่ อาทิ จีนและอาหรับ รวมถึงขยายตัวแทน (agent) ในต่างประเทศให้
ครอบคลุมมากขึน อีกทังยังมีแผนทีจะเพิมประสิทธิภาพของตัวแทน โดยจะจัดสัมมนารับทราบ
                     ้       ้    ่ ่
ข้อมูลข่าวสารของโรงพยาบาล เพื่อให้ตวแทนสามารถทําการตลาดได้อย่างมีประสิทธิภาพ
                                          ั
นอกจากนี้ ทีผานมาโรงพยาบาลยังมีการประชาสัมพันธ์โดยจัดโรดโชว์ในประเทศต่างๆ มาอย่าง
                ่ ่
ต่อเนื่องอีกด้วย

         บริษท Hygeia Healthcare เป็ นบริษทตัวแทนชันนําแห่งหนึ่งทีมสาขาครอบคลุมใน
             ั                               ั        ้             ่ ี
หลายประเทศทัวโลกรวมถึง ประเทศไทย ลู ก ค้า ที่ส นใจเข้า มาใช้บ ริก ารทางการแพทย์ใ น
                 ่
ประเทศไทยจึงประกอบด้วยหลายเชื้อชาติ แต่ส่วนใหญ่เป็ นชาวออสเตรเลีย นิวซีแลนด์ และ
ยุโรปแถบประเทศสแกนดิเนเวีย บริษท Hygeia Healthcare ได้สร้าง Destination Beauty ขึน
                                   ั                                               ้
เพื่อเป็ นแบรนด์ทให้บริการด้านศัลยกรรมความงามโดยเฉพาะ นอกจากนี้ยงได้จดทําเว็บไซต์
                   ่ี                                                   ั ั
www.destinationbeauty.com ขึนเพื่อเป็ นสื่อกลางในการติดต่อสื่อสาร โดยมีโรงพยาบาลยันฮี
                              ้
เป็ นปลายทางสําคัญทีให้บริการด้านศัลยกรรมความงาม ทางบริษทได้ให้ขอมูลว่า โดยเฉลี่ย
                      ่                                        ั         ้
แล้ว ลูกค้าจะเดินทางเข้ามารับบริการทางการแพทย์ในไทยประมาณเดือนละ 50-60 ราย โดย
ในแต่ละรายจะใช้เวลาในเมืองไทยประมาณ 7-10 วัน (รวมระยะเวลาพักฟื้ น) ส่วนมากจะเน้น
เข้ามารับบริการผ่าตัดศัลยกรรมตกแต่ง (Plastic Surgery) และศัลยกรรมความงาม (Cosmetic


                                          31
Surgery) เป็ นหลัก และอาจมีการผ่าตัดสะโพกและข้อต่อบ้างประปราย โดยลูกค้าจะต้องกรอก
 Medical questionnaire พร้อมแนบรูปถ่ายผ่านทางเว็บไซต์ โดยทางบริษทจะส่งข้อมูลนี้ไปยัง                  ั
 แพทย์ผูเชี่ยวชาญเพื่อทําการประเมิน แล้วส่งกลับไปอีกที่ลูกค้าอีกทีหนึ่ง เมื่อลูกค้าเห็นชอบ
                  ้
 ทางบริษทก็จะทําการนัดหมายแพทย์ รวมถึงประเมินค่ารักษาพยาบาลเบืองต้น โดยทางจะ
                    ั                                                                                   ้
 บริษทมี contract อยูกบโรงพยาบาลต่างๆ อาทิ โรงพยาบาลกรุงเทพ โรงพยาบาลปิ ยะเวท
        ั                                 ่ ั
 โรงพยาบาลเวชธานี โรงพยาบาลยันฮีและโรงพยาบาลกรุงเทพภูเก็ต เป็ นต้น ถ้าลูกค้าต้องการ
 ตรวจเช็คร่างกายทัวไปหรือการผ่าตัดเบื้องต้น รวมถึงการผ่าตัดเปลี่ยนหัวใจ การผ่าตัดข้อ
                                    ่
 กระดูก จะส่งไปทีโรงพยาบาลกรุงเทพ เพราะมีเครื่องมือและอุปกรณ์ททนสมัย รวมถึงมีแพทย์
                                ่                                                            ่ี ั
 ที่มท กษะความชํานาญเฉพาะทาง ซึ่งคนไข้ท่ีต้องเข้ารับการผ่าตัดบางรายอาจต้องนํ า เวช
      ี ั
 ระเบียน (medical report) มาด้วย
              ในกรณีทลูกค้าต้องการให้จดหาทีพก รถรับ-ส่ง รวมถึงบริการนําเทียวนัน ลูกค้าจะต้อง
                         ่ี                           ั      ่ ั                                          ่ ้
 แจ้งความจํานงและจ่ายค่าใช้จ่ายส่วนนี้เพิมกับทางบริษทเอง เนื่องจากบริการดังกล่าวมิได้เป็ น
                                                              ่                 ั
 บริการหลักของทางบริษท ต่างจากลูกค้าที่เดินทางเข้ามาเพื่อรับบริการทางการแพทย์เพียง
                                              ั
 อย่า งเดีย ว ที่ท างโรงพยาบาลจะเป็ น ผู้คิด ค่า รัก ษาพยาบาลและค่า บริก ารแต่ เ พีย งผู้เ ดีย ว
 เช่นเดียวกับบริษทตัวแทนอื่นๆ เช่น บริษท MedAsia Healthcare ทีมขนตอนการดําเนินงาน
                            ั                                   ั                         ่ ี ั้
 และการบริการที่คล้ายคลึงกัน นอกจากนี้ ยังมีบริษทที่เจาะกลุ่มเป้าหมายลูกค้ารายประเทศ
                                                                             ั
 โดยเฉพาะอีกด้วย อาทิเช่น บริษท Red Hare Communications ทีเน้นกลุ่มลูกค้าชาวอเมริกน
                                                    ั                                   ่                          ั
 บริษัทจะทําหน้ าที่จดการและดูแลชาวอเมริกนที่เดินทางเข้ามารับบริการทางการแพทย์ใน
                                      ั                                  ั
 ประเทศไทย โดยอัตราค่าบริการเป็ นเงิน 300 เหรียญสหรัฐ ซึงบริการเหล่านี้จะรวมถึงการจอง
                                                                                    ่
 ทีพกทีโรงแรม Siam Society Hotel & Resort ซึงตังอยูบนถนนประดิษฐ์มนูธรรม บริการรถ
   ่ ั ่                                                                   ่ ้ ่
 รับ-ส่งจากสนามบินไปยังทีพก และจากทีพกไปยังสนามบินในวันทีเดินทางกลับ และบริการพา
                                                ่ ั         ่ ั                       ่
 ลูกค้าไปโรงพยาบาลเพือเข้ารับคําปรึกษาและบริการทางการแพทย์ ในกรณีทตองเข้ารับการ
                                           ่                                                                  ่ี ้
 รักษาทีโรงพยาบาล จะมีบริการรถรับส่งจากทีพกไปยังโรงพยาบาล และจากโรงพยาบาลไปยัง
              ่                                                       ่ ั
 ทีพกเมือการรักษาสินสุดลง โดยลูกค้าจะมีสทธิ ์ในการเลือกโรงพยาบาลทีจะใช้บริการ
    ่ ั ่                         ้                               ิ                               ่
                จะเห็น ได้ว่ า บริก ารของบริษัท ตัว แทนส่ว นใหญ่ จะเน้ นที่ก ารประสานงานและการ
ให้บริการทางการแพทย์เป็ นหลัก โดยมีบริการจัดหาที่พกและการนํ าเที่ยวเป็ นทางเลือกเสริม
                                                                                  ั
อย่างไรก็ดี มีบริษททัวร์จํานวนไม่น้อยทีหนมาสนใจธุรกิจบริการด้านสุขภาพ ดังจะเห็นได้จาก
                              ั                           ่ ั
การทีบริษททัวร์ต่างเริมทยอยขยายบริการไปสูบริการทางการแพทย์เพิมมากขึน นอกเหนือจาก
          ่ ั                           ่                           ่                      ่                ้
การนํ าเที่ยวเพียงอย่างเดียว ซึ่งต่ างจากเมื่อก่อนที่บริษัทตัวแทนและบริษัททัวร์จะแยกการ
ให้บริการกันอย่างชัดเจน
              บริษท Marwin Tours เป็ นอีกบริษทหนึ่งทีได้เพิมการบริการทีอํานวยความสะดวก
                      ั                                                ั       ่ ่                  ่
ให้แก่ผทมารับบริการทางการแพทย์ในประเทศไทย ลูกค้าส่วนใหญ่จะเป็ นคู่สมรสชาวตะวันออก
           ู้ ่ี
กลางวัยกลางคนไปจนถึงวัยสูงอายุ ลูกค้าเหล่านี้นิยมเข้ามาตรวจสุขภาพในประเทศไทย โดย
เฉพาะทีโรงพยาบาลบํารุงราษฎร์ ซึงลูกค้าจะใช้เวลาในการเข้ารับการบริการอย่างน้อย 3 วัน
                ่                                       ่


                                                        32
โดยทางบริษทจะเป็ นผูจดหาทีพก รถรับส่งจากสนามบิน พร้อม City Tour แต่ลูกค้าส่วนใหญ่
              ั            ้ั    ่ ั
ปฏิเสธบริการ City Tour เนื่องจากว่าต้องการเข้ามาเพื่อรับบริการการตรวจสุขภาพเพียงอย่าง
เดียว นอกจากนี้ ยังมีการอํานวยความสะดวกในรูปแบบใหม่ คือการนํานวัตกรรมเทคโนโลยีทาง
อิเล็กทรอนิกส์การ์ดมาใช้ประกอบการให้บริการงานเคลมประกัน ซึงมีลกษณะการใช้งานและ
                                                                  ่ ั
เก็บฐานข้อมูลเหมือนบัตรเครดิตทัวไป ให้เรียกว่า Electronic Health Card Network ซึงเป็ น
                                     ่                                            ่
       ่ ู้ ่                                                  ้    ้ ่
บัตรทีผเกียวข้องสามารถเข้าถึงฐานข้อมูลได้ตลอดเวลา โดยทุกครังเมื่อผูปวยรูดบัตรสมาชิกใน
ระบบอิเล็กทรอนิกส์ ณ จุดให้บริการทีกระจายอยูตามโรงพยาบาลต่างๆ เช่น โรงพยาบาลปิ ยะ
                                       ่      ่
                                                              ้ ่
เวท โรงพยาบาลพญาไท โรงพยาบาลเซนต์หลุยส์ เป็ นต้น ข้อมูลผูปวยก็จะปรากฎเป็ นรายงาน
ให้ทุกฝ่ายที่เกี่ยวข้องทราบทันที บริษัทที่นําระบบนี้มาใช้ในเมืองไทยคือ บริษทเมดิลงค์
                                                                             ั      ิ
                        19
(ประเทศไทย) จํากัด โดยได้เปิ ดให้บริการใน 8 ประเทศคือ มาเลเซีย อินโดนีเซีย ฟิ ลปปิ นส์
                                                                                ิ
บังคลาเทศ จีน ไทย เวียดนาม และกัมพูชา ตามลําดับ ให้บริการเป็ น ”solution provider” ทํา
หน้าที่เป็ นบริษทกลางในการอํานวยความสะดวกในการเรียกร้องสินไหมทดแทนด้านสุขภาพ
                    ั
ระหว่างบริษทประกันผูรบผิดชอบค่ารักษาพยาบาล และผูให้การรักษาพยาบาล (healthcare
                ั           ้ั                          ้
                  ้               ํ      ั
provider) อีกทังยังมีบริการให้คาปรึกษาปญหาด้านประกัน บริการออกแบบกรมธรรม์ ตลอดจน
จัดหาสถานพยาบาลและสิงอํานวยความสะดวกสําหรับลูกค้าในการรักษาพยาบาล และยังมีแผน
                               ่
ที่จะขยายการบริการในการจัดหาแพทย์ โรงพยาบาล โรงแรม และการท่องเที่ยวเพื่อรองรับ
                      ้ ่ ้
ความต้องการของผูปวยทังในและนอกประเทศ

 ตารางที่ 2.6 ตัวอย่างบริษทตัวแทนที่มีบริ การนําคนไข้เข้ามารับบริ การด้านสุขภาพใน
                          ั
                                  ประเทศไทย
            บริ ษทตัวแทน
                 ั                      สัญชาติ ผป่วย
                                                 ู้                                บริ การ
 Hygeia Healthcare Co.,Ltd.           ทั ่วไป แต่สวนใหญ่จะ
                                                  ่          -   ลูกค้าทีจะใช้บริการศัลยกรรมตกแต่ง จะต้องกรอก
                                                                         ่
                                      มาจากออสเตรเลีย            Medical questionnaire พร้อมแนบรูปมาด้วย โดยทาง
                                      นิวซีแลนด์ และ             บริษทจะส่งให้แพทย์ผเู้ ชียวชาญทําการประเมิน แล้ว
                                                                      ั                    ่
                                      ประเทศทางแถบ               ตอบกลับไปอีกทีหนึ่ง ถ้าลูกค้าเห็นชอบ ทางบริษทก็จะ ั
                                      ยุโรป                      ทําการนัดแพทย์ให้ รวมถึงประเมินค่ารักษาพยาบาล
                                                                 เบืองต้น
                                                                    ้
                                                             -   คนไข้ทตองเข้ารับการผ่าตัดบางราย อาจจําเป็ นต้องมี
                                                                           ่ี ้
                                                                 Medical report มาด้วย ในบางกรณี ลูกค้าจําเป็ นต้อง
                                                                 กรอก Inquiry form ด้วย
                                                             -   ในกรณีทลกค้าต้องการให้จดหาทีพกและรถรับส่ง
                                                                                ่ี ู         ั      ่ ั
                                                                 ลูกค้าจะต้องจ่ายค่าใช้จายส่วนนี้เพิมก่อนเดินทาง
                                                                                         ่            ่
                                                             -   ทีพกทีทางบริษทจัดหาให้นน จะตังอยูใกล้โรงพยาบาล
                                                                   ่ ั ่             ั         ั้    ้ ่
                                                                 อาทิ ถ้าลูกค้าต้องเข้ารับบริการทีโรงพยาบาลยันฮี ก็จะ
                                                                                                  ่
                                                                 จองโรงแรมรอยัล ริเวอร์ หรืออพาร์ทเมนต์ทตงอยู่
                                                                                                            ่ี ั ้
                                                                 บริเวณใกล้เคียง ราคาห้องพักจะประมาณ 1,500-


19
     http://www.medilink.co.th/medilink/aboutus.html

                                                       33
บริ ษทตัวแทน
             ั          สัญชาติ ผป่วย
                                 ู้                                       บริ การ
                                                 3,500 บาท ทําให้คาใช้จายเฉลียต่อวันอยูทประมาณ
                                                                             ่ ่       ่                ่ ่ี
                                                 1,000 บาทขึนไป     ้
                                            - ระยะเวลาทีใช้ในเมืองไทยโดยเฉลีย จะประมาณ 7-10
                                                                ่                          ่
                                                 วัน ทังนี้ ขึนอยูกบระยะเวลาในการพักฟื้นด้วย
                                                       ้ ้ ่ ั
                                            - ลูกค้าบางรายอาจตัองการบริการนําเทียวเพิมเติม ซึง     ่         ่     ่
                                                 ทางบริษทยังไม่ได้มงเน้นในส่วนนี้มากนัก แต่กจะช่วย
                                                            ั                 ุ่                               ็
                                                 ประสานงานและจัดหาทีพกให้ โดยลูกค้าสามารถเลือก
                                                                                 ่ ั
                                                 สถานทีได้จาก brochure ซึงทางบริษทจะคิดค่าใช้จาย
                                                         ่                           ่           ั               ่
                                                 ในส่วนนี้ต่างหาก
                                            - ในด้านค่าใช้จายนัน ขึนอยูกบบริการทีลกค้าเลือกรับ
                                                                      ่ ้ ้ ่ ั                      ู่
                                                 ซึงแตกต่างกันไปในแต่ละราย
                                                   ่
                                            หมายเหตุ กรณีทวไปทีลกค้าใช้บริการทางการแพทย์เพียง
                                                                  ั่ ่ ู
                                            อย่างเดียว บริษทจะได้สวนแบ่งตาม contract จากทาง
                                                              ั            ่
                                            โรงพยาบาล
                                            - นอกจากนี้ บริษทยังมี contract อยูกบโรงพยาบาล
                                                                         ั                   ่ ั
                                                 กรุงเทพ โรงพยาบาลปิ ยะเวท โรงพยาบาลเวชธานี
                                                 โรงพยาบาลกรุงเทพภูเก็ต และโรงพยาบาลยันฮี
                                                 รวมถึงโรงพยาบาลเทพธารินทร์ละ TRSC Lasik
                                                 Center อีกด้วย
                                            - การผ่าตัดเปลียนหัวใจ การผ่าตัดข้อกระดูก รวมถึง
                                                                       ่
                                                 Medical check-up หรือ surgery ทัวไปจะส่งไปที่่
                                                 โรงพยาบาลกรุงเทพ เพราะมีเครืองมือและอุปกรณ์ท่ี
                                                                                         ่
                                                 ทันสมัย


MedAsia Healthcare     ออสเตรเลียและยุโรป   -     ทําหน้าทีเป็ น Private Consulting ลูกค้าชาวต่างชาติ
                                                               ่
                                            -     ประสานลูกค้าชาวต่างชาติกบโรงพยาบาล โดยให้
                                                                                       ั
                                                  ลูกค้าส่ง Inquiry มาให้ MedAsia Healthcare จะ
                                                  คอยให้คาปรึกษาและข้อมูลเกียวกับบริการทาง
                                                             ํ                             ่
                                                  การแพทย์ โดยจัดส่งข้อมูลและ profile ของแพทย์ไป
                                                  ให้ลกค้าพิจารณา ซึงลูกค้าจะเป็ นผูเ้ ลือกโรงพยาบาล
                                                        ู                     ่
                                                  และแพทย์ผทาการรักษาเอง เมือลูกค้าตกลงทีจะ
                                                                   ู้ ํ                          ่         ่
                                                  ใช้บริการแล้ว ก็จะช่วยนัดคนไข้ให้
                                            -     ทังนี้ โรงพยาบาลทีแนะนําลูกค้านันจะขึนอยูกบทีพก
                                                    ้                       ่                ้     ้ ่ ั ่ ั
                                                  ของลูกค้า ซึงบริษทจะช่วยจัดหาทีพกให้ลกค้าในบาง
                                                                     ่    ั                    ่ ั ู
                                                  กรณี ทีพกส่วนใหญ่จะตังอยูยานใจกลางเมือง อาทิ
                                                           ่ ั                    ้ ่ ่
                                                  สุขมวิท สีลม พระราม 9 โรงพยาบาลทีลกค้าใช้บริการ
                                                      ุ                                            ู่
                                                  ส่วนใหญ่คอ โรงพยาบาลบํารุงราษฎร์ โรงพยาบาล
                                                                 ื
                                                  สมิตเิ วช โรงพยาลกรุงเทพ โรงพยาบาลปิ ยะเวท
                                                  โรงพยาบาลพระรามเก้า เป็ นต้น
                                            -     บริการทางการแพทย์ทเี่ ป็ นทีนิยมมากทีสด คือ
                                                                                         ่          ุ่
                                                  ศัลยกรรมเสริมความงาม รองลงมา คือทันตกรรม
                                            -     โดยส่วนใหญ่แล้วลูกค้าทีตองการศัลยกรรมเสริมความ
                                                                                   ่ ้
                                                  งาม จะหาข้อมูลแพทย์และโรงพยาบาลไว้อยูแล้ว            ่
                                            -     ค่าบริการโดยเฉลียจะเริมที่ 50,000 บาทโดยประมาณ
                                                                        ่       ่


                                     34
บริ ษทตัวแทน
               ั                      สัญชาติ ผป่วย
                                               ู้                                    บริ การ
                                                             ทังนี้ขนอยูกบบริการทางการแพทย์ทใช้บริการ ซึง
                                                                ้ ้ึ ่ ั                                   ่ี            ่
                                                             ลูกค้าจะจ่ายตรงกับโรงพยาบาล
                                                         -   ทางบริษทไม่ได้มหน้าทีแนะนําสถานทีททองเทียวหรือ
                                                                        ั        ี             ่                ่ ่ี ่ ่
                                                             พาชมเมือง เป็ นเพียงผูประสานงานเท่านัน เมือคนไข้
                                                                                             ้                       ้ ่
                                                             ถึงมือแพทย์ หน้าทีของ MedAsia Healthcare ก็สนสุด
                                                                                     ่                                       ้ิ
                                                             ลง อย่างไรก็ด ี ทางบริษทอาจโทรศัพท์หรืออีเมล์ไป
                                                                                                 ั
                                                             สอบถามลูกค้าหลังเข้ารับบริการทางการแพทย์แล้ว
 Red Hare Communications              อเมริกน
                                            ั            -   จองทีพกทีโรงแรม Siam Society Hotel & Resort
                                                                    ่ ั ่
                                                         -   รถรับ-ส่งจากสนามบินไปยังทีพก              ่ ั
                                                         -   พาลูกค้าไปโรงพยาบาลเพือเข้ารับคําปรึกษาและ
                                                                                                   ่
                                                             บริการทางการแพทย์
                                                         -   ในกรณีทตองเข้ารับการรักษาทีโรงพยาบาล จะมี
                                                                          ่ี ้                           ่
                                                             บริการรถรับ-ส่งจากทีพกไปยังโรงพยาบาล และจาก
                                                                                           ่ ั
                                                             โรงพยาบาลไปยังทีพกเมือการรักษาสินสุดลง
                                                                                       ่ ั ่                  ้
Thailand Vacation Tour Corporation   ทัวไป
                                       ่                 -   มี contract กับโรงพยาบาลชันนําของเมืองไทย อาทิ
                                                                                                     ้
                                                             โรงพยาบาลศิรราช โรงพยาบาลกรุงเทพ โรงพยาบาล
                                                                               ิ
                                                             ยันฮี โรงพยาบาลบีเอ็นเอช รวมถึงโรงพยาบาล
                                                             กรุงเทพ-พัทยา
                                                         -   โดยอัตราค่าบริการจะรวม Round trip transfer
                                                             (Bangkok-Hospital) และราคาห้องพัก 1-2 คืน ทังนี้              ้
                                                             ขึนอยูกบโปรแกรมทีเลือกรับบริการ
                                                               ้ ่ ั                     ่
                                                         -   อัตราค่าบริการอยูท่ี $187-2,557
                                                                                   ่
 Marwin Tours                        ตะวันออกกลาง        -   จัดหาทีพก่ ั
                                                         -   บริการรถรับ-ส่งจากสนามบิน และจากทีพกไป               ่ ั
                                                             โรงพยาบาล
                                                         -   City tour
Thailand Health & Travel Co.,Ltd.    เยอรมัน             -
MTA Korea Co.,Ltd.                   เกาหลี              -
Lemongrass Medical Consulting &      สวีเดน              -
Invest AB
Body Treat & Travel Co.,Ltd          ทัวไป
                                       ่                 -   จองโรงแรมระดับ 4 ดาวในกทม.
                                                         -   บริการรถรับ-ส่งจากสนามบินมายังทีพก
                                                                                             ่ ั
                                                         -   บริการรถรับ-ส่งจากทีพกไปยังโรงพยาบาล
                                                                                  ่ ั
                                                         -   บริการจองโรงแรมทีพกล่วงหน้าhotel tment with
                                                                                ่ ั
 Nat Marr Parr Tour Co.,Ltd          ทัวไป
                                       ่                 -   เพิงแยกตลาด Medical tourism ออกมา เพือ
                                                                ่                                     ่
                                                             ตอบสนองความต้องการของตลาดในป ั ่    ัจจุบน ซึงกําลัง
                                                             อยูในช่วงดําเนินการ
                                                                  ่
ทีมา: รวบรวมโดยคณะผูวจย
  ่                 ้ิั




                                                    35
บทบาทของสถานพยาบาลภาครัฐ
            แม้ว่าการขยายตัวของ medical tourism ในประเทศไทยจะมีจุดเริมมาจากภาคเอกชน ่
และในการผลักดันของภาครัฐ (ไม่ว่าจะเป็ นกระทรวงพาณิชย์หรือกระทรวงสาธารณสุข) ก็มความ                          ี
คาดหมายว่าโรงพยาบาลเอกชนจะเป็ นกลไกหลักในส่วนของ medical hub อย่างไรก็ตาม ทีผานมา                      ่ ่
สถานพยาบาลที่เป็ นโรงเรียนแพทย์ของรัฐที่มีช่ือเสียงแห่งหนึ่ งคือโรงพยาบาลศิรราช ได้มีการ           ิ
ปรับตัวให้มความทันสมัยขึน และได้มการพัฒนาศูนย์รกษาโรคเฉพาะทาง เช่น ศูนย์หวใจ และศูนย์
                 ี                ้          ี                ั                                      ั
มะเร็ง โดยในส่วนของศูนย์หวใจนัน ตังแต่ช่วงปลายปี 2549 ได้เปิ ดศูนย์ท่มช่ือเฉพาะเป็ น
                                      ั ้ ้                                                  ี ี
ภาษาอังกฤษว่า “The Heart by Siriraj” เป็ นองค์กรอิสระภายใต้กํากับของคณะแพทยศาสตร์ศริ                            ิ
ราชฯ ซึงในทางปฏิบตเป็ นเสมือนโรงพยาบาลเอกชนในโรงพยาบาลรัฐ (ดูรายละเอียดเพิมเติม
             ่             ั ิ                                                                            ่
ในกรอบที่ 6.1 ในตอนที่ 6) และมีแผนทีจะทําศูนย์ Excellent Center/Medical Research
                                                 ่
Building ทีเป็ น One-stop service ประมาณ 300 เตียง (ในพืนทีทเคยเป็ นสถานีรถไฟธนบุร)ี
                   ่                                                   ้ ่ ่ี
                                                                  20
สําหรับให้บริการทางการแพทย์โดยเน้นกลุ่มผูมรายได้สง   ้ ี        ู
            นอกจากนี้ โรงพยาบาลศิร ร าชและโรงพยาบาลรามาธิบ ดีก ม โ ครงการร่ว มมือ กับ
                                               ิ                                ็ ี
บริษท MEDS (ซึ่งมีผูบริหารเป็ นแพทย์จาก UCLA) ในการนํ าคนไข้ (และในบางกรณีนํา
     ั                          ้
คนไข้มาพร้อมกับแพทย์ผูเชียวชาญ) มาทําการรักษาในประเทศไทย โดยเน้นการรักษาโรค
                                    ้ ่
เฉพาะทาง อาทิ เนื้องอกในมดลูก หรือผ่าตัดหัวใจ ด้วยการใช้เทคโนโลยีใหม่ในการรักษา
                                         ่                ่                                ่
(เช่น การอุด เส้น เลือ ดแดงทีไ ปเลี้ย งเนื้อ งอกทีม ดลูก เพื่อ ทํา ให้เ นื้อ งอกฝ อ ไปโดยไม่ต ้อ ง
ผ่าตัด) และในอนาคตมีโครงการทีจะขยายออกไปยังการรักษาโรคกระดูกหลังและเข่า และ
                                           ่
อาจจะมีโรงพยาบาลจุฬาฯ เข้าร่วมโครงการด้วย โรงพยาบาลศิรราชยังเป็ นโรงพยาบาลรัฐที่
                                                                         ิ
นอกจากจะผ่านการรับรองมาตรฐาน Hospital Accreditation หรือ HA (โดยสถาบันพัฒนา
และรับรองคุณภาพโรงพยาบาล หรือ พรพ. ของไทย) แล้ว ยังเป็ นหนึ่งในไม่ก่โรงพยาบาลของ         ี
ไทยทีผ่านการรับรองมาตรฐานจาก Joint Commission International Accreditation หรือ
         ่
JCIA อีกด้วย (ซึ่งส่วนใหญ่โรงพยาบาลทีเข้ารับการรับรองมาตรฐานจาก JCIA จะเป็ น
                                                      ่
โรงพยาบาลเอกชนทีมเป้าหมายในการดึงลูกค้าจากสหรัฐอเมริกา)
                          ่ ี
            อย่ า งไรก็ ต าม จากการสั ม ภาษณ์ ศ.นพ.ปิ ยะสกล สกลสั ต ยาทร อธิ ก ารบดี
มหาวิทยาลัยมหิดล21 ซึ่งเป็ นอดีตคณบดีและผูบริหารโรงพยาบาลศิรราชทีรเริมโครงการเหล่านี้
                                                        ้                     ิ     ่ิ ่
           ั ั ั
(และปจจุบนก็ยงคงมีสวนกํากับดูแลโรงพยาบาลศิรราชในฐานะผูบริหารมหาวิทยาลัยมหิดล) ระบุ
                              ่                             ิ        ้
ว่าโครงการเหล่านี้เป็ นความพยายามรักษาความเป็ นเลิศด้านวิชาการ และรักษาบุคลากรไม่ให้ถูก
ดึงออกไปจากโรงเรียนแพทย์ (ในลักษณะทีคล้ายคลึงกับการเปิ ดคลินิกพิเศษนอกเวลาราชการใน
                                                   ่
อดีต) และนํารายได้มาพัฒนาวิชาการและโรงพยาบาล ตลอดจนอุดหนุ นการรักษาผูป่วยกลุ่มอื่นๆ              ้
รวมทังกลุ่มบัตรทอง ซึงในหลายกรณี ทางโรงพยาบาลได้รบการชดเชยในอัตราเหมาจ่ายทีต่ํากว่า
       ้                    ่                                      ั                                    ่
ค่าใช้จ่ายทีใช้จริง โดยมิได้มจุดมุ่งหมายทีเ่ น้นการหารายได้จากคนไข้ต่างประเทศ โครงการทีมี
               ่                       ี                                                                      ่

20
     โดยตังเป้าทีจะเก็บค่ารักษาพยาบาลทีประมาณร้อยละ 80 ของโรงพยาบาลเอกชน
          ้      ่                    ่
21
     สัมภาษณ์โดยคณะผูวจยเมือวันที่ 14 กุมภาพันธ์ 2551
                         ้ิั ่

                                                       36
ความร่วมมือกับต่างประเทศ (เช่น UCLA โดย MEDS) นัน มีวตถุประสงค์หลักอยู่ทการเรียนรู้
                                                             ้ ั                                 ี่
เทคนิคและเทคโนโลยีใหม่ๆ ทางการแพทย์มากกว่าการดึงดูดคนไข้ต่างชาติ การขอรับมาตรฐาน
จาก JCIA ก็มวตถุประสงค์หลักในทํานองเดียวกัน สําหรับการรักษาคนไข้ต่างชาติในภูมภาคนี้กมี
                     ีั                                                                                 ิ          ็
ไม่มาก โดยส่วนใหญ่ เป็ นราชวงศ์จากภูฏาน เนปาล และมีจุดมุ่งหมายเพือรักษาชือเสียงของ  ่          ่
โรงพยาบาลและของประเทศเสียมากกว่า ทังนี้จํานวนคนไข้จากต่างประเทศในแต่ละปี ทผ่านมามี
                                                ้                                                         ี่
จํานวนทีเ่ ป็ นหลักสิบเท่านัน
                            ้
           นอกจากนี้ ศ.นพ.ปิ ยะสกล ยังมีความเห็นว่าโรงเรียนแพทย์ชนนํ าอื่นๆ (ทังโรงพยาบาล
                                                                       ั้                   ้
รามาธิบดีซ่งอยู่ในสังกัดของมหาวิทยาลัยมหิดล และโรงพยาบาลจุฬาฯ) ก็คงจะมีการปรับตัวใน
              ึ
ทิศทางเดียวกับโรงพยาบาลศิรราช โดยในส่วนของโรงพยาบาลรามาธิบดีก็มการพัฒนาความ
                                    ิ                                                     ี
                                              ั
ร่วมมือกับสภานพยาบาลเอกชนเพื่อแก้ปญหาห้องพิเศษของโรงพยาบาลรามาธิบดีทมกจะเต็ม                        ่ี ั
โดยมีขอตกลงให้คนไข้มารักษาหรือผ่าตัดที่โรงพยาบาลรามาธิบดี ไปพักฟื้ นต่อโรงพยาบาล
         ้
พญาไท และกําลังดําเนินสร้างตึกใหม่ (ตึก “สมเด็จพระเทพรัตน์” ในพืนทีทได้มาจากศูนย์เด็ก
                                                                            ้ ่ ่ี
อ่ อนพญาไท) ซึ่งคาดว่ าจะพัฒนาเป็ นศู นย์ตรวจเฉพาะทางที่ท ันสมัยในทํานองเดียวกันกับ
โครงการของศิรราช สําหรับโรงพยาบาลจุฬาฯ นอกจากจะมีโครงการผ่าตัดนอกเวลา (ซึงเป็ นการ
                        ิ                                                                             ่
ขยายบริการแบบคลินิกพิเศษนอกเวลาราชการของโรงพยาบาลไปสู่บริการผูปวยในด้วย) ยังได้       ้ ่
ดําเนินการสร้างศูนย์เชียวชาญเฉพาะทางต่างๆ อีกด้วย
                          ่
           ถ้าโรงพยาบาลที่เป็ นโรงเรียนแพทย์ชนนํ าของประเทศไทย มีแนวโน้มที่จะปรับตัวใน
                                                    ั้
ทิศทางทีกล่าวมาแล้วจริง โรงพยาบาลเหล่านี้กคงจะไม่ได้มบทบาททีสาคัญในการหันไปแข่งกับ
            ่                                     ็        ี           ่ํ
โรงพยาบาลเอกชนในการดึงคนไข้ต่างชาติเข้ามา (ถึงแม้ว่ามีแนวโน้มทีโรงพยาบาลเหล่านี้คงมี
                                                                          ่
การรักษาคนไข้ต่างชาติเพิมขึ้นกว่าเดิม) อย่างไรก็ตาม เราคงจะไม่สามารถสรุปด้วยความ
                                ่
มันใจว่ า อนาคตจะเป็ น เช่ น นัน เพราะที่ผ่า นมา ผู้บ ริห ารแต่ ล ะท่ า นก็อ าจมีมุ ม มองที่ไ ม่ไ ด้
   ่                              ้
เหมือนกันไปเสียทีเดียว ตัวอย่างเช่น ในกรณีของโรงพยาบาลศิรราชนัน เราก็ได้ยนทังเสียงที่
                                                                   ิ         ้                ิ ้
คัดค้านการปรับตัวในลักษณะดังกล่าว และเสียงจากผูบริหารระดับรองลงมาบางท่านทีเคยให้
                                                       ้                                                     ่
ความเห็นเอาไว้ว่า ในสถานการณ์ ท่ีมคนไข้ต่างชาติเข้ามารับการรักษาในประเทศไทยเป็ น
                                            ี
จํานวนมากนัน คงจะไม่เป็ นธรรมนักทีจะให้ผลประโยชน์ไปตกอยูกบฟากฝงโรงพยาบาลเอกชน
                ้                         ่                      ่ ั             ั่
แต่เพียงฝ่ายเดียว ซึ่งถ้าผูบริหารโรงเรียนแพทย์ในอนาคตเห็นด้วยกับแนวคิดดังกล่าว เราก็
                              ้
อาจจะได้เห็นการเติบโตของโรงเรียนแพทย์ (โดยเฉพาะอย่างยิงในยุคทีมหาวิทยาลัยออกนอก
                                                               ่               ่
ระบบ) ไปเป็ นโรงพยาบาลเอกชนในแบบที่ไม่ต่างจากโรงพยาบาลเอกชนกลุ่มที่มุ่งเน้ นการ
                                      ั ั
รักษาคนไข้ต่างชาติเป็ นหลักในปจจุบนก็เป็ นได้ (หรืออย่างน้อยก็อาจหันไปเน้นการรักษาผูปวย                        ้ ่
กลุ่มฐานะดีทสามารถจ่ายเงินเองเหมือนกับโรงพยาบาลเอกชนส่วนใหญ่) ซึงนี่อาจเป็ นสาเหตุ
                  ่ี                                                                   ่
หนึ่งที่ทําให้มเสียงคัดค้านแนวทางการปรับตัวของโรงพยาบาลศิรราชที่ผ่านมาจากผู้บริหาร
                     ี                                               ิ
โรงพยาบาลเอกชนหลายราย




                                                        37
เอกสารอ้างอิ ง
กระทรวงพาณิชย์. กรมส่งเสริมการส่งออก. 2549. จํานวนผูป่วยชาวต่างประเทศที่เข้ารับ
                                                             ้
         การบริ การทางการแพทย์ในโรงพยาบาลเอกชนไทย. ค้นวันที่ 26 มิถุนายน จาก
         http://thesis.swu.ac.th/swuthesis/Eco_Pla_Man/Noparat_J.pdf
กระทรวงสาธารณสุข. สํานักปลัดกระทรวง. 2544. การสาธารณสุขไทย 2544-2547. ค้น
         วันที่ 19 มิถุนายน 2550 จาก
         http://www.moph.go.th/ops/health_48/2544_2547.htm
กระทรวงสาธารณสุข. 2546. แผนยุทธศาสตร์การพัฒนาให้ประเทศไทยเป็ นศูนย์กลาง
         สุขภาพแห่งเอเชีย(พ.ศ.2547-2551). ค้นวันที่ 19 มิถุนายน. จาก
         http://www.moph.go.th/ops/spa/center%20health%20ASIA.ppt
กระทรวงสาธารณสุข. สํานักปลัดกระทรวง. 2550. แผนปฏิ บติการกระทรวงสาธารณสุข
                                                               ั
         ประจําปี งบประมาณ 2550. ค้นวันที่ 19 มิถุนายน 2550 จาก
         http://bps.ops.moph.go.th/strategy/strategy1.html
กระทรวงสาธารณสุข. ม.ป.ป. แผนยุทธศาสตร์การพัฒนาให้ประเทศไทยเป็ นศูนย์กลาง
         สุขภาพของเอเชีย (พ.ศ.2547-2551). ค้นวันที่ 26 มิถุนายน 2550 จาก
         www.moph.go.th/ops/spa/product_spa.ppt 310,5,Slide5
คณะกรรมการพัฒนาอุตสาหกรรมผลิตสมุนไพร. ม.ป.ป. แผนยุทธศาสตร์การพัฒนา
         อุตสาหกรรมผลิ ตสมุนไพร ปี 2548-2552. ค้นวันที่ 26 มิถุนายน 2550 จาก
         www.moph.go.th/ops/spa/product_spa.ppt
คณะกรรรมการอํานวยการจัดทําแผนสุขภาพแห่งชาติ ฉบับที10. กุมภาพันธ์ 2550.
                                                         ่
         แผนพัฒนาสุขภาพ ฉบับที่ 10 พ.ศ.2550-2554 (27 ก.พ.50 เสนอต่อ
         คณะรัฐมนตรี). ค้นวันที่ 19 มิถุนายน 2550 จาก
         http://bps.ops.moph.go.th/Plan10/Plan10-50.pdf
คณะกรรรมการอํานวยการจัดทําแผนสุขภาพแห่งชาติ ฉบับที10. กุมภาพันธ์ 2550. สรุป
                                                           ่
         สาระสําคัญแผนพัฒนาสุขภาพแห่งชาติ ฉบับที่ 10 พ.ศ.2550-2554. ค้นวันที19    ่
         มิถุนายน 2550 จาก http://bps.ops.moph.go.th/Plan10/Plan10-50.pdf
คณะกรรรมการอํานวยการจัดทําแผนสุขภาพแห่งชาติ ฉบับที่ 9. 2545. สรุปสาระสําคัญ
         แผนพัฒนาสุขภาพแห่งชาติ ฉบับที่ 9. ค้นวันที่ 19 มิถุนายน 2550 จาก
         http://bps.ops.moph.go.th/plan9.pdf
โครงการข่าวสารทิศทางประเทศไทย. 2547. รายงานสถานการณ์และแนวโน้ มประเทศ
         ไทย เมษายน 2547. ค้นวันที่ 19 มิถุนายน 2550 จาก http://ttmp.trf.or.th/รายงาน
         ประจําเดือนเม.ย.2547ส่งสกว.doc
บริษทสมิตเวช จํากัด มหาชน. 2550. รายงานประจําปี 2549.
    ั     ิ


                                         38
มติ คณะรัฐมนตรี. (22 มีนาคม 2549). แต่งตัง. ค้นวันที่ 19 มิถุนายน 2550 จาก
                                               ้
            NEWScenter.
ยุทธศักดิ ์ คณาสวัสดิ ์. ม.ป.ป. ไทย: ศูนย์กลางการรักษาพยาบาลในภูมิภาค. ค้นวันที่ 11
            กันยายน 2550 จาก
            http://www.boi.go.th/thai/download/publication_boi_today/94/boitoday_aug_21_
            06.pdf
วิโรจน์ ณ ระนอง. 2541. การคุ้มครองผู้บริ โภคในด้านการรักษาพยาบาลในโรงพยาบาล
          เอกชน. โครงการวิจยเพือจัดทําแผนแม่บทกระทรวงพาณิชย์ 2540-2550. กรุงเทพ:
                                ั ่
          สถาบันวิจยเพือการพัฒนาประเทศไทย. (รายงานฉบับแก้ไข)
                      ั ่
สภาหอการค้า. คณะกรรมการธุรกิจการค้าและบริการสุขภาพ. 2546. แผนยุทธศาสตร์การ
            พัฒนาเพื่อเพิ่ มขีดความสามารถการแข่งขันของอุตสาหกรรมสมุนไพรไทย.
            ค้นวันที่ 19 มิถุนายน 2550. จาก http://www.moph.go.th/ops/spa/herbal-
            product.ppt#1
สํานักเลขาธิการคณะรัฐมนตรี. 2547. มติ คณะรัฐมนตรีเรื่องแผนยุทธศาสตร์การพัฒนา
          ประเทศไทยเป็ นศูนย์กลางสุขภาพเอเชีย (วาระสําคัญของรัฐบาล Agenda based).
          ค้นวันที่ 26 กรกฎาคม 2550 จาก http://www.cabinet.soc.go.th/soc/Program2-
          3.jsp?top_serl=198153&key_word=ศู น ย์ ก ล า ง สุ ข ภ า พ &owner_dep
          =&meet_date_dd=&meet_date_mm=&meet_date_yyyy=&doc_id1=&doc_id2=&m
          eet_date_dd2=&meet_date_mm2=&meet_date_yyyy2=
อัจฉรา วรศิรสนทร. 2547. “สินค้าและบริการสุขภาพ: อีกประเภทธุรกิจทีไทยแข่งได้”. ค้น
               ิุ                                                       ่
              วันที่ 27 กรกฎาคม 2550 จาก
              http://www.bangkokbank.com/download/SRHealth.pdf
“คณบดีแพทย์จุฬาฯ คนใหม่ ลันอีก4ปี คณะแพทย์จุฬาฯ เป็ นหนึ่งในอาเซียน”. กรุงเทพธุรกิ จ.
                                   ่
            (28 กุมภาพันธ์ 2551).
            http://www.bangkokbiznews.com/2008/02/28/WW17_1701_news.php?newsid=
            234301
“ครม.ทุม500ล้าน นําร่องเมดิคลฮับ 3เมืองเหนือ-ใต้!”. โพสต์ทูเดย์. (26 สิงหาคม 2547).
        ่                        ั
คอลัมน์ หมายเหตุประชาชน : “ก้าวสูการเป็ น Medical Hub of Asia (1) : ศูนย์กลางสุขภาพไม่
                                        ่
                       ั
            ไกลเกินฝน”. เดลิ นิวส์. (29 กันยายน 2547).
คอลัมน์ หมายเหตุประชาชน : “ก้าวสูการเป็ น Medical Hub of Asia(2)-อุปสรรคตํารับยาไทย”.
                                      ่
            เดลิ นิวส์. (30 กันยายน 2547).
คอลัมน์ หมายเหตุประชาชน : “ก้าวสูการเป็ น Medical Hub of Asia(2)-คุมมาตรฐาน สปา-นวด
                                          ่
            ไทย (จบ)”. เดลิ นิวส์. (1 ตุลาคม 2547).
“จัดระเบียบสปาไทย...ก่อนไปโกอินเตอร์”. มติ ชน. (8 มีนาคม 2547).

                                          39
“ดันไทย "ฮับ" ท่องเทียวเชิงการแพทย์คแข่งสิงคโปร์ ตังแผนรับสกัดดาวรุง”. บิสิเนสไทย. (7-
                        ่                    ู่                     ้       ่
13 พฤษภาคม 2550).
“ดึงร.พ.เอกชนสร้างฮับการแพทย์”. โพสต์ ทูเดย์. (21 เมษายน 2547).
“ต่างชาติยกนิ้ว สปาไทย ที่ 1 ในโลก”. บ้านเมือง. (22 เมษายน 2548).
“ททท.ลุยจัด"เฮลท์เอ็กซโป" ดันไทยสูฮบสุขภาพเอเชีย”. กรุงเทพธุรกิ จ. (20 กันยายน 2547).
                                         ่ ั
“ไทยจะเป็ นศูนย์กลางการแพทย์ เชิงท่องเทียวแห่งเอเชีย?”. มติ ชน. (29 มิถุนายน 2547).
                                                     ่
“ไทยเจ๋ง! ขึนแท่นอันดับ 1 "เมดิคลฮับ" ของโลก”. ผูจดการออนไลน์ . (27 สิงหาคม 2550).
              ้                    ั                            ้ ั
           ค้นวันที่ 23 กันยายน 2550 จาก
           http://www.thaivi.com/mobile/thread.php?topic_id=5186&&start=270
“น.พ.อภิชาติ แห่งบํารุงราษฎร์ ร.พ.ไทยทวงแชมป์ "เมดิคอลฮับ" สําเร็จแล้ว !!”. ประชาชาติ
           ธุรกิ จ. (14-16 พฤษภาคม 2550).
“บีโอไอ ทูเดย์: ไทย: ศูนย์กลางการรักษาพยาบาลในภูมภาค”. โพสต์ ทูเดย์. (21 สิงหาคม
                                                                      ิ
           2549).
“บุญ วนาสิน ชูเมดิคอลฮับสปา ตลาดกองอยูตรงหน้าไทยนับแสนล้าน”. ประชาชาติ ธรกิ จ.
                                                       ่                              ุ
           (15-18 ม.ค. 2547).
“ปชป.จับตา.. เสรีการบิน-ศูนย์สขภาพเอเชีย เอืออาณาจักร.."ชินฯ"..?”. มติ ชน. (28 มกราคม
                                 ุ                       ้
           2547).
“ปลุกกระแส"เฮลท์แคร์เอ็กซ์โป" รร.-รพ.แจ้งเกิดไทยเมดิคอลฮับ”. ประชาชาติ ธรกิ จ. (23-26
                                                                                  ุ
           กันยายน 2547).
“เปิดโอกาสไทยสูฮบสุขภาพเอเชียผ่านโรดโชว์ทฮองกง”. โพสต์ทเดย์. (20 พฤษภาคม 2549).
                   ่ ั                                     ่ี ่           ู
“ฝนหรู...ถึงฝง่ั ไทยเขียสิงคโปร์ ขึนแท่นเจ้าตลาด "การแพทย์"”. ประชาชาติ ธรกิ จ. (3-5
    ั                     ่          ้                                          ุ
           พฤษภาคม 2547).
“พ.ย."แม้ว"สังบรรจุหมอเป็ น"ขรก." คุย30บาทรักษาทุกโรคฉลุยเกินคาด”. มติ ชน. (19
                ่
           กันยายน 2546). ค้นวันที19 มิถุนายน 2550 จาก NEWScenter.
                                       ่
“พินิจ เน้นงานวิจยพัฒนาวิทย์การแพทย์”. บ้านเมือง. (12 ธันวาคม 2548).
                    ั
“ร.พ.ไทยเจ๋งตปท.ใช้บริการตรึม เผยปี ทผานมารับ2.6 หมืน ล.”. ประชาชาติ ธรกิ จ. (1-4
                                                ่ี ่                    ่     ุ
           เมษายน 2547).
“ร.พ.ไทยวิงขาขวิดแย่งโกอินเตอร์ ขาดเอกภาพ-เมดิคอลฮับไม่ขยับ”. ประชาชาติ ธรกิ จ. (31
            ่                                                                       ุ
           กรกฎาคม - 3 สิงหาคม 2546).
“ร.พ.เอกชนไทยพร้อม !! ชู 5 ยุทธศาสตร์ เดินหน้าสู่ Medical Hub Of Asia”. ประชาชาติ
           ธุรกิ จ. (7-10 ตุลาคม 2547).
“รัฐผนึกรพ.เอกชน โรดโชว์ตลาดนอก ตังเป้าปี น้ี'ล้านคน'”. กรุงเทพธุรกิ จ. (21 เมษายน
                                                  ้
           2547).


                                          40
“รัฐผุดศูนย์สมุนไพรครบวงจรทําเงิน”. แนวหน้ า. (14 สิงหาคม 2546).
“รัฐ-เอกชน ร่วมผลักดันไทยสูฮบด้านท่องเทียวเชิงการแพทย์-สปา-สุขภาพ”. พิ มพ์ไทย. (14
                                  ่ ั          ่
              พฤษภาคม 2550).
“โรงพยาบาลเอกชน : การขยายตัวยังเป็ นไปอย่างต่อเนื่อง”. ฐานเศรษฐกิ จ. (20-22
              กรกฎาคม 2549).
“แรงงาน"สปาไทย"ขาดตลาด จัดหลักสูตรเข้มรับ13ก.ค.”. ประชาชาติ ธรกิ จ. (5-7 กรกฎาคม
                                                                        ุ
              2547).
“ส.ผูวจยและผลิตยา ให้ทุนพัฒนายาใหม่ ต่อยอดฮับการแพทย์”. ประชาชาติ ธรกิ จ. (4-6
      ้ิั                                                                    ุ
              ตุลาคม 2547).
"ส.สปาไทย ผลัดใบแผนพัฒนา ผนึกทีม"ไทย-เทศ"ดันเมดิคอลฮับ”. ประชาชาติ ธรกิ จ. (24-27
                                                                                ุ
              มีนาคม 2548).
“สธ.เข็นทัวร์สขภาพสู้ "ซาร์ส" ผ่าตัดหัวใจ-มะเร็งแถมคอร์สสปาครบสูตร”. ไทยรัฐ. (3
                   ุ
              พฤษภาคม 2546).
“สมศรี เผ่าสวัสดิ ์ คุณหมอเก่ง ผลักดันไทยเป็ น"เมดิคอล ฮับ"”. มติ ชน. (28 มิถุนายน 2547).
“สิงคโปร์ ประกาศจุดยืนClinical Medical Hub”. บิสิเนสไทย. (8 สิงหาคม 2548). ค้นวันที่ 17
              สิงหาคม 2550 จาก
              http://www.businessthai.co.th/content.php?data=409389_Mice%20Market
                           ั
“หน่อย โวอีก 5 ปี ฟน 2 แสนล้านยุนทึง Medical Hub of Asia”. บ้านเมือง. (14 ธันวาคม
                                      ่ ่
              2546).
“โอกาสและอุปสรรค รพ.เอกชนไทยกับการไต่สู่ Medical Hub of Asia”. โพสต์ ทูเดย์. (5
              พฤษภาคม 2550).
“Medical Marketing ไทยชิงดําศูนย์แพทย์แห่งเอเชีย”. บิ สิเนสไทย. (7กรกฎาคม 2548). ค้น
                 วันที่ 17 สิงหาคม 2550 จาก
                 http://www.businessthai.co.th/content.php?data=411710_ข่าวปกใหญ่ๆ
“2 ปี "เมดิเคิลฮับ" ยังไม่คบ เร่งรัฐสานต่อดันไทยแข่งอาเซียน”. กรุงเทพธุรกิ จ. (9 มกราคม
                               ื
              2549).
“47 ไทยขึนแท่นฮับภูมภาค "การบิน-พลังงาน-สุขภาพ" เยียม”. ประชาชาติ ธรกิ จ. (5-7
            ้                ิ                             ่               ุ
              มกราคม 2547).
“ ' เมดิคล ฮับ' ผลงานรัฐบาล หรือเอกชน....ช่วยตัวเอง”. ฐานเศรษฐกิ จ. (20-22 กรกฎาคม
          ั
              2549).
“ ‘รามา-ศิรราช’ ลุยเมดิคอลฮับ ผนึก UCLA ดึงลูกค้าต่างประเทศ ”. ประชาชาติ ธรกิ จ. (10
               ิ                                                                  ุ
              ธันวาคม 2550).
“ ‘ศิรราช’ ยุคใหม่กอนไทยเป็ นฮับ ร.พ.รัฐสร้างคน เอกชนสร้างตลาด”. ประชาชาติ ธรกิ จ. (29
      ิ                  ่                                                          ุ
              เมษายน -2 พฤษภาคม 2547).

                                           41
“ ‘สปา’เฮ!สธ.ยกเว้นภาษี10% คุมเข้มมาตรฐานดันไทยเป็ นฮับ ”. ประชาชาติ ธรกิ จ . (11-13
                                                                          ุ
           สิงหาคม 2546).
“ ‘ไฮ ทัช’ Message ใหม่ ไทยศูนย์สขภาพเอเชีย”. กรุงเทพธุรกิ จ Biz Week. (5 พฤษภาคม
                                    ุ
           2550). ค้นวันที19 มิถุนายน 2550 จาก NEWScenter.
                            ่
                               ั
“ ‘Medical Hub’ โครงการในฝน ระวังสะดุดด้วยความไม่พร้อม ”. มติ ชน. (3 มกราคม 2547)
“ ‘Medical Tourism: Sun, sand, scalpels.’ The Economist. 382 (March 10, 2007):69.
“ ‘Medical Wing’ เทียวบินเศรษฐี "Air Ambulance" ธุรกิจใหม่ ซี.พี.”. ประชาชาติ ธรกิ จ. (21
                      ่                                                        ุ
           มีนาคม 2546).
Cohen, Eric. 2008. Medical Tourism in Thailand. Retrieved July 19, 2008 from
         http://gsbejournal.au.edu/e-Journal/Journal/Medical%20Touris
Ministry of Public Health. 2006. Health Policy in Thailand. Retrieved June 19, 2006
              from http://bps.ops.moph.go.th/HealthPolicy6.pdf
Woodman, Joseph. 2008. Patients Beyond Borders. Second Edition. Chapel Hill:
              Healthy Travel Media.




                                           42
3. การศึกษาเปรียบเทียบการให้บริการศูนย์กลางด้านสุขภาพใน
      ประเทศไทยกับประเทศอื่นในภูมิภาคนี้ ที่มีการดําเนินการด้าน
                          medical tourism
            ประเทศไทยไม่ใช่ประเทศเดียว (หรือประเทศแรก) ในภูมภาคนี้ ทีพยายามผลักดันให้
                                                                   ิ       ่
ประเทศตัวเองกลายเป็ น medical hub ตัวอย่างประเทศเพื่อนบ้านทีผลักดันเรื่องนี้มาก่อนและ
                                                                       ่
ประสบความสําเร็จพอสมควรคือ สิงคโปร์ (ซึ่งเน้ นในด้านการให้บริการทางการแพทย์ท่ีใ ช้
เทคโนโลยีขนสูง รวมทังพยายามดึงดูดคนไข้ในภูมภาคนี้ทสนใจไปรักษาในสหรัฐอเมริกาให้มา
                 ั้           ้                         ิ   ่ี
ทีสงคโปร์แทน) นอกจากนี้ยงมีประเทศอื่นๆ เช่น มาเลเซีย (ทีเน้นการให้บริการกลุ่มมุสลิมใน
  ่ ิ                               ั                          ่
         ่                                  ้ ่
ราคาทีถูกกว่าสิงคโปร์ ทําให้สามารถดึงดูดผูปวยจากอินโดนีเซียทีเคยนิยมมาสิงคโปร์ได้จานวน
                                                                 ่                    ํ
มาก) อินเดีย (ซึ่งเน้นในด้านราคาค่าบริการที่ต่ํากว่าประเทศอื่นๆ รวมทังประเทศไทย) และ
                                                                         ้
ฟิลปปิ นส์ (ซึงเคยมีประวัตการส่งออกบุคลากรไปทํางานในต่างประเทศค่อนข้างมาก และกําลัง
      ิ             ่           ิ
เริมหันมาดึงชาวต่างชาติเข้ามารักษาในประเทศแทน) หรือแม้กระทังฮ่องกง (ซึงเน้นในด้านการ
   ่                                                                 ่           ่
เป็ นศูนย์ฝึกอบรมการใช้เทคโนโลยีสมัยใหม่ และรวมไปถึงการเปิ ดศูนย์ปฏิบตการรักษามะเร็ง)
                                                                             ั ิ
                      ่ ่         ่          ่ ุ่
หรือเกาหลีใต้ (ทีเริมสนใจทีจะดึงคนไข้จากญีปน) เป็ นต้น
            การศึกษาในส่วนนี้เป็ นการศึกษาพืนฐานและผลการดําเนินการของ medical tourism
                                              ้
ในประเทศเพื่อนบ้านทีเป็ นคู่แข่งของไทยในภูมภาคนี้ อันได้แก่ สิงคโปร์ อินเดีย และมาเลเซีย
                            ่                     ิ
โดยจุดเน้นของการศึกษาจะเน้นที่ความเข้าใจภูมหลังความเป็ นมา รวมไปถึงจุดเน้น (หรือจุด
                                                      ิ
ขาย) รวมทังบทบาทของภาครัฐในการผลักดันหรือสนับสนุ นในโครงการประเภทนี้22 รวมทัง
               ้                                                                          ้
บทบาทอื่นๆ ที่เกี่ยวข้อง (เช่น การที่สงคโปร์มโครงการแปรรูปสถานพยาบาลของรัฐจํานวน
                                          ิ         ี
หนึ่ง หรือทีเรียกว่า corporatization และอนุ ญาตให้นําแพทย์ต่างชาติเข้ามาเพื่อให้บริการคนไข้
             ่
ด้วย เป็ นต้น)
            นอกจากการศึกษานี้จะใช้วธศกษาทบทวนเอกสารและผ่านเว็บไซต์ต่างๆ แล้ว ข้อมูล
                                      ิี ึ
ที่สํา คัญ บางส่ว นของการศึก ษานี้ ไ ด้จ ากการสัม มนาระดับ นานาชาติใ นหัว ข้อเรื่อง Medical
Tourism Asia 2008 ทีประเทศสิงคโปร์ ในเดือนเมษายนทีผานมา
                          ่                               ่ ่

3.1 ประเทศสิ งคโปร์
       สิงคโปร์ได้พยายามสร้างตัวขึนมาเป็ นศูนย์กลางการให้บริการทางการแพทย์ (medical
                                  ้
hub) เป็ นประเทศแรกๆ ในเอเชีย โดยเริมจากการเน้นการดึงดูดคนไข้จากประเทศเพื่อนบ้าน
                                      ่
(โดยเฉพาะอย่างยิงอินโดนีเซียและมาเลเซีย) มารับบริการทีสงคโปร์ โดยเน้นการสร้างชื่อเสียง
                 ่                                    ่ ิ
22
   ตัวอย่างเช่น สิงคโปร์ตง SingaporeMedicine ซึงประกอบด้วยหน่วยงานต่างๆ ของรัฐหลายหน่วยงาน เช่น
                         ั้                   ่
Economic Development Board, Singapore Tourism Board และ International Enterprise Singapore (ดู
รายละเอียดใน www.SingaporeMedicine.com รวมทังโฆษณาของหน่วยงานนี้ในนิตยสารระหว่างประเทศ
                                                  ้
(เช่น Newsweek September 24, 2007)

                                              43
ในด้า นการให้บ ริก ารทางการแพทย์ท่ีใ ช้เ ทคโนโลยีข น สูง ที่อ้า งว่า เทีย บเท่า สหรัฐ อเมริก า
                                                                      ั้
สิงคโปร์ได้รบความนิยมจากผูป่วยชาวต่างประเทศเข้ามารับการรักษาในประเทศสิงคโปร์ ตังแต่
                ั                        ้                                                               ้
ประมาณทศวรรษ 1980 (Singapore’s Biomedical Sciences 2003) โดยในระยะแรกนัน ผูปวย                     ้ ้ ่
ชาวต่างประเทศทีเข้ามารับการรักษามากทีสุด คือ จากประเทศอินโดนิเซียและมาเลเซีย (Ministry
                      ่                           ่
of Trade and Industry Singapore. The Healthcare Services Working Group, n.d.(e))
            นอกจากประเทศเพื่อนบ้านทังสองแล้ว สิงคโปร์พยายามดึงดูดคนไข้จากประเทศอื่นๆ
                                              ้
ในทวีปเอเชีย (เช่น ประเทศแถบอินโดจีนและตะวันออกกลาง) และในระยะหลังได้ขยายไปสู่
การดึงลูกค้ากลุ่มประเทศกลุ่มเอเชียใต้ จีน และรัสเซีย (รวมทังประเทศในกลุ่มสหภาพโซเวียต
                                                                               ้
เดิม) รวมทังชื่อเสียงทีโดดเด่นในด้านคุณภาพของบริการรักษาพยาบาลของสิงคโปร์ทําให้ใน
                  ้         ่
  ั ั ่
ปจจุบนก็เริมมีลูกค้ากลุ่มประเทศพัฒนาแล้ว (เช่น สหรัฐฯ อังกฤษ และประเทศอื่นๆ ในยุโรป)
สนใจทีจะมารับการรักษาทีสงคโปร์มากขึน (Chong 2008)
          ่                         ่ ิ         ้
            ในแง่น้ี การให้บริการของสิงคโปร์จงมีจุดขายทีชดเจนคือ คุณภาพของบริการในระดับ
                                                    ึ                    ่ั
แนวหน้าของโลก จึงกล่าวได้ว่าแนวคิดเรื่องการเป็ นศูนย์กลางการให้บริการทางการแพทย์
(medical hub) ของเอเชียของสิงคโปร์นัน ไม่ได้มความเกี่ยวข้องหรือสัมพันธ์กบด้านการ
                                                      ้             ี                          ั
ท่องเทียว (tourism) มากนัก (แม้ว่าการโฆษณาประชาสัมพันธ์ของสิงคโปร์ในปจจุบน จะได้
        ่                                                                                   ั ั
กล่ า วถึง อยู่บ้า งก็ต าม แต่ ก็จ ะจํ า กัด อยู่แ ค่ ศู น ย์ก ารค้า และภัต ตาคารเป็ น หลัก ) ในส่ว นนี้
พัฒนาการของสิงคโปร์จึงมีความแตกต่างกับกรณีของไทยอยู่พอสมควร (ซึ่งจะได้กล่าวถึง
ต่อไป)
            จุดเด่นที่สําคัญอีกประการหนึ่งของสิงคโปร์คือการประสานงานอย่างเป็ นระบบของ
ภาครัฐในการสนับสนุ นภาคเอกชน ตัวอย่างเช่น รัฐบาลได้จดตัง Singapore Medicine ในปี
                                                                            ั ้
2546 โดย Singapore Medicine เป็ นองค์กรทีประกอบด้วยหน่ วยงานต่างๆ ของรัฐหลาย
                                                              ่
หน่ วยงาน ได้แก่กระทรวงสาธารณสุข (ซึ่งเป็ นองค์กรหลัก) และอีกสามหน่ วยงาน อันได้แก่
คณะกรรมการพัฒนาเศรษฐกิจ (The Economic Development Board หรือ EDB) องค์กร
วิสาหกิจระหว่างประเทศของสิงคโปร์ (International Enterprise Singapore) และ
คณะกรรมการการท่องเทียวสิงคโปร์ (The Singapore Tourism Board) เป็ นหน่ วยงาน
                                  ่
สนับสนุ น (ดูรายละเอียดได้ใน www.SingaporeMedicine.com)
            ระบบบริการสุขภาพสิงคโปร์ประกอบด้วยโรงพยาบาลเอกชน 13 แห่ง และโรงพยาบาล
ของรัฐ 10 แห่ง และคลินิกทีเชียวชาญโรคเฉพาะทางอีกจํานวนหนึ่ง ในด้านจํานวนผูเข้ามาใช้
                                        ่ ่                                                      ้
บริการทางด้านการแพทย์นัน ในปี 2000 มีชาวต่างชาติเข้ารับบริการสุขภาพ ทังในด้านการ
                                      ้                                                      ้
                                                            ั
ตรวจสุขภาพ รักษาโรคเฉพาะทาง เช่น การทําฟน การผ่าตัดตา หัวใจและสมอง รวมมากกว่า
150,000 คน ทํารายได้คดเป็ นร้อยละ 0.2 ของมูลค่าผลิตภัณฑ์มวลรวมในประเทศ (GDP) ในปี
                                ิ
2006 มีชาวต่างชาติเดินทางเข้ามาเพื่อรับบริการสุขภาพโดยเฉพาะจํานวน 410,000 ซึ่ง
ใกล้เคียงกับเป้าหมายของปี 2007 ซึงรัฐบาลสิงคโปร์ตงเอาไว้ (ตังแต่ปี 2003) ว่าจะมีผปวยเข้า
                                            ่                    ั้              ้                  ู้ ่
รับการรักษาพยาบาลทีสงคโปร์จํานวน 500,000 ราย และเพิมเป็ น 1,000,000 รายในปี 2012
                              ่ ิ                                            ่


                                                   44
ซึ่งคาดว่าจะก่อให้เกิดรายได้จากการให้บริการรักษาพยาบาลจํานวน 1,500 และ 3,000 ล้าน
เหรียญสิงคโปร์ตามลําดับ คิดเป็ นร้อยละ 0.55 และ 0.95 ของมูลค่าผลิตภัณฑ์มวลรวมใน
ประเทศ (GDP) โดยคาดว่าในจํานวนนี้จะสามารถสร้างรายได้ทเป็ นมูลค่าเพิม (value-added)
                                                                          ่ี               ่
ให้กบระบบเศรษฐกิจของสิงคโปร์ 1,300 และ 2,600 ล้านเหรียญสิงคโปร์ตามลําดับ (ดูตารางที่
        ั
3.1) และคาดว่าจะสามารถสร้างงานกว่า 5,100 ตําแหน่งในปี 2007 และ 13,000 ตําแหน่งในปี
2012 ในสาขาด้านการแพทย์ พยาบาลและบุคลากรทางการแพทย์
                     ประเทศสิงคโปร์ให้ความสําคัญกับธุรกิจรักษาพยาบาลในฐานะที่เป็ นธุรกิจที่สําคัญ
สําหรับนํ าเงินตราเข้าสู่ประเทศ โดยรัฐบาลสิงคโปร์ได้ดําเนินการส่งเสริมธุรกิจโรงพยาบาล
อย่างจริงจัง และได้จดตัง The Healthcare Services Working Group (HSWG) โดยมีตวแทน
                                    ั ้                                                        ั
จากภาครัฐและภาคเอกชนประสานงานร่วมกันในการส่งเสริมธุรกิจสุขภาพ เมื่อปี 2003 รัฐบาล
ได้ตงเป้าหมายให้สงคโปร์ เป็ น “The Healthcare Hub of Asia” โดยมีกลยุทธ์ในการสร้างความ
          ั้                     ิ
เชื่อถือแก่ชาวต่างชาติภายใต้ Brand Name “Clinical Excellence” (HSWG) และการสร้างความ
เชื่อมันทางเศรษฐกิจเพือดึงดูดให้ชาวต่างชาติเดินทางมารับบริการสุขภาพจากสิงคโปร์
             ่                         ่
                    The Healthcare Services Working Group หรือ HSWG ของสิงคโปร์มหน้าทีดแล    ี   ่ ู
และวางแผนจัดทํากลยุทธ์ แผนการตลาดและการสนับสนุ นการทําวิจย (clinical research)    ั
ให้แก่สถาบันต่างๆทีเกียวข้อง อีกทังมีการทํางานร่วมกับ Singapore’s Biomedical Sciences
                                   ่ ่       ้
(BMS) เพือการพัฒนาด้าน Biomedical Sciences เป็ นพิเศษ ซึงรัฐบาลสิงคโปร์กล่าวว่าสิงคโปร์
                      ่                                               ่
นันเป็ น Asia’s Premier Biomedical Sciences Hub โดยมีหน่วยงานวิจยและห้องแล็บเพื่อทํา
    ้                                                                                  ั
การวิจยเชื้อโรคชนิ ดต่ างๆ รวมไปถึงวิธีการรักษารูปแบบใหม่ๆ
               ั                                                                         ั ั
                                                                               และปจจุบนได้วางตัวเป็ น
Singapore: The Biopolis of Asia เพือเป็ นศูนย์กลางในการพัฒนา Biomedical Sciences ทีใ่ หญ่
                                               ่
และดีทสุดในเอเชียเพือรองรับด้านการรักษาพยาบาลในอนาคต และประกาศตัวเป็ น Singapore’s
                 ี่                  ่
                                                                             ้ ่
World-Class Healthcare (Singapore Medicine, n.d.) เพือรองรับผูปวยจากนานาประเทศ โดย
                                                                  ่
ชูจดแข็งทางด้านเทคโนโลยีทางด้านการแพทย์ททนสมัย
      ุ                                              ี่ ั
                    จากการวิเคราะห์ SWOT ธุรกิจสุขภาพในสิงคโปร์ ของ HSWG (Ministry of Trade
and Industry Singapore. The Healthcare Services Working Group, n.d.(e)) พบว่าจุดแข็ง
ของสิงคโปร์คอ มีระบบสุขภาพทีดี บุคลากรทางแพทย์มจานวนทีเพียงพอ สามารถรองรับความ
                         ื               ่                     ีํ       ่
                           ้ ้ ่ ้
ต้องการของทังผูปวยทังในประเทศและต่างประเทศได้ มีอุปกรณ์และเทคโนโลยีทางการแพทย์
ทีทนสมัยและมีความสะดวกในการเดินทางมารับบริการ ซึงจากการสํารวจพบว่า 72% ของ
   ่ ั                                                              ่
ผู้ป่ว ยชาวต่ า งประเทศ ให้ค วามเห็น ว่ า เลือ กใช้บ ริก ารสุ ข ภาพของสิง คโปร์เ นื่ อ งจากมีก าร
รักษาพยาบาลทีมคุณภาพสูง (Ministry of Trade and Industry Singapore. Healthcare
                             ่ ี
Services Working Group, n.d.(a)) สําหรับจุดอ่อนทีพบคือ การประชาสัมพันธ์ธุรกิจดังกล่าว
                                                             ่
ยังมีไม่เพียงพอ ประเทศในแถบภูมภาคอเมริกาและอังกฤษความไม่รบรูถงขีดความสามารถใน
                                           ิ                                     ั ้ ึ
การให้บริการสุขภาพของสิงคโปร์ อีกทังค่ารักษาพยาบาลค่อนข้างสูงเมื่อเทียบกับการให้บริการ
                                                 ้
ในประเทศใกล้เคียง


                                                 45
ตารางที่ 3.1 เป้ าหมายจํานวนผูป่วยที่เข้ารับการรักษาพยาบาลในสิ งคโปร์
                                     ้
                                Y1996           Y2000           Y2007(T)         Y2012(T)
Share of Asian market           -               1%              2%               3%
Foreign Patients
  Total                         89,000          147,000           500,000           1,000,000
  Inpatient/day surgery         21,000          18,000            50,000            100,000
Expenditure
  Total                         -               $430 mil          $1,500 mil        $3,000 mil
  Foreign patients                              $350 mil          $1,200mil         $2,400 mil
  Accompanying tourist                          $80 mil           $300 mil          $600 mil
Value Added
  Total                         -               $370 mil          $1,300 mil        $2,600 mil
  Healthcare                                    $320 mil          $1,100 mil        $ 2,200 mil
  Tourism                                       $50 mil           $200 mil          $400 mil
%VA contribution to GDP         -
  Total                                         0.25%             0.65%             1.10%
  Healthcare                                    0.20%             0.55%             0.95%
  Tourism                                       0.05%             0.10%             0.15%
Cumulative Healthcare jobs -                    Base Year         5,100             13,000
creation
แหล่งที่มา: Ministry of Trade and Industry Singapore. The Healthcare Services Working Group.
n.d.(a) Paper 1: Developing Singapore as the compelling hub for healthcare services in Asia

        สิงคโปร์มแผนพัฒนาและเพิมขีดความสามารถของประเทศอย่างจริงจัง โดยประกาศ
                 ี                ่
เป็ นวาระแห่งชาติ ที่เน้นการพัฒนาทังทางด้านวิทยาการการแพทย์ กระบวนการบริหารงาน
                                    ้
การบริหารทรัพยากรมนุ ษย์ และพัฒนาด้านการตลาด ไปจนถึงการพัฒนาระบบการศึกษา เพื่อ
เพิมความสามารถในการแข่งขันในธุรกิจรักษาพยาบาลของสิงคโปร์ แพทย์จานวนมากถูกส่งไป
    ่                                                                 ํ
ฝึ กงานและเรียนรู้งานเพิมเติมในต่างประเทศ โดยภาครัฐสนับสนุ นด้านงบประมาณที่สูงมาก
                           ่
และมีก ารพัฒ นาวิท ยาศาสตร์ ก ารแพทย์ เพื่อ เสริม ความทัน สมัย ของเทคโนโลยี มีก าร
แลกเปลี่ยนเทคโนโลยีกบต่างประเทศ และการสร้างความแตกต่างจากคู่แข่งอื่นๆ โดยสร้าง
                         ั
ภาพลักษณ์ของการบริการ การศึกษาวิจย และศูนย์การแพทย์เฉพาะทาง ทีเป็ นเลิศ ดังเช่นใน
                                      ั                             ่
กรณีของสถานพยาบาลเมโย (Mayo Clinic) ซึ่งเป็ นสถานพยาบาลตัวอย่างของสิงคโปร์ ซึ่งที่
ผ่านมามีผูป่วยมากกว่า 10,000 รายจาก 120 ประเทศเดินทางมารับการรักษา และได้สร้าง
           ้
รายได้จากคนไข้กลุ่มนี้ปีละมากกว่า 5.5 ล้านเหรียญสิงคโปร์ (Ministry of Trade and
Industry Singapore. The Healthcare Services Working Group, n.d.(a))



                                              46
ส่วนในระดับปฏิบตการนัน ได้มการประชาสัมพันธ์ผานสื่อทางด้านหนังสือพิมพ์รายวัน
                          ั ิ     ้    ี                     ่
มีการดําเนินการปรับลดขันตอนด้านการเข้าเมือง เช่นในกรณีประเทศบังคลาเทศได้มการให้
                           ้                                                       ี
ความสะดวกแก่ผูทจะเดินทางไปรักษาพยาบาลทีสงคโปร์ มีการให้วซ่าแบบ on-arrival แก่
                 ้ ่ี                             ่ ิ             ี
ผูป่วยหนัก การให้ความสะดวกด้านวีซ่าแก่ผูทได้รบการตอบรับการเข้ารักษาจากโรงพยาบาล
     ้                                       ้ ่ี ั
สิงคโปร์ นอกจากนี้มการสร้าง One-stop Centre เพื่อให้บริการแก่ผูท่เดินทางมาไปรับ
                      ี                                                ้ ี
รัก ษาพยาบาล โดยศู น ย์ด ัง กล่ า วจะให้ข้อ มูล ด้า นการรัก ษาพยาบาล ให้ข้อ มูล นายแพทย์
ผูเชียวชาญ โรงพยาบาล สถานทีพก ขันตอนด้านการเข้าเมือง เป็ นต้นการสร้างความโปร่งใสใน
  ้ ่                            ่ ั ้
ด้านค่าใช่จ่ายในการรักษาพยาบาล เช่น การให้ขอมูลที่ชดเจนในด้านการตรวจรักษา ค่ายา
                                                    ้      ั
เป็ นต้น
            นอกเหนือจากการขยายบริการรักษาพยาบาลในสิงคโปร์เพื่อรองรับชาวต่างประเทศ
           ั ั
แล้ว ในปจจุบ นมีกลุ่ มธุ รกิจด้านสถานพยาบาลจากสิงคโปร์หลายรายเข้ามาถือหุ้นและเป็ น
ผูบริหารของเครือข่ายของโรงพยาบาลเอกชนขนาดใหญ่หลายรายในประเทศไทย (รวมทังเครือ
   ้                                                                                 ้
โรงพยาบาลกรุงเทพ ซึ่งเป็ นเครือใหญ่ท่สุดเครือหนึ่งที่เน้นการขยายบริการเพื่อรองรับคนไข้
                                         ี
ต่างชาติ) จีน และในอีกหลายประเทศ

3.2 ประเทศอินเดีย
         อินเดียเป็ นอีกประเทศหนึ่งที่รฐบาลสนับสนุ นให้สถานพยาบาลเอกชนหารายได้จาก
                                       ั
medical tourism โดยนโยบายด้านสาธารณสุขของรัฐบาลอินเดียระบุว่าการรักษาชาวต่างชาติ
สอดคล้องกับกฎหมายการส่งออกและเป็ นการสร้างรายได้จาก “การส่งออก” ได้อกทางหนึ่ง23ี
โดยรัฐบาลมีนโยบายจะนํ าอินเดียไปสู่ "global health destination" อินเดียประชาสัมพันธ์
ตนเองว่าให้บริการแบบ "high-tech healing" โดยโฆษณาว่าชาวต่างชาติสามารถเดินทางมารับ
บริการด้านรักษาพยาบาลทีมราคาตํ่าแต่มมาตรฐานระดับโลก (travelling to India for low-cost
                            ่ ี          ี
but world-class medical treatment) ทังนี้ อินเดียมีโรงพยาบาล (และเครือข่ายโรงพยาบาล)
                                           ้
เอกชนชันนํ าทีเปิ ดให้บริการชาวต่างชาติในสีเมืองใหญ่คอ นิวเดลี บังกาลอร์ เชนไน (มัดราส)
          ้     ่                              ่           ื
และมุมไบ (บอมเบย์) ซึ่งมีศูนย์การแพทย์ระดับโลกในหลายสาขา อาทิ ศูนย์ผ่าตัดหัวใจ ศูนย์
ศัล ยกรรมความงาม ศู น ย์ท ัน ตกรรม ศู น ย์ป ลู ก ถ่ า ยอวัย วะ รวมถึง การผสานระหว่ า งการ
ท่องเทียวกับด้านการรักษาพยาบาล (Ray Marcelo 2003 และ Woodman 2008))
       ่
         จุดขายทีสาคัญของอินเดียคือ เป็ นประเทศทีมอตราค่ารักษาพยาบาลตํ่าทีสุดในบรรดา
                  ่ ํ                                ่ ี ั                   ่
medical hub ขนาดใหญ่ในเอเชีย (ตํ่ ากว่าทังสิงคโปร์และไทย) แต่มคุณภาพการรักษาพยาบาล
                                             ้                    ี
และเครื่อ งมือ ทางการแพทย์ไ ม่แ พ้ศู น ย์ก ลางการแพทย์ข องประเทศอื่น เมื่อ เทีย บกับ ค่ า
รักษาพยาบาลโดยเฉลียของอินเดียกับอเมริกาหรือประเทศอังกฤษแล้ว ราคาค่ารักษาในอินเดีย
                        ่

23
   เป็ น “ภาษา” ทีมสมเสียงคล้ายกับรัฐบาลไทยในอดีต ซึงกรมส่งเสริมการส่งออก กระทรวงพาณิชย์ เป็ น
                  ่ ี ุ้                           ่
หน่วยงานภาครัฐหน่วยงานแรกทีมาผลักดันนโยบายการหารายได้จาก medical tourism หลังจากวิกฤติ
                              ่
เศรษฐกิจปี 2540

                                             47
จะเริมต้นที่ 1 ใน 10 ของค่ารักษาพยาบาลในอเมริกาเท่านัน (Ray Marcelo 2003) จึงเป็ นที่
        ่                                                         ้
                     ้ ่
สนใจของกลุ่มผูปวยจากประเทศต่างๆ เป็ นอย่างมาก
          ในด้า นผลการดํา เนิ น งานนัน ในปี 2003 ประเทศอิน เดีย ได้รบ รายได้จ าก medical
                                         ้                                     ั
tourism มากกว่า 1 พันล้านเหรียญสหรัฐ และสามารถสร้างงานได้ว่า 40 ล้านตําแหน่ง (Shyam
Bhatia 2003) โดยรัฐบาลได้มการประมาณการรายรับในปี 2012 อยู่ท่ี 100,000 ล้านรูปี หรือ
                                    ี
ประมาณ 2,100 ล้านเหรียญสหรัฐ (Ray Marcelo 2003) อีกทังธุรกิจการประกันสุขภาพและ
                                                                         ้
เศรษฐกิจโดยรวมของอิน เดีย เติบ โตขึ้น อย่า งรวดเร็ว จากผลของการดํา เนิ น นโยบายนี้ ด้ว ย
(Supriya Saxena 2004) และคาดว่า medical tourism นี้จะเติบโตถึงปี ละ 30% (Medical
Tourism India, n.d.)
          นอกจากอินเดียจะพยายามดึงดูดคนไข้ต่างชาติดวยบริการที่เน้นเทคโนโลยีสมัยใหม่
                                                                ้
                                                                                 ิ ั
("high-tech healing") ในราคาถูกแล้ว อินเดียยังมีจุดขายในด้านการใช้ภูมปญญาท้องถินในการ   ่
รักษาพยาบาลแบบดังเดิม เช่น โยคะ (yoga) และการทําสมาธิ (meditation) รวมถึงกิจกรรมอื่น
                          ้
ทีถอว่าเป็ นเอกลักษณ์การรักษาพยาบาลของอินเดีย เช่น อายุรเวท (ayurveda) และ allopathy
    ่ ื
ซึงสามารถดึงดูดนักท่องเทียวระดับ high-end ทีเป็ นชาวยุโรปและชาวตะวันออกกลางได้เป็ น
  ่                             ่                     ่
อย่างดี (Supriya Saxena 2004)
          จุ ด เด่ น อีก ประการหนึ่ ง ของอิน เดีย คือ มีศ ัก ยภาพด้า นทรัพ ยากรมนุ ษ ย์ท่ีดีเ ยี่ย ม
กล่าวคือ อินเดียมีระบบการศึกษาทีดี ซึงไม่เพียงแต่จะผลิตนักเขียนโปรแกรมคอมพิวเตอร์หรือ
                                        ่ ่
วิศ วกรเท่ า นั น แต่ ย ัง สามารถผลิต แพทย์แ ละพยาบาลได้ถึง 20,000 ถึง 30,000 คนต่ อ ปี
                 ้
(Medical Tourism India, n.d.) ซึ่งทีผ่านมามีแพทย์ทจบการศึกษาจากอินเดียอพยพไป
                                               ่                    ่ี
ให้บริการในโรงพยาบาลชันนําในยุโรปและสหรัฐอเมริกาเป็ นจํานวนมาก24 อินเดียจึงมีศกยภาพ
                              ้                                                           ั
                                                                                     25
ด้านบุคลากรทีสามารถรองรับกับการขยายตัวของ medical tourism ได้อกมาก
                   ่                                                         ี
                ั ั
          ในปจจุบน Medical Tourism ของอินเดียมีการทําตลาดแบบ "medical outsourcing”
(Medical Tourism India, n.d.) โดยอินเดียจะเป็ นผูรบช่วงเหมาในการจัดเตรียมและให้การ
                                                             ้ั
บริการระบบสุขภาพในประเทศแถบตะวันตก โดยมีหลายบริษทในสหรัฐอเมริกากําหนดเงือนไข
                                                                       ั                    ่
ในการทําประกันสุขภาพทีระบุวาถ้าจะผ่าตัดต้องมาอินเดีย
                             ่ ่
          ตัวอย่างของบริษัททางการแพทย์ขนาดใหญ่ของอินเดียที่ประสบความสําเร็จ ได้แก่
Apollo Hospital Enterprises ซึงมีโรงพยาบาลในเครือกว่า 37 แห่ง โดยมีชาวต่างชาติเข้ารับ
                                      ่
การรักษากว่าปี ละ 95,000 คน (Shyam Bhatia 2003, December 6) มีการจัดทําบริการ
คอมพิวเตอร์ออนไลน์ ในช่วงกลางคืนเพื่อติดต่อกับบริษัทประกันชีวตของสหรัฐอเมริกา และ
                                                                           ิ

24
   Woodman (2008) ระบุวามีแพทย์เฉพาะทางจากอินเดียทํางานอยูในสหรัฐไม่น้อยกว่า 35,000 คน และ
                          ่                                ่
มากกว่าหนึ่งในหกของศัลยแพทย์ในสหรัฐฯ มาจากอินเดีย
25
   แต่ไม่ได้หมายความว่าอินเดียมีบุคลากรทางการแพทย์ทมากเกินความต้องการของคนอินเดียเอง ทังนี้คน
                                                    ่ี                                  ้
         ่                   ั                  ่ ี                   ่ ่             ่
อินเดียทียากจนจํานวนมากมีปญหาการเข้าถึงบริการทีมคุณภาพ จนทําให้เป็ นทีหวงใยของหลายฝายว่าการ
ขยายตัวของ medical tourism จะเพิมแรงกดดันทางด้านความเหลื่อมลํ้าทางสังคมของอินเดียให้มากขึนไปอีก
                                   ่                                                      ้

                                                48
โรงพยาบาลซึงอยูต่าง time zone กัน เพื่อติดต่องานและให้คาปรึกษาด้านการรักษาพยาบาล
                        ่ ่                                                                                 ํ
อีกทัง Apollo Hospital Enterprises ยังได้เริมการเจรจาเพื่อเข้ารับเหมาช่วงการรักษาพยาบาล
          ้                                                           ่
ของรัฐในประเทศอังกฤษ (Britain's National Health Service) เมื่อฤดูใบไม้ผลิ ปี 2004 และ
ทดสอบด้านการแพทย์สําหรับผู้ป่วยด้วยราคาที่ต่ําทังในโรงพยาบาลของรัฐและเอกชนแล้ว         ้
แม้ว่าการให้บริการของรัฐในประเทศอังกฤษนันจะไม่ตองมีค่าใช้จ่าย แต่จะต้องรอรับการรักษา
                                                                          ้              ้
และการผ่าตัดเป็ นเวลานาน ซึงการเข้ารับเหมาช่วงบริการนี้จะช่วยในการแก้ไขปญหาด้านการ
                                            ่                                                                               ั
รอคอยในการรักษาด้วยราคาทีต่ํา (Shyam Bhatia 2003, December 6)
                                              ่
                       ั ั
                ในปจจุบน นอกจากการให้บริการคนไข้ต่างชาติทเข้ามารับการรักษาในอินเดียเองแล้ว     ่ี
บริษททางการแพทย์ขนาดใหญ่ของอินเดียยังมีรูปแบบการให้บริการการรักษาพยาบาลแบบ
        ั
ออนไลน์ให้แก่สถานพยาบาลในประเทศประเทศแถบตะวันตกและสหรัฐอเมริกา ซึงจะมีการจ้าง                                                 ่
แพทย์ผชานาญการของอินเดียเพือทําการรักษาและให้คาปรึกษาแบบออนไลน์ โดยใช้ประโยชน์
              ู้ ํ                                  ่                                      ํ
ของ time zone ต่างกัน แทนทีจะต้องจ้างหมอและนักเทคนิคการแพทย์ล่วงเวลาราคาแพงใน
                                                  ่
ประเทศตนเอง โรงพยาบาลขนาดกลางในหลายประเทศจึงใช้บริการวิเคราะห์ภาพ X-ray และ
ผลตรวจต่ างๆ โดยส่งมาที่อินเดียทางอินเตอร์เน็ต                                                        ซึ่งการผ่าตัดใหญ่ๆ ก็เริมมีการใช้
                                                                                                                                  ่
                                                ั ั ั ่ี
consultant ข้ามโลกแบบนี้ ปจจุบนมีศพท์ทใช้เรียกกลุ่มคนทีทางานแบบนี้ว่าพวก Nighthawk                        ่ ํ
(Rabbitzilla พฤษภาคม 2550)
                อย่างไรก็ตาม การให้บริการภายในประเทศการใช้กลไกด้านราคาทีโดดเด่นเพียงอย่าง                             ่
เดียวคงไม่สามารถจะดึงดูดกลุ่มนักท่องเทียวได้ทงหมด เนื่องจากกลไกทางด้านราคาจะสามารถ
                                                               ่                ั้
                         ้ ่ ่ ี
ดึงดูดเฉพาะผูปวยทีไม่มกําลังพอทีจะใช้บริการการรักษาพยาบาลทีมราคาสูงในประเทศของตน
                                                      ่                                                        ่ ี
ได้จงจะเข้ามาอินเดียเพื่อรับการรักษาทีมคุณภาพใกล้เคียงกันแต่ราคาตํ่ากว่าในอินเดียเท่านัน
      ึ                                                    ่ ี                                                                            ้
จึงไม่สามารถจะดึงนักท่องเทียวกลุ่มอื่นได้ ดังนันอินเดียจึงจําเป็ นต้องมีการพัฒนามาตรฐาน
                                          ่                                        ้
สถานพยาบาล ความเชี่ยวชาญเฉพาะทาง การประกันสุขภาพ และสาธารณูปโภคพืนฐานที่มี                                                          ้
ความเหมาะสมเพียงพอเพือดึงดูดนักท่องเทียวในกลุ่มอื่นๆ ด้วย
                                    ่                              ่
                นอกจากนี้ ยังมักมีผูตงข้อสังเกตด้วยว่า บริการทางด้านสุขภาพทีทนสมัยเหล่านี้ส่วน
                                         ้ ั้                                                                        ่ ั
ใหญ่มไว้สําหรับบริการวชาวต่างชาติท่มกําลังซื้อสูงเท่านัน ในขณะที่ประชาชนส่วนใหญ่ของ
            ี                                             ี ี                                     ้
ประเทศทียากจนไม่สามารถเข้าถึงการบริการทีดเช่นนี้ได้ และในปจจุบน มีแต่โรงพยาบาลของ
                   ่                                                        ่ ี                               ั ั
กลุ่มธุรกิจขนาดใหญ่เท่านันทีสามารถเข้าสู่การเป็ น medical tourism ได้ จึงทําให้เกิด
                                      ้ ่
ปรากฏการณ์สมองไหล โดยบุคลากรทางการแพทย์จากสถานพยาบาลรัฐต่างหลังไหลเข้ามาสู่                                                     ่
ย่านธุรกิจในเมืองใหญ่ซงมีผลตอบแทนทีมากกว่า ซึงก่อให้เกิดผลกระทบต่อประชาชนผูยากไร้
                                 ่ึ                          ่                       ่                                                ้
ทียงต้องพึงบริการของรัฐ ซึงส่วนใหญ่เป็ นผูทอยู่ในชนบททีห่างไกล ในขณะทีอกทังแหล่งทีตง
  ่ ั                ่                 ่                             ้ ่ี                           ่                    ่ ี ้          ่ ั้
ของสถานพยาบาลส่วนใหญ่กว่า 59% อยูในเขตเมือง (Supriya Saxena 2004,September 3)
                                                                 ่
จึงจําเป็ นอย่างยิงที่รฐบาลต้องเข้ามาดูแลและสร้างสมดุลให้เกิดขึ้น ไม่ให้การเน้ นการขยาย
                            ่ ั
บริการชาวต่างชาติทนํารายได้เข้ามาสูประเทศก่อให้เกิดปญหาสังคมขึนมา
                              ่ี                        ่                                    ั                     ้



                                                                    49
3.3 ประเทศมาเลเซีย
         การขยายตัวด้าน medical tourism ของมาเลเซียมีจุดเปลี่ยนสําคัญทีคล้ายกับไทย         ่
                                                      ั
กล่าวคือเป็ นผลมาจากความพยายามแก้ปญหาของโรงพยาบาลเอกชนที่ได้รบผลกระทบจาก               ั
วิกฤติทางเศรษฐกิจในเอเชียในปี 1997 ซึ่งวิกฤติเศรษฐกิจนี้ได้มผลกระทบต่อหลายธุรกิจ ที่
                                                                       ี
บ้า งต้อ งปิ ด ตัว ลง บ้า งต้อ งลดจํ า นวนพนัก งานหรือ ลดผลตอบแทนที่จ ะให้ก ับ ลู ก จ้า ง จนมี
ผลกระทบไปถึงกําลังซื้อของผูบริโภคที่น้อยลง (รวมถึงการประกันสุขภาพของประชาชนและ
                                   ้
ครัวเรือนทีลดลงด้วย) นอกจากนี้ ผูทเคยใช้บริการโรงพยาบาลเอกชนจํานวนไม่น้อยก็หนไปใช้
              ่                              ้ ่ี                                                  ั
บริการของรัฐเพื่อความประหยัดแทน และจากการที่ค่าเงินริงกิตของมาเลเซียลดลง (ทํานอง
เดียวกันกับค่าเงินบาทของไทยที่ลดลงอย่างรวดเร็วในช่วงเดียวกัน) ก็มผลทําให้ราคายาและ
                                                                             ี
เวชภัณฑ์ทางการแพทย์ต่างๆที่ต้องนํ าเข้าจากต่างประเทศมีราคาสูงขึนด้วย ทําให้ต้นทุนการ
                                                                           ้
รักษาพยาบาลในโรงพยาบาลสูงขึน แต่โรงพยาบาลเอกชนของมาเลเซียไม่สามารถปรับค่า
                                           ้
                                                                         ั
รักษาพยาบาลตามขึนไปด้วย ทําให้โรงพยาบาลเอกชนมาเลเซียมีปญหาด้านการเงินเป็ นอย่าง
                         ้
มาก
         เพื่อแก้ไขวิกฤติการณ์ดงกล่าว โรงพยาบาลเอกชนในมาเลเซียจึงสนใจทีจะดึงดูดผูปวย
                                       ั                                                 ่             ้ ่
ชาวต่ า งชาติเ พื่อ เข้า มาใช้บ ริก าร ซึ่ง ทางรัฐ บาลเองก็ส นับ สนุ น โดยจัด ตัง คณะกรรมการ
                                                                                     ้
ระดับชาติเพือสนับสนุ นการท่องเทียวด้านการแพทย์และสุขภาพ (The National Committee for
                  ่                      ่
the Promotion of Medical and Health Tourism) ขึนในเดือนมกราคม 1998 (Chee Heng
                                                          ้
Leng 2007) โดยหน่วยงานนี้มอนุ กรรมการในการสนับสนุนงาน 5 ด้านแตกต่างกันออกไป เพื่อ
                                     ี
ทําหน้าทีดงดูดชาวต่างชาติ ศึกษาการประชาสัมพันธ์ทมความเหมาะสมกับพืนที่ ออกแบบการ
          ่ ึ                                               ่ี ี                 ้
จัด เก็บ ภาษี และค่ า ธรรมเนี ย ม ให้คํ า แนะนํ า ด้า นความน่ า เชื่อ ถือ และการโฆษณา อีก ทัง              ้
อนุ ก รรมการยัง มีห น้ า ที่ ในการวางแผนกลยุ ท ธ์ การแสวงหาหุ้น ส่ ว น (partnership) และ
จัดเตรียมสิงอํานวยความสะดวกต่างทางการแพทย์ หน่ วยงานด้านการท่องเทียวและหน่ วยงาน
                ่                                                                  ่
การประกันสุขภาพ รวมถึงการแสวงหาความร่วมมือเชิงกลยุทธ์กบต่างประเทศเพื่อผลประโยชน์
                                                                     ั
ร่วมกัน
         คณะอนุ กรรมการได้กําหนดกลุ่มเป้าหมายประเทศทีจะเข้าไปทําการเปิ ดตลาดออกเป็ น
                                                                 ่
3 กลุ่ ม คือ กลุ่ ม ที1 กลุ่ ม ประเทศที่ย ง ขาดแคลนเวชภัณ ฑ์แ ละสิ่ง อํา นวยความสะดวกด้า น
                       ่                          ั
การแพทย์ ได้แ ก่ ประเทศอินโดนิ เ ซีย พม่า เวีย ดนาม และลาว กลุ่ มที2 กลุ่ ม ประเทศที่มี
                                                                               ่
                                  ู่                               ่
ค่าบริการการรักษาพยาบาลทีสง ได้แก่ ประเทศสิงคโปร์ ญี่ปุน และไต้หวัน และ กลุ่มที3 กลุ่ม               ่
ประเทศทีต้องรอในการรับบริการเป็ นเวลานาน ได้แก่ สหราชอาณาจักร นอกจากนี้กให้ความ
            ่                                                                                    ็
สนใจกับกลุ่มชนชันกลางในตะวันออกกลาง (เช่น สหรัฐอาหรับเอมิเรตส์ และซาอุดอาระเบีย)
                     ้                                                                       ิ
และจีน (MOH 2002b อ้างใน Chee Heng Leng 2007)
         ในส่วนของกลยุทธ์ในการดําเนินงานของบริษทต่างๆ อาทิ โรงแรมและบริษททัวร์ก็มี
                                                        ั                                      ั
การประสานความร่วมมือกับหน่ วยงานทางการแพทย์เพื่อจัดทําแพคเกจทัวร์รวมกัน และจาก
การที่ประเทศมาเลเซียเป็ นประเทศที่มภาพลักษณ์ ของการเป็ นชาวมุสลิม ทําให้ง่ายในการ
                                                    ี


                                                    50
จัด เตรีย มด้า นอาหารฮาลาลและการจัด กิจ กรรมให้ก บ ชาวมุสลิมโดยเฉพาะ ซึ่ง จะสามารถ
                                                           ั
ตอบสนองกลุ่มเป้าหมายในประเทศทางตะวันออกกลางซึ่งส่วนใหญ่จะเป็ นชาวมุสลิมได้เป็ น
อย่างดี นอกจากนี้ ยังได้มการรวมตัวกันของโรงพยาบาลเอกชนในมาเลเซีย ในชื่อว่า The
                            ี
Association of Private Hospitals Malaysia (APHM) โดยยุทธศาสตร์ ที่ APHM วางไว้คอ            ื
โรงพยาบาลเอกชนจะสามารถทดแทนการบริการของภาครัฐได้ มีการสร้างแพทย์ผูเชี่ยวชาญ           ้
เฉพาะด้าน เพื่อเป็ นศูนย์กลางการรักษา หรือ Medical Tourism ซึงเป็ นการเพิมศักยภาพการ
                                                                        ่         ่
แข่งขันโดยตรงกับประเทศไทยและสิงคโปร์ รวมไปถึงการพัฒนาคุ ณภาพยาและระบบการ
สนับสนุ นทางการเงินทีเรียกว่า National Healthcare Financing system (บิสเิ นสไทย 2548, 7
                         ่
กรกฎาคม)
          ในส่วนของกลยุทธ์ในการดําเนินงานภาครัฐนัน มีการให้ความสําคัญด้านคุณภาพด้าน
                                                         ้
การรักษาพยาบาลและการบริการเป็ นพิเศษ โดยมองเห็นว่าคุณภาพที่ดจะเป็ นตัวขับเคลื่อน
                                                                              ี
ความสําเร็จให้กบ medical tourism ของมาเลเซียได้ โดยรัฐมีการเข้ามามีสวนควบคุมคุณภาพ
                  ั                                                             ่
ของ APHM อีกทังยังจัดทําส่งเสริมโปรแกรมการประกันคุณภาพอื่นๆเพื่อเสริมสร้างความ
                       ้
น่ าเชื่อถือให้แก่สถานพยาบาลต่างๆ อาทิ ระบบประกันคุณภาพ ISO 9000 และการมอบ
มาตรฐานคุณภาพทีรบรองโดยกระทรวงสาธารณสุขมาเลเซีย (MOH) ซึงมีสถานพยาบาลผ่าน
                     ่ั                                                     ่
มาตรฐานแล้ว 25 โรงพยาบาล โดยสถานพยาบาลดังกล่าวจะได้รบการรับรองเป็ นเวลา 3 ปี
                                                                      ั
(MOH 2002b อ้างใน Chee Heng Leng 2007) อีกทังมีการจัดทํา Benchmark เปรียบเทียบ
                                                             ้
มาตรฐานคุณภาพการศึกษาทางด้านการแพทย์ของ University Malaya Medical Centre กับ
โรงเรียนแพทย์ของออสเตรเลีย นิวซีแลนด์ และ สหรัฐอเมริกา (The Star 2004, April 6)
          นอกจากนี้ รัฐ บาลมาเลเซีย ยัง มีม าตรการการพัฒ นาและส่ง เสริมอุ ต สาหกรรมการ
รักษาพยาบาลโดยการใช้มาตรการด้านภาษี มีขอเสนอด้านภาษีในการสร้างโรงพยาบาล การ
                                                   ้
ใช้อุปกรณ์การแพทย์ เช่น การยกเว้นภาษีบริการเกี่ยวกับการให้คําแนะนํ าด้านการแพทย์และ
การใช้อุปกรณ์ทางการแพทย์ เป็ นต้น นอกจากนี้ยงได้การพัฒนาฝึ กอบรม การประชาสัมพันธ์
                                                     ั
การบริการ และเทคโนโลยีสารสนเทศมาใช้ อีกทังยังเพิ่มศักยภาพในการแข่งขันด้วยการ
                                                       ้
ยกเลิกกฎหมายแพทย์และทันตแพทย์ (กฎหมายฉบับนี้มก่อนที่มาเลเซียจะได้เอกราชจาก
                                                                 ี
อังกฤษ ซึ่งมีข้อห้ามไม่ใ ห้แพทย์โปรโมทบริการของตนเอง และได้ห้ามโรงพยาบาลแจ้งให้
ประชาชนทราบว่าสามารถให้บริการอะไรบ้าง) นอกจากนี้ กระทรวงสาธารณสุขของมาเลเซียได้
ประกาศว่าโรงพยาบาลและแพ็กเกจทัวร์ต่างๆ สามารถโปรโมทบริการในต่างประเทศได้ ตังแต่           ้
ในช่วงทียงไม่มการแก้ไขกฎหมายนี้อย่างเป็ นทางการ (บิสเิ นสไทย 2548, 8 สิงหาคม)
          ่ ั ี
          นอกจากนี้ มาเลเซี ย ยัง มีโ ครงการที่เ กี่ย วข้อ งกัน อีก โครงการหนึ่ ง คือ โครงการ
“มาเลเซียบ้านหลังทีสอง” หรือ “Malaysia, My Second Home (MMSH)” โครงการนี้เป็ น
                     ่
โครงการทีรวมมือกันระหว่างกระทรวงการท่องเทียว (Ministry of Tourism) กระทรวงการเคหะ
             ่่                                  ่
(Ministry of Housing) และ หน่ วยงานการปกครองท้องถิน (Local Government) เพื่อส่งเสริม
                                                               ่
การท่องเที่ยวแบบ long-stay โครงการนี้พฒนาขึ้นมาจากโครงการผูสูงอายุ (Silver Hair
                                           ั                              ้


                                             51
Programme) ซึงเริมดําเนินการในปี 1988 โดยเป็ นโครงการทีพกอาศัยทีให้การดูแลผูสงอายุ ซึง
                      ่ ่                                                      ่ ั         ่             ู้               ่
มีผู้ใช้บริการเป็ นผู้สูงอายุชาวยุโรปและชาวญี่ปุ่นที่มอายุ 50 ปี ข้นไป แต่โครงการนี้ในระยะ
                                                                     ี                 ึ
เริมต้นไม่ประสบความสําเร็จมากนัก จนถึงปี 2001 มีผูเข้าร่วมโครงการนี้รวม 482 คน (MOH,
      ่                                                                  ้
2002b อ้างใน Chee Heng Leng 2007) เมื่อโครงการดังกล่าวเปลียนมาเป็ นโครงการ                   ่
“Malaysia, My Second Home (MMSH)” ก็ได้เพิมกลุ่มเป้าหมายโดยปรับเปลียนอายุของ
                                                                       ่                             ่
ผูเข้าร่วมโครงการสําหรับผูทมอายุน้อยกว่า 50 ปี ซึงต้องแสดงรายได้ประจําขันตํ่า (ไม่น้อยกว่า
    ้                               ้ ่ี ี                     ่                                 ้
7,000 ริงกิต ในกรณีท่โสด และ 10,000 ริงกิต ในกรณีท่มคู่สมรส) หรือต้องมีเงินมัดจําขันตํ่า
                             ี                                             ี ี                                     ้
(100,000 ริงกิต ในกรณีทโสด และ 150,000 ริงกิต ในกรณีทมคู่สมรส) โดยสิทธิประโยชน์ทจะ
                                 ่ี                                             ่ี ี                                   ่ี
ได้รบก็คอได้รบ multiple-entry visa เป็ นเวลา 5 ปี และได้รบสิทธิพเิ ศษเกียวกับการซือทีดน
        ั ื ั                                                                      ั           ่              ้ ่ ิ
โครงการนี้ประสบความสําเร็จมากขึน โดยมีผสมัครในปี 2002-2004 มากกว่า 2,834 คน (New
                                               ้            ู้
Straits Times 2004, April 26 อ้างใน Chee Heng Leng 2007) โดยเกือบทังหมดเป็ นชาว                    ้
อังกฤษซึ่งมีความสัมพันธ์กนทางประวัติศาสตร์อยู่แล้ว และจากประเทศเพื่อนบ้านอื่นๆ เช่น
                                       ั
อินโดนีเซีย จีน สิงคโปร์ และ ไต้หวัน ทังนี้ รัฐบาลมาเลเซียเชื่อว่านอกจากประโยชน์ในด้าน
                                                        ้
การท่องเที่ยวและเคหะแล้ว โครงการนี้จะเป็ นผลดีกบธุรกิจที่เกี่ยวข้องกับสุขภาพ อาทิ การ
                                                                   ั
ประกันสุขภาพ และสถานพยาบาล ซึงจะเป็ นการส่งเสริม Medical Tourism ทางอ้อมนันเอง
                                                    ่                                                       ่
                ผลการดําเนินงาน Medical Tourism ของมาเลเซียในอดีต (ซึงเป็ นผลเพียงบางส่วนจาก
                                                                                         ่
ข้อมูลทีค่อนข้างจํากัด เนื่องจากในอดีตสถานพยาบาลหลายแห่งไม่ค่อยส่งรายงานให้ภาครัฐ)
              ่
พบว่าในระหว่างปี 1989-2001 โรงพยาบาลเอกชนจํานวน 8 แห่งรายงานยอดการเพิมของผูเข้า                        ่             ้
รับบริการ 197% และในปี 2000–2001 โรงพยาบาลเอกชน 10 แห่งรายงานว่ามีจํานวนชาว
ต่างประเทศเข้ามาใช้บริการเพิมขึนจาก 56,133 คนในปี 2000 เป็ น 75,210 คนในปี 2001 คิด
                                           ่ ้
เป็ นอัตราเพิมถึงร้อยละ 34 และมีรายได้เพิมขึนจาก 32.6 ล้านริงกิตเป็ น 44 ล้านริงกิต (เพิมขึน
                    ่                                     ่ ้                                                     ่ ้
ร้อยละ 36) และมีการคาดการณ์วา รายได้ในปี 2010 จะอยูท่ี 2,200 ล้านริงกิต (Wong 2003)
                                             ่                              ่
                ส่วนชาวต่างชาติท่เข้ามาใช้บริการในมาเลเซียสามารถแบ่งออกได้เป็ น 2 กลุ่มใหญ่ๆ
                                     ี
คือ กลุมแรก ได้แก่กลุ่มคนระดับกลางและระดับบนจากประเทศทีคุณภาพด้านการบริการแพทย์
          ่                                                                          ่
ยังไม่ดนัก เช่น อินโดนีเซีย เวียดนาม พม่า กัมพูชา และกลุ่มที่สอง คือคนไข้จากประเทศที่
            ี
พัฒนาแล้วแต่ต้องรอเวลาในการรักษาในโรงพยาบาลของรัฐค่อนข้างนาน ส่วนโรงพยาบาล
เอกชนก็ยงมีน้อย โดยชาวต่างชาติทเข้ามาใช้บริการส่วนใหญ่มาจากกลุ่มแรก โดยเฉพาะอย่าง
                  ั                              ่ี
ยิงประเทศอินโดนิเซีย ซึงในปี 2003 มีจานวนมากทีสุดถึงร้อยละ 72 ของคนไข้ต่างชาติทงหมด
  ่                            ่                      ํ          ่                                             ั้
(Chee Heng Leng 2007)

3.4 การเปรียบเทียบ medical hub ในแต่ละประเทศ: มุมมองของฝ่ ายต่างๆ
        การศึกษาเปรียบเทียบการดําเนินการของ medical hub ในประเทศต่างๆ เป็ นงานทีทา
                                                                                ่ ํ
                                    ี ั
ได้ยาก เนื่องจากในแต่ละประเทศต่างก็มปญหาด้านข้อมูล (ส่วนหนึ่งเป็ นเพราะสถานพยาบาลที่
มีบทบาทสําคัญในด้านนี้เป็ นสถานพยาบาลเอกชนแทบทังสิน ซึงบางครังสถานพยาบาลเหล่านี้
                                                  ้ ้ ่           ้

                                                           52
ไม่มแรงจูงใจทีจะรายงานข้อมูลโดยละเอียดให้กบรัฐบาล) แม้แต่ในประเทศที่มการดําเนินการ
         ี                  ่                                       ั                                    ี
ด้านนี้มาเป็ นเวลายาวนาน (และมีรฐบาลทีมประสิทธิภาพสูงและช่วยภาคเอกชนค่อนข้างมาก)
                                                ั        ่ ี
                                          ั
ดังเช่นสิงคโปร์ ก็ยงประสบปญหานี้จนรัฐบาลต้องใช้วธเก็บข้อมูลเพิมเติมทีสนามบิน มาเลเซีย
                                ั                                          ิี              ่      ่
                          ั
กับ ไทยก็มีป ญ หาความครบถ้ ว นของข้อ มู ล เช่ น เดีย วกัน นอกจากนี้ การเปรีย บเทีย บใน
รายละเอีย ดก็ทํา ได้ย ากเพราะการเก็บ ข้อ มูล ของแต่ ล ะประเทศก็มีแ บบแผนที่แ ตกต่ า งกัน
(ตัวอย่างเช่น ข้อมูลจํานวนคนไข้ชาวต่างชาติของไทยจะประกอบด้วยชาวต่างชาติททางานหรือ                          ่ี ํ
มีถนฐานในประเทศไทยเป็ นส่วนใหญ่ ขณะที่สงคโปร์จะเป็ นชาวต่างชาติท่เดินทางเข้ามารับ
      ่ิ                                                          ิ                                  ี
การรักษาพยาบาลในสัดส่วนที่สูงกว่า หรือการเปรียบเทียบตัวชี้วดต่างๆ ก็ทําได้ยากสําหรับ     ั
                   ่ ี                                     ั
ประเทศทีมขนาดต่างกัน และอาจมีสภาพปญหาและจุดเน้นทีแตกต่างกัน หัวข้อนี้จงอาศัยการ  ่                             ึ
ทบทวนบทวิเคราะห์และความเห็นจากแหล่งต่างๆ ซึ่งแม้ว่าในบางกรณีจะมีจุดสนใจหลักที่
ต่างกัน แต่กน่าจะช่วยทําให้สามารถเปรียบเทียบภาพรวมในประเด็นหลักๆ ของ medical hub
                        ็
ในภูมภาคนี้ได้ดพอสมควร
           ิ                  ี
                บทวิเคราะห์เรื่อง Where to go for medical tourism? ของ Charles J. Runckel
(2007) ซึงเป็ น Director of Research ของ Delphi Health Services Ltd. ได้วเคราะห์
                 ่                                                                                                 ิ
เปรียบเทียบ medical hub ของสามประเทศนี้ (สิงคโปร์ มาเลเซีย และไทย) โดยได้อธิบายถึง
จุดเด่นและจุดด้อยของแต่ละประเทศ ดังนี้ สิงคโปร์มช่อเสียงได้รบการชื่นชมด้านความทันสมัย
                                                                          ี ื      ั
ความสะอาดและความเป็ นระเบียบ มีอตราค่ารักษาพยาบาลโดยเฉลียสูงกว่า hub อืนๆ แต่มสง
                                                     ั                                       ่               ่         ี ิ่
อํานวยความสะดวกด้านการแพทย์ ความทันสมัยและความน่ าเชือถือจะดีกว่าคู่แข่งต่างๆ และ    ่
รัฐบาลสิงคโปร์ให้ความสําคัญเป็ นพิเศษกับการพัฒนาด้าน                                       Biotechnology ซึ่งถือว่ามี
ความสําคัญในการพัฒนาทางการแพทย์อย่างมาก
                ส่ว นในด้า นการท่ อ งเที่ย วนั น สิง คโปร์มีแ หล่ ง ท่ อ งเที่ย วช้อ ปปิ้ ง ในระดับ high-end
                                                   ้
มากกว่าแหล่งท่องเทียวทางธรรมชาติ โดยมีทพกโรงแรมและบริการอื่นๆ ทีมราคาสูงมาก ทําให้
                                      ่                      ่ี ั                                ่ ี
นักท่องเทียวจํานวนมากเลือกทีจะเข้ามาใช้บริการเฉพาะด้านการแพทย์เท่านัน แต่จะท่องเทียว
                    ่                       ่                                                          ้             ่
และจับจ่ายในประเทศใกล้เคียง เช่น มาเลเซีย หรือ อินโดนีเซีย (แถบตอนบนของเกาะชวา)
แทน อย่างไรก็ตามในทางกลับกัน นักท่องเที่ยวที่ต้องการมาท่องเที่ยวเกาะชวาก็มกจะเลือก                               ั
เข้า มาใช้บ ริก ารทางด้า นสุ ข ภาพที่ส ิง คโปร์ อีก ทัง สิง คโปร์เ ป็ น จุ ด พัก ระหว่ า งทางของทุ ก
                                                                        ้
เทียวบินทีจะเข้ามาสูเกาะชวาอยูแล้ว จึงสะดวกในการเข้ามาใช้บริการ
    ่                 ่             ่         ่
                นอกจากนี้สงคโปร์ยงมีประชากรสามารถใช้ภาษาอังกฤษในการสื่อสารได้เป็ นอย่างดี
                                  ิ     ั
และมีสงอํานวยความสะดวก ภัตตาคารระดับหรู ซึงจะช่วยลดปญหา culture shock สําหรับ
             ิ่                                                       ่                ั
นักท่องเที่ยวชาวตะวันตกในกรณีท่ไม่คุนเคยกับความแตกต่างทางด้านวัฒนธรรมได้ ซึ่ง
                                                  ี ้
Runckel สรุปว่า สิงคโปร์เป็ นทางเลือกทีดสาหรับผูทกลัวการเดินทางไปต่างประเทศและไม่
                                                          ่ ีํ              ้ ่ี
เชื่อถือในความสามารถด้านการแพทย์ของประเทศอินเดียและประเทศไทย อย่างไรก็ตาม
Runckel ระบุว่านักท่องเที่ยวส่วนใหญ่มกจะชอบศูนย์กลางการแพทย์ของประเทศไทยและ
                                                       ั
อินเดียมากกว่า


                                                           53
ประเทศอินเดียเป็ น hub ทีมอตราค่าบริการทีต่ํากว่า hub อื่นๆ ในระดับคุณภาพ
                                     ่ ี ั                    ่
เดียวกัน โดยมีเจ้าหน้าที่และอุปกรณ์ทางการแพทย์ท่มคุณภาพไม่ด้อยไปกว่ากัน แต่อตรา
                                                            ี ี                     ั
ค่าบริการเฉลี่ยจะอยู่ท่ี 1 ใน 5 ของอัตราค่าบริการในประเทศสหรัฐอเมริกา หรือในบางบริการ
(เช่น ทันตกรรม) จะตกประมาณ 1 ใน 10 เท่านัน อย่างไรก็ตาม คนอินเดียเจ้าของประเทศทีมี
                                                      ้                                   ่
ฐานะยากจนมักจะเข้าไม่ถงบริการเหล่านี้
                               ึ
         ในด้านการท่องเที่ยวในอินเดียนัน ประเทศอินเดียเป็ นประเทศทีมชวตชีวาและเต็มไป
                                             ้                        ่ ี ีิ
ด้วยวัฒนธรรมทีงดงามทีนกท่องเทียวมีโอกาสทีจะประทับใจ แต่ในขณะเดียวกันก็อาจจะอึดอัด
                 ่         ่ ั     ่                ่
เนื่องจากความไม่พร้อมในด้านสาธารณู ปโภคของอินเดีย และแม้ว่าอินเดียจะมีโรงแรมและ
ภัตตาคารแบบตะวันตกทีสุดหรู แต่สถานที่เหล่านันก็มราคาทีแพงมาก ในขณะที่แทบจะไม่มี
                             ่                            ้ ี       ่
โรงแรมและภัตตาคารระดับกลางเลย ซึง Runckel ได้เปรียบเปรยไว้ว่า ในอินเดียนัน หากไม่
                                         ่                                     ้
เลือกโรงแรมสุดหรูกจะต้องเลือกนอนกองขยะ
                       ็
         สําหรับประเทศไทยนัน เมื่อเทียบราคาเฉลี่ยกับอินเดียแล้วจะสูงกว่าอินเดียประมาณ
                                 ้
ร้อยละ 20 แต่มขอได้เปรียบด้านการท่องเทียวทีเหนือกว่ากว่าอินเดียและสิงคโปร์ และไทยมี
                ี ้                               ่ ่
ศูนย์กลางการให้บริการทางการแพทย์ทมบริการครอบคลุมแทบทุกด้าน ในขณะที่การเข้ารับ
                                           ่ี ี
การรักษาในอินเดียส่วนใหญ่จะเป็ นการเข้ารับบริการแบบเจาะจงเฉพาะทางซึงจะแตกต่างกันไป
                                                                            ่
ในแต่ละเมือง
                                                ่
         นอกจากนี้ จากการวิเคราะห์ของฝายวิจย ธนาคารกรุงเทพ จํากัด (มหาชน) (อัจฉรา
                                                        ั
วรศิรสุนทร 2547) ซึงเปรียบเทียบ Competitive Advantage ของไทยกับประเทศต่างๆ ใน
       ิ                 ่
ภูมภาคทีพฒนาตนเองเป็ น medical hub ระบุว่าประเทศทีเป็ นคู่แข่งสําคัญได้แก่ สิงคโปร์ ซึงมี
     ิ     ่ ั                                                    ่                     ่
การจัดตัง Health Care Working Group โดยมีเป้าหมายอย่างชัดเจนว่าจะเป็ น Medical Hub of
         ้
Asia มาเลเซีย ซึงรัฐและเอกชนร่วมมือผลักดันสู่ Health Tourism Hub of Asia อินเดีย ซึงมี
                     ่                                                                ่
การเติบโตของผูป่วยต่างชาติเฉลี่ยสูงถึงร้อยละ 30 ต่อปี และฮ่องกง ซึ่งเริมประกาศนโยบาย
                   ้                                                      ่
เป็ น Medical Hub โดยเปิ ดศูนย์ปฏิบตการ Cancer ซึงอัจฉราได้นําเสนอตารางเปรียบเทียบ
                                       ั ิ                      ่
(ตารางที่ 3.2) ดังต่อไปนี้




                                            54
ตารางที่ 3.2 เปรียบเทียบ competitive advantage ของไทยกับคู่แข่งอื่นในเอเชีย
Competitive Advantage         ไทย       สิงคโปร์ อินเดีย มาเลเซีย ฮ่องกง
Service & Hospitality        xxxxx                              x
Hi-tech Hardware               x          xxx       xx          x           xx
HR Quality                     x          xxx       xx                      xx
Int. Accredited Hospital                   x
Preemptive Move                           xxx                               x
Synergy/Strategic Partner                  xx                               x
Accessibility/Market                      xxx       xx          xx
Channel
Reasonable Cost               xxxx                 xxx         xxx
แหล่งที่มา: อัจฉรา วรศิรสนทร (2547)
                        ิุ
หมายเหตุ: จํานวน x ยิงมากยิงดี
                      ่     ่

           นอกจากนี้ ก็มรายงานของ The Boston Consulting Group ซึงศึกษาเปรียบเทียบใน 5
                             ี                                          ่
ประเทศ คือ ไทย สิงคโปร์ อินเดีย มาเลเซีย และฟิ ลปปิ นส์ โดยพยายามเปรียบเทียบเฉพาะ
                                                       ิ
บริการส่วนทีเป็ น medical tourism (ดูรายละเอียดในตารางที่ 3.3) ซึงข้อสรุปโดยภาพรวมไม่ได้
                  ่                                                 ่
ต่างรายงานอื่นๆ ข้างต้นมากนัก แต่จะเห็นได้ว่าในด้านค่ารักษาพยาบาลนัน ตัวเลขค่าใช้จ่าย
                                                                             ้
ต่ อ หัว ที่คํ า นวณออกมาเป็ น เหรีย ญสหรัฐ ได้ภ าพที่เ กือ บจะตรงกัน ข้า มกับ การประเมิน เชิง
คุณภาพในส่วนของค่ารักษาพยาบาลในหน้าทีสองของตาราง
                                               ่
           Patients Beyond Borders (Second Edition) (Woodman 2008) ซึงเป็ นหนังสือคู่มอ
                                                                               ่               ื
สําหรับคนไข้ (ในลักษณะเดียวกับ Traveller’s Guide) ก็ระบุว่าสิงคโปร์เป็ นประเทศทีมบริการที่
                                                                                        ่ ี
มีคุณภาพสูงและมีค่ารักษาพยาบาลทีแพงเป็ นลําดับต้นๆ ของเอเชีย (แต่ในตารางเปรียบเทียบ
                                        ่
ค่าใช้จายค่าผ่าตัดใหญ่ในบทนําของหนังสือ กลับแสดงตัวเลขทีบ่งชีวาค่าผ่าตัดของไทยแพงกว่า
         ่                                                     ่ ้่
สิงคโปร์ในหลายรายการ เช่น การผ่าตัดบายพาสเส้นเลือดหัวใจ การผ่าตัดเปลี่ยนลิ้นหัวใจ
พร้อมกับบายพาสเส้นเลือดหัวใจ และการผ่าตัดเปลียนข้อสะโพกและข้อเข่า) แต่ระบุว่าสิงคโปร์
                                                   ่
และมาเลเซียเป็ นทีรจกในหมู่คนไข้ชาวตะวันตกน้อยกว่าไทยและอินเดีย และกล่าวถึงประเทศ
                      ่ ู้ ั
ไทยว่าเป็ นดาวรุงทีเติบโตขึนมาอย่างรวดเร็วหลังวิกฤติปี 2540 มีโรงพยาบาลทีมช่อเสียงอย่าง
                    ่ ่          ้                                               ่ ี ื
รพ.บํารุงราษฎร์และเครือกรุงเทพดุสตเวชการซึงเป็ นเครือข่ายโรงพยาบาลเอกชนทีใหญ่ทสุดใน
                                      ิ          ่                                    ่     ่ี
เอเชียตะวันออกเฉียงใต้ Patients Beyond Borders ยังระบุดวยว่า ถึงแม้ชาวต่างชาติท่ี
                                                                      ้
เดินทางมาประเทศไทยจะมีโอกาสพบเห็นทังสภาพความรํ่ารวยและความยากจนทีต่างกันอย่าง
                                             ้                                      ่
ชัดเจน แต่พวกเขามักจะรูสกสบายใจกับสภาพความเป็ นอยู่ในประเทศไทยมากกว่าในอินเดีย
                               ้ ึ
หรืออาฟริกา



                                              55
ตารางที่ 3.3 เปรียบเทียบ medical tourism ของประเทศไทยและประเทศคู่แข่งในภูมิภาคนี้ โดย The Boston Consulting Group
          รายการ                               ไทย              สิ งคโปร์               อิ นเดีย   มาเลเซีย          ฟิ ลิ ปปิ นส์
จํานวนคนไข้ชาวต่างชาติ                      ~660,000            ~450,000               ~300,000    ~300,000       ~100,000-200,000
                                 (เฉพาะคนไข้ทเี่ ดินทาง
                                   เพือมารับการรักษา
                                      ่
                                           โดยเฉพาะ)
รายได้จากคนไข้ชาวต่างชาติ                      750
(ล้านดอลลาร์สหรัฐฯ) (ปี 2549)    (เฉพาะคนไข้ทเี่ ดินทาง           425                    440         54                  125
                                   เพือมารับการรักษา
                                        ่
                                           โดยเฉพาะ)
ค่าใช้จายต่อหัว (ดอลลาร์สหรัฐต่อ
       ่                                      1,140               940                   1,470        180                1,000
คนไข้ 1 คน)
รายได้จากคนไข้ชาวต่างชาติ (%)                20-40%             30-50%                 10-15%      ~5-30%                <5%
จํานวนโรงพยาบาลทีได้มาตรฐาน
                    ่                            3                11                      8           0                   2
JCI
การยอมรับ                                 “ติดอันดับ 1 ใน    “ทีหมายทีดทสดใน
                                                                ่      ่ ี ่ี ุ                                    เป็ นประเทศทีใหม่ใน
                                                                                                                                     ่
                                          10 ทีชาวต่างชาติ
                                               ่             การท่องเทียวเชิง
                                                                        ่                                          ธุรกิจการท่องเทียว  ่
                                          ต้องการเดินทาง     สุขภาพ”                                               เชิงสุขภาพ ยังไม่ม ี
                                          มารักษามากทีสด”
                                                        ุ่   - Travel Weekly                                       ชื่อเสียงเป็ นทียอมรับ
                                                                                                                                   ่
                                     - Newsweek              2007                                                  ในระดับสากล




                                                                                  56
รายการ                      ไทย                 สิ งคโปร์               อิ นเดีย              มาเลเซีย                       ฟิ ลิ ปปิ นส์
Positioning                ความมีประสิทธิภาพใน     การรักษาในโรคทีซบซ้อน คุณภาพการ
                                                                    ่ ั                       ยังไม่ม ี Positioning ที่       บริการทางการแพทย์
                           การรักษาโรคเฉพาะ        และคุณภาพในการ        รักษาพยาบาลทีดในราคา ชัดเจน
                                                                                          ่ ี                                 ราคาตํ่าสําหรับชาว
                           ทางและ ตติยภูม ิ        รักษาพยาบาล           ทีถกทีสด
                                                                           ่ ู ุ่                                             ฟิลปปินส์ทอยู่
                                                                                                                                 ิ           ่ี
                           รวมถึงความเป็ นเลิศใน                                                                              ต่างประเทศ และ
                           การให้บริการ                                                                                       Micronesia
จุดขายสําคัญ               การบําบัด, การรักษา     การรักษาแบบจตุภม ิู       การรักษาแบบตติยภูม ิ    การรักษาโรคเฉพาะทาง การบําบัด, การรักษาโรค
                           โรคเฉพาะทางและ          (Quaternary) และตติย      (Tertiary) และจตุภม ิ
                                                                                               ู     และตติยภูม ิ (Tertiary)  เฉพาะทางและตติยภูม ิ
                           ตติยภูม ิ (Tertiary)    ภูม ิ (Tertiary)          (Quaternary)                                     (Tertiary)
ค่ารักษาพยาบาล                          **                        *                     ****                   ****                             ***
คุณภาพของบริการทางการแพทย์             ***                      ****                     ***                     **                          */**
การบริการ                             ****                       ***                     ***                     **                             ***
โครงสร้างพืนฐานทางการแพทย์
            ้                          ***                      ****                                            ***                              *
ป ัญหาและอุปสรรค           - ขาดแคลนแพทย์และ       - ตลาดมีขนาดเล็กทําให้ม ี - ป ัญหาโครงสร้างพืนฐาน - ขาด Positioning ที่
                                                                                                 ้                            - โครงสร้างพืนฐาน เช่น
                                                                                                                                                   ้
                           พยาบาล                    ั
                                                   ปญหาเรืองขนาด (scale) ของประเทศ
                                                             ่                                       ชัดเจนเมือเทียบกับคูแข่ง สนามบินและการจราจร
                                                                                                             ่             ่
                           - การรักษาสมดุล                                   - ขาดสมดุลระหว่าง       - ขาดการสนับสนุนจาก ยังไม่ดพอ   ี
                           ระหว่างคนไข้ไทยและ                                ภาครัฐกับภาคเอกชน       ภาครัฐ                        ั
                                                                                                                              - ปญหาความปลอดภัย
                           คนไข้ต่างชาติ                                     - การพัฒนามาตรฐาน                                และและความมันคงของ         ่
                                                                             ร่วมของประเทศ                                    ประเทศ
                                                                                                                              - ภาครัฐขาดการ
                                                                                                                              ประสานงานทีดในการให้   ่ ี
                                                                                                                              การสนับสนุน




                                                                                 57
รายการ                              ไทย                         สิ งคโปร์              อิ นเดีย                      มาเลเซีย               ฟิ ลิ ปปิ นส์
ทิศทางในอนาคต                    + มีแนวโน้มทีจะขยาย + มีช่อเสียงและเน้นการ + เป็ นศูนย์กลางทาง
                                                  ่                ื                                                 + มีศกยภาพทีขยายการ
                                                                                                                           ั        ่          + มีแนวโน้มทีจะโตใน
                                                                                                                                                               ่
                                 ตัวอย่างต่อเนื่อง          รักษาโรคเฉพาะทางหรือ การแพทย์ทมค่าใช้จายตํ่า
                                                                                                     ่ี ี        ่   ให้บริการชาวต่างชาติท่ี   ตลาดหลัก คือชาว
                                 ๐ การเข้ามาของ             โรคทีรนแรง เป็ นที่
                                                                     ุ่                 + จะมีคนไข้จาก               เป็ นมุสลิม               ฟิลปปินส์ทอยูใน
                                                                                                                                                  ิ         ่ี ่
                                 ผูประกอบการรายใหม่ ยอมรับในระดับสากล
                                   ้                                                    สหรัฐอเมริกาและสหราช         - แต่อาจจะไม่สามารถ       ต่างประเทศและเกาะกวม
                                 ๐ การสนับสนุนอย่าง + มุงสร้างเครือข่ายใน
                                                                 ่                      อาณาจักรเพิมขึนมาก
                                                                                                       ่ ้           แข่งขันกับประเทศคูแข่ง
                                                                                                                                        ่      และจากธุรกิจประกัน
                                 จริงจังจากภาครัฐใน         ภูมภาค
                                                               ิ                        ๐ เน้นเจาะตลาดคูสญญา ่ ั     อื่นๆ ทีพยายามขยาย
                                                                                                                             ่                 - แต่การขยายตัวจะชะงัก
                                 การเจาะกลุมตลาดใหม่ + เน้นเจาะตลาดคูสญญา กับบริษทและกลุมคนไข้ท่ี
                                               ่                                    ่ ั        ั           ่         ตลาดนี้เช่นกัน                 ั
                                                                                                                                               ถ้าปญหาต่างๆ ไม่ได้รบั
                                 + โรงพยาบาลจะเจาะ กับบริษทและกลุมคนไข้ท่ี มีประกันในต่างประเทศ
                                                                        ั        ่                                                             การแก้ไข
                                 ตลาดคูสญญากับ
                                          ่ ั               มีประกันในต่างประเทศ
                                 บริษทในต่างประเทศ
                                      ั
    หมายเหตุ: จํานวน * ยิงมากยิงดี (มีคาระหว่าง 0 ถึง ****)
                         ่     ่        ่
    ทีมา: The Boston Consulting Group. Overview of Medical Tourism. February 2008.
      ่




                                                                                            58
มุมมองของแพทย์ไทย
            ในมุมมองของแพทย์ไทยนัน แพทย์หญิงสมศรี เผ่าสวัสดิ ์ นายกแพทยสมาคมแห่ง
                                      ้
ประเทศไทย ให้ความเห็นว่า Medical Hub ของไทยมีจุดแข็งในเรื่องคุณภาพการรักษา โดย
การแพทย์ของไทยมีศกยภาพสูงพอเทียบเท่ากับทางยุโรปหรืออเมริกา และการรักษาพยาบาล
                       ั
                                                         ่ ุ่
ของไทยก็เป็ นทีนิยมในย่านเอเชียตะวันออกเฉียงใต้ และญีปนด้วย (มติชน 2547, 28 มิถุนายน)
                    ่
            ในด้านการแข่งขันกับสิงคโปร์นัน แพทย์หญิงชัญวลี ศรีสุโข (มติชน 2547,
                                              ้                                         29
มิถุนายน) ระบุกล่าวว่าไทยยังคงมีขอด้อยกว่าสิงคโปร์สามประการคือ ประการแรก การแพทย์
                                        ้
เชิง ท่ อ งเที่ย วของไทยยัง กระจุ ก อยู่ ใ นโรงพยาบาลเอกชน ประการทีส อง ยัง ไม่ มีก าร
                                                                        ่
ประสานงานระหว่างการท่องเทียวกับการแพทย์อย่างเป็ นระบบทีสมบูรณ์ และประการทีสาม
                                 ่                                ่                   ่
เนื่ อ งจากประเทศสิง คโปร์ใ ช้ภ าษาอัง กฤษเป็ น ภาษากลางในการสื่อ สาร ชาวต่ า งชาติจึง
ติดต่อสื่อสารไม่ว่าจะเป็ นเรื่องการแพทย์หรือท่องเทียวได้สะดวกกว่า อย่างไรก็ตาม ประเทศ
                                                     ่
ไทยยังมีขอได้เปรียบสิงคโปร์ในหลายด้าน เช่น ค่ารักษาพยาบาลในเมืองไทยถูกกว่าประเทศ
              ้
สิงคโปร์ ทีมราคาสูงกว่าไทย 2-4 เท่า (เช่น ค่าเปลียนถ่ายตับในประเทศสิงคโปร์ใช้เงิน 210,000
                ่ ี                              ่
เหรียญสิงคโปร์ หรือสีลานบาทเศษ และการผ่าตัดเปลียนเส้นเลือดหัวใจ (Bypass Surgery) ใช้
                       ่้                              ่
เงิน 18,000 เหรียญสิงคโปร์ หรือสีแสนบาทเศษ) ในขณะที่เครื่องมือและเทคโนโลยีทางการ
                                    ่
แพทย์ของประเทศไทยทันสมัยไม่แพ้ประเทศใดในโลก นอกจากนี้ ประเทศไทยมีทงแหล่ง           ั้
ท่องเทียวธรรมชาติ และสถานท่องเทียวอื่นๆ จํานวนมาก อีกทังยังมีช่อเสียงในด้านการบริการ
          ่                               ่                    ้      ื
และด้านอาหารด้วย
            ในภาพรวมนั น นายแพทย์ช าตรี ดวงเนตร ประธานคณะผู้บ ริห ารศู น ย์ก ารแพทย์
                         ้
โรงพยาบาลกรุงเทพ บริษทกรุงเทพดุสตเวชการ จํากัด (มหาชน) ระบุว่า ขณะนี้ประเทศไทย
                           ั                ิ
ก้าวขึนสู่ศูนย์กลางของการรักษาพยาบาล (เมดิคลฮับ) โดยมียอดผูเดินทางเข้ามารักษามาก
        ้                                          ั                ้
ทีสุด ในโลก รองลงมาคือ อินเดีย เยอรมนี และอัง กฤษ (ผูจดการออนไลน์ 2550, 27
   ่                                                          ้ ั
สิงหาคม)

3.5 บทเรียนจากต่างประเทศ
       จากการศึกษาการดําเนินการของ medical hub ในประเทศต่างๆ สามารถสรุปเป็ นบทเรียน
ได้ในหลายประเด็นดังต่อไปนี้
          • การที่ชาวต่างชาติท่มาใช้บริการ medical tourism (หรือมารับการรักษาที่
                                 ี
                            26
              “medical hub” ) มักให้ความสําคัญกับเรื่องบริการรักษาพยาบาลเป็ นหลัก และให้
              ความสําคัญกับการท่องเทียวไม่มากนัก (ซึ่งเป็ นสิงทีพบในหลายประเทศ รวมทัง
                                      ่                      ่ ่                         ้
              จากการศึกษาของคณะผูวจยในประเทศไทยด้วย) ส่วนสําคัญของ “ความสําเร็จ”
                                     ้ิั
              ของสิงคโปร์ท่ผ่านมา (อย่างน้ อยในด้านการสร้างชื่อเสียง ซึ่งเป็ นที่ยอมรับกัน
                             ี

26
     คําว่า hub เป็ นศัพท์ทสงคโปร์ใช้เป็ นประเทศแรกๆ
                           ่ี ิ

                                                       59
โดยทัวไปเมื่อพูดถึง medical tourism ในเอเชีย) จึงขึนกับความสามารถในการ
                       ่                                                       ้
              รักษาคุณภาพและมาตรฐานให้เป็ นที่ยอมรับของชาวต่างประเทศมาโดยตลอด
                                    ่ ่             ้ ่ ่ั
              โดยเฉพาะอย่างยิง เมือคํานึงว่าผูปวยทีรบการรักษาในต่างประเทศจะมีความเสียง                ่
              บางด้านมากกว่าการรักษาในประเทศตนเอง เช่น อาจมีขอจํากัดมากกว่า (หรือ  ้
              บางครังก็เป็ นไปไม่ได้) ในการฟ้องร้องในกรณีท่เกิดความเสียหายที่เกิดจากการ
                         ้                                           ี
              รักษาพยาบาล หรือในด้านการรักษาต่อเนื่อง (follow up) เมื่อผูปวยเดินทางกลับ้ ่
              ไปสูประเทศตัวเองแล้ว
                     ่
            • การให้บริการของสิงคโปร์มจุดขายที่ชดเจนคือ คุณภาพของบริการในระดับ
                                                 ี             ั
              แนวหน้าของโลก จนกล่าวได้ว่าแนวคิดเรื่องการเป็ นศูนย์กลางการให้บริการ
              ทางการแพทย์ (medical                 hub) ของเอเชียของสิงคโปร์นัน ไม่ได้มความ
                                                                                          ้         ี
              เกี่ยวข้องหรือสัมพันธ์กบด้านการท่องเที่ยว (tourism) มากนัก (แม้ว่าการ
                                             ั
                                                                 ั ั
              โฆษณาประชาสัมพันธ์ของสิงคโปร์ในปจจุบน จะได้กล่าวถึงอยูบางก็ตาม แต่ก็          ่ ้
              จะจํากัดอยู่แค่ศูนย์การค้าและภัตตาคารเป็ นหลัก) ในส่วนนี้พฒนาการของ               ั
              สิงคโปร์จงมีความแตกต่างกับกรณีของไทยอยู่พอสมควร เพราะความสําเร็จ
                             ึ
              ของโรงพยาบาลเอกชนของไทยในระยะแรกหลายแห่ง ทังในกรุงเทพมหานคร            ้
              และต่ า งจัง หวัด (เช่ น โรงพยาบาลกรุ ง เทพภู เ ก็ต ) มีส่ ว นสํ า คัญ ที่เ กิด จาก
              ชาวต่างชาติทมาพํานักหรือมาท่องเที่ยวในประเทศไทยมาใช้บริการและบอก
                                 ่ี
              ต่อๆ กันไป
            • อย่างไรก็ตาม แม้กระทังประเทศที่ถอว่าประสบความสําเร็จจนมีช่อเสียงในด้าน
                                           ่             ื                                        ื
              medical tourism ดังเช่นสิงคโปร์ ก็ยงมีความเสียงที่เกิดจากความผันผวนของ
                                                             ั           ่
                                               ั
              จํ านวนชาวต่ างชาติ ด้วยป จจัยต่ างๆ ซึ่งบางครังก็อยู่เหนื อการควบคุ มของ
                                                                             ้
              ประเทศนันๆ ตัวอย่างเช่น ในช่วงหลังจากที่เ กิดวิก ฤติเ ศรษฐกิจในปี 2540
                               ้
              จํานวนคนไข้ต่างชาติกลดลงอย่างมีนยสําคัญ (ดูรปที่ 3.1) ซึงนอกจากจะเป็ น
                                         ็                 ั               ู            ่
                           ั
              เพราะปจจัยภายนอกด้านอื่นๆ (เช่น วิกฤติเศรษฐกิจในประเทศอื่น) แล้ว การ
              เติบโตของคู่แข่งในประเทศอื่นที่เริมเข้ามาสู่ตลาดนี้ (ในกรณีน้ีคอประเทศไทย27
                                                       ่                                     ื
                                      28
              มาเลเซีย และอินเดีย หรือแม้แต่ออสเตรเลีย (ซึงเป็ นประเทศทีสงคนไข้ไปรักษา
                                                                       ่                ่่
              ทีอ่นเสียมากกว่า) และในอนาคตก็คงมีฟิลปปิ นส์ ฮ่องกง ดูไบ30 และประเทศ
                 ่ ื                                              ิ              29




27
    รายงานของ Ministry of Trade and Industry Singapore. The Healthcare Services Working Group,
n.d.(a) (Appendix 1 p.6) ยกตัวอย่างโรงพยาบาลบํารุงราษฎร์ของไทยเป็ นคู่แข่งทีประสบความสําเร็จในด้าน
                                                                             ่
การตลาด
28
   ซึงมีอตราการเติบโตด้านการแพทย์ถงปีละ 30% (ประชาชาติธุรกิจ 2547, 7 ตุลาคม)
     ่ ั                            ึ
29
   ซึงทีผ่านมาได้พยายามเน้นบทบาทในด้านเทคโนโลยีระดับสูงด้านมะเร็ง และเริมประกาศตัวเป็ น medical
      ่ ่                                                                  ่
hub ในด้านศูนย์มะเร็ง

                                                 60
อื่นๆ อีก) ซึ่งประเทศคู่แข่งต่างก็มการพัฒนาในด้านต่างๆ เช่น การให้บริการ
                                                    ี
                 รัก ษาพยาบาล เทคโนโลยีก ารบริห ารจัด การธุ ร กิ จ รัก ษาพยาบาล การ
                 ประชาสัมพันธ์ และกลยุทธ์ทางด้านการตลาด รวมทังแรงจูงใจในด้านราคาที่
                                                                      ้
                 ถูกกว่าในคุณภาพที่ทดเทียมกันหรือไม่ต่างกันมากนัก ดังนัน โอกาสที่คนไข้
                                      ั                                     ้
                 จํานวนมากจากประเทศหนึ่ งใดที่เคยนิ ยมมารับการรักษาในประเทศหนึ่ งจะ
                 เปลี่ยนไปเลือกประเทศอื่นในอนาคตก็เป็ นสิงเกิดขึนได้เสมอ และอาจเกิดขึนได้
                                                           ่     ้                   ้
                 อย่างรวดเร็วด้วย การวางแผนยุทธศาสตร์ใดๆ ทีหวังพึงกําลังซือจากต่างประเทศ
                                                               ่    ่     ้
                 จึงต้องทําด้วยความระมัดระวังและไม่เล็งผลเลิศจนเกินไป

     รูปที่ 3.1 จํานวนผูป่วยชาวต่างชาติ ที่มารักษาที่สิงคโปร์ในช่วงก่อนและหลังวิ กฤติ
                       ้
                                    เศรษฐกิ จปี 2540




แหล่งที่มา: Singapore Tourist Board overseas visitors’ survey and Minister of Health Administrative
(quoted in Ministry of Trade and Industry Singapore. The Healthcare Services Working Group,
n.d.(a))

             • โครงการ medical tourism ในหลายประเทศในแถบนี้ได้รบการผลักดันหรือ
                                                                           ั
               สนั บ สนุ น จากรัฐ บาล (รวมทัง สิง คโปร์ มาเลเซีย ฟิ ลิป ปิ น ส์ และไทย) แต่
                                            ้
               ประเทศที่บทบาทของรัฐบาลมีความโดดเด่นมากที่สุดคือสิงคโปร์ ซึ่งมีการ
               ประสานงานอย่ า งเป็ นระบบของภาครัฐ ในการสนั บ สนุ นภาคเอกชน

30
     มีโครงการสร้างโรงพยาบาลจํานวนมาก ซึ่งเมื่อสําเร็จแล้วอาจทําให้จํานวนชาวตะวันออกกลางที่เคย
เดินทางมารับการรักษาในประเทศไทยและประเทศใกล้เคียงลดลงอย่างมีนยสําคัญ
                                                                 ั

                                                 61
ตัวอย่างเช่น รัฐบาลได้จดตัง Singapore Medicine ในปี 2546
                                          ั ้                                                    โดย
              Singapore Medicine เป็ นองค์กรทีประกอบด้วยหน่ วยงานต่างๆ ของรัฐหลาย
                                                         ่
              หน่ ว ยงาน ได้แ ก่ ก ระทรวงสาธารณสุ ข (ซึ่ง เป็ น องค์ก รหลัก ) และอีก สาม
              หน่ วยงาน อันได้แก่ คณะกรรมการพัฒนาเศรษฐกิจ (The                          Economic
              Development Board หรือ EDB) องค์กรวิสาหกิจระหว่างประเทศของสิงคโปร์
              (International Enterprise Singapore) และคณะกรรมการการท่องเทียว                       ่
              สิงคโปร์ (The Singapore Tourism Board) เป็ นหน่ วยงานสนับสนุ น (ดู
              รายละเอียดได้ใน www.SingaporeMedicine.com)
            • ถ้าพิจารณาในแง่ศกยภาพในการแข่งขันในการดึงคนไข้ต่างชาติกบประเทศ
                                     ั                                                  ั
              ไทยแล้ว อินเดีย ถือเป็ นประเทศที่มศ กยภาพในด้านนี้ ท่ีสูงกว่า ประเทศอื่น
                                                              ี ั
              เนื่ องจากเป็ นประเทศที่มบุคลากรที่มคุณภาพจํานวนมาก31พอที่จะสามารถ
                                              ี                 ี
              รองรับคนไข้ต่างชาติจํานวนมาก และมีสถานพยาบาลจํานวนไม่น้อย (โดย
              เฉพาะทีนิวเดลีและเชนไน) ทีได้มการดําเนินการด้านนี้มาหลายปี แล้ว อีกทัง
                         ่                        ่ ี                                                    ้
                    ั ั
              ในปจจุบนอินเดียเป็ นประเทศทีมตนทุนในการให้บริการค่อนข้างตํ่า และมีราคา
                                                   ่ ี ้
              ค่ารักษาพยาบาลทีต่ํากว่าประเทศไทย ดังนัน อินเดียจึงมีโอกาสมากทีจะเป็ น
                                   ่                                     ้                 ่
              คู่แข่งที่สําคัญของไทยมากกว่าสิงคโปร์ซ่งมีขนาดเล็ก และปจจุบนหันไปเน้น
                                                                   ึ               ั ั
              การรักษาทีใช้เทคโนโลยีขนสูงราคาแพงมากกว่า
                            ่              ั้
            • medical hub สามารถเติบโตได้ในประเทศทีประชากรโดยทัวไปยากจน และ่        ่
                                        ั
              โดยเฉลี่ ย แล้ ว ยัง มี ป ญ หาในการเข้ า ถึ ง และ/หรื อ ได้ ร ับ บริ ก ารด้ า นการ
              รัก ษาพยาบาลที่มีคุ ณภาพ (เช่น อินเดีย และคาดว่าฟิ ลิปปิ นส์อาจเป็ นราย
              ต่อไป) และในบางกรณีอาจจะง่ายกว่าในประเทศที่รฐพยายามให้ความสําคัญ
                                                                             ั
              กับการมีหลักประกันสุขภาพถ้วนหน้า (เช่นประเทศไทย) เพราะในระยะสัน                          ้
              ประเทศกลุ่มแรกจะมีแรงกดดันเรื่องบุคลากรน้อยกว่ากลุ่มหลัง ทําให้อนเดีย          ิ
              สามารถมี อ ั ต ราการเติ บ โตด้ า นการรั ก ษาคนไข้ ต่ า งชาติ ถึ ง ปี ละ 30%
              (ประชาชาติธุรกิจ 2547, 7 ตุลาคม) แต่กมทงคนต่างชาติและชาวอินเดียทีเห็น
                                                                  ็ ี ั้                         ่
                 ั
              ปญหาของการพัฒนา medical hub ในลักษณะดังกล่าว ว่าอาจก่อให้เกิดปญหา                ั
              สังคมขึนมาในประเทศเหล่านันเนื่องจากความเหลื่อมลํ้าทีเห็นได้ชดเจนมากขึน
                       ้                        ้                                ่    ั              ้
              ดังนัน แนวทางการพัฒนา medical hub ในลักษณะดังกล่าวจึงไม่น่าจะเป็ น
                     ้
              แนวทางการพัฒนา medical hub ทียงยืนในระยะยาวทีประเทศไทยสมควรยึด
                                                           ่ ั่                ่
              เป็ นแบบอย่างแต่อย่างใด

31
    แม้วาอินเดียจะเป็ นประเทศทียงยากจน แต่กมสถาบันการศึกษาทีทนสมัยจํานวนมาก ทีนอกจากจะผลิต
        ่                     ่ ั           ็ ี               ่ ั                  ่
นักเขียนโปรแกรมคอมพิวเตอร์หรือวิศวกรออกมาปีละจํานวนมากแล้ว ยังสามารถผลิตแพทย์และพยาบาลได้
ถึงปีละ 20,000-30,000 คนอีกด้วย (Medical Tourism India, n.d.) อินเดียจึงมีศกยภาพด้านบุคลากรทีมทง
                                                                           ั                ่ ี ั้
ปริมาณและคุณภาพมากพอทีจะสร้างความน่าเชื่อถือและสามารถรองรับกับการขยายตัวได้เป็ นอย่างดี
                            ่

                                                  62
เอกสารอ้างอิ ง
กระทรวงพาณิชย์. กรมส่งเสริมการส่งออก. 2548. สิ งคโปร์ค่แข่งธุรกิ จรักษาพยาบาลไทย
                                                            ู
             ในบังคลาเทศ. ค้นวันที่ 13 สิงหาคม 2550 จาก
             http://www.depthai.go.th/go/content/download/attach?contentId=2817&name=
             รักษาพยาบาล.doc
กระทรวงพาณิชย์. กรมส่งเสริมการส่งออก. ม.ป.ป. สิ งคโปร์ คู่แข่งอันดับ 1 ของธุรกิ จ
           สุขภาพไทย. ค้นวันที่ 13 สิงหาคม 2550 จาก
           http://www.depthai.go.th/go/content/download/attach?contentId=8836&name=?
           ?????????????.doc
อัจฉรา วรศิรสนทร. 2547. “สินค้าและบริการสุขภาพ : อีกประเภทธุรกิจทีไทยแข่งได้”. ค้น
              ิุ                                                       ่
             วันที่ 27 กรกฎาคม 2550 จาก
             http://www.bangkokbank.com/download/SRHealth.pdf
“ดันไทย "ฮับ" ท่องเทียวเชิงการแพทย์ คูแข่งสิงคโปร์ตงแผนรับสกัดดาวรุง”. บิสิเนสไทย. (7-
                        ่                ่           ั้              ่
             13 พฤษภาคม 2550). ค้นวันที19 มิถุนายน 2550 จาก NEWScenter.
                                           ่
“มาเลย์-สิงคโปร์ชงเมดิคล ฮับไทย”. ฐานเศรษฐกิ จ. (31 พฤษภาคม – 2 มิถุนายน 2550).
                    ิ     ั
             ค้นวันที่ 19 มิถุนายน 2550 จาก NEWScenter.
“สิงคโปร์ ประกาศจุดยืนClinical Medical Hub”. บิ สิเนสไทย. (8 สิงหาคม 2548). ค้นวันที่ 17
             สิงหาคม 2550 จาก
             http://www.businessthai.co.th/content.php?data=409389_Mice%20Market
“Medical Marketing ไทยชิงดําศูนย์แพทย์แห่งเอเชีย”. บิ สิเนสไทย. (7 กรกฎาคม 2548).
             ค้นวันที่ 17 สิงหาคม 2550 จาก
             http://www.businessthai.co.th/content.php?data=411710_ข่าวปกใหญ่ๆ
“ ‘ศิรราช’ ยุคใหม่กอนไทยเป็ นฮับ ร.พ.รัฐสร้างคน เอกชนสร้างตลาด ”. ประชาชาติ ธรกิ จ. (29
      ิ               ่                                                         ุ
             เมษายน -2 พฤษภาคม 2547). ค้นวันที19 มิถุนายน 2550 จาก NEWScenter.
                                                   ่
Agency for Science, Technology and Research. (Febuary, 2004). “Singapore's
             Biomedical Sciences Initiatives on Track to Meet Targets”. Retrieved
             September19, 2007 from www.a-
             star.edu.sg/press_release/attachment/344/2004_BMS_Joint_Sectoral_Press_
             Release.doc
Charles J. Runckel. 2007. “Where to go for medical tourism?”. Retrieved June 27,
             2007 from http://www.business-in-asia.com/asia/medical_tourism2.html
Chee Heng Leng. 2007. “Medical Tourism in Malaysia: International Movement of
             Healthcare Consumers and the Commodification of Healthcare”. Asia



                                           63
Research Institute Working Paper Series No.83. Retrieved August 18,
            2007 from http://www.ari.nus.edu.sg/showfile.asp?pubid=642&type=2
Economic Development Board (EDB), Singapore Tourism Board (STB) and International
        Enterprise Singapore (IE). 2003. “Singapore Set To Be Healthcare Services
        Hub Of Asia.” Press Release October 20, 2003.
Expat Web Site Association. n.d. “Singapore Healthcare Services”. Retrieved
            September19, 2007 from
            http://www.expat.or.id/medical/singaporehealthcare.html
HealthAbroad.net. (November 22, 2006). “Philippines Pushes Medical Tourism”.
            Retrieved September 23, 2007 from http://healthabroad.net/blog/?p=101
Medical Tourism India. n.d. “Medical tourism”. Retrieved August 16, 2007 from
            http://www.indiamedicaltourism.net/medical_tourism_india_medical_tourism/in
            dex.html
Ministry of Trade and Industry Singapore. The Healthcare Services Working Group.
            2002. “Developing Singapore as the Healthcare Hub of Asia”. Retrieved
            August 14, 2007 from
            https://app.mti.gov.sg/data/pages/507/doc/Developing%20Singapore%20as%
            20the%20Healthcare%20Hub%20of%20Asia.pdf
Ministry of Trade and Industry Singapore. 2007. ERC Report. Retrieved August 14,
            2007 from https://app.mti.gov.sg/default.asp?id=507
Ministry of Trade and Industry Singapore. The Healthcare Services Working Group.
            n.d.a. Annex1: Paper1: Developing Singapore as the Compelling Hub for
            Healthcare service in Asia. Retrieved August 14, 2007 from Ministry of
            Trade and Industry Singapore. The Healthcare Services Working Group.
            n.d. b. Ministry of Trade and Industry Singapore. The Healthcare Services
            Working Group. n.d. b. Annex2: Paper2: Potential Implication on Domestic
            Policy. Retrieved August 14, 2007 from
            https://app.mti.gov.sg/data/pages/507/doc/ERC_SVS_HEA_Annex2.pdf
Ministry of Trade and Industry Singapore. The Healthcare Services Working Group.
            n.d.c. Annex3: Foreign patient flow and trends. Retrieved August 14, 2007
            from http://app.mti.gov.sg/data/pages/507/doc/ERC_SVS_HEA_Annex3.pdf
Ministry of Trade and Industry Singapore. The Healthcare Services Working Group.
            n.d.d. Annex 4: HSWG’s recommendations to the ERC Human Capital



                                          64
Subcommittee. Retrieved August 15, 2007 from
             http://app.mti.gov.sg/data/pages/507/doc/ERC_SVS_HEA_Annex4.pdf
Ministry of Trade and Industry Singapore. The Healthcare Services Working Group.
             n.d.e. “Executive Summary - Developing Singapore as the Healthcare
             Services Hub In Asia”. Retrieved August 14, 2007 from
             https://app.mti.gov.sg/data/pages/507/doc/SHS_Executive%20Summary.pdf
Ministry of Public Health. 2006. Health policy in Thailand. Retrieved June 19, 2006.
             from http://bps.ops.moph.go.th/HealthPolicy6.pdf
Rabbitzilla. (พฤษภาคม 2550). “ ใครว่า...โลกไม่แบน(2)”. ค้นวันที่ 27 กรกฎาคม 2550 จาก
             http://www.oknation.net/blog/print.php?id=43395
Ray Marcelo. (July 2, 2003). “India Fosters Growing 'Medical Tourism' Sector”. The
             Financial Times. Retrieved August 15, 2007 from
             http://yaleglobal.yale.edu/display.article?id=2016
Recover Discover. n.d.. “Healthcare System in India”. Retrieved August 16, 2007
             from http://www.recoverdiscover.com/healthcare_system.php
Singapore’s Biomedical Sciences. 2003. “Singapore Set To Be Healthcare Services Hub
             Of Asia”. Retrieved August 17, 2007 from http://www.biomed-
             singapore.com/bms/sg/en_uk/index/newsroom/pressrelease/0/singapore_set_
             to_be.html
Singapore Medicine. 2003. “Singapore Set to be Healthcare Services Hub of Asia”
             (October 2003). Retrieved September19, 2007 from
             http://app.stb.gov.sg/asp/new/new03a.asp?id=347
Singapore Medicine. n.d. “World-Class Healthcare: Why International Patients choose
             Singapore”. Retrieved August 14, 2007 from
             http://www.singaporemedicine.com/healthcaredest/sg.asp
Singapore’s Biomedical Sciences. n.d. “About Biomedical Sciences”. Retrieved
             August 14, 2007 from http://www.biomed-
             singapore.com/bms/sg/en_uk/index/about_biomedical_sciences.html
Singapore’s Biomedical Sciences. (November 2006). “SingaporeMedicine - Making
             Singapore a Regional Medical Hub”. Retrieved September 20, 2007 from
             http://www.biomed-
             singapore.com/bms/sg/en_uk/index/business_resources/business_spotlight/y
             ear_2006/singaporemedicine.html



                                         65
Shyam Bhatia. 2003. “India can earn $1 billion from medical tourism”. December 6,
          2003. Retrieved August 16, 2007 from
          http://us.rediff.com/money/2003/dec/06health.htm
Supriya Saxena. (September 3, 2004). “India gears up for medical tourists”. Retrieved
          August 16, 2007 from http://www.domain-
          b.com/industry/tourism/20040903_medical_tourists.html
The Association of Private Hospitals Malaysia (APHM). n.d. “About APHM”. Retrieved
       August 16, 2007 From http://www.hospitals-malaysia.org/index.cfm?menuid=3
The Boston Consulting Group. 2008. “Overview of Medical Tourism.” February.
Woodman, Joseph. 2008. Patients Beyond Borders. Second Edition. Chapel Hill:
          Healthy Travel Media.
Wong Chaynee. 2003. “Health Tourism to drive earnings.” The New Strait Times. 19
          April.
Y.Bhg Dato’-Dato’, Tuan-Tuan dan Puan-Puan. 2002. “Speech by YB Dato’ Chua Jui
          Meng, Ministry of Health Malaysia”. Retrieved Sebtember 20, 2007 from
          http://www.hospitals-malaysia.org/index.cfm?menuid=26

เอกสารประกอบการสัมมนาระดับนานาชาติ หวข้อเรื่อง Medical Tourism Asia 2008 ที่
                                             ั
ประเทศสิ งคโปร์ ในเดือนเมษายน 2008
Tan Ser Kiat. 2008. “Medicine & Business: Can They Really Mix?”
Yap, Jason. 2008. “Charting the Course of Medical Travel for Long-term Sustainability”
Chong, William. 2008. “Exploring the Medical Travel Market for Dental Tourism”
           del Mundo, Jade. 2008. “Harnessing the Potential of Medical Tourism in the
           Philippines”
Wu Ming-Yen. 2008. “Establishing Taiwan as a Permier Medical Tourism Destination”
Fatma, Abdullah. 2008. “Healthcare and Medical Cities: The Next Big Thing in Medical
           Tourism?”
Toral, Ruben. 2008. “Marketing Healthcare Destinations to a Global Audience”
Chew Boon Yeow. 2008. “Know Your Patient & Getting Your Patient to Know You:
        Managing Communication Risks Effectively”




                                          66
4. ผลกระทบด้านเศรษฐกิจของประเทศ
        เหตุผลสําคัญทีภาครัฐได้ผลักดันโครงการ medical hub ก็คอศักยภาพในการหารายได้
                       ่                                           ื
เข้าประเทศ ซึ่งในขันต้น ภาครัฐ (โดยกระทรวงสาธารณสุข) ได้มการตังเป้าหมายด้านรายได้
                     ้                                         ี     ้
สําหรับ medical hub ไว้ทประมาณ 20,000 ล้านบาทในปี 2547 และตังเป้าว่าจะเพิมขึนเท่าตัวเป็ น
                         ่ี                                      ้         ่ ้
ประมาณ 40,000 ล้านบาทในปี 2551 โดยประมาณการอัตราเพิมไว้ประมาณร้อยละ 18-21 ต่อปี (ดู
                                                          ่
ตารางที่ 4.1) ซึงถ้านํ าตัวเลขตังเป้าหมายด้านรายได้ของปี 2547–2550 หารด้วยจํานวนคนไข้
                  ่              ้
ต่างชาติในปี นนๆ ก็จะได้คาเฉลียอยูระหว่าง 17,800-24,000 บาทต่อคนไข้หนึ่งคน
              ั้            ่ ่ ่

  ตารางที่ 4.1 ประมาณการเป้ าหมายรายได้จาก medical hub และข้อมูลจํานวนคนไข้
                     ต่างชาติ ท่ีมารับการรักษาในประเทศไทย
                                  2547         2548         2549         2550       2551      รวม
(1) เป้าหมายรายได้จาก            19,635       23,100       27,433       32,898     39,833   142,899
medical hub (ล้านบาท)
             อัตราเพิม (% ต่อปี)
                     ่                              17.6        18.8       19.9     21.0
(2) จํานวนคนไข้ต่างชาติ (คน) 1,103,095 1,249,984 1,330,000 1,373,807
             อัตราเพิม (% ต่อปี)
                       ่               13.3         13.3         6.4        3.3
(3) = (1)/(2) ประมาณการ               17,800       18,480      20,626     23,943
เป้าหมายรายได้ต่อคนไข้
ต่างชาติ (บาทต่อคน)
แหล่งที่มา: (1) กระทรวงสาธารณสุข (2546)
             (2) สํานักส่งเสริมธุรกิจบริการ กรมส่งเสริมการส่งออก กระทรวงพาณิชย์

         ที่ผ่านมา ข้อมูลรายได้จากการให้บ ริการผู้ป่วยต่างชาติเป็ นข้อมูลที่หาได้ไม่ง่ายนัก
แม้แต่ รายงานที่โรงพยาบาลในตลาดหลัก ทรัพย์ต้องส่งให้ท างตลาดหลัก ทรัพย์ก็มีไม่เ พีย ง
พอที่จะนํ ามาคํานวณหารายได้ส่วนนี้ ข้อมูลที่ใช้ส่วนใหญ่จงเป็ นข้อมูลที่ได้จากการประมาณ
                                                          ึ
การอย่างหยาบๆ ของหน่ วยงานที่เกี่ยวข้อง (เช่น กรมส่งเสริมการส่งออก) และรายงานจาก
ศูนย์วจยต่างๆ (โดยเฉพาะอย่างยิงศูนย์วจยกสิกรไทย ซึงมักมีผอางถึงค่อนข้างบ่อย) ซึงสรุปไว้
      ิั                        ่    ิั              ่      ู้ ้                   ่
ในตารางที่ 4.2 ซึงจะเห็นได้ว่าทังสองแหล่งนี้ประมาณการรายได้จากคนไข้ต่างชาติในปี 2548
                   ่              ้
ทังรายรับรวมและรายรับเฉลี่ยต่อหัวไว้สูงกว่าเป้าหมายทางกระทรวงสาธารณสุขตังเอาไว้ใน
  ้                                                                              ้
ตารางข้างบนค่อนข้างมาก




                                                67
ตารางที่ 4.2 ประมาณการรายได้จาก medical tourism และข้อมูลจํานวนคนไข้ต่างชาติ
      ปี            กรมส่งเสริมการส่งออก                           ศูนย์วจยกสิกรไทย
                                                                         ิั
                      กระทรวงพาณิชย์

              ประมาณ       จํานวน      รายรับเฉลีย่     ประมาณ      จํานวนคนไข้       รายรับเฉลีย
                                                                                                ่
             การรายได้      คนไข้        ต่อคนไข้      การรายได้       ต่างชาติ        ต่อคนไข้
             (ล้านบาท)    ต่างชาติ        (บาท)        (ล้านบาท)       (ล้านคน)         (บาท)
                 (1)      (ล้านคน)      (3)=(1)/(2)        (4)
                              (2)                                        (5)          (6)=(4)/(5)
     2548                   1.25                        33,000          1.28            25,781
     2549     36,000        1.33         27,068
     2550     41,000        1.37         29,840         36,000
ทีมา: กรมส่งเสริมการส่งออก กระทรวงพาณิชย์ และประชาชาติธุรกิจ (10 ธ.ค. 2550)
  ่
หมายเหตุ: คอลัมน์ (3) และ (6) คํานวณโดยคณะผูวจย
                                            ้ิั

         สํานักงานสถิตแห่งชาติเป็ นอีกหน่วยงานหนึ่งทีประมาณการรายได้และมูลค่าเพิมจากธุรกิจ
                         ิ                           ่                          ่
สถานพยาบาลเอกชนเป็ นระยะๆ โดยสํานักงานสถิตแห่งชาติรายงานการสํารวจโรงพยาบาลเอกชน
                                                  ิ
และสถานพยาบาลเอกชนทุก 5 ปี (ตังแต่ปี 2535 เป็ นต้นมา) ในรายงานการสํารวจโรงพยาบาล
                                      ้
เอกชนและสถานพยาบาลเอกชน พ.ศ. 2550 (ซึงรายงานการสํารวจข้อมูลของปี 2549) ประมาณการ
                                             ่
รายรับของธุรกิจโรงพยาบาลและสถานพยาบาลเอกชนไว้ท่ี 80,654.7 ล้านบาท32 และประมาณการ
มูลค่าเพิมไว้ท่ี 28,296.7 ล้านบาท ซึ่งถ้าใช้ประมาณการรายรับจากคนไข้ต่างชาติจากเป้าหมาย
         ่
ของกระทรวงสาธารณสุข (27,433 ล้านบาทในปี 2549) ก็แสดงว่ารายรับจากคนไข้ต่างชาติมสดส่วน
                                                                                   ี ั
ทีสูงถึงประมาณหนึ่งในสาม (ร้อยละ 34) ของรายรับของสถานพยาบาลเอกชนทังหมด หรือถ้าใช้
  ่                                                                       ้
ประมาณการรายได้จากกรมส่งเสริมการส่งออกมาเทียบกับรายรับทีได้จากการสํารวจโดยสํานักงาน
                                                              ่
สถิตแห่งชาติ ก็จะได้สดส่วนรายรับจากคนไข้ต่างชาติมสดส่วนทีสงถึงร้อยละ 45 อย่างไรก็ตาม เรา
      ิ                ั                            ี ั    ู่
ไม่มขอมูลเพียงพอทีจะชีชดลงไปว่า รายรับจริงทีสถานพยาบาลได้รบจากคนไข้ชาวต่างชาติได้ตาม
     ี ้              ่ ้ ั                    ่                ั
เป้าหมายของกระทรวงสาธารณสุขหรือประมาณการรายได้โดยกรมส่งเสริมการส่งออกหรือไม่ และ
ในส่ วนของรายงานการสํ ารวจของสํานั กงานสถิติแห่ งชาติเอง (ซึ่งใช้วิธีส่ งแบบสอบถามให้
สถานพยาบาล) ก็ระบุเอาไว้วาได้รบการตอบรับในส่วนของคนไข้ต่างชาติทค่อนข้างตํ่า33 จึงเป็ นไป
                            ่ ั                                    ่ี

32
    รายได้สวนนี้น่าจะเป็ นรายได้ในส่วนของบริการด้านการรักษาพยาบาลอย่างเดียว โดยยังไม่ได้รวมรายได้จาก
            ่
กิจกรรมต่อเนื่อง (เช่น การท่องเทียว) แต่ในขณะเดียวกัน ก็คงเป็ นรายได้ทยงไม่ได้หกต้นทุนต่างๆ รวมทัง
                                   ่                                    ่ี ั      ั                ้
ต้นทุนค่ายาและวัสดุอุปกรณ์ทตองนําเข้าจากต่างประเทศ
                              ่ี ้
33
   แม้วาจํานวนคนไข้ชาวต่างชาติทสานักงานสถิตแห่งชาติรายงาน (ซึงรวบรวมมาจากสถานพยาบาลเอกชน
       ่                             ่ี ํ       ิ                ่
238 แห่ง) จะสูงกว่าตัวเลขทีกรมส่งเสริมการส่งออกรวบรวมจาก 55 สถานพยาบาล แต่ทสาคัญคงเป็ นเพราะการ
                            ่                                                  ่ี ํ

                                                  68
ได้มากว่ารายรับรวมทีประมาณการโดยสํานักงานสถิตแห่งชาติ (ซึงรวมรายรับจากคนไข้ต่างชาติใน
                      ่                             ิ           ่
สถานพยาบาลของเอกชน) ก็น่าจะตํ่ากว่าความเป็ นจริงด้วย ทําให้เมื่อมาเปรียบเทียบกับตัวเลข
ประมาณการรายได้จากกรมส่งเสริมการส่งออกแล้วดูเหมือนมีสดส่วนรายรับทีมาจากต่างชาติทสง
                                                              ั            ่              ่ี ู
มาก (ซึ่งคงเป็ นสัดส่วนที่สูงกว่าความเป็ นจริงด้วย) และถ้าเปรียบเทียบมูลค่าเพิมจากธุรกิจ
                                                                                     ่
สถานพยาบาลเอกชนที่ประมาณการโดยสํานักงานสถิติแห่งชาติก ับมูลค่ าเพิ่มในด้านบริการ
รักษาพยาบาลจากข้อมูลบัญชีรายได้ประชาชาติหมวดบริการด้านสุขภาพและสังคมสงเคราะห์34 ซึง            ่
                        ั ั ่                                       35
มีมลค่าเพิม (ณ ราคาปจจุบน) ทีประมาณ 150,000 ล้านบาทในปี 2549 ก็จะตกประมาณร้อยละ
   ู       ่
19 เท่านัน ซึงน่ าจะเป็ นสัดส่วนทีต่ํากว่าความเป็ นจริงมาก36 จึงมีความเป็ นไปได้ดวยว่าตัวเลข
             ้ ่                  ่                                              ้
มูลค่าเพิมของสาขาบริการสุขภาพในบัญชีรายได้ประชาชาติ ซึงคณะผูวจยเข้าใจว่าอาศัยข้อมูลส่วน
         ่                                                  ่     ้ิั
หนึ่งจากการสํารวจของสํานักงานสถิตแห่งชาติ จะตํ่ากว่าความเป็ นจริงด้วย
                                      ิ                                       (ทังในส่วนของ
                                                                                   ้
ภาคเอกชนและในภาพรวม)




สํารวจของสํานักงานสถิติแห่งชาติใช้นิยามคนไข้ชาวต่างชาติท่ีกว้างกว่าของกรมส่งเสริมการส่งออก โดยใน
รายงานของสํานักงานสถิตแห่งชาตินน สถานพยาบาลเอกชนทีมชาวต่างชาติมารับบริการมีจานวนมากทีสดที่
                             ิ            ั้                              ่ ี                          ํ            ุ่
ระบุวามีคนไข้ชาวต่างชาติทเป็ นชาวพม่ามากทีสด (ทังผูป
          ่                      ่ี                ุ่ ้ ้           ่วยนอกและใน) รองลงมาคือจีน (อันดับสองในด้าน
ผูปวยนอก และอันดับสามด้านผูป่วยใน) และสหราชอาณาจักร (อันดับสามด้านผูปวยนอก และอันดับสองด้าน
   ้ ่                                ้                                                ้ ่
ผู้ป่วยใน) ในขณะที่ข้อมูลที่กรมส่งเสริมการส่งออกรวบรวมจาก 55 สถานพยาบาลมีคนไข้จากญี่ปุ่นและ
สหรัฐอเมริกามากกว่าคนไข้จากอังกฤษ (รวมกับประเทศกลุม “อื่นๆ” ในยุโรปตะวันตก) ค่อนข้างมาก
                                                                ่
34
      ชื่อสาขาอาจสือว่าเป็ นการรวมกิจกรรมด้านสังคมสงเคราะห์เข้ามาด้วย แต่เมือพิจารณาจากนิยามคุมรวมก็
                  ่                                                                  ่                            ้
จะเห็นได้วาเป็ นบริการด้านรักษาพยาบาล (รวมป้ องกันโรค) เกือบล้วนๆ
             ่                                                                                 ทังนี้คุมรวมของสาขานี้
                                                                                                 ้ ้
ประกอบด้วยสถานประกอบการซึงดําเนินกิจการหลักเกียวกับการให้บริการการป้องกัน การรักษาทางการแพทย์
                                    ่                       ่
ทันตกรรม และการอนามัยอืน ๆ ซึงรวมถึงโรงพยาบาล สถานพักฟื้น สถานพยาบาลและสถาบันทีคล้ายคลึงกัน
                               ่        ่                                                                 ่
สถานสงเคราะห์มารดาและเด็ก สํานักงานให้คาปรึกษาทางแพทย์ ศัลยแพทย์ และผูประกอบวิชาชีพเวชกรรม
                                                 ํ                                           ้
อื่นๆ เช่น ทันตแพทย์ ผดุงครรภ์ และพยาบาลทีทางานส่วนตัว บริการแพทย์เคลือนที่ ห้องปฏิบตการทาง
                                                      ่ ํ                                  ่                  ั ิ
วิทยาศาสตร์ดานเวชกรรมและทันตกรรม ซึงบริการเกียวกับการทดสอบ การวินิจฉัยโรคและบริการอื่น ๆ แก่
                ้                              ่          ่
แพทย์และทันตแพทย์ สถานประกอบการซึงดําเนินกิจการหลักเกียวกับการทําฟนปลอม เป็ นต้น
                                             ่                             ่       ั
35
     หรือประมาณร้อยละ 1.9 ของ GDP รวมของประเทศ (ร้อยละ 3.8 ของ GDP ด้านบริการ)
36
     ในความเห็นของผูเชียวชาญหลายท่าน สัดส่วนมูลค่าเพิมของสถานพยาบาลของเอกชนน่าจะใกล้เคียงกับ
                       ้ ่                                        ่
ร้อยละ 50 (ถึงตัวเลขนี้อาจรวมคลินิกเอกชนด้วย แต่สดส่วนของโรงพยาบาลเอกชนเองก็น่าจะไม่ต่ากว่าร้อย
                                                              ั                                             ํ
ละร้อยละ 40 หรือประมาณสองเท่าของตัวเลขทีรอยละ 19 ทีคานวณได้ขางต้น)
                                                   ่้                 ่ ํ      ้

                                                         69
4.1 การประมาณการรายรับและมูลค่าเพิ่มที่เกิดจากการให้บริการคนไข้ต่างชาติ
        การศึกษาในส่วนนี้พยายามประมาณการผลกระทบในภาพรวมของ medical tourism ที่
มีต่อเศรษฐกิจของประเทศ ซึงแบ่งได้เป็ นสองส่วนคือ (1) รายได้ (และมูลค่าเพิม) ทีเกิดจากการ
                           ่                                             ่ ่
ให้บริการทางการแพทย์ และ (2) รายได้ (และมูลค่าเพิม) จากกิจกรรมทีต่อเนื่อง เช่น ทีพกและ
                                                  ่                ่               ่ ั
การท่องเที่ยว ทังในส่วนของผูป่วยในช่วงก่อนและหลังการรับบริการด้านการแพทย์ และใน
                  ้          ้
ส่วนของญาติทเี่ ดินทางมาด้วยหรือมาเยียม
                                     ่
            โดยหลักการแล้ว เนื่องจากรายรับ (ไม่ว่าในส่วนของค่ารักษาพยาบาลหรือในส่วนของ
การท่อ งเที่ย ว) ต่ า งก็มีส่ว นที่ร วมต้น ทุ น ของการให้บ ริก ารเอาไว้ด้ว ย ดัง นัน การคํา นวณ   ้
ผลประโยชน์ ส่ว นที่เ ป็ น มูล ค่ า เพิ่ม (ซึ่ง เท่า กับ หัก ต้น ทุ น ต่ า งๆ ออกจากรายรับ ) จะสะท้อ น
ผลประโยชน์ สุทธิต่อเศรษฐกิจของประเทศได้ดีกว่าตัวรายรับรวม (ซึ่งบางส่วนจะกลายเป็ น
ค่าใช้จ่าย รวมทังส่วนทีจ่ายออกไปต่างประเทศด้วย ไม่ว่าจะเป็ นค่ายา หรือเครื่องไม้เครื่องมือ
                       ้               ่
ราคาแพง)
            แต่กระนันก็ตาม การคิดจากมูลค่าเพิมก็ยงมีโอกาสที่ได้ตวเลขที่สูงเกินควรได้เช่นกัน
                         ้                                 ่ ั                 ั
โดยเฉพาะในส่วนทีเป็ นรายได้ของบุคลากร ทังนี้เนื่องจากในกรณีทไม่มคนไข้ต่างชาติ บุคลากร
                               ่                              ้                     ่ี ี
เหล่านี้อาจใช้เวลาไปกับการรักษาคนไทย ซึ่งก็ก่อให้เกิดมูลค่าเพิมเช่นกัน (ถึงแม้อาจจะน้อย
                                                                                 ่
กว่าก็ตาม) ดังนัน แม้กระทังการคํานวณเฉพาะส่วนทีเป็ นมูลค่าเพิมทีเกิดจากการรักษาคนไข้
                           ้                 ่                         ่                 ่ ่
ต่างชาติ ก็อาจจะยังได้ตวเลขผลประโยชน์ทางเศรษฐกิจต่อประเทศทีสงกว่าความเป็ นจริงอยูดี
                                         ั                                                ู่                ่
            อย่ า งไรก็ ต าม การที่ป ระเทศมีร ะบบบริก ารรัก ษาพยาบาลที่มีคุ ณ ภาพก็ น่ า จะมี
ผลกระทบต่อเศรษฐกิจของประเทศในทางอ้อม (indirect/intangible impact) ด้วย เพราะทําให้
ชาวต่างชาตินิยมมาลงทุน ทํางาน และท่องเทียวในประเทศไทยมากขึน ถ้าเราเชื่อว่าผลกระทบ
                                                         ่                                    ้
สุทธิของกิจกรรมเหล่านี้เป็ นบวก ประโยชน์ท่ประเทศได้รบโดยรวมก็ย่อมสูงกว่ามูลค่าเพิมใน
                                                            ี            ั                                ่
ด้านการรักษาพยาบาลและด้านทีพกและท่องเทียวจากคนไข้และญาติ
                                                   ่ ั          ่
              ั
            ปญหาที่ใหญ่ท่สุดของการศึกษาในส่วนนี้คอ ข้อมูลแทบทังหมดไม่ใช่ขอมูลสาธารณะ
                                     ี                            ื                 ้               ้
และในหลายกรณีถอเป็ นความลับทางการค้า หรือแม้กระทังกรณีทสถานพยาบาลไม่ได้ถอเป็ น
                             ื                                             ่          ่ี                ื
ความลับ ผูทเกียวข้องก็อาจจะมองไม่เห็นประโยชน์ทจะเก็บรวบรวมหรือเปิ ดเผยข้อมูลเหล่านัน
                ้ ่ี ่                                              ่ี                                        ้
(โดยยังไม่ตองพูดถึงการมีขอมูลในระดับทีจะมาคํานวณหามูลค่าเพิม ซึงหมายความว่าจะต้องมี
                 ้                         ้           ่                           ่ ่
ข้อ มู ล ต้ น ทุ น และมีก ารจํ า แนกต้น ทุ น ออกเป็ น ต้ น ทุ น รายกิจ กรรมต่ า งๆ อีก ด้ว ย) แม้ว่ า
                                               ั
คณะผูวจยจะได้คาดการณ์ปญหานี้อยู่ก่อนแล้ว และคาดว่าจะแก้ปญหานี้ได้โดยใช้ขอมูลของ
         ้ิั                                                                              ั           ้
สถานพยาบาลกลุ่มทีอยู่ในตลาดหลักทรัพย์ ซึ่งจะต้องเปิ ดเผยข้อมูลทีสําคัญต่อตลาดหลักทรัพย์
                                 ่                                                          ่
สําหรับสาธารณชน/ผูถอหุน แต่เมื่อเข้าไปศึกษาข้อมูลเหล่านัน (รวมทังรายงานประจําปี ของ
                                   ้ ื ้                                     ้                  ้
โรงพยาบาลต่างๆ) ก็พบว่ามีขอมูลไม่เพียงพอสําหรับคํานวณหารายรับต่อคนไข้ต่างชาติหนึ่ง
                                                 ้




                                                      70
คน (หรือรายได้ต่อวันจากคนไข้เหล่านี้)37 มิพกต้องพูดถึงการคํานวณหามูลค่าเพิมจากการ
                                                               ั                                  ่
ให้บริการคนไข้ต่างชาติ
                                                             ่ ั            ่       ี ั
             ในส่วนของกิจกรรมทีต่อเนื่อง (เช่น ทีพกและการท่องเทียว) ก็มปญหาทีคล้ายคลึงกัน
                                      ่                                                       ่
แต่ทสาคัญกว่านันคือ บริษททัวร์เองก็มกไม่ได้ให้บริการอย่างเบ็ดเสร็จ (เหมือนกับกรณีแพคเกจ
     ่ี ํ              ้          ั             ั
ทัวร์ทวไป) ดังนัน แม้กระทังบริษททัวร์ท่ดูจะยินดีตอบคําถามเกี่ยวกับการใช้จ่าย ก็มกจะไม่
          ั่             ้          ่      ั           ี                                            ั
สามารถตอบคําถามเกียวกับค่าใช้จายส่วนทีนอกเหนือจากค่าบริการของทัวร์ได้ (และบริษททัวร์
                             ่           ่               ่                                            ั
หลายแห่งก็ไม่ยนดีตอบคําถามในส่วนของค่าบริการของทัวร์เอง)
                     ิ
                                ั
             อย่ า งไรก็ ต าม ป ญ หานี้ ไ ม่ ไ ด้ เ กิ ด ขึ้น เฉพาะกับ การศึก ษาเรื่อ งนี้ ใ นประเทศไทย
ตัวอย่างเช่น การศึกษาในมาเลเซีย (Chee                            Heng                     ี ั
                                                                         Leng 2007) ก็มปญหาข้อมูลจาก
สถานพยาบาลเช่นกัน (เช่น มีเพียงสถานพยาบาลบางแห่งทีรายงานตัวเลขยอดผูมาใช้บริการ
                                                                         ่                      ้
โดยเฉพาะอย่างยิงในปี แรกๆ) หรือในสิงคโปร์เองก็ใช้วธการสํารวจทีสนามบินมาเปรียบเทียบ
                           ่                                          ิี        ่
กับข้อมูลทีรายงานโดยสถานพยาบาล ดังนัน การประมาณการในส่วนนี้จงจะทําแบบหยาบๆ
               ่                                           ้                            ึ
ในทํานองเดียวกันกับของสิงคโปร์ (Ministry of Trade and Industry Singapore. The
Healthcare Services Working Group. 2002)

       ข้อสมมุติในการประมาณการของคณะผูวิจย      ้ ั
       1. การศึกษาส่วนนี้ประมาณการรายรับและมูลค่าเพิมในช่วงปี 2551-2555 ภายใต้
                                                           ่
scenario ต่างๆ กันคือ
            • Scenario ทีหนึ่ง: จํานวนคนไข้ต่างชาติเพิมในอัตราทีเท่ากับในระหว่างปี
                                  ่                          ่       ่
               2546-2548 (ประมาณร้อยละ 13 ต่อปี)
            • Scenario ทีสอง: จํานวนคนไข้ต่างชาติเพิมในอัตราทีสงกว่าในปี 2546-2548
                                ่                        ่       ู่
               (ร้อยละ 16 ต่อปี ) (เป็ นตัวอย่างของ scenario ที่ medical hub ประสบ
               ความสําเร็จเป็ นอย่างสูง)38
            • Scenario ทีสาม: จํานวนคนไข้ต่างชาติเพิมในจํานวนคงที่ 1.35 แสนคนต่อปี
                            ่                          ่
               (ใกล้เคียงกับทีเพิมขึนประมาณ 1.3-1.4 แสนคนต่อปีในปี 2547 และ 2548)
                                    ่ ่ ้
            • Scenario ทีส:่ี จํานวนคนไข้ต่างชาติเพิมในอัตราเท่ากับปี 2548-50 คือเฉลีย
                              ่                      ่                              ่
               ประมาณร้อยละ 5 ต่อปี


37
     แม้กระทังในบางโรงพยาบาลทีคณะผูวจยได้รบข้อมูลเพิมเติมนอกเหนือจากข้อมูลทีสถานพยาบาลระบุใน
             ่                   ่     ้ิั ั          ่                       ่
รายงานประจําปีหรือรายงานต่อตลาดหลักทรัพย์ ก็ยงไม่สามารถคํานวณได้ เว้นแต่จะใช้สมมุตฐานทีคอนข้าง
                                                ั                                   ิ   ่ ่
strong (และในหลายกรณีไม่เป็ นจริง) เช่น สมมุตวาราคาทีเก็บจากคนไข้ต่างชาติไม่ต่างจากราคาทีเก็บจาก
                                               ิ่       ่                                ่
คนไทย และความรุนแรงของโรคไม่ต่างกัน เป็ นต้น
38
   ชะเอม พัชนี และสุวทย์ วิบุลผลประเสริฐ (Pachanee and Wibulpolprasert 2006) ประมาณการอัตรา
                     ิ
การเพิมของคนไข้ต่างชาติ ทีรอยละ 14-16 ในระหว่างปี 2552-2554
       ่                    ่้

                                                  71
• Scenario ทีหา: จํานวนคนไข้ต่างชาติเพิมในอัตราครึงหนึ่งของปี 2548-50
                             ่ ้                          ่          ่
                เหลือร้อยละ 2.5 ต่อปี (เนื่ องจากผลการศึกษาพบว่ามีการขยายตัวของคู่แข่งใน
                หลายประเทศ รวมทังมีโ ครงการตัง โรงพยาบาลหลายแห่ง ในประเทศแถบ
                                      ้             ้
                ตะวันออกกลาง หรืออาจได้รบผลกระทบจากปรับเปลียนนโยบายของภาครัฐ)
                                              ั                  ่

           2. รายรับเฉลียต่อคนไข้ต่างชาติในปี 2549 และ 2550 ใช้ตวเลขประมาณการรายรับ
                                       ่                                                    ั
ของกรมส่งเสริมการส่งออกหารด้วยจํานวนคนไข้ท่ีรวบรวมโดยทางกรม (จากรายงานของ
สถานพยาบาลเอกชน 55 แห่ง) สําหรับปี 2551 และหลังจากนัน ประมาณการโดยสมมุตว่า              ้                      ิ
รายรับเฉลียต่อคนไข้ต่างชาติเพิมขึนในอัตราร้อยละ 10 ต่อปี (ซึงตํ่ากว่าตัวเลขอัตราเพิมของค่า
                 ่                            ่ ้                                    ่                  ่
รักษาพยาบาลทีได้จากการสัมภาษณ์ผูบริหารโรงพยาบาลกลุ่ม high-end กลุ่มหนึ่งเล็กน้อย
                       ่                              ้
เพราะผูวจยคาดว่าน่าจะมีการแข่งขันกันมากขึนทังในและนอกประเทศ)
           ้ิั                                              ้ ้
           3. มูลค่าเพิม (รวมค่าแรง) ในส่วนของรายรับส่วนทีเป็ นค่ารักษาพยาบาล คิดเป็ นร้อยละ
                             ่                                               ่
66.7 ของรายรับส่วนทีเป็ นค่ารักษาพยาบาล (เลือกใช้อตราทีต่ํากว่าสิงคโปร์ ซึงประมาณการไว้
                                   ่                                     ั     ่                    ่
ทีประมาณร้อยละ 91-92 ซึ่งคณะผูวจยเห็นว่าเป็ นตัวเลขทีน่าจะสูงเกินความเป็ นจริง และใน
    ่                                               ้ิั                          ่
กรณีของไทยก็ควรปรับลงมาอีกเนื่องจากค่ารักษาพยาบาลของไทยตํ่ากว่าสิงคโปร์)
           4. รายรับเฉลียด้านทีพกและการท่องเทียวของคนไข้ในปี ฐาน (2551) ประมาณการว่า
                                     ่      ่ ั                   ่
คิดเป็ นร้อยละ 10 ของค่ารักษาพยาบาล ทังนี้ เนื่องจากคนไข้ชาวต่างชาติประมาณร้อยละ 60
                                                        ้
มีถนฐานอยูในประเทศไทย และอีกประมาณร้อยละ 10 หรือเป็ นนักท่องเทียวทีปวย รายได้หลัก
        ่ิ         ่                                                                          ่ ่ ่
ในส่วนนี้จงมาจากคนไข้ในกลุ่มที่เหลือประมาณร้อยละ 30 ซึ่งเดินทางเข้ามารับการรักษา
               ึ
โดยเฉพาะ และคนไข้กลุ่มนี้ส่วนใหญ่ไม่ได้มเป้าหมายที่จะมาท่องเที่ยว (ยกเว้นกลุ่มที่ไม่ได้มี
                                                          ี
      ั              ่                            ่                                ั
ปญหาสุขภาพทีรุนแรง เช่น กลุ่มทีมาตรวจร่างกายหรือทําฟน) ค่าใช้จ่ายหลักจึงเป็ นค่าทีพก                          ่ ั
ในช่วงทียงไม่ได้รบการรักษาหรือช่วงพักฟื้ นหลังจากออกจากโรงพยาบาล ซึงไม่น่าจะเกินหนึ่ง
           ่ ั             ั                                                                    ่
ในสามของค่าใช้จายในส่วนของการรักษาพยาบาล (ทีรวมค่าห้องพักในโรงพยาบาลอยูแล้ว)
                         ่                                            ่                               ่
           5. รายรับเฉลียด้านทีพกและการท่องเทียวต่อผูตดตามคนไข้ ในปี ฐาน (2551) ประมาณ
                               ่         ่ ั                 ่          ้ ิ
การในอัตราร้อยละ 15 ของค่ารักษาพยาบาล ทังนี้คดจากอัตราผูตดตาม 0.225 คนต่อคนไข้
                                                                    ้ ิ                ้ ิ
หนึ่งคน (เนื่องจากคนไข้ประมาณร้อยละ 70 มีถนฐานอยูในประเทศไทย หรือเป็ นนักท่องเทียวที่
                                                               ิ่          ่                                ่
  ่
ปวย และในจํานวนทีเหลือนัน ไม่ใช่ว่าทุกคนมีญาติมาด้วย ในทีน้ีจงสมมุตว่า โดยเฉลียแล้ว
                                 ่        ้                                               ่ ึ     ิ       ่




                                                       72
คนไข้ทุก 3 ใน 4 คนจะมีผตดตามมาหนึ่งคน) 39 และสมมุตว่าผูตดตามแต่ละคนมีรายจ่ายด้าน
                                      ู้ ิ                                ิ ้ ิ
                                                 40
การท่องเทียวเป็ นสองเท่าของคนไข้)
               ่
          6. มูลค่าเพิมด้านทีพกและการท่องเทียว สมมุตว่าอยูทรอยละ 50 ของรายรับ (สิงคโปร์
                            ่        ่ ั                      ่       ิ    ่ ่ี ้
ประมาณการไว้ทรอยละ 63.5-66.7 แต่ค่าแรงของไทยตํ่ากว่าสิงคโปร์41) และเพิมขึนในอัตรา
                     ่ี ้                                                                 ่ ้
ร้อยละ 10 ต่อปี ในปี 2551 (เนื่ องจากปี น้ีมอตราเงินเฟ้อทีค่อนข้างสูง) และร้อยละ 6.7 ต่อปี ในปี
                                                          ี ั           ่
ต่อๆ ไป
          การศึ ก ษานี้ ไ ม่ ไ ด้ ป ระมาณการผลกระทบต่ อ เศรษฐกิ จ ของประเทศในทางอ้ อ ม
(indirect/intangible impact) ทีการมีระบบบริการรักษาพยาบาลทีมคุณภาพจะช่วยจูงใจให้
                                              ่                                       ่ ี
ชาวต่างชาตินิยมมาลงทุน ทํางาน และท่องเที่ยวในประเทศไทยมากขึ้น อย่างไรก็ตาม การ
พัฒนาของสถานพยาบาลเอกชนของไทยได้เกิดขึนอย่างต่อเนื่องมานานแล้ว และชื่อเสียงทีสง่ั
                                                                  ้                             ่
สมมาแล้วนี้ น่าจะเป็ นสาเหตุ ท่ีสําคัญที่ทําให้ประเทศไทยสามารถพัฒนาและขยาย medical
tourism ขึนมาได้อย่างรวดเร็ว และเมื่อประเทศไทยมีช่อเสียงในด้านการรักษาพยาบาลทีเป็ นที่
             ้                                                      ื                         ่
รูจกทัวไปแล้ว ผลกระทบในส่วนนี้ทอาจเกิดจากการขยายหรือพัฒนา medical hub อย่าง
  ้ั ่                                           ่ี
รวดเร็วในระยะหลังจึงไม่น่าจะมีผลเพิมขึนมากนัก       ่ ้
          จากผลการประมาณการที่นําเสนอในตารางที่ 4.3 ในปจจุบน (ปี 2551) ประเทศไทย  ั ั
น่ าจะมีรายรับส่วนทีเป็ นค่ารักษาพยาบาลคนไข้ต่างชาติประมาณ 46,000-52,000 ล้านบาท
                              ่
และมีร ายรับ ด้า นที่พก และการท่อ งเที่ย วของคนไข้และผู้ติด ตาม (เฉพาะที่เ ดิน ทางมาด้ว ย
                                ั
วัต ถุ ป ระสงค์ ด้ า นการรัก ษาพยาบาลเป็ น หลัก ไม่ ร วมชาวต่ า งชาติ ใ นประเทศไทยและ
นักท่องเทียวทีป่วยหรือประสบอุบตเหตุ) ประมาณ 12,000-13,000 ล้านบาท รวมเป็ นรายรับ
            ่ ่                              ั ิ
                                  42
58,000-65,000 ล้านบาท
          เมื่อคํานวณหามูลค่าเพิมภายใต้ขอสมมุตต่างๆ ข้างต้น พบว่าในปี 2551 ประเทศไทย
                                           ่            ้       ิ
น่าจะสร้างมูลค่าเพิมในส่วนทีเป็ นค่ารักษาพยาบาลคนไข้ต่างชาติประมาณ 31,000-35,000 ล้าน
                          ่              ่


39
          แม้วาคนไข้จากบางประเทศในแถบตะวันออกกลางมักจะมากันเป็ นครอบครัว อย่างไรก็ตาม สมาชิกใน
              ่
                         ้ ั                    ่ี                            ั
ครอบครัวเหล่านันก็มกจะกลายเป็ นคนไข้ทมารับบริการตรวจสุขภาพหรือทําฟนในประเทศไทยพร้อมกันไป
ด้วย จึงต้องนับรวมเป็ นคนไข้ดวย จึงไม่ชดเจนว่าโดยเฉลียแล้ว คนไข้แต่ละคนจากประเทศเหล่านี้มจานวน
                                   ้               ั         ่                                    ีํ
ผูตดตามทีไม่ได้เข้ามารับบริการทางการแพทย์มากกว่าคนไข้จากภูมภาคอื่นจริงหรือไม่ แต่โดยเฉลีย “คนไข้”
  ้ ิ              ่                                                ิ                          ่
ส่วนนี้คงจะมีรายจ่ายด้านทีพกและท่องเทียวสูงกว่าตัวคนไข้หลัก
                               ่ ั            ่
40
     ตัวเลขนี้คงยังตํ่ากว่าประมาณการของการท่องเทียวแห่งประเทศไทย (ททท.) ซึงประมาณว่านักท่องเทียว
                                                      ่                             ่                 ่
ต่างชาติทวๆ ไปมีคาใช้จายประมาณวันละ 4,121 บาท แต่น่าจะสอดคล้องกับผลการศึกษานี้ทพบว่า
                ั่         ่ ่                                                                     ่ี
โดยทัวไปแล้ว การท่องเทียวไม่ใช่เป
            ่                ่           ้ าหมายสําคัญของคนไข้และญาติ
41
     ซึงทําให้ยงมีคนไทยไปทํางานทีสงคโปร์เป็ นจํานวนมาก
        ่              ั             ่ ิ
42
     ทังนี้ ตัวเลขจริงของปี 2551 น่าจะค่อนไปในทางตํ่า (เช่น รายรับส่วนทีเป็ นค่ารักษาพยาบาลคนไข้ต่างชาติ
          ้                                                             ่
น่าจะใกล้กบ 46,000 มากกว่า 52,000 ล้านบาท) เพราะในช่วงปลายปีมเี หตุการณ์การปิดสนามบินนานาชาติ
                     ั
ซึงน่าจะส่งผลกระทบด้านลบต่อการเข้ามาของคนไข้ต่างชาติพอสมควร
   ่

                                                  73
บาท (มากกว่าร้อยละ 0.3 ของ GDP) และมีมลค่าเพิมในด้านทีพกและการท่องเทียวของคนไข้
                                                   ู        ่      ่ ั                ่
และผูติดตาม (เฉพาะที่เดินทางมาด้วยวัตถุประสงค์ด้านการรักษาพยาบาลเป็ นหลัก ไม่รวม
       ้
ชาวต่างชาติในประเทศไทยและนักท่องเที่ยวที่ป่วยหรือประสบอุบตเหตุ) อีกประมาณ 5,800-
                                                                            ั ิ
6,500 ล้านบาท รวมเป็ นมูลค่าเพิม 36,750-41,600 ล้านบาท หรือประมาณร้อยละ 0.4 ของ
                                       ่
GDP และมีโอกาสทีจะเพิมขึนเป็ น 59,000-110,000 ล้านบาทในปี 2555
                     ่ ่ ้
         ถ้าเปรียบเทียบตัวเลขมูลค่าเพิมในส่วนทีเป็ นค่ารักษาพยาบาลคนไข้ต่างชาติทประมาณ
                                             ่        ่                                      ่ี
ไว้ท่ี 24,120 และ 27,470 ล้านบาทในปี 2549 และ 2550 (ดูตารางที่ 4.3) กับตัวเลขมูลค่าเพิม                 ่
ในด้านบริการรักษาพยาบาลจากบัญชีรายได้ประชาชาติในหมวดบริการด้านสุขภาพและสังคม
สงเคราะห์43 ซึ่งมีมูลค่าเพิมประมาณ 150,000 และ 164,000 ล้านบาทในช่วงดังกล่าว สัดส่วน
                           ่
มูลค่าเพิมส่วนทีเป็ นค่ารักษาพยาบาลคนไข้ต่างชาติกจะตกประมาณร้อยละ 16-17 ของมูลค่าเพิม
          ่       ่                                       ็                                               ่
ของสาขาบริการสุขภาพในภาพรวม ซึงถ้าเชื่อตามความเห็นของผูเชียวชาญทีคาดกันว่ามูลค่าเพิม
                                           ่                        ้ ่         ่                     ่
ในส่วนของโรงพยาบาลเอกชนน่ าจะตกประมาณร้อยละ 40-50 ของมูลค่าเพิมของสาขาบริการ      ่
สุขภาพ สัดส่วนของมูลค่าเพิมจากคนไข้ต่างชาติกจะตกประมาณร้อยละ 32-42 ของมูลค่าเพิมของ
                              ่                         ็                                           ่
                                                                44
โรงพยาบาลเอกชน ซึ่งแม้ว่าจะเป็ นตัวเลขทีค่อนไปในทางสูง แต่กน่าจะยังอยู่ในช่วงที่ถอได้ว่า
                                                 ่                        ็                       ื
สมเหตุสมผลพอสมควร45 นอกจากนี้ ยังมีความเป็ นไปได้ดวยว่าตัวเลขมูลค่าเพิมของสาขาบริการ
                                                              ้                     ่
สุ ขภาพจากบัญชีรายได้ประชาชาติจะตํ่ ากว่ าความเป็ นจริง (โดยเฉพาะอย่ างยิ่งในส่ วนของ
ภาคเอกชน) ซึงถ้ามีตวเลขมูลค่าเพิมของสาขาบริการสุขภาพทีถูกต้อง ค่าสัดส่วนต่างๆ ทีคานวณ
                ่      ั                 ่                       ่                              ่ ํ
มาข้างต้นก็จะตํ่าลงไปอีก ดังนัน ถึงแม้ว่าคณะผูวจยจะเห็นด้วยว่ามีความเป็ นไปได้ทมลค่ารายรับ
                                  ้                  ้ิั                                ่ี ู
และมูลค่าเพิมทีประมาณการไว้มโอกาสทีจะสูงกว่าความเป็ นจริง แต่กเชื่อว่าคงจะไม่ได้ต่างไปความ
             ่ ่                     ี         ่                        ็
เป็ นจริงมากเป็ นเท่าตัวอย่างทีผบริหารสถานพยาบาลเอกชนบางท่านได้ให้ความเห็นเอาไว้
                                ่ ู้



43
      ประกอบด้วยสถานประกอบการซึงดําเนินกิจการหลักเกียวกับการให้บริ การการป้ องกัน การรักษาทาง
                                   ่                    ่
การแพทย์ ทันตกรรม และการอนามัยอื่นๆ ซึงรวมถึงโรงพยาบาล สถานพักฟื้น สถานพยาบาลและสถาบันที่
                                                 ่
คล้ายคลึงกัน สถานสงเคราะห์มารดาและเด็ก สํานักงานให้คาปรึกษาทางแพทย์ ศัลยแพทย์ และผูประกอบ
                                                          ํ                                   ้
วิชาชีพเวชกรรมอื่นๆ เช่น ทันตแพทย์ ผดุงครรภ์ และพยาบาลทีทางานส่วนตัว บริการแพทย์เคลื่อนที่
                                                                   ่ ํ
ห้องปฏิบตการทางวิทยาศาสตร์ดานเวชกรรมและทันตกรรม ซึงบริการเกียวกับการทดสอบ การวินิจฉัยโรคและ
          ั ิ                   ้                           ่       ่
                                                      ่                        ่        ั
บริการอื่น ๆ แก่แพทย์และทันตแพทย์ สถานประกอบการซึงดําเนินกิจการหลักเกียวกับการทําฟนปลอม เป็ นต้น
44
      ผูบริหารสถานพยาบาลเอกชนแห่งหนึ่งเชื่อว่าตัวเลขประมาณการรายรับด้านการรักษาพยาบาลทีได้จาก
        ้                                                                                       ่
คนไข้ต่างชาติน่าจะสูงกว่าความเป็ นจริง แต่ดวยข้อจํากัดด้านการเข้าถึงข้อมูลทังของภาครัฐ (ทังกรมส่งเสริม
                                             ้                                   ้         ้
การส่งออก กระทรวงพาณิชย์ และกระทรวงสาธารณสุข) และคณะผูวจยเอง คณะผูวจยจึงไม่มขอมูลพอทีจะ
                                                                 ้ิั                ้ิั   ี ้        ่
สนับสนุ นหรือโต้แย้งความเห็นดังกล่าว แต่กเชื่อว่ามีความเป็ นไปได้ททผานมาผูทเี่ กียวข้องมีแรงจูงใจทีจะ
                                               ็                       ่ี ่ี ่     ้ ่             ่
ประมาณการตัวเลขรายรับไปในทางสูงเอาไว้ก่อน
45
   และมีความเป็ นไปได้มากทีสดส่วนมูลค่าเพิมเทียบกับรายได้ทได้จากการให้บริการคนไข้ต่างชาติจะสูงกว่า
                            ่ ั            ่                  ่ี
สัดส่วนเดียวกันทีโรงพยาบาลได้จากการให้บริการคนไข้ไทย
                 ่

                                                    74
ตารางที่ 4.3 ประมาณการรายรับและมูลค่าเพิ่ ม (value added) จากคนไข้ต่างชาติ และผูติดตาม
                                                                                                  ้
              ปี       ประมาณการ      จํานวน    รายรับเฉลีย
                                                          ่   มูลค่าเพิมด้าน
                                                                       ่        ประมาณการ       รายรับด้านทีพก ่ ั   ประมาณการ        ประมาณการ           ประมาณการ      ประมาณการ
                        รายได้ดาน้     คนไข้     ต่อคนไข้     รักษาพยาบาล      มูลค่าเพิมด้าน
                                                                                        ่             และการ         รายรับด้านที่   มูลค่าเพิมด้านที่
                                                                                                                                              ่          รายรับรวมจาก    มูลค่าเพิมรวม
                                                                                                                                                                                  ่
                             การ     ต่างชาติ     (บาท)       เฉลียต่อคนไข้
                                                                  ่                   การ        ท่องเทียว(รวม
                                                                                                          ่           พักและการ         พักและการ        คนไข้ต่างชาติ     จากคนไข้
                      รักษาพยาบาล    (ล้านคน)                 (บาทต่อคนไข้)    รักษาพยาบาล      ผูตดตาม) เฉลีย
                                                                                                  ้ ิ            ่    ท่องเทียว
                                                                                                                             ่          ท่องเทียว
                                                                                                                                                ่         และผูตดตาม
                                                                                                                                                                ้ ิ       ต่างชาติและ
                         (ล้านบาท)                                                (ล้านบาท)           ต่อคนไข้        (ล้านบาท)         (ล้านบาท)          (ล้านบาท)        ผูตดตาม
                                                                                                                                                                              ้ ิ
                                                                                                        (บาท)                                                              (ล้านบาท)
                          (1)          (2)          (3)       (4)=(3) x 0.67    (5)=(2)x(4)      (6)=(3) x 0.25      (7)=(2) x (6)    (8)=(7)x 0.5        (9)=(1)+(7)    (10)=(5)+(8)
             2549       36,000        1.33       27,068         18,135           24,120              6,767             9,000            4,500              45,000          28,620
             2550       41,000       1.374       29,840         19,993           27,470              7,460             10,250           5,125              51,250          32,595
Scenario 1   2551       50,963        1.55       32,824         21,992           34,145             8,206              12,741           6,370              63,704          40,516
คนไข้เพิม่   2552       63,347        1.75       36,106         24,191           42,442             9,027              15,837           7,918              79,184          50,361
ร้อยละ 13    2553       78,740        1.98       39,717         26,610           52,756             9,929              19,685           9,843              98,425          62,599
   ต่อปี     2554       97,874        2.24       43,689         29,271           65,576             10,922             24,469           12,234            122,343          77,810
             2555      121,658        2.53       48,057         32,198           81,511             12,014             30,414           15,207            152,072          96,718
Scenario 2   2551       52,316        1.59       32,824         21,992           35,052             8,206              13,079           6,540              65,395          41,591
คนไข้เพิม่   2552       66,755        1.85       36,106         24,191           44,726             9,027              16,689           8,344              83,444          53,070
ร้อยละ 16    2553       85,180        2.14       39,717         26,610           57,070             9,929              21,295           10,647            106,475          67,718
   ต่อปี     2554      108,689        2.49       43,689         29,271           72,822             10,922             27,172           13,586            135,862          86,408
             2555      138,687        2.89       48,057         32,198           92,921             12,014             34,672           17,336            173,359         110,257
Scenario 3   2551       49,531        1.51       32,824         21,992           33,186             8,206              12,383           6,191              61,914          39,377
คนไข้เพิม
        ่    2552       59,359        1.64       36,106         24,191           39,770             9,027              14,840           7,420              74,198          47,190
 135,000     2553       70,656        1.78       39,717         26,610           47,340             9,929              17,664           8,832              88,320          56,172
 คนต่อปี     2554       83,620        1.91       43,689         29,271           56,025             10,922             20,905           10,452            104,525          66,478
             2555       98,470        2.05       48,057         32,198           65,975             12,014             24,617           12,309            123,087          78,283




                                                                               75
ปี     ประมาณการ      จํานวน    รายรับเฉลีย
                                                         ่   มูลค่าเพิมด้าน
                                                                      ่        ประมาณการ       รายรับด้านทีพก ่ ั   ประมาณการ        ประมาณการ           ประมาณการ      ประมาณการ
                       รายได้ดาน้     คนไข้     ต่อคนไข้     รักษาพยาบาล      มูลค่าเพิมด้าน
                                                                                       ่             และการ         รายรับด้านที่   มูลค่าเพิมด้านที่
                                                                                                                                             ่          รายรับรวมจาก    มูลค่าเพิมรวม
                                                                                                                                                                                 ่
                            การ     ต่างชาติ     (บาท)       เฉลียต่อคนไข้
                                                                 ่                   การ        ท่องเทียว(รวม
                                                                                                         ่           พักและการ         พักและการ        คนไข้ต่างชาติ     จากคนไข้
                     รักษาพยาบาล    (ล้านคน)                 (บาทต่อคนไข้)    รักษาพยาบาล      ผูตดตาม) เฉลีย
                                                                                                 ้ ิ            ่    ท่องเทียว
                                                                                                                            ่          ท่องเทียว
                                                                                                                                               ่         และผูตดตาม
                                                                                                                                                               ้ ิ       ต่างชาติและ
                        (ล้านบาท)                                                (ล้านบาท)           ต่อคนไข้        (ล้านบาท)         (ล้านบาท)          (ล้านบาท)        ผูตดตาม
                                                                                                                                                                             ้ ิ
                                                                                                       (บาท)                                                              (ล้านบาท)
                         (1)          (2)          (3)       (4)=(3) x 0.67    (5)=(2)x(4)      (6)=(3) x 0.25      (7)=(2) x (6)    (8)=(7)x 0.5        (9)=(1)+(7)    (10)=(5)+(8)
Scenario 4    2551     47,355        1.44       32,824         21,992           31,728             8,206              11,839           5,919              59,194          37,647
คนไข้เพิม ่   2552     54,695        1.51       36,106         24,191           36,646             9,027              13,674           6,837              68,369          43,483
 ร้อยละ 5     2553     63,173        1.59       39,717         26,610           42,326             9,929              15,793           7,897              78,966          50,222
    ต่อปี     2554     72,965        1.67       43,689         29,271           48,886             10,922             18,241           9,121              91,206          58,007
              2555     84,274        1.75       48,057         32,198           56,464             12,014             21,069           10,534            105,343          66,998
Scenario 5    2551     46,228        1.41       32,824         21,992           30,972             8,206              11,557           5,778              57,784          36,751
คนไข้เพิม่    2552     52,122        1.44       36,106         24,191           34,921             9,027              13,030           6,515              65,152          41,437
ร้อยละ 2.5    2553     58,767        1.48       39,717         26,610           39,374             9,929              14,692           7,346              73,459          46,720
   ต่อปี      2554     66,260        1.52       43,689         29,271           44,394             10,922             16,565           8,282              82,825          52,677
              2555     74,708        1.55       48,057         32,198           50,054             12,014             18,677           9,338              93,385          59,393
     หมายเหตุ: คอลัมน์ (1) ปี 2549 และ 2550 ประมาณการโดยกรมส่งเสริมการส่งออก ปี 2551-2555 เป็ นผลคูณของ (2) และ (3)
              คอลัมน์ (2) ปี 2549 และ 2550 ประมาณการโดยกรมส่งเสริมการส่งออก ปี 2551-2555 คํานวณตามข้อสมมุตใน scenario ต่างๆ
                                                                                                             ิ
              คอลัมน์ (3) ปี 2549 และ 2550 คํานวณจาก (1)/(2) (จากตัวเลขประมาณการโดยกรมส่งเสริมการส่งออก) ปี 2551-2555 สมมุตวามีอตราเพิมร้อยละ 10
                                                                                                                           ิ่ ั       ่
            ต่อปี




                                                                              76
รูปที่ 4.1 ประมาณการรายรับจากการให้บริ การคนไข้ต่างชาติ ภายใต้ Scenario ต่างๆ

Scenario 1: จํานวนคนไข้ต่างชาติเพิมในอัตราทีเท่ากับในระหว่างปี 2546-2548
                                  ่         ่
               (ประมาณร้อยละ 13 ต่อปี)
                  200000                                                          3

                  160000                                                          2.5
                                                                                  2
        ล้านบาท




                                                                                        ล้านคน
                  120000
                                                                                  1.5
                   80000
                                                                                  1
                   40000                                                          0.5
                       0                                                          0
                           2549   2550    2551p 2552p 2553p 2554p 2555p
                                                      ปี

                           ประมาณการรายได ้ด ้านการรั กษาพยาบาล
                           ประมาณการรายรั บด ้านทีพักและการท่องเทีย ว
                                                  ่               ่
                           ประมาณการรายรั บรวมจากคนไข ้ชาวต่างชาติและผู ้ติดตาม
                           จํานวนคนไข ้ชาวต่างชาติ



                                    ่       ู่           ั ั
Scenario 2: จํานวนคนไข้ต่างชาติเพิมในอัตราทีสงกว่าในปจจุบน (ร้อยละ 16 ต่อปี)
(เป็ นตัวอย่างของกรณีท่ี medical hub ประสบความสําเร็จเป็ นอย่างสูง)
                  200000                                                          3

                  160000                                                          2.5
                                                                                  2
        ล้านบาท




                                                                                        ล้านคน




                  120000
                                                                                  1.5
                  80000
                                                                                  1
                  40000                                                           0.5
                      0                                                           0
                           2549   2550   2551p 2552p 2553p 2554p 2555p
                                                      ปี

                           ประมาณการรายได ้ด ้านการรั กษาพยาบาล
                           ประมาณการรายรั บด ้านทีพักและการท่องเทีย ว
                                                  ่               ่
                           ประมาณการรายรั บรวมจากคนไข ้ชาวต่างชาติและผู ้ติดตาม
                           จํานวนคนไข ้ชาวต่างชาติ




                                                 77
Scenario 3: จํานวนคนไข้ต่างชาติเพิมในจํานวนคงที่ 1.35 แสนคนต่อปี
                                  ่
(ใกล้เคียงกับทีเพิมขึนประมาณ 1.3-1.4 แสนคนต่อปีในปี 2547-2548)
               ่ ่ ้
                  200000                                                             3

                  160000                                                             2.5
                                                                                     2
        ล้านบาท




                                                                                           ล้านคน
                  120000
                                                                                     1.5
                   80000
                                                                                     1
                   40000                                                             0.5
                       0                                                             0
                           2549     2550    2551p 2552p 2553p 2554p 2555p
                                                         ปี

                            ประมาณการรายได ้ด ้านการรั กษาพยาบาล
                            ประมาณการรายรั บด ้านทีพักและการท่องเทีย ว
                                                   ่               ่
                            ประมาณการรายรั บรวมจากคนไข ้ชาวต่างชาติและผู ้ติดตาม
                            จํานวนคนไข ้ชาวต่างชาติ



Scenario 4: จํานวนคนไข้ต่างชาติเพิมในอัตราเท่ากับปี 2548-2550
                                  ่
(เฉลียประมาณร้อยละ 5 ต่อปี)
     ่
                  200000                                                             3

                  160000                                                             2.5
                                                                                     2
       ล้านบาท




                                                                                           ล้านคน

                  120000
                                                                                     1.5
                  80000
                                                                                     1
                  40000                                                              0.5
                      0                                                              0
                           2549     2550    2551p 2552p 2553p 2554p 2555p
                                                         ปี

                                  ประมาณการรายได ้ด ้านการรั กษาพยาบาล
                                  ประมาณการรายรั บด ้านทีพักและการท่องเทีย ว
                                                         ่               ่
                                  ประมาณการรายรั บรวมจากคนไข ้ชาวต่างชาติและผู ้ติดตาม
                                  จํานวนคนไข ้ชาวต่างชาติ




                                                    78
Scenario 5: จํานวนคนไข้ต่างชาติเพิมในอัตราครึงหนึ่งของปี 2548-2550
                                  ่          ่
(ประมาณร้อยละ 2.5 ต่อปี ซึ่งอาจเกิดจากการขยายตัวของคู่แข่ง และการออกไปตัง
                                                                        ้
โรงพยาบาลในต่างประเทศ หรือมาตรการของภาครัฐ)
                 200000                                                            3

                 160000                                                            2.5
                                                                                   2
       ล้านบาท




                                                                                         ล้านคน
                 120000
                                                                                   1.5
                 80000
                                                                                   1
                 40000                                                             0.5
                     0                                                             0
                          2549   2550    2551p 2552p 2553p 2554p 2555p
                                                      ปี


                            ประมาณการรายได ้ด ้านการรั กษาพยาบาล
                            ประมาณการรายรั บด ้านทีพักและการท่องเทีย ว
                                                   ่               ่
                            ประมาณการรายรั บรวมจากคนไข ้ชาวต่างชาติและผู ้ติดตาม
                            จํานวนคนไข ้ชาวต่างชาติ

ทีมา: ตารางที่ 4.3
 ่




                                                  79
รูปที่ 4.2 ประมาณการมูลค่าเพิ่ มจากการให้บริ การคนไข้ต่างชาติ ภายใต้ Scenario
                                        ต่างๆ
Scenario 1: จํานวนคนไข้ต่างชาติเพิมในอัตราทีเท่ากับในระหว่างปี 2546-2548
                                  ่         ่
               (ประมาณร้อยละ 13 ต่อปี)
                 120000                                                           3
                 100000                                                           2.5
                 80000                                                            2
       ล้านบาท




                                                                                        ล้านคน
                 60000                                                            1.5
                 40000                                                            1
                 20000                                                            0.5
                     0                                                            0
                          2549   2550    2551p 2552p 2553p 2554p 2555p
                                                      ปี

                           ประมาณการมูลค่าเพิมด ้านการรั กษาพยาบาล
                                             ่
                           ประมาณการมูลค่าเพิมด ้านทีพักและการท่องเทีย ว
                                             ่       ่               ่
                           ประมาณการมูลค่าเพิมรวมจากคนไข ้ต่างชาติและผู ้ติดตาม
                                             ่
                           จํานวนคนไข ้ชาวต่างชาติ



                                    ่       ู่           ั ั
Scenario 2: จํานวนคนไข้ต่างชาติเพิมในอัตราทีสงกว่าในปจจุบน (ร้อยละ 16 ต่อปี)
(เป็ นตัวอย่างของกรณีท่ี medical hub ประสบความสําเร็จเป็ นอย่างสูง)
                 120000                                                           3
                 100000                                                           2.5
                 80000                                                            2
       ล้านบาท




                                                                                        ล้านคน




                 60000                                                            1.5
                 40000                                                            1
                 20000                                                            0.5
                     0                                                            0
                          2549   2550    2551p 2552p 2553p 2554p 2555p
                                                      ปี

                           ประมาณการมูลค่าเพิมด ้านการรั กษาพยาบาล
                                             ่
                           ประมาณการมูลค่าเพิมด ้านทีพักและการท่องเทีย ว
                                             ่       ่               ่
                           ประมาณการมูลค่าเพิมรวมจากคนไข ้ต่างชาติและผู ้ติดตาม
                                             ่
                           จํานวนคนไข ้ชาวต่างชาติ




                                                 80
Scenario 3: จํานวนคนไข้ต่างชาติเพิมในจํานวนคงที่ 1.35 แสนคนต่อปี
                                  ่
(ใกล้เคียงกับทีเพิมขึนประมาณ 1.3-1.4 แสนคนต่อปีในปี 2547-2548)
               ่ ่ ้
                 120000                                                           3
                 100000                                                           2.5
                 80000                                                            2
       ล้านบาท




                                                                                        ล้านคน
                 60000                                                            1.5
                 40000                                                            1
                 20000                                                            0.5
                     0                                                            0
                          2549   2550    2551p 2552p 2553p 2554p 2555p
                                                      ปี

                           ประมาณการมูลค่าเพิมด ้านการรั กษาพยาบาล
                                             ่
                           ประมาณการมูลค่าเพิมด ้านทีพักและการท่องเทีย ว
                                             ่       ่               ่
                           ประมาณการมูลค่าเพิมรวมจากคนไข ้ต่างชาติและผู ้ติดตาม
                                             ่
                           จํานวนคนไข ้ชาวต่างชาติ



Scenario 4: จํานวนคนไข้ต่างชาติเพิมในอัตราเท่ากับปี 2548-2550
                                  ่
(เฉลียประมาณร้อยละ 5 ต่อปี )
     ่
                 120000                                                           3
                 100000                                                           2.5
                  80000                                                           2
       ล้านบาท




                                                                                        ล้านคน




                  60000                                                           1.5
                  40000                                                           1
                  20000                                                           0.5
                      0                                                           0
                          2549   2550    2551p 2552p 2553p 2554p 2555p
                                                      ปี

                           ประมาณการมูลค่าเพิมด ้านการรั กษาพยาบาล
                                             ่
                           ประมาณการมูลค่าเพิมด ้านทีพักและการท่องเทีย ว
                                             ่       ่               ่
                           ประมาณการมูลค่าเพิมรวมจากคนไข ้ต่างชาติและผู ้ติดตาม
                                             ่
                           จํานวนคนไข ้ชาวต่างชาติ




Scenario 5: จํานวนคนไข้ต่างชาติเพิมในอัตราครึงหนึ่งของปี 2548-2550
                                  ่          ่

                                                 81
(ประมาณร้อยละ 2.5 ต่อปี ซึงอาจเกิดจากการขยายตัวของคูแข่ง และการออกไปตัง
                          ่                        ่                  ้
โรงพยาบาลในต่างประเทศ หรือมาตรการของภาครัฐ)
                 120000                                                            3
                 100000                                                            2.5
                 80000                                                             2
       ล้านบาท




                                                                                         ล้านคน
                 60000                                                             1.5
                 40000                                                             1
                 20000                                                             0.5
                     0                                                             0
                          2549    2550    2551p 2552p 2553p 2554p 2555p
                                                       ปี

                            ประมาณการมูลค่าเพิมด ้านการรั กษาพยาบาล
                                              ่
                            ประมาณการมูลค่าเพิมด ้านทีพักและการท่องเทีย ว
                                              ่       ่               ่
                            ประมาณการมูลค่าเพิมรวมจากคนไข ้ต่างชาติและผู ้ติดตาม
                                              ่
                            จํานวนคนไข ้ชาวต่างชาติ

       ทีมา: ตารางที่ 4.3
        ่

เอกสารอ้างอิ ง
สํานักงานสถิตแห่งชาติ. 2551. สรุปผลที่สาคัญ การสํารวจโรงพยาบาลเอกชนและ
              ิ                                ํ
            สถานพยาบาลเอกชน พ.ศ. 2550. กรุงเทพฯ: บางกอกบล็อก.
Chee Heng Leng. 2007. “Medical Tourism in Malaysia: International Movement of
            Healthcare Consumers and the Commodification of Healthcare.” Asia
            Research Institute Working Paper Series No.83. Retrieved August 18,
            2007 from http://www.ari.nus.edu.sg/showfile.asp?pubid=642&type=2
Ministry of Trade and Industry Singapore. The Healthcare Services Working Group.
            2002. “Developing Singapore as the Healthcare Hub of Asia” . Retrieved
            August 14, 2007 from
            https://app.mti.gov.sg/data/pages/507/doc/Developing%20Singapore%20as%
            20the%20Healthcare%20Hub%20of%20Asia.pdf
Cha-aim Pachanee and Suwit Wibulpolprasert. 2006. “Incoherent policies on universal
        coverage of health insurance and promotion of international trade in
        health services in Thailand,” Health Policy and Planning. Published by Oxford
        University Press in association with The London School of Hygiene and Tropical
        Medicine. http://heapol.oxfordjournals.org/cgi/reprint/czl017v1



                                                  82
5. ผลกระทบต่อบุคลากร

         รายงานส่วนนี้เป็ นการศึกษาผลกระทบด้านบุคลากร ทังที่เกิดจากโครงการ medical
                                                          ้
hub และจากนโยบายหลักประกันสุขภาพถ้วนหน้า โดยมีจุดเน้นทีแพทย์และทันตแพทย์ ซึ่ง
                                                              ่
                                    46
เป็ นบุคลากรกลุ่มทีขาดแคลนมากทีสุด
                  ่               ่     นอกจากนี้ ในระหว่างทีดําเนินการศึกษา ผูบริหาร
                                                            ่                  ้
                                                   ั ั ั
โรงพยาบาลรัฐและเอกชนหลายแห่งให้ภาพทีตรงกันว่าปจจุบนมีปญหาการขาดแคลนพยาบาล
                                         ่
ทีรนแรงเช่นกัน ในตอนท้ายของรายงานส่วนนี้จงได้พยายามรวบรวมข้อมูลพยาบาลเข้ามาด้วย
  ุ่                                       ึ

5.1 ความต้องการแพทย์สาหรับคนไข้ต่างชาติ (medical hub)
                     ํ
           ทีผานมา มีงานวิจยทีประมาณการจํานวนแพทย์ทตองการสําหรับรองรับผูปวยต่างชาติ
             ่ ่                  ั ่                                    ่ี ้                   ้ ่
ที่เพิมขึน เช่น งานของชะเอม พัชนี และ สุวทย์ วิบุลผลประเสริฐ
      ่ ้                                            ิ                               (Pachanee            and
Wibulpolprasert 2006) ซึงประมาณว่าการเพิมขึนของคนไข้ต่างชาติในปี 2546 (ซึงพวกเขา
                                    ่                       ่ ้                                     ่
คาดว่ า จะมีค นไข้น อกเพิ่ม ขึ้น ประมาณ 440,000 ครัง (visit) และคนไข้ใ นเพิ่ม ขึ้น ประมาณ
                                                                    ้
22,000 คน หรือเทียบเป็ นคนไข้นอกทีเพิมขึนรวมประมาณ 890,000 ครัง48) จะทําให้มความ
                  47
                                                ่ ่ ้                                    ้              ี
ต้องการแพทย์เพิมขึนประมาณ 109-131 คน งานวิจยดังกล่าวประมาณการต่อไปว่าในระหว่าง
                            ่ ้                                  ั
ปี 2551-2552 จะต้องการแพทย์เพิมขึน 123-181 คน และในระหว่างปี 2557-2558 จะต้อง
                                        ่ ้
การแพทย์เพิมขึน 176-303 คน (ดูตารางที่ 5.1) ทังนี้ ชะเอมและสุวทย์ประมาณว่าจะต้อง
                     ่ ้                                              ้            ิ
การแพทย์เพิม 1 คนเมื่อมีคนไข้ต่างชาติท่มารับการรักษาแบบคนไข้นอกเพิมขึน 10,000-
                      ่                                ี                                       ่ ้
12,000 ครัง (หรือคนไข้ใน 500-600 คน) ต่อปี
               ้
           เมื่อพิจารณาจากตัวเลขข้างต้น และสมมุตว่าแพทย์แต่ละคนทํางานเต็มเวลาปี ละ 250
                                                              ิ
วัน ก็จะสามารถตรวจคนไข้ต่างชาติได้วนละ 40-48 ครัง ซึงเป็ นตัวเลขทีสูงมากในทัศนะของ
                                              ั                         ้ ่            ่
คณะผูวจย เพราะในประเทศตะวันตก ซึงส่วนใหญ่ใช้ระบบการนัดล่วงหน้านัน มักจะไม่ค่อยพบ
        ้ิั                                 ่                                              ้
        ่ี              ั                                       ้ ่
กรณีทแพทย์รบนัดคนไข้มากกว่า 15-20 คนต่อวัน ผูปวยต่างชาติซงคุนเคยกับระบบดังกล่าวจึง
                                                                              ่ึ ้
น่าจะมีความคาดหวังว่าแพทย์จะใช้เวลากับตนทีใกล้เคียงกับแพทย์ในประเทศของตนเอง
                                                          ่
           งานวิจยอีกชินหนึ่งในเรื่องนี้คอทักษพล ธรรมรังสี (2549) ประมาณการโดยใช้ขอสมมุติ
                          ั     ้        ื                                                            ้
                                                         ้ ่
ว่าคนไข้ต่างชาติแต่ละคนจะมาพบแพทย์แบบผูปวยนอกรวม 2 ครัง และมีอตราการเข้ารับการ  ้            ั
                                      49
                 ้ ่
รักษาเป็ นผูปวยในเท่ากับร้อยละ 10 ดังนัน ถ้าแพทย์หนึ่งคนสามารถตรวจคนไข้นอกได้วนละ
                                                   ้                                                      ั

46
    วิโรจน์ ณ ระนอง และ อัญชนา ณ ระนอง (2548)
47
    ชะเอมและสุวทย์ปรับเพิมจํานวนคนไข้ทรายงานโดยกระทรวงพาณิชย์ขนอีกร้อยละ 30 เนื่องจากเชื่อว่า
                  ิ        ่            ่ี                         ้ึ
ข้อมูลดังกล่าวเป็ นรายงานทีไม่ครบถ้วน
                             ่
48
   โดยเทียบเวลาทีแพทย์ใช้กบคนไข้ใน 1 คน เท่ากับเวลาทีใช้รกษาคนไข้นอก 20 ครัง
                    ่          ั                          ่ ั               ้
49
        ซึงคณะผูวจยเห็นว่าตัวเลขทังสองกรณีเป็ นอัตราทีคอนไปทางตํ่า โดยเฉพาะอย่างยิงในกรณีทคนไข้
         ่      ้ิั               ้                   ่ ่                         ่       ่ี
                                                                           ้ ่
เดินทางมาจากต่างประเทศเพื่อมารับการรักษาในประเทศไทย ซึงส่วนใหญ่คงมาเป็ นผูปวยใน
                                                              ่

                                                     83
36.5 ครัง (อัตรานี้อ้างมาจากผลการศึกษาของมัทนา พนานิรามัย และสมชาย สุขสิรเสรีกุล
         ้                                                                      ิ
2539 ซึงเป็ นการศึกษาทีองข้อมูลการรักษาของคนไทย) ก็จะต้องการแพทย์ 614 คนต่อผูปวย
       ่                 ่ ิ                                                        ้ ่
ชาวต่างชาติหนึ่งล้านคน ซึงคณะผูวจยก็ยงเชื่อว่าเป็ นประมาณการทีน่าจะตํ่ากว่าความเป็ นจริง
                             ่  ้ิั ั                         ่

      ตารางที่ 5.1 ประมาณการความต้องการแพทย์โดยผูป่วยต่างชาติ พ.ศ. 2546-2558
                                                ้
                           ้ ่
                   จํานวนผูปวยต่างชาติ                           จํานวนแพทย์ทตองการ จํานวนแพทย์ทตองการเพิม
                                                                                ่ี ้                   ่ี ้       ่
 ปี                                          จํานวนครังทีรบ เพิม (โดยสมมุตวาแพทย์ (ประมาณการใหม่โดย
                                                        ้ ่ั       ่            ิ่
          คนไข้นอก          คนไข้ใน          บริการเทียบเป็ น หนึ่งคนจะสามารถรักษา คณะผูวจย โดยสมมุตวา
                                                                                               ้ิั             ิ่
          (ล้านครัง
                  ้         (ล้านคนต่อปี)    จํานวนผูป้  ่วยนอก คนไข้นอกต่างชาติได้ปีละ แพทย์จะรักษาคนไข้
                                                 (ล้านครัง)้    10,000-12,000 ครัง หรือ ต่างชาติได้ไม่เกินวันละ 14-
                                                                                     ้
          ต่อปี)
                                                                     วันละ 40-48 ครัง) ้         16 ครัง) ้
                     (1)              (2)    (3) = (1) + 20*(2)             (4)                (5) = (4) x 3

 2544         0.61               0.030             1.22                        -                       -

 2545         0.82               0.041             1.64                    -                           -

 2546         1.26               0.063             2.53                109 - 131                327 – 393

 2548      1.76 - 1.82       0.088 - 0.091     3.52 – 3.64             83 - 111                 249 – 333

 2550      2.45 - 2.62       0.122 - 0.131     4.90 – 5.25             115 - 160                345 – 480

 2552      3.18 - 3.53       0.159 - 0.176     6.37 – 7.06             123 - 181                369 – 543

 2554      4.14 - 4.75       0.207 - 0.237     8.89 – 9.50             159 - 244                477 – 732

 2556      5.01 - 5.96       0.250 -0.298     10.03 - 11.92            145 - 242                435 – 726

 2558 6.06 - 7.48 0.303 -0.373 12.13 - 14.95                        176 - 303           528 – 909
ทีมา: (1)-(4) Pachanee and Wibulpolprasert (2006 Table 4)
  ่
      (5) ประมาณการโดยคณะผูวจย้ิั
หมายเหตุ: (1) ปี 2544-2546 ปรับตัวเลขทีได้จากการสํารวจของกระทรวงพาณิชย์เพิมขึนร้อยละ 30
                                          ่                                   ่ ้
               ปี 2548 และ 2550 สมมุตวามีอตราเพิมร้อยละ 18-20 ต่อปี
                                        ิ่ ั        ่
               ปี 2552 และ 2554 สมมุตวามีอตราเพิมร้อยละ 14-16 ต่อปี
                                        ิ่ ั    ่
               ปี 2556 และ 2558 สมมุตวามีอตราเพิมร้อยละ 10-12 ต่อปี
                                        ิ่ ั      ่
           (5) ประมาณการโดยคณะผูวจย (ปรับสมมุตฐานระยะเวลาทีแพทย์ใช้ในการรักษาผูป่วย ทําให้ความ
                                      ้ิั             ิ        ่                  ้
              ต้องการแพทย์เพิมขึนเป็ น 3 เท่า)
                             ่ ้

                                                   84
เพื่อให้ได้ภาพความต้องการแพทย์ท่เพิมขึนจากการมีคนไข้ต่างชาติท่มความแม่นยํา
                                                              ี ่ ้                                             ี ี
มากขึน รวมทังเมือพิจารณาว่ามีความเป็ นไปได้มากทีเวลาทีแพทย์ใช้กบคนไข้ต่างชาติโดยเฉลียจะ
      ้                ้ ่                                          ่      ่              ั                                      ่
สูงกว่าเวลาที่ใช้กบคนไข้ไทยด้วยเหตุ ผลหลายประการ เช่น เวลาที่เพิมขึ้นจากการสื่อสารด้วย
                                ั                                                           ่
ภาษาต่างประเทศหรือผ่านล่าม ไปจนถึงความแตกต่างที่เกิดจากคนไข้ชาวต่างชาติ (โดยเฉพาะ
ชาวตะวันตก) มักจะมีขอมูลข่าวสารที่ดกว่าและคุนเคยกับวิธการรักษาแบบทีผูป่วยมักจะซักถาม
                                        ้                 ี      ้           ี                           ่ ้
แพทย์ถงทางเลือกในการรักษาแบบต่างๆ อย่างละเอียดมากกว่าผูปวยชาวไทยจํานวนมากทีไม่ค่อย
            ึ                                                                        ้ ่                                   ่
ซักถามแพทย์มากนัก คณะผูวจยจึงได้ทดลองเก็บข้อมูลเวลาทีแพทย์ใช้กบคนไข้ไทยและคนไข้
                                            ้ิั                                    ่             ั
ต่างชาติทเป็ นคนไข้นอกในโรงพยาบาลเอกชนสองแห่งในกรุงเทพมหานคร โดยแห่งแรกเป็ น
                ่ี
โรงพยาบาลเอกชนทีถอเป็ น high-end ของเครือหนึ่ง ซึงชาวต่างชาติทมารับบริการส่วนใหญ่จะ
                                    ่ ื                               ่                       ่ี
เป็ นชาวตะวันตก สําหรับแห่งทีสองเป็ นโรงพยาบาลเอกชนทีมชาวเอเชียใต้และตะวันออกกลาง
                                                ่                              ่ ี
นิยมมาใช้บริการ
              ในโรงพยาบาลแรก เก็บข้อมูลจากคนไข้นอกประมาณ 4,000 ตัวอย่าง ทีมาพบแพทย์                                 ่
19 คน ในแผนกต่างๆ เช่น Ortho Nuero-Med GI-Med Ob-Gyn Surg Heart ENT และ Med
โดยตัดกรณีท่พยาบาลบันทึกว่าคนไข้เข้าพบแพทย์หลายครังเพราะต้องรอผลห้องปฏิบตการ
                     ี                                                           ้                                           ั ิ
ออก เหลือ 3,876 ตัวอย่าง แล้วตัดตัวอย่างทีใช้เวลาพบแพทย์น้อยกว่า 5 นาที หรือนานกว่า
                                                               ่
                                                       50
70 นาที (1 ชัวโมง 10 นาที) ออก (เหลือ 3,339 ตัวอย่าง) แล้วนํามาวิเคราะห์โดยใช้สมการ
                        ่
ถดถอยเพื่อควบคุมความผันแปรที่อาจเกิดจากการรักษาโดยแพทย์แต่ละคนในแต่ละแผนก
พบว่าเวลาโดยเฉลียทีแพทย์ใช้กบคนไข้นอกทุกกลุ่มอยู่ท่ี 33 นาทีต่อครัง และค่าเฉลียสําหรับ
                                  ่ ่               ั                                              ้                    ่
เวลาทีแพทย์ใช้กบคนไข้นอกคนไทย (ใช้ค่า constant (intercept) ของแพทย์ทใช้เวลากับคนไข้
          ่                   ั                                                                              ่ี
นอกในระดับปานกลาง คือเวลาทีใช้อยูในอันดับที่ 10 จากแพทย์ 19 คน) ตกประมาณ 32 นาที
                                                      ่ ่
ต่อครัง ขณะทีเวลาทีแพทย์ใช้กบคนไข้นอกชาวต่างชาติตกประมาณ 33.4 นาทีต่อครัง ซึงเป็ น
        ้                 ่           ่           ั                                                                       ้ ่
                                                                        51
ความแตกต่างทีมนยสําคัญทางสถิติ (t=2.398 p=0.017) แต่กเป็ นเวลาทีต่างกันเพียงเล็กน้อย
                            ่ ี ั                                                     ็              ่
ซึงอาจเป็ นเพราะคนไทยทีมารับการรักษาทีโรงพยาบาลแห่งนี้กเป็ นกลุ่มทีมรายได้สงและอาจมี
  ่                                       ่                 ่                           ็              ่ ี            ู
พฤติกรรมทีไม่ต่างจากคนไข้ชาวต่างชาติเท่าใดนัก
                   ่


50
       เนื่องจากมีโอกาสไม่น้อยทีเวลาทีบนทึกสําหรับคนไข้เหล่านี้จะรวมเวลารอตรวจหรือรอผลห้องปฏิบตการ
                                  ่     ่ ั                                                     ั ิ
อยูดวย
   ่ ้
51
    ถ้าเปลียนไปตัดตัวอย่างทีใช้เวลานานกว่า 90 นาที (ชัวโมงครึง) แทน 70 นาที (เป็ น 3,550 ตัวอย่าง)
             ่               ่                             ่     ่
ค่าเฉลียสําหรับเวลาทีแพทย์ใช้กบคนไข้นอกคนไทย (ค่า constant (intercept) สําหรับแพทย์ทใช้เวลากับ
         ่            ่               ั                                                    ่ี
คนไข้นอกมากเป็ นอันดับที่ 10 จากแพทย์ 19 คน) จะเพิมเป็ นประมาณ 34 นาทีต่อครัง และเวลาทีแพทย์ใช้
                                                       ่                         ้            ่
กับคนไข้นอกชาวต่างชาติจะเพิมเป็ น 35.7 นาทีต่อครัง (t=2.469 p=0.014) ในทางกลับกัน ถ้าใช้เฉพาะตัว
                                ่                   ้
อย่างทีใช้เวลาไม่เกิน 1 ชัวโมง (เหลือ 3,162 ตัวอย่าง) เวลาเฉลียทีแพทย์ใช้กบคนไข้นอกทีเป็ นคนไทย (ค่า
           ่               ่                                    ่ ่       ั          ่
constant (intercept) สําหรับแพทย์ทใช้เวลากับคนไข้นอกมากเป็ นอันดับที่ 10 จากแพทย์ 19 คน) จะลด
                                         ่ี
เหลือประมาณ 31.2 นาทีต่อครัง ขณะทีเวลาทีแพทย์ใช้กบคนไข้นอกชาวต่างชาติจะตกประมาณ 31.8 นาที
                                    ้       ่ ่          ั
ต่อครัง ซึงเป็ นความแตกต่างทีไม่มนยสําคัญทางสถิติ (t=1.158 p=0.247)
        ้ ่                    ่ ี ั

                                                               85
สําหรับในโรงพยาบาลทีสอง เก็บข้อมูลจากคนไข้ 755 ตัวอย่างทีมาตรวจกับแพทย์ 6
                                                         ่                                                          ่
คน โดยตัดกรณีทมบนทึกว่าคนไข้เข้าพบแพทย์หลายครังเพราะต้องรอผลห้องปฏิบตการออก
                                ่ี ี ั                                                                ้                              ั ิ
เช่นกัน และตัดตัวอย่างทีใช้เวลาน้อยและมากเป็ นพิเศษออกไปเช่นกัน (เหลือ 707 ตัวอย่าง)
                                                  ่
พบว่าเวลาทีแพทย์ใช้กบคนไข้นอกชาวต่างชาติโดยเฉลียประมาณ 30 นาที (29.8 นาที) ต่อครัง
                     ่                      ั                                                ่                                               ้
ขณะทีเวลาทีแพทย์ใช้กบคนไข้นอกชาวไทยโดยเฉลียตกประมาณ 25.3 นาทีต่อครัง ซึงเป็ น
         ่             ่                      ั                                      ่                                              ้ ่
ความแตกต่างทีมนยสําคัญทางสถิติ (t=3.725 p=0.000)
                            ่ ี ั
             ตัวเลขทีได้จากโรงพยาบาลทังสองแห่งนี้ แสดงให้เห็นว่า ในกรณีคนไข้นอกนัน ตัวเลข
                              ่                                     ้                                                                  ้
ความต้องการแพทย์สําหรับคนไข้ต่ างชาติท่ีช ะเอมและสุวิท ย์                                                 (Pachanee                        and
Wibulpolprasert 2006) ประมาณการไว้น่าจะตํ่าเกินไป โดยความต้องการจริงอาจจะสูงเป็ น
สามเท่าของที่งานวิจยดังกล่าวประมาณการเอาไว้ (เพราะข้อมูลจากการศึกษานี้บ่งชี้ว่า โดย
                                       ั
เฉลียแล้วแพทย์หนึ่งคนจะต้องใช้เวลาตรวจคนไข้ต่างชาติประมาณ 30-33 นาที ในแต่ละวันจึง
    ่
สามารถตรวจคนไข้ต่างชาติได้ประมาณ 14.4-16 ครัง (visit) ในขณะทีงานวิจยของชะเอมและสุ  ้                    ่               ั
วิทย์ใช้ตวเลขทีมนยว่าแพทย์หนึ่งคนจะสามารถตรวจคนไข้ต่างชาติได้ถงวันละ 40-48 คน หรือ
              ั            ่ ี ั                                                                            ึ
ใช้เวลาเฉลียประมาณคนละ 10-12 นาที) ซึงเป็ นความแตกต่างถึงประมาณ 3 เท่าตัว (2.5-3.3
                   ่                                                           ่
เท่า) ดังนัน ถ้าใช้ตวเลขทีปรับโดยคณะผูวจย (โดยใช้ตวเลขความต้องการแพทย์สาหรับคนไข้
                 ้                  ั               ่                        ้ิั               ั                                  ํ
ต่างชาติเป็ นสามเท่าของทีชะเอมและสุวทย์ประมาณการ) มาประกอบกับข้อสมมุตอ่นๆ ทีชะเอม
                                                ่                          ิ                                                ิ ื          ่
และสุวทย์ใช้ (เช่น อัตราการเพิมของคนไข้ต่างชาติ อยูทรอยละ 14-16 ในระหว่างปี 2552-2554
           ิ                                           ่                                   ่ ่ี ้
และร้อยละ 10-12 ในระหว่างปี 2555-2558) ก็จะมีความต้องการแพทย์เพิมขึนมากถึง 369-543                              ่ ้
คนในปี 2551-2552 และจะต้องการเพิมขึนเป็ น 528-909 คนในปี 2557-2558 (ดูคอลัมน์สุดท้าย
                                                                      ่ ้
ของตารางที่ 5.1) และแพทย์เหล่านี้ลวนแล้วแต่เป็ นแพทย์ผเชียวชาญเฉพาะทาง ซึงมักต้องใช้เวลา
                                                                  ้                               ู้ ่                    ่
ผลิตและเกือบหรือเป็ นสิบปี แทบทังสิน                       ้ ้
             เมื่อพิจารณาข้อเท็จจริงว่า ถึงแม้ว่าการผลิตแพทย์ในประเทศไทยจะมีการขยายตัวเป็ น
ลําดับ ทําให้มจํานวนแพทย์ท่ได้รบใบประกอบโรคศิลป์เพิมขึนเป็ นปี ละประมาณ 1,500 คนใน
                         ี                            ี ั                                        ่ ้
  ั ั
ปจจุบน และมีโอกาสทีจะเพิมการผลิตขึนไปเป็ นปี ละประมาณ 2,300 คนตังแต่ปี 2553 เป็ นต้นไป
                                         ่ ่                           ้                                      ้
แต่กว่าที่แพทย์เหล่านี้จะเรียนต่อจนจบเป็ นแพทย์เฉพาะทาง ก็ต้องใช้เวลา (รวมทังเวลาใช้ทุน                                         ้
ก่อนทีจะไปเรียนต่อ) อีก 5-8 ปี (และจากมุมมองของประเทศ ถ้ามีแพทย์ทไปเรียนต่อเป็ นแพทย์
       ่                                                                                                         ่ี
เฉพาะทางอีก 3-5 ปี เป็ นจํานวนมาก ก็จะทําให้มแพทย์ทวไปน้อยเกินไป) ดังนัน ถ้าความต้องการ
                                                                                 ี          ั่                        ้
แพทย์เพื่อรองรับคนไข้ต่างชาติอยูในระดับทีสง (โดยทียงไม่รวมความต้องการแพทย์ในภาคเอกชน
                                                            ่                 ู่       ่ ั
สําหรับรักษาคนไทย) และยังไม่มการปรับตัวในด้านการผลิตแพทย์อย่างขนานใหญ่ (ซึ่งทําได้
                                                                ี
จํากัด เพราะแม้กระทังการขยายตัวในระดับที่เป็ นอยู่ ก็มความกังวลของแพทยสภาในด้านการ
                                          ่                                                         ี
ควบคุมคุณภาพอยู่แล้ว) หรือไม่มการดึงแพทย์จากต่างประเทศ (รวมทังแพทย์ไทยที่ไปทํางาน
                                                              ี                                           ้
                                   52
ต่างประเทศ) เข้ามา หรือมีมาตรการทีชะลออัตราเพิมของการไหลเข้ามาของคนไข้ต่างชาติ ก็มี
                                                                         ่              ่

52                ั ั
   นอกจากนี้ ในปจจุบนยังมีการไปตังโรงพยาบาลในต่างประเทศ ซึงทีผานมายังไม่ได้ทาให้ประเทศไทยต้อง
                                 ้                        ่ ่ ่             ํ
เสียดุลด้านบุคลากรการแพทย์มากนัก อย่างไรก็ตาม ผูบริหารในเครือโรงพยาบาลเอกชนกลุมหนึ่งยังเชื่อว่ามี
                                                 ้                              ่

                                                                     86
โอกาสทีจะเกิดผลกระทบด้านลบต่อระบบบริการสุขภาพสําหรับประชาชนคนไทยได้ อย่างไรก็ตาม
        ่
การที่จะสรุปว่าแพทย์ขาดแคลหรือไม่คงต้องพิจารณาจากภาพรวมของประเทศ (ซึ่งรวมถึงความ
ต้องการแพทย์สาหรับคนไทย ซึงเราจะพิจารณาต่อไปในหัวข้อ 5.2)
               ํ          ่

        ผลกระทบจากวิกฤติเศรษฐกิจโลกและการเมืองในประเทศไทย
            วิกฤติเศรษฐกิจโลกทีเริมขึนในปี 2551 เป็ นวิกฤติทรนแรง และมีแนวโน้มทีจะมีผลกระทบ
                               ่ ่ ้                            ่ี ุ                    ่
                                                                             ั
ในระยะเวลานานหลายปี วิกฤติน้ี (ประกอบกับภาพลักษณ์ของปญหาความขัดแย้งทางการเมือง
และความมันคงในประเทศไทย) น่ าจะส่งด้านลบกับการท่องเทียวของไทยในระยะสันและระยะปาน
                ่                                                      ่              ้
กลาง (อย่างน้อย 2-3 ปี ) อย่างหลีกเลียงไม่ได้ และในระยะสัน ก็คงจะส่งผลกระทบด้านลบต่อการ
                                       ่                             ้
เข้ามาของคนไข้ชาวต่างชาติดวยเช่นกัน
                                ้
            อย่างไรก็ตาม ในระยะปานกลางและระยะยาวนัน ผลกระทบของวิกฤติทมต่ออุปสงค์ความ
                                                          ้                      ่ี ี
ต้องการด้านการรักษาพยาบาลในประเทศไทยของชาวต่างชาติอาจจะต่างไปจากผลกระทบด้านการ
ท่องเทียวด้วยสาเหตุหลายประการคือ ประการแรก ในความเป็ นจริงแล้ว กิจกรรมทีนิยมเรียกขาน
        ่                                                                                 ่
กันว่า medical tourism มีองค์ประกอบทีเป็ นการท่องเทียวค่อนข้างน้อย (ยกเว้นกรณีเดินทางมา
                                              ่               ่
                          ั 53
ตรวจสุขภาพหรือทําฟ น ) ประการที่สอง วิกฤติเศรษฐกิจในประเทศตะวันตกทําให้ประเทศ
เหล่านันต้อง “รัดเข็มขัด” กันมากขึน จึงมีแนวโน้มทีจะส่งคนไข้ไปรับการรักษาในต่างประเทศมาก
          ้                          ้                ่
ขึน (แต่ในขณะเดียวกัน ก็อาจจะหันไปรับบริการจากประเทศทีมค่ารักษาพยาบาลตํ่า เช่น อินเดีย
  ้                                                                      ่ ี
มากขึ้น) ประการที่สาม ในประเทศที่ระบบประกันสุ ขภาพมักจะผูกติดกับการจ้างงาน (เช่ น
สหรัฐอเมริกา) วิกฤติเศรษฐกิจทําให้มีผู้ท่ีว่ างงานและไม่มีประกันสุ ขภาพมากขึ้น เนื่ องจาก
ค่าใช้จ่ายในการรับบริการในสหรัฐมีราคาสูงมาก ผูท่ไม่มประกันสุขภาพจึงมีแนวโน้มทีจะเสาะหา
                                                    ้ ี ี                                     ่
บริการทีมราคาถูกในต่างประเทศมากขึน (รวมทังมีเวลาทีจะเดินทางไปรับการรักษาในต่างประเทศ
            ่ ี                          ้      ้           ่
                                   ั ั
ด้วย) ประการที่ส่ี ถึงแม้ว่าในป จจุ บ น (หลังจากที่มีเหตุ การณ์ ปิ ดสนามบินหลายแห่ง รวมทัง      ้
                                            ั
สนามบินนานาชาติ) ประเทศไทยอาจมีปญหาภาพลักษณ์ท่อาจมีผลกระทบต่อการตัดสินใจของ
                                                                   ี
                                                        ั                      ั
ชาวต่างชาติทจะเดินทางมารับการรักษาพยาบาล แต่ปญหานี้น่าจะเป็ นปญหาในระยะสัน และน่าจะ
                  ่ี                                                                        ้
ลดลงหรือหมดไปหลังจากที่ประเทศกลับเข้าสู่ภาวะปกติในช่วงเวลาที่นานพอสมควร (เช่น 6-12



               ่ี                                                 ่            ่ ั ั
ความเป็ นไปได้ทการขยายตัวของโรงพยาบาลในต่างประเทศ (โดยเฉพาะอย่างยิงประเทศจีน ซึงปจจุบนอนุ ญาตให้
แพทย์ไทยทีจบจากสถาบันการศึกษาทีได้รบการรับรองสามารถเข้าไปประกอบวิชาชีพในโรงพยาบาลของจีนได้)
            ่                     ่ ั
                           ่ ํ  ั
อาจทําให้เกิดภาวะสมองไหลทีทาให้ปญหาการขาดแคลนบุคลากรด้านการแพทย์ของไทยมีความรุนแรงขึนได้ใน
                                                                                       ้
อนาคต
53
    นอกจากนี้คนไข้จากบางประเทศ (เช่น ในแถบตะวันออกกลาง) มักจะมากันเป็ นครอบครัว อย่างไรก็ตาม
                        ้ ั                    ่ี                            ั
สมาชิกในครอบครัวเหล่านันก็มกจะกลายเป็ นคนไข้ทมารับบริการตรวจสุขภาพหรือทําฟนในประเทศไทย
พร้อมกันไปด้วย จึงไม่ชดเจนว่าโดยเฉลียแล้ว คนไข้แต่ละคนจากประเทศเหล่านี้มจานวนผูตดตามทีไม่ได้
                         ั            ่                                   ีํ      ้ ิ      ่
เข้ามารับบริการทางการแพทย์มากกว่าคนไข้จากภูมภาคอื่นจริงหรือไม่
                                             ิ

                                               87
เดือน)54 ดังนัน ถ้าไม่มเหตุการณ์แบบปิ ดสนามบินเกิดขึนอีก (ซึ่งคงเกิดขึนได้ยากกว่าเดิมมาก)
               ้         ี                               ้               ้
ผลกระทบในส่วนนี้น่าจะหมดไปภายในปี 2552
        ดังนัน ถึงแม้ว่าเรามีเหตุผลทีจะเชื่อได้ว่าการท่องเทียวของไทยจะได้รบผลกระทบด้านลบ
             ้                       ่                      ่              ั
จากวิกฤติในช่วงนี้ แต่เรายังไม่มขอมูลเพียงพอทีพยากรณ์ได้ว่าผลสุทธิทจะเกิดกับจํานวนคนไข้
                                 ี ้               ่                  ี่
ต่ างประเทศทีจะเดินทางมารับบริการในประเทศไทยจะเพิมขึ้นหรือลดลงในช่วงสองถึงสามปี
                 ่                                            ่
ข้างหน้าหรือหลังจากนัน ้

5.2 ความต้ องการบุคลากรสําหรับคนไทยในระบบหลักประกันสุขภาพถ้วน
หน้ า
         ระบบหลักประกันสุขภาพถ้วนหน้าของไทยประกอบด้วยโครงการบัตรทอง (โครงการ
30 บาทฯ เดิม) โครงการประกันสังคม และโครงการสวัสดิการข้าราชการ สําหรับโครงการบัตร
ทอง มีการกําหนดมาตรฐานบุคลากรในระดับสถานพยาบาลปฐมภูมเิ อาไว้วาจะต้องมีแพทย์           ่
อย่างน้อย 1 คนต่อประชาชน 10,000 คน และทันตแพทย์อย่างน้อย 1 คนต่อประชาชน 20,000
คน แต่มาตรฐานทีตงเอาไว้กถอได้วาเป็ นมาตรฐานทีคอนข้างตํ่า ตัวอย่างเช่น ในกรณีแพทย์
                       ่ ั้       ็ ื ่                    ่ ่
ซึงถูกกําหนดให้ดแลประชาชน 10,000 คนนัน ถ้าแพทย์ทางานสัปดาห์ละ 5 วัน และประชาชน
  ่                ู                           ้                 ํ
มาพบแพทย์โดยเฉลียเพียงปี ละ 2.5 ครัง ในแต่ละวันแพทย์แต่ละคนก็จะต้องตรวจคนไข้ถง
                        ่                    ้                                                     ึ
ประมาณ 100 คน ซึงพอจะอนุ มานได้ไม่ยากว่าเป็นปริมาณงานทียากทีจะรักษาให้ได้คุณภาพ
                            ่                                               ่     ่
ตามมาตรฐานอย่างคงเส้นคงวาได้             (กรณีของมาตรฐานทันตแพทย์จะยิงเห็นได้ชดว่า ถ้า
                                                                                    ่            ั
ประชาชนแต่ละคนมาพบทันตแพทย์ปีละสองครัง ถึงแม้วาทันตแพทย์จะทํางานทุกวันโดยไม่มี
                                                 ้             ่
วันหยุดเลย ในแต่ละวันทันตแพทย์แต่ละคนก็จะต้องตรวจรักษาคนไข้ถงประมาณ 110 คน)   ึ
         สําหรับสถานพยาบาลทุตยภูมหรือตติยภูมนน โครงการบัตรทองไม่ได้มการกําหนด
                                     ิ ิ              ิ ั้                                     ี
มาตรฐานบุคลากรเอาไว้อย่างชัดเจน อย่างไรก็ตาม กระทรวงสาธารณสุขได้ตงเป้าว่าควรมี              ั้
แพทย์เฉพาะทางในจํานวนทีใกล้เคียงกับแพทย์ทวไป (ในอัตราส่วน 60:40) ถ้าใช้เกณฑ์น้ี
                                ่                  ั่
                                                                   ่ี ู ้ ่
ประกอบกับเกณฑ์ขางต้น ในภาพรวมแล้ว จํานวนแพทย์ทดแลผูปวยในทุกระดับรวมกันก็ควรมี
                     ้
ไม่น้อยกว่า 1:4,00055 ซึงเป็ นเกณฑ์ททางกระทรวงสาธารณสุขใช้กบสถานพยาบาลในสังกัด
                              ่           ่ี                                    ั
สํานักปลัดกระทรวงสาธารณสุข (ประกอบด้วยโรงพยาบาลศูนย์ โรงพยาบาลทัวไป (จังหวัด)           ่
โรงพยาบาลชุมชน (อําเภอ) ศูนย์สขภาพชุมชน และสถานีอนามัย) ถ้าใช้เกณฑ์ดงกล่าวสําหรับ
                                      ุ                                                   ั
สถานพยาบาลทัวประเทศ (ยกเว้นกรุงเทพมหานคร)
                 ่                                                        สถานพยาบาลในสังกัดสํานัก


54
   ซึงคงจะต่างกับผลกระทบทีมต่อการท่องเทียว ทีอาจมีผลในระยะยาวกว่า เนื่องจากนักท่องเทียวมักจะสนใจ
    ่                      ่ ี          ่ ่                                         ่
บรรยากาศภายในประเทศเป้าหมายด้วย และมีแนวโน้มทีจะหลีกเลียงประเทศทีมความขัดแย้งทางการเมืองที่
                                                   ่       ่           ่ ี
รุนแรง
55
   กล่าวคือ ทุกประชากร 10,000 คน ควรมีแพทย์ทวไป 1 คน และแพทย์เฉพาะทาง 1.5 คน รวมเป็ นแพทย์
                                              ั่
2.5 คนต่อประชากร 10,000 คน หรือคิดเป็ นอัตรา 1:4000 (แพทย์ 1 คนต่อประชากร 4,000 คน)

                                                88
ปลัดกระทรวงสาธารณสุขก็ควรจะมีแพทย์อยูประมาณ 14,000 คน
                                      ่                         แต่ในความเป็ นจริง
สถานพยาบาลในสังกัดสํานักปลัดกระทรวงสาธารณสุขมีแพทย์เพียง 10,472 คน (ตารางที่ 5.4)
และเมือหักแพทย์ทไปเรียนต่อและทํางานบริหารทีสานักงานสาธารณสุขจังหวัดออก ก็จะเหลือ
       ่          ่ี                       ่ํ
         ่ี   ้ ่
แพทย์ทตรวจผูปวย (รวมแพทย์ใช้ทุนปี 1 ซึงเป็ นแพทย์จบใหม่ และผูอานวยการโรงพยาบาล
                                        ่                    ้ํ
ซึงทํางานบริหารในโรงพยาบาลด้วย) ประมาณ 8,700 คนเท่านัน
  ่                                                  ้

 ตารางที่ 5.2 จํานวนแพทย์ผได้รบใบอนุญาตฯ และจํานวนแพทย์ที่ถกถอนชื่อจากทะเบียนผู้
                          ู้ ั                             ู
                       ประกอบวิ ชาชีพเวชกรรมจากแพทยสภา
                    จํานวนแพทย์ที่ได้รบใบอนุญาตใน
                                      ั             จํานวนแพทย์ที่ถกถอน
                                                                     ู
            ยอด              ระหว่างปี                  ชื่อในระหว่างปี   จํานวน     รวมจํานวน
   พ.ศ.    จํานวน    จาก        จาก                                       แพทย์ที่   แพทย์ที่ขึน
                                                                                               ้
          แพทย์ยก   สถาบัน ภาคเอกชน          รวม     ถึงแก่    เพิ กถอน    เหลือ      ทะเบียน
             มา*    ของรัฐ     (สอบ)                กรรม**                            ทังหมด*
                                                                                        ้

  2514*    5,149      306        24         330       255         2       5,222        5,479
  2515     5,222      346        21         367       22          1       5,566        5,846
  2516     5,566      426        27         453       14          0       6,005        6,299
  2517     6,005      440        29         469       21          0       6,453        6,768
  2518     6,453      374        37         411       16          1       6,847        7,179
  2519     6,847      374        27         401       17          0       7,231        7,580
  2520     7,231      401        26         427        7          0       7,651        8,007
  2521     7,651      432        20         452       46          1       8,056        8,459
  2522     8,056      433        34         467        9          0       8,514        8,926
  2523     8,514      495        18         513       12          0       9,015        9,439
  2524     9,015      528        28         556        2          0       9,569        9,995
  2525     9,569      520        24         544       11          0       10,102      10,539
  2526     10,102     569        39         608        9          0       10,701      11,147
  2527     10,701     762        30         792        7          0       11,486      11,939
  2528     11,486     981        45        1,026      28          0       12,484      12,965
  2529     12,484     630        23         653       20          2       13,115      13,618
  2530     13,115     691        50         741       12          0       13,844      14,359
  2531     13,844     686        52         738       18          0       14,564      15,097
  2532     14,564     736        53         789       20          0       15,333      15,886


                                          89
ตารางที่ 5.2 จํานวนแพทย์ผได้รบใบอนุญาตฯ และจํานวนแพทย์ที่ถกถอนชื่อจากทะเบียนผู้
                         ู้ ั                             ู
                      ประกอบวิ ชาชีพเวชกรรมจากแพทยสภา
                          จํานวนแพทย์ที่ได้รบใบอนุญาตใน
                                            ั                   จํานวนแพทย์ที่ถกถอน
                                                                                 ู
               ยอด                 ระหว่างปี                        ชื่อในระหว่างปี       จํานวน       รวมจํานวน
  พ.ศ.        จํานวน       จาก        จาก                                                 แพทย์ที่     แพทย์ที่ขึน
                                                                                                                 ้
             แพทย์ยก      สถาบัน ภาคเอกชน          รวม            ถึงแก่     เพิ กถอน      เหลือ        ทะเบียน
                มา*       ของรัฐ     (สอบ)                       กรรม**                                 ทังหมด*
                                                                                                          ้

  2533       15,333         770           22          792           31           0        16,094         16,678
  2534       16,094         819           38          857           21           0        16,930         17,535
  2535       16,930         826           48          874           10           1        17,793         18,409
  2536       17,793         841           45          886           22           0        18,657         19,295
  2537       18,657         818           45          863           31           0        19,489         20,158
  2538       19,489         822           67          889           89           0        20,289         21,047
  2539       20,289         819           47          866           52           0        21,103         21,913
  2540       21,103         841           49          890          148           0        21,845         22,803
  2541       21,845         871           70          941           56           0        22,730         23,744
  2542       22,730        1,148          52         1,200          34           0        23,896         24,944
  2543       23,896        1,169          73         1,242         100           0        25,038         26,186
  2544       25,038        1,228          57         1,285          99           0        26,224         27,471
  2545       26,224        1,244          85         1,329          58           1        27,494         28,800
  2546       27,494        1,385          91         1,476          45           0        28,925         30,276
  2547       28,925        1,342          87         1,429          58           0        30,296         31,608
  2548       30,296        1,440          65         1,505          61           0        31,740          n.a.
  2549       31,740        1,255          80         1,335          44           0        33,031          n.a.
    2550       33,031       1,462          111      1,573         34           2    34,568        34,689
    รวม         5,149       29,230      1,739       30,969       1,539        11    34,568        34,689
ทีมา: แพทยสภา
  ่
หมายเหตุ: * ก่อน พ.ศ.2514 การขึนทะเบียนผูประกอบฯ อยูในความรับผิดชอบของกองการประกอบโรคศิลปะ จํานวน 5,149 คน
                                ้          ้         ่
** ตัวเลขถึงแก่กรรมอาจมีไม่ครบ และแพทย์ทยงมีชวตอยูบางท่านอาจเลิกประกอบวิชาชีพไปแล้ว
                                        ่ี ั ี ิ ่
*** จํานวนแพทย์ทมชวตอยู่ และสามารถติดต่อได้ เมือ 18 พฤศจิกายน 2547 (รวมแพทย์ทไม่ได้ทางานด้วย) คือ 28,623 คน (อ้าง
                ่ี ี ี ิ                      ่                              ่ี     ํ
ใน ทักษพล 2549)



                                                    90
สํ า หรับ โครงการประกัน สัง คม (ซึ่ ง ในกรุ ง เทพมหานครและปริม ณฑลส่ ว นใหญ่
ผู้ป ระกัน ตนส่ว นใหญ่ เ ลือ กโรงพยาบาลเอกชน) มีก ารกํา หนดมาตรฐานสถานพยาบาลซึ่ง
เกี่ ย วข้ อ งกั บ บุ ค ลากรไว้ ห ลายประการ แต่ ส่ ว นใหญ่ เ ป็ นมาตรฐานทั ว ไป เช่ น เป็ น           ่
สถานพยาบาลทีจดให้มบริการทางการแพทย์ตงแต่สบสองสาขาหลักขึนไป คือ อายุรกรรมทัวไป
                            ่ั     ี                              ั้ ิ                        ้                 ่
ศัลยกรรมทัวไป สูต-ิ นรีเวชกรรม กุมารเวชกรรม ศัลยกรรมออร์โธปิตกส์ จักษุวทยา โสต-นาสิก-
                  ่                                                                         ิ       ิ
ลาริงซ์ รังสีวทยา วิสญญีวทยา นิตเวชกรรม เวชกรรมป้องกัน และยูโรวิทยา หรือตจวิทยา
                          ิ          ั         ิ           ิ
สถานพยาบาลจะต้อ งมีจํา นวนแพทย์แ ละบุค ลากรทางการแพทย์ไ ม่น้อ ยกว่า ทีกํา หนดใน                           ่
พระราชบัญ ญัต ส ถานพยาบาล มีแพทย์ป ระจํา ตลอด 24 ชั ่วโมงอย่างน้อ ย 1 คน (สําหรับ
                            ิ
กรณีฉุกเฉิน) มีแพทย์เวรสําหรับผูป่วยในอย่างน้อย 1 คน แพทย์รบผิดชอบผูป่วยหนักอย่าง
                                                     ้                                    ั             ้
น้อย 1 คน นอกจากนี้กมมาตรฐานทีเกี่ยวข้องกับบุคลากรทางการแพทย์ในการตรวจผูป่วย
                                       ็ ี               ่                                                  ้
นอก เช่น มีระยะเวลารอตรวจโรคไม่เกิน 1 ชั ่วโมง และเวลาเฉลียทีผูป่วยพบแพทย์ในการ          ่ ่ ้
ตรวจไม่ต่ํากว่าคนละ 5 นาที
            สําหรับสถานพยาบาลทีไม่ใช่คู่สญญาโดยตรง (เช่น คลินิกซึ่งทําสัญญาเป็ นเครือข่าย
                                                   ่          ั
หรือ subcontractor ของโรงพยาบาล และคลินิกทันตแพทย์ทผประกันตนไปรับบริการเอง) นัน  ่ี ู้                            ้
ทาง สํานักงานประกันสังคม (สปส.) กําหนดว่าจะต้องมีแพทย์และทันตแพทย์ให้บริการ แต่ไม่ได้
กําหนดมาตรฐานด้านจํานวนบุคลากรหรือเวลารอตรวจเอาไว้ และในสถานพยาบาลของรัฐที่
เป็ นคูสญญานันจะถือว่าได้มาตรฐานทังหมด
        ่ ั           ้                                ้
            สํา หรับ โครงการสวัส ดิก ารข้า ราชการ ไม่ไ ด้มีก ารกํา หนดมาตรฐานบุ ค ลากรเอาไว้
โดยเฉพาะ
            ในขัน ต้น ถ้า นํ า มาตรฐานของโครงการบัต รทองมาประยุก ต์ใ ช้ก บ ทุก โครงการ มา
                    ้                                                                             ั
คํานวณหาความต้องการแพทย์และทันตแพทย์ (ขันตํ่า) ภายใต้ขอสมมุตว่าสามารถกระจาย้           ้        ิ
แพทย์และทันตแพทย์ไปทั ่วประเทศได้อย่างสมํ่าเสมอ ในปจจุบนก็จะต้องมีแพทย์อย่างน้อย   ั ั
16,250 คนสําหรับประชากร 65 ล้านคน และจะต้องมีทนตแพทย์อย่างน้อย 3,250 คน        ั
                                           ั ิ ี ั
อย่างไรก็ตาม ในทางปฏิบตมปญหาอย่างน้อยสองประการในการใช้มาตรฐานนี้ ประการแรก
การกระจายแพทย์ต่อประชากรในประเทศไทยมีความไม่สมํ่าเสมอเป็ นอย่างมาก (ดูตารางที่
5.3)           ดัง นัน แม้ก ระทั ่งเมื่อ พิจ ารณาจากข้อ มูล แพทย์ใ นตารางที่ 5.3 ซึ่ง ทางกระทรวง
                        ้
สาธารณสุขรวบรวมมาได้ประมาณ 21,000 คน56 ก็จะเห็นได้ว่า ในภาคตะวันออกเฉียงเหนือ
มีจานวนแพทย์รวมทังภาครัฐและเอกชนแล้วก็ยงตํ่ากว่ามาตรฐาน 1:4000 และประการทีสอง
     ํ                         ้                                     ั                                        ่
มาตรฐานทีตงเอาไว้นัน เป็ นมาตรฐานทีตงไว้ตงแต่ก่อนทีจะมีโครงการหลักประกันสุขภาพถ้วน
                 ่ ั้            ้                           ่ ั้ ั้         ่
หน้า ซึ่งประชาชนจํา นวนไม่น้อยมีอุป สรรคด้า นการเงินทํา ให้ไม่ไปรับ บริก ารแม้ก ระทั ่งเมื่อ
จําเป็ น แต่สถานการณ์เปลี่ยนไปมากหลังจากทีมโครงการ 30 บาทฯ ซึ่งโดยเฉลี่ยแล้ว
                                                                       ่ ี

56
   ตัวเลขนี้อาจจะตํ่ากว่าความเป็ นจริงไปบ้างเพราะมีขอมูลของภาคเอกชนไม่ครบ แต่ตวเลขของแพทยสภา
                                                    ้                            ั
(ประมาณ 34,500 คน ตามตารางที่ 5.2) ก็น่าจะสูงเกินกว่าความเป็ นจริง เนื่องจากยังคงรวมแพทย์ทเกษียณ
                                                                                          ่ี
ตัวเองหรือไม่ได้ตรวจรักษาแล้วจํานวนมากเอาไว้ดวย ้

                                                        91
ประชาชนไปรับ บริก ารในอัต ราทีเ พิม ขึน ซึ่ง ชะเอมและสุว ท ย์ (Pachanee
                                          ่ ่ ้                   ิ                       and
       Wibulpolprasert 2006) ได้ประมาณการความต้องการแพทย์ภายใต้สมมุตฐานว่าอัตราการ
                                                                               ิ
       ใช้บริการของประชาชนมีแนวโน้มทีจะเพิมขึน และได้ประมาณความต้องการแพทย์ทเพิมขึน
                                           ่  ่ ้                                     ่ี ่ ้
       ในแต่ล ะปี (หรือทุกสองปี ) ไว้ในตารางที่ 5.5) ทังนี้ ชะเอมและสุว ท ย์ประมาณว่าแพทย์ 1
                                                       ้                ิ
       คนจะสามารถรักษาคนไข้นอกชาวไทย 18,000-20,000 คน (หรือคนไข้ใน 900-1,000 คน)
       ต่อปี ซึงเท่ากับแพทย์แต่ละคนสามารถตรวจคนไข้นอกชาวไทยได้วนละประมาณ 72-80 คน
               ่                                                      ั
                 ตารางที่ 5.3 ข้อมูลจํานวนและการกระจายของแพทย์ รวบรวมโดยสํานักนโยบาย
                                   และยุทธศาสตร์ กระทรวงสาธารณสุข
                  จํานวนแพทย์                                 จํานวนประชากรต่อแพทย์ 1 คน
  ปี     กระทรวง ภาครัฐ     รัฐ      เอกชน     รวม       ทัง กทม. ภาค ภาค ภาคเหนือ ภาคใต้
                                                           ้
        สาธารณสุข อื่นๆ                                ประเทศ       กลาง ตอน.

2539      7,733      5,151   12,884 3,325 16,209       3,689    727    4,598 9,951      5,811     5,217

2540      8,026      5,299   13,325 3,244 16,569       3,649    720    4,506 9,951      5,791     5,216

2541      9,636      4,752   14,388 3,567 17,955       3,406    762    3,614 8,218      5,050     4,814

2542      9,799      4,938   14,737 3,403 18,140       3,394    762    3,654 8,110      4,869     4,888

2543      9,363      4,742   14,105 3,920 18,025       3,427    793    3,576 8,311      4,501     5,194

2544      10,068     4,495   14,563 4,384 18,947       3,277    760    3,375 7,614      4,488     5,127

2545      8,821      5,136   13,957 3,572 17,529       3,569    952    3,566 7,251      4,499     4,984

2546      9,321      4,967   14,288 3,818 18,106       3,577    974    3,417 7,542      4,754     4,632

2547      9,375      5,968   15,343 3,575 18,918       3,476    924    3,301 7,409      4,766     4,609

2548      9,928      5,389   15,317 4,229 19,546       3,182    867    3,054 7,015      3,768     4,306

2549       11,311        5,431 16,742 4,309 21,051 2,975 886 2,963 5,738 3,351                     3,789
ทีมา: ปี 2539-2544 จากรายงานทรัพยากรสาธารณสุข
  ่
      ปี 2545-2549 จากเว็บของสํานักนโยบายและยุทธศาสตร์ กระทรวงสาธารณสุข
          http://moc.moph.go.th/Resource/Personal/index,new.php
            (ข้อมูลปี 2545-2549 ในส่วนของกระทรวงสาธารณสุขไม่รวมแพทย์ทไปเรียนต่อทีสงกัดอื่น)
                                                                        ่ี       ่ ั
หมายเหตุ: ภาครัฐอื่นๆ คือ กระทรวงอื่นๆ+รัฐวิสาหกิจ+เทศบาล+องค์การอิสระ (โรงพยาบาลจุฬา สภากาชาดและสาขา)

                                                  92
ตารางที่ 5.4 จํานวนแพทย์ในโรงพยาบาลในสังกัดสํานักปลัดกระทรวงสาธารณสุข
ภาพรวม
                                    โรงพยาบาลศูนย์และ      โรงพยาบาล แพทย์ใช้       สํานักงาน
                         รวม          โรงพยาบาลทัวไป
                                                 ่            ชุมชน   ทุนปี 1      สาธารณสุข
                                  รวม      รพศ.    รพท.                              จังหวัด
ภาคเหนือ                 1,111    622       262     360       391          88           10
ภาคตะวันออกเฉียงเหนือ    3,200   1,431      811     620      1,433        315           21
ภาคกลาง                  4,362   2,734 1,195       1,539     1,236        342           50
ภาคใต้                   1,799   1,066      531     535       551         163           19
รวมทังประเทศ
       ้                10,472   5,853 2,799       3,054     3,611        908          100
ปฏิ บติงานจริ ง
     ั
                                    โรงพยาบาลศูนย์และ      โรงพยาบาล    แพทย์ใช้    สํานักงาน
                         รวม         โรงพยาบาลทัวไป
                                                ่             ชุมชน     ทุนปี 1    สาธารณสุข
                                  รวม     รพศ.     รพท.                              จังหวัด
ภาคเหนือ                 914      490     205       285       327          87           10
ภาคตะวันออกเฉียงเหนือ   2,721    1,176    702       474      1,221        305           19
ภาคกลาง                 3,700    2,275 1,016       1,259     1,037        338           50
ภาคใต้                  1,482     826     424       402       476         161           19
รวมทังประเทศ
     ้                  8,817    4,767 2,347       2,420     3,061        891           98
ลาศึกษาต่อ
                                        โรงพยาบาลศูนย์และ        โรงพยาบาล แพทย์ใช้ สํานักงาน
                           รวม           โรงพยาบาลทัวไป
                                                      ่             ชุมชน    ทุนปี 1 สาธารณสุข
                                      รวม       รพศ.      รพท.                         จังหวัด
ภาคเหนือ                   197        132         57       75         64        1         -
ภาคตะวันออกเฉียงเหนือ 479             255        109      146        212       10         2
ภาคกลาง                    662        459        179      280        199        4         -
ภาคใต้                     317        240        107      133         75        2         -
รวมทังประเทศ
      ้                   1,655 1,086            452      634        550       17         2
  ทีมา: รวบรวมโดยคณะผูวจย จากข้อมูลในเว็บของการเจ้าหน้าที่ สํานักปลัดกระทรวงสาธารณสุข
    ่                     ้ิั
  (http://203.157.240.14/gis/report/pop_officer_poscode3.php?rgcode=
  1&cwcode=57&offid=&poscode=60104 เมือ 16 มกราคม 2552)
                                             ่




                                              93
ตารางที่ 5.5 ประมาณการความต้องการแพทย์โดยผูป่วยชาวไทย พ.ศ. 2546-2558
                                             ้
             ประมาณการอัตราการใช้ ประชากร จํานวนครังที่ต้องรับบริ การ จํานวนแพทย์ที่
                                                     ้
       ปี    บริ การที่สถานพยาบาล (ล้านคน) จากแพทย์ (เทียบเป็ นจํานวน ผูป่วยชาวไทย
                                                                        ้
                 (ครังต่อคนต่อปี )
                     ้                        ผูป่วยนอก ล้านครัง)
                                               ้                 ้    ต้องการเพิ่ ม
            คนไข้นอก คนไข้ใน

2539            2.87         0.066         -                   -                      -

2544            2.84         0.076      62.0           198.65 – 208.07                -

2546            3.62         0.086      63.3           247.50 – 258.39          2,443 - 2,795

2548            3.87         0.092      64.5           270.18 – 282.07           1,134 -1,315

2550            4.29         0.099      65.7           302.10 – 315.15           1,596 -1,838

2552            4.77         0.106      67.0           338.40 – 352.65          1,815 - 2,083

2554            5.16         0.113      68.2            371.17 –386.66           1,639 -1,889

2556            5.59         0.120      69.4            407.78 –424.55          1,830 - 2,105

2558            6.03          0.127      70.7           445.59 –463.70           1,891 - 2,175
ทีมา: Pachanee and Wibulpolprasert (2006) Table 3.
  ่
หมายเหตุ: 1/ สมมุตวามีเพียงร้อยละ 70 ของคนไข้ทมารับบริการทีสถานพยาบาลเท่านันทีมความจําเป็ นต้อง
                   ิ่                         ่ี           ่               ้ ่ ี
        พบแพทย์
        2/ แพทย์ 1 คน สามารถรักษาคนไข้นอกชาวไทย 18,000-20,000 ครัง (หรือคนไข้ใน 900-1,000
                                                                    ้
        คน) ต่อปี ซึงเท่ากับแพทย์แต่ละคนสามารถตรวจคนไข้นอกชาวไทยได้วนละประมาณ 72-80 ครัง
                    ่                                                  ั                     ้




                                               94
ตารางที่ 5.6 ประมาณการความต้องการแพทย์รวม พ.ศ. 2550-2558
                                          ่ ี ู้ ่
          จํานวนแพทย์ท่ี จํานวนแพทย์ทผปวยชาวต่างชาติ จํานวนแพทย์ท่ี      จํานวนแพทย์ท่ี
ปี           ้ ่
          ผูปวยชาวไทย ต้องการเพิม (ประมาณการใหม่โดย ต้องการเพิมต่อสอง ต้องการเพิมต่อปี
                                    ่                            ่                  ่
            ต้องการเพิม คณะผูวจย โดยสมมุตวาแพทย์หนึ่ง ปี
                      ่        ้ิั                 ิ่
                         คนจะสามารถรักษาคนไข้ต่างชาติ
                             ได้ไม่เกินวันละ 14-16 คน)
                 (1)
                                             (2)         (3) = (1) + (2)     (4) = (3)/2

2550       1,596-1,838             345 – 480             1,941 - 2,318     971 – 1,159

2552       1,815-2,083             369 – 543             2,184 - 2,626     1,092 -1,313

2554      1,639 -1,889             477 – 732             2,116 - 2,621     1,058 -1,311

2556      1,830 -2,105             435 – 726             2,265 - 2,831     1,133 -1,416

2558       1,891-2,175             528 – 909             2,419 - 3,084     1,210 -1,542
ทีมา: จากสดมภ์สดท้ายของตารางที่ 5.1 และตารางที่ 5.5
  ่            ุ

                                                        ั ั
         การประมาณการตามตารางที่ 5.6 บ่งชีว่า ในปจจุบน (ปี 2551-2552) มีความต้องการ
                                             ้
แพทย์เพิม (ทังแพทย์ทวไปและแพทย์เฉพาะทางรวมกัน) ประมาณ 1,092-1,313 คนต่อปี และ
            ่ ้          ั่
คาดว่าจะเพิมเป็ น 1,210-1,542 คนต่อปี ในช่วงปี 2557-2558 ซึงถ้าดูเผินๆ ก็ดเหมือนว่าความ
              ่                                                 ่         ู
                ่       ั ั ํ
ต้องการทีเ่ พิมขึ้นในปจจุบนมีจานวนใกล้เคียงกับแพทย์ทจบใหม่ในแต่ละปี ประมาณ 1,500 คน
                                                         ่ี
แต่เมื่อหักจํานวนแพทย์จบใหม่ดวยจํานวนแพทย์ทเกษียณหรือเลิกทํางาน (ซึงถ้าประมาณการ
                                ้                  ่ี                   ่
คร่าวๆ จากข้อมูลในตารางที่ 5.2 ว่าแพทย์จะเกษียณตัวเองเมืออายุประมาณ 60 ปี ก็จะมีแพทย์
                                                            ่
  ่                                      ่                            ้       ่ ั ั
ทีเกษียณอายุในระหว่างปี 2552-2558 เฉลียถึงปี ละกว่า 400 คน) ดังนัน แม้กระทังในปจจุบน
                  ั
เราก็อาจยังมีปญหาการผลิตแพทย์ในระดับที่ต่ํากว่าจํานวนแพทย์ท่ต้องการเพิมมากถึงปี ละ
                                                                  ี         ่
                      ั
200 คน ถึงแม้ว่าปญหาอาจจะดูรุนแรงน้อยลงหลังจากปี 2553 เนื่องจากจํานวนแพทย์จบใหม่
จะเริมเพิมขึนเป็ นประมาณ 2,300 คนต่อปี แต่ตวเลขความต้องการแพทย์สําหรับคนไทยที่
     ่ ่ ้                                            ั
คํานวณตามตารางที่ 5.5 ก็เป็ นการประมาณการทีองตัวเลขในอดีต (ซึงกําหนด workload ของ
                                                 ่ ิ                ่
แพทย์ไว้ค่อนข้างสูง คือตรวจคนไข้ 72-80 คนต่อวัน ในขณะทีคนไข้นอกร้อยละ 30 ไม่ได้พบ
                                                              ่
          ่                           ่        ั
แพทย์ ซึงน่ าจะเป็ นตัวเลข workload ทีสะท้อนปญหาการขาดแคลนแพทย์มากกว่าเป็ นระดับที่
จะสามารถให้บริการที่มคุ ณภาพสูงได้) และเป็ นการประมาณการภายใต้ข้อสมมุติว่ามีการ
                            ี




                                               95
กระจายแพทย์ไปทัวประเทศตามความหนาแน่ นของประชากร57 นอกจากนี้ วิธีการคํานวณ
                      ่
ความต้องการแพทย์ทเ่ี พิมขึ้นวิธน้ี (ซึงเป็ นการเปรียบเทียบจํานวนแพทย์ทผลิตได้เพิมกับความ
                               ่          ี ่                               ี่          ่
ต้องการแพทย์ทีเ่ พิมขึ้นในช่วงเดียวกัน) จะสามารถสะท้อนความต้องการแพทย์ทีแท้จริงก็
                        ่                                                                 ่
ต่อเมือจํานวนแพทย์ทมอยู่ก่อนหน้านันเป็ นจํานวนทีเ่ พียงพอแล้วเท่านัน ซึงไม่น่าจะสอดคล้อง
       ่                  ี่ ี                    ้                       ้ ่
                                      ั ั
กับสภาพความเป็ นจริงในปจจุบน ดังนัน การตีความจากผลการศึกษาข้างต้นว่าปญหาการผลิต
                                                    ้                               ั
แพทย์ได้ไม่พอกับความต้องการจะหมดไปในปี 2553 จึงยังเป็ นการตีความทียงไม่ตรงกับความ
                                                                                ่ ั
เป็ นจริง
          นอกจากนี้ ความต้องการแพทย์ทเี่ พิมขึนจากการมีชาวต่างชาติเป็ นความต้องการแพทย์
                                                      ่ ้
ผูเชี่ยวชาญเฉพาะทางแทบทังสิน ซึ่งแพทย์เฉพาะทางในแต่ละสาขามีจํานวนจํากัด และการ
  ้                                     ้ ้
ผลิตแพทย์เฉพาะทาง (และการสังสมประสบการณ์ของแพทย์เหล่านัน) ต้องใช้เวลานานกว่าการ
                                            ่                           ้
             ั่                     ้                         ่ ี ่ ั ั
ผลิตแพทย์ทวไปมาก ดังนัน ถ้าแพทย์เฉพาะทางทีมอยูในปจจุบนถูกกําลังซือทีเหนือกว่าดึงไป
                                                                               ้ ่
                    ่                         ่           ้ ี      ู ั
เป็ นจํานวนมาก ก็ยอมทําให้คนไทยทีไม่ใช่กลุ่มผูมรายได้สงมีปญหาการเข้าถึงบริการของแพทย์
เฉพาะทาง และถ้าแพทย์ทถูกดึงไปมีจานวนมากทีเป็ นอาจารย์ในโรงเรียนแพทย์ ก็มโอกาสมาก
                                 ่ี             ํ           ่                         ี
ทีการขยายตัวของคนไข้ต่างชาติจะมีผลกระทบไปถึงคุณภาพของแพทย์ไทยในอนาคตด้วย
    ่

ทันตแพทย์
          ทันตกรรมเป็ นอีกบริการหนึ่งทีชาวต่างชาตินิยมเดินทางเข้ามารับบริการในลักษณะของ
                                         ่
                                                ่ ี ั
medical tourism ในขณะเดียวกัน ก็เป็ นสาขาทีมปญหาความขาดแคลนและการกระจุกตัวสูง
ข้อมูลทีรวบรวมโดยสํานักนโยบายและยุทธศาสตร์ กระทรวงสาธารณสุข (ตารางที่ 5.7) ระบุว่า
        ่
มีจานวนทันตแพทย์ในโรงพยาบาลประมาณ 4,187 คนในปี 2549 โดยเป็ นทันตแพทย์ทอยูใน
   ํ                                                                                ่ี ่
ระบบราชการประมาณ 3,752 คน (ประมาณสองในสามสังกัดโรงพยาบาลในสังกัดกระทรวง
สาธารณสุข) และในภาคเอกชนประมาณ 435 คน (แต่จานวนทันตแพทย์ของภาคเอกชนทีทาง
                                                       ํ                              ่
กระทรวงรวบรวมมาได้น่าจะตํ่ากว่าความเป็ นจริงมากเหมือนกับในกรณีแพทย์ เนื่องจากเป็ น
การรวบรวมข้อมูลจากแบบสอบถามเฉพาะจากโรงพยาบาลเอกชน ซึ่งตอบมาไม่ครบทุกแห่ง
ด้วย ในขณะทีมทนตแพทย์ททางานทีคลินิกเอกชนอีกเป็ นจํานวนมาก)58 จากข้อมูลดังกล่าว ใน
               ่ ี ั         ่ี ํ    ่
ปี 2548 โดยเฉลียแล้วประเทศไทยมีสดส่วนประชากรประมาณ 15,000 คนต่อทันตแพทย์หนึ่ง
                   ่                   ั
คน และเมื่อ พิจ ารณาข้อ มูล ในแต่ ล ะภาคก็จ ะพบว่า มีก ารกระจุ ก ตัว ของทัน ตแพทย์ใ นเขต
กรุงเทพมหานครซึงมีสดส่วนดังกล่าวอยูทประมาณ 7,000:1 ภาคกลาง ภาคเหนือ และภาคใต้
                     ่ ั                   ่ ่ี


57
     ่                 ้ ั                       ั
   ซึงในความเป็ นจริงนัน ปญหาการกระจายแพทย์เป็ นปญหาทีเรือรังมาเป็ นเวลาหลายสิบปี ถึงแม้วาจะมี
                                                       ่ ้                               ่
แนวโน้มทีดขนบ้างในระยะประมาณสิบปีทผาน (ดูจากตารางที่ 5.3) แต่ความแตกต่างของการกระจายแพทย์
          ่ ี ้ึ                     ่ี ่
ในภูมภาคต่างๆ กับกรุงเทพมหานครก็ยงอยูในระดับสูงถึง 3.3-6.5 เท่าตัว
       ิ                            ั ่
58
   ข้อมูลจากทันตแพทยสภาระบุวาในปี 2544 มีทนตแพทย์รวม 7,337 คน ซึงเมือหักลบกับตัวเลขในตารางที่
                               ่            ั                        ่ ่
5.7 (4,317 คนในปี 2544) เท่ากับมีทนตแพทย์ทอยูนอกโรงพยาบาลประมาณ 3,000 คนในปีดงกล่าว
                                  ั       ่ี ่                                      ั

                                             96
มีสดส่วนที่ดกว่าค่าเฉลี่ยเล็กน้ อย
    ั          ี                                  ในขณะที่ภาคตะวันออกเฉียงเหนือมีสดส่วนที่สูงที่สุด
                                                                                          ั
(22,000:1) ซึงคล้ายกับในกรณีของแพทย์
                  ่
          ถ้าพิจารณาจากสัดส่วนดังกล่าว ซึงแม้ว่าอาจจะสูงเกินความจริงไปบ้าง59 แต่กสะท้อน
                                                    ่                                                ็
      ั
ถึงปญหาการขาดแคลนทันตแพทย์ ซึ่งน่ าจะเป็ นเรื่องที่ทราบกันดี โดยเฉพาะในชนบท (ซึ่ง
ประชาชนจํ า นวนมากไปรับ บริก ารกับ เจ้า หน้ า ที่ท ัน ตาภิบ าลแทน) หรือ แม้ก ระทัง ในเขต        ่
กรุงเทพมหานครและปริมณฑล เมือโครงการประกันสังคมได้เปลียนกติกาเรื่องการทําฟน ก็เป็ น
                                      ่                                  ่                        ั
  ่                       ั
ทีประจักษ์ว่าคิวทําฟนในโรงพยาบาลหลายแห่งยาวขึนเป็ นหลายเดือนทันที จนทางสํานักงาน
                                                                 ้
ประกันสังคมต้องเปลี่ยนกติกากลับไปเป็ นแบบเดิมอย่างรวดเร็ว ปญหาการขาดแคลนทันต   ั
แพทย์จงมีโอกาสที่จะทวีความรุนแรงขึนในอนาคตถ้าจํานวนคนไข้ต่างชาติท่เข้ามารับบริการ
        ึ                                       ้                                       ี
ด้านทันตกรรมเพิมขึนอย่างรวดเร็ว
                      ่ ้
          ข้อมูลจากตารางที่ 5.8 แสดงให้เห็นว่าจํานวนการผลิตทันตแพทย์ในแต่ละสถาบันไม่ได้
เปลี่ยนแปลงไปมากนักในช่วงประมาณสิบปี เศษทีผ่านมา จํานวนการผลิตที่เพิมขึนส่วนหนึ่ง
                                                             ่                              ่ ้
เกิด จากการที่มีส ถาบัน ใหม่ ๆ เปิ ด สอนมากกว่ า ที่จ ะเป็ น การเพิ่ม การผลิต ของสถาบัน เดิม
(ยกเว้นมหาวิทยาลัยมหิดลทีผลิตเพิมขึนบ้างในระยะหลัง) และทีผานมานัน ทังสาธารณชนและ
                              ่           ่ ้                              ่ ่   ้ ้
ฝ่ายการเมืองเองก็ไม่ได้ให้ความสําคัญกับปญหาการขาดแคลนทันตแพทย์มากเท่ากับปญหา
                                                      ั                                                ั
                            ่      ั
การขาดแคลนแพทย์ (ซึงเป็ นปญหาทีเห็นได้ชดเจนกว่า ทําให้หลายรัฐบาลประกาศนโยบายการ
                                            ่           ั
                    ่                             ี         ั ั
ผลิตแพทย์เพิม มีผลให้จํานวนแพทย์ท่ผลิตในปจจุบนมีจํานวนเกือบสองเท่าของเมื่อปี 2537
ในขณะทีจานวนทันตแพทย์เพิมขึนประมาณร้อยละ 30 เท่านัน) นอกจากนี้ขอมูลจากตารางที่
            ่ํ                    ่ ้                                  ้              ้
5.8 ยังแสดงให้เห็นจํานวนบัณฑิตทีแกว่งขึนลงอย่างมากในหลายสถาบัน ซึ่งน่ าจะเกิดจาก
                                              ่           ้
นักศึกษาปี หนึ่งจํานวนหนึ่งไปสอบเข้ามหาวิทยาลัยใหม่ และลาออกไปโดยไม่มระบบที่จะนํ า           ี
นักศึกษาที่มศกยภาพและต้องการศึกษาด้านนี้มาทดแทน ยังผลให้หลายสถาบันมักผลิตทันต
                 ี ั
                                                                     ั
แพทย์ในระดับที่ต่ํากว่าศักยภาพของตน ซึ่งมีส่วนซํ้าเติมปญหาการขาดแคลนทันตแพทย์ให้
          ้                             ั
รุนแรงขึน ซึ่งถ้ามีระบบที่แก้ไขปญหานี้ได้ ก็น่าจะช่วยให้สามารถผลิตทันตแพทย์เพิมขึนได้               ่ ้
เกือบร้อยละ 20 ต่อปีโดยไม่จาเป็ นต้องลงทุนด้านเครืองมือซึงมีราคาแพงเพิมขึนเลย
                                ํ                              ่   ่              ่ ้




59
   แต่ถาใช้ขอมูลของทันตแพทยสภา ซึงระบุวาในปี 2544 มีทนตแพทย์รวม 7,337 คน มาบวกกับจํานวน
       ้ ้                          ่    ่              ั
ทันตแพทย์ทผลิตเพิมขึนในระหว่างปี 2544-2549 (ตามตารางที่ 5.8) ก็น่าจะมีจานวนทันตแพทย์ไม่น้อยกว่า
            ่ี    ่ ้                                                  ํ
10,000 คนในปี 2549 คิดเป็ นสัดส่วนของทันตแพทย์หนึ่งคนต่อประชากรไม่เกิน 6,500 คน

                                                  97
ตารางที่ 5.7 จํานวนและการกระจายของทันตแพทย์ ที่รวบรวมโดยสํานักนโยบายและ
                               ยุทธศาสตร์ กระทรวงสาธารณสุข
                  จํานวนทันตแพทย์                                        จํานวน ปชก.ต่อทันตแพทย์ 1 คน
  ปี      กระทรวง ภาครัฐ                                        ทัง
                                                                  ้            ภาค       ภาค
         สาธารณสุข อื่นๆ      รัฐ       เอกชน      รวม        ประเทศ   กทม กลาง         ตอน. ภาคเหนือ ภาคใต้

2539        1,978       903     2,881     534     3,415       17,508   3,270   21,607    43,542      33,638     32,187

2540        2,064       884     2,948     466     3,414       17,711   3,389   21,263    45,622      30,248     31,760

2541        2,564       844     3,408     509     3,917       15,613   3,033   16,800    44,484      27,310     26,954

2542        2,660       856     3,516     510     4,026       15,294   2,996   17,495    38,461      27,225     25,664

2543        2,821       859     3,680     461     4,141       14,917   3,529   16,813    35,476      17,037     22,549

2544        3,014       739     3,753     564     4,317       14,384   3,190   16,588    32,499      20,993     19,963

2545        2,386       818     3,204     349     3,553       17,606   6,614   17,810    28,432      17,824     20,105

2546        2,439       841     3,238     384     3,622       17,416   6,836   17,799    26,675      17,699     19,767

2547        2,538      1,250    3,280     383     3,663       17,182   6,920   16,851    26,351      17,694     19,578

2548        2,678      1,105    3,783     391     4,174       14,901   5,064   14,840    23,378      18,111     17,366

2549         2,838      914 3,752 435 4,187 14,957 7,035 14,104 22,081 14,803 15,968
ทีมา: ปี 2539-2544 จากรายงานทรัพยากรสาธารณสุข
  ่
      ปี 2545-2549 จากเว็บของสํานักนโยบายและยุทธศาสตร์ กระทรวงสาธารณสุข
      http://moc.moph.go.th/Resource/Personal/index,new.php (ข้อมูลส่วนนี้ไม่รวมบุคลากรทีไปเรียนต่อทีสงกัดอื่น เช่น รร.
                                                                                         ่           ่ ั
แพทย์))
หมายเหตุ: ภาครัฐอื่นๆ คือ กระทรวงอื่นๆ+รัฐวิสาหกิจ+เทศบาล+องค์การอิสระ (เช่น โรงพยาบาลจุฬาฯ สภากาชาดและสาขา)




                                                         98
ตารางที่ 5.8 จํานวนทันตแพทย์ที่ขึนทะเบียนเป็ นผูประกอบวิ ชาชีพทันตกรรม ตังแต่ปี 2537-2550
                                            ้             ้                         ้
 สถาบันที่สาเร็จการศึกษา
           ํ               2537 2538 2539 2540 2541 2542 2543 2544 2545 2546 2547 2548 2549 2550
จุฬาลงกรณ์มหาวิทยาลัย       96   97   88   93   90   98 100 103 101 97 103 92 105 97
มหาวิทยาลัยมหิดล            53   51   62   60   65   66   75   75   82   72   78   71   73   77
มหาวิทยาลัยเชียงใหม่        74   71   93   78   86   85   82   73   85   79   63   61   86   60
มหาวิทยาลัยสงขลานครินทร์    35   30   38   30   29   33   34   42   41   48   46   49   46   37
มหาวิทยาลัยขอนแก่น          54   47   63   57   88   50   67   60   45   46   47   44   43   46
มหาวิทยาลัยธรรมศาสตร์        -    -    -    -      -    -    - 13   17   28   28   23   38   40
มหาวิทยาลัยนเรศวร            -    -    -    -      -    -    -    -    - 25   35   38   26   35
มหาวิทยาลัยศรีนครินทรวิโรฒ   -    -    -    -      -    -    - 16   30   25   36   33   42   31
ต่างประเทศ                   7    3   13    4    2    1    6    4    1    6    5    1     -   4
ยอดรวมทังปี
          ้                319 299 357 322 360 333 364 386 402 426 441 412 459 427
         ทีมา: รวบรวมจากทันตแพทยสภา
            ่




                                                      99
พยาบาล
                          ั                                                       ั
          เมื่อดูเ ผินๆ ป ญหาการขาดแคลนพยาบาลไม่น่า จะเป็ นป ญหาที่รุนแรง (ข้อมูลจาก
ตารางที่ 5.9 เองก็แสดงให้เห็นแนวโน้มทีจานวนและการกระจายตัวของทังพยาบาลรวมและ
                                                 ่ํ                                    ้
พยาบาลวิชาชีพทีมแนวโน้มทีดขนจนถึงปี 2548 เป็ นอย่างน้อย) อย่างไรก็ตาม ในระหว่าง
                      ่ ี          ่ ี ้ึ
การศึกษา การสัมภาษณ์ผบริหารทังโรงพยาบาลรัฐและโรงพยาบาลเอกชนหลายแห่งให้ภาพที่
                                ู้          ้
                ั ั ั
ตรงกันว่า ปจจุบนมีปญหาการขาดแคลนพยาบาลทีรุนแรง จนสถานพยาบาลหลายแห่งต้องหัน
                                                           ่
                                           ้ ั
ไปใช้ผู้ช่ ว ยพยาบาลแทน รวมทัง มีป ญ หาการขาดแคลนพยาบาลที่มีท ัก ษะเฉพาะ (เช่ น
พยาบาลห้อง ICU)
          เมือพิจารณาจากตัวเลขจํานวนผูสมัครสอบและขึนทะเบียนในแต่ละปี (ปจจุบนพยาบาล
              ่                                ้               ้                            ั ั
จะต้องต่ออายุทุก 5 ปี) จากตารางที่ 5.10 ก็ดเหมือนว่าจํานวนพยาบาลไม่ได้มจานวนเพิมขึนใน
                                                    ู                                    ีํ           ่ ้
ปี หลังๆ ซึ่งส่วนหนึ่งคงเกิดจากการลดการผลิตในหลายๆ สถาบัน เนื่องจากสถาบันเหล่านี้
มัก จะผลิต ตามกรอบอัต รากํ า ลัง ในภาครัฐ หรือ บางครัง ก็ผ ลิต ตามกรอบอัต รากํ า ลัง ของ
                                                                 ้
หน่ วยงานตัวเอง (เช่น วิทยาลัยพยาบาลในสังกัดกระทรวงสาธารณสุข) และบางครังก็ทําให้                  ้
แม้แต่หน่ วยงานของตนเองก็ยงได้บุคลากรทีไม่เพียงพอ เพราะไม่ได้ผลิตเผื่อสําหรับพยาบาล
                                    ั                 ่
ลาออกไปอยู่ภาคเอกชนหรือเลิกประกอบอาชีพพยาบาล (เช่น โรงพยาบาลจุฬาฯ มักมีอตรา                               ั
พยาบาลว่างในแต่ละปี มากกว่า 100 คน) เมื่อมีความพยายามปฏิรูประบบราชการ รัฐบาล
(โดยสํานักงานข้าราชการพลเรือน หรือ กพ.) ก็ใช้วธควบคุมอัตรากําลังคนในภาครัฐแบบเหวียง
                                                          ิี                                                ่
                                                 60
แห ส่งผลให้มการผลิตพยาบาลลดลงไปด้วย โรงพยาบาลรัฐทีตองการพยาบาลเพิมต้องใช้วธี
                 ี                                                    ่ ้                       ่             ิ
                                                                                    61
จ้างพยาบาลใหม่จํานวนมากเป็ นลูกจ้างแทนการบรรจุเข้ารับราชการ ซึ่งมีผลทําให้พยาบาล
จํานวนมากเลือกที่จะไม่ทํางานกับโรงพยาบาลรัฐ62 ในขณะที่ทงสถานพยาบาลภาครัฐและ
                                                                          ั้
                                                                   ั ั
เอกชนต่างก็ยงมีความต้องการพยาบาลอีกจํานวนมาก (ในปจจุบน สถานพยาบาลภาครัฐหลาย
                   ั
แห่งก็ยงต้องจ้างพยาบาลด้วยวิธพเิ ศษ)
        ั                             ี
                              ั
          อย่างไรก็ตาม ปญหาการขาดแคลนพยาบาลน่าจะอยูในวิสยทีจะสามารถแก้ได้งายกว่า
                                                                    ่          ั ่                     ่
                                          ั ั
แพทย์และทันตแพทย์ เพราะในปจจุบน การผลิตพยาบาลในหลายสถาบันของภาครัฐเองก็ผลิต
น้อยกว่าทีเคยผลิตได้ในอดีต63 และสาขาพยาบาลก็ยงเป็ นสาขาทีมผนิยมเรียนอยูมาก เราจึง
            ่                                                ั               ่ ี ู้           ่
สามารถผลิตพยาบาลเพิมและรักษาพยาบาลให้อยูในภาครัฐได้มากขึนโดยเพียงปรับเปลียน
                            ่                           ่                       ้                   ่

60
   และมีการเลิกสัญญาบังคับให้พยาบาลจบใหม่มาเข้ารับราชการ          เนื่องจากโรงพยาบาลรัฐไม่มอตรา
                                                                                           ีั
ข้าราชการจํานวนมากพอทีใช้บรรจุพยาบาลเหล่านี้ ทังๆ ทีโรงพยาบาลรัฐเหล่านันยังต้องการพยาบาลเพิม
                          ่                      ้ ่                     ้                 ่
61      ั ั
    ในปจจุบน (ปลายปี 2551) กระทรวงสาธารณสุขมีพยาบาลทีเป็ นลูกจ้างประมาณ10,000 คน
                                                        ่
62
    ข้อมูลจากสภาพยาบาลระบุวา ในปี 2551 ประมาณครึงหนึ่งของพยาบาลจบใหม่จากวิทยาลัยพยาบาลของ
                              ่                       ่
กระทรวงสาธารณสุข (1,200 คนจาก 2,500 คน) ไม่ทางานในโรงพยาบาลรัฐ
                                                  ํ
63
     แต่กมผตงข้อสังเกตเช่นกันว่า ในอดีตวิทยาลัยพยาบาลของกระทรวงสาธารณสุขน่าจะมีการผลิตพยาบาล
          ็ ี ู้ ั ้
ในจํานวนมากกว่าศักยภาพทีควรจะเป็ น (เช่น เมือวัดจากสัดส่วนอาจารย์ต่อนักศึกษา) และถึงแม้วาใน
                            ่                       ่                                         ่
   ั ั
ปจจุบนได้ลดการผลิตลงมา หลายแห่งก็น่าจะยังมีสดส่วนอาจารย์ต่อนักศึกษาทีต่าเกินไป
                                               ั                       ่ ํ

                                                     100
นโยบายด้านการผลิตและด้านกําลังคนของภาครัฐ         แน่นอนว่าการเปลียนแปลงนโยบายด้าน
                                                                   ่
กําลังคนด้านพยาบาล (เช่น การรับพยาบาลจบใหม่เข้าเป็ นข้าราชการ) จะมีผลกระทบต่อ
ค่าใช้จายของภาครัฐ แต่กน่าจะเป็ นวิธการทีมตนทุนต่อสังคมไม่สงนัก64เมือเทียบกับประโยชน์ท่ี
         ่             ็            ี    ่ ี ้             ู         ่
           65
จะได้รบั




64    ั ั
   ปจจุบน ต้นทุนทีสาคัญส่วนหนึ่งของการบรรจุขาราชการเพิมคือสวัสดิการรักษาพยาบาลของข้าราชการ ซึง
                    ่ํ                        ้           ่                                         ่
มีคาใช้จายต่อหัวสูงมากเมือเทียบกับโครงการอื่นๆ แต่เมือคิดเป็ นค่าใช้จายต่อข้าราชการหนึ่งคนแล้ว ก็ยงตก
    ่ ่                   ่                          ่                ่                           ั
ประมาณ 1,500 บาทต่อคนต่อเดือนเท่านัน ถึงแม้กระทังเมือรวมกับต้นทุนอื่นทีรฐต้องจ่าย (เช่น บําเหน็จ
                                         ้             ่ ่                    ่ั
                            ั
บํานาญทีเพิมขึน) การแก้ปญหาด้วยวิธน้ีสาหรับพยาบาลก็ยงน่าจะเป็ นการลงทุนทีคมค่าของรัฐ
          ่ ่ ้                      ี ํ                ั                     ่ ุ้
65
     และเมือเทียบกับวิธอ่นทีมการนํามาใช้ เช่น การปรับค่าตอบแทนเบียเลียงเหมาจ่ายให้บุคลากรสีสาขาใน
           ่           ีื ่ ี                                           ้ ้                   ่
โรงพยาบาลชุมชนในช่วงปลายปี 2551 ซึงจ่ายเงินเพิมให้พยาบาลในพืนทีทุรกันดาร 1,500-4,500 บาทต่อ
                                           ่      ่                  ้ ่
เดือน ซึงก็ยงไม่ได้ทาให้พยาบาลจํานวนมากพอใจแต่อย่างใด
        ่ ั          ํ

                                                101
ตารางที่ 5.9 ข้อมูลจํานวนและการกระจายของพยาบาล รวบรวมโดยสํานักนโยบายและยุทธศาสตร์
                                    กระทรวงสาธารณสุข
ก. พยาบาลรวม
                         จํานวนพยาบาล                                      จํานวนประชากรต่อพยาบาล 1 คน
  ปี     กระทรวง     ภาครัฐ     รวมภาครัฐ   เอกชน      รวม     ทังประ
                                                                 ้      กทม.     ภาค      ภาค       ภาค      ภาคใต้
        สาธารณสุข     อื่นๆ                                     เทศ              กลาง     ตอน.     เหนือ

2539     61,309      15,288     76,597      6,218    82,815     722     298      636     1,257     821        680

2540     65,106      14,688     79,794      6,437    86,231     701     314      625     1,212     755        651

2541     71,145      17,591     88,736      8,836    97,572     627     255      567      778      691        607

2542     72,346      18,211     90,557      8,994    99,551     618     252      558     1,063     676        605

2543     72,827      18,099     90,926      9,517    100,443    615     271      539     1,109     632        571

2544     77,707      20,003     97,710      10,331   108,041    575     240      519     1,013     613        540

2545     82,352      20,928     103,280     10,127   113,407    552     236      499      918      595        535

2546     83,593      20,481     104,074     11,465   115,539    562     282      494      888      582        527

2547     84,835      20,343     105,178     10,924   116,102    539     266      476      834      564        521

2548     85,633      19,066     104,699     12,674   117,373    590     238      495      767      518        508

2549     81,578      18,878     100,456     13,569   114,025    591     215      496      752      509        487
ข. พยาบาลวิชาชีพ
                      จํานวนพยาบาลวิชาชีพ                               จํานวนประชากรต่อพยาบาลวิชาชีพ 1 คน
  ปี     กระทรวง     ภาครัฐ    รวมภาครัฐ    เอกชน      รวม     ทังประ
                                                                 ้      กทม.     ภาค      ภาค       ภาค      ภาคใต้
        สาธารณสุข     อื่นๆ                                     เทศ              กลาง     ตอน.     เหนือ

2539     34,547     14,000      48,547      5,660    54,207    1,103    350     1,058    2,272    1,287      1,140

2540     37,087     13,336      50,423      5,943    56,366    1,073    368     1,004    2,133    1,188      1,080

2541     40,844     14,812      55,656      8,052    63,708    960      311      922     1,849    1,100      1,037

2542     44,333     15,431      59,764      8,244    68,008    905      306      855     1,706    1,022       973

2543     46,066     16,003      62,069      8,909    70,978    870      309      825     1,702     908        884

2544     51,450     16,861      68,311      9,871    78,182    794      285      749     1,498     856        806

2545     58,301     17,389      75,690      9,702    85,392    733      279      685     1,278     785        765

2546     62,723     17,696      80,419      11,151   91,570    687      285      631     1,145     734        692

2547     66,860     18,654      85,424      10,410   95,834    652      289      593     1,045     684        659

2548     71,459     17,628      89,087      12,378   101,465   613      285      550      968      628        622

2549     70,708     17,115      87,823      13,320   101,143   619      273      563     1,009     648        614
ที่มา: ปี 2539-2544 จากรายงานทรัพยากรสาธารณสุข


                                                     102
ปี 2545-2549 จากเว็บของสํานักนโยบายและยุทธศาสตร์ กระทรวงสาธารณสุข
          http://moc.moph.go.th/Resource/Personal/index,new.php
         (ข้อมูลปี 2545-2548 ในส่วนของกระทรวงสาธารณสุขไม่รวมบุคลากรที่ไปเรี ยนต่อที่สงกัดอื่น)
                                                                                     ั
    ข้ อมูลพยาบาลรวมคํานวณโดยคณะผู้วิจย จากข้ อมูลพยาบาลวิชาชีพและพยาบาลเทคนิค
                                            ั
หมายเหตุ: ภาครัฐอื่นๆ คือ กระทรวงอื่นๆ+รัฐวิสาหกิจ+เทศบาล+องค์การอิสระ
          องค์การอิสระ ได้ แก่ โรงพยาบาลจุฬา สภากาชาดและสาขา (ในปี 2545 มีสถานพยาบาลที่ถือเป็ นองค์การอิสระ 6 แห่ง)

         ตารางที่ 5.10 จํานวนผูสมัครสอบและขึนทะเบียนเป็ นผูประกอบวิ ชาชีพพยาบาล 2541-2550
                              ้             ้             ้
                                                   ประเภทของใบอนุญาตฯ
  ปีท่ี     ปี ท่ี                     ชันหนึ่ง
                                         ้                                  ชันสอง
                                                                              ้                         รวมขึน้
 อนุมติ หมดอายุ สมัครสอบ
      ั                               พผ.1        พ.1     ผ.1      สมัครสอบ พผ.2 พ.2 ผ.2                ทะเบียน
 2541      2546       5,934          4,634        27      128       3,866    1,952 312 230               7,283
 2542      2547      5,980           5,708                 1        1,476    1,232 26 4                  6,971
 2543      2548      7,880           7,240                          1,305    1,234 25 1                  8,500
 2544      2549      8,356           8,222         2                  453       641  2 10                8,877
 2545      2550      8,996           8,798        488      356        138       177 20 28                9,867
 2546      2551      8,348           8,180        280      240         96       135 5 37                 8,877
 2547      2552      8,599           8,099         7       158         85       95  2   7                8,368
 2548      2553      8,080           7,400         2       231         60       65  13 2                 7,713
 2549      2554       8,502           8,159                 75         56       55                       8,289
 2550      2555      7,288           6,328         268     302         55       48      2                6,948
 รวม 2541 - 2550     77,963          72,768       1,074   1,491     7,590    5,634 405 321              81,693
  ทีมา: สภาการพยาบาล
    ่

         เอกสารอ้างอิ ง
         ทักษพล ธรรมรังสี. 2549. การกระจายแพทย์ทางภูมิศาสตร์ที่เหมาะสมภายใต้ระบบ
               หลักประกันสุขภาพถ้วนหน้ า. สํานักงานวิจยเพือการพัฒนาหลักประกันสุขภาพไทย
                                                       ั ่
               (สวปก.)
         _____________. 2546. ”การลาออกของแพทย์” วารสารวิ ชาการสาธารณสุข. 12:6
               พฤศจิกายน-ธันวาคม.
         ทักษพล ธรรมรังสี, พนา พงษ์ชานะภัย, ปิยะ หาญวรวงศ์ชย. 2547. "สาเหตุการลาออกของ
                                    ํ                      ั
                  แพทย์จากหน่วยงานในสังกัดสํานักงานปลัดกระทรวงสาธารณสุข ระหว่างปี พ.ศ.2545-
                  2546."
         แพทยสภา. 2547. เอกสารประกอบการสัมมนาเรื่องฝ่ าวิ กฤติ แพทย์. 25 กรกฎาคม.
         ________. 2546. เอกสารประกอบการสัมมนาเรื่องการลาออกของแพทย์. 16 สิงหาคม.

                                                          103
มัทนา พนานิรามัย และ สมชาย สุขสิรเิ สรีกุล. 2539. การพยากรณ์แบบแผนการเจ็บป่ วย
         และความต้องการแพทย์ในอนาคต. สิงหาคม. กรุงเทพฯ: สถาบันวิจยเพือการ    ั ่
         พัฒนาประเทศไทย.
ศูนย์ปฏิบตการหลักประกันสุขภาพถ้วนหน้า. 2545. แนวทางการสร้างหลักประกันสุขภาพ
          ั ิ
         ถ้วนหน้ าในระยะเปลี่ยนผ่าน.
สํานักนโยบายและแผน กระทรวงสาธารณสุข. (หลายปี ). รายงานทรัพยากรสาธารณสุข
         http://moc.moph.go.th/Resource/Personal/index,new.php
วิโรจน์ ณ ระนอง อัญชนา ณ ระนอง และศรชัย เตรียมวรกุล. 2547. หนึ่ งปี แรกของการจัด
      หลักประกันสุขภาพถ้วนหน้ า (ฉบับปรับปรุง กุมภาพันธ์ 2547). กรุงเทพฯ:
      สถาบันวิจยเพือการพัฒนาประเทศไทย.
                  ั ่
วิโรจน์ ณ ระนอง อัญชนา ณ ระนอง ศรชัย เตรียมวรกุล และศศิวุทฒิ ์ วงษ์มณฑา. 2548.
      หลักประกันสุขภาพถ้วนหน้ าปี 2545-2546 (ฉบับแก้ไขปรับปรุง มีนาคม 2548).
      รายงานฉบับสมบูรณ์เล่มที่ 1 โครงการติ ดตามและประเมิ นผลการจัดหลักประกัน
       สุขภาพถ้วนหน้ าระยะที่สอง (2546-47). กรุงเทพฯ: สถาบันวิจยเพือการพัฒนาประเทศ
                                                                     ั ่
       ไทย.
วิโรจน์ ณ ระนอง และ อัญชนา ณ ระนอง. 2548. การหมุนเวียนของบุคลากรที่ให้บริ การใน
         สถานพยาบาลภาครัฐ. รายงานฉบับสมบูรณ์เล่มที่ 5 โครงการติ ดตามประเมิ น
         ผลการจัดหลักประกันสุขภาพถ้วนหน้ าระยะที่สอง (2646-2547). กรุงเทพฯ:
         สถาบันวิจยเพือการพัฒนาประเทศไทย.
                   ั ่
อดิศร ภัทราดูลย์. 2548. “ผลกระทบนโยบาย Medical Hub of Asia ต่อระบบสาธารณสุขไทย”.
         มติ ชน. 16 กรกฎาคม 2548.
อัญชนา ณ ระนอง. 2549. โครงการ 30 บาท รักษาทุกโรค กับความมันคงด้านสุขภาพของคน
                                                                       ่
         ไทย. บทความวิชาการดี ประจําปี 2549. สถาบันบัณฑิตพัฒนบริหารศาสตร์.
อําพล จินดาวัฒนะ. 2546. “หมอลาออก กว่าถัวจะสุก ระวังงาไหม้” มติ ชน. 26 มิถุนายน.
                                              ่
Cha-aim Pachanee and Suwit Wibulpolprasert. 2006. “Incoherent policies on universal
         coverage of health insurance and promotion of international trade in
         health services in Thailand,” Health Policy and Planning. Published by Oxford
         University Press in association with The London School of Hygiene and Tropical
         Medicine. http://heapol.oxfordjournals.org/cgi/reprint/czl017v1




                                        104
6. ผลกระทบต่อราคาค่ารักษาพยาบาล
                   และการเข้าถึงบริการที่มีคณภาพของคนไทย
                                            ุ

6.1 ผลกระทบในด้านราคาค่ารักษาพยาบาล
          โดยทัวไปแล้ว ในภาคบริก ารและสํา หรับ สิน ค้า ที่ไ ม่มีก ารส่ง ออกหรือ นํ า เข้า (non-
                  ่
tradable goods) ราคาของสินค้าหรือบริการเหล่านันจะขึนกับอุปสงค์และอุปทานทีมอยูในพืนที่
                                                                 ้       ้                        ่ ี ่ ้
นันๆ ดังนัน เมื่อมีการเพิมอุปสงค์ (demand) เข้ามาในระบบ โดยชักนําคนไข้จากต่างประเทศ
   ้            ้                      ่
เข้ามารับบริการในประเทศไทย (ในอัตราเพิมทีสงกว่าจํานวนแพทย์ทกลับมาหรืออพยพมาจาก
                                                         ่ ู่                        ่ี
ต่างประเทศ) ก็ย่อมมีโอกาสมากทีจะดึงให้ราคาค่ารักษาพยาบาลในประเทศไทยสูงขึนตามไป
                                             ่                                                        ้
ด้วย
          แม้ว่าอัตราค่าบริการทางการแพทย์ท่สูงขึนย่อมหมายความว่าประเทศมีรายรับที่เป็ น
                                                             ี ้
เงินตราต่างประเทศเพิมขึน แต่ก็มโอกาสที่จะส่งผลด้านลบไปถึงความสามารถในการเข้าถึง
                                ่ ้            ี
บริการทีมคุณภาพของคนไทยได้เช่นกัน และถึงแม้วาคนไข้ต่างชาติสวนใหญ่จะมารับการรักษา
          ่ ี                                                      ่               ่
ที่โ รงพยาบาลเอกชนขนาดใหญ่ เ ท่ า นั น แต่ ก็ อ าจจะมีผ ลดึง ให้ร าคาค่ า รัก ษาพยาบาลที่
                                                 ้
โรงพยาบาลกลุ่มอื่นเพิมขึนไปด้วย (เพราะมีแรงดึงบุคลากรต่อกันเป็ นทอดๆ)66
                               ่ ้
          การศึกษาส่วนนี้ทําโดยเปรียบเทียบราคาของบริการทางการแพทย์ในสถานพยาบาล
กลุ่มต่างๆ ในช่วงเวลาทีเปลี่ยนไป (โดยพยายามเปรียบเทียบข้อมูลปจจุบนกับเมื่อประมาณ 5
                                   ่                                                    ั ั
ปี ก่ อ น หรือ ปี ล่ า สุ ด ที่มีข้อมูลย้อนกลับไป) โดยพยายามศึกษาอัตราเพิมของค่าบริการของ     ่
โรงพยาบาลเอกชนกลุ่มทีหนมาเน้นการรักษาผูป่วยต่างประเทศ กับอัตราเพิมของค่าบริการของ
                                  ่ ั                      ้                                ่
โรงพยาบาลเอกชนกลุ่มทีไม่ได้ specialize ในด้านการรักษาผูปวยต่างประเทศ67
                                     ่                                     ้ ่
          ในการเปรียบเทียบราคาค่าบริการนัน คณะผูวจยได้พยายามหาข้อมูลด้วยสองวิธคอ
                                                       ้             ้ิั                                ี ื
          วิธแรก เพื่อทีจะหลีกเลียงความผันแปรทีเกิดจากการทีคนไข้แต่ละรายมีความหนักเบา
              ี              ่           ่                     ่               ่
ของโรคทีแตกต่างกันไป คณะผูวจยได้สอบถามข้อมูลจากสถานพยาบาลถึงค่าใช้จายสําหรับการ
            ่                            ้ิั                                                    ่
รักษาประมาณ 5 โรค โดยเลือกจากโรคทีมกระบวนการรักษาทีค่อนข้างคงที่ และมีค่าใช้จ่ายใน
                                                   ่ ี                           ่

66
      ในระยะแรกนัน มีความเป็ นไปได้ว่าผลกระทบด้านราคาอาจแตกต่างกันในระหว่างกลุ่มสถานพยาบาล
                         ้
ตัวอย่างเช่น ราคาค่ารักษาพยาบาลอาจมีแนวโน้มเพิมขึนมากในสถานพยาบาลที่ specialize ในด้านการ
                                                       ่ ้
รักษาผูป้ ่วยต่างประเทศ (ซึ่งมีกําลังซื้อเข้ามาทีโรงพยาบาลเหล่านันโดยตรง) มากกว่าในโรงพยาบาลเอกชน
                                                ่                ้
อื่นๆ ที่ไม่ได้ specialize ในด้านการรักษาผูป่วยต่างประเทศ (เช่น โรงพยาบาลเอกชนที่ปจจุบนเน้นการ
                                                  ้                                    ั ั
ให้บริการผูมสทธิประกันสังคม) หรือในสถานพยาบาลของรัฐทีห่างไกล (ซึ่งอาจได้รบเพียงผลกระทบทางอ้อม
              ้ ี ิ                                           ่               ั
เช่น จากการทีรฐบาลต้องเพิมค่าตอบแทนเพื่อพยายามรักษาแพทย์ให้อยู่ในระบบบริการของรัฐ ซึ่งในระยะแรก
                    ่ั      ่
อาจจะมีผลต่อต้นทุนต่อ visit หรือ admission ไม่มากนัก) แต่เมือเวลาผ่านไป ผลกระทบด้านค่าแรงและราคาก็ม ี
                                                            ่
แนวโน้มทีจะสูงขึนในโรงพยาบาลทุกระดับ
            ่          ้
67
    สําหรับโรงพยาบาลรัฐ อาจพิจารณาจากอัตราเพิมของงบประมาณหรือค่าหัวสําหรับสถานพยาบาลของรัฐ
                                                     ่
ในพืนทีใกล้เคียงกันในช่วงเดียวกัน
     ้ ่

                                                   105
ส่วนที่เป็ นค่ายาไม่สูงมาก หรือไม่ผนแปรตามแต่ละเคสมากนัก (เช่น การคลอดโดยวิธผ่าตัด
                                                        ั                                                              ี
คลอด การผ่าตัดไส้ติ่ง การผ่าตัดไส้เลื่อน การผ่าตัดถุ งนํ้ าดี และการผ่าตัดเปลี่ยนข้อเข่า
ทัง หมดนี้ คิด เฉพาะกรณี ท่ีไ ม่มีโ รคแทรกซ้อ น) 68 เพื่อ มาดูว่า ค่า ใช้จ่ า ยรวมในแต่ ล ะกรณี ใ น
  ้
สถานพยาบาลแต่ละประเภท (เช่น การคลอดปกติทนอนโรงพยาบาล 2 คืน) เปลียนแปลงไป          ่ี                             ่
มากน้อยเพียงใดในช่วงประมาณ 5 ปี ทผ่านมา ทังนี้ สาเหตุทใช้วธสอบถามค่าใช้จ่ายรวมก็
                                                               ่ี                    ้       ่ี ิ ี
เพราะหลายโรงพยาบาลอาจมีวธการ charge ค่ารักษาพยาบาลทีเปลียนแปลงไป ตัวอย่างเช่น
                                             ิี                                                ่ ่
ค่าใช้จ่ายการนอนพักรักษาตัวในโรงพยาบาลบางแห่งในอดีต จะเก็บเป็ นค่าห้องเป็ นหลัก แต่ใน
ระยะหลัง มีก ารเก็บ เป็ น ค่ า การพยาบาลเป็ น รายวัน ในอัต ราที่สูง พอๆ กับ ค่ า ห้อ ง และบาง
โรงพยาบาลมีการเก็บค่าธรรมเนียมประเภทหรือรายการใหม่ๆ เพิมขึนมาจากในอดีต เช่น                       ่ ้
ค่าลงทะเบียนผูปวยนอก ค่าลงทะเบียนผูปวยใน ค่าพยาบาลห้องผ่าตัดและค่าวิสญญีพยาบาล69
                      ้ ่                                    ้ ่                                          ั
หรือค่าเครืองมอนิเตอร์เครืองเดียวทีทาหน้าทีหลายอย่าง (เช่น เครื่องมอนิเตอร์ทใช้วดความดัน
             ่                           ่             ่ ํ            ่                                     ่ี ั
โลหิต blood gas และคลื่นหัวใจ) บางโรงพยาบาลทีเคยเรียกเก็บเป็ นค่าบริการรายการเดียว ก็
                                                                              ่
เปลียนมาแยกเก็บเป็ นสามรายการ (เป็ นรายชัวโมงหรือรายวัน) ทังทีใช้เครืองเดียวกัน70 เป็ นต้น
    ่                                                                     ่                     ้ ่     ่
อย่างไรก็ตาม ทีผ่านมาการหาข้อมูลส่วนนี้จากโรงพยาบาลเอกชนทําได้ยากกว่าทีคาดเอาไว้
                         ่                                                                                          ่
มาก (ทัง ที่แ ต่ เ ดิม นั น ผู้วิจ ัย คาดว่ า โรงพยาบาลส่ ว นใหญ่ น่ า จะยิน ดีใ ห้ข้อ มูล เพราะปกติ
          ้                        ้
โรงพยาบาลเหล่านี้มหน้าทีตามกฎหมายทีจะต้องประกาศราคาค่าบริการต่างๆ อยูแล้ว) และได้
                               ี           ่                       ่                                          ่
ข้อมูลทีไม่คอยสมบูรณ์นก
         ่ ่                           ั
          วิธทสอง ใช้การหารายรับเฉลียจากต่อคนไข้ (ต่อ visit หรือต่อ admission) โดยในกรณี
               ี ่ี                                        ่
โรงพยาบาลเอกชนทังสองกลุ่ม ใช้ขอมูลบัญชีในภาพรวมของโรงพยาบาลจากข้อมูลรายงานของ
                                     ้               ้
โรงพยาบาลที่ส่ง ให้ต ลาดหลัก ทรัพ ย์ โดยทัง สองวิธีจ ะเปรีย บเทีย บโรงพยาบาลในตลาด
                                                                            ้
                           ่                                      ้ ่
หลักทรัพย์กลุ่มทีเน้นการขยายตัวรองรับผูปวยชาวต่างชาติ กับโรงพยาบาลเอกชนทีอยูในตลาด                                 ่ ่
หลักทรัพย์แต่เน้นผูป่วยภายในประเทศในเขตกรุงเทพมหานครและปริมณฑล วิธน้ีมขอดีทจะ
                             ้                                                                                  ี ี ้ ่ี
ได้ภาพรวมโดยเฉลี่ยของโรงพยาบาล แต่ มข้อด้อยกว่าวิธีแรกตรงที่โรงพยาบาลต่ างๆ อาจ
                                                                        ี
ประกอบด้วยคนไข้ทมความรุนแรงของโรค (case mix) ทีต่างกัน อย่างไรก็ตาม จากการศึกษา
                                 ่ี ี                                                    ่
พบว่าข้อมูลทีสถานพยาบาลรายงานให้ตลาดหลักทรัพย์ไม่เพียงพอทีจะนํ ามาคํานวณเพื่อหา
                    ่                                                                                 ่
คําตอบเหล่านี้ (ยกเว้นในกรณีทผวจยเลือกใช้สมมุตฐานทีอาจจะไม่ตรงกับความเป็ นจริง เช่น
                                              ่ี ู้ ิ ั                         ิ          ่
สมมุตว่าราคาทีเก็บจากคนไข้ต่างชาติไม่ต่างจากราคาทีเก็บจากคนไทย และความรุนแรงของ
       ิ               ่                                                               ่



68
   ในโรงพยาบาลแห่งหนึ่งรายงานข้อมูลค่าใช้จ่ายการผ่าตัดริดสีดวงทวาร ซึงก็เป็ นหัตถการทีมคุณลักษณะที่
                                                                      ่              ่ ี
ใกล้เคียงกับกรณีทเี่ หลือ
69
    ซึงต่างกับค่าแพทย์หรือ doctor fee ทีโดยทัวไปแล้วโรงพยาบาลต้องจ่ายให้แพทย์ต่อการผ่าตัดแต่ละครัง
     ่                                 ่     ่                                                   ้
แต่ในกรณีพยาบาลห้องผ่าตัด หลายโรงพยาบาลคิดเป็ นอัตรารายชัวโมงทีค่อนข้างสูงในลักษณะที่คล้ายกับ
                                                              ่     ่
doctor fee ในขณะทีโรงพยาบาลจ้างพยาบาลเหล่านี้เป็ นรายเดือนในอัตราเงินเดือนพยาบาลปกติ
                      ่
70
   ในบางครังคนไข้อาจไม่มความจําเป็ นต้องใช้มอนิเตอร์ทงสามอย่างพร้อมๆ กัน
             ้             ี                         ั้

                                                         106
โรคไม่ต่างกัน เป็ นต้น) หรือบางครังก็ไม่สามารถทําได้เลย (ตัวอย่างเช่น สถานพยาบาลบางแห่ง
                                  ้
รายงานยอดขาย แต่ไม่รายงานจํานวนคนไข้ หรือไม่แยกผูปวยนอกและผูปวยใน)71
                                                        ้ ่           ้ ่

ผลการศึกษา
         โรงพยาบาล ก.
         โรงพยาบาล ก. เป็ นโรงพยาบาลเอกชนขนาดใหญ่ในกรุงเทพมหานคร ที่มบทบาท         ี
สําคัญในการรับคนไข้ต่างชาติ และมีตกพิเศษที่สร้างขึนเพื่อให้บริการชาวต่างชาติโดยเฉพาะ
                                         ึ           ้
การคิดอัตราค่าบริการในคนไข้ชาวไทยและชาวต่ างชาติจะต่างกัน เนื่ องจากจะมีค่าบริหาร
จัดการเพิมเติมในคนไข้ชาวต่างชาติ เช่น ค่าล่าม ค่าแพทย์และพยาบาลที่คอยให้ขอมูลและ
           ่                                                                     ้
เขียน medical report ตามความของต้องการของบริษทประกัน (ลูกค้าชาวต่างชาติสวนใหญ่จะ
                                                   ั                           ่
ใช้ป ระกัน) รวมไปถึงค่าห้องและค่าอาหาร (รวมถึงการมีตึกพิเ ศษที่ใ ห้บ ริการชาวต่ างชาติ
โดยเฉพาะ ซึงมีคาบริการทีสงกว่าตึกเดิมทีให้บริการลูกค้าคนไทย)
              ่ ่         ู่                 ่
         ข้อมูลราคาค่ารักษาพยาบาลทีรายงานในตารางที่ 6.1 และ 6.2 เป็ นข้อมูลของคนไข้ชาว
                                     ่
ไทย ซึ่งจะเห็นได้ว่าในส่วนของราคาทีเป็ นแพคเกจตามตารางที่ 6.2 (ซึ่งมีกลุ่มเป้าหมายอยู่ท่ี
                                           ่
กลุ่มคนไทยทีมรายได้ระดับกลาง) ในสีโรคแรกก็มอตราปรับเพิมขึนในปี 2551 (ข้อมูลช่วงกลาง
               ่ ี                     ่       ี ั        ่ ้
ปี) ในอัตราระหว่างร้อยละ 12-22 (ส่วนในกรณีการผ่าตัดเปลียนข้อเข่ามีการปรับเพิมไม่มาก ซึง
                                                        ่                    ่        ่
อาจเป็ นเพราะราคาเดิมค่อนข้างสูงอยูแล้ว)
                                   ่

     ตารางที่ 6.1 ค่าใช้จ่ายเฉลี่ยต่อรายจาก case ที่เกิ ดขึนจริ งของคนไข้ชาวไทยที่
                                                           ้
                       โรงพยาบาล ก. ตังแต่ปี 2548 จนถึงปัจจุบน
                                        ้                         ั
                                                    2548       2549        2550        2551
การคลอดลูกโดยการผ่าตัดคลอดทีไม่มโรคแทรกซ้อน
                                ่ ี
(1)                                                   58,000         -        -       80,000
การผ่าตัดไส้ตงทีไม่มโรคแทรกซ้อน(2)
               ิ่ ่ ี                                    -        80,000   97,000     98,000
การผ่าตัดไส้เลื่อนทีไม่มโรคแทรกซ้อน
                     ่ ี                                 -        70,000  101,000 157,000
การผ่าตัดถุงนํ้าดีทไม่มโรคแทรกซ้อน(2)
                   ่ี ี                                  -           -    195,000        -
การผ่าตัดเปลียนข้อเข่าทีไม่มโรคแทรกซ้อน(2)
             ่           ่ ี                             -       270,000 320,000 320,000
หมายเหตุ: (1) มี case การผ่าคลอดน้อยเพราะคนไข้สวนใหญ่จะใช้บริการแบบเป็ นแพคเกจ ซึงมีราคาถูกกว่า
                                                  ่                               ่
          (2) ไม่รวมเคสทีผาตัดโดยใช้กล้อง (ซึงส่วนใหญ่มคาใช้จายสูงกว่า)
                           ่ ่              ่          ี่ ่




71
     และในบางกรณีเมื่อคณะผู้วจยขอข้อมูลเหล่านี้เพิมเติม (รวมทังการแยกข้อมูลระหว่างคนไข้ไทยและ
                                  ิั                ่             ้
ต่างชาติ) ก็ได้รบคําตอบว่าเป็ นข้อมูลทีทางโรงพยาบาลถือว่าเป็ นความลับทางธุรกิจ
                ั                      ่


                                             107
ตารางที่ 6.2 ค่าบริ การเหมาจ่ายแบบเป็ นแพคเกจสําหรับคนไข้ชาวไทยที่โรงพยาบาล ก.
                                   ปี 2550-2551
                                                       จํานวน                          อัตรา
                                                       วันนอน       2550      2551 เพิ่ ม (%)
 การคลอดลูกโดยการผ่าตัดคลอดทีไม่มโรคแทรกซ้อน
                                     ่ ี                   3       48,000 58,000          20.8
 การผ่าตัดไส้ตงทีไม่มโรคแทรกซ้อน
                 ิ่ ่ ี                                   2-3     110,000 125,000         13.6
 การผ่าตัดไส้เลื่อนทีไม่มโรคแทรกซ้อน
                         ่ ี                              2-3      90,000 110,000         22.2
 การผ่าตัดถุงนํ้าดีทไม่มโรคแทรกซ้อน
                       ่ี ี                               3-4     250,000 280,000         12.0
 การผ่าตัดเปลียนข้อเข่าทีไม่มโรคแทรกซ้อน
               ่             ่ ี                          5-7     425,000 450,000          5.9
หมายเหตุ: ราคาแบบแพคเกจมีขอจํากัดในหลายกรณี เช่น ห้องพักเป็ นห้องธรรมดา และมีกาหนดเวลาในการ
                                   ้                                               ํ
        พักฟื้ นอย่างแน่ นอนตายตัว (ตัวอย่างเช่น ในกรณีของการผ่าตัดคลอดลูก จะเป็ นแพคเกจ 3 วัน 4
        คืน ดังนัน ถ้าคนไข้ท่ต้องการพักฟื้ นนานกว่านี้ หรือเด็กอาจต้องได้รบการดูแลนานกว่าระยะเวลา
                     ้           ี                                        ั
        ดังกล่าว ก็ไม่สามารถคิดราคาแบบแพคเกจได้ เช่นเดียวกับกรณีท่คนไข้ต้องการพักห้องพักแบบ
                                                                        ี
        พิเศษ)

         โรงพยาบาล ข.
         โรงพยาบาล ข. เป็ นโรงพยาบาลเอกชนในกรุงเทพมหานครทีไม่ได้อยูในย่านธุรกิจ แต่
                                                                 ่       ่
เดิมไม่ได้ให้บริการคนไข้ต่างชาติ แต่ในระยะหลังได้เริมให้บริการโดยเน้นทีโรคเฉพาะทางบาง
                                                    ่                 ่
ด้าน (เช่น การรักษาโรคหัวใจโดยใช้ Stem Cell) ข้อมูลในตารางที่ 6.3 เป็ นข้อมูลทีเป็ นของ
                                                                               ่
คนไข้คนไทย
         จากตารางที่ 6.3 จะเห็นได้ว่าอัตราเพิมของราคาค่ารักษาพยาบาลในช่วงสองปี หลัง คือ
                                              ่
ระหว่างปี 2548 กับ 2550 (รวมทังกรณีทคดไปถึงกลางปี 2551) สูงกว่าในช่วงสองปี ก่อนหน้า
                                ้        ่ี ิ
นัน (ปี 2546-2548) อย่างชัดเจน
  ้




                                              108
ตารางที่ 6.3 ค่าใช้จ่ายเฉลี่ยต่อรายจาก case ที่เกิ ดขึนจริ งของคนไข้ชาวไทยที่
                                                                      ้
                                  โรงพยาบาลข. ตังแต่ปี 2546 จนถึงปัจจุบน
                                                   ้                        ั
                                                                                          อัตรา       อัตรา       อัตรา     อัตรา
                                                                                           เพิ่ ม      เพิ่ ม      เพิ่ ม    เพิ่ ม
                                                                                 พค.
                                                                                          เฉลี่ย      เฉลี่ย      เฉลี่ย    เฉลี่ย
                             2546      2547       2548      2549      2550       2551     ต่อปี       ต่อปี       ต่อปี     ต่อปี
                                                                                          2546-       2548-       2546-     2546-
                                                                                            48          50          50      พค.51
การผ่าตัดคลอดทีไม่ม ี
                    ่
โรคแทรกซ้อน                  39,670    41,297    40,576    42,870    44,703     48,354        1.1           5.0       3.0       4.5
การผ่าตัดไส้ตงทีไม่ม ี
               ิ่ ่
โรคแทรกซ้อน                  40,464    41,818    47,898    55,123    66,259     62,084        8.8          17.6     13.1       10.0
การผ่าตัดไส้เลื่อนทีไม่  ่
มีโรคแทรกซ้อน                46,380    66,352    45,548    71,926    57,056     73,786       -0.9          11.9       5.3      10.9
การผ่าตัดถุงนํ้าดีทไม่่ี
มีโรคแทรกซ้อน                84,466    109,947   125,746   189,412   197,439    160,463      22.0          25.3     23.6       15.3
การผ่าตัดเปลียนข้อ
             ่
เข่าทีไม่มโรคแทรก
      ่ ี
ซ้อน                         194,970   191,006   176,510   199,911   238,935    no case      -4.9          16.3       5.2      n.a.
       หมายเหตุ: ข้อมูลปี 2551 เป็ นข้อมูลถึงเดือน พ.ค.
                 อัตราเพิมเฉลียต่อปี ใช้สมมุตฐานว่ามีการเพิมในอัตราทีคงทีตลอดช่วงระยะเวลา 2, 2, 4 และ 4.5
                          ่ ่                 ิ            ่        ่ ่
                        ปี ตามลําดับ


        ตารางที่ 6.4 ค่าบริ การเหมาจ่ายแบบเป็ นแพคเกจสําหรับคนไข้ชาวไทยที่โรงพยาบาล ข.
                                          เมื่อต้นปี 2551
                                                                                                                   ผ่าตัด
                                                                      ห้องพัก      ห้องพัก          ห้องพัก       โดยส่อง
                                                                         คู่        เดี่ยว            VIP          กล้อง
         การคลอดลูกโดยการผ่าตัดคลอดทีไม่มโรคแทรกซ้อน
                                         ่ ี                          38,900       42,900           45,900          n.a.
         การผ่าตัดไส้ตงทีไม่มโรคแทรกซ้อน
                        ิ่ ่ ี                                           -         60,000           70,000         90,000
         การผ่าตัดไส้เลื่อนทีไม่มโรคแทรกซ้อน
                              ่ ี                                        -         60,000              -            n.a.
         การผ่าตัดถุงนํ้าดีทไม่มโรคแทรกซ้อน
                            ่ี ี                                         -         80,000              -           95,000
         การผ่าตัดเปลียนข้อเข่าทีไม่มโรคแทรกซ้อน (รวมข้อ
                      ่           ่ ี
         เทียม)                                                           -        200,000             -               -




                                                              109
เพื่อเป็ นการเปรียบเทียบตารางที่ 6.5 เสนอราคาค่าบริการแบบเหมาจ่ายเป็ นแพคเกจ
ของโรงพยาบาล ค. (ซึ่ง เป็ น โรงพยาบาลในจัง หวัด รอบกรุง เทพมหานครที่มีผู้บ ริห ารกลุ่ ม
เดียวกับโรงพยาบาล ข. โรงพยาบาล ค. ไม่ได้มเี ป้าหมายในการให้บริการคนไข้ต่างชาติ และ
มีรายรับส่วนสําคัญจากโครงการประกันสังคม)

ตารางที่ 6.5 ค่าบริ การเหมาจ่ายแบบเป็ นแพคเกจสําหรับคนไข้ชาวไทยที่โรงพยาบาล ค.
                                  เมื่อต้นปี 2551
                                                                                    ผ่าตัด
                                                    ห้องพัก   ห้องพัก    ห้องพัก   โดยส่อง
                                                       คู่      เดี่ยว     VIP      กล้อง
 การคลอดลูกโดยการผ่าตัดคลอดทีไม่มโรคแทรกซ้อน
                               ่ ี                  31,000    33,000     38,000      n.a.
 การผ่าตัดไส้ตงทีไม่มโรคแทรกซ้อน
              ิ่ ่ ี                                          38,000     45,000
                                                               (2 วัน)
 การผ่าตัดไส้เลื่อนทีไม่มโรคแทรกซ้อน
                     ่ ี                                      38,000                 n.a.
                                                              80,000                 85,000
 การผ่าตัดถุงนํ้าดีทไม่มโรคแทรกซ้อน
                    ่ี ี                                       (2 วัน)
 การผ่าตัดเปลียนข้อเข่าทีไม่มโรคแทรกซ้อน (รวมข้อ
              ่           ่ ี                                 180,000
 เทียม)                                                        (7 วัน)



        โรงพยาบาล ง.
        โรงพยาบาล ง. เป็ นโรงพยาบาลเอกชนในจังหวัดใหญ่ในภาคตะวันออกเฉียงเหนือ และ
เป็ นโรงพยาบาลในเครือใหญ่เครือหนึ่ง ซึ่งมีโรงพยาบาลในเครือหลายโรงทีมบทบาทสําคัญใน
                                                                         ่ ี
การให้บริการชาวต่างชาติ แต่โรงพยาบาล ง. ไม่ได้เป็ นหนึ่งในจํานวนนัน ในขณะเดียวกัน
                                                                       ้
โรงพยาบาล ง. ก็ไม่ได้เข้าร่วมโครงการประกันสุขภาพของรัฐ จึงถือได้ว่าโรงพยาบาล ง. เป็ น
โรงพยาบาลเอกชนในจังหวัดใหญ่ทเี่ น้นลูกค้าทีมกาลังซือในจังหวัดทีตงและจังหวัดใกล้เคียง
                                             ่ ีํ ้             ่ ั้
        ข้อมูลจากตารางที่ 6.6 บ่งชีวาค่ารักษาพยาบาลของโรคพืนๆ ก็เพิมขึนอย่างมีนยสําคัญ
                                   ้่                       ้        ่ ้           ั
ในระยะสองปี ท่ผ่านมา อาจจะยกเว้นกรณีผ่าตัดไส้ติ่ง ที่เพิมขึนในอัตราที่ต่ํากว่า ซึ่งอาจเป็ น
               ี                                        ่ ้
เพราะะโรงพยาบาลสามารถทีจะลดวันนอนของเคสเหล่านี้ลงโดยเฉลียประมาณหนึ่งวัน
                            ่                                 ่




                                              110
ตารางที่ 6.6 ค่าใช้จ่ายเฉลี่ยต่อรายจาก case ที่เกิ ดขึนจริ งที่โรงพยาบาล ง.
                                                              ้
                                 ตังแต่ปี 2548 ถึงปัจจุบน
                                     ้                  ั
                               จํานวน        2549         2550       2551      อัตราเพิ่ ม   อัตราเพิ่ ม
                               วันนอน                                          ปี 50 (%)     ปี 51 (%)
 การคลอดลูกโดยการผ่าตัด
 คลอดทีไม่มโรคแทรกซ้อน
        ่ ี                           4        31,621 36,223 54,857          14.6                  51.4
 การผ่าตัดไส้ตงทีไม่มโรค
                 ิ่ ่ ี              ดูใน      39,468 42,015     *            6.5                     *
 แทรกซ้อน                           วงเล็บ   (4-5 วัน) (3-4 วัน)
 การผ่าตัดริดสีดวงทวารทีไม่ ดูใน  ่            24,111 27,629
 มีโรคแทรกซ้อน                      วงเล็บ   (3-6 วัน) (2-3 วัน) *           14.6                      *
 การผ่าตัดไส้เลื่อนทีไม่มโรค่ ี
 แทรกซ้อน                              *        *          *     *
 การผ่าตัดถุงนํ้าดีทไม่ม ี
                         ่ี
 โรคคแทรกซ้อน                         **        **        **     **
 การผ่าตัดเปลียนข้อเข่าทีไม่
               ่                ่
 มีโรคแทรกซ้อน                        **        **        **     **
หมายเหตุ * มีจานวน case น้อยเกินไปทีจะนํามาประมวลผลอย่างมีความน่าเชื่อถือได้
                   ํ                       ่
         ** ไม่มขอมูลี ้

         โรงพยาบาลกรุงเทพภูเก็ต

                                                        ่ ั้         ่        ั ั
         โรงพยาบาลกรุงเทพภูเก็ต เป็ นโรงพยาบาลทีตงในแหล่งท่องเทียว และปจจุบนมีรายได้
ส่วนใหญ่จากคนไข้ต่างชาติ คนไข้ต่างชาติสวนใหญ่เป็ นนักท่องเทียว ซึงปกติจะมีนกท่องเทียว
                                              ่                  ่ ่             ั        ่
เข้ามาที่ภูเก็ตถึง 5 ล้านคนต่อปี แต่นักท่องเที่ยวจะเข้ามามากเฉพาะในฤดูท่องเที่ยว ทัง        ้
ผูบริหารและแพทย์โรงพยาบาลกรุงเทพภูเก็ตต่างก็ตระหนักดีว่าไม่สามารถพึงแต่คนไข้ต่างชาติ
  ้                                                                        ่
ฐานลู ก ค้า คนไทยจึง ยัง เป็ น แหล่ ง รายได้ท่ีสํา คัญ ของโรงพยาบาล (ดูร ายละเอีย ดเกี่ย วกับ
โรงพยาบาลกรุงเทพภูเก็ตและแนวทางการบริหารของโรงพยาบาลเพิมเติมในกรอบที่ 7.1 ในบท
                                                                   ่
สุดท้าย)
            หลังจากทีโรงพยาบาลผ่านพ้นวิกฤติสนามิมาได้ และประสบความสําเร็จในการดึงคนไข้
                        ่                         ึ
                                     ่ ่ ่
ต่างชาติ (นอกเหนือจากนักท่องเทียวทีปวย) เข้ามามากขึน ผูบริหารโรงพยาบาลมีนโยบายลด
                                                              ้ ้
ค่ารักษากับคนไข้ไทย ซึงส่วนหนึ่งจะเห็นได้จากข้อมูลในตารางที่ 6.7 ซึงโดยเฉลียแล้วโรคทีมี
                              ่                                               ่            ่             ่
ค่ า ใช้จ่ า ยเกิน หนึ่ ง แสนบาทจะมีค่า ใช้จ่ า ยลดลงหรือ เพิ่ม ขึ้น ในอัต ราที่ค่ อ นข้า งตํ่ า (สํา หรับ




                                                    111
ชาวต่างชาตินน ทางโรงพยาบาลเก็บค่ารักษาในอัตราทีสงกว่าคนไทย โดยเฉพาะคนต่างชาติท่ี
             ั้                               ู่
                                       72
ไม่ได้พานักอาศัยอยูในพืนทีเป็ นประจํา)
       ํ           ่ ้ ่


ตารางที่ 6.7 ค่าใช้จ่ายเฉลี่ยต่อรายจาก case ที่เกิ ดขึนจริ ง ที่โรงพยาบาลกรุงเทพภูเก็ต
                                                      ้
                                     ปี 2549-2550
ประเภทของหัตถการ         ประเภทของคนไข้            2549          2550         อัตราเพิ่ ม
การผ่าตัดคลอด            คนไข้ไทย                    47,054        46,675          -0.8%
                             (จํานวน case)               43           104           142%
                         คนไข้ต่างชาติ               50,266        52,397            4.2%
                             (จํานวน case)                5            12           140%
การผ่าตัดไส้ติ่ง         คนไข้ไทย                    62,989        80,824          28.3%
                             (จํานวน case)               20            56           180%
                         คนไข้ต่างชาติ              191,463       189,655          -0.9%
                             (จํานวน case)               10            48           380%
การผ่าตัดไส้เลื่อน       คนไข้ไทย                   106,060        71,741         -32.4%
                             (จํานวน case)                6             9            50%
                         คนไข้ต่างชาติ               92,842       205,352         121.2%
                             (จํานวน case)                5             8            60%
การผ่าตัดถุงนํ้าดี       คนไข้ไทย                   142,632       146,444           2.7%
                             (จํานวน case)                3             5            67%
                         คนไข้ต่างชาติ                  N/A       417,258             N/A
                             (จํานวน case)              N/A             3             N/A
การผ่าตัดข้อเข่า         คนไข้ไทย                   233,979       217,533          -7.0%
                             (จํานวน case)                2             7           250%
                         คนไข้ต่างชาติ                  N/A       368,863             N/A
                             (จํานวน case)              N/A             4             N/A

ทีมา: โรงพยาบาลกรุงเทพภูเก็ต
  ่




72
   ในบรรดาโรงพยาบาลทีคณะผูวจยได้ศกษานัน นอกจากโรงพยาบาลกรุงเทพภูเก็ตแล้ว มีโรงพยาบาลอีก
                       ่      ้ิั   ึ   ้
แห่งหนึ่งทีตงในกรุงเทพมหานครทีมนโยบายเก็บค่ารักษาคนไข้ต่างชาติต่างจากคนไทย (แต่คณะผูวจยไม่ม ี
           ่ ั้                 ่ ี                                                 ้ิั
ข้อมูลรายละเอียดด้านราคาค่ารักษาพยาบาลของโรงพยาบาลดังกล่าว)

                                             112
การวิ เคราะห์

        เนื่องจากอุปสรรคในด้านการหาข้อมูล ข้อมูลการทีรวบรวมมาได้ในส่วนนี้จงไม่ค่อยเป็ น
                                                     ่                    ึ
ระบบหรือครบถ้วนตามทีคณะผูวจยวางแผนเอาไว้ตอนแรก แต่กพอจะเห็นแบบแผน (pattern)
                        ่    ้ิั                          ็
ทีคล้ายกันในบางด้าน
  ่
          สําหรับโรงพยาบาลส่วนใหญ่ในการศึกษานี้ ที่ไม่ได้มนโยบายเรียกเก็บค่าบริการใน
                                                                       ี
อัตราทีต่างกันสําหรับชาวต่างชาติ (ยกเว้นการเก็บค่าใช้จ่ายทีเพิมขึนเนื่องจากมีบริการหรือค่า
        ่                                                             ่ ่ ้
การจัดการทีเพิมขึน) และโรงพยาบาลทีไม่ได้เน้นการให้บริการชาวต่างชาตินัน ข้อมูลในระยะ
              ่ ่ ้                             ่                                       ้
หลัง แสดงให้เห็นว่าค่าใช้จ่ายในด้านการรักษาพยาบาลในช่วงสองถึงสามปี ทผานมามีอตราเพิม  ่ี ่     ั     ่
ค่อนข้างสูง (ส่วนใหญ่อยูระหว่างร้อยละ 10-25 ต่อปี ) และข้อมูลทีพอมีอยูบางบ่งชีว่าอัตราเพิม
                         ่                                                   ่   ่ ้        ้         ่
ในช่วงสองสามหลังนี้สูงกว่าอัตราเพิมในช่วงก่อนหน้านัน (เช่น ระหว่างปี 2546-2548) อย่าง
                                      ่                         ้
เห็นได้ชด ถึงแม้ว่าเราจะไม่มหลักฐานที่ช้ชดได้ว่าอัตราการเพิมที่สูงขึนมีส่วนที่เกิดจากการ
          ั                    ี                    ี ั                  ่     ้
ขยายตัวของบริการชาวต่างชาติ แต่กมความเป็ นไปได้มากทีราคาค่ารักษาพยาบาลที่เพิมขึน
                                          ็ ี                       ่                           ่ ้
อย่างรวดเร็วในภาคเอกชนในระยะหลังจะมีผลต่อการเข้าถึงบริการโรงพยาบาลเอกชนของคน
ไทย (โดยเฉพาะในกลุ่มชนชันกลาง)
                             ้
          กรณีโรงพยาบาลกรุงเทพภูเก็ต ซึงมีนโยบายทีชดเจนเก็บค่ารักษาชาวต่างชาติในอัตรา
                                                  ่           ่ ั
ทีสงกว่าคนไทย อาจถือเป็ นข้อยกเว้นทีทําให้อตราเพิมของค่ารักษาพยาบาลสําหรับคนไทยไม่
   ู่                                         ่         ั   ่
เพิมขึนสูงเท่า (หรือใกล้เคียงกับ หรือรวดเร็วเท่า) อัตราเพิมของค่ารักษาพยาบาลสําหรับชาว
    ่ ้                                                           ่
                ่ ั ั
ต่างประเทศ ซึงปจจุบนมีระดับราคาทีคอนข้างสูง (ยกเว้นการผ่าตัดคลอด แต่คงเป็ นเพราะกรณี
                                        ่ ่
นี้สวนใหญ่เป็ นการบริการชาวต่างชาติทมถนพํานักอยูในประเทศไทย)73 ซึงถ้าเก็บค่าบริการใน
     ่                                      ่ี ี ิ่       ่                       ่
อัตราดังกล่าวกับคนไทย ก็คงมีโอกาสมากที่จะส่งผลด้านลบไปถึงความสามารถในการเข้าถึง
บริการของคนไทยและต่อรายได้ของโรงพยาบาลเองในที่สุด วิธเก็บค่าบริการสองราคา(และ
                                                                           ี
พยายามดูแ ลไม่ใ ห้ค่า บริก ารที่เ ก็บ กับ คนไทยสูงจนเกิน ไป) จึง น่ า จะเป็ นวิธีท่ีมป ระสิท ธิผ ล
                                                                                          ี
สําหรับโรงพยาบาลด้วย

6.2 ผลกระทบต่อการเข้าถึงบริการที่มีคณภาพของคนไทย
                                    ุ
        การเป็ น medical hub มีโอกาสทีจะส่งผลกระทบต่อการเข้าถึงบริการทีมคุณภาพของ
                                     ่                                 ่ ี
คนไทยในทังสองด้าน กล่าวคือ การปรับตัวของสถานพยาบาลของไทยเพื่อรับคนไข้ต่างชาติ
            ้
ย่อมทําให้สถานพยาบาลจํานวนหนึ่งพัฒนามาตรฐานไปสูระดับสากลได้มากขึน ซึงน่ าจะช่วยให้
                                                   ่                ้ ่
  ้ ่
ผูปวยชาวไทยทีมกําลังทรัพย์มากพอทีจะแข่งขันกับกําลังซือจากต่างประเทศและยังสามารถไป
                ่ ี               ่                  ้
ใช้บริการจากสถานพยาบาลเหล่านันมีโอกาสได้รบบริการทีมคุณภาพมาตรฐานสูงขึน แต่ใน
                                ้           ั          ่ ี                 ้
ขณะเดียวกัน ถ้าการมี medical hub ทําให้ค่าใช้จ่ายในการเข้ารับบริการที่สถานพยาบาล

73
  เพราะปกติจะไม่คอยมีการบินข้ามประเทศมาคลอดในประเทศอื่น และโดยหลักการแล้วสายการบินส่วน
                 ่
ใหญ่จะไม่อนุญาตให้สตรีมครรภ์ขนเครืองบินในช่วงสามเดือนสุดท้ายของการตังครรภ์
                       ี     ้ึ ่                                   ้

                                                 113
เหล่านันเพิมขึนรวดเร็วกว่าเดิม ก็อาจจะทําให้คนไทยจํานวนไม่น้อยทีเคยเข้าถึงบริการเหล่านัน
           ้ ่ ้                                                                       ่                                ้
ไม่มกาลังทรัพย์พอทีจะใช้บริการทีสถานพยาบาลเดิมหรือในระดับเดิมได้อกต่อไป และต้องหันไป
        ีํ               ่              ่                                                ี
หาบริก ารที่ส ถานพยาบาลระดับ รองลงมาที่ค งมีร าคาแพงขึ้น เช่ น กัน (แต่ ย ัง ไม่ แ พงเท่ า
สถานพยาบาลกลุ่มแรก) และอาจมีผลต่อกันไปเป็ นลูกโซ่
            สําหรับคนไทยส่วนใหญ่ทมรายได้กระจุกกันอยู่ทดานล่าง คงต้องหันไปพึงบริการของ
                                          ่ี ี                              ่ี ้                    ่
โครงการหลักประกันสุขภาพถ้วนหน้า (รวมทังประกันสังคม และสวัสดิการข้าราชการ) มากขึน
                                                            ้                                                       ้
และการทีแพทย์ทมทกษะสูงถูกดึงดูดไปสูภาคทีมกาลังซือสูงจากต่างประเทศมากขึนนัน ก็ยอม
               ่     ่ี ี ั                           ่         ่ ีํ ้                             ้ ้          ่
ทําให้คนส่วนใหญ่ของประเทศมีโอกาสทีจะได้รบบริการทีมคุณภาพตํ่าลง (หรืออาจจะเข้าถึงยาก
                                                 ่            ั           ่ ี
ขึนและได้รบการดูแลในเวลาทีจากัดขึน ซึงผลกระทบในส่วนนี้มโอกาสทีจะเป็ นปญหาใหญ่กว่าทีคน
  ้              ั                 ่ํ        ้ ่                                 ี   ่           ั                ่
ทัวไปคิด เพราะคนไข้ต่างประเทศทีเข้ามาหนึ่งคนอาจใช้เวลาของแพทย์เป็ นสิบเท่าของเวลาที่
      ่                                       ่
แพทย์ใช้ตรวจคนไข้ในโครงการหลักประกันสุขภาพถ้วนหน้าหรือในโครงการประกันสังคม)74
และถ้าจะรักษาคุณภาพการรักษาพยาบาลของโครงการเหล่านี้ (หรือยกระดับคุณภาพมาตรฐาน
ให้ทดเทียมหรือใกล้เคียงกับสถานพยาบาลใน medical hub) ก็คงมีความจําเป็ นต้องปรับเพิม
        ั                                                                                                             ่
ค่าใช้จ่ายในด้านการรักษาพยาบาล (โดยเฉพาะอย่างยิงในส่วนของค่าตอบแทนแพทย์) ของทัง
                                                                      ่                                                   ้
โครงการหลักประกันสุขภาพถ้วนหน้าและโครงการประกันสังคมในอัตราทีสงขึนและเร็วขึนกว่า             ่ ู ้            ้
ในกรณีทไม่มโครงการนี้เป็ นอย่างมาก
             ่ี ี
            นอกจากนี้ การขยายตัวและการยกระดับคุณภาพมาตรฐานของ medical hub ซึงย่อมมี                    ่
ส่ว นที่ใ ห้บ ริก ารคนไทยด้ว ยนัน ย่อ มมีโ อกาสที่จ ะเพิ่ม ความแตกต่ า งในด้า นมาตรฐานการ
                                      ้
                            ั ั ี
รักษาพยาบาล (ซึ่งปจจุบนก็มความเป็ นทวิและพหุมาตรฐานอยู่แล้ว) ขึนไปอีก รวมทังความ           ้               ้
นิ ย มในการใช้เ ทคโนโลยีแ ละยาใหม่ๆ ที่มีร าคาแพง (รวมทัง เทคโนโลยีแ ละยาที่ย ง อยู่ใ น
                                                                                   ้                     ั
ขันทดลอง หรือเทคโนโลยีและยาที่ผ่านการพิสูจน์ผลในด้านการรักษามาพอสมควรแล้ว แต่มี
    ้
ต้นทุนทีสงเมื่อเทียบกับระดับรายได้ของคนไทย) ซึงอาจส่งผลให้เกิดแนวโน้มการเรียกร้องสิทธิ ์
            ู่                                                      ่
ในการใช้เทคโนโลยีและยาราคาแพงในโครงการหลักประกันสุขภาพถ้วนหน้ าและโครงการ
ประกันสังคมเพิมขึน และส่งผลกระทบต่อค่าใช้จ่ายหรือปญหาในการบริหารจัดการโครงการ
                    ่ ้                                                        ั
เหล่านี้ตามมา
            อย่างไรก็ตาม การวัดประโยชน์ทคนไทยจะได้รบจากการปรับตัวและปรับมาตรฐานของ
                                                   ่ี                   ั
สถานพยาบาลต่างๆ ทําได้ค่อนข้างยาก (และการวัดเฉพาะประโยชน์ เฉพาะจากผู้ท่ได้รบ                                 ี ั
ประโยชน์ โดยไม่ได้วดความสูญเสียของผูท่ถูกผลักดันออกไปจากสถานพยาบาลที่เขาเคยใช้
                             ั                          ้ ี
ด้วยอุปสรรคด้านการเงิน ก็คงจะไม่ใช่วธวดทีดนัก) ในขณะเดียวกัน การวัดผลกระทบของการมี
                                                ิีั ่ ี
โครงการ medical hub ทีมต่อคุณภาพและการเข้าถึงในส่วนของโครงการหลักประกันสุขภาพ
                               ่ ี

74
   เป็ นไปได้วา ในสภาวะการณ์ทเี่ ปลียนแปลงไปนี้ จะก่อให้เกิดการ “ปฏิรป” และเปลียนแปลงกระบวนทัศน์
               ่                    ่                                ู         ่
            ่ี                        ่
เช่น คนไข้ทมาโรงพยาบาลโดยไม่ได้ปวยหนักอาจจะได้พบพยาบาลเวชปฏิบตแทนการพบแพทย์ หรืออาจมี
                                                                       ั ิ
การหันมาใช้ระบบนัดตรวจล่วงหน้า หรือการใช้การปรึกษาทางโทรศัพท์มากขึน ฯลฯ การปฏิรปเหล่านี้คงมี
                                                                         ้           ู
ส่วนช่วยลดต้นทุนและทําให้ cost effective มากขึน แต่กมโอกาสทีตองเสียสละ “คุณภาพ” ลงบางส่วนเช่นกัน
                                              ้     ็ ี      ่ ้

                                                          114
ถ้วนหน้า (รวมประกันสังคม) ในช่วงนี้กทาได้ยากเช่นกัน75 เพราะในช่วงระยะเวลาเดียวกับทีมการ
                                            ็ ํ                                                  ่ ี
ขยายตัวของ medical hub เกิดขึนในช่วงเดียวกันกับทีมการปฏิรปด้านหลักประกันสุขภาพต่างๆ
                                      ้                         ่ ี         ู
ในแทบทุกโครงการ ตัวอย่างเช่น การมีโครงการหลักประกันสุขภาพถ้วนหน้าซึ่งน่ าจะทําให้การ
เข้าถึงบริการของคนไทยจํานวนหนึ่งดีขน (อย่างน้อยก็ในระยะสัน)
                                         ้ึ                           ้
                    ่             ั
        ประเด็น ทีน่ า จะเป็ น ป ญ หามากกว่า คือ แนวโน้ม ทีแ พทย์ผูเ ชีย วชาญทีเ่ ป็ น กํา ลัง
                                                                          ่       ้ ่
สําคัญทังในด้านการเรียนการสอนและการบริหาร (รวมทังการให้บริการเฉพาะทางสําหรับ
           ้                                                        ้
case การเจ็บป่วยทีมความซับซ้อนหรือโรคทีพบได้น้อย (rare disease) ทีต้องอาศัยความ
                        ่ี                        ่                                    ่
เชีย วชาญและประสบการณ์ใ นการวินิจ ฉัย และรัก ษา) ในโรงเรีย นแพทย์แ ละโรงพยาบาล
      ่
ตติย ภูมข องภาครัฐ ถูกดึงตัวออกมาจากภาครัฐ เนื องจากการขยายตัว ของภาคเอกชนเพือ
         ิ                                                    ่                                      ่
ดึงดูดหรือรองรับ คนไข้ต่างชาติ (เช่น ด้ว ยการแข่งขันกันสร้างศูนย์เ ชีย วชาญในด้านต่า งๆ
                                                                                   ่
ในโรงพยาบาลเอกขน เพือเป็ นจุดขายให้กบคนไข้ต่างชาติ) แพทย์และพยาบาลที มีความ
                                ่               ั                                             ่
เชี ยวชาญเฉพาะทางถูกดึงตัวจากภาครัฐ โดยเสนอค่าตอบแทนที สูงกว่าที ได้รบจาก
    ่                                                                                ่      ่ ั
ภาครัฐ หลายเท่ า ตัว (และมีก ารดึง ต่ อ กัน เป็ นทอดๆ) จนอาจทํา ให้ ศ ก ยภาพและ          ั
ความสามารถของระบบบริ การ (และการเรียนการสอนนักศึกษาแพทย์) ของภาครัฐ
ด้อยหรือเสื อมลงไป ก่อให้ เกิ ดปั ญหาความเสื อมถอยในระบบของรัฐในระยะยาว จน
               ่                                          ่
อาจทํา ให้สถานพยาบาลของรัฐ (ทีย งคงเป็ นทีพึงของคนส่ว นใหญ่ข องประเทศ) กลายเป็ น
                                        ่ั          ่ ่
สถานพยาบาลชันสองทีรกษาได้แต่โรคพื้นๆ ในทีสุด76
                  ้          ่ั                         ่
                                    ั
        อย่างไรก็ตาม ด้วยปญหาข้อจํากัดต่างๆ ทีกล่าวมาข้างต้น การศึกษาในส่วนนี้จงใช้วธี
                                                            ่                                   ึ ิ
การศึกษาในเชิงคุณภาพ โดยพยายามประมวลให้เห็นภาพความเปลียนแปลงในด้านบุคลากรในส่วน
                                                                              ่
ของแพทย์ผู้เชี่ยวชาญในโรงเรียนแพทย์และสถานพยาบาลตติยภู มิเฉพาะทางของรัฐ โดย
สัมภาษณ์ผูบริหารโรงเรียนแพทย์ (เช่น โรงพยาบาลศิรราช และโรงพยาบาลรามาธิบดี) และใน
             ้                                                   ิ
โรงพยาบาลตติยภูมเฉพาะทางของรัฐ (สถาบันโรคทรวงอก) ซึงการศึกษาส่วนนี้จะช่วยเสริมผล
                      ิ                                                 ่
การศึกษาในตอนที่ 5 (ทีเป็ นการศึกษาเรื่องบุคลากรในเชิงปริมาณ) อีกทางหนึ่ง ผลการศึกษาใน
                           ่
สองส่วนนี้ ประกอบกับผลกระทบในด้านราคา (จากหัวข้อ 6.1)                            และผลต่อเศรษฐกิจของ
ประเทศ (จากการศึกษาในตอนที่ 4) จะช่วยให้เห็นภาพรวมของผลกระทบของโครงการ
medical hub ทังทีได้ดาเนินการจนประสบความสําเร็จพอสมควรในปจจุบนแล้ว กับแนวโน้มใน
                 ้ ่ ํ                                                          ั ั


75
                                                                                    ้ ่
      ในส่วนของโครงการประกันสังคมนัน พบว่ามีโรงพยาบาลบางแห่งในภาคตะวันออกหยุดรับผูปวยประกันสังคม
                                     ้
                                                          ้ ่ ่่         ้ ่ ่ ี
ซึงน่าจะเกิดจากทางโรงพยาบาลเห็นว่าจากการหันไปรักษาผูปวยทีจายเงิน (และผูปวยทีมประกันสุขภาพเอกชน)
   ่
จะทํากําไรได้มากกว่า ซึงอาจเป็ นเพราะค่ารักษาพยาบาลทีสงขึนในระยะหลัง
                         ่                             ่ ู ้
76
     หรือแม้กระทังสถานพยาบาลของรัฐบางแห่ง (เช่นโรงพยาบาลศิรราช) จะมีแนวคิดทีจะรักษาบุคลากรเอาไว้
                 ่                                               ิ            ่
ตามแนวทางทีได้กล่าวไว้ในตอนที่ 2 (และมีมติ ครม. ทีให้โรงพยาบาลศิรราชดําเนินการดังกล่าวด้วย) ก็ยงมี
               ่                                     ่               ิ                           ั
ผูท่ตงข้อกังขาว่า ถ้าทําได้สําเร็จตามเป้าหมายแล้ว จะมีผลทําให้โอกาสการเข้าถึงทรัพยากรของภาครัฐใน
  ้ ี ั้
ส่วนนี้เพิมขึน (เนื่ องจากทําให้ศรราชมีกําลังทรัพย์ในการลงทุนมากขึน) หรือลดลง (ยกเว้นกลุ่มผู้มฐานะดี
           ่ ้                    ิิ                               ้                          ี
จริงๆ เพราะราคาค่ารักษาพยาบาลในบริการเหล่านี้จะแพงขึนตามไปด้วย)
                                                             ้

                                                 115
อนาคต เพื่อจะเป็ นข้อมูลพื้นฐานให้ฝ่ายต่างๆ ได้พจารณาต่อไปว่าการที่จะทําให้เกิด (หรือ
                                                ิ
รักษา) สมดุลระหว่างผลกระทบในด้านต่างๆ ของการมี medical hub ทีผ่านมา (และ/หรือที่
                                                                ่
กําลังจะเกิดขึนในอนาคตอันใกล้) นัน ควรต้องมีการปรับเปลี่ยนนโยบายหรือมาตรการต่างๆ
             ้                   ้
หรือไม่เพียงใด

การปรับตัวเพือรักษาคุณภาพบุคลากรของสถานพยาบาลภาครัฐ
             ่
           การขยายตัวของธุรกิจโรงพยาบาลเอกชนที่เกิดขึนอย่างรวดเร็วในช่วงประมาณสอง
                                                                     ้
ทศวรรษทีผานมาส่วนหนึ่งได้รบอานิสงส์จากการผลิตบุคลากรในภาครัฐ (ตัวอย่างเช่น แพทย์ท่ี
             ่ ่                     ั
ผ่า นการใช้ทุ น และกลับ มาเรีย นต่ อ เฉพาะทางจํา นวนไม่น้อ ย ย้า ยไปทํา งานในภาคเอกชน
หลังจากใช้ทุนครบ หรือจ่ายค่าชดเชยให้ภาครัฐ) และจากการ “ยืนสองขา” ของแพทย์ในระบบ
โรงพยาบาลรัฐ และอาจารย์แพทย์จากโรงเรียนแพทย์โดยส่วนใหญ่ ทีจะแบ่งเวลาส่วนหนึ่งไป   ่
ทํางานให้โรงพยาบาลเอกชน
           อย่างไรก็ตาม เมือโรงพยาบาลเอกชนขยายตัวอย่างรวดเร็วมากขึน (ซึงส่วนหนึ่งคงเป็ น
                           ่                                                        ้ ่
ผลของการขยายตัวของ medical tourism ในประเทศไทย) ก็ทําให้เกิดแรงดึงดูดแพทย์จาก
ภาครัฐและอาจารย์แพทย์ทรุนแรงขึน เนื่องจากสถานพยาบาลของเอกชนต่างก็แข่งขันกันด้วย
                                ่ี          ้
การเปิ ดศูนย์แพทย์เฉพาะทาง ซึงต้องการแพทย์ผเชียวชาญมาประจํา (แทนทีจะเป็ นแบบ part
                                       ่            ู้ ่                                   ่
                                         77
time หรือ consultant แบบเดิม) โรงเรียนแพทย์หลายแห่งสูญเสียอาจารย์แพทย์เป็ นจํานวน
มาก (และในหลายกรณีกมการดึงไปทังทีม)
                          ็ ี                     ้
                       ้                                 ั
           ในอดีตนัน โรงเรียนแพทย์เคยพยายามแก้ปญหาทีอาจารย์แพทย์ตองออกไปหารายได้
                                                                       ่               ้
ข้างนอกโดยการเปิ ดคลินิกพิเศษนอกเวลา (และในระยะหลังโรงพยาบาลจุฬาฯ ได้ขยายออกไป
รองรับผูป่วยในตามโครงการผ่าตัดนอกเวลาด้วย) แต่ผบริหารโรงเรียนแพทย์บางท่านก็เห็นว่า
           ้                                                  ู้
มาตรการเหล่านันไม่เพียงพอ และหันมาพัฒนาโรงพยาบาลของตนให้มความทันสมัยในด้าน
                     ้                                                               ี
ภูมทศน์ และความสะดวกสบายให้เทียบเท่าโรงพยาบาลเอกชนชันนํ า ตัวอย่างเช่น โรงเรียน
    ิ ั                                                                     ้
แพทย์ของรัฐทีมช่อเสียงมากทีสุดแห่งหนึ่งคือโรงพยาบาลศิรราช ได้มการปรับตัวให้มความทันสมัย
                 ่ ี ื             ่                               ิ          ี              ี
ขึน และมีการพัฒนาศูนย์รกษาโรคเฉพาะทาง เช่น ศูนย์หวใจ และศูนย์มะเร็ง โดยในส่วนของศูนย์
  ้                          ั                                   ั
หัวใจนัน ตังแต่ช่วงปลายปี 2549 ศิรราชได้เปิ ดศูนย์ทมช่อเฉพาะเป็ นภาษาอังกฤษว่า “The Heart
          ้ ้                                 ิ        ่ี ี ื
by Siriraj” เป็ นองค์กรอิสระภายใต้กากับของคณะแพทยศาสตร์ศรราชฯ ซึงในทางปฏิบตเป็ น
                                                ํ                          ิิ            ่     ั ิ
เสมือนโรงพยาบาลเอกชนในโรงพยาบาลรัฐ (ดูรายละเอียดเพิมเติมในกรอบที่ 6.1) และยังมี
                                                                         ่
แผนทีจะทําศูนย์ Excellent Center/Medical Research Building ทีเป็ น One-stop service
        ่                                                                       ่
ประมาณ 300 เตียง (ในพืนทีทเคยเป็ นสถานีรถไฟธนบุร)ี สําหรับให้บริการทางการแพทย์โดย
                               ้ ่ ่ี

77               ั ั
     จริงอยู่ ในปจจุบน โรงพยาบาลเอกชนขนาดใหญ่หลายแห่งก็ยงอาศัยแพทย์ผูเชียวชาญมาเป็ น part time
                                                            ั               ้ ่
หรือ consultant อยูเป็ นจํานวนมาก โดยในหลายโรงพยาบาล แพทย์กลุ่มนี้กยงมีจานวนมากกว่าแพทย์ทเป็ น
                     ่                                                  ็ ั ํ                  ่ี
full time (ถึงแม้วาการเปรียบเทียบทีเหมาะสมกว่าควรเทียบเป็ น full time equivalence หรือ FTE มากกว่าที่
                  ่               ่
จะเทียบเป็ นจํานวนคน)

                                                116
เน้นกลุ่มผูมรายได้สูง โดยตังเป้าที่จะเก็บค่ารักษาพยาบาลที่ประมาณร้อยละ 80 ของ
           ้ ี              ้
โรงพยาบาลเอกชน (ในทํานองเดียวกันกับ “The Heart”) และจ่ายค่าตอบแทนให้แพทย์ทรกษา  ่ี ั
ประมาณร้อยละ 60-70 ของแพทย์ทไปทําโรงพยาบาลเอกชน ซึงเมื่อประกอบกับการปรับปรุง
                                    ่ี                       ่
สถานพยาบาลและซื้ออุปกรณ์ทางการแพทย์ท่ทนสมัย (โดยส่วนหนึ่งมาจากผลกําไรที่ได้จาก
                                               ี ั
คนไข้กลุ่มที่มฐานะดีเหล่านี้ โดยไม่ต้องไปพึ่งการของบประมาณจากภาครัฐที่มกต้องรอการ
               ี                                                          ั
อนุ มตเป็ นระยะเวลานาน) และความร่วมมือกับต่างประเทศทีมบทบาทในด้านการพัฒนาความรู้
     ั ิ                                               ่ ี
และศักยภาพของอาจารย์แพทย์ในประเทศไทยแล้ว ศ.นพ.ปิ ยะสกล สกลสัตยาทร อธิการบดี
มหาวิทยาลัยมหิดล ซึ่งเป็ นอดีตคณบดีและผู้บริหารโรงพยาบาลศิรราชที่รเริมโครงการเหล่านี้
                                                               ิ   ิ ่
         ั ั ั
(และปจจุบนก็ยงคงมีสวนกํากับดูแลโรงพยาบาลศิรราชในฐานะผูบริหารมหาวิทยาลัยมหิดล) เชื่อ
                     ่                             ิ       ้
ว่าจะเป็ นแนวทางทีช่วยให้โรงเรียนแพทย์สามารถรักษาอาจารย์แพทย์เอาไว้ (หรือลดการสูญเสีย
                   ่
ให้น้อยลงอย่างมีนยสําคัญ)
                 ั

กรอบที่ 6.1 “The Heart by Siriraj”: โรงพยาบาลเอกชนในโรงพยาบาลรัฐ?
                 ศูนย์ตรวจรักษาโรคหัวใจแห่งใหม่ของศิรราช ทีมช่อว่า The Heart by Siriraj เริมเปิ ด
                                                                  ิ    ่ ี ื                                 ่
ดํา เนิ น การในเดือ นตุ ล าคม 2549 ตัง อยู่บ นชัน 4
                                               ้                ้            ของอาคารศู น ย์โ รคหัว ใจสมเด็จ
พระบรมราชินีนาถ ของโรงพยาบาลศิรราช (โดยมีลฟต์ทแยกออกมาต่างหาก) The Heart อยู่
                                                 ิ                  ิ ่ี
ภายใต้กองทุนพัฒนาระบบงานหัวใจและหลอดเลือด ซึงเป็ นองค์กรอิสระภายใต้กํากับของคณะ
                                                                     ่
แพทยศาสตร์ศรราชพยาบาล ในทางปฏิบติ The Heart เป็ นเสมือนโรงพยาบาลเอกชนเฉพาะ
                        ิิ                           ั
ทางขนาดเล็ก ที่ร ัก ษาเฉพาะโรคทางหัว ใจ โดยให้บ ริก ารเกือ บเบ็ด เสร็จ ในตัว เอง ตัง แต่                       ้
                                                              ้ ่
ลงทะเบียน OPD ตรวจโรค ไปจนถึงการรับผูปวยใน ซึงมีทงห้องพักผูปวยวิกฤติและกึงวิกฤติ
                                                                         ่ ั้         ้ ่              ่
รวม 20 ห้อง (ยกเว้นระบบรถพยาบาลซึงยังใช้ของโรงพยาบาลศิรราช และระบบเวชระเบียน
                                                   ่                                ิ
ซึงยังเชื่อมต่อกับของโรงพยาบาลศิรราช) ทังนี้ทางกองทุนฯ ได้ลงทุนประมาณ 60 ล้านบาท
  ่                                          ิ           ้
สําหรับการตกแต่งศูนย์โรคหัวใจแห่งนี้ จนมีรูปลักษณ์ท่คล้ายกับโรงพยาบาลเอกชนชันนํ าใน
                                                                          ี                              ้
กรุงเทพมหานคร
                 ความแตกต่างทีสําคัญประการหนึ่งของ The Heart กับศูนย์โรคหัวใจทัวไปของ
                                   ่                                                                 ่
โรงพยาบาลศิรราชก็คอ ในขณะทีคนไข้ทวไปของโรงพยาบาลศิรราช (รวมทังคลินิกพิเศษนอก
                        ิ        ื       ่         ั่                             ิ        ้
เวลาราชการ) จะประกอบไปด้วยผูป่วยทัวไปและข้าราชการ กลุ่มเป้าหมายของ The Heart
                                           ้           ่
เป็ นผูป่วยกลุ่มผูมรายได้สูง และคนไข้โรคหัวใจของโรงพยาบาลเอกชน (คนไข้ไม่สามารถใช้
        ้                  ้ ี
สิทธิขาราชการเข้ารับบริการเหมือนกับในกรณีคลินิกนอกเวลา ซึงข้าราชการสามารถใช้สทธิ ์ได้
          ้                                                                     ่                          ิ
ถึงแม้วาอาจมีค่าใช้จ่ายบางส่วนทีไม่สามารถเบิกจ่ายกับต้นสังกัดได้ แต่ในกรณีของ The Heart
            ่                          ่
คนไข้ตองจ่ายค่าใช้จ่ายเองทังหมด ยกเว้นในกรณีพนักงานรัฐวิสาหกิจบางแห่ง เช่น ปตท. และ
               ้                     ้
TOT ทีมสวัสดิการทีครอบคลุม หรือในกรณีทมประกันสุขภาพของเอกชน)
              ่ ี              ่                           ่ี ี




                                                     117
ในด้านราคาค่าบริการด้านการรักษาพยาบาลนัน ทางผูบริหารกําหนดเป็ นแนวทางว่า
                                                                   ้              ้
อยูทประมาณร้อยละ 80 ของโรงพยาบาลเอกชนชันนํา (จากการสอบถามเจ้าหน้าทีทรบผูปวย
   ่ ่ี                                                          ้                                  ่ ่ี ั ้ ่
ระบุวาใช้อตราทีใกล้เคียงกับโรงพยาบาลเอกชน)
        ่ ั          ่
              สําหรับคนไข้ทเป็ นชาวต่างชาตินน จะคิดค่าบริการทังหมดเพิมขึนอีกร้อยละ 25 (หรือ
                                ่ี                ั้                          ้         ่ ้
อีกนัยหนึ่งคือเป็ นอัตราทีใกล้เคียงกับในโรงพยาบาลเอกชนชันนําในกรุงเทพมหานคร) ปจจุบน
                                   ่                                        ้                               ั ั
ค่าห้องรวมค่าอาหารและค่าบริการพยาบาลและแพทย์เวรอยูทคนละ 6,450-8,450 บาท สําหรับ
                                                                           ่ ่ี ื
ห้องกึงวิกฤติ (ซึงเป็ นห้องพืนฐาน) และคืนละ 10,550-12,550 บาท สําหรับห้องวิกฤติ (CCU)
         ่             ่               ้
             นอกจาก "The Heart" จะมีบริการทีเทียบเท่ากับเอกชน เช่น การให้สทธิผปวยเลือก
                                                       ่                                          ิ ู้ ่
แพทย์เจ้าของไข้ได้ มีบริการที่จอดรถโดยเฉพาะ ฯลฯ แล้ว ยังมีบริการที่อาจจะมากกว่า
โรงพยาบาลเอกชนชันนําบางแห่ง เช่น มีแพทย์ผเชียวชาญตรวจคนไข้นอกถึง 20 นาฬิกา และ
                              ้                             ู้
อนุ ญาตให้ญาติผปวยหนักนอนเฝ้าคนไข้ในห้อง CCU ได้ดวย (ซึงแม้แต่ในโรงพยาบาลเอกชน
                         ู้ ่                                            ้            ่
ส่วนใหญ่กไม่ได้อนุ ญาตให้ญาติผปวยหนักนอนเฝ้า สําหรับผูป่วยอื่นๆ ทีไม่มญาติมานอนเฝ้า
                ็                            ู้ ่                               ้           ่ ี
ก็จะต้องจ้างพยาบาลพิเศษในอัตราเดียวกับของศิรราชคือ 1,500 บาทต่อ 12 ชัวโมง)
                                                               ิ                                ่
             จากการทีคณะผูวจยเข้าเยียมชมเว็บไซต์ http://www.theheartbysiriraj.com/story.html
                            ่      ้ิั          ่
ส่วนทีเป็ นภาษาอังกฤษ พบว่าเป็ นเว็บไซต์ทมขอมูลในภาษาอังกฤษค่อนข้างละเอียด (อาจจะ
           ่                                         ่ี ี ้
มากกว่าโรงพยาบาลเอกชนชันนํ าบางแห่งเสียด้วยซํ้า) อย่างไรก็ตาม ดูเหมือนว่าในปจจุบน
                                         ้                                                                 ั ั
"The Heart" จะยังไม่ได้เน้นทีการดึงคนไข้จากต่างประเทศมากนัก โดยจะเห็นได้จากเบอร์
                                           ่
โทรศัพท์ในทัง brochure และในเว็บไซต์ภาษาอังกฤษก็ยงไม่มรหัสประเทศ หรือเอกสารและ
                  ้                                                    ั            ี
แผ่น ปลิว ต่ า งๆ ที่ว างอยู่ท่ีจุ ด ลงทะเบีย นและแผนกผู้ป่ ว ยนอกบางอัน ก็ย ง ไม่ มีฉ บับ ที่เ ป็ น
                                                                                              ั
ภาษาต่างประเทศเหมือนดังเช่นในโรงพยาบาลเอกชนชันนํ าบางแห่งที่เน้นการดึงลูกค้าจาก
                                                                     ้
ต่างประเทศ




                                                     118
119
ศ.นพ.ปิ ยะสกล ยังให้ความเห็นด้ว ยว่ าโรงเรียนแพทย์ช ันนํ าอื่นๆ (ทังโรงพยาบาล                       ้                                ้
รามาธิบดีซ่งอยู่ในสังกัดของมหาวิทยาลัยมหิดล และโรงพยาบาลจุฬาฯ) ก็คงจะมีการปรับตัวใน
              ึ
ทิศทางเดียวกับโรงพยาบาลศิรราช ซึงในส่วนของโรงพยาบาลรามาธิบดีกาลังมีการระดมทุนขอรับ
                                                      ิ       ่                                                          ํ
บริจาคเพื่อสร้างตึกใหม่ (คือตึก “สมเด็จพระเทพรัตน์” ในพืนทีทได้มาจากศูนย์เด็กอ่อนพญาไท)           ้ ่ ่ี
ซึ่งเป็ นที่กล่าวขวัญกันในโรงพยาบาลว่าจะเป็ นตึกที่รองรับผูป่วยจ่ายเงินเองเป็ นหลักในทํานอง         ้
เดียวกันกับโครงการของศิรราช และโรงพยาบาลจุฬาฯ ทีนอกจากจะมีโครงการผ่าตัดนอกเวลา
                                                ิ                                             ่
(ซึงเป็ นการขยายบริการแบบคลินิกพิเศษนอกเวลาราชการของโรงพยาบาลไปสูบริการผูปวยใน
     ่                                                                                                                                       ่            ้ ่
ซึงจะทําให้อาจารย์แพทย์มรายได้เพิมขึนจากการทํางานนอกเวลาทีโรงพยาบาลจุฬาฯ เองโดย
  ่                                               ี               ่ ้                                           ่
ไม่จําเป็ นต้องเดินทางไปทําที่โรงพยาบาลเอกชน) แล้ว ยังได้ดําเนินการสร้างศูนย์เชี่ยวชาญ
เฉพาะทางต่างๆ เช่นเดียวกัน รวมทังศูนย์ทมความร่วมมือกับต่างประเทศ เช่น ศูนย์การเรียน
                                                                   ้    ่ี ี
แพทย์ทางไกลทีจะมีการสาธิตเทคนิคการผ่าตัดช่องท้องโดยใช้หุนยนต์ในการผ่าตัด แต่ควบคุม
                           ่                                                                                ่
โดยแพทย์ทอยูทประเทศญีปน เป็ นต้น
                ่ี ่ ่ี                        ่ ุ่
          แม้ว่าในขณะนี้จะเร็วเกินไปที่จะบอกได้ว่า แนวทางที่โรงเรียนแพทย์ชนนํ าของประเทศ                                                  ั้
ไทยกําลังดําเนินการอยูน้ีจะประสบความสําเร็จในการรักษาอาจารย์แพทย์ผเชียวชาญไม่ให้ถูกดึง
                                      ่                                                                                       ู้ ่
ตัวออกไปอยู่ภาคเอกชน (อันจะเป็ นการสร้างป ญหาทังคุ ณภาพการเรียนการสอนและการ      ั              ้
ให้บริการประชาชนของโรงเรียนแพทย์เหล่านี้) แต่ผบริหารทีรเิ ริมโครงการนี้ทโรงพยาบาลศิรราช
                                                                                   ู้              ่ ่                             ่ี                         ิ
ก็มองว่าการปรับตัวนี้เป็ นมาตรการทีทางโรงพยาบาลจําเป็ นต้องทําเพื่อ “ความอยู่รอด” (หรืออีก
                                                            ่
นัยหนึ่ง ถ้าไม่มการปรับตัวในลักษณะนี้โรงเรียนแพทย์ชนนํ าจะสูญเสียกําลังทีสําคัญเป็ นจํานวน
                      ี                                                                    ั้                                         ่
มาก) และเชื่อว่าทีผานมา (เช่น กรณีของ “The Heart by Siriraj”) ก็มสวนช่วยรักษาอาจารย์
                              ่ ่                                                                                          ี่
เอาไว้ได้หลายท่าน แต่บางฝ่ายก็มคําถามตามมาว่า ถึงแม้การสร้าง “หนึ่ งโรงพยาบาล สอง
                                                                ี
ระบบ” (หรือโรงพยาบาลเอกชนในโรงพยาบาลรัฐ) อาจจะช่วยรักษาอาจารย์แพทย์ผเชียวชาญ                                                                       ู้ ่
ไว้ได้จริง แต่ประชาชนทัวๆ ไป (หรือแม้กระทังข้าราชการทัวไป) ทีมารับการรักษาในโรงเรียน
                                            ่                                ่                          ่         ่
แพทย์เหล่านี้คงแทบจะไม่มโอกาสเข้าถึงบริการโดยอาจารย์แพทย์ผเชียวชาญเหล่านัน ยกเว้น
                                                    ี                                                               ู้ ่                             ้
ประชาชนกลุ่มทีมกําลังซือสูงเท่านัน ดังนัน วิธน้ีจงไม่ได้เป็ นการแก้ปญหาการเข้าถึงบริการทีมี
                          ่ ี             ้               ้           ้ ี ึ                                           ั                                           ่
คุณภาพของประชาชนทีตรงจุด                ่
          อย่างไรก็ตาม ถ้าพิจารณาจากมุมมองของโรงเรียนแพทย์เองแล้ว บทบาททีสาคัญทีสุด                                                              ่ ํ            ่
ของโรงเรียนแพทย์น่าจะอยูทการเรียนการสอน การวิจย และการฝึ กอบรม มากกว่าการให้บริการ
                                              ่ ่ี                                       ั
(ซึ่งกลับกลายมาเป็ นสิงบทบาทที่ถูกคาดหวังมากที่สุดจากสาธารณชน) ดังนัน ในสภาวการณ์
                                    ่                                                                                                   ้
    ั ั
ปจจุบนที่แพทย์ในภาคเอกชนมีบทบาทในด้านการสอนในโรงเรียนแพทย์น้อยมาก การรักษา
อาจารย์แพทย์ผเชียวชาญให้คงอยู่และยังคงสอนอยู่ทโรงเรียนแพทย์ได้ในสภาวการณ์ทมแรงดึง
                        ู้ ่                                                          ่ี                                                               ่ี ี
จากข้างนอกทีรนแรงเช่นนี้ ก็น่าจะถือว่าบรรลุวตถุประสงค์หลักทีจะรักษาคุณภาพของสถาบันผลิต
                   ุ่                                                     ั                               ่
แพทย์ไม่ให้เสื่อมถอยลงไป และยังคงรักษา (หรือสร้าง) โอกาสที่จะพัฒนาคุณภาพทางวิชาการ
ต่อไปในอนาคต ถึงแม้ว่าวิธีน้ีอาจจะไม่ได้ช่วยลดหรือแก้ปญหาในด้านความเท่าเทียมในการ                     ั
เข้าถึงบริการลงได้กตาม            ็                     และในระยะยาวนัน ถ้าการผลิตแพทย์เพิมยังมีผลตอบแทนทาง
                                                                               ้                                           ่


                                                                              120
เศรษฐกิจและสังคมทีสงสําหรับประเทศ ก็ควรมีการลงทุนด้านนี้เพิมขึน (รวมทังดึงรายได้สวนหนึ่ง
                   ู่                                        ่ ้        ้           ่
จากการบริการคนไข้ต่างชาติ) เข้ามาอุดหนุ นโรงเรียนแพทย์และอาจารย์แพทย์ให้มสถานะความ
                                                                               ี
เป็ นอยูทดอย่างถ้วนทัวโดยโรงเรียนแพทย์ไม่จาเป็ นต้องผันตัวเองมาพัฒนาเป็ น “หนึ่งโรงพยาบาล
        ่ ่ี ี       ่                    ํ
สองระบบ” ทีมความลักลันอีกต่อไป
               ่ ี      ่

เอกสารอ้างอิ ง
จิรตม์ ศรีรตนบัลล์. 2549. “สมดุลของนโยบายการสร้างหลักประกันสุขภาพถ้วนหน้าและการ
   ุ          ั
        เป็ นศูนย์กลางธุรกิจการรักษาพยาบาลของเอเชียบนฐานคิดเศรษฐกิจพอเพียง.” (ฉบับ
        ร่าง ตุลาคม).
อดิศร ภัทราดูลย์. 2548. “ผลกระทบนโยบาย Medical Hub of Asia ต่อระบบสาธารณสุขไทย”.
        มติ ชน. (16 กรกฎาคม 2548).
____________. 2548ข. “ผลกระทบนโยบาย Medical Hub of Asia ต่อระบบสาธารณสุข
        ไทย”. วงการแพทย์ ปี ท่ี 7, ฉ. 206 (กันยายน 2548), หน้า 14-15
“คณบดีแพทย์จุฬาฯ คนใหม่ ลันอีก4ปี คณะแพทย์จุฬาฯ เป็ นหนึ่งในอาเซียน”. กรุงเทพธุรกิ จ.
                                 ่
             (28 กุมภาพันธ์ 2551).
             http://www.bangkokbiznews.com/2008/02/28/WW17_1701_news.php?newsid=
             234301
“จุฬาฯ-ศิรราชผนึกพลังชีนําแก้ปมสังคม”. ไทยรัฐ. 2551 (16 ก.พ.).
           ิ               ้
             http://www.thairath.co.th/news.php?section=education&content=79086

“สังหุนยนต์ผาตัดทางไกลจุฬาฯเล็งใช้สอนนิสตแพทย์แทนส่งไปนอก”. คม ชัด ลึก. 2551.
   ่ ่      ่                           ิ
“ ‘ศิรราช’ ยุคใหม่ก่อนไทยเป็ นฮับ ร.พ. รัฐสร้างคน เอกชนสร้างตลาด ”. ประชาชาติ ธรกิ จ.
      ิ                                                                        ุ
         (29 เมษายน -2 พฤษภาคม 2547).




                                          121
122
7. บทสรุป แนวทางการพัฒนา และข้อเสนอแนะ

7.1 บทสรุป
           ไม่ว่าเราจะชอบหรือไม่ และไม่ว่าการทีมคนไข้ต่างชาติมารับการรักษาในประเทศไทย
                                                    ่ ี
จะก่อให้เกิดผลกระทบทังด้านบวกหรือลบมากเพียงใด แต่ถาไม่มการเปลียนแปลงอย่างขนาน
                               ้                                   ้   ี       ่
ใหญ่ ใ นด้ า นโครงสร้ า งเศรษฐกิ จ การเมื อ งที่ รุ น แรงมากพอที่ จ ะส่ ง ผลต่ อ นโยบายด้ า น
ความสัมพันธ์ระหว่างประเทศ ประเทศไทยก็คงจะเดินไปข้างหน้าตามกระแสโลกาภิวฒน์ต่อไป                ั
ในสภาวการณ์ เ ช่ น นี้ ถึง แม้ว่ า จะไม่ มีค นไข้ต่ า งชาติท่ีเ ดิน ทางเข้า มาด้ว ยวัต ถุ ป ระสงค์ ท่ี
เฉพาะเจาะจงเพื่อเข้ามารับการรักษาพยาบาลในประเทศไทยตาม medical tourism เลยแม้แต่
                  ั ั
คนเดียว ในปจจุบนเราก็ยงมีชาวต่างชาติท่พํานักในประเทศไทยและประเทศเพื่อนบ้านและ
                                   ั            ี
นัก ท่อ งเที่ย วที่เ ดิน ทางมาท่ อ งเที่ย วในประเทศไทยและประเทศแถบนี้ ซึ่ง เมื่อ เจ็บ ป่ว ยก็มี
แนวโน้มทีจะต้องมารับการรักษาในประเทศไทยปี ละถึงประมาณหนึ่งล้านครัง ซึงคนเหล่านี้โดย
             ่                                                                     ้ ่
                                                          78
ส่วนใหญ่เป็ นกลุ่มทีมกาลังซือทีสงกว่าคนไทยทัวไปมาก และนอกเหนือจากคนกลุ่มนี้แล้ว เรา
                        ่ ีํ ้ ู่                 ่
ก็ยงมีคนไทยกลุ่มที่มกําลังซื้อที่สูงอีกจํานวนหลายล้านคน ซึ่งสามารถ (และต้องการ) มารับ
     ั                     ี
บริการในสถานพยาบาลทีตนสะดวกสบายและสามารถเลือกรับบริการจากแพทย์ทมช่อเสียงได้
                                 ่                                                       ่ี ี ื
ดังนัน การก่อเกิดและพัฒนาการของสถานพยาบาลในการมารองรับหรือดึงดูดคนเหล่านี้จงเป็ น
       ้                                                                                        ึ
สิงทีตามมาอย่างหลีกเลียงไม่ได้
  ่ ่                        ่
           แต่ด้วยทรัพยากรที่มอยู่จํากัด การที่มคนไข้ต่างชาติเข้ามารับการรักษาพยาบาลใน
                                     ี               ี
ประเทศไทยเพิมขึน (หรืออีกนัยหนึ่ง “ความสําเร็จ” ของ medical hub ของไทย) ย่อมส่งผล
                   ่ ้
กระทบต่ อคนไทยอย่างหลีกเลี่ยงไม่ได้ ซึ่งผลกระทบมีทงด้านบวก (เช่น ต่อเศรษฐกิจของ
                                                                ั้
ประเทศ ต่อรายได้ของแพทย์ บุคลากรด้านสาธารณสุข รวมถึงธุรกิจและผูทประกอบอาชีพอื่นที่
                                                                              ้ ่ี
เกียวข้อง และอาจรวมถึงทําให้มการพัฒนามาตรฐานด้านการรักษาพยาบาลทีสงขึน) และด้าน
   ่                                   ี                                             ่ ู ้
ลบ (เช่น ทํา ให้ท รัพ ยากรด้า นบุ ค ลากรทางการแพทย์มีค วามขาดแคลนมากขึ้น ราคาและ
ค่าใช้จายในด้านการรักษาพยาบาลของคนไทยเพิมเร็วขึน และอาจเข้าถึงบริการและบุคลากรทีมี
         ่                                             ่  ้                                        ่
คุณภาพได้ยากขึน)     ้

พัฒนาการของ medical hub/tourism ในประเทศไทย
        แม้ว่าโรงพยาบาลเอกชนหลายแห่งของไทย (โดยเฉพาะอย่างยิงโรงพยาบาลทีอยู่ใกล้
                                                             ่               ่
ย่านธุรกิจของประเทศ เช่น โรงพยาบาล BNH โรงพยาบาลบํารุงราษฎร์ โรงพยาบาลสมิตเวช   ิ
และโรงพยาบาลกรุงเทพ) จะมีแนวโน้มการให้บริการคนไข้ชาวต่างชาติเพิมขึนมาเป็ นลําดับ ซึง
                                                               ่ ้                ่
เป็ นผลจากกระแสโลกาภิวตน์ททาให้มชาวต่างชาติทมาทํางาน พํานัก และท่องเทียวในประเทศ
                        ั ่ี ํ   ี          ่ี                       ่

78
    ทังนี้ยงไม่รวมกลุมทีถกเรียกขานว่าเป็ น “แรงงานต่างชาติ” รวมทังกลุ่มทีเข้าเมืองโดยผิดกฎหมายอีก
      ้ ั            ่ ่ ู                                       ้       ่
จํานวนหลายแสนหรืออาจเป็ นล้านคน

                                                 123
ไทยเพิมขึนเรื่อยๆ แต่จุดเปลียนทีสาคัญทีก่อให้เกิด medical tourism (ในความหมายทีมการ
         ่ ้                         ่ ่ํ       ่                                      ่ ี
เดินทางมาเพื่อรับบริการด้านรักษาพยาบาลของไทย) ไม่ได้เป็ นแผนทีโรงพยาบาลเหล่านี้มมา
                                                                     ่                     ี
  ้                          ั
ตังแต่แรก หากเกิดจากปญหาทีโรงพยาบาลเหล่านี้ประสบอันสืบเนื่องมาจากวิกฤติเศรษฐกิจใน
                                        ่
ปี 2540 อย่างไรก็ตาม การทีประเทศไทยมีขอได้เปรียบในด้านการท่องเทียวและการบริการอยู่
                                 ่                ้                       ่
แล้ว และประสบการณ์ของโรงพยาบาลหลายแห่งในการให้บริการชาวต่างชาติมาเป็ นระยะเวลา
อันยาวนาน ประกอบกับความเชื่อมโยงในด้านการเรียนการสอนกับนานาชาติ (ซึ่งอาจารย์
แพทย์จานวนมากจบการศึกษามาจากประเทศทีเป็ นทียอมรับในด้านมาตรฐานทางการแพทย์ใน
          ํ                                           ่     ่
ระดับนานาชาติ) ทําให้ medical tourism ของไทยขยายตัวได้อย่างรวดเร็วจนสามารถแซงหน้า
ประเทศต้นแบบในภูมภาคนี้ดงเช่นสิงคโปร์ไปได้
                         ิ         ั
            เนื่องจากตัวจักรทีผลักดันการขยายตัวของ medical tourism ของไทยคือภาคเอกชน
                               ่
จึงมีพฒนาการในหลายรูปแบบ (ซึงส่วนหนึ่งขึนกับความถนัดของสถานพยาบาลทีมมาแต่เดิม)
       ั                                    ่       ้                            ่ ี
เช่น มีทงการรักษาด้วยเทคโนโลยีมาตรฐานนานาชาติ (โดยเฉพาะอย่างยิงในสองกลุ่มใหญ่ อัน
            ั้                                                          ่
ได้แก่ โรงพยาบาลบํารุงราษฎร์ และกลุ่มกรุงเทพดุสตเวชการ ซึงให้การรักษาได้ในแทบทุกโรค)
                                                          ิ       ่
การรักษาที่เป็ นความเชี่ยวชาญเฉพาะทางของสถานพยาบาล (เช่น ในด้านศัลยกรรมตกแต่ง
และความงามของโรงพยาบาลยันฮี) การรักษาด้วยเทคโนโลยีในระดับสูงแต่ยงอยู่ในขันทดลอง
                                                                            ั        ้
(เช่น การรักษาด้วย Stem Cell ของโรงพยาบาลเจ้าพระยา) และการรักษาด้านทีสามารถรอได้
                                                                               ่
พอสมควร (โดยเฉพาะอย่างยิงทันตกรรม) และมีโรงพยาบาลที่เป็ นที่นิยมของลูกค้าจากบาง
                                      ่
ประเทศ (เช่ น กลุ่ ม สแกนดิเ นเวีย อาหรับ เอเชีย ใต้ และญี่ปุ่น ) วิธีก ารทํา ตลาดก็มีค วาม
หลากหลาย เช่น บางโรงพยาบาลอาศัยตัวแทนทังในประเทศและในต่างประเทศค่อนข้างมาก
                                                        ้
(เช่น โรงพยาบาลยันฮี) บางโรงพยาบาลเน้นการทําตลาดด้วยตนเองล้วนๆ (เช่น โรงพยาบาล
เจ้าพระยา) บางโรงพยาบาลอาศัย road show ในต่างประเทศในการหาลูกค้าใหม่ๆ (เช่น
โรงพยาบาลกรุงเทพภูเก็ต) และในขณะทีภาครัฐให้ความช่วยเหลือไม่มากนัก (เช่น ช่วยจัดและ
                                              ่
ประสานงานการเดิน ทางไปจัด นิ ท รรศการในต่ า งประเทศ) แต่ ก็ส นับ สนุ น และเปิ ด ทางให้
                                                                ั
ภาคเอกชนดําเนินการได้อย่างเสรีและหลากหลาย ซึ่งปจจัยเหล่านี้รวมกันทําให้ประเทศไทย
เติบโตขึนเป็ น medical hub ชันแนวหน้าของเอเชีย และสามารถแซงประเทศต้นแบบอย่าง
            ้                             ้
สิงคโปร์ (ในด้านจํานวนคนไข้) ได้ในระยะเวลาเพียงไม่ถงหนึ่งทศวรรษ
                                                              ึ

ลักษณะพิเศษ Position จุดแข็งและจุดอ่อนของ medical hub/tourism ของ
ไทยเทียบกับประเทศคู่แข่ง
        นอกเหนือจากความเสรี ความหลากหลาย ความครอบคลุ ม และขนาด ซึ่งไทยมีข้อ
ได้เปรียบประเทศเพื่อนบ้านอย่างสิงคโปร์และมาเลเซียแล้ว การที่ medical hub ของไทยเป็ น
ผลการดําเนินการของโรงพยาบาลแต่ละแห่งอย่างค่อนข้างเป็ นเอกเทศ (ซึงเป็ นจริงแม้กระทังใน
                                                                  ่               ่
โรงพยาบาลกลุ่มใหญ่บางกลุ่ม) ทําให้เกิดการเจาะตลาดแบบกระจัดกระจายตามความถนัดของ
โรงพยาบาลมากกว่าตลาดใหญ่ แห่งใดแห่งหนึ่ ง (หรือเน้ นการทําสัญญากับ หน่ วยงานที่ซ้ือ


                                            124
บริการทีเป็ น third party payer เช่น สํานักงานประกันสังคมของประเทศใดประเทศหนึ่ง)79 ทํา
           ่
ให้การขยายตัวของ medical tourism ของไทยไม่ได้เพิมเร็วเหมือนอินเดียทีเน้นการแข่งขันด้วย
                                                    ่                ่
ราคาและ volume ในทางกลับกัน ความหลากหลาย กระจัดกระจาย ความใหม่ และการกํากับ
ดูแลแบบหลวมๆ ของภาครัฐและสภาวิชาชีพ ก็ทําให้ช่อเสียงในด้านคุณภาพของไทยในด้าน
                                                      ื
บริการทีใช้เทคโนโลยีระดับสูง (และราคาสูง) ไม่ได้โดดเด่นมากเท่าสิงคโปร์ ดังนัน ในขณะที่
             ่                                                               ้
สถานพยาบาลของไทยอาจจะไม่ได้กลุ่มลูกค้าทีมยอดรายจ่ายต่อผูป่วยทีสูงเท่าสิงคโปร์ แต่ก็
                                                ่ ี           ้    ่
ไม่ได้รกษาแบบ mass ในปริมาณมาก (แต่มกจะได้ margin ทีต่ําลง) เหมือนกับอินเดีย (ซึงโดย
       ั                                      ั          ่                        ่
เฉลี่ยแล้วมีค่าแรงตํ่ากว่าไทย)       ซึ่งถ้าไทยพัฒนาไปแบบสิงคโปร์ ก็จะชักนํ าให้ราคาค่า
รักษาพยาบาลเพิมในอัตราที่เร็วขึน ในขณะที่ถ้าพัฒนาไปในแบบอินเดีย (โดยไม่สนใจนํ าเข้า
                     ่            ้
แพทย์จากต่างประเทศเข้ามาช่วยรักษาคนไข้) ก็จะเกิดแรงกดดันด้านความขาดแคลนบุคลากรที่
รุนแรงขึน้
           เมื่อพิจารณาจากแนวโน้ มในอดีต ซึ่งประเทศมักจะไม่ค่อยมีการเปลี่ยนแปลงในเชิง
โครงสร้างนโยบายอย่างรุนแรงหรือฉับพลัน ประกอบกับข้อจํากัดในด้านจํานวนบุคลากร ก็มี
แนวโน้มที ่ medical hub ของไทยจะยังคงพัฒนาไปแบบกระจัดกระจาย และไม่เร็วนัก (คล้ายๆ
กับเดิม) โดยโรงพยาบาล (และกลุ่มโรงพยาบาลขนาดใหญ่) จะเน้นการแข่งขันในด้านเทคโนโลยี
ขันสูงตามแนวทางของสิงคโปร์ มากกว่าทีจะขยายไปสู่การรักษาแบบ mass ทีขยายตัวอย่าง
  ้                                         ่                             ่
รวดเร็วแบบอินเดีย

ผลกระทบในด้านการท่องเทียวและบริการอืนๆ
                       ่            ่
          แม้ว่าจะมีการกล่าวขวัญถึง medical tourism (ทังในภาษาอังกฤษและในภาษาไทย ซึง
                                                       ้                                ่
มีผใช้คําว่า “การท่องเทียวเชิงสุขภาพ”) ทีดูเหมือนจะมีการท่องเทียวเป็ นองค์ประกอบทีสําคัญ
    ู้                   ่               ่                     ่                   ่
(และมีการแพทย์เป็ นเหมือนส่วนขยาย) แต่การศึกษาเชิงลึกของคณะผูวจยก็มขอค้นพบทีไม่
                                                                       ้ิั ี ้        ่
ต่างจากการศึกษาในประเทศอื่นๆ มากนัก กล่าวคือ วัตถุประสงค์หลัก (และจุดสนใจหลัก) ของ
  ้ ่
ผูปวยและญาติทเดินทางข้ามนํ้าข้ามทะเลมารักษาตัวในต่างประเทศจะอยู่ทการรักษาพยาบาล
                  ่ี                                                      ่ี
มากกว่าการท่องเทียว (และยิงมารับบริการทีมนัยสําคัญทางการแพทย์มากขึนเท่าใด สถานะ
                     ่          ่              ่ ี                           ้
ทางสุขภาพของผู้ป่ว ยและสภาวะจิตใจของญาติ/ผู้ติดตามก็จะเอื้ออํานวยกับ การท่องเที่ยว
น้อยลง และแม้กระทังผูทมสุขภาพดีทมารับบริการศัลยกรรมตกแต่ง ก็มกจะได้รบคําแนะนําให้
                       ่ ้ ่ี ี       ่ี                             ั         ั
ใช้ชวตในช่วงพักฟื้ นด้วยความระมัดระวังเป็ นอย่างสูง) ดังนัน ถึงแม้ว่าการวัดผลกระทบด้าน
       ีิ                                                  ้
เศรษฐกิจ (หรือรายได้) ในส่วนของการท่องเทียวและบริการด้านอื่นๆ จะทําได้ยาก แต่กมหลาย
                                             ่                                   ็ ี

79
   ถึงแม้วาจะมีโรงพยาบาลในเครือกรุงเทพดุสตเวชการฯ บางแห่งทีมการทําสัญญาในลักษณะดังกล่าวอยูบาง
           ่                             ิ                 ่ ี                             ่ ้
(เช่นกับข้าราชการและครอบครัวในบางประเทศ) แต่กยงเป็ นจํานวนน้อย และในบางกรณีโรงพยาบาลทีได้รบ
                                               ็ ั                                      ่ ั
การติดต่อมาจากต่างประเทศจะไม่ค่อยสนใจทําข้อตกลงในลักษณะนี้ เพราะถ้าจะให้บริการในลักษณะทีเป็ น
                                                                                         ่
mass เช่นนี้ สถานพยาบาลจะต้องขยายศักยภาพการให้บริการอย่างมาก ในขณะทีการให้บริการแบบนี้มกจะ
                                                                       ่                    ั
มี profit margin ตํ่ากว่าด้วย

                                             125
เหตุ ผ ลที่ช วนให้เ ชื่อ ได้ว่า รายได้แ ละมูล ค่า เพิ่ม ในส่ว นนี้ จ ะไม่สูง มากเหมือ นที่บ างฝ่า ยเคย
ประเมินเอาไว้80

ผลกระทบด้านบุคลากร ราคาค่ารักษาพยาบาล และการเข้าถึงบริการ
          การศึกษาในด้านบุคลากรบ่งชีว่า แม้ทผ่านมาจะมีการผลิตแพทย์เพิมขึนมาเป็ นลําดับ
                                           ้            ่ี                        ่ ้
แต่เนื่องจากในระยะหลังเรามีแพทย์ทจะเกษียณประมาณปี ละถึง 400 คน ประกอบกับโดยทัวไป
                                        ่ี                                                       ่
แล้วการรักษาคนไข้ต่างชาติจะใช้เวลามากกว่าคนไทยโดยเฉลี่ยค่อนข้างมาก และการเข้ามา
ของคนไข้ต่างชาติและการขยายตัวของโรงพยาบาลเอกชนก็มแนวโน้มทําให้แพทย์ผเชียวชาญ
                                                                     ี                    ู้ ่
                                 ่ ั ั
ถูกดึงออกจากระบบของรัฐ (ซึงปจจุบนเป็ นส่วนสําคัญในการให้บริการประชาชนส่วนใหญ่ของ
                      ้ ั
ประเทศ) ดังนัน ปญหาแรงกดดันในด้านบุคลากร (โดยเฉพาะอย่างยิงแพทย์ ทันตแพทย์ และ ่
                         ั         ้ ั ั
พยาบาล) จะเป็ นปญหาสําคัญทังในปจจุบนและในอนาคต
          การที่ medical hub ของไทยมีแนวโน้มจะยังคงพัฒนาไปแบบกระจัดกระจายคล้ายๆ
กับเดิม ประกอบกับข้อจํากัดในด้านจํานวนบุคลากร และการทีภาครัฐและสภาวิชาชีพของไทย
                                                                       ่
มัก จะใช้น โยบายการกํา กับ ดูแ ลแบบหลวมๆ ทํา ให้มีโ อกาสมากที่โ รงพยาบาล (และกลุ่ ม
โรงพยาบาลขนาดใหญ่) จะเน้นการแข่งขันในด้านเทคโนโลยีขนสูงตามแนวทางของสิงคโปร์ั้
มากกว่าทีจะขยายไปสูการรักษาแบบ mass ทีมการทําสัญญารักษาคนไข้จํานวนมากกับ third-
                ่          ่                           ่ ี
party payer ซึงถ้า medical hub ของไทยพัฒนาไปในทิศทางดังกล่าวจริง ก็มแนวโน้มทีแรง
                       ่                                                              ี        ่
กดดันด้านราคา (โดยเฉพาะในสถานพยาบาลที่ไม่มความจําเป็ นต้องพึ่งคนไข้ชาวไทย เช่น
                                                                 ี
โรงพยาบาลในกรุงเทพมหานครที่มคนไข้ต่างชาติเข้ามาเป็ นจํานวนมากตลอดทังปี ) จะทําให้
                                      ี                                                 ้
ราคาค่ารักษาพยาบาลของโรงพยาบาลกลุ่มนี้เพิมขึ้นอย่างรวดเร็ว (ในอัตราที่ใกล้เคียงหรือ
                                                             ่
แม้กระทังสูงกว่าอัตราเพิมในต่างประเทศ) และจะดึงให้ราคาค่ารักษาพยาบาลในภาคเอกชน
              ่                ่
(และในทีสุดก็จะรวมถึงภาครัฐ) ถีบตัวสูงขึนไปด้วย เพราะการทีราคาค่าบริการในภาค medical
            ่                                   ้                        ่
hub สูงขึนจะดึงดูดบุคลากรไปจากโรงพยาบาลอื่นๆ ทังในภาคเอกชนและภาครัฐ (โดยเฉพาะ
                  ้                                                ้
อย่า งยิ่ง โรงเรีย นแพทย์) ซึ่ง การปรับ ตัว ของโรงเรีย นแพทย์ใ นระยะหลัง ก็ดู จ ะยืน ยัน ข้อ
คาดการณ์ประการนี้
          การปรับตัวของราคามีแนวโน้มทีจะส่งผลกระทบต่อการเข้าถึงบริการสถานพยาบาลของ
                                             ่
เอกชนและสถานพยาบาลของรัฐในส่วนทีอยูนอกระบบหลักประกันสุขภาพถ้วนหน้า ผลักดันให้
                                               ่ ่
คนไทยผูมสทธิ ์ในโครงการหลักประกันสุขภาพถ้วนหน้าของภาครัฐต้องหันไปใช้บริการโครงการ
           ้ ีิ
เหล่านันมากขึน ในขณะเดียวกันการปรับตัวของราคาก็จะดึงบุคลากรบางส่วนออกจากระบบ
        ้           ้
บริการของภาครัฐด้วย การเพิมขึนของผูทต้องพึงพาบริการในระบบหลักประกันสุขภาพถ้วน
                                  ่ ้             ้ ่ี     ่
หน้ าในขณะที่บุคลากรถูกดึงออกไปจากระบบบริการของรัฐ มีแนวโน้ มที่จะทําให้ปญหาการ             ั
                             ั
เข้าถึงบริการและ/หรือปญหาคุณภาพของบริการทีประชาชนคนไทยทัวไปได้รบมีความรุนแรง
                                                               ่                ่   ั

80
    ตัวอย่างเช่น บางครังมีการประเมินว่าประเทศไทยจะมีรายได้ทเกิดกับการท่องเที่ยวและบริการอื่นๆ ใน
                         ้                                      ่ี
มูลค่าทีพอๆ กับรายได้ทเี่ กิดจากบริการรักษาพยาบาล ซึงน่าจะเป็ นการประมาณการทีสงเกินจริง
       ่                                           ่                         ู่

                                                 126
ั
มากขึน นอกจากนี้ ปญหาสมองไหลมีแนวโน้มทีจะทําให้ภาครัฐ (และโครงการทีภาครัฐมีสวน
     ้                                      ่                            ่        ่
รับภาระ เช่นโครงการประกันสังคม) มีภาระค่าใช้จ่ายเพิมขึน เพราะภาครัฐจะต้องเพิมแรงจูงใจ
                                                   ่ ้                      ่
                                ั
ทางการเงินเพือลดความรุนแรงของปญหานี้
             ่

7.2 ข้อเสนอแนะเชิงนโยบายของฝ่ ายต่างๆ
        ผลการศึกษาในหัวข้อต่างๆ ทีผานมา มีขอบ่งชีว่าน่ าจะมีความขัดแย้งระหว่างนโยบาย
                                     ่ ่        ้      ้
medical hub และการสร้างหลักประกันสุขภาพถ้วนหน้าในระดับหนึ่ง อย่างไรก็ตาม ในสังคมที่
มีความหลากหลายและให้ความสําคัญกับทุกฝ่ายนัน การจัดการกับความขัดแย้งของนโยบาย
                                                  ้
ไม่ได้หมายความว่าจะต้องเลือกเอาอันหนึ่งอันใดเท่านัน (แต่กไม่ใช่ปล่อยนโยบายทีขดแย้งกัน
                                                     ้    ็                  ่ ั
ดําเนินไปอย่างเสรีทงคู่หรือตามกําลังความสามารถในการแข่งขันหรือผลักดันของแต่ละฝ่าย)
                     ั้
     ้                                        ่
ดังนัน ในหัวข้อนี้ จะนํ าเสนอข้อเสนอแนะของฝายต่างๆ (รวมทังผูทมส่วนได้ส่วนเสียด้วย) มา
                                                              ้ ้ ่ี ี
แจกแจงและอภิปรายเพื่อนํ าไปสู่การสรุปหาทางออกและมาตรการที่เหมาะสม (และบางกรณี
                                      ่ ่ ่
อาจเป็ น win-win solution สําหรับทุกฝายทีเกียวข้อง) ต่อไป
        ข้อเสนอแนะทีได้มการเสนอจากฝ่ายต่างๆ ในระหว่างทีคณะผูวจยได้ดําเนินการศึกษา
                        ่ ี                                 ่          ้ิั
พอสรุปได้โดยสังเขปดังต่อไปนี้

7.2.1 ข้อเสนอด้านกําลังคน
ข้อเสนอด้านกําลังคนข้อที่ 1: อนุญาตให้แพทย์ชาวต่างชาติ ทีได้รบใบประกอบโรคศิ ลป์
                                                            ่ ั
เข้ามารักษาคนไข้ชาวต่างชาติ ได้โดยไม่ต้องสอบใบประกอบโรคศิ ลป์ เป็ นภาษาไทย
ตัวอย่างเหตุผลของฝ่ ายสนับสนุน: เพื่อลดผลกระทบทีเกิดกับคนไทย (โดยเฉพาะอย่างยิงใน
                                                   ่                           ่
ด้านกําลังคน) ในขณะทียงเปิ ดโอกาสให้สถานพยาบาลหารายได้จากต่างประเทศได้อย่างเต็มที่
                        ่ ั
ตัวอย่างเหตุผลของฝ่ ายที่ไม่เห็นด้วย: เป็ นการให้ประโยชน์กบแพทย์ต่างชาติแทนทีจะเปิ ด
                                                          ั                  ่
โอกาสให้แพทย์ไทยมีรายได้เพิม ไม่ไว้ใจมาตรการควบคุมว่าจะสามารถจํากัดให้รกษาเฉพาะ
                             ่                                           ั
คนไข้ต่างชาติได้หรือไม่

                                                  ่
ข้อเสนอด้านกําลังคนข้อที่ 2: เร่งผลิ ตแพทย์เพิ ม (ถึงแม้อาจจะทําให้คณภาพลดลงบ้างก็
                                                                      ุ
ตาม)
                                         ั
ตัวอย่างเหตุผลของฝ่ ายสนับสนุน: ปญหาความขาดแคลนเป็ นเรื่องใหญ่ ถ้ามีระบบการแบ่ง
งานและการส่งต่อทีดี ก็ไม่จําเป็ นต้องมีแพทย์ทเป็ นระดับหัวกะทิทงหมด81 เพราะโรคส่วนใหญ่
                 ่                           ่ี                ั้



81   ั ั
  ปจจุบนนักศึกษาแพทย์มาจากกลุ่มหัวกะทิ (ประมาณร้อยละ 2 ของผูทจบการศึกษามัธยมปลายในแต่ละปี )
                                                              ้ ่ี
ในด้าน input นัน การขยายไปถึงกลุ่มหัวกะทิประมาณร้อยละ 5 ของผูทจบการศึกษามัธยมปลายในแต่ละปี ก็
                 ้                                           ้ ่ี
ไม่น่าจะทําให้คณภาพโดยเฉลียของนักศึกษาแพทย์ลดลงมากนัก
               ุ          ่

                                            127
ั                       ี                                      ั ั
ที่รกษาเป็ นโรคพื้นๆ น่ าดีมคุณภาพกว่าการรักษาในหลายโรงพยาบาลในป จจุบนที่ต้องให้
พยาบาลตรวจแทนเป็ นประจําเพราะมีแพทย์ไม่พอ
                                                   ่ี ่ ้    ั ั
ตัวอย่างเหตุผลของฝ่ ายที่ไม่เห็นด้วย: การผลิตแพทย์ทเพิมขึนในปจจุบนมาถึงระดับทีเต็ม
                                                                              ่
ศักยภาพและในหลายกรณีไม่ได้มาตรฐานอยู่แล้ว การรักษาแพทย์ให้อยู่ในระบบบริการของ
ภาครัฐน่ามีความสําคัญมากกว่า

ข้อเสนอด้านกําลังคนข้อที่ 3: เร่งผลิ ตทันตแพทย์เพิ ม       ่
                                                       ี ั
ตัวอย่างเหตุผลของฝ่ ายสนับสนุน: ทันตแพทย์มปญหาความขาดแคลนทีรุนแรงกว่าความ     ่
ขาดแคลนแพทย์เสียด้วยซํ้า และทีผานมามีผให้ความสนใจค่อนข้างน้อย
                                 ่ ่        ู้
       ข้ อ เสนอเพิ ม เติ ม ของคณะผู้วิ จ ย : เปิ ด รับ นัก ศึก ษาทีจ บปี 1 ในสาขาอืน มาแทน
                     ่                    ั                         ่               ่
       นักศึกษาทันตแพทย์ทออกไปในปี แรก ซึงทําให้สามารถผลิตทันตแพทย์เพิมได้จํานวน
                              ี่                     ่                            ่
       มาก (เกือบร้อยละ 20 ในบางปี) โดยไม่ตองลงทุนด้านเครืองมือเพิม
                                               ้                 ่       ่
                             ั ั
       เหตุผล: เนื่องจากในปจจุบน ในแต่ละปีมนกศึกษาทันตแพทย์ปี 1 จํานวนไม่น้อยทีลาออก
                                                 ี ั                                   ่
       ไปสอบเข้ามหาวิทยาลัยใหม่ ทําให้คณะทันตแพทย์ส่วนใหญ่ผลิตทันตแพทย์ได้น้อยกว่า
       ศักยภาพจริงของตน

ข้อเสนอด้านกําลังคนข้อที่ 4: เร่งผลิ ตพยาบาลเพิ ม ่
                                      ั ั ั
ตัวอย่างเหตุผลของฝ่ ายสนับสนุน: ปจจุบนมีปญหาขาดแคลนพยาบาลอย่างรุนแรง ในขณะที่
หลายสถาบันยังผลิตน้อยกว่าศักยภาพเนื่องจากไปยึดติดกับอัตราจ้างของสถาบันตัวเอง
                                     ี ่ ่
เหตุผลของฝ่ ายที่ไม่เห็นด้วย: ยังไม่มฝายทีไม่เห็นด้วยในเรืองนี้
                                                         ่

ข้อเสนอที่ 5: ผลิ ต/อบรมพยาบาลเวชปฏิ บติเพือมารักษาผูป่วยจํานวนมากทีเ่ ป็ นแค่โรค
                                                 ั ่       ้
พื้นๆ
                                                  ั
ตัวอย่างเหตุผลของฝ่ ายสนับสนุน: เพื่อลดปญหาการขาดแคลนแพทย์ และน่ าจะเป็ นวิธทมีี ่ี
ประสิทธิภาพ และสามารถยกระดับคุณภาพการรักษาในสถานีอนามัย/ศูนย์สขภาพชุมชน
                                                                     ุ
ตัวอย่างเหตุผลของฝ่ ายที่ ไม่เห็นด้วย: ประชาชนต้องการตรวจกับแพทย์ การผลิตแพทย์
เพิมขึน(เช่นตามข้อเสนอที่ 2) น่าจะเป็ นวิธทดกว่าและมีคุณภาพในการรักษามากกว่า
   ่ ้                                    ี ่ี ี

ข้อเสนอด้านกําลังคนข้อที่ 6: ร่วมมือกับโรงพยาบาลเอกชนในการผลิ ตแพทย์
ตัวอย่ างเหตุผ ลของฝ่ ายสนั บสนุ น:        อาจารย์แ พทย์ผู้เ ชี่ย วชาญจํานวนมากถูกดึงไป
ภาคเอกชน ซึ่งหลายแห่งก็มเครื่องไม้เครื่องมือที่ดี แต่อาจจะไม่มคนไข้ท่หลากหลายเท่า
                           ี                                         ี     ี
โรงเรียนแพทย์ และอาจมีโอกาสในการเพิมพูนทักษะในบางด้านก็อาจน้อยลง โรงเรียนแพทย์ท่ี
                                       ่
มีช่อเสียงในต่างประเทศจํานวนไม่น้อยไม่ได้เป็ นของภาครัฐ
    ื
ตัวอย่างเหตุผลของฝ่ ายที่ไม่เห็นด้วย: โอกาสทําได้มไม่มาก
                                                   ี

                                           128
อุปสรรค: กฎระเบียบและต้องปรับเปลียนโรงพยาบาลเอกชนเพือรองรับการเป็ นโรงเรียนแพทย์
                                  ่                      ่
ระบบโรงพยาบาลทีมุงหวังกําไรอาจจะไม่เอือเท่ากับในต่างประเทศทีโรงพยาบาลเอกชนจํานวน
                 ่ ่                   ้                      ่
มากมักเป็ นขององค์กรหรือมหาวิทยาลัยทีไม่ได้แสวงหากําไร (not for profit)
                                     ่

ข้อเสนอด้านกําลังคนข้อที่ 7: เปิ ดโอกาสให้แพทย์อาวุโสในภาคเอกชนกลับเข้ามาสู่
ระบบรัฐโดยมีตาแหน่ งทีเ่ หมาะสมกับระดับประสบการณ์และความสามารถ
                ํ
ตัวอย่างเหตุผลของฝ่ ายสนับสนุน: แพทย์ในภาคเอกชนจํานวนไม่น้อยไม่ได้พอใจทีจะอยูใน          ่     ่
ภาคเอกชนตลอดชีวิต การทํา งาน แพทย์อ าวุ โ สหลายท่า นมีป ระสบการณ์ แ ละสติป ญ ญาที่         ั
                                                                 ั ั
โรงเรียนแพทย์หรือโรงพยาบาลรัฐสามารถใช้ประโยชน์ได้ ในปจจุบน แพทย์อาวุโสเหล่านันไม่            ้
มีช่อ งทางที่จะกลับ เข้า มายังภาครัฐ แบบมีศ ก ดิศ รี (เช่ น ด้ว ยตํ า แหน่ ง ที่เ หมาะสมกับ ระดับ
                                            ั ์
                               82
ประสบการณ์และความสามารถ) ทําให้ภาครัฐไม่ได้รบประโยชน์จากแพทย์เหล่านัน (ยกเว้นใน
                                                      ั                               ้
กรณีรบแพทย์ทเี่ กษียณแล้วมาช่วยตรวจ)
       ั
ตัวอย่างเหตุผลของฝ่ ายที่ไม่เห็นด้วย: อาจบันทอนแรงจูงใจของแพทย์ทอยูในระบบของรัฐมา
                                             ่                               ่ี ่
โดยตลอด
อุปสรรค: กฎระเบียบ (ในส่วนของมหาวิทยาลัยนัน เมือออกนอกระบบ ปญหานี้อาจลดลง แต่
                                                  ้ ่                          ั
           ั
จะยังเป็ นปญหาทีสาคัญในสถานพยาบาลอืนๆ ของรัฐ)
                  ่ํ                    ่

ข้อเสนอด้านกําลังคนข้อที่ 8: ขยายอายุเกษี ยณของแพทย์ในระบบราชการ
ตัวอย่างเหตุผลของฝ่ ายสนับสนุน: เพื่อเป็ นการใช้ทรัพยากรบุคคลทีมอยู่อย่างเต็มเม็ดเต็ม
                                                                   ่ ี
หน่วยมากขึน และน่าจะช่วยลดผลกระทบทีเกิดจากบุคลากรทางการแพทย์จานวนมากถูกดึงไป
            ้                             ่                            ํ
รักษาคนไข้ต่างชาติ
ตัวอย่างเหตุผลของฝ่ ายที่ไม่เห็นด้วย: ไม่มี
ข้อพิ จารณาเพิ่ ม เติ ม : ผลที่ได้อาจจะไม่มากอย่างที่หวัง เพราะปกติแพทย์อาวุโสในระบบ
ราชการก็มแนวโน้ มที่จะรับภาระด้านงานบริการค่อนข้างน้ อยอยู่แล้ว และสําหรับแพทย์ท่ยง
          ี                                                                       ี ั
                          ่ ั้ ั ั
สนใจทํางานให้ภาครัฐอยูนน ปจจุบนหลายหน่วยงานก็มการจ้างแพทย์เหล่านันอยูแล้ว
                                                     ี                   ้ ่

                                 ่
ข้อเสนอด้านกําลังคนข้อที่ 9: เพิ มค่าตอบแทนบุคลากรด้านการแพทย์ทีอยู่ในภาครัฐ
                                                                ่
                                      ่  ั
ตัวอย่างเหตุผลของฝ่ ายสนับสนุน: เพือลดปญหาสมองไหลไปสูภาคเอกชน
                                                       ่
ข้อพิ จารณาเพิ่ มเติ ม:
- ค่าใช้จายทีเพิมขึนของภาครัฐ
         ่ ่ ่ ้

82
                                                               ่ ั ั
    ถ้าเปรียบเทียบกับตําแหน่ งทางราชการในระดับสูงหลายตําแหน่ง ซึงปจจุบนเปิ ดโอกาสให้สรรหาคนนอก
(หรือยอมให้คนนอกสมัครเข้า แข่งขัน) แต่ในกรณีน้ี รวมถึงตําแหน่ งระดับกลางต่างๆ ด้วย ไม่ใ ช่เฉพาะ
ตําแหน่งผูบริหารองค์กร
           ้

                                              129
ั                       ั
- มาตรการนี้อาจมีผลจํากัด เพราะปญหาสมองไหลไม่ได้เกิดจากปญหาค่าตอบแทนแต่เพียง
อย่างเดียว

ข้อเสนอด้านกําลังคนข้อที่ 10: เก็บภาษี การรักษาพยาบาลจากผู้ป่วยต่างชาติ ทีเ่ ดิ นทาง
เพือเข้ามารับการรักษาพยาบาลในประเทศไทย แล้วนํามาอุดหนุนการผลิ ตบุคลากรเพิ ม
    ่                                                                                                ่
ตัวอย่างเหตุผลของฝ่ ายสนับสนุน:
- ที่ผ่านมารัฐ บาลได้ใ ห้การอุ ดหนุ นการผลิต บุคลากรทางการแพทย์ใ นอัต ราที่ค่อนข้างสูง83
เพราะเห็นความจําเป็ นที่ต้องมีบุคลากรมารักษาพยาบาลประชาชนคนไทย (ซึ่งเป็ นผูรบภาระ                 ้ั
                        84
ภาษีในส่วนนี้) การมีคนไข้ต่างชาติเดินทางเข้ามาเพื่อรับการรักษาพยาบาลโดยเฉพาะย่อม
                  ั
ส่งผลให้ปญหาการขาดแคลนบุ คลากรทางการแพทย์มความรุนแรงขึ้น ดังนัน ถ้ารัฐบาลมี
                                                                  ี                           ้
นโยบายทีจะหารายได้เข้าประเทศจากคนไข้กลุ่มนี้ รัฐบาลก็ยอมมีภาระหน้าทีใ่ นการลงทุนผลิต
                ่                                                         ่
บุคลากรทางการแพทย์เพิมขึ้น (ไม่เช่นนันแล้วย่อมหมายความว่ารัฐบาลปล่อยปละละเลยให้
                                    ่             ้
ชาวต่างชาติเข้ามาแย่งทรัพยากรส่วนนี้จากคนไทย) และในมุมมองด้านความเป็ นธรรมนัน                          ้
คนไข้ต่างชาติทเ่ี จาะจงเข้ามารับบริการทางการแพทย์กสมควรมีส่วนร่วมรับภาระค่าใช้จ่ายใน
                                                                ็
                                            ่ ั ั
การผลิตบุคลากรทางการแพทย์ (ซึงปจจุบนส่วนใหญ่มาจากภาษีของคนไทย) ด้วย
- นอกจากนี้ มาตรการนี้จะช่วยลดผลกระทบทีเกิดกับคนไทย (เช่น ทําให้ราคาค่ารักษาพยาบาล
                                                            ่
ของคนไทยไม่เพิมขึนมากหรือเร็วเท่ากับราคาค่ารักษาพยาบาลทีสถานพยาบาลเรียกเก็บจาก
                              ่ ้                                                ่
คนไข้ทมาจากต่างประเทศ และมีสวนช่วยลดผลกระทบด้านการขาดแคลนบุคลากร เนื่องจากจะ
           ่ี                             ่
ทําให้จานวนคนไข้ต่างชาติเพิมขึนในอัตราทีต่ํากว่าในกรณีทไม่มการเก็บค่าธรรมเนียมนี้)
         ํ                            ่ ้               ่             ่ี ี
- ถ้ามาตรการนี้สามารถชลอไม่ให้ค่ารักษาพยาบาลของคนไทยเพิมขึนอย่างรวดเร็วตามกําลัง   ่ ้
ซื้อของต่างชาติ ก็จะช่วยชลอไม่ให้ภาระค่าใช้จ่ายที่ภาครัฐต้องรับจากโครงการหลักประกัน
สุขภาพต่างๆ เพิมขึนอย่างรวดเร็วตามกําลังซือของต่างชาติดวย
                             ่ ้                          ้             ้
                    ่ ่                                       ั
- ในช่วงทีผานมา โรงเรียนแพทย์หลายแห่งประสบปญหาทีอาจารย์แพทย์ผเชียวชาญมักถูกดึง
                                                                    ่                    ู้ ่
ไปอยูภาคเอกชนด้วยแรงจูงใจทางการเงินทีเหนือกว่ามาก ในขณะทีการผลิตแพทย์เพิมอย่างมี
       ่                                              ่                              ่          ่
คุณภาพคงต้องการอาจารย์แพทย์เพิมขึ้น การนํ ารายรับที่เพิมขึ้นส่วนนี้มาอุดหนุ นการผลิต
                                               ่                            ่
แพทย์จงน่ าจะสามารถช่วยโรงเรียนแพทย์รกษาอาจารย์แพทย์ผเชียวชาญเอาไว้ รวมถึงการรับ
              ึ                                     ั                         ู้ ่
อาจารย์ใหม่เข้ามาเพิม             ่
ตัวอย่างเหตุผลของฝ่ ายที่ไม่เห็นด้วย:
- ทําให้ความสามารถในการแข่งขันกับต่างประเทศลดลง โดยเฉพาะอย่างยิงในภาวะเศรษฐกิจ             ่
   ั ั                     ั
ปจจุบน ซึ่งปญหาวิกฤติเศรษฐกิจโลก (และยังอาจมีผลกระทบจากปญหาความขัดแย้งทาง              ั

83
   จากการประมาณการอย่างหยาบๆ รัฐบาลมีค่าใช้จ่ายในการผลิตแพทย์ทวไประหว่าง 1.5 ถึง 3 ล้านบาท
                                                                   ั่
ต่อคน และถ้ารวมค่าใช้จายในการผลิตแพทย์จนเป็ นแพทย์ผเชียวชาญก็น่าจะสูงกว่านี้มาก
                      ่                            ู้ ่
84
    รวมถึงชาวต่างชาติทมาทํางานและตังถินฐานในประเทศไทย ซึงโดยทัวไปแล้วมีสวนร่วมในการจ่ายภาษี
                        ่ี         ้ ่                    ่      ่           ่
ให้กบประเทศไทยเช่นกัน
    ั

                                                  130
การเมืองภายในประเทศด้วย) น่ าจะส่งผลทําให้จํานวนคนไข้ต่างชาติท่จะเข้ามารับบริการใน
                                                                  ี
                                   ึ                ั
ประเทศไทยลดลงอยูแล้ว มาตรการนี้จงเป็ นการซํ้าเติมปญหาให้รนแรงยิงขึน
                    ่                                      ุ     ่ ้
- เป็ นเหมือนการทําโทษธุรกิจเอกชน (ซึงปกติกเสียภาษีให้รฐจากรายได้สวนนี้อยูแล้ว)
                                     ่     ็           ั            ่     ่
- ถ้ามาตรการนี้ทําให้รายได้ของแพทย์ต่ําลง ก็อาจทําให้เกิดสมองไหลไปต่างประเทศ (เช่น
สิงคโปร์)

7.2.2 ข้อเสนออืนๆ  ่
ข้อเสนอที่ 11: การประสานงานและความร่วมมือของหน่ วยงานต่างๆ และความเป็ น
เอกภาพด้ า นนโยบายของภาครัฐ ขอให้ห น่ ว ยงานต่ า งๆ ที่เ กี่ย วข้อ งของภาครัฐ ร่ว มมือ
ประสานงานกันเองให้เป็ นระบบ และมีการแลกเปลียนข้อมูลกันเองมากขึน
                                                 ่                          ้
ตัวอย่างเหตุผลของฝ่ ายสนับสนุน:
       ั
 - ป จ จุ บ ัน มีห น่ ว ยงานของรัฐ หลายหน่ ว ยงานที่เ กี่ย วข้อ ง แต่ ไ ม่ค่อ ยประสานงานกัน เอง
     เท่าทีควร สถานพยาบาลหลายแห่งถูกขอข้อมูลทีเหมือนหรือคล้ายกันจากหลายหน่วยงาน
           ่                                           ่
     และ/หรือ ได้รบเชิญจากหลายหน่วยงานไปพูดเรืองเดียวกันซํ้าแล้วซํ้าอีก
                      ั                              ่
 - นโยบายภาครัฐยังไม่ชดเจนและไม่เป็ นเอกภาพ
                             ั

                   ่
ข้อเสนอที่ 12: เพิ มตัวเลือก “มารับการรักษาพยาบาล” ในบัตรตรวจคนเข้าเมืองขาเข้า
ตัวอย่างเหตุผลของฝ่ ายสนับสนุ น: การสอบถามข้อมูลชาวต่างชาติในบัตรขาเข้า จะมี
ประโยชน์มากในการรวบรวมข้อมูลทีแม่นยํามากขึน ซึงจะเป็ นประโยชน์กบภาครัฐเองด้วย และ
                                   ่        ้ ่                ั
สามารถทําได้โดยแทบไม่มตนทุนเลย
                           ี ้

ข้อเสนอที่ 13: ควรมีการประกาศให้ผ้บริ โภคทราบราคาค่ารักษาพยาบาลโดยละเอียด
                                      ู
(เช่ น อัตราค่ ารักษาของแพทย์ ค่ ายา ค่าเครืองไม้เครืองมือ และค่าที พกและอาหาร)
                                             ่        ่               ่ ั
โดยติ ดประกาศและ/หรือมีรายละเอียดวางไว้ในทีผ้บริ โภคเห็นได้ชดและสามารถเข้าถึง
                                                 ่ ู            ั
ได้โดยง่าย (รวมทังในเว็บของโรงพยาบาล)
                   ้
ตัวอย่างเหตุผลของฝ่ ายสนับสนุ น: การที่ค่ารักษาพยาบาล (โดยเฉพาะในโรงพยาบาล
เอกชน) มีแนวโน้มเพิมขึนอย่างรวดเร็วหรืออยูในระดับสูง ผูบริโภคควรได้รบทราบข้อมูลราคา
                     ่ ้                  ่             ้           ั
ค่าบริการต่างๆ อย่างชัดเจน ทําให้มขอมูลสําหรับการเปรียบเทียบ และอาจช่วยให้เกิดการ
                                  ี ้
แข่งขันในด้านราคา

7.3 แนวทางการพัฒนา
               ั ั ่
         ในปจจุบนทีเศรษฐกิจและสังคมไทยได้พฒนามาในแนวทางทีคอนข้างเสรีนิยม ได้มสวน
                                                ั                       ่ ่                  ี่
ทํา ให้ค วามเหลื่อ มลํ้ า ในด้า นการกระจายรายได้เ พิ่ม ขึ้น มาเป็ น ลํ าดับ (ยกเว้น ในช่ว งวิก ฤติ
เศรษฐกิจ) ซึงมีผลทําให้กาลังซือของประชาชนทีฐานะต่างกันยิงต่างกันมากขึน ยิงในยุคโลกาภิ
             ่              ํ ้               ่                ่               ้ ่

                                               131
วัตน์ทการเคลื่อนย้ายคนข้ามพรมแดนเพิมมากขึน ความเหลื่อมลํ้าของกําลังซือก็ยงแตกต่างกัน
          ่ี                                                         ่            ้                                      ้ ิ่
มากยิงขึน ถ้าปล่อยให้มการแข่งขันกันอย่างเต็มทีสนค้าและบริการก็จะไปอยูในมือของกลุ่มทีมี
         ่ ้                            ี                                             ่ ิ                              ่                  ่
กําลังซื้อและยินดีจ่ายในราคาทีสงลดหลันลงมาตามลําดับ โดยกลุ่มชาวต่างชาติมแนวโน้มทีจะ
                                                    ่ ู            ่                                                          ี         ่
เป็ นกลุ่มทีมกาลังซือทีสงกว่าชนชันกลางและชันล่างของไทยอย่างเทียบกันไม่ได้เลย
                     ่ ีํ ้ ู่                          ้                       ้
                  แต่ การที่การรัก ษาพยาบาลเป็ น บริการที่จํา เป็ นสําหรับ ทุกคนอย่างน้ อยในบางช่ว ง
(จริงๆ ก็คอเกือบทุกช่วง) ของชีวต การปล่อยให้มการประมูลซื้อบริการรักษาพยาบาลตาม
                      ื                                       ิ                             ี
กําลังเงินจึงไม่น่าจะเป็ นวิธีท่มจริยธรรมเพียงพอ (ในกรณี น้ ี จึ งมีเหตุผลที จะประยุกต์ใช้
                                                  ี ี                                                                       ่
หลักการประชาธิ ปไตยแบบหนึ งคนหนึ งเสียงมากกว่าหลักการเป็ นเจ้าของทรัพย์สินเชิ ง
                                                            ่            ่
ธุรกิ จแบบหนึ งบาทหนึ งเสียง) ซึ่งบางครังภาครัฐก็ใช้วธจดระเบียบกําลังซื้อใหม่ (เช่น เก็บ
                         ่                ่                                   ้                 ิีั
ภาษีและนํ าเงินมาซื้อบริการแทนประชาชน เฉกเช่นโครงการหลักประกันสุขภาพถ้วนหน้าใน
บางประเทศ รวมทังประเทศไทยด้วย) หรือมีมาตรการกํากับดูแลทีทําให้กําลังซื้อมีความสําคัญ
                               ้                                                                            ่
น้อยลง (เช่น บังคับให้สถานพยาบาลต้องรักษาคนจน และ/หรือ รักษาทุกคนในยามฉุกเฉิน)
                  การที่มกําลังซื้อจํานวนมากจากต่างประเทศเข้ามาในประเทศที่มแนวทางการดําเนิน
                           ี                                                                                         ี
นโยบายเศรษฐกิจแบบเสรีนิยมนัน ถ้ารัฐไม่เข้ามาแทรกแซง ก็ย่อมมีโอกาสทีจะส่งผลกระทบ
                                                          ้                                                               ่
เป็ นลูกโซ่จนไปทําลายสมดุลเดิมได้ สิงทีภาครัฐจะทําได้ (โดยคํานึงถึงประโยชน์ของทุกฝ่าย)
                                                                ่ ่
คือการลดทอนความสําคัญของกําลังซื้อจากต่างประเทศ เช่น โดยใช้มาตรการด้านภาษีเป็ น
เขื่อ นกัน (ทํ า ให้ ผู้ ใ ห้ บ ริก ารได้ ร ับ เงิน น้ อ ยกว่ า ที่ ผู้ ซ้ื อ จ่ า ย) หรือ มี ม าตรการอื่น ที่ ทํ า ให้
                ้
สถานพยาบาลไม่สามารถทุ่มเทความสนใจไปยังกําลังซื้อจากต่างประเทศอย่างสุดตัวโดยทีไม่                                                      ่
สนใจกับกําลังซื้อของประชาชนในประเทศตัวเอง เพราะในกรณีททรัพยากรบุคคลด้านการ                                      ี่
รักษาพยาบาลถูกใช้อย่างเต็มทีอยูแล้วนัน การขายบริการให้กบกําลังซื้อจากต่างประเทศยิงมาก
                                                     ่ ่         ้                                  ั                               ่
เท่าใดก็จะส่งผลกระทบด้านลบกับบริการทีประชาชนในประเทศได้รบมากขึ้นเท่านัน (กล่าวคือ
                                                                           ่                                  ั                 ้
คนในประเทศจะได้รบบริการเฉพาะส่วนทีเ่ หลือจากทีชาวต่างชาติซ้อเท่านัน)
                                 ั                                                        ่               ื        ้
                                   ั
                  แน่ น อนว่ า ป ญ หาข้า งต้น จะทุ เ ลาลงได้ใ นกรณีท่ีไ ม่มีป ญ หาคอขวดในด้า นบุ ค ลากร ั
(ดังนันข้อเสนอแนะทุกข้อในด้านบุคลากรเป็ นสิงที่ภาครัฐควรพิจารณาดําเนินการ ยกเว้นใน
       ้                                                                            ่
                                                                             85
กรณีทพบว่ามีผลเสียทีมนยสําคัญมากจริงๆ)
             ่ี                      ่ ี ั
                  สําหรับมาตรการทีมภาษีเข้ามาเกียวข้องด้วยนัน แน่นอนว่าในตัวของมันเองคงไม่ใช่สง
                                              ่ ี                      ่                      ้                                             ิ่
ทีพงประสงค์สําหรับภาคธุรกิจด้านการรักษาพยาบาลและธุรกิจอื่นที่เกี่ยวข้อง อย่างไรก็ตาม
  ่ ึ
คณะผูวจยจะเสนอกรณีตวอย่างการดําเนินการ medical hub ทีน่าสนใจ โดยใช้กรณีศกษาของ
             ้ิั                            ั                                                         ่                           ึ

85
   ทังนี้ในการพิจารณาข้อเสนอแนะ อาจเสนอทางเลือกในการพิจารณาข้อเสนอบางข้อพร้อมๆ กันในลักษณะ
     ้
ของทางเลือกด้วย ซึงอาจทําให้ได้มมมองทีตางออกไป ตัวอย่างเช่น ผูบริหารสถานพยาบาลทังของรัฐและ
                     ่           ุ     ่ ่                     ้                       ้
เอกชนทีคณะผูวจยได้มโอกาสไปสัมภาษณ์ (ซึงทังหมดเป็ นแพทย์) ส่วนใหญ่จะไม่เห็นด้วยกับมาตรการภาษี
          ่    ้ิั     ี                   ่ ้
(เมือมาตรการนี้ถกเสนอขึนมาโดดๆ) แต่บางท่านยินดีรบมาตรการนี้มากกว่าข้อเสนอทีให้อนุญาตให้แพทย์
   ่             ู       ้                         ั                            ่
ต่างชาติเข้ามารักษาคนไข้ต่างชาติ      (บางท่านถึงกับเสนอมาตรการนี้กลับเข้ามาเป็ นทางเลือกแทนการ
อนุญาตให้แพทย์ตางชาติเข้ามา)
                   ่

                                                                    132
โรงพยาบาลกรุงเทพภูเก็ตเป็ นตัวอย่าง (model) เพื่อชีให้เห็นตรรกะของข้อเสนอดังกล่าว โดย
                                                  ้
จะกลับมาสูประเด็นนี้อกครังหนึ่งในตอนท้ายของหัวข้อนี้
          ่          ี ้

กรอบที่ 7.1 ตัวอย่าง Medical Hub ของไทย: กรณี ศึกษาโรงพยาบาลกรุงเทพภูเก็ต
             โรงพยาบาลกรุงเทพภูเก็ต เป็ นโรงพยาบาลในเครือของบริษัทกรุงเทพดุสตเวชการ     ิ
(มหาชน) เป็ นโรงพยาบาลขนาด 200 เตียง เปิ ดให้บริการทางการแพทย์โดยมีศูนย์การแพทย์
เฉพาะทาง เช่น ศูนย์ทนตกรรม ศูนย์ศลยกรรมความงาม ศูนย์มะเร็ง ศูนย์ตรวจสุขภาพ และ
                                ั                   ั
ศูนย์บริการผูป่วยต่างชาติ พร้อมทังมีหน่ วยบริการฉุ กเฉินทังทางบกและทางอากาศ ให้บริการ
                    ้                           ้                     ้
ทังผูป่วยในพื้นที่จงหวัดภูเก็ตและใกล้เคียงรวมทังคนไข้จากต่างประเทศ ซึ่งจะมีมากในช่วง
    ้ ้                     ั                                     ้
ฤดูกาลท่องเทียว และมีจานวนผูเข้ารับการรักษาเพิมขึนอย่างต่อเนื่อง
                      ่              ํ      ้                    ่ ้
             ตังแต่ มโครงการ 30
               ้        ี                       บาทฯ ทางโรงพยาบาลได้หนมาให้ความสําคัญกับคนไข้
                                                                        ั
                          ้                                                   ั
ชาวต่างชาติมากขึน และได้เน้นการทําตลาดส่วนนี้หลังจากที่ประสบปญหานักท่องเทียวลดลง          ่
อย่างมากหลังจากเกิดสึนามิเมื่อปลายปี 2547 ก็ได้มนโยบายส่งเสริมการท่องเทียวเชิงสุขภาพ
                                                                    ี                 ่
        ั ั
ในปจจุบน สัดส่วนของคนไข้ไทยต่อคนไข้ต่างประเทศอยู่ท่ี 80:20 ในขณะที่รายได้ 50-60%
ของโรงพยาบาลมาจากคนไข้ชาวต่างชาติ โรงพยาบาลกรุงเทพภูเก็ตมีศกยภาพเพียงพอทีจะ        ั           ่
รองรับคนไข้ชาวต่างชาติทงจากในพืนทีใกล้เคียงและจากการท่องเทียวเชิงสุขภาพ กลุ่มลูกค้า
                                       ั้         ้ ่                     ่
หลักคือชาวอังกฤษ เยอรมัน และประเทศแถบสแกนดิเวียน
             โรงพยาบาลแต่ ล ะโรงในเครือ กรุ งเทพดุ ส ิต เวชการมีอิส ระในการดํา เนิ น การ โดยที่
ผูบริหารของแต่ละโรงพยาบาลมีอสระในการบริหารจัดการ ซึ่งทางส่วนกลางเพียงแต่กําหนด
  ้                                           ิ
กรอบเป้าหมายของผลประกอบการไว้เท่านัน ในส่วนของรายละเอียดทังในเรื่องของการกําหนด
                                                         ้                  ้
อัต ราค่ า รัก ษาพยาบาล การดํ า เนิ น งาน และการบริห ารจัด การนั น ผู้ บ ริห ารของแต่ ล ะ
                                                                                ้
โรงพยาบาลมีอํานาจสิทธิ ์ขาดในการบริหารงาน โรงพยาบาลกรุงเทพภูเก็ตเป็ น 1 ใน 2
โรงพยาบาลในเครือกรุงเทพดุสตเวชการทีผานการประเมินผลการดําเนินงานในทุกเกณฑ์ททาง
                                          ิ           ่ ่                                   ่ี
ส่วนกลางกําหนดในปี ทผ่านมา (2550) ทังทีได้ปรับลดราคาค่าบริการและราคายาสําหรับคน
                                  ่ี                       ้ ่
ไทยลงมา (หลังจากทีได้ตรึงราคามาแล้วสองปี ) ซึงน่าจะเป็ นเหตุผลหนึ่งทีทาให้ประธานบริหาร
                              ่                                ่                  ่ ํ
ของเครือฯ ได้ให้นโยบายให้โรงพยาบาลทุกแห่งในเครือไปพิจารณาลดค่ารักษาพยาบาลสําหรับ
คนไทยลงด้ ว ย แต่ ก ารที่จ ะดํ า เนิ น การแค่ ไ หนคงขึ้น กับ ดุ ล ยพินิ จ ของผู้บ ริห ารในแต่ ล ะ
โรงพยาบาล
             ทังนี้ ผูบริหารโรงพยาบาลกรุงเทพภูเก็ตระบุว่า การลดอัตราค่ารักษาพยาบาลและราคา
                 ้ ้
ยาเพือให้คนไทยได้เข้าถึงการบริการมากขึน เพราะโรงพยาบาลกรุงเทพภูเก็ตให้ความสําคัญกับ
         ่                                             ้
ลูกค้าชาวไทยไม่น้อยกว่าชาวต่างประเทศ
             ในส่วนของค่ารักษาพยาบาลและค่าธรรมเนียมทางการแพทย์ของโรงพยาบาลกรุงเทพ
ภูเก็ตนัน อัตราค่าบริการของคนไข้ชาวต่างชาติจะสูงกว่าคนไข้ชาวไทยหรือชาวต่างประเทศทีมี
           ้                                                                                     ่



                                               133
ถินพํานักอยู่ในประเทศ ไม่ว่าจะเป็ นค่าธรรมเนียมทางการแพทย์ (doctor fee86) ค่าห้อง87 ค่า
   ่
การพยาบาล88 และค่าอาหาร ซึงโดยเฉลียแล้วค่าใช้จายของคนไข้ชาวต่างชาติจะตกประมาณ 2
                                       ่          ่           ่
                     89
เท่าของคนไทย ในช่วง 2-3 ปี ทผานมา จํานวนคนไข้ทเข้ามารับบริการทีโรงพยาบาลกรุงเทพ
                                             ่ี ่               ่ี                 ่
ภูเก็ตเพิมขึนอย่างต่อเนื่อง ทังคนไข้ชาวไทยและชาวต่างชาติ
              ่ ้                ้
                     ั ั
              แม้ว่าปจจุบนโรงพยาบาลจะมีรายได้จากคนไข้ต่างชาติมากกว่าครึง แต่ทงผูบริหารและ
                                                                                     ่       ั้ ้
แพทย์โรงพยาบาลกรุงเทพภูเก็ตต่างก็ตระหนักดีว่าจะไม่สามารถพึงแต่คนไข้ต่างชาติ เพราะ่
ถึงแม้จะมีนักท่องเทียวเข้ามาทีภูเก็ตถึง 5 ล้านคนต่อปี แต่กจะมามากเฉพาะในฤดูท่องเทียว
                            ่            ่                               ็                                     ่
ฐานลูกค้าคนไทยจึงยังเป็ นส่วนสําคัญของโรงพยาบาล ซึงยังเน้นการรักษาความสัมพันธ์ทดกบ
                                                                   ่                                       ่ี ี ั
คนไข้ทุกกลุ่ม ผูอํานวยการเองมีความเห็นว่าการให้ความช่วยเหลือโครงการสาธารณะต่างๆ
                       ้
(เช่น ส่งรถพยาบาลไป standby รวมถึงให้ความช่วยเหลือแก่ชุมชน) เป็ นวิธทดในการสร้าง           ี ่ี ี
ชื่อเสียงและความความสัมพันธ์ทดกบชุมชนมากกว่าการโฆษณา (เช่น billboard ทีมค่าใช้จ่าย
                                           ่ี ี ั                                                   ่ ี
นับล้านบาท)
              ในด้านการจัดบริการ ผูบริหารโรงพยาบาลกรุงเทพภูเก็ตไม่มนโยบายทีจะจัดแผนกหรือ
                                     ้                                         ี       ่
บุคลากรแผนกทีรกษาผูป่วยชาวต่างชาติโดยเฉพาะ โดยให้บริการรวมกันไปทังคนไข้ไทยและ
                         ่ั   ้                                                          ้
ต่างชาติ แต่อาจมีการจัดหนังสือพิมพ์และนิตยสารภาษาไทยและต่างประเทศไว้ในมุมทีต่างกัน                      ่
              อย่างไรก็ตาม ในการปรับตัวเพื่อรับคนไข้ต่างชาตินัน ต้องมีการตกแต่งสถานพยาบาล
                                                                     ้
       ู ี ้ึ                   ่ ้                     ่ ้                  ั ั
ให้ดดขน เช่น ต้องใช้โซฟาทีบุดวยหนังแท้ ซึงมีตนทุนสูงกว่าเดิม ปจจุบนค่าใช้จ่ายในการสร้าง
          ้ ่
ห้องผูปวยขนาดมาตรฐานตกประมาณห้องละ 5 ล้านบาท และในการบูรณะใหม่ (ซึงต้องทําใน                      ่
ทุกประมาณ 5 ปี ) ตกประมาณ 2 ล้านบาท
              ในด้านมาตรฐานโรงพยาบาลไม่มแผนที่จะให้ JCI มารับรอง เพราะเชื่อว่าปจจุบน
                                                      ี                                                   ั ั
ชื่อเสียงของโรงพยาบาลเป็ นทียอมรับอยูแล้ว จึงไม่จาเป็ นต้องเสียค่าใช้จ่ายนับสิบล้านบาท อีก
                                   ่                ่       ํ
ทังลูกค้าชาวต่างชาติส่วนใหญ่ของโรงพยาบาลเป็ นชาวอังกฤษ เยอรมัน และสแกนดิเวียน90
     ้
ไม่ใช่ชาวอเมริกน (ทีให้ความสําคัญกับ JCI มากกว่า) แต่ได้ศกษาและนําแนวทางบางอย่างมา
                      ั ่                                              ึ
ใช้ เนื่องจากเห็นว่า JCI จะช่วยสร้างมาตรฐานในการดูแลคนไข้ให้ดยงขึน         ี ่ิ ้


86
    ซึ่งจะคิดค่าบริการเพิมขึ้นประมาณเท่าตัว ตัวอย่างเช่น ค่าแพทย์สําหรับผู้ป่วยนอกทัวไปที่เก็บคนไทย
                         ่                                                          ่
ประมาณ 250-300 บาท จะเก็บชาวต่างประเทศประมาณ 500-600 บาท แต่โดยทัวไปแล้วแพทย์กตองใช้
                                                                                ่                 ็ ้
เวลากับชาวต่างชาติมากกว่าเช่นกัน
87
    ซึงมีตงแต่อตราเริมต้นที่ 1,800 ไปจนถึง 21,000 บาทต่อวัน
      ่ ั้ ั          ่
88
    เริมทีประมาณ 500-600 บาทต่อวัน
         ่ ่
89
     การตังราคาในแต่ละโรงพยาบาลในเครือขึนกับนโยบายของผูอํานวยการจะแตกต่างกัน ผูถอหุนของเครือ
             ้                                  ้            ้                          ้ ื ้
กรุงเทพฯ ทีมาจากสหรัฐฯ มักจะกดดันให้ตงราคาให้เหมือนกัน แต่เรืองนี้ไม่เป็ นประเด็นสําหรับผูถอหุนชาติ
               ่                           ั้                   ่                             ้ ื ้
อื่น ผูบริหารโรงพยาบาลกรุงเทพภูเก็ตระบุดวยว่าโรงพยาบาลในสิงคโปร์จะติดประกาศไว้วาเก็บค่ารักษาคน
           ้                                  ้                                       ่
ต่างชาติในอัตราทีสงกว่าปกติรอยละ 30
                   ู่           ้
90
                                                  ่ี ่
    ซึงต่างกับในกรุงเทพมหานครทีอาจมีคนไข้ญปุนและตะวันออกกลางค่อนข้างมาก
       ่                           ่

                                                      134
ด้านวิชาการ นอกจากทางโรงพยาบาลจะมี conference กับส่วนกลางและสาขาอื่นทุก
สัปดาห์แล้ว ยังมีนโยบายส่งแพทย์ไ ปประชุมวิชาการทัง ในและต่ างประเทศ และสนับ สนุ น      ้
งานวิจย โดยทางโรงพยาบาลออกค่าใช้จายให้ทงหมด
           ั                                             ่             ั้
               แพทย์ทุกรายของโรงพยาบาลในเครือจะต้องซื้อ malpractice insurance                                                   โดย
โรงพยาบาลเจรจาให้ และหักจาก doctor fee โดยอัตราเบียประกันจะต่างกันตามสาขาวิชาชีพ         ้
(ประมาณ 9,000-15,000 บาทต่อปี สาหรับทุนประกันหนึ่งล้านบาทต่อหนึ่ง case แต่ในส่วนของ
                                                       ํ
ศัลยแพทย์ดานความงามทุนประกันจะครอบคลุมถึง 2 ล้านบาทต่อ case) และปรับตามประวัติ
                    ้
การ claim ในอดีตของแพทย์แต่ละคน (experienced rating) โรงพยาบาลไม่ทา self insurance                        ํ
เพราะจะได้ไม่มผลประโยชน์ทบซ้อน (conflict of interest)
                        ี                      ั
               จํานวนแพทย์ของโรงพยาบาลกรุงเทพภูเก็ตเพิมจาก 30 คน (จากช่วงก่อนทีมโครงการ
                                                                                   ่                            ่ ี
                                            ั ั
30 บาทฯ) เป็ น 70 คนในปจจุบน การเพิมจํานวนของแพทย์นนไม่ได้เป็ นผลมาจากการเข้ามา
                                                              ่                                  ั้
ของคนไข้ชาวต่างชาติหรือ medical tourism แต่อย่างเดียว แต่เป็ นผลมาจากการทีตลาด (ทัง                              ่                  ้
คนไข้ไทยและต่างชาติ) มีการขยายตัว จึงมีการลงทุนทังในด้านเครื่องไม้เครื่องมือเพิมมากขึน
                                                                                     ้                                    ่       ้
ส่งผลให้มการจ้างแพทย์เพิมขึน ทังนี้ แพทย์แต่ละคนต้องให้การรักษาทังคนไข้ชาวไทยและ
                  ี                        ่ ้ ้                                                      ้
ชาวต่างชาติ โดยไม่มการแยกแพทย์เพื่อให้การรักษาชาวต่างชาติโดยเฉพาะ อย่างไรก็ตาม
                                       ี
โดยทัวไปแล้วระยะเวลาในการให้บริการแก่คนไข้ชาวต่างชาติจะนานกว่าคนไข้ชาวไทย ซึงส่วน
         ่                                                                                                                  ่
หนึ่งเป็ นเพราะมีอุปสรรคทางด้านภาษามากกว่า อย่างไรก็ตาม เมื่อมีคนไข้ต่างชาติมารับ
บริการมากขึน แพทย์มแนวโน้มทีจะให้ขอมูลและอธิบายรายละเอียดของโรคเพิมขึน ซึ่งคนไข้
                      ้                  ี         ่       ้                                                ่ ้
ชาวไทยน่าจะได้รบประโยชน์โดยตรงจากส่วนนี้ดวย
                               ั                                          ้
               ในช่วงทีทางโรงพยาบาลหันมาเน้นนโยบาย medical tourism นัน คนไข้ทงชาวไทย
                            ่                                                                           ้          ั้
และชาวต่างชาติมจํานวนเพิมขึน แต่การเพิมขึนของรายได้จากคนไข้ชาวต่างชาติจะมากกว่า
                                 ี           ่ ้                     ่ ้
คนไข้ชาวไทย ซึงส่วนหนึ่งเป็ นเพราะอัตราค่ารักษาพยาบาลทีเก็บจากคนไข้ชาวต่างชาติสงกว่า
                          ่                                                                  ่                                ู
คนไข้ชาวไทย อย่างไรก็ตาม จํานวนคนไข้ชาวต่างชาติอาจมีการผันผวนขึ้นอยู่กบฤดูกาล                                         ั
ท่องเทียวหรือความเสียงอื่นๆ ทีไม่สามารถทํานายได้ อีกทังคนไข้ชาวต่างประเทศทีเข้ามารับ
             ่                       ่           ่                                         ้                            ่
บริการก็มจานวนน้อยกว่าคนไข้ชาวไทยอยูแล้ว ดังนัน คนไข้ชาวไทยจึงยังเป็ นฐานลูกค้าสําคัญ
                 ีํ                                               ่         ้
ทีโรงพยาบาลให้ความสนใจ ด้วยเหตุน้ี โรงพยาบาลกรุงเทพภูเก็ตจึงได้ดาเนินมาตรการการลด
  ่                                                                                                 ํ
ราคายา ส่งผลให้มจํานวนคนไข้เพิมมากขึน ทําให้สามารถประหยัดจากการซื้อในปริมาณมาก
                                   ี                 ่          ้
และยังสามารถรักษา margin ได้ตามเป้าทีตองการ                  ่ ้
               ในด้านความพร้อมที่เมืองไทยจะเป็ นศูนย์กลางทางการแพทย์ของเอเชีย (Medical
Hub of Asia) นัน ผูบริหารโรงพยาบาลกรุงเทพภูเก็ตเห็นว่า การให้บริการทางการแพทย์ของ
                              ้ ้
ไทยไม่เป็ นรองชาติใดในเอเชีย ประเทศไทยมีแพทย์ทมความรูความสามารถและมีการให้บริการ
                                                                              ่ี ี             ้
                                                                    ้ ั
ที่ดีเยี่ยม และในธุรกิจด้านรักาาพยาบาลนัน ปจจัยสําคัญที่มีอิทธิพลต่ อการตัดสินใจเข้ารับ
บริการคือ ความไว้เนื้อเชื่อใจ (trust) มิใช่แบรนด์และราคา ด้วยเหตุน้ี คู่แข่งทางด้านราคาอย่าง
ประเทศอินเดียจึงไม่ใช่คู่แข่งที่น่ากลัวของไทย ถึงแม้การให้บริการทางการแพทย์ในประเทศ


                                                               135
อินเดียนันมีการขยายตัวในอัตราทีสง แต่ในแง่ของรายได้นน ผูบริหารโรงพยาบาลกรุงเทพภูเก็ต
           ้                       ู่                     ั้ ้
เชื่อว่ายังสูโรงพยาบาลในเครือกรุงเทพดุสตเวชการเพียงเครือเดียวไม่ได้ จุดแข็งของอินเดียคือมี
               ้                             ิ
บุคลากรมากและมีคารักษาพยาบาลทีถูกมาก เนื่องจากอุปกรณ์และเครืองมือทางการแพทย์ทใช้
                    ่                      ่                     ่                     ่ี
ล้วนแต่ผลิตขึนในประเทศอินเดีย อินเดียจึงเหมาะสําหรับตลาดประกันทีเน้นการให้บริการแบบ
                 ้                                                    ่
mass (การรับลูกค้าของบริษทประกันในบางประเทศ และคิดอัตราค่าบริการในราคาถูก)
                                 ั
มากกว่าการให้บริการเฉพาะทางหรือบริการทีมความเชื่อมโยงกับการท่องเทียวเช่นในประเทศ
                                                  ่ ี                    ่
ไทย ดังนัน ประเทศไทยจึงควรดําเนินกลยุทธ์แบบ niche market ต่อไป โดยไม่จาเป็ นต้องรับ
             ้                                                                  ํ
ลูกค้าแบบ mass จากบริษทประกัน การวางกลยุทธ์เช่นนี้ จะทําให้ประเทศไทยเป็ น Premium
                          ั
                                                ั ั
Health Care Service อย่างไรก็ตาม ในปจจุบน ภูมภาคทีเป็ นจุดยุทธศาสตร์และเหมาะสมต่อ
                                                        ิ   ่
                                    ่ี         ั ั
การเป็ นศูนย์กลางทางการแพทย์ทสุดในปจจุบนคือตะวันออกกลาง เนื่องจากมีทตงทีเหมาะสม
                                                                            ่ี ั ้ ่
         ํ ้          ั
และมีกาลังซือสูง แต่ปญหาสําคัญทีคอขาดบุคลากรทางการแพทย์ ดังนัน โรงพยาบาลของไทย
                                       ่ ื                         ้
บางกลุ่มก็อาจจะไปร่วมลงทุนและ/หรือไปรับหน้าทีบริหารโรงพยาบาลทีจะตังใหม่ในตะวันออก
                                                      ่              ่ ้
กลาง

ช่องทางการตลาดและการประชาสัมพันธ์
         ทางโรงพยาบาลยังคงดําเนิ นการขยายตลาดต่ า งประเทศอย่า งต่ อเนื่ อง กิจกรรมที่
ดําเนินในต่างประเทศ ประกอบด้วยการจัดโรดโชว์ การสัมมนาให้ความรูเกี่ยวกับบริการทาง
                                                                  ้
การแพทย์ในจังหวัดภูเก็ต และข้อมูลเกี่ยวกับโรงพยาบาลกรุงเทพภูเก็ต รวมถึงข้อมูลเกี่ยวกับ
ศัลยกรรมตกแต่งเพื่อความงาม และเปิ ดโอกาสให้ผสนใจซักถาม รวมถึงให้คาปรึกษาการผ่าตัด
                                              ู้                    ํ
ในต่างประเทศ (เช่นสวีเดนและออสเตรเลีย โดยเฉพาะตลาดประเทศออสเตรเลียที่ถูกมองว่า
เป็ น Blue Ocean) ซึงโรงพยาบาลกรุงเทพภูเก็ตก็ได้นําแพทย์และพยาบาลไปแนะนําบริการ
                    ่
ของโรงพยาบาล พร้อมกับตอบข้อซักถาม ส่งผลให้คนไข้ชาวออสเตรเลียเดินทางเข้ามารับ
บริการที่โรงพยาบาลเพิมขึ้น 200% บริการสําคัญที่มคนไข้ท่เดินทางจากต่างประเทศมารับ
                      ่                          ี      ี
                                                   91
บริการทีโรงพยาบาลได้แก่การตรวจสุขภาพ และทันตกรรม
         ่




91
     นอกจากนี้ โรงพยาบาลกรุงเทพภูเก็ตมีช่อเสียงในหมูชาวต่างชาติมากเพราะในช่วงทีประเทศไทยประสบ
                                            ื       ่                            ่
ภัยธรรมชาติคลื่นยักษ์สนามิ
                       ึ           ้                              ั ั
                                 ผูบริหารโรงพยาบาลกรุงเทพภูเก็ตในปจจุบน      (ซึงในขณะนันเป็ นรอง
                                                                               ่        ้
  ้ํ               ี           ้                                      ้ ่
ผูอานวยการ) ได้มนโยบายรับผูประสบภัยเข้ารักษาโดยไม่เก็บค่ารักษาจากผูปวย โดยในช่วงดังกล่าวทาง
โรงพยาบาลได้ยกเว้นค่ารักษาประมาณ 25 ล้านบาท (ในส่วนนี้ ภายหลังได้รบการชดเชยกลับมาจากบริษท
                                                                       ั                        ั
ประกันต่างๆ ประมาณ 10 ล้านบาท) ในช่วงดังกล่าวโรงพยาบาลจึงประสบภาวะขาดทุน ประกอบกับการ
หายไปของนักท่องเทียวในช่วงหลังสึนามิ จนคาดว่าอาจจะต้องปิดกิจการ แต่ทางโรงพยาบาลได้ผานภาวะ
                     ่                                                                      ่
วิกฤตินนมาได้ และยังทําให้มช่อเสียงมากขึน และ นพ.ก้องเกียรติ เกศเพชร์ ผูอานวยการ ได้รบเชิญไป
       ั้                  ี ื            ้                               ้ํ              ั
บรรยายเรืองนี้จากนับสิบประเทศ
          ่

                                              136
บทบาท ความช่วยเหลือ และความสัมพันธ์กบภาครัฐ        ั
          ผูบริหารโรงพยาบาลกรุงเทพภูเก็ตเห็นว่าภาครัฐควรมองในภาพกว้างโดยใช้นโยบาย
            ้
Dual Track กล่าวคือ รัฐไม่จาเป็ นต้องให้การสนันสนุ นมากนัก แต่ไม่กดกันหรือแทรกแซงการ
                              ํ                                           ี
ดําเนินงานของภาคเอกชน ทางโรงพยาบาลกรุงเทพภูเก็ตไม่ได้ต้องการความช่วยเหลือจาก
ภาครัฐ นอกเหนือจากการอํานวยความสะดวกในด้านวีซ่า (เช่น visa on arrival สําหรับ
  ้ ่
ผูปวยหนัก) ในทางกลับกัน ก็ไม่ตองการให้ภาครัฐมาแทรกแซงการดําเนินงานของโรงพยาบาล
                                  ้
เอกชนในเรื่องนี้ และไม่เห็นด้วยกับการทีโรงพยาบาลของรัฐ (เช่นโรงเรียนแพทย์บางแห่ง) จะ
                                           ่
พยายามเข้ามาทําโครงการด้านนี้ เพราะเห็นว่าโรงพยาบาลของรัฐ น่าจะเน้นทีการให้บริการแก่
                                                                                  ่
ประชาชนในระดับกลางจนถึงระดับล่าง เพราะถ้าโรงเรียนแพทย์ปรับการให้บ ริการเสมือน
โรงพยาบาลเอกชน จะทําให้เกิดการแย่งทรัพยากรกันระหว่างโรงพยาบาลรัฐและโรงพยาบาล
เอกชน และอาจก่อให้เกิดการเบียดบังการให้บริการแก่คนไข้ชาวไทย สิงทีเห็นว่าภาครัฐควรยื่น
                                                                       ่ ่
มือเข้ามาช่วย คือการจัดเตรียมโครงสร้างพื้นฐานเพื่อรองรับการเข้ามาของนักท่องเที่ยวและ
คนไข้ชาวต่างชาติจากนโยบาย medical tourism รวมถึงส่งเสริมให้มการผลิตบุคลากรทางการ
                                                                     ี
                                ั ั      ั
แพทย์ใ ห้ม ากขึ้น เนื่ องจากป จจุบ น มีป ญหาการขาดแคลนบุ ค ลากรทางการแพทย์ รวมทัง       ้
                          ั
พยาบาล ซึ่งกลายเป็ นปญหาสําคัญเพราะโรงเรียนพยาบาลในไทยจะผลิตพยาบาลตามอัตรา
จ้างของภาครัฐ ทําให้ผลิตได้ไม่เพียงพอกับความต้องการทังในภาครัฐและเอกชน นอกจากนี้
                                                               ้
ยังให้ความเห็นอีกว่า ประเทศไทยไม่มช่องว่างให้แพทย์และพยาบาลจากภาคเอกชนกลับไป
                                       ี
โรงพยาบาลภาครัฐ เนื่ องจากไม่มีตําแหน่ ง หรืออัตรามารองรับ อีกทัง ยังขาด not-for-profit
                                                                            ้
organization ทีจะมารองรับบุคลากรทางการแพทย์ท่ไม่อยากอยู่ในภาคราชการและเอกชน
                   ่                                         ี
นอกจากนี้ โรงพยาบาลเอกชนสามารถมีบทบาทเป็ นโรงเรียนแพทย์เหมือนในหลายประเทศ
เพื่อผลิตบุคลากรให้เพียงพอเพื่อกับความต้องการบุคลากรทีมากขึน (รวมทังจากการขยายตัว
                                                                 ่ ้          ้
ของการท่องเที่ยวเชิงสุขภาพในประเทศไทยในอนาคต) แต่อาจจะทําได้ยากเพราะระบบของ
ไทยไม่คอยมีโรงพยาบาลทีเป็ น not-for-profit organization
          ่                 ่
                                                          ้ ั ั ี
          ในส่วนของโรงพยาบาลกรุงเทพภูเก็ตเองนัน ปจจุบนก็มความสัมพันธ์ในลักษณะเกือกูล  ้
กับโรงพยาบาลรัฐหลายประการ เช่น ส่งแพทย์ไปช่วยทําบอลลูนที่สถาบันโรคทรวงอก และ
โรงพยาบาลตํารวจ (และทําหัตถการอื่นๆ ทีโรงพยาบาลวชิระภูเก็ต และโรงพยาบาลป่าตอง)
                                               ่
โดยได้ออก clinical privilege ให้แพทย์เหล่านันไปทําการรักษาทีโรงพยาบาลอื่น ซึ่งทาง
                                                           ้            ่
โรงพยาบาลได้จ่ายเงินเดือนให้ตามปกติ ทังนี้ เพื่อเป็ นการฝึ กทัก ษะและให้แ พทย์มจํา นวน
                                             ้                                      ี
หัตถการที่มากพอที่จะรักษาทักษะของตน อีกทังยังช่วยแบ่งเบาภาระงานของโรงพยาบาลรัฐ
                                                      ้
ด้วย และทางโรงพยาบาลยังรับแพทย์จากโรงพยาบาลรัฐในจังหวัดใกล้เคียงทีเปิ ดคลินิกได้ยาก
                                                                                ่
(เช่น กระบี) มาเข้าเวร หรือรับแพทย์เฉพาะทาง (เช่น Hematologist) จากโรงพยาบาลศูนย์
              ่
สุราษฎร์ธานี มา consult case ในช่วงวันหยุด ซึงนอกจากทางโรงพยาบาลจะได้ประโยชน์แล้ว
                                                        ่
วิธน้ีกน่าจะช่วยรักษาบุคลากรทางการแพทย์ทตองการอยู่ในภาครัฐให้สามารถอยู่ในภาครัฐได้
    ี ็                                          ่ี ้
นานขึนด้วย
        ้


                                          137
ถ้าพิจารณาจากกรณีศึกษาในกรอบที่ 7.1 โดยเฉพาะนโยบายด้านราคา ก็อาจดู
เหมือนว่าผู้บริหารโรงพยาบาลกรุงเทพภูเก็ตมีมุมมองหรือวิสยทัศน์ ท่ีแตกต่ างจากผู้บริหาร
                                                                                ั
โรงพยาบาลทีเป็ น medical hub อื่นๆ และความแตกต่างนี้นํามาซึงความสําเร็จ (อย่างน้อย
                ่                                                                            ่
ในช่วงนี้) แม้กระทังเมือวัดด้วยมาตรวัดด้านธุรกิจของกลุ่มโรงพยาบาลกรุงเทพดุสตเวชการ (ซึง
                        ่ ่                                                                                 ิ             ่
น่าจะเป็ นมาตรวัดทีเ่ ข้มข้นพอสมควร เมือพิจารณาจากทีผอานวยการโรงพยาบาลกรุงเทพภูเก็ต
                                            ่                        ่ ู้ ํ
ระบุวามีโรงพยาบาลในเครือเพียง 2 แห่งเท่านันทีผานทุกเกณฑ์ทตงไว้)
      ่                                                 ้ ่่                      ี ่ ั้
          แน่ น อนว่ า มุ ม มองและ/หรื อ วิ ส ัย ทัศ น์ ข องผู้ บ ริ ห ารเป็ น ส่ ว นที่ มี ค วามสํ า คัญ ต่ อ
ความสําเร็จของโรงพยาบาล อย่างไรก็ตาม คณะผูวจยเห็นว่ายังมีปจจัยทีสําคํญอืนๆ ทีทําให้
                                                             ้ิั                           ั       ่            ่      ่
โรงพยาบาลกรุงเทพภูเก็ตต่างกับอีกหลายโรงพยาบาลทีผนตัวเองมาเป็ น medical hub ใน
                                                                           ่ั
ประเทศไทย
          โรงพยาบาลกรุ ง เทพภู เ ก็ต เป็ น โรงพยาบาลที่ต ัง ในแหล่ ง ท่อ งเที่ย ว และเป็ น แหล่ ง
                                                                           ้
                                 ่ ่ ี          ่                ั ั
ท่องเทียวของกลุ่มนักท่องเทียวทีมรายได้คอนข้างดี ปจจุบนโรงพยาบาลมีรายได้สวนใหญ่จาก
        ่                                                                                                     ่
คนไข้ต่างชาติ (ซึงส่วนใหญ่เป็ นนักท่องเทียว ทีเข้ามาทีภูเก็ตถึง 5 ล้านคนต่อปี ) แต่การที่
                      ่                             ่ ่                ่
นักท่องเที่ยวจะเข้ามามากเฉพาะในฤดูท่องเที่ยวเท่านัน และมีโอกาสที่จะลดฮวบฮาบถ้ามี
                                                                         ้
  ั
ปญหาทีรุนแรง (กรณีสนามิถอเป็ นตัวอย่างทีสุดโต่งในเรื่องนี้ แต่กอาจมีกรณีอ่นทีส่งผลกระทบ
          ่                 ึ     ื                   ่                                 ็                ื ่
ได้ไม่น้อย เช่น ถ้ามีไฟไหม้ในสุมาตราติดต่อกันเป็ นเวลานาน หรือแม้กระทังปญหาการเมือง                     ่ ั
ภายในประเทศ) แต่ถงจะไม่มกรณีเหล่านี้ ทังผูบริหารและแพทย์โรงพยาบาลกรุงเทพภูเก็ตต่าง
                          ึ           ี              ้ ้
ก็ตระหนักดีว่าก็ไม่สามารถพึงแต่คนไข้ต่างชาติ (ยกเว้นโรงพยาบาลยินดีเปิ ดทําการเฉพาะใน
                                    ่
ฤดูท่ อ งเที่ย วปี ล ะประมาณ 6 เดือ น) ฐานลู ก ค้า คนไทยจึง ยัง เป็ น แหล่ ง รายได้ท่ีสํา คัญ ของ
โรงพยาบาล และการกําหนดราคาสําหรับคนไทย (และ/หรือคนในพืนที) ก็จะต้องพิจารณาจาก             ้ ่
ศักยภาพของโรงพยาบาลในช่วงนอกฤดูท่องเทียวทีรายได้เกือบทังหมดของโรงพยาบาลมาจาก
                                                         ่ ่                          ้
คนไทยด้วย (และแน่ นอนว่า ถ้าโรงพยาบาลต้องการทีรกษาความสัมพันธ์ทดกบคนในพืนทีใน
                                                                  ่ั                                 ่ี ี ั           ้ ่
ระยะยาว (ซึ่งคงเป็ นเป้ าหมายของทุกโรงพยาบาลอยู่แล้ว ) โรงพยาบาลก็ค วรต้องใช้ร าคา
ดังกล่าวกับคนไทยในฤดูทองเทียวด้วยเช่นกัน92
                                ่ ่
          ในทางกลับกัน ถ้าโรงพยาบาลมีวตถุประสงค์จะทํากําไรสูงสุด โรงพยาบาลก็มเี หตุผลที่
                                              ั
จะคิด ค่ า รัก ษาพยาบาลจากชาวต่ า งชาติ (ซึ่ง โดยทัวไปจะมีกําลัง ซื้อ ที่สูง กว่า คนไทยอย่า ง
                                                               ่
ชัดเจน) ในอัตราที่พวกเขายินดีจ่าย ซึ่งน่ าจะเป็ นอัตราที่สูงกว่าอัตราที่คดกับคนไทยอย่างมี        ิ
นัยสําคัญ โดยเฉพาะในสภาวการณ์ทโรงพยาบาลจะต้องมีศกยภาพเหลือไว้ให้บริการคนไทยใน
                                         ่ี                                   ั
ฤดูทองเทียว ซึงน่าจะมาใช้บริการในอัตราทีไม่ต่างจากในช่วงนอกฤดูทองเทียวมากนัก
     ่ ่ ่                                        ่                                            ่ ่
          การทีค ณะผู้วิจ ย ได้พ ยายามวิเ คราะห์น โยบายของโรงพยาบาลกรุ ง เทพภูเ ก็ต จาก
                  ่           ั
แรงจูงใจทางเศรษฐกิ จล้วนๆ ก็เพือทีจะชี้ให้เห็นว่า รูปแบบของ medical hub ทีพงประสงค์
                                        ่ ่                                                                       ่ ึ

92
     ถึงแม้ว่าโรงพยาบาลอาจใช้วธขนราคาในช่วงฤดูท่องเที่ยว และใช้วธออก “โปรโมชัน” ในช่วงนอกฤดู
                                ิ ี ้ึ                           ิี             ่
ท่องเทียวได้บาง แต่กคงจะทําได้ในขอบเขตทีจากัด เพราะไม่เช่นนัน คนไข้ไทยจะรูสกว่าทางโรงพยาบาลขึน
      ่       ้     ็                  ่ํ                   ้             ้ ึ                ้
ราคาในฤดูทองเทียวอยูดี
            ่ ่       ่

                                                           138
นัน ควรเป็ นรูปแบบทีโรงพยาบาลยังคงมีแรงจูงใจทางเศรษฐกิ จในการให้บริ การกับคน
  ้                       ่
ไทยในลักษณะที คล้ายกับกรณี ของโรงพยาบาลกรุงเทพภูเก็ต ซึ งเป็ นโรงพยาบาลที ่
                     ่                                                          ่
จะต้ องคิ ดถึ งคนไทยอยู่ต ลอดเวลา ถึงแม้ว่าการ “คิดถึง” คนไทยจะไม่ได้หมายความว่า
โรงพยาบาลจะต้องให้บริการคนไทยใน “ราคาถูก” เสมอไป (ถ้าเปรียบเทียบราคาทีโรงพยาบาล          ่
กรุงเทพภูเก็ตเก็บจากคนไทยกับราคาที่โรงพยาบาลอื่นๆ ในหัวข้อ 6.1 เรียกเก็บ                        เช่น
โรงพยาบาล ง. (ซึงอยูในเครือเดียวกันแต่อยูในจังหวัดทีประชาชนอาจมีรายได้ต่ํากว่าภูเก็ต และ
                    ่ ่                            ่            ่
โรงพยาบาลอาจไม่ต้องลงทุนด้านอาคารสถานที่ดเท่าโรงพยาบาลกรุงเทพภูเก็ต) หรือแม้แต่
                                                         ี
โรงพยาบาล ข. (ในกรุง เทพมหานคร) ก็จะเห็นได้ว่า ค่า ใช้จ่ ายรวมที่ค นไข้ช าวไทยจ่า ยให้
โรงพยาบาลกรุงเทพภูเก็ต เช่น 81,000 บาท สําหรับผ่าตัดไส้ตง และ 72,000 บาทสําหรับการ
                                                                        ิ่
ผ่าตัดไส้เลื่อน ก็ไม่ได้เป็ นค่าใช้จายตํ่ากว่าโรงพยาบาลอื่นอย่างชัดเจนแต่อย่างใด)93
                                        ่
          สําหรับโรงพยาบาลอื่นๆ ทีไม่ได้ถูก “ธรรมชาติ” บังคับให้ต้องสนใจลูกค้าคนไทยมาก
                                          ่
เหมือ นกับ โรงพยาบาลกรุง เทพภู เ ก็ต นัน 94 วิธีห นึ่ ง ที่ร ฐ บาลจะสามารถทํา ให้โ รงพยาบาล
                                                 ้                ั
เหล่านันต้องหันมาสนใจลูกค้าคนไทยมากขึน ก็โดยการเก็บภาษีในอัตราที่ทําให้รายรับสุทธิท่ี
        ้                                            ้
สถานพยาบาลได้จากคนไข้ต่างชาติ (ซึ่งควรเป็ นรายรับที่หกค่าใช้จ่ายที่โรงพยาบาลมีภาระ
                                                                     ั
เพิ่ม เติม ออกแล้ว ไม่ ว่ า จะเป็ น ค่ า จ้า งตัว แทนในต่ า งประเทศ ค่ า ล่ า ม ค่ า อาหาร/พ่อ ครัว ที่
โรงพยาบาลต้องจ่ายแพงเป็ นพิเศษ ค่าเคลมประกัน ฯลฯ) ไม่ต่างจากรายได้สุทธิทโรงพยาบาล        ่ี
                                95
ได้ลูกค้าคนไทยในยามปกติ มากเกินไป โดยรายรับจากภาษีน้ีสามารถนํ ามาใช้อุดหนุ นการ
ผลิต แพทย์เ พิ่ม ซึ่ง น่ า จะเป็ น วิธีท่ีเ ป็ น ธรรมกับ ผู้เ สีย ภาษี ช าวไทย (และอาจรวมถึ ง ชาว
ต่างประเทศที่มาทํางาน/ตังถินฐานในประเทศไทย) ที่ปกติเป็ นผูรบภาระการอุดหนุ นการผลิต
                              ้ ่                                          ้ั
แพทย์ และน่ าจะเป็ นทางออกทีละมุนละม่อมมากกว่าการไปตัดการอุดหนุ นโดยเก็บค่าเล่าเรียน
                                      ่
จากนักศึกษาแพทย์ในอัตราทีคุมกับการลงทุนของภาครัฐ96
                                  ่ ้




93
    และมีความเป็ นไปได้ว่า ถ้าทางโรงพยาบาลประสบความสําเร็จในการดึงลูกค้าจากต่างประเทศเข้ามารับ
บริการในช่วงนอกฤดูทองเทียวมากขึนแล้ว ก็อาจจะทําให้อตราค่าบริการทีเก็บจากคนไทยเพิมสูงขึนกว่านี้
                    ่ ่           ้                ั             ่              ่     ้
94
      แน่ นอนว่า ผูบริหารโรงพยาบาลอื่นๆ ก็คงตระหนักด้วยเช่นกันว่า ในระยะยาว โรงพยาบาลคงไม่สามารถ
                   ้
พึงคนไข้ต่างชาติลวนๆ ได้ แต่อาจจะไม่มความจําเป็ นทีเห็นเด่นชัดในช่วงเฉพาะหน้าเหมือนกับโรงพยาบาล
    ่                ้                   ี           ่
ทีอยูในแหล่งท่องเทียวทีมฤดูกาลท่องเทียวทีชดเจน
   ่ ่                 ่ ่ ี           ่ ่ ั
95
       ่                                       ้ ี     ู         ่ี   ่ ั ั
      ซึงหมายความว่าไม่ใช่เฉพาะรายรับจากกลุ่มผูมรายได้สงมากไม่กรายทียงมีปญญามารับบริการหลังจากที่
ร้อยละ 90 ของคนไข้กลายเป็ นชาวต่างชาติ
96
         ่                       ่                                           ั ั
      ซึงเคยมีการประมาณการว่าอยูท่ี 1.5-3 ล้านบาทต่อนักศึกษาแพทย์หนึ่งคน ปจจุบนแพทย์ทลาออกโดย
                                                                                       ่ี
ไม่ได้ทํางานชดใช้ทุนเป็ นเวลาสามปี จะต้องจ่ายเงินชดเชย 400,000 บาท และในทางปฏิบตการลาออกมัก
                                                                                   ั ิ
เกิดขึนหลังจากช่วงเพิมพูนทักษะในปี แรก (เพราะก่อนหน้านันแพทย์ยงไม่ได้ใบประกอบโรคศิลปะ) ทําให้
           ้             ่                                 ้        ั
แพทย์ทลาออกมักต้องจ่ายเงินชดเชยไม่เกิน 263,000 บาท
             ่ี

                                                 139
7.4 ข้อเสนอของคณะผูวิจย
                  ้ ั
       จากการศึกษาและการประมวลความเห็นของฝ่ายต่างๆ คณะผูวจยมีขอเสนอสําหรับ
                                                                  ้ิั ้
ภาครัฐ ซึงประกอบด้วยข้อเสนอทีควรดําเนินการทันที (ข้อเสนอที่ 1-6 และ 11-13) และข้อเสนอ
         ่                      ่
ทีควรพิจารณา (ข้อเสนอที่ 7-10) โดยแยกเป็ นหมวดข้อเสนอด้านกําลังคน (ข้อเสนอที่ 1-10)
 ่
และข้อเสนออื่นๆ (ข้อเสนอที่ 11-13) ดังต่อไปนี้

7.4.1 ข้อเสนอด้านกําลังคน
        ข้อเสนอส่วนนี้ประกอบด้วยข้อเสนอทีควรดําเนินการทันทีดงต่อไปนี้
                                         ่                        ั
ข้อเสนอที่ 1: เร่งผลิ ตแพทย์เพิ ม ่
              ั
เหตุผล: ปญหาความขาดแคลนเป็ นเรื่องใหญ่ จึงสมควรผลิตแพทย์เพิมเท่าที่ศกยภาพจะ
                                                                          ่          ั
อํานวย ที่ผ่านมาแพทยสภามีขอกังวลในด้านคุณภาพ ทังในส่วนของศักยภาพของสถาบันที่
                                ้                          ้
                                                             ั
ผลิตแพทย์และในส่วนของคุณภาพของตัวนักเรียนแพทย์ ปญหาในด้านของสถาบันทีผลิตมีทง           ่        ั้
ในด้านทรัพยากรเงินและกําลังคน ในส่วนของการเงินนัน ถ้าปฏิบตตามข้อเสนอที่ 7 ก็น่าจะ
                                                         ้          ั ิ
                    ั
ช่วยแก้หรือบรรเทาปญหานี้ได้ ในด้านกําลังคน (รวมทังในด้านคุณภาพของนักศึกษา) นัน ถ้า
                                                       ้                                   ้
ระบบบริการมีระบบการแบ่งงานและการส่งต่อที่ดี ก็ไม่จําเป็ นต้องมีแพทย์ท่เป็ นระดับหัวกะทิ
                                                                            ี
        97
ทัง หมด จึง อาจมีห ลัก สู ต รแพทย์ใ นระดับ ที่ต่ํ า ลงมาสํา หรับ สถาบัน ที่มีศ ัก ยภาพตํ่ า กว่ า
  ้
โรงเรียนแพทย์ชนนํา ทังนี้การมีแพทย์ทคุณภาพลดลงมาบ้างทีมี commitment ทีจะทํางานใน
                ั้      ้            ่ี                        ่                   ่
                                                                        ั ั ่
ชนบทน่ าจะยังเป็ นทางออกทีดกว่าการรักษาในหลายโรงพยาบาลในปจจุบนทีต้องให้พยาบาล
                            ่ ี
ตรวจแทนเป็ นประจําเนื่องจากมีแพทย์ไม่พอ

ข้อเสนอที่ 2: ร่วมมือกับโรงพยาบาลเอกชนในการผลิ ตแพทย์
เหตุผล: อาจารย์แพทย์ผเชียวชาญจํานวนมากถูกดึงตัวไปภาคเอกชน ซึงหลายแห่งก็มเครื่อง
                         ู้ ่                                        ่           ี
ไม้เครื่องมือทีดี แต่อาจจะไม่มคนไข้ทหลากหลายเท่าโรงเรียนแพทย์ และอาจมีโอกาสในการ
              ่                ี       ่ี
เพิมพูนทักษะในบางด้านก็อาจน้อยลง โรงเรียนแพทย์ทมช่อเสียงในต่างประเทศจํานวนไม่น้อย
   ่                                              ่ี ี ื
ไม่ได้เป็ นของภาครัฐ
                 ั ั
หมายเหตุ: ปจจุบนกรมการแพทย์กําลังพิจารณาความร่วมมือกับโรงพยาบาลเอกชนในด้าน
การฝึ ก อบรมแพทย์ ป ระจํ า บ้ า น (เช่ น โครงการความร่ ว มมือ ระหว่ า งสถาบัน โรคหัว ใจ
โรงพยาบาลราชวิถี กับโรงพยาบาลกรุงเทพ)




97   ั ั
   ปจจุบนนักศึกษาแพทย์มาจากกลุ่มหัวกะทิ (ประมาณร้อยละ 2 ของผูทจบการศึกษามัธยมปลายในแต่ละปี )
                                                             ้ ่ี
ในด้าน input นัน การขยายไปถึงกลุ่มหัวกะทิประมาณร้อยละ 5 ของผูทจบการศึกษามัธยมปลายในแต่ละปี
                 ้                                            ้ ่ี
ก็ไม่น่าจะทําให้คุณภาพโดยเฉลียของนักศึกษาแพทย์ลดลงมากนัก
                            ่

                                               140
ข้อเสนอที่ 3: อนุญาตให้แพทย์ชาวต่างชาติ ทีได้รบใบประกอบโรคศิ ลป์ จากสถาบันหรือ
                                                     ่ ั
องค์กรที ได้รบการรับรองเข้ามารักษาคนไข้ต่างชาติ ได้โดยไม่ต้องสอบใบประกอบโรค
                 ่ ั
ศิ ลป์ เป็ นภาษาไทย (หรืออย่างน้ อยเปิ ดให้สอบเป็ นภาษาอังกฤษ)
เหตุผล: มีหลักฐานแวดล้อมหลายประการทีบ่งชี้ว่าประเทศไทยยังมีแพทย์ไม่เพียงพอทีจะ
                                                   ่                                            ่
                                                                          ั
ให้บริการประชาชนคนไทยทังประเทศได้อย่างมีคุณภาพ (ถึงแม้ว่าปญหาส่วนหนึ่งจะเกิดจาก
                                    ้
การกระจายตัวทีแตกต่างกันมากในแต่ละภูมภาค แต่กไม่มหลักฐานที่บ่งชีอย่างชัดเจนว่าในมี
                        ่                      ิ              ็ ี                  ้
   ้                          ี                  ั
พืนที่ใดในประเทศที่มแพทย์มากเกินไปจนมีปญหาการว่างงานหรือต้องหันไปประกอบอาชีพ
อื่น) การเข้ามาของคนไข้ต่างชาติ (โดยเฉพาะอย่างยิงในส่วนทีเ่ ป็ น medical tourist) จึงเพิมแรง
                                                        ่                                     ่
            ่         ั
กดดันทีทําให้ปญหาการขาดแคลนมีความรุนแรงยิงขึ้น ในระยะยาวถ้าสามารถผลิตแพทย์ (ทัง
                                                      ่                                           ้
แพทย์ทวไปและแพทย์เฉพาะทาง) เพิมขึนในอัตราทีสูง (ตามข้อเสนออื่นๆ) ก็น่าจะมีส่วนช่วย
              ั่                           ่ ้            ่
                    ั
บรรเทาปญหานี้ลงได้ แต่กจะต้องใช้เวลาอย่างน้อย 5-10 ปี (รวมทังมีขอจํากัดในด้านการ
                                  ็                                         ้ ้
ควบคุมคุณภาพที่อาจทําให้ไม่สามารถผลิตแพทย์เพิมได้อย่างรวดเร็ว) ดังนัน ถ้าภาครัฐจะ
                                                            ่                         ้
สนับสนุ นให้หาเงินตราเข้าประเทศด้วย medical tourism ภาครัฐก็มหน้าทีทจะต้องหาทางี     ่ ี่
บรรเทาผลกระทบทีจะมีต่อคนไทย ซึงวิธหนึ่งทําได้โดยอนุญาตให้แพทย์ต่างชาติเข้ามาด้วย
                          ่               ่ ี
            ในด้านควบคุมคุณภาพแพทย์ต่างชาติให้ได้มาตรฐานของไทยนัน สามารถดําเนินการ
                                                                                 ้
โดยให้แพทยสภาจัดให้มการสอบใบประกอบโรคศิลป์เป็ นภาษาอังกฤษ98 และภาษาต่างประเทศ
                                ี
อื่นๆ ทีแพทยสภามีศกยภาพพอทีจะดําเนินการได้ (โดยใช้ขอสอบทีมเนื้อหาเหมือนกับข้อสอบ
          ่                 ั         ่                             ้ ่ ี
ภาษาไทย) และมีเงื่อนไขการออกใบประกอบโรคศิลปะทีอนุ ญาตให้รกษาคนไข้ดวยภาษาที่
                                                                  ่          ั              ้
สอบและภาษาแม่ของแพทย์เท่านัน นอกจากนี้ อาจพิจารณาอนุ ญาตให้แพทย์ชาวต่างชาติท่ี
                                        ้
ได้รบใบประกอบโรคศิลป์จากสถาบันหรือองค์กรที่ได้รบการรับรองจากคณะกรรมการร่วมที่
     ั                                                         ั
ประกอบด้วยตัวแทนจากแพทยสภา โรงเรียนแพทย์ กพ./กพร. และตัวแทนภาคเอกชน (เช่น
เจ้าของ/ผูบริหารโรงพยาบาลเอกชน)99 เข้ามารักษาเฉพาะคนไข้ต่างชาติได้โดยไม่ตองผ่านการ
                  ้                                                                       ้
สอบใบประกอบโรคศิลป์เป็ นภาษาไทย100



98
    ซึงน่าจะอยูในวิสยทีสามารถดําเนินการได้โดยไม่ยาก ทังนี้ ในอดีตแพทยสภาก็เคยมีการสอบเป็ น
     ่              ่ ั ่                                 ้
ภาษาอังกฤษมาก่อน
99
       สาเหตุทเสนอให้ใช้คณะกรรมการร่วมก็เพื่อถ่วงดุลผูมส่วนได้สวนเสีย ไม่ให้ขนกับการตัดสินของแพทย์
                 ่ี                                   ้ ี        ่            ้ึ
           ่                ่                           ่
ล้วนๆ (ซึงอาจมีแนวโน้มทีจะกีดกันแพทย์ต่างชาติ) หรือฝายธุรกิจหรือภาครัฐ (ซึงอาจให้ความสําคัญกับการ
                                                                            ่
หารายได้มากเกินไป) วิธน้ีน่าจะเป็ นประโยชน์สาหรับการนํ าเข้าแพทย์จากประเทศทีไม่ได้ใช้ภาษาอังกฤษ
                          ี                   ํ                                  ่
เป็ นหลัก
100
     ประเทศคูแข่งทีสาคัญของไทยอย่างสิงคโปร์ และประเทศจีนทีกาลังขยายบริการรักษาพยาบาล ต่างก็ม ี
               ่      ่ํ                                     ่ ํ
นโยบายทีเปิดให้แพทย์ต่างชาติเข้ามาทํางานในประเทศ (ประเทศพัฒนาแล้วอย่างสหรัฐอเมริกาและอังกฤษ
             ่
เองก็เคยเปิดรับแพทย์จากประเทศกําลังพัฒนาอย่างกว้างขวางในช่วงทีประเทศเหล่านี้ขาดแคลนแพทย์และ
                                                                   ่
พยาบาล)

                                               141
ข้อเสนอที่ 4: เร่งผลิ ตทันตแพทย์เพิ ม   ่
                        ี ั
เหตุผล: ทันตแพทย์มปญหาการขาดแคลนทีรนแรงกว่าการขาดแคลนแพทย์เสียด้วยซํ้า แต่ท่ี
                                                    ุ่
ผ่านมามีผให้ความสนใจค่อนข้างน้อย
          ู้
ข้ อ เสนอที่ 4.1: เปิ ดรับ นั ก ศึ ก ษาที จ บปี 1 ในสาขาอื น มาแทนนั ก ศึ ก ษาทันตแพทย์ที ่
                                          ่                ่
                    ่                                  ่
ออกไปในปี แรก ซึงทําให้สามารถผลิ ตทันตแพทย์เพิ มได้จานวนมาก (เกือบร้อยละ 20 ใน
                                                              ํ
บางปี ) โดยไม่ต้องลงทุนด้านเครืองมือเพิ ม
                                      ่         ่
                       ั ั
เหตุผล: เนื่องจากในปจจุบน ในแต่ละปี มนกศึกษาทันตแพทย์ปี 1 จํานวนไม่น้อยทีลาออกไปสอบ
                                            ี ั                                ่
เข้ามหาวิทยาลัยใหม่ ทําให้คณะทันตแพทย์สวนใหญ่ผลิตทันตแพทย์ได้น้อยกว่าศักยภาพจริงของ
                                                  ่
ตน
หมายเหตุ: ควรศึกษาและพิจารณานํ าแนวทางนี้ไปใช้กบสาขาด้านการแพทย์อ่นๆ ทีขาดแคลน
                                                         ั                   ื   ่
ด้วย

                                  ่
ข้อเสนอที่ 5: เร่งผลิ ตพยาบาลเพิ ม และบรรจุพยาบาลทีต้องการเป็ นข้าราชการ
                                                       ่
เหตุผล:
    ั ั ั
- ปจจุบนมีปญหาขาดแคลนพยาบาลอย่างรุนแรง (ทังในภาครัฐและเอกชน) แต่สถาบันภาครัฐ
                                                ้
หลายแห่งกลับผลิตพยาบาลน้อยกว่าศักยภาพเนื่ องจากวางแผนการผลิตทียดติดกับอัตราจ้าง
                                                                    ่ ึ
ของสถาบันเอง และการจํากัดอัตรากําลังของข้าราชการทําให้พยาบาลจํานวนมากไม่มแรงจูงใจ
                                                                            ี
ทีจะทํางานในภาครัฐ
  ่
- เราจึงสามารถผลิตพยาบาลเพิมขึนได้อกจํานวนหนึ่ง และจะสามารถรักษาพยาบาลให้อยู่ใน
                              ่ ้     ี
ภาครัฐได้มากขึนโดยปรับเปลี่ยนนโยบายด้านการผลิตและด้านกําลังคนของภาครัฐ ถึงแม้ว่า
               ้
การเปลียนแปลงนโยบายด้านกําลังคนโดยบรรจุพยาบาลเข้าเป็ นข้าราชการจะมีผลต่อค่าใช้จาย
        ่                                                                         ่
                                                      101
ของภาครัฐ แต่กน่าจะเป็ นวิธการทีมตนทุนต่อสังคมไม่สงนัก เมือเทียบกับประโยชน์ทจะได้รบ
                 ็         ี    ่ ี ้             ู       ่                   ่ี    ั

ข้อเสนอที่ 6: ผลิ ต/อบรมพยาบาลเวชปฏิ บติเพือมารักษาผูป่วยจํานวนมากทีเ่ ป็ นแค่โรค
                                        ั ่         ้
พื้นๆ
                          ั
เหตุผล: เพื่อบรรเทาปญหาการขาดแคลนแพทย์ และน่ าจะเป็ นวิธท่มประสิทธิภาพ และ
                                                            ี ี ี
สามารถยกระดับคุณภาพการรักษาในสถานีอนามัย/ศูนย์สขภาพชุมชน
                                                ุ
ข้อพิ จารณา: ประชาชนต้องการตรวจกับแพทย์ การผลิตแพทย์เพิมขึน (เช่นตามข้อเสนอที่ 2)
                                                        ่ ้
น่าจะเป็ นวิธทดกว่าและมีคุณภาพในการรักษามากกว่า
             ี ่ี ี


101     ั ั
    ในปจจุบน ต้นทุนทีสาคัญส่วนหนึ่งของการบรรจุขาราชการเพิมคือสวัสดิการรักษาพยาบาลของข้าราชการ
                       ่ํ                        ้           ่
ซึงมีคาใช้จายต่อหัวสูงมากเมือเทียบกับโครงการอื่นๆ แต่เมือคิดเป็ นค่าใช้จายต่อข้าราชการหนึ่งคนแล้ว ก็ยง
 ่ ่ ่                     ่                           ่                ่                            ั
ตกประมาณ 1,500 บาทต่อคนต่อเดือนเท่านัน ดังนัน แม้กระทังเมือรวมกับต้นทุนอื่นทีรฐต้องจ่าย (เช่น
                                           ้       ้             ่ ่                  ่ั
                                  ั
บําเหน็จบํานาญทีเพิมขึน) การแก้ปญหาด้วยวิธน้ีสาหรับพยาบาลก็ยงน่าจะเป็ นการลงทุนทีคุมค่าของรัฐ
                 ่ ่ ้                       ี ํ                  ั                  ่ ้

                                                 142
นอกจากนี้ ยงมีข้อเสนออื่นๆ ที่เกี่ยวข้องกับ ด้านกําลังคนที่ควรพิจารณาดําเนินการ
                                 ั
ต่อไป ได้แก่
ข้อเสนอที่ 7: เก็บค่าธรรมเนี ยมการรักษาพยาบาลจากผูป่วยต่างชาติ ทีเ่ ดิ นทางเพือเข้า
                                                                                  ้                          ่
มารับการรักษาพยาบาลในประเทศไทย และนํ ามาอุดหนุนการผลิ ตบุคลากรเพิ ม และ                                    ่
              ่                                   ่
ช่วยเพิ มแรงจูงใจในการรักษาหรือเพิ มอาจารย์แพทย์ผเชียวชาญในโรงเรียนแพทย์ู้ ่
เหตุผล:
- ที่ผ่านมารัฐบาลได้ให้การอุดหนุ นการผลิตบุคลากรทางการแพทย์ในอัตราที่ค่อนข้างสูง102
เพราะเห็นความจําเป็ นที่ต้องมีบุคลากรมารักษาพยาบาลประชาชนคนไทย (ซึ่งเป็ นผูรบภาระ                         ้ั
ภาษีในส่วนนี้)103 การมีคนไข้ต่างชาติเดินทางเข้ามาเพื่อรับการรักษาพยาบาลโดยเฉพาะย่อม
                     ั
ส่งผลให้ปญหาการขาดแคลนบุคลากรทางการแพทย์มความรุนแรงขึ้น ดังนัน ถ้ารัฐบาลมี
                                                                      ี                             ้
นโยบายทีจะหารายได้เข้าประเทศจากคนไข้กลุ่มนี้ รัฐบาลก็ยอมมีภาระหน้าทีใ่ นการลงทุนผลิต
                   ่                                                            ่
บุคลากรทางการแพทย์เพิมขึ้น (ไม่เช่นนันแล้วย่อมหมายความว่ารัฐบาลปล่อยปละละเลยให้
                                     ่              ้
ชาวต่างชาติเข้ามาแย่งทรัพยากรส่วนนี้จากคนไทย) และในมุมมองด้านความเป็ นธรรมนัน                                  ้
คนไข้ต่างชาติทเ่ี จาะจงเข้ามารับบริการทางการแพทย์กสมควรมีส่วนร่วมรับภาระค่าใช้จ่ายใน
                                                                    ็
                                             ่ ั ั
การผลิตบุคลากรทางการแพทย์ (ซึงปจจุบนส่วนใหญ่มาจากภาษีของคนไทย) ด้วย
- นอกจากนี้ มาตรการนี้จะช่วยลดผลกระทบทีเกิดกับคนไทย (เช่น ทําให้ราคาค่ารักษาพยาบาล
                                                              ่
ของคนไทยไม่เพิมขึนมากหรือเร็วเท่ากับราคาค่ารักษาพยาบาลทีสถานพยาบาลเรียกเก็บจาก
                             ่ ้                                                         ่
คนไข้ทมาจากต่างประเทศ และมีสวนช่วยลดผลกระทบด้านการขาดแคลนบุคลากร เนื่องจากจะ
           ่ี                              ่
ทําให้จานวนคนไข้ต่างชาติเพิมขึนในอัตราทีต่ํากว่าในกรณีทไม่มการเก็บค่าธรรมเนียมนี้)
         ํ                             ่ ้                ่                 ่ี ี
- ถ้ามาตรการนี้สามารถชลอไม่ให้ค่ารักษาพยาบาลของคนไทยเพิมขึนอย่างรวดเร็วตามกําลัง           ่ ้
ซื้อของต่างชาติ ก็จะช่วยชลอไม่ให้ภาระค่าใช้จ่ายที่ภาครัฐต้องรับจากโครงการหลักประกัน
สุขภาพต่างๆ เพิมขึนอย่างรวดเร็วตามกําลังซือของต่างชาติดวย
                            ่ ้                             ้                 ้
                       ่ ่                                      ั
- ในช่วงทีผานมา โรงเรียนแพทย์หลายแห่งประสบปญหาทีอาจารย์แพทย์ผเชียวชาญมักถูกดึง
                                                                          ่                    ู้ ่
ไปอยูภาคเอกชนด้วยแรงจูงใจทางการเงินทีเหนือกว่ามาก ในขณะทีการผลิตแพทย์เพิมอย่างมี
       ่                                                ่                                    ่          ่
คุณภาพคงต้องการอาจารย์แพทย์เพิมขึ้น การนํ ารายรับที่เพิมขึ้นส่วนนี้มาอุดหนุ นการผลิต
                                                ่                                   ่
แพทย์จงน่ าจะสามารถช่วยโรงเรียนแพทย์รกษาอาจารย์แพทย์ผเชียวชาญเอาไว้ รวมถึงการรับ
                ึ                                     ั                               ู้ ่
อาจารย์ใหม่เข้ามาเพิม              ่
ข้อพิ จารณา:
                           ั ั ั
- เนื่องจากในปจจุบนมีปญหาวิกฤติเศรษฐกิจโลก (และยังอาจมีผลกระทบจากป ญหาความ                            ั
ขัดแย้งทางการเมืองภายในประเทศด้วย) ซึ่งยังไม่ชดเจนว่าจะมีผลกระทบต่อจํานวนคนไข้
                                                                  ั

102
    จากการประมาณการอย่างหยาบๆ รัฐบาลมีค่าใช้จ่ายในการผลิตแพทย์ทวไปประมาณ 1.5-2 ล้านบาทต่อ
                                                                   ั่
คน และถ้ารวมค่าใช้จายในการผลิตแพทย์จนเป็ นแพทย์ผเชียวชาญก็น่าจะสูงกว่านี้มาก
                     ่                             ู้ ่
103
       รวมถึงชาวต่างชาติทมาทํางานและตังถินฐานในประเทศไทย ซึงโดยทัวไปแล้วมีสวนร่วมในการจ่ายภาษี
                         ่ี           ้ ่                 ่      ่          ่
ให้กบประเทศไทยเช่นกัน
     ั

                                                     143
ต่างชาติทจะเข้ามารับบริการมากน้อยเพียงใด (โดยเฉพาะอย่างยิงในปี 2552) ดังนัน จึงยังไม่
           ่ี                                              ่                ้
ควรเริมใช้มาตรการนี้ในปี 2552 แต่ควรดําเนินการศึกษาเพิมเติมและเตรียมความพร้อมในกรณี
        ่                                             ่
                                             104
ที่จะนํ ามาตรการนี้ มาดําเนิ นการในปี ต่อๆ ไป เมื่อพบว่าจํานวนผู้ป่วยชาวต่างชาติท่ีเดิน
ทางเข้ามารับบริการทางการแพทย์ในประเทศไทยเริมมีแนวโน้มกลับมาเพิมขึนอีก
                                                 ่                  ่ ้

ข้อเสนอที่ 8: ขยายอายุเกษี ยณของแพทย์ในระบบราชการ
เหตุผล: เพือเป็ นการใช้ทรัพยากรบุคคลทีมอยูอย่างเต็มเม็ดเต็มหน่วยมากขึน และน่ าจะช่วยลด
             ่                           ่ ี ่                       ้
ผลกระทบทีเกิดจากบุคลากรทางการแพทย์จานวนมากถูกดึงไปรักษาคนไข้ต่างชาติ)
               ่                            ํ
ข้อพิ จารณาเพิ่ ม เติ ม : ผลที่ได้อาจจะไม่มากอย่างที่หวัง เพราะปกติแพทย์อาวุ โสในระบบ
ราชการก็มแนวโน้ มที่จะรับภาระด้านงานบริการค่อนข้างน้ อยอยู่แล้ว และสําหรับแพทย์ท่ยง
           ี                                                                        ี ั
                          ่ ั้ ั ั
สนใจทํางานให้ภาครัฐอยูนน ปจจุบนหลายหน่วยงานก็มการจ้างแพทย์เหล่านันอยูแล้ว)
                                                     ี                 ้ ่

ข้อเสนอที่ 9: เปิ ดโอกาสให้ แพทย์อาวุโสในภาคเอกชนกลับเข้ามาสู่ระบบรัฐโดยมี
ตําแหน่ งทีเ่ หมาะสมกับระดับประสบการณ์และความสามารถ
เหตุผล: แพทย์ในภาคเอกชนจํานวนไม่น้อยไม่ได้พอใจทีจะอยู่ในภาคเอกชนตลอดชีวตการ
                                                        ่                     ิ
                                                     ั
ทํางาน แพทย์อาวุโสหลายท่านมีประสบการณ์และสติปญญาทีโรงเรียนแพทย์หรือโรงพยาบาล
                                                            ่
                                  ั ั
รัฐสามารถใช้ประโยชน์ ได้ ในปจจุบน แพทย์อาวุโสเหล่านันไม่มช่องทางที่จะกลับเข้ามายัง
                                                          ้     ี
ภาครัฐแบบมีศกดิ ์ศรี (เช่น ด้วยตําแหน่งทีเหมาะสมกับระดับประสบการณ์และความสามารถ)105
                ั                        ่
ทําให้ภาครัฐไม่ได้รบประโยชน์ จากแพทย์เหล่านัน (ยกเว้นในกรณีรบแพทย์ท่เกษียณแล้วมา
                   ั                           ้                  ั   ี
ช่วยตรวจ)
ข้อพิ จารณา:
- อาจบันทอนแรงจูงใจของแพทย์ทอยูในระบบของรัฐมาโดยตลอด
        ่                          ่ี ่
- มีอุปสรรคในด้านกฎระเบียบราชการ (ในส่วนของมหาวิทยาลัยนัน เมื่อออกนอกระบบ ปญหา
                                                              ้                 ั
                          ั
นี้อาจลดลง แต่จะยังเป็ นปญหาทีสาคัญในสถานพยาบาลอื่นๆ ของรัฐ)
                                ่ํ




104
    เพราะการทีจะเก็บค่าธรรมเนียมจากชาวต่างชาติเฉพาะกลุมทีเป็ น medical tourist นัน คงจะต้องมีการ
                ่                                     ่ ่                        ้
กําหนดกฎเกณฑ์และกระบวนการในการดําเนินการและการตรวจสอบทีรดกุมพอ (เช่น ถ้ากําหนดว่าจะ
                                                               ่ั
ยกเว้นการเก็บค่าธรรมเนียมแก่คนไข้ชาวต่างชาติทมหลักฐานการตังถินฐานในประเทศไทย ก็จะต้องศึกษาว่า
                                             ่ี ี          ้ ่
ในทางปฏิบตควรใช้หลักฐานอะไรบ้าง)
            ั ิ
105
                                                                ่ ั ั
    ถ้าเปรียบเทียบกับตําแหน่งทางราชการในระดับสูงหลายตําแหน่ง ซึงปจจุบนเปิ ดโอกาสให้สรรหาคนนอก
(หรือยอมให้คนนอกสมัครเข้า แข่งขัน) แต่ในกรณีน้ี รวมถึงตําแหน่ งระดับกลางต่างๆ ด้วย ไม่ใ ช่เฉพาะ
ตําแหน่งผูบริหารองค์กร
          ้

                                              144
่
ข้อเสนอที่ 10: เพิ มค่าตอบแทนบุคลากรด้านการแพทย์ทีอยู่ในภาครัฐ
                                                   ่
            ่     ั
เหตุผล: เพือลดปญหาสมองไหลไปสูภาคเอกชน
                                ่
ข้อพิ จารณา:
- ค่าใช้จายทีเพิมขึนของภาครัฐ
         ่ ่ ่ ้
                                  ั                      ั
- มาตรการนี้อาจมีผลจํากัด เพราะปญหาสมองไหลไม่ได้เกิดจากปญหาค่าตอบแทนแต่เพียง
อย่างเดียว

7.4.2 ข้อเสนออืนๆ  ่
ข้อเสนอที่ 11: การประสานงานและความร่วมมือของหน่ วยงานต่างๆ และความเป็ น
เอกภาพด้ า นนโยบายของภาครัฐ ขอให้ห น่ ว ยงานต่ า งๆ ที่เ กี่ย วข้อ งของภาครัฐ ร่ว มมือ
ประสานงานกันเองให้เป็ นระบบ และมีการแลกเปลียนข้อมูลกันเองมากขึน
                                                 ่                          ้
ตัวอย่างเหตุผลของฝ่ ายสนับสนุน:
 - นโยบายภาครัฐยังไม่ชดเจนและไม่เป็ นเอกภาพ
                             ั
       ั
 - ป จ จุ บ ัน มีห น่ ว ยงานของรัฐ หลายหน่ ว ยงานที่เ กี่ย วข้อ ง แต่ ไ ม่ค่อ ยประสานงานกัน เอง
     เท่าทีควร สถานพยาบาลหลายแห่งถูกขอข้อมูลทีเหมือนหรือคล้ายกันจากหลายหน่วยงาน
           ่                                           ่
     และ/หรือ ได้รบเชิญจากหลายหน่วยงานไปพูดเรืองเดียวกันซํ้าแล้วซํ้าอีก
                      ั                              ่

                      ่
ข้อเสนอที่ 12: เพิ มตัวเลือก “มารับการรักษาพยาบาล” ในบัตรตรวจคนเข้าเมืองขาเข้า
(ดูรปที่ 7.1)
    ู
เหตุผล:
 - การสอบถามข้อมูลชาวต่างชาติในบัตรขาเข้า จะมีประโยชน์ มากในการรวบรวมข้อมูลที่
      แม่ น ยํ า มากขึ้ น (โดยเฉพาะอย่ า งยิ่ ง ข้ อ มู ล จํ า นวนผู้ ท่ี เ ดิ น ทางเข้ า มาเพื่ อ รับ การ
                                     ั
      รัก ษาพยาบาลโดยเฉพาะ ซึ่ง ป จ จุ บ ัน ภาครัฐ เองยัง ไม่มีข้อ มูล นี้ และอาศัย เพีย งการ
      ประมาณการอย่างหยาบๆ เท่านัน) การดําเนินการเรืองนี้สามารถทําได้โดยแทบไม่มตนทุน
                                   ้                           ่                                    ี ้
      เลย ซึงจะเป็ นประโยชน์กบภาครัฐในการกําหนดแผนต่างๆ (รวมทังถ้าจะนํามาตรการด้าน
             ่                 ั                                                  ้
      ภาษีมาใช้)
 - รัฐบาลจะมีขอมูลทีสามารถนํ ามาใช้ในการพิจารณาต่อวีซ่าและอํานวยความสะดวกให้กบ
                    ้      ่                                                                             ั
      คนไข้ชาวต่างชาติ




                                                  145
รูปที่ 7.1 บัตรขาเข้าตรวจคนเข้าเมือง




ข้อเสนอที่ 13: ควรมีการประกาศให้ผ้บริ โภคทราบราคาค่ารักษาพยาบาลโดยละเอียด
                                      ู
(เช่ น อัตราค่ารักษาของแพทย์ ค่ ายา ค่ าเครืองไม้เครืองมือ และค่าที พกและอาหาร)
                                            ่         ่               ่ ั
โดยติ ดประกาศและ/หรือมีรายละเอียดวางไว้ในทีผ้บริ โภคเห็นได้ชดและสามารถเข้าถึง
                                               ่ ู              ั
ได้โดยง่าย (รวมทังในเว็บของโรงพยาบาล) รวมทังมีการส่งข้อมูลที ประกาศ (และเมือ
                   ้                             ้                ่                     ่
การเปลียนแปลงอัตราค่ารักษาพยาบาลต่างๆ) ให้กระทรวงสาธารณสุข
         ่
เหตุผล:
- พรบ. สถานพยาบาล พ.ศ. 2541 มาตรา 32 (3) และประกาศกระทรวงสาธารณสุข ฉบับที่ 3
(พ.ศ.2542) ได้กําหนดรายละเอียดชนิดหรือประเภทของการรักษาพยาบาล และการบริการอื่น
ของสถานพยาบาลทีผรบอนุ ญาตจะต้องแสดงมานับสิบปีแล้ว แต่ในทางปฏิบตไม่ได้มการบังคับ
                     ่ ู้ ั                                         ั ิ       ี
ใช้อย่างเข้มงวด โดยสถานพยาบาลมักอ้างว่าดําเนินการได้ลําบากเพราะรายการทีอยู่ในข่ายที่
                                                                            ่
จะต้อ งประกาศมีจํา นวนมาก ผู้บ ริโ ภคแทบทัง หมดก็ไ ม่เ คยทราบว่ามีข้อ กํ า หนดดัง กล่ า ว
                                          ้


                                          146
ั ั ่
อย่างไรก็ตาม ในปจจุบนทีราคาค่ารักษาพยาบาลและค่าบริการต่างๆ ในโรงพยาบาลเอกชนมี
แนวโน้ มเพิมขึนอย่างรวดเร็ว (หรืออยู่ในระดับสูง) ผูบริโภค (รวมทังชาวต่างประเทศ) ควรมี
             ่ ้                                      ้         ้
โอกาสได้รบทราบข้อมูลราคาค่าบริการต่างๆ อย่างครบถ้วน
           ั
- การกํ า หนดให้ส ถานพยาบาลส่ ง ข้อ มู ล อัต ราค่ า รัก ษาพยาบาลที่ป ระกาศ (และเมื่ อ การ
เปลียนแปลงอัตราค่ารักษาพยาบาลต่างๆ) ให้กระทรวงสาธารณสุขจะทําให้ทางภาครัฐมีขอมูลที่
    ่                                                                             ้
สามารถนํามาศึกษาความเปลียนแปลงของราคาค่ารักษาพยาบาลได้ รวมทังสามารถนํามาเป็ น
                            ่                                          ้
                       ั
ข้อมูลอ้างอิงเมื่อเกิดปญหาการร้องเรียน ซึงจะเป็ นการยกระดับมาตรฐานการคุมครองผูบริโภค
                                        ่                                 ้     ้
ด้านการรักษาพยาบาลของประเทศไทยให้มความน่าเชื่อถือมากขึนอีกทางหนึ่งด้วย
                                          ี                  ้

7.5 อุปสรรคในการศึกษา ข้อจํากัด และข้อเสนอแนะเพิ่มเติม
                                                          ั
           อุปสรรคที่สําคัญในการศึกษาเรื่องนี้ คือป ญหาด้านข้อมูล ซึ่งส่ว นหนึ่ งคงเป็ นเพราะ
สถานพยาบาลที่มบ ทบาทสําคัญในด้านนี้ เป็ นสถานพยาบาลเอกชนแทบทังสิ้น ซึ่งบางครัง
                          ี                                                               ้                       ้
สถานพยาบาลเหล่านี้ไม่มแรงจูงใจทีจะรายงานข้อมูลโดยละเอียดให้กบรัฐบาล ปญหานี้เกิดขึน
                                  ี         ่                              ั                    ั             ้
ในการศึกษาในประเทศเพื่อนบ้าน (เช่น มาเลเซียและสิงคโปร์) เช่นกัน โดยในประเทศสิงคโปร์
ที่มีก ารดํ า เนิ น การด้า นนี้ ม าเป็ น เวลายาวนาน (และมีร ัฐ บาลที่มีป ระสิท ธิภ าพสูง และช่ ว ย
                                              ั
ภาคเอกชนค่อนข้างมาก) ก็ยงประสบปญหานี้จนรัฐบาลต้องใช้วธเก็บข้อมูลเพิมเติมทีสนามบิน
                                    ั                                 ิี                    ่       ่
                                ั
เอง มาเลเซีย ก็ มีป ญ หาความครบถ้ ว นของข้อ มู ล ที่ร ายงานจากสถานพยาบาลเอกชน
เช่นเดียวกัน106
           ในการศึกษานี้ คณะผูวจยได้เสนอ (ดูขอเสนอที่ 12 ในหัวข้อ 7.4) ให้รฐบาลเพิม
                                      ้ิั             ้                                           ั             ่
ตัวเลือก “มารับการรักษาพยาบาล” ในบัตรตรวจคนเข้าเมืองขาเข้า ซึ่งวิธน้ีจะช่วยให้ภาครัฐ  ี
                   ้                     ่                                   ่ ั ั
ทราบจํานวนผูทเี่ ดินทางเข้ามาเพือรับการรักษาพยาบาลโดยเฉพาะ (ซึงปจจุบนภาครัฐเองยังไม่
มีขอมูลนี้ โดยมีเพียงการประมาณการอย่างหยาบๆ เท่านัน)
     ้                                                        ้
           ในด้านการศึกษาข้อมูลผลการดําเนินการของสถานพยาบาล ก็มอุปสรรคในการขอ       ี
ข้อมูลต่างๆ จากสถานพยาบาล และแม้กระทังสถานพยาบาลทีจดทะเบียนในตลาดหลักทรัพย์
                                                    ่               ่
(ซึ่งมีสถานะเป็ นบริษทมหาชนทีมหน้าทีตองเปิ ดเผยข้อมูลทีมรายละเอียดทีเพียงพอทีผูถอหุน
                              ั         ่ ี     ่ ้             ่ ี                     ่             ่ ้ ื ้
จะสามารถใช้ในการตัดสินใจ) สถานพยาบาลกลุ่มนี้โดยส่วนใหญ่กไม่ได้มการเปิ ดเผยข้อมูลใน
                                                                         ็      ี
ระดับทีมากพอทีผวจยจะสามารถนํ ามาวิเคราะห์ขอมูลพืนๆ (เช่น จํานวนผูป่วยนอกและผูป่วย
         ่           ่ ู้ ิ ั                           ้   ้                     ้                        ้
ในที่เป็ นชาวต่างชาติและคนไทย รายรับต่อคนไข้ต่างชาติเทียบกับคนไทย หรือรายรับต่อวัน
นอนของคนไข้ต่ า งชาติเ ทีย บกับ คนไทย) 107 ซึ่ง ผู้ถือ หุ้น น่ า จะมีโ อกาสได้ร บ ข้อ มูล เหล่ า นี้
                                                                                              ั

106
      Chee Heng Leng (2007) ระบุวามีเพียงสถานพยาบาลบางแห่งทีรายงานตัวเลขยอดผูมาใช้บริการ
                                       ่                              ่             ้
โดยเฉพาะอย่างยิงในปีแรกๆ
                 ่
107
     สถานพยาบาลบางแห่งรายงานยอดขาย แต่ไม่รายงานจํานวนคนไข้ หรือไม่แยกผูป่วยนอกและผูป่วยใน
                                                                            ้           ้
และในบางกรณีเมือคณะผูวจยขอข้อมูลเหล่านี้เพิมเติม (รวมทังการแยกข้อมูลระหว่างคนไข้ไทยและต่างชาติ)
                   ่      ้ิั               ่             ้
ก็ได้รบคําตอบว่าเป็ นข้อมูลทีทางโรงพยาบาลถือว่าเป็ นความลับทางธุรกิจ)
      ั                       ่

                                                       147
(โดยเฉพาะอย่างยิงในกรณีของโรงพยาบาลเอกชนกลุ่มทีเน้นการรองรับผูปวยชาวต่างชาติ) ใน
                        ่                                              ่                  ้ ่
ส่วนนี้คณะกรรมการกํากับตลาดหลักทรัพย์ (กลต.) ควรพิจารณาให้สถานพยาบาลเปิ ดเผย
ข้อมูลเหล่านี้ให้ละเอียดมากขึน โดยคํานึงถึงสิทธิของผูถอหุนรายย่อย
                                   ้                              ้ ื ้
         ข้อ จํ า กัด ที่สํา คัญ ประการหนึ่ ง ของการศึก ษานี้ คือ การเปรีย บเทีย บข้อ มู ล ระหว่ า ง
                                                                           ั
ประเทศอย่างเป็ นระบบทําได้คอนข้างยาก เพราะนอกจากจะมีปญหาความครบถ้วนของข้อมูลที่
                                     ่
ได้กล่าวมาข้างต้นแล้ว การเก็บข้อมูลของแต่ละประเทศก็มแบบแผนทีแตกต่างกัน (ตัวอย่างเช่น
                                                                         ี           ่
ข้อมูลจํานวนคนไข้ชาวต่างชาติของไทยจะประกอบด้วยชาวต่างชาติททํางานหรือมีถนฐานใน          ่ี            ิ่
ประเทศไทยเป็ น ส่ ว นใหญ่ ขณะที่ส ิง คโปร์ จ ะเป็ น ชาวต่ า งชาติ ท่ีเ ดิน ทางเข้า มารับ การ
รักษาพยาบาลในสัดส่ว นที่สูงกว่า ) นอกจากนี้ การเปรีย บเทียบตัว ชี้ว ดต่ างๆ ก็ทําได้ยาก     ั
                      ่ ี                                     ั
สําหรับประเทศทีมขนาดต่างกัน และอาจมีสภาพปญหาและจุดเน้นทีแตกต่างกัน (ตัวอย่างเช่น   ่
สัดส่วนของคนไข้ต่างชาติต่อคนไข้ในประเทศอาจไม่ใช่มาตรวัดความสําเร็จทีดสาหรับประเทศ             ่ ีํ
                     ่ ี ั
ไทยหรืออินเดียทีมปญหาการขาดแคลนแพทย์หรือการเข้าถึงบริการของคนในชาติ แต่อาจเป็ น
                                         ั                           ั
มาตรวัด ที่ดีสํ า หรับ สิง คโปร์ ซ่ึ ง ป ญ หานี้ ไ ม่ ไ ด้ เ ป็ น ป ญ หาที่สํ า คัญ และไม่ มีอุ ป สรรคด้ า น
กฎระเบียบในการดึงแพทย์ชาวต่างชาติเข้ามาเพิมเมื่อจําเป็ น) การศึกษาในส่วนนี้จงเป็ นส่วนที่
                                                         ่                                         ึ
ยังมีขอจํากัดค่อนข้างมากและการตีความตัวชีวดต่างๆ ควรทําด้วยความระมัดระวังอย่างมาก
      ้                                             ้ั

เอกสารอ้างอิ ง
Chee Heng Leng. 2007. “Medical Tourism in Malaysia: International Movement of
          Healthcare Consumers and the Commodification of Healthcare.” Asia
          Research Institute Working Paper Series No.83. Retrieved August 18,
          2007 from http://www.ari.nus.edu.sg/showfile.asp?pubid=642&type=2




                                                   148

Medhub 3 4 52 anchana na ranong

  • 1.
    รายงานฉบับสมบูรณ์ โครงการศึกษาวิจย ั แนวทางการพัฒนาศูนย์กลางสุขภาพของประเทศไทย (Thailand Medical Hub) รศ.ดร.อัญชนา ณ ระนอง ดร.วิโรจน์ ณ ระนอง รศ.นพ.ศิรชัย จินดารักษ์ สถาบันบัณฑิตพัฒนบริหารศาสตร์ (NIDA) เสนอ สภาทีปรึกษาเศรษฐกิจและสังคมแห่งชาติ ่ ฉบับปรับปรุง มีนาคม 2552
  • 3.
    รายงานฉบับสมบูรณ์ โครงการศึกษาวิจย ั แนวทางการพัฒนาศูนย์กลางสุขภาพของประเทศไทย (Thailand Medical Hub) เสนอ สภาที่ปรึกษาเศรษฐกิจและสังคมแห่งชาติ หัวหน้ าโครงการ รศ.ดร.อัญชนา ณ ระนอง คณะรัฐประศาสนศาสตร์ สถาบันบัณฑิตพัฒนบริหารศาสตร์ (NIDA) ทีมวิจย ั ดร.วิโรจน์ ณ ระนอง ผูอานวยการวิจยด้านเศรษฐศาสตร์สาธารณสุขและการเกษตร ้ ํ ั สถาบันวิจยเพื่อการพัฒนาประเทศไทย (TDRI) ั และ รศ.นพ.ศิรชัย จินดารักษ์ คณะแพทยศาสตร์ จุฬาลงกรณ์มหาวิทยาลัย สิงหาคม 2551 แก้ไขปรับปรุง มีนาคม 2552 i
  • 4.
  • 5.
    คํานํารายงานฉบับแก้ไข คณะผูวจยได้นําเสนอและส่งมอบรายงานฉบับสมบูรณ์ต่อสภาที่ปรึกษาเศรษฐกิจและ ้ิ ั สังคมแห่งชาติในเดือนสิงหาคม 2551 อย่างไรก็ตาม เนื่องจากมีความเปลียนแปลงทีสาคัญ ่ ่ ํ เกิด ขึ้น หลายประการหลัง จากนัน ที่อ าจมีผ ลกระทบต่ อ การดํา เนิ น การด้า นนี้ (เช่น การปิ ด ้ สนามบินหลายแห่งของไทยรวมทังสนามบินนานาชาติ และการลุกลามของวิกฤตเศรษฐกิจไป ้ ทัวโลก) คณะผู้วจยจึงได้ปรับปรุงรายงานนี้ ให้ทนต่อเหตุ การณ์ มากขึ้น รวมทังได้นําข้อมูล ่ ิ ั ั ้ บางส่วนทีหามาได้เพิมในระหว่างเดือนกันยายน 2551 ถึงเดือนมีนาคม 2552 มาประกอบการ ่ ่ วิเคราะห์ดวย ทังนี้ คณะผูวจยหวังว่าการปรับปรุงรายงานให้ทนต่อเหตุการณ์มากขึนจะเป็ น ้ ้ ้ิั ั ้ ่ ่ ่ ประโยชน์กบทุกฝายทีเกียวข้อง ั คณะผูวจย ้ิั มีนาคม 2552 รายละเอียดสําหรับติดต่อคณะผูวิจย ้ ั รศ.ดร.อัญชนา ณ ระนอง (หัวหน้ าโครงการ) คณะรัฐประศาสนศาสตร์ สถาบันบัณฑิตพัฒนบริหารศาสตร์ (NIDA) โทรศัพท์ : 081-259-8659 โทรสาร: 02-722-7461 E-mail: anchana@nida.ac.th ดร.วิ โรจน์ ณ ระนอง ผูอานวยการวิจยด้านเศรษฐศาสตร์สาธารณสุขและการเกษตร ้ํ ั สถาบันวิจยเพือการพัฒนาประเทศไทย (TDRI) ั ่ โทรศัพท์ : 081-382-7846 โทรสาร: 02-722-7461 E-mail: viroj@tdri.or.th รศ.นพ.ศิ รชัย จิ นดารักษ์ ภาควิชาศัลยศาสตร์ คณะแพทยศาสตร์ จุฬาลงกรณ์มหาวิทยาลัย โทรศัพท์ : 02-256-4117, 02-256-4120 E-mail: dr.sirachai@gmail.com iii
  • 6.
  • 7.
    กิตติกรรมประกาศ งานวิจยนี้ได้รบการสนับสนุ นทางการเงินจากสภาทีปรึกษาเศรษฐกิจและสังคมแห่งชาติ ั ั ่ โดยความริเริมของคณะทํางานเศรษฐกิจภาคบริการ ซึ่งคุณภรณี ลีนุตพงษ์ ประธานคณะทํางาน ่ คุณชัชวาล ศรีวชิราวัฒน์ และ คุณราชันย์ วีระพันธุ์ รองประธานคณะทํางาน คุณชวลิต อาคม ธน คุณทวี เตชะธีราวัฒน์ คุณเธียรชัย มหาศิริ คุณนิมตร สัมพันธารักษ์ คุณพนัส ไทยล้วน ิ คุณวันชัย วัฒนธาดากุล คุณสงวน ลิวมโนมนต์ คุณอนุ วฒน์ ธุมชัย คุณโอกาส เตพละกุล ่ ั คุณเกษม จันทร์น้อย คุณใยอนงค์ ทิมสุวรรณ คุณสมหมาย ปาริจฉัตต์ คุณสุวทย์ ธนียวัน ิ และคุณธิดา จันทร์เพ็ญ คณะทํางาน และ นพ.เจตน์ ศิรธรานนท์ คุณวิจตร ณ ระนอง คุณพนิดา ิ ตังกิจจารักษ์ และคุณสงขลา วิชยขัทคะ คณะที่ปรึกษา ได้ให้ความสนใจ ความสนับสนุ น และ ้ ั คําแนะนํ ามาโดยตลอด โดยเฉพาะ นพ.เจตน์ ศิรธรานนท์ ทีรเริมโครงการนี้มาตังแต่แรกและ ่ิ ่ ้ หลังจากทีทานได้ลาออกจากการเป็ นทีปรึกษาคณะทํางานไปเป็ นวุฒสมาชิกแล้ว ก็ยงคงติดตาม ่ ่ ่ ิ ั ความคืบหน้าของโครงการอย่างสมํ่าเสมอ คุณจุฑามาศ กุลรัตน์ และคุณจันทนา วุฒกาญจนกุล ิ ่ ฝายเลขานุ การคณะทํางาน ได้ชวยเหลือในด้านการติดต่อประสานงานตลอดช่วงโครงการ ่ งานวิจยนี้จะไม่สามารถสําเร็จลุล่วงไปได้เลย ถ้าหากคณะผูวจยไม่ได้รบความช่วยเหลือ ั ้ิ ั ั และความร่วมมือ ทังในด้านข้อมูล ความเห็น และคําปรึกษาจากผู้ท่ีเกี่ยวข้องจํานวนมาก ซึ่ง ้ คณะผูวจยคงไม่สามารถระบุรายชื่อทีครบถ้วน (อีกทังหลายท่านได้กรุณาให้ขอมูลและความคิดเห็น ้ิั ่ ้ ้ โดยไม่ประสงค์ออกนามด้วย) โดยเฉพาะอย่างยิงจากผู้บริหารและเจ้าหน้ าที่โรงพยาบาลต่างๆ ่ กระทรวงสาธารณสุข กระทรวงพาณิชย์ และบริษทตัวแทนต่างๆ ซึงคณะผูวจยขอขอบคุณทุกท่าน ั ่ ้ิั เป็ นอย่างสูง สุดท้าย คณะผูวจยขอขอบคุณ ศ.อัมมาร สยามวาลา ทีกรุณาให้คาปรึกษาทีเป็ นประโยชน์ ้ิั ่ ํ ่ ต่อโครงการวิจยเป็ นอย่างมาก คุณนนทลี วุฒมานพ จากคณะรัฐประศาสนศาสตร์ สถาบัน ั ิ บัณฑิตพัฒนบริหารศาสตร์ (NIDA) และคุณพรรณลดา ไตรพิทยากุล จากสถาบันวิจยเพือการ ั ่ พัฒนาประเทศไทย (TDRI) มีสวนช่วยในการรวบรวมข้อมูลในช่วงแรกและช่วงท้ายของ ่ โครงการ v
  • 8.
  • 9.
    บทคัดย่อ ประเทศไทยเป็ นประเทศเปิ ดและเป็ นแหล่งท่องเที่ยวที่มช่อเสียงและเป็ นที่นิยมของ ี ื ชาวต่างชาติมาเป็ นเวลาค่อนศตวรรษแล้ว โรงพยาบาลเอกชนหลายแห่งของไทยได้พฒนาขึน ั ้ มาและได้ให้บริการคนไข้ชาวต่างชาติท่มาทํางานและท่องเที่ยวในภูมภาคนี้เพิมขึนเป็ นลําดับ ี ิ ่ ้ แต่จุดเปลียนสําคัญทีก่อให้เกิดการขยายตัวของบริการทางการแพทย์สาหรับชาวต่างชาติ (หรือ ่ ่ ํ medical tourist ซึงหมายถึงชาวต่างชาติทมจุดประสงค์หลักในการเดินทางเข้ามาเพื่อรับบริการ ่ ่ี ี ด้านรักษาพยาบาล) ไม่ได้เป็ นแผนที่โรงพยาบาลเหล่านี้มมาตังแต่ต้น หากเกิดจากปญหาที่ ี ้ ั โรงพยาบาลเหล่านี้ประสบอันสืบเนื่องมาจากวิกฤติเศรษฐกิจในปี 2540 ซึ่งทําให้โรงพยาบาล เอกชนทีมการลงทุนอย่างมากในช่วงฟองสบู่มภาวะเตียงว่างจํานวนมาก โรงพยาบาลเอกชน ่ ี ี ชันนํ าของไทยจึงพยายามปรับ ตัวโดยการหาลูกค้าจากประเทศที่มกําลังซื้อสูงจากแทบทุก ้ ี ภูมภาคของโลก (เช่น อเมริกา ยุโรป ตะวันออกกลาง และญีปุ่น) เข้ามาทดแทน รัฐบาลเองก็มี ิ ่ นโยบายทีจะผลักดันให้ประเทศไทยเป็ นศูนย์กลางของการบริการทางด้านสุขภาพของเอเชีย ซึง ่ ่ ถือได้วาประสบความสําเร็จเป็ นอย่างสูง โดยในปี พ.ศ. 2550 มีคนไข้ชาวต่างชาติทรบการรักษา ่ ่ี ั ในประเทศไทย (รวมนักท่องเทียวและชาวต่างชาติทมาทํางานหรือตังถินฐานในภูมภาคนี้) มาก ่ ่ี ้ ่ ิ ถึง 1.4 ล้านคน งานวิ จ ัย นี้ ศึ ก ษาพัฒ นาการและการขยายตัว ของบริก ารทางการแพทย์ สํ า หรับ ชาวต่างชาติ (รวมทังนโยบายของรัฐทีจะผลักดันให้ประเทศไทยเป็ นศูนย์กลางของการบริการ ้ ่ ทางด้านสุขภาพ หรือทีนิยมเรียกกันในประเทศไทยว่า medical hub) และผลกระทบทีมต่อ ่ ่ ี เศรษฐกิจ บุ ค ลากรทางการแพทย์ และอัต ราค่า รัก ษาพยาบาลสํา หรับ คนไข้ช าวไทย โดย รวบรวมข้อมูลทังจากสถานพยาบาล บริษททัวร์หรือตัวแทนทีนําคนไข้มาจากต่างประเทศ และ ้ ั ่ จากหน่วยงานภาครัฐทีเกียวข้อง ่ ่ ผลการศึกษาพบว่า ในระยะหลัง มีสถานพยาบาลเอกชนของไทยจํานวนมากได้ปรับตัว เพือให้บริการและเจาะตลาดคนไข้ชาวต่างชาติมากขึน โดยมีจุดเน้นทีต่างกัน (ซึงส่วนหนึ่ง ่ ้ ่ ่ ขึนกับความถนัดของสถานพยาบาลทีมมาแต่เดิม) เช่น มีทงสถานพยาบาลกลุ่มทีเน้นการรักษา ้ ่ ี ั้ ่ ด้วยเทคโนโลยีมาตรฐานระดับโลก กลุ่มทีเน้นการรักษาทีเป็ นความเชียวชาญเฉพาะทางของ ่ ่ ่ สถานพยาบาล (เช่น ในด้านศัลยกรรมตกแต่ง) กลุมทีเน้นการรักษาด้วยเทคโนโลยีในระดับสูง ่ ่ แต่ยงอยูในขันทดลอง (เช่น การรักษาด้วย Stem Cell) กลุ่มทีเน้นการรักษาด้านทีสามารถรอได้ ั ่ ้ ่ ่ พอสมควร (โดยเฉพาะอย่างยิงทันตกรรม) และกลุ่มทีเน้นการให้บริการตรวจสุขภาพ หลาย ่ ่ โรงพยาบาลได้ผานการรับรองมาตรฐาน JCIA (ซึ่งเป็ นมาตรฐานสําหรับโรงพยาบาลนานาชาติ) ่ และได้ใช้วธการทําตลาดในต่างประเทศทีหลากหลาย ไม่วาจะเป็ นวิธใช้ตวแทนทังในประเทศ ิี ่ ่ ี ั ้ และในต่างประเทศ หรือการทําตลาดด้วยตนเองล้วนๆ vii
  • 10.
    การขยายตัวของการให้บริการทางการแพทย์กบชาวต่างชาติมผลกระทบทังในด้านบวก ั ี ้ และด้านลบ โดยในด้านเศรษฐกิจนัน บริการนี้ชวยสร้างมูลค่าเพิมประมาณร้อยละ 0.4 ของ ้ ่ ่ ผลิตภัณฑ์มวลรวมของประเทศ (GDP) แต่การทีคนไข้ชาวต่างชาติมจานวนเพิมขึนมากก็ทาให้ ่ ีํ ่ ้ ํ ั ปญหาการขาดแคลนบุคลากรทางการแพทย์ (โดยเฉพาะแพทย์ ทันตแพทย์ และพยาบาล) มี ความรุนแรงมากขึน ้ การทีชาวต่างชาติเข้ามาพร้อมกับกําลังซือทีสงกว่าคนไทยมากมีสวน ่ ้ ู่ ่ สําคัญในการดึงดูดแพทย์ (โดยเฉพาะอย่างยิงแพทย์ผเชียวชาญ) จากทังภาคเอกชนและภาครัฐ ่ ู้ ่ ้ รวมทังอาจารย์แพทย์และทีมงานจากโรงพยาบาลมหาวิทยาลัยต่างๆ ไปสูโรงพยาบาลเอกชน ้ ่ กลุ่มทีเน้นการรักษาคนไข้ต่างชาติมากขึน ซึงอาจส่งผลกระทบต่อคุณภาพของการผลิตแพทย์ ่ ้ ่ ในระยะยาว ั ปญหาการขาดแคลนบุคลากรมีสวนทีทาให้คารักษาพยาบาลในโรงพยาบาล ่ ่ ํ ่ เอกชนเพิมในอัตราทีสงขึนในระยะหลัง และมีแนวโน้มทีจะทําให้ทงสถานพยาบาลและโครงการ ่ ู่ ้ ่ ั้ ด้านหลักประกันสุขภาพต่างๆ ของรัฐ (ไม่วาจะเป็ นโครงการบัตรทอง สวัสดิการข้าราชการ หรือ ่ โครงการประกันสังคม) มีตนทุนเพิมขึนในการรักษาบุคลากรไม่ให้ถูกดึงออกไปมากจนเกิด ้ ่ ้ ผลกระทบทีรนแรงต่อคุณภาพบริการของโครงการเหล่านี้ ุ่ เพื่อทีจะรักษาสมดุลของผลกระทบในด้านบวกและลบ คณะผูวจยได้จดทําข้อเสนอแนะ ่ ้ิั ั หลายประการ โดยนอกจากเสนอให้ผลิตบุคลากรทางการแพทย์เพิม (รวมทังผลิตพยาบาลให้ ่ ้ เต็มศักยภาพ) แล้ว ยังได้เสนอให้ปรับปรุงกฎระเบียบของแพทยสภาให้เอื้อกับการนํ าแพทย์ ชาวต่างชาติทมคุณภาพเข้ามาเพื่อบรรเทาผลกระทบในด้านการขาดแคลนบุคลากรซึ่งมีความ ่ี ี รุนแรงมากขึ้นจากการที่มคนไข้ต่างชาติเดินทางเข้ามารับการรักษาพยาบาลในประเทศไทย ี เพิมขึน และในกรณีท่จํานวนคนไข้ต่างชาติกลุ่มนี้ยงมีแนวโน้มเพิมขึน เสนอให้พจารณาเก็บ ่ ้ ี ั ่ ้ ิ ค่าธรรมเนียมพิเศษจากคนไข้ต่างชาติทมจุดประสงค์หลักในการเดินทางมาประเทศไทยเพื่อรับ ่ี ี บริการด้านรักษาพยาบาล แล้วนํ ารายได้สวนนี้มาอุดหนุ นการผลิตบุคลากรทางการแพทย์เพิม ่ ่ และช่วยเพิมแรงจูงใจในการรักษาและเพิมจํานวนอาจารย์แพทย์ผูเชียวชาญแพทย์ในโรงเรียน ่ ่ ้ ่ แพทย์ viii
  • 11.
    Abstract A Development Guideline for Thailand’s Medical Hub 1 2 3 Anchana NaRanong, Viroj NaRanong, and Sirachai Jindarak Thailand has been an open country and a well-known tourist place for at least a half century. It was not until this decade that medical tourism in Thailand has been surging. Since the 1997 Asian economic crisis, bed occupancy in most private hospitals has significantly declined, prompted high-end private hospitals—which invested substantially during the economic bubble to seek out medical tourists from abroad, mainly from North America, the European Union, the Middle East and East Asian countries. Since then, every Thai government regime has announced various policy measures to promote medical tourism in order to generate revenue for the country. In 2007, 1.4 million foreign patients (including general tourists and foreigners who work or live in Thailand) received medical treatment in Thailand, making her a leading destination for medical tourists from almost all continents. This study focuses on the development of Thai medical tourism and its impacts on the Thai economy, human resources, and medical costs for Thais. Data have been collected from hospitals, tourist agencies, and the government. The study finds that more and more private hospitals have been transformed into foreign-oriented facilities. This development appeared in many forms (partly depending on hospitals’ specialization) such as treatments with high technology, new treatments at experimental stages (such as treatment with stem cells), and dental care. Several hospitals have sought accreditation and have been accredited by the Joint Commission International (JCI), and various marketing plans have been launched to attract international customers. Medical tourism has had both positive and negative impacts on Thailand. For the Thai economy, it generates the value added that is equivalent to 0.4% of GDP. However, the surge of medical tourists in Thailand has exacerbated the shortage of medical personnel (especially of physicians, dentists, and nurses). The higher purchasing power of foreigners has drawn more medical personnel, especially specialists, from both the private and public sector (including professors in medical schools) to foreigner-oriented hospitals, and this brain-drain will potentially affect the availability and quality of medical training in the future. This personnel shortage has raised medical costs in the private hospitals substantially and is likely to drive up the costs of the public hospitals and the publicly-provided Universal Coverage Health Insurance (including the Social Security Scheme and the Civil Servant Medical Benefit Scheme)—which covers most of the Thai population. To strike a balance under this dilemma, this study proposes several recommendations, including lifting the regulation that has prevented importing qualified foreign physicians and imposing specific taxes/fees on medical tourists whose purpose of visit is solely for medical treatment and use such revenue to expand physician training and retain personnel in public medical schools. 1 School of Public Administration, National Institute of Development Administration (NIDA) 2 Thailand Development Research Institute (TDRI) 3 Faculty of Medicines, Chulalongkorn University ix
  • 12.
  • 13.
    สารบัญ หน้ า คํานํารายงานฉบับแก้ไขปรับปรุง ..................................................................................................... iii กิตติกรรมประกาศ ..........................................................................................................................v บทคัดย่อ ................................................................................................................................... vii Abstract ..................................................................................................................................... ix สารบัญ ...................................................................................................................................... xi สารบัญตาราง ............................................................................................................................... xiii สารบัญกรอบ ................................................................................................................................. xv สารบัญรูป ..................................................................................................................................... xv 1. บทนํา ...................................................................................................................................... 1 1.1 วัตถุประสงค์ ........................................................................................................... 3 1.2 ขอบเขตการศึกษา .................................................................................................. 4 1.3 ระยะเวลาศึกษา ..................................................................................................... 4 1.4 วิธการดําเนินงาน .................................................................................................. 4 ี 1.5 วิธการศึกษาโดยละเอียด......................................................................................... 4 ี 1.6 ผลทีคาดว่าจะได้รบ .............................................................................................. 12 ่ ั 1.7 เนื้อหาของรายงาน .............................................................................................. 12 2. ความเป็ นมา สถานการณ์ แนวโน้ม และการดําเนินการตามนโยบายศูนย์กลางทางการแพทย์ (medical hub) ............................................................................................................. 15 2.1 ประวัตความเป็ นมา .............................................................................................. 15 ิ 2.2 สถานการณ์ แนวโน้ม และการดําเนินการตามนโยบายศูนย์กลางทางการแพทย์ (medical hub) ทีผานมาของไทย ......................................................................... 18 ่ ่ 3. การศึกษาเปรียบเทียบการให้บริการศูนย์กลางด้านสุขภาพในประเทศไทยกับประเทศอืนทีมการ ่ ่ ี ดําเนินการด้าน medical tourism.................................................................................. 43 3.1 ประเทศสิงคโปร์.................................................................................................... 43 3.2 ประเทศอินเดีย ..................................................................................................... 47 3.3 ประเทศมาเลเซีย .................................................................................................. 50 3.4 การเปรียบเทียบ medical hub ในแต่ละประเทศ: มุมมองของฝายต่างๆ ................ 52 ่ 3.5 บทเรียนจากต่างประเทศ ..................................................................................... 59 4. ผลกระทบด้านเศรษฐกิจของประเทศ ......................................................................................... 67 4.1 การประมาณการรายรับและมูลค่าเพิมทีเกิดจากการให้บริการคนไข้ต่างชาติ………...…70 ่ ่ 5. ผลกระทบต่อบุคลากร ............................................................................................................... 83 5.1 ความต้องการแพทย์สาหรับคนไข้ตางชาติ (medical hub) .................................... 83 ํ ่ 5.2 ความต้องการบุคลากรสําหรับคนไทยในระบบหลักประกันสุขภาพถ้วนหน้า ............ 88 6. ผลกระทบต่อราคาค่ารักษาพยาบาลและการเข้าถึงบริการทีมคุณภาพของคนไทย .................... 105 ่ ี xi
  • 14.
    6.1 ผลกระทบในด้านราคาค่ารักษาพยาบาล ............................................................105 6.2 ผลกระทบต่อการเข้าถึงบริการทีมคุณภาพของคนไทย ......................................... 113 ่ ี 7. บทสรุป แนวทางการพัฒนา และข้อเสนอแนะ.......................................................................... 123 7.1 บทสรุป ............................................................................................................. 123 ่ 7.2 ข้อเสนอแนะเชิงนโยบายของฝายต่างๆ .............................................................. 127 7.3 แนวทางการพัฒนา ............................................................................................ 131 7.4 ข้อเสนอของคณะผูวจย ...................................................................................... 140 ้ิั 7.5 อุปสรรคในการศึกษา ข้อจํากัด และข้อเสนอแนะเพิมเติม ..................................... 147 ่ xii
  • 15.
    สารบัญตาราง หน้ า ตารางที่ 2.1 ประมาณการเป้าหมายรายได้ของแต่ละผลผลิต....................................................... 17 ตารางที่ 2.2 งบประมาณแผนยุทธศาสตร์การพัฒนาประเทศไทยเป็ นศูนย์กลางสุขภาพเอเชีย จําแนกตามยุทธวิธแผนงาน .......................................................................................... 18 ี ตารางที่ 2.3 จํานวนชาวต่างชาติทมารับบริการทางการแพทย์ในโรงพยาบาลเอกชนไทย ่ี ระหว่างปี พ.ศ. 2544-2550 .......................................................................................... 19 ตารางที่ 2.4 จํานวนชาวต่างประเทศทีรบบริการในโรงพยาบาลเอกชนไทย 55 แห่งในปี 2550 .... 20 ่ั ตารางที่ 2.5 สัดส่วนจํานวนและรายรับจากคนไข้ชาวต่างชาติของโรงพยาบาลปิยะเวท ปี 2546- 2550 ........................................................................................................................... 25 ตารางที่ 2.6 ตัวอย่างบริษทตัวแทนทีมบริการนําคนไข้เข้ามารับบริการด้านสุขภาพในประเทศไทย ั ่ ี .................................................................................................................................... 33 ตารางที่ 3.1 เป้าหมายจํานวนผูปวยทีเข้ารับการรักษาพยาบาลในสิงคโปร์ .................................. 46 ้ ่ ่ ตารางที่ 3.2 เปรียบเทียบ competitive advantage ระหว่างไทยกับคูแข่งอื่นในเอเชีย ................. 55 ่ ตารางที่ 3.3 เปรียบเทียบ medical tourism ของประเทศไทยและประเทศคูแข่งในภูมภาคนี้ โดย ่ ิ The Boston Consulting Group ................................................................................... 56 ตารางที่ 4.1 ประมาณการเป้าหมายรายได้จาก medical hub และข้อมูลจํานวนคนไข้ต่างชาติทมา ่ี รับการรักษาในประเทศไทย .......................................................................................... 67 ตารางที่ 4.2 ประมาณการรายได้จาก medical tourism และข้อมูลจํานวนคนไข้ต่างชาติ.............. 68 ตารางที่ 4.3 ประมาณการรายรับและมูลค่าเพิม (value added) จากคนไข้ต่างชาติและผูตดตาม.. 75 ่ ้ ิ ้ ่ ตารางที่ 5.1 ประมาณการความต้องการแพทย์โดยผูปวยต่างชาติ พ.ศ. 2546-2558 ..................... 84 ตารางที่ 5.2 จํานวนแพทย์ผได้รบใบอนุ ญาตฯ และจํานวนแพทย์ทถูกถอนชือจากทะเบียน ู้ ั ่ี ่ ผูประกอบวิชาชีพเวชกรรมจากแพทยสภา .................................................................... 89 ้ ตารางที่ 5.3 ข้อมูลจํานวนและการกระจายของแพทย์ รวบรวมโดยสํานักนโยบายและยุทธศาสตร์ กระทรวงสาธารณสุข .................................................................................................... 92 ตารางที่ 5.4 จํานวนแพทย์ในโรงพยาบาลในสังกัดสํานักปลัดกระทรวงสาธารณสุข ...................... 93 ้ ่ ตารางที่ 5.5 ประมาณการความต้องการแพทย์โดยผูปวยชาวไทย พ.ศ. 2546-2558 .................... 94 ตารางที่ 5.6 ประมาณการความต้องการแพทย์รวม พ.ศ. 2550-2558.......................................... 95 ตารางที่ 5.7 จํานวนและการกระจายของทันตแพทย์ รวบรวมโดยสํานักนโยบายและยุทธศาสตร์ กระทรวงสาธารณสุข .................................................................................................... 98 ตารางที่ 5.8 จํานวนทันตแพทย์ทขนทะเบียนเป็ นผูประกอบวิชาชีพทันตกรรม ตังแต่ปี 2537-2550 ่ี ้ ึ ้ ้ .................................................................................................................................... 99 ตารางที่ 5.9 ข้อมูลจํานวนและการกระจายของพยาบาล รวบรวมโดยสํานักนโยบายและยุทธศาสตร์ กระทรวงสาธารณสุข .................................................................................................. 102 ตารางที่ 5.10 จํานวนผูสมัครสอบและขึนทะเบียนเป็ นผูประกอบวิชาชีพพยาบาล 2541-2550...... 103 ้ ้ ้ xiii
  • 16.
    ตารางที่ 6.1 ค่าใช้จายเฉลียต่อรายจากcase ทีเกิดขึนจริงของคนไข้ชาวไทยทีโรงพยาบาล ่ ่ ่ ้ ่ ั ั ก. ตังแต่ปี 2548 จนถึงปจจุบน ................................................................................... 107 ้ ตารางที่ 6.2 ค่าบริการเหมาจ่ายแบบเป็ นแพคเกจสําหรับคนไข้ชาวไทยทีโรงพยาบาล ก. ปี 2550- ่ 2551 ......................................................................................................................... 108 ตารางที่ 6.3 ค่าใช้จายเฉลียต่อรายจาก case ทีเกิดขึนจริงของคนไข้ชาวไทยทีโรงพยาบาล ่ ่ ่ ้ ่ ั ั ข. ตังแต่ปี 2546 จนถึงปจจุบน ................................................................................... 109 ้ ตารางที่ 6.4 ค่าบริการเหมาจ่ายแบบเป็ นแพคเกจสําหรับคนไข้ชาวไทยทีโรงพยาบาล ่ ข. เมือต้นปี 2551....................................................................................................... 109 ่ ตารางที่ 6.5 ค่าบริการเหมาจ่ายแบบเป็ นแพคเกจสําหรับคนไข้ชาวไทยทีโรงพยาบาล ่ ค. เมือต้นปี 2551 ...................................................................................................... 110 ่ ตารางที่ 6.6 ค่าใช้จายเฉลียต่อรายจาก case ทีเกิดขึนจริงทีโรงพยาบาล ่ ่ ่ ้ ่ ั ั ง. ตังแต่ปี 2548 ถึงปจจุบน....................................................................................... 111 ้ ตารางที่ 6.7 ค่าใช้จายเฉลียต่อรายจาก case ทีเกิดขึนจริง ทีโรงพยาบาลกรุงเทพภูเก็ต ่ ่ ่ ้ ่ ปี 2549-2550 ............................................................................................................ 112 xiv
  • 17.
    สารบัญกรอบ หน้ า กรอบที่ 2.1 กระบวนการดําเนินการของโรงพยาบาลทีทาตลาดเอง: กรณีศกษาโรงพยาบาล่ ํ ึ เจ้าพระยา .................................................................................................................... 26 กรอบที่ 2.2 กระบวนการตลาดของโรงพยาบาลทีผานตัวแทน (agent) เป็ นหลัก: กรณีศกษา ่ ่ ึ โรงพยาบาลยันฮี .......................................................................................................... 30 กรอบที่ 6.1 “The Heart by Siriraj”: โรงพยาบาลเอกชนในโรงพยาบาลรัฐ? ................................ 117 กรอบที่ 7.1 ตัวอย่าง medical hub ของไทย: กรณีศกษาโรงพยาบาลกรุงเทพภูเก็ต .................... 146 ึ สารบัญรูป หน้ า ้ ่ รูปที่ 2.1 จํานวนและประมาณการจํานวนผูปวยชาวต่างประเทศทีมารักษาในประเทศต่างๆ โดย ่ รัฐบาลสิงคโปร์........................................................................................................... 23 ้ ่ รูปที่ 3.1 จํานวนผูปวยชาวต่างชาติทมารักษาทีสงคโปร์ในช่วงก่อนและหลังวิกฤติเศรษฐกิจปี 2540 ่ี ่ ิ .......................................................................................................................................61 รูปที่ 4.1 ประมาณการรายรับจากการให้บริการคนไข้ต่างชาติ ภายใต้ Scenario ต่างๆ..................77 รูปที่ 4.2 ประมาณการมูลค่าเพิ่มจากการให้บริ การคนไข้ต่างชาติ ภายใต้ Scenario ต่างๆ……………………80 รูปที่ 7.1 บัตรขาเข้าตรวจคนเข้าเมือง……………………………………………………………...………133 xv
  • 18.
  • 19.
    1. บทนํา ในช่วงทีประเทศไทยอยู่ในภาวะฟองสบู่ (ก่อนทีจะจบลงด้วยภาวะวิกฤติเศรษฐกิจหลัง ่ ่ ั ฟองสบู่แตกในปี พ.ศ.2540) ประเทศไทยมีปญหาขาดดุลบัญชีเดินสะพัดในอัตราทีสงติดต่อกัน ่ ู มานานหลายปี หลังจากฟองสบู่แตก รัฐบาลก็ได้พยายามผลักดันให้มการส่งออกเพิมขึน โดย ี ่ ้ นอกจากการส่งออกสินค้า (และแรงงาน) ไปต่างประเทศแล้ว กรมส่งเสริมการส่งออก กระทรวง พาณิชย์ ยังหันมาสนใจการหารายได้เข้าประเทศจากบริการด้านสาธารณสุข ซึ่งที่ผ่านมาก็มี ชื่อเสียงเป็ นทีรูจกกันดีในระดับภูมภาคอยู่แล้ว (เช่น ในประเทศเพื่อนบ้านและประเทศในแถบ ่้ั ิ เอเชียใต้และตะวันออกกลาง) ให้ขยายบริการในรูปของ medical tourism ทีมการนําคนไข้จาก ่ ี ประเทศที่มกําลังซื้อสูงมารับบริการทางการแพทย์และสุขภาพในประเทศไทย และดึงดูดผูท่ี ี ้ เกษียณอายุมาตังถินฐานในประเทศไทย ในช่วงเดียวกันนัน โรงพยาบาลเอกชนจํานวนมาก ซึง ้ ่ ้ ่ ั มีก ารลงทุ น อย่ า งขนานใหญ่ ใ นช่ ว งฟองสบู่ ก็ ป ระสบป ญ หาภาวะเตี ย งว่ า งจํ า นวนมาก โรงพยาบาลเอกชนทีถอได้ว่าเป็ นกลุ่ม high-end บางกลุ่ม จึงพยายามปรับตัวโดยการหาลูกค้า ่ ื ่ ีํ ้ ่ ุ่ จากประเทศทีมกาลังซือสูง (เช่น ญีปน ยุโรป และตะวันออกกลาง) เข้ามาด้วย ซึงก็นบว่าประสบ ่ ั ความสําเร็จพอสมควร โดยเฉพาะโรงพยาบาลเอกชนขนาดใหญ่ สองแห่ง (รวมทังเครือข่ายของ ้ โรงพยาบาลเอกชนขนาดใหญ่แห่งหนึ่ง) ในช่ ว งรัฐ บาลต่ อ มา (รัฐ บาลที่นํ า โดยพรรคไทยรัก ไทย) แม้ว่ า ภาวะวิก ฤติ ข อง โรงพยาบาลเอกชนโดยรวมจะบรรเทาลง และในปี พ.ศ.2544 รัฐบาลได้ขยายหลักประกัน สุขภาพให้ครอบคลุมคนไทยทังประเทศ ผ่านโครงการ “30 บาทรักษาทุกโรค” (ซึงมีผลทําให้มี ้ ่ การใช้บริการด้านการรักษาพยาบาลเพิ่มขึ้นอย่างมีนัยสําคัญ) แล้ว รัฐบาล (โดยทังกระทรวง ้ พาณิชย์และกระทรวงสาธารณสุข) ก็มนโยบายทีจะผลักดันให้ประเทศไทยเป็ นศูนย์กลางของการ ี ่ บริการด้านการแพทย์ (medical hub) การบริการด้านสุขภาพ และผลิตภัณฑ์สุขภาพให้แก่ ชาวต่างชาติ เพื่อดึงดูดให้คนจากทัวโลกเข้ามาใช้บริการในประเทศไทยซึงเป็ นทางหนึ่งทีจะนํ า ่ ่ ่ รายได้เข้าประเทศ โดยมีการกําหนดเป็ นวิสยทัศน์ ของประเทศเอาไว้ว่าประเทศไทยจะเป็ น ั ศูนย์กลางสุขภาพของเอเชีย (Thailand: Centre of Excellent Health Care of Asia) ภายใน ระยะเวลา 5 ปี (พ.ศ. 2551) (กระทรวงสาธารณสุข 2546) ในการทีประเทศไทยจะพัฒนาขึนไปเป็ น medical hub เพื่อรองรับลูกค้าจากประเทศทีมี ่ ้ ่ กําลังซือสูง ซึงส่วนใหญ่จะเป็ นประเทศพัฒนาแล้วนัน นอกเหนือจากจะต้องมีค่ารักษาพยาบาล ้ ่ ้ ที่ต่ํา กว่า ประเทศต้นทางอย่า งมีนัย สํา คัญ และมีศ ักยภาพที่จะรองรับ คนไข้จ ากต่ า งประเทศ จํานวนมากแล้ว ยังมีกุญแจสําคัญที่ต้องพิจารณาอย่างน้ อยสองประการคือ (ก) มีการพัฒนา มาตรฐานในด้านการรักษาพยาบาลทีทดเทียม (หรือใกล้เคียง) กับประเทศทีพฒนาแล้ว และ (ข) ่ ั ่ ั มีระบบการคุ้มครองผูบริโภคที่มความน่ าเชื่อถือ (โดยทัวไปแล้ว ประเทศที่มมาตรฐานในการ ้ ี ่ ี 1
  • 20.
    รักษาพยาบาลทีดมกจะมีระบบการคุมครองสิทธิของผูปวยทีดควบคู่กนไปด้วย)4 ซึงในทังสอง ่ ี ั ้ ้ ่ ่ ี ั ่ ้ ส่วนนี้ต้องอาศัยการพัฒนาทังในส่วนของโรงพยาบาลเองและในหน่ วยงานของรัฐที่ทําหน้ าที่ ้ ั กํากับดูแลสถานพยาบาลเหล่านี้ และเป็ นปจจัยสําคัญทีไม่สามารถทดแทนได้โดยการโฆษณา ่ ประชาสัมพันธ์ให้ชาวต่างชาติเข้ามาใช้บริการการรักษาพยาบาลของไทย แต่นอกจากนโยบายพัฒนาศูนย์กลางการแพทย์ (medical hub) ของประเทศไทยจะต้อง ั คํานึงถึงปจจัยที่มผลต่อการเติบโตและความสามารถในการแข่งขันของตัวสถานพยาบาลเองแล้ว ี ยังมีความจําเป็ นต้องคํานึ งถึงผลกระทบทังในทางบวกและทางลบต่ อระบบสาธารณสุขของ ้ ประเทศไทยเองด้วย ในทางบวกนัน การปรับตัวของสถานพยาบาลของไทยและหน่ วยงานที่ ้ กํากับดูแลเพื่อรองรับนโยบายนี้ย่อมมีโอกาสทําให้สถานพยาบาลจํานวนหนึ่งพัฒนามาตรฐาน ไปสูระดับสากลได้มากขึน รวมทังมีขดความสามารถในการติดตามความก้าวหน้าทางเทคโนโลยี ่ ้ ้ ี ทางการแพทย์สมัยใหม่ได้ดขน แต่นโยบายนี้ก็มโอกาสที่จะสร้างผลกระทบในทางลบเช่นกัน ี ้ึ ี โดยเฉพาะอย่างยิงในบริบทใหญ่ของประเทศ ซึงการเกิดขึนและการขยายตัวของ medical hub ่ ่ ้ มีโอกาสทีจะส่งผลกระทบด้านลบต่อนโยบายสร้างหลักประกันสุขภาพถ้วนหน้าได้ในหลายด้าน ่ เช่น ผลกระทบในด้านการใช้ทรัพยากรและบุคลากรด้านสุขภาพ ผลกระทบต่อราคาของบริการ ด้านสุขภาพ5 และผลกระทบในด้านการเข้าถึงบริการทีมคุณภาพของคนไทย เป็ นต้น ่ ี ด้ว ยเหตุ ผ ลที่ก ล่ า วมาข้า งต้น จะเห็น ได้ว่ า มีโ อกาสมากที่น โยบายศู น ย์ก ลางทาง การแพทย์ (medical hub) จะส่งผลทีขดแย้งกับนโยบายสร้างหลักประกันสุขภาพถ้วนหน้า ่ ั (อย่างน้ อยในบางด้าน) ซึ่งย่อมทําให้การผลักดันสองนโยบายนี้แยกจากกันโดยไม่ได้พจารณา ิ ปฏิสมพันธ์ (interaction) ทีสองนโยบายมีต่อกันนัน จะไม่ได้ผลเท่ากับทีสามารถคาดหวังได้จาก ั ่ ้ ่ การเลือกผลักดันเพียงนโยบายใดนโยบายหนึ่ง (แน่นอนว่า สองนโยบายนี้อาจมีสวนทีหนุ นช่วย ่ ่ ซึ่งกันและกันหรือ synergistic ในบางด้าน เช่น ในด้านความก้าวหน้ าทางวิชาการและการ พัฒนามาตรฐานต่างๆ รวมทังอาจพัฒนาเป็ นศูนย์รบส่งต่อผูปวยหรือฝึ กอบรมนักศึกษาแพทย์) ้ ั ้ ่ แต่ในการกําหนดนโยบายสุขภาพของประเทศในภาพรวมนัน มีความจําเป็ นทีรฐจะต้องพิจารณา ้ ่ั (หรือประเมิน) นโยบายศูนย์กลางทางการแพทย์ (medical hub) ในบริบทของการมีหลักประกัน สุขภาพถ้วนหน้า ซึงถือได้วาเป็ นนโยบายหลักด้านสุขภาพของประเทศ ไม่ใช่แยกพิจารณาและ ่ ่ ผลักดันสองนโยบายทีอาจขัดแย้งกันโดยไม่สนใจผลกระทบที่นโยบายหนึ่งจะมีต่ออีกนโยบาย ่ หนึ่ง (อุปมาได้เหมือนกับการขับรถโดยเหยียบทังคันเร่งและเบรคพร้อมๆ กัน) และในกรณีทจะ ้ ่ี ดําเนินสองนโยบายนี้ควบคู่กนไปนัน (หรือแม้กระทังในกรณีท่จะสนับสนุ นนโยบายเดียว แต่ ั ้ ่ ี 4 โดยเฉพาะอย่างยิง เมื่อคํานึงว่าผูป่วยทีรบการรักษาในต่างประเทศจะมีความเสียงบางด้านมากกว่าการรักษาใน ่ ้ ่ั ่ ประเทศตนเอง เช่น อาจมีขอจํากัดมากกว่า (หรือบางครังก็เป็ นไปไม่ได้) ในการฟ้องร้องในกรณีท่เกิดความ ้ ้ ี เสียหายที่เกิดจากการรักษาพยาบาล หรือในด้านการรักษาต่อเนื่อง (follow up) เมื่อผูป่วยเดินทางกลับไปสู่ ้ ประเทศตัวเองแล้ว และการมีระบบการคุ้มครองผู้ป่วยที่ดคงจะมีส่วนในการผลักดันให้สถานพยาบาลต้อง ี ปรับปรุงคุณภาพของตนตามไปด้วย (ดูการวิเคราะห์ประเด็นนี้ได้ใน วิโรจน์ ณ ระนอง 2541) 5 ซึงอาจส่งผลไปถึงงบค่าใช้จายของภาครัฐด้วย ่ ่ 2
  • 21.
    ยอมให้มการดําเนินการในอีกด้านหนึ่งด้วย) ก็ควรต้องมีการกําหนดเป้าหมายและมาตรการ ี ควบคุมทีคํานึงถึงผลกระทบภายนอก (externality) เพื่อจํากัดผลกระทบด้านลบทีอาจเกิดขึนให้อยู่ ่ ่ ้ ในระดับทียอมรับได้ ่ สภาที่ปรึกษาเศรษฐกิจและสังคมแห่งชาติ โดยคณะทํางานเศรษฐกิจภาคบริการ ได้ ตระหนักถึงข้อเท็จจริงและสภาพการณ์ ดงกล่าว ประกอบกับบทบาทของสภาที่ปรึกษาฯ มี ั ั หน้าที่ให้คําปรึกษาและข้อเสนอแนะต่อคณะรัฐมนตรีในปญหาต่างๆ ที่เกี่ยวกับเศรษฐกิจและ สังคม โดยเฉพาะประเด็น เกี่ย วกับ ชีวิต ความเป็ น อยู่ การประกอบอาชีพ ที่มีผ ลกระทบกับ ประชาชนทังประเทศ จึงได้สนับสนุ นให้คณะผู้วิจยจัดทําโครงการศึกษาวิจย “แนวทางการ ้ ั ั พัฒนาศูนย์กลางสุขภาพของประเทศไทย (Thailand Medical Hub)” เพื่อศึกษาความสัมพันธ์ และผลกระทบของนโยบายศูนย์กลางสุขภาพของไทยกับนโยบายด้านสุขภาพอื่นๆ ทีเกี่ยวข้อง ่ (เช่น นโยบายหลักประกันสุขภาพถ้วนหน้า ฯลฯ) เพือนํามาเป็ นข้อมูลจัดทําแนวทางการปรับปรุง ่ นโยบายศูนย์กลางทางการแพทย์ของไทยในบริบทที่มความสัมพันธ์และสมดุลย์กบนโยบาย ี ั หลัก ประกัน สุข ภาพถ้ว นหน้ า และนโยบายที่เ กี่ย วข้อ งอื่น ๆ เพื่อ ให้เ กิด ประโยชน์ สูงสุ ด กับ ประเทศไทยต่อไป 1.1 วัตถุประสงค์ 1. เพื่อศึกษาสถานการณ์ แนวโน้ ม และผลการดําเนินการของนโยบายศูนย์กลางทาง การแพทย์ (medical hub) ของไทยตังแต่ปี พ.ศ.2546 เป็ นต้นมา ้ 2. เพื่อศึกษาเปรียบเทียบการให้บริการคนไข้ต่างชาติตามนโยบายศูนย์กลางด้านสุขภาพ ในประเทศไทยกับประเทศอื่นที่มการผลักดันนโยบายนี้ ในทวีปเอเชีย ทังในด้านสภาพ ี ้ ั ปญหา อุปสรรค และศักยภาพ เพื่อนํ ามากําหนดแนวทางการพัฒนาศูนย์กลางสุขภาพของ ไทย 3. เพื่อ ศึก ษาความสัม พัน ธ์ แ ละผลกระทบของนโยบายศู น ย์ ก ลางสุ ข ภาพของไทย (Thailand Medical Hub) กับนโยบายด้านสุขภาพอื่นๆ ทีเกียวข้อง ทังในด้านผลกระทบ ่ ่ ้ ทางด้านเศรษฐกิจและสังคม ผลกระทบต่ อบุคลากร และผลกระทบที่มีต่อราคาของ บริการด้านสุขภาพและการเข้าถึงบริการทีมคุณภาพของประชาชน ่ ี 4. เพื่อศึกษาเชิงคุณภาพเพื่อให้ทราบถึง มุมมอง ทัศนะ และข้อเสนอในด้านแนวทางและ ั ่ มาตรการปรับปรุง และ/หรือ แก้ไขปญหา จากมุมมองของฝายต่างๆ ตังแต่ผทมสวนใน ้ ู้ ่ี ี ่ การกําหนดนโยบาย ไปจนถึงกลุ่มผูทมสวนได้สวนเสียต่างๆ ้ ่ี ี ่ ่ ้ ่ ั ่ 5. เพือสังเคราะห์ขอเสนอแนะเชิงนโยบาย เพือให้รฐบาลและฝายต่างๆ ทีเกียวข้องนําไป ่ ่ ่ ดําเนินการให้เกิดประโยชน์สงสุดต่อประเทศ ู 3
  • 22.
    1.2 ขอบเขตการศึกษา 1) ศึกษาผลกระทบของนโยบายศูนย์กลางสุขภาพของไทย (Thailand Medical Hub) ทังในด้านผลกระทบต่ อเศรษฐกิจ ผลกระทบที่มต่อบุ คลากร และผลกระทบที่มต่อราคาของ ้ ี ี บริการด้านสุขภาพและการเข้าถึงบริการทีมคุณภาพของประชาชน ่ ี 2) ศึกษาเปรียบเทียบการให้บริการศูนย์กลางด้านสุขภาพในประเทศไทยกับประเทศ ่ ิ ้ ั คูแข่งในภูมภาคนี้ อันได้แก่ สิงคโปร์ อินเดีย และมาเลเซีย ทังในด้านสภาพปญหา อุปสรรค และ ศักยภาพ 3) นํ า เสนอข้อ เสนอแนะเชิง นโยบายในการพัฒ นาแนวทางการดํา เนิ น นโยบายที่ เหมาะสมสําหรับ การพัฒนาศูนย์กลางสุขภาพของไทย และมีความสมดุ ล กับนโยบายด้าน สุขภาพทีเกียวข้อง โดยเฉพาะนโยบายหลักประกันสุขภาพถ้วนหน้า ่ ่ 1.3 ระยะเวลาที่ศึกษา 12 เดือน (กันยายน 2550 ถึง สิงหาคม 2551) 1.4 วิธีการดําเนินงาน 1) รวบรวม ศึกษา วิเคราะห์ สังเคราะห์ขอมูลจากเอกสารรายงานและเอกสารการวิจย ้ ั ที่เกี่ยวกับสถานการณ์ แนวโน้ม และผลการดําเนินการของนโยบายศูนย์กลางทางการแพทย์ (medical hub) ของไทย 2) ศึกษาเปรียบเทียบการให้บริการศูนย์กลางด้านสุขภาพในประเทศไทยกับประเทศ เพือนบ้าน ทีเป็ นคูแข่งในภูมภาคนี้ อันได้แก่ สิงคโปร์ อินเดีย และมาเลเซีย ่ ่ ่ ิ 3) สัมภาษณ์เชิงลึก และเก็บข้อมูลจากสถานพยาบาล และหน่วยงานทีมสวนเกียวข้อง ่ ี่ ่ กับการดําเนินงานตามนโยบายศูนย์กลางสุขภาพของไทย และนโยบายทีเกียวข้องอื่นๆ่ ่ 4) จัดประชุมสัมมนาเสนอผลการศึกษา และระดมความคิดเห็นผูเกียวข้องและผูมสวน ้ ่ ้ ี่ ได้ส่วนเสีย เพื่อนํ าความคิดเห็น มุมมอง และข้อเสนอแนะของฝ่ายต่างๆ มาสังเคราะห์เป็ น ข้อเสนอเชิงนโยบายสําหรับทางสภาทีปรึกษาฯ และรัฐบาลต่อไป ่ 1.5 วิธีการศึกษาโดยละเอียด การศึกษานี้แบ่งออกเป็ น 7 ส่วนหลักๆ โดยในส่วนแรกเป็ นการศึกษาความเป็ นมา สถานการณ์ แนวโน้ม และการดําเนินการตามนโยบายศูนย์กลางทางการแพทย์ (medical hub) ส่วนทีสองศึกษาเปรียบเทียบการให้บริการศูนย์กลางด้านสุขภาพในประเทศไทย กับประเทศอื่น ่ ทีมการดําเนินการด้าน medical tourism ส่วนที่ 3 ประมาณการผลกระทบของการมี medical ่ ี hub ที่มต่อเศรษฐกิจของประเทศ ในด้านรายรับและมูลค่าเพิมที่เกิดจากการให้บริการทาง ี ่ การแพทย์ และในกิจกรรมที่ต่ อ เนื่ อง เช่น การท่องเที่ยว ส่ว นที่ 4-5 เป็ นการศึกษา 4
  • 23.
    ความสัมพันธ์และผลกระทบของนโยบายศูนย์กลางสุขภาพของไทยกับนโยบายหลักประกัน สุข ภาพถ้ว นหน้า ทังในด้า นผลกระทบที่มต่ อบุ ค ลากร และผลกระทบที่มีต่ อ ราคาค่า ้ ี รัก ษาพยาบาลและการเข้าถึงบริการที่มคุณภาพของคนไทย และส่ว นที่ 7 เป็ นการนํ าผล ี การศึกษาข้างต้นมาจัดเวทีแลกเปลี่ยนมุมมอง ความคิดเห็น และข้อเสนอแนะฝ่ายต่างๆ และ นํามาสังเคราะห์เป็ นข้อเสนอเชิงนโยบายสําหรับสภาทีปรึกษาฯ และรัฐบาล ่ ส่วนที ่ 1: ศึกษาความเป็ นมา สถานการณ์ แนวโน้ ม และการดําเนิ นการตาม นโยบายศูนย์กลางทางการแพทย์ (medical hub) ของไทย การศึก ษาในส่ว นนี้ ใ ช้ข้อ มูล จากสองส่ว นหลัก ๆ คือ การทบทวนข้อมูล จากเอกสาร (content analysis) จากหน่ วยงานต่างๆ ทีเกี่ยวข้อง ทังหน่ วยงานของภาครัฐและเอกชน ่ ้ ประกอบกับการสัมภาษณ์ เจาะลึกผู้บริหารองค์กรและหน่ วยงานที่เกี่ยวข้อง แล้วนํ ามาสรุป เพือให้ได้ทราบถึงประวัตความเป็ นมา สถานการณ์ แนวโน้ม และผลการดําเนินการของนโยบาย ่ ิ ศูนย์กลางทางการแพทย์ (medical hub) ของไทยโดยมีจุดเน้นตังแต่ปี พ.ศ.2546 เป็ นต้นมา ้ ในด้านการการทบทวนข้อมูลจากเอกสารนัน การศึกษาส่วนนี้อาศัยข้อมูลทุตยภูมจาก ้ ิ ิ หน่วยงานราชการต่างๆ โดยเฉพาะอย่างยิง กระทรวงสาธารณสุข กระทรวงพาณิชย์ และ ่ กระทรวงศึกษาธิการ (ซึงมีบทบาทกํากับโรงเรียนแพทย์) ่ และการวิเคราะห์ขอมูลของ ้ ้ ่ โรงพยาบาลเอกชนในตลาดหลักทรัพย์ท่ี specialize ในด้านการรักษาผูปวยต่างประเทศ จาก ข้อมูลทีโรงพยาบาลเหล่านันรายงานตลาดหลักทรัพย์แห่งประเทศไทย ่ ้ ในส่วนของการสัมภาษณ์ผู้บริหารโรงพยาบาลภาคเอกชนนัน ใช้วธีสมภาษณ์ เจาะลึก ้ ิ ั ่ ั ั โรงพยาบาลเอกชนสามกลุ่มคือ กลุ่มทีเน้นการให้บริการชาวต่างชาติในปจจุบน กลุ่มทีเริมขยาย่ ่ ั ั บริการด้านนี้ในระยะหลัง และกลุ่มที่ไม่ได้เน้ นการให้บริการชาวต่ างชาติในปจจุบน ในการ สัมภาษณ์ส่วนนี้ นอกจากจะครอบคลุมประเด็นทีกล่าวมาในตอนต้น และพยายามเปรียบเทียบ ่ แนวทางและวิธการดําเนินการของโรงพยาบาลทีเน้นการให้บริการชาวต่างชาติว่ามีส่วนสําคัญ ี ่ อะไรบ้างทีแตกต่างจากโรงพยาบาลเอกชนกลุ่มทีไม่ได้เน้นการให้บริการชาวต่างชาติแล้ว ยังได้ ่ ่ สอบถามถึงอุปสรรคและความต้องการความสนับสนุ นจากภาครัฐด้วย (ตัวอย่างเช่น ที่ผ่านมา ภาคเอกชนบางส่วนเห็นว่า ความช่วยเหลือของรัฐทีประกอบด้วยการจัดประชาสัมพันธ์ในทาง ่ ประเทศ รวมทัง road show ทีให้เอกชนร่วมเดินทางไปประชาสัมพันธ์ และการช่วยเหลือด้าน ้ ่ ยืดอายุวซ่าให้แก่คนไข้และญาติทตามมาดูแล ยังไม่เพียงพอทีจะสนับสนุ นให้นโยบายนี้ดาเนิน ี ่ี ่ ํ ไปได้อย่างมีประสิทธิภาพ) การศึกษารวมไปถึงโรงพยาบาลรัฐขนาดใหญ่ทเป็ นโรงเรียนแพทย์ ่ี ด้วย สําหรับการสัมภาษณ์ผูบริหารภาครัฐนัน นอกจากจะครอบคลุมประเด็นต่างๆ ข้างต้น ้ ้ แล้ว ในส่วนของผู้บริหารหน่ วยงานที่เกี่ยวข้องกับด้านสุขภาพ (เช่น กระทรวงสาธารณสุข ผูบริหารโรงเรียนแพทย์และคณะทันตแพทย์ และพยาบาล) ยังเชื่อมโยงไปถึงการกํากับดูแลใน ้ ด้ า นมาตรฐานและการคุ้ ม ครองผู้ บ ริโ ภค ด้ า นกํ า ลัง คน และผลกระทบที่มีต่ อ โครงการ 5
  • 24.
    หลักประกันสุขภาพถ้วนหน้าและโครงการประกันสังคม และภาพรวมด้านสุขภาพของประเทศ ตลอดจนความเห็นเกียวกับทิศทางแนวทางทีเหมาะสมในการพัฒนาศูนย์กลางทางการแพทย์ท่ี ่ ่ เหมาะสมและสมดุลย์สาหรับประเทศไทยด้วย ํ ส่วนที ่ 2: ศึกษาเปรียบเทียบการให้บริ การศูนย์กลางด้านสุขภาพในประเทศไทย กับประเทศอืนทีประสบความสําเร็จ และทีพยายามผลักดันโครงการ medical ่ ่ ่ hub ประเทศไทยไม่ใช่ประเทศเดียว (หรือประเทศแรก) ในภูมภาคนี้ ทีพยายามผลักดันให้ ิ ่ ประเทศตัวเองกลายเป็ น medical hub ตัวอย่างประเทศเพื่อนบ้านทีผลักดันเรื่องนี้มาก่อนและ ่ ประสบความสําเร็จพอสมควรคือ สิงคโปร์ นอกจากนี้ยงมีประเทศอื่นๆ ในภูมภาคนี้ทพยายาม ั ิ ่ี ดันตัวเองขึนมา แต่ยงไม่ประสบความสําเร็จเท่าสิงคโปร์ เช่น อินเดีย และมาเลเซีย ้ ั บทเรียนของทังประเทศทีเคยประสบความสําเร็จมาก (เช่น สิงคโปร์) และประเทศที่ ้ ่ ยังไม่ประสบความสําเร็จมากน่ าจะเป็ นประโยชน์ในการกําหนดแนวทางพัฒนา medical hub ของไทย นอกจากนี้ การทีหลายประเทศในภูมภาคพยายามดันตัวเองขึนมาเป็ น medical hub ่ ิ ้ ย่อมหมายความว่าประเทศเหล่านี้เป็ นคู่แข่งของไทยในระดับหนึ่ง การศึกษาเปรียบเทียบการ ให้บริการศูนย์กลางด้านสุขภาพในประเทศไทยกับประเทศเหล่านี้ (โดยเฉพาะอย่างยิงในทวีป ่ ั เอเชีย) ทังในด้านสภาพปญหา อุปสรรค และศักยภาพ จึงน่ าจะเป็ นประโยชน์ในการกําหนด ้ แนวทางการพัฒนาศูนย์กลางสุขภาพของไทย การศึกษาในส่วนนี้ประกอบด้วยการศึกษาพืนฐานและผลการดําเนินการของ medical ้ hub ในประเทศต่างๆ ในภูมภาคนี้ โดยการทบทวนจากเอกสารและทางอินเตอร์เน็ต รวมทังผล ิ ้ ่ี ่ ้ ั การประชุมสัมมนานานาชาติทเกียวข้อง เพื่อให้ได้เรียนรูสภาพปญหา อุปสรรค ศักยภาพ และ แผนงานในอนาคตของ medical hub ในประเทศอื่นๆ เพื่อนําบทเรียนมาเสนอแนวทางการ พัฒนาศูนย์กลางสุขภาพของไทยต่อไป ส่วนที ่ 3: ศึกษาผลกระทบด้านเศรษฐกิ จของประเทศ การศึกษาส่วนนี้ประมาณการผลกระทบของการมี medical hub ทีมต่อเศรษฐกิจของ ่ ี ประเทศ ทังในด้านรายรับ (และมูล ค่า เพิ่ม) ที่เ กิดจากการให้บ ริก ารทางการแพทย์ และใน ้ กิจกรรมทีต่อเนื่อง เช่น การท่องเทียว ทังในส่วนของผูป่วยในช่วงก่อนและหลังการรับบริการ ่ ่ ้ ้ ด้านการแพทย์ และในส่วนของญาติทเี่ ดินทางมาด้วย การประมาณการในส่วนของบริการด้านการแพทย์ คณะผูวจยได้พยายามหาข้อมูลปฐม ้ิั ภูมจากการศึกษาในส่วนอื่นๆ (เช่น ส่วนที่ 1 ในการสัมภาษณ์และขอข้อมูลจากสถานพยาบาล) ิ และข้อมูลทุติยภูมจากตลาดหลักทรัพย์ สําหรับในส่วนของกิจกรรมที่ต่อเนื่องก็ได้พยายาม ิ ประยุกต์ใช้ขอมูลจากการสัมภาษณ์ผูประกอบการและข้อมูลจากหน่ วยงานรัฐทีเกี่ยวข้อง (เช่น ้ ้ ่ ้ ั ททท.) แต่การหาข้อมูลในทังสองส่วนมีปญหาค่อนข้างมาก จึงได้หนไปใช้ตวเลขของทาง ั ั 6
  • 25.
    ราชการ (เช่น กรมส่งเสริมการส่งออกซึ่งรับรายงานจากสถานพยาบาลเอกชน การประมาณ การรายรับจากเป้าหมายของกระทรวงสาธารณสุข และการสํารวจของสํานักงานสถิตแห่งชาติ) ิ ประกอบกับข้อสมมุตต่างๆ รวมทังที่ได้จากศึกษาในส่วนอื่น (เช่น สัดส่วนของคนไข้ต่างชาติ ิ ้ ประเภทต่างๆ) และข้อสมมุตเกียวกับการเพิมขึนของคนไข้ต่างชาติภายใต้ scenario ต่างๆ ิ ่ ่ ้ เช่น Scenario 1 จํานวนคนไข้ต่างชาติมอตราเพิมในระดับทีใกล้เคียงกับในปี 2546-2548 (ตาม ี ั ่ ่ ข้อมูลทีมอยูในช่วงทีเริมศึกษา) Scenario 2 จํานวนคนไข้ต่างชาติเพิมขึนในอัตราทีสงกว่าในปี ่ ี ่ ่ ่ ่ ้ ู่ 2546-2548 (เป็ นตัวแทน scenario ทีนโยบาย medical hub ประสบความสําเร็จเป็ นอย่างสูง) ่ Scenario 3 จํานวนคนไข้ต่างชาติเพิมขึนในจํานวนคงที่ (1.3-1.4 แสนคน เท่ากับจํานวนทีเพิม ่ ้ ่ ่ ในปี 2547 และ 2548) Scenario 4 เพิมขึนในอัตราทีเท่ากับปี 2548-2550 และ Scenario 5 ่ ้ ่ เพิมขึนในอัตราครึงหนึ่งของปี 2548-2550 (เป็ นตัวแทน scenario ทีมการขยายตัวของคู่แข่งใน ่ ้ ่ ่ ี หลายประเทศ รวมทังมีโครงการตังโรงพยาบาลหลายแห่งในประเทศแถบตะวันออกกลาง และ ้ ้ อาจรวมถึงกรณีทภาครัฐมีมาตรการทีมผลชะลอการเติบโตของ medical hub) ่ี ่ ี ส่วนที ่ 4: ศึกษาผลกระทบต่อบุคลากร การศึกษาส่วนนี้จะประมาณการผลกระทบด้านบุคลากรของทังโครงการ medical hub ้ และผลทีเกิดนโยบายหลักประกันสุขภาพถ้วนหน้า โดยมีจุดเน้นทีแพทย์และทันตแพทย์ ซึงเป็ น ่ ่ ่ 6 บุคลากรทีขาดแคลนมากทีสด ่ ุ่ ก. ในด้านความต้องการบุคลากรของโครงการ medical hub จะประมาณการ personnel requirement สําหรับรักษาคนไข้ต่างชาติในอนาคต ทังนี้ การประเมินความต้องการ ้ บุคลากรสําหรับรักษาคนไข้ต่างชาติโดยเฉลี่ยนัน ใช้วธการศึกษาเจาะลึกโดยเก็บข้อมูลเวลาที่ ้ ิี แพทย์ใช้กบคนไข้ไทยและคนไข้ต่างชาติท่เป็ นคนไข้นอกในโรงพยาบาลเอกชน โดยแห่งแรก ั ี เป็ นโรงพยาบาลเอกชนที่ถือเป็ น high-end ของเครือหนึ่ง ซึ่งชาวต่างชาติท่มารับบริการส่วน ี ใหญ่ จ ะเป็ น ชาวตะวัน ตก สํา หรับ แห่ง ที่ส องเป็ น โรงพยาบาลเอกชนที่มีช าวเอเชีย ใต้แ ละ ตะวันออกกลางนิยมมาใช้บริการ ข. การประเมินความต้องการแพทย์/ทันตแพทย์ในโครงการหลักประกันสุขภาพถ้วน หน้า โดยเริมจากมาตรฐานทีมการกําหนดสําหรับโครงการ (เช่น จะต้องมีแพทย์อย่างน้อย 1 คน ่ ่ ี ต่อประชาชน 10,000 คน และทันตแพทย์ อย่างน้อย 1 คนต่อประชาชน 20,000 คน) อย่างไรก็ ตาม มาตรฐานดังกล่าวถือได้ว่าเป็ นมาตรฐานทีค่อนข้างตํ่า (เพราะตามมาตรฐานนี้ ถ้าแพทย์ ่ ทํางานสัปดาห์ละ 5 วัน และประชาชนมาพบแพทย์เฉลียปี ละ 2.5 ครัง ในแต่ละวันแพทย์คนหนึ่งก็ ่ ้ จะต้องตรวจคนไข้ถงประมาณ 100 คน ซึงพอจะอนุ มานได้ไม่ยากว่าเป็ นระดับของการตรวจรักษาที่ ึ ่ ยากทีจะทําให้มคุณภาพตามมาตรฐานอย่างคงเส้นคงวาได้) จึงหันไปอ้างอิงผลการศึกษาในอดีต ่ ี ทีน่าจะมีความสมเหตุสมผลมากกว่า ่ 6 ดูวโรจน์ ณ ระนอง และคณะ 2547 “การหมุนเวียนของบุคลากรทีให้บริการในสถานพยาบาลภาครัฐ” ิ ่ รายงานวิจยเล่มที ่ 5 โครงการติดตามประเมินผลการจัดหลักประกันสุขภาพถ้วนหน้า ระยะทีสอง (2546-47) ั ่ 7
  • 26.
    เมื่อได้ขอมูลความต้องการบุคลากรจากทังสองส่วนแล้ว คณะผูวจยได้นําไปเทียบกับ ้ ้ ้ิ ั ข้อมูลการผลิตแพทย์ และประมาณการจํานวนแพทย์และทันตแพทย์ทคาดว่าจะขาด (หรือเกิน) ่ี ้ ั ั ทังในปจจุบนและในอนาคตอันใกล้ ส่วนที ่ 5: ศึกษาผลกระทบต่อราคาของบริ การด้านสุขภาพ โดยทั ว ไปแล้ ว ในภาคบริ ก ารและสํ า หรับ สิ น ค้ า ที่ ไ ม่ มี ก ารส่ ง ออกหรื อ นํ า เข้ า ่ (nontradable goods) ราคาของสินค้าหรือบริการเหล่านันจะขึนกับอุปสงค์และอุปทานทีมอยูใน ้ ้ ่ ี ่ พื้นที่นันๆ ดังนัน เมื่อมีการเพิมอุปสงค์ (demand) ้ ้ ่ เข้ามาในระบบโดยชักนํ าคนไข้จาก ต่างประเทศเข้ามารับบริการในประเทศไทย (ในอัตราเพิมทีสูงกว่าจํานวนแพทย์ทกลับมาหรือ ่ ่ ่ี อพยพมาจากต่างประเทศ) ก็ย่อมมีโอกาสมากทีจะดึงให้ราคาค่ารักษาพยาบาลในประเทศไทย ่ สูง ขึ้น ตามไปด้ว ย อย่ า งไรก็ต าม ผลกระทบด้า นราคามีแ นวโน้ ม ที่จ ะแตกต่ า งกัน ในกลุ่ ม สถานพยาบาล ตั ว อย่ า งเช่ น ราคาค่ า รัก ษาพยาบาลน่ า จะมี แ นวโน้ ม เพิ่ ม ขึ้ น มากใน สถานพยาบาลที่เน้นการรักษาผูป่วยต่างประเทศ (ซึ่งมีกําลังซื้อเข้ามาที่โรงพยาบาลเหล่านัน ้ ้ โดยตรง) มากกว่าในโรงพยาบาลเอกชนอื่นๆ ที่ไม่ได้เน้นการรักษาผูป่วยต่างประเทศ (เช่น ้ ่ ั ั โรงพยาบาลเอกชนทีปจจุบนเน้นการให้บริการผูมสทธิ ์ประกันสังคม) หรือในสถานพยาบาลของ ้ ี ิ รัฐทีหางไกล (ซึงอาจได้รบเพียงผลกระทบทางอ้อม เช่น จากการทีรฐบาลต้องเพิมค่าตอบแทน ่ ่ ่ ั ่ั ่ เพื่อพยายามรักษาแพทย์ให้อยู่ในระบบบริการของรัฐ ซึงอาจจะมีผลต่อต้นทุนต่อ visit หรือ ่ admission ไม่มากนัก) การศึกษาส่วนนี้ทําโดยเปรียบเทียบราคาของบริการทางการแพทย์ในสถานพยาบาล กลุ่มต่างๆ ในช่วงเวลาทีเปลี่ยนไป (โดยพยายามเปรียบเทียบข้อมูลปจจุบนกับเมื่อประมาณ 5 ่ ั ั ปี ก่ อ น หรือ ปี ล่ า สุด ที่มีข้อมูลย้อนกลับไป) โดยพยายามศึกษาอัตราเพิมของค่าบริการของ ่ โรงพยาบาลเอกชนกลุ่มทีหนมาเน้นการรักษาผูป่วยต่างประเทศ กับอัตราเพิมของค่าบริการของ ่ ั ้ ่ โรงพยาบาลเอกชนกลุ่มทีไม่ได้เน้นการรักษาผูปวยต่างประเทศ ่ ้ ่ ในส่วนของโรงพยาบาลเอกชน ทังกลุ่มที่เน้นการรักษาผูป่วยต่างประเทศ และกลุ่มที่ ้ ้ ไม่ ไ ด้เ น้ น การรัก ษาผู้ป่ ว ยต่ า งประเทศ คณะผู้วิจ ัย ใช้วิธีข อความร่ ว มมือ ด้า นข้อ มู ล จาก สถานพยาบาล (จากโรงพยาบาลเอกชนสองกลุ่มหลักที่เน้ นการให้บริการชาวต่ างชาติ และ โรงพยาบาลเอกชนอีกสองกลุ่มทีไม่ได้เน้นการให้บริการชาวต่างชาติ) และพยายามนําข้อมูลที่ ่ โรงพยาบาลรายงานให้ตลาดหลักทรัพย์มาคํานวณเป็ นดัชนีราคาค่าบริการถ่วงนํ้ าหนักอีกทาง หนึ่ง ในการเปรียบเทียบราคาค่าบริการนัน คณะผูวจยได้พยายามหาข้อมูลด้วยสองวิธคอ ้ ้ิั ี ื วิธแรก เพื่อทีจะหลีกเลียงความผันแปรทีเกิดจากการทีคนไข้แต่ละรายมีความหนักเบา ี ่ ่ ่ ่ ของโรคทีแตกต่างกันไป คณะผูวจยได้สอบถามข้อมูลจากสถานพยาบาลถึงค่าใช้จายสําหรับการ ่ ้ิั ่ รักษาประมาณ 5 โรค โดยเลือกจากโรคทีมกระบวนการรักษาทีค่อนข้างคงที่ และมีค่าใช้จ่ายใน ่ ี ่ ส่วนทีเป็ นค่ายาไม่สูงมาก หรือไม่ผนแปรตามแต่ละเคสมากนัก (เช่น การคลอดโดยวิธผ่าตัด ่ ั ี 8
  • 27.
    คลอด การผ่าตัดไส้ติ่ง การผ่าตัดไส้เลื่อนการผ่าตัดถุ งนํ้ าดี และการผ่าตัดเปลี่ยนข้อเข่า ทัง หมดนี้ คิด เฉพาะกรณี ท่ีไ ม่ มีโ รคแทรกซ้อ น) 7 เพื่อ มาดู ว่ า ค่ า ใช้จ่ า ยรวมในแต่ ล ะกรณี ใ น ้ สถานพยาบาลแต่ละประเภท (เช่น การคลอดปกติทนอนโรงพยาบาล 2 คืน) เปลียนแปลงไป ่ี ่ มากน้อยเพียงใดในช่วงประมาณ 5 ปี ทผานมา ่ี ่ วิธทสอง ใช้การหารายรับเฉลียจากต่อคนไข้ (ต่อ visit หรือต่อ admission) โดยในกรณี ี ่ี ่ โรงพยาบาลเอกชนทังสองกลุ่ม พยายามสกัดข้อมูลบัญชีในภาพรวมของโรงพยาบาลจากข้อมูล ้ รายงานของโรงพยาบาลที่ส่ง ให้ต ลาดหลัก ทรัพ ย์ โดยทัง สองวิธีจ ะพยายามเปรีย บเทีย บ ้ โรงพยาบาลในตลาดหลัก ทรัพ ย์ ก ลุ่ ม ที่ เ น้ น การขยายตัว รองรับ ผู้ป่ ว ยชาวต่ า งชาติ กับ ้ ่ โรงพยาบาลเอกชนทีอยูในตลาดหลักทรัพย์แต่เน้นผูปวยภายในประเทศในเขตกรุงเทพมหานคร ่ ่ และปริมณฑล ส่วนที ่ 6: ศึกษาผลกระทบต่อการเข้าถึงบริ การทีมีคณภาพของคนไทย ่ ุ การมี medical hub มีโอกาสทีจะส่งผลกระทบในทังสองด้าน กล่าวคือ การปรับตัวของ ่ ้ สถานพยาบาลของไทยเพื่อ รับ คนไข้ต่ า งชาติย่อ มทํา ให้ส ถานพยาบาลจํา นวนหนึ่ ง พัฒ นา มาตรฐานไปสู่ระดับสากลได้มากขึน ซึ่งน่ าจะช่วยให้ผูป่วยชาวไทยทีมกําลังทรัพย์มากพอทีจะ ้ ้ ่ ี ่ แข่งขันกับกําลังซื้อจากต่างประเทศและยังสามารถไปใช้บริการจากสถานพยาบาลเหล่านันมี ้ โอกาสได้รบบริการทีมคณภาพมาตรฐานสูงขึน ั ่ ีุ ้ ในขณะเดียวกัน ค่าใช้จ่ายที่ (คาดกันว่าจะ) มีแนวโน้มทีเพิมขึนอย่างรวดเร็ว ก็อาจจะ ่ ่ ้ ทํา ให้คนไทยจํ านวนไม่ น้ อยที่เคยเข้าถึงบริการเหล่ านั น ไม่ มีกํ าลังทรัพย์พอที่จะใช้บริการที่ ้ สถานพยาบาลเดิมหรือในระดับเดิมได้อกต่อไป และต้องหันไปหาบริการทีสถานพยาบาลระดับ ี ่ รองลงมาทีคงมีราคาแพงขึนเช่นกัน (แต่ยงไม่แพงเท่าสถานพยาบาลกลุ่มแรก) และอาจมีผลต่อ ่ ้ ั กันไปเป็ นลูกโซ่ สําหรับคนไทยส่วนใหญ่ทมรายได้กระจุกกันอยูทดานล่าง ซึงคงต้องหันไปพึงบริการ ่ี ี ่ ่ี ้ ่ ่ ของโครงการหลักประกันสุขภาพถ้วนหน้า (รวมทังประกันสังคม และสวัสดิการข้าราชการ) มาก ้ ขึน ในขณะทีแพทย์ทมทกษะสูงถูกดึงดูดไปสูภาคทีมกาลังซือสูงจากต่างประเทศมากขึนนัน ก็ ้ ่ ่ี ี ั ่ ่ ีํ ้ ้ ้ ย่อมทําให้คนส่วนใหญ่ของประเทศมีโอกาสทีจะได้รบบริการทีมคุณภาพตํ่าลง ่ ั ่ ี (หรืออาจจะ เข้าถึงยากขึนและได้รบการดูแลในเวลาทีจากัดขึน ซึงผลกระทบในส่วนนี้มโอกาสทีจะเป็ นปญหา ้ ั ่ํ ้ ่ ี ่ ั ใหญ่กว่าทีคนทัวไปคิด เพราะคนไข้ต่างประเทศทีเข้ามาหนึ่งคนอาจใช้เวลาของแพทย์เป็ นสิบ ่ ่ ่ หรือหลายสิบเท่าของเวลาทีแพทย์ใช้ตรวจคนไข้ในโครงการหลักประกันสุขภาพถ้วนหน้าหรือใน ่ 8 โครงการประกันสังคม) และถ้าจะรักษาคุณภาพการรักษาพยาบาลของโครงการเหล่านี้ (หรือ 7 ในโรงพยาบาลแห่งหนึ่งรายงานข้อมูลค่าใช้จ่ายการผ่าตัดริดสีดวงทวาร ซึ่งก็เป็ นหัตถการทีมคุณลักษณะที่ ่ ี ใกล้เคียงกับกรณีทเี่ หลือ 8 เป็ นไปได้วา ในสภาวะการณ์ทเี่ ปลียนแปลงไปนี้ จะก่อให้เกิดการ “ปฏิรป” และเปลียนแปลงกระบวนทัศน์ ่ ่ ู ่ ่ี ่ เช่น คนไข้ทมาโรงพยาบาลโดยไม่ได้ปวยหนักอาจจะได้พบพยาบาลเวชปฏิบตแทนการพบแพทย์ หรืออาจมี ั ิ 9
  • 28.
    ยกระดับคุณภาพมาตรฐานให้ทดเทียมหรือใกล้เคียงกับสถานพยาบาลใน medical hub)ก็คงมี ั ความจําเป็ นต้องปรับเพิมค่าใช้จายในด้านการรักษาพยาบาล (โดยเฉพาะอย่างยิงในส่วนของ ่ ่ ่ ค่าตอบแทนแพทย์) ของทังโครงการหลักประกันสุขภาพถ้วนหน้าและโครงการประกันสังคมใน ้ อัตราทีสงขึนและเร็วขึนกว่าในกรณีทไม่มโครงการนี้เป็ นอย่างมาก ู่ ้ ้ ่ี ี นอกจากนี้ การขยายตัวและการยกระดับคุณภาพมาตรฐานของ medical hub ซึงย่อมมี ่ ส่ว นที่ใ ห้บ ริก ารคนไทยด้ว ยนัน ย่อ มมีโ อกาสที่จ ะเพิ่ม ความแตกต่ า งในด้า นมาตรฐานการ ้ ั ั ี รักษาพยาบาล (ซึ่งปจจุบนก็มความเป็ นทวิและพหุมาตรฐานอยู่แล้ว) ขึนไปอีก รวมทังความ ้ ้ นิ ย มในการใช้เ ทคโนโลยีแ ละยาใหม่ๆ ที่มีร าคาแพง (รวมทัง เทคโนโลยีแ ละยาที่ย ง อยู่ใ น ้ ั ขันทดลอง หรือเทคโนโลยีและยาที่ผ่านการพิสูจน์ผลในด้านการรักษามาพอสมควรแล้ว แต่มี ้ ต้นทุนทีสงเมื่อเทียบกับระดับรายได้ของคนไทย) ซึงอาจส่งผลให้เกิดแนวโน้มการเรียกร้องสิทธิ ์ ู่ ่ ในการใช้เทคโนโลยีและยาราคาแพงในโครงการหลักประกันสุขภาพถ้วนหน้ าและโครงการ ั ประกันสังคมเพิมขึ้น และส่งผลกระทบต่อค่าใช้จ่ายหรือปญหาในการบริหารจัดการโครงการ ่ เหล่านี้ตามมา เนื่ องจากการวัดประโยชน์ ท่ีคนไทยจะได้รบจากการปรับ ตัวและปรับมาตรฐานของ ั สถานพยาบาลต่ างๆ ทําได้ค่อนข้างยาก (และการวัดเฉพาะประโยชน์ เฉพาะจากผู้ท่ีได้รบ ั ประโยชน์ โดยไม่ได้วดความสูญเสียของผูท่ถูกผลักดันออกไปจากสถานพยาบาลที่เขาเคยใช้ ั ้ ี ด้วยอุปสรรคด้านการเงิน ก็คงจะไม่ใช่วธวดทีดนัก) การวัดทีน่าจะเป็ นเครื่องชีทดในกรณีจงน่าจะ ิีั ่ ี ่ ้ ่ี ี ึ เป็ น การวัด ผลกระทบของโครงการนี้ ท่ีมีต่ อ คุ ณ ภาพและการเข้า ถึ ง ในส่ ว นของโครงการ หลักประกันสุขภาพถ้วนหน้า (รวมประกันสังคม) ทีเปลียนแปลงไปจากการมี medical hub (ไม่ว่า ่ ่ จะเป็ นทางบวกหรือลบ) มากกว่า แต่ กรณีดงกล่ า วน่ า จะเป็ นการศึกษาที่มีความสําคัญมาก ั พอทีจะแยกเป็ นการศึกษาต่างหาก (อีกทังยังยากทีจะแยกความเปลียนแปลงทีเกิดจากตัวแปร ่ ้ ่ ่ ่ ้ ั อื่นออกไปด้วย) ดังนัน ด้วยปญหาข้อจํากัดต่างๆ ทีกล่าวมาข้างต้น การศึกษาในส่วนนี้จงใช้วธี ่ ึ ิ การศึกษาในเชิงคุณภาพ โดยพยายามประมวลให้เห็นภาพความเปลียนแปลงในด้านบุคลากรในส่วน ่ ของแพทย์ผู้เชี่ยวชาญในโรงเรียนแพทย์และสถานพยาบาลตติยภู มิเฉพาะทางของรัฐ โดย สัมภาษณ์ผูบริหารโรงเรียนแพทย์ (เช่น โรงพยาบาลศิรราช และโรงพยาบาลรามาธิบดี) และใน ้ ิ โรงพยาบาลตติยภูมเฉพาะทางของรัฐ (สถาบันโรคทรวงอก) ซึ่งการศึกษาส่วนนี้จะช่วยเสริมผล ิ การศึกษาในตอนที่ 5 (ทีเป็ นการศึกษาเรื่องบุคลากรในเชิงปริมาณ) อีกทางหนึ่ง ผลการศึกษาใน ่ สองส่วนนี้ ประกอบกับผลกระทบในด้านราคา (จากส่วนที่ 5) และผลต่อเศรษฐกิจของประเทศ (จากส่วนที่ 4) น่ าจะช่วยให้เห็นภาพรวมของผลกระทบของโครงการ medical hub ทังทีได้ ้ ่ ั ั ดําเนินการจนประสบความสําเร็จพอสมควรในปจจุบนแล้ว กับแนวโน้มในอนาคต เพื่อจะเป็ น ข้อมูลพืนฐานให้ฝ่ายต่างๆ ได้พจารณาต่อไปว่าการที่จะทําให้เกิด (หรือรักษา) สมดุลระหว่าง ้ ิ การหันมาใช้ระบบนัดตรวจล่วงหน้า หรือการใช้การปรึกษาทางโทรศัพท์มากขึน ฯลฯ การปฏิรปเหล่านี้คงมี ้ ู ส่วนช่วยลดต้นทุนและทําให้ cost effective มากขึน แต่กมโอกาสทีตองเสียสละ “คุณภาพ” ลงบางส่วนเช่นกัน ้ ็ ี ่ ้ 10
  • 29.
    ผลกระทบในด้านต่างๆ ของการมี medicalhub ทีผานมา (และ/หรือทีกําลังจะเกิดขึนในอนาคต ่ ่ ่ ้ อันใกล้) นัน ควรต้องมีการปรับเปลียนนโยบายหรือมาตรการต่างๆ หรือไม่เพียงใด ้ ่ ส่วนที ่ 7: กระบวนการและเวทีระดมความเห็นเพือเสาะหาทางออกและมาตรการที ่ ่ เหมาะสม จากการวิเคราะห์ในเชิงทฤษฎีประกอบกับ ข้อมูลที่คณะผู้วิจยมีอยู่ในขันต้น ก็ช้ีไป ั ้ ในทางทีว่าน่ าจะมีความขัดแย้งระหว่างนโยบาย medical hub กับนโยบายหลักประกันสุขภาพ ่ ถ้วนหน้าในระดับหนึ่ง แต่ในสังคมทีมความหลากหลายและให้ความสําคัญกับทุกฝ่ายนัน การ ่ ี ้ จัดการกับความขัดแย้งของนโยบายไม่ได้หมายความว่าจะต้องเลือกเอาอันเดียวเสมอไป (แต่ก็ ไม่ใช่ปล่อยนโยบายที่ขดแย้งกันดําเนินไปอย่างเสรีทงคู่หรือตามกําลังความสามารถในการ ั ั้ ่ แข่งขันหรือผลักดันของแต่ละฝาย) ดังนัน นอกจากการศึกษานี้จะมีสวนที่ 1 ซึงเป็ นการศึกษา ้ ่ ่ เชิงคุณภาพทีเจาะลึกไปถึงความต้องการ มุมมอง และข้อเสนอแนะของฝายต่างๆ (รวมทังผูทมี ่ ่ ้ ้ ่ี ส่วนได้ส่วนเสียด้วย) แล้ว ยังได้มกระบวนการแลกเปลียนมุมมองและความเห็นของฝายต่างๆ ี ่ ่ ในช่วงท้ายของการศึกษาอีกรอบหนึ่ง เพื่อเป็ นเวทีท่นําความเห็นและข้อเสนอแนะต่างๆ มา ี อภิปรายแลกเปลียนกัน และนําไปสูการหาทางออกและมาตรการทีเหมาะสม (และบางกรณีอาจ ่ ่ ่ ่ ่ ่ เป็ น win-win solution สําหรับทุกฝายทีเกียวข้อง) ตัวอย่างเช่น ทฤษฎีทางเศรษฐศาสตร์บ่งชี้ ว่า ผลกระทบของ medical hub ทีมต่อการขาดแคลนแพทย์และราคาค่ารักษาพยาบาลอาจจะ ่ ี ้ ่ บรรเทาลงได้ถานอกจากเราจะนําผูปวยเข้ามาแล้ว เรายัง “นําเข้า” แพทย์เข้ามาช่วยรักษาผูปวย ้ ้ ่ เหล่านันด้วย ซึ่งการที่จะหาทางออกทํานองนี้ได้ก็จะต้องมีการแก้ไขกฎกติกาโดยคํานึงถึง ้ ผลกระทบทังในระยะสันและระยะยาวสําหรับฝ่ายต่างๆ ที่เกี่ยวข้องอย่างกว้างขวาง หรือจาก ้ ้ การศึกษาในอดีตของคณะผูวจยพบว่าในแต่ละปีจะมีนกศึกษาทันตแพทย์ปี 1 ลาออกไปสอบเข้า ้ิั ั มหาวิทยาลัยใหม่ ทําให้คณะทันตแพทย์ส่วนใหญ่ผลิตทันตแพทย์ได้น้อยกว่าศักยภาพจริงของ ตน ซึ่งถ้ามีกระบวนการที่ทําให้ฝ่ายต่างๆ ที่เกี่ยวข้องในระบบมหาวิทยาลัยสามารถโยกย้าย นักศึกษาทีจบปี 1 จากคณะอื่นทีเรียนคล้ายกันมาเรียนต่อแทน ก็จะทําให้สามารถผลิตทันต ่ ่ แพทย์เพิมขึนได้ไม่น้อยในแต่ละปี เป็ นต้น การศึกษาที่พยายามเข้าถึงมุมมองของฝ่ายต่างๆ ่ ้ และจะทําให้ผทเกียวข้อง (เช่น รัฐบาล แพทยสภา มหาวิทยาลัย โรงเรียนแพทย์ หรือแม้กระทัง่ ู้ ่ี ่ ราชวิทยาลัยฯ ต่างๆ) รวมทังมีกระบวนการและเวทีแลกเปลียนความคิดเห็น จึงน่ าจะมีสวนช่วย ้ ่ ่ ให้มการปรับนโยบายและเครื่องมือทีเกียวข้องเพื่อให้การพัฒนาศูนย์กลางสุขภาพของประเทศไทย ี ่ ่ สามารถดําเนินไปได้อย่างสมดุลย์กบบริบทของประเทศ และไม่กลายเป็ นนโยบายที่ไปสร้าง ั ค ว า ม ไ ม่ ส ม ดุ ล ย์ ใ ห้ ข ย า ย ตั ว จ น ก่ อ ใ ห้ เ กิ ด ผ ล ก ร ะ ท บ ด้ า น ล บ ที่ รุ น แ ร ง ต่ อ ร ะ บ บ สุขภาพของประเทศและสุขภาวะของประชาชน 11
  • 30.
    การสังเคราะห์ข้อเสนอแนะ หลังจากทีได้ดาเนินการศึกษาในทุกส่วนและผ่านกระบวนการระดมและแลกเปลียน ่ ํ ่ ความคิดเห็นกันแล้ว คณะผูวจยได้นํามาสังเคราะห์เป็ นข้อสรุปและข้อเสนอแนะในการปรับปรุง ้ิั แนวนโยบายและทิศทางและแนวทางทีเหมาะสมสําหรับการพัฒนาศูนย์กลางสุขภาพของ ่ ประเทศไทย (Thailand Medical Hub) ทีมความสมดุลย์ในบริบทใหญ่ของประเทศทีมนโยบาย ่ ี ่ ี หลักประกันสุขภาพถ้วนหน้าทีระบบบริการสุขภาพของภาครัฐจะยังคงมีบทบาททีสาคัญ (และ ่ ่ํ เชื่อมโยงไปถึงนโยบายอื่นๆ ทีเกียวข้องอีกด้วย เช่น การผลิตบุคลากร และแนวทางการออก ่ ่ ใบอนุญาตประกอบโรคศิลปะให้กบแพทย์ต่างชาติสาหรับให้บริการชาวต่างประเทศ) ั ํ 1.6 ผลที่คาดว่าจะได้รบ ั 1. ได้ทราบถึงสถานการณ์ แนวโน้ม และผลการดําเนินการของนโยบายศูนย์กลาง ทางการแพทย์ (medical hub) และนโยบายด้านสุขภาพอื่นๆ ทีเกียวข้อง เพื่อนํามาปรับปรุง ่ ่ การดําเนินนโยบายศูนย์กลางสุขภาพให้มความเหมาะสมและเกิดประโยชน์สงสุดต่อไป ี ู ั 2. ได้ทราบถึงสภาพปญหา อุปสรรค และศักยภาพ ในการดําเนินนโยบายศูนย์กลางด้าน สุขภาพของประเทศอื่นๆ เพือนํามากําหนดแนวทางการพัฒนาศูนย์กลางสุขภาพของไทย ่ 3. ได้ขอสรุปและข้อเสนอแนะในการปรับปรุงแนวนโยบายศูนย์กลางทางการแพทย์ ้ (medical hub) ของไทยในบริบททีมความสัมพันธ์และสมดุลย์กบนโยบายหลักประกันสุขภาพ ่ ี ั ถ้วนหน้า และนโยบายทีเกียวข้องอื่นๆ ่ ่ 4. ข้อสรุปและข้อเสนอแนะในการปรับปรุงแนวนโยบายและทิศทางและแนวทางของการ ดําเนินนโยบายศูนย์กลางทางการแพทย์ ทีเชื่อมโยงไปถึงนโยบายด้านสาธารณสุข (โดยเฉพาะอย่าง ่ ยิงในด้านกําลังคน) ่ 1.7 เนื้ อหาของรายงาน รายงานฉบับนี้ประกอบด้วย 7 ตอน โดยในตอนแรกเป็ นบทนํา ซึงกล่าวถึงหลักการและ ่ เหตุ ผ ล วัต ถุ ป ระสงค์ข องโครงการ ขอบเขตการศึก ษา ระยะเวลา วิธีก ารดํ า เนิ น งาน วิธี การศึกษาโดยละเอียด และผลทีคาดว่าจะได้รบจากการศึกษานี้ ตอนที่ 2 นําเสนอความเป็ นมา ่ ั สถานการณ์ แนวโน้ม และผลการดําเนินการของนโยบายศูนย์กลางทางการแพทย์ (medical hub) ของไทยตังแต่ปี พ.ศ. 2546 เป็ นต้นมา ตอนที่ 3 ศึกษาเปรียบเทียบการให้บริการ ้ ศูนย์กลางด้านสุขภาพในประเทศไทยกับประเทศเพื่อนบ้านทีมการดําเนินการด้าน medical ่ ี tourism ตอนที่ 4 เป็ นการประมาณการผลกระทบด้านเศรษฐกิจของประเทศ ทังในด้านรายรับ ้ (และมูลค่าเพิม) ทีเกิดจากการให้บริการทางการแพทย์ และในกิจกรรมทีต่อเนื่องด้านทีพกและ ่ ่ ่ ่ ั การท่องเทียว ตอนที่ 5 เป็ นการศึกษาด้านผลกระทบทีมต่อบุคลากร ตอนที่ 6 พิจารณาถึง ่ ่ ี 12
  • 31.
    ผลกระทบต่อราคาค่ารักษาพยาบาลและการเข้าถึงบริการทีมคุณภาพของคนไทย และตอน ่ ี สุดท้าย (ตอนที่ 7) เป็ นการสรุปผลการศึกษาและข้อเสนอแนะทังทีคณะผูวจยรวบรวมมาได้ ้ ่ ้ิั จากการศึกษาในช่วงทีผานมา และแนวทางพัฒนาทีเสนอโดยคณะผูวจย ่ ่ ่ ้ิั เอกสารอ้างอิง กระทรวงสาธารณสุข. 2546. แผนยุทธศาสตร์การพัฒนาให้ประเทศไทยเป็ นศูนย์กลาง สุขภาพแห่งเอเชีย(พ.ศ.2547-2551). ค้นวันที่ 19 มิถุนายน. จาก http://www.moph.go.th/ops/spa/center%20health%20ASIA.ppt วิโรจน์ ณ ระนอง. 2541. การคุ้มครองผู้บริ โภคในด้านการรักษาพยาบาลในโรงพยาบาล เอกชน. โครงการวิจยเพือจัดทําแผนแม่บทกระทรวงพาณิชย์ 2540-2550. กรุงเทพ: ั ่ สถาบันวิจยเพือการพัฒนาประเทศไทย. (รายงานฉบับแก้ไข) ั ่ 13
  • 32.
  • 33.
    2. ความเป็ นมาสถานการณ์ แนวโน้ ม และการดําเนินการตามนโยบาย ศูนย์กลางทางการแพทย์ (medical hub) 2.1 ประวัติความเป็ นมา นโยบายศูนย์กลางทางการแพทย์ (medical hub) ของไทย เป็ นนโยบายทีประกาศใช้ ่ โดยรัฐบาลทีนําโดยพรรคไทยรักไทยเมื่อปี พ.ศ. 2546 อย่างไรก็ตาม จุดเริมของนโยบายนี้มา ่ ่ จากการขยายตัวของการท่องเทียวเชิงการแพทย์ (medical tourism) หรือเชิงสุขภาพ (health ่ ่ ้ ู้ ่ tourism) ซึงเกิดขึนในหลายประเทศ โดยมีการจัดให้ผปวยไปรับบริการด้านการแพทย์หรือด้าน สุขภาพในประเทศอื่น ทีมบริการทีมคุณภาพสูงกว่าและ/หรือมีค่าใช้จ่ายตํ่ากว่า หรือเสียเวลารอ ่ ี ่ ี คิวน้อยกว่า และในบางกรณีกมการผสมผสานบริการด้านการรักษาพยาบาลและการพักฟื้ นกับ ็ ี การท่องเทียวด้วย ่ การทีประเทศไทยเป็ นแหล่งท่องเทียวทีเป็ นทีนิยมของชาวต่างชาติ และเป็ นประเทศที่ ่ ่ ่ ่ เปิ ดโอกาสให้ชาวต่างชาติเข้ามาลงทุนและทํางานอย่างกว้างขวาง ทําให้สถานพยาบาลใน ประเทศไทยหลายแห่งมีประสบการณ์กบการรักษาชาวต่างชาติอยู่แล้ว ประกอบกับประเทศ ั ไทยมีแพทย์ทไปศึกษาต่อในต่างประเทศจํานวนมาก แพทย์ไทยจํานวนไม่น้อยจึงมีศกยภาพใน ่ี ั การรักษาพยาบาลชาวต่างประเทศและนักท่องเทียวอยูแล้ว ่ ่ แต่จุดเปลียนทีสาคัญของการขยายการท่องเทียวเชิงการแพทย์ (medical tourism) ใน ่ ่ ํ ่ ประเทศไทยเกิดขึนหลังปี 2540 จากความพยายามของภาคเอกชนเพื่อแก้ปญหาผลกระทบจาก ้ ั ภาวะเศรษฐกิจฟองสบู่แตกในปี 2540 กล่าวคือ ในช่วงที่ประเทศไทยอยู่ในภาวะฟองสบู่นัน ้ โรงพยาบาลเอกชนของไทย ก็คล้ายกับธุรกิจเอกชนอื่นๆ ทีได้มการลงทุนด้านการก่อสร้างและ ่ ี ขยายกิจการอย่างขนานใหญ่ โดยในระหว่างปี 2534-2542 มีการขยายจํานวนเตียงจาก 14,927 เพิมเป็ น 40,825 เตียง หรือเพิมขึนร้อยละ 173.5 (ในบางปี เช่น ปี 2535 มีอตราเพิมขึน ่ ่ ้ ั ่ ้ ถึงร้อยละ 47 ในชัวระยะเวลาเพียงปี เดียว) (กระทรวงสาธารณสุข 2546) หลังฟองสบู่แตก ่ ั โรงพยาบาลเอกชนหลายแห่งก็ประสบปญหาอัตราการครองเตียง (Bed Occupation Rate) ที่ ตํ่าลงมากและมีภาวะเตียงว่างจํานวนมาก (โดยเฉพาะอย่างยิง โรงพยาบาลเอกชนที่ถอได้ว่า ่ ื เป็ นกลุ่ม high-end เนื่องจากกลุ่มที่เคยเป็ นลูกค้าหลักมีรายได้ลดลง จึงหันไปรับบริการ รักษาพยาบาลที่อ่น) โรงพยาบาลเหล่านี้จงพยายามปรับตัวโดยการหาลูกค้าจากประเทศที่มี ื ึ ่ ุ่ กําลังซือสูง (เช่น ญีปน ยุโรป และตะวันออกกลาง) เข้ามาเสริม ้ ในส่ ว นของภาครัฐ นั น เนื่ อ งจากในช่ ว งฟองสบู่ ป ระเทศไทยมีป ญ หาขาดดุ ล บัญ ชี ้ ั เดินสะพัดในอัตราที่สูงติดต่อกันมานานหลายปี หลังจากฟองสบู่แตก รัฐบาลจึงได้พยายาม ผลักดันให้มการส่งออกเพิมขึน ซึ่งนอกจากการส่งออกสินค้า (และแรงงาน) ไปต่างประเทศแล้ว ี ่ ้ กรมส่งเสริมการส่งออก กระทรวงพาณิชย์ ยังหันมาสนใจการหารายได้เข้าประเทศจากบริการ ด้านสาธารณสุข ซึงทีผานมาสาธารณสุขของไทยก็มช่อเสียงเป็ นทีรจกกันดีในระดับภูมภาคอยู่ ่ ่ ่ ี ื ่ ู้ ั ิ แล้ว (เช่น ในประเทศเพื่อนบ้าน ประเทศในแถบเอเชียใต้ และตะวันออกกลาง) ให้มการขยาย ี 15
  • 34.
    บริการในรูปของ medical tourismทีมการนําคนไข้จากประเทศทีมกําลังซือสูงมารับบริการทาง ่ ี ่ ี ้ การแพทย์และสุขภาพในประเทศไทย และดึงดูดผูท่เกษียณอายุมาตังถินฐานในประเทศไทย ้ ี ้ ่ (วิโรจน์ ณ ระนอง 2541) ในช่ ว งรัฐ บาลต่ อ มา (รัฐ บาลทัก ษิณ ) ถึง แม้ว่ า ภาวะวิก ฤติข องโรงพยาบาลเอกชน โดยรวมจะบรรเทาลง และในปี 2544 รัฐบาลได้ขยายหลักประกันสุขภาพให้ครอบคลุมคนไทย ทังประเทศ ผ่านโครงการ “30 บาทรักษาทุกโรค” (ซึ่งมีผลทําให้มการใช้บริการด้านการ ้ ี รัก ษาพยาบาลเพิ่มขึ้นอย่างมีนัยสําคัญ) แล้ว รัฐบาล (โดยทังกระทรวงพาณิ ชย์และกระทรวง ้ สาธารณสุข) ยังคงผลักดันนโยบายการพัฒนาและสนับสนุ นประเทศไทยให้เป็ นศูนย์กลางทาง การแพทย์ในภูมภาค (medical hub) ในปี 2546 รัฐบาลประกาศนโยบายทีจะผลักดันให้ ิ ่ ประเทศไทยเป็ นศูนย์กลางของการบริการทางด้านการแพทย์ (medical hub) และเป็ นศูนย์กลาง ของการบริการทางด้านสุขภาพ (health hub) ทีให้บริการด้านการสร้างเสริมสุขภาพและบริการ ่ อื่นๆ (เช่น สปา) และผลิตภัณฑ์สขภาพ (เช่น สมุนไพร) ให้แก่ชาวต่างชาติ เพื่อดึงดูดให้คนจาก ุ ทัวโลกเข้ามาใช้บริการในประเทศไทยและเป็ นทางหนึ่งทีจะนํารายได้เข้าประเทศ ่ ่ ทังนี้ ในการดําเนินการของภาครัฐ ได้มการประชุมเพื่อจัดทําแผนพัฒนาประเทศไทย ้ ี เป็ นศูนย์กลางด้านการแพทย์สาธารณสุขของเอเชีย (Medical Hub of Asia) ในเดือนพฤษภาคม 2546 โดยมีคณะทํางานจาก 4 กระทรวงหลัก ประกอบด้วย กระทรวงสาธารณสุข กระทรวงการ ท่องเที่ยวและกีฬา กระทรวงการคลัง และกระทรวงพาณิชย์ รวมถึงโรงพยาบาลและธุรกิจที่ เกี่ยวข้อง โดยที่กระทรวงสาธารณสุขเป็ นกลไกหลักในการผลักดันนโยบาย นโยบายนี้ได้ถูก กําหนดเป็ นแผนยุทธศาสตร์ 5 ปี (2547-2551) ภายใต้หลักการและเหตุผลว่าโครงการ 30 บาท รักษาทุกโรค ส่งผลให้บริการสาธารณสุขกระจายทัวถึงทังประเทศ ทําให้โรงพยาบาลเอกชนทีมี ่ ้ ่ ขีดความสามารถเหลือเป็ นโอกาสทีจะพัฒนาบริการและสิงอํานวยความสะดวกทางด้านบริการ ่ ่ การแพทย์และสุขภาพโดยยกระดับมาตรฐานคุณภาพสูสากล แล้วไปนําเสนอในต่างประเทศได้ ่ เพือเป็ นแหล่งรายได้ใหม่ทมประสิทธิภาพและขยายตัวได้อย่างต่อเนื่องให้กบประเทศ (กระทรวง ่ ่ี ี ั สาธารณสุ ข 2546) ทัง นี้ ได้มีก ารมอบหมายให้ก รมสนั บ สนุ น บริก ารสุ ข ภาพ กระทรวง ้ สาธารณสุข เป็ นผูรบผิดชอบด้านผลิตภัณฑ์ (product) ้ั โดยแยกประเภทของผลิตภัณฑ์ ออกเป็ นสามประเภทคือ • การบริการด้านการแพทย์ (Medical Service) เน้นการรักษาพยาบาลในระดับสูง โดยนํ าเสนอแง่ความเป็ นเลิศในการบริการทางการแพทย์ท่ดท่สุดในเอเชีย เช่น ี ี ี การผ่าตัดรักษามะเร็ง การรักษาโรคหัวใจ การรักษาด้านทันตกรรม • การบริการด้านสุขภาพ (Health Service) เช่น การเสริมสวย สปา นวดแผนไทย การท่องเทียวเชิงสุขภาพ ่ • ผลิตภัณฑ์สุขภาพและสมุนไพร (Herbal Products) เช่น เครื่องสําอาง อาหารเสริม โดยเน้นทีผลิตภัณฑ์สมุนไพร ่ 16
  • 35.
    โดยมีจุดเน้นอยูทบริการประเภทแรก คือ การบริการด้านการแพทย์(Medical Service) ่ ่ี โดยได้กําหนดวิสยทัศน์ให้ประเทศไทยเป็ นศูนย์กลางการแพทย์ของเอเชีย (Thailand: The ั Excellent Medical Hub of Asia) ภายใน 5 ปี (พ.ศ. 2551)9 (กระทรวงสาธารณสุข 2546) และ ทางกระทรวงสาธารณสุขได้จดทําประมาณการเป้าหมายรายได้ของแต่ละผลผลิตดังตาราง ั ต่อไปนี้ ตารางที่ 2.1 ประมาณการเป้ าหมายรายได้ของแต่ละผลผลิ ต (หน่วย: ล้านบาท) ประเภทธุรกิ จ 2547 2548 2549 2550 2551 รวม รักษาพยาบาล 19,635 23,100 27,433 32,898 39,833 142,899 ส่งเสริมสุขภาพ 4,996 6,754 9,185 12,492 16,989 50,419 ผลิตภัณฑ์สขภาพ ุ 1,500 2,000 3,000 4,000 7,000 17,500 รวม 26,131 31,845 39,618 49,390 63,822 210,815 ทีมา: กระทรวงสาธารณสุข (2546) ่ ในด้านงบประมาณในการจัดการนัน ตามมติคณะรัฐมนตรีเมื่อวันที่ 19 มิถุนายน 2547 ้ (สํานักเลขาธิการคณะรัฐมนตรี 2547) ได้มการจัดสรรงบประมาณตามแผนยุทธศาสตร์การ ี พัฒนาประเทศไทยเป็ นศูนย์กลางสุขภาพเอเชียและแผนยุทธศาสตร์การพัฒนาอุตสาหกรรม สมุนไพร ของกระทรวงสาธารณสุข โดยมีการเห็นชอบในหลักการกรอบวงเงินงบประมาณ รายจ่ายของแผนยุทธศาสตร์การพัฒนาประเทศไทยเป็ นศูนย์กลางสุขภาพเอเชียในระหว่างปี 2547-2551 รวมเป็ นจํานวน 564.5 ล้านบาท งบประมาณดังกล่าวได้ครอบคลุมทังการส่งเสริม ้ การบริการด้านการแพทย์ (Medical Service) การบริการด้านสุขภาพ (Health Service) และ ผลิตภัณฑ์สขภาพและสมุนไพร (Herbal Products) ตามรายละเอียดในตารางที่ 2.2 ดังนี้ ุ 9 สําหรับการบริการด้านสุขภาพ (Health Service เช่น การเสริมสวย สปา นวดแผนไทย การท่องเทียวเชิง ่ สุขภาพ) กระทรวงสาธารณสุขได้กําหนดวิสยทัศน์ของการพัฒนาธุรกิจบริการส่งเสริมสุขภาพ คือ ประเทศ ั ไทยเป็ นศูนย์กลางการดูแลสุขภาพของเอเชีย (Thailand: The Wellness Capital of Asia) และในส่วนของ ผลิตภัณฑ์สขภาพและสมุนไพร (Herbal Products) กระทรวงสาธารณสุขก็ได้กําหนดวิสยทัศน์ของการพัฒนา ุ ั ธุรกิจผลิตภัณฑ์สขภาพและสมุนไพรไทยไว้วา ประเทศไทยเป็ นแหล่งกําเนิดของสมุนไพรทีทรงคุณค่าเพื่อการ ุ ่ ่ มีสขภาพทีดี (Thailand: The Origin of Precious Herbs for Superior Health) ุ ่ 17
  • 36.
    ตารางที่ 2.2 งบประมาณแผนยุทธศาสตร์การพัฒนาประเทศไทย เป็ นศูนย์กลางสุขภาพเอเชีย จําแนกตามยุทธวิ ธีแผนงาน (หน่วย: ล้านบาท) ยุทธวิ ธีแผนงาน งบประมาณ 2547 2548 2549 2550 2551 รวม การพัฒนาบริการสุขภาพ 20.0 55.0 70.0 85.0 100.0 330.0 และผลิตภัณฑ์สขภาพ ุ การบริหารจัดการ 11.0 20.0 20.0 20.0 20.0 91.0 ประสานการตลาดและ 13.5 25.0 30.0 35.0 40.0 143.5 ประชาสัมพันธ์ รวม 44.5 100.0 120.0 140.0 160.0 564.5 ทีมา: กระทรวงสาธารณสุข (2546) ่ 2.2 สถานการณ์ แนวโน้ ม และการดําเนินการตามนโยบายศูนย์กลางทาง ่ การแพทย์ (medical hub) ที่ผานมาของไทย ที่ผ่านมา โรงพยาบาลเอกชนเป็ นกําลังสําคัญที่รองรับคนไข้ต่างชาติ10 ดังนัน ข้อมูล ้ จากโรงพยาบาลเอกชนที่ร วบรวมโดยกรมส่ง เสริม การส่งออก กระทรวงพาณิ ช ย์ (ดูข้อ มูล ระหว่างปี 2544-2550 จากตารางที่ 2.3) จึงน่าจะบ่งบอกถึงสถานการณ์ดานนี้ได้เป็ นอย่างดี11 ้ จากข้อมูลดังกล่าว จะเห็นได้ว่าจํานวนชาวต่างชาติทีมารับการรักษาในประเทศไทยเพิมขึน ่ ่ ้ อย่างรวดเร็วในระหว่างปี 2544-2548 โดยเฉพาะอย่างยิงในปี 2546 ซึงมีอตราเพิมสูงกว่าร้อย ่ ่ ั ่ ละ 50 ในปี นัน เป็ นช่วงทีรฐบาลเพิงเริมประกาศแผนยุทธศาสตร์การพัฒนาประเทศไทยเป็ น ้ ่ั ่ ่ ศูนย์กลางสุขภาพเอเชีย การขยายตัวอย่างรวดเร็วจึงน่ าจะเป็ นผลมาจากการทําการตลาดของ โรงพยาบาลเอกชนเป็ นหลัก12 ถึงแม้ว่าในระหว่างปี 2541-2546 โรงพยาบาลเอกชนจะได้รบ ั ความช่วยเหลือในด้านการประชาสัมพันธ์จากภาครัฐอยูบางก็ตาม ่ ้ 10 ่ ั ั ถึงแม้วาในปจจุบนโรงเรียนแพทย์บางแห่ง เช่น โรงพยาบาลศิรราช (รวมทังศูนย์หวใจแห่งใหม่ “The Heart ิ ้ ั by Siriraj” และโครงการความร่วมมือกับบริษท MEDS ซึ่งมีความร่วมมือกับโรงพยาบาลศิรราชและ ั ิ โรงพยาบาลรามาธิบดี) จะเปิ ดรับคนไข้ต่างชาติเช่นกัน แต่กยงมีจานวนไม่มากนัก และการรับคนไข้ต่างชาติ ็ ั ํ คงไม่ใช่เป้าหมายหลัก (ดูรายละเอียดเพิมเติมในหัวข้อถัดไปและในบทที่ 6) ่ 11 แม้วาข้อมูลทีรายงานอาจจะตํ่ากว่าความเป็ นจริง เพราะรวบรวมโดยการส่งแบบสํารวจ ซึ่งได้รบการตอบ ่ ่ ั กลับมาไม่ครบทุกโรงพยาบาล และจํานวนโรงพยาบาลทีตอบกลับมาในปี หลังๆ (55 โรงพยาบาล) ก็มากกว่า ่ ในปีแรกๆ (20-30 โรงพยาบาล) 12 อย่างไรก็ตาม อัตราการขยายตัวที่รายงานในตารางอาจสูงกว่าความเป็ นจริง เนื่องจากในปี แรกๆ มี โรงพยาบาลตอบแบบสํารวจกลับมาค่อนข้างน้อย แต่เนื่องจากโรงพยาบาลทีเน้นการให้บริการชาวต่างชาติม ี ่ ไม่มาก ความคลาดเคลื่อนทีเกิดจากการทีมจานวนโรงพยาบาลทีรายงานมาน้อยจึงอาจไม่สงนัก ่ ่ ีํ ่ ู 18
  • 37.
    ตารางที่ 2.3 จํานวนชาวต่างชาติที่มารับบริ การทางการแพทย์ในโรงพยาบาลเอกชนไทย ระหว่างปี พ.ศ. 2544-2550 จํานวนผูป่วยชาวต่างประเทศ ้ รวมยอดปี ลําดับ สัญชาติ ปี 2544 ปี 2545 ปี 2546 ปี 2547 ปี 2548 ปี 2549 ปี 2550 44-48 และ 50 1 ญี่ปน ุ่ 118,170 131,584 162,909 247,238 185,616 n/a 233,389 1,078,906 2 สหรัฐอเมริ กา 49,253 59,402 85,292 118,771 132,239 n/a 136,248 581,205 3 เอเชียใต้ 34,857 47,555 69,574 107,627 98,303 n/a 85,412 443,328 4 อังกฤษ 36,778 41,599 74,856 95,941 108,156 n/a 110,286 467,616 5 ตะวันออกกลาง n/a 20,004 34,704 71,051 98,451 n/a 169,091 393,301 6 อาเซียน n/a n/a 36,708 93,516 74,178 n/a 115,561 319,963 7 ไต้หวัน/จีน 26,893 27,438 46,624 57,051 57,279 n/a 29,783 245,068 8 เยอรมนี 19,057 18,923 37,055 40,180 42,798 n/a 41,313 199,326 9 ออสเตรเลีย 14,265 16,479 24,228 35,092 40,161 n/a 42,688 172,913 10 ฝรังเศส ่ 16,102 17,679 25,582 32,409 36,175 n/a 37,251 165,198 11 เกาหลีใต้ 14,419 14,877 19,588 31,303 26,571 n/a 26,259 133,017 12 สแกนดิ เนเวีย n/a n/a 19,851 20,990 22,921 n/a 49,817 113,579 13 แคนาดา n/a n/a 12,909 18,144 18,177 n/a 22,907 72,137 14 ยุโรปตะวันออก n/a n/a 8,634 6,728 6,120 n/a 9,413 30,895 15 อื่นๆ 220,367 234,460 315,018 127,054 302,834 n/a 264,389 1,464,122 รวม 550,161 630,000 973,532 1,103,095 1,249,948 1,330,000 1,373,807 7,210,543 อัตราการขยายตัว (%ต่อปี ) 14.55 54.53 13.31 13.32 6.40 3.29 16.48 ทีมา: สํานักส่งเสริมธุรกิจบริการ กรมส่งเสริมการส่งออก กระทรวงพาณิชย์ ่ หมายเหตุ: 1/ ข้อมูลเหล่านี้รวบรวมจากตัวเลขทีโรงพยาบาลรายงานเข้ามา (รวม 55 โรงพยาบาลในปี 2550) ซึงอาจยังไม่ครบถ้วน ่ ่ 2/ ข้อมูลตังแต่ปี 2546 เป็ นต้นมา อาจรวมกรณีทคนไข้กลับมารับการรักษาซํ้า (revisit) ด้วย ้ ่ี 19
  • 38.
    ตารางที่ 2.4 จํานวนชาวต่างประเทศที่รบบริการในโรงพยาบาลเอกชนไทย 55 แห่ง ั ในปี 2550 ภูมิภาค/ประเทศ จํานวนคนไข้ชาวต่างประเทศ (คน) สัดส่วน (ร้อยละ) อเมริ กาเหนื อ 159,755 11.69 - สหรัฐอเมริกา 136,248 9.93 - แคนาดา 22,907 1.68 - อื่น ๆ (เม็กซิโก) 600 0.08 อเมริ กากลาง 1,278 0.13 อเมริ กาใต้ 1,026 0.11 แอฟริ กา 1,948 0.18 ยุโรปตะวันตก 286,336 21.01 - อังกฤษ 110,286 8.04 - เยอรมนี 41,313 3.02 - ฝรังเศส ่ 37,251 2.72 - เนเธอร์แลนด์ 14,218 1.05 - สวิสเซอร์แลนด์ 12,395 0.90 - สวีเดน 21,056 1.54 - อื่น ๆ (อิตาลี สเปน นอร์เวย์ ฟินแลนด์) 49,817 3.74 ยุโรปตะวันออก 9,413 0.71 - รัสเซีย 9,293 0.69 - อื่น ๆ (ยูเครน คาซัคสถาน) 120 0.02 ตะวันออกกลาง 169,091 12.46 - สหรัฐอาหรับเอมิเรตส์ 91,859 6.70 - โอมาน 34,356 2.52 - คูเวต 6,205 0.47 - บาห์เรน 3,304 0.25 - กาตาร์ 18,709 1.39 - เยเมน 2,763 0.25 - อื่นๆ (อิสราเอล อิหร่าน ซาอุดอาระเบีย) ิ 11,894 0.88 เอเชียกลาง 963 0.01 เอเชียใต้ 85,412 6.26 - บังคลาเทศ 32,313 2.35 - อินเดีย 36,645 2.67 - ปากีสถาน 3,826 0.28 20
  • 39.
    ภูมิภาค/ประเทศ จํานวนคนไข้ชาวต่างประเทศ (คน) สัดส่วน (ร้อยละ) - ศรีลงกาั 1,660 0.12 - มัลดีฟส์ 5,690 0.45 - อื่นๆ (เนปาล อัฟกานิสถาน) 5,278 0.39 อาเซียน 115,561 8.48 - กัมพูชา 28,080 2.06 - พม่า 40,338 2.95 - เวียดนาม 5,080 0.38 - อินโดนีเซีย 7,448 0.56 - ฟิลปปินส์ ิ 13,498 0.98 - อื่น ๆ (ลาว สิงคโปร์ มาเลเซีย) 21,116 1.55 เอเชียตะวันออก 295,650 21.59 ่ ่ - ญีปุน 233,389 16.99 - จีน 24,392 1.79 - เกาหลีใต้ 26,259 1.95 - ไต้หวัน 5,391 0.39 - อื่น ๆ (ฮ่องกง เกาหลีเหนือ) 6,219 0.47 โอเชียเนี ย 51,863 3.84 - ออสเตรเลีย 42,688 3.15 - นิวซีแลนด์ 8,774 0.65 - อื่น ๆ (ฟิจ)ิ 401 0.04 อื่น ๆ 195,511 14.24 รวมทังสิ้ น ้ 1,373,807 100.00 ทีมา: สํานักส่งเสริมธุรกิจบริการ กรมส่งเสริมการส่งออก กระทรวงพาณิชย์ ่ หมายเหตุ: ข้อมูลเหล่านี้รวบรวมจากตัวเลขทีโรงพยาบาลรายงานเข้ามา (รวม 55 โรงพยาบาลในปี 2550) ซึงอาจไม่ครบถ้วน ่ ่ จากตารางที่ 2.3 จะเห็นได้ว่าเพียงแค่ปี 2547 จํานวนผู้ป่วยต่างชาติท่ใช้บริการ ี รักษาพยาบาลในประเทศไทยมีจํานวนมากถึง 1.1 ล้านคน และเพิมขึนมาโดยตลอดเป็ น 1.25 ่ ้ ล้านคนในปี 2548 1.33 ล้านคนในปี 2549 และ 1.37 ล้านคนในปี 255013 ดังนัน ถ้าพิจารณา ้ จากจํานวนคนไข้แล้ว ก็คงสามารถกล่าวได้วา ประเทศไทยประสบความสําเร็จตามเป้าทีตงไว้ว่า ่ ่ ั้ 13 ตามรายงานที่สํานักส่งเสริมธุรกิจบริการ กรมส่งเสริมการส่งออก กระทรวงพาณิชย์ รวบรวมจาก 55 โรงพยาบาลในปี 2550 และ 30 โรงพยาบาลในปี 2546 (แต่จานวนโรงพยาบาลทีกล่าวถึงนี้อาจจะต่างกับ ํ ่ ความเข้าใจของคนทัวไป ตัวอย่างเช่น โรงพยาบาลกรุงเทพ ทีซอยศูนย์วจย ได้เพิมจาก 1 โรงพยาบาลเป็ น 4 ่ ่ ิั ่ ั ั โรงพยาบาลในปจจุบน แต่ในความเข้าใจของประชาชนทัวไปคงจะนับเป็ นแค่ 1 โรงพยาบาลเหมือนเดิม) ่ 21
  • 40.
    ประเทศไทยเป็ นศูนย์กลางสุขภาพของเอเชียภายในปี พ.ศ.255114 และดูเหมือนว่าจะทะลุเป้า ขึนมาเป็ นอันดับต้นๆ ของภูมภาค15หรือของโลกเสียด้วยซํ้า16 ้ ิ แน่ น อนว่ า จํา นวนคนไข้ค งไม่ ใ ช่ ม าตรวัด ประการเดีย วในเรื่อ งนี้ ตัว อย่า งเช่ น ถ้า พิจารณาจากสัดส่วนของคนไข้ต่างชาติต่อคนไข้ของชาตินันๆ ในปี 2001 จะพบว่ามาเลเซีย ้ (ซึ่งมีคนไข้จากอินโดนี เ ซีย ข้ามมารัก ษาเป็ นจํานวนมาก) และสิงคโปร์ มีส ดส่วนของคนไข้ ั ต่างชาติต่อคนไข้ชาติตวเองประมาณร้อยละ 4.5 และ 4.3 ขณะทีสดส่วนของไทยอยู่ทรอยละ ั ่ ั ่ี ้ 17 0.7 (Ministry of Trade and Industry Singapore. The Healthcare Services Working Group, n.d.(c).) หรือในแง่การนําเงินตราต่างประเทศเข้ามา ซึงสิงคโปร์ (ทีเน้นความเป็ นเลิศ ่ ่ ในด้านเทคโนโลยี) อาจจะมีรายได้ในด้านบริการทางการแพทย์ต่อคนไข้หนึ่ งคนสูงกว่าไทย ในขณะทีรายได้จากบริการทางการแพทย์ต่อคนไข้หนึ่งคนของไทยก็จะสูงกว่าอินเดีย เป็ นต้น ่ อย่างไรก็ตาม การทีมคนไข้ชาวต่างชาติมารับบริการถึง 1.4 ล้านคนต่อปี ในปจจุบน ย่อมส่งผล ่ ี ั ั กระทบต่อบริการด้านการรักษาพยาบาลในประเทศไทยอย่างหลีกเลียงไม่ได้ ่ 14 อย่างไรก็ตาม จํานวน “คนไข้ต่างชาติ” ทีกล่าวถึงนี้ ส่วนใหญ่เป็ นชาวต่างชาติทมาทํางานหรือตังถินฐานใน ่ ่ี ้ ่ ประเทศไทยและประเทศเพื่อนบ้านเป็ นส่วนใหญ่ (อาจสูงถึงร้อยละ 60) อีกประมาณร้อยละ 10 เป็ น นักท่องเทียวทีป่วย และทีเหลือประมาณร้อยละ 30 จึงเป็ นชาวต่างชาติทตงใจเดินทางเข้ามารับบริการทาง ่ ่ ่ ่ี ั ้ การแพทย์ในประเทศไทย ซึ่ งตกประมาณ 400,000 คนปี 2549 และ 420,000 คน ซึ่ งเป็ นจํานวนทีสงพอๆ กับ ่ ู สิงคโปร์ ทั้งนี้ SingaporeMedicine ซึงประกอบด้วยหน่วยงานต่างๆ ของรัฐหลายหน่ วยงาน (เช่น Economic ่ Development Board, Singapore Tourism Board และ International Enterprise Singapore ดูรายละเอียด ใน www.SingaporeMedicine.com) ระบุในโฆษณาใน Newsweek September 24, 2007 ว่าในปี 2549 มี คนไข้ชาวต่างชาติเข้ามารับบริการในสิงคโปร์มากกว่า 400,000 คน) ในขณะที่ Boston Consulting Group (2008) ประมาณว่าในปี 2549 มี medical tourist เดินทางมาไทย 660,000 คน ขณะทีไปสิงคโปร์ 450,000 ่ คน และอินเดียและมาเลเชียประเทศละ 300,000 คน 15 รายงานของ SingaporeMedicine เองก็แสดงให้เห็นว่า ในช่วงหลังวิกฤติเศรษฐกิจปี 2540 จํานวนคนไข้ ต่างชาติท่เดินทางมารักษาในประเทศไทยสูงกว่าประเทศคู่แข่งอื่นในภูมภาคนี้ อันได้แก่ สิงคโปร์ มาเลเซีย ี ิ และออสเตรเลีย 16 นายแพทย์ชาตรี ดวงเนตร ประธานคณะผูบริหารศูนย์การแพทย์โรงพยาบาลกรุงเทพ บริษทกรุงเทพดุสต ้ ั ิ เวชการ จํากัด (มหาชน) ระบุว่าขณะนี้ประเทศไทยก้าวขึนสู่ศูนย์กลางของการรักษาพยาบาล (เมดิคลฮับ) ้ ั โดยมีย อดผูเ ดิน ทางเข้า มารัก ษามากทีสุด ในโลก รองลงมาคือ อิน เดีย เยอรมนี และอัง กฤษ (ผูจ ด การ ้ ่ ้ ั ออนไลน์ 27 สิงหาคม 2550) 17 ั ั แต่ในปจจุบน สัดส่วนนี้ของไทยน่าจะเพิมขึนเป็ นประมาณร้อยละ 2.5-3 แล้ว ่ ้ 22
  • 41.
    รูปที่ 2.1 จํานวนและประมาณการจํานวนผูป่วยชาวต่างประเทศที่มารักษาในประเทศ ้ ต่างๆ โดยรัฐบาลสิ งคโปร์ Singapore Australia 600000 Malaysia Thailand 500000 400000 Number of patients 300000 200000 100000 0 1998 1999 2000 2001 2002 2003 2004 Source: Ministry of Trade and Industry Singapore. The Healthcare Services Working Group, n.d. (c). บทบาทของโรงพยาบาลเอกชน ในปี 2549 ประเทศไทยมีจานวนโรงพยาบาลเอกชน 354 แห่ง มีจานวนเตียง 36,323 ํ ํ เตียง โดยในจํานวนนี้รอยละ 63 อยูในภาคกลาง (ร้อยละ 29.1 อยู่ในกรุงเทพมหานคร) ที่ ้ ่ เหลืออยู่ในภาคเหนือร้อยละ 14.7 ภาคตะวันออกเฉียงเหนือร้อยละ 11.9 และภาคใต้รอยละ ้ 10.4 ตามลําดับ โดยในปี 2547 มีโรงพยาบาลขนาดใหญ่กว่า 250 เตียง 28 แห่ง และ โรงพยาบาลขนาด 101-250 เตีย งอีก 71 แห่ ง (ประชาชาติธุ ร กิจ 2547, 7-10 ตุ ล าคม) โรงพยาบาลเอกชนมีทงโรงพยาบาลเดียวและกลุ่มเครือข่ายโรงพยาบาล โดยในปจจุบน กลุ่ม ั้ ่ ั ั โรงพยาบาลเอกชนที่มข นาดใหญ่ ท่ีสุด ได้แก่ กลุ่ มกรุงเทพดุสต เวชการ (กลุ่มโรงพยาบาล ี ิ กรุงเทพ) ซึงมีโรงพยาบาลในเครืออย่างน้อย 17 แห่ง ่ นอกจากนี้ โรงพยาบาลเอกชนของไทยยังมีศกยภาพในการรับคนไข้เพิมมากพอสมควร ั ่ โดยในปี 2545 มีอตราการครองเตียง (Bed Occupancy Rate) เพียงร้อยละ 60.45 (สํานัก ั นโยบายและยุทธศาสตร์ 2545 อ้างใน กระทรวงสาธารณสุข 2546) แม้ว่าอัตรานี้จะมีแนวโน้ม ่ ้ ั ั ั เพิมขึน แต่ในปจจุบนก็ยงอยู่ท่ประมาณไม่เกินร้อยละ 70 ซึ่งส่วนหนึ่งเป็ นเพราะโรงพยาบาล ี เอกชนมีการขยายการลงทุนค่อนข้างมากในระหว่างปี 2545-2548 ในการดําเนิ น งานของโรงพยาบาลเอกชนนัน โรงพยาบาลเอกชนขนาดใหญ่ ห ลาย ้ รายได้รุ ก ตลาดต่ า งประเทศมาประมาณ 8-9 ปี แ ล้ว โดยได้มีก ารพัฒ นาอุ ป กรณ์ เ ครื่อ งมือ 23
  • 42.
    บุ ค ลากรทางการแพทย์มาตลอด และยัง ได้ร ับ มาตรฐานเป็ น ที่ย อมรับ ในระดับ นานาชาติ ตัวอย่างเช่น โรงพยาบาลบํารุงราษฎร์เป็ นโรงพยาบาลแห่ง แรกในทวีป เอเชีย ทีไ ด้ร บ การ ่ ั รับรองมาตรฐาน Joint Commission International Accreditation (JCIA) จาก Joint Commission International (JCI) (ซึ่งพัฒนาขึนมาจาก The Joint Commission on ้ Accreditation of Healthcare Organizations หรือ JCAHO ของสหรัฐฯ ซึ่งต่อมาเปลี่ยนชื่อ เป็ น The Joint Commission) ในปี 2545 ในขณะทีโรงพยาบาลกรุงเทพและโรงพยาบาล ่ สมิต เ วชก็ไ ด้ดํา เนิน การรับ รองมาตรฐานจาก JCIA ิ ในปี 2550 ในช่ว งแรกมีเ พีย ง โรงพยาบาลบํารุงราษฎร์และเครือโรงพยาบาลกรุงเทพ (ซึ่งประกอบด้วยโรงพยาบาล BNH โรงพยาบาลสมิตเวช โรงพยาบาลกรุงเทพ และเครือข่ายโรงพยาบาลกรุงเทพในเมืองท่องเทียว ิ ่ ต่างๆ เช่น โรงพยาบาลกรุงเทพพัทยา และโรงพยาบาลกรุงเทพภูเก็ต) ที่ให้ความสนใจและ ประสบความสําเร็จในการดึงดูดลูกค้าต่างชาติ แต่ในระยะหลังโรงพยาบาลเอกชนหลายแห่งใน กรุงเทพมหานครได้หนมาสนใจลูกค้ากลุ่มนี้มากขึ้น ตัวอย่างเช่น โรงพยาบาลปิ ยะเวท ซึ่ง ั ให้บ ริการคนไข้ต่ างชาติเ พิมขึ้นอย่างรวดเร็วในระหว่างปี 2546-2549 ่ (ดูตารางที่ 2.5) โรงพยาบาลยันฮี เน้นการให้บริการด้านศัลยกรรมตกแต่งและเสริมความงาม และโรงพยาบาล เจ้าพระยา ซึ่งมีจุดเริมจากศูนย์หวใจที่รองรับคนไข้โรคหัวใจชาวต่างชาติท่ต้องการรักษาด้วย ่ ั ี Stem Cell นอกเหนือจากการขยายสาขาและเครือข่ายให้กว้างขึนแล้ว โรงพยาบาลเอกชนหลายแห่ง ้ ได้พยายามพัฒนาด้านคุณภาพและความพร้อมในการให้บริการเฉพาะทาง โดยโรงพยาบาลขนาด ใหญ่เช่น โรงพยาบาลกรุงเทพ ได้เปิ ดเป็ นโรงพยาบาลเฉพาะทางสําหรับรักษาโรคหัวใจและมะเร็ง (รวมทังมีตกใหม่สาหรับให้บริการคนไข้ต่างชาติโดยเฉพาะ และมีแผนทีจะเปิ ดโรงพยาบาลทีเน้น ้ ึ ํ ่ ่ ้ ่ การรักษาผูปวยจากตะวันออกกลางด้วย) นอกจากนี้ โรงพยาบาลเอกชนทีมขนาดรองลงมา เช่น ่ ี ่ ั ั ู ั โรงพยาบาลปิยะเวท ซึงปจจุบนมีศนย์หวใจ สมอง สูตนารี ศัลยกรรมตกแต่ง และกระดูกและข้อ ก็ ิ เตรียมทีจะเปิ ดศูนย์ต่อมลูกหมาก ศูนย์ทางเดินอาหาร และศูนย์รกษาตา เพิมขึน หรือแม้แต่ ่ ั ่ ้ โรงพยาบาลเอกชนที่มขนาดไม่ใหญ่ นัก และในอดีตจะเน้ นที่ลูกค้าคนไทย เช่น โรงพยาบาล ี เจ้าพระยา ก็เปิดศูนย์หวใจทีมจุดเน้นในการรองรับคนไข้โรคหัวใจชาวต่างชาติทตองการรักษาด้วย ั ่ ี ่ี ้ Stem Cell เป็ นต้น 24
  • 43.
    ตารางที่ 2.5 สัดส่วนจํานวนและรายรับจากคนไข้ชาวต่างชาติของโรงพยาบาลปิ ยะเวท ปี 2546-2550 ปี 2546 2547 2548 2549 2550 จํานวน คนไข้ไทย 37,316 40,278 53,193 74,658 89,815 คนไข้ คนไข้ต่างชาติ 368 5,354 10,157 14,577 14,940 สัดส่วนของคนไข้ต่างชาติ 0.98% 11.73% 16.03% 16.34% 14.26% รายได้ คนไข้ไทย 113,266 126,171 178,934 515,933 549,597 คนไข้ต่างชาติ 5,724 79,492 244,734 203,051 219,764 สัดส่วนรายได้จากคนไข้ ต่างชาติ 4.81% 38.65% 57.77% 28.24% 28.56% ทีมา: ประมวลผลจากข้อมูลของโรงพยาบาลปิยะเวท ่ นอกจากการเปิ ดศูนย์บริการเฉพาะทางต่างๆ เช่น ศูนย์โรคหัวใจ โรคมะเร็ง โรคกระดูก โรคทางเดินหายใจ ศูนย์ศลยกรรม (และศัลยกรรมตกแต่ง) แล้ว โรงพยาบาลบางแห่งยังเปิ ดศูนย์ ั ดูแลสุ ขภาพและศู นย์สุ ขภาพแพทย์ทางเลือก มุ่ งทํ าตลาดแบบเจาะลึกถึงกลุ่ มเฉพาะบุ คคล (Customize Marketing) และมีการโฆษณาเพิมสร้างภาพลักษณ์ว่ามีความเชี่ยวชาญในการ ่ ให้บ ริก ารและรัก ษาในด้ า นนั น ๆ เพื่อ สร้า งความน่ า เชื่อ ถือ และมัน ใจแก่ ลู ก ค้ า นอกจากนี้ ้ ่ โรงพยาบาลเอกชนของไทยหลายแห่ ง ยังมีโ ครงการร่ ว มมือ กับ โรงพยาบาลที่มีช่ือเสีย งใน ต่างประเทศเพื่อสร้างความน่ าเชื่อถือเพิมขึน เช่น โรงพยาบาลพญาไทได้รวมมือกับมหาวิทยาลัย ่ ้ ่ ฮาร์วาร์ด ในการจัดตังศูนย์หวใจพญาไท-ฮาร์วาร์ด โรงพยาบาลจักษุรตนินได้จดตังศูนย์เลสิกและ ้ ั ั ั ้ รักษาสายตารัตนิน-กิมเบลขึน โดยเป็ นความร่วมมือกับสถาบันกิมเบลอายเซ็นเตอร์จากประเทศ ้ แคนาดา เป็ นพันธมิตรทีให้การช่วยเหลือด้านเทคโนโลยีทางการแพทย์ เป็ นต้น ่ ้ ่ ้ ในด้านการรับผูปวยนัน ศูนย์การแพทย์โรงพยาบาลกรุงเทพ ได้ลงทุน 500 ล้านบาท เพื่อจัดให้มบริการเฮลิคอปเตอร์รบส่งผูป่วย ทีสามารถให้บริการได้ทวประเทศ และประเทศ ี ั ้ ่ ั่ เพื่อนบ้านใกล้เคียง โดยเริมให้บริการตังแต่ 1 ตุลาคม 2550 ทังนี้ ผูบริหารโรงพยาบาล ่ ้ ้ ้ กรุงเทพระบุวาทางโรงพยาบาลเป็ นเพียงแห่งเดียวทีให้บริการนี้ในภูมภาคเอเชียตะวันออกเฉียง ่ ่ ิ ใต้ นอกจากนี้ โรงพยาบาลเอกชนต่างๆ ยังมีการพัฒนาด้านมีบริการอํานวยความสะดวก แก่ผป่วยต่างประเทศ โดยพัฒนาบุคลากรด้านการบริการมากขึน ซึงปจจุบนโรงพยาบาลหลาย ู้ ้ ่ ั ั แห่งได้จดแผนกดูแลคนไข้ต่างชาติโดยเฉพาะ พร้อมกับจ้างบุคลากรที่มความสามารถด้าน ั ี ภาษาต่างประเทศไว้บริการ เช่น โรงพยาบาลบํารุงราษฎร์มล่ามให้บริการมากถึง 12 ภาษา ี ั ้ ้ ่ โรงพยาบาลเหล่านี้ยงมีบริการแบบเบ็ดเสร็จ ตังแต่การรับส่งผูปวยทางอากาศมายังโรงพยาบาล การติดต่ อกับ หน่ ว ยราชการเกี่ย วกับ วีซ่า เข้ามาประเทศ มีเมนู อาหารต่ างประเทศ รวมถึง 25
  • 44.
    ํ ่ ั ้ ่ เซอร์วสอพาร์ตเมนต์สาหรับเป็ นทีพกอาศัยของญาติของผูปวยต่างชาติ ตัวอย่างเช่น โรงพยาบาล บํารุงราษฎร์มทพกคือ บี.เอช.เรสิเด้นซ์เซอร์วสอพาร์ตเมนต์ทเี่ ชื่อมต่อกับอาคารโรงพยาบาลและมี ี ่ี ั ิ การตกแต่งได้มาตรฐานเดียวกับโรงแรม การเพิมขึนอย่างรวดเร็วของคนไข้ต่างชาติในโรงพยาบาลเอกชนในช่วงหลายปี ทผ่าน ่ ้ ่ี มา แสดงให้เห็นว่าโรงพยาบาลเหล่านี้มศกยภาพในการทําตลาดเป็ นอย่างดี ไม่วาจะโดยการทํา ี ั ่ ตลาดเองเป็ นหลัก เช่น โรงพยาบาลเจ้าพระยา (ดูกรอบที่ 2.1) หรือผ่านตัวแทนขาย (agent) เป็ นหลัก เช่น โรงพยาบาลยันฮี (ดูกรอบที่ 2.2) แต่ไม่ว่าในกรณีใด การให้ขอมูลผ่านทาง ้ เว็บไซต์และการบอกต่อปากต่อปากของชาวต่างชาติกยงเป็ นเครืองมือทีสาคัญในด้านการตลาด ็ ั ่ ่ํ ของทุกโรงพยาบาล กรอบที่ 2.1 กระบวนการดําเนิ นการของโรงพยาบาลที่ ทําตลาดเอง: กรณี ศึ กษา โรงพยาบาลเจ้าพระยา โรงพยาบาลเจ้าพระยาเป็ นโรงพยาบาลเอกชนอีกแห่งหนึ่งทีได้เริมขยายการให้บริการ ่ ่ กับกลุ่มของลูกค้าชาวต่างชาติในระยะ 2-3 ปี ท่ผ่านมา โรงพยาบาลตังอยู่รมแม่น้ํ าเจ้าพระยา ี ้ ิ ั่ (ฝงธนบุร) อาศัยทีมแพทย์ผูเชียวชาญซึ่งส่วนใหญ่เป็ นอาจารย์แพทย์จากโรงพยาบาลศิรราช ี ้ ่ ิ โรงพยาบาลเจ้าพระยาระบุว่าเป็ นโรงพยาบาลแห่งแรกในประเทศไทยทีนําระบบการปลูกถ่าย ่ Stem Cell มาทดลองใช้ในคนไข้ โรงพยาบาลได้จดตังศูนย์การแพทย์เฉพาะทาง เช่น ศูนย์หวใจ ั ้ ั ศูนย์ความงาม ศูนย์ตรวจสุขภาพ และศูนย์โรคระบบทางเดินอาหารและตับ นอกจากนี้ ยังเป็ น โรงพยาบาลเอกชนแห่งแรกทีมศูนย์แพทย์เฉพาะทางทีเปิ ดให้บริการตลอด 24 ชัวโมง อันได้แก่ ่ ี ่ ่ ศูนย์หวใจ ศูนย์จกษุ และศูนย์กุมารเวช ั ั ในการขยายบริการไปสู่ลูกค้าชาวต่างชาตินัน โรงพยาบาลเจ้าพระยาดําเนินการติดต่อ ้ ้ ่ ประสานงานกับลูกค้าชาวต่างชาติเอง โดยจัดตังฝายต่างประเทศ (International Division) ้ ่ ่ ่ ขึนมาทําหน้าทีน้ีโดยเฉพาะ ซึงการดําเนินงานของฝายต่างประเทศ จะติดต่อลูกค้าชาวต่างชาติ โดยตรงโดยไม่ผ่านตัวแทน (agent) ทังนี้ ผูประสานงานของโรงพยาบาลเจ้าพระยาจะเป็ น ้ ้ ผูดาเนินการเองทังหมด เริมตังแต่การหาลูกค้า จัดเตรียมจดหมายรับรองทีระบุคนไข้จะเดินทาง ้ ํ ้ ่ ้ ่ มารับบริการ รวมถึงประสานงานกับสํานักงานตรวจคนเข้าเมืองในกรณีทผป่วยจําเป็ นต้องพัก ่ี ู้ ฟื้ นในประเทศไทยนานเกิน 1 เดือน ลูกค้าชาวต่างชาติทเข้ารับบริการทีโรงพยาบาลเจ้าพระยา ่ี ่ ส่วนใหญ่จะทําการศึกษามาก่อนจากงานวิจยและวารสารทางการแพทย์ รวมทังเว็บไซต์ของ ั ้ โรงพยาบาลจากอินเตอร์เน็ต ลูกค้าส่วนใหญ่จะให้ความสําคัญกับแพทย์ผรกษาเป็ นอันดับแรก ู้ ั และมักจะระบุช่อแพทย์ทต้องการให้ทําการรักษามาอย่างชัดเจน หรือในอีกกรณีหนึ่งคือลูกค้า ื ่ี ชาวต่างชาติจะส่ง case มาปรึกษา ซึงทางโรงพยาบาลก็จะตรวจสอบดูว่าพอจะมีแพทย์ทรองรับ ่ ่ี ในสาขาดังกล่าวหรือไม่ ก่อนที่จะส่ง refer ไปให้แพทย์ในสาขานันๆ เมื่อตกลงกันเป็ นที่ ้ ้ ่ เรียบร้อยแล้วก็จะทําการนัดหมายแพทย์ ในขันตอนนี้ ผูปวยจะต้องโอนเงินมาก่อนบางส่วนหรือ ้ ทังหมดแล้วแต่กรณี ้ 26
  • 45.
    ในด้า นการเดิน ทางนันโรงพยาบาลจะมีบ ริก ารรถรับ -ส่ง ลูก ค้า จากสนามบิน มายัง ้ โรงพยาบาล โดยผูประสานงานจะไปรับลูกค้าด้วยตนเองถึงสนามบิน รวมถึงจัดหาทีพกซึงเป็ น ้ ่ ั ่ ่ ู้ ่ คอนโดนิเนียมริมนํ้าทีทางโรงพยาบาลจัดเตรียมไว้ให้บริการแก่ผปวยและญาติทมารับการรักษา ่ี และใช้บริการทีโรงพยาบาลเจ้าพระยา ห้องพักเป็ นห้องชุด 2 ห้องนอน 2 ห้องนํ้า เตียงนอน ่ ้ ่ สําหรับ 2 ท่าน พร้อมด้วยบริการอินเตอร์เน็ต โดยผูปวยสามารถนัดแพทย์ได้โดยตรงจากใน ห้องพักซึงตังอยู่ตดกับโรงพยาบาล อัตราค่าบริการจะอยู่ท่ี 3,000 บาทต่อคืน รวมอาหารเช้า ่ ้ ิ นอกจากนี้ ทางโรงพยาบาลยัง มีบ ริก ารล่ อ งเรือ เที่ย วชมแม่ น้ํ า เจ้า พระยาไว้ใ ห้บ ริก ารแก่ ชาวต่างชาติดวย ้ โรงพยาบาลมี International Ward ไว้เพื่อให้บริการแก่ผป่วยชาวต่างชาติโดยเฉพาะ ู้ โดยเน้นการให้บริการอย่างอบอุ่นและเป็ นกันเอง ผูประสานงานฝ่ายต่างประเทศจะดูแลผูป่วย ้ ้ ชาวต่างชาติลงลึกเป็ นรายบุคคล โดยผูประสานงานจะช่วยแนะนํ าการบริการทางการแพทย์ ้ อํานวยความสะดวกในช่วงทีเข้ารับการรักษา ตลอดจนพูดคุยและแนะนํ าสถานที่ท่องเที่ยวใน ่ ี ่ ้ ่ ประเทศไทยให้อกด้วย ซึงทางโรงพยาบาลเชื่อว่าการดูแลผูปวยเสมือนคนในครอบครัว จะทําให้ ผูป่วยชาวต่างชาติประทับใจและกลับมาใช้บริการของโรงพยาบาล อีกทังยังแนะนํ าเพื่อน และ ้ ้ ญาติให้มาใช้บริการทีโรงพยาบาลเจ้าพระยาอีกด้วย ่ อย่างไรก็ตาม ในปจจุบน จํานวนผูป่วยชาวต่างชาติยงมีจานวนไม่มากนักเมื่อเทียบกับ ั ั ้ ั ํ ผูป่วยชาวไทย (ประมาณร้อยละ 10 ของจํานวนคนไข้ทงหมด) ซึงทางโรงพยาบาลเห็นว่าส่วน ้ ั้ ่ หนึ่งคงเป็ นเพราะโรงพยาบาลเจ้าพระยาไม่ได้ตงอยู่ใจกลางเมืองหรืออยู่ในทําเลทีชาวต่างชาติ ั้ ่ อาศัยอยู่เป็ นจํานวนมาก ดังเช่นโรงพยาบาลบํารุงราษฎร์และโรงพยาบาลกรุงเทพ และการที่ โรงพยาบาลหาลูกค้าเองโดยไม่ผานตัวแทน (agent) ทําให้ไม่มลูกค้าชาวต่างชาติทเข้ามาเป็ น ่ ี ่ี กลุ่มใหญ่ๆ ลูกค้าของโรงพยาบาลส่วนใหญ่เป็ นชาวอเมริกน โดยมีชาวยุโรปและแอฟริกนบ้าง ั ั ประปราย บริการทางการแพทย์ท่เป็ นที่ยอมรับและได้รบความนิยมจากลูกค้าชาวต่างชาติ คือ ี ั ศูนย์หวใจ การผ่าตัดกระดูกสันหลัง (Spine Operation) การผ่าตัดต้อกระจก การผ่าตัดหัวเข่า ั และข้อกระดูก และการรักษาโรคเกี่ยวกับต่อมลูกหมาก นอกจากนี้ โรงพยาบาลยังได้พยายาม ้ ู้ ่ ขยายการให้บริการเป็ น one-stop services เพื่อกระตุนให้ญาติผปวยใช้บริการทางแพทย์อ่นๆ ื ขณะทีรอผูป่วยทําการรักษา ยกตัวอย่างเช่น ในกรณีของลูกค้าชาวต่างชาติทเข้ารับการผ่าตัด ่ ้ ่ี กระดูกสันหลัง ซึ่งต้องใช้เวลาในการพักฟื้ นนาน ภรรยาก็สามารถไปใช้บริการทีศูนย์ความงาม ่ ได้ ในส่วนของอัตราค่าบริการของคนไข้ชาวต่างชาตินัน จะคิดในเกณฑ์เดียวกับคนไข้ชาว ้ ไทย โดยไม่มการคิดค่าใช้จ่ายพิเศษอื่นๆ อาทิ ค่าล่าม ค่าธรรมเนียมแพทย์ รวมถึงค่าห้องและ ี ค่าอาหาร เพิมเติม ถึงแม้ว่าจะมี International Ward แต่คณะแพทย์ททาการรักษาและพยาบาล ่ ่ี ํ ่ ู ้ ่ เป็ นคณะเดียวกับทีดแลผูปวยชาวไทย 27
  • 46.
    นอกจากนี้ ทางโรงพยาบาลเจ้าพระยายังคงให้ความสําคัญในการพัฒนาการให้บริการ ทางการแพทย์อย่างต่อเนื่อง โดยในทุกสัปดาห์จะมีการประชุมแพทย์ของโรงพยาบาลเพื่อแจ้ง ข่าวสารและความคืบหน้าของข้อมูลเชิงวิชาการ รวมถึงการขยายฐานลูกค้าชาวต่างชาติ โดยใน ส่ว นของชาวต่ า งชาติท่ีพํา นัก อยู่ใ นประเทศไทยนัน โรงพยาบาลก็พ ยายามส่ ง เสริม ให้ช่ือ ้ โรงพยาบาลเจ้าพระยาเป็ นทีรจกในวงกว้าง โดยใช้หนังสือพิมพ์ภาษาอังกฤษเป็ นสื่อกลาง ซึงที่ ่ ู้ ั ่ ผ่านมา การประชาสัมพันธ์โดยวิธน้ีให้ผลเป็ นที่น่าพอใจ คนไข้ชาวต่างชาติท่เข้ามารับบริการ ี ี จํานวนไม่น้อยทีรจกโรงพยาบาลจากทางหนังสือพิมพ์ ในขณะทีในต่างประเทศ ชาวต่างชาติจะ ่ ู้ ั ่ รู้จ ัก โรงพยาบาลเจ้า พระยาจากบทความวิช าการหรือ เอกสารทางการแพทย์ท่ีเ ผยแพร่ ใ น อินเตอร์เน็ต คนไข้ชาวต่างชาติบางรายเป็ นคนไข้ประจําของอาจารย์แพทย์ทศรราช เมื่อแพทย์ ่ี ิ ิ เหล่านันมาประจําที่โรงพยาบาลเจ้าพระยา คนไข้เหล่านันจึงมารับบริการที่น่ีดวย นอกจากนี้ ้ ้ ้ ่ ฝายต่างประเทศกําลังเพิมเจ้าหน้าทีและบุคลากรเพื่อประสานงานกับลูกค้าชาติต่างๆ ให้มากขึน ่ ่ ้ โดยมุงเน้นการประชาสัมพันธ์แบบ network socializing กล่าวคือ ให้บุคลากรของโรงพยาบาล ่ ไปแนะนํ าบริการทางการแพทย์ของโรงพยาบาลแก่สมาคมชาวต่างชาติท่อาศัยอยู่ในประเทศ ี ไทย อาทิ สมาคมชาวอังกฤษ สมาคมชาวแคนาดา เป็ นต้น ในด้านความช่วยเหลือจากภาครัฐ ประเด็นหลักทีทางโรงพยาบาลต้องการก็คอ ต้องการ ่ ื ให้ภาครัฐเข้ามาช่วยเจรจากับหน่ วยงานทีเกียวข้องในต่างประเทศ เพื่อให้บริษทประกันสุขภาพ ่ ่ ั ในต่างประเทศจ่ายชดเชยค่ารักษาพยาบาลและค่าใช้จ่ายในการเดินทางให้กบผูป่วยทีเดินทาง ั ้ ่ ั ั มารับการรักษาในประเทศไทย เพราะในปจจุบน ทางโรงพยาบาลทราบว่ามีเพียง Bupa Insurance เท่านันที่ครอบคลุ มค่าใช้จ่ายในส่วนนี้ ผู้ป่วยชาวต่างชาติท่ีเข้ามารักษาที่ ้ โรงพยาบาลต้องแบกรับภาระค่าใช่จ่ายเองทังหมด ซึงถ้าภาครัฐเข้ามาจัดการเรื่องนี้อย่างจริงจัง ้ ่ แล้ว ก็เ ชื่อ ว่ า น่ า จะมีช าวต่ า งชาติอีก จํ า นวนไม่ น้ อ ยเดิน ทางเข้า มารัก ษาในประเทศไทย นอกจากนี้ สํานักงานตรวจคนเข้าเมืองซึงเป็ นหน้าตาของประเทศในด่านแรก ควรให้บริการด้วย ่ ใบหน้ายิ้มแย้มและด้วยความเต็มใจ และสํานักงานตรวจคนเข้าเมืองควรให้ขอมูลเบื้องต้นแก่ ้ ชาวต่างชาติเรื่องการขยายเวลาในวีซ่า เพราะในบางราย ผูป่วยจําเป็ นต้องพักฟื้ นเป็ นระยะ ้ เวลานานกว่าจํานวนวันที่ระบุไว้ในวีซ่า ซึ่งถ้าดําเนินการโดยสํานักงานตรวจคนเข้าเมืองจะ ค่อนข้างยุ่งยากและเสียค่าใช้จ่าย 1,900 บาท แต่ถ้าไปเสียค่าปรับทีสนามบินจะต้องจ่ายวันละ ่ 500 บาท ซึงข้อมูลเหล่านี้ชาวต่างชาติมกจะไม่ทราบ นอกจากนี้ ภาครัฐน่าจะมีสวนช่วยในการ ่ ั ่ รวมตัวจัดตังกลุ่มผูให้บริการทางการแพทย์ (Medical Provider) เพื่อเป็ นศูนย์กลางการให้ขอมูล ้ ้ ้ และบริการทางการแพทย์ของไทยอย่างครบวงจร และเพื่อสร้างภาพลักษณ์ให้บริการทางการ แพทย์ของไทยเป็ นที่รูจกในระดับสากลเพิมมากขึน สุดท้าย ภาครัฐควรหาทางเร่งแก้ปญหา ้ ั ่ ้ ั ความไม่มนคงทางการเมือง เพื่อสร้างความเชื่อมันให้นักท่องเที่ยวในการเดินทางมาประเทศ ั่ ่ ไทย ซึงจะเป็ นการช่วยส่งเสริมธุรกิจภาคบริการของประเทศอีกทางหนึ่งด้วย ่ 28
  • 47.
    บทบาทของตัวแทน (Agent) นอกจากโรงพยาบาลเอกชนชันนํ าที่ชาวต่างชาตินิยมใช้บริการแทบทุกแห่งจะมีฝ่าย ้ ต่างประเทศที่ทําหน้าที่ประสานงานและให้ขอมูลแก่คนไข้ชาวต่างชาติแล้ว โรงพยาบาลบาง ้ แห่งยังอาศัยตัวแทน (agent) ทําหน้าทีตดต่อประสานงานในประเทศของกลุ่มลูกค้า และอํานวย ่ ิ ความสะดวกในการนํ าลูกค้าชาวต่างชาติเข้ามารับบริการทางการแพทย์ทโรงพยาบาลนันๆ ใน ่ี ้ ประเทศไทย ตัวอย่างของโรงพยาบาลทีอาศัยตัวแทนในการทําตลาดเป็ นหลักคือโรงพยาบาล ่ ยันฮี (ดูรายละเอียดเพิมเติมในกรอบที่ 2.2) ่ บริษทตัวแทน (agent) เป็ นช่องทางสําคัญในการนํ าชาวต่างชาติเข้ามาเทียวและใช้ ั ่ บริก ารในไทย และยัง มีบ ทบาทสํา คัญ ในการติด ต่ อ ประสานงาน รวมถึง ให้ก ารดูแ ลลู ก ค้า ชาวต่างชาติทมาใช้บริการทีประเทศไทย บริษทตัวแทนมีทงในประเทศต้นทางและในประเทศ ่ี ่ ั ั้ ไทย โดยส่วนใหญ่บริษทเหล่านี้จะมีโรงพยาบาลคูสญญาหลายราย (และ/หรือในหลายประเทศ ั ่ ั 18 สําหรับบริษทตัวแทนทีอยู่ในประเทศต้นทาง ) ทีพร้อมจะรองรับและให้บริการทางการแพทย์ ั ่ ่ โดยบริษทจะช่วยจัดการในด้านการเดินทางเข้ามารับบริการ แนะนํ าโรงพยาบาลและแพทย์ ั ผูเชี่ยวชาญ นัดหมายแพทย์เพื่อทําการรักษา อํานวยความสะดวกในการติดต่อประสานงาน ้ บางรายอาจช่วยจัดหาที่พกและบริการรถรับส่ง ตังแต่ลูกค้าเดินทางมาถึงเมืองไทย พร้อมทัง ั ้ ้ รับส่งจากที่พกไปยังโรงพยาบาลอีกด้วย นอกจากนี้ บางรายอาจมีบริการนํ าเที่ยวรอบเมือง ั (City Tour) ทังนี้ ขึนอยูกบความต้องการของลูกค้า ้ ้ ่ ั การศึกษาในส่วนต่อไปนี้จะกล่าวถึงบทบาทของบริษทตัวแทนต่างๆ ทีตงอยูหรือมีสาขา ั ่ ั้ ่ ในประเทศไทยโดยสังเขป (สําหรับบริษัทตัวแทนในต่างประเทศนัน ดูต ัวอย่างรายชื่อและ ้ บริการของบริษทตัวแทนในสหรัฐอเมริกาได้ในหนังสือ Patients Beyond Borders (Second ั Edition 2008) ซึ่งเป็ นหนังสือคู่มอสําหรับคนไข้ท่จะเดินทางไปรักษาในต่างประเทศ (ใน ื ี ลักษณะเดียวกับคูมอนักท่องเทียวหรือ Traveler’s Guide) ่ ื ่ 18 บริษทตัวแทนบางบริษททําหน้าทีเป็ นตัวแทนของบริษทประกันสุขภาพด้วย (บางบริษทเป็ นบริษทลูกด้วย ั ั ่ ั ั ั เช่น บริษท Companion Global Healthcare Inc เป็ นบริษทลูกของ Blue Cross Blue Shield) และมีแนวโน้ม ั ั ว่าบริษทประกันสุขภาพขนาดใหญ่ของสหรัฐจะหันมาส่งคนไข้ของตนออกไปรับการรักษาในต่างประเทศมาก ั ขึน (Woodman 2008) ้ 29
  • 48.
    กรอบที่ 2.2 กระบวนการตลาดของโรงพยาบาลที่ผานตัวแทน(agent) เป็ นหลัก: ่ กรณี ศึกษาโรงพยาบาลยันฮี โรงพยาบาลยันฮี เป็ นโรงพยาบาลเอกชนที่ให้บริการอย่างครบวงจรทังโรคทัวไปและ ้ ่ โรคเฉพาะทาง โดยเฉพาะอย่างยิงการให้บริการด้านศัลยกรรมความงามซึ่งมีช่ือเสียงทังใน ่ ้ ประเทศไทยและในอีกหลายประเทศ โดยเฉพาะอย่างยิงในเอเชียตะวันออก เช่น ญี่ปุ่น และ ่ เกาหลีใต้ นอกจากนี้ โรงพยาบาลยันฮีมศูนย์กลางการแปลงเพศครบวงจรทังจากชายเป็ นหญิง ี ้ และจากหญิงเป็ นชาย อีกทังยังมีศูนย์การแพทย์เฉพาะทางครบวงจร ศูนย์แพทย์ทางเลือกที่ ้ ั ให้บริการทังการแพทย์แผนไทย การฝงเข็มและล้างลําไส้ (Detox) อย่างไรก็ดี ศัลยกรรม ้ ตกแต่งและความงามยังคงเป็ นบริการทีเป็ นทีนิยมและมีลูกค้าทังชาวไทยและชาวต่างชาติมารับ ่ ่ ้ บริการมากเป็ นอันดับหนึ่ง รองลงมาคือการเปลียนข้อกระดูก การตรวจสุขภาพ และทันตกรรม ่ ในช่วง 5 ปี ทผ่านมา โรงพยาบาลได้ส่งเสริมการให้บริการแก่นักท่องเทียวชาวต่างชาติ ่ี ่ อย่างต่อเนื่อง โดยทางโรงพยาบาลได้จดให้มศูนย์กลางให้ขอมูลผูป่วยชาวต่างชาติผ่านทาง ั ี ้ ้ ่ ่ Email และ Call Center เป็ นภาษาอังกฤษ ภาษาญีปุน ภาษาอาหรับ และภาษาเกาหลี และมี ล่ามให้บริการในบางภาษา เช่น ภาษาอังกฤษ ภาษาเยอรมัน ภาษาฝรังเศส ภาษาญี่ปุ่น ภาษา ่ เกาหลี และภาษาอาหรับ นอกจากนี้ยงมีเจ้าหน้ าที่ชาวเวียดนาม พม่า และกัมพูชา คอย ั ให้บริการกลุ่มลูกค้าจากประเทศเพื่อนบ้านทีส่วนใหญ่เดินทางเข้ามารักษาโรคทัวไป ในขณะที่ ่ ่ ลู ก ค้ า จากประเทศที่ พ ัฒ นาแล้ ว ส่ ว นใหญ่ จ ะเข้ า มารับ บริ ก ารด้ า นความสวยความงาม โรงพยาบาลได้จดให้มหอผูป่วย (ward) สําหรับคนไข้ชาวต่างชาติโดยเฉพาะ ซึงจะมีล่ามและ ั ี ้ ่ เจ้าหน้าที่ชาวต่างชาติ คอยให้อํานวยความสะดวกแก่ผูมารับบริการอย่างใกล้ชด ถึงแม้ว่าทีม ้ ิ แพทย์และพยาบาลจะเป็ นชุดเดียวกับทีทาการรักษาคนไข้ชาวไทย แต่จะมีพยาบาลชาวต่างชาติ ่ ํ ซึ่งส่วนใหญ่เป็ นชาวฟิ ลปปิ นส์ และนักศึกษาพยาบาลจากเนเธอร์แลนด์และเยอรมันทีเดินทาง ิ ่ ศึกษาดูงาน ทําหน้าทีเป็ นผูช่วยพยาบาล คอยให้คําปรึกษาด้านความรูทางการแพทย์และการ ่ ้ ้ พยาบาล ตลอดจนช่วยสื่อสารให้การบริการเป็ นไปได้อย่างถูกต้องตรงตามความต้องการของ คนไข้ นอกจากนี้ ทางฝ่ายต่างประเทศของโรงพยาบาลยันฮีก็มทมเจ้าหน้ าที่คอยให้กําลังใจ ี ี ้ ่ ่ ํ ผูปวยทีกาลังพักฟื้นอีกด้วย คนไข้ชาวต่างชาติทเี่ ดินทางเข้ามารับบริการส่วนใหญ่จะใช้บริการผ่านทาง agent ทีเป็ น ่ ตัว แทนของโรงพยาบาลยัน ฮีใ นต่ า งประเทศ ซึ่ง มีท ัง ในทวีป เอเชีย ยุ โ รป อเมริก า และ้ ออสเตรเลีย โดย agent จะทําหน้าทีหาลูกค้า แนะนําบริการของโรงพยาบาล ติดต่อประสานงาน ่ รวมถึงจัดหาทีพกและอํานวยความสะดวกแก่ลูกค้าทีตองการเข้ามารับบริการทางการแพทย์ใน ่ ั ่ ้ ประเทศไทย อย่างไรก็ตาม สําหรับคนไข้บางรายทีเดินทางมาด้วยตนเองโดยการแนะนําของผูท่ี ่ ้ เคยใช้บริการมาก่อนนัน ในกรณีท่คนไข้ชาวต่างชาติทต้องการข้อมูลการท่องเทียวในประเทศ ้ ี ่ี ่ ไทย ทางโรงพยาบาลจะประสานงานกับบริษททัวร์ในประเทศเพื่อให้คาแนะนํ าเกียวกับสถานที่ ั ํ ่ ท่องเทียว รวมถึงทีพกในประเทศให้ หรือในคนไข้บางรายทีเดินทางเข้ามารับบริการด้วยตัวเอง ่ ่ ั ่ ่ ั ้ ่ ทางโรงพยาบาลจะช่วยจัดหาทีพกและมีรถจัดส่งผูปวยจากโรงพยาบาลไปยังทีพก ซึงทีพกส่วน ่ ั ่ ่ ั 30
  • 49.
    ใหญ่จะอยู่บริเวณใกล้เคียงกับโรงพยาบาล อาทิ โรงแรมรอยัลริเวอร์หรือเกสต์เฮาส์บนถนน ข้าวสาร ทังนี้ขนอยูกบความต้องการของคนไข้ ้ ้ึ ่ ั ข้อมูลจากฝ่ายต่างประเทศของโรงพยาบาลระบุว่า ในปจจุบน (กลางปี 2551) คนไข้ ั ั ชาวต่างชาติคดเป็ นร้อยละ 30 ของจํานวนคนไข้ทงหมดของโรงพยาบาล ทังนี้ ในปี ท่ผ่านมา ิ ั้ ้ ี จํานวนชาวต่างชาติทเข้ามารับบริการทีโรงพยาบาลยันฮีโดยเฉลี่ยอยู่ท่ี 915 คนต่อเดือน เป็ น ่ี ่ ้ ่ ้ ่ ผูปวยนอก (OPD) 750 คนต่อเดือน และผูปวยใน (IPD) 165 คนต่อเดือน เพิมขึนจาก 5 ปี ก่อน ่ ้ ้ ่ ้ ่ ทีมจานวนลูกค้าชาวต่างชาติโดยเฉลีย 770 คนต่อเดือน (แยกเป็ นผูปวยนอกและผูปวยใน 630 ่ ีํ ่ ่ ุ่ และ 140 คน ตามลําดับ) ชาติทเี่ ดินทางเข้ามารับบริการมากทีสด คือ ญีปน รองลงมาคือเกาหลี ุ่ ยุโรป อเมริกน และอาหรับ ั เกณฑ์การคิดค่ารักษาพยาบาลในคนไข้ชาวต่างชาติจะต่างจากคนไข้ชาวไทย เนื่องจาก คนไข้ชาวต่างชาติจะได้รบการบริการที่เพิมเติมจากชาวไทย กล่าวคือ จะมีล่ามและเจ้าหน้าที่ ั ่ ชาวต่างชาติให้บริการตลอดระยะเวลาพักฟื้น มีบริษทบริหารจัดการเกียวกับอาหารคอยดูแลและ ั ่ ให้บริการคนไข้ทงชาวไทยและชาวต่างชาติ มีบริการ Call Center และ Wi-Fi อินเตอร์เน็ตไว้ ั้ บริการที่ International Ward ส่งผลให้อตราค่าบริการของชาวต่างชาติจะสูงกว่าของคนไทย ั ประมาณร้อยละ 10-20 การเพิมขึนของลูกค้าชาวต่างชาติทําให้โรงพยาบาลยันฮีมแผนที่จะขยายตึกใหม่เพื่อ ่ ้ ี รองรับการขยายตัวของลูกค้ากลุ่มนี้ ซึงตึกใหม่น้ีอยู่ในระหว่างการดําเนินการ คาดว่าจะพร้อม ่ ให้บริการภายในปี 2552 นอกจากนี้ โรงพยาบาลยังมีแผนทีจะเปิ ดตลาดเชิงรุกให้มากขึน โดย ่ ้ มุ่งเจาะกลุ่มตลาดใหม่ อาทิ จีนและอาหรับ รวมถึงขยายตัวแทน (agent) ในต่างประเทศให้ ครอบคลุมมากขึน อีกทังยังมีแผนทีจะเพิมประสิทธิภาพของตัวแทน โดยจะจัดสัมมนารับทราบ ้ ้ ่ ่ ข้อมูลข่าวสารของโรงพยาบาล เพื่อให้ตวแทนสามารถทําการตลาดได้อย่างมีประสิทธิภาพ ั นอกจากนี้ ทีผานมาโรงพยาบาลยังมีการประชาสัมพันธ์โดยจัดโรดโชว์ในประเทศต่างๆ มาอย่าง ่ ่ ต่อเนื่องอีกด้วย บริษท Hygeia Healthcare เป็ นบริษทตัวแทนชันนําแห่งหนึ่งทีมสาขาครอบคลุมใน ั ั ้ ่ ี หลายประเทศทัวโลกรวมถึง ประเทศไทย ลู ก ค้า ที่ส นใจเข้า มาใช้บ ริก ารทางการแพทย์ใ น ่ ประเทศไทยจึงประกอบด้วยหลายเชื้อชาติ แต่ส่วนใหญ่เป็ นชาวออสเตรเลีย นิวซีแลนด์ และ ยุโรปแถบประเทศสแกนดิเนเวีย บริษท Hygeia Healthcare ได้สร้าง Destination Beauty ขึน ั ้ เพื่อเป็ นแบรนด์ทให้บริการด้านศัลยกรรมความงามโดยเฉพาะ นอกจากนี้ยงได้จดทําเว็บไซต์ ่ี ั ั www.destinationbeauty.com ขึนเพื่อเป็ นสื่อกลางในการติดต่อสื่อสาร โดยมีโรงพยาบาลยันฮี ้ เป็ นปลายทางสําคัญทีให้บริการด้านศัลยกรรมความงาม ทางบริษทได้ให้ขอมูลว่า โดยเฉลี่ย ่ ั ้ แล้ว ลูกค้าจะเดินทางเข้ามารับบริการทางการแพทย์ในไทยประมาณเดือนละ 50-60 ราย โดย ในแต่ละรายจะใช้เวลาในเมืองไทยประมาณ 7-10 วัน (รวมระยะเวลาพักฟื้ น) ส่วนมากจะเน้น เข้ามารับบริการผ่าตัดศัลยกรรมตกแต่ง (Plastic Surgery) และศัลยกรรมความงาม (Cosmetic 31
  • 50.
    Surgery) เป็ นหลักและอาจมีการผ่าตัดสะโพกและข้อต่อบ้างประปราย โดยลูกค้าจะต้องกรอก Medical questionnaire พร้อมแนบรูปถ่ายผ่านทางเว็บไซต์ โดยทางบริษทจะส่งข้อมูลนี้ไปยัง ั แพทย์ผูเชี่ยวชาญเพื่อทําการประเมิน แล้วส่งกลับไปอีกที่ลูกค้าอีกทีหนึ่ง เมื่อลูกค้าเห็นชอบ ้ ทางบริษทก็จะทําการนัดหมายแพทย์ รวมถึงประเมินค่ารักษาพยาบาลเบืองต้น โดยทางจะ ั ้ บริษทมี contract อยูกบโรงพยาบาลต่างๆ อาทิ โรงพยาบาลกรุงเทพ โรงพยาบาลปิ ยะเวท ั ่ ั โรงพยาบาลเวชธานี โรงพยาบาลยันฮีและโรงพยาบาลกรุงเทพภูเก็ต เป็ นต้น ถ้าลูกค้าต้องการ ตรวจเช็คร่างกายทัวไปหรือการผ่าตัดเบื้องต้น รวมถึงการผ่าตัดเปลี่ยนหัวใจ การผ่าตัดข้อ ่ กระดูก จะส่งไปทีโรงพยาบาลกรุงเทพ เพราะมีเครื่องมือและอุปกรณ์ททนสมัย รวมถึงมีแพทย์ ่ ่ี ั ที่มท กษะความชํานาญเฉพาะทาง ซึ่งคนไข้ท่ีต้องเข้ารับการผ่าตัดบางรายอาจต้องนํ า เวช ี ั ระเบียน (medical report) มาด้วย ในกรณีทลูกค้าต้องการให้จดหาทีพก รถรับ-ส่ง รวมถึงบริการนําเทียวนัน ลูกค้าจะต้อง ่ี ั ่ ั ่ ้ แจ้งความจํานงและจ่ายค่าใช้จ่ายส่วนนี้เพิมกับทางบริษทเอง เนื่องจากบริการดังกล่าวมิได้เป็ น ่ ั บริการหลักของทางบริษท ต่างจากลูกค้าที่เดินทางเข้ามาเพื่อรับบริการทางการแพทย์เพียง ั อย่า งเดีย ว ที่ท างโรงพยาบาลจะเป็ น ผู้คิด ค่า รัก ษาพยาบาลและค่า บริก ารแต่ เ พีย งผู้เ ดีย ว เช่นเดียวกับบริษทตัวแทนอื่นๆ เช่น บริษท MedAsia Healthcare ทีมขนตอนการดําเนินงาน ั ั ่ ี ั้ และการบริการที่คล้ายคลึงกัน นอกจากนี้ ยังมีบริษทที่เจาะกลุ่มเป้าหมายลูกค้ารายประเทศ ั โดยเฉพาะอีกด้วย อาทิเช่น บริษท Red Hare Communications ทีเน้นกลุ่มลูกค้าชาวอเมริกน ั ่ ั บริษัทจะทําหน้ าที่จดการและดูแลชาวอเมริกนที่เดินทางเข้ามารับบริการทางการแพทย์ใน ั ั ประเทศไทย โดยอัตราค่าบริการเป็ นเงิน 300 เหรียญสหรัฐ ซึงบริการเหล่านี้จะรวมถึงการจอง ่ ทีพกทีโรงแรม Siam Society Hotel & Resort ซึงตังอยูบนถนนประดิษฐ์มนูธรรม บริการรถ ่ ั ่ ่ ้ ่ รับ-ส่งจากสนามบินไปยังทีพก และจากทีพกไปยังสนามบินในวันทีเดินทางกลับ และบริการพา ่ ั ่ ั ่ ลูกค้าไปโรงพยาบาลเพือเข้ารับคําปรึกษาและบริการทางการแพทย์ ในกรณีทตองเข้ารับการ ่ ่ี ้ รักษาทีโรงพยาบาล จะมีบริการรถรับส่งจากทีพกไปยังโรงพยาบาล และจากโรงพยาบาลไปยัง ่ ่ ั ทีพกเมือการรักษาสินสุดลง โดยลูกค้าจะมีสทธิ ์ในการเลือกโรงพยาบาลทีจะใช้บริการ ่ ั ่ ้ ิ ่ จะเห็น ได้ว่ า บริก ารของบริษัท ตัว แทนส่ว นใหญ่ จะเน้ นที่ก ารประสานงานและการ ให้บริการทางการแพทย์เป็ นหลัก โดยมีบริการจัดหาที่พกและการนํ าเที่ยวเป็ นทางเลือกเสริม ั อย่างไรก็ดี มีบริษททัวร์จํานวนไม่น้อยทีหนมาสนใจธุรกิจบริการด้านสุขภาพ ดังจะเห็นได้จาก ั ่ ั การทีบริษททัวร์ต่างเริมทยอยขยายบริการไปสูบริการทางการแพทย์เพิมมากขึน นอกเหนือจาก ่ ั ่ ่ ่ ้ การนํ าเที่ยวเพียงอย่างเดียว ซึ่งต่ างจากเมื่อก่อนที่บริษัทตัวแทนและบริษัททัวร์จะแยกการ ให้บริการกันอย่างชัดเจน บริษท Marwin Tours เป็ นอีกบริษทหนึ่งทีได้เพิมการบริการทีอํานวยความสะดวก ั ั ่ ่ ่ ให้แก่ผทมารับบริการทางการแพทย์ในประเทศไทย ลูกค้าส่วนใหญ่จะเป็ นคู่สมรสชาวตะวันออก ู้ ่ี กลางวัยกลางคนไปจนถึงวัยสูงอายุ ลูกค้าเหล่านี้นิยมเข้ามาตรวจสุขภาพในประเทศไทย โดย เฉพาะทีโรงพยาบาลบํารุงราษฎร์ ซึงลูกค้าจะใช้เวลาในการเข้ารับการบริการอย่างน้อย 3 วัน ่ ่ 32
  • 51.
    โดยทางบริษทจะเป็ นผูจดหาทีพก รถรับส่งจากสนามบินพร้อม City Tour แต่ลูกค้าส่วนใหญ่ ั ้ั ่ ั ปฏิเสธบริการ City Tour เนื่องจากว่าต้องการเข้ามาเพื่อรับบริการการตรวจสุขภาพเพียงอย่าง เดียว นอกจากนี้ ยังมีการอํานวยความสะดวกในรูปแบบใหม่ คือการนํานวัตกรรมเทคโนโลยีทาง อิเล็กทรอนิกส์การ์ดมาใช้ประกอบการให้บริการงานเคลมประกัน ซึงมีลกษณะการใช้งานและ ่ ั เก็บฐานข้อมูลเหมือนบัตรเครดิตทัวไป ให้เรียกว่า Electronic Health Card Network ซึงเป็ น ่ ่ ่ ู้ ่ ้ ้ ่ บัตรทีผเกียวข้องสามารถเข้าถึงฐานข้อมูลได้ตลอดเวลา โดยทุกครังเมื่อผูปวยรูดบัตรสมาชิกใน ระบบอิเล็กทรอนิกส์ ณ จุดให้บริการทีกระจายอยูตามโรงพยาบาลต่างๆ เช่น โรงพยาบาลปิ ยะ ่ ่ ้ ่ เวท โรงพยาบาลพญาไท โรงพยาบาลเซนต์หลุยส์ เป็ นต้น ข้อมูลผูปวยก็จะปรากฎเป็ นรายงาน ให้ทุกฝ่ายที่เกี่ยวข้องทราบทันที บริษัทที่นําระบบนี้มาใช้ในเมืองไทยคือ บริษทเมดิลงค์ ั ิ 19 (ประเทศไทย) จํากัด โดยได้เปิ ดให้บริการใน 8 ประเทศคือ มาเลเซีย อินโดนีเซีย ฟิ ลปปิ นส์ ิ บังคลาเทศ จีน ไทย เวียดนาม และกัมพูชา ตามลําดับ ให้บริการเป็ น ”solution provider” ทํา หน้าที่เป็ นบริษทกลางในการอํานวยความสะดวกในการเรียกร้องสินไหมทดแทนด้านสุขภาพ ั ระหว่างบริษทประกันผูรบผิดชอบค่ารักษาพยาบาล และผูให้การรักษาพยาบาล (healthcare ั ้ั ้ ้ ํ ั provider) อีกทังยังมีบริการให้คาปรึกษาปญหาด้านประกัน บริการออกแบบกรมธรรม์ ตลอดจน จัดหาสถานพยาบาลและสิงอํานวยความสะดวกสําหรับลูกค้าในการรักษาพยาบาล และยังมีแผน ่ ที่จะขยายการบริการในการจัดหาแพทย์ โรงพยาบาล โรงแรม และการท่องเที่ยวเพื่อรองรับ ้ ่ ้ ความต้องการของผูปวยทังในและนอกประเทศ ตารางที่ 2.6 ตัวอย่างบริษทตัวแทนที่มีบริ การนําคนไข้เข้ามารับบริ การด้านสุขภาพใน ั ประเทศไทย บริ ษทตัวแทน ั สัญชาติ ผป่วย ู้ บริ การ Hygeia Healthcare Co.,Ltd. ทั ่วไป แต่สวนใหญ่จะ ่ - ลูกค้าทีจะใช้บริการศัลยกรรมตกแต่ง จะต้องกรอก ่ มาจากออสเตรเลีย Medical questionnaire พร้อมแนบรูปมาด้วย โดยทาง นิวซีแลนด์ และ บริษทจะส่งให้แพทย์ผเู้ ชียวชาญทําการประเมิน แล้ว ั ่ ประเทศทางแถบ ตอบกลับไปอีกทีหนึ่ง ถ้าลูกค้าเห็นชอบ ทางบริษทก็จะ ั ยุโรป ทําการนัดแพทย์ให้ รวมถึงประเมินค่ารักษาพยาบาล เบืองต้น ้ - คนไข้ทตองเข้ารับการผ่าตัดบางราย อาจจําเป็ นต้องมี ่ี ้ Medical report มาด้วย ในบางกรณี ลูกค้าจําเป็ นต้อง กรอก Inquiry form ด้วย - ในกรณีทลกค้าต้องการให้จดหาทีพกและรถรับส่ง ่ี ู ั ่ ั ลูกค้าจะต้องจ่ายค่าใช้จายส่วนนี้เพิมก่อนเดินทาง ่ ่ - ทีพกทีทางบริษทจัดหาให้นน จะตังอยูใกล้โรงพยาบาล ่ ั ่ ั ั้ ้ ่ อาทิ ถ้าลูกค้าต้องเข้ารับบริการทีโรงพยาบาลยันฮี ก็จะ ่ จองโรงแรมรอยัล ริเวอร์ หรืออพาร์ทเมนต์ทตงอยู่ ่ี ั ้ บริเวณใกล้เคียง ราคาห้องพักจะประมาณ 1,500- 19 http://www.medilink.co.th/medilink/aboutus.html 33
  • 52.
    บริ ษทตัวแทน ั สัญชาติ ผป่วย ู้ บริ การ 3,500 บาท ทําให้คาใช้จายเฉลียต่อวันอยูทประมาณ ่ ่ ่ ่ ่ี 1,000 บาทขึนไป ้ - ระยะเวลาทีใช้ในเมืองไทยโดยเฉลีย จะประมาณ 7-10 ่ ่ วัน ทังนี้ ขึนอยูกบระยะเวลาในการพักฟื้นด้วย ้ ้ ่ ั - ลูกค้าบางรายอาจตัองการบริการนําเทียวเพิมเติม ซึง ่ ่ ่ ทางบริษทยังไม่ได้มงเน้นในส่วนนี้มากนัก แต่กจะช่วย ั ุ่ ็ ประสานงานและจัดหาทีพกให้ โดยลูกค้าสามารถเลือก ่ ั สถานทีได้จาก brochure ซึงทางบริษทจะคิดค่าใช้จาย ่ ่ ั ่ ในส่วนนี้ต่างหาก - ในด้านค่าใช้จายนัน ขึนอยูกบบริการทีลกค้าเลือกรับ ่ ้ ้ ่ ั ู่ ซึงแตกต่างกันไปในแต่ละราย ่ หมายเหตุ กรณีทวไปทีลกค้าใช้บริการทางการแพทย์เพียง ั่ ่ ู อย่างเดียว บริษทจะได้สวนแบ่งตาม contract จากทาง ั ่ โรงพยาบาล - นอกจากนี้ บริษทยังมี contract อยูกบโรงพยาบาล ั ่ ั กรุงเทพ โรงพยาบาลปิ ยะเวท โรงพยาบาลเวชธานี โรงพยาบาลกรุงเทพภูเก็ต และโรงพยาบาลยันฮี รวมถึงโรงพยาบาลเทพธารินทร์ละ TRSC Lasik Center อีกด้วย - การผ่าตัดเปลียนหัวใจ การผ่าตัดข้อกระดูก รวมถึง ่ Medical check-up หรือ surgery ทัวไปจะส่งไปที่่ โรงพยาบาลกรุงเทพ เพราะมีเครืองมือและอุปกรณ์ท่ี ่ ทันสมัย MedAsia Healthcare ออสเตรเลียและยุโรป - ทําหน้าทีเป็ น Private Consulting ลูกค้าชาวต่างชาติ ่ - ประสานลูกค้าชาวต่างชาติกบโรงพยาบาล โดยให้ ั ลูกค้าส่ง Inquiry มาให้ MedAsia Healthcare จะ คอยให้คาปรึกษาและข้อมูลเกียวกับบริการทาง ํ ่ การแพทย์ โดยจัดส่งข้อมูลและ profile ของแพทย์ไป ให้ลกค้าพิจารณา ซึงลูกค้าจะเป็ นผูเ้ ลือกโรงพยาบาล ู ่ และแพทย์ผทาการรักษาเอง เมือลูกค้าตกลงทีจะ ู้ ํ ่ ่ ใช้บริการแล้ว ก็จะช่วยนัดคนไข้ให้ - ทังนี้ โรงพยาบาลทีแนะนําลูกค้านันจะขึนอยูกบทีพก ้ ่ ้ ้ ่ ั ่ ั ของลูกค้า ซึงบริษทจะช่วยจัดหาทีพกให้ลกค้าในบาง ่ ั ่ ั ู กรณี ทีพกส่วนใหญ่จะตังอยูยานใจกลางเมือง อาทิ ่ ั ้ ่ ่ สุขมวิท สีลม พระราม 9 โรงพยาบาลทีลกค้าใช้บริการ ุ ู่ ส่วนใหญ่คอ โรงพยาบาลบํารุงราษฎร์ โรงพยาบาล ื สมิตเิ วช โรงพยาลกรุงเทพ โรงพยาบาลปิ ยะเวท โรงพยาบาลพระรามเก้า เป็ นต้น - บริการทางการแพทย์ทเี่ ป็ นทีนิยมมากทีสด คือ ่ ุ่ ศัลยกรรมเสริมความงาม รองลงมา คือทันตกรรม - โดยส่วนใหญ่แล้วลูกค้าทีตองการศัลยกรรมเสริมความ ่ ้ งาม จะหาข้อมูลแพทย์และโรงพยาบาลไว้อยูแล้ว ่ - ค่าบริการโดยเฉลียจะเริมที่ 50,000 บาทโดยประมาณ ่ ่ 34
  • 53.
    บริ ษทตัวแทน ั สัญชาติ ผป่วย ู้ บริ การ ทังนี้ขนอยูกบบริการทางการแพทย์ทใช้บริการ ซึง ้ ้ึ ่ ั ่ี ่ ลูกค้าจะจ่ายตรงกับโรงพยาบาล - ทางบริษทไม่ได้มหน้าทีแนะนําสถานทีททองเทียวหรือ ั ี ่ ่ ่ี ่ ่ พาชมเมือง เป็ นเพียงผูประสานงานเท่านัน เมือคนไข้ ้ ้ ่ ถึงมือแพทย์ หน้าทีของ MedAsia Healthcare ก็สนสุด ่ ้ิ ลง อย่างไรก็ด ี ทางบริษทอาจโทรศัพท์หรืออีเมล์ไป ั สอบถามลูกค้าหลังเข้ารับบริการทางการแพทย์แล้ว Red Hare Communications อเมริกน ั - จองทีพกทีโรงแรม Siam Society Hotel & Resort ่ ั ่ - รถรับ-ส่งจากสนามบินไปยังทีพก ่ ั - พาลูกค้าไปโรงพยาบาลเพือเข้ารับคําปรึกษาและ ่ บริการทางการแพทย์ - ในกรณีทตองเข้ารับการรักษาทีโรงพยาบาล จะมี ่ี ้ ่ บริการรถรับ-ส่งจากทีพกไปยังโรงพยาบาล และจาก ่ ั โรงพยาบาลไปยังทีพกเมือการรักษาสินสุดลง ่ ั ่ ้ Thailand Vacation Tour Corporation ทัวไป ่ - มี contract กับโรงพยาบาลชันนําของเมืองไทย อาทิ ้ โรงพยาบาลศิรราช โรงพยาบาลกรุงเทพ โรงพยาบาล ิ ยันฮี โรงพยาบาลบีเอ็นเอช รวมถึงโรงพยาบาล กรุงเทพ-พัทยา - โดยอัตราค่าบริการจะรวม Round trip transfer (Bangkok-Hospital) และราคาห้องพัก 1-2 คืน ทังนี้ ้ ขึนอยูกบโปรแกรมทีเลือกรับบริการ ้ ่ ั ่ - อัตราค่าบริการอยูท่ี $187-2,557 ่ Marwin Tours ตะวันออกกลาง - จัดหาทีพก่ ั - บริการรถรับ-ส่งจากสนามบิน และจากทีพกไป ่ ั โรงพยาบาล - City tour Thailand Health & Travel Co.,Ltd. เยอรมัน - MTA Korea Co.,Ltd. เกาหลี - Lemongrass Medical Consulting & สวีเดน - Invest AB Body Treat & Travel Co.,Ltd ทัวไป ่ - จองโรงแรมระดับ 4 ดาวในกทม. - บริการรถรับ-ส่งจากสนามบินมายังทีพก ่ ั - บริการรถรับ-ส่งจากทีพกไปยังโรงพยาบาล ่ ั - บริการจองโรงแรมทีพกล่วงหน้าhotel tment with ่ ั Nat Marr Parr Tour Co.,Ltd ทัวไป ่ - เพิงแยกตลาด Medical tourism ออกมา เพือ ่ ่ ตอบสนองความต้องการของตลาดในป ั ่ ัจจุบน ซึงกําลัง อยูในช่วงดําเนินการ ่ ทีมา: รวบรวมโดยคณะผูวจย ่ ้ิั 35
  • 54.
    บทบาทของสถานพยาบาลภาครัฐ แม้ว่าการขยายตัวของ medical tourism ในประเทศไทยจะมีจุดเริมมาจากภาคเอกชน ่ และในการผลักดันของภาครัฐ (ไม่ว่าจะเป็ นกระทรวงพาณิชย์หรือกระทรวงสาธารณสุข) ก็มความ ี คาดหมายว่าโรงพยาบาลเอกชนจะเป็ นกลไกหลักในส่วนของ medical hub อย่างไรก็ตาม ทีผานมา ่ ่ สถานพยาบาลที่เป็ นโรงเรียนแพทย์ของรัฐที่มีช่ือเสียงแห่งหนึ่ งคือโรงพยาบาลศิรราช ได้มีการ ิ ปรับตัวให้มความทันสมัยขึน และได้มการพัฒนาศูนย์รกษาโรคเฉพาะทาง เช่น ศูนย์หวใจ และศูนย์ ี ้ ี ั ั มะเร็ง โดยในส่วนของศูนย์หวใจนัน ตังแต่ช่วงปลายปี 2549 ได้เปิ ดศูนย์ท่มช่ือเฉพาะเป็ น ั ้ ้ ี ี ภาษาอังกฤษว่า “The Heart by Siriraj” เป็ นองค์กรอิสระภายใต้กํากับของคณะแพทยศาสตร์ศริ ิ ราชฯ ซึงในทางปฏิบตเป็ นเสมือนโรงพยาบาลเอกชนในโรงพยาบาลรัฐ (ดูรายละเอียดเพิมเติม ่ ั ิ ่ ในกรอบที่ 6.1 ในตอนที่ 6) และมีแผนทีจะทําศูนย์ Excellent Center/Medical Research ่ Building ทีเป็ น One-stop service ประมาณ 300 เตียง (ในพืนทีทเคยเป็ นสถานีรถไฟธนบุร)ี ่ ้ ่ ่ี 20 สําหรับให้บริการทางการแพทย์โดยเน้นกลุ่มผูมรายได้สง ้ ี ู นอกจากนี้ โรงพยาบาลศิร ร าชและโรงพยาบาลรามาธิบ ดีก ม โ ครงการร่ว มมือ กับ ิ ็ ี บริษท MEDS (ซึ่งมีผูบริหารเป็ นแพทย์จาก UCLA) ในการนํ าคนไข้ (และในบางกรณีนํา ั ้ คนไข้มาพร้อมกับแพทย์ผูเชียวชาญ) มาทําการรักษาในประเทศไทย โดยเน้นการรักษาโรค ้ ่ เฉพาะทาง อาทิ เนื้องอกในมดลูก หรือผ่าตัดหัวใจ ด้วยการใช้เทคโนโลยีใหม่ในการรักษา ่ ่ ่ (เช่น การอุด เส้น เลือ ดแดงทีไ ปเลี้ย งเนื้อ งอกทีม ดลูก เพื่อ ทํา ให้เ นื้อ งอกฝ อ ไปโดยไม่ต ้อ ง ผ่าตัด) และในอนาคตมีโครงการทีจะขยายออกไปยังการรักษาโรคกระดูกหลังและเข่า และ ่ อาจจะมีโรงพยาบาลจุฬาฯ เข้าร่วมโครงการด้วย โรงพยาบาลศิรราชยังเป็ นโรงพยาบาลรัฐที่ ิ นอกจากจะผ่านการรับรองมาตรฐาน Hospital Accreditation หรือ HA (โดยสถาบันพัฒนา และรับรองคุณภาพโรงพยาบาล หรือ พรพ. ของไทย) แล้ว ยังเป็ นหนึ่งในไม่ก่โรงพยาบาลของ ี ไทยทีผ่านการรับรองมาตรฐานจาก Joint Commission International Accreditation หรือ ่ JCIA อีกด้วย (ซึ่งส่วนใหญ่โรงพยาบาลทีเข้ารับการรับรองมาตรฐานจาก JCIA จะเป็ น ่ โรงพยาบาลเอกชนทีมเป้าหมายในการดึงลูกค้าจากสหรัฐอเมริกา) ่ ี อย่ า งไรก็ ต าม จากการสั ม ภาษณ์ ศ.นพ.ปิ ยะสกล สกลสั ต ยาทร อธิ ก ารบดี มหาวิทยาลัยมหิดล21 ซึ่งเป็ นอดีตคณบดีและผูบริหารโรงพยาบาลศิรราชทีรเริมโครงการเหล่านี้ ้ ิ ่ิ ่ ั ั ั (และปจจุบนก็ยงคงมีสวนกํากับดูแลโรงพยาบาลศิรราชในฐานะผูบริหารมหาวิทยาลัยมหิดล) ระบุ ่ ิ ้ ว่าโครงการเหล่านี้เป็ นความพยายามรักษาความเป็ นเลิศด้านวิชาการ และรักษาบุคลากรไม่ให้ถูก ดึงออกไปจากโรงเรียนแพทย์ (ในลักษณะทีคล้ายคลึงกับการเปิ ดคลินิกพิเศษนอกเวลาราชการใน ่ อดีต) และนํารายได้มาพัฒนาวิชาการและโรงพยาบาล ตลอดจนอุดหนุ นการรักษาผูป่วยกลุ่มอื่นๆ ้ รวมทังกลุ่มบัตรทอง ซึงในหลายกรณี ทางโรงพยาบาลได้รบการชดเชยในอัตราเหมาจ่ายทีต่ํากว่า ้ ่ ั ่ ค่าใช้จ่ายทีใช้จริง โดยมิได้มจุดมุ่งหมายทีเ่ น้นการหารายได้จากคนไข้ต่างประเทศ โครงการทีมี ่ ี ่ 20 โดยตังเป้าทีจะเก็บค่ารักษาพยาบาลทีประมาณร้อยละ 80 ของโรงพยาบาลเอกชน ้ ่ ่ 21 สัมภาษณ์โดยคณะผูวจยเมือวันที่ 14 กุมภาพันธ์ 2551 ้ิั ่ 36
  • 55.
    ความร่วมมือกับต่างประเทศ (เช่น UCLAโดย MEDS) นัน มีวตถุประสงค์หลักอยู่ทการเรียนรู้ ้ ั ี่ เทคนิคและเทคโนโลยีใหม่ๆ ทางการแพทย์มากกว่าการดึงดูดคนไข้ต่างชาติ การขอรับมาตรฐาน จาก JCIA ก็มวตถุประสงค์หลักในทํานองเดียวกัน สําหรับการรักษาคนไข้ต่างชาติในภูมภาคนี้กมี ีั ิ ็ ไม่มาก โดยส่วนใหญ่ เป็ นราชวงศ์จากภูฏาน เนปาล และมีจุดมุ่งหมายเพือรักษาชือเสียงของ ่ ่ โรงพยาบาลและของประเทศเสียมากกว่า ทังนี้จํานวนคนไข้จากต่างประเทศในแต่ละปี ทผ่านมามี ้ ี่ จํานวนทีเ่ ป็ นหลักสิบเท่านัน ้ นอกจากนี้ ศ.นพ.ปิ ยะสกล ยังมีความเห็นว่าโรงเรียนแพทย์ชนนํ าอื่นๆ (ทังโรงพยาบาล ั้ ้ รามาธิบดีซ่งอยู่ในสังกัดของมหาวิทยาลัยมหิดล และโรงพยาบาลจุฬาฯ) ก็คงจะมีการปรับตัวใน ึ ทิศทางเดียวกับโรงพยาบาลศิรราช โดยในส่วนของโรงพยาบาลรามาธิบดีก็มการพัฒนาความ ิ ี ั ร่วมมือกับสภานพยาบาลเอกชนเพื่อแก้ปญหาห้องพิเศษของโรงพยาบาลรามาธิบดีทมกจะเต็ม ่ี ั โดยมีขอตกลงให้คนไข้มารักษาหรือผ่าตัดที่โรงพยาบาลรามาธิบดี ไปพักฟื้ นต่อโรงพยาบาล ้ พญาไท และกําลังดําเนินสร้างตึกใหม่ (ตึก “สมเด็จพระเทพรัตน์” ในพืนทีทได้มาจากศูนย์เด็ก ้ ่ ่ี อ่ อนพญาไท) ซึ่งคาดว่ าจะพัฒนาเป็ นศู นย์ตรวจเฉพาะทางที่ท ันสมัยในทํานองเดียวกันกับ โครงการของศิรราช สําหรับโรงพยาบาลจุฬาฯ นอกจากจะมีโครงการผ่าตัดนอกเวลา (ซึงเป็ นการ ิ ่ ขยายบริการแบบคลินิกพิเศษนอกเวลาราชการของโรงพยาบาลไปสู่บริการผูปวยในด้วย) ยังได้ ้ ่ ดําเนินการสร้างศูนย์เชียวชาญเฉพาะทางต่างๆ อีกด้วย ่ ถ้าโรงพยาบาลที่เป็ นโรงเรียนแพทย์ชนนํ าของประเทศไทย มีแนวโน้มที่จะปรับตัวใน ั้ ทิศทางทีกล่าวมาแล้วจริง โรงพยาบาลเหล่านี้กคงจะไม่ได้มบทบาททีสาคัญในการหันไปแข่งกับ ่ ็ ี ่ํ โรงพยาบาลเอกชนในการดึงคนไข้ต่างชาติเข้ามา (ถึงแม้ว่ามีแนวโน้มทีโรงพยาบาลเหล่านี้คงมี ่ การรักษาคนไข้ต่างชาติเพิมขึ้นกว่าเดิม) อย่างไรก็ตาม เราคงจะไม่สามารถสรุปด้วยความ ่ มันใจว่ า อนาคตจะเป็ น เช่ น นัน เพราะที่ผ่า นมา ผู้บ ริห ารแต่ ล ะท่ า นก็อ าจมีมุ ม มองที่ไ ม่ไ ด้ ่ ้ เหมือนกันไปเสียทีเดียว ตัวอย่างเช่น ในกรณีของโรงพยาบาลศิรราชนัน เราก็ได้ยนทังเสียงที่ ิ ้ ิ ้ คัดค้านการปรับตัวในลักษณะดังกล่าว และเสียงจากผูบริหารระดับรองลงมาบางท่านทีเคยให้ ้ ่ ความเห็นเอาไว้ว่า ในสถานการณ์ ท่ีมคนไข้ต่างชาติเข้ามารับการรักษาในประเทศไทยเป็ น ี จํานวนมากนัน คงจะไม่เป็ นธรรมนักทีจะให้ผลประโยชน์ไปตกอยูกบฟากฝงโรงพยาบาลเอกชน ้ ่ ่ ั ั่ แต่เพียงฝ่ายเดียว ซึ่งถ้าผูบริหารโรงเรียนแพทย์ในอนาคตเห็นด้วยกับแนวคิดดังกล่าว เราก็ ้ อาจจะได้เห็นการเติบโตของโรงเรียนแพทย์ (โดยเฉพาะอย่างยิงในยุคทีมหาวิทยาลัยออกนอก ่ ่ ระบบ) ไปเป็ นโรงพยาบาลเอกชนในแบบที่ไม่ต่างจากโรงพยาบาลเอกชนกลุ่มที่มุ่งเน้ นการ ั ั รักษาคนไข้ต่างชาติเป็ นหลักในปจจุบนก็เป็ นได้ (หรืออย่างน้อยก็อาจหันไปเน้นการรักษาผูปวย ้ ่ กลุ่มฐานะดีทสามารถจ่ายเงินเองเหมือนกับโรงพยาบาลเอกชนส่วนใหญ่) ซึงนี่อาจเป็ นสาเหตุ ่ี ่ หนึ่งที่ทําให้มเสียงคัดค้านแนวทางการปรับตัวของโรงพยาบาลศิรราชที่ผ่านมาจากผู้บริหาร ี ิ โรงพยาบาลเอกชนหลายราย 37
  • 56.
    เอกสารอ้างอิ ง กระทรวงพาณิชย์. กรมส่งเสริมการส่งออก.2549. จํานวนผูป่วยชาวต่างประเทศที่เข้ารับ ้ การบริ การทางการแพทย์ในโรงพยาบาลเอกชนไทย. ค้นวันที่ 26 มิถุนายน จาก http://thesis.swu.ac.th/swuthesis/Eco_Pla_Man/Noparat_J.pdf กระทรวงสาธารณสุข. สํานักปลัดกระทรวง. 2544. การสาธารณสุขไทย 2544-2547. ค้น วันที่ 19 มิถุนายน 2550 จาก http://www.moph.go.th/ops/health_48/2544_2547.htm กระทรวงสาธารณสุข. 2546. แผนยุทธศาสตร์การพัฒนาให้ประเทศไทยเป็ นศูนย์กลาง สุขภาพแห่งเอเชีย(พ.ศ.2547-2551). ค้นวันที่ 19 มิถุนายน. จาก http://www.moph.go.th/ops/spa/center%20health%20ASIA.ppt กระทรวงสาธารณสุข. สํานักปลัดกระทรวง. 2550. แผนปฏิ บติการกระทรวงสาธารณสุข ั ประจําปี งบประมาณ 2550. ค้นวันที่ 19 มิถุนายน 2550 จาก http://bps.ops.moph.go.th/strategy/strategy1.html กระทรวงสาธารณสุข. ม.ป.ป. แผนยุทธศาสตร์การพัฒนาให้ประเทศไทยเป็ นศูนย์กลาง สุขภาพของเอเชีย (พ.ศ.2547-2551). ค้นวันที่ 26 มิถุนายน 2550 จาก www.moph.go.th/ops/spa/product_spa.ppt 310,5,Slide5 คณะกรรมการพัฒนาอุตสาหกรรมผลิตสมุนไพร. ม.ป.ป. แผนยุทธศาสตร์การพัฒนา อุตสาหกรรมผลิ ตสมุนไพร ปี 2548-2552. ค้นวันที่ 26 มิถุนายน 2550 จาก www.moph.go.th/ops/spa/product_spa.ppt คณะกรรรมการอํานวยการจัดทําแผนสุขภาพแห่งชาติ ฉบับที10. กุมภาพันธ์ 2550. ่ แผนพัฒนาสุขภาพ ฉบับที่ 10 พ.ศ.2550-2554 (27 ก.พ.50 เสนอต่อ คณะรัฐมนตรี). ค้นวันที่ 19 มิถุนายน 2550 จาก http://bps.ops.moph.go.th/Plan10/Plan10-50.pdf คณะกรรรมการอํานวยการจัดทําแผนสุขภาพแห่งชาติ ฉบับที10. กุมภาพันธ์ 2550. สรุป ่ สาระสําคัญแผนพัฒนาสุขภาพแห่งชาติ ฉบับที่ 10 พ.ศ.2550-2554. ค้นวันที19 ่ มิถุนายน 2550 จาก http://bps.ops.moph.go.th/Plan10/Plan10-50.pdf คณะกรรรมการอํานวยการจัดทําแผนสุขภาพแห่งชาติ ฉบับที่ 9. 2545. สรุปสาระสําคัญ แผนพัฒนาสุขภาพแห่งชาติ ฉบับที่ 9. ค้นวันที่ 19 มิถุนายน 2550 จาก http://bps.ops.moph.go.th/plan9.pdf โครงการข่าวสารทิศทางประเทศไทย. 2547. รายงานสถานการณ์และแนวโน้ มประเทศ ไทย เมษายน 2547. ค้นวันที่ 19 มิถุนายน 2550 จาก http://ttmp.trf.or.th/รายงาน ประจําเดือนเม.ย.2547ส่งสกว.doc บริษทสมิตเวช จํากัด มหาชน. 2550. รายงานประจําปี 2549. ั ิ 38
  • 57.
    มติ คณะรัฐมนตรี. (22มีนาคม 2549). แต่งตัง. ค้นวันที่ 19 มิถุนายน 2550 จาก ้ NEWScenter. ยุทธศักดิ ์ คณาสวัสดิ ์. ม.ป.ป. ไทย: ศูนย์กลางการรักษาพยาบาลในภูมิภาค. ค้นวันที่ 11 กันยายน 2550 จาก http://www.boi.go.th/thai/download/publication_boi_today/94/boitoday_aug_21_ 06.pdf วิโรจน์ ณ ระนอง. 2541. การคุ้มครองผู้บริ โภคในด้านการรักษาพยาบาลในโรงพยาบาล เอกชน. โครงการวิจยเพือจัดทําแผนแม่บทกระทรวงพาณิชย์ 2540-2550. กรุงเทพ: ั ่ สถาบันวิจยเพือการพัฒนาประเทศไทย. (รายงานฉบับแก้ไข) ั ่ สภาหอการค้า. คณะกรรมการธุรกิจการค้าและบริการสุขภาพ. 2546. แผนยุทธศาสตร์การ พัฒนาเพื่อเพิ่ มขีดความสามารถการแข่งขันของอุตสาหกรรมสมุนไพรไทย. ค้นวันที่ 19 มิถุนายน 2550. จาก http://www.moph.go.th/ops/spa/herbal- product.ppt#1 สํานักเลขาธิการคณะรัฐมนตรี. 2547. มติ คณะรัฐมนตรีเรื่องแผนยุทธศาสตร์การพัฒนา ประเทศไทยเป็ นศูนย์กลางสุขภาพเอเชีย (วาระสําคัญของรัฐบาล Agenda based). ค้นวันที่ 26 กรกฎาคม 2550 จาก http://www.cabinet.soc.go.th/soc/Program2- 3.jsp?top_serl=198153&key_word=ศู น ย์ ก ล า ง สุ ข ภ า พ &owner_dep =&meet_date_dd=&meet_date_mm=&meet_date_yyyy=&doc_id1=&doc_id2=&m eet_date_dd2=&meet_date_mm2=&meet_date_yyyy2= อัจฉรา วรศิรสนทร. 2547. “สินค้าและบริการสุขภาพ: อีกประเภทธุรกิจทีไทยแข่งได้”. ค้น ิุ ่ วันที่ 27 กรกฎาคม 2550 จาก http://www.bangkokbank.com/download/SRHealth.pdf “คณบดีแพทย์จุฬาฯ คนใหม่ ลันอีก4ปี คณะแพทย์จุฬาฯ เป็ นหนึ่งในอาเซียน”. กรุงเทพธุรกิ จ. ่ (28 กุมภาพันธ์ 2551). http://www.bangkokbiznews.com/2008/02/28/WW17_1701_news.php?newsid= 234301 “ครม.ทุม500ล้าน นําร่องเมดิคลฮับ 3เมืองเหนือ-ใต้!”. โพสต์ทูเดย์. (26 สิงหาคม 2547). ่ ั คอลัมน์ หมายเหตุประชาชน : “ก้าวสูการเป็ น Medical Hub of Asia (1) : ศูนย์กลางสุขภาพไม่ ่ ั ไกลเกินฝน”. เดลิ นิวส์. (29 กันยายน 2547). คอลัมน์ หมายเหตุประชาชน : “ก้าวสูการเป็ น Medical Hub of Asia(2)-อุปสรรคตํารับยาไทย”. ่ เดลิ นิวส์. (30 กันยายน 2547). คอลัมน์ หมายเหตุประชาชน : “ก้าวสูการเป็ น Medical Hub of Asia(2)-คุมมาตรฐาน สปา-นวด ่ ไทย (จบ)”. เดลิ นิวส์. (1 ตุลาคม 2547). “จัดระเบียบสปาไทย...ก่อนไปโกอินเตอร์”. มติ ชน. (8 มีนาคม 2547). 39
  • 58.
    “ดันไทย "ฮับ" ท่องเทียวเชิงการแพทย์คแข่งสิงคโปร์ตังแผนรับสกัดดาวรุง”. บิสิเนสไทย. (7- ่ ู่ ้ ่ 13 พฤษภาคม 2550). “ดึงร.พ.เอกชนสร้างฮับการแพทย์”. โพสต์ ทูเดย์. (21 เมษายน 2547). “ต่างชาติยกนิ้ว สปาไทย ที่ 1 ในโลก”. บ้านเมือง. (22 เมษายน 2548). “ททท.ลุยจัด"เฮลท์เอ็กซโป" ดันไทยสูฮบสุขภาพเอเชีย”. กรุงเทพธุรกิ จ. (20 กันยายน 2547). ่ ั “ไทยจะเป็ นศูนย์กลางการแพทย์ เชิงท่องเทียวแห่งเอเชีย?”. มติ ชน. (29 มิถุนายน 2547). ่ “ไทยเจ๋ง! ขึนแท่นอันดับ 1 "เมดิคลฮับ" ของโลก”. ผูจดการออนไลน์ . (27 สิงหาคม 2550). ้ ั ้ ั ค้นวันที่ 23 กันยายน 2550 จาก http://www.thaivi.com/mobile/thread.php?topic_id=5186&&start=270 “น.พ.อภิชาติ แห่งบํารุงราษฎร์ ร.พ.ไทยทวงแชมป์ "เมดิคอลฮับ" สําเร็จแล้ว !!”. ประชาชาติ ธุรกิ จ. (14-16 พฤษภาคม 2550). “บีโอไอ ทูเดย์: ไทย: ศูนย์กลางการรักษาพยาบาลในภูมภาค”. โพสต์ ทูเดย์. (21 สิงหาคม ิ 2549). “บุญ วนาสิน ชูเมดิคอลฮับสปา ตลาดกองอยูตรงหน้าไทยนับแสนล้าน”. ประชาชาติ ธรกิ จ. ่ ุ (15-18 ม.ค. 2547). “ปชป.จับตา.. เสรีการบิน-ศูนย์สขภาพเอเชีย เอืออาณาจักร.."ชินฯ"..?”. มติ ชน. (28 มกราคม ุ ้ 2547). “ปลุกกระแส"เฮลท์แคร์เอ็กซ์โป" รร.-รพ.แจ้งเกิดไทยเมดิคอลฮับ”. ประชาชาติ ธรกิ จ. (23-26 ุ กันยายน 2547). “เปิดโอกาสไทยสูฮบสุขภาพเอเชียผ่านโรดโชว์ทฮองกง”. โพสต์ทเดย์. (20 พฤษภาคม 2549). ่ ั ่ี ่ ู “ฝนหรู...ถึงฝง่ั ไทยเขียสิงคโปร์ ขึนแท่นเจ้าตลาด "การแพทย์"”. ประชาชาติ ธรกิ จ. (3-5 ั ่ ้ ุ พฤษภาคม 2547). “พ.ย."แม้ว"สังบรรจุหมอเป็ น"ขรก." คุย30บาทรักษาทุกโรคฉลุยเกินคาด”. มติ ชน. (19 ่ กันยายน 2546). ค้นวันที19 มิถุนายน 2550 จาก NEWScenter. ่ “พินิจ เน้นงานวิจยพัฒนาวิทย์การแพทย์”. บ้านเมือง. (12 ธันวาคม 2548). ั “ร.พ.ไทยเจ๋งตปท.ใช้บริการตรึม เผยปี ทผานมารับ2.6 หมืน ล.”. ประชาชาติ ธรกิ จ. (1-4 ่ี ่ ่ ุ เมษายน 2547). “ร.พ.ไทยวิงขาขวิดแย่งโกอินเตอร์ ขาดเอกภาพ-เมดิคอลฮับไม่ขยับ”. ประชาชาติ ธรกิ จ. (31 ่ ุ กรกฎาคม - 3 สิงหาคม 2546). “ร.พ.เอกชนไทยพร้อม !! ชู 5 ยุทธศาสตร์ เดินหน้าสู่ Medical Hub Of Asia”. ประชาชาติ ธุรกิ จ. (7-10 ตุลาคม 2547). “รัฐผนึกรพ.เอกชน โรดโชว์ตลาดนอก ตังเป้าปี น้ี'ล้านคน'”. กรุงเทพธุรกิ จ. (21 เมษายน ้ 2547). 40
  • 59.
    “รัฐผุดศูนย์สมุนไพรครบวงจรทําเงิน”. แนวหน้ า.(14 สิงหาคม 2546). “รัฐ-เอกชน ร่วมผลักดันไทยสูฮบด้านท่องเทียวเชิงการแพทย์-สปา-สุขภาพ”. พิ มพ์ไทย. (14 ่ ั ่ พฤษภาคม 2550). “โรงพยาบาลเอกชน : การขยายตัวยังเป็ นไปอย่างต่อเนื่อง”. ฐานเศรษฐกิ จ. (20-22 กรกฎาคม 2549). “แรงงาน"สปาไทย"ขาดตลาด จัดหลักสูตรเข้มรับ13ก.ค.”. ประชาชาติ ธรกิ จ. (5-7 กรกฎาคม ุ 2547). “ส.ผูวจยและผลิตยา ให้ทุนพัฒนายาใหม่ ต่อยอดฮับการแพทย์”. ประชาชาติ ธรกิ จ. (4-6 ้ิั ุ ตุลาคม 2547). "ส.สปาไทย ผลัดใบแผนพัฒนา ผนึกทีม"ไทย-เทศ"ดันเมดิคอลฮับ”. ประชาชาติ ธรกิ จ. (24-27 ุ มีนาคม 2548). “สธ.เข็นทัวร์สขภาพสู้ "ซาร์ส" ผ่าตัดหัวใจ-มะเร็งแถมคอร์สสปาครบสูตร”. ไทยรัฐ. (3 ุ พฤษภาคม 2546). “สมศรี เผ่าสวัสดิ ์ คุณหมอเก่ง ผลักดันไทยเป็ น"เมดิคอล ฮับ"”. มติ ชน. (28 มิถุนายน 2547). “สิงคโปร์ ประกาศจุดยืนClinical Medical Hub”. บิสิเนสไทย. (8 สิงหาคม 2548). ค้นวันที่ 17 สิงหาคม 2550 จาก http://www.businessthai.co.th/content.php?data=409389_Mice%20Market ั “หน่อย โวอีก 5 ปี ฟน 2 แสนล้านยุนทึง Medical Hub of Asia”. บ้านเมือง. (14 ธันวาคม ่ ่ 2546). “โอกาสและอุปสรรค รพ.เอกชนไทยกับการไต่สู่ Medical Hub of Asia”. โพสต์ ทูเดย์. (5 พฤษภาคม 2550). “Medical Marketing ไทยชิงดําศูนย์แพทย์แห่งเอเชีย”. บิ สิเนสไทย. (7กรกฎาคม 2548). ค้น วันที่ 17 สิงหาคม 2550 จาก http://www.businessthai.co.th/content.php?data=411710_ข่าวปกใหญ่ๆ “2 ปี "เมดิเคิลฮับ" ยังไม่คบ เร่งรัฐสานต่อดันไทยแข่งอาเซียน”. กรุงเทพธุรกิ จ. (9 มกราคม ื 2549). “47 ไทยขึนแท่นฮับภูมภาค "การบิน-พลังงาน-สุขภาพ" เยียม”. ประชาชาติ ธรกิ จ. (5-7 ้ ิ ่ ุ มกราคม 2547). “ ' เมดิคล ฮับ' ผลงานรัฐบาล หรือเอกชน....ช่วยตัวเอง”. ฐานเศรษฐกิ จ. (20-22 กรกฎาคม ั 2549). “ ‘รามา-ศิรราช’ ลุยเมดิคอลฮับ ผนึก UCLA ดึงลูกค้าต่างประเทศ ”. ประชาชาติ ธรกิ จ. (10 ิ ุ ธันวาคม 2550). “ ‘ศิรราช’ ยุคใหม่กอนไทยเป็ นฮับ ร.พ.รัฐสร้างคน เอกชนสร้างตลาด”. ประชาชาติ ธรกิ จ. (29 ิ ่ ุ เมษายน -2 พฤษภาคม 2547). 41
  • 60.
    “ ‘สปา’เฮ!สธ.ยกเว้นภาษี10% คุมเข้มมาตรฐานดันไทยเป็นฮับ ”. ประชาชาติ ธรกิ จ . (11-13 ุ สิงหาคม 2546). “ ‘ไฮ ทัช’ Message ใหม่ ไทยศูนย์สขภาพเอเชีย”. กรุงเทพธุรกิ จ Biz Week. (5 พฤษภาคม ุ 2550). ค้นวันที19 มิถุนายน 2550 จาก NEWScenter. ่ ั “ ‘Medical Hub’ โครงการในฝน ระวังสะดุดด้วยความไม่พร้อม ”. มติ ชน. (3 มกราคม 2547) “ ‘Medical Tourism: Sun, sand, scalpels.’ The Economist. 382 (March 10, 2007):69. “ ‘Medical Wing’ เทียวบินเศรษฐี "Air Ambulance" ธุรกิจใหม่ ซี.พี.”. ประชาชาติ ธรกิ จ. (21 ่ ุ มีนาคม 2546). Cohen, Eric. 2008. Medical Tourism in Thailand. Retrieved July 19, 2008 from http://gsbejournal.au.edu/e-Journal/Journal/Medical%20Touris Ministry of Public Health. 2006. Health Policy in Thailand. Retrieved June 19, 2006 from http://bps.ops.moph.go.th/HealthPolicy6.pdf Woodman, Joseph. 2008. Patients Beyond Borders. Second Edition. Chapel Hill: Healthy Travel Media. 42
  • 61.
    3. การศึกษาเปรียบเทียบการให้บริการศูนย์กลางด้านสุขภาพใน ประเทศไทยกับประเทศอื่นในภูมิภาคนี้ ที่มีการดําเนินการด้าน medical tourism ประเทศไทยไม่ใช่ประเทศเดียว (หรือประเทศแรก) ในภูมภาคนี้ ทีพยายามผลักดันให้ ิ ่ ประเทศตัวเองกลายเป็ น medical hub ตัวอย่างประเทศเพื่อนบ้านทีผลักดันเรื่องนี้มาก่อนและ ่ ประสบความสําเร็จพอสมควรคือ สิงคโปร์ (ซึ่งเน้ นในด้านการให้บริการทางการแพทย์ท่ีใ ช้ เทคโนโลยีขนสูง รวมทังพยายามดึงดูดคนไข้ในภูมภาคนี้ทสนใจไปรักษาในสหรัฐอเมริกาให้มา ั้ ้ ิ ่ี ทีสงคโปร์แทน) นอกจากนี้ยงมีประเทศอื่นๆ เช่น มาเลเซีย (ทีเน้นการให้บริการกลุ่มมุสลิมใน ่ ิ ั ่ ่ ้ ่ ราคาทีถูกกว่าสิงคโปร์ ทําให้สามารถดึงดูดผูปวยจากอินโดนีเซียทีเคยนิยมมาสิงคโปร์ได้จานวน ่ ํ มาก) อินเดีย (ซึ่งเน้นในด้านราคาค่าบริการที่ต่ํากว่าประเทศอื่นๆ รวมทังประเทศไทย) และ ้ ฟิลปปิ นส์ (ซึงเคยมีประวัตการส่งออกบุคลากรไปทํางานในต่างประเทศค่อนข้างมาก และกําลัง ิ ่ ิ เริมหันมาดึงชาวต่างชาติเข้ามารักษาในประเทศแทน) หรือแม้กระทังฮ่องกง (ซึงเน้นในด้านการ ่ ่ ่ เป็ นศูนย์ฝึกอบรมการใช้เทคโนโลยีสมัยใหม่ และรวมไปถึงการเปิ ดศูนย์ปฏิบตการรักษามะเร็ง) ั ิ ่ ่ ่ ่ ุ่ หรือเกาหลีใต้ (ทีเริมสนใจทีจะดึงคนไข้จากญีปน) เป็ นต้น การศึกษาในส่วนนี้เป็ นการศึกษาพืนฐานและผลการดําเนินการของ medical tourism ้ ในประเทศเพื่อนบ้านทีเป็ นคู่แข่งของไทยในภูมภาคนี้ อันได้แก่ สิงคโปร์ อินเดีย และมาเลเซีย ่ ิ โดยจุดเน้นของการศึกษาจะเน้นที่ความเข้าใจภูมหลังความเป็ นมา รวมไปถึงจุดเน้น (หรือจุด ิ ขาย) รวมทังบทบาทของภาครัฐในการผลักดันหรือสนับสนุ นในโครงการประเภทนี้22 รวมทัง ้ ้ บทบาทอื่นๆ ที่เกี่ยวข้อง (เช่น การที่สงคโปร์มโครงการแปรรูปสถานพยาบาลของรัฐจํานวน ิ ี หนึ่ง หรือทีเรียกว่า corporatization และอนุ ญาตให้นําแพทย์ต่างชาติเข้ามาเพื่อให้บริการคนไข้ ่ ด้วย เป็ นต้น) นอกจากการศึกษานี้จะใช้วธศกษาทบทวนเอกสารและผ่านเว็บไซต์ต่างๆ แล้ว ข้อมูล ิี ึ ที่สํา คัญ บางส่ว นของการศึก ษานี้ ไ ด้จ ากการสัม มนาระดับ นานาชาติใ นหัว ข้อเรื่อง Medical Tourism Asia 2008 ทีประเทศสิงคโปร์ ในเดือนเมษายนทีผานมา ่ ่ ่ 3.1 ประเทศสิ งคโปร์ สิงคโปร์ได้พยายามสร้างตัวขึนมาเป็ นศูนย์กลางการให้บริการทางการแพทย์ (medical ้ hub) เป็ นประเทศแรกๆ ในเอเชีย โดยเริมจากการเน้นการดึงดูดคนไข้จากประเทศเพื่อนบ้าน ่ (โดยเฉพาะอย่างยิงอินโดนีเซียและมาเลเซีย) มารับบริการทีสงคโปร์ โดยเน้นการสร้างชื่อเสียง ่ ่ ิ 22 ตัวอย่างเช่น สิงคโปร์ตง SingaporeMedicine ซึงประกอบด้วยหน่วยงานต่างๆ ของรัฐหลายหน่วยงาน เช่น ั้ ่ Economic Development Board, Singapore Tourism Board และ International Enterprise Singapore (ดู รายละเอียดใน www.SingaporeMedicine.com รวมทังโฆษณาของหน่วยงานนี้ในนิตยสารระหว่างประเทศ ้ (เช่น Newsweek September 24, 2007) 43
  • 62.
    ในด้า นการให้บ ริการทางการแพทย์ท่ีใ ช้เ ทคโนโลยีข น สูง ที่อ้า งว่า เทีย บเท่า สหรัฐ อเมริก า ั้ สิงคโปร์ได้รบความนิยมจากผูป่วยชาวต่างประเทศเข้ามารับการรักษาในประเทศสิงคโปร์ ตังแต่ ั ้ ้ ประมาณทศวรรษ 1980 (Singapore’s Biomedical Sciences 2003) โดยในระยะแรกนัน ผูปวย ้ ้ ่ ชาวต่างประเทศทีเข้ามารับการรักษามากทีสุด คือ จากประเทศอินโดนิเซียและมาเลเซีย (Ministry ่ ่ of Trade and Industry Singapore. The Healthcare Services Working Group, n.d.(e)) นอกจากประเทศเพื่อนบ้านทังสองแล้ว สิงคโปร์พยายามดึงดูดคนไข้จากประเทศอื่นๆ ้ ในทวีปเอเชีย (เช่น ประเทศแถบอินโดจีนและตะวันออกกลาง) และในระยะหลังได้ขยายไปสู่ การดึงลูกค้ากลุ่มประเทศกลุ่มเอเชียใต้ จีน และรัสเซีย (รวมทังประเทศในกลุ่มสหภาพโซเวียต ้ เดิม) รวมทังชื่อเสียงทีโดดเด่นในด้านคุณภาพของบริการรักษาพยาบาลของสิงคโปร์ทําให้ใน ้ ่ ั ั ่ ปจจุบนก็เริมมีลูกค้ากลุ่มประเทศพัฒนาแล้ว (เช่น สหรัฐฯ อังกฤษ และประเทศอื่นๆ ในยุโรป) สนใจทีจะมารับการรักษาทีสงคโปร์มากขึน (Chong 2008) ่ ่ ิ ้ ในแง่น้ี การให้บริการของสิงคโปร์จงมีจุดขายทีชดเจนคือ คุณภาพของบริการในระดับ ึ ่ั แนวหน้าของโลก จึงกล่าวได้ว่าแนวคิดเรื่องการเป็ นศูนย์กลางการให้บริการทางการแพทย์ (medical hub) ของเอเชียของสิงคโปร์นัน ไม่ได้มความเกี่ยวข้องหรือสัมพันธ์กบด้านการ ้ ี ั ท่องเทียว (tourism) มากนัก (แม้ว่าการโฆษณาประชาสัมพันธ์ของสิงคโปร์ในปจจุบน จะได้ ่ ั ั กล่ า วถึง อยู่บ้า งก็ต าม แต่ ก็จ ะจํ า กัด อยู่แ ค่ ศู น ย์ก ารค้า และภัต ตาคารเป็ น หลัก ) ในส่ว นนี้ พัฒนาการของสิงคโปร์จึงมีความแตกต่างกับกรณีของไทยอยู่พอสมควร (ซึ่งจะได้กล่าวถึง ต่อไป) จุดเด่นที่สําคัญอีกประการหนึ่งของสิงคโปร์คือการประสานงานอย่างเป็ นระบบของ ภาครัฐในการสนับสนุ นภาคเอกชน ตัวอย่างเช่น รัฐบาลได้จดตัง Singapore Medicine ในปี ั ้ 2546 โดย Singapore Medicine เป็ นองค์กรทีประกอบด้วยหน่ วยงานต่างๆ ของรัฐหลาย ่ หน่ วยงาน ได้แก่กระทรวงสาธารณสุข (ซึ่งเป็ นองค์กรหลัก) และอีกสามหน่ วยงาน อันได้แก่ คณะกรรมการพัฒนาเศรษฐกิจ (The Economic Development Board หรือ EDB) องค์กร วิสาหกิจระหว่างประเทศของสิงคโปร์ (International Enterprise Singapore) และ คณะกรรมการการท่องเทียวสิงคโปร์ (The Singapore Tourism Board) เป็ นหน่ วยงาน ่ สนับสนุ น (ดูรายละเอียดได้ใน www.SingaporeMedicine.com) ระบบบริการสุขภาพสิงคโปร์ประกอบด้วยโรงพยาบาลเอกชน 13 แห่ง และโรงพยาบาล ของรัฐ 10 แห่ง และคลินิกทีเชียวชาญโรคเฉพาะทางอีกจํานวนหนึ่ง ในด้านจํานวนผูเข้ามาใช้ ่ ่ ้ บริการทางด้านการแพทย์นัน ในปี 2000 มีชาวต่างชาติเข้ารับบริการสุขภาพ ทังในด้านการ ้ ้ ั ตรวจสุขภาพ รักษาโรคเฉพาะทาง เช่น การทําฟน การผ่าตัดตา หัวใจและสมอง รวมมากกว่า 150,000 คน ทํารายได้คดเป็ นร้อยละ 0.2 ของมูลค่าผลิตภัณฑ์มวลรวมในประเทศ (GDP) ในปี ิ 2006 มีชาวต่างชาติเดินทางเข้ามาเพื่อรับบริการสุขภาพโดยเฉพาะจํานวน 410,000 ซึ่ง ใกล้เคียงกับเป้าหมายของปี 2007 ซึงรัฐบาลสิงคโปร์ตงเอาไว้ (ตังแต่ปี 2003) ว่าจะมีผปวยเข้า ่ ั้ ้ ู้ ่ รับการรักษาพยาบาลทีสงคโปร์จํานวน 500,000 ราย และเพิมเป็ น 1,000,000 รายในปี 2012 ่ ิ ่ 44
  • 63.
    ซึ่งคาดว่าจะก่อให้เกิดรายได้จากการให้บริการรักษาพยาบาลจํานวน 1,500 และ3,000 ล้าน เหรียญสิงคโปร์ตามลําดับ คิดเป็ นร้อยละ 0.55 และ 0.95 ของมูลค่าผลิตภัณฑ์มวลรวมใน ประเทศ (GDP) โดยคาดว่าในจํานวนนี้จะสามารถสร้างรายได้ทเป็ นมูลค่าเพิม (value-added) ่ี ่ ให้กบระบบเศรษฐกิจของสิงคโปร์ 1,300 และ 2,600 ล้านเหรียญสิงคโปร์ตามลําดับ (ดูตารางที่ ั 3.1) และคาดว่าจะสามารถสร้างงานกว่า 5,100 ตําแหน่งในปี 2007 และ 13,000 ตําแหน่งในปี 2012 ในสาขาด้านการแพทย์ พยาบาลและบุคลากรทางการแพทย์ ประเทศสิงคโปร์ให้ความสําคัญกับธุรกิจรักษาพยาบาลในฐานะที่เป็ นธุรกิจที่สําคัญ สําหรับนํ าเงินตราเข้าสู่ประเทศ โดยรัฐบาลสิงคโปร์ได้ดําเนินการส่งเสริมธุรกิจโรงพยาบาล อย่างจริงจัง และได้จดตัง The Healthcare Services Working Group (HSWG) โดยมีตวแทน ั ้ ั จากภาครัฐและภาคเอกชนประสานงานร่วมกันในการส่งเสริมธุรกิจสุขภาพ เมื่อปี 2003 รัฐบาล ได้ตงเป้าหมายให้สงคโปร์ เป็ น “The Healthcare Hub of Asia” โดยมีกลยุทธ์ในการสร้างความ ั้ ิ เชื่อถือแก่ชาวต่างชาติภายใต้ Brand Name “Clinical Excellence” (HSWG) และการสร้างความ เชื่อมันทางเศรษฐกิจเพือดึงดูดให้ชาวต่างชาติเดินทางมารับบริการสุขภาพจากสิงคโปร์ ่ ่ The Healthcare Services Working Group หรือ HSWG ของสิงคโปร์มหน้าทีดแล ี ่ ู และวางแผนจัดทํากลยุทธ์ แผนการตลาดและการสนับสนุ นการทําวิจย (clinical research) ั ให้แก่สถาบันต่างๆทีเกียวข้อง อีกทังมีการทํางานร่วมกับ Singapore’s Biomedical Sciences ่ ่ ้ (BMS) เพือการพัฒนาด้าน Biomedical Sciences เป็ นพิเศษ ซึงรัฐบาลสิงคโปร์กล่าวว่าสิงคโปร์ ่ ่ นันเป็ น Asia’s Premier Biomedical Sciences Hub โดยมีหน่วยงานวิจยและห้องแล็บเพื่อทํา ้ ั การวิจยเชื้อโรคชนิ ดต่ างๆ รวมไปถึงวิธีการรักษารูปแบบใหม่ๆ ั ั ั และปจจุบนได้วางตัวเป็ น Singapore: The Biopolis of Asia เพือเป็ นศูนย์กลางในการพัฒนา Biomedical Sciences ทีใ่ หญ่ ่ และดีทสุดในเอเชียเพือรองรับด้านการรักษาพยาบาลในอนาคต และประกาศตัวเป็ น Singapore’s ี่ ่ ้ ่ World-Class Healthcare (Singapore Medicine, n.d.) เพือรองรับผูปวยจากนานาประเทศ โดย ่ ชูจดแข็งทางด้านเทคโนโลยีทางด้านการแพทย์ททนสมัย ุ ี่ ั จากการวิเคราะห์ SWOT ธุรกิจสุขภาพในสิงคโปร์ ของ HSWG (Ministry of Trade and Industry Singapore. The Healthcare Services Working Group, n.d.(e)) พบว่าจุดแข็ง ของสิงคโปร์คอ มีระบบสุขภาพทีดี บุคลากรทางแพทย์มจานวนทีเพียงพอ สามารถรองรับความ ื ่ ีํ ่ ้ ้ ่ ้ ต้องการของทังผูปวยทังในประเทศและต่างประเทศได้ มีอุปกรณ์และเทคโนโลยีทางการแพทย์ ทีทนสมัยและมีความสะดวกในการเดินทางมารับบริการ ซึงจากการสํารวจพบว่า 72% ของ ่ ั ่ ผู้ป่ว ยชาวต่ า งประเทศ ให้ค วามเห็น ว่ า เลือ กใช้บ ริก ารสุ ข ภาพของสิง คโปร์เ นื่ อ งจากมีก าร รักษาพยาบาลทีมคุณภาพสูง (Ministry of Trade and Industry Singapore. Healthcare ่ ี Services Working Group, n.d.(a)) สําหรับจุดอ่อนทีพบคือ การประชาสัมพันธ์ธุรกิจดังกล่าว ่ ยังมีไม่เพียงพอ ประเทศในแถบภูมภาคอเมริกาและอังกฤษความไม่รบรูถงขีดความสามารถใน ิ ั ้ ึ การให้บริการสุขภาพของสิงคโปร์ อีกทังค่ารักษาพยาบาลค่อนข้างสูงเมื่อเทียบกับการให้บริการ ้ ในประเทศใกล้เคียง 45
  • 64.
    ตารางที่ 3.1 เป้าหมายจํานวนผูป่วยที่เข้ารับการรักษาพยาบาลในสิ งคโปร์ ้ Y1996 Y2000 Y2007(T) Y2012(T) Share of Asian market - 1% 2% 3% Foreign Patients Total 89,000 147,000 500,000 1,000,000 Inpatient/day surgery 21,000 18,000 50,000 100,000 Expenditure Total - $430 mil $1,500 mil $3,000 mil Foreign patients $350 mil $1,200mil $2,400 mil Accompanying tourist $80 mil $300 mil $600 mil Value Added Total - $370 mil $1,300 mil $2,600 mil Healthcare $320 mil $1,100 mil $ 2,200 mil Tourism $50 mil $200 mil $400 mil %VA contribution to GDP - Total 0.25% 0.65% 1.10% Healthcare 0.20% 0.55% 0.95% Tourism 0.05% 0.10% 0.15% Cumulative Healthcare jobs - Base Year 5,100 13,000 creation แหล่งที่มา: Ministry of Trade and Industry Singapore. The Healthcare Services Working Group. n.d.(a) Paper 1: Developing Singapore as the compelling hub for healthcare services in Asia สิงคโปร์มแผนพัฒนาและเพิมขีดความสามารถของประเทศอย่างจริงจัง โดยประกาศ ี ่ เป็ นวาระแห่งชาติ ที่เน้นการพัฒนาทังทางด้านวิทยาการการแพทย์ กระบวนการบริหารงาน ้ การบริหารทรัพยากรมนุ ษย์ และพัฒนาด้านการตลาด ไปจนถึงการพัฒนาระบบการศึกษา เพื่อ เพิมความสามารถในการแข่งขันในธุรกิจรักษาพยาบาลของสิงคโปร์ แพทย์จานวนมากถูกส่งไป ่ ํ ฝึ กงานและเรียนรู้งานเพิมเติมในต่างประเทศ โดยภาครัฐสนับสนุ นด้านงบประมาณที่สูงมาก ่ และมีก ารพัฒ นาวิท ยาศาสตร์ ก ารแพทย์ เพื่อ เสริม ความทัน สมัย ของเทคโนโลยี มีก าร แลกเปลี่ยนเทคโนโลยีกบต่างประเทศ และการสร้างความแตกต่างจากคู่แข่งอื่นๆ โดยสร้าง ั ภาพลักษณ์ของการบริการ การศึกษาวิจย และศูนย์การแพทย์เฉพาะทาง ทีเป็ นเลิศ ดังเช่นใน ั ่ กรณีของสถานพยาบาลเมโย (Mayo Clinic) ซึ่งเป็ นสถานพยาบาลตัวอย่างของสิงคโปร์ ซึ่งที่ ผ่านมามีผูป่วยมากกว่า 10,000 รายจาก 120 ประเทศเดินทางมารับการรักษา และได้สร้าง ้ รายได้จากคนไข้กลุ่มนี้ปีละมากกว่า 5.5 ล้านเหรียญสิงคโปร์ (Ministry of Trade and Industry Singapore. The Healthcare Services Working Group, n.d.(a)) 46
  • 65.
    ส่วนในระดับปฏิบตการนัน ได้มการประชาสัมพันธ์ผานสื่อทางด้านหนังสือพิมพ์รายวัน ั ิ ้ ี ่ มีการดําเนินการปรับลดขันตอนด้านการเข้าเมือง เช่นในกรณีประเทศบังคลาเทศได้มการให้ ้ ี ความสะดวกแก่ผูทจะเดินทางไปรักษาพยาบาลทีสงคโปร์ มีการให้วซ่าแบบ on-arrival แก่ ้ ่ี ่ ิ ี ผูป่วยหนัก การให้ความสะดวกด้านวีซ่าแก่ผูทได้รบการตอบรับการเข้ารักษาจากโรงพยาบาล ้ ้ ่ี ั สิงคโปร์ นอกจากนี้มการสร้าง One-stop Centre เพื่อให้บริการแก่ผูท่เดินทางมาไปรับ ี ้ ี รัก ษาพยาบาล โดยศู น ย์ด ัง กล่ า วจะให้ข้อ มูล ด้า นการรัก ษาพยาบาล ให้ข้อ มูล นายแพทย์ ผูเชียวชาญ โรงพยาบาล สถานทีพก ขันตอนด้านการเข้าเมือง เป็ นต้นการสร้างความโปร่งใสใน ้ ่ ่ ั ้ ด้านค่าใช่จ่ายในการรักษาพยาบาล เช่น การให้ขอมูลที่ชดเจนในด้านการตรวจรักษา ค่ายา ้ ั เป็ นต้น นอกเหนือจากการขยายบริการรักษาพยาบาลในสิงคโปร์เพื่อรองรับชาวต่างประเทศ ั ั แล้ว ในปจจุบ นมีกลุ่ มธุ รกิจด้านสถานพยาบาลจากสิงคโปร์หลายรายเข้ามาถือหุ้นและเป็ น ผูบริหารของเครือข่ายของโรงพยาบาลเอกชนขนาดใหญ่หลายรายในประเทศไทย (รวมทังเครือ ้ ้ โรงพยาบาลกรุงเทพ ซึ่งเป็ นเครือใหญ่ท่สุดเครือหนึ่งที่เน้นการขยายบริการเพื่อรองรับคนไข้ ี ต่างชาติ) จีน และในอีกหลายประเทศ 3.2 ประเทศอินเดีย อินเดียเป็ นอีกประเทศหนึ่งที่รฐบาลสนับสนุ นให้สถานพยาบาลเอกชนหารายได้จาก ั medical tourism โดยนโยบายด้านสาธารณสุขของรัฐบาลอินเดียระบุว่าการรักษาชาวต่างชาติ สอดคล้องกับกฎหมายการส่งออกและเป็ นการสร้างรายได้จาก “การส่งออก” ได้อกทางหนึ่ง23ี โดยรัฐบาลมีนโยบายจะนํ าอินเดียไปสู่ "global health destination" อินเดียประชาสัมพันธ์ ตนเองว่าให้บริการแบบ "high-tech healing" โดยโฆษณาว่าชาวต่างชาติสามารถเดินทางมารับ บริการด้านรักษาพยาบาลทีมราคาตํ่าแต่มมาตรฐานระดับโลก (travelling to India for low-cost ่ ี ี but world-class medical treatment) ทังนี้ อินเดียมีโรงพยาบาล (และเครือข่ายโรงพยาบาล) ้ เอกชนชันนํ าทีเปิ ดให้บริการชาวต่างชาติในสีเมืองใหญ่คอ นิวเดลี บังกาลอร์ เชนไน (มัดราส) ้ ่ ่ ื และมุมไบ (บอมเบย์) ซึ่งมีศูนย์การแพทย์ระดับโลกในหลายสาขา อาทิ ศูนย์ผ่าตัดหัวใจ ศูนย์ ศัล ยกรรมความงาม ศู น ย์ท ัน ตกรรม ศู น ย์ป ลู ก ถ่ า ยอวัย วะ รวมถึง การผสานระหว่ า งการ ท่องเทียวกับด้านการรักษาพยาบาล (Ray Marcelo 2003 และ Woodman 2008)) ่ จุดขายทีสาคัญของอินเดียคือ เป็ นประเทศทีมอตราค่ารักษาพยาบาลตํ่าทีสุดในบรรดา ่ ํ ่ ี ั ่ medical hub ขนาดใหญ่ในเอเชีย (ตํ่ ากว่าทังสิงคโปร์และไทย) แต่มคุณภาพการรักษาพยาบาล ้ ี และเครื่อ งมือ ทางการแพทย์ไ ม่แ พ้ศู น ย์ก ลางการแพทย์ข องประเทศอื่น เมื่อ เทีย บกับ ค่ า รักษาพยาบาลโดยเฉลียของอินเดียกับอเมริกาหรือประเทศอังกฤษแล้ว ราคาค่ารักษาในอินเดีย ่ 23 เป็ น “ภาษา” ทีมสมเสียงคล้ายกับรัฐบาลไทยในอดีต ซึงกรมส่งเสริมการส่งออก กระทรวงพาณิชย์ เป็ น ่ ี ุ้ ่ หน่วยงานภาครัฐหน่วยงานแรกทีมาผลักดันนโยบายการหารายได้จาก medical tourism หลังจากวิกฤติ ่ เศรษฐกิจปี 2540 47
  • 66.
    จะเริมต้นที่ 1 ใน10 ของค่ารักษาพยาบาลในอเมริกาเท่านัน (Ray Marcelo 2003) จึงเป็ นที่ ่ ้ ้ ่ สนใจของกลุ่มผูปวยจากประเทศต่างๆ เป็ นอย่างมาก ในด้า นผลการดํา เนิ น งานนัน ในปี 2003 ประเทศอิน เดีย ได้รบ รายได้จ าก medical ้ ั tourism มากกว่า 1 พันล้านเหรียญสหรัฐ และสามารถสร้างงานได้ว่า 40 ล้านตําแหน่ง (Shyam Bhatia 2003) โดยรัฐบาลได้มการประมาณการรายรับในปี 2012 อยู่ท่ี 100,000 ล้านรูปี หรือ ี ประมาณ 2,100 ล้านเหรียญสหรัฐ (Ray Marcelo 2003) อีกทังธุรกิจการประกันสุขภาพและ ้ เศรษฐกิจโดยรวมของอิน เดีย เติบ โตขึ้น อย่า งรวดเร็ว จากผลของการดํา เนิ น นโยบายนี้ ด้ว ย (Supriya Saxena 2004) และคาดว่า medical tourism นี้จะเติบโตถึงปี ละ 30% (Medical Tourism India, n.d.) นอกจากอินเดียจะพยายามดึงดูดคนไข้ต่างชาติดวยบริการที่เน้นเทคโนโลยีสมัยใหม่ ้ ิ ั ("high-tech healing") ในราคาถูกแล้ว อินเดียยังมีจุดขายในด้านการใช้ภูมปญญาท้องถินในการ ่ รักษาพยาบาลแบบดังเดิม เช่น โยคะ (yoga) และการทําสมาธิ (meditation) รวมถึงกิจกรรมอื่น ้ ทีถอว่าเป็ นเอกลักษณ์การรักษาพยาบาลของอินเดีย เช่น อายุรเวท (ayurveda) และ allopathy ่ ื ซึงสามารถดึงดูดนักท่องเทียวระดับ high-end ทีเป็ นชาวยุโรปและชาวตะวันออกกลางได้เป็ น ่ ่ ่ อย่างดี (Supriya Saxena 2004) จุ ด เด่ น อีก ประการหนึ่ ง ของอิน เดีย คือ มีศ ัก ยภาพด้า นทรัพ ยากรมนุ ษ ย์ท่ีดีเ ยี่ย ม กล่าวคือ อินเดียมีระบบการศึกษาทีดี ซึงไม่เพียงแต่จะผลิตนักเขียนโปรแกรมคอมพิวเตอร์หรือ ่ ่ วิศ วกรเท่ า นั น แต่ ย ัง สามารถผลิต แพทย์แ ละพยาบาลได้ถึง 20,000 ถึง 30,000 คนต่ อ ปี ้ (Medical Tourism India, n.d.) ซึ่งทีผ่านมามีแพทย์ทจบการศึกษาจากอินเดียอพยพไป ่ ่ี ให้บริการในโรงพยาบาลชันนําในยุโรปและสหรัฐอเมริกาเป็ นจํานวนมาก24 อินเดียจึงมีศกยภาพ ้ ั 25 ด้านบุคลากรทีสามารถรองรับกับการขยายตัวของ medical tourism ได้อกมาก ่ ี ั ั ในปจจุบน Medical Tourism ของอินเดียมีการทําตลาดแบบ "medical outsourcing” (Medical Tourism India, n.d.) โดยอินเดียจะเป็ นผูรบช่วงเหมาในการจัดเตรียมและให้การ ้ั บริการระบบสุขภาพในประเทศแถบตะวันตก โดยมีหลายบริษทในสหรัฐอเมริกากําหนดเงือนไข ั ่ ในการทําประกันสุขภาพทีระบุวาถ้าจะผ่าตัดต้องมาอินเดีย ่ ่ ตัวอย่างของบริษัททางการแพทย์ขนาดใหญ่ของอินเดียที่ประสบความสําเร็จ ได้แก่ Apollo Hospital Enterprises ซึงมีโรงพยาบาลในเครือกว่า 37 แห่ง โดยมีชาวต่างชาติเข้ารับ ่ การรักษากว่าปี ละ 95,000 คน (Shyam Bhatia 2003, December 6) มีการจัดทําบริการ คอมพิวเตอร์ออนไลน์ ในช่วงกลางคืนเพื่อติดต่อกับบริษัทประกันชีวตของสหรัฐอเมริกา และ ิ 24 Woodman (2008) ระบุวามีแพทย์เฉพาะทางจากอินเดียทํางานอยูในสหรัฐไม่น้อยกว่า 35,000 คน และ ่ ่ มากกว่าหนึ่งในหกของศัลยแพทย์ในสหรัฐฯ มาจากอินเดีย 25 แต่ไม่ได้หมายความว่าอินเดียมีบุคลากรทางการแพทย์ทมากเกินความต้องการของคนอินเดียเอง ทังนี้คน ่ี ้ ่ ั ่ ี ่ ่ ่ อินเดียทียากจนจํานวนมากมีปญหาการเข้าถึงบริการทีมคุณภาพ จนทําให้เป็ นทีหวงใยของหลายฝายว่าการ ขยายตัวของ medical tourism จะเพิมแรงกดดันทางด้านความเหลื่อมลํ้าทางสังคมของอินเดียให้มากขึนไปอีก ่ ้ 48
  • 67.
    โรงพยาบาลซึงอยูต่าง time zoneกัน เพื่อติดต่องานและให้คาปรึกษาด้านการรักษาพยาบาล ่ ่ ํ อีกทัง Apollo Hospital Enterprises ยังได้เริมการเจรจาเพื่อเข้ารับเหมาช่วงการรักษาพยาบาล ้ ่ ของรัฐในประเทศอังกฤษ (Britain's National Health Service) เมื่อฤดูใบไม้ผลิ ปี 2004 และ ทดสอบด้านการแพทย์สําหรับผู้ป่วยด้วยราคาที่ต่ําทังในโรงพยาบาลของรัฐและเอกชนแล้ว ้ แม้ว่าการให้บริการของรัฐในประเทศอังกฤษนันจะไม่ตองมีค่าใช้จ่าย แต่จะต้องรอรับการรักษา ้ ้ และการผ่าตัดเป็ นเวลานาน ซึงการเข้ารับเหมาช่วงบริการนี้จะช่วยในการแก้ไขปญหาด้านการ ่ ั รอคอยในการรักษาด้วยราคาทีต่ํา (Shyam Bhatia 2003, December 6) ่ ั ั ในปจจุบน นอกจากการให้บริการคนไข้ต่างชาติทเข้ามารับการรักษาในอินเดียเองแล้ว ่ี บริษททางการแพทย์ขนาดใหญ่ของอินเดียยังมีรูปแบบการให้บริการการรักษาพยาบาลแบบ ั ออนไลน์ให้แก่สถานพยาบาลในประเทศประเทศแถบตะวันตกและสหรัฐอเมริกา ซึงจะมีการจ้าง ่ แพทย์ผชานาญการของอินเดียเพือทําการรักษาและให้คาปรึกษาแบบออนไลน์ โดยใช้ประโยชน์ ู้ ํ ่ ํ ของ time zone ต่างกัน แทนทีจะต้องจ้างหมอและนักเทคนิคการแพทย์ล่วงเวลาราคาแพงใน ่ ประเทศตนเอง โรงพยาบาลขนาดกลางในหลายประเทศจึงใช้บริการวิเคราะห์ภาพ X-ray และ ผลตรวจต่ างๆ โดยส่งมาที่อินเดียทางอินเตอร์เน็ต ซึ่งการผ่าตัดใหญ่ๆ ก็เริมมีการใช้ ่ ั ั ั ่ี consultant ข้ามโลกแบบนี้ ปจจุบนมีศพท์ทใช้เรียกกลุ่มคนทีทางานแบบนี้ว่าพวก Nighthawk ่ ํ (Rabbitzilla พฤษภาคม 2550) อย่างไรก็ตาม การให้บริการภายในประเทศการใช้กลไกด้านราคาทีโดดเด่นเพียงอย่าง ่ เดียวคงไม่สามารถจะดึงดูดกลุ่มนักท่องเทียวได้ทงหมด เนื่องจากกลไกทางด้านราคาจะสามารถ ่ ั้ ้ ่ ่ ี ดึงดูดเฉพาะผูปวยทีไม่มกําลังพอทีจะใช้บริการการรักษาพยาบาลทีมราคาสูงในประเทศของตน ่ ่ ี ได้จงจะเข้ามาอินเดียเพื่อรับการรักษาทีมคุณภาพใกล้เคียงกันแต่ราคาตํ่ากว่าในอินเดียเท่านัน ึ ่ ี ้ จึงไม่สามารถจะดึงนักท่องเทียวกลุ่มอื่นได้ ดังนันอินเดียจึงจําเป็ นต้องมีการพัฒนามาตรฐาน ่ ้ สถานพยาบาล ความเชี่ยวชาญเฉพาะทาง การประกันสุขภาพ และสาธารณูปโภคพืนฐานที่มี ้ ความเหมาะสมเพียงพอเพือดึงดูดนักท่องเทียวในกลุ่มอื่นๆ ด้วย ่ ่ นอกจากนี้ ยังมักมีผูตงข้อสังเกตด้วยว่า บริการทางด้านสุขภาพทีทนสมัยเหล่านี้ส่วน ้ ั้ ่ ั ใหญ่มไว้สําหรับบริการวชาวต่างชาติท่มกําลังซื้อสูงเท่านัน ในขณะที่ประชาชนส่วนใหญ่ของ ี ี ี ้ ประเทศทียากจนไม่สามารถเข้าถึงการบริการทีดเช่นนี้ได้ และในปจจุบน มีแต่โรงพยาบาลของ ่ ่ ี ั ั กลุ่มธุรกิจขนาดใหญ่เท่านันทีสามารถเข้าสู่การเป็ น medical tourism ได้ จึงทําให้เกิด ้ ่ ปรากฏการณ์สมองไหล โดยบุคลากรทางการแพทย์จากสถานพยาบาลรัฐต่างหลังไหลเข้ามาสู่ ่ ย่านธุรกิจในเมืองใหญ่ซงมีผลตอบแทนทีมากกว่า ซึงก่อให้เกิดผลกระทบต่อประชาชนผูยากไร้ ่ึ ่ ่ ้ ทียงต้องพึงบริการของรัฐ ซึงส่วนใหญ่เป็ นผูทอยู่ในชนบททีห่างไกล ในขณะทีอกทังแหล่งทีตง ่ ั ่ ่ ้ ่ี ่ ่ ี ้ ่ ั้ ของสถานพยาบาลส่วนใหญ่กว่า 59% อยูในเขตเมือง (Supriya Saxena 2004,September 3) ่ จึงจําเป็ นอย่างยิงที่รฐบาลต้องเข้ามาดูแลและสร้างสมดุลให้เกิดขึ้น ไม่ให้การเน้ นการขยาย ่ ั บริการชาวต่างชาติทนํารายได้เข้ามาสูประเทศก่อให้เกิดปญหาสังคมขึนมา ่ี ่ ั ้ 49
  • 68.
    3.3 ประเทศมาเลเซีย การขยายตัวด้าน medical tourism ของมาเลเซียมีจุดเปลี่ยนสําคัญทีคล้ายกับไทย ่ ั กล่าวคือเป็ นผลมาจากความพยายามแก้ปญหาของโรงพยาบาลเอกชนที่ได้รบผลกระทบจาก ั วิกฤติทางเศรษฐกิจในเอเชียในปี 1997 ซึ่งวิกฤติเศรษฐกิจนี้ได้มผลกระทบต่อหลายธุรกิจ ที่ ี บ้า งต้อ งปิ ด ตัว ลง บ้า งต้อ งลดจํ า นวนพนัก งานหรือ ลดผลตอบแทนที่จ ะให้ก ับ ลู ก จ้า ง จนมี ผลกระทบไปถึงกําลังซื้อของผูบริโภคที่น้อยลง (รวมถึงการประกันสุขภาพของประชาชนและ ้ ครัวเรือนทีลดลงด้วย) นอกจากนี้ ผูทเคยใช้บริการโรงพยาบาลเอกชนจํานวนไม่น้อยก็หนไปใช้ ่ ้ ่ี ั บริการของรัฐเพื่อความประหยัดแทน และจากการที่ค่าเงินริงกิตของมาเลเซียลดลง (ทํานอง เดียวกันกับค่าเงินบาทของไทยที่ลดลงอย่างรวดเร็วในช่วงเดียวกัน) ก็มผลทําให้ราคายาและ ี เวชภัณฑ์ทางการแพทย์ต่างๆที่ต้องนํ าเข้าจากต่างประเทศมีราคาสูงขึนด้วย ทําให้ต้นทุนการ ้ รักษาพยาบาลในโรงพยาบาลสูงขึน แต่โรงพยาบาลเอกชนของมาเลเซียไม่สามารถปรับค่า ้ ั รักษาพยาบาลตามขึนไปด้วย ทําให้โรงพยาบาลเอกชนมาเลเซียมีปญหาด้านการเงินเป็ นอย่าง ้ มาก เพื่อแก้ไขวิกฤติการณ์ดงกล่าว โรงพยาบาลเอกชนในมาเลเซียจึงสนใจทีจะดึงดูดผูปวย ั ่ ้ ่ ชาวต่ า งชาติเ พื่อ เข้า มาใช้บ ริก าร ซึ่ง ทางรัฐ บาลเองก็ส นับ สนุ น โดยจัด ตัง คณะกรรมการ ้ ระดับชาติเพือสนับสนุ นการท่องเทียวด้านการแพทย์และสุขภาพ (The National Committee for ่ ่ the Promotion of Medical and Health Tourism) ขึนในเดือนมกราคม 1998 (Chee Heng ้ Leng 2007) โดยหน่วยงานนี้มอนุ กรรมการในการสนับสนุนงาน 5 ด้านแตกต่างกันออกไป เพื่อ ี ทําหน้าทีดงดูดชาวต่างชาติ ศึกษาการประชาสัมพันธ์ทมความเหมาะสมกับพืนที่ ออกแบบการ ่ ึ ่ี ี ้ จัด เก็บ ภาษี และค่ า ธรรมเนี ย ม ให้คํ า แนะนํ า ด้า นความน่ า เชื่อ ถือ และการโฆษณา อีก ทัง ้ อนุ ก รรมการยัง มีห น้ า ที่ ในการวางแผนกลยุ ท ธ์ การแสวงหาหุ้น ส่ ว น (partnership) และ จัดเตรียมสิงอํานวยความสะดวกต่างทางการแพทย์ หน่ วยงานด้านการท่องเทียวและหน่ วยงาน ่ ่ การประกันสุขภาพ รวมถึงการแสวงหาความร่วมมือเชิงกลยุทธ์กบต่างประเทศเพื่อผลประโยชน์ ั ร่วมกัน คณะอนุ กรรมการได้กําหนดกลุ่มเป้าหมายประเทศทีจะเข้าไปทําการเปิ ดตลาดออกเป็ น ่ 3 กลุ่ ม คือ กลุ่ ม ที1 กลุ่ ม ประเทศที่ย ง ขาดแคลนเวชภัณ ฑ์แ ละสิ่ง อํา นวยความสะดวกด้า น ่ ั การแพทย์ ได้แ ก่ ประเทศอินโดนิ เ ซีย พม่า เวีย ดนาม และลาว กลุ่ มที2 กลุ่ ม ประเทศที่มี ่ ู่ ่ ค่าบริการการรักษาพยาบาลทีสง ได้แก่ ประเทศสิงคโปร์ ญี่ปุน และไต้หวัน และ กลุ่มที3 กลุ่ม ่ ประเทศทีต้องรอในการรับบริการเป็ นเวลานาน ได้แก่ สหราชอาณาจักร นอกจากนี้กให้ความ ่ ็ สนใจกับกลุ่มชนชันกลางในตะวันออกกลาง (เช่น สหรัฐอาหรับเอมิเรตส์ และซาอุดอาระเบีย) ้ ิ และจีน (MOH 2002b อ้างใน Chee Heng Leng 2007) ในส่วนของกลยุทธ์ในการดําเนินงานของบริษทต่างๆ อาทิ โรงแรมและบริษททัวร์ก็มี ั ั การประสานความร่วมมือกับหน่ วยงานทางการแพทย์เพื่อจัดทําแพคเกจทัวร์รวมกัน และจาก การที่ประเทศมาเลเซียเป็ นประเทศที่มภาพลักษณ์ ของการเป็ นชาวมุสลิม ทําให้ง่ายในการ ี 50
  • 69.
    จัด เตรีย มด้านอาหารฮาลาลและการจัด กิจ กรรมให้ก บ ชาวมุสลิมโดยเฉพาะ ซึ่ง จะสามารถ ั ตอบสนองกลุ่มเป้าหมายในประเทศทางตะวันออกกลางซึ่งส่วนใหญ่จะเป็ นชาวมุสลิมได้เป็ น อย่างดี นอกจากนี้ ยังได้มการรวมตัวกันของโรงพยาบาลเอกชนในมาเลเซีย ในชื่อว่า The ี Association of Private Hospitals Malaysia (APHM) โดยยุทธศาสตร์ ที่ APHM วางไว้คอ ื โรงพยาบาลเอกชนจะสามารถทดแทนการบริการของภาครัฐได้ มีการสร้างแพทย์ผูเชี่ยวชาญ ้ เฉพาะด้าน เพื่อเป็ นศูนย์กลางการรักษา หรือ Medical Tourism ซึงเป็ นการเพิมศักยภาพการ ่ ่ แข่งขันโดยตรงกับประเทศไทยและสิงคโปร์ รวมไปถึงการพัฒนาคุ ณภาพยาและระบบการ สนับสนุ นทางการเงินทีเรียกว่า National Healthcare Financing system (บิสเิ นสไทย 2548, 7 ่ กรกฎาคม) ในส่วนของกลยุทธ์ในการดําเนินงานภาครัฐนัน มีการให้ความสําคัญด้านคุณภาพด้าน ้ การรักษาพยาบาลและการบริการเป็ นพิเศษ โดยมองเห็นว่าคุณภาพที่ดจะเป็ นตัวขับเคลื่อน ี ความสําเร็จให้กบ medical tourism ของมาเลเซียได้ โดยรัฐมีการเข้ามามีสวนควบคุมคุณภาพ ั ่ ของ APHM อีกทังยังจัดทําส่งเสริมโปรแกรมการประกันคุณภาพอื่นๆเพื่อเสริมสร้างความ ้ น่ าเชื่อถือให้แก่สถานพยาบาลต่างๆ อาทิ ระบบประกันคุณภาพ ISO 9000 และการมอบ มาตรฐานคุณภาพทีรบรองโดยกระทรวงสาธารณสุขมาเลเซีย (MOH) ซึงมีสถานพยาบาลผ่าน ่ั ่ มาตรฐานแล้ว 25 โรงพยาบาล โดยสถานพยาบาลดังกล่าวจะได้รบการรับรองเป็ นเวลา 3 ปี ั (MOH 2002b อ้างใน Chee Heng Leng 2007) อีกทังมีการจัดทํา Benchmark เปรียบเทียบ ้ มาตรฐานคุณภาพการศึกษาทางด้านการแพทย์ของ University Malaya Medical Centre กับ โรงเรียนแพทย์ของออสเตรเลีย นิวซีแลนด์ และ สหรัฐอเมริกา (The Star 2004, April 6) นอกจากนี้ รัฐ บาลมาเลเซีย ยัง มีม าตรการการพัฒ นาและส่ง เสริมอุ ต สาหกรรมการ รักษาพยาบาลโดยการใช้มาตรการด้านภาษี มีขอเสนอด้านภาษีในการสร้างโรงพยาบาล การ ้ ใช้อุปกรณ์การแพทย์ เช่น การยกเว้นภาษีบริการเกี่ยวกับการให้คําแนะนํ าด้านการแพทย์และ การใช้อุปกรณ์ทางการแพทย์ เป็ นต้น นอกจากนี้ยงได้การพัฒนาฝึ กอบรม การประชาสัมพันธ์ ั การบริการ และเทคโนโลยีสารสนเทศมาใช้ อีกทังยังเพิ่มศักยภาพในการแข่งขันด้วยการ ้ ยกเลิกกฎหมายแพทย์และทันตแพทย์ (กฎหมายฉบับนี้มก่อนที่มาเลเซียจะได้เอกราชจาก ี อังกฤษ ซึ่งมีข้อห้ามไม่ใ ห้แพทย์โปรโมทบริการของตนเอง และได้ห้ามโรงพยาบาลแจ้งให้ ประชาชนทราบว่าสามารถให้บริการอะไรบ้าง) นอกจากนี้ กระทรวงสาธารณสุขของมาเลเซียได้ ประกาศว่าโรงพยาบาลและแพ็กเกจทัวร์ต่างๆ สามารถโปรโมทบริการในต่างประเทศได้ ตังแต่ ้ ในช่วงทียงไม่มการแก้ไขกฎหมายนี้อย่างเป็ นทางการ (บิสเิ นสไทย 2548, 8 สิงหาคม) ่ ั ี นอกจากนี้ มาเลเซี ย ยัง มีโ ครงการที่เ กี่ย วข้อ งกัน อีก โครงการหนึ่ ง คือ โครงการ “มาเลเซียบ้านหลังทีสอง” หรือ “Malaysia, My Second Home (MMSH)” โครงการนี้เป็ น ่ โครงการทีรวมมือกันระหว่างกระทรวงการท่องเทียว (Ministry of Tourism) กระทรวงการเคหะ ่่ ่ (Ministry of Housing) และ หน่ วยงานการปกครองท้องถิน (Local Government) เพื่อส่งเสริม ่ การท่องเที่ยวแบบ long-stay โครงการนี้พฒนาขึ้นมาจากโครงการผูสูงอายุ (Silver Hair ั ้ 51
  • 70.
    Programme) ซึงเริมดําเนินการในปี 1988โดยเป็ นโครงการทีพกอาศัยทีให้การดูแลผูสงอายุ ซึง ่ ่ ่ ั ่ ู้ ่ มีผู้ใช้บริการเป็ นผู้สูงอายุชาวยุโรปและชาวญี่ปุ่นที่มอายุ 50 ปี ข้นไป แต่โครงการนี้ในระยะ ี ึ เริมต้นไม่ประสบความสําเร็จมากนัก จนถึงปี 2001 มีผูเข้าร่วมโครงการนี้รวม 482 คน (MOH, ่ ้ 2002b อ้างใน Chee Heng Leng 2007) เมื่อโครงการดังกล่าวเปลียนมาเป็ นโครงการ ่ “Malaysia, My Second Home (MMSH)” ก็ได้เพิมกลุ่มเป้าหมายโดยปรับเปลียนอายุของ ่ ่ ผูเข้าร่วมโครงการสําหรับผูทมอายุน้อยกว่า 50 ปี ซึงต้องแสดงรายได้ประจําขันตํ่า (ไม่น้อยกว่า ้ ้ ่ี ี ่ ้ 7,000 ริงกิต ในกรณีท่โสด และ 10,000 ริงกิต ในกรณีท่มคู่สมรส) หรือต้องมีเงินมัดจําขันตํ่า ี ี ี ้ (100,000 ริงกิต ในกรณีทโสด และ 150,000 ริงกิต ในกรณีทมคู่สมรส) โดยสิทธิประโยชน์ทจะ ่ี ่ี ี ่ี ได้รบก็คอได้รบ multiple-entry visa เป็ นเวลา 5 ปี และได้รบสิทธิพเิ ศษเกียวกับการซือทีดน ั ื ั ั ่ ้ ่ ิ โครงการนี้ประสบความสําเร็จมากขึน โดยมีผสมัครในปี 2002-2004 มากกว่า 2,834 คน (New ้ ู้ Straits Times 2004, April 26 อ้างใน Chee Heng Leng 2007) โดยเกือบทังหมดเป็ นชาว ้ อังกฤษซึ่งมีความสัมพันธ์กนทางประวัติศาสตร์อยู่แล้ว และจากประเทศเพื่อนบ้านอื่นๆ เช่น ั อินโดนีเซีย จีน สิงคโปร์ และ ไต้หวัน ทังนี้ รัฐบาลมาเลเซียเชื่อว่านอกจากประโยชน์ในด้าน ้ การท่องเที่ยวและเคหะแล้ว โครงการนี้จะเป็ นผลดีกบธุรกิจที่เกี่ยวข้องกับสุขภาพ อาทิ การ ั ประกันสุขภาพ และสถานพยาบาล ซึงจะเป็ นการส่งเสริม Medical Tourism ทางอ้อมนันเอง ่ ่ ผลการดําเนินงาน Medical Tourism ของมาเลเซียในอดีต (ซึงเป็ นผลเพียงบางส่วนจาก ่ ข้อมูลทีค่อนข้างจํากัด เนื่องจากในอดีตสถานพยาบาลหลายแห่งไม่ค่อยส่งรายงานให้ภาครัฐ) ่ พบว่าในระหว่างปี 1989-2001 โรงพยาบาลเอกชนจํานวน 8 แห่งรายงานยอดการเพิมของผูเข้า ่ ้ รับบริการ 197% และในปี 2000–2001 โรงพยาบาลเอกชน 10 แห่งรายงานว่ามีจํานวนชาว ต่างประเทศเข้ามาใช้บริการเพิมขึนจาก 56,133 คนในปี 2000 เป็ น 75,210 คนในปี 2001 คิด ่ ้ เป็ นอัตราเพิมถึงร้อยละ 34 และมีรายได้เพิมขึนจาก 32.6 ล้านริงกิตเป็ น 44 ล้านริงกิต (เพิมขึน ่ ่ ้ ่ ้ ร้อยละ 36) และมีการคาดการณ์วา รายได้ในปี 2010 จะอยูท่ี 2,200 ล้านริงกิต (Wong 2003) ่ ่ ส่วนชาวต่างชาติท่เข้ามาใช้บริการในมาเลเซียสามารถแบ่งออกได้เป็ น 2 กลุ่มใหญ่ๆ ี คือ กลุมแรก ได้แก่กลุ่มคนระดับกลางและระดับบนจากประเทศทีคุณภาพด้านการบริการแพทย์ ่ ่ ยังไม่ดนัก เช่น อินโดนีเซีย เวียดนาม พม่า กัมพูชา และกลุ่มที่สอง คือคนไข้จากประเทศที่ ี พัฒนาแล้วแต่ต้องรอเวลาในการรักษาในโรงพยาบาลของรัฐค่อนข้างนาน ส่วนโรงพยาบาล เอกชนก็ยงมีน้อย โดยชาวต่างชาติทเข้ามาใช้บริการส่วนใหญ่มาจากกลุ่มแรก โดยเฉพาะอย่าง ั ่ี ยิงประเทศอินโดนิเซีย ซึงในปี 2003 มีจานวนมากทีสุดถึงร้อยละ 72 ของคนไข้ต่างชาติทงหมด ่ ่ ํ ่ ั้ (Chee Heng Leng 2007) 3.4 การเปรียบเทียบ medical hub ในแต่ละประเทศ: มุมมองของฝ่ ายต่างๆ การศึกษาเปรียบเทียบการดําเนินการของ medical hub ในประเทศต่างๆ เป็ นงานทีทา ่ ํ ี ั ได้ยาก เนื่องจากในแต่ละประเทศต่างก็มปญหาด้านข้อมูล (ส่วนหนึ่งเป็ นเพราะสถานพยาบาลที่ มีบทบาทสําคัญในด้านนี้เป็ นสถานพยาบาลเอกชนแทบทังสิน ซึงบางครังสถานพยาบาลเหล่านี้ ้ ้ ่ ้ 52
  • 71.
    ไม่มแรงจูงใจทีจะรายงานข้อมูลโดยละเอียดให้กบรัฐบาล) แม้แต่ในประเทศที่มการดําเนินการ ี ่ ั ี ด้านนี้มาเป็ นเวลายาวนาน (และมีรฐบาลทีมประสิทธิภาพสูงและช่วยภาคเอกชนค่อนข้างมาก) ั ่ ี ั ดังเช่นสิงคโปร์ ก็ยงประสบปญหานี้จนรัฐบาลต้องใช้วธเก็บข้อมูลเพิมเติมทีสนามบิน มาเลเซีย ั ิี ่ ่ ั กับ ไทยก็มีป ญ หาความครบถ้ ว นของข้อ มู ล เช่ น เดีย วกัน นอกจากนี้ การเปรีย บเทีย บใน รายละเอีย ดก็ทํา ได้ย ากเพราะการเก็บ ข้อ มูล ของแต่ ล ะประเทศก็มีแ บบแผนที่แ ตกต่ า งกัน (ตัวอย่างเช่น ข้อมูลจํานวนคนไข้ชาวต่างชาติของไทยจะประกอบด้วยชาวต่างชาติททางานหรือ ่ี ํ มีถนฐานในประเทศไทยเป็ นส่วนใหญ่ ขณะที่สงคโปร์จะเป็ นชาวต่างชาติท่เดินทางเข้ามารับ ่ิ ิ ี การรักษาพยาบาลในสัดส่วนที่สูงกว่า หรือการเปรียบเทียบตัวชี้วดต่างๆ ก็ทําได้ยากสําหรับ ั ่ ี ั ประเทศทีมขนาดต่างกัน และอาจมีสภาพปญหาและจุดเน้นทีแตกต่างกัน หัวข้อนี้จงอาศัยการ ่ ึ ทบทวนบทวิเคราะห์และความเห็นจากแหล่งต่างๆ ซึ่งแม้ว่าในบางกรณีจะมีจุดสนใจหลักที่ ต่างกัน แต่กน่าจะช่วยทําให้สามารถเปรียบเทียบภาพรวมในประเด็นหลักๆ ของ medical hub ็ ในภูมภาคนี้ได้ดพอสมควร ิ ี บทวิเคราะห์เรื่อง Where to go for medical tourism? ของ Charles J. Runckel (2007) ซึงเป็ น Director of Research ของ Delphi Health Services Ltd. ได้วเคราะห์ ่ ิ เปรียบเทียบ medical hub ของสามประเทศนี้ (สิงคโปร์ มาเลเซีย และไทย) โดยได้อธิบายถึง จุดเด่นและจุดด้อยของแต่ละประเทศ ดังนี้ สิงคโปร์มช่อเสียงได้รบการชื่นชมด้านความทันสมัย ี ื ั ความสะอาดและความเป็ นระเบียบ มีอตราค่ารักษาพยาบาลโดยเฉลียสูงกว่า hub อืนๆ แต่มสง ั ่ ่ ี ิ่ อํานวยความสะดวกด้านการแพทย์ ความทันสมัยและความน่ าเชือถือจะดีกว่าคู่แข่งต่างๆ และ ่ รัฐบาลสิงคโปร์ให้ความสําคัญเป็ นพิเศษกับการพัฒนาด้าน Biotechnology ซึ่งถือว่ามี ความสําคัญในการพัฒนาทางการแพทย์อย่างมาก ส่ว นในด้า นการท่ อ งเที่ย วนั น สิง คโปร์มีแ หล่ ง ท่ อ งเที่ย วช้อ ปปิ้ ง ในระดับ high-end ้ มากกว่าแหล่งท่องเทียวทางธรรมชาติ โดยมีทพกโรงแรมและบริการอื่นๆ ทีมราคาสูงมาก ทําให้ ่ ่ี ั ่ ี นักท่องเทียวจํานวนมากเลือกทีจะเข้ามาใช้บริการเฉพาะด้านการแพทย์เท่านัน แต่จะท่องเทียว ่ ่ ้ ่ และจับจ่ายในประเทศใกล้เคียง เช่น มาเลเซีย หรือ อินโดนีเซีย (แถบตอนบนของเกาะชวา) แทน อย่างไรก็ตามในทางกลับกัน นักท่องเที่ยวที่ต้องการมาท่องเที่ยวเกาะชวาก็มกจะเลือก ั เข้า มาใช้บ ริก ารทางด้า นสุ ข ภาพที่ส ิง คโปร์ อีก ทัง สิง คโปร์เ ป็ น จุ ด พัก ระหว่ า งทางของทุ ก ้ เทียวบินทีจะเข้ามาสูเกาะชวาอยูแล้ว จึงสะดวกในการเข้ามาใช้บริการ ่ ่ ่ ่ นอกจากนี้สงคโปร์ยงมีประชากรสามารถใช้ภาษาอังกฤษในการสื่อสารได้เป็ นอย่างดี ิ ั และมีสงอํานวยความสะดวก ภัตตาคารระดับหรู ซึงจะช่วยลดปญหา culture shock สําหรับ ิ่ ่ ั นักท่องเที่ยวชาวตะวันตกในกรณีท่ไม่คุนเคยกับความแตกต่างทางด้านวัฒนธรรมได้ ซึ่ง ี ้ Runckel สรุปว่า สิงคโปร์เป็ นทางเลือกทีดสาหรับผูทกลัวการเดินทางไปต่างประเทศและไม่ ่ ีํ ้ ่ี เชื่อถือในความสามารถด้านการแพทย์ของประเทศอินเดียและประเทศไทย อย่างไรก็ตาม Runckel ระบุว่านักท่องเที่ยวส่วนใหญ่มกจะชอบศูนย์กลางการแพทย์ของประเทศไทยและ ั อินเดียมากกว่า 53
  • 72.
    ประเทศอินเดียเป็ น hubทีมอตราค่าบริการทีต่ํากว่า hub อื่นๆ ในระดับคุณภาพ ่ ี ั ่ เดียวกัน โดยมีเจ้าหน้าที่และอุปกรณ์ทางการแพทย์ท่มคุณภาพไม่ด้อยไปกว่ากัน แต่อตรา ี ี ั ค่าบริการเฉลี่ยจะอยู่ท่ี 1 ใน 5 ของอัตราค่าบริการในประเทศสหรัฐอเมริกา หรือในบางบริการ (เช่น ทันตกรรม) จะตกประมาณ 1 ใน 10 เท่านัน อย่างไรก็ตาม คนอินเดียเจ้าของประเทศทีมี ้ ่ ฐานะยากจนมักจะเข้าไม่ถงบริการเหล่านี้ ึ ในด้านการท่องเที่ยวในอินเดียนัน ประเทศอินเดียเป็ นประเทศทีมชวตชีวาและเต็มไป ้ ่ ี ีิ ด้วยวัฒนธรรมทีงดงามทีนกท่องเทียวมีโอกาสทีจะประทับใจ แต่ในขณะเดียวกันก็อาจจะอึดอัด ่ ่ ั ่ ่ เนื่องจากความไม่พร้อมในด้านสาธารณู ปโภคของอินเดีย และแม้ว่าอินเดียจะมีโรงแรมและ ภัตตาคารแบบตะวันตกทีสุดหรู แต่สถานที่เหล่านันก็มราคาทีแพงมาก ในขณะที่แทบจะไม่มี ่ ้ ี ่ โรงแรมและภัตตาคารระดับกลางเลย ซึง Runckel ได้เปรียบเปรยไว้ว่า ในอินเดียนัน หากไม่ ่ ้ เลือกโรงแรมสุดหรูกจะต้องเลือกนอนกองขยะ ็ สําหรับประเทศไทยนัน เมื่อเทียบราคาเฉลี่ยกับอินเดียแล้วจะสูงกว่าอินเดียประมาณ ้ ร้อยละ 20 แต่มขอได้เปรียบด้านการท่องเทียวทีเหนือกว่ากว่าอินเดียและสิงคโปร์ และไทยมี ี ้ ่ ่ ศูนย์กลางการให้บริการทางการแพทย์ทมบริการครอบคลุมแทบทุกด้าน ในขณะที่การเข้ารับ ่ี ี การรักษาในอินเดียส่วนใหญ่จะเป็ นการเข้ารับบริการแบบเจาะจงเฉพาะทางซึงจะแตกต่างกันไป ่ ในแต่ละเมือง ่ นอกจากนี้ จากการวิเคราะห์ของฝายวิจย ธนาคารกรุงเทพ จํากัด (มหาชน) (อัจฉรา ั วรศิรสุนทร 2547) ซึงเปรียบเทียบ Competitive Advantage ของไทยกับประเทศต่างๆ ใน ิ ่ ภูมภาคทีพฒนาตนเองเป็ น medical hub ระบุว่าประเทศทีเป็ นคู่แข่งสําคัญได้แก่ สิงคโปร์ ซึงมี ิ ่ ั ่ ่ การจัดตัง Health Care Working Group โดยมีเป้าหมายอย่างชัดเจนว่าจะเป็ น Medical Hub of ้ Asia มาเลเซีย ซึงรัฐและเอกชนร่วมมือผลักดันสู่ Health Tourism Hub of Asia อินเดีย ซึงมี ่ ่ การเติบโตของผูป่วยต่างชาติเฉลี่ยสูงถึงร้อยละ 30 ต่อปี และฮ่องกง ซึ่งเริมประกาศนโยบาย ้ ่ เป็ น Medical Hub โดยเปิ ดศูนย์ปฏิบตการ Cancer ซึงอัจฉราได้นําเสนอตารางเปรียบเทียบ ั ิ ่ (ตารางที่ 3.2) ดังต่อไปนี้ 54
  • 73.
    ตารางที่ 3.2 เปรียบเทียบcompetitive advantage ของไทยกับคู่แข่งอื่นในเอเชีย Competitive Advantage ไทย สิงคโปร์ อินเดีย มาเลเซีย ฮ่องกง Service & Hospitality xxxxx x Hi-tech Hardware x xxx xx x xx HR Quality x xxx xx xx Int. Accredited Hospital x Preemptive Move xxx x Synergy/Strategic Partner xx x Accessibility/Market xxx xx xx Channel Reasonable Cost xxxx xxx xxx แหล่งที่มา: อัจฉรา วรศิรสนทร (2547) ิุ หมายเหตุ: จํานวน x ยิงมากยิงดี ่ ่ นอกจากนี้ ก็มรายงานของ The Boston Consulting Group ซึงศึกษาเปรียบเทียบใน 5 ี ่ ประเทศ คือ ไทย สิงคโปร์ อินเดีย มาเลเซีย และฟิ ลปปิ นส์ โดยพยายามเปรียบเทียบเฉพาะ ิ บริการส่วนทีเป็ น medical tourism (ดูรายละเอียดในตารางที่ 3.3) ซึงข้อสรุปโดยภาพรวมไม่ได้ ่ ่ ต่างรายงานอื่นๆ ข้างต้นมากนัก แต่จะเห็นได้ว่าในด้านค่ารักษาพยาบาลนัน ตัวเลขค่าใช้จ่าย ้ ต่ อ หัว ที่คํ า นวณออกมาเป็ น เหรีย ญสหรัฐ ได้ภ าพที่เ กือ บจะตรงกัน ข้า มกับ การประเมิน เชิง คุณภาพในส่วนของค่ารักษาพยาบาลในหน้าทีสองของตาราง ่ Patients Beyond Borders (Second Edition) (Woodman 2008) ซึงเป็ นหนังสือคู่มอ ่ ื สําหรับคนไข้ (ในลักษณะเดียวกับ Traveller’s Guide) ก็ระบุว่าสิงคโปร์เป็ นประเทศทีมบริการที่ ่ ี มีคุณภาพสูงและมีค่ารักษาพยาบาลทีแพงเป็ นลําดับต้นๆ ของเอเชีย (แต่ในตารางเปรียบเทียบ ่ ค่าใช้จายค่าผ่าตัดใหญ่ในบทนําของหนังสือ กลับแสดงตัวเลขทีบ่งชีวาค่าผ่าตัดของไทยแพงกว่า ่ ่ ้่ สิงคโปร์ในหลายรายการ เช่น การผ่าตัดบายพาสเส้นเลือดหัวใจ การผ่าตัดเปลี่ยนลิ้นหัวใจ พร้อมกับบายพาสเส้นเลือดหัวใจ และการผ่าตัดเปลียนข้อสะโพกและข้อเข่า) แต่ระบุว่าสิงคโปร์ ่ และมาเลเซียเป็ นทีรจกในหมู่คนไข้ชาวตะวันตกน้อยกว่าไทยและอินเดีย และกล่าวถึงประเทศ ่ ู้ ั ไทยว่าเป็ นดาวรุงทีเติบโตขึนมาอย่างรวดเร็วหลังวิกฤติปี 2540 มีโรงพยาบาลทีมช่อเสียงอย่าง ่ ่ ้ ่ ี ื รพ.บํารุงราษฎร์และเครือกรุงเทพดุสตเวชการซึงเป็ นเครือข่ายโรงพยาบาลเอกชนทีใหญ่ทสุดใน ิ ่ ่ ่ี เอเชียตะวันออกเฉียงใต้ Patients Beyond Borders ยังระบุดวยว่า ถึงแม้ชาวต่างชาติท่ี ้ เดินทางมาประเทศไทยจะมีโอกาสพบเห็นทังสภาพความรํ่ารวยและความยากจนทีต่างกันอย่าง ้ ่ ชัดเจน แต่พวกเขามักจะรูสกสบายใจกับสภาพความเป็ นอยู่ในประเทศไทยมากกว่าในอินเดีย ้ ึ หรืออาฟริกา 55
  • 74.
    ตารางที่ 3.3 เปรียบเทียบmedical tourism ของประเทศไทยและประเทศคู่แข่งในภูมิภาคนี้ โดย The Boston Consulting Group รายการ ไทย สิ งคโปร์ อิ นเดีย มาเลเซีย ฟิ ลิ ปปิ นส์ จํานวนคนไข้ชาวต่างชาติ ~660,000 ~450,000 ~300,000 ~300,000 ~100,000-200,000 (เฉพาะคนไข้ทเี่ ดินทาง เพือมารับการรักษา ่ โดยเฉพาะ) รายได้จากคนไข้ชาวต่างชาติ 750 (ล้านดอลลาร์สหรัฐฯ) (ปี 2549) (เฉพาะคนไข้ทเี่ ดินทาง 425 440 54 125 เพือมารับการรักษา ่ โดยเฉพาะ) ค่าใช้จายต่อหัว (ดอลลาร์สหรัฐต่อ ่ 1,140 940 1,470 180 1,000 คนไข้ 1 คน) รายได้จากคนไข้ชาวต่างชาติ (%) 20-40% 30-50% 10-15% ~5-30% <5% จํานวนโรงพยาบาลทีได้มาตรฐาน ่ 3 11 8 0 2 JCI การยอมรับ “ติดอันดับ 1 ใน “ทีหมายทีดทสดใน ่ ่ ี ่ี ุ เป็ นประเทศทีใหม่ใน ่ 10 ทีชาวต่างชาติ ่ การท่องเทียวเชิง ่ ธุรกิจการท่องเทียว ่ ต้องการเดินทาง สุขภาพ” เชิงสุขภาพ ยังไม่ม ี มารักษามากทีสด” ุ่ - Travel Weekly ชื่อเสียงเป็ นทียอมรับ ่ - Newsweek 2007 ในระดับสากล 56
  • 75.
    รายการ ไทย สิ งคโปร์ อิ นเดีย มาเลเซีย ฟิ ลิ ปปิ นส์ Positioning ความมีประสิทธิภาพใน การรักษาในโรคทีซบซ้อน คุณภาพการ ่ ั ยังไม่ม ี Positioning ที่ บริการทางการแพทย์ การรักษาโรคเฉพาะ และคุณภาพในการ รักษาพยาบาลทีดในราคา ชัดเจน ่ ี ราคาตํ่าสําหรับชาว ทางและ ตติยภูม ิ รักษาพยาบาล ทีถกทีสด ่ ู ุ่ ฟิลปปินส์ทอยู่ ิ ่ี รวมถึงความเป็ นเลิศใน ต่างประเทศ และ การให้บริการ Micronesia จุดขายสําคัญ การบําบัด, การรักษา การรักษาแบบจตุภม ิู การรักษาแบบตติยภูม ิ การรักษาโรคเฉพาะทาง การบําบัด, การรักษาโรค โรคเฉพาะทางและ (Quaternary) และตติย (Tertiary) และจตุภม ิ ู และตติยภูม ิ (Tertiary) เฉพาะทางและตติยภูม ิ ตติยภูม ิ (Tertiary) ภูม ิ (Tertiary) (Quaternary) (Tertiary) ค่ารักษาพยาบาล ** * **** **** *** คุณภาพของบริการทางการแพทย์ *** **** *** ** */** การบริการ **** *** *** ** *** โครงสร้างพืนฐานทางการแพทย์ ้ *** **** *** * ป ัญหาและอุปสรรค - ขาดแคลนแพทย์และ - ตลาดมีขนาดเล็กทําให้ม ี - ป ัญหาโครงสร้างพืนฐาน - ขาด Positioning ที่ ้ - โครงสร้างพืนฐาน เช่น ้ พยาบาล ั ปญหาเรืองขนาด (scale) ของประเทศ ่ ชัดเจนเมือเทียบกับคูแข่ง สนามบินและการจราจร ่ ่ - การรักษาสมดุล - ขาดสมดุลระหว่าง - ขาดการสนับสนุนจาก ยังไม่ดพอ ี ระหว่างคนไข้ไทยและ ภาครัฐกับภาคเอกชน ภาครัฐ ั - ปญหาความปลอดภัย คนไข้ต่างชาติ - การพัฒนามาตรฐาน และและความมันคงของ ่ ร่วมของประเทศ ประเทศ - ภาครัฐขาดการ ประสานงานทีดในการให้ ่ ี การสนับสนุน 57
  • 76.
    รายการ ไทย สิ งคโปร์ อิ นเดีย มาเลเซีย ฟิ ลิ ปปิ นส์ ทิศทางในอนาคต + มีแนวโน้มทีจะขยาย + มีช่อเสียงและเน้นการ + เป็ นศูนย์กลางทาง ่ ื + มีศกยภาพทีขยายการ ั ่ + มีแนวโน้มทีจะโตใน ่ ตัวอย่างต่อเนื่อง รักษาโรคเฉพาะทางหรือ การแพทย์ทมค่าใช้จายตํ่า ่ี ี ่ ให้บริการชาวต่างชาติท่ี ตลาดหลัก คือชาว ๐ การเข้ามาของ โรคทีรนแรง เป็ นที่ ุ่ + จะมีคนไข้จาก เป็ นมุสลิม ฟิลปปินส์ทอยูใน ิ ่ี ่ ผูประกอบการรายใหม่ ยอมรับในระดับสากล ้ สหรัฐอเมริกาและสหราช - แต่อาจจะไม่สามารถ ต่างประเทศและเกาะกวม ๐ การสนับสนุนอย่าง + มุงสร้างเครือข่ายใน ่ อาณาจักรเพิมขึนมาก ่ ้ แข่งขันกับประเทศคูแข่ง ่ และจากธุรกิจประกัน จริงจังจากภาครัฐใน ภูมภาค ิ ๐ เน้นเจาะตลาดคูสญญา ่ ั อื่นๆ ทีพยายามขยาย ่ - แต่การขยายตัวจะชะงัก การเจาะกลุมตลาดใหม่ + เน้นเจาะตลาดคูสญญา กับบริษทและกลุมคนไข้ท่ี ่ ่ ั ั ่ ตลาดนี้เช่นกัน ั ถ้าปญหาต่างๆ ไม่ได้รบั + โรงพยาบาลจะเจาะ กับบริษทและกลุมคนไข้ท่ี มีประกันในต่างประเทศ ั ่ การแก้ไข ตลาดคูสญญากับ ่ ั มีประกันในต่างประเทศ บริษทในต่างประเทศ ั หมายเหตุ: จํานวน * ยิงมากยิงดี (มีคาระหว่าง 0 ถึง ****) ่ ่ ่ ทีมา: The Boston Consulting Group. Overview of Medical Tourism. February 2008. ่ 58
  • 77.
    มุมมองของแพทย์ไทย ในมุมมองของแพทย์ไทยนัน แพทย์หญิงสมศรี เผ่าสวัสดิ ์ นายกแพทยสมาคมแห่ง ้ ประเทศไทย ให้ความเห็นว่า Medical Hub ของไทยมีจุดแข็งในเรื่องคุณภาพการรักษา โดย การแพทย์ของไทยมีศกยภาพสูงพอเทียบเท่ากับทางยุโรปหรืออเมริกา และการรักษาพยาบาล ั ่ ุ่ ของไทยก็เป็ นทีนิยมในย่านเอเชียตะวันออกเฉียงใต้ และญีปนด้วย (มติชน 2547, 28 มิถุนายน) ่ ในด้านการแข่งขันกับสิงคโปร์นัน แพทย์หญิงชัญวลี ศรีสุโข (มติชน 2547, ้ 29 มิถุนายน) ระบุกล่าวว่าไทยยังคงมีขอด้อยกว่าสิงคโปร์สามประการคือ ประการแรก การแพทย์ ้ เชิง ท่ อ งเที่ย วของไทยยัง กระจุ ก อยู่ ใ นโรงพยาบาลเอกชน ประการทีส อง ยัง ไม่ มีก าร ่ ประสานงานระหว่างการท่องเทียวกับการแพทย์อย่างเป็ นระบบทีสมบูรณ์ และประการทีสาม ่ ่ ่ เนื่ อ งจากประเทศสิง คโปร์ใ ช้ภ าษาอัง กฤษเป็ น ภาษากลางในการสื่อ สาร ชาวต่ า งชาติจึง ติดต่อสื่อสารไม่ว่าจะเป็ นเรื่องการแพทย์หรือท่องเทียวได้สะดวกกว่า อย่างไรก็ตาม ประเทศ ่ ไทยยังมีขอได้เปรียบสิงคโปร์ในหลายด้าน เช่น ค่ารักษาพยาบาลในเมืองไทยถูกกว่าประเทศ ้ สิงคโปร์ ทีมราคาสูงกว่าไทย 2-4 เท่า (เช่น ค่าเปลียนถ่ายตับในประเทศสิงคโปร์ใช้เงิน 210,000 ่ ี ่ เหรียญสิงคโปร์ หรือสีลานบาทเศษ และการผ่าตัดเปลียนเส้นเลือดหัวใจ (Bypass Surgery) ใช้ ่้ ่ เงิน 18,000 เหรียญสิงคโปร์ หรือสีแสนบาทเศษ) ในขณะที่เครื่องมือและเทคโนโลยีทางการ ่ แพทย์ของประเทศไทยทันสมัยไม่แพ้ประเทศใดในโลก นอกจากนี้ ประเทศไทยมีทงแหล่ง ั้ ท่องเทียวธรรมชาติ และสถานท่องเทียวอื่นๆ จํานวนมาก อีกทังยังมีช่อเสียงในด้านการบริการ ่ ่ ้ ื และด้านอาหารด้วย ในภาพรวมนั น นายแพทย์ช าตรี ดวงเนตร ประธานคณะผู้บ ริห ารศู น ย์ก ารแพทย์ ้ โรงพยาบาลกรุงเทพ บริษทกรุงเทพดุสตเวชการ จํากัด (มหาชน) ระบุว่า ขณะนี้ประเทศไทย ั ิ ก้าวขึนสู่ศูนย์กลางของการรักษาพยาบาล (เมดิคลฮับ) โดยมียอดผูเดินทางเข้ามารักษามาก ้ ั ้ ทีสุด ในโลก รองลงมาคือ อินเดีย เยอรมนี และอัง กฤษ (ผูจดการออนไลน์ 2550, 27 ่ ้ ั สิงหาคม) 3.5 บทเรียนจากต่างประเทศ จากการศึกษาการดําเนินการของ medical hub ในประเทศต่างๆ สามารถสรุปเป็ นบทเรียน ได้ในหลายประเด็นดังต่อไปนี้ • การที่ชาวต่างชาติท่มาใช้บริการ medical tourism (หรือมารับการรักษาที่ ี 26 “medical hub” ) มักให้ความสําคัญกับเรื่องบริการรักษาพยาบาลเป็ นหลัก และให้ ความสําคัญกับการท่องเทียวไม่มากนัก (ซึ่งเป็ นสิงทีพบในหลายประเทศ รวมทัง ่ ่ ่ ้ จากการศึกษาของคณะผูวจยในประเทศไทยด้วย) ส่วนสําคัญของ “ความสําเร็จ” ้ิั ของสิงคโปร์ท่ผ่านมา (อย่างน้ อยในด้านการสร้างชื่อเสียง ซึ่งเป็ นที่ยอมรับกัน ี 26 คําว่า hub เป็ นศัพท์ทสงคโปร์ใช้เป็ นประเทศแรกๆ ่ี ิ 59
  • 78.
    โดยทัวไปเมื่อพูดถึง medical tourismในเอเชีย) จึงขึนกับความสามารถในการ ่ ้ รักษาคุณภาพและมาตรฐานให้เป็ นที่ยอมรับของชาวต่างประเทศมาโดยตลอด ่ ่ ้ ่ ่ั โดยเฉพาะอย่างยิง เมือคํานึงว่าผูปวยทีรบการรักษาในต่างประเทศจะมีความเสียง ่ บางด้านมากกว่าการรักษาในประเทศตนเอง เช่น อาจมีขอจํากัดมากกว่า (หรือ ้ บางครังก็เป็ นไปไม่ได้) ในการฟ้องร้องในกรณีท่เกิดความเสียหายที่เกิดจากการ ้ ี รักษาพยาบาล หรือในด้านการรักษาต่อเนื่อง (follow up) เมื่อผูปวยเดินทางกลับ้ ่ ไปสูประเทศตัวเองแล้ว ่ • การให้บริการของสิงคโปร์มจุดขายที่ชดเจนคือ คุณภาพของบริการในระดับ ี ั แนวหน้าของโลก จนกล่าวได้ว่าแนวคิดเรื่องการเป็ นศูนย์กลางการให้บริการ ทางการแพทย์ (medical hub) ของเอเชียของสิงคโปร์นัน ไม่ได้มความ ้ ี เกี่ยวข้องหรือสัมพันธ์กบด้านการท่องเที่ยว (tourism) มากนัก (แม้ว่าการ ั ั ั โฆษณาประชาสัมพันธ์ของสิงคโปร์ในปจจุบน จะได้กล่าวถึงอยูบางก็ตาม แต่ก็ ่ ้ จะจํากัดอยู่แค่ศูนย์การค้าและภัตตาคารเป็ นหลัก) ในส่วนนี้พฒนาการของ ั สิงคโปร์จงมีความแตกต่างกับกรณีของไทยอยู่พอสมควร เพราะความสําเร็จ ึ ของโรงพยาบาลเอกชนของไทยในระยะแรกหลายแห่ง ทังในกรุงเทพมหานคร ้ และต่ า งจัง หวัด (เช่ น โรงพยาบาลกรุ ง เทพภู เ ก็ต ) มีส่ ว นสํ า คัญ ที่เ กิด จาก ชาวต่างชาติทมาพํานักหรือมาท่องเที่ยวในประเทศไทยมาใช้บริการและบอก ่ี ต่อๆ กันไป • อย่างไรก็ตาม แม้กระทังประเทศที่ถอว่าประสบความสําเร็จจนมีช่อเสียงในด้าน ่ ื ื medical tourism ดังเช่นสิงคโปร์ ก็ยงมีความเสียงที่เกิดจากความผันผวนของ ั ่ ั จํ านวนชาวต่ างชาติ ด้วยป จจัยต่ างๆ ซึ่งบางครังก็อยู่เหนื อการควบคุ มของ ้ ประเทศนันๆ ตัวอย่างเช่น ในช่วงหลังจากที่เ กิดวิก ฤติเ ศรษฐกิจในปี 2540 ้ จํานวนคนไข้ต่างชาติกลดลงอย่างมีนยสําคัญ (ดูรปที่ 3.1) ซึงนอกจากจะเป็ น ็ ั ู ่ ั เพราะปจจัยภายนอกด้านอื่นๆ (เช่น วิกฤติเศรษฐกิจในประเทศอื่น) แล้ว การ เติบโตของคู่แข่งในประเทศอื่นที่เริมเข้ามาสู่ตลาดนี้ (ในกรณีน้ีคอประเทศไทย27 ่ ื 28 มาเลเซีย และอินเดีย หรือแม้แต่ออสเตรเลีย (ซึงเป็ นประเทศทีสงคนไข้ไปรักษา ่ ่่ ทีอ่นเสียมากกว่า) และในอนาคตก็คงมีฟิลปปิ นส์ ฮ่องกง ดูไบ30 และประเทศ ่ ื ิ 29 27 รายงานของ Ministry of Trade and Industry Singapore. The Healthcare Services Working Group, n.d.(a) (Appendix 1 p.6) ยกตัวอย่างโรงพยาบาลบํารุงราษฎร์ของไทยเป็ นคู่แข่งทีประสบความสําเร็จในด้าน ่ การตลาด 28 ซึงมีอตราการเติบโตด้านการแพทย์ถงปีละ 30% (ประชาชาติธุรกิจ 2547, 7 ตุลาคม) ่ ั ึ 29 ซึงทีผ่านมาได้พยายามเน้นบทบาทในด้านเทคโนโลยีระดับสูงด้านมะเร็ง และเริมประกาศตัวเป็ น medical ่ ่ ่ hub ในด้านศูนย์มะเร็ง 60
  • 79.
    อื่นๆ อีก) ซึ่งประเทศคู่แข่งต่างก็มการพัฒนาในด้านต่างๆเช่น การให้บริการ ี รัก ษาพยาบาล เทคโนโลยีก ารบริห ารจัด การธุ ร กิ จ รัก ษาพยาบาล การ ประชาสัมพันธ์ และกลยุทธ์ทางด้านการตลาด รวมทังแรงจูงใจในด้านราคาที่ ้ ถูกกว่าในคุณภาพที่ทดเทียมกันหรือไม่ต่างกันมากนัก ดังนัน โอกาสที่คนไข้ ั ้ จํานวนมากจากประเทศหนึ่ งใดที่เคยนิ ยมมารับการรักษาในประเทศหนึ่ งจะ เปลี่ยนไปเลือกประเทศอื่นในอนาคตก็เป็ นสิงเกิดขึนได้เสมอ และอาจเกิดขึนได้ ่ ้ ้ อย่างรวดเร็วด้วย การวางแผนยุทธศาสตร์ใดๆ ทีหวังพึงกําลังซือจากต่างประเทศ ่ ่ ้ จึงต้องทําด้วยความระมัดระวังและไม่เล็งผลเลิศจนเกินไป รูปที่ 3.1 จํานวนผูป่วยชาวต่างชาติ ที่มารักษาที่สิงคโปร์ในช่วงก่อนและหลังวิ กฤติ ้ เศรษฐกิ จปี 2540 แหล่งที่มา: Singapore Tourist Board overseas visitors’ survey and Minister of Health Administrative (quoted in Ministry of Trade and Industry Singapore. The Healthcare Services Working Group, n.d.(a)) • โครงการ medical tourism ในหลายประเทศในแถบนี้ได้รบการผลักดันหรือ ั สนั บ สนุ น จากรัฐ บาล (รวมทัง สิง คโปร์ มาเลเซีย ฟิ ลิป ปิ น ส์ และไทย) แต่ ้ ประเทศที่บทบาทของรัฐบาลมีความโดดเด่นมากที่สุดคือสิงคโปร์ ซึ่งมีการ ประสานงานอย่ า งเป็ นระบบของภาครัฐ ในการสนั บ สนุ นภาคเอกชน 30 มีโครงการสร้างโรงพยาบาลจํานวนมาก ซึ่งเมื่อสําเร็จแล้วอาจทําให้จํานวนชาวตะวันออกกลางที่เคย เดินทางมารับการรักษาในประเทศไทยและประเทศใกล้เคียงลดลงอย่างมีนยสําคัญ ั 61
  • 80.
    ตัวอย่างเช่น รัฐบาลได้จดตัง SingaporeMedicine ในปี 2546 ั ้ โดย Singapore Medicine เป็ นองค์กรทีประกอบด้วยหน่ วยงานต่างๆ ของรัฐหลาย ่ หน่ ว ยงาน ได้แ ก่ ก ระทรวงสาธารณสุ ข (ซึ่ง เป็ น องค์ก รหลัก ) และอีก สาม หน่ วยงาน อันได้แก่ คณะกรรมการพัฒนาเศรษฐกิจ (The Economic Development Board หรือ EDB) องค์กรวิสาหกิจระหว่างประเทศของสิงคโปร์ (International Enterprise Singapore) และคณะกรรมการการท่องเทียว ่ สิงคโปร์ (The Singapore Tourism Board) เป็ นหน่ วยงานสนับสนุ น (ดู รายละเอียดได้ใน www.SingaporeMedicine.com) • ถ้าพิจารณาในแง่ศกยภาพในการแข่งขันในการดึงคนไข้ต่างชาติกบประเทศ ั ั ไทยแล้ว อินเดีย ถือเป็ นประเทศที่มศ กยภาพในด้านนี้ ท่ีสูงกว่า ประเทศอื่น ี ั เนื่ องจากเป็ นประเทศที่มบุคลากรที่มคุณภาพจํานวนมาก31พอที่จะสามารถ ี ี รองรับคนไข้ต่างชาติจํานวนมาก และมีสถานพยาบาลจํานวนไม่น้อย (โดย เฉพาะทีนิวเดลีและเชนไน) ทีได้มการดําเนินการด้านนี้มาหลายปี แล้ว อีกทัง ่ ่ ี ้ ั ั ในปจจุบนอินเดียเป็ นประเทศทีมตนทุนในการให้บริการค่อนข้างตํ่า และมีราคา ่ ี ้ ค่ารักษาพยาบาลทีต่ํากว่าประเทศไทย ดังนัน อินเดียจึงมีโอกาสมากทีจะเป็ น ่ ้ ่ คู่แข่งที่สําคัญของไทยมากกว่าสิงคโปร์ซ่งมีขนาดเล็ก และปจจุบนหันไปเน้น ึ ั ั การรักษาทีใช้เทคโนโลยีขนสูงราคาแพงมากกว่า ่ ั้ • medical hub สามารถเติบโตได้ในประเทศทีประชากรโดยทัวไปยากจน และ่ ่ ั โดยเฉลี่ ย แล้ ว ยัง มี ป ญ หาในการเข้ า ถึ ง และ/หรื อ ได้ ร ับ บริ ก ารด้ า นการ รัก ษาพยาบาลที่มีคุ ณภาพ (เช่น อินเดีย และคาดว่าฟิ ลิปปิ นส์อาจเป็ นราย ต่อไป) และในบางกรณีอาจจะง่ายกว่าในประเทศที่รฐพยายามให้ความสําคัญ ั กับการมีหลักประกันสุขภาพถ้วนหน้า (เช่นประเทศไทย) เพราะในระยะสัน ้ ประเทศกลุ่มแรกจะมีแรงกดดันเรื่องบุคลากรน้อยกว่ากลุ่มหลัง ทําให้อนเดีย ิ สามารถมี อ ั ต ราการเติ บ โตด้ า นการรั ก ษาคนไข้ ต่ า งชาติ ถึ ง ปี ละ 30% (ประชาชาติธุรกิจ 2547, 7 ตุลาคม) แต่กมทงคนต่างชาติและชาวอินเดียทีเห็น ็ ี ั้ ่ ั ปญหาของการพัฒนา medical hub ในลักษณะดังกล่าว ว่าอาจก่อให้เกิดปญหา ั สังคมขึนมาในประเทศเหล่านันเนื่องจากความเหลื่อมลํ้าทีเห็นได้ชดเจนมากขึน ้ ้ ่ ั ้ ดังนัน แนวทางการพัฒนา medical hub ในลักษณะดังกล่าวจึงไม่น่าจะเป็ น ้ แนวทางการพัฒนา medical hub ทียงยืนในระยะยาวทีประเทศไทยสมควรยึด ่ ั่ ่ เป็ นแบบอย่างแต่อย่างใด 31 แม้วาอินเดียจะเป็ นประเทศทียงยากจน แต่กมสถาบันการศึกษาทีทนสมัยจํานวนมาก ทีนอกจากจะผลิต ่ ่ ั ็ ี ่ ั ่ นักเขียนโปรแกรมคอมพิวเตอร์หรือวิศวกรออกมาปีละจํานวนมากแล้ว ยังสามารถผลิตแพทย์และพยาบาลได้ ถึงปีละ 20,000-30,000 คนอีกด้วย (Medical Tourism India, n.d.) อินเดียจึงมีศกยภาพด้านบุคลากรทีมทง ั ่ ี ั้ ปริมาณและคุณภาพมากพอทีจะสร้างความน่าเชื่อถือและสามารถรองรับกับการขยายตัวได้เป็ นอย่างดี ่ 62
  • 81.
    เอกสารอ้างอิ ง กระทรวงพาณิชย์. กรมส่งเสริมการส่งออก.2548. สิ งคโปร์ค่แข่งธุรกิ จรักษาพยาบาลไทย ู ในบังคลาเทศ. ค้นวันที่ 13 สิงหาคม 2550 จาก http://www.depthai.go.th/go/content/download/attach?contentId=2817&name= รักษาพยาบาล.doc กระทรวงพาณิชย์. กรมส่งเสริมการส่งออก. ม.ป.ป. สิ งคโปร์ คู่แข่งอันดับ 1 ของธุรกิ จ สุขภาพไทย. ค้นวันที่ 13 สิงหาคม 2550 จาก http://www.depthai.go.th/go/content/download/attach?contentId=8836&name=? ?????????????.doc อัจฉรา วรศิรสนทร. 2547. “สินค้าและบริการสุขภาพ : อีกประเภทธุรกิจทีไทยแข่งได้”. ค้น ิุ ่ วันที่ 27 กรกฎาคม 2550 จาก http://www.bangkokbank.com/download/SRHealth.pdf “ดันไทย "ฮับ" ท่องเทียวเชิงการแพทย์ คูแข่งสิงคโปร์ตงแผนรับสกัดดาวรุง”. บิสิเนสไทย. (7- ่ ่ ั้ ่ 13 พฤษภาคม 2550). ค้นวันที19 มิถุนายน 2550 จาก NEWScenter. ่ “มาเลย์-สิงคโปร์ชงเมดิคล ฮับไทย”. ฐานเศรษฐกิ จ. (31 พฤษภาคม – 2 มิถุนายน 2550). ิ ั ค้นวันที่ 19 มิถุนายน 2550 จาก NEWScenter. “สิงคโปร์ ประกาศจุดยืนClinical Medical Hub”. บิ สิเนสไทย. (8 สิงหาคม 2548). ค้นวันที่ 17 สิงหาคม 2550 จาก http://www.businessthai.co.th/content.php?data=409389_Mice%20Market “Medical Marketing ไทยชิงดําศูนย์แพทย์แห่งเอเชีย”. บิ สิเนสไทย. (7 กรกฎาคม 2548). ค้นวันที่ 17 สิงหาคม 2550 จาก http://www.businessthai.co.th/content.php?data=411710_ข่าวปกใหญ่ๆ “ ‘ศิรราช’ ยุคใหม่กอนไทยเป็ นฮับ ร.พ.รัฐสร้างคน เอกชนสร้างตลาด ”. ประชาชาติ ธรกิ จ. (29 ิ ่ ุ เมษายน -2 พฤษภาคม 2547). ค้นวันที19 มิถุนายน 2550 จาก NEWScenter. ่ Agency for Science, Technology and Research. (Febuary, 2004). “Singapore's Biomedical Sciences Initiatives on Track to Meet Targets”. Retrieved September19, 2007 from www.a- star.edu.sg/press_release/attachment/344/2004_BMS_Joint_Sectoral_Press_ Release.doc Charles J. Runckel. 2007. “Where to go for medical tourism?”. Retrieved June 27, 2007 from http://www.business-in-asia.com/asia/medical_tourism2.html Chee Heng Leng. 2007. “Medical Tourism in Malaysia: International Movement of Healthcare Consumers and the Commodification of Healthcare”. Asia 63
  • 82.
    Research Institute WorkingPaper Series No.83. Retrieved August 18, 2007 from http://www.ari.nus.edu.sg/showfile.asp?pubid=642&type=2 Economic Development Board (EDB), Singapore Tourism Board (STB) and International Enterprise Singapore (IE). 2003. “Singapore Set To Be Healthcare Services Hub Of Asia.” Press Release October 20, 2003. Expat Web Site Association. n.d. “Singapore Healthcare Services”. Retrieved September19, 2007 from http://www.expat.or.id/medical/singaporehealthcare.html HealthAbroad.net. (November 22, 2006). “Philippines Pushes Medical Tourism”. Retrieved September 23, 2007 from http://healthabroad.net/blog/?p=101 Medical Tourism India. n.d. “Medical tourism”. Retrieved August 16, 2007 from http://www.indiamedicaltourism.net/medical_tourism_india_medical_tourism/in dex.html Ministry of Trade and Industry Singapore. The Healthcare Services Working Group. 2002. “Developing Singapore as the Healthcare Hub of Asia”. Retrieved August 14, 2007 from https://app.mti.gov.sg/data/pages/507/doc/Developing%20Singapore%20as% 20the%20Healthcare%20Hub%20of%20Asia.pdf Ministry of Trade and Industry Singapore. 2007. ERC Report. Retrieved August 14, 2007 from https://app.mti.gov.sg/default.asp?id=507 Ministry of Trade and Industry Singapore. The Healthcare Services Working Group. n.d.a. Annex1: Paper1: Developing Singapore as the Compelling Hub for Healthcare service in Asia. Retrieved August 14, 2007 from Ministry of Trade and Industry Singapore. The Healthcare Services Working Group. n.d. b. Ministry of Trade and Industry Singapore. The Healthcare Services Working Group. n.d. b. Annex2: Paper2: Potential Implication on Domestic Policy. Retrieved August 14, 2007 from https://app.mti.gov.sg/data/pages/507/doc/ERC_SVS_HEA_Annex2.pdf Ministry of Trade and Industry Singapore. The Healthcare Services Working Group. n.d.c. Annex3: Foreign patient flow and trends. Retrieved August 14, 2007 from http://app.mti.gov.sg/data/pages/507/doc/ERC_SVS_HEA_Annex3.pdf Ministry of Trade and Industry Singapore. The Healthcare Services Working Group. n.d.d. Annex 4: HSWG’s recommendations to the ERC Human Capital 64
  • 83.
    Subcommittee. Retrieved August15, 2007 from http://app.mti.gov.sg/data/pages/507/doc/ERC_SVS_HEA_Annex4.pdf Ministry of Trade and Industry Singapore. The Healthcare Services Working Group. n.d.e. “Executive Summary - Developing Singapore as the Healthcare Services Hub In Asia”. Retrieved August 14, 2007 from https://app.mti.gov.sg/data/pages/507/doc/SHS_Executive%20Summary.pdf Ministry of Public Health. 2006. Health policy in Thailand. Retrieved June 19, 2006. from http://bps.ops.moph.go.th/HealthPolicy6.pdf Rabbitzilla. (พฤษภาคม 2550). “ ใครว่า...โลกไม่แบน(2)”. ค้นวันที่ 27 กรกฎาคม 2550 จาก http://www.oknation.net/blog/print.php?id=43395 Ray Marcelo. (July 2, 2003). “India Fosters Growing 'Medical Tourism' Sector”. The Financial Times. Retrieved August 15, 2007 from http://yaleglobal.yale.edu/display.article?id=2016 Recover Discover. n.d.. “Healthcare System in India”. Retrieved August 16, 2007 from http://www.recoverdiscover.com/healthcare_system.php Singapore’s Biomedical Sciences. 2003. “Singapore Set To Be Healthcare Services Hub Of Asia”. Retrieved August 17, 2007 from http://www.biomed- singapore.com/bms/sg/en_uk/index/newsroom/pressrelease/0/singapore_set_ to_be.html Singapore Medicine. 2003. “Singapore Set to be Healthcare Services Hub of Asia” (October 2003). Retrieved September19, 2007 from http://app.stb.gov.sg/asp/new/new03a.asp?id=347 Singapore Medicine. n.d. “World-Class Healthcare: Why International Patients choose Singapore”. Retrieved August 14, 2007 from http://www.singaporemedicine.com/healthcaredest/sg.asp Singapore’s Biomedical Sciences. n.d. “About Biomedical Sciences”. Retrieved August 14, 2007 from http://www.biomed- singapore.com/bms/sg/en_uk/index/about_biomedical_sciences.html Singapore’s Biomedical Sciences. (November 2006). “SingaporeMedicine - Making Singapore a Regional Medical Hub”. Retrieved September 20, 2007 from http://www.biomed- singapore.com/bms/sg/en_uk/index/business_resources/business_spotlight/y ear_2006/singaporemedicine.html 65
  • 84.
    Shyam Bhatia. 2003.“India can earn $1 billion from medical tourism”. December 6, 2003. Retrieved August 16, 2007 from http://us.rediff.com/money/2003/dec/06health.htm Supriya Saxena. (September 3, 2004). “India gears up for medical tourists”. Retrieved August 16, 2007 from http://www.domain- b.com/industry/tourism/20040903_medical_tourists.html The Association of Private Hospitals Malaysia (APHM). n.d. “About APHM”. Retrieved August 16, 2007 From http://www.hospitals-malaysia.org/index.cfm?menuid=3 The Boston Consulting Group. 2008. “Overview of Medical Tourism.” February. Woodman, Joseph. 2008. Patients Beyond Borders. Second Edition. Chapel Hill: Healthy Travel Media. Wong Chaynee. 2003. “Health Tourism to drive earnings.” The New Strait Times. 19 April. Y.Bhg Dato’-Dato’, Tuan-Tuan dan Puan-Puan. 2002. “Speech by YB Dato’ Chua Jui Meng, Ministry of Health Malaysia”. Retrieved Sebtember 20, 2007 from http://www.hospitals-malaysia.org/index.cfm?menuid=26 เอกสารประกอบการสัมมนาระดับนานาชาติ หวข้อเรื่อง Medical Tourism Asia 2008 ที่ ั ประเทศสิ งคโปร์ ในเดือนเมษายน 2008 Tan Ser Kiat. 2008. “Medicine & Business: Can They Really Mix?” Yap, Jason. 2008. “Charting the Course of Medical Travel for Long-term Sustainability” Chong, William. 2008. “Exploring the Medical Travel Market for Dental Tourism” del Mundo, Jade. 2008. “Harnessing the Potential of Medical Tourism in the Philippines” Wu Ming-Yen. 2008. “Establishing Taiwan as a Permier Medical Tourism Destination” Fatma, Abdullah. 2008. “Healthcare and Medical Cities: The Next Big Thing in Medical Tourism?” Toral, Ruben. 2008. “Marketing Healthcare Destinations to a Global Audience” Chew Boon Yeow. 2008. “Know Your Patient & Getting Your Patient to Know You: Managing Communication Risks Effectively” 66
  • 85.
    4. ผลกระทบด้านเศรษฐกิจของประเทศ เหตุผลสําคัญทีภาครัฐได้ผลักดันโครงการ medical hub ก็คอศักยภาพในการหารายได้ ่ ื เข้าประเทศ ซึ่งในขันต้น ภาครัฐ (โดยกระทรวงสาธารณสุข) ได้มการตังเป้าหมายด้านรายได้ ้ ี ้ สําหรับ medical hub ไว้ทประมาณ 20,000 ล้านบาทในปี 2547 และตังเป้าว่าจะเพิมขึนเท่าตัวเป็ น ่ี ้ ่ ้ ประมาณ 40,000 ล้านบาทในปี 2551 โดยประมาณการอัตราเพิมไว้ประมาณร้อยละ 18-21 ต่อปี (ดู ่ ตารางที่ 4.1) ซึงถ้านํ าตัวเลขตังเป้าหมายด้านรายได้ของปี 2547–2550 หารด้วยจํานวนคนไข้ ่ ้ ต่างชาติในปี นนๆ ก็จะได้คาเฉลียอยูระหว่าง 17,800-24,000 บาทต่อคนไข้หนึ่งคน ั้ ่ ่ ่ ตารางที่ 4.1 ประมาณการเป้ าหมายรายได้จาก medical hub และข้อมูลจํานวนคนไข้ ต่างชาติ ท่ีมารับการรักษาในประเทศไทย 2547 2548 2549 2550 2551 รวม (1) เป้าหมายรายได้จาก 19,635 23,100 27,433 32,898 39,833 142,899 medical hub (ล้านบาท) อัตราเพิม (% ต่อปี) ่ 17.6 18.8 19.9 21.0 (2) จํานวนคนไข้ต่างชาติ (คน) 1,103,095 1,249,984 1,330,000 1,373,807 อัตราเพิม (% ต่อปี) ่ 13.3 13.3 6.4 3.3 (3) = (1)/(2) ประมาณการ 17,800 18,480 20,626 23,943 เป้าหมายรายได้ต่อคนไข้ ต่างชาติ (บาทต่อคน) แหล่งที่มา: (1) กระทรวงสาธารณสุข (2546) (2) สํานักส่งเสริมธุรกิจบริการ กรมส่งเสริมการส่งออก กระทรวงพาณิชย์ ที่ผ่านมา ข้อมูลรายได้จากการให้บ ริการผู้ป่วยต่างชาติเป็ นข้อมูลที่หาได้ไม่ง่ายนัก แม้แต่ รายงานที่โรงพยาบาลในตลาดหลัก ทรัพย์ต้องส่งให้ท างตลาดหลัก ทรัพย์ก็มีไม่เ พีย ง พอที่จะนํ ามาคํานวณหารายได้ส่วนนี้ ข้อมูลที่ใช้ส่วนใหญ่จงเป็ นข้อมูลที่ได้จากการประมาณ ึ การอย่างหยาบๆ ของหน่ วยงานที่เกี่ยวข้อง (เช่น กรมส่งเสริมการส่งออก) และรายงานจาก ศูนย์วจยต่างๆ (โดยเฉพาะอย่างยิงศูนย์วจยกสิกรไทย ซึงมักมีผอางถึงค่อนข้างบ่อย) ซึงสรุปไว้ ิั ่ ิั ่ ู้ ้ ่ ในตารางที่ 4.2 ซึงจะเห็นได้ว่าทังสองแหล่งนี้ประมาณการรายได้จากคนไข้ต่างชาติในปี 2548 ่ ้ ทังรายรับรวมและรายรับเฉลี่ยต่อหัวไว้สูงกว่าเป้าหมายทางกระทรวงสาธารณสุขตังเอาไว้ใน ้ ้ ตารางข้างบนค่อนข้างมาก 67
  • 86.
    ตารางที่ 4.2 ประมาณการรายได้จากmedical tourism และข้อมูลจํานวนคนไข้ต่างชาติ ปี กรมส่งเสริมการส่งออก ศูนย์วจยกสิกรไทย ิั กระทรวงพาณิชย์ ประมาณ จํานวน รายรับเฉลีย่ ประมาณ จํานวนคนไข้ รายรับเฉลีย ่ การรายได้ คนไข้ ต่อคนไข้ การรายได้ ต่างชาติ ต่อคนไข้ (ล้านบาท) ต่างชาติ (บาท) (ล้านบาท) (ล้านคน) (บาท) (1) (ล้านคน) (3)=(1)/(2) (4) (2) (5) (6)=(4)/(5) 2548 1.25 33,000 1.28 25,781 2549 36,000 1.33 27,068 2550 41,000 1.37 29,840 36,000 ทีมา: กรมส่งเสริมการส่งออก กระทรวงพาณิชย์ และประชาชาติธุรกิจ (10 ธ.ค. 2550) ่ หมายเหตุ: คอลัมน์ (3) และ (6) คํานวณโดยคณะผูวจย ้ิั สํานักงานสถิตแห่งชาติเป็ นอีกหน่วยงานหนึ่งทีประมาณการรายได้และมูลค่าเพิมจากธุรกิจ ิ ่ ่ สถานพยาบาลเอกชนเป็ นระยะๆ โดยสํานักงานสถิตแห่งชาติรายงานการสํารวจโรงพยาบาลเอกชน ิ และสถานพยาบาลเอกชนทุก 5 ปี (ตังแต่ปี 2535 เป็ นต้นมา) ในรายงานการสํารวจโรงพยาบาล ้ เอกชนและสถานพยาบาลเอกชน พ.ศ. 2550 (ซึงรายงานการสํารวจข้อมูลของปี 2549) ประมาณการ ่ รายรับของธุรกิจโรงพยาบาลและสถานพยาบาลเอกชนไว้ท่ี 80,654.7 ล้านบาท32 และประมาณการ มูลค่าเพิมไว้ท่ี 28,296.7 ล้านบาท ซึ่งถ้าใช้ประมาณการรายรับจากคนไข้ต่างชาติจากเป้าหมาย ่ ของกระทรวงสาธารณสุข (27,433 ล้านบาทในปี 2549) ก็แสดงว่ารายรับจากคนไข้ต่างชาติมสดส่วน ี ั ทีสูงถึงประมาณหนึ่งในสาม (ร้อยละ 34) ของรายรับของสถานพยาบาลเอกชนทังหมด หรือถ้าใช้ ่ ้ ประมาณการรายได้จากกรมส่งเสริมการส่งออกมาเทียบกับรายรับทีได้จากการสํารวจโดยสํานักงาน ่ สถิตแห่งชาติ ก็จะได้สดส่วนรายรับจากคนไข้ต่างชาติมสดส่วนทีสงถึงร้อยละ 45 อย่างไรก็ตาม เรา ิ ั ี ั ู่ ไม่มขอมูลเพียงพอทีจะชีชดลงไปว่า รายรับจริงทีสถานพยาบาลได้รบจากคนไข้ชาวต่างชาติได้ตาม ี ้ ่ ้ ั ่ ั เป้าหมายของกระทรวงสาธารณสุขหรือประมาณการรายได้โดยกรมส่งเสริมการส่งออกหรือไม่ และ ในส่ วนของรายงานการสํ ารวจของสํานั กงานสถิติแห่ งชาติเอง (ซึ่งใช้วิธีส่ งแบบสอบถามให้ สถานพยาบาล) ก็ระบุเอาไว้วาได้รบการตอบรับในส่วนของคนไข้ต่างชาติทค่อนข้างตํ่า33 จึงเป็ นไป ่ ั ่ี 32 รายได้สวนนี้น่าจะเป็ นรายได้ในส่วนของบริการด้านการรักษาพยาบาลอย่างเดียว โดยยังไม่ได้รวมรายได้จาก ่ กิจกรรมต่อเนื่อง (เช่น การท่องเทียว) แต่ในขณะเดียวกัน ก็คงเป็ นรายได้ทยงไม่ได้หกต้นทุนต่างๆ รวมทัง ่ ่ี ั ั ้ ต้นทุนค่ายาและวัสดุอุปกรณ์ทตองนําเข้าจากต่างประเทศ ่ี ้ 33 แม้วาจํานวนคนไข้ชาวต่างชาติทสานักงานสถิตแห่งชาติรายงาน (ซึงรวบรวมมาจากสถานพยาบาลเอกชน ่ ่ี ํ ิ ่ 238 แห่ง) จะสูงกว่าตัวเลขทีกรมส่งเสริมการส่งออกรวบรวมจาก 55 สถานพยาบาล แต่ทสาคัญคงเป็ นเพราะการ ่ ่ี ํ 68
  • 87.
    ได้มากว่ารายรับรวมทีประมาณการโดยสํานักงานสถิตแห่งชาติ (ซึงรวมรายรับจากคนไข้ต่างชาติใน ่ ิ ่ สถานพยาบาลของเอกชน) ก็น่าจะตํ่ากว่าความเป็ นจริงด้วย ทําให้เมื่อมาเปรียบเทียบกับตัวเลข ประมาณการรายได้จากกรมส่งเสริมการส่งออกแล้วดูเหมือนมีสดส่วนรายรับทีมาจากต่างชาติทสง ั ่ ่ี ู มาก (ซึ่งคงเป็ นสัดส่วนที่สูงกว่าความเป็ นจริงด้วย) และถ้าเปรียบเทียบมูลค่าเพิมจากธุรกิจ ่ สถานพยาบาลเอกชนที่ประมาณการโดยสํานักงานสถิติแห่งชาติก ับมูลค่ าเพิ่มในด้านบริการ รักษาพยาบาลจากข้อมูลบัญชีรายได้ประชาชาติหมวดบริการด้านสุขภาพและสังคมสงเคราะห์34 ซึง ่ ั ั ่ 35 มีมลค่าเพิม (ณ ราคาปจจุบน) ทีประมาณ 150,000 ล้านบาทในปี 2549 ก็จะตกประมาณร้อยละ ู ่ 19 เท่านัน ซึงน่ าจะเป็ นสัดส่วนทีต่ํากว่าความเป็ นจริงมาก36 จึงมีความเป็ นไปได้ดวยว่าตัวเลข ้ ่ ่ ้ มูลค่าเพิมของสาขาบริการสุขภาพในบัญชีรายได้ประชาชาติ ซึงคณะผูวจยเข้าใจว่าอาศัยข้อมูลส่วน ่ ่ ้ิั หนึ่งจากการสํารวจของสํานักงานสถิตแห่งชาติ จะตํ่ากว่าความเป็ นจริงด้วย ิ (ทังในส่วนของ ้ ภาคเอกชนและในภาพรวม) สํารวจของสํานักงานสถิติแห่งชาติใช้นิยามคนไข้ชาวต่างชาติท่ีกว้างกว่าของกรมส่งเสริมการส่งออก โดยใน รายงานของสํานักงานสถิตแห่งชาตินน สถานพยาบาลเอกชนทีมชาวต่างชาติมารับบริการมีจานวนมากทีสดที่ ิ ั้ ่ ี ํ ุ่ ระบุวามีคนไข้ชาวต่างชาติทเป็ นชาวพม่ามากทีสด (ทังผูป ่ ่ี ุ่ ้ ้ ่วยนอกและใน) รองลงมาคือจีน (อันดับสองในด้าน ผูปวยนอก และอันดับสามด้านผูป่วยใน) และสหราชอาณาจักร (อันดับสามด้านผูปวยนอก และอันดับสองด้าน ้ ่ ้ ้ ่ ผู้ป่วยใน) ในขณะที่ข้อมูลที่กรมส่งเสริมการส่งออกรวบรวมจาก 55 สถานพยาบาลมีคนไข้จากญี่ปุ่นและ สหรัฐอเมริกามากกว่าคนไข้จากอังกฤษ (รวมกับประเทศกลุม “อื่นๆ” ในยุโรปตะวันตก) ค่อนข้างมาก ่ 34 ชื่อสาขาอาจสือว่าเป็ นการรวมกิจกรรมด้านสังคมสงเคราะห์เข้ามาด้วย แต่เมือพิจารณาจากนิยามคุมรวมก็ ่ ่ ้ จะเห็นได้วาเป็ นบริการด้านรักษาพยาบาล (รวมป้ องกันโรค) เกือบล้วนๆ ่ ทังนี้คุมรวมของสาขานี้ ้ ้ ประกอบด้วยสถานประกอบการซึงดําเนินกิจการหลักเกียวกับการให้บริการการป้องกัน การรักษาทางการแพทย์ ่ ่ ทันตกรรม และการอนามัยอืน ๆ ซึงรวมถึงโรงพยาบาล สถานพักฟื้น สถานพยาบาลและสถาบันทีคล้ายคลึงกัน ่ ่ ่ สถานสงเคราะห์มารดาและเด็ก สํานักงานให้คาปรึกษาทางแพทย์ ศัลยแพทย์ และผูประกอบวิชาชีพเวชกรรม ํ ้ อื่นๆ เช่น ทันตแพทย์ ผดุงครรภ์ และพยาบาลทีทางานส่วนตัว บริการแพทย์เคลือนที่ ห้องปฏิบตการทาง ่ ํ ่ ั ิ วิทยาศาสตร์ดานเวชกรรมและทันตกรรม ซึงบริการเกียวกับการทดสอบ การวินิจฉัยโรคและบริการอื่น ๆ แก่ ้ ่ ่ แพทย์และทันตแพทย์ สถานประกอบการซึงดําเนินกิจการหลักเกียวกับการทําฟนปลอม เป็ นต้น ่ ่ ั 35 หรือประมาณร้อยละ 1.9 ของ GDP รวมของประเทศ (ร้อยละ 3.8 ของ GDP ด้านบริการ) 36 ในความเห็นของผูเชียวชาญหลายท่าน สัดส่วนมูลค่าเพิมของสถานพยาบาลของเอกชนน่าจะใกล้เคียงกับ ้ ่ ่ ร้อยละ 50 (ถึงตัวเลขนี้อาจรวมคลินิกเอกชนด้วย แต่สดส่วนของโรงพยาบาลเอกชนเองก็น่าจะไม่ต่ากว่าร้อย ั ํ ละร้อยละ 40 หรือประมาณสองเท่าของตัวเลขทีรอยละ 19 ทีคานวณได้ขางต้น) ่้ ่ ํ ้ 69
  • 88.
    4.1 การประมาณการรายรับและมูลค่าเพิ่มที่เกิดจากการให้บริการคนไข้ต่างชาติ การศึกษาในส่วนนี้พยายามประมาณการผลกระทบในภาพรวมของ medical tourism ที่ มีต่อเศรษฐกิจของประเทศ ซึงแบ่งได้เป็ นสองส่วนคือ (1) รายได้ (และมูลค่าเพิม) ทีเกิดจากการ ่ ่ ่ ให้บริการทางการแพทย์ และ (2) รายได้ (และมูลค่าเพิม) จากกิจกรรมทีต่อเนื่อง เช่น ทีพกและ ่ ่ ่ ั การท่องเที่ยว ทังในส่วนของผูป่วยในช่วงก่อนและหลังการรับบริการด้านการแพทย์ และใน ้ ้ ส่วนของญาติทเี่ ดินทางมาด้วยหรือมาเยียม ่ โดยหลักการแล้ว เนื่องจากรายรับ (ไม่ว่าในส่วนของค่ารักษาพยาบาลหรือในส่วนของ การท่อ งเที่ย ว) ต่ า งก็มีส่ว นที่ร วมต้น ทุ น ของการให้บ ริก ารเอาไว้ด้ว ย ดัง นัน การคํา นวณ ้ ผลประโยชน์ ส่ว นที่เ ป็ น มูล ค่ า เพิ่ม (ซึ่ง เท่า กับ หัก ต้น ทุ น ต่ า งๆ ออกจากรายรับ ) จะสะท้อ น ผลประโยชน์ สุทธิต่อเศรษฐกิจของประเทศได้ดีกว่าตัวรายรับรวม (ซึ่งบางส่วนจะกลายเป็ น ค่าใช้จ่าย รวมทังส่วนทีจ่ายออกไปต่างประเทศด้วย ไม่ว่าจะเป็ นค่ายา หรือเครื่องไม้เครื่องมือ ้ ่ ราคาแพง) แต่กระนันก็ตาม การคิดจากมูลค่าเพิมก็ยงมีโอกาสที่ได้ตวเลขที่สูงเกินควรได้เช่นกัน ้ ่ ั ั โดยเฉพาะในส่วนทีเป็ นรายได้ของบุคลากร ทังนี้เนื่องจากในกรณีทไม่มคนไข้ต่างชาติ บุคลากร ่ ้ ่ี ี เหล่านี้อาจใช้เวลาไปกับการรักษาคนไทย ซึ่งก็ก่อให้เกิดมูลค่าเพิมเช่นกัน (ถึงแม้อาจจะน้อย ่ กว่าก็ตาม) ดังนัน แม้กระทังการคํานวณเฉพาะส่วนทีเป็ นมูลค่าเพิมทีเกิดจากการรักษาคนไข้ ้ ่ ่ ่ ่ ต่างชาติ ก็อาจจะยังได้ตวเลขผลประโยชน์ทางเศรษฐกิจต่อประเทศทีสงกว่าความเป็ นจริงอยูดี ั ู่ ่ อย่ า งไรก็ ต าม การที่ป ระเทศมีร ะบบบริก ารรัก ษาพยาบาลที่มีคุ ณ ภาพก็ น่ า จะมี ผลกระทบต่อเศรษฐกิจของประเทศในทางอ้อม (indirect/intangible impact) ด้วย เพราะทําให้ ชาวต่างชาตินิยมมาลงทุน ทํางาน และท่องเทียวในประเทศไทยมากขึน ถ้าเราเชื่อว่าผลกระทบ ่ ้ สุทธิของกิจกรรมเหล่านี้เป็ นบวก ประโยชน์ท่ประเทศได้รบโดยรวมก็ย่อมสูงกว่ามูลค่าเพิมใน ี ั ่ ด้านการรักษาพยาบาลและด้านทีพกและท่องเทียวจากคนไข้และญาติ ่ ั ่ ั ปญหาที่ใหญ่ท่สุดของการศึกษาในส่วนนี้คอ ข้อมูลแทบทังหมดไม่ใช่ขอมูลสาธารณะ ี ื ้ ้ และในหลายกรณีถอเป็ นความลับทางการค้า หรือแม้กระทังกรณีทสถานพยาบาลไม่ได้ถอเป็ น ื ่ ่ี ื ความลับ ผูทเกียวข้องก็อาจจะมองไม่เห็นประโยชน์ทจะเก็บรวบรวมหรือเปิ ดเผยข้อมูลเหล่านัน ้ ่ี ่ ่ี ้ (โดยยังไม่ตองพูดถึงการมีขอมูลในระดับทีจะมาคํานวณหามูลค่าเพิม ซึงหมายความว่าจะต้องมี ้ ้ ่ ่ ่ ข้อ มู ล ต้ น ทุ น และมีก ารจํ า แนกต้น ทุ น ออกเป็ น ต้ น ทุ น รายกิจ กรรมต่ า งๆ อีก ด้ว ย) แม้ว่ า ั คณะผูวจยจะได้คาดการณ์ปญหานี้อยู่ก่อนแล้ว และคาดว่าจะแก้ปญหานี้ได้โดยใช้ขอมูลของ ้ิั ั ้ สถานพยาบาลกลุ่มทีอยู่ในตลาดหลักทรัพย์ ซึ่งจะต้องเปิ ดเผยข้อมูลทีสําคัญต่อตลาดหลักทรัพย์ ่ ่ สําหรับสาธารณชน/ผูถอหุน แต่เมื่อเข้าไปศึกษาข้อมูลเหล่านัน (รวมทังรายงานประจําปี ของ ้ ื ้ ้ ้ โรงพยาบาลต่างๆ) ก็พบว่ามีขอมูลไม่เพียงพอสําหรับคํานวณหารายรับต่อคนไข้ต่างชาติหนึ่ง ้ 70
  • 89.
    คน (หรือรายได้ต่อวันจากคนไข้เหล่านี้)37 มิพกต้องพูดถึงการคํานวณหามูลค่าเพิมจากการ ั ่ ให้บริการคนไข้ต่างชาติ ่ ั ่ ี ั ในส่วนของกิจกรรมทีต่อเนื่อง (เช่น ทีพกและการท่องเทียว) ก็มปญหาทีคล้ายคลึงกัน ่ ่ แต่ทสาคัญกว่านันคือ บริษททัวร์เองก็มกไม่ได้ให้บริการอย่างเบ็ดเสร็จ (เหมือนกับกรณีแพคเกจ ่ี ํ ้ ั ั ทัวร์ทวไป) ดังนัน แม้กระทังบริษททัวร์ท่ดูจะยินดีตอบคําถามเกี่ยวกับการใช้จ่าย ก็มกจะไม่ ั่ ้ ่ ั ี ั สามารถตอบคําถามเกียวกับค่าใช้จายส่วนทีนอกเหนือจากค่าบริการของทัวร์ได้ (และบริษททัวร์ ่ ่ ่ ั หลายแห่งก็ไม่ยนดีตอบคําถามในส่วนของค่าบริการของทัวร์เอง) ิ ั อย่ า งไรก็ ต าม ป ญ หานี้ ไ ม่ ไ ด้ เ กิ ด ขึ้น เฉพาะกับ การศึก ษาเรื่อ งนี้ ใ นประเทศไทย ตัวอย่างเช่น การศึกษาในมาเลเซีย (Chee Heng ี ั Leng 2007) ก็มปญหาข้อมูลจาก สถานพยาบาลเช่นกัน (เช่น มีเพียงสถานพยาบาลบางแห่งทีรายงานตัวเลขยอดผูมาใช้บริการ ่ ้ โดยเฉพาะอย่างยิงในปี แรกๆ) หรือในสิงคโปร์เองก็ใช้วธการสํารวจทีสนามบินมาเปรียบเทียบ ่ ิี ่ กับข้อมูลทีรายงานโดยสถานพยาบาล ดังนัน การประมาณการในส่วนนี้จงจะทําแบบหยาบๆ ่ ้ ึ ในทํานองเดียวกันกับของสิงคโปร์ (Ministry of Trade and Industry Singapore. The Healthcare Services Working Group. 2002) ข้อสมมุติในการประมาณการของคณะผูวิจย ้ ั 1. การศึกษาส่วนนี้ประมาณการรายรับและมูลค่าเพิมในช่วงปี 2551-2555 ภายใต้ ่ scenario ต่างๆ กันคือ • Scenario ทีหนึ่ง: จํานวนคนไข้ต่างชาติเพิมในอัตราทีเท่ากับในระหว่างปี ่ ่ ่ 2546-2548 (ประมาณร้อยละ 13 ต่อปี) • Scenario ทีสอง: จํานวนคนไข้ต่างชาติเพิมในอัตราทีสงกว่าในปี 2546-2548 ่ ่ ู่ (ร้อยละ 16 ต่อปี ) (เป็ นตัวอย่างของ scenario ที่ medical hub ประสบ ความสําเร็จเป็ นอย่างสูง)38 • Scenario ทีสาม: จํานวนคนไข้ต่างชาติเพิมในจํานวนคงที่ 1.35 แสนคนต่อปี ่ ่ (ใกล้เคียงกับทีเพิมขึนประมาณ 1.3-1.4 แสนคนต่อปีในปี 2547 และ 2548) ่ ่ ้ • Scenario ทีส:่ี จํานวนคนไข้ต่างชาติเพิมในอัตราเท่ากับปี 2548-50 คือเฉลีย ่ ่ ่ ประมาณร้อยละ 5 ต่อปี 37 แม้กระทังในบางโรงพยาบาลทีคณะผูวจยได้รบข้อมูลเพิมเติมนอกเหนือจากข้อมูลทีสถานพยาบาลระบุใน ่ ่ ้ิั ั ่ ่ รายงานประจําปีหรือรายงานต่อตลาดหลักทรัพย์ ก็ยงไม่สามารถคํานวณได้ เว้นแต่จะใช้สมมุตฐานทีคอนข้าง ั ิ ่ ่ strong (และในหลายกรณีไม่เป็ นจริง) เช่น สมมุตวาราคาทีเก็บจากคนไข้ต่างชาติไม่ต่างจากราคาทีเก็บจาก ิ่ ่ ่ คนไทย และความรุนแรงของโรคไม่ต่างกัน เป็ นต้น 38 ชะเอม พัชนี และสุวทย์ วิบุลผลประเสริฐ (Pachanee and Wibulpolprasert 2006) ประมาณการอัตรา ิ การเพิมของคนไข้ต่างชาติ ทีรอยละ 14-16 ในระหว่างปี 2552-2554 ่ ่้ 71
  • 90.
    • Scenario ทีหา:จํานวนคนไข้ต่างชาติเพิมในอัตราครึงหนึ่งของปี 2548-50 ่ ้ ่ ่ เหลือร้อยละ 2.5 ต่อปี (เนื่ องจากผลการศึกษาพบว่ามีการขยายตัวของคู่แข่งใน หลายประเทศ รวมทังมีโ ครงการตัง โรงพยาบาลหลายแห่ง ในประเทศแถบ ้ ้ ตะวันออกกลาง หรืออาจได้รบผลกระทบจากปรับเปลียนนโยบายของภาครัฐ) ั ่ 2. รายรับเฉลียต่อคนไข้ต่างชาติในปี 2549 และ 2550 ใช้ตวเลขประมาณการรายรับ ่ ั ของกรมส่งเสริมการส่งออกหารด้วยจํานวนคนไข้ท่ีรวบรวมโดยทางกรม (จากรายงานของ สถานพยาบาลเอกชน 55 แห่ง) สําหรับปี 2551 และหลังจากนัน ประมาณการโดยสมมุตว่า ้ ิ รายรับเฉลียต่อคนไข้ต่างชาติเพิมขึนในอัตราร้อยละ 10 ต่อปี (ซึงตํ่ากว่าตัวเลขอัตราเพิมของค่า ่ ่ ้ ่ ่ รักษาพยาบาลทีได้จากการสัมภาษณ์ผูบริหารโรงพยาบาลกลุ่ม high-end กลุ่มหนึ่งเล็กน้อย ่ ้ เพราะผูวจยคาดว่าน่าจะมีการแข่งขันกันมากขึนทังในและนอกประเทศ) ้ิั ้ ้ 3. มูลค่าเพิม (รวมค่าแรง) ในส่วนของรายรับส่วนทีเป็ นค่ารักษาพยาบาล คิดเป็ นร้อยละ ่ ่ 66.7 ของรายรับส่วนทีเป็ นค่ารักษาพยาบาล (เลือกใช้อตราทีต่ํากว่าสิงคโปร์ ซึงประมาณการไว้ ่ ั ่ ่ ทีประมาณร้อยละ 91-92 ซึ่งคณะผูวจยเห็นว่าเป็ นตัวเลขทีน่าจะสูงเกินความเป็ นจริง และใน ่ ้ิั ่ กรณีของไทยก็ควรปรับลงมาอีกเนื่องจากค่ารักษาพยาบาลของไทยตํ่ากว่าสิงคโปร์) 4. รายรับเฉลียด้านทีพกและการท่องเทียวของคนไข้ในปี ฐาน (2551) ประมาณการว่า ่ ่ ั ่ คิดเป็ นร้อยละ 10 ของค่ารักษาพยาบาล ทังนี้ เนื่องจากคนไข้ชาวต่างชาติประมาณร้อยละ 60 ้ มีถนฐานอยูในประเทศไทย และอีกประมาณร้อยละ 10 หรือเป็ นนักท่องเทียวทีปวย รายได้หลัก ่ิ ่ ่ ่ ่ ในส่วนนี้จงมาจากคนไข้ในกลุ่มที่เหลือประมาณร้อยละ 30 ซึ่งเดินทางเข้ามารับการรักษา ึ โดยเฉพาะ และคนไข้กลุ่มนี้ส่วนใหญ่ไม่ได้มเป้าหมายที่จะมาท่องเที่ยว (ยกเว้นกลุ่มที่ไม่ได้มี ี ั ่ ่ ั ปญหาสุขภาพทีรุนแรง เช่น กลุ่มทีมาตรวจร่างกายหรือทําฟน) ค่าใช้จ่ายหลักจึงเป็ นค่าทีพก ่ ั ในช่วงทียงไม่ได้รบการรักษาหรือช่วงพักฟื้ นหลังจากออกจากโรงพยาบาล ซึงไม่น่าจะเกินหนึ่ง ่ ั ั ่ ในสามของค่าใช้จายในส่วนของการรักษาพยาบาล (ทีรวมค่าห้องพักในโรงพยาบาลอยูแล้ว) ่ ่ ่ 5. รายรับเฉลียด้านทีพกและการท่องเทียวต่อผูตดตามคนไข้ ในปี ฐาน (2551) ประมาณ ่ ่ ั ่ ้ ิ การในอัตราร้อยละ 15 ของค่ารักษาพยาบาล ทังนี้คดจากอัตราผูตดตาม 0.225 คนต่อคนไข้ ้ ิ ้ ิ หนึ่งคน (เนื่องจากคนไข้ประมาณร้อยละ 70 มีถนฐานอยูในประเทศไทย หรือเป็ นนักท่องเทียวที่ ิ่ ่ ่ ่ ปวย และในจํานวนทีเหลือนัน ไม่ใช่ว่าทุกคนมีญาติมาด้วย ในทีน้ีจงสมมุตว่า โดยเฉลียแล้ว ่ ้ ่ ึ ิ ่ 72
  • 91.
    คนไข้ทุก 3 ใน4 คนจะมีผตดตามมาหนึ่งคน) 39 และสมมุตว่าผูตดตามแต่ละคนมีรายจ่ายด้าน ู้ ิ ิ ้ ิ 40 การท่องเทียวเป็ นสองเท่าของคนไข้) ่ 6. มูลค่าเพิมด้านทีพกและการท่องเทียว สมมุตว่าอยูทรอยละ 50 ของรายรับ (สิงคโปร์ ่ ่ ั ่ ิ ่ ่ี ้ ประมาณการไว้ทรอยละ 63.5-66.7 แต่ค่าแรงของไทยตํ่ากว่าสิงคโปร์41) และเพิมขึนในอัตรา ่ี ้ ่ ้ ร้อยละ 10 ต่อปี ในปี 2551 (เนื่ องจากปี น้ีมอตราเงินเฟ้อทีค่อนข้างสูง) และร้อยละ 6.7 ต่อปี ในปี ี ั ่ ต่อๆ ไป การศึ ก ษานี้ ไ ม่ ไ ด้ ป ระมาณการผลกระทบต่ อ เศรษฐกิ จ ของประเทศในทางอ้ อ ม (indirect/intangible impact) ทีการมีระบบบริการรักษาพยาบาลทีมคุณภาพจะช่วยจูงใจให้ ่ ่ ี ชาวต่างชาตินิยมมาลงทุน ทํางาน และท่องเที่ยวในประเทศไทยมากขึ้น อย่างไรก็ตาม การ พัฒนาของสถานพยาบาลเอกชนของไทยได้เกิดขึนอย่างต่อเนื่องมานานแล้ว และชื่อเสียงทีสง่ั ้ ่ สมมาแล้วนี้ น่าจะเป็ นสาเหตุ ท่ีสําคัญที่ทําให้ประเทศไทยสามารถพัฒนาและขยาย medical tourism ขึนมาได้อย่างรวดเร็ว และเมื่อประเทศไทยมีช่อเสียงในด้านการรักษาพยาบาลทีเป็ นที่ ้ ื ่ รูจกทัวไปแล้ว ผลกระทบในส่วนนี้ทอาจเกิดจากการขยายหรือพัฒนา medical hub อย่าง ้ั ่ ่ี รวดเร็วในระยะหลังจึงไม่น่าจะมีผลเพิมขึนมากนัก ่ ้ จากผลการประมาณการที่นําเสนอในตารางที่ 4.3 ในปจจุบน (ปี 2551) ประเทศไทย ั ั น่ าจะมีรายรับส่วนทีเป็ นค่ารักษาพยาบาลคนไข้ต่างชาติประมาณ 46,000-52,000 ล้านบาท ่ และมีร ายรับ ด้า นที่พก และการท่อ งเที่ย วของคนไข้และผู้ติด ตาม (เฉพาะที่เ ดิน ทางมาด้ว ย ั วัต ถุ ป ระสงค์ ด้ า นการรัก ษาพยาบาลเป็ น หลัก ไม่ ร วมชาวต่ า งชาติ ใ นประเทศไทยและ นักท่องเทียวทีป่วยหรือประสบอุบตเหตุ) ประมาณ 12,000-13,000 ล้านบาท รวมเป็ นรายรับ ่ ่ ั ิ 42 58,000-65,000 ล้านบาท เมื่อคํานวณหามูลค่าเพิมภายใต้ขอสมมุตต่างๆ ข้างต้น พบว่าในปี 2551 ประเทศไทย ่ ้ ิ น่าจะสร้างมูลค่าเพิมในส่วนทีเป็ นค่ารักษาพยาบาลคนไข้ต่างชาติประมาณ 31,000-35,000 ล้าน ่ ่ 39 แม้วาคนไข้จากบางประเทศในแถบตะวันออกกลางมักจะมากันเป็ นครอบครัว อย่างไรก็ตาม สมาชิกใน ่ ้ ั ่ี ั ครอบครัวเหล่านันก็มกจะกลายเป็ นคนไข้ทมารับบริการตรวจสุขภาพหรือทําฟนในประเทศไทยพร้อมกันไป ด้วย จึงต้องนับรวมเป็ นคนไข้ดวย จึงไม่ชดเจนว่าโดยเฉลียแล้ว คนไข้แต่ละคนจากประเทศเหล่านี้มจานวน ้ ั ่ ีํ ผูตดตามทีไม่ได้เข้ามารับบริการทางการแพทย์มากกว่าคนไข้จากภูมภาคอื่นจริงหรือไม่ แต่โดยเฉลีย “คนไข้” ้ ิ ่ ิ ่ ส่วนนี้คงจะมีรายจ่ายด้านทีพกและท่องเทียวสูงกว่าตัวคนไข้หลัก ่ ั ่ 40 ตัวเลขนี้คงยังตํ่ากว่าประมาณการของการท่องเทียวแห่งประเทศไทย (ททท.) ซึงประมาณว่านักท่องเทียว ่ ่ ่ ต่างชาติทวๆ ไปมีคาใช้จายประมาณวันละ 4,121 บาท แต่น่าจะสอดคล้องกับผลการศึกษานี้ทพบว่า ั่ ่ ่ ่ี โดยทัวไปแล้ว การท่องเทียวไม่ใช่เป ่ ่ ้ าหมายสําคัญของคนไข้และญาติ 41 ซึงทําให้ยงมีคนไทยไปทํางานทีสงคโปร์เป็ นจํานวนมาก ่ ั ่ ิ 42 ทังนี้ ตัวเลขจริงของปี 2551 น่าจะค่อนไปในทางตํ่า (เช่น รายรับส่วนทีเป็ นค่ารักษาพยาบาลคนไข้ต่างชาติ ้ ่ น่าจะใกล้กบ 46,000 มากกว่า 52,000 ล้านบาท) เพราะในช่วงปลายปีมเี หตุการณ์การปิดสนามบินนานาชาติ ั ซึงน่าจะส่งผลกระทบด้านลบต่อการเข้ามาของคนไข้ต่างชาติพอสมควร ่ 73
  • 92.
    บาท (มากกว่าร้อยละ 0.3ของ GDP) และมีมลค่าเพิมในด้านทีพกและการท่องเทียวของคนไข้ ู ่ ่ ั ่ และผูติดตาม (เฉพาะที่เดินทางมาด้วยวัตถุประสงค์ด้านการรักษาพยาบาลเป็ นหลัก ไม่รวม ้ ชาวต่างชาติในประเทศไทยและนักท่องเที่ยวที่ป่วยหรือประสบอุบตเหตุ) อีกประมาณ 5,800- ั ิ 6,500 ล้านบาท รวมเป็ นมูลค่าเพิม 36,750-41,600 ล้านบาท หรือประมาณร้อยละ 0.4 ของ ่ GDP และมีโอกาสทีจะเพิมขึนเป็ น 59,000-110,000 ล้านบาทในปี 2555 ่ ่ ้ ถ้าเปรียบเทียบตัวเลขมูลค่าเพิมในส่วนทีเป็ นค่ารักษาพยาบาลคนไข้ต่างชาติทประมาณ ่ ่ ่ี ไว้ท่ี 24,120 และ 27,470 ล้านบาทในปี 2549 และ 2550 (ดูตารางที่ 4.3) กับตัวเลขมูลค่าเพิม ่ ในด้านบริการรักษาพยาบาลจากบัญชีรายได้ประชาชาติในหมวดบริการด้านสุขภาพและสังคม สงเคราะห์43 ซึ่งมีมูลค่าเพิมประมาณ 150,000 และ 164,000 ล้านบาทในช่วงดังกล่าว สัดส่วน ่ มูลค่าเพิมส่วนทีเป็ นค่ารักษาพยาบาลคนไข้ต่างชาติกจะตกประมาณร้อยละ 16-17 ของมูลค่าเพิม ่ ่ ็ ่ ของสาขาบริการสุขภาพในภาพรวม ซึงถ้าเชื่อตามความเห็นของผูเชียวชาญทีคาดกันว่ามูลค่าเพิม ่ ้ ่ ่ ่ ในส่วนของโรงพยาบาลเอกชนน่ าจะตกประมาณร้อยละ 40-50 ของมูลค่าเพิมของสาขาบริการ ่ สุขภาพ สัดส่วนของมูลค่าเพิมจากคนไข้ต่างชาติกจะตกประมาณร้อยละ 32-42 ของมูลค่าเพิมของ ่ ็ ่ 44 โรงพยาบาลเอกชน ซึ่งแม้ว่าจะเป็ นตัวเลขทีค่อนไปในทางสูง แต่กน่าจะยังอยู่ในช่วงที่ถอได้ว่า ่ ็ ื สมเหตุสมผลพอสมควร45 นอกจากนี้ ยังมีความเป็ นไปได้ดวยว่าตัวเลขมูลค่าเพิมของสาขาบริการ ้ ่ สุ ขภาพจากบัญชีรายได้ประชาชาติจะตํ่ ากว่ าความเป็ นจริง (โดยเฉพาะอย่ างยิ่งในส่ วนของ ภาคเอกชน) ซึงถ้ามีตวเลขมูลค่าเพิมของสาขาบริการสุขภาพทีถูกต้อง ค่าสัดส่วนต่างๆ ทีคานวณ ่ ั ่ ่ ่ ํ มาข้างต้นก็จะตํ่าลงไปอีก ดังนัน ถึงแม้ว่าคณะผูวจยจะเห็นด้วยว่ามีความเป็ นไปได้ทมลค่ารายรับ ้ ้ิั ่ี ู และมูลค่าเพิมทีประมาณการไว้มโอกาสทีจะสูงกว่าความเป็ นจริง แต่กเชื่อว่าคงจะไม่ได้ต่างไปความ ่ ่ ี ่ ็ เป็ นจริงมากเป็ นเท่าตัวอย่างทีผบริหารสถานพยาบาลเอกชนบางท่านได้ให้ความเห็นเอาไว้ ่ ู้ 43 ประกอบด้วยสถานประกอบการซึงดําเนินกิจการหลักเกียวกับการให้บริ การการป้ องกัน การรักษาทาง ่ ่ การแพทย์ ทันตกรรม และการอนามัยอื่นๆ ซึงรวมถึงโรงพยาบาล สถานพักฟื้น สถานพยาบาลและสถาบันที่ ่ คล้ายคลึงกัน สถานสงเคราะห์มารดาและเด็ก สํานักงานให้คาปรึกษาทางแพทย์ ศัลยแพทย์ และผูประกอบ ํ ้ วิชาชีพเวชกรรมอื่นๆ เช่น ทันตแพทย์ ผดุงครรภ์ และพยาบาลทีทางานส่วนตัว บริการแพทย์เคลื่อนที่ ่ ํ ห้องปฏิบตการทางวิทยาศาสตร์ดานเวชกรรมและทันตกรรม ซึงบริการเกียวกับการทดสอบ การวินิจฉัยโรคและ ั ิ ้ ่ ่ ่ ่ ั บริการอื่น ๆ แก่แพทย์และทันตแพทย์ สถานประกอบการซึงดําเนินกิจการหลักเกียวกับการทําฟนปลอม เป็ นต้น 44 ผูบริหารสถานพยาบาลเอกชนแห่งหนึ่งเชื่อว่าตัวเลขประมาณการรายรับด้านการรักษาพยาบาลทีได้จาก ้ ่ คนไข้ต่างชาติน่าจะสูงกว่าความเป็ นจริง แต่ดวยข้อจํากัดด้านการเข้าถึงข้อมูลทังของภาครัฐ (ทังกรมส่งเสริม ้ ้ ้ การส่งออก กระทรวงพาณิชย์ และกระทรวงสาธารณสุข) และคณะผูวจยเอง คณะผูวจยจึงไม่มขอมูลพอทีจะ ้ิั ้ิั ี ้ ่ สนับสนุ นหรือโต้แย้งความเห็นดังกล่าว แต่กเชื่อว่ามีความเป็ นไปได้ททผานมาผูทเี่ กียวข้องมีแรงจูงใจทีจะ ็ ่ี ่ี ่ ้ ่ ่ ประมาณการตัวเลขรายรับไปในทางสูงเอาไว้ก่อน 45 และมีความเป็ นไปได้มากทีสดส่วนมูลค่าเพิมเทียบกับรายได้ทได้จากการให้บริการคนไข้ต่างชาติจะสูงกว่า ่ ั ่ ่ี สัดส่วนเดียวกันทีโรงพยาบาลได้จากการให้บริการคนไข้ไทย ่ 74
  • 93.
    ตารางที่ 4.3 ประมาณการรายรับและมูลค่าเพิ่ม (value added) จากคนไข้ต่างชาติ และผูติดตาม ้ ปี ประมาณการ จํานวน รายรับเฉลีย ่ มูลค่าเพิมด้าน ่ ประมาณการ รายรับด้านทีพก ่ ั ประมาณการ ประมาณการ ประมาณการ ประมาณการ รายได้ดาน้ คนไข้ ต่อคนไข้ รักษาพยาบาล มูลค่าเพิมด้าน ่ และการ รายรับด้านที่ มูลค่าเพิมด้านที่ ่ รายรับรวมจาก มูลค่าเพิมรวม ่ การ ต่างชาติ (บาท) เฉลียต่อคนไข้ ่ การ ท่องเทียว(รวม ่ พักและการ พักและการ คนไข้ต่างชาติ จากคนไข้ รักษาพยาบาล (ล้านคน) (บาทต่อคนไข้) รักษาพยาบาล ผูตดตาม) เฉลีย ้ ิ ่ ท่องเทียว ่ ท่องเทียว ่ และผูตดตาม ้ ิ ต่างชาติและ (ล้านบาท) (ล้านบาท) ต่อคนไข้ (ล้านบาท) (ล้านบาท) (ล้านบาท) ผูตดตาม ้ ิ (บาท) (ล้านบาท) (1) (2) (3) (4)=(3) x 0.67 (5)=(2)x(4) (6)=(3) x 0.25 (7)=(2) x (6) (8)=(7)x 0.5 (9)=(1)+(7) (10)=(5)+(8) 2549 36,000 1.33 27,068 18,135 24,120 6,767 9,000 4,500 45,000 28,620 2550 41,000 1.374 29,840 19,993 27,470 7,460 10,250 5,125 51,250 32,595 Scenario 1 2551 50,963 1.55 32,824 21,992 34,145 8,206 12,741 6,370 63,704 40,516 คนไข้เพิม่ 2552 63,347 1.75 36,106 24,191 42,442 9,027 15,837 7,918 79,184 50,361 ร้อยละ 13 2553 78,740 1.98 39,717 26,610 52,756 9,929 19,685 9,843 98,425 62,599 ต่อปี 2554 97,874 2.24 43,689 29,271 65,576 10,922 24,469 12,234 122,343 77,810 2555 121,658 2.53 48,057 32,198 81,511 12,014 30,414 15,207 152,072 96,718 Scenario 2 2551 52,316 1.59 32,824 21,992 35,052 8,206 13,079 6,540 65,395 41,591 คนไข้เพิม่ 2552 66,755 1.85 36,106 24,191 44,726 9,027 16,689 8,344 83,444 53,070 ร้อยละ 16 2553 85,180 2.14 39,717 26,610 57,070 9,929 21,295 10,647 106,475 67,718 ต่อปี 2554 108,689 2.49 43,689 29,271 72,822 10,922 27,172 13,586 135,862 86,408 2555 138,687 2.89 48,057 32,198 92,921 12,014 34,672 17,336 173,359 110,257 Scenario 3 2551 49,531 1.51 32,824 21,992 33,186 8,206 12,383 6,191 61,914 39,377 คนไข้เพิม ่ 2552 59,359 1.64 36,106 24,191 39,770 9,027 14,840 7,420 74,198 47,190 135,000 2553 70,656 1.78 39,717 26,610 47,340 9,929 17,664 8,832 88,320 56,172 คนต่อปี 2554 83,620 1.91 43,689 29,271 56,025 10,922 20,905 10,452 104,525 66,478 2555 98,470 2.05 48,057 32,198 65,975 12,014 24,617 12,309 123,087 78,283 75
  • 94.
    ปี ประมาณการ จํานวน รายรับเฉลีย ่ มูลค่าเพิมด้าน ่ ประมาณการ รายรับด้านทีพก ่ ั ประมาณการ ประมาณการ ประมาณการ ประมาณการ รายได้ดาน้ คนไข้ ต่อคนไข้ รักษาพยาบาล มูลค่าเพิมด้าน ่ และการ รายรับด้านที่ มูลค่าเพิมด้านที่ ่ รายรับรวมจาก มูลค่าเพิมรวม ่ การ ต่างชาติ (บาท) เฉลียต่อคนไข้ ่ การ ท่องเทียว(รวม ่ พักและการ พักและการ คนไข้ต่างชาติ จากคนไข้ รักษาพยาบาล (ล้านคน) (บาทต่อคนไข้) รักษาพยาบาล ผูตดตาม) เฉลีย ้ ิ ่ ท่องเทียว ่ ท่องเทียว ่ และผูตดตาม ้ ิ ต่างชาติและ (ล้านบาท) (ล้านบาท) ต่อคนไข้ (ล้านบาท) (ล้านบาท) (ล้านบาท) ผูตดตาม ้ ิ (บาท) (ล้านบาท) (1) (2) (3) (4)=(3) x 0.67 (5)=(2)x(4) (6)=(3) x 0.25 (7)=(2) x (6) (8)=(7)x 0.5 (9)=(1)+(7) (10)=(5)+(8) Scenario 4 2551 47,355 1.44 32,824 21,992 31,728 8,206 11,839 5,919 59,194 37,647 คนไข้เพิม ่ 2552 54,695 1.51 36,106 24,191 36,646 9,027 13,674 6,837 68,369 43,483 ร้อยละ 5 2553 63,173 1.59 39,717 26,610 42,326 9,929 15,793 7,897 78,966 50,222 ต่อปี 2554 72,965 1.67 43,689 29,271 48,886 10,922 18,241 9,121 91,206 58,007 2555 84,274 1.75 48,057 32,198 56,464 12,014 21,069 10,534 105,343 66,998 Scenario 5 2551 46,228 1.41 32,824 21,992 30,972 8,206 11,557 5,778 57,784 36,751 คนไข้เพิม่ 2552 52,122 1.44 36,106 24,191 34,921 9,027 13,030 6,515 65,152 41,437 ร้อยละ 2.5 2553 58,767 1.48 39,717 26,610 39,374 9,929 14,692 7,346 73,459 46,720 ต่อปี 2554 66,260 1.52 43,689 29,271 44,394 10,922 16,565 8,282 82,825 52,677 2555 74,708 1.55 48,057 32,198 50,054 12,014 18,677 9,338 93,385 59,393 หมายเหตุ: คอลัมน์ (1) ปี 2549 และ 2550 ประมาณการโดยกรมส่งเสริมการส่งออก ปี 2551-2555 เป็ นผลคูณของ (2) และ (3) คอลัมน์ (2) ปี 2549 และ 2550 ประมาณการโดยกรมส่งเสริมการส่งออก ปี 2551-2555 คํานวณตามข้อสมมุตใน scenario ต่างๆ ิ คอลัมน์ (3) ปี 2549 และ 2550 คํานวณจาก (1)/(2) (จากตัวเลขประมาณการโดยกรมส่งเสริมการส่งออก) ปี 2551-2555 สมมุตวามีอตราเพิมร้อยละ 10 ิ่ ั ่ ต่อปี 76
  • 95.
    รูปที่ 4.1 ประมาณการรายรับจากการให้บริการคนไข้ต่างชาติ ภายใต้ Scenario ต่างๆ Scenario 1: จํานวนคนไข้ต่างชาติเพิมในอัตราทีเท่ากับในระหว่างปี 2546-2548 ่ ่ (ประมาณร้อยละ 13 ต่อปี) 200000 3 160000 2.5 2 ล้านบาท ล้านคน 120000 1.5 80000 1 40000 0.5 0 0 2549 2550 2551p 2552p 2553p 2554p 2555p ปี ประมาณการรายได ้ด ้านการรั กษาพยาบาล ประมาณการรายรั บด ้านทีพักและการท่องเทีย ว ่ ่ ประมาณการรายรั บรวมจากคนไข ้ชาวต่างชาติและผู ้ติดตาม จํานวนคนไข ้ชาวต่างชาติ ่ ู่ ั ั Scenario 2: จํานวนคนไข้ต่างชาติเพิมในอัตราทีสงกว่าในปจจุบน (ร้อยละ 16 ต่อปี) (เป็ นตัวอย่างของกรณีท่ี medical hub ประสบความสําเร็จเป็ นอย่างสูง) 200000 3 160000 2.5 2 ล้านบาท ล้านคน 120000 1.5 80000 1 40000 0.5 0 0 2549 2550 2551p 2552p 2553p 2554p 2555p ปี ประมาณการรายได ้ด ้านการรั กษาพยาบาล ประมาณการรายรั บด ้านทีพักและการท่องเทีย ว ่ ่ ประมาณการรายรั บรวมจากคนไข ้ชาวต่างชาติและผู ้ติดตาม จํานวนคนไข ้ชาวต่างชาติ 77
  • 96.
    Scenario 3: จํานวนคนไข้ต่างชาติเพิมในจํานวนคงที่1.35 แสนคนต่อปี ่ (ใกล้เคียงกับทีเพิมขึนประมาณ 1.3-1.4 แสนคนต่อปีในปี 2547-2548) ่ ่ ้ 200000 3 160000 2.5 2 ล้านบาท ล้านคน 120000 1.5 80000 1 40000 0.5 0 0 2549 2550 2551p 2552p 2553p 2554p 2555p ปี ประมาณการรายได ้ด ้านการรั กษาพยาบาล ประมาณการรายรั บด ้านทีพักและการท่องเทีย ว ่ ่ ประมาณการรายรั บรวมจากคนไข ้ชาวต่างชาติและผู ้ติดตาม จํานวนคนไข ้ชาวต่างชาติ Scenario 4: จํานวนคนไข้ต่างชาติเพิมในอัตราเท่ากับปี 2548-2550 ่ (เฉลียประมาณร้อยละ 5 ต่อปี) ่ 200000 3 160000 2.5 2 ล้านบาท ล้านคน 120000 1.5 80000 1 40000 0.5 0 0 2549 2550 2551p 2552p 2553p 2554p 2555p ปี ประมาณการรายได ้ด ้านการรั กษาพยาบาล ประมาณการรายรั บด ้านทีพักและการท่องเทีย ว ่ ่ ประมาณการรายรั บรวมจากคนไข ้ชาวต่างชาติและผู ้ติดตาม จํานวนคนไข ้ชาวต่างชาติ 78
  • 97.
    Scenario 5: จํานวนคนไข้ต่างชาติเพิมในอัตราครึงหนึ่งของปี2548-2550 ่ ่ (ประมาณร้อยละ 2.5 ต่อปี ซึ่งอาจเกิดจากการขยายตัวของคู่แข่ง และการออกไปตัง ้ โรงพยาบาลในต่างประเทศ หรือมาตรการของภาครัฐ) 200000 3 160000 2.5 2 ล้านบาท ล้านคน 120000 1.5 80000 1 40000 0.5 0 0 2549 2550 2551p 2552p 2553p 2554p 2555p ปี ประมาณการรายได ้ด ้านการรั กษาพยาบาล ประมาณการรายรั บด ้านทีพักและการท่องเทีย ว ่ ่ ประมาณการรายรั บรวมจากคนไข ้ชาวต่างชาติและผู ้ติดตาม จํานวนคนไข ้ชาวต่างชาติ ทีมา: ตารางที่ 4.3 ่ 79
  • 98.
    รูปที่ 4.2 ประมาณการมูลค่าเพิ่มจากการให้บริ การคนไข้ต่างชาติ ภายใต้ Scenario ต่างๆ Scenario 1: จํานวนคนไข้ต่างชาติเพิมในอัตราทีเท่ากับในระหว่างปี 2546-2548 ่ ่ (ประมาณร้อยละ 13 ต่อปี) 120000 3 100000 2.5 80000 2 ล้านบาท ล้านคน 60000 1.5 40000 1 20000 0.5 0 0 2549 2550 2551p 2552p 2553p 2554p 2555p ปี ประมาณการมูลค่าเพิมด ้านการรั กษาพยาบาล ่ ประมาณการมูลค่าเพิมด ้านทีพักและการท่องเทีย ว ่ ่ ่ ประมาณการมูลค่าเพิมรวมจากคนไข ้ต่างชาติและผู ้ติดตาม ่ จํานวนคนไข ้ชาวต่างชาติ ่ ู่ ั ั Scenario 2: จํานวนคนไข้ต่างชาติเพิมในอัตราทีสงกว่าในปจจุบน (ร้อยละ 16 ต่อปี) (เป็ นตัวอย่างของกรณีท่ี medical hub ประสบความสําเร็จเป็ นอย่างสูง) 120000 3 100000 2.5 80000 2 ล้านบาท ล้านคน 60000 1.5 40000 1 20000 0.5 0 0 2549 2550 2551p 2552p 2553p 2554p 2555p ปี ประมาณการมูลค่าเพิมด ้านการรั กษาพยาบาล ่ ประมาณการมูลค่าเพิมด ้านทีพักและการท่องเทีย ว ่ ่ ่ ประมาณการมูลค่าเพิมรวมจากคนไข ้ต่างชาติและผู ้ติดตาม ่ จํานวนคนไข ้ชาวต่างชาติ 80
  • 99.
    Scenario 3: จํานวนคนไข้ต่างชาติเพิมในจํานวนคงที่1.35 แสนคนต่อปี ่ (ใกล้เคียงกับทีเพิมขึนประมาณ 1.3-1.4 แสนคนต่อปีในปี 2547-2548) ่ ่ ้ 120000 3 100000 2.5 80000 2 ล้านบาท ล้านคน 60000 1.5 40000 1 20000 0.5 0 0 2549 2550 2551p 2552p 2553p 2554p 2555p ปี ประมาณการมูลค่าเพิมด ้านการรั กษาพยาบาล ่ ประมาณการมูลค่าเพิมด ้านทีพักและการท่องเทีย ว ่ ่ ่ ประมาณการมูลค่าเพิมรวมจากคนไข ้ต่างชาติและผู ้ติดตาม ่ จํานวนคนไข ้ชาวต่างชาติ Scenario 4: จํานวนคนไข้ต่างชาติเพิมในอัตราเท่ากับปี 2548-2550 ่ (เฉลียประมาณร้อยละ 5 ต่อปี ) ่ 120000 3 100000 2.5 80000 2 ล้านบาท ล้านคน 60000 1.5 40000 1 20000 0.5 0 0 2549 2550 2551p 2552p 2553p 2554p 2555p ปี ประมาณการมูลค่าเพิมด ้านการรั กษาพยาบาล ่ ประมาณการมูลค่าเพิมด ้านทีพักและการท่องเทีย ว ่ ่ ่ ประมาณการมูลค่าเพิมรวมจากคนไข ้ต่างชาติและผู ้ติดตาม ่ จํานวนคนไข ้ชาวต่างชาติ Scenario 5: จํานวนคนไข้ต่างชาติเพิมในอัตราครึงหนึ่งของปี 2548-2550 ่ ่ 81
  • 100.
    (ประมาณร้อยละ 2.5 ต่อปีซึงอาจเกิดจากการขยายตัวของคูแข่ง และการออกไปตัง ่ ่ ้ โรงพยาบาลในต่างประเทศ หรือมาตรการของภาครัฐ) 120000 3 100000 2.5 80000 2 ล้านบาท ล้านคน 60000 1.5 40000 1 20000 0.5 0 0 2549 2550 2551p 2552p 2553p 2554p 2555p ปี ประมาณการมูลค่าเพิมด ้านการรั กษาพยาบาล ่ ประมาณการมูลค่าเพิมด ้านทีพักและการท่องเทีย ว ่ ่ ่ ประมาณการมูลค่าเพิมรวมจากคนไข ้ต่างชาติและผู ้ติดตาม ่ จํานวนคนไข ้ชาวต่างชาติ ทีมา: ตารางที่ 4.3 ่ เอกสารอ้างอิ ง สํานักงานสถิตแห่งชาติ. 2551. สรุปผลที่สาคัญ การสํารวจโรงพยาบาลเอกชนและ ิ ํ สถานพยาบาลเอกชน พ.ศ. 2550. กรุงเทพฯ: บางกอกบล็อก. Chee Heng Leng. 2007. “Medical Tourism in Malaysia: International Movement of Healthcare Consumers and the Commodification of Healthcare.” Asia Research Institute Working Paper Series No.83. Retrieved August 18, 2007 from http://www.ari.nus.edu.sg/showfile.asp?pubid=642&type=2 Ministry of Trade and Industry Singapore. The Healthcare Services Working Group. 2002. “Developing Singapore as the Healthcare Hub of Asia” . Retrieved August 14, 2007 from https://app.mti.gov.sg/data/pages/507/doc/Developing%20Singapore%20as% 20the%20Healthcare%20Hub%20of%20Asia.pdf Cha-aim Pachanee and Suwit Wibulpolprasert. 2006. “Incoherent policies on universal coverage of health insurance and promotion of international trade in health services in Thailand,” Health Policy and Planning. Published by Oxford University Press in association with The London School of Hygiene and Tropical Medicine. http://heapol.oxfordjournals.org/cgi/reprint/czl017v1 82
  • 101.
    5. ผลกระทบต่อบุคลากร รายงานส่วนนี้เป็ นการศึกษาผลกระทบด้านบุคลากร ทังที่เกิดจากโครงการ medical ้ hub และจากนโยบายหลักประกันสุขภาพถ้วนหน้า โดยมีจุดเน้นทีแพทย์และทันตแพทย์ ซึ่ง ่ 46 เป็ นบุคลากรกลุ่มทีขาดแคลนมากทีสุด ่ ่ นอกจากนี้ ในระหว่างทีดําเนินการศึกษา ผูบริหาร ่ ้ ั ั ั โรงพยาบาลรัฐและเอกชนหลายแห่งให้ภาพทีตรงกันว่าปจจุบนมีปญหาการขาดแคลนพยาบาล ่ ทีรนแรงเช่นกัน ในตอนท้ายของรายงานส่วนนี้จงได้พยายามรวบรวมข้อมูลพยาบาลเข้ามาด้วย ุ่ ึ 5.1 ความต้องการแพทย์สาหรับคนไข้ต่างชาติ (medical hub) ํ ทีผานมา มีงานวิจยทีประมาณการจํานวนแพทย์ทตองการสําหรับรองรับผูปวยต่างชาติ ่ ่ ั ่ ่ี ้ ้ ่ ที่เพิมขึน เช่น งานของชะเอม พัชนี และ สุวทย์ วิบุลผลประเสริฐ ่ ้ ิ (Pachanee and Wibulpolprasert 2006) ซึงประมาณว่าการเพิมขึนของคนไข้ต่างชาติในปี 2546 (ซึงพวกเขา ่ ่ ้ ่ คาดว่ า จะมีค นไข้น อกเพิ่ม ขึ้น ประมาณ 440,000 ครัง (visit) และคนไข้ใ นเพิ่ม ขึ้น ประมาณ ้ 22,000 คน หรือเทียบเป็ นคนไข้นอกทีเพิมขึนรวมประมาณ 890,000 ครัง48) จะทําให้มความ 47 ่ ่ ้ ้ ี ต้องการแพทย์เพิมขึนประมาณ 109-131 คน งานวิจยดังกล่าวประมาณการต่อไปว่าในระหว่าง ่ ้ ั ปี 2551-2552 จะต้องการแพทย์เพิมขึน 123-181 คน และในระหว่างปี 2557-2558 จะต้อง ่ ้ การแพทย์เพิมขึน 176-303 คน (ดูตารางที่ 5.1) ทังนี้ ชะเอมและสุวทย์ประมาณว่าจะต้อง ่ ้ ้ ิ การแพทย์เพิม 1 คนเมื่อมีคนไข้ต่างชาติท่มารับการรักษาแบบคนไข้นอกเพิมขึน 10,000- ่ ี ่ ้ 12,000 ครัง (หรือคนไข้ใน 500-600 คน) ต่อปี ้ เมื่อพิจารณาจากตัวเลขข้างต้น และสมมุตว่าแพทย์แต่ละคนทํางานเต็มเวลาปี ละ 250 ิ วัน ก็จะสามารถตรวจคนไข้ต่างชาติได้วนละ 40-48 ครัง ซึงเป็ นตัวเลขทีสูงมากในทัศนะของ ั ้ ่ ่ คณะผูวจย เพราะในประเทศตะวันตก ซึงส่วนใหญ่ใช้ระบบการนัดล่วงหน้านัน มักจะไม่ค่อยพบ ้ิั ่ ้ ่ี ั ้ ่ กรณีทแพทย์รบนัดคนไข้มากกว่า 15-20 คนต่อวัน ผูปวยต่างชาติซงคุนเคยกับระบบดังกล่าวจึง ่ึ ้ น่าจะมีความคาดหวังว่าแพทย์จะใช้เวลากับตนทีใกล้เคียงกับแพทย์ในประเทศของตนเอง ่ งานวิจยอีกชินหนึ่งในเรื่องนี้คอทักษพล ธรรมรังสี (2549) ประมาณการโดยใช้ขอสมมุติ ั ้ ื ้ ้ ่ ว่าคนไข้ต่างชาติแต่ละคนจะมาพบแพทย์แบบผูปวยนอกรวม 2 ครัง และมีอตราการเข้ารับการ ้ ั 49 ้ ่ รักษาเป็ นผูปวยในเท่ากับร้อยละ 10 ดังนัน ถ้าแพทย์หนึ่งคนสามารถตรวจคนไข้นอกได้วนละ ้ ั 46 วิโรจน์ ณ ระนอง และ อัญชนา ณ ระนอง (2548) 47 ชะเอมและสุวทย์ปรับเพิมจํานวนคนไข้ทรายงานโดยกระทรวงพาณิชย์ขนอีกร้อยละ 30 เนื่องจากเชื่อว่า ิ ่ ่ี ้ึ ข้อมูลดังกล่าวเป็ นรายงานทีไม่ครบถ้วน ่ 48 โดยเทียบเวลาทีแพทย์ใช้กบคนไข้ใน 1 คน เท่ากับเวลาทีใช้รกษาคนไข้นอก 20 ครัง ่ ั ่ ั ้ 49 ซึงคณะผูวจยเห็นว่าตัวเลขทังสองกรณีเป็ นอัตราทีคอนไปทางตํ่า โดยเฉพาะอย่างยิงในกรณีทคนไข้ ่ ้ิั ้ ่ ่ ่ ่ี ้ ่ เดินทางมาจากต่างประเทศเพื่อมารับการรักษาในประเทศไทย ซึงส่วนใหญ่คงมาเป็ นผูปวยใน ่ 83
  • 102.
    36.5 ครัง (อัตรานี้อ้างมาจากผลการศึกษาของมัทนาพนานิรามัย และสมชาย สุขสิรเสรีกุล ้ ิ 2539 ซึงเป็ นการศึกษาทีองข้อมูลการรักษาของคนไทย) ก็จะต้องการแพทย์ 614 คนต่อผูปวย ่ ่ ิ ้ ่ ชาวต่างชาติหนึ่งล้านคน ซึงคณะผูวจยก็ยงเชื่อว่าเป็ นประมาณการทีน่าจะตํ่ากว่าความเป็ นจริง ่ ้ิั ั ่ ตารางที่ 5.1 ประมาณการความต้องการแพทย์โดยผูป่วยต่างชาติ พ.ศ. 2546-2558 ้ ้ ่ จํานวนผูปวยต่างชาติ จํานวนแพทย์ทตองการ จํานวนแพทย์ทตองการเพิม ่ี ้ ่ี ้ ่ ปี จํานวนครังทีรบ เพิม (โดยสมมุตวาแพทย์ (ประมาณการใหม่โดย ้ ่ั ่ ิ่ คนไข้นอก คนไข้ใน บริการเทียบเป็ น หนึ่งคนจะสามารถรักษา คณะผูวจย โดยสมมุตวา ้ิั ิ่ (ล้านครัง ้ (ล้านคนต่อปี) จํานวนผูป้ ่วยนอก คนไข้นอกต่างชาติได้ปีละ แพทย์จะรักษาคนไข้ (ล้านครัง)้ 10,000-12,000 ครัง หรือ ต่างชาติได้ไม่เกินวันละ 14- ้ ต่อปี) วันละ 40-48 ครัง) ้ 16 ครัง) ้ (1) (2) (3) = (1) + 20*(2) (4) (5) = (4) x 3 2544 0.61 0.030 1.22 - - 2545 0.82 0.041 1.64 - - 2546 1.26 0.063 2.53 109 - 131 327 – 393 2548 1.76 - 1.82 0.088 - 0.091 3.52 – 3.64 83 - 111 249 – 333 2550 2.45 - 2.62 0.122 - 0.131 4.90 – 5.25 115 - 160 345 – 480 2552 3.18 - 3.53 0.159 - 0.176 6.37 – 7.06 123 - 181 369 – 543 2554 4.14 - 4.75 0.207 - 0.237 8.89 – 9.50 159 - 244 477 – 732 2556 5.01 - 5.96 0.250 -0.298 10.03 - 11.92 145 - 242 435 – 726 2558 6.06 - 7.48 0.303 -0.373 12.13 - 14.95 176 - 303 528 – 909 ทีมา: (1)-(4) Pachanee and Wibulpolprasert (2006 Table 4) ่ (5) ประมาณการโดยคณะผูวจย้ิั หมายเหตุ: (1) ปี 2544-2546 ปรับตัวเลขทีได้จากการสํารวจของกระทรวงพาณิชย์เพิมขึนร้อยละ 30 ่ ่ ้ ปี 2548 และ 2550 สมมุตวามีอตราเพิมร้อยละ 18-20 ต่อปี ิ่ ั ่ ปี 2552 และ 2554 สมมุตวามีอตราเพิมร้อยละ 14-16 ต่อปี ิ่ ั ่ ปี 2556 และ 2558 สมมุตวามีอตราเพิมร้อยละ 10-12 ต่อปี ิ่ ั ่ (5) ประมาณการโดยคณะผูวจย (ปรับสมมุตฐานระยะเวลาทีแพทย์ใช้ในการรักษาผูป่วย ทําให้ความ ้ิั ิ ่ ้ ต้องการแพทย์เพิมขึนเป็ น 3 เท่า) ่ ้ 84
  • 103.
    เพื่อให้ได้ภาพความต้องการแพทย์ท่เพิมขึนจากการมีคนไข้ต่างชาติท่มความแม่นยํา ี ่ ้ ี ี มากขึน รวมทังเมือพิจารณาว่ามีความเป็ นไปได้มากทีเวลาทีแพทย์ใช้กบคนไข้ต่างชาติโดยเฉลียจะ ้ ้ ่ ่ ่ ั ่ สูงกว่าเวลาที่ใช้กบคนไข้ไทยด้วยเหตุ ผลหลายประการ เช่น เวลาที่เพิมขึ้นจากการสื่อสารด้วย ั ่ ภาษาต่างประเทศหรือผ่านล่าม ไปจนถึงความแตกต่างที่เกิดจากคนไข้ชาวต่างชาติ (โดยเฉพาะ ชาวตะวันตก) มักจะมีขอมูลข่าวสารที่ดกว่าและคุนเคยกับวิธการรักษาแบบทีผูป่วยมักจะซักถาม ้ ี ้ ี ่ ้ แพทย์ถงทางเลือกในการรักษาแบบต่างๆ อย่างละเอียดมากกว่าผูปวยชาวไทยจํานวนมากทีไม่ค่อย ึ ้ ่ ่ ซักถามแพทย์มากนัก คณะผูวจยจึงได้ทดลองเก็บข้อมูลเวลาทีแพทย์ใช้กบคนไข้ไทยและคนไข้ ้ิั ่ ั ต่างชาติทเป็ นคนไข้นอกในโรงพยาบาลเอกชนสองแห่งในกรุงเทพมหานคร โดยแห่งแรกเป็ น ่ี โรงพยาบาลเอกชนทีถอเป็ น high-end ของเครือหนึ่ง ซึงชาวต่างชาติทมารับบริการส่วนใหญ่จะ ่ ื ่ ่ี เป็ นชาวตะวันตก สําหรับแห่งทีสองเป็ นโรงพยาบาลเอกชนทีมชาวเอเชียใต้และตะวันออกกลาง ่ ่ ี นิยมมาใช้บริการ ในโรงพยาบาลแรก เก็บข้อมูลจากคนไข้นอกประมาณ 4,000 ตัวอย่าง ทีมาพบแพทย์ ่ 19 คน ในแผนกต่างๆ เช่น Ortho Nuero-Med GI-Med Ob-Gyn Surg Heart ENT และ Med โดยตัดกรณีท่พยาบาลบันทึกว่าคนไข้เข้าพบแพทย์หลายครังเพราะต้องรอผลห้องปฏิบตการ ี ้ ั ิ ออก เหลือ 3,876 ตัวอย่าง แล้วตัดตัวอย่างทีใช้เวลาพบแพทย์น้อยกว่า 5 นาที หรือนานกว่า ่ 50 70 นาที (1 ชัวโมง 10 นาที) ออก (เหลือ 3,339 ตัวอย่าง) แล้วนํามาวิเคราะห์โดยใช้สมการ ่ ถดถอยเพื่อควบคุมความผันแปรที่อาจเกิดจากการรักษาโดยแพทย์แต่ละคนในแต่ละแผนก พบว่าเวลาโดยเฉลียทีแพทย์ใช้กบคนไข้นอกทุกกลุ่มอยู่ท่ี 33 นาทีต่อครัง และค่าเฉลียสําหรับ ่ ่ ั ้ ่ เวลาทีแพทย์ใช้กบคนไข้นอกคนไทย (ใช้ค่า constant (intercept) ของแพทย์ทใช้เวลากับคนไข้ ่ ั ่ี นอกในระดับปานกลาง คือเวลาทีใช้อยูในอันดับที่ 10 จากแพทย์ 19 คน) ตกประมาณ 32 นาที ่ ่ ต่อครัง ขณะทีเวลาทีแพทย์ใช้กบคนไข้นอกชาวต่างชาติตกประมาณ 33.4 นาทีต่อครัง ซึงเป็ น ้ ่ ่ ั ้ ่ 51 ความแตกต่างทีมนยสําคัญทางสถิติ (t=2.398 p=0.017) แต่กเป็ นเวลาทีต่างกันเพียงเล็กน้อย ่ ี ั ็ ่ ซึงอาจเป็ นเพราะคนไทยทีมารับการรักษาทีโรงพยาบาลแห่งนี้กเป็ นกลุ่มทีมรายได้สงและอาจมี ่ ่ ่ ็ ่ ี ู พฤติกรรมทีไม่ต่างจากคนไข้ชาวต่างชาติเท่าใดนัก ่ 50 เนื่องจากมีโอกาสไม่น้อยทีเวลาทีบนทึกสําหรับคนไข้เหล่านี้จะรวมเวลารอตรวจหรือรอผลห้องปฏิบตการ ่ ่ ั ั ิ อยูดวย ่ ้ 51 ถ้าเปลียนไปตัดตัวอย่างทีใช้เวลานานกว่า 90 นาที (ชัวโมงครึง) แทน 70 นาที (เป็ น 3,550 ตัวอย่าง) ่ ่ ่ ่ ค่าเฉลียสําหรับเวลาทีแพทย์ใช้กบคนไข้นอกคนไทย (ค่า constant (intercept) สําหรับแพทย์ทใช้เวลากับ ่ ่ ั ่ี คนไข้นอกมากเป็ นอันดับที่ 10 จากแพทย์ 19 คน) จะเพิมเป็ นประมาณ 34 นาทีต่อครัง และเวลาทีแพทย์ใช้ ่ ้ ่ กับคนไข้นอกชาวต่างชาติจะเพิมเป็ น 35.7 นาทีต่อครัง (t=2.469 p=0.014) ในทางกลับกัน ถ้าใช้เฉพาะตัว ่ ้ อย่างทีใช้เวลาไม่เกิน 1 ชัวโมง (เหลือ 3,162 ตัวอย่าง) เวลาเฉลียทีแพทย์ใช้กบคนไข้นอกทีเป็ นคนไทย (ค่า ่ ่ ่ ่ ั ่ constant (intercept) สําหรับแพทย์ทใช้เวลากับคนไข้นอกมากเป็ นอันดับที่ 10 จากแพทย์ 19 คน) จะลด ่ี เหลือประมาณ 31.2 นาทีต่อครัง ขณะทีเวลาทีแพทย์ใช้กบคนไข้นอกชาวต่างชาติจะตกประมาณ 31.8 นาที ้ ่ ่ ั ต่อครัง ซึงเป็ นความแตกต่างทีไม่มนยสําคัญทางสถิติ (t=1.158 p=0.247) ้ ่ ่ ี ั 85
  • 104.
    สําหรับในโรงพยาบาลทีสอง เก็บข้อมูลจากคนไข้ 755ตัวอย่างทีมาตรวจกับแพทย์ 6 ่ ่ คน โดยตัดกรณีทมบนทึกว่าคนไข้เข้าพบแพทย์หลายครังเพราะต้องรอผลห้องปฏิบตการออก ่ี ี ั ้ ั ิ เช่นกัน และตัดตัวอย่างทีใช้เวลาน้อยและมากเป็ นพิเศษออกไปเช่นกัน (เหลือ 707 ตัวอย่าง) ่ พบว่าเวลาทีแพทย์ใช้กบคนไข้นอกชาวต่างชาติโดยเฉลียประมาณ 30 นาที (29.8 นาที) ต่อครัง ่ ั ่ ้ ขณะทีเวลาทีแพทย์ใช้กบคนไข้นอกชาวไทยโดยเฉลียตกประมาณ 25.3 นาทีต่อครัง ซึงเป็ น ่ ่ ั ่ ้ ่ ความแตกต่างทีมนยสําคัญทางสถิติ (t=3.725 p=0.000) ่ ี ั ตัวเลขทีได้จากโรงพยาบาลทังสองแห่งนี้ แสดงให้เห็นว่า ในกรณีคนไข้นอกนัน ตัวเลข ่ ้ ้ ความต้องการแพทย์สําหรับคนไข้ต่ างชาติท่ีช ะเอมและสุวิท ย์ (Pachanee and Wibulpolprasert 2006) ประมาณการไว้น่าจะตํ่าเกินไป โดยความต้องการจริงอาจจะสูงเป็ น สามเท่าของที่งานวิจยดังกล่าวประมาณการเอาไว้ (เพราะข้อมูลจากการศึกษานี้บ่งชี้ว่า โดย ั เฉลียแล้วแพทย์หนึ่งคนจะต้องใช้เวลาตรวจคนไข้ต่างชาติประมาณ 30-33 นาที ในแต่ละวันจึง ่ สามารถตรวจคนไข้ต่างชาติได้ประมาณ 14.4-16 ครัง (visit) ในขณะทีงานวิจยของชะเอมและสุ ้ ่ ั วิทย์ใช้ตวเลขทีมนยว่าแพทย์หนึ่งคนจะสามารถตรวจคนไข้ต่างชาติได้ถงวันละ 40-48 คน หรือ ั ่ ี ั ึ ใช้เวลาเฉลียประมาณคนละ 10-12 นาที) ซึงเป็ นความแตกต่างถึงประมาณ 3 เท่าตัว (2.5-3.3 ่ ่ เท่า) ดังนัน ถ้าใช้ตวเลขทีปรับโดยคณะผูวจย (โดยใช้ตวเลขความต้องการแพทย์สาหรับคนไข้ ้ ั ่ ้ิั ั ํ ต่างชาติเป็ นสามเท่าของทีชะเอมและสุวทย์ประมาณการ) มาประกอบกับข้อสมมุตอ่นๆ ทีชะเอม ่ ิ ิ ื ่ และสุวทย์ใช้ (เช่น อัตราการเพิมของคนไข้ต่างชาติ อยูทรอยละ 14-16 ในระหว่างปี 2552-2554 ิ ่ ่ ่ี ้ และร้อยละ 10-12 ในระหว่างปี 2555-2558) ก็จะมีความต้องการแพทย์เพิมขึนมากถึง 369-543 ่ ้ คนในปี 2551-2552 และจะต้องการเพิมขึนเป็ น 528-909 คนในปี 2557-2558 (ดูคอลัมน์สุดท้าย ่ ้ ของตารางที่ 5.1) และแพทย์เหล่านี้ลวนแล้วแต่เป็ นแพทย์ผเชียวชาญเฉพาะทาง ซึงมักต้องใช้เวลา ้ ู้ ่ ่ ผลิตและเกือบหรือเป็ นสิบปี แทบทังสิน ้ ้ เมื่อพิจารณาข้อเท็จจริงว่า ถึงแม้ว่าการผลิตแพทย์ในประเทศไทยจะมีการขยายตัวเป็ น ลําดับ ทําให้มจํานวนแพทย์ท่ได้รบใบประกอบโรคศิลป์เพิมขึนเป็ นปี ละประมาณ 1,500 คนใน ี ี ั ่ ้ ั ั ปจจุบน และมีโอกาสทีจะเพิมการผลิตขึนไปเป็ นปี ละประมาณ 2,300 คนตังแต่ปี 2553 เป็ นต้นไป ่ ่ ้ ้ แต่กว่าที่แพทย์เหล่านี้จะเรียนต่อจนจบเป็ นแพทย์เฉพาะทาง ก็ต้องใช้เวลา (รวมทังเวลาใช้ทุน ้ ก่อนทีจะไปเรียนต่อ) อีก 5-8 ปี (และจากมุมมองของประเทศ ถ้ามีแพทย์ทไปเรียนต่อเป็ นแพทย์ ่ ่ี เฉพาะทางอีก 3-5 ปี เป็ นจํานวนมาก ก็จะทําให้มแพทย์ทวไปน้อยเกินไป) ดังนัน ถ้าความต้องการ ี ั่ ้ แพทย์เพื่อรองรับคนไข้ต่างชาติอยูในระดับทีสง (โดยทียงไม่รวมความต้องการแพทย์ในภาคเอกชน ่ ู่ ่ ั สําหรับรักษาคนไทย) และยังไม่มการปรับตัวในด้านการผลิตแพทย์อย่างขนานใหญ่ (ซึ่งทําได้ ี จํากัด เพราะแม้กระทังการขยายตัวในระดับที่เป็ นอยู่ ก็มความกังวลของแพทยสภาในด้านการ ่ ี ควบคุมคุณภาพอยู่แล้ว) หรือไม่มการดึงแพทย์จากต่างประเทศ (รวมทังแพทย์ไทยที่ไปทํางาน ี ้ 52 ต่างประเทศ) เข้ามา หรือมีมาตรการทีชะลออัตราเพิมของการไหลเข้ามาของคนไข้ต่างชาติ ก็มี ่ ่ 52 ั ั นอกจากนี้ ในปจจุบนยังมีการไปตังโรงพยาบาลในต่างประเทศ ซึงทีผานมายังไม่ได้ทาให้ประเทศไทยต้อง ้ ่ ่ ่ ํ เสียดุลด้านบุคลากรการแพทย์มากนัก อย่างไรก็ตาม ผูบริหารในเครือโรงพยาบาลเอกชนกลุมหนึ่งยังเชื่อว่ามี ้ ่ 86
  • 105.
    โอกาสทีจะเกิดผลกระทบด้านลบต่อระบบบริการสุขภาพสําหรับประชาชนคนไทยได้ อย่างไรก็ตาม ่ การที่จะสรุปว่าแพทย์ขาดแคลหรือไม่คงต้องพิจารณาจากภาพรวมของประเทศ (ซึ่งรวมถึงความ ต้องการแพทย์สาหรับคนไทย ซึงเราจะพิจารณาต่อไปในหัวข้อ 5.2) ํ ่ ผลกระทบจากวิกฤติเศรษฐกิจโลกและการเมืองในประเทศไทย วิกฤติเศรษฐกิจโลกทีเริมขึนในปี 2551 เป็ นวิกฤติทรนแรง และมีแนวโน้มทีจะมีผลกระทบ ่ ่ ้ ่ี ุ ่ ั ในระยะเวลานานหลายปี วิกฤติน้ี (ประกอบกับภาพลักษณ์ของปญหาความขัดแย้งทางการเมือง และความมันคงในประเทศไทย) น่ าจะส่งด้านลบกับการท่องเทียวของไทยในระยะสันและระยะปาน ่ ่ ้ กลาง (อย่างน้อย 2-3 ปี ) อย่างหลีกเลียงไม่ได้ และในระยะสัน ก็คงจะส่งผลกระทบด้านลบต่อการ ่ ้ เข้ามาของคนไข้ชาวต่างชาติดวยเช่นกัน ้ อย่างไรก็ตาม ในระยะปานกลางและระยะยาวนัน ผลกระทบของวิกฤติทมต่ออุปสงค์ความ ้ ่ี ี ต้องการด้านการรักษาพยาบาลในประเทศไทยของชาวต่างชาติอาจจะต่างไปจากผลกระทบด้านการ ท่องเทียวด้วยสาเหตุหลายประการคือ ประการแรก ในความเป็ นจริงแล้ว กิจกรรมทีนิยมเรียกขาน ่ ่ กันว่า medical tourism มีองค์ประกอบทีเป็ นการท่องเทียวค่อนข้างน้อย (ยกเว้นกรณีเดินทางมา ่ ่ ั 53 ตรวจสุขภาพหรือทําฟ น ) ประการที่สอง วิกฤติเศรษฐกิจในประเทศตะวันตกทําให้ประเทศ เหล่านันต้อง “รัดเข็มขัด” กันมากขึน จึงมีแนวโน้มทีจะส่งคนไข้ไปรับการรักษาในต่างประเทศมาก ้ ้ ่ ขึน (แต่ในขณะเดียวกัน ก็อาจจะหันไปรับบริการจากประเทศทีมค่ารักษาพยาบาลตํ่า เช่น อินเดีย ้ ่ ี มากขึ้น) ประการที่สาม ในประเทศที่ระบบประกันสุ ขภาพมักจะผูกติดกับการจ้างงาน (เช่ น สหรัฐอเมริกา) วิกฤติเศรษฐกิจทําให้มีผู้ท่ีว่ างงานและไม่มีประกันสุ ขภาพมากขึ้น เนื่ องจาก ค่าใช้จ่ายในการรับบริการในสหรัฐมีราคาสูงมาก ผูท่ไม่มประกันสุขภาพจึงมีแนวโน้มทีจะเสาะหา ้ ี ี ่ บริการทีมราคาถูกในต่างประเทศมากขึน (รวมทังมีเวลาทีจะเดินทางไปรับการรักษาในต่างประเทศ ่ ี ้ ้ ่ ั ั ด้วย) ประการที่ส่ี ถึงแม้ว่าในป จจุ บ น (หลังจากที่มีเหตุ การณ์ ปิ ดสนามบินหลายแห่ง รวมทัง ้ ั สนามบินนานาชาติ) ประเทศไทยอาจมีปญหาภาพลักษณ์ท่อาจมีผลกระทบต่อการตัดสินใจของ ี ั ั ชาวต่างชาติทจะเดินทางมารับการรักษาพยาบาล แต่ปญหานี้น่าจะเป็ นปญหาในระยะสัน และน่าจะ ่ี ้ ลดลงหรือหมดไปหลังจากที่ประเทศกลับเข้าสู่ภาวะปกติในช่วงเวลาที่นานพอสมควร (เช่น 6-12 ่ี ่ ่ ั ั ความเป็ นไปได้ทการขยายตัวของโรงพยาบาลในต่างประเทศ (โดยเฉพาะอย่างยิงประเทศจีน ซึงปจจุบนอนุ ญาตให้ แพทย์ไทยทีจบจากสถาบันการศึกษาทีได้รบการรับรองสามารถเข้าไปประกอบวิชาชีพในโรงพยาบาลของจีนได้) ่ ่ ั ่ ํ ั อาจทําให้เกิดภาวะสมองไหลทีทาให้ปญหาการขาดแคลนบุคลากรด้านการแพทย์ของไทยมีความรุนแรงขึนได้ใน ้ อนาคต 53 นอกจากนี้คนไข้จากบางประเทศ (เช่น ในแถบตะวันออกกลาง) มักจะมากันเป็ นครอบครัว อย่างไรก็ตาม ้ ั ่ี ั สมาชิกในครอบครัวเหล่านันก็มกจะกลายเป็ นคนไข้ทมารับบริการตรวจสุขภาพหรือทําฟนในประเทศไทย พร้อมกันไปด้วย จึงไม่ชดเจนว่าโดยเฉลียแล้ว คนไข้แต่ละคนจากประเทศเหล่านี้มจานวนผูตดตามทีไม่ได้ ั ่ ีํ ้ ิ ่ เข้ามารับบริการทางการแพทย์มากกว่าคนไข้จากภูมภาคอื่นจริงหรือไม่ ิ 87
  • 106.
    เดือน)54 ดังนัน ถ้าไม่มเหตุการณ์แบบปิดสนามบินเกิดขึนอีก (ซึ่งคงเกิดขึนได้ยากกว่าเดิมมาก) ้ ี ้ ้ ผลกระทบในส่วนนี้น่าจะหมดไปภายในปี 2552 ดังนัน ถึงแม้ว่าเรามีเหตุผลทีจะเชื่อได้ว่าการท่องเทียวของไทยจะได้รบผลกระทบด้านลบ ้ ่ ่ ั จากวิกฤติในช่วงนี้ แต่เรายังไม่มขอมูลเพียงพอทีพยากรณ์ได้ว่าผลสุทธิทจะเกิดกับจํานวนคนไข้ ี ้ ่ ี่ ต่ างประเทศทีจะเดินทางมารับบริการในประเทศไทยจะเพิมขึ้นหรือลดลงในช่วงสองถึงสามปี ่ ่ ข้างหน้าหรือหลังจากนัน ้ 5.2 ความต้ องการบุคลากรสําหรับคนไทยในระบบหลักประกันสุขภาพถ้วน หน้ า ระบบหลักประกันสุขภาพถ้วนหน้าของไทยประกอบด้วยโครงการบัตรทอง (โครงการ 30 บาทฯ เดิม) โครงการประกันสังคม และโครงการสวัสดิการข้าราชการ สําหรับโครงการบัตร ทอง มีการกําหนดมาตรฐานบุคลากรในระดับสถานพยาบาลปฐมภูมเิ อาไว้วาจะต้องมีแพทย์ ่ อย่างน้อย 1 คนต่อประชาชน 10,000 คน และทันตแพทย์อย่างน้อย 1 คนต่อประชาชน 20,000 คน แต่มาตรฐานทีตงเอาไว้กถอได้วาเป็ นมาตรฐานทีคอนข้างตํ่า ตัวอย่างเช่น ในกรณีแพทย์ ่ ั้ ็ ื ่ ่ ่ ซึงถูกกําหนดให้ดแลประชาชน 10,000 คนนัน ถ้าแพทย์ทางานสัปดาห์ละ 5 วัน และประชาชน ่ ู ้ ํ มาพบแพทย์โดยเฉลียเพียงปี ละ 2.5 ครัง ในแต่ละวันแพทย์แต่ละคนก็จะต้องตรวจคนไข้ถง ่ ้ ึ ประมาณ 100 คน ซึงพอจะอนุ มานได้ไม่ยากว่าเป็นปริมาณงานทียากทีจะรักษาให้ได้คุณภาพ ่ ่ ่ ตามมาตรฐานอย่างคงเส้นคงวาได้ (กรณีของมาตรฐานทันตแพทย์จะยิงเห็นได้ชดว่า ถ้า ่ ั ประชาชนแต่ละคนมาพบทันตแพทย์ปีละสองครัง ถึงแม้วาทันตแพทย์จะทํางานทุกวันโดยไม่มี ้ ่ วันหยุดเลย ในแต่ละวันทันตแพทย์แต่ละคนก็จะต้องตรวจรักษาคนไข้ถงประมาณ 110 คน) ึ สําหรับสถานพยาบาลทุตยภูมหรือตติยภูมนน โครงการบัตรทองไม่ได้มการกําหนด ิ ิ ิ ั้ ี มาตรฐานบุคลากรเอาไว้อย่างชัดเจน อย่างไรก็ตาม กระทรวงสาธารณสุขได้ตงเป้าว่าควรมี ั้ แพทย์เฉพาะทางในจํานวนทีใกล้เคียงกับแพทย์ทวไป (ในอัตราส่วน 60:40) ถ้าใช้เกณฑ์น้ี ่ ั่ ่ี ู ้ ่ ประกอบกับเกณฑ์ขางต้น ในภาพรวมแล้ว จํานวนแพทย์ทดแลผูปวยในทุกระดับรวมกันก็ควรมี ้ ไม่น้อยกว่า 1:4,00055 ซึงเป็ นเกณฑ์ททางกระทรวงสาธารณสุขใช้กบสถานพยาบาลในสังกัด ่ ่ี ั สํานักปลัดกระทรวงสาธารณสุข (ประกอบด้วยโรงพยาบาลศูนย์ โรงพยาบาลทัวไป (จังหวัด) ่ โรงพยาบาลชุมชน (อําเภอ) ศูนย์สขภาพชุมชน และสถานีอนามัย) ถ้าใช้เกณฑ์ดงกล่าวสําหรับ ุ ั สถานพยาบาลทัวประเทศ (ยกเว้นกรุงเทพมหานคร) ่ สถานพยาบาลในสังกัดสํานัก 54 ซึงคงจะต่างกับผลกระทบทีมต่อการท่องเทียว ทีอาจมีผลในระยะยาวกว่า เนื่องจากนักท่องเทียวมักจะสนใจ ่ ่ ี ่ ่ ่ บรรยากาศภายในประเทศเป้าหมายด้วย และมีแนวโน้มทีจะหลีกเลียงประเทศทีมความขัดแย้งทางการเมืองที่ ่ ่ ่ ี รุนแรง 55 กล่าวคือ ทุกประชากร 10,000 คน ควรมีแพทย์ทวไป 1 คน และแพทย์เฉพาะทาง 1.5 คน รวมเป็ นแพทย์ ั่ 2.5 คนต่อประชากร 10,000 คน หรือคิดเป็ นอัตรา 1:4000 (แพทย์ 1 คนต่อประชากร 4,000 คน) 88
  • 107.
    ปลัดกระทรวงสาธารณสุขก็ควรจะมีแพทย์อยูประมาณ 14,000 คน ่ แต่ในความเป็ นจริง สถานพยาบาลในสังกัดสํานักปลัดกระทรวงสาธารณสุขมีแพทย์เพียง 10,472 คน (ตารางที่ 5.4) และเมือหักแพทย์ทไปเรียนต่อและทํางานบริหารทีสานักงานสาธารณสุขจังหวัดออก ก็จะเหลือ ่ ่ี ่ํ ่ี ้ ่ แพทย์ทตรวจผูปวย (รวมแพทย์ใช้ทุนปี 1 ซึงเป็ นแพทย์จบใหม่ และผูอานวยการโรงพยาบาล ่ ้ํ ซึงทํางานบริหารในโรงพยาบาลด้วย) ประมาณ 8,700 คนเท่านัน ่ ้ ตารางที่ 5.2 จํานวนแพทย์ผได้รบใบอนุญาตฯ และจํานวนแพทย์ที่ถกถอนชื่อจากทะเบียนผู้ ู้ ั ู ประกอบวิ ชาชีพเวชกรรมจากแพทยสภา จํานวนแพทย์ที่ได้รบใบอนุญาตใน ั จํานวนแพทย์ที่ถกถอน ู ยอด ระหว่างปี ชื่อในระหว่างปี จํานวน รวมจํานวน พ.ศ. จํานวน จาก จาก แพทย์ที่ แพทย์ที่ขึน ้ แพทย์ยก สถาบัน ภาคเอกชน รวม ถึงแก่ เพิ กถอน เหลือ ทะเบียน มา* ของรัฐ (สอบ) กรรม** ทังหมด* ้ 2514* 5,149 306 24 330 255 2 5,222 5,479 2515 5,222 346 21 367 22 1 5,566 5,846 2516 5,566 426 27 453 14 0 6,005 6,299 2517 6,005 440 29 469 21 0 6,453 6,768 2518 6,453 374 37 411 16 1 6,847 7,179 2519 6,847 374 27 401 17 0 7,231 7,580 2520 7,231 401 26 427 7 0 7,651 8,007 2521 7,651 432 20 452 46 1 8,056 8,459 2522 8,056 433 34 467 9 0 8,514 8,926 2523 8,514 495 18 513 12 0 9,015 9,439 2524 9,015 528 28 556 2 0 9,569 9,995 2525 9,569 520 24 544 11 0 10,102 10,539 2526 10,102 569 39 608 9 0 10,701 11,147 2527 10,701 762 30 792 7 0 11,486 11,939 2528 11,486 981 45 1,026 28 0 12,484 12,965 2529 12,484 630 23 653 20 2 13,115 13,618 2530 13,115 691 50 741 12 0 13,844 14,359 2531 13,844 686 52 738 18 0 14,564 15,097 2532 14,564 736 53 789 20 0 15,333 15,886 89
  • 108.
    ตารางที่ 5.2 จํานวนแพทย์ผได้รบใบอนุญาตฯและจํานวนแพทย์ที่ถกถอนชื่อจากทะเบียนผู้ ู้ ั ู ประกอบวิ ชาชีพเวชกรรมจากแพทยสภา จํานวนแพทย์ที่ได้รบใบอนุญาตใน ั จํานวนแพทย์ที่ถกถอน ู ยอด ระหว่างปี ชื่อในระหว่างปี จํานวน รวมจํานวน พ.ศ. จํานวน จาก จาก แพทย์ที่ แพทย์ที่ขึน ้ แพทย์ยก สถาบัน ภาคเอกชน รวม ถึงแก่ เพิ กถอน เหลือ ทะเบียน มา* ของรัฐ (สอบ) กรรม** ทังหมด* ้ 2533 15,333 770 22 792 31 0 16,094 16,678 2534 16,094 819 38 857 21 0 16,930 17,535 2535 16,930 826 48 874 10 1 17,793 18,409 2536 17,793 841 45 886 22 0 18,657 19,295 2537 18,657 818 45 863 31 0 19,489 20,158 2538 19,489 822 67 889 89 0 20,289 21,047 2539 20,289 819 47 866 52 0 21,103 21,913 2540 21,103 841 49 890 148 0 21,845 22,803 2541 21,845 871 70 941 56 0 22,730 23,744 2542 22,730 1,148 52 1,200 34 0 23,896 24,944 2543 23,896 1,169 73 1,242 100 0 25,038 26,186 2544 25,038 1,228 57 1,285 99 0 26,224 27,471 2545 26,224 1,244 85 1,329 58 1 27,494 28,800 2546 27,494 1,385 91 1,476 45 0 28,925 30,276 2547 28,925 1,342 87 1,429 58 0 30,296 31,608 2548 30,296 1,440 65 1,505 61 0 31,740 n.a. 2549 31,740 1,255 80 1,335 44 0 33,031 n.a. 2550 33,031 1,462 111 1,573 34 2 34,568 34,689 รวม 5,149 29,230 1,739 30,969 1,539 11 34,568 34,689 ทีมา: แพทยสภา ่ หมายเหตุ: * ก่อน พ.ศ.2514 การขึนทะเบียนผูประกอบฯ อยูในความรับผิดชอบของกองการประกอบโรคศิลปะ จํานวน 5,149 คน ้ ้ ่ ** ตัวเลขถึงแก่กรรมอาจมีไม่ครบ และแพทย์ทยงมีชวตอยูบางท่านอาจเลิกประกอบวิชาชีพไปแล้ว ่ี ั ี ิ ่ *** จํานวนแพทย์ทมชวตอยู่ และสามารถติดต่อได้ เมือ 18 พฤศจิกายน 2547 (รวมแพทย์ทไม่ได้ทางานด้วย) คือ 28,623 คน (อ้าง ่ี ี ี ิ ่ ่ี ํ ใน ทักษพล 2549) 90
  • 109.
    สํ า หรับโครงการประกัน สัง คม (ซึ่ ง ในกรุ ง เทพมหานครและปริม ณฑลส่ ว นใหญ่ ผู้ป ระกัน ตนส่ว นใหญ่ เ ลือ กโรงพยาบาลเอกชน) มีก ารกํา หนดมาตรฐานสถานพยาบาลซึ่ง เกี่ ย วข้ อ งกั บ บุ ค ลากรไว้ ห ลายประการ แต่ ส่ ว นใหญ่ เ ป็ นมาตรฐานทั ว ไป เช่ น เป็ น ่ สถานพยาบาลทีจดให้มบริการทางการแพทย์ตงแต่สบสองสาขาหลักขึนไป คือ อายุรกรรมทัวไป ่ั ี ั้ ิ ้ ่ ศัลยกรรมทัวไป สูต-ิ นรีเวชกรรม กุมารเวชกรรม ศัลยกรรมออร์โธปิตกส์ จักษุวทยา โสต-นาสิก- ่ ิ ิ ลาริงซ์ รังสีวทยา วิสญญีวทยา นิตเวชกรรม เวชกรรมป้องกัน และยูโรวิทยา หรือตจวิทยา ิ ั ิ ิ สถานพยาบาลจะต้อ งมีจํา นวนแพทย์แ ละบุค ลากรทางการแพทย์ไ ม่น้อ ยกว่า ทีกํา หนดใน ่ พระราชบัญ ญัต ส ถานพยาบาล มีแพทย์ป ระจํา ตลอด 24 ชั ่วโมงอย่างน้อ ย 1 คน (สําหรับ ิ กรณีฉุกเฉิน) มีแพทย์เวรสําหรับผูป่วยในอย่างน้อย 1 คน แพทย์รบผิดชอบผูป่วยหนักอย่าง ้ ั ้ น้อย 1 คน นอกจากนี้กมมาตรฐานทีเกี่ยวข้องกับบุคลากรทางการแพทย์ในการตรวจผูป่วย ็ ี ่ ้ นอก เช่น มีระยะเวลารอตรวจโรคไม่เกิน 1 ชั ่วโมง และเวลาเฉลียทีผูป่วยพบแพทย์ในการ ่ ่ ้ ตรวจไม่ต่ํากว่าคนละ 5 นาที สําหรับสถานพยาบาลทีไม่ใช่คู่สญญาโดยตรง (เช่น คลินิกซึ่งทําสัญญาเป็ นเครือข่าย ่ ั หรือ subcontractor ของโรงพยาบาล และคลินิกทันตแพทย์ทผประกันตนไปรับบริการเอง) นัน ่ี ู้ ้ ทาง สํานักงานประกันสังคม (สปส.) กําหนดว่าจะต้องมีแพทย์และทันตแพทย์ให้บริการ แต่ไม่ได้ กําหนดมาตรฐานด้านจํานวนบุคลากรหรือเวลารอตรวจเอาไว้ และในสถานพยาบาลของรัฐที่ เป็ นคูสญญานันจะถือว่าได้มาตรฐานทังหมด ่ ั ้ ้ สํา หรับ โครงการสวัส ดิก ารข้า ราชการ ไม่ไ ด้มีก ารกํา หนดมาตรฐานบุ ค ลากรเอาไว้ โดยเฉพาะ ในขัน ต้น ถ้า นํ า มาตรฐานของโครงการบัต รทองมาประยุก ต์ใ ช้ก บ ทุก โครงการ มา ้ ั คํานวณหาความต้องการแพทย์และทันตแพทย์ (ขันตํ่า) ภายใต้ขอสมมุตว่าสามารถกระจาย้ ้ ิ แพทย์และทันตแพทย์ไปทั ่วประเทศได้อย่างสมํ่าเสมอ ในปจจุบนก็จะต้องมีแพทย์อย่างน้อย ั ั 16,250 คนสําหรับประชากร 65 ล้านคน และจะต้องมีทนตแพทย์อย่างน้อย 3,250 คน ั ั ิ ี ั อย่างไรก็ตาม ในทางปฏิบตมปญหาอย่างน้อยสองประการในการใช้มาตรฐานนี้ ประการแรก การกระจายแพทย์ต่อประชากรในประเทศไทยมีความไม่สมํ่าเสมอเป็ นอย่างมาก (ดูตารางที่ 5.3) ดัง นัน แม้ก ระทั ่งเมื่อ พิจ ารณาจากข้อ มูล แพทย์ใ นตารางที่ 5.3 ซึ่ง ทางกระทรวง ้ สาธารณสุขรวบรวมมาได้ประมาณ 21,000 คน56 ก็จะเห็นได้ว่า ในภาคตะวันออกเฉียงเหนือ มีจานวนแพทย์รวมทังภาครัฐและเอกชนแล้วก็ยงตํ่ากว่ามาตรฐาน 1:4000 และประการทีสอง ํ ้ ั ่ มาตรฐานทีตงเอาไว้นัน เป็ นมาตรฐานทีตงไว้ตงแต่ก่อนทีจะมีโครงการหลักประกันสุขภาพถ้วน ่ ั้ ้ ่ ั้ ั้ ่ หน้า ซึ่งประชาชนจํา นวนไม่น้อยมีอุป สรรคด้า นการเงินทํา ให้ไม่ไปรับ บริก ารแม้ก ระทั ่งเมื่อ จําเป็ น แต่สถานการณ์เปลี่ยนไปมากหลังจากทีมโครงการ 30 บาทฯ ซึ่งโดยเฉลี่ยแล้ว ่ ี 56 ตัวเลขนี้อาจจะตํ่ากว่าความเป็ นจริงไปบ้างเพราะมีขอมูลของภาคเอกชนไม่ครบ แต่ตวเลขของแพทยสภา ้ ั (ประมาณ 34,500 คน ตามตารางที่ 5.2) ก็น่าจะสูงเกินกว่าความเป็ นจริง เนื่องจากยังคงรวมแพทย์ทเกษียณ ่ี ตัวเองหรือไม่ได้ตรวจรักษาแล้วจํานวนมากเอาไว้ดวย ้ 91
  • 110.
    ประชาชนไปรับ บริก ารในอัตราทีเ พิม ขึน ซึ่ง ชะเอมและสุว ท ย์ (Pachanee ่ ่ ้ ิ and Wibulpolprasert 2006) ได้ประมาณการความต้องการแพทย์ภายใต้สมมุตฐานว่าอัตราการ ิ ใช้บริการของประชาชนมีแนวโน้มทีจะเพิมขึน และได้ประมาณความต้องการแพทย์ทเพิมขึน ่ ่ ้ ่ี ่ ้ ในแต่ล ะปี (หรือทุกสองปี ) ไว้ในตารางที่ 5.5) ทังนี้ ชะเอมและสุว ท ย์ประมาณว่าแพทย์ 1 ้ ิ คนจะสามารถรักษาคนไข้นอกชาวไทย 18,000-20,000 คน (หรือคนไข้ใน 900-1,000 คน) ต่อปี ซึงเท่ากับแพทย์แต่ละคนสามารถตรวจคนไข้นอกชาวไทยได้วนละประมาณ 72-80 คน ่ ั ตารางที่ 5.3 ข้อมูลจํานวนและการกระจายของแพทย์ รวบรวมโดยสํานักนโยบาย และยุทธศาสตร์ กระทรวงสาธารณสุข จํานวนแพทย์ จํานวนประชากรต่อแพทย์ 1 คน ปี กระทรวง ภาครัฐ รัฐ เอกชน รวม ทัง กทม. ภาค ภาค ภาคเหนือ ภาคใต้ ้ สาธารณสุข อื่นๆ ประเทศ กลาง ตอน. 2539 7,733 5,151 12,884 3,325 16,209 3,689 727 4,598 9,951 5,811 5,217 2540 8,026 5,299 13,325 3,244 16,569 3,649 720 4,506 9,951 5,791 5,216 2541 9,636 4,752 14,388 3,567 17,955 3,406 762 3,614 8,218 5,050 4,814 2542 9,799 4,938 14,737 3,403 18,140 3,394 762 3,654 8,110 4,869 4,888 2543 9,363 4,742 14,105 3,920 18,025 3,427 793 3,576 8,311 4,501 5,194 2544 10,068 4,495 14,563 4,384 18,947 3,277 760 3,375 7,614 4,488 5,127 2545 8,821 5,136 13,957 3,572 17,529 3,569 952 3,566 7,251 4,499 4,984 2546 9,321 4,967 14,288 3,818 18,106 3,577 974 3,417 7,542 4,754 4,632 2547 9,375 5,968 15,343 3,575 18,918 3,476 924 3,301 7,409 4,766 4,609 2548 9,928 5,389 15,317 4,229 19,546 3,182 867 3,054 7,015 3,768 4,306 2549 11,311 5,431 16,742 4,309 21,051 2,975 886 2,963 5,738 3,351 3,789 ทีมา: ปี 2539-2544 จากรายงานทรัพยากรสาธารณสุข ่ ปี 2545-2549 จากเว็บของสํานักนโยบายและยุทธศาสตร์ กระทรวงสาธารณสุข http://moc.moph.go.th/Resource/Personal/index,new.php (ข้อมูลปี 2545-2549 ในส่วนของกระทรวงสาธารณสุขไม่รวมแพทย์ทไปเรียนต่อทีสงกัดอื่น) ่ี ่ ั หมายเหตุ: ภาครัฐอื่นๆ คือ กระทรวงอื่นๆ+รัฐวิสาหกิจ+เทศบาล+องค์การอิสระ (โรงพยาบาลจุฬา สภากาชาดและสาขา) 92
  • 111.
    ตารางที่ 5.4 จํานวนแพทย์ในโรงพยาบาลในสังกัดสํานักปลัดกระทรวงสาธารณสุข ภาพรวม โรงพยาบาลศูนย์และ โรงพยาบาล แพทย์ใช้ สํานักงาน รวม โรงพยาบาลทัวไป ่ ชุมชน ทุนปี 1 สาธารณสุข รวม รพศ. รพท. จังหวัด ภาคเหนือ 1,111 622 262 360 391 88 10 ภาคตะวันออกเฉียงเหนือ 3,200 1,431 811 620 1,433 315 21 ภาคกลาง 4,362 2,734 1,195 1,539 1,236 342 50 ภาคใต้ 1,799 1,066 531 535 551 163 19 รวมทังประเทศ ้ 10,472 5,853 2,799 3,054 3,611 908 100 ปฏิ บติงานจริ ง ั โรงพยาบาลศูนย์และ โรงพยาบาล แพทย์ใช้ สํานักงาน รวม โรงพยาบาลทัวไป ่ ชุมชน ทุนปี 1 สาธารณสุข รวม รพศ. รพท. จังหวัด ภาคเหนือ 914 490 205 285 327 87 10 ภาคตะวันออกเฉียงเหนือ 2,721 1,176 702 474 1,221 305 19 ภาคกลาง 3,700 2,275 1,016 1,259 1,037 338 50 ภาคใต้ 1,482 826 424 402 476 161 19 รวมทังประเทศ ้ 8,817 4,767 2,347 2,420 3,061 891 98 ลาศึกษาต่อ โรงพยาบาลศูนย์และ โรงพยาบาล แพทย์ใช้ สํานักงาน รวม โรงพยาบาลทัวไป ่ ชุมชน ทุนปี 1 สาธารณสุข รวม รพศ. รพท. จังหวัด ภาคเหนือ 197 132 57 75 64 1 - ภาคตะวันออกเฉียงเหนือ 479 255 109 146 212 10 2 ภาคกลาง 662 459 179 280 199 4 - ภาคใต้ 317 240 107 133 75 2 - รวมทังประเทศ ้ 1,655 1,086 452 634 550 17 2 ทีมา: รวบรวมโดยคณะผูวจย จากข้อมูลในเว็บของการเจ้าหน้าที่ สํานักปลัดกระทรวงสาธารณสุข ่ ้ิั (http://203.157.240.14/gis/report/pop_officer_poscode3.php?rgcode= 1&cwcode=57&offid=&poscode=60104 เมือ 16 มกราคม 2552) ่ 93
  • 112.
    ตารางที่ 5.5 ประมาณการความต้องการแพทย์โดยผูป่วยชาวไทยพ.ศ. 2546-2558 ้ ประมาณการอัตราการใช้ ประชากร จํานวนครังที่ต้องรับบริ การ จํานวนแพทย์ที่ ้ ปี บริ การที่สถานพยาบาล (ล้านคน) จากแพทย์ (เทียบเป็ นจํานวน ผูป่วยชาวไทย ้ (ครังต่อคนต่อปี ) ้ ผูป่วยนอก ล้านครัง) ้ ้ ต้องการเพิ่ ม คนไข้นอก คนไข้ใน 2539 2.87 0.066 - - - 2544 2.84 0.076 62.0 198.65 – 208.07 - 2546 3.62 0.086 63.3 247.50 – 258.39 2,443 - 2,795 2548 3.87 0.092 64.5 270.18 – 282.07 1,134 -1,315 2550 4.29 0.099 65.7 302.10 – 315.15 1,596 -1,838 2552 4.77 0.106 67.0 338.40 – 352.65 1,815 - 2,083 2554 5.16 0.113 68.2 371.17 –386.66 1,639 -1,889 2556 5.59 0.120 69.4 407.78 –424.55 1,830 - 2,105 2558 6.03 0.127 70.7 445.59 –463.70 1,891 - 2,175 ทีมา: Pachanee and Wibulpolprasert (2006) Table 3. ่ หมายเหตุ: 1/ สมมุตวามีเพียงร้อยละ 70 ของคนไข้ทมารับบริการทีสถานพยาบาลเท่านันทีมความจําเป็ นต้อง ิ่ ่ี ่ ้ ่ ี พบแพทย์ 2/ แพทย์ 1 คน สามารถรักษาคนไข้นอกชาวไทย 18,000-20,000 ครัง (หรือคนไข้ใน 900-1,000 ้ คน) ต่อปี ซึงเท่ากับแพทย์แต่ละคนสามารถตรวจคนไข้นอกชาวไทยได้วนละประมาณ 72-80 ครัง ่ ั ้ 94
  • 113.
    ตารางที่ 5.6 ประมาณการความต้องการแพทย์รวมพ.ศ. 2550-2558 ่ ี ู้ ่ จํานวนแพทย์ท่ี จํานวนแพทย์ทผปวยชาวต่างชาติ จํานวนแพทย์ท่ี จํานวนแพทย์ท่ี ปี ้ ่ ผูปวยชาวไทย ต้องการเพิม (ประมาณการใหม่โดย ต้องการเพิมต่อสอง ต้องการเพิมต่อปี ่ ่ ่ ต้องการเพิม คณะผูวจย โดยสมมุตวาแพทย์หนึ่ง ปี ่ ้ิั ิ่ คนจะสามารถรักษาคนไข้ต่างชาติ ได้ไม่เกินวันละ 14-16 คน) (1) (2) (3) = (1) + (2) (4) = (3)/2 2550 1,596-1,838 345 – 480 1,941 - 2,318 971 – 1,159 2552 1,815-2,083 369 – 543 2,184 - 2,626 1,092 -1,313 2554 1,639 -1,889 477 – 732 2,116 - 2,621 1,058 -1,311 2556 1,830 -2,105 435 – 726 2,265 - 2,831 1,133 -1,416 2558 1,891-2,175 528 – 909 2,419 - 3,084 1,210 -1,542 ทีมา: จากสดมภ์สดท้ายของตารางที่ 5.1 และตารางที่ 5.5 ่ ุ ั ั การประมาณการตามตารางที่ 5.6 บ่งชีว่า ในปจจุบน (ปี 2551-2552) มีความต้องการ ้ แพทย์เพิม (ทังแพทย์ทวไปและแพทย์เฉพาะทางรวมกัน) ประมาณ 1,092-1,313 คนต่อปี และ ่ ้ ั่ คาดว่าจะเพิมเป็ น 1,210-1,542 คนต่อปี ในช่วงปี 2557-2558 ซึงถ้าดูเผินๆ ก็ดเหมือนว่าความ ่ ่ ู ่ ั ั ํ ต้องการทีเ่ พิมขึ้นในปจจุบนมีจานวนใกล้เคียงกับแพทย์ทจบใหม่ในแต่ละปี ประมาณ 1,500 คน ่ี แต่เมื่อหักจํานวนแพทย์จบใหม่ดวยจํานวนแพทย์ทเกษียณหรือเลิกทํางาน (ซึงถ้าประมาณการ ้ ่ี ่ คร่าวๆ จากข้อมูลในตารางที่ 5.2 ว่าแพทย์จะเกษียณตัวเองเมืออายุประมาณ 60 ปี ก็จะมีแพทย์ ่ ่ ่ ้ ่ ั ั ทีเกษียณอายุในระหว่างปี 2552-2558 เฉลียถึงปี ละกว่า 400 คน) ดังนัน แม้กระทังในปจจุบน ั เราก็อาจยังมีปญหาการผลิตแพทย์ในระดับที่ต่ํากว่าจํานวนแพทย์ท่ต้องการเพิมมากถึงปี ละ ี ่ ั 200 คน ถึงแม้ว่าปญหาอาจจะดูรุนแรงน้อยลงหลังจากปี 2553 เนื่องจากจํานวนแพทย์จบใหม่ จะเริมเพิมขึนเป็ นประมาณ 2,300 คนต่อปี แต่ตวเลขความต้องการแพทย์สําหรับคนไทยที่ ่ ่ ้ ั คํานวณตามตารางที่ 5.5 ก็เป็ นการประมาณการทีองตัวเลขในอดีต (ซึงกําหนด workload ของ ่ ิ ่ แพทย์ไว้ค่อนข้างสูง คือตรวจคนไข้ 72-80 คนต่อวัน ในขณะทีคนไข้นอกร้อยละ 30 ไม่ได้พบ ่ ่ ่ ั แพทย์ ซึงน่ าจะเป็ นตัวเลข workload ทีสะท้อนปญหาการขาดแคลนแพทย์มากกว่าเป็ นระดับที่ จะสามารถให้บริการที่มคุ ณภาพสูงได้) และเป็ นการประมาณการภายใต้ข้อสมมุติว่ามีการ ี 95
  • 114.
    กระจายแพทย์ไปทัวประเทศตามความหนาแน่ นของประชากร57 นอกจากนี้วิธีการคํานวณ ่ ความต้องการแพทย์ทเ่ี พิมขึ้นวิธน้ี (ซึงเป็ นการเปรียบเทียบจํานวนแพทย์ทผลิตได้เพิมกับความ ่ ี ่ ี่ ่ ต้องการแพทย์ทีเ่ พิมขึ้นในช่วงเดียวกัน) จะสามารถสะท้อนความต้องการแพทย์ทีแท้จริงก็ ่ ่ ต่อเมือจํานวนแพทย์ทมอยู่ก่อนหน้านันเป็ นจํานวนทีเ่ พียงพอแล้วเท่านัน ซึงไม่น่าจะสอดคล้อง ่ ี่ ี ้ ้ ่ ั ั กับสภาพความเป็ นจริงในปจจุบน ดังนัน การตีความจากผลการศึกษาข้างต้นว่าปญหาการผลิต ้ ั แพทย์ได้ไม่พอกับความต้องการจะหมดไปในปี 2553 จึงยังเป็ นการตีความทียงไม่ตรงกับความ ่ ั เป็ นจริง นอกจากนี้ ความต้องการแพทย์ทเี่ พิมขึนจากการมีชาวต่างชาติเป็ นความต้องการแพทย์ ่ ้ ผูเชี่ยวชาญเฉพาะทางแทบทังสิน ซึ่งแพทย์เฉพาะทางในแต่ละสาขามีจํานวนจํากัด และการ ้ ้ ้ ผลิตแพทย์เฉพาะทาง (และการสังสมประสบการณ์ของแพทย์เหล่านัน) ต้องใช้เวลานานกว่าการ ่ ้ ั่ ้ ่ ี ่ ั ั ผลิตแพทย์ทวไปมาก ดังนัน ถ้าแพทย์เฉพาะทางทีมอยูในปจจุบนถูกกําลังซือทีเหนือกว่าดึงไป ้ ่ ่ ่ ้ ี ู ั เป็ นจํานวนมาก ก็ยอมทําให้คนไทยทีไม่ใช่กลุ่มผูมรายได้สงมีปญหาการเข้าถึงบริการของแพทย์ เฉพาะทาง และถ้าแพทย์ทถูกดึงไปมีจานวนมากทีเป็ นอาจารย์ในโรงเรียนแพทย์ ก็มโอกาสมาก ่ี ํ ่ ี ทีการขยายตัวของคนไข้ต่างชาติจะมีผลกระทบไปถึงคุณภาพของแพทย์ไทยในอนาคตด้วย ่ ทันตแพทย์ ทันตกรรมเป็ นอีกบริการหนึ่งทีชาวต่างชาตินิยมเดินทางเข้ามารับบริการในลักษณะของ ่ ่ ี ั medical tourism ในขณะเดียวกัน ก็เป็ นสาขาทีมปญหาความขาดแคลนและการกระจุกตัวสูง ข้อมูลทีรวบรวมโดยสํานักนโยบายและยุทธศาสตร์ กระทรวงสาธารณสุข (ตารางที่ 5.7) ระบุว่า ่ มีจานวนทันตแพทย์ในโรงพยาบาลประมาณ 4,187 คนในปี 2549 โดยเป็ นทันตแพทย์ทอยูใน ํ ่ี ่ ระบบราชการประมาณ 3,752 คน (ประมาณสองในสามสังกัดโรงพยาบาลในสังกัดกระทรวง สาธารณสุข) และในภาคเอกชนประมาณ 435 คน (แต่จานวนทันตแพทย์ของภาคเอกชนทีทาง ํ ่ กระทรวงรวบรวมมาได้น่าจะตํ่ากว่าความเป็ นจริงมากเหมือนกับในกรณีแพทย์ เนื่องจากเป็ น การรวบรวมข้อมูลจากแบบสอบถามเฉพาะจากโรงพยาบาลเอกชน ซึ่งตอบมาไม่ครบทุกแห่ง ด้วย ในขณะทีมทนตแพทย์ททางานทีคลินิกเอกชนอีกเป็ นจํานวนมาก)58 จากข้อมูลดังกล่าว ใน ่ ี ั ่ี ํ ่ ปี 2548 โดยเฉลียแล้วประเทศไทยมีสดส่วนประชากรประมาณ 15,000 คนต่อทันตแพทย์หนึ่ง ่ ั คน และเมื่อ พิจ ารณาข้อ มูล ในแต่ ล ะภาคก็จ ะพบว่า มีก ารกระจุ ก ตัว ของทัน ตแพทย์ใ นเขต กรุงเทพมหานครซึงมีสดส่วนดังกล่าวอยูทประมาณ 7,000:1 ภาคกลาง ภาคเหนือ และภาคใต้ ่ ั ่ ่ี 57 ่ ้ ั ั ซึงในความเป็ นจริงนัน ปญหาการกระจายแพทย์เป็ นปญหาทีเรือรังมาเป็ นเวลาหลายสิบปี ถึงแม้วาจะมี ่ ้ ่ แนวโน้มทีดขนบ้างในระยะประมาณสิบปีทผาน (ดูจากตารางที่ 5.3) แต่ความแตกต่างของการกระจายแพทย์ ่ ี ้ึ ่ี ่ ในภูมภาคต่างๆ กับกรุงเทพมหานครก็ยงอยูในระดับสูงถึง 3.3-6.5 เท่าตัว ิ ั ่ 58 ข้อมูลจากทันตแพทยสภาระบุวาในปี 2544 มีทนตแพทย์รวม 7,337 คน ซึงเมือหักลบกับตัวเลขในตารางที่ ่ ั ่ ่ 5.7 (4,317 คนในปี 2544) เท่ากับมีทนตแพทย์ทอยูนอกโรงพยาบาลประมาณ 3,000 คนในปีดงกล่าว ั ่ี ่ ั 96
  • 115.
    มีสดส่วนที่ดกว่าค่าเฉลี่ยเล็กน้ อย ั ี ในขณะที่ภาคตะวันออกเฉียงเหนือมีสดส่วนที่สูงที่สุด ั (22,000:1) ซึงคล้ายกับในกรณีของแพทย์ ่ ถ้าพิจารณาจากสัดส่วนดังกล่าว ซึงแม้ว่าอาจจะสูงเกินความจริงไปบ้าง59 แต่กสะท้อน ่ ็ ั ถึงปญหาการขาดแคลนทันตแพทย์ ซึ่งน่ าจะเป็ นเรื่องที่ทราบกันดี โดยเฉพาะในชนบท (ซึ่ง ประชาชนจํ า นวนมากไปรับ บริก ารกับ เจ้า หน้ า ที่ท ัน ตาภิบ าลแทน) หรือ แม้ก ระทัง ในเขต ่ กรุงเทพมหานครและปริมณฑล เมือโครงการประกันสังคมได้เปลียนกติกาเรื่องการทําฟน ก็เป็ น ่ ่ ั ่ ั ทีประจักษ์ว่าคิวทําฟนในโรงพยาบาลหลายแห่งยาวขึนเป็ นหลายเดือนทันที จนทางสํานักงาน ้ ประกันสังคมต้องเปลี่ยนกติกากลับไปเป็ นแบบเดิมอย่างรวดเร็ว ปญหาการขาดแคลนทันต ั แพทย์จงมีโอกาสที่จะทวีความรุนแรงขึนในอนาคตถ้าจํานวนคนไข้ต่างชาติท่เข้ามารับบริการ ึ ้ ี ด้านทันตกรรมเพิมขึนอย่างรวดเร็ว ่ ้ ข้อมูลจากตารางที่ 5.8 แสดงให้เห็นว่าจํานวนการผลิตทันตแพทย์ในแต่ละสถาบันไม่ได้ เปลี่ยนแปลงไปมากนักในช่วงประมาณสิบปี เศษทีผ่านมา จํานวนการผลิตที่เพิมขึนส่วนหนึ่ง ่ ่ ้ เกิด จากการที่มีส ถาบัน ใหม่ ๆ เปิ ด สอนมากกว่ า ที่จ ะเป็ น การเพิ่ม การผลิต ของสถาบัน เดิม (ยกเว้นมหาวิทยาลัยมหิดลทีผลิตเพิมขึนบ้างในระยะหลัง) และทีผานมานัน ทังสาธารณชนและ ่ ่ ้ ่ ่ ้ ้ ฝ่ายการเมืองเองก็ไม่ได้ให้ความสําคัญกับปญหาการขาดแคลนทันตแพทย์มากเท่ากับปญหา ั ั ่ ั การขาดแคลนแพทย์ (ซึงเป็ นปญหาทีเห็นได้ชดเจนกว่า ทําให้หลายรัฐบาลประกาศนโยบายการ ่ ั ่ ี ั ั ผลิตแพทย์เพิม มีผลให้จํานวนแพทย์ท่ผลิตในปจจุบนมีจํานวนเกือบสองเท่าของเมื่อปี 2537 ในขณะทีจานวนทันตแพทย์เพิมขึนประมาณร้อยละ 30 เท่านัน) นอกจากนี้ขอมูลจากตารางที่ ่ํ ่ ้ ้ ้ 5.8 ยังแสดงให้เห็นจํานวนบัณฑิตทีแกว่งขึนลงอย่างมากในหลายสถาบัน ซึ่งน่ าจะเกิดจาก ่ ้ นักศึกษาปี หนึ่งจํานวนหนึ่งไปสอบเข้ามหาวิทยาลัยใหม่ และลาออกไปโดยไม่มระบบที่จะนํ า ี นักศึกษาที่มศกยภาพและต้องการศึกษาด้านนี้มาทดแทน ยังผลให้หลายสถาบันมักผลิตทันต ี ั ั แพทย์ในระดับที่ต่ํากว่าศักยภาพของตน ซึ่งมีส่วนซํ้าเติมปญหาการขาดแคลนทันตแพทย์ให้ ้ ั รุนแรงขึน ซึ่งถ้ามีระบบที่แก้ไขปญหานี้ได้ ก็น่าจะช่วยให้สามารถผลิตทันตแพทย์เพิมขึนได้ ่ ้ เกือบร้อยละ 20 ต่อปีโดยไม่จาเป็ นต้องลงทุนด้านเครืองมือซึงมีราคาแพงเพิมขึนเลย ํ ่ ่ ่ ้ 59 แต่ถาใช้ขอมูลของทันตแพทยสภา ซึงระบุวาในปี 2544 มีทนตแพทย์รวม 7,337 คน มาบวกกับจํานวน ้ ้ ่ ่ ั ทันตแพทย์ทผลิตเพิมขึนในระหว่างปี 2544-2549 (ตามตารางที่ 5.8) ก็น่าจะมีจานวนทันตแพทย์ไม่น้อยกว่า ่ี ่ ้ ํ 10,000 คนในปี 2549 คิดเป็ นสัดส่วนของทันตแพทย์หนึ่งคนต่อประชากรไม่เกิน 6,500 คน 97
  • 116.
    ตารางที่ 5.7 จํานวนและการกระจายของทันตแพทย์ที่รวบรวมโดยสํานักนโยบายและ ยุทธศาสตร์ กระทรวงสาธารณสุข จํานวนทันตแพทย์ จํานวน ปชก.ต่อทันตแพทย์ 1 คน ปี กระทรวง ภาครัฐ ทัง ้ ภาค ภาค สาธารณสุข อื่นๆ รัฐ เอกชน รวม ประเทศ กทม กลาง ตอน. ภาคเหนือ ภาคใต้ 2539 1,978 903 2,881 534 3,415 17,508 3,270 21,607 43,542 33,638 32,187 2540 2,064 884 2,948 466 3,414 17,711 3,389 21,263 45,622 30,248 31,760 2541 2,564 844 3,408 509 3,917 15,613 3,033 16,800 44,484 27,310 26,954 2542 2,660 856 3,516 510 4,026 15,294 2,996 17,495 38,461 27,225 25,664 2543 2,821 859 3,680 461 4,141 14,917 3,529 16,813 35,476 17,037 22,549 2544 3,014 739 3,753 564 4,317 14,384 3,190 16,588 32,499 20,993 19,963 2545 2,386 818 3,204 349 3,553 17,606 6,614 17,810 28,432 17,824 20,105 2546 2,439 841 3,238 384 3,622 17,416 6,836 17,799 26,675 17,699 19,767 2547 2,538 1,250 3,280 383 3,663 17,182 6,920 16,851 26,351 17,694 19,578 2548 2,678 1,105 3,783 391 4,174 14,901 5,064 14,840 23,378 18,111 17,366 2549 2,838 914 3,752 435 4,187 14,957 7,035 14,104 22,081 14,803 15,968 ทีมา: ปี 2539-2544 จากรายงานทรัพยากรสาธารณสุข ่ ปี 2545-2549 จากเว็บของสํานักนโยบายและยุทธศาสตร์ กระทรวงสาธารณสุข http://moc.moph.go.th/Resource/Personal/index,new.php (ข้อมูลส่วนนี้ไม่รวมบุคลากรทีไปเรียนต่อทีสงกัดอื่น เช่น รร. ่ ่ ั แพทย์)) หมายเหตุ: ภาครัฐอื่นๆ คือ กระทรวงอื่นๆ+รัฐวิสาหกิจ+เทศบาล+องค์การอิสระ (เช่น โรงพยาบาลจุฬาฯ สภากาชาดและสาขา) 98
  • 117.
    ตารางที่ 5.8 จํานวนทันตแพทย์ที่ขึนทะเบียนเป็นผูประกอบวิ ชาชีพทันตกรรม ตังแต่ปี 2537-2550 ้ ้ ้ สถาบันที่สาเร็จการศึกษา ํ 2537 2538 2539 2540 2541 2542 2543 2544 2545 2546 2547 2548 2549 2550 จุฬาลงกรณ์มหาวิทยาลัย 96 97 88 93 90 98 100 103 101 97 103 92 105 97 มหาวิทยาลัยมหิดล 53 51 62 60 65 66 75 75 82 72 78 71 73 77 มหาวิทยาลัยเชียงใหม่ 74 71 93 78 86 85 82 73 85 79 63 61 86 60 มหาวิทยาลัยสงขลานครินทร์ 35 30 38 30 29 33 34 42 41 48 46 49 46 37 มหาวิทยาลัยขอนแก่น 54 47 63 57 88 50 67 60 45 46 47 44 43 46 มหาวิทยาลัยธรรมศาสตร์ - - - - - - - 13 17 28 28 23 38 40 มหาวิทยาลัยนเรศวร - - - - - - - - - 25 35 38 26 35 มหาวิทยาลัยศรีนครินทรวิโรฒ - - - - - - - 16 30 25 36 33 42 31 ต่างประเทศ 7 3 13 4 2 1 6 4 1 6 5 1 - 4 ยอดรวมทังปี ้ 319 299 357 322 360 333 364 386 402 426 441 412 459 427 ทีมา: รวบรวมจากทันตแพทยสภา ่ 99
  • 118.
    พยาบาล ั ั เมื่อดูเ ผินๆ ป ญหาการขาดแคลนพยาบาลไม่น่า จะเป็ นป ญหาที่รุนแรง (ข้อมูลจาก ตารางที่ 5.9 เองก็แสดงให้เห็นแนวโน้มทีจานวนและการกระจายตัวของทังพยาบาลรวมและ ่ํ ้ พยาบาลวิชาชีพทีมแนวโน้มทีดขนจนถึงปี 2548 เป็ นอย่างน้อย) อย่างไรก็ตาม ในระหว่าง ่ ี ่ ี ้ึ การศึกษา การสัมภาษณ์ผบริหารทังโรงพยาบาลรัฐและโรงพยาบาลเอกชนหลายแห่งให้ภาพที่ ู้ ้ ั ั ั ตรงกันว่า ปจจุบนมีปญหาการขาดแคลนพยาบาลทีรุนแรง จนสถานพยาบาลหลายแห่งต้องหัน ่ ้ ั ไปใช้ผู้ช่ ว ยพยาบาลแทน รวมทัง มีป ญ หาการขาดแคลนพยาบาลที่มีท ัก ษะเฉพาะ (เช่ น พยาบาลห้อง ICU) เมือพิจารณาจากตัวเลขจํานวนผูสมัครสอบและขึนทะเบียนในแต่ละปี (ปจจุบนพยาบาล ่ ้ ้ ั ั จะต้องต่ออายุทุก 5 ปี) จากตารางที่ 5.10 ก็ดเหมือนว่าจํานวนพยาบาลไม่ได้มจานวนเพิมขึนใน ู ีํ ่ ้ ปี หลังๆ ซึ่งส่วนหนึ่งคงเกิดจากการลดการผลิตในหลายๆ สถาบัน เนื่องจากสถาบันเหล่านี้ มัก จะผลิต ตามกรอบอัต รากํ า ลัง ในภาครัฐ หรือ บางครัง ก็ผ ลิต ตามกรอบอัต รากํ า ลัง ของ ้ หน่ วยงานตัวเอง (เช่น วิทยาลัยพยาบาลในสังกัดกระทรวงสาธารณสุข) และบางครังก็ทําให้ ้ แม้แต่หน่ วยงานของตนเองก็ยงได้บุคลากรทีไม่เพียงพอ เพราะไม่ได้ผลิตเผื่อสําหรับพยาบาล ั ่ ลาออกไปอยู่ภาคเอกชนหรือเลิกประกอบอาชีพพยาบาล (เช่น โรงพยาบาลจุฬาฯ มักมีอตรา ั พยาบาลว่างในแต่ละปี มากกว่า 100 คน) เมื่อมีความพยายามปฏิรูประบบราชการ รัฐบาล (โดยสํานักงานข้าราชการพลเรือน หรือ กพ.) ก็ใช้วธควบคุมอัตรากําลังคนในภาครัฐแบบเหวียง ิี ่ 60 แห ส่งผลให้มการผลิตพยาบาลลดลงไปด้วย โรงพยาบาลรัฐทีตองการพยาบาลเพิมต้องใช้วธี ี ่ ้ ่ ิ 61 จ้างพยาบาลใหม่จํานวนมากเป็ นลูกจ้างแทนการบรรจุเข้ารับราชการ ซึ่งมีผลทําให้พยาบาล จํานวนมากเลือกที่จะไม่ทํางานกับโรงพยาบาลรัฐ62 ในขณะที่ทงสถานพยาบาลภาครัฐและ ั้ ั ั เอกชนต่างก็ยงมีความต้องการพยาบาลอีกจํานวนมาก (ในปจจุบน สถานพยาบาลภาครัฐหลาย ั แห่งก็ยงต้องจ้างพยาบาลด้วยวิธพเิ ศษ) ั ี ั อย่างไรก็ตาม ปญหาการขาดแคลนพยาบาลน่าจะอยูในวิสยทีจะสามารถแก้ได้งายกว่า ่ ั ่ ่ ั ั แพทย์และทันตแพทย์ เพราะในปจจุบน การผลิตพยาบาลในหลายสถาบันของภาครัฐเองก็ผลิต น้อยกว่าทีเคยผลิตได้ในอดีต63 และสาขาพยาบาลก็ยงเป็ นสาขาทีมผนิยมเรียนอยูมาก เราจึง ่ ั ่ ี ู้ ่ สามารถผลิตพยาบาลเพิมและรักษาพยาบาลให้อยูในภาครัฐได้มากขึนโดยเพียงปรับเปลียน ่ ่ ้ ่ 60 และมีการเลิกสัญญาบังคับให้พยาบาลจบใหม่มาเข้ารับราชการ เนื่องจากโรงพยาบาลรัฐไม่มอตรา ีั ข้าราชการจํานวนมากพอทีใช้บรรจุพยาบาลเหล่านี้ ทังๆ ทีโรงพยาบาลรัฐเหล่านันยังต้องการพยาบาลเพิม ่ ้ ่ ้ ่ 61 ั ั ในปจจุบน (ปลายปี 2551) กระทรวงสาธารณสุขมีพยาบาลทีเป็ นลูกจ้างประมาณ10,000 คน ่ 62 ข้อมูลจากสภาพยาบาลระบุวา ในปี 2551 ประมาณครึงหนึ่งของพยาบาลจบใหม่จากวิทยาลัยพยาบาลของ ่ ่ กระทรวงสาธารณสุข (1,200 คนจาก 2,500 คน) ไม่ทางานในโรงพยาบาลรัฐ ํ 63 แต่กมผตงข้อสังเกตเช่นกันว่า ในอดีตวิทยาลัยพยาบาลของกระทรวงสาธารณสุขน่าจะมีการผลิตพยาบาล ็ ี ู้ ั ้ ในจํานวนมากกว่าศักยภาพทีควรจะเป็ น (เช่น เมือวัดจากสัดส่วนอาจารย์ต่อนักศึกษา) และถึงแม้วาใน ่ ่ ่ ั ั ปจจุบนได้ลดการผลิตลงมา หลายแห่งก็น่าจะยังมีสดส่วนอาจารย์ต่อนักศึกษาทีต่าเกินไป ั ่ ํ 100
  • 119.
    นโยบายด้านการผลิตและด้านกําลังคนของภาครัฐ แน่นอนว่าการเปลียนแปลงนโยบายด้าน ่ กําลังคนด้านพยาบาล (เช่น การรับพยาบาลจบใหม่เข้าเป็ นข้าราชการ) จะมีผลกระทบต่อ ค่าใช้จายของภาครัฐ แต่กน่าจะเป็ นวิธการทีมตนทุนต่อสังคมไม่สงนัก64เมือเทียบกับประโยชน์ท่ี ่ ็ ี ่ ี ้ ู ่ 65 จะได้รบั 64 ั ั ปจจุบน ต้นทุนทีสาคัญส่วนหนึ่งของการบรรจุขาราชการเพิมคือสวัสดิการรักษาพยาบาลของข้าราชการ ซึง ่ํ ้ ่ ่ มีคาใช้จายต่อหัวสูงมากเมือเทียบกับโครงการอื่นๆ แต่เมือคิดเป็ นค่าใช้จายต่อข้าราชการหนึ่งคนแล้ว ก็ยงตก ่ ่ ่ ่ ่ ั ประมาณ 1,500 บาทต่อคนต่อเดือนเท่านัน ถึงแม้กระทังเมือรวมกับต้นทุนอื่นทีรฐต้องจ่าย (เช่น บําเหน็จ ้ ่ ่ ่ั ั บํานาญทีเพิมขึน) การแก้ปญหาด้วยวิธน้ีสาหรับพยาบาลก็ยงน่าจะเป็ นการลงทุนทีคมค่าของรัฐ ่ ่ ้ ี ํ ั ่ ุ้ 65 และเมือเทียบกับวิธอ่นทีมการนํามาใช้ เช่น การปรับค่าตอบแทนเบียเลียงเหมาจ่ายให้บุคลากรสีสาขาใน ่ ีื ่ ี ้ ้ ่ โรงพยาบาลชุมชนในช่วงปลายปี 2551 ซึงจ่ายเงินเพิมให้พยาบาลในพืนทีทุรกันดาร 1,500-4,500 บาทต่อ ่ ่ ้ ่ เดือน ซึงก็ยงไม่ได้ทาให้พยาบาลจํานวนมากพอใจแต่อย่างใด ่ ั ํ 101
  • 120.
    ตารางที่ 5.9 ข้อมูลจํานวนและการกระจายของพยาบาลรวบรวมโดยสํานักนโยบายและยุทธศาสตร์ กระทรวงสาธารณสุข ก. พยาบาลรวม จํานวนพยาบาล จํานวนประชากรต่อพยาบาล 1 คน ปี กระทรวง ภาครัฐ รวมภาครัฐ เอกชน รวม ทังประ ้ กทม. ภาค ภาค ภาค ภาคใต้ สาธารณสุข อื่นๆ เทศ กลาง ตอน. เหนือ 2539 61,309 15,288 76,597 6,218 82,815 722 298 636 1,257 821 680 2540 65,106 14,688 79,794 6,437 86,231 701 314 625 1,212 755 651 2541 71,145 17,591 88,736 8,836 97,572 627 255 567 778 691 607 2542 72,346 18,211 90,557 8,994 99,551 618 252 558 1,063 676 605 2543 72,827 18,099 90,926 9,517 100,443 615 271 539 1,109 632 571 2544 77,707 20,003 97,710 10,331 108,041 575 240 519 1,013 613 540 2545 82,352 20,928 103,280 10,127 113,407 552 236 499 918 595 535 2546 83,593 20,481 104,074 11,465 115,539 562 282 494 888 582 527 2547 84,835 20,343 105,178 10,924 116,102 539 266 476 834 564 521 2548 85,633 19,066 104,699 12,674 117,373 590 238 495 767 518 508 2549 81,578 18,878 100,456 13,569 114,025 591 215 496 752 509 487 ข. พยาบาลวิชาชีพ จํานวนพยาบาลวิชาชีพ จํานวนประชากรต่อพยาบาลวิชาชีพ 1 คน ปี กระทรวง ภาครัฐ รวมภาครัฐ เอกชน รวม ทังประ ้ กทม. ภาค ภาค ภาค ภาคใต้ สาธารณสุข อื่นๆ เทศ กลาง ตอน. เหนือ 2539 34,547 14,000 48,547 5,660 54,207 1,103 350 1,058 2,272 1,287 1,140 2540 37,087 13,336 50,423 5,943 56,366 1,073 368 1,004 2,133 1,188 1,080 2541 40,844 14,812 55,656 8,052 63,708 960 311 922 1,849 1,100 1,037 2542 44,333 15,431 59,764 8,244 68,008 905 306 855 1,706 1,022 973 2543 46,066 16,003 62,069 8,909 70,978 870 309 825 1,702 908 884 2544 51,450 16,861 68,311 9,871 78,182 794 285 749 1,498 856 806 2545 58,301 17,389 75,690 9,702 85,392 733 279 685 1,278 785 765 2546 62,723 17,696 80,419 11,151 91,570 687 285 631 1,145 734 692 2547 66,860 18,654 85,424 10,410 95,834 652 289 593 1,045 684 659 2548 71,459 17,628 89,087 12,378 101,465 613 285 550 968 628 622 2549 70,708 17,115 87,823 13,320 101,143 619 273 563 1,009 648 614 ที่มา: ปี 2539-2544 จากรายงานทรัพยากรสาธารณสุข 102
  • 121.
    ปี 2545-2549 จากเว็บของสํานักนโยบายและยุทธศาสตร์กระทรวงสาธารณสุข http://moc.moph.go.th/Resource/Personal/index,new.php (ข้อมูลปี 2545-2548 ในส่วนของกระทรวงสาธารณสุขไม่รวมบุคลากรที่ไปเรี ยนต่อที่สงกัดอื่น) ั ข้ อมูลพยาบาลรวมคํานวณโดยคณะผู้วิจย จากข้ อมูลพยาบาลวิชาชีพและพยาบาลเทคนิค ั หมายเหตุ: ภาครัฐอื่นๆ คือ กระทรวงอื่นๆ+รัฐวิสาหกิจ+เทศบาล+องค์การอิสระ องค์การอิสระ ได้ แก่ โรงพยาบาลจุฬา สภากาชาดและสาขา (ในปี 2545 มีสถานพยาบาลที่ถือเป็ นองค์การอิสระ 6 แห่ง) ตารางที่ 5.10 จํานวนผูสมัครสอบและขึนทะเบียนเป็ นผูประกอบวิ ชาชีพพยาบาล 2541-2550 ้ ้ ้ ประเภทของใบอนุญาตฯ ปีท่ี ปี ท่ี ชันหนึ่ง ้ ชันสอง ้ รวมขึน้ อนุมติ หมดอายุ สมัครสอบ ั พผ.1 พ.1 ผ.1 สมัครสอบ พผ.2 พ.2 ผ.2 ทะเบียน 2541 2546 5,934 4,634 27 128 3,866 1,952 312 230 7,283 2542 2547 5,980 5,708 1 1,476 1,232 26 4 6,971 2543 2548 7,880 7,240 1,305 1,234 25 1 8,500 2544 2549 8,356 8,222 2 453 641 2 10 8,877 2545 2550 8,996 8,798 488 356 138 177 20 28 9,867 2546 2551 8,348 8,180 280 240 96 135 5 37 8,877 2547 2552 8,599 8,099 7 158 85 95 2 7 8,368 2548 2553 8,080 7,400 2 231 60 65 13 2 7,713 2549 2554 8,502 8,159 75 56 55 8,289 2550 2555 7,288 6,328 268 302 55 48 2 6,948 รวม 2541 - 2550 77,963 72,768 1,074 1,491 7,590 5,634 405 321 81,693 ทีมา: สภาการพยาบาล ่ เอกสารอ้างอิ ง ทักษพล ธรรมรังสี. 2549. การกระจายแพทย์ทางภูมิศาสตร์ที่เหมาะสมภายใต้ระบบ หลักประกันสุขภาพถ้วนหน้ า. สํานักงานวิจยเพือการพัฒนาหลักประกันสุขภาพไทย ั ่ (สวปก.) _____________. 2546. ”การลาออกของแพทย์” วารสารวิ ชาการสาธารณสุข. 12:6 พฤศจิกายน-ธันวาคม. ทักษพล ธรรมรังสี, พนา พงษ์ชานะภัย, ปิยะ หาญวรวงศ์ชย. 2547. "สาเหตุการลาออกของ ํ ั แพทย์จากหน่วยงานในสังกัดสํานักงานปลัดกระทรวงสาธารณสุข ระหว่างปี พ.ศ.2545- 2546." แพทยสภา. 2547. เอกสารประกอบการสัมมนาเรื่องฝ่ าวิ กฤติ แพทย์. 25 กรกฎาคม. ________. 2546. เอกสารประกอบการสัมมนาเรื่องการลาออกของแพทย์. 16 สิงหาคม. 103
  • 122.
    มัทนา พนานิรามัย และสมชาย สุขสิรเิ สรีกุล. 2539. การพยากรณ์แบบแผนการเจ็บป่ วย และความต้องการแพทย์ในอนาคต. สิงหาคม. กรุงเทพฯ: สถาบันวิจยเพือการ ั ่ พัฒนาประเทศไทย. ศูนย์ปฏิบตการหลักประกันสุขภาพถ้วนหน้า. 2545. แนวทางการสร้างหลักประกันสุขภาพ ั ิ ถ้วนหน้ าในระยะเปลี่ยนผ่าน. สํานักนโยบายและแผน กระทรวงสาธารณสุข. (หลายปี ). รายงานทรัพยากรสาธารณสุข http://moc.moph.go.th/Resource/Personal/index,new.php วิโรจน์ ณ ระนอง อัญชนา ณ ระนอง และศรชัย เตรียมวรกุล. 2547. หนึ่ งปี แรกของการจัด หลักประกันสุขภาพถ้วนหน้ า (ฉบับปรับปรุง กุมภาพันธ์ 2547). กรุงเทพฯ: สถาบันวิจยเพือการพัฒนาประเทศไทย. ั ่ วิโรจน์ ณ ระนอง อัญชนา ณ ระนอง ศรชัย เตรียมวรกุล และศศิวุทฒิ ์ วงษ์มณฑา. 2548. หลักประกันสุขภาพถ้วนหน้ าปี 2545-2546 (ฉบับแก้ไขปรับปรุง มีนาคม 2548). รายงานฉบับสมบูรณ์เล่มที่ 1 โครงการติ ดตามและประเมิ นผลการจัดหลักประกัน สุขภาพถ้วนหน้ าระยะที่สอง (2546-47). กรุงเทพฯ: สถาบันวิจยเพือการพัฒนาประเทศ ั ่ ไทย. วิโรจน์ ณ ระนอง และ อัญชนา ณ ระนอง. 2548. การหมุนเวียนของบุคลากรที่ให้บริ การใน สถานพยาบาลภาครัฐ. รายงานฉบับสมบูรณ์เล่มที่ 5 โครงการติ ดตามประเมิ น ผลการจัดหลักประกันสุขภาพถ้วนหน้ าระยะที่สอง (2646-2547). กรุงเทพฯ: สถาบันวิจยเพือการพัฒนาประเทศไทย. ั ่ อดิศร ภัทราดูลย์. 2548. “ผลกระทบนโยบาย Medical Hub of Asia ต่อระบบสาธารณสุขไทย”. มติ ชน. 16 กรกฎาคม 2548. อัญชนา ณ ระนอง. 2549. โครงการ 30 บาท รักษาทุกโรค กับความมันคงด้านสุขภาพของคน ่ ไทย. บทความวิชาการดี ประจําปี 2549. สถาบันบัณฑิตพัฒนบริหารศาสตร์. อําพล จินดาวัฒนะ. 2546. “หมอลาออก กว่าถัวจะสุก ระวังงาไหม้” มติ ชน. 26 มิถุนายน. ่ Cha-aim Pachanee and Suwit Wibulpolprasert. 2006. “Incoherent policies on universal coverage of health insurance and promotion of international trade in health services in Thailand,” Health Policy and Planning. Published by Oxford University Press in association with The London School of Hygiene and Tropical Medicine. http://heapol.oxfordjournals.org/cgi/reprint/czl017v1 104
  • 123.
    6. ผลกระทบต่อราคาค่ารักษาพยาบาล และการเข้าถึงบริการที่มีคณภาพของคนไทย ุ 6.1 ผลกระทบในด้านราคาค่ารักษาพยาบาล โดยทัวไปแล้ว ในภาคบริก ารและสํา หรับ สิน ค้า ที่ไ ม่มีก ารส่ง ออกหรือ นํ า เข้า (non- ่ tradable goods) ราคาของสินค้าหรือบริการเหล่านันจะขึนกับอุปสงค์และอุปทานทีมอยูในพืนที่ ้ ้ ่ ี ่ ้ นันๆ ดังนัน เมื่อมีการเพิมอุปสงค์ (demand) เข้ามาในระบบ โดยชักนําคนไข้จากต่างประเทศ ้ ้ ่ เข้ามารับบริการในประเทศไทย (ในอัตราเพิมทีสงกว่าจํานวนแพทย์ทกลับมาหรืออพยพมาจาก ่ ู่ ่ี ต่างประเทศ) ก็ย่อมมีโอกาสมากทีจะดึงให้ราคาค่ารักษาพยาบาลในประเทศไทยสูงขึนตามไป ่ ้ ด้วย แม้ว่าอัตราค่าบริการทางการแพทย์ท่สูงขึนย่อมหมายความว่าประเทศมีรายรับที่เป็ น ี ้ เงินตราต่างประเทศเพิมขึน แต่ก็มโอกาสที่จะส่งผลด้านลบไปถึงความสามารถในการเข้าถึง ่ ้ ี บริการทีมคุณภาพของคนไทยได้เช่นกัน และถึงแม้วาคนไข้ต่างชาติสวนใหญ่จะมารับการรักษา ่ ี ่ ่ ที่โ รงพยาบาลเอกชนขนาดใหญ่ เ ท่ า นั น แต่ ก็ อ าจจะมีผ ลดึง ให้ร าคาค่ า รัก ษาพยาบาลที่ ้ โรงพยาบาลกลุ่มอื่นเพิมขึนไปด้วย (เพราะมีแรงดึงบุคลากรต่อกันเป็ นทอดๆ)66 ่ ้ การศึกษาส่วนนี้ทําโดยเปรียบเทียบราคาของบริการทางการแพทย์ในสถานพยาบาล กลุ่มต่างๆ ในช่วงเวลาทีเปลี่ยนไป (โดยพยายามเปรียบเทียบข้อมูลปจจุบนกับเมื่อประมาณ 5 ่ ั ั ปี ก่ อ น หรือ ปี ล่ า สุ ด ที่มีข้อมูลย้อนกลับไป) โดยพยายามศึกษาอัตราเพิมของค่าบริการของ ่ โรงพยาบาลเอกชนกลุ่มทีหนมาเน้นการรักษาผูป่วยต่างประเทศ กับอัตราเพิมของค่าบริการของ ่ ั ้ ่ โรงพยาบาลเอกชนกลุ่มทีไม่ได้ specialize ในด้านการรักษาผูปวยต่างประเทศ67 ่ ้ ่ ในการเปรียบเทียบราคาค่าบริการนัน คณะผูวจยได้พยายามหาข้อมูลด้วยสองวิธคอ ้ ้ิั ี ื วิธแรก เพื่อทีจะหลีกเลียงความผันแปรทีเกิดจากการทีคนไข้แต่ละรายมีความหนักเบา ี ่ ่ ่ ่ ของโรคทีแตกต่างกันไป คณะผูวจยได้สอบถามข้อมูลจากสถานพยาบาลถึงค่าใช้จายสําหรับการ ่ ้ิั ่ รักษาประมาณ 5 โรค โดยเลือกจากโรคทีมกระบวนการรักษาทีค่อนข้างคงที่ และมีค่าใช้จ่ายใน ่ ี ่ 66 ในระยะแรกนัน มีความเป็ นไปได้ว่าผลกระทบด้านราคาอาจแตกต่างกันในระหว่างกลุ่มสถานพยาบาล ้ ตัวอย่างเช่น ราคาค่ารักษาพยาบาลอาจมีแนวโน้มเพิมขึนมากในสถานพยาบาลที่ specialize ในด้านการ ่ ้ รักษาผูป้ ่วยต่างประเทศ (ซึ่งมีกําลังซื้อเข้ามาทีโรงพยาบาลเหล่านันโดยตรง) มากกว่าในโรงพยาบาลเอกชน ่ ้ อื่นๆ ที่ไม่ได้ specialize ในด้านการรักษาผูป่วยต่างประเทศ (เช่น โรงพยาบาลเอกชนที่ปจจุบนเน้นการ ้ ั ั ให้บริการผูมสทธิประกันสังคม) หรือในสถานพยาบาลของรัฐทีห่างไกล (ซึ่งอาจได้รบเพียงผลกระทบทางอ้อม ้ ี ิ ่ ั เช่น จากการทีรฐบาลต้องเพิมค่าตอบแทนเพื่อพยายามรักษาแพทย์ให้อยู่ในระบบบริการของรัฐ ซึ่งในระยะแรก ่ั ่ อาจจะมีผลต่อต้นทุนต่อ visit หรือ admission ไม่มากนัก) แต่เมือเวลาผ่านไป ผลกระทบด้านค่าแรงและราคาก็ม ี ่ แนวโน้มทีจะสูงขึนในโรงพยาบาลทุกระดับ ่ ้ 67 สําหรับโรงพยาบาลรัฐ อาจพิจารณาจากอัตราเพิมของงบประมาณหรือค่าหัวสําหรับสถานพยาบาลของรัฐ ่ ในพืนทีใกล้เคียงกันในช่วงเดียวกัน ้ ่ 105
  • 124.
    ส่วนที่เป็ นค่ายาไม่สูงมาก หรือไม่ผนแปรตามแต่ละเคสมากนัก(เช่น การคลอดโดยวิธผ่าตัด ั ี คลอด การผ่าตัดไส้ติ่ง การผ่าตัดไส้เลื่อน การผ่าตัดถุ งนํ้ าดี และการผ่าตัดเปลี่ยนข้อเข่า ทัง หมดนี้ คิด เฉพาะกรณี ท่ีไ ม่มีโ รคแทรกซ้อ น) 68 เพื่อ มาดูว่า ค่า ใช้จ่ า ยรวมในแต่ ล ะกรณี ใ น ้ สถานพยาบาลแต่ละประเภท (เช่น การคลอดปกติทนอนโรงพยาบาล 2 คืน) เปลียนแปลงไป ่ี ่ มากน้อยเพียงใดในช่วงประมาณ 5 ปี ทผ่านมา ทังนี้ สาเหตุทใช้วธสอบถามค่าใช้จ่ายรวมก็ ่ี ้ ่ี ิ ี เพราะหลายโรงพยาบาลอาจมีวธการ charge ค่ารักษาพยาบาลทีเปลียนแปลงไป ตัวอย่างเช่น ิี ่ ่ ค่าใช้จ่ายการนอนพักรักษาตัวในโรงพยาบาลบางแห่งในอดีต จะเก็บเป็ นค่าห้องเป็ นหลัก แต่ใน ระยะหลัง มีก ารเก็บ เป็ น ค่ า การพยาบาลเป็ น รายวัน ในอัต ราที่สูง พอๆ กับ ค่ า ห้อ ง และบาง โรงพยาบาลมีการเก็บค่าธรรมเนียมประเภทหรือรายการใหม่ๆ เพิมขึนมาจากในอดีต เช่น ่ ้ ค่าลงทะเบียนผูปวยนอก ค่าลงทะเบียนผูปวยใน ค่าพยาบาลห้องผ่าตัดและค่าวิสญญีพยาบาล69 ้ ่ ้ ่ ั หรือค่าเครืองมอนิเตอร์เครืองเดียวทีทาหน้าทีหลายอย่าง (เช่น เครื่องมอนิเตอร์ทใช้วดความดัน ่ ่ ่ ํ ่ ่ี ั โลหิต blood gas และคลื่นหัวใจ) บางโรงพยาบาลทีเคยเรียกเก็บเป็ นค่าบริการรายการเดียว ก็ ่ เปลียนมาแยกเก็บเป็ นสามรายการ (เป็ นรายชัวโมงหรือรายวัน) ทังทีใช้เครืองเดียวกัน70 เป็ นต้น ่ ่ ้ ่ ่ อย่างไรก็ตาม ทีผ่านมาการหาข้อมูลส่วนนี้จากโรงพยาบาลเอกชนทําได้ยากกว่าทีคาดเอาไว้ ่ ่ มาก (ทัง ที่แ ต่ เ ดิม นั น ผู้วิจ ัย คาดว่ า โรงพยาบาลส่ ว นใหญ่ น่ า จะยิน ดีใ ห้ข้อ มูล เพราะปกติ ้ ้ โรงพยาบาลเหล่านี้มหน้าทีตามกฎหมายทีจะต้องประกาศราคาค่าบริการต่างๆ อยูแล้ว) และได้ ี ่ ่ ่ ข้อมูลทีไม่คอยสมบูรณ์นก ่ ่ ั วิธทสอง ใช้การหารายรับเฉลียจากต่อคนไข้ (ต่อ visit หรือต่อ admission) โดยในกรณี ี ่ี ่ โรงพยาบาลเอกชนทังสองกลุ่ม ใช้ขอมูลบัญชีในภาพรวมของโรงพยาบาลจากข้อมูลรายงานของ ้ ้ โรงพยาบาลที่ส่ง ให้ต ลาดหลัก ทรัพ ย์ โดยทัง สองวิธีจ ะเปรีย บเทีย บโรงพยาบาลในตลาด ้ ่ ้ ่ หลักทรัพย์กลุ่มทีเน้นการขยายตัวรองรับผูปวยชาวต่างชาติ กับโรงพยาบาลเอกชนทีอยูในตลาด ่ ่ หลักทรัพย์แต่เน้นผูป่วยภายในประเทศในเขตกรุงเทพมหานครและปริมณฑล วิธน้ีมขอดีทจะ ้ ี ี ้ ่ี ได้ภาพรวมโดยเฉลี่ยของโรงพยาบาล แต่ มข้อด้อยกว่าวิธีแรกตรงที่โรงพยาบาลต่ างๆ อาจ ี ประกอบด้วยคนไข้ทมความรุนแรงของโรค (case mix) ทีต่างกัน อย่างไรก็ตาม จากการศึกษา ่ี ี ่ พบว่าข้อมูลทีสถานพยาบาลรายงานให้ตลาดหลักทรัพย์ไม่เพียงพอทีจะนํ ามาคํานวณเพื่อหา ่ ่ คําตอบเหล่านี้ (ยกเว้นในกรณีทผวจยเลือกใช้สมมุตฐานทีอาจจะไม่ตรงกับความเป็ นจริง เช่น ่ี ู้ ิ ั ิ ่ สมมุตว่าราคาทีเก็บจากคนไข้ต่างชาติไม่ต่างจากราคาทีเก็บจากคนไทย และความรุนแรงของ ิ ่ ่ 68 ในโรงพยาบาลแห่งหนึ่งรายงานข้อมูลค่าใช้จ่ายการผ่าตัดริดสีดวงทวาร ซึงก็เป็ นหัตถการทีมคุณลักษณะที่ ่ ่ ี ใกล้เคียงกับกรณีทเี่ หลือ 69 ซึงต่างกับค่าแพทย์หรือ doctor fee ทีโดยทัวไปแล้วโรงพยาบาลต้องจ่ายให้แพทย์ต่อการผ่าตัดแต่ละครัง ่ ่ ่ ้ แต่ในกรณีพยาบาลห้องผ่าตัด หลายโรงพยาบาลคิดเป็ นอัตรารายชัวโมงทีค่อนข้างสูงในลักษณะที่คล้ายกับ ่ ่ doctor fee ในขณะทีโรงพยาบาลจ้างพยาบาลเหล่านี้เป็ นรายเดือนในอัตราเงินเดือนพยาบาลปกติ ่ 70 ในบางครังคนไข้อาจไม่มความจําเป็ นต้องใช้มอนิเตอร์ทงสามอย่างพร้อมๆ กัน ้ ี ั้ 106
  • 125.
    โรคไม่ต่างกัน เป็ นต้น)หรือบางครังก็ไม่สามารถทําได้เลย (ตัวอย่างเช่น สถานพยาบาลบางแห่ง ้ รายงานยอดขาย แต่ไม่รายงานจํานวนคนไข้ หรือไม่แยกผูปวยนอกและผูปวยใน)71 ้ ่ ้ ่ ผลการศึกษา โรงพยาบาล ก. โรงพยาบาล ก. เป็ นโรงพยาบาลเอกชนขนาดใหญ่ในกรุงเทพมหานคร ที่มบทบาท ี สําคัญในการรับคนไข้ต่างชาติ และมีตกพิเศษที่สร้างขึนเพื่อให้บริการชาวต่างชาติโดยเฉพาะ ึ ้ การคิดอัตราค่าบริการในคนไข้ชาวไทยและชาวต่ างชาติจะต่างกัน เนื่ องจากจะมีค่าบริหาร จัดการเพิมเติมในคนไข้ชาวต่างชาติ เช่น ค่าล่าม ค่าแพทย์และพยาบาลที่คอยให้ขอมูลและ ่ ้ เขียน medical report ตามความของต้องการของบริษทประกัน (ลูกค้าชาวต่างชาติสวนใหญ่จะ ั ่ ใช้ป ระกัน) รวมไปถึงค่าห้องและค่าอาหาร (รวมถึงการมีตึกพิเ ศษที่ใ ห้บ ริการชาวต่ างชาติ โดยเฉพาะ ซึงมีคาบริการทีสงกว่าตึกเดิมทีให้บริการลูกค้าคนไทย) ่ ่ ู่ ่ ข้อมูลราคาค่ารักษาพยาบาลทีรายงานในตารางที่ 6.1 และ 6.2 เป็ นข้อมูลของคนไข้ชาว ่ ไทย ซึ่งจะเห็นได้ว่าในส่วนของราคาทีเป็ นแพคเกจตามตารางที่ 6.2 (ซึ่งมีกลุ่มเป้าหมายอยู่ท่ี ่ กลุ่มคนไทยทีมรายได้ระดับกลาง) ในสีโรคแรกก็มอตราปรับเพิมขึนในปี 2551 (ข้อมูลช่วงกลาง ่ ี ่ ี ั ่ ้ ปี) ในอัตราระหว่างร้อยละ 12-22 (ส่วนในกรณีการผ่าตัดเปลียนข้อเข่ามีการปรับเพิมไม่มาก ซึง ่ ่ ่ อาจเป็ นเพราะราคาเดิมค่อนข้างสูงอยูแล้ว) ่ ตารางที่ 6.1 ค่าใช้จ่ายเฉลี่ยต่อรายจาก case ที่เกิ ดขึนจริ งของคนไข้ชาวไทยที่ ้ โรงพยาบาล ก. ตังแต่ปี 2548 จนถึงปัจจุบน ้ ั 2548 2549 2550 2551 การคลอดลูกโดยการผ่าตัดคลอดทีไม่มโรคแทรกซ้อน ่ ี (1) 58,000 - - 80,000 การผ่าตัดไส้ตงทีไม่มโรคแทรกซ้อน(2) ิ่ ่ ี - 80,000 97,000 98,000 การผ่าตัดไส้เลื่อนทีไม่มโรคแทรกซ้อน ่ ี - 70,000 101,000 157,000 การผ่าตัดถุงนํ้าดีทไม่มโรคแทรกซ้อน(2) ่ี ี - - 195,000 - การผ่าตัดเปลียนข้อเข่าทีไม่มโรคแทรกซ้อน(2) ่ ่ ี - 270,000 320,000 320,000 หมายเหตุ: (1) มี case การผ่าคลอดน้อยเพราะคนไข้สวนใหญ่จะใช้บริการแบบเป็ นแพคเกจ ซึงมีราคาถูกกว่า ่ ่ (2) ไม่รวมเคสทีผาตัดโดยใช้กล้อง (ซึงส่วนใหญ่มคาใช้จายสูงกว่า) ่ ่ ่ ี่ ่ 71 และในบางกรณีเมื่อคณะผู้วจยขอข้อมูลเหล่านี้เพิมเติม (รวมทังการแยกข้อมูลระหว่างคนไข้ไทยและ ิั ่ ้ ต่างชาติ) ก็ได้รบคําตอบว่าเป็ นข้อมูลทีทางโรงพยาบาลถือว่าเป็ นความลับทางธุรกิจ ั ่ 107
  • 126.
    ตารางที่ 6.2 ค่าบริการเหมาจ่ายแบบเป็ นแพคเกจสําหรับคนไข้ชาวไทยที่โรงพยาบาล ก. ปี 2550-2551 จํานวน อัตรา วันนอน 2550 2551 เพิ่ ม (%) การคลอดลูกโดยการผ่าตัดคลอดทีไม่มโรคแทรกซ้อน ่ ี 3 48,000 58,000 20.8 การผ่าตัดไส้ตงทีไม่มโรคแทรกซ้อน ิ่ ่ ี 2-3 110,000 125,000 13.6 การผ่าตัดไส้เลื่อนทีไม่มโรคแทรกซ้อน ่ ี 2-3 90,000 110,000 22.2 การผ่าตัดถุงนํ้าดีทไม่มโรคแทรกซ้อน ่ี ี 3-4 250,000 280,000 12.0 การผ่าตัดเปลียนข้อเข่าทีไม่มโรคแทรกซ้อน ่ ่ ี 5-7 425,000 450,000 5.9 หมายเหตุ: ราคาแบบแพคเกจมีขอจํากัดในหลายกรณี เช่น ห้องพักเป็ นห้องธรรมดา และมีกาหนดเวลาในการ ้ ํ พักฟื้ นอย่างแน่ นอนตายตัว (ตัวอย่างเช่น ในกรณีของการผ่าตัดคลอดลูก จะเป็ นแพคเกจ 3 วัน 4 คืน ดังนัน ถ้าคนไข้ท่ต้องการพักฟื้ นนานกว่านี้ หรือเด็กอาจต้องได้รบการดูแลนานกว่าระยะเวลา ้ ี ั ดังกล่าว ก็ไม่สามารถคิดราคาแบบแพคเกจได้ เช่นเดียวกับกรณีท่คนไข้ต้องการพักห้องพักแบบ ี พิเศษ) โรงพยาบาล ข. โรงพยาบาล ข. เป็ นโรงพยาบาลเอกชนในกรุงเทพมหานครทีไม่ได้อยูในย่านธุรกิจ แต่ ่ ่ เดิมไม่ได้ให้บริการคนไข้ต่างชาติ แต่ในระยะหลังได้เริมให้บริการโดยเน้นทีโรคเฉพาะทางบาง ่ ่ ด้าน (เช่น การรักษาโรคหัวใจโดยใช้ Stem Cell) ข้อมูลในตารางที่ 6.3 เป็ นข้อมูลทีเป็ นของ ่ คนไข้คนไทย จากตารางที่ 6.3 จะเห็นได้ว่าอัตราเพิมของราคาค่ารักษาพยาบาลในช่วงสองปี หลัง คือ ่ ระหว่างปี 2548 กับ 2550 (รวมทังกรณีทคดไปถึงกลางปี 2551) สูงกว่าในช่วงสองปี ก่อนหน้า ้ ่ี ิ นัน (ปี 2546-2548) อย่างชัดเจน ้ 108
  • 127.
    ตารางที่ 6.3 ค่าใช้จ่ายเฉลี่ยต่อรายจากcase ที่เกิ ดขึนจริ งของคนไข้ชาวไทยที่ ้ โรงพยาบาลข. ตังแต่ปี 2546 จนถึงปัจจุบน ้ ั อัตรา อัตรา อัตรา อัตรา เพิ่ ม เพิ่ ม เพิ่ ม เพิ่ ม พค. เฉลี่ย เฉลี่ย เฉลี่ย เฉลี่ย 2546 2547 2548 2549 2550 2551 ต่อปี ต่อปี ต่อปี ต่อปี 2546- 2548- 2546- 2546- 48 50 50 พค.51 การผ่าตัดคลอดทีไม่ม ี ่ โรคแทรกซ้อน 39,670 41,297 40,576 42,870 44,703 48,354 1.1 5.0 3.0 4.5 การผ่าตัดไส้ตงทีไม่ม ี ิ่ ่ โรคแทรกซ้อน 40,464 41,818 47,898 55,123 66,259 62,084 8.8 17.6 13.1 10.0 การผ่าตัดไส้เลื่อนทีไม่ ่ มีโรคแทรกซ้อน 46,380 66,352 45,548 71,926 57,056 73,786 -0.9 11.9 5.3 10.9 การผ่าตัดถุงนํ้าดีทไม่่ี มีโรคแทรกซ้อน 84,466 109,947 125,746 189,412 197,439 160,463 22.0 25.3 23.6 15.3 การผ่าตัดเปลียนข้อ ่ เข่าทีไม่มโรคแทรก ่ ี ซ้อน 194,970 191,006 176,510 199,911 238,935 no case -4.9 16.3 5.2 n.a. หมายเหตุ: ข้อมูลปี 2551 เป็ นข้อมูลถึงเดือน พ.ค. อัตราเพิมเฉลียต่อปี ใช้สมมุตฐานว่ามีการเพิมในอัตราทีคงทีตลอดช่วงระยะเวลา 2, 2, 4 และ 4.5 ่ ่ ิ ่ ่ ่ ปี ตามลําดับ ตารางที่ 6.4 ค่าบริ การเหมาจ่ายแบบเป็ นแพคเกจสําหรับคนไข้ชาวไทยที่โรงพยาบาล ข. เมื่อต้นปี 2551 ผ่าตัด ห้องพัก ห้องพัก ห้องพัก โดยส่อง คู่ เดี่ยว VIP กล้อง การคลอดลูกโดยการผ่าตัดคลอดทีไม่มโรคแทรกซ้อน ่ ี 38,900 42,900 45,900 n.a. การผ่าตัดไส้ตงทีไม่มโรคแทรกซ้อน ิ่ ่ ี - 60,000 70,000 90,000 การผ่าตัดไส้เลื่อนทีไม่มโรคแทรกซ้อน ่ ี - 60,000 - n.a. การผ่าตัดถุงนํ้าดีทไม่มโรคแทรกซ้อน ่ี ี - 80,000 - 95,000 การผ่าตัดเปลียนข้อเข่าทีไม่มโรคแทรกซ้อน (รวมข้อ ่ ่ ี เทียม) - 200,000 - - 109
  • 128.
    เพื่อเป็ นการเปรียบเทียบตารางที่ 6.5เสนอราคาค่าบริการแบบเหมาจ่ายเป็ นแพคเกจ ของโรงพยาบาล ค. (ซึ่ง เป็ น โรงพยาบาลในจัง หวัด รอบกรุง เทพมหานครที่มีผู้บ ริห ารกลุ่ ม เดียวกับโรงพยาบาล ข. โรงพยาบาล ค. ไม่ได้มเี ป้าหมายในการให้บริการคนไข้ต่างชาติ และ มีรายรับส่วนสําคัญจากโครงการประกันสังคม) ตารางที่ 6.5 ค่าบริ การเหมาจ่ายแบบเป็ นแพคเกจสําหรับคนไข้ชาวไทยที่โรงพยาบาล ค. เมื่อต้นปี 2551 ผ่าตัด ห้องพัก ห้องพัก ห้องพัก โดยส่อง คู่ เดี่ยว VIP กล้อง การคลอดลูกโดยการผ่าตัดคลอดทีไม่มโรคแทรกซ้อน ่ ี 31,000 33,000 38,000 n.a. การผ่าตัดไส้ตงทีไม่มโรคแทรกซ้อน ิ่ ่ ี 38,000 45,000 (2 วัน) การผ่าตัดไส้เลื่อนทีไม่มโรคแทรกซ้อน ่ ี 38,000 n.a. 80,000 85,000 การผ่าตัดถุงนํ้าดีทไม่มโรคแทรกซ้อน ่ี ี (2 วัน) การผ่าตัดเปลียนข้อเข่าทีไม่มโรคแทรกซ้อน (รวมข้อ ่ ่ ี 180,000 เทียม) (7 วัน) โรงพยาบาล ง. โรงพยาบาล ง. เป็ นโรงพยาบาลเอกชนในจังหวัดใหญ่ในภาคตะวันออกเฉียงเหนือ และ เป็ นโรงพยาบาลในเครือใหญ่เครือหนึ่ง ซึ่งมีโรงพยาบาลในเครือหลายโรงทีมบทบาทสําคัญใน ่ ี การให้บริการชาวต่างชาติ แต่โรงพยาบาล ง. ไม่ได้เป็ นหนึ่งในจํานวนนัน ในขณะเดียวกัน ้ โรงพยาบาล ง. ก็ไม่ได้เข้าร่วมโครงการประกันสุขภาพของรัฐ จึงถือได้ว่าโรงพยาบาล ง. เป็ น โรงพยาบาลเอกชนในจังหวัดใหญ่ทเี่ น้นลูกค้าทีมกาลังซือในจังหวัดทีตงและจังหวัดใกล้เคียง ่ ีํ ้ ่ ั้ ข้อมูลจากตารางที่ 6.6 บ่งชีวาค่ารักษาพยาบาลของโรคพืนๆ ก็เพิมขึนอย่างมีนยสําคัญ ้่ ้ ่ ้ ั ในระยะสองปี ท่ผ่านมา อาจจะยกเว้นกรณีผ่าตัดไส้ติ่ง ที่เพิมขึนในอัตราที่ต่ํากว่า ซึ่งอาจเป็ น ี ่ ้ เพราะะโรงพยาบาลสามารถทีจะลดวันนอนของเคสเหล่านี้ลงโดยเฉลียประมาณหนึ่งวัน ่ ่ 110
  • 129.
    ตารางที่ 6.6 ค่าใช้จ่ายเฉลี่ยต่อรายจากcase ที่เกิ ดขึนจริ งที่โรงพยาบาล ง. ้ ตังแต่ปี 2548 ถึงปัจจุบน ้ ั จํานวน 2549 2550 2551 อัตราเพิ่ ม อัตราเพิ่ ม วันนอน ปี 50 (%) ปี 51 (%) การคลอดลูกโดยการผ่าตัด คลอดทีไม่มโรคแทรกซ้อน ่ ี 4 31,621 36,223 54,857 14.6 51.4 การผ่าตัดไส้ตงทีไม่มโรค ิ่ ่ ี ดูใน 39,468 42,015 * 6.5 * แทรกซ้อน วงเล็บ (4-5 วัน) (3-4 วัน) การผ่าตัดริดสีดวงทวารทีไม่ ดูใน ่ 24,111 27,629 มีโรคแทรกซ้อน วงเล็บ (3-6 วัน) (2-3 วัน) * 14.6 * การผ่าตัดไส้เลื่อนทีไม่มโรค่ ี แทรกซ้อน * * * * การผ่าตัดถุงนํ้าดีทไม่ม ี ่ี โรคคแทรกซ้อน ** ** ** ** การผ่าตัดเปลียนข้อเข่าทีไม่ ่ ่ มีโรคแทรกซ้อน ** ** ** ** หมายเหตุ * มีจานวน case น้อยเกินไปทีจะนํามาประมวลผลอย่างมีความน่าเชื่อถือได้ ํ ่ ** ไม่มขอมูลี ้ โรงพยาบาลกรุงเทพภูเก็ต ่ ั้ ่ ั ั โรงพยาบาลกรุงเทพภูเก็ต เป็ นโรงพยาบาลทีตงในแหล่งท่องเทียว และปจจุบนมีรายได้ ส่วนใหญ่จากคนไข้ต่างชาติ คนไข้ต่างชาติสวนใหญ่เป็ นนักท่องเทียว ซึงปกติจะมีนกท่องเทียว ่ ่ ่ ั ่ เข้ามาที่ภูเก็ตถึง 5 ล้านคนต่อปี แต่นักท่องเที่ยวจะเข้ามามากเฉพาะในฤดูท่องเที่ยว ทัง ้ ผูบริหารและแพทย์โรงพยาบาลกรุงเทพภูเก็ตต่างก็ตระหนักดีว่าไม่สามารถพึงแต่คนไข้ต่างชาติ ้ ่ ฐานลู ก ค้า คนไทยจึง ยัง เป็ น แหล่ ง รายได้ท่ีสํา คัญ ของโรงพยาบาล (ดูร ายละเอีย ดเกี่ย วกับ โรงพยาบาลกรุงเทพภูเก็ตและแนวทางการบริหารของโรงพยาบาลเพิมเติมในกรอบที่ 7.1 ในบท ่ สุดท้าย) หลังจากทีโรงพยาบาลผ่านพ้นวิกฤติสนามิมาได้ และประสบความสําเร็จในการดึงคนไข้ ่ ึ ่ ่ ่ ต่างชาติ (นอกเหนือจากนักท่องเทียวทีปวย) เข้ามามากขึน ผูบริหารโรงพยาบาลมีนโยบายลด ้ ้ ค่ารักษากับคนไข้ไทย ซึงส่วนหนึ่งจะเห็นได้จากข้อมูลในตารางที่ 6.7 ซึงโดยเฉลียแล้วโรคทีมี ่ ่ ่ ่ ค่ า ใช้จ่ า ยเกิน หนึ่ ง แสนบาทจะมีค่า ใช้จ่ า ยลดลงหรือ เพิ่ม ขึ้น ในอัต ราที่ค่ อ นข้า งตํ่ า (สํา หรับ 111
  • 130.
    ชาวต่างชาตินน ทางโรงพยาบาลเก็บค่ารักษาในอัตราทีสงกว่าคนไทย โดยเฉพาะคนต่างชาติท่ี ั้ ู่ 72 ไม่ได้พานักอาศัยอยูในพืนทีเป็ นประจํา) ํ ่ ้ ่ ตารางที่ 6.7 ค่าใช้จ่ายเฉลี่ยต่อรายจาก case ที่เกิ ดขึนจริ ง ที่โรงพยาบาลกรุงเทพภูเก็ต ้ ปี 2549-2550 ประเภทของหัตถการ ประเภทของคนไข้ 2549 2550 อัตราเพิ่ ม การผ่าตัดคลอด คนไข้ไทย 47,054 46,675 -0.8% (จํานวน case) 43 104 142% คนไข้ต่างชาติ 50,266 52,397 4.2% (จํานวน case) 5 12 140% การผ่าตัดไส้ติ่ง คนไข้ไทย 62,989 80,824 28.3% (จํานวน case) 20 56 180% คนไข้ต่างชาติ 191,463 189,655 -0.9% (จํานวน case) 10 48 380% การผ่าตัดไส้เลื่อน คนไข้ไทย 106,060 71,741 -32.4% (จํานวน case) 6 9 50% คนไข้ต่างชาติ 92,842 205,352 121.2% (จํานวน case) 5 8 60% การผ่าตัดถุงนํ้าดี คนไข้ไทย 142,632 146,444 2.7% (จํานวน case) 3 5 67% คนไข้ต่างชาติ N/A 417,258 N/A (จํานวน case) N/A 3 N/A การผ่าตัดข้อเข่า คนไข้ไทย 233,979 217,533 -7.0% (จํานวน case) 2 7 250% คนไข้ต่างชาติ N/A 368,863 N/A (จํานวน case) N/A 4 N/A ทีมา: โรงพยาบาลกรุงเทพภูเก็ต ่ 72 ในบรรดาโรงพยาบาลทีคณะผูวจยได้ศกษานัน นอกจากโรงพยาบาลกรุงเทพภูเก็ตแล้ว มีโรงพยาบาลอีก ่ ้ิั ึ ้ แห่งหนึ่งทีตงในกรุงเทพมหานครทีมนโยบายเก็บค่ารักษาคนไข้ต่างชาติต่างจากคนไทย (แต่คณะผูวจยไม่ม ี ่ ั้ ่ ี ้ิั ข้อมูลรายละเอียดด้านราคาค่ารักษาพยาบาลของโรงพยาบาลดังกล่าว) 112
  • 131.
    การวิ เคราะห์ เนื่องจากอุปสรรคในด้านการหาข้อมูล ข้อมูลการทีรวบรวมมาได้ในส่วนนี้จงไม่ค่อยเป็ น ่ ึ ระบบหรือครบถ้วนตามทีคณะผูวจยวางแผนเอาไว้ตอนแรก แต่กพอจะเห็นแบบแผน (pattern) ่ ้ิั ็ ทีคล้ายกันในบางด้าน ่ สําหรับโรงพยาบาลส่วนใหญ่ในการศึกษานี้ ที่ไม่ได้มนโยบายเรียกเก็บค่าบริการใน ี อัตราทีต่างกันสําหรับชาวต่างชาติ (ยกเว้นการเก็บค่าใช้จ่ายทีเพิมขึนเนื่องจากมีบริการหรือค่า ่ ่ ่ ้ การจัดการทีเพิมขึน) และโรงพยาบาลทีไม่ได้เน้นการให้บริการชาวต่างชาตินัน ข้อมูลในระยะ ่ ่ ้ ่ ้ หลัง แสดงให้เห็นว่าค่าใช้จ่ายในด้านการรักษาพยาบาลในช่วงสองถึงสามปี ทผานมามีอตราเพิม ่ี ่ ั ่ ค่อนข้างสูง (ส่วนใหญ่อยูระหว่างร้อยละ 10-25 ต่อปี ) และข้อมูลทีพอมีอยูบางบ่งชีว่าอัตราเพิม ่ ่ ่ ้ ้ ่ ในช่วงสองสามหลังนี้สูงกว่าอัตราเพิมในช่วงก่อนหน้านัน (เช่น ระหว่างปี 2546-2548) อย่าง ่ ้ เห็นได้ชด ถึงแม้ว่าเราจะไม่มหลักฐานที่ช้ชดได้ว่าอัตราการเพิมที่สูงขึนมีส่วนที่เกิดจากการ ั ี ี ั ่ ้ ขยายตัวของบริการชาวต่างชาติ แต่กมความเป็ นไปได้มากทีราคาค่ารักษาพยาบาลที่เพิมขึน ็ ี ่ ่ ้ อย่างรวดเร็วในภาคเอกชนในระยะหลังจะมีผลต่อการเข้าถึงบริการโรงพยาบาลเอกชนของคน ไทย (โดยเฉพาะในกลุ่มชนชันกลาง) ้ กรณีโรงพยาบาลกรุงเทพภูเก็ต ซึงมีนโยบายทีชดเจนเก็บค่ารักษาชาวต่างชาติในอัตรา ่ ่ ั ทีสงกว่าคนไทย อาจถือเป็ นข้อยกเว้นทีทําให้อตราเพิมของค่ารักษาพยาบาลสําหรับคนไทยไม่ ู่ ่ ั ่ เพิมขึนสูงเท่า (หรือใกล้เคียงกับ หรือรวดเร็วเท่า) อัตราเพิมของค่ารักษาพยาบาลสําหรับชาว ่ ้ ่ ่ ั ั ต่างประเทศ ซึงปจจุบนมีระดับราคาทีคอนข้างสูง (ยกเว้นการผ่าตัดคลอด แต่คงเป็ นเพราะกรณี ่ ่ นี้สวนใหญ่เป็ นการบริการชาวต่างชาติทมถนพํานักอยูในประเทศไทย)73 ซึงถ้าเก็บค่าบริการใน ่ ่ี ี ิ่ ่ ่ อัตราดังกล่าวกับคนไทย ก็คงมีโอกาสมากที่จะส่งผลด้านลบไปถึงความสามารถในการเข้าถึง บริการของคนไทยและต่อรายได้ของโรงพยาบาลเองในที่สุด วิธเก็บค่าบริการสองราคา(และ ี พยายามดูแ ลไม่ใ ห้ค่า บริก ารที่เ ก็บ กับ คนไทยสูงจนเกิน ไป) จึง น่ า จะเป็ นวิธีท่ีมป ระสิท ธิผ ล ี สําหรับโรงพยาบาลด้วย 6.2 ผลกระทบต่อการเข้าถึงบริการที่มีคณภาพของคนไทย ุ การเป็ น medical hub มีโอกาสทีจะส่งผลกระทบต่อการเข้าถึงบริการทีมคุณภาพของ ่ ่ ี คนไทยในทังสองด้าน กล่าวคือ การปรับตัวของสถานพยาบาลของไทยเพื่อรับคนไข้ต่างชาติ ้ ย่อมทําให้สถานพยาบาลจํานวนหนึ่งพัฒนามาตรฐานไปสูระดับสากลได้มากขึน ซึงน่ าจะช่วยให้ ่ ้ ่ ้ ่ ผูปวยชาวไทยทีมกําลังทรัพย์มากพอทีจะแข่งขันกับกําลังซือจากต่างประเทศและยังสามารถไป ่ ี ่ ้ ใช้บริการจากสถานพยาบาลเหล่านันมีโอกาสได้รบบริการทีมคุณภาพมาตรฐานสูงขึน แต่ใน ้ ั ่ ี ้ ขณะเดียวกัน ถ้าการมี medical hub ทําให้ค่าใช้จ่ายในการเข้ารับบริการที่สถานพยาบาล 73 เพราะปกติจะไม่คอยมีการบินข้ามประเทศมาคลอดในประเทศอื่น และโดยหลักการแล้วสายการบินส่วน ่ ใหญ่จะไม่อนุญาตให้สตรีมครรภ์ขนเครืองบินในช่วงสามเดือนสุดท้ายของการตังครรภ์ ี ้ึ ่ ้ 113
  • 132.
    เหล่านันเพิมขึนรวดเร็วกว่าเดิม ก็อาจจะทําให้คนไทยจํานวนไม่น้อยทีเคยเข้าถึงบริการเหล่านัน ้ ่ ้ ่ ้ ไม่มกาลังทรัพย์พอทีจะใช้บริการทีสถานพยาบาลเดิมหรือในระดับเดิมได้อกต่อไป และต้องหันไป ีํ ่ ่ ี หาบริก ารที่ส ถานพยาบาลระดับ รองลงมาที่ค งมีร าคาแพงขึ้น เช่ น กัน (แต่ ย ัง ไม่ แ พงเท่ า สถานพยาบาลกลุ่มแรก) และอาจมีผลต่อกันไปเป็ นลูกโซ่ สําหรับคนไทยส่วนใหญ่ทมรายได้กระจุกกันอยู่ทดานล่าง คงต้องหันไปพึงบริการของ ่ี ี ่ี ้ ่ โครงการหลักประกันสุขภาพถ้วนหน้า (รวมทังประกันสังคม และสวัสดิการข้าราชการ) มากขึน ้ ้ และการทีแพทย์ทมทกษะสูงถูกดึงดูดไปสูภาคทีมกาลังซือสูงจากต่างประเทศมากขึนนัน ก็ยอม ่ ่ี ี ั ่ ่ ีํ ้ ้ ้ ่ ทําให้คนส่วนใหญ่ของประเทศมีโอกาสทีจะได้รบบริการทีมคุณภาพตํ่าลง (หรืออาจจะเข้าถึงยาก ่ ั ่ ี ขึนและได้รบการดูแลในเวลาทีจากัดขึน ซึงผลกระทบในส่วนนี้มโอกาสทีจะเป็ นปญหาใหญ่กว่าทีคน ้ ั ่ํ ้ ่ ี ่ ั ่ ทัวไปคิด เพราะคนไข้ต่างประเทศทีเข้ามาหนึ่งคนอาจใช้เวลาของแพทย์เป็ นสิบเท่าของเวลาที่ ่ ่ แพทย์ใช้ตรวจคนไข้ในโครงการหลักประกันสุขภาพถ้วนหน้าหรือในโครงการประกันสังคม)74 และถ้าจะรักษาคุณภาพการรักษาพยาบาลของโครงการเหล่านี้ (หรือยกระดับคุณภาพมาตรฐาน ให้ทดเทียมหรือใกล้เคียงกับสถานพยาบาลใน medical hub) ก็คงมีความจําเป็ นต้องปรับเพิม ั ่ ค่าใช้จ่ายในด้านการรักษาพยาบาล (โดยเฉพาะอย่างยิงในส่วนของค่าตอบแทนแพทย์) ของทัง ่ ้ โครงการหลักประกันสุขภาพถ้วนหน้าและโครงการประกันสังคมในอัตราทีสงขึนและเร็วขึนกว่า ่ ู ้ ้ ในกรณีทไม่มโครงการนี้เป็ นอย่างมาก ่ี ี นอกจากนี้ การขยายตัวและการยกระดับคุณภาพมาตรฐานของ medical hub ซึงย่อมมี ่ ส่ว นที่ใ ห้บ ริก ารคนไทยด้ว ยนัน ย่อ มมีโ อกาสที่จ ะเพิ่ม ความแตกต่ า งในด้า นมาตรฐานการ ้ ั ั ี รักษาพยาบาล (ซึ่งปจจุบนก็มความเป็ นทวิและพหุมาตรฐานอยู่แล้ว) ขึนไปอีก รวมทังความ ้ ้ นิ ย มในการใช้เ ทคโนโลยีแ ละยาใหม่ๆ ที่มีร าคาแพง (รวมทัง เทคโนโลยีแ ละยาที่ย ง อยู่ใ น ้ ั ขันทดลอง หรือเทคโนโลยีและยาที่ผ่านการพิสูจน์ผลในด้านการรักษามาพอสมควรแล้ว แต่มี ้ ต้นทุนทีสงเมื่อเทียบกับระดับรายได้ของคนไทย) ซึงอาจส่งผลให้เกิดแนวโน้มการเรียกร้องสิทธิ ์ ู่ ่ ในการใช้เทคโนโลยีและยาราคาแพงในโครงการหลักประกันสุขภาพถ้วนหน้ าและโครงการ ประกันสังคมเพิมขึน และส่งผลกระทบต่อค่าใช้จ่ายหรือปญหาในการบริหารจัดการโครงการ ่ ้ ั เหล่านี้ตามมา อย่างไรก็ตาม การวัดประโยชน์ทคนไทยจะได้รบจากการปรับตัวและปรับมาตรฐานของ ่ี ั สถานพยาบาลต่างๆ ทําได้ค่อนข้างยาก (และการวัดเฉพาะประโยชน์ เฉพาะจากผู้ท่ได้รบ ี ั ประโยชน์ โดยไม่ได้วดความสูญเสียของผูท่ถูกผลักดันออกไปจากสถานพยาบาลที่เขาเคยใช้ ั ้ ี ด้วยอุปสรรคด้านการเงิน ก็คงจะไม่ใช่วธวดทีดนัก) ในขณะเดียวกัน การวัดผลกระทบของการมี ิีั ่ ี โครงการ medical hub ทีมต่อคุณภาพและการเข้าถึงในส่วนของโครงการหลักประกันสุขภาพ ่ ี 74 เป็ นไปได้วา ในสภาวะการณ์ทเี่ ปลียนแปลงไปนี้ จะก่อให้เกิดการ “ปฏิรป” และเปลียนแปลงกระบวนทัศน์ ่ ่ ู ่ ่ี ่ เช่น คนไข้ทมาโรงพยาบาลโดยไม่ได้ปวยหนักอาจจะได้พบพยาบาลเวชปฏิบตแทนการพบแพทย์ หรืออาจมี ั ิ การหันมาใช้ระบบนัดตรวจล่วงหน้า หรือการใช้การปรึกษาทางโทรศัพท์มากขึน ฯลฯ การปฏิรปเหล่านี้คงมี ้ ู ส่วนช่วยลดต้นทุนและทําให้ cost effective มากขึน แต่กมโอกาสทีตองเสียสละ “คุณภาพ” ลงบางส่วนเช่นกัน ้ ็ ี ่ ้ 114
  • 133.
    ถ้วนหน้า (รวมประกันสังคม) ในช่วงนี้กทาได้ยากเช่นกัน75เพราะในช่วงระยะเวลาเดียวกับทีมการ ็ ํ ่ ี ขยายตัวของ medical hub เกิดขึนในช่วงเดียวกันกับทีมการปฏิรปด้านหลักประกันสุขภาพต่างๆ ้ ่ ี ู ในแทบทุกโครงการ ตัวอย่างเช่น การมีโครงการหลักประกันสุขภาพถ้วนหน้าซึ่งน่ าจะทําให้การ เข้าถึงบริการของคนไทยจํานวนหนึ่งดีขน (อย่างน้อยก็ในระยะสัน) ้ึ ้ ่ ั ประเด็น ทีน่ า จะเป็ น ป ญ หามากกว่า คือ แนวโน้ม ทีแ พทย์ผูเ ชีย วชาญทีเ่ ป็ น กํา ลัง ่ ้ ่ สําคัญทังในด้านการเรียนการสอนและการบริหาร (รวมทังการให้บริการเฉพาะทางสําหรับ ้ ้ case การเจ็บป่วยทีมความซับซ้อนหรือโรคทีพบได้น้อย (rare disease) ทีต้องอาศัยความ ่ี ่ ่ เชีย วชาญและประสบการณ์ใ นการวินิจ ฉัย และรัก ษา) ในโรงเรีย นแพทย์แ ละโรงพยาบาล ่ ตติย ภูมข องภาครัฐ ถูกดึงตัวออกมาจากภาครัฐ เนื องจากการขยายตัว ของภาคเอกชนเพือ ิ ่ ่ ดึงดูดหรือรองรับ คนไข้ต่างชาติ (เช่น ด้ว ยการแข่งขันกันสร้างศูนย์เ ชีย วชาญในด้านต่า งๆ ่ ในโรงพยาบาลเอกขน เพือเป็ นจุดขายให้กบคนไข้ต่างชาติ) แพทย์และพยาบาลที มีความ ่ ั ่ เชี ยวชาญเฉพาะทางถูกดึงตัวจากภาครัฐ โดยเสนอค่าตอบแทนที สูงกว่าที ได้รบจาก ่ ่ ่ ั ภาครัฐ หลายเท่ า ตัว (และมีก ารดึง ต่ อ กัน เป็ นทอดๆ) จนอาจทํา ให้ ศ ก ยภาพและ ั ความสามารถของระบบบริ การ (และการเรียนการสอนนักศึกษาแพทย์) ของภาครัฐ ด้อยหรือเสื อมลงไป ก่อให้ เกิ ดปั ญหาความเสื อมถอยในระบบของรัฐในระยะยาว จน ่ ่ อาจทํา ให้สถานพยาบาลของรัฐ (ทีย งคงเป็ นทีพึงของคนส่ว นใหญ่ข องประเทศ) กลายเป็ น ่ั ่ ่ สถานพยาบาลชันสองทีรกษาได้แต่โรคพื้นๆ ในทีสุด76 ้ ่ั ่ ั อย่างไรก็ตาม ด้วยปญหาข้อจํากัดต่างๆ ทีกล่าวมาข้างต้น การศึกษาในส่วนนี้จงใช้วธี ่ ึ ิ การศึกษาในเชิงคุณภาพ โดยพยายามประมวลให้เห็นภาพความเปลียนแปลงในด้านบุคลากรในส่วน ่ ของแพทย์ผู้เชี่ยวชาญในโรงเรียนแพทย์และสถานพยาบาลตติยภู มิเฉพาะทางของรัฐ โดย สัมภาษณ์ผูบริหารโรงเรียนแพทย์ (เช่น โรงพยาบาลศิรราช และโรงพยาบาลรามาธิบดี) และใน ้ ิ โรงพยาบาลตติยภูมเฉพาะทางของรัฐ (สถาบันโรคทรวงอก) ซึงการศึกษาส่วนนี้จะช่วยเสริมผล ิ ่ การศึกษาในตอนที่ 5 (ทีเป็ นการศึกษาเรื่องบุคลากรในเชิงปริมาณ) อีกทางหนึ่ง ผลการศึกษาใน ่ สองส่วนนี้ ประกอบกับผลกระทบในด้านราคา (จากหัวข้อ 6.1) และผลต่อเศรษฐกิจของ ประเทศ (จากการศึกษาในตอนที่ 4) จะช่วยให้เห็นภาพรวมของผลกระทบของโครงการ medical hub ทังทีได้ดาเนินการจนประสบความสําเร็จพอสมควรในปจจุบนแล้ว กับแนวโน้มใน ้ ่ ํ ั ั 75 ้ ่ ในส่วนของโครงการประกันสังคมนัน พบว่ามีโรงพยาบาลบางแห่งในภาคตะวันออกหยุดรับผูปวยประกันสังคม ้ ้ ่ ่่ ้ ่ ่ ี ซึงน่าจะเกิดจากทางโรงพยาบาลเห็นว่าจากการหันไปรักษาผูปวยทีจายเงิน (และผูปวยทีมประกันสุขภาพเอกชน) ่ จะทํากําไรได้มากกว่า ซึงอาจเป็ นเพราะค่ารักษาพยาบาลทีสงขึนในระยะหลัง ่ ่ ู ้ 76 หรือแม้กระทังสถานพยาบาลของรัฐบางแห่ง (เช่นโรงพยาบาลศิรราช) จะมีแนวคิดทีจะรักษาบุคลากรเอาไว้ ่ ิ ่ ตามแนวทางทีได้กล่าวไว้ในตอนที่ 2 (และมีมติ ครม. ทีให้โรงพยาบาลศิรราชดําเนินการดังกล่าวด้วย) ก็ยงมี ่ ่ ิ ั ผูท่ตงข้อกังขาว่า ถ้าทําได้สําเร็จตามเป้าหมายแล้ว จะมีผลทําให้โอกาสการเข้าถึงทรัพยากรของภาครัฐใน ้ ี ั้ ส่วนนี้เพิมขึน (เนื่ องจากทําให้ศรราชมีกําลังทรัพย์ในการลงทุนมากขึน) หรือลดลง (ยกเว้นกลุ่มผู้มฐานะดี ่ ้ ิิ ้ ี จริงๆ เพราะราคาค่ารักษาพยาบาลในบริการเหล่านี้จะแพงขึนตามไปด้วย) ้ 115
  • 134.
    อนาคต เพื่อจะเป็ นข้อมูลพื้นฐานให้ฝ่ายต่างๆได้พจารณาต่อไปว่าการที่จะทําให้เกิด (หรือ ิ รักษา) สมดุลระหว่างผลกระทบในด้านต่างๆ ของการมี medical hub ทีผ่านมา (และ/หรือที่ ่ กําลังจะเกิดขึนในอนาคตอันใกล้) นัน ควรต้องมีการปรับเปลี่ยนนโยบายหรือมาตรการต่างๆ ้ ้ หรือไม่เพียงใด การปรับตัวเพือรักษาคุณภาพบุคลากรของสถานพยาบาลภาครัฐ ่ การขยายตัวของธุรกิจโรงพยาบาลเอกชนที่เกิดขึนอย่างรวดเร็วในช่วงประมาณสอง ้ ทศวรรษทีผานมาส่วนหนึ่งได้รบอานิสงส์จากการผลิตบุคลากรในภาครัฐ (ตัวอย่างเช่น แพทย์ท่ี ่ ่ ั ผ่า นการใช้ทุ น และกลับ มาเรีย นต่ อ เฉพาะทางจํา นวนไม่น้อ ย ย้า ยไปทํา งานในภาคเอกชน หลังจากใช้ทุนครบ หรือจ่ายค่าชดเชยให้ภาครัฐ) และจากการ “ยืนสองขา” ของแพทย์ในระบบ โรงพยาบาลรัฐ และอาจารย์แพทย์จากโรงเรียนแพทย์โดยส่วนใหญ่ ทีจะแบ่งเวลาส่วนหนึ่งไป ่ ทํางานให้โรงพยาบาลเอกชน อย่างไรก็ตาม เมือโรงพยาบาลเอกชนขยายตัวอย่างรวดเร็วมากขึน (ซึงส่วนหนึ่งคงเป็ น ่ ้ ่ ผลของการขยายตัวของ medical tourism ในประเทศไทย) ก็ทําให้เกิดแรงดึงดูดแพทย์จาก ภาครัฐและอาจารย์แพทย์ทรุนแรงขึน เนื่องจากสถานพยาบาลของเอกชนต่างก็แข่งขันกันด้วย ่ี ้ การเปิ ดศูนย์แพทย์เฉพาะทาง ซึงต้องการแพทย์ผเชียวชาญมาประจํา (แทนทีจะเป็ นแบบ part ่ ู้ ่ ่ 77 time หรือ consultant แบบเดิม) โรงเรียนแพทย์หลายแห่งสูญเสียอาจารย์แพทย์เป็ นจํานวน มาก (และในหลายกรณีกมการดึงไปทังทีม) ็ ี ้ ้ ั ในอดีตนัน โรงเรียนแพทย์เคยพยายามแก้ปญหาทีอาจารย์แพทย์ตองออกไปหารายได้ ่ ้ ข้างนอกโดยการเปิ ดคลินิกพิเศษนอกเวลา (และในระยะหลังโรงพยาบาลจุฬาฯ ได้ขยายออกไป รองรับผูป่วยในตามโครงการผ่าตัดนอกเวลาด้วย) แต่ผบริหารโรงเรียนแพทย์บางท่านก็เห็นว่า ้ ู้ มาตรการเหล่านันไม่เพียงพอ และหันมาพัฒนาโรงพยาบาลของตนให้มความทันสมัยในด้าน ้ ี ภูมทศน์ และความสะดวกสบายให้เทียบเท่าโรงพยาบาลเอกชนชันนํ า ตัวอย่างเช่น โรงเรียน ิ ั ้ แพทย์ของรัฐทีมช่อเสียงมากทีสุดแห่งหนึ่งคือโรงพยาบาลศิรราช ได้มการปรับตัวให้มความทันสมัย ่ ี ื ่ ิ ี ี ขึน และมีการพัฒนาศูนย์รกษาโรคเฉพาะทาง เช่น ศูนย์หวใจ และศูนย์มะเร็ง โดยในส่วนของศูนย์ ้ ั ั หัวใจนัน ตังแต่ช่วงปลายปี 2549 ศิรราชได้เปิ ดศูนย์ทมช่อเฉพาะเป็ นภาษาอังกฤษว่า “The Heart ้ ้ ิ ่ี ี ื by Siriraj” เป็ นองค์กรอิสระภายใต้กากับของคณะแพทยศาสตร์ศรราชฯ ซึงในทางปฏิบตเป็ น ํ ิิ ่ ั ิ เสมือนโรงพยาบาลเอกชนในโรงพยาบาลรัฐ (ดูรายละเอียดเพิมเติมในกรอบที่ 6.1) และยังมี ่ แผนทีจะทําศูนย์ Excellent Center/Medical Research Building ทีเป็ น One-stop service ่ ่ ประมาณ 300 เตียง (ในพืนทีทเคยเป็ นสถานีรถไฟธนบุร)ี สําหรับให้บริการทางการแพทย์โดย ้ ่ ่ี 77 ั ั จริงอยู่ ในปจจุบน โรงพยาบาลเอกชนขนาดใหญ่หลายแห่งก็ยงอาศัยแพทย์ผูเชียวชาญมาเป็ น part time ั ้ ่ หรือ consultant อยูเป็ นจํานวนมาก โดยในหลายโรงพยาบาล แพทย์กลุ่มนี้กยงมีจานวนมากกว่าแพทย์ทเป็ น ่ ็ ั ํ ่ี full time (ถึงแม้วาการเปรียบเทียบทีเหมาะสมกว่าควรเทียบเป็ น full time equivalence หรือ FTE มากกว่าที่ ่ ่ จะเทียบเป็ นจํานวนคน) 116
  • 135.
    เน้นกลุ่มผูมรายได้สูง โดยตังเป้าที่จะเก็บค่ารักษาพยาบาลที่ประมาณร้อยละ 80ของ ้ ี ้ โรงพยาบาลเอกชน (ในทํานองเดียวกันกับ “The Heart”) และจ่ายค่าตอบแทนให้แพทย์ทรกษา ่ี ั ประมาณร้อยละ 60-70 ของแพทย์ทไปทําโรงพยาบาลเอกชน ซึงเมื่อประกอบกับการปรับปรุง ่ี ่ สถานพยาบาลและซื้ออุปกรณ์ทางการแพทย์ท่ทนสมัย (โดยส่วนหนึ่งมาจากผลกําไรที่ได้จาก ี ั คนไข้กลุ่มที่มฐานะดีเหล่านี้ โดยไม่ต้องไปพึ่งการของบประมาณจากภาครัฐที่มกต้องรอการ ี ั อนุ มตเป็ นระยะเวลานาน) และความร่วมมือกับต่างประเทศทีมบทบาทในด้านการพัฒนาความรู้ ั ิ ่ ี และศักยภาพของอาจารย์แพทย์ในประเทศไทยแล้ว ศ.นพ.ปิ ยะสกล สกลสัตยาทร อธิการบดี มหาวิทยาลัยมหิดล ซึ่งเป็ นอดีตคณบดีและผู้บริหารโรงพยาบาลศิรราชที่รเริมโครงการเหล่านี้ ิ ิ ่ ั ั ั (และปจจุบนก็ยงคงมีสวนกํากับดูแลโรงพยาบาลศิรราชในฐานะผูบริหารมหาวิทยาลัยมหิดล) เชื่อ ่ ิ ้ ว่าจะเป็ นแนวทางทีช่วยให้โรงเรียนแพทย์สามารถรักษาอาจารย์แพทย์เอาไว้ (หรือลดการสูญเสีย ่ ให้น้อยลงอย่างมีนยสําคัญ) ั กรอบที่ 6.1 “The Heart by Siriraj”: โรงพยาบาลเอกชนในโรงพยาบาลรัฐ? ศูนย์ตรวจรักษาโรคหัวใจแห่งใหม่ของศิรราช ทีมช่อว่า The Heart by Siriraj เริมเปิ ด ิ ่ ี ื ่ ดํา เนิ น การในเดือ นตุ ล าคม 2549 ตัง อยู่บ นชัน 4 ้ ้ ของอาคารศู น ย์โ รคหัว ใจสมเด็จ พระบรมราชินีนาถ ของโรงพยาบาลศิรราช (โดยมีลฟต์ทแยกออกมาต่างหาก) The Heart อยู่ ิ ิ ่ี ภายใต้กองทุนพัฒนาระบบงานหัวใจและหลอดเลือด ซึงเป็ นองค์กรอิสระภายใต้กํากับของคณะ ่ แพทยศาสตร์ศรราชพยาบาล ในทางปฏิบติ The Heart เป็ นเสมือนโรงพยาบาลเอกชนเฉพาะ ิิ ั ทางขนาดเล็ก ที่ร ัก ษาเฉพาะโรคทางหัว ใจ โดยให้บ ริก ารเกือ บเบ็ด เสร็จ ในตัว เอง ตัง แต่ ้ ้ ่ ลงทะเบียน OPD ตรวจโรค ไปจนถึงการรับผูปวยใน ซึงมีทงห้องพักผูปวยวิกฤติและกึงวิกฤติ ่ ั้ ้ ่ ่ รวม 20 ห้อง (ยกเว้นระบบรถพยาบาลซึงยังใช้ของโรงพยาบาลศิรราช และระบบเวชระเบียน ่ ิ ซึงยังเชื่อมต่อกับของโรงพยาบาลศิรราช) ทังนี้ทางกองทุนฯ ได้ลงทุนประมาณ 60 ล้านบาท ่ ิ ้ สําหรับการตกแต่งศูนย์โรคหัวใจแห่งนี้ จนมีรูปลักษณ์ท่คล้ายกับโรงพยาบาลเอกชนชันนํ าใน ี ้ กรุงเทพมหานคร ความแตกต่างทีสําคัญประการหนึ่งของ The Heart กับศูนย์โรคหัวใจทัวไปของ ่ ่ โรงพยาบาลศิรราชก็คอ ในขณะทีคนไข้ทวไปของโรงพยาบาลศิรราช (รวมทังคลินิกพิเศษนอก ิ ื ่ ั่ ิ ้ เวลาราชการ) จะประกอบไปด้วยผูป่วยทัวไปและข้าราชการ กลุ่มเป้าหมายของ The Heart ้ ่ เป็ นผูป่วยกลุ่มผูมรายได้สูง และคนไข้โรคหัวใจของโรงพยาบาลเอกชน (คนไข้ไม่สามารถใช้ ้ ้ ี สิทธิขาราชการเข้ารับบริการเหมือนกับในกรณีคลินิกนอกเวลา ซึงข้าราชการสามารถใช้สทธิ ์ได้ ้ ่ ิ ถึงแม้วาอาจมีค่าใช้จ่ายบางส่วนทีไม่สามารถเบิกจ่ายกับต้นสังกัดได้ แต่ในกรณีของ The Heart ่ ่ คนไข้ตองจ่ายค่าใช้จ่ายเองทังหมด ยกเว้นในกรณีพนักงานรัฐวิสาหกิจบางแห่ง เช่น ปตท. และ ้ ้ TOT ทีมสวัสดิการทีครอบคลุม หรือในกรณีทมประกันสุขภาพของเอกชน) ่ ี ่ ่ี ี 117
  • 136.
    ในด้านราคาค่าบริการด้านการรักษาพยาบาลนัน ทางผูบริหารกําหนดเป็ นแนวทางว่า ้ ้ อยูทประมาณร้อยละ 80 ของโรงพยาบาลเอกชนชันนํา (จากการสอบถามเจ้าหน้าทีทรบผูปวย ่ ่ี ้ ่ ่ี ั ้ ่ ระบุวาใช้อตราทีใกล้เคียงกับโรงพยาบาลเอกชน) ่ ั ่ สําหรับคนไข้ทเป็ นชาวต่างชาตินน จะคิดค่าบริการทังหมดเพิมขึนอีกร้อยละ 25 (หรือ ่ี ั้ ้ ่ ้ อีกนัยหนึ่งคือเป็ นอัตราทีใกล้เคียงกับในโรงพยาบาลเอกชนชันนําในกรุงเทพมหานคร) ปจจุบน ่ ้ ั ั ค่าห้องรวมค่าอาหารและค่าบริการพยาบาลและแพทย์เวรอยูทคนละ 6,450-8,450 บาท สําหรับ ่ ่ี ื ห้องกึงวิกฤติ (ซึงเป็ นห้องพืนฐาน) และคืนละ 10,550-12,550 บาท สําหรับห้องวิกฤติ (CCU) ่ ่ ้ นอกจาก "The Heart" จะมีบริการทีเทียบเท่ากับเอกชน เช่น การให้สทธิผปวยเลือก ่ ิ ู้ ่ แพทย์เจ้าของไข้ได้ มีบริการที่จอดรถโดยเฉพาะ ฯลฯ แล้ว ยังมีบริการที่อาจจะมากกว่า โรงพยาบาลเอกชนชันนําบางแห่ง เช่น มีแพทย์ผเชียวชาญตรวจคนไข้นอกถึง 20 นาฬิกา และ ้ ู้ อนุ ญาตให้ญาติผปวยหนักนอนเฝ้าคนไข้ในห้อง CCU ได้ดวย (ซึงแม้แต่ในโรงพยาบาลเอกชน ู้ ่ ้ ่ ส่วนใหญ่กไม่ได้อนุ ญาตให้ญาติผปวยหนักนอนเฝ้า สําหรับผูป่วยอื่นๆ ทีไม่มญาติมานอนเฝ้า ็ ู้ ่ ้ ่ ี ก็จะต้องจ้างพยาบาลพิเศษในอัตราเดียวกับของศิรราชคือ 1,500 บาทต่อ 12 ชัวโมง) ิ ่ จากการทีคณะผูวจยเข้าเยียมชมเว็บไซต์ http://www.theheartbysiriraj.com/story.html ่ ้ิั ่ ส่วนทีเป็ นภาษาอังกฤษ พบว่าเป็ นเว็บไซต์ทมขอมูลในภาษาอังกฤษค่อนข้างละเอียด (อาจจะ ่ ่ี ี ้ มากกว่าโรงพยาบาลเอกชนชันนํ าบางแห่งเสียด้วยซํ้า) อย่างไรก็ตาม ดูเหมือนว่าในปจจุบน ้ ั ั "The Heart" จะยังไม่ได้เน้นทีการดึงคนไข้จากต่างประเทศมากนัก โดยจะเห็นได้จากเบอร์ ่ โทรศัพท์ในทัง brochure และในเว็บไซต์ภาษาอังกฤษก็ยงไม่มรหัสประเทศ หรือเอกสารและ ้ ั ี แผ่น ปลิว ต่ า งๆ ที่ว างอยู่ท่ีจุ ด ลงทะเบีย นและแผนกผู้ป่ ว ยนอกบางอัน ก็ย ง ไม่ มีฉ บับ ที่เ ป็ น ั ภาษาต่างประเทศเหมือนดังเช่นในโรงพยาบาลเอกชนชันนํ าบางแห่งที่เน้นการดึงลูกค้าจาก ้ ต่างประเทศ 118
  • 137.
  • 138.
    ศ.นพ.ปิ ยะสกล ยังให้ความเห็นด้วยว่ าโรงเรียนแพทย์ช ันนํ าอื่นๆ (ทังโรงพยาบาล ้ ้ รามาธิบดีซ่งอยู่ในสังกัดของมหาวิทยาลัยมหิดล และโรงพยาบาลจุฬาฯ) ก็คงจะมีการปรับตัวใน ึ ทิศทางเดียวกับโรงพยาบาลศิรราช ซึงในส่วนของโรงพยาบาลรามาธิบดีกาลังมีการระดมทุนขอรับ ิ ่ ํ บริจาคเพื่อสร้างตึกใหม่ (คือตึก “สมเด็จพระเทพรัตน์” ในพืนทีทได้มาจากศูนย์เด็กอ่อนพญาไท) ้ ่ ่ี ซึ่งเป็ นที่กล่าวขวัญกันในโรงพยาบาลว่าจะเป็ นตึกที่รองรับผูป่วยจ่ายเงินเองเป็ นหลักในทํานอง ้ เดียวกันกับโครงการของศิรราช และโรงพยาบาลจุฬาฯ ทีนอกจากจะมีโครงการผ่าตัดนอกเวลา ิ ่ (ซึงเป็ นการขยายบริการแบบคลินิกพิเศษนอกเวลาราชการของโรงพยาบาลไปสูบริการผูปวยใน ่ ่ ้ ่ ซึงจะทําให้อาจารย์แพทย์มรายได้เพิมขึนจากการทํางานนอกเวลาทีโรงพยาบาลจุฬาฯ เองโดย ่ ี ่ ้ ่ ไม่จําเป็ นต้องเดินทางไปทําที่โรงพยาบาลเอกชน) แล้ว ยังได้ดําเนินการสร้างศูนย์เชี่ยวชาญ เฉพาะทางต่างๆ เช่นเดียวกัน รวมทังศูนย์ทมความร่วมมือกับต่างประเทศ เช่น ศูนย์การเรียน ้ ่ี ี แพทย์ทางไกลทีจะมีการสาธิตเทคนิคการผ่าตัดช่องท้องโดยใช้หุนยนต์ในการผ่าตัด แต่ควบคุม ่ ่ โดยแพทย์ทอยูทประเทศญีปน เป็ นต้น ่ี ่ ่ี ่ ุ่ แม้ว่าในขณะนี้จะเร็วเกินไปที่จะบอกได้ว่า แนวทางที่โรงเรียนแพทย์ชนนํ าของประเทศ ั้ ไทยกําลังดําเนินการอยูน้ีจะประสบความสําเร็จในการรักษาอาจารย์แพทย์ผเชียวชาญไม่ให้ถูกดึง ่ ู้ ่ ตัวออกไปอยู่ภาคเอกชน (อันจะเป็ นการสร้างป ญหาทังคุ ณภาพการเรียนการสอนและการ ั ้ ให้บริการประชาชนของโรงเรียนแพทย์เหล่านี้) แต่ผบริหารทีรเิ ริมโครงการนี้ทโรงพยาบาลศิรราช ู้ ่ ่ ่ี ิ ก็มองว่าการปรับตัวนี้เป็ นมาตรการทีทางโรงพยาบาลจําเป็ นต้องทําเพื่อ “ความอยู่รอด” (หรืออีก ่ นัยหนึ่ง ถ้าไม่มการปรับตัวในลักษณะนี้โรงเรียนแพทย์ชนนํ าจะสูญเสียกําลังทีสําคัญเป็ นจํานวน ี ั้ ่ มาก) และเชื่อว่าทีผานมา (เช่น กรณีของ “The Heart by Siriraj”) ก็มสวนช่วยรักษาอาจารย์ ่ ่ ี่ เอาไว้ได้หลายท่าน แต่บางฝ่ายก็มคําถามตามมาว่า ถึงแม้การสร้าง “หนึ่ งโรงพยาบาล สอง ี ระบบ” (หรือโรงพยาบาลเอกชนในโรงพยาบาลรัฐ) อาจจะช่วยรักษาอาจารย์แพทย์ผเชียวชาญ ู้ ่ ไว้ได้จริง แต่ประชาชนทัวๆ ไป (หรือแม้กระทังข้าราชการทัวไป) ทีมารับการรักษาในโรงเรียน ่ ่ ่ ่ แพทย์เหล่านี้คงแทบจะไม่มโอกาสเข้าถึงบริการโดยอาจารย์แพทย์ผเชียวชาญเหล่านัน ยกเว้น ี ู้ ่ ้ ประชาชนกลุ่มทีมกําลังซือสูงเท่านัน ดังนัน วิธน้ีจงไม่ได้เป็ นการแก้ปญหาการเข้าถึงบริการทีมี ่ ี ้ ้ ้ ี ึ ั ่ คุณภาพของประชาชนทีตรงจุด ่ อย่างไรก็ตาม ถ้าพิจารณาจากมุมมองของโรงเรียนแพทย์เองแล้ว บทบาททีสาคัญทีสุด ่ ํ ่ ของโรงเรียนแพทย์น่าจะอยูทการเรียนการสอน การวิจย และการฝึ กอบรม มากกว่าการให้บริการ ่ ่ี ั (ซึ่งกลับกลายมาเป็ นสิงบทบาทที่ถูกคาดหวังมากที่สุดจากสาธารณชน) ดังนัน ในสภาวการณ์ ่ ้ ั ั ปจจุบนที่แพทย์ในภาคเอกชนมีบทบาทในด้านการสอนในโรงเรียนแพทย์น้อยมาก การรักษา อาจารย์แพทย์ผเชียวชาญให้คงอยู่และยังคงสอนอยู่ทโรงเรียนแพทย์ได้ในสภาวการณ์ทมแรงดึง ู้ ่ ่ี ่ี ี จากข้างนอกทีรนแรงเช่นนี้ ก็น่าจะถือว่าบรรลุวตถุประสงค์หลักทีจะรักษาคุณภาพของสถาบันผลิต ุ่ ั ่ แพทย์ไม่ให้เสื่อมถอยลงไป และยังคงรักษา (หรือสร้าง) โอกาสที่จะพัฒนาคุณภาพทางวิชาการ ต่อไปในอนาคต ถึงแม้ว่าวิธีน้ีอาจจะไม่ได้ช่วยลดหรือแก้ปญหาในด้านความเท่าเทียมในการ ั เข้าถึงบริการลงได้กตาม ็ และในระยะยาวนัน ถ้าการผลิตแพทย์เพิมยังมีผลตอบแทนทาง ้ ่ 120
  • 139.
    เศรษฐกิจและสังคมทีสงสําหรับประเทศ ก็ควรมีการลงทุนด้านนี้เพิมขึน (รวมทังดึงรายได้สวนหนึ่ง ู่ ่ ้ ้ ่ จากการบริการคนไข้ต่างชาติ) เข้ามาอุดหนุ นโรงเรียนแพทย์และอาจารย์แพทย์ให้มสถานะความ ี เป็ นอยูทดอย่างถ้วนทัวโดยโรงเรียนแพทย์ไม่จาเป็ นต้องผันตัวเองมาพัฒนาเป็ น “หนึ่งโรงพยาบาล ่ ่ี ี ่ ํ สองระบบ” ทีมความลักลันอีกต่อไป ่ ี ่ เอกสารอ้างอิ ง จิรตม์ ศรีรตนบัลล์. 2549. “สมดุลของนโยบายการสร้างหลักประกันสุขภาพถ้วนหน้าและการ ุ ั เป็ นศูนย์กลางธุรกิจการรักษาพยาบาลของเอเชียบนฐานคิดเศรษฐกิจพอเพียง.” (ฉบับ ร่าง ตุลาคม). อดิศร ภัทราดูลย์. 2548. “ผลกระทบนโยบาย Medical Hub of Asia ต่อระบบสาธารณสุขไทย”. มติ ชน. (16 กรกฎาคม 2548). ____________. 2548ข. “ผลกระทบนโยบาย Medical Hub of Asia ต่อระบบสาธารณสุข ไทย”. วงการแพทย์ ปี ท่ี 7, ฉ. 206 (กันยายน 2548), หน้า 14-15 “คณบดีแพทย์จุฬาฯ คนใหม่ ลันอีก4ปี คณะแพทย์จุฬาฯ เป็ นหนึ่งในอาเซียน”. กรุงเทพธุรกิ จ. ่ (28 กุมภาพันธ์ 2551). http://www.bangkokbiznews.com/2008/02/28/WW17_1701_news.php?newsid= 234301 “จุฬาฯ-ศิรราชผนึกพลังชีนําแก้ปมสังคม”. ไทยรัฐ. 2551 (16 ก.พ.). ิ ้ http://www.thairath.co.th/news.php?section=education&content=79086 “สังหุนยนต์ผาตัดทางไกลจุฬาฯเล็งใช้สอนนิสตแพทย์แทนส่งไปนอก”. คม ชัด ลึก. 2551. ่ ่ ่ ิ “ ‘ศิรราช’ ยุคใหม่ก่อนไทยเป็ นฮับ ร.พ. รัฐสร้างคน เอกชนสร้างตลาด ”. ประชาชาติ ธรกิ จ. ิ ุ (29 เมษายน -2 พฤษภาคม 2547). 121
  • 140.
  • 141.
    7. บทสรุป แนวทางการพัฒนาและข้อเสนอแนะ 7.1 บทสรุป ไม่ว่าเราจะชอบหรือไม่ และไม่ว่าการทีมคนไข้ต่างชาติมารับการรักษาในประเทศไทย ่ ี จะก่อให้เกิดผลกระทบทังด้านบวกหรือลบมากเพียงใด แต่ถาไม่มการเปลียนแปลงอย่างขนาน ้ ้ ี ่ ใหญ่ ใ นด้ า นโครงสร้ า งเศรษฐกิ จ การเมื อ งที่ รุ น แรงมากพอที่ จ ะส่ ง ผลต่ อ นโยบายด้ า น ความสัมพันธ์ระหว่างประเทศ ประเทศไทยก็คงจะเดินไปข้างหน้าตามกระแสโลกาภิวฒน์ต่อไป ั ในสภาวการณ์ เ ช่ น นี้ ถึง แม้ว่ า จะไม่ มีค นไข้ต่ า งชาติท่ีเ ดิน ทางเข้า มาด้ว ยวัต ถุ ป ระสงค์ ท่ี เฉพาะเจาะจงเพื่อเข้ามารับการรักษาพยาบาลในประเทศไทยตาม medical tourism เลยแม้แต่ ั ั คนเดียว ในปจจุบนเราก็ยงมีชาวต่างชาติท่พํานักในประเทศไทยและประเทศเพื่อนบ้านและ ั ี นัก ท่อ งเที่ย วที่เ ดิน ทางมาท่ อ งเที่ย วในประเทศไทยและประเทศแถบนี้ ซึ่ง เมื่อ เจ็บ ป่ว ยก็มี แนวโน้มทีจะต้องมารับการรักษาในประเทศไทยปี ละถึงประมาณหนึ่งล้านครัง ซึงคนเหล่านี้โดย ่ ้ ่ 78 ส่วนใหญ่เป็ นกลุ่มทีมกาลังซือทีสงกว่าคนไทยทัวไปมาก และนอกเหนือจากคนกลุ่มนี้แล้ว เรา ่ ีํ ้ ู่ ่ ก็ยงมีคนไทยกลุ่มที่มกําลังซื้อที่สูงอีกจํานวนหลายล้านคน ซึ่งสามารถ (และต้องการ) มารับ ั ี บริการในสถานพยาบาลทีตนสะดวกสบายและสามารถเลือกรับบริการจากแพทย์ทมช่อเสียงได้ ่ ่ี ี ื ดังนัน การก่อเกิดและพัฒนาการของสถานพยาบาลในการมารองรับหรือดึงดูดคนเหล่านี้จงเป็ น ้ ึ สิงทีตามมาอย่างหลีกเลียงไม่ได้ ่ ่ ่ แต่ด้วยทรัพยากรที่มอยู่จํากัด การที่มคนไข้ต่างชาติเข้ามารับการรักษาพยาบาลใน ี ี ประเทศไทยเพิมขึน (หรืออีกนัยหนึ่ง “ความสําเร็จ” ของ medical hub ของไทย) ย่อมส่งผล ่ ้ กระทบต่ อคนไทยอย่างหลีกเลี่ยงไม่ได้ ซึ่งผลกระทบมีทงด้านบวก (เช่น ต่อเศรษฐกิจของ ั้ ประเทศ ต่อรายได้ของแพทย์ บุคลากรด้านสาธารณสุข รวมถึงธุรกิจและผูทประกอบอาชีพอื่นที่ ้ ่ี เกียวข้อง และอาจรวมถึงทําให้มการพัฒนามาตรฐานด้านการรักษาพยาบาลทีสงขึน) และด้าน ่ ี ่ ู ้ ลบ (เช่น ทํา ให้ท รัพ ยากรด้า นบุ ค ลากรทางการแพทย์มีค วามขาดแคลนมากขึ้น ราคาและ ค่าใช้จายในด้านการรักษาพยาบาลของคนไทยเพิมเร็วขึน และอาจเข้าถึงบริการและบุคลากรทีมี ่ ่ ้ ่ คุณภาพได้ยากขึน) ้ พัฒนาการของ medical hub/tourism ในประเทศไทย แม้ว่าโรงพยาบาลเอกชนหลายแห่งของไทย (โดยเฉพาะอย่างยิงโรงพยาบาลทีอยู่ใกล้ ่ ่ ย่านธุรกิจของประเทศ เช่น โรงพยาบาล BNH โรงพยาบาลบํารุงราษฎร์ โรงพยาบาลสมิตเวช ิ และโรงพยาบาลกรุงเทพ) จะมีแนวโน้มการให้บริการคนไข้ชาวต่างชาติเพิมขึนมาเป็ นลําดับ ซึง ่ ้ ่ เป็ นผลจากกระแสโลกาภิวตน์ททาให้มชาวต่างชาติทมาทํางาน พํานัก และท่องเทียวในประเทศ ั ่ี ํ ี ่ี ่ 78 ทังนี้ยงไม่รวมกลุมทีถกเรียกขานว่าเป็ น “แรงงานต่างชาติ” รวมทังกลุ่มทีเข้าเมืองโดยผิดกฎหมายอีก ้ ั ่ ่ ู ้ ่ จํานวนหลายแสนหรืออาจเป็ นล้านคน 123
  • 142.
    ไทยเพิมขึนเรื่อยๆ แต่จุดเปลียนทีสาคัญทีก่อให้เกิด medicaltourism (ในความหมายทีมการ ่ ้ ่ ่ํ ่ ่ ี เดินทางมาเพื่อรับบริการด้านรักษาพยาบาลของไทย) ไม่ได้เป็ นแผนทีโรงพยาบาลเหล่านี้มมา ่ ี ้ ั ตังแต่แรก หากเกิดจากปญหาทีโรงพยาบาลเหล่านี้ประสบอันสืบเนื่องมาจากวิกฤติเศรษฐกิจใน ่ ปี 2540 อย่างไรก็ตาม การทีประเทศไทยมีขอได้เปรียบในด้านการท่องเทียวและการบริการอยู่ ่ ้ ่ แล้ว และประสบการณ์ของโรงพยาบาลหลายแห่งในการให้บริการชาวต่างชาติมาเป็ นระยะเวลา อันยาวนาน ประกอบกับความเชื่อมโยงในด้านการเรียนการสอนกับนานาชาติ (ซึ่งอาจารย์ แพทย์จานวนมากจบการศึกษามาจากประเทศทีเป็ นทียอมรับในด้านมาตรฐานทางการแพทย์ใน ํ ่ ่ ระดับนานาชาติ) ทําให้ medical tourism ของไทยขยายตัวได้อย่างรวดเร็วจนสามารถแซงหน้า ประเทศต้นแบบในภูมภาคนี้ดงเช่นสิงคโปร์ไปได้ ิ ั เนื่องจากตัวจักรทีผลักดันการขยายตัวของ medical tourism ของไทยคือภาคเอกชน ่ จึงมีพฒนาการในหลายรูปแบบ (ซึงส่วนหนึ่งขึนกับความถนัดของสถานพยาบาลทีมมาแต่เดิม) ั ่ ้ ่ ี เช่น มีทงการรักษาด้วยเทคโนโลยีมาตรฐานนานาชาติ (โดยเฉพาะอย่างยิงในสองกลุ่มใหญ่ อัน ั้ ่ ได้แก่ โรงพยาบาลบํารุงราษฎร์ และกลุ่มกรุงเทพดุสตเวชการ ซึงให้การรักษาได้ในแทบทุกโรค) ิ ่ การรักษาที่เป็ นความเชี่ยวชาญเฉพาะทางของสถานพยาบาล (เช่น ในด้านศัลยกรรมตกแต่ง และความงามของโรงพยาบาลยันฮี) การรักษาด้วยเทคโนโลยีในระดับสูงแต่ยงอยู่ในขันทดลอง ั ้ (เช่น การรักษาด้วย Stem Cell ของโรงพยาบาลเจ้าพระยา) และการรักษาด้านทีสามารถรอได้ ่ พอสมควร (โดยเฉพาะอย่างยิงทันตกรรม) และมีโรงพยาบาลที่เป็ นที่นิยมของลูกค้าจากบาง ่ ประเทศ (เช่ น กลุ่ ม สแกนดิเ นเวีย อาหรับ เอเชีย ใต้ และญี่ปุ่น ) วิธีก ารทํา ตลาดก็มีค วาม หลากหลาย เช่น บางโรงพยาบาลอาศัยตัวแทนทังในประเทศและในต่างประเทศค่อนข้างมาก ้ (เช่น โรงพยาบาลยันฮี) บางโรงพยาบาลเน้นการทําตลาดด้วยตนเองล้วนๆ (เช่น โรงพยาบาล เจ้าพระยา) บางโรงพยาบาลอาศัย road show ในต่างประเทศในการหาลูกค้าใหม่ๆ (เช่น โรงพยาบาลกรุงเทพภูเก็ต) และในขณะทีภาครัฐให้ความช่วยเหลือไม่มากนัก (เช่น ช่วยจัดและ ่ ประสานงานการเดิน ทางไปจัด นิ ท รรศการในต่ า งประเทศ) แต่ ก็ส นับ สนุ น และเปิ ด ทางให้ ั ภาคเอกชนดําเนินการได้อย่างเสรีและหลากหลาย ซึ่งปจจัยเหล่านี้รวมกันทําให้ประเทศไทย เติบโตขึนเป็ น medical hub ชันแนวหน้าของเอเชีย และสามารถแซงประเทศต้นแบบอย่าง ้ ้ สิงคโปร์ (ในด้านจํานวนคนไข้) ได้ในระยะเวลาเพียงไม่ถงหนึ่งทศวรรษ ึ ลักษณะพิเศษ Position จุดแข็งและจุดอ่อนของ medical hub/tourism ของ ไทยเทียบกับประเทศคู่แข่ง นอกเหนือจากความเสรี ความหลากหลาย ความครอบคลุ ม และขนาด ซึ่งไทยมีข้อ ได้เปรียบประเทศเพื่อนบ้านอย่างสิงคโปร์และมาเลเซียแล้ว การที่ medical hub ของไทยเป็ น ผลการดําเนินการของโรงพยาบาลแต่ละแห่งอย่างค่อนข้างเป็ นเอกเทศ (ซึงเป็ นจริงแม้กระทังใน ่ ่ โรงพยาบาลกลุ่มใหญ่บางกลุ่ม) ทําให้เกิดการเจาะตลาดแบบกระจัดกระจายตามความถนัดของ โรงพยาบาลมากกว่าตลาดใหญ่ แห่งใดแห่งหนึ่ ง (หรือเน้ นการทําสัญญากับ หน่ วยงานที่ซ้ือ 124
  • 143.
    บริการทีเป็ น thirdparty payer เช่น สํานักงานประกันสังคมของประเทศใดประเทศหนึ่ง)79 ทํา ่ ให้การขยายตัวของ medical tourism ของไทยไม่ได้เพิมเร็วเหมือนอินเดียทีเน้นการแข่งขันด้วย ่ ่ ราคาและ volume ในทางกลับกัน ความหลากหลาย กระจัดกระจาย ความใหม่ และการกํากับ ดูแลแบบหลวมๆ ของภาครัฐและสภาวิชาชีพ ก็ทําให้ช่อเสียงในด้านคุณภาพของไทยในด้าน ื บริการทีใช้เทคโนโลยีระดับสูง (และราคาสูง) ไม่ได้โดดเด่นมากเท่าสิงคโปร์ ดังนัน ในขณะที่ ่ ้ สถานพยาบาลของไทยอาจจะไม่ได้กลุ่มลูกค้าทีมยอดรายจ่ายต่อผูป่วยทีสูงเท่าสิงคโปร์ แต่ก็ ่ ี ้ ่ ไม่ได้รกษาแบบ mass ในปริมาณมาก (แต่มกจะได้ margin ทีต่ําลง) เหมือนกับอินเดีย (ซึงโดย ั ั ่ ่ เฉลี่ยแล้วมีค่าแรงตํ่ากว่าไทย) ซึ่งถ้าไทยพัฒนาไปแบบสิงคโปร์ ก็จะชักนํ าให้ราคาค่า รักษาพยาบาลเพิมในอัตราที่เร็วขึน ในขณะที่ถ้าพัฒนาไปในแบบอินเดีย (โดยไม่สนใจนํ าเข้า ่ ้ แพทย์จากต่างประเทศเข้ามาช่วยรักษาคนไข้) ก็จะเกิดแรงกดดันด้านความขาดแคลนบุคลากรที่ รุนแรงขึน้ เมื่อพิจารณาจากแนวโน้ มในอดีต ซึ่งประเทศมักจะไม่ค่อยมีการเปลี่ยนแปลงในเชิง โครงสร้างนโยบายอย่างรุนแรงหรือฉับพลัน ประกอบกับข้อจํากัดในด้านจํานวนบุคลากร ก็มี แนวโน้มที ่ medical hub ของไทยจะยังคงพัฒนาไปแบบกระจัดกระจาย และไม่เร็วนัก (คล้ายๆ กับเดิม) โดยโรงพยาบาล (และกลุ่มโรงพยาบาลขนาดใหญ่) จะเน้นการแข่งขันในด้านเทคโนโลยี ขันสูงตามแนวทางของสิงคโปร์ มากกว่าทีจะขยายไปสู่การรักษาแบบ mass ทีขยายตัวอย่าง ้ ่ ่ รวดเร็วแบบอินเดีย ผลกระทบในด้านการท่องเทียวและบริการอืนๆ ่ ่ แม้ว่าจะมีการกล่าวขวัญถึง medical tourism (ทังในภาษาอังกฤษและในภาษาไทย ซึง ้ ่ มีผใช้คําว่า “การท่องเทียวเชิงสุขภาพ”) ทีดูเหมือนจะมีการท่องเทียวเป็ นองค์ประกอบทีสําคัญ ู้ ่ ่ ่ ่ (และมีการแพทย์เป็ นเหมือนส่วนขยาย) แต่การศึกษาเชิงลึกของคณะผูวจยก็มขอค้นพบทีไม่ ้ิั ี ้ ่ ต่างจากการศึกษาในประเทศอื่นๆ มากนัก กล่าวคือ วัตถุประสงค์หลัก (และจุดสนใจหลัก) ของ ้ ่ ผูปวยและญาติทเดินทางข้ามนํ้าข้ามทะเลมารักษาตัวในต่างประเทศจะอยู่ทการรักษาพยาบาล ่ี ่ี มากกว่าการท่องเทียว (และยิงมารับบริการทีมนัยสําคัญทางการแพทย์มากขึนเท่าใด สถานะ ่ ่ ่ ี ้ ทางสุขภาพของผู้ป่ว ยและสภาวะจิตใจของญาติ/ผู้ติดตามก็จะเอื้ออํานวยกับ การท่องเที่ยว น้อยลง และแม้กระทังผูทมสุขภาพดีทมารับบริการศัลยกรรมตกแต่ง ก็มกจะได้รบคําแนะนําให้ ่ ้ ่ี ี ่ี ั ั ใช้ชวตในช่วงพักฟื้ นด้วยความระมัดระวังเป็ นอย่างสูง) ดังนัน ถึงแม้ว่าการวัดผลกระทบด้าน ีิ ้ เศรษฐกิจ (หรือรายได้) ในส่วนของการท่องเทียวและบริการด้านอื่นๆ จะทําได้ยาก แต่กมหลาย ่ ็ ี 79 ถึงแม้วาจะมีโรงพยาบาลในเครือกรุงเทพดุสตเวชการฯ บางแห่งทีมการทําสัญญาในลักษณะดังกล่าวอยูบาง ่ ิ ่ ี ่ ้ (เช่นกับข้าราชการและครอบครัวในบางประเทศ) แต่กยงเป็ นจํานวนน้อย และในบางกรณีโรงพยาบาลทีได้รบ ็ ั ่ ั การติดต่อมาจากต่างประเทศจะไม่ค่อยสนใจทําข้อตกลงในลักษณะนี้ เพราะถ้าจะให้บริการในลักษณะทีเป็ น ่ mass เช่นนี้ สถานพยาบาลจะต้องขยายศักยภาพการให้บริการอย่างมาก ในขณะทีการให้บริการแบบนี้มกจะ ่ ั มี profit margin ตํ่ากว่าด้วย 125
  • 144.
    เหตุ ผ ลที่ชวนให้เ ชื่อ ได้ว่า รายได้แ ละมูล ค่า เพิ่ม ในส่ว นนี้ จ ะไม่สูง มากเหมือ นที่บ างฝ่า ยเคย ประเมินเอาไว้80 ผลกระทบด้านบุคลากร ราคาค่ารักษาพยาบาล และการเข้าถึงบริการ การศึกษาในด้านบุคลากรบ่งชีว่า แม้ทผ่านมาจะมีการผลิตแพทย์เพิมขึนมาเป็ นลําดับ ้ ่ี ่ ้ แต่เนื่องจากในระยะหลังเรามีแพทย์ทจะเกษียณประมาณปี ละถึง 400 คน ประกอบกับโดยทัวไป ่ี ่ แล้วการรักษาคนไข้ต่างชาติจะใช้เวลามากกว่าคนไทยโดยเฉลี่ยค่อนข้างมาก และการเข้ามา ของคนไข้ต่างชาติและการขยายตัวของโรงพยาบาลเอกชนก็มแนวโน้มทําให้แพทย์ผเชียวชาญ ี ู้ ่ ่ ั ั ถูกดึงออกจากระบบของรัฐ (ซึงปจจุบนเป็ นส่วนสําคัญในการให้บริการประชาชนส่วนใหญ่ของ ้ ั ประเทศ) ดังนัน ปญหาแรงกดดันในด้านบุคลากร (โดยเฉพาะอย่างยิงแพทย์ ทันตแพทย์ และ ่ ั ้ ั ั พยาบาล) จะเป็ นปญหาสําคัญทังในปจจุบนและในอนาคต การที่ medical hub ของไทยมีแนวโน้มจะยังคงพัฒนาไปแบบกระจัดกระจายคล้ายๆ กับเดิม ประกอบกับข้อจํากัดในด้านจํานวนบุคลากร และการทีภาครัฐและสภาวิชาชีพของไทย ่ มัก จะใช้น โยบายการกํา กับ ดูแ ลแบบหลวมๆ ทํา ให้มีโ อกาสมากที่โ รงพยาบาล (และกลุ่ ม โรงพยาบาลขนาดใหญ่) จะเน้นการแข่งขันในด้านเทคโนโลยีขนสูงตามแนวทางของสิงคโปร์ั้ มากกว่าทีจะขยายไปสูการรักษาแบบ mass ทีมการทําสัญญารักษาคนไข้จํานวนมากกับ third- ่ ่ ่ ี party payer ซึงถ้า medical hub ของไทยพัฒนาไปในทิศทางดังกล่าวจริง ก็มแนวโน้มทีแรง ่ ี ่ กดดันด้านราคา (โดยเฉพาะในสถานพยาบาลที่ไม่มความจําเป็ นต้องพึ่งคนไข้ชาวไทย เช่น ี โรงพยาบาลในกรุงเทพมหานครที่มคนไข้ต่างชาติเข้ามาเป็ นจํานวนมากตลอดทังปี ) จะทําให้ ี ้ ราคาค่ารักษาพยาบาลของโรงพยาบาลกลุ่มนี้เพิมขึ้นอย่างรวดเร็ว (ในอัตราที่ใกล้เคียงหรือ ่ แม้กระทังสูงกว่าอัตราเพิมในต่างประเทศ) และจะดึงให้ราคาค่ารักษาพยาบาลในภาคเอกชน ่ ่ (และในทีสุดก็จะรวมถึงภาครัฐ) ถีบตัวสูงขึนไปด้วย เพราะการทีราคาค่าบริการในภาค medical ่ ้ ่ hub สูงขึนจะดึงดูดบุคลากรไปจากโรงพยาบาลอื่นๆ ทังในภาคเอกชนและภาครัฐ (โดยเฉพาะ ้ ้ อย่า งยิ่ง โรงเรีย นแพทย์) ซึ่ง การปรับ ตัว ของโรงเรีย นแพทย์ใ นระยะหลัง ก็ดู จ ะยืน ยัน ข้อ คาดการณ์ประการนี้ การปรับตัวของราคามีแนวโน้มทีจะส่งผลกระทบต่อการเข้าถึงบริการสถานพยาบาลของ ่ เอกชนและสถานพยาบาลของรัฐในส่วนทีอยูนอกระบบหลักประกันสุขภาพถ้วนหน้า ผลักดันให้ ่ ่ คนไทยผูมสทธิ ์ในโครงการหลักประกันสุขภาพถ้วนหน้าของภาครัฐต้องหันไปใช้บริการโครงการ ้ ีิ เหล่านันมากขึน ในขณะเดียวกันการปรับตัวของราคาก็จะดึงบุคลากรบางส่วนออกจากระบบ ้ ้ บริการของภาครัฐด้วย การเพิมขึนของผูทต้องพึงพาบริการในระบบหลักประกันสุขภาพถ้วน ่ ้ ้ ่ี ่ หน้ าในขณะที่บุคลากรถูกดึงออกไปจากระบบบริการของรัฐ มีแนวโน้ มที่จะทําให้ปญหาการ ั ั เข้าถึงบริการและ/หรือปญหาคุณภาพของบริการทีประชาชนคนไทยทัวไปได้รบมีความรุนแรง ่ ่ ั 80 ตัวอย่างเช่น บางครังมีการประเมินว่าประเทศไทยจะมีรายได้ทเกิดกับการท่องเที่ยวและบริการอื่นๆ ใน ้ ่ี มูลค่าทีพอๆ กับรายได้ทเี่ กิดจากบริการรักษาพยาบาล ซึงน่าจะเป็ นการประมาณการทีสงเกินจริง ่ ่ ู่ 126
  • 145.
    ั มากขึน นอกจากนี้ ปญหาสมองไหลมีแนวโน้มทีจะทําให้ภาครัฐ(และโครงการทีภาครัฐมีสวน ้ ่ ่ ่ รับภาระ เช่นโครงการประกันสังคม) มีภาระค่าใช้จ่ายเพิมขึน เพราะภาครัฐจะต้องเพิมแรงจูงใจ ่ ้ ่ ั ทางการเงินเพือลดความรุนแรงของปญหานี้ ่ 7.2 ข้อเสนอแนะเชิงนโยบายของฝ่ ายต่างๆ ผลการศึกษาในหัวข้อต่างๆ ทีผานมา มีขอบ่งชีว่าน่ าจะมีความขัดแย้งระหว่างนโยบาย ่ ่ ้ ้ medical hub และการสร้างหลักประกันสุขภาพถ้วนหน้าในระดับหนึ่ง อย่างไรก็ตาม ในสังคมที่ มีความหลากหลายและให้ความสําคัญกับทุกฝ่ายนัน การจัดการกับความขัดแย้งของนโยบาย ้ ไม่ได้หมายความว่าจะต้องเลือกเอาอันหนึ่งอันใดเท่านัน (แต่กไม่ใช่ปล่อยนโยบายทีขดแย้งกัน ้ ็ ่ ั ดําเนินไปอย่างเสรีทงคู่หรือตามกําลังความสามารถในการแข่งขันหรือผลักดันของแต่ละฝ่าย) ั้ ้ ่ ดังนัน ในหัวข้อนี้ จะนํ าเสนอข้อเสนอแนะของฝายต่างๆ (รวมทังผูทมส่วนได้ส่วนเสียด้วย) มา ้ ้ ่ี ี แจกแจงและอภิปรายเพื่อนํ าไปสู่การสรุปหาทางออกและมาตรการที่เหมาะสม (และบางกรณี ่ ่ ่ อาจเป็ น win-win solution สําหรับทุกฝายทีเกียวข้อง) ต่อไป ข้อเสนอแนะทีได้มการเสนอจากฝ่ายต่างๆ ในระหว่างทีคณะผูวจยได้ดําเนินการศึกษา ่ ี ่ ้ิั พอสรุปได้โดยสังเขปดังต่อไปนี้ 7.2.1 ข้อเสนอด้านกําลังคน ข้อเสนอด้านกําลังคนข้อที่ 1: อนุญาตให้แพทย์ชาวต่างชาติ ทีได้รบใบประกอบโรคศิ ลป์ ่ ั เข้ามารักษาคนไข้ชาวต่างชาติ ได้โดยไม่ต้องสอบใบประกอบโรคศิ ลป์ เป็ นภาษาไทย ตัวอย่างเหตุผลของฝ่ ายสนับสนุน: เพื่อลดผลกระทบทีเกิดกับคนไทย (โดยเฉพาะอย่างยิงใน ่ ่ ด้านกําลังคน) ในขณะทียงเปิ ดโอกาสให้สถานพยาบาลหารายได้จากต่างประเทศได้อย่างเต็มที่ ่ ั ตัวอย่างเหตุผลของฝ่ ายที่ไม่เห็นด้วย: เป็ นการให้ประโยชน์กบแพทย์ต่างชาติแทนทีจะเปิ ด ั ่ โอกาสให้แพทย์ไทยมีรายได้เพิม ไม่ไว้ใจมาตรการควบคุมว่าจะสามารถจํากัดให้รกษาเฉพาะ ่ ั คนไข้ต่างชาติได้หรือไม่ ่ ข้อเสนอด้านกําลังคนข้อที่ 2: เร่งผลิ ตแพทย์เพิ ม (ถึงแม้อาจจะทําให้คณภาพลดลงบ้างก็ ุ ตาม) ั ตัวอย่างเหตุผลของฝ่ ายสนับสนุน: ปญหาความขาดแคลนเป็ นเรื่องใหญ่ ถ้ามีระบบการแบ่ง งานและการส่งต่อทีดี ก็ไม่จําเป็ นต้องมีแพทย์ทเป็ นระดับหัวกะทิทงหมด81 เพราะโรคส่วนใหญ่ ่ ่ี ั้ 81 ั ั ปจจุบนนักศึกษาแพทย์มาจากกลุ่มหัวกะทิ (ประมาณร้อยละ 2 ของผูทจบการศึกษามัธยมปลายในแต่ละปี ) ้ ่ี ในด้าน input นัน การขยายไปถึงกลุ่มหัวกะทิประมาณร้อยละ 5 ของผูทจบการศึกษามัธยมปลายในแต่ละปี ก็ ้ ้ ่ี ไม่น่าจะทําให้คณภาพโดยเฉลียของนักศึกษาแพทย์ลดลงมากนัก ุ ่ 127
  • 146.
    ี ั ั ที่รกษาเป็ นโรคพื้นๆ น่ าดีมคุณภาพกว่าการรักษาในหลายโรงพยาบาลในป จจุบนที่ต้องให้ พยาบาลตรวจแทนเป็ นประจําเพราะมีแพทย์ไม่พอ ่ี ่ ้ ั ั ตัวอย่างเหตุผลของฝ่ ายที่ไม่เห็นด้วย: การผลิตแพทย์ทเพิมขึนในปจจุบนมาถึงระดับทีเต็ม ่ ศักยภาพและในหลายกรณีไม่ได้มาตรฐานอยู่แล้ว การรักษาแพทย์ให้อยู่ในระบบบริการของ ภาครัฐน่ามีความสําคัญมากกว่า ข้อเสนอด้านกําลังคนข้อที่ 3: เร่งผลิ ตทันตแพทย์เพิ ม ่ ี ั ตัวอย่างเหตุผลของฝ่ ายสนับสนุน: ทันตแพทย์มปญหาความขาดแคลนทีรุนแรงกว่าความ ่ ขาดแคลนแพทย์เสียด้วยซํ้า และทีผานมามีผให้ความสนใจค่อนข้างน้อย ่ ่ ู้ ข้ อ เสนอเพิ ม เติ ม ของคณะผู้วิ จ ย : เปิ ด รับ นัก ศึก ษาทีจ บปี 1 ในสาขาอืน มาแทน ่ ั ่ ่ นักศึกษาทันตแพทย์ทออกไปในปี แรก ซึงทําให้สามารถผลิตทันตแพทย์เพิมได้จํานวน ี่ ่ ่ มาก (เกือบร้อยละ 20 ในบางปี) โดยไม่ตองลงทุนด้านเครืองมือเพิม ้ ่ ่ ั ั เหตุผล: เนื่องจากในปจจุบน ในแต่ละปีมนกศึกษาทันตแพทย์ปี 1 จํานวนไม่น้อยทีลาออก ี ั ่ ไปสอบเข้ามหาวิทยาลัยใหม่ ทําให้คณะทันตแพทย์ส่วนใหญ่ผลิตทันตแพทย์ได้น้อยกว่า ศักยภาพจริงของตน ข้อเสนอด้านกําลังคนข้อที่ 4: เร่งผลิ ตพยาบาลเพิ ม ่ ั ั ั ตัวอย่างเหตุผลของฝ่ ายสนับสนุน: ปจจุบนมีปญหาขาดแคลนพยาบาลอย่างรุนแรง ในขณะที่ หลายสถาบันยังผลิตน้อยกว่าศักยภาพเนื่องจากไปยึดติดกับอัตราจ้างของสถาบันตัวเอง ี ่ ่ เหตุผลของฝ่ ายที่ไม่เห็นด้วย: ยังไม่มฝายทีไม่เห็นด้วยในเรืองนี้ ่ ข้อเสนอที่ 5: ผลิ ต/อบรมพยาบาลเวชปฏิ บติเพือมารักษาผูป่วยจํานวนมากทีเ่ ป็ นแค่โรค ั ่ ้ พื้นๆ ั ตัวอย่างเหตุผลของฝ่ ายสนับสนุน: เพื่อลดปญหาการขาดแคลนแพทย์ และน่ าจะเป็ นวิธทมีี ่ี ประสิทธิภาพ และสามารถยกระดับคุณภาพการรักษาในสถานีอนามัย/ศูนย์สขภาพชุมชน ุ ตัวอย่างเหตุผลของฝ่ ายที่ ไม่เห็นด้วย: ประชาชนต้องการตรวจกับแพทย์ การผลิตแพทย์ เพิมขึน(เช่นตามข้อเสนอที่ 2) น่าจะเป็ นวิธทดกว่าและมีคุณภาพในการรักษามากกว่า ่ ้ ี ่ี ี ข้อเสนอด้านกําลังคนข้อที่ 6: ร่วมมือกับโรงพยาบาลเอกชนในการผลิ ตแพทย์ ตัวอย่ างเหตุผ ลของฝ่ ายสนั บสนุ น: อาจารย์แ พทย์ผู้เ ชี่ย วชาญจํานวนมากถูกดึงไป ภาคเอกชน ซึ่งหลายแห่งก็มเครื่องไม้เครื่องมือที่ดี แต่อาจจะไม่มคนไข้ท่หลากหลายเท่า ี ี ี โรงเรียนแพทย์ และอาจมีโอกาสในการเพิมพูนทักษะในบางด้านก็อาจน้อยลง โรงเรียนแพทย์ท่ี ่ มีช่อเสียงในต่างประเทศจํานวนไม่น้อยไม่ได้เป็ นของภาครัฐ ื ตัวอย่างเหตุผลของฝ่ ายที่ไม่เห็นด้วย: โอกาสทําได้มไม่มาก ี 128
  • 147.
    อุปสรรค: กฎระเบียบและต้องปรับเปลียนโรงพยาบาลเอกชนเพือรองรับการเป็ นโรงเรียนแพทย์ ่ ่ ระบบโรงพยาบาลทีมุงหวังกําไรอาจจะไม่เอือเท่ากับในต่างประเทศทีโรงพยาบาลเอกชนจํานวน ่ ่ ้ ่ มากมักเป็ นขององค์กรหรือมหาวิทยาลัยทีไม่ได้แสวงหากําไร (not for profit) ่ ข้อเสนอด้านกําลังคนข้อที่ 7: เปิ ดโอกาสให้แพทย์อาวุโสในภาคเอกชนกลับเข้ามาสู่ ระบบรัฐโดยมีตาแหน่ งทีเ่ หมาะสมกับระดับประสบการณ์และความสามารถ ํ ตัวอย่างเหตุผลของฝ่ ายสนับสนุน: แพทย์ในภาคเอกชนจํานวนไม่น้อยไม่ได้พอใจทีจะอยูใน ่ ่ ภาคเอกชนตลอดชีวิต การทํา งาน แพทย์อ าวุ โ สหลายท่า นมีป ระสบการณ์ แ ละสติป ญ ญาที่ ั ั ั โรงเรียนแพทย์หรือโรงพยาบาลรัฐสามารถใช้ประโยชน์ได้ ในปจจุบน แพทย์อาวุโสเหล่านันไม่ ้ มีช่อ งทางที่จะกลับ เข้า มายังภาครัฐ แบบมีศ ก ดิศ รี (เช่ น ด้ว ยตํ า แหน่ ง ที่เ หมาะสมกับ ระดับ ั ์ 82 ประสบการณ์และความสามารถ) ทําให้ภาครัฐไม่ได้รบประโยชน์จากแพทย์เหล่านัน (ยกเว้นใน ั ้ กรณีรบแพทย์ทเี่ กษียณแล้วมาช่วยตรวจ) ั ตัวอย่างเหตุผลของฝ่ ายที่ไม่เห็นด้วย: อาจบันทอนแรงจูงใจของแพทย์ทอยูในระบบของรัฐมา ่ ่ี ่ โดยตลอด อุปสรรค: กฎระเบียบ (ในส่วนของมหาวิทยาลัยนัน เมือออกนอกระบบ ปญหานี้อาจลดลง แต่ ้ ่ ั ั จะยังเป็ นปญหาทีสาคัญในสถานพยาบาลอืนๆ ของรัฐ) ่ํ ่ ข้อเสนอด้านกําลังคนข้อที่ 8: ขยายอายุเกษี ยณของแพทย์ในระบบราชการ ตัวอย่างเหตุผลของฝ่ ายสนับสนุน: เพื่อเป็ นการใช้ทรัพยากรบุคคลทีมอยู่อย่างเต็มเม็ดเต็ม ่ ี หน่วยมากขึน และน่าจะช่วยลดผลกระทบทีเกิดจากบุคลากรทางการแพทย์จานวนมากถูกดึงไป ้ ่ ํ รักษาคนไข้ต่างชาติ ตัวอย่างเหตุผลของฝ่ ายที่ไม่เห็นด้วย: ไม่มี ข้อพิ จารณาเพิ่ ม เติ ม : ผลที่ได้อาจจะไม่มากอย่างที่หวัง เพราะปกติแพทย์อาวุโสในระบบ ราชการก็มแนวโน้ มที่จะรับภาระด้านงานบริการค่อนข้างน้ อยอยู่แล้ว และสําหรับแพทย์ท่ยง ี ี ั ่ ั้ ั ั สนใจทํางานให้ภาครัฐอยูนน ปจจุบนหลายหน่วยงานก็มการจ้างแพทย์เหล่านันอยูแล้ว ี ้ ่ ่ ข้อเสนอด้านกําลังคนข้อที่ 9: เพิ มค่าตอบแทนบุคลากรด้านการแพทย์ทีอยู่ในภาครัฐ ่ ่ ั ตัวอย่างเหตุผลของฝ่ ายสนับสนุน: เพือลดปญหาสมองไหลไปสูภาคเอกชน ่ ข้อพิ จารณาเพิ่ มเติ ม: - ค่าใช้จายทีเพิมขึนของภาครัฐ ่ ่ ่ ้ 82 ่ ั ั ถ้าเปรียบเทียบกับตําแหน่ งทางราชการในระดับสูงหลายตําแหน่ง ซึงปจจุบนเปิ ดโอกาสให้สรรหาคนนอก (หรือยอมให้คนนอกสมัครเข้า แข่งขัน) แต่ในกรณีน้ี รวมถึงตําแหน่ งระดับกลางต่างๆ ด้วย ไม่ใ ช่เฉพาะ ตําแหน่งผูบริหารองค์กร ้ 129
  • 148.
    ั - มาตรการนี้อาจมีผลจํากัด เพราะปญหาสมองไหลไม่ได้เกิดจากปญหาค่าตอบแทนแต่เพียง อย่างเดียว ข้อเสนอด้านกําลังคนข้อที่ 10: เก็บภาษี การรักษาพยาบาลจากผู้ป่วยต่างชาติ ทีเ่ ดิ นทาง เพือเข้ามารับการรักษาพยาบาลในประเทศไทย แล้วนํามาอุดหนุนการผลิ ตบุคลากรเพิ ม ่ ่ ตัวอย่างเหตุผลของฝ่ ายสนับสนุน: - ที่ผ่านมารัฐ บาลได้ใ ห้การอุ ดหนุ นการผลิต บุคลากรทางการแพทย์ใ นอัต ราที่ค่อนข้างสูง83 เพราะเห็นความจําเป็ นที่ต้องมีบุคลากรมารักษาพยาบาลประชาชนคนไทย (ซึ่งเป็ นผูรบภาระ ้ั 84 ภาษีในส่วนนี้) การมีคนไข้ต่างชาติเดินทางเข้ามาเพื่อรับการรักษาพยาบาลโดยเฉพาะย่อม ั ส่งผลให้ปญหาการขาดแคลนบุ คลากรทางการแพทย์มความรุนแรงขึ้น ดังนัน ถ้ารัฐบาลมี ี ้ นโยบายทีจะหารายได้เข้าประเทศจากคนไข้กลุ่มนี้ รัฐบาลก็ยอมมีภาระหน้าทีใ่ นการลงทุนผลิต ่ ่ บุคลากรทางการแพทย์เพิมขึ้น (ไม่เช่นนันแล้วย่อมหมายความว่ารัฐบาลปล่อยปละละเลยให้ ่ ้ ชาวต่างชาติเข้ามาแย่งทรัพยากรส่วนนี้จากคนไทย) และในมุมมองด้านความเป็ นธรรมนัน ้ คนไข้ต่างชาติทเ่ี จาะจงเข้ามารับบริการทางการแพทย์กสมควรมีส่วนร่วมรับภาระค่าใช้จ่ายใน ็ ่ ั ั การผลิตบุคลากรทางการแพทย์ (ซึงปจจุบนส่วนใหญ่มาจากภาษีของคนไทย) ด้วย - นอกจากนี้ มาตรการนี้จะช่วยลดผลกระทบทีเกิดกับคนไทย (เช่น ทําให้ราคาค่ารักษาพยาบาล ่ ของคนไทยไม่เพิมขึนมากหรือเร็วเท่ากับราคาค่ารักษาพยาบาลทีสถานพยาบาลเรียกเก็บจาก ่ ้ ่ คนไข้ทมาจากต่างประเทศ และมีสวนช่วยลดผลกระทบด้านการขาดแคลนบุคลากร เนื่องจากจะ ่ี ่ ทําให้จานวนคนไข้ต่างชาติเพิมขึนในอัตราทีต่ํากว่าในกรณีทไม่มการเก็บค่าธรรมเนียมนี้) ํ ่ ้ ่ ่ี ี - ถ้ามาตรการนี้สามารถชลอไม่ให้ค่ารักษาพยาบาลของคนไทยเพิมขึนอย่างรวดเร็วตามกําลัง ่ ้ ซื้อของต่างชาติ ก็จะช่วยชลอไม่ให้ภาระค่าใช้จ่ายที่ภาครัฐต้องรับจากโครงการหลักประกัน สุขภาพต่างๆ เพิมขึนอย่างรวดเร็วตามกําลังซือของต่างชาติดวย ่ ้ ้ ้ ่ ่ ั - ในช่วงทีผานมา โรงเรียนแพทย์หลายแห่งประสบปญหาทีอาจารย์แพทย์ผเชียวชาญมักถูกดึง ่ ู้ ่ ไปอยูภาคเอกชนด้วยแรงจูงใจทางการเงินทีเหนือกว่ามาก ในขณะทีการผลิตแพทย์เพิมอย่างมี ่ ่ ่ ่ คุณภาพคงต้องการอาจารย์แพทย์เพิมขึ้น การนํ ารายรับที่เพิมขึ้นส่วนนี้มาอุดหนุ นการผลิต ่ ่ แพทย์จงน่ าจะสามารถช่วยโรงเรียนแพทย์รกษาอาจารย์แพทย์ผเชียวชาญเอาไว้ รวมถึงการรับ ึ ั ู้ ่ อาจารย์ใหม่เข้ามาเพิม ่ ตัวอย่างเหตุผลของฝ่ ายที่ไม่เห็นด้วย: - ทําให้ความสามารถในการแข่งขันกับต่างประเทศลดลง โดยเฉพาะอย่างยิงในภาวะเศรษฐกิจ ่ ั ั ั ปจจุบน ซึ่งปญหาวิกฤติเศรษฐกิจโลก (และยังอาจมีผลกระทบจากปญหาความขัดแย้งทาง ั 83 จากการประมาณการอย่างหยาบๆ รัฐบาลมีค่าใช้จ่ายในการผลิตแพทย์ทวไประหว่าง 1.5 ถึง 3 ล้านบาท ั่ ต่อคน และถ้ารวมค่าใช้จายในการผลิตแพทย์จนเป็ นแพทย์ผเชียวชาญก็น่าจะสูงกว่านี้มาก ่ ู้ ่ 84 รวมถึงชาวต่างชาติทมาทํางานและตังถินฐานในประเทศไทย ซึงโดยทัวไปแล้วมีสวนร่วมในการจ่ายภาษี ่ี ้ ่ ่ ่ ่ ให้กบประเทศไทยเช่นกัน ั 130
  • 149.
    การเมืองภายในประเทศด้วย) น่ าจะส่งผลทําให้จํานวนคนไข้ต่างชาติท่จะเข้ามารับบริการใน ี ึ ั ประเทศไทยลดลงอยูแล้ว มาตรการนี้จงเป็ นการซํ้าเติมปญหาให้รนแรงยิงขึน ่ ุ ่ ้ - เป็ นเหมือนการทําโทษธุรกิจเอกชน (ซึงปกติกเสียภาษีให้รฐจากรายได้สวนนี้อยูแล้ว) ่ ็ ั ่ ่ - ถ้ามาตรการนี้ทําให้รายได้ของแพทย์ต่ําลง ก็อาจทําให้เกิดสมองไหลไปต่างประเทศ (เช่น สิงคโปร์) 7.2.2 ข้อเสนออืนๆ ่ ข้อเสนอที่ 11: การประสานงานและความร่วมมือของหน่ วยงานต่างๆ และความเป็ น เอกภาพด้ า นนโยบายของภาครัฐ ขอให้ห น่ ว ยงานต่ า งๆ ที่เ กี่ย วข้อ งของภาครัฐ ร่ว มมือ ประสานงานกันเองให้เป็ นระบบ และมีการแลกเปลียนข้อมูลกันเองมากขึน ่ ้ ตัวอย่างเหตุผลของฝ่ ายสนับสนุน: ั - ป จ จุ บ ัน มีห น่ ว ยงานของรัฐ หลายหน่ ว ยงานที่เ กี่ย วข้อ ง แต่ ไ ม่ค่อ ยประสานงานกัน เอง เท่าทีควร สถานพยาบาลหลายแห่งถูกขอข้อมูลทีเหมือนหรือคล้ายกันจากหลายหน่วยงาน ่ ่ และ/หรือ ได้รบเชิญจากหลายหน่วยงานไปพูดเรืองเดียวกันซํ้าแล้วซํ้าอีก ั ่ - นโยบายภาครัฐยังไม่ชดเจนและไม่เป็ นเอกภาพ ั ่ ข้อเสนอที่ 12: เพิ มตัวเลือก “มารับการรักษาพยาบาล” ในบัตรตรวจคนเข้าเมืองขาเข้า ตัวอย่างเหตุผลของฝ่ ายสนับสนุ น: การสอบถามข้อมูลชาวต่างชาติในบัตรขาเข้า จะมี ประโยชน์มากในการรวบรวมข้อมูลทีแม่นยํามากขึน ซึงจะเป็ นประโยชน์กบภาครัฐเองด้วย และ ่ ้ ่ ั สามารถทําได้โดยแทบไม่มตนทุนเลย ี ้ ข้อเสนอที่ 13: ควรมีการประกาศให้ผ้บริ โภคทราบราคาค่ารักษาพยาบาลโดยละเอียด ู (เช่ น อัตราค่ ารักษาของแพทย์ ค่ ายา ค่าเครืองไม้เครืองมือ และค่าที พกและอาหาร) ่ ่ ่ ั โดยติ ดประกาศและ/หรือมีรายละเอียดวางไว้ในทีผ้บริ โภคเห็นได้ชดและสามารถเข้าถึง ่ ู ั ได้โดยง่าย (รวมทังในเว็บของโรงพยาบาล) ้ ตัวอย่างเหตุผลของฝ่ ายสนับสนุ น: การที่ค่ารักษาพยาบาล (โดยเฉพาะในโรงพยาบาล เอกชน) มีแนวโน้มเพิมขึนอย่างรวดเร็วหรืออยูในระดับสูง ผูบริโภคควรได้รบทราบข้อมูลราคา ่ ้ ่ ้ ั ค่าบริการต่างๆ อย่างชัดเจน ทําให้มขอมูลสําหรับการเปรียบเทียบ และอาจช่วยให้เกิดการ ี ้ แข่งขันในด้านราคา 7.3 แนวทางการพัฒนา ั ั ่ ในปจจุบนทีเศรษฐกิจและสังคมไทยได้พฒนามาในแนวทางทีคอนข้างเสรีนิยม ได้มสวน ั ่ ่ ี่ ทํา ให้ค วามเหลื่อ มลํ้ า ในด้า นการกระจายรายได้เ พิ่ม ขึ้น มาเป็ น ลํ าดับ (ยกเว้น ในช่ว งวิก ฤติ เศรษฐกิจ) ซึงมีผลทําให้กาลังซือของประชาชนทีฐานะต่างกันยิงต่างกันมากขึน ยิงในยุคโลกาภิ ่ ํ ้ ่ ่ ้ ่ 131
  • 150.
    วัตน์ทการเคลื่อนย้ายคนข้ามพรมแดนเพิมมากขึน ความเหลื่อมลํ้าของกําลังซือก็ยงแตกต่างกัน ่ี ่ ้ ้ ิ่ มากยิงขึน ถ้าปล่อยให้มการแข่งขันกันอย่างเต็มทีสนค้าและบริการก็จะไปอยูในมือของกลุ่มทีมี ่ ้ ี ่ ิ ่ ่ กําลังซื้อและยินดีจ่ายในราคาทีสงลดหลันลงมาตามลําดับ โดยกลุ่มชาวต่างชาติมแนวโน้มทีจะ ่ ู ่ ี ่ เป็ นกลุ่มทีมกาลังซือทีสงกว่าชนชันกลางและชันล่างของไทยอย่างเทียบกันไม่ได้เลย ่ ีํ ้ ู่ ้ ้ แต่ การที่การรัก ษาพยาบาลเป็ น บริการที่จํา เป็ นสําหรับ ทุกคนอย่างน้ อยในบางช่ว ง (จริงๆ ก็คอเกือบทุกช่วง) ของชีวต การปล่อยให้มการประมูลซื้อบริการรักษาพยาบาลตาม ื ิ ี กําลังเงินจึงไม่น่าจะเป็ นวิธีท่มจริยธรรมเพียงพอ (ในกรณี น้ ี จึ งมีเหตุผลที จะประยุกต์ใช้ ี ี ่ หลักการประชาธิ ปไตยแบบหนึ งคนหนึ งเสียงมากกว่าหลักการเป็ นเจ้าของทรัพย์สินเชิ ง ่ ่ ธุรกิ จแบบหนึ งบาทหนึ งเสียง) ซึ่งบางครังภาครัฐก็ใช้วธจดระเบียบกําลังซื้อใหม่ (เช่น เก็บ ่ ่ ้ ิีั ภาษีและนํ าเงินมาซื้อบริการแทนประชาชน เฉกเช่นโครงการหลักประกันสุขภาพถ้วนหน้าใน บางประเทศ รวมทังประเทศไทยด้วย) หรือมีมาตรการกํากับดูแลทีทําให้กําลังซื้อมีความสําคัญ ้ ่ น้อยลง (เช่น บังคับให้สถานพยาบาลต้องรักษาคนจน และ/หรือ รักษาทุกคนในยามฉุกเฉิน) การที่มกําลังซื้อจํานวนมากจากต่างประเทศเข้ามาในประเทศที่มแนวทางการดําเนิน ี ี นโยบายเศรษฐกิจแบบเสรีนิยมนัน ถ้ารัฐไม่เข้ามาแทรกแซง ก็ย่อมมีโอกาสทีจะส่งผลกระทบ ้ ่ เป็ นลูกโซ่จนไปทําลายสมดุลเดิมได้ สิงทีภาครัฐจะทําได้ (โดยคํานึงถึงประโยชน์ของทุกฝ่าย) ่ ่ คือการลดทอนความสําคัญของกําลังซื้อจากต่างประเทศ เช่น โดยใช้มาตรการด้านภาษีเป็ น เขื่อ นกัน (ทํ า ให้ ผู้ ใ ห้ บ ริก ารได้ ร ับ เงิน น้ อ ยกว่ า ที่ ผู้ ซ้ื อ จ่ า ย) หรือ มี ม าตรการอื่น ที่ ทํ า ให้ ้ สถานพยาบาลไม่สามารถทุ่มเทความสนใจไปยังกําลังซื้อจากต่างประเทศอย่างสุดตัวโดยทีไม่ ่ สนใจกับกําลังซื้อของประชาชนในประเทศตัวเอง เพราะในกรณีททรัพยากรบุคคลด้านการ ี่ รักษาพยาบาลถูกใช้อย่างเต็มทีอยูแล้วนัน การขายบริการให้กบกําลังซื้อจากต่างประเทศยิงมาก ่ ่ ้ ั ่ เท่าใดก็จะส่งผลกระทบด้านลบกับบริการทีประชาชนในประเทศได้รบมากขึ้นเท่านัน (กล่าวคือ ่ ั ้ คนในประเทศจะได้รบบริการเฉพาะส่วนทีเ่ หลือจากทีชาวต่างชาติซ้อเท่านัน) ั ่ ื ้ ั แน่ น อนว่ า ป ญ หาข้า งต้น จะทุ เ ลาลงได้ใ นกรณีท่ีไ ม่มีป ญ หาคอขวดในด้า นบุ ค ลากร ั (ดังนันข้อเสนอแนะทุกข้อในด้านบุคลากรเป็ นสิงที่ภาครัฐควรพิจารณาดําเนินการ ยกเว้นใน ้ ่ 85 กรณีทพบว่ามีผลเสียทีมนยสําคัญมากจริงๆ) ่ี ่ ี ั สําหรับมาตรการทีมภาษีเข้ามาเกียวข้องด้วยนัน แน่นอนว่าในตัวของมันเองคงไม่ใช่สง ่ ี ่ ้ ิ่ ทีพงประสงค์สําหรับภาคธุรกิจด้านการรักษาพยาบาลและธุรกิจอื่นที่เกี่ยวข้อง อย่างไรก็ตาม ่ ึ คณะผูวจยจะเสนอกรณีตวอย่างการดําเนินการ medical hub ทีน่าสนใจ โดยใช้กรณีศกษาของ ้ิั ั ่ ึ 85 ทังนี้ในการพิจารณาข้อเสนอแนะ อาจเสนอทางเลือกในการพิจารณาข้อเสนอบางข้อพร้อมๆ กันในลักษณะ ้ ของทางเลือกด้วย ซึงอาจทําให้ได้มมมองทีตางออกไป ตัวอย่างเช่น ผูบริหารสถานพยาบาลทังของรัฐและ ่ ุ ่ ่ ้ ้ เอกชนทีคณะผูวจยได้มโอกาสไปสัมภาษณ์ (ซึงทังหมดเป็ นแพทย์) ส่วนใหญ่จะไม่เห็นด้วยกับมาตรการภาษี ่ ้ิั ี ่ ้ (เมือมาตรการนี้ถกเสนอขึนมาโดดๆ) แต่บางท่านยินดีรบมาตรการนี้มากกว่าข้อเสนอทีให้อนุญาตให้แพทย์ ่ ู ้ ั ่ ต่างชาติเข้ามารักษาคนไข้ต่างชาติ (บางท่านถึงกับเสนอมาตรการนี้กลับเข้ามาเป็ นทางเลือกแทนการ อนุญาตให้แพทย์ตางชาติเข้ามา) ่ 132
  • 151.
    โรงพยาบาลกรุงเทพภูเก็ตเป็ นตัวอย่าง (model)เพื่อชีให้เห็นตรรกะของข้อเสนอดังกล่าว โดย ้ จะกลับมาสูประเด็นนี้อกครังหนึ่งในตอนท้ายของหัวข้อนี้ ่ ี ้ กรอบที่ 7.1 ตัวอย่าง Medical Hub ของไทย: กรณี ศึกษาโรงพยาบาลกรุงเทพภูเก็ต โรงพยาบาลกรุงเทพภูเก็ต เป็ นโรงพยาบาลในเครือของบริษัทกรุงเทพดุสตเวชการ ิ (มหาชน) เป็ นโรงพยาบาลขนาด 200 เตียง เปิ ดให้บริการทางการแพทย์โดยมีศูนย์การแพทย์ เฉพาะทาง เช่น ศูนย์ทนตกรรม ศูนย์ศลยกรรมความงาม ศูนย์มะเร็ง ศูนย์ตรวจสุขภาพ และ ั ั ศูนย์บริการผูป่วยต่างชาติ พร้อมทังมีหน่ วยบริการฉุ กเฉินทังทางบกและทางอากาศ ให้บริการ ้ ้ ้ ทังผูป่วยในพื้นที่จงหวัดภูเก็ตและใกล้เคียงรวมทังคนไข้จากต่างประเทศ ซึ่งจะมีมากในช่วง ้ ้ ั ้ ฤดูกาลท่องเทียว และมีจานวนผูเข้ารับการรักษาเพิมขึนอย่างต่อเนื่อง ่ ํ ้ ่ ้ ตังแต่ มโครงการ 30 ้ ี บาทฯ ทางโรงพยาบาลได้หนมาให้ความสําคัญกับคนไข้ ั ้ ั ชาวต่างชาติมากขึน และได้เน้นการทําตลาดส่วนนี้หลังจากที่ประสบปญหานักท่องเทียวลดลง ่ อย่างมากหลังจากเกิดสึนามิเมื่อปลายปี 2547 ก็ได้มนโยบายส่งเสริมการท่องเทียวเชิงสุขภาพ ี ่ ั ั ในปจจุบน สัดส่วนของคนไข้ไทยต่อคนไข้ต่างประเทศอยู่ท่ี 80:20 ในขณะที่รายได้ 50-60% ของโรงพยาบาลมาจากคนไข้ชาวต่างชาติ โรงพยาบาลกรุงเทพภูเก็ตมีศกยภาพเพียงพอทีจะ ั ่ รองรับคนไข้ชาวต่างชาติทงจากในพืนทีใกล้เคียงและจากการท่องเทียวเชิงสุขภาพ กลุ่มลูกค้า ั้ ้ ่ ่ หลักคือชาวอังกฤษ เยอรมัน และประเทศแถบสแกนดิเวียน โรงพยาบาลแต่ ล ะโรงในเครือ กรุ งเทพดุ ส ิต เวชการมีอิส ระในการดํา เนิ น การ โดยที่ ผูบริหารของแต่ละโรงพยาบาลมีอสระในการบริหารจัดการ ซึ่งทางส่วนกลางเพียงแต่กําหนด ้ ิ กรอบเป้าหมายของผลประกอบการไว้เท่านัน ในส่วนของรายละเอียดทังในเรื่องของการกําหนด ้ ้ อัต ราค่ า รัก ษาพยาบาล การดํ า เนิ น งาน และการบริห ารจัด การนั น ผู้ บ ริห ารของแต่ ล ะ ้ โรงพยาบาลมีอํานาจสิทธิ ์ขาดในการบริหารงาน โรงพยาบาลกรุงเทพภูเก็ตเป็ น 1 ใน 2 โรงพยาบาลในเครือกรุงเทพดุสตเวชการทีผานการประเมินผลการดําเนินงานในทุกเกณฑ์ททาง ิ ่ ่ ่ี ส่วนกลางกําหนดในปี ทผ่านมา (2550) ทังทีได้ปรับลดราคาค่าบริการและราคายาสําหรับคน ่ี ้ ่ ไทยลงมา (หลังจากทีได้ตรึงราคามาแล้วสองปี ) ซึงน่าจะเป็ นเหตุผลหนึ่งทีทาให้ประธานบริหาร ่ ่ ่ ํ ของเครือฯ ได้ให้นโยบายให้โรงพยาบาลทุกแห่งในเครือไปพิจารณาลดค่ารักษาพยาบาลสําหรับ คนไทยลงด้ ว ย แต่ ก ารที่จ ะดํ า เนิ น การแค่ ไ หนคงขึ้น กับ ดุ ล ยพินิ จ ของผู้บ ริห ารในแต่ ล ะ โรงพยาบาล ทังนี้ ผูบริหารโรงพยาบาลกรุงเทพภูเก็ตระบุว่า การลดอัตราค่ารักษาพยาบาลและราคา ้ ้ ยาเพือให้คนไทยได้เข้าถึงการบริการมากขึน เพราะโรงพยาบาลกรุงเทพภูเก็ตให้ความสําคัญกับ ่ ้ ลูกค้าชาวไทยไม่น้อยกว่าชาวต่างประเทศ ในส่วนของค่ารักษาพยาบาลและค่าธรรมเนียมทางการแพทย์ของโรงพยาบาลกรุงเทพ ภูเก็ตนัน อัตราค่าบริการของคนไข้ชาวต่างชาติจะสูงกว่าคนไข้ชาวไทยหรือชาวต่างประเทศทีมี ้ ่ 133
  • 152.
    ถินพํานักอยู่ในประเทศ ไม่ว่าจะเป็ นค่าธรรมเนียมทางการแพทย์(doctor fee86) ค่าห้อง87 ค่า ่ การพยาบาล88 และค่าอาหาร ซึงโดยเฉลียแล้วค่าใช้จายของคนไข้ชาวต่างชาติจะตกประมาณ 2 ่ ่ ่ 89 เท่าของคนไทย ในช่วง 2-3 ปี ทผานมา จํานวนคนไข้ทเข้ามารับบริการทีโรงพยาบาลกรุงเทพ ่ี ่ ่ี ่ ภูเก็ตเพิมขึนอย่างต่อเนื่อง ทังคนไข้ชาวไทยและชาวต่างชาติ ่ ้ ้ ั ั แม้ว่าปจจุบนโรงพยาบาลจะมีรายได้จากคนไข้ต่างชาติมากกว่าครึง แต่ทงผูบริหารและ ่ ั้ ้ แพทย์โรงพยาบาลกรุงเทพภูเก็ตต่างก็ตระหนักดีว่าจะไม่สามารถพึงแต่คนไข้ต่างชาติ เพราะ่ ถึงแม้จะมีนักท่องเทียวเข้ามาทีภูเก็ตถึง 5 ล้านคนต่อปี แต่กจะมามากเฉพาะในฤดูท่องเทียว ่ ่ ็ ่ ฐานลูกค้าคนไทยจึงยังเป็ นส่วนสําคัญของโรงพยาบาล ซึงยังเน้นการรักษาความสัมพันธ์ทดกบ ่ ่ี ี ั คนไข้ทุกกลุ่ม ผูอํานวยการเองมีความเห็นว่าการให้ความช่วยเหลือโครงการสาธารณะต่างๆ ้ (เช่น ส่งรถพยาบาลไป standby รวมถึงให้ความช่วยเหลือแก่ชุมชน) เป็ นวิธทดในการสร้าง ี ่ี ี ชื่อเสียงและความความสัมพันธ์ทดกบชุมชนมากกว่าการโฆษณา (เช่น billboard ทีมค่าใช้จ่าย ่ี ี ั ่ ี นับล้านบาท) ในด้านการจัดบริการ ผูบริหารโรงพยาบาลกรุงเทพภูเก็ตไม่มนโยบายทีจะจัดแผนกหรือ ้ ี ่ บุคลากรแผนกทีรกษาผูป่วยชาวต่างชาติโดยเฉพาะ โดยให้บริการรวมกันไปทังคนไข้ไทยและ ่ั ้ ้ ต่างชาติ แต่อาจมีการจัดหนังสือพิมพ์และนิตยสารภาษาไทยและต่างประเทศไว้ในมุมทีต่างกัน ่ อย่างไรก็ตาม ในการปรับตัวเพื่อรับคนไข้ต่างชาตินัน ต้องมีการตกแต่งสถานพยาบาล ้ ู ี ้ึ ่ ้ ่ ้ ั ั ให้ดดขน เช่น ต้องใช้โซฟาทีบุดวยหนังแท้ ซึงมีตนทุนสูงกว่าเดิม ปจจุบนค่าใช้จ่ายในการสร้าง ้ ่ ห้องผูปวยขนาดมาตรฐานตกประมาณห้องละ 5 ล้านบาท และในการบูรณะใหม่ (ซึงต้องทําใน ่ ทุกประมาณ 5 ปี ) ตกประมาณ 2 ล้านบาท ในด้านมาตรฐานโรงพยาบาลไม่มแผนที่จะให้ JCI มารับรอง เพราะเชื่อว่าปจจุบน ี ั ั ชื่อเสียงของโรงพยาบาลเป็ นทียอมรับอยูแล้ว จึงไม่จาเป็ นต้องเสียค่าใช้จ่ายนับสิบล้านบาท อีก ่ ่ ํ ทังลูกค้าชาวต่างชาติส่วนใหญ่ของโรงพยาบาลเป็ นชาวอังกฤษ เยอรมัน และสแกนดิเวียน90 ้ ไม่ใช่ชาวอเมริกน (ทีให้ความสําคัญกับ JCI มากกว่า) แต่ได้ศกษาและนําแนวทางบางอย่างมา ั ่ ึ ใช้ เนื่องจากเห็นว่า JCI จะช่วยสร้างมาตรฐานในการดูแลคนไข้ให้ดยงขึน ี ่ิ ้ 86 ซึ่งจะคิดค่าบริการเพิมขึ้นประมาณเท่าตัว ตัวอย่างเช่น ค่าแพทย์สําหรับผู้ป่วยนอกทัวไปที่เก็บคนไทย ่ ่ ประมาณ 250-300 บาท จะเก็บชาวต่างประเทศประมาณ 500-600 บาท แต่โดยทัวไปแล้วแพทย์กตองใช้ ่ ็ ้ เวลากับชาวต่างชาติมากกว่าเช่นกัน 87 ซึงมีตงแต่อตราเริมต้นที่ 1,800 ไปจนถึง 21,000 บาทต่อวัน ่ ั้ ั ่ 88 เริมทีประมาณ 500-600 บาทต่อวัน ่ ่ 89 การตังราคาในแต่ละโรงพยาบาลในเครือขึนกับนโยบายของผูอํานวยการจะแตกต่างกัน ผูถอหุนของเครือ ้ ้ ้ ้ ื ้ กรุงเทพฯ ทีมาจากสหรัฐฯ มักจะกดดันให้ตงราคาให้เหมือนกัน แต่เรืองนี้ไม่เป็ นประเด็นสําหรับผูถอหุนชาติ ่ ั้ ่ ้ ื ้ อื่น ผูบริหารโรงพยาบาลกรุงเทพภูเก็ตระบุดวยว่าโรงพยาบาลในสิงคโปร์จะติดประกาศไว้วาเก็บค่ารักษาคน ้ ้ ่ ต่างชาติในอัตราทีสงกว่าปกติรอยละ 30 ู่ ้ 90 ่ี ่ ซึงต่างกับในกรุงเทพมหานครทีอาจมีคนไข้ญปุนและตะวันออกกลางค่อนข้างมาก ่ ่ 134
  • 153.
    ด้านวิชาการ นอกจากทางโรงพยาบาลจะมี conferenceกับส่วนกลางและสาขาอื่นทุก สัปดาห์แล้ว ยังมีนโยบายส่งแพทย์ไ ปประชุมวิชาการทัง ในและต่ างประเทศ และสนับ สนุ น ้ งานวิจย โดยทางโรงพยาบาลออกค่าใช้จายให้ทงหมด ั ่ ั้ แพทย์ทุกรายของโรงพยาบาลในเครือจะต้องซื้อ malpractice insurance โดย โรงพยาบาลเจรจาให้ และหักจาก doctor fee โดยอัตราเบียประกันจะต่างกันตามสาขาวิชาชีพ ้ (ประมาณ 9,000-15,000 บาทต่อปี สาหรับทุนประกันหนึ่งล้านบาทต่อหนึ่ง case แต่ในส่วนของ ํ ศัลยแพทย์ดานความงามทุนประกันจะครอบคลุมถึง 2 ล้านบาทต่อ case) และปรับตามประวัติ ้ การ claim ในอดีตของแพทย์แต่ละคน (experienced rating) โรงพยาบาลไม่ทา self insurance ํ เพราะจะได้ไม่มผลประโยชน์ทบซ้อน (conflict of interest) ี ั จํานวนแพทย์ของโรงพยาบาลกรุงเทพภูเก็ตเพิมจาก 30 คน (จากช่วงก่อนทีมโครงการ ่ ่ ี ั ั 30 บาทฯ) เป็ น 70 คนในปจจุบน การเพิมจํานวนของแพทย์นนไม่ได้เป็ นผลมาจากการเข้ามา ่ ั้ ของคนไข้ชาวต่างชาติหรือ medical tourism แต่อย่างเดียว แต่เป็ นผลมาจากการทีตลาด (ทัง ่ ้ คนไข้ไทยและต่างชาติ) มีการขยายตัว จึงมีการลงทุนทังในด้านเครื่องไม้เครื่องมือเพิมมากขึน ้ ่ ้ ส่งผลให้มการจ้างแพทย์เพิมขึน ทังนี้ แพทย์แต่ละคนต้องให้การรักษาทังคนไข้ชาวไทยและ ี ่ ้ ้ ้ ชาวต่างชาติ โดยไม่มการแยกแพทย์เพื่อให้การรักษาชาวต่างชาติโดยเฉพาะ อย่างไรก็ตาม ี โดยทัวไปแล้วระยะเวลาในการให้บริการแก่คนไข้ชาวต่างชาติจะนานกว่าคนไข้ชาวไทย ซึงส่วน ่ ่ หนึ่งเป็ นเพราะมีอุปสรรคทางด้านภาษามากกว่า อย่างไรก็ตาม เมื่อมีคนไข้ต่างชาติมารับ บริการมากขึน แพทย์มแนวโน้มทีจะให้ขอมูลและอธิบายรายละเอียดของโรคเพิมขึน ซึ่งคนไข้ ้ ี ่ ้ ่ ้ ชาวไทยน่าจะได้รบประโยชน์โดยตรงจากส่วนนี้ดวย ั ้ ในช่วงทีทางโรงพยาบาลหันมาเน้นนโยบาย medical tourism นัน คนไข้ทงชาวไทย ่ ้ ั้ และชาวต่างชาติมจํานวนเพิมขึน แต่การเพิมขึนของรายได้จากคนไข้ชาวต่างชาติจะมากกว่า ี ่ ้ ่ ้ คนไข้ชาวไทย ซึงส่วนหนึ่งเป็ นเพราะอัตราค่ารักษาพยาบาลทีเก็บจากคนไข้ชาวต่างชาติสงกว่า ่ ่ ู คนไข้ชาวไทย อย่างไรก็ตาม จํานวนคนไข้ชาวต่างชาติอาจมีการผันผวนขึ้นอยู่กบฤดูกาล ั ท่องเทียวหรือความเสียงอื่นๆ ทีไม่สามารถทํานายได้ อีกทังคนไข้ชาวต่างประเทศทีเข้ามารับ ่ ่ ่ ้ ่ บริการก็มจานวนน้อยกว่าคนไข้ชาวไทยอยูแล้ว ดังนัน คนไข้ชาวไทยจึงยังเป็ นฐานลูกค้าสําคัญ ีํ ่ ้ ทีโรงพยาบาลให้ความสนใจ ด้วยเหตุน้ี โรงพยาบาลกรุงเทพภูเก็ตจึงได้ดาเนินมาตรการการลด ่ ํ ราคายา ส่งผลให้มจํานวนคนไข้เพิมมากขึน ทําให้สามารถประหยัดจากการซื้อในปริมาณมาก ี ่ ้ และยังสามารถรักษา margin ได้ตามเป้าทีตองการ ่ ้ ในด้านความพร้อมที่เมืองไทยจะเป็ นศูนย์กลางทางการแพทย์ของเอเชีย (Medical Hub of Asia) นัน ผูบริหารโรงพยาบาลกรุงเทพภูเก็ตเห็นว่า การให้บริการทางการแพทย์ของ ้ ้ ไทยไม่เป็ นรองชาติใดในเอเชีย ประเทศไทยมีแพทย์ทมความรูความสามารถและมีการให้บริการ ่ี ี ้ ้ ั ที่ดีเยี่ยม และในธุรกิจด้านรักาาพยาบาลนัน ปจจัยสําคัญที่มีอิทธิพลต่ อการตัดสินใจเข้ารับ บริการคือ ความไว้เนื้อเชื่อใจ (trust) มิใช่แบรนด์และราคา ด้วยเหตุน้ี คู่แข่งทางด้านราคาอย่าง ประเทศอินเดียจึงไม่ใช่คู่แข่งที่น่ากลัวของไทย ถึงแม้การให้บริการทางการแพทย์ในประเทศ 135
  • 154.
    อินเดียนันมีการขยายตัวในอัตราทีสง แต่ในแง่ของรายได้นน ผูบริหารโรงพยาบาลกรุงเทพภูเก็ต ้ ู่ ั้ ้ เชื่อว่ายังสูโรงพยาบาลในเครือกรุงเทพดุสตเวชการเพียงเครือเดียวไม่ได้ จุดแข็งของอินเดียคือมี ้ ิ บุคลากรมากและมีคารักษาพยาบาลทีถูกมาก เนื่องจากอุปกรณ์และเครืองมือทางการแพทย์ทใช้ ่ ่ ่ ่ี ล้วนแต่ผลิตขึนในประเทศอินเดีย อินเดียจึงเหมาะสําหรับตลาดประกันทีเน้นการให้บริการแบบ ้ ่ mass (การรับลูกค้าของบริษทประกันในบางประเทศ และคิดอัตราค่าบริการในราคาถูก) ั มากกว่าการให้บริการเฉพาะทางหรือบริการทีมความเชื่อมโยงกับการท่องเทียวเช่นในประเทศ ่ ี ่ ไทย ดังนัน ประเทศไทยจึงควรดําเนินกลยุทธ์แบบ niche market ต่อไป โดยไม่จาเป็ นต้องรับ ้ ํ ลูกค้าแบบ mass จากบริษทประกัน การวางกลยุทธ์เช่นนี้ จะทําให้ประเทศไทยเป็ น Premium ั ั ั Health Care Service อย่างไรก็ตาม ในปจจุบน ภูมภาคทีเป็ นจุดยุทธศาสตร์และเหมาะสมต่อ ิ ่ ่ี ั ั การเป็ นศูนย์กลางทางการแพทย์ทสุดในปจจุบนคือตะวันออกกลาง เนื่องจากมีทตงทีเหมาะสม ่ี ั ้ ่ ํ ้ ั และมีกาลังซือสูง แต่ปญหาสําคัญทีคอขาดบุคลากรทางการแพทย์ ดังนัน โรงพยาบาลของไทย ่ ื ้ บางกลุ่มก็อาจจะไปร่วมลงทุนและ/หรือไปรับหน้าทีบริหารโรงพยาบาลทีจะตังใหม่ในตะวันออก ่ ่ ้ กลาง ช่องทางการตลาดและการประชาสัมพันธ์ ทางโรงพยาบาลยังคงดําเนิ นการขยายตลาดต่ า งประเทศอย่า งต่ อเนื่ อง กิจกรรมที่ ดําเนินในต่างประเทศ ประกอบด้วยการจัดโรดโชว์ การสัมมนาให้ความรูเกี่ยวกับบริการทาง ้ การแพทย์ในจังหวัดภูเก็ต และข้อมูลเกี่ยวกับโรงพยาบาลกรุงเทพภูเก็ต รวมถึงข้อมูลเกี่ยวกับ ศัลยกรรมตกแต่งเพื่อความงาม และเปิ ดโอกาสให้ผสนใจซักถาม รวมถึงให้คาปรึกษาการผ่าตัด ู้ ํ ในต่างประเทศ (เช่นสวีเดนและออสเตรเลีย โดยเฉพาะตลาดประเทศออสเตรเลียที่ถูกมองว่า เป็ น Blue Ocean) ซึงโรงพยาบาลกรุงเทพภูเก็ตก็ได้นําแพทย์และพยาบาลไปแนะนําบริการ ่ ของโรงพยาบาล พร้อมกับตอบข้อซักถาม ส่งผลให้คนไข้ชาวออสเตรเลียเดินทางเข้ามารับ บริการที่โรงพยาบาลเพิมขึ้น 200% บริการสําคัญที่มคนไข้ท่เดินทางจากต่างประเทศมารับ ่ ี ี 91 บริการทีโรงพยาบาลได้แก่การตรวจสุขภาพ และทันตกรรม ่ 91 นอกจากนี้ โรงพยาบาลกรุงเทพภูเก็ตมีช่อเสียงในหมูชาวต่างชาติมากเพราะในช่วงทีประเทศไทยประสบ ื ่ ่ ภัยธรรมชาติคลื่นยักษ์สนามิ ึ ้ ั ั ผูบริหารโรงพยาบาลกรุงเทพภูเก็ตในปจจุบน (ซึงในขณะนันเป็ นรอง ่ ้ ้ํ ี ้ ้ ่ ผูอานวยการ) ได้มนโยบายรับผูประสบภัยเข้ารักษาโดยไม่เก็บค่ารักษาจากผูปวย โดยในช่วงดังกล่าวทาง โรงพยาบาลได้ยกเว้นค่ารักษาประมาณ 25 ล้านบาท (ในส่วนนี้ ภายหลังได้รบการชดเชยกลับมาจากบริษท ั ั ประกันต่างๆ ประมาณ 10 ล้านบาท) ในช่วงดังกล่าวโรงพยาบาลจึงประสบภาวะขาดทุน ประกอบกับการ หายไปของนักท่องเทียวในช่วงหลังสึนามิ จนคาดว่าอาจจะต้องปิดกิจการ แต่ทางโรงพยาบาลได้ผานภาวะ ่ ่ วิกฤตินนมาได้ และยังทําให้มช่อเสียงมากขึน และ นพ.ก้องเกียรติ เกศเพชร์ ผูอานวยการ ได้รบเชิญไป ั้ ี ื ้ ้ํ ั บรรยายเรืองนี้จากนับสิบประเทศ ่ 136
  • 155.
    บทบาท ความช่วยเหลือ และความสัมพันธ์กบภาครัฐ ั ผูบริหารโรงพยาบาลกรุงเทพภูเก็ตเห็นว่าภาครัฐควรมองในภาพกว้างโดยใช้นโยบาย ้ Dual Track กล่าวคือ รัฐไม่จาเป็ นต้องให้การสนันสนุ นมากนัก แต่ไม่กดกันหรือแทรกแซงการ ํ ี ดําเนินงานของภาคเอกชน ทางโรงพยาบาลกรุงเทพภูเก็ตไม่ได้ต้องการความช่วยเหลือจาก ภาครัฐ นอกเหนือจากการอํานวยความสะดวกในด้านวีซ่า (เช่น visa on arrival สําหรับ ้ ่ ผูปวยหนัก) ในทางกลับกัน ก็ไม่ตองการให้ภาครัฐมาแทรกแซงการดําเนินงานของโรงพยาบาล ้ เอกชนในเรื่องนี้ และไม่เห็นด้วยกับการทีโรงพยาบาลของรัฐ (เช่นโรงเรียนแพทย์บางแห่ง) จะ ่ พยายามเข้ามาทําโครงการด้านนี้ เพราะเห็นว่าโรงพยาบาลของรัฐ น่าจะเน้นทีการให้บริการแก่ ่ ประชาชนในระดับกลางจนถึงระดับล่าง เพราะถ้าโรงเรียนแพทย์ปรับการให้บ ริการเสมือน โรงพยาบาลเอกชน จะทําให้เกิดการแย่งทรัพยากรกันระหว่างโรงพยาบาลรัฐและโรงพยาบาล เอกชน และอาจก่อให้เกิดการเบียดบังการให้บริการแก่คนไข้ชาวไทย สิงทีเห็นว่าภาครัฐควรยื่น ่ ่ มือเข้ามาช่วย คือการจัดเตรียมโครงสร้างพื้นฐานเพื่อรองรับการเข้ามาของนักท่องเที่ยวและ คนไข้ชาวต่างชาติจากนโยบาย medical tourism รวมถึงส่งเสริมให้มการผลิตบุคลากรทางการ ี ั ั ั แพทย์ใ ห้ม ากขึ้น เนื่ องจากป จจุบ น มีป ญหาการขาดแคลนบุ ค ลากรทางการแพทย์ รวมทัง ้ ั พยาบาล ซึ่งกลายเป็ นปญหาสําคัญเพราะโรงเรียนพยาบาลในไทยจะผลิตพยาบาลตามอัตรา จ้างของภาครัฐ ทําให้ผลิตได้ไม่เพียงพอกับความต้องการทังในภาครัฐและเอกชน นอกจากนี้ ้ ยังให้ความเห็นอีกว่า ประเทศไทยไม่มช่องว่างให้แพทย์และพยาบาลจากภาคเอกชนกลับไป ี โรงพยาบาลภาครัฐ เนื่ องจากไม่มีตําแหน่ ง หรืออัตรามารองรับ อีกทัง ยังขาด not-for-profit ้ organization ทีจะมารองรับบุคลากรทางการแพทย์ท่ไม่อยากอยู่ในภาคราชการและเอกชน ่ ี นอกจากนี้ โรงพยาบาลเอกชนสามารถมีบทบาทเป็ นโรงเรียนแพทย์เหมือนในหลายประเทศ เพื่อผลิตบุคลากรให้เพียงพอเพื่อกับความต้องการบุคลากรทีมากขึน (รวมทังจากการขยายตัว ่ ้ ้ ของการท่องเที่ยวเชิงสุขภาพในประเทศไทยในอนาคต) แต่อาจจะทําได้ยากเพราะระบบของ ไทยไม่คอยมีโรงพยาบาลทีเป็ น not-for-profit organization ่ ่ ้ ั ั ี ในส่วนของโรงพยาบาลกรุงเทพภูเก็ตเองนัน ปจจุบนก็มความสัมพันธ์ในลักษณะเกือกูล ้ กับโรงพยาบาลรัฐหลายประการ เช่น ส่งแพทย์ไปช่วยทําบอลลูนที่สถาบันโรคทรวงอก และ โรงพยาบาลตํารวจ (และทําหัตถการอื่นๆ ทีโรงพยาบาลวชิระภูเก็ต และโรงพยาบาลป่าตอง) ่ โดยได้ออก clinical privilege ให้แพทย์เหล่านันไปทําการรักษาทีโรงพยาบาลอื่น ซึ่งทาง ้ ่ โรงพยาบาลได้จ่ายเงินเดือนให้ตามปกติ ทังนี้ เพื่อเป็ นการฝึ กทัก ษะและให้แ พทย์มจํา นวน ้ ี หัตถการที่มากพอที่จะรักษาทักษะของตน อีกทังยังช่วยแบ่งเบาภาระงานของโรงพยาบาลรัฐ ้ ด้วย และทางโรงพยาบาลยังรับแพทย์จากโรงพยาบาลรัฐในจังหวัดใกล้เคียงทีเปิ ดคลินิกได้ยาก ่ (เช่น กระบี) มาเข้าเวร หรือรับแพทย์เฉพาะทาง (เช่น Hematologist) จากโรงพยาบาลศูนย์ ่ สุราษฎร์ธานี มา consult case ในช่วงวันหยุด ซึงนอกจากทางโรงพยาบาลจะได้ประโยชน์แล้ว ่ วิธน้ีกน่าจะช่วยรักษาบุคลากรทางการแพทย์ทตองการอยู่ในภาครัฐให้สามารถอยู่ในภาครัฐได้ ี ็ ่ี ้ นานขึนด้วย ้ 137
  • 156.
    ถ้าพิจารณาจากกรณีศึกษาในกรอบที่ 7.1 โดยเฉพาะนโยบายด้านราคาก็อาจดู เหมือนว่าผู้บริหารโรงพยาบาลกรุงเทพภูเก็ตมีมุมมองหรือวิสยทัศน์ ท่ีแตกต่ างจากผู้บริหาร ั โรงพยาบาลทีเป็ น medical hub อื่นๆ และความแตกต่างนี้นํามาซึงความสําเร็จ (อย่างน้อย ่ ่ ในช่วงนี้) แม้กระทังเมือวัดด้วยมาตรวัดด้านธุรกิจของกลุ่มโรงพยาบาลกรุงเทพดุสตเวชการ (ซึง ่ ่ ิ ่ น่าจะเป็ นมาตรวัดทีเ่ ข้มข้นพอสมควร เมือพิจารณาจากทีผอานวยการโรงพยาบาลกรุงเทพภูเก็ต ่ ่ ู้ ํ ระบุวามีโรงพยาบาลในเครือเพียง 2 แห่งเท่านันทีผานทุกเกณฑ์ทตงไว้) ่ ้ ่่ ี ่ ั้ แน่ น อนว่ า มุ ม มองและ/หรื อ วิ ส ัย ทัศ น์ ข องผู้ บ ริ ห ารเป็ น ส่ ว นที่ มี ค วามสํ า คัญ ต่ อ ความสําเร็จของโรงพยาบาล อย่างไรก็ตาม คณะผูวจยเห็นว่ายังมีปจจัยทีสําคํญอืนๆ ทีทําให้ ้ิั ั ่ ่ ่ โรงพยาบาลกรุงเทพภูเก็ตต่างกับอีกหลายโรงพยาบาลทีผนตัวเองมาเป็ น medical hub ใน ่ั ประเทศไทย โรงพยาบาลกรุ ง เทพภู เ ก็ต เป็ น โรงพยาบาลที่ต ัง ในแหล่ ง ท่อ งเที่ย ว และเป็ น แหล่ ง ้ ่ ่ ี ่ ั ั ท่องเทียวของกลุ่มนักท่องเทียวทีมรายได้คอนข้างดี ปจจุบนโรงพยาบาลมีรายได้สวนใหญ่จาก ่ ่ คนไข้ต่างชาติ (ซึงส่วนใหญ่เป็ นนักท่องเทียว ทีเข้ามาทีภูเก็ตถึง 5 ล้านคนต่อปี ) แต่การที่ ่ ่ ่ ่ นักท่องเที่ยวจะเข้ามามากเฉพาะในฤดูท่องเที่ยวเท่านัน และมีโอกาสที่จะลดฮวบฮาบถ้ามี ้ ั ปญหาทีรุนแรง (กรณีสนามิถอเป็ นตัวอย่างทีสุดโต่งในเรื่องนี้ แต่กอาจมีกรณีอ่นทีส่งผลกระทบ ่ ึ ื ่ ็ ื ่ ได้ไม่น้อย เช่น ถ้ามีไฟไหม้ในสุมาตราติดต่อกันเป็ นเวลานาน หรือแม้กระทังปญหาการเมือง ่ ั ภายในประเทศ) แต่ถงจะไม่มกรณีเหล่านี้ ทังผูบริหารและแพทย์โรงพยาบาลกรุงเทพภูเก็ตต่าง ึ ี ้ ้ ก็ตระหนักดีว่าก็ไม่สามารถพึงแต่คนไข้ต่างชาติ (ยกเว้นโรงพยาบาลยินดีเปิ ดทําการเฉพาะใน ่ ฤดูท่ อ งเที่ย วปี ล ะประมาณ 6 เดือ น) ฐานลู ก ค้า คนไทยจึง ยัง เป็ น แหล่ ง รายได้ท่ีสํา คัญ ของ โรงพยาบาล และการกําหนดราคาสําหรับคนไทย (และ/หรือคนในพืนที) ก็จะต้องพิจารณาจาก ้ ่ ศักยภาพของโรงพยาบาลในช่วงนอกฤดูท่องเทียวทีรายได้เกือบทังหมดของโรงพยาบาลมาจาก ่ ่ ้ คนไทยด้วย (และแน่ นอนว่า ถ้าโรงพยาบาลต้องการทีรกษาความสัมพันธ์ทดกบคนในพืนทีใน ่ั ่ี ี ั ้ ่ ระยะยาว (ซึ่งคงเป็ นเป้ าหมายของทุกโรงพยาบาลอยู่แล้ว ) โรงพยาบาลก็ค วรต้องใช้ร าคา ดังกล่าวกับคนไทยในฤดูทองเทียวด้วยเช่นกัน92 ่ ่ ในทางกลับกัน ถ้าโรงพยาบาลมีวตถุประสงค์จะทํากําไรสูงสุด โรงพยาบาลก็มเี หตุผลที่ ั จะคิด ค่ า รัก ษาพยาบาลจากชาวต่ า งชาติ (ซึ่ง โดยทัวไปจะมีกําลัง ซื้อ ที่สูง กว่า คนไทยอย่า ง ่ ชัดเจน) ในอัตราที่พวกเขายินดีจ่าย ซึ่งน่ าจะเป็ นอัตราที่สูงกว่าอัตราที่คดกับคนไทยอย่างมี ิ นัยสําคัญ โดยเฉพาะในสภาวการณ์ทโรงพยาบาลจะต้องมีศกยภาพเหลือไว้ให้บริการคนไทยใน ่ี ั ฤดูทองเทียว ซึงน่าจะมาใช้บริการในอัตราทีไม่ต่างจากในช่วงนอกฤดูทองเทียวมากนัก ่ ่ ่ ่ ่ ่ การทีค ณะผู้วิจ ย ได้พ ยายามวิเ คราะห์น โยบายของโรงพยาบาลกรุ ง เทพภูเ ก็ต จาก ่ ั แรงจูงใจทางเศรษฐกิ จล้วนๆ ก็เพือทีจะชี้ให้เห็นว่า รูปแบบของ medical hub ทีพงประสงค์ ่ ่ ่ ึ 92 ถึงแม้ว่าโรงพยาบาลอาจใช้วธขนราคาในช่วงฤดูท่องเที่ยว และใช้วธออก “โปรโมชัน” ในช่วงนอกฤดู ิ ี ้ึ ิี ่ ท่องเทียวได้บาง แต่กคงจะทําได้ในขอบเขตทีจากัด เพราะไม่เช่นนัน คนไข้ไทยจะรูสกว่าทางโรงพยาบาลขึน ่ ้ ็ ่ํ ้ ้ ึ ้ ราคาในฤดูทองเทียวอยูดี ่ ่ ่ 138
  • 157.
    นัน ควรเป็ นรูปแบบทีโรงพยาบาลยังคงมีแรงจูงใจทางเศรษฐกิจในการให้บริ การกับคน ้ ่ ไทยในลักษณะที คล้ายกับกรณี ของโรงพยาบาลกรุงเทพภูเก็ต ซึ งเป็ นโรงพยาบาลที ่ ่ ่ จะต้ องคิ ดถึ งคนไทยอยู่ต ลอดเวลา ถึงแม้ว่าการ “คิดถึง” คนไทยจะไม่ได้หมายความว่า โรงพยาบาลจะต้องให้บริการคนไทยใน “ราคาถูก” เสมอไป (ถ้าเปรียบเทียบราคาทีโรงพยาบาล ่ กรุงเทพภูเก็ตเก็บจากคนไทยกับราคาที่โรงพยาบาลอื่นๆ ในหัวข้อ 6.1 เรียกเก็บ เช่น โรงพยาบาล ง. (ซึงอยูในเครือเดียวกันแต่อยูในจังหวัดทีประชาชนอาจมีรายได้ต่ํากว่าภูเก็ต และ ่ ่ ่ ่ โรงพยาบาลอาจไม่ต้องลงทุนด้านอาคารสถานที่ดเท่าโรงพยาบาลกรุงเทพภูเก็ต) หรือแม้แต่ ี โรงพยาบาล ข. (ในกรุง เทพมหานคร) ก็จะเห็นได้ว่า ค่า ใช้จ่ ายรวมที่ค นไข้ช าวไทยจ่า ยให้ โรงพยาบาลกรุงเทพภูเก็ต เช่น 81,000 บาท สําหรับผ่าตัดไส้ตง และ 72,000 บาทสําหรับการ ิ่ ผ่าตัดไส้เลื่อน ก็ไม่ได้เป็ นค่าใช้จายตํ่ากว่าโรงพยาบาลอื่นอย่างชัดเจนแต่อย่างใด)93 ่ สําหรับโรงพยาบาลอื่นๆ ทีไม่ได้ถูก “ธรรมชาติ” บังคับให้ต้องสนใจลูกค้าคนไทยมาก ่ เหมือ นกับ โรงพยาบาลกรุง เทพภู เ ก็ต นัน 94 วิธีห นึ่ ง ที่ร ฐ บาลจะสามารถทํา ให้โ รงพยาบาล ้ ั เหล่านันต้องหันมาสนใจลูกค้าคนไทยมากขึน ก็โดยการเก็บภาษีในอัตราที่ทําให้รายรับสุทธิท่ี ้ ้ สถานพยาบาลได้จากคนไข้ต่างชาติ (ซึ่งควรเป็ นรายรับที่หกค่าใช้จ่ายที่โรงพยาบาลมีภาระ ั เพิ่ม เติม ออกแล้ว ไม่ ว่ า จะเป็ น ค่ า จ้า งตัว แทนในต่ า งประเทศ ค่ า ล่ า ม ค่ า อาหาร/พ่อ ครัว ที่ โรงพยาบาลต้องจ่ายแพงเป็ นพิเศษ ค่าเคลมประกัน ฯลฯ) ไม่ต่างจากรายได้สุทธิทโรงพยาบาล ่ี 95 ได้ลูกค้าคนไทยในยามปกติ มากเกินไป โดยรายรับจากภาษีน้ีสามารถนํ ามาใช้อุดหนุ นการ ผลิต แพทย์เ พิ่ม ซึ่ง น่ า จะเป็ น วิธีท่ีเ ป็ น ธรรมกับ ผู้เ สีย ภาษี ช าวไทย (และอาจรวมถึ ง ชาว ต่างประเทศที่มาทํางาน/ตังถินฐานในประเทศไทย) ที่ปกติเป็ นผูรบภาระการอุดหนุ นการผลิต ้ ่ ้ั แพทย์ และน่ าจะเป็ นทางออกทีละมุนละม่อมมากกว่าการไปตัดการอุดหนุ นโดยเก็บค่าเล่าเรียน ่ จากนักศึกษาแพทย์ในอัตราทีคุมกับการลงทุนของภาครัฐ96 ่ ้ 93 และมีความเป็ นไปได้ว่า ถ้าทางโรงพยาบาลประสบความสําเร็จในการดึงลูกค้าจากต่างประเทศเข้ามารับ บริการในช่วงนอกฤดูทองเทียวมากขึนแล้ว ก็อาจจะทําให้อตราค่าบริการทีเก็บจากคนไทยเพิมสูงขึนกว่านี้ ่ ่ ้ ั ่ ่ ้ 94 แน่ นอนว่า ผูบริหารโรงพยาบาลอื่นๆ ก็คงตระหนักด้วยเช่นกันว่า ในระยะยาว โรงพยาบาลคงไม่สามารถ ้ พึงคนไข้ต่างชาติลวนๆ ได้ แต่อาจจะไม่มความจําเป็ นทีเห็นเด่นชัดในช่วงเฉพาะหน้าเหมือนกับโรงพยาบาล ่ ้ ี ่ ทีอยูในแหล่งท่องเทียวทีมฤดูกาลท่องเทียวทีชดเจน ่ ่ ่ ่ ี ่ ่ ั 95 ่ ้ ี ู ่ี ่ ั ั ซึงหมายความว่าไม่ใช่เฉพาะรายรับจากกลุ่มผูมรายได้สงมากไม่กรายทียงมีปญญามารับบริการหลังจากที่ ร้อยละ 90 ของคนไข้กลายเป็ นชาวต่างชาติ 96 ่ ่ ั ั ซึงเคยมีการประมาณการว่าอยูท่ี 1.5-3 ล้านบาทต่อนักศึกษาแพทย์หนึ่งคน ปจจุบนแพทย์ทลาออกโดย ่ี ไม่ได้ทํางานชดใช้ทุนเป็ นเวลาสามปี จะต้องจ่ายเงินชดเชย 400,000 บาท และในทางปฏิบตการลาออกมัก ั ิ เกิดขึนหลังจากช่วงเพิมพูนทักษะในปี แรก (เพราะก่อนหน้านันแพทย์ยงไม่ได้ใบประกอบโรคศิลปะ) ทําให้ ้ ่ ้ ั แพทย์ทลาออกมักต้องจ่ายเงินชดเชยไม่เกิน 263,000 บาท ่ี 139
  • 158.
    7.4 ข้อเสนอของคณะผูวิจย ้ ั จากการศึกษาและการประมวลความเห็นของฝ่ายต่างๆ คณะผูวจยมีขอเสนอสําหรับ ้ิั ้ ภาครัฐ ซึงประกอบด้วยข้อเสนอทีควรดําเนินการทันที (ข้อเสนอที่ 1-6 และ 11-13) และข้อเสนอ ่ ่ ทีควรพิจารณา (ข้อเสนอที่ 7-10) โดยแยกเป็ นหมวดข้อเสนอด้านกําลังคน (ข้อเสนอที่ 1-10) ่ และข้อเสนออื่นๆ (ข้อเสนอที่ 11-13) ดังต่อไปนี้ 7.4.1 ข้อเสนอด้านกําลังคน ข้อเสนอส่วนนี้ประกอบด้วยข้อเสนอทีควรดําเนินการทันทีดงต่อไปนี้ ่ ั ข้อเสนอที่ 1: เร่งผลิ ตแพทย์เพิ ม ่ ั เหตุผล: ปญหาความขาดแคลนเป็ นเรื่องใหญ่ จึงสมควรผลิตแพทย์เพิมเท่าที่ศกยภาพจะ ่ ั อํานวย ที่ผ่านมาแพทยสภามีขอกังวลในด้านคุณภาพ ทังในส่วนของศักยภาพของสถาบันที่ ้ ้ ั ผลิตแพทย์และในส่วนของคุณภาพของตัวนักเรียนแพทย์ ปญหาในด้านของสถาบันทีผลิตมีทง ่ ั้ ในด้านทรัพยากรเงินและกําลังคน ในส่วนของการเงินนัน ถ้าปฏิบตตามข้อเสนอที่ 7 ก็น่าจะ ้ ั ิ ั ช่วยแก้หรือบรรเทาปญหานี้ได้ ในด้านกําลังคน (รวมทังในด้านคุณภาพของนักศึกษา) นัน ถ้า ้ ้ ระบบบริการมีระบบการแบ่งงานและการส่งต่อที่ดี ก็ไม่จําเป็ นต้องมีแพทย์ท่เป็ นระดับหัวกะทิ ี 97 ทัง หมด จึง อาจมีห ลัก สู ต รแพทย์ใ นระดับ ที่ต่ํ า ลงมาสํา หรับ สถาบัน ที่มีศ ัก ยภาพตํ่ า กว่ า ้ โรงเรียนแพทย์ชนนํา ทังนี้การมีแพทย์ทคุณภาพลดลงมาบ้างทีมี commitment ทีจะทํางานใน ั้ ้ ่ี ่ ่ ั ั ่ ชนบทน่ าจะยังเป็ นทางออกทีดกว่าการรักษาในหลายโรงพยาบาลในปจจุบนทีต้องให้พยาบาล ่ ี ตรวจแทนเป็ นประจําเนื่องจากมีแพทย์ไม่พอ ข้อเสนอที่ 2: ร่วมมือกับโรงพยาบาลเอกชนในการผลิ ตแพทย์ เหตุผล: อาจารย์แพทย์ผเชียวชาญจํานวนมากถูกดึงตัวไปภาคเอกชน ซึงหลายแห่งก็มเครื่อง ู้ ่ ่ ี ไม้เครื่องมือทีดี แต่อาจจะไม่มคนไข้ทหลากหลายเท่าโรงเรียนแพทย์ และอาจมีโอกาสในการ ่ ี ่ี เพิมพูนทักษะในบางด้านก็อาจน้อยลง โรงเรียนแพทย์ทมช่อเสียงในต่างประเทศจํานวนไม่น้อย ่ ่ี ี ื ไม่ได้เป็ นของภาครัฐ ั ั หมายเหตุ: ปจจุบนกรมการแพทย์กําลังพิจารณาความร่วมมือกับโรงพยาบาลเอกชนในด้าน การฝึ ก อบรมแพทย์ ป ระจํ า บ้ า น (เช่ น โครงการความร่ ว มมือ ระหว่ า งสถาบัน โรคหัว ใจ โรงพยาบาลราชวิถี กับโรงพยาบาลกรุงเทพ) 97 ั ั ปจจุบนนักศึกษาแพทย์มาจากกลุ่มหัวกะทิ (ประมาณร้อยละ 2 ของผูทจบการศึกษามัธยมปลายในแต่ละปี ) ้ ่ี ในด้าน input นัน การขยายไปถึงกลุ่มหัวกะทิประมาณร้อยละ 5 ของผูทจบการศึกษามัธยมปลายในแต่ละปี ้ ้ ่ี ก็ไม่น่าจะทําให้คุณภาพโดยเฉลียของนักศึกษาแพทย์ลดลงมากนัก ่ 140
  • 159.
    ข้อเสนอที่ 3: อนุญาตให้แพทย์ชาวต่างชาติทีได้รบใบประกอบโรคศิ ลป์ จากสถาบันหรือ ่ ั องค์กรที ได้รบการรับรองเข้ามารักษาคนไข้ต่างชาติ ได้โดยไม่ต้องสอบใบประกอบโรค ่ ั ศิ ลป์ เป็ นภาษาไทย (หรืออย่างน้ อยเปิ ดให้สอบเป็ นภาษาอังกฤษ) เหตุผล: มีหลักฐานแวดล้อมหลายประการทีบ่งชี้ว่าประเทศไทยยังมีแพทย์ไม่เพียงพอทีจะ ่ ่ ั ให้บริการประชาชนคนไทยทังประเทศได้อย่างมีคุณภาพ (ถึงแม้ว่าปญหาส่วนหนึ่งจะเกิดจาก ้ การกระจายตัวทีแตกต่างกันมากในแต่ละภูมภาค แต่กไม่มหลักฐานที่บ่งชีอย่างชัดเจนว่าในมี ่ ิ ็ ี ้ ้ ี ั พืนที่ใดในประเทศที่มแพทย์มากเกินไปจนมีปญหาการว่างงานหรือต้องหันไปประกอบอาชีพ อื่น) การเข้ามาของคนไข้ต่างชาติ (โดยเฉพาะอย่างยิงในส่วนทีเ่ ป็ น medical tourist) จึงเพิมแรง ่ ่ ่ ั กดดันทีทําให้ปญหาการขาดแคลนมีความรุนแรงยิงขึ้น ในระยะยาวถ้าสามารถผลิตแพทย์ (ทัง ่ ้ แพทย์ทวไปและแพทย์เฉพาะทาง) เพิมขึนในอัตราทีสูง (ตามข้อเสนออื่นๆ) ก็น่าจะมีส่วนช่วย ั่ ่ ้ ่ ั บรรเทาปญหานี้ลงได้ แต่กจะต้องใช้เวลาอย่างน้อย 5-10 ปี (รวมทังมีขอจํากัดในด้านการ ็ ้ ้ ควบคุมคุณภาพที่อาจทําให้ไม่สามารถผลิตแพทย์เพิมได้อย่างรวดเร็ว) ดังนัน ถ้าภาครัฐจะ ่ ้ สนับสนุ นให้หาเงินตราเข้าประเทศด้วย medical tourism ภาครัฐก็มหน้าทีทจะต้องหาทางี ่ ี่ บรรเทาผลกระทบทีจะมีต่อคนไทย ซึงวิธหนึ่งทําได้โดยอนุญาตให้แพทย์ต่างชาติเข้ามาด้วย ่ ่ ี ในด้านควบคุมคุณภาพแพทย์ต่างชาติให้ได้มาตรฐานของไทยนัน สามารถดําเนินการ ้ โดยให้แพทยสภาจัดให้มการสอบใบประกอบโรคศิลป์เป็ นภาษาอังกฤษ98 และภาษาต่างประเทศ ี อื่นๆ ทีแพทยสภามีศกยภาพพอทีจะดําเนินการได้ (โดยใช้ขอสอบทีมเนื้อหาเหมือนกับข้อสอบ ่ ั ่ ้ ่ ี ภาษาไทย) และมีเงื่อนไขการออกใบประกอบโรคศิลปะทีอนุ ญาตให้รกษาคนไข้ดวยภาษาที่ ่ ั ้ สอบและภาษาแม่ของแพทย์เท่านัน นอกจากนี้ อาจพิจารณาอนุ ญาตให้แพทย์ชาวต่างชาติท่ี ้ ได้รบใบประกอบโรคศิลป์จากสถาบันหรือองค์กรที่ได้รบการรับรองจากคณะกรรมการร่วมที่ ั ั ประกอบด้วยตัวแทนจากแพทยสภา โรงเรียนแพทย์ กพ./กพร. และตัวแทนภาคเอกชน (เช่น เจ้าของ/ผูบริหารโรงพยาบาลเอกชน)99 เข้ามารักษาเฉพาะคนไข้ต่างชาติได้โดยไม่ตองผ่านการ ้ ้ สอบใบประกอบโรคศิลป์เป็ นภาษาไทย100 98 ซึงน่าจะอยูในวิสยทีสามารถดําเนินการได้โดยไม่ยาก ทังนี้ ในอดีตแพทยสภาก็เคยมีการสอบเป็ น ่ ่ ั ่ ้ ภาษาอังกฤษมาก่อน 99 สาเหตุทเสนอให้ใช้คณะกรรมการร่วมก็เพื่อถ่วงดุลผูมส่วนได้สวนเสีย ไม่ให้ขนกับการตัดสินของแพทย์ ่ี ้ ี ่ ้ึ ่ ่ ่ ล้วนๆ (ซึงอาจมีแนวโน้มทีจะกีดกันแพทย์ต่างชาติ) หรือฝายธุรกิจหรือภาครัฐ (ซึงอาจให้ความสําคัญกับการ ่ หารายได้มากเกินไป) วิธน้ีน่าจะเป็ นประโยชน์สาหรับการนํ าเข้าแพทย์จากประเทศทีไม่ได้ใช้ภาษาอังกฤษ ี ํ ่ เป็ นหลัก 100 ประเทศคูแข่งทีสาคัญของไทยอย่างสิงคโปร์ และประเทศจีนทีกาลังขยายบริการรักษาพยาบาล ต่างก็ม ี ่ ่ํ ่ ํ นโยบายทีเปิดให้แพทย์ต่างชาติเข้ามาทํางานในประเทศ (ประเทศพัฒนาแล้วอย่างสหรัฐอเมริกาและอังกฤษ ่ เองก็เคยเปิดรับแพทย์จากประเทศกําลังพัฒนาอย่างกว้างขวางในช่วงทีประเทศเหล่านี้ขาดแคลนแพทย์และ ่ พยาบาล) 141
  • 160.
    ข้อเสนอที่ 4: เร่งผลิตทันตแพทย์เพิ ม ่ ี ั เหตุผล: ทันตแพทย์มปญหาการขาดแคลนทีรนแรงกว่าการขาดแคลนแพทย์เสียด้วยซํ้า แต่ท่ี ุ่ ผ่านมามีผให้ความสนใจค่อนข้างน้อย ู้ ข้ อ เสนอที่ 4.1: เปิ ดรับ นั ก ศึ ก ษาที จ บปี 1 ในสาขาอื น มาแทนนั ก ศึ ก ษาทันตแพทย์ที ่ ่ ่ ่ ่ ออกไปในปี แรก ซึงทําให้สามารถผลิ ตทันตแพทย์เพิ มได้จานวนมาก (เกือบร้อยละ 20 ใน ํ บางปี ) โดยไม่ต้องลงทุนด้านเครืองมือเพิ ม ่ ่ ั ั เหตุผล: เนื่องจากในปจจุบน ในแต่ละปี มนกศึกษาทันตแพทย์ปี 1 จํานวนไม่น้อยทีลาออกไปสอบ ี ั ่ เข้ามหาวิทยาลัยใหม่ ทําให้คณะทันตแพทย์สวนใหญ่ผลิตทันตแพทย์ได้น้อยกว่าศักยภาพจริงของ ่ ตน หมายเหตุ: ควรศึกษาและพิจารณานํ าแนวทางนี้ไปใช้กบสาขาด้านการแพทย์อ่นๆ ทีขาดแคลน ั ื ่ ด้วย ่ ข้อเสนอที่ 5: เร่งผลิ ตพยาบาลเพิ ม และบรรจุพยาบาลทีต้องการเป็ นข้าราชการ ่ เหตุผล: ั ั ั - ปจจุบนมีปญหาขาดแคลนพยาบาลอย่างรุนแรง (ทังในภาครัฐและเอกชน) แต่สถาบันภาครัฐ ้ หลายแห่งกลับผลิตพยาบาลน้อยกว่าศักยภาพเนื่ องจากวางแผนการผลิตทียดติดกับอัตราจ้าง ่ ึ ของสถาบันเอง และการจํากัดอัตรากําลังของข้าราชการทําให้พยาบาลจํานวนมากไม่มแรงจูงใจ ี ทีจะทํางานในภาครัฐ ่ - เราจึงสามารถผลิตพยาบาลเพิมขึนได้อกจํานวนหนึ่ง และจะสามารถรักษาพยาบาลให้อยู่ใน ่ ้ ี ภาครัฐได้มากขึนโดยปรับเปลี่ยนนโยบายด้านการผลิตและด้านกําลังคนของภาครัฐ ถึงแม้ว่า ้ การเปลียนแปลงนโยบายด้านกําลังคนโดยบรรจุพยาบาลเข้าเป็ นข้าราชการจะมีผลต่อค่าใช้จาย ่ ่ 101 ของภาครัฐ แต่กน่าจะเป็ นวิธการทีมตนทุนต่อสังคมไม่สงนัก เมือเทียบกับประโยชน์ทจะได้รบ ็ ี ่ ี ้ ู ่ ่ี ั ข้อเสนอที่ 6: ผลิ ต/อบรมพยาบาลเวชปฏิ บติเพือมารักษาผูป่วยจํานวนมากทีเ่ ป็ นแค่โรค ั ่ ้ พื้นๆ ั เหตุผล: เพื่อบรรเทาปญหาการขาดแคลนแพทย์ และน่ าจะเป็ นวิธท่มประสิทธิภาพ และ ี ี ี สามารถยกระดับคุณภาพการรักษาในสถานีอนามัย/ศูนย์สขภาพชุมชน ุ ข้อพิ จารณา: ประชาชนต้องการตรวจกับแพทย์ การผลิตแพทย์เพิมขึน (เช่นตามข้อเสนอที่ 2) ่ ้ น่าจะเป็ นวิธทดกว่าและมีคุณภาพในการรักษามากกว่า ี ่ี ี 101 ั ั ในปจจุบน ต้นทุนทีสาคัญส่วนหนึ่งของการบรรจุขาราชการเพิมคือสวัสดิการรักษาพยาบาลของข้าราชการ ่ํ ้ ่ ซึงมีคาใช้จายต่อหัวสูงมากเมือเทียบกับโครงการอื่นๆ แต่เมือคิดเป็ นค่าใช้จายต่อข้าราชการหนึ่งคนแล้ว ก็ยง ่ ่ ่ ่ ่ ่ ั ตกประมาณ 1,500 บาทต่อคนต่อเดือนเท่านัน ดังนัน แม้กระทังเมือรวมกับต้นทุนอื่นทีรฐต้องจ่าย (เช่น ้ ้ ่ ่ ่ั ั บําเหน็จบํานาญทีเพิมขึน) การแก้ปญหาด้วยวิธน้ีสาหรับพยาบาลก็ยงน่าจะเป็ นการลงทุนทีคุมค่าของรัฐ ่ ่ ้ ี ํ ั ่ ้ 142
  • 161.
    นอกจากนี้ ยงมีข้อเสนออื่นๆ ที่เกี่ยวข้องกับด้านกําลังคนที่ควรพิจารณาดําเนินการ ั ต่อไป ได้แก่ ข้อเสนอที่ 7: เก็บค่าธรรมเนี ยมการรักษาพยาบาลจากผูป่วยต่างชาติ ทีเ่ ดิ นทางเพือเข้า ้ ่ มารับการรักษาพยาบาลในประเทศไทย และนํ ามาอุดหนุนการผลิ ตบุคลากรเพิ ม และ ่ ่ ่ ช่วยเพิ มแรงจูงใจในการรักษาหรือเพิ มอาจารย์แพทย์ผเชียวชาญในโรงเรียนแพทย์ู้ ่ เหตุผล: - ที่ผ่านมารัฐบาลได้ให้การอุดหนุ นการผลิตบุคลากรทางการแพทย์ในอัตราที่ค่อนข้างสูง102 เพราะเห็นความจําเป็ นที่ต้องมีบุคลากรมารักษาพยาบาลประชาชนคนไทย (ซึ่งเป็ นผูรบภาระ ้ั ภาษีในส่วนนี้)103 การมีคนไข้ต่างชาติเดินทางเข้ามาเพื่อรับการรักษาพยาบาลโดยเฉพาะย่อม ั ส่งผลให้ปญหาการขาดแคลนบุคลากรทางการแพทย์มความรุนแรงขึ้น ดังนัน ถ้ารัฐบาลมี ี ้ นโยบายทีจะหารายได้เข้าประเทศจากคนไข้กลุ่มนี้ รัฐบาลก็ยอมมีภาระหน้าทีใ่ นการลงทุนผลิต ่ ่ บุคลากรทางการแพทย์เพิมขึ้น (ไม่เช่นนันแล้วย่อมหมายความว่ารัฐบาลปล่อยปละละเลยให้ ่ ้ ชาวต่างชาติเข้ามาแย่งทรัพยากรส่วนนี้จากคนไทย) และในมุมมองด้านความเป็ นธรรมนัน ้ คนไข้ต่างชาติทเ่ี จาะจงเข้ามารับบริการทางการแพทย์กสมควรมีส่วนร่วมรับภาระค่าใช้จ่ายใน ็ ่ ั ั การผลิตบุคลากรทางการแพทย์ (ซึงปจจุบนส่วนใหญ่มาจากภาษีของคนไทย) ด้วย - นอกจากนี้ มาตรการนี้จะช่วยลดผลกระทบทีเกิดกับคนไทย (เช่น ทําให้ราคาค่ารักษาพยาบาล ่ ของคนไทยไม่เพิมขึนมากหรือเร็วเท่ากับราคาค่ารักษาพยาบาลทีสถานพยาบาลเรียกเก็บจาก ่ ้ ่ คนไข้ทมาจากต่างประเทศ และมีสวนช่วยลดผลกระทบด้านการขาดแคลนบุคลากร เนื่องจากจะ ่ี ่ ทําให้จานวนคนไข้ต่างชาติเพิมขึนในอัตราทีต่ํากว่าในกรณีทไม่มการเก็บค่าธรรมเนียมนี้) ํ ่ ้ ่ ่ี ี - ถ้ามาตรการนี้สามารถชลอไม่ให้ค่ารักษาพยาบาลของคนไทยเพิมขึนอย่างรวดเร็วตามกําลัง ่ ้ ซื้อของต่างชาติ ก็จะช่วยชลอไม่ให้ภาระค่าใช้จ่ายที่ภาครัฐต้องรับจากโครงการหลักประกัน สุขภาพต่างๆ เพิมขึนอย่างรวดเร็วตามกําลังซือของต่างชาติดวย ่ ้ ้ ้ ่ ่ ั - ในช่วงทีผานมา โรงเรียนแพทย์หลายแห่งประสบปญหาทีอาจารย์แพทย์ผเชียวชาญมักถูกดึง ่ ู้ ่ ไปอยูภาคเอกชนด้วยแรงจูงใจทางการเงินทีเหนือกว่ามาก ในขณะทีการผลิตแพทย์เพิมอย่างมี ่ ่ ่ ่ คุณภาพคงต้องการอาจารย์แพทย์เพิมขึ้น การนํ ารายรับที่เพิมขึ้นส่วนนี้มาอุดหนุ นการผลิต ่ ่ แพทย์จงน่ าจะสามารถช่วยโรงเรียนแพทย์รกษาอาจารย์แพทย์ผเชียวชาญเอาไว้ รวมถึงการรับ ึ ั ู้ ่ อาจารย์ใหม่เข้ามาเพิม ่ ข้อพิ จารณา: ั ั ั - เนื่องจากในปจจุบนมีปญหาวิกฤติเศรษฐกิจโลก (และยังอาจมีผลกระทบจากป ญหาความ ั ขัดแย้งทางการเมืองภายในประเทศด้วย) ซึ่งยังไม่ชดเจนว่าจะมีผลกระทบต่อจํานวนคนไข้ ั 102 จากการประมาณการอย่างหยาบๆ รัฐบาลมีค่าใช้จ่ายในการผลิตแพทย์ทวไปประมาณ 1.5-2 ล้านบาทต่อ ั่ คน และถ้ารวมค่าใช้จายในการผลิตแพทย์จนเป็ นแพทย์ผเชียวชาญก็น่าจะสูงกว่านี้มาก ่ ู้ ่ 103 รวมถึงชาวต่างชาติทมาทํางานและตังถินฐานในประเทศไทย ซึงโดยทัวไปแล้วมีสวนร่วมในการจ่ายภาษี ่ี ้ ่ ่ ่ ่ ให้กบประเทศไทยเช่นกัน ั 143
  • 162.
    ต่างชาติทจะเข้ามารับบริการมากน้อยเพียงใด (โดยเฉพาะอย่างยิงในปี 2552)ดังนัน จึงยังไม่ ่ี ่ ้ ควรเริมใช้มาตรการนี้ในปี 2552 แต่ควรดําเนินการศึกษาเพิมเติมและเตรียมความพร้อมในกรณี ่ ่ 104 ที่จะนํ ามาตรการนี้ มาดําเนิ นการในปี ต่อๆ ไป เมื่อพบว่าจํานวนผู้ป่วยชาวต่างชาติท่ีเดิน ทางเข้ามารับบริการทางการแพทย์ในประเทศไทยเริมมีแนวโน้มกลับมาเพิมขึนอีก ่ ่ ้ ข้อเสนอที่ 8: ขยายอายุเกษี ยณของแพทย์ในระบบราชการ เหตุผล: เพือเป็ นการใช้ทรัพยากรบุคคลทีมอยูอย่างเต็มเม็ดเต็มหน่วยมากขึน และน่ าจะช่วยลด ่ ่ ี ่ ้ ผลกระทบทีเกิดจากบุคลากรทางการแพทย์จานวนมากถูกดึงไปรักษาคนไข้ต่างชาติ) ่ ํ ข้อพิ จารณาเพิ่ ม เติ ม : ผลที่ได้อาจจะไม่มากอย่างที่หวัง เพราะปกติแพทย์อาวุ โสในระบบ ราชการก็มแนวโน้ มที่จะรับภาระด้านงานบริการค่อนข้างน้ อยอยู่แล้ว และสําหรับแพทย์ท่ยง ี ี ั ่ ั้ ั ั สนใจทํางานให้ภาครัฐอยูนน ปจจุบนหลายหน่วยงานก็มการจ้างแพทย์เหล่านันอยูแล้ว) ี ้ ่ ข้อเสนอที่ 9: เปิ ดโอกาสให้ แพทย์อาวุโสในภาคเอกชนกลับเข้ามาสู่ระบบรัฐโดยมี ตําแหน่ งทีเ่ หมาะสมกับระดับประสบการณ์และความสามารถ เหตุผล: แพทย์ในภาคเอกชนจํานวนไม่น้อยไม่ได้พอใจทีจะอยู่ในภาคเอกชนตลอดชีวตการ ่ ิ ั ทํางาน แพทย์อาวุโสหลายท่านมีประสบการณ์และสติปญญาทีโรงเรียนแพทย์หรือโรงพยาบาล ่ ั ั รัฐสามารถใช้ประโยชน์ ได้ ในปจจุบน แพทย์อาวุโสเหล่านันไม่มช่องทางที่จะกลับเข้ามายัง ้ ี ภาครัฐแบบมีศกดิ ์ศรี (เช่น ด้วยตําแหน่งทีเหมาะสมกับระดับประสบการณ์และความสามารถ)105 ั ่ ทําให้ภาครัฐไม่ได้รบประโยชน์ จากแพทย์เหล่านัน (ยกเว้นในกรณีรบแพทย์ท่เกษียณแล้วมา ั ้ ั ี ช่วยตรวจ) ข้อพิ จารณา: - อาจบันทอนแรงจูงใจของแพทย์ทอยูในระบบของรัฐมาโดยตลอด ่ ่ี ่ - มีอุปสรรคในด้านกฎระเบียบราชการ (ในส่วนของมหาวิทยาลัยนัน เมื่อออกนอกระบบ ปญหา ้ ั ั นี้อาจลดลง แต่จะยังเป็ นปญหาทีสาคัญในสถานพยาบาลอื่นๆ ของรัฐ) ่ํ 104 เพราะการทีจะเก็บค่าธรรมเนียมจากชาวต่างชาติเฉพาะกลุมทีเป็ น medical tourist นัน คงจะต้องมีการ ่ ่ ่ ้ กําหนดกฎเกณฑ์และกระบวนการในการดําเนินการและการตรวจสอบทีรดกุมพอ (เช่น ถ้ากําหนดว่าจะ ่ั ยกเว้นการเก็บค่าธรรมเนียมแก่คนไข้ชาวต่างชาติทมหลักฐานการตังถินฐานในประเทศไทย ก็จะต้องศึกษาว่า ่ี ี ้ ่ ในทางปฏิบตควรใช้หลักฐานอะไรบ้าง) ั ิ 105 ่ ั ั ถ้าเปรียบเทียบกับตําแหน่งทางราชการในระดับสูงหลายตําแหน่ง ซึงปจจุบนเปิ ดโอกาสให้สรรหาคนนอก (หรือยอมให้คนนอกสมัครเข้า แข่งขัน) แต่ในกรณีน้ี รวมถึงตําแหน่ งระดับกลางต่างๆ ด้วย ไม่ใ ช่เฉพาะ ตําแหน่งผูบริหารองค์กร ้ 144
  • 163.
    ่ ข้อเสนอที่ 10: เพิมค่าตอบแทนบุคลากรด้านการแพทย์ทีอยู่ในภาครัฐ ่ ่ ั เหตุผล: เพือลดปญหาสมองไหลไปสูภาคเอกชน ่ ข้อพิ จารณา: - ค่าใช้จายทีเพิมขึนของภาครัฐ ่ ่ ่ ้ ั ั - มาตรการนี้อาจมีผลจํากัด เพราะปญหาสมองไหลไม่ได้เกิดจากปญหาค่าตอบแทนแต่เพียง อย่างเดียว 7.4.2 ข้อเสนออืนๆ ่ ข้อเสนอที่ 11: การประสานงานและความร่วมมือของหน่ วยงานต่างๆ และความเป็ น เอกภาพด้ า นนโยบายของภาครัฐ ขอให้ห น่ ว ยงานต่ า งๆ ที่เ กี่ย วข้อ งของภาครัฐ ร่ว มมือ ประสานงานกันเองให้เป็ นระบบ และมีการแลกเปลียนข้อมูลกันเองมากขึน ่ ้ ตัวอย่างเหตุผลของฝ่ ายสนับสนุน: - นโยบายภาครัฐยังไม่ชดเจนและไม่เป็ นเอกภาพ ั ั - ป จ จุ บ ัน มีห น่ ว ยงานของรัฐ หลายหน่ ว ยงานที่เ กี่ย วข้อ ง แต่ ไ ม่ค่อ ยประสานงานกัน เอง เท่าทีควร สถานพยาบาลหลายแห่งถูกขอข้อมูลทีเหมือนหรือคล้ายกันจากหลายหน่วยงาน ่ ่ และ/หรือ ได้รบเชิญจากหลายหน่วยงานไปพูดเรืองเดียวกันซํ้าแล้วซํ้าอีก ั ่ ่ ข้อเสนอที่ 12: เพิ มตัวเลือก “มารับการรักษาพยาบาล” ในบัตรตรวจคนเข้าเมืองขาเข้า (ดูรปที่ 7.1) ู เหตุผล: - การสอบถามข้อมูลชาวต่างชาติในบัตรขาเข้า จะมีประโยชน์ มากในการรวบรวมข้อมูลที่ แม่ น ยํ า มากขึ้ น (โดยเฉพาะอย่ า งยิ่ ง ข้ อ มู ล จํ า นวนผู้ ท่ี เ ดิ น ทางเข้ า มาเพื่ อ รับ การ ั รัก ษาพยาบาลโดยเฉพาะ ซึ่ง ป จ จุ บ ัน ภาครัฐ เองยัง ไม่มีข้อ มูล นี้ และอาศัย เพีย งการ ประมาณการอย่างหยาบๆ เท่านัน) การดําเนินการเรืองนี้สามารถทําได้โดยแทบไม่มตนทุน ้ ่ ี ้ เลย ซึงจะเป็ นประโยชน์กบภาครัฐในการกําหนดแผนต่างๆ (รวมทังถ้าจะนํามาตรการด้าน ่ ั ้ ภาษีมาใช้) - รัฐบาลจะมีขอมูลทีสามารถนํ ามาใช้ในการพิจารณาต่อวีซ่าและอํานวยความสะดวกให้กบ ้ ่ ั คนไข้ชาวต่างชาติ 145
  • 164.
    รูปที่ 7.1 บัตรขาเข้าตรวจคนเข้าเมือง ข้อเสนอที่13: ควรมีการประกาศให้ผ้บริ โภคทราบราคาค่ารักษาพยาบาลโดยละเอียด ู (เช่ น อัตราค่ารักษาของแพทย์ ค่ ายา ค่ าเครืองไม้เครืองมือ และค่าที พกและอาหาร) ่ ่ ่ ั โดยติ ดประกาศและ/หรือมีรายละเอียดวางไว้ในทีผ้บริ โภคเห็นได้ชดและสามารถเข้าถึง ่ ู ั ได้โดยง่าย (รวมทังในเว็บของโรงพยาบาล) รวมทังมีการส่งข้อมูลที ประกาศ (และเมือ ้ ้ ่ ่ การเปลียนแปลงอัตราค่ารักษาพยาบาลต่างๆ) ให้กระทรวงสาธารณสุข ่ เหตุผล: - พรบ. สถานพยาบาล พ.ศ. 2541 มาตรา 32 (3) และประกาศกระทรวงสาธารณสุข ฉบับที่ 3 (พ.ศ.2542) ได้กําหนดรายละเอียดชนิดหรือประเภทของการรักษาพยาบาล และการบริการอื่น ของสถานพยาบาลทีผรบอนุ ญาตจะต้องแสดงมานับสิบปีแล้ว แต่ในทางปฏิบตไม่ได้มการบังคับ ่ ู้ ั ั ิ ี ใช้อย่างเข้มงวด โดยสถานพยาบาลมักอ้างว่าดําเนินการได้ลําบากเพราะรายการทีอยู่ในข่ายที่ ่ จะต้อ งประกาศมีจํา นวนมาก ผู้บ ริโ ภคแทบทัง หมดก็ไ ม่เ คยทราบว่ามีข้อ กํ า หนดดัง กล่ า ว ้ 146
  • 165.
    ั ั ่ อย่างไรก็ตามในปจจุบนทีราคาค่ารักษาพยาบาลและค่าบริการต่างๆ ในโรงพยาบาลเอกชนมี แนวโน้ มเพิมขึนอย่างรวดเร็ว (หรืออยู่ในระดับสูง) ผูบริโภค (รวมทังชาวต่างประเทศ) ควรมี ่ ้ ้ ้ โอกาสได้รบทราบข้อมูลราคาค่าบริการต่างๆ อย่างครบถ้วน ั - การกํ า หนดให้ส ถานพยาบาลส่ ง ข้อ มู ล อัต ราค่ า รัก ษาพยาบาลที่ป ระกาศ (และเมื่ อ การ เปลียนแปลงอัตราค่ารักษาพยาบาลต่างๆ) ให้กระทรวงสาธารณสุขจะทําให้ทางภาครัฐมีขอมูลที่ ่ ้ สามารถนํามาศึกษาความเปลียนแปลงของราคาค่ารักษาพยาบาลได้ รวมทังสามารถนํามาเป็ น ่ ้ ั ข้อมูลอ้างอิงเมื่อเกิดปญหาการร้องเรียน ซึงจะเป็ นการยกระดับมาตรฐานการคุมครองผูบริโภค ่ ้ ้ ด้านการรักษาพยาบาลของประเทศไทยให้มความน่าเชื่อถือมากขึนอีกทางหนึ่งด้วย ี ้ 7.5 อุปสรรคในการศึกษา ข้อจํากัด และข้อเสนอแนะเพิ่มเติม ั อุปสรรคที่สําคัญในการศึกษาเรื่องนี้ คือป ญหาด้านข้อมูล ซึ่งส่ว นหนึ่ งคงเป็ นเพราะ สถานพยาบาลที่มบ ทบาทสําคัญในด้านนี้ เป็ นสถานพยาบาลเอกชนแทบทังสิ้น ซึ่งบางครัง ี ้ ้ สถานพยาบาลเหล่านี้ไม่มแรงจูงใจทีจะรายงานข้อมูลโดยละเอียดให้กบรัฐบาล ปญหานี้เกิดขึน ี ่ ั ั ้ ในการศึกษาในประเทศเพื่อนบ้าน (เช่น มาเลเซียและสิงคโปร์) เช่นกัน โดยในประเทศสิงคโปร์ ที่มีก ารดํ า เนิ น การด้า นนี้ ม าเป็ น เวลายาวนาน (และมีร ัฐ บาลที่มีป ระสิท ธิภ าพสูง และช่ ว ย ั ภาคเอกชนค่อนข้างมาก) ก็ยงประสบปญหานี้จนรัฐบาลต้องใช้วธเก็บข้อมูลเพิมเติมทีสนามบิน ั ิี ่ ่ ั เอง มาเลเซีย ก็ มีป ญ หาความครบถ้ ว นของข้อ มู ล ที่ร ายงานจากสถานพยาบาลเอกชน เช่นเดียวกัน106 ในการศึกษานี้ คณะผูวจยได้เสนอ (ดูขอเสนอที่ 12 ในหัวข้อ 7.4) ให้รฐบาลเพิม ้ิั ้ ั ่ ตัวเลือก “มารับการรักษาพยาบาล” ในบัตรตรวจคนเข้าเมืองขาเข้า ซึ่งวิธน้ีจะช่วยให้ภาครัฐ ี ้ ่ ่ ั ั ทราบจํานวนผูทเี่ ดินทางเข้ามาเพือรับการรักษาพยาบาลโดยเฉพาะ (ซึงปจจุบนภาครัฐเองยังไม่ มีขอมูลนี้ โดยมีเพียงการประมาณการอย่างหยาบๆ เท่านัน) ้ ้ ในด้านการศึกษาข้อมูลผลการดําเนินการของสถานพยาบาล ก็มอุปสรรคในการขอ ี ข้อมูลต่างๆ จากสถานพยาบาล และแม้กระทังสถานพยาบาลทีจดทะเบียนในตลาดหลักทรัพย์ ่ ่ (ซึ่งมีสถานะเป็ นบริษทมหาชนทีมหน้าทีตองเปิ ดเผยข้อมูลทีมรายละเอียดทีเพียงพอทีผูถอหุน ั ่ ี ่ ้ ่ ี ่ ่ ้ ื ้ จะสามารถใช้ในการตัดสินใจ) สถานพยาบาลกลุ่มนี้โดยส่วนใหญ่กไม่ได้มการเปิ ดเผยข้อมูลใน ็ ี ระดับทีมากพอทีผวจยจะสามารถนํ ามาวิเคราะห์ขอมูลพืนๆ (เช่น จํานวนผูป่วยนอกและผูป่วย ่ ่ ู้ ิ ั ้ ้ ้ ้ ในที่เป็ นชาวต่างชาติและคนไทย รายรับต่อคนไข้ต่างชาติเทียบกับคนไทย หรือรายรับต่อวัน นอนของคนไข้ต่ า งชาติเ ทีย บกับ คนไทย) 107 ซึ่ง ผู้ถือ หุ้น น่ า จะมีโ อกาสได้ร บ ข้อ มูล เหล่ า นี้ ั 106 Chee Heng Leng (2007) ระบุวามีเพียงสถานพยาบาลบางแห่งทีรายงานตัวเลขยอดผูมาใช้บริการ ่ ่ ้ โดยเฉพาะอย่างยิงในปีแรกๆ ่ 107 สถานพยาบาลบางแห่งรายงานยอดขาย แต่ไม่รายงานจํานวนคนไข้ หรือไม่แยกผูป่วยนอกและผูป่วยใน ้ ้ และในบางกรณีเมือคณะผูวจยขอข้อมูลเหล่านี้เพิมเติม (รวมทังการแยกข้อมูลระหว่างคนไข้ไทยและต่างชาติ) ่ ้ิั ่ ้ ก็ได้รบคําตอบว่าเป็ นข้อมูลทีทางโรงพยาบาลถือว่าเป็ นความลับทางธุรกิจ) ั ่ 147
  • 166.
    (โดยเฉพาะอย่างยิงในกรณีของโรงพยาบาลเอกชนกลุ่มทีเน้นการรองรับผูปวยชาวต่างชาติ) ใน ่ ่ ้ ่ ส่วนนี้คณะกรรมการกํากับตลาดหลักทรัพย์ (กลต.) ควรพิจารณาให้สถานพยาบาลเปิ ดเผย ข้อมูลเหล่านี้ให้ละเอียดมากขึน โดยคํานึงถึงสิทธิของผูถอหุนรายย่อย ้ ้ ื ้ ข้อ จํ า กัด ที่สํา คัญ ประการหนึ่ ง ของการศึก ษานี้ คือ การเปรีย บเทีย บข้อ มู ล ระหว่ า ง ั ประเทศอย่างเป็ นระบบทําได้คอนข้างยาก เพราะนอกจากจะมีปญหาความครบถ้วนของข้อมูลที่ ่ ได้กล่าวมาข้างต้นแล้ว การเก็บข้อมูลของแต่ละประเทศก็มแบบแผนทีแตกต่างกัน (ตัวอย่างเช่น ี ่ ข้อมูลจํานวนคนไข้ชาวต่างชาติของไทยจะประกอบด้วยชาวต่างชาติททํางานหรือมีถนฐานใน ่ี ิ่ ประเทศไทยเป็ น ส่ ว นใหญ่ ขณะที่ส ิง คโปร์ จ ะเป็ น ชาวต่ า งชาติ ท่ีเ ดิน ทางเข้า มารับ การ รักษาพยาบาลในสัดส่ว นที่สูงกว่า ) นอกจากนี้ การเปรีย บเทียบตัว ชี้ว ดต่ างๆ ก็ทําได้ยาก ั ่ ี ั สําหรับประเทศทีมขนาดต่างกัน และอาจมีสภาพปญหาและจุดเน้นทีแตกต่างกัน (ตัวอย่างเช่น ่ สัดส่วนของคนไข้ต่างชาติต่อคนไข้ในประเทศอาจไม่ใช่มาตรวัดความสําเร็จทีดสาหรับประเทศ ่ ีํ ่ ี ั ไทยหรืออินเดียทีมปญหาการขาดแคลนแพทย์หรือการเข้าถึงบริการของคนในชาติ แต่อาจเป็ น ั ั มาตรวัด ที่ดีสํ า หรับ สิง คโปร์ ซ่ึ ง ป ญ หานี้ ไ ม่ ไ ด้ เ ป็ น ป ญ หาที่สํ า คัญ และไม่ มีอุ ป สรรคด้ า น กฎระเบียบในการดึงแพทย์ชาวต่างชาติเข้ามาเพิมเมื่อจําเป็ น) การศึกษาในส่วนนี้จงเป็ นส่วนที่ ่ ึ ยังมีขอจํากัดค่อนข้างมากและการตีความตัวชีวดต่างๆ ควรทําด้วยความระมัดระวังอย่างมาก ้ ้ั เอกสารอ้างอิ ง Chee Heng Leng. 2007. “Medical Tourism in Malaysia: International Movement of Healthcare Consumers and the Commodification of Healthcare.” Asia Research Institute Working Paper Series No.83. Retrieved August 18, 2007 from http://www.ari.nus.edu.sg/showfile.asp?pubid=642&type=2 148