ติวออนไลนฟรี! กับเกงดีดอทคอม
เฉลยขอสอบ O – Net
วิชาวิทยาศาสตร กุมภาพันธ 2549
ตอนที่ 1 ขอสอบปรนัยแบบ 4 ตัวเลือก จํานวน 32 ขอ
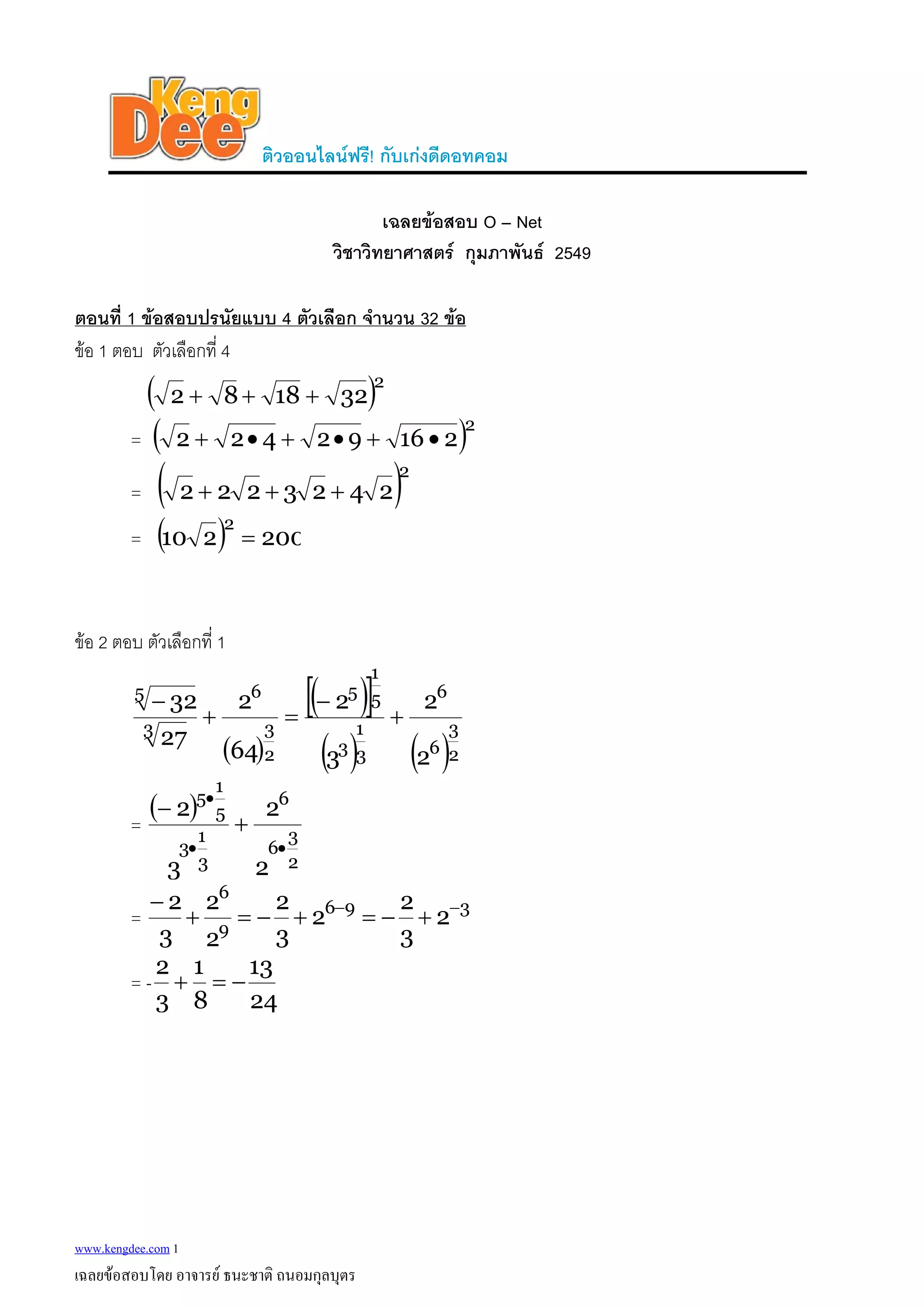
ขอ 1 ตอบ ตัวเลือกที่ 4
( )2
321882 +++
= ( )2
21692422 •+•+•+
= ( )2
2423222 +++
= ( ) 200210
2
=
ขอ 2 ตอบ ตัวเลือกที่ 1
( )
( )[ ]
( ) ( )2
3
6
6
3
1
3
5
1
5
2
3
6
3
5
2
2
3
2
64
2
27
32
+
−
=+
−
=
( )
2
3
6
6
3
1
3
5
1
5
2
2
3
2
••
•
+
−
= 396
9
6
2
3
2
2
3
2
2
2
3
2 −−
+−=+−=+
−
= -
24
13
8
1
3
2
−=+
www.kengdee.com 1
เฉลยขอสอบโดย อาจารย ธนะชาติ ถนอมกุลบุตร
ติวออนไลนฟรี! กับเกงดีดอทคอม
เฉลยขอสอบ O – Net
วิชาวิทยาศาสตร กุมภาพันธ 2549
ขอ 3 ตอบตัวเลือก 3
จากโจทยนํามาสรางแผนภาพไดดังรูป
{ 8,7,5=∩ }∴ BA ซึ่ง { } { }8,7,5,3,1,08,7,5 ⊆
ขอ 4 ตอบ ตัวเลือก 4
ฟงกชันจาก B ไป A จะไดวาโดเมนของฟงกชันตองอยูในเซต B และเรนจของฟงกชันตองอยูในเซต A โดยที่
โดเมนหนึ่งตัวโดยที่สามารถจับคูกับเรนจได 1 ตัวเทานั้น
พิจารณาตัวเลือกที่ 1 ผิดเพราะ D f Β∉
พิจารณาตัวเลือกที่ 2 ผิดเพราะ D หนึ่งตัว จับ R ไดมากกวา 1 ตัวf f
พิจารณาตัวเลือกที่ 3 ผิดเพราะ D f Β∉
www.kengdee.com 2
เฉลยขอสอบโดย อาจารย ธนะชาติ ถนอมกุลบุตร
ติวออนไลนฟรี! กับเกงดีดอทคอม
เฉลยขอสอบ O – Net
วิชาวิทยาศาสตร กุมภาพันธ 2549
ขอ 5. ตอบ ตัวเลือก 4
จาก f( = -x)x
2
( ) 104104 2
−−−=−+ xxx
= -( ) 104442
−−+− xx
= - ( ) ( ) 621042
22
−−−=−+− xx
พบวา กราฟเปนพาราโบลาคว่ําจุดยอดอยูที่จุด ( )6,2 −
∴กราฟนี้ไมมีจุดต่ําสุด แตมีจุดสูงสุดอยูที่จุด ( )6,2 −
จึงไดวา คาสูงสุด = - 6
พิจารณา f 10
2
9
4
2
9
2
9
2
−⎟
⎟
⎠
⎞
⎜
⎜
⎝
⎛
+⎟
⎟
⎠
⎞
⎜
⎜
⎝
⎛
−=⎟
⎟
⎠
⎞
⎜
⎜
⎝
⎛
= 10
2
12
2
9
−+−
= -4.5+6 2 -10
≈ -4.5+6( ) 10414.1 −
≈-6.016 < -6
ขอ 6 ตอบ ตัวเลือก 2
จาก y = -x ( ) 38123812 22
−+−=−= Xxx
= - ( ) 383636122
−−+− xx
= -( ) ( ) 2638366
22
−−−=−+− xx
∴ จุดวกกลับ P คือ จุดยอดของสมการพาราโบรา
( ) ( ) 26
2
−−−= xxf คือจุด (6,-2)
∴ ระยะทางของ op
v
= ( ) ( )( )22
0206 −−+−
= 40436 =+
= 2 10 หนวย
www.kengdee.com 3
เฉลยขอสอบโดย อาจารย ธนะชาติ ถนอมกุลบุตร
ติวออนไลนฟรี! กับเกงดีดอทคอม
เฉลยขอสอบ O – Net
วิชาวิทยาศาสตร กุมภาพันธ 2549
ขอ 7 ตอบ ตัวเลือก 2
จากกราฟผานจุด (-1,2) และ (1,2)
พิจารณาตัวเลือกที่ 1 แทนจุด (1,2)
ได f(x) = 1- ∴≠= 201 ตัวเลือก 1 ผิด
พิจารณาตัวเลือกที่ 3 แทนจุด (1,2)
ได f(x) = ∴≠=− 2011 ตัวเลือก 3 ผิด
พิจารณาตัวเลือกที่ 4 แทนจุด (-1,2)
ได f(x) = ( ) ∴≠=−+ 2011 ตัวเลือก 4 ผิด
พิจารณาตัวเลือกที่ 2 แทนจุด (-1,2)
ได f(x) = 211 =−+
แทนจุด (1,2) ได f(x) = 1+1 =2
ขอ 8 ตอบ ตัวเลือก 1
พิจารณาตัวเลือกที่ 1
r = ( )5.0,3.041667.0
12
5
3
1
4
5
3
4
5
∈==×=
ขอ 9 ตอบ ตัวเลือก 1
จาก a =10 910 ss −
= ( )[ ] ( )[ ]2932103
22
+−+
= 302-245
= 57
www.kengdee.com 4
เฉลยขอสอบโดย อาจารย ธนะชาติ ถนอมกุลบุตร
ติวออนไลนฟรี! กับเกงดีดอทคอม
เฉลยขอสอบ O – Net
วิชาวิทยาศาสตร กุมภาพันธ 2549
ขอ 10 ตอบ ตัวเลือก 1.
( )( )k
k
k
∑=
−+
50
1
11
= 0 + 4 + 0 + 8 + 0 +12 + …+ 0 + 100
= 4 + 8 +12 …+100
เปนอนุกรมเลขคณิตที่มี a1 =4, d=4, n=25
∴ ( )( ) ( ) ( )( )412542
2
25
11
50
1
•−+=−+∑=
k
k
k
= ( ) 1300968
2
25
=+
ขอ 11 ตอบ ตัวเลือก 4.
จากโจทย เปนลําดับเลขคณิตมี a1 =100 , d=10, a =340n
จาก an = a1 + (n-1) d
340 = 100 + (n-1) (10)
N = 25
∴วันที่ของเดือนมกราคมที่ปาจุขายไดกําไรเฉพาะวันนั้น 340 บาท คือ 3+25+-1= 27
www.kengdee.com 5
เฉลยขอสอบโดย อาจารย ธนะชาติ ถนอมกุลบุตร
ติวออนไลนฟรี! กับเกงดีดอทคอม
เฉลยขอสอบ O – Net
วิชาวิทยาศาสตร กุมภาพันธ 2549
ขอ 12 ตอบ ตัวเลือก 3
กําหนดให 3 พจนแรกของลําดับเลขคณิตคือ a-d, a , a+d
∴ ผลบวก 3 พจน = (a-d) + a +(a+d) = 3a
จากโจทย ผลบวก 3 พจนบวกแรก = 15
∴ จะได 3a = 15
a = 5
จากโจทย ผลคูณของสามพจนแรก = 80 จะได
( a-d )( a )( a+d ) = 80
( 5 – d )( 5 )(5+d ) = 80
(25- d )5 = 802
25 - d = 162
d = 92
ขอ 13 ตอบ ตัวเลือก 3
จาก
( ) ( )
4
4
4
2
2
2 x
x
=
2
2
1
2
x
⎟
⎟
⎠
⎞
⎜
⎜
⎝
⎛
=
( )42
4
2
2 x
8
4
2
2
2
2
2
xx
=
2 2
2
x
= 84
2 −x
∴จะได
2
2
x
= 4x – 8
x 1682
−= x
( )( ) 044
01682
=−−
=+−
xx
xx
4=x
www.kengdee.com 6
เฉลยขอสอบโดย อาจารย ธนะชาติ ถนอมกุลบุตร
ติวออนไลนฟรี! กับเกงดีดอทคอม
เฉลยขอสอบ O – Net
วิชาวิทยาศาสตร กุมภาพันธ 2549
ขอ 14 ตอบตัวเลือก 4
จัดเรียงขอมูลใหมจากนอยไปมากได 10,10,12,13,15
ได Med = 12 , Mode = 10
และ X =
5
1513121010 ++++
12=
ขอ 15 ตอบตัวเลือก 4
พิจารณาเปอรเซ็นไทลที่ 25 ของคะแนนสอบเทากับ 35 คะแนน P = 3525
ตําแหนงของ P =25 ( ) 10139
100
25
=+
หมายความวาจํานวนนักเรียนที่มีคะแนนนอยกวาหรือเทากับ 35 คะแนน มีทั้งสิ้น 10 คน ซึ่งจากโจทย
พบวาหนึ่งในนั้นเปนนักเรียนที่ไดคะแนน 35 คะแนนพอดี 1 คน
จากโจทยมีนักเรียนที่ไดคะแนนนอยกวาหรือเทากับ 80 คะแนน 30 คน จะไดวามีนักเรียนที่คะแนนนอยกวา
หรือเทากับ 80 คะแนน แตมากกวา 35 คะแนนอยู 30 – 10 = 20 คน
∴จํานวนนักเรียนที่สอบไดคะแนนชวง 35 – 80 คะแนน = 1 + 20 = 21 คน
www.kengdee.com 7
เฉลยขอสอบโดย อาจารย ธนะชาติ ถนอมกุลบุตร
ติวออนไลนฟรี! กับเกงดีดอทคอม
เฉลยขอสอบ O – Net
วิชาวิทยาศาสตร กุมภาพันธ 2549
ขอ 16 ตอบ ตัวเลือกที่ 3
ขอสอบตอนที่ 1 แตละขอสามารถตอบได 2 วิธี (จริง,เท็จ) 2 มี 5 ขอ
∴รวมมีวิธีการเลือกทั้งหมด 2×2×2×2×2 = 25
ขอสอบตอนที่ 2 มี 5 ขอแตละขอสามารถเลือกได 4 วิธี
∴ รวมมีวิธีการเลือกทั้งหมด 4×4×4×4×4 = 45
∴ ขอสอบชุดนี้มีวิธีในการเลือกตอบทั้งหมด = 2 55
4• วิธี
ขอ 17 ตอบ ตัวเลือกที่ 2
พิจารณาตัวเลือกที่ 1 ถา a = -1, b=0 จะไดวา -1 < 0 จริง แต(-1) < (0)2 2
∴ ตัวเลือกที่ 1 ผิด
พิจารณาตัวเลือกที่ 2 ถา a = -2, b=-1 จะไดวา -2<-1<0 จริง และ (-2) (-1) < (-2) ดวย2
∴ ตัวเลือกที่ 2 ถูก
พิจารณาตัวเลือกที่ 3 ถา a = 2, b=-5 จะไดวา 52 −< จริงแต 2 < -5
∴ ตัวเลือกที่ 3 ผิด
พิจารณาตัวเลือกที่ 4 ถา a = 2, b=-5 จะไดวา ( )2
2 < ( )2
5− จริงแต 2 < -5
∴ ตัวเลือกที่ 4 ผิด
www.kengdee.com 8
เฉลยขอสอบโดย อาจารย ธนะชาติ ถนอมกุลบุตร
ติวออนไลนฟรี! กับเกงดีดอทคอม
เฉลยขอสอบ O – Net
วิชาวิทยาศาสตร กุมภาพันธ 2549
ขอ 18 ตอบ ตัวเลือกที่ 3
พิจารณา ( ) ( )100100101000
102422 ==
พิจารณา 3 ( ) ( )1001006600
7293 =
พิจารณา 10 ( ) ( )1001003300
100010 ==
เนื่องจาก 100100100
10241000729 <<
∴ 3 1000300600
210 <<
ขอ 19 ตอบ ตัวเลือกที่ 4
จาก X = sin 65o
จะไดวา 0<x<1
∴จะไดวา ………….. (1) จาก (1 ) ทําใหตัวเลือกที่ 1 ผิดxx <2
พิจารณา x กับ
x
x
+1
จาก 1 < 1+x
จะได
x+
>
1
1
1
1
1
x
x
x
+
>
1
…………..(2)
จาก (2) พบวาตัวเลือกที่ 2 ผิด
พิจารณา x กับ2
x
x
+1
2
จาก 0<x ดวย12
<
และจาก 1 + < 1+x2
∴
1
1
> 2
1
1
x+
x 2
2
2
1 x
x
+
> ………(3)
จาก (3) พบวาตัวเลือกที่ 3 ผิด พบวาตัวเลือกที่สอดคลองกับ (1),(2),(3) คือ ตัวเลือกที่ 4
www.kengdee.com 9
เฉลยขอสอบโดย อาจารย ธนะชาติ ถนอมกุลบุตร
ติวออนไลนฟรี! กับเกงดีดอทคอม
เฉลยขอสอบ O – Net
วิชาวิทยาศาสตร กุมภาพันธ 2549
ขอ 20 ตอบ ตัวเลือกที่ 4
กําหนดให =Δ 0;1 ≥Δ−x ในสมการ
3
2
1
11
≤
−
−−
x
x
ได
3
21
≤
Δ
−Δ
3 23−Δ ≤ Δ
Δ ≤ 3 แทนคา =Δ 1−x
ได 1−x 3≤
ได -3 31 ≤−≤ x
-2 ≤x≤4 แตเนื่องจาก x II∈
∴ จะได A = { }4,3,2,1,0,1,2 −−
n(A) = 7
www.kengdee.com 10
เฉลยขอสอบโดย อาจารย ธนะชาติ ถนอมกุลบุตร
ติวออนไลนฟรี! กับเกงดีดอทคอม
เฉลยขอสอบ O – Net
วิชาวิทยาศาสตร กุมภาพันธ 2549
ขอ 21 ตอบ ตัวเลือก 1
o
30tan=
BA
CB
o
30tanBACB =
=
3
1
BA ×
v
=
3
BA
จากโจทยจะไดวา 324
2
1
=×× CBBA
324
32
1
=××
BA
BA
( ) ( )( )32432
2
=BA
( ) 144
2
=BA
AB = 12
www.kengdee.com 11
เฉลยขอสอบโดย อาจารย ธนะชาติ ถนอมกุลบุตร
ติวออนไลนฟรี! กับเกงดีดอทคอม
เฉลยขอสอบ O – Net
วิชาวิทยาศาสตร กุมภาพันธ 2549
ขอ 22 ตอบ ตัวเลือกที่ 2
จากรูป AC = ( )2222
31020 −=− BCAB
= 10100300400 ==−
จาก ABCΔ จะไดวา sinβ =
2
1
20
10
==
AB
AC
จาก จะไดวาBCDΔ βsin=
BC
CD
∴ CD = BCsin 35
2
1
310 =×=β
www.kengdee.com 12
เฉลยขอสอบโดย อาจารย ธนะชาติ ถนอมกุลบุตร
ติวออนไลนฟรี! กับเกงดีดอทคอม
เฉลยขอสอบ O – Net
วิชาวิทยาศาสตร กุมภาพันธ 2549
ขอ 23 ตอบ ตัวเลือก 4
จากโจทย sinB = 3sinA
จะได
AB
BC
AB
AC
3=
∴ AC = 3BC
จากโจทยพื้นที่ของ ABC = 15 หนวยΔ
จะได 15
2
1
=×× BCAC
( ) 153
2
1
=×× BCAB
( ) 15
2
3 2
=BC
BC = 10
จาก ABC จะได AB =Δ ( ) ( )2222
3 BCBCBCAC +=+
= 1010010109 ==+•
ขอ 24 ตอบ ตัวเลือก 1
จาก a 03220
=−+ a
a a2320
−=
พิจารณา 1+a+a เปนอนุกรมเขาคณิตที่มี a1 =1,r = a192
...a+
∴ S =n
( )
a
a
−
−
1
11 20
= ( )( )
a
a
−
−−
1
2311
= ( )
( )
2
1
12
1
22
−=
−
−−
=
−
+−
a
a
a
a
www.kengdee.com 13
เฉลยขอสอบโดย อาจารย ธนะชาติ ถนอมกุลบุตร
ติวออนไลนฟรี! กับเกงดีดอทคอม
เฉลยขอสอบ O – Net
วิชาวิทยาศาสตร กุมภาพันธ 2549
ขอ 25 ตอบ ตัวเลือก 2
จากเหตุขอ (1) เขียนแผนภาพได
จากเหตุ ขอ (2) เขียนแผนภาพได
จากเหตุขอ (3) เขียนแผนภาพได 2 แบบคือ
∴ จากเหตุทั้ง 3 ขอ เขียนแผนภาพไดดังนี้
∴ ตัวเลือกที่สอดคลองกับแผนภาพทั้ง 2 แบบคือตัวเลือกที่ 2
www.kengdee.com 14
เฉลยขอสอบโดย อาจารย ธนะชาติ ถนอมกุลบุตร
ติวออนไลนฟรี! กับเกงดีดอทคอม
เฉลยขอสอบ O – Net
วิชาวิทยาศาสตร กุมภาพันธ 2549
ขอ 26 ตอบ ตัวเลือก 1
เลขทาย 2 ตัว สามารถเปนไปได
n(s)=10 หมายเลข และหมายเลขที่มีหลักหนวยเปนเลขคี่10010 =×
และหลักสิบมากกวาหลักหนวยอยู 1คือ { },87,65,43,21
∴ n(E) =4
∴ P(E)=
( )
04.0
100
4)(
==
Sn
En
ขอ 27 ตอบ ตัวเลือก 4
พิจารณาตัวเลือกที่ 1
จากตาราง ชวงที่มีความถี่สูงสุด คือชวง 60 – 69
∴ ตัวเลือกที่ 1 ถูกตอง
พิจารณาตัวเลือกที่ 2
จากตารางนักเรียนที่มีน้ําหนักต่ํากวา 50 kg มีทั้งสิ้น 4+5 = 9 คน
∴ ตัวเลือกที่ 2 ถูกตอง
พิจารณาตัวเลือกที่ 3
จากตาราง ชวง 50-59 kg มีความถี่=13 นักเรียนทั้งหมดมีจํานวน 4+5+13+17+6+5=50
∴ นักเรียนที่มีน้ําหนักในชวง 50-59 มี 100
50
13
× = 26%
พิจารณาตัวเลือกที่ 4
จากตารางนักเรียนที่มีน้ําหนักอยูในชวง 80-89 มี 5 คน จากนักเรียนทั้งหมด 50 คน
∴ นักเรียนที่มีน้ําหนักตั้งแต 80-89 คน มี %10100
50
5
=×
∴ นักเรียนที่มีน้ําหนักมากกวา 80 kg มีนอยกวา หรือ เทากับ 10 %
∴ตัวเลือกที่ 4 ผิด
www.kengdee.com 15
เฉลยขอสอบโดย อาจารย ธนะชาติ ถนอมกุลบุตร
ติวออนไลนฟรี! กับเกงดีดอทคอม
เฉลยขอสอบ O – Net
วิชาวิทยาศาสตร กุมภาพันธ 2549
ขอ 28 ตอบ ตัวเลือก 3
ใหบุตรทั้ง 4 คนมีน้ําหนักเรียงจากนอยไปหามากได a,b,
med
↓ c,d
จากโจทยทราบวาบุตรที่มีน้ําหนักนอยสุด 2 คน มีน้ําหนักเทากัน ∴ a=b
เราทราบวา Mode = 45 , Med = 47.5 และพิสัย = 7
∴ a = b < Med
A = b < 47.5
จากโจทย Mode = 45
∴ a = b = 45
จากพิสัย = d – a = 7
∴ d – 45 = 7
d = 52
จาก Med = 5.47
2
=
+ cb
= 5.47
2
45
=
+ c
C = 50
∴ a=45, b=45, c=50, d=52
∴ X =
4
52504545 +++
48=
www.kengdee.com 16
เฉลยขอสอบโดย อาจารย ธนะชาติ ถนอมกุลบุตร
ติวออนไลนฟรี! กับเกงดีดอทคอม
เฉลยขอสอบ O – Net
วิชาวิทยาศาสตร กุมภาพันธ 2549
ขอ 29 ตอบ ตัวเลือก 2
ให พ.ศ. 2547 บริษัทพนักงาน n คน จากโจทย พ.ศ. 2547 2347 =x ป
จะได
n
x
X
n
i
i∑=
= 1
47
23 =
n
x
n
i
i∑=1
∴ nX
n
i
i •=⎟
⎠
⎞
⎜
⎝
⎛
∑=
23
471
เมื่อถึงป พ.ศ. 2548 ผลรวมของอายุพนักงานเพิ่มขึ้นจากป 2547 652 ป จะได
652
471481
+⎟
⎠
⎞
⎜
⎝
⎛
=⎟
⎠
⎞
⎜
⎝
⎛
∑∑ ==
n
i
i
n
i
i xy
= 23n + 652
ซึ่งป 2548 นี้มีพนักงานเพิ่มขึ้น 20 คน ทําใหอายุเฉลี่ย ในป 2548 เทากับ 25 ป จะไดวา
N
y
y
n
i
i
481
⎟
⎠
⎞
⎜
⎝
⎛
∑
=
=
แทนคา 25 =
20
65223
+
+
n
n
25n+500 = 23n+652
2n = 152
n = 76
∴ เมื่อสิ้นป พศ. 2548 บริษัทนี้มีพนักงานจํานวนทั้งสิ้น 76 + 20 = 96 คน
www.kengdee.com 17
เฉลยขอสอบโดย อาจารย ธนะชาติ ถนอมกุลบุตร
ติวออนไลนฟรี! กับเกงดีดอทคอม
เฉลยขอสอบ O – Net
วิชาวิทยาศาสตร กุมภาพันธ 2549
ขอ 30 ตอบตัวเลือก 1
จากแผนภาพ ตน – ใบ
พิจารณากลุมที่ 1
น้ําหนักของแตละคนในกลุมที่ 1 นํามาเรียงจากนอยไปมากได 34, 36, 38, 46, 46, 48,
∴ Mode1 = 46
Med1 = 42
2
4638
=
+
6
484646383634
1
+++++
=X
= 41.33
พิจารณากลุมที่ 2
น้ําหนักของแตละคนในกลุมที่ 2 นํามาเรียงจากนอยไปมากได 34,39,42,44,50
∴ Mode2 = 42
Med = 422
6
504442423934
2
+++++
=X
= 41.83
∴ 12 xx >
ขอ 31 ตอบ ตัวเลือกที่ 3
จาก SD
( )
N
xxi∑ −
=
2
2
แทนคา 16 = ( ) ( ) ( )
5
63137 22222
++−−+− x
80 = ( ) 557
2
+− x
( ) 257
2
=− x
7- x = 5±
x = 2 , 12 ; เนื่องจาก 7>x
www.kengdee.com 18
เฉลยขอสอบโดย อาจารย ธนะชาติ ถนอมกุลบุตร
ติวออนไลนฟรี! กับเกงดีดอทคอม
เฉลยขอสอบ O – Net
วิชาวิทยาศาสตร กุมภาพันธ 2549
ขอ 32 ตอบตัวเลือกที่ 1
พิจารณาคะแนนสอบของนักเรียนชาย พบวาความกวางของคะแนนในชวง Q -Q มากกวาความกวางของ
คะแนนในชวง Q1 -Q
2 3
2 ∴ จึงสรุปไดวา 8x > Med8
แต Med (ช) = Med (ญ) = x (ญ)
∴ x (ช) > x (ญ)
ตอนที่ 2 ขอสอบแบบอัตนัย จํานวน 10 ขอ ขอละ 2 คะแนน
ขอที่ 1. ตอบ 6
จาก f = ( ) ( ) ( ) ( )( ){ }2,53,4,5,3,1,2,0,1
จะไดวา f (2) + f(3)
= 1+5
= 6
ขอที่ 2 ตอบ 0.75
จาก 4 =a
2 จาก 16
4
16
=−
( ) 2
1
2
22 =
a
( ) 162
44 −−
=
2 = 2a2 2
1
4 12
4−−
=b
2a =
2
1
-2b = -1
a =
4
1
b =
2
1
∴ a+b = 75.0
4
3
2
1
4
1
==+
www.kengdee.com 19
เฉลยขอสอบโดย อาจารย ธนะชาติ ถนอมกุลบุตร
ติวออนไลนฟรี! กับเกงดีดอทคอม
เฉลยขอสอบ O – Net
วิชาวิทยาศาสตร กุมภาพันธ 2549
ขอ 3 ตอบ 39
จาก cotA =
5
12
วาด ABC ไดดังรูปΔ
AC = 13512 2222
=+=+ BCAB
∴ 10cosecA + 12 secA = 10 ⎟
⎠
⎞
⎜
⎝
⎛
+⎟
⎠
⎞
⎜
⎝
⎛
12
13
12
5
13
= 26+ 13
= 39
ขอ 4 ตอบ 0.8
จาก cosA =
5
3
วาดΔ ABC ไดดังรูป
BC = 435 2222
=+=+ ABAC
Cos(B-A) = Cos( ) AA sin90 =−o
= 8.0
5
4
==
AC
BC
www.kengdee.com 20
เฉลยขอสอบโดย อาจารย ธนะชาติ ถนอมกุลบุตร
ติวออนไลนฟรี! กับเกงดีดอทคอม
เฉลยขอสอบ O – Net
วิชาวิทยาศาสตร กุมภาพันธ 2549
ขอ 5 ตอบ 19
จากขอมูลทั้งหมด 10 จํานวน ∴ ตําแหนงของ Q3 = ( ) 25.8
4
3
110 =⎟
⎠
⎞
⎜
⎝
⎛
+
ใชวิธีการเทียบสัดสวนหา Q3
89
825.8
X
X-Q
89
83
−
−
=
− X
1
25.0
1822
183
=
−
−Q
Q3 -18 = 4(0.25)
Q = 193
ขอ 6 ตอบ 120
เนื่องจากเลข 3 หลักนี้เปนจํานวนคี่
∴ หลักหนวยเลือกได 4 วิธี คือ { }7,5,3,1
หลักสิบเหลือตัวเลขใหเลือก 6 วิธี
หลักรอยเหลือตัวเลขใหเลือก 5 วิธี
∴ มีวิธีในการเขียนตัวเลขทั้งหมด = 4 12056 =×× วิธี
ขอ 7 ตอบ 0.8
กลอง 2 กลอง แตละกลองมี 5 หมายเลข หากหยิบหมายเลขจากกลอง กลองละหมายเลขทําได
n(s) = 5 วิธี255 =×
เหตุการณที่หมายเลขจากลองทั้ง 2 ซ้ํากันเปนไปได 5 วิธี ( ) ( ) ( ) ( ) ( ){ }5,5,4,4,3,3,2,2,1,1
∴ เหตุการณที่หมายเลขจากกลองทั้งสองไมซ้ํากันเปนไปได n(E) = 25-5 = 20 วิธี
∴ P(E) = ( )
( )
8.0
25
20
==
Sn
En
ขอ 8 ตอบ 0.47
นักเรียนที่สวมรองเทาเบอร 6 และ 7 มีจํานวนรวม 12+35 = 47 คน นักเรียนทั้งหมดมี 100 คน
∴ ความนาจะเปนที่จะเลือกไดนักเรียนที่สวมรองเทาเบอร 6 หรือเบอร 7 = 47.0
100
47
=
www.kengdee.com 21
เฉลยขอสอบโดย อาจารย ธนะชาติ ถนอมกุลบุตร
ติวออนไลนฟรี! กับเกงดีดอทคอม
เฉลยขอสอบ O – Net
วิชาวิทยาศาสตร กุมภาพันธ 2549
ขอ 9 ตอบ 50
จากโจทยกําหนดให T เซตของคนที่ดื่มชา และ C แทนเซตของคนที่ดื่มกาแฟ
จะไดวา n( ) 100=′∩′ CT
n(T) =100
n(C) = 150
n( ) ( ) ( )CTnunCT ′∩′−=∪
= 300 -100
= 200
n( ) ( ) ( ) ( )CTnCnTnCT ∩−+=∪
200 = 100 +150 - n ( )CT ∩
n( )CT ∩ = 250 - 200
= 50 ∴ คนที่ดื่มทั้งชาและกาแฟมีทั้งสิ้น 50 คน
ขอ 10 ตอบ 2
จาก r1 = ( ) ( ) ( ) ( )( ){ }4,33,2,2,1,1,0,2,1 −−−− นําคูอันดับใน r1 แทนใน xy =+1 ของ r2
พิจารณา (-1,-2) ; 11112 −≠=−=+− ∴ ไมสอดคลอง
พิจารณา (0,-1) ; 0011 ==+− ∴ ไมสอดคลอง
พิจารณา (1,2) ; ≠==+ 3312 1 ∴ ไมสอดคลอง
พิจารณา (2,-3) ; 2213 =−=+− ∴ สอดคลอง
พิจารณา (3,4) ; 35514 ≠==+ ∴ ไมสอดคลอง
∴ r1 ={ } n(r1r2∩ ( ) ( )3,2,1,0 −− r2∩ ) = 2
www.kengdee.com 22
เฉลยขอสอบโดย อาจารย ธนะชาติ ถนอมกุลบุตร

Math onet49

  • 1.
    ติวออนไลนฟรี! กับเกงดีดอทคอม เฉลยขอสอบ O– Net วิชาวิทยาศาสตร กุมภาพันธ 2549 ตอนที่ 1 ขอสอบปรนัยแบบ 4 ตัวเลือก จํานวน 32 ขอ ขอ 1 ตอบ ตัวเลือกที่ 4 ( )2 321882 +++ = ( )2 21692422 •+•+•+ = ( )2 2423222 +++ = ( ) 200210 2 = ขอ 2 ตอบ ตัวเลือกที่ 1 ( ) ( )[ ] ( ) ( )2 3 6 6 3 1 3 5 1 5 2 3 6 3 5 2 2 3 2 64 2 27 32 + − =+ − = ( ) 2 3 6 6 3 1 3 5 1 5 2 2 3 2 •• • + − = 396 9 6 2 3 2 2 3 2 2 2 3 2 −− +−=+−=+ − = - 24 13 8 1 3 2 −=+ www.kengdee.com 1 เฉลยขอสอบโดย อาจารย ธนะชาติ ถนอมกุลบุตร
  • 2.
    ติวออนไลนฟรี! กับเกงดีดอทคอม เฉลยขอสอบ O– Net วิชาวิทยาศาสตร กุมภาพันธ 2549 ขอ 3 ตอบตัวเลือก 3 จากโจทยนํามาสรางแผนภาพไดดังรูป { 8,7,5=∩ }∴ BA ซึ่ง { } { }8,7,5,3,1,08,7,5 ⊆ ขอ 4 ตอบ ตัวเลือก 4 ฟงกชันจาก B ไป A จะไดวาโดเมนของฟงกชันตองอยูในเซต B และเรนจของฟงกชันตองอยูในเซต A โดยที่ โดเมนหนึ่งตัวโดยที่สามารถจับคูกับเรนจได 1 ตัวเทานั้น พิจารณาตัวเลือกที่ 1 ผิดเพราะ D f Β∉ พิจารณาตัวเลือกที่ 2 ผิดเพราะ D หนึ่งตัว จับ R ไดมากกวา 1 ตัวf f พิจารณาตัวเลือกที่ 3 ผิดเพราะ D f Β∉ www.kengdee.com 2 เฉลยขอสอบโดย อาจารย ธนะชาติ ถนอมกุลบุตร
  • 3.
    ติวออนไลนฟรี! กับเกงดีดอทคอม เฉลยขอสอบ O– Net วิชาวิทยาศาสตร กุมภาพันธ 2549 ขอ 5. ตอบ ตัวเลือก 4 จาก f( = -x)x 2 ( ) 104104 2 −−−=−+ xxx = -( ) 104442 −−+− xx = - ( ) ( ) 621042 22 −−−=−+− xx พบวา กราฟเปนพาราโบลาคว่ําจุดยอดอยูที่จุด ( )6,2 − ∴กราฟนี้ไมมีจุดต่ําสุด แตมีจุดสูงสุดอยูที่จุด ( )6,2 − จึงไดวา คาสูงสุด = - 6 พิจารณา f 10 2 9 4 2 9 2 9 2 −⎟ ⎟ ⎠ ⎞ ⎜ ⎜ ⎝ ⎛ +⎟ ⎟ ⎠ ⎞ ⎜ ⎜ ⎝ ⎛ −=⎟ ⎟ ⎠ ⎞ ⎜ ⎜ ⎝ ⎛ = 10 2 12 2 9 −+− = -4.5+6 2 -10 ≈ -4.5+6( ) 10414.1 − ≈-6.016 < -6 ขอ 6 ตอบ ตัวเลือก 2 จาก y = -x ( ) 38123812 22 −+−=−= Xxx = - ( ) 383636122 −−+− xx = -( ) ( ) 2638366 22 −−−=−+− xx ∴ จุดวกกลับ P คือ จุดยอดของสมการพาราโบรา ( ) ( ) 26 2 −−−= xxf คือจุด (6,-2) ∴ ระยะทางของ op v = ( ) ( )( )22 0206 −−+− = 40436 =+ = 2 10 หนวย www.kengdee.com 3 เฉลยขอสอบโดย อาจารย ธนะชาติ ถนอมกุลบุตร
  • 4.
    ติวออนไลนฟรี! กับเกงดีดอทคอม เฉลยขอสอบ O– Net วิชาวิทยาศาสตร กุมภาพันธ 2549 ขอ 7 ตอบ ตัวเลือก 2 จากกราฟผานจุด (-1,2) และ (1,2) พิจารณาตัวเลือกที่ 1 แทนจุด (1,2) ได f(x) = 1- ∴≠= 201 ตัวเลือก 1 ผิด พิจารณาตัวเลือกที่ 3 แทนจุด (1,2) ได f(x) = ∴≠=− 2011 ตัวเลือก 3 ผิด พิจารณาตัวเลือกที่ 4 แทนจุด (-1,2) ได f(x) = ( ) ∴≠=−+ 2011 ตัวเลือก 4 ผิด พิจารณาตัวเลือกที่ 2 แทนจุด (-1,2) ได f(x) = 211 =−+ แทนจุด (1,2) ได f(x) = 1+1 =2 ขอ 8 ตอบ ตัวเลือก 1 พิจารณาตัวเลือกที่ 1 r = ( )5.0,3.041667.0 12 5 3 1 4 5 3 4 5 ∈==×= ขอ 9 ตอบ ตัวเลือก 1 จาก a =10 910 ss − = ( )[ ] ( )[ ]2932103 22 +−+ = 302-245 = 57 www.kengdee.com 4 เฉลยขอสอบโดย อาจารย ธนะชาติ ถนอมกุลบุตร
  • 5.
    ติวออนไลนฟรี! กับเกงดีดอทคอม เฉลยขอสอบ O– Net วิชาวิทยาศาสตร กุมภาพันธ 2549 ขอ 10 ตอบ ตัวเลือก 1. ( )( )k k k ∑= −+ 50 1 11 = 0 + 4 + 0 + 8 + 0 +12 + …+ 0 + 100 = 4 + 8 +12 …+100 เปนอนุกรมเลขคณิตที่มี a1 =4, d=4, n=25 ∴ ( )( ) ( ) ( )( )412542 2 25 11 50 1 •−+=−+∑= k k k = ( ) 1300968 2 25 =+ ขอ 11 ตอบ ตัวเลือก 4. จากโจทย เปนลําดับเลขคณิตมี a1 =100 , d=10, a =340n จาก an = a1 + (n-1) d 340 = 100 + (n-1) (10) N = 25 ∴วันที่ของเดือนมกราคมที่ปาจุขายไดกําไรเฉพาะวันนั้น 340 บาท คือ 3+25+-1= 27 www.kengdee.com 5 เฉลยขอสอบโดย อาจารย ธนะชาติ ถนอมกุลบุตร
  • 6.
    ติวออนไลนฟรี! กับเกงดีดอทคอม เฉลยขอสอบ O– Net วิชาวิทยาศาสตร กุมภาพันธ 2549 ขอ 12 ตอบ ตัวเลือก 3 กําหนดให 3 พจนแรกของลําดับเลขคณิตคือ a-d, a , a+d ∴ ผลบวก 3 พจน = (a-d) + a +(a+d) = 3a จากโจทย ผลบวก 3 พจนบวกแรก = 15 ∴ จะได 3a = 15 a = 5 จากโจทย ผลคูณของสามพจนแรก = 80 จะได ( a-d )( a )( a+d ) = 80 ( 5 – d )( 5 )(5+d ) = 80 (25- d )5 = 802 25 - d = 162 d = 92 ขอ 13 ตอบ ตัวเลือก 3 จาก ( ) ( ) 4 4 4 2 2 2 x x = 2 2 1 2 x ⎟ ⎟ ⎠ ⎞ ⎜ ⎜ ⎝ ⎛ = ( )42 4 2 2 x 8 4 2 2 2 2 2 xx = 2 2 2 x = 84 2 −x ∴จะได 2 2 x = 4x – 8 x 1682 −= x ( )( ) 044 01682 =−− =+− xx xx 4=x www.kengdee.com 6 เฉลยขอสอบโดย อาจารย ธนะชาติ ถนอมกุลบุตร
  • 7.
    ติวออนไลนฟรี! กับเกงดีดอทคอม เฉลยขอสอบ O– Net วิชาวิทยาศาสตร กุมภาพันธ 2549 ขอ 14 ตอบตัวเลือก 4 จัดเรียงขอมูลใหมจากนอยไปมากได 10,10,12,13,15 ได Med = 12 , Mode = 10 และ X = 5 1513121010 ++++ 12= ขอ 15 ตอบตัวเลือก 4 พิจารณาเปอรเซ็นไทลที่ 25 ของคะแนนสอบเทากับ 35 คะแนน P = 3525 ตําแหนงของ P =25 ( ) 10139 100 25 =+ หมายความวาจํานวนนักเรียนที่มีคะแนนนอยกวาหรือเทากับ 35 คะแนน มีทั้งสิ้น 10 คน ซึ่งจากโจทย พบวาหนึ่งในนั้นเปนนักเรียนที่ไดคะแนน 35 คะแนนพอดี 1 คน จากโจทยมีนักเรียนที่ไดคะแนนนอยกวาหรือเทากับ 80 คะแนน 30 คน จะไดวามีนักเรียนที่คะแนนนอยกวา หรือเทากับ 80 คะแนน แตมากกวา 35 คะแนนอยู 30 – 10 = 20 คน ∴จํานวนนักเรียนที่สอบไดคะแนนชวง 35 – 80 คะแนน = 1 + 20 = 21 คน www.kengdee.com 7 เฉลยขอสอบโดย อาจารย ธนะชาติ ถนอมกุลบุตร
  • 8.
    ติวออนไลนฟรี! กับเกงดีดอทคอม เฉลยขอสอบ O– Net วิชาวิทยาศาสตร กุมภาพันธ 2549 ขอ 16 ตอบ ตัวเลือกที่ 3 ขอสอบตอนที่ 1 แตละขอสามารถตอบได 2 วิธี (จริง,เท็จ) 2 มี 5 ขอ ∴รวมมีวิธีการเลือกทั้งหมด 2×2×2×2×2 = 25 ขอสอบตอนที่ 2 มี 5 ขอแตละขอสามารถเลือกได 4 วิธี ∴ รวมมีวิธีการเลือกทั้งหมด 4×4×4×4×4 = 45 ∴ ขอสอบชุดนี้มีวิธีในการเลือกตอบทั้งหมด = 2 55 4• วิธี ขอ 17 ตอบ ตัวเลือกที่ 2 พิจารณาตัวเลือกที่ 1 ถา a = -1, b=0 จะไดวา -1 < 0 จริง แต(-1) < (0)2 2 ∴ ตัวเลือกที่ 1 ผิด พิจารณาตัวเลือกที่ 2 ถา a = -2, b=-1 จะไดวา -2<-1<0 จริง และ (-2) (-1) < (-2) ดวย2 ∴ ตัวเลือกที่ 2 ถูก พิจารณาตัวเลือกที่ 3 ถา a = 2, b=-5 จะไดวา 52 −< จริงแต 2 < -5 ∴ ตัวเลือกที่ 3 ผิด พิจารณาตัวเลือกที่ 4 ถา a = 2, b=-5 จะไดวา ( )2 2 < ( )2 5− จริงแต 2 < -5 ∴ ตัวเลือกที่ 4 ผิด www.kengdee.com 8 เฉลยขอสอบโดย อาจารย ธนะชาติ ถนอมกุลบุตร
  • 9.
    ติวออนไลนฟรี! กับเกงดีดอทคอม เฉลยขอสอบ O– Net วิชาวิทยาศาสตร กุมภาพันธ 2549 ขอ 18 ตอบ ตัวเลือกที่ 3 พิจารณา ( ) ( )100100101000 102422 == พิจารณา 3 ( ) ( )1001006600 7293 = พิจารณา 10 ( ) ( )1001003300 100010 == เนื่องจาก 100100100 10241000729 << ∴ 3 1000300600 210 << ขอ 19 ตอบ ตัวเลือกที่ 4 จาก X = sin 65o จะไดวา 0<x<1 ∴จะไดวา ………….. (1) จาก (1 ) ทําใหตัวเลือกที่ 1 ผิดxx <2 พิจารณา x กับ x x +1 จาก 1 < 1+x จะได x+ > 1 1 1 1 1 x x x + > 1 …………..(2) จาก (2) พบวาตัวเลือกที่ 2 ผิด พิจารณา x กับ2 x x +1 2 จาก 0<x ดวย12 < และจาก 1 + < 1+x2 ∴ 1 1 > 2 1 1 x+ x 2 2 2 1 x x + > ………(3) จาก (3) พบวาตัวเลือกที่ 3 ผิด พบวาตัวเลือกที่สอดคลองกับ (1),(2),(3) คือ ตัวเลือกที่ 4 www.kengdee.com 9 เฉลยขอสอบโดย อาจารย ธนะชาติ ถนอมกุลบุตร
  • 10.
    ติวออนไลนฟรี! กับเกงดีดอทคอม เฉลยขอสอบ O– Net วิชาวิทยาศาสตร กุมภาพันธ 2549 ขอ 20 ตอบ ตัวเลือกที่ 4 กําหนดให =Δ 0;1 ≥Δ−x ในสมการ 3 2 1 11 ≤ − −− x x ได 3 21 ≤ Δ −Δ 3 23−Δ ≤ Δ Δ ≤ 3 แทนคา =Δ 1−x ได 1−x 3≤ ได -3 31 ≤−≤ x -2 ≤x≤4 แตเนื่องจาก x II∈ ∴ จะได A = { }4,3,2,1,0,1,2 −− n(A) = 7 www.kengdee.com 10 เฉลยขอสอบโดย อาจารย ธนะชาติ ถนอมกุลบุตร
  • 11.
    ติวออนไลนฟรี! กับเกงดีดอทคอม เฉลยขอสอบ O– Net วิชาวิทยาศาสตร กุมภาพันธ 2549 ขอ 21 ตอบ ตัวเลือก 1 o 30tan= BA CB o 30tanBACB = = 3 1 BA × v = 3 BA จากโจทยจะไดวา 324 2 1 =×× CBBA 324 32 1 =×× BA BA ( ) ( )( )32432 2 =BA ( ) 144 2 =BA AB = 12 www.kengdee.com 11 เฉลยขอสอบโดย อาจารย ธนะชาติ ถนอมกุลบุตร
  • 12.
    ติวออนไลนฟรี! กับเกงดีดอทคอม เฉลยขอสอบ O– Net วิชาวิทยาศาสตร กุมภาพันธ 2549 ขอ 22 ตอบ ตัวเลือกที่ 2 จากรูป AC = ( )2222 31020 −=− BCAB = 10100300400 ==− จาก ABCΔ จะไดวา sinβ = 2 1 20 10 == AB AC จาก จะไดวาBCDΔ βsin= BC CD ∴ CD = BCsin 35 2 1 310 =×=β www.kengdee.com 12 เฉลยขอสอบโดย อาจารย ธนะชาติ ถนอมกุลบุตร
  • 13.
    ติวออนไลนฟรี! กับเกงดีดอทคอม เฉลยขอสอบ O– Net วิชาวิทยาศาสตร กุมภาพันธ 2549 ขอ 23 ตอบ ตัวเลือก 4 จากโจทย sinB = 3sinA จะได AB BC AB AC 3= ∴ AC = 3BC จากโจทยพื้นที่ของ ABC = 15 หนวยΔ จะได 15 2 1 =×× BCAC ( ) 153 2 1 =×× BCAB ( ) 15 2 3 2 =BC BC = 10 จาก ABC จะได AB =Δ ( ) ( )2222 3 BCBCBCAC +=+ = 1010010109 ==+• ขอ 24 ตอบ ตัวเลือก 1 จาก a 03220 =−+ a a a2320 −= พิจารณา 1+a+a เปนอนุกรมเขาคณิตที่มี a1 =1,r = a192 ...a+ ∴ S =n ( ) a a − − 1 11 20 = ( )( ) a a − −− 1 2311 = ( ) ( ) 2 1 12 1 22 −= − −− = − +− a a a a www.kengdee.com 13 เฉลยขอสอบโดย อาจารย ธนะชาติ ถนอมกุลบุตร
  • 14.
    ติวออนไลนฟรี! กับเกงดีดอทคอม เฉลยขอสอบ O– Net วิชาวิทยาศาสตร กุมภาพันธ 2549 ขอ 25 ตอบ ตัวเลือก 2 จากเหตุขอ (1) เขียนแผนภาพได จากเหตุ ขอ (2) เขียนแผนภาพได จากเหตุขอ (3) เขียนแผนภาพได 2 แบบคือ ∴ จากเหตุทั้ง 3 ขอ เขียนแผนภาพไดดังนี้ ∴ ตัวเลือกที่สอดคลองกับแผนภาพทั้ง 2 แบบคือตัวเลือกที่ 2 www.kengdee.com 14 เฉลยขอสอบโดย อาจารย ธนะชาติ ถนอมกุลบุตร
  • 15.
    ติวออนไลนฟรี! กับเกงดีดอทคอม เฉลยขอสอบ O– Net วิชาวิทยาศาสตร กุมภาพันธ 2549 ขอ 26 ตอบ ตัวเลือก 1 เลขทาย 2 ตัว สามารถเปนไปได n(s)=10 หมายเลข และหมายเลขที่มีหลักหนวยเปนเลขคี่10010 =× และหลักสิบมากกวาหลักหนวยอยู 1คือ { },87,65,43,21 ∴ n(E) =4 ∴ P(E)= ( ) 04.0 100 4)( == Sn En ขอ 27 ตอบ ตัวเลือก 4 พิจารณาตัวเลือกที่ 1 จากตาราง ชวงที่มีความถี่สูงสุด คือชวง 60 – 69 ∴ ตัวเลือกที่ 1 ถูกตอง พิจารณาตัวเลือกที่ 2 จากตารางนักเรียนที่มีน้ําหนักต่ํากวา 50 kg มีทั้งสิ้น 4+5 = 9 คน ∴ ตัวเลือกที่ 2 ถูกตอง พิจารณาตัวเลือกที่ 3 จากตาราง ชวง 50-59 kg มีความถี่=13 นักเรียนทั้งหมดมีจํานวน 4+5+13+17+6+5=50 ∴ นักเรียนที่มีน้ําหนักในชวง 50-59 มี 100 50 13 × = 26% พิจารณาตัวเลือกที่ 4 จากตารางนักเรียนที่มีน้ําหนักอยูในชวง 80-89 มี 5 คน จากนักเรียนทั้งหมด 50 คน ∴ นักเรียนที่มีน้ําหนักตั้งแต 80-89 คน มี %10100 50 5 =× ∴ นักเรียนที่มีน้ําหนักมากกวา 80 kg มีนอยกวา หรือ เทากับ 10 % ∴ตัวเลือกที่ 4 ผิด www.kengdee.com 15 เฉลยขอสอบโดย อาจารย ธนะชาติ ถนอมกุลบุตร
  • 16.
    ติวออนไลนฟรี! กับเกงดีดอทคอม เฉลยขอสอบ O– Net วิชาวิทยาศาสตร กุมภาพันธ 2549 ขอ 28 ตอบ ตัวเลือก 3 ใหบุตรทั้ง 4 คนมีน้ําหนักเรียงจากนอยไปหามากได a,b, med ↓ c,d จากโจทยทราบวาบุตรที่มีน้ําหนักนอยสุด 2 คน มีน้ําหนักเทากัน ∴ a=b เราทราบวา Mode = 45 , Med = 47.5 และพิสัย = 7 ∴ a = b < Med A = b < 47.5 จากโจทย Mode = 45 ∴ a = b = 45 จากพิสัย = d – a = 7 ∴ d – 45 = 7 d = 52 จาก Med = 5.47 2 = + cb = 5.47 2 45 = + c C = 50 ∴ a=45, b=45, c=50, d=52 ∴ X = 4 52504545 +++ 48= www.kengdee.com 16 เฉลยขอสอบโดย อาจารย ธนะชาติ ถนอมกุลบุตร
  • 17.
    ติวออนไลนฟรี! กับเกงดีดอทคอม เฉลยขอสอบ O– Net วิชาวิทยาศาสตร กุมภาพันธ 2549 ขอ 29 ตอบ ตัวเลือก 2 ให พ.ศ. 2547 บริษัทพนักงาน n คน จากโจทย พ.ศ. 2547 2347 =x ป จะได n x X n i i∑= = 1 47 23 = n x n i i∑=1 ∴ nX n i i •=⎟ ⎠ ⎞ ⎜ ⎝ ⎛ ∑= 23 471 เมื่อถึงป พ.ศ. 2548 ผลรวมของอายุพนักงานเพิ่มขึ้นจากป 2547 652 ป จะได 652 471481 +⎟ ⎠ ⎞ ⎜ ⎝ ⎛ =⎟ ⎠ ⎞ ⎜ ⎝ ⎛ ∑∑ == n i i n i i xy = 23n + 652 ซึ่งป 2548 นี้มีพนักงานเพิ่มขึ้น 20 คน ทําใหอายุเฉลี่ย ในป 2548 เทากับ 25 ป จะไดวา N y y n i i 481 ⎟ ⎠ ⎞ ⎜ ⎝ ⎛ ∑ = = แทนคา 25 = 20 65223 + + n n 25n+500 = 23n+652 2n = 152 n = 76 ∴ เมื่อสิ้นป พศ. 2548 บริษัทนี้มีพนักงานจํานวนทั้งสิ้น 76 + 20 = 96 คน www.kengdee.com 17 เฉลยขอสอบโดย อาจารย ธนะชาติ ถนอมกุลบุตร
  • 18.
    ติวออนไลนฟรี! กับเกงดีดอทคอม เฉลยขอสอบ O– Net วิชาวิทยาศาสตร กุมภาพันธ 2549 ขอ 30 ตอบตัวเลือก 1 จากแผนภาพ ตน – ใบ พิจารณากลุมที่ 1 น้ําหนักของแตละคนในกลุมที่ 1 นํามาเรียงจากนอยไปมากได 34, 36, 38, 46, 46, 48, ∴ Mode1 = 46 Med1 = 42 2 4638 = + 6 484646383634 1 +++++ =X = 41.33 พิจารณากลุมที่ 2 น้ําหนักของแตละคนในกลุมที่ 2 นํามาเรียงจากนอยไปมากได 34,39,42,44,50 ∴ Mode2 = 42 Med = 422 6 504442423934 2 +++++ =X = 41.83 ∴ 12 xx > ขอ 31 ตอบ ตัวเลือกที่ 3 จาก SD ( ) N xxi∑ − = 2 2 แทนคา 16 = ( ) ( ) ( ) 5 63137 22222 ++−−+− x 80 = ( ) 557 2 +− x ( ) 257 2 =− x 7- x = 5± x = 2 , 12 ; เนื่องจาก 7>x www.kengdee.com 18 เฉลยขอสอบโดย อาจารย ธนะชาติ ถนอมกุลบุตร
  • 19.
    ติวออนไลนฟรี! กับเกงดีดอทคอม เฉลยขอสอบ O– Net วิชาวิทยาศาสตร กุมภาพันธ 2549 ขอ 32 ตอบตัวเลือกที่ 1 พิจารณาคะแนนสอบของนักเรียนชาย พบวาความกวางของคะแนนในชวง Q -Q มากกวาความกวางของ คะแนนในชวง Q1 -Q 2 3 2 ∴ จึงสรุปไดวา 8x > Med8 แต Med (ช) = Med (ญ) = x (ญ) ∴ x (ช) > x (ญ) ตอนที่ 2 ขอสอบแบบอัตนัย จํานวน 10 ขอ ขอละ 2 คะแนน ขอที่ 1. ตอบ 6 จาก f = ( ) ( ) ( ) ( )( ){ }2,53,4,5,3,1,2,0,1 จะไดวา f (2) + f(3) = 1+5 = 6 ขอที่ 2 ตอบ 0.75 จาก 4 =a 2 จาก 16 4 16 =− ( ) 2 1 2 22 = a ( ) 162 44 −− = 2 = 2a2 2 1 4 12 4−− =b 2a = 2 1 -2b = -1 a = 4 1 b = 2 1 ∴ a+b = 75.0 4 3 2 1 4 1 ==+ www.kengdee.com 19 เฉลยขอสอบโดย อาจารย ธนะชาติ ถนอมกุลบุตร
  • 20.
    ติวออนไลนฟรี! กับเกงดีดอทคอม เฉลยขอสอบ O– Net วิชาวิทยาศาสตร กุมภาพันธ 2549 ขอ 3 ตอบ 39 จาก cotA = 5 12 วาด ABC ไดดังรูปΔ AC = 13512 2222 =+=+ BCAB ∴ 10cosecA + 12 secA = 10 ⎟ ⎠ ⎞ ⎜ ⎝ ⎛ +⎟ ⎠ ⎞ ⎜ ⎝ ⎛ 12 13 12 5 13 = 26+ 13 = 39 ขอ 4 ตอบ 0.8 จาก cosA = 5 3 วาดΔ ABC ไดดังรูป BC = 435 2222 =+=+ ABAC Cos(B-A) = Cos( ) AA sin90 =−o = 8.0 5 4 == AC BC www.kengdee.com 20 เฉลยขอสอบโดย อาจารย ธนะชาติ ถนอมกุลบุตร
  • 21.
    ติวออนไลนฟรี! กับเกงดีดอทคอม เฉลยขอสอบ O– Net วิชาวิทยาศาสตร กุมภาพันธ 2549 ขอ 5 ตอบ 19 จากขอมูลทั้งหมด 10 จํานวน ∴ ตําแหนงของ Q3 = ( ) 25.8 4 3 110 =⎟ ⎠ ⎞ ⎜ ⎝ ⎛ + ใชวิธีการเทียบสัดสวนหา Q3 89 825.8 X X-Q 89 83 − − = − X 1 25.0 1822 183 = − −Q Q3 -18 = 4(0.25) Q = 193 ขอ 6 ตอบ 120 เนื่องจากเลข 3 หลักนี้เปนจํานวนคี่ ∴ หลักหนวยเลือกได 4 วิธี คือ { }7,5,3,1 หลักสิบเหลือตัวเลขใหเลือก 6 วิธี หลักรอยเหลือตัวเลขใหเลือก 5 วิธี ∴ มีวิธีในการเขียนตัวเลขทั้งหมด = 4 12056 =×× วิธี ขอ 7 ตอบ 0.8 กลอง 2 กลอง แตละกลองมี 5 หมายเลข หากหยิบหมายเลขจากกลอง กลองละหมายเลขทําได n(s) = 5 วิธี255 =× เหตุการณที่หมายเลขจากลองทั้ง 2 ซ้ํากันเปนไปได 5 วิธี ( ) ( ) ( ) ( ) ( ){ }5,5,4,4,3,3,2,2,1,1 ∴ เหตุการณที่หมายเลขจากกลองทั้งสองไมซ้ํากันเปนไปได n(E) = 25-5 = 20 วิธี ∴ P(E) = ( ) ( ) 8.0 25 20 == Sn En ขอ 8 ตอบ 0.47 นักเรียนที่สวมรองเทาเบอร 6 และ 7 มีจํานวนรวม 12+35 = 47 คน นักเรียนทั้งหมดมี 100 คน ∴ ความนาจะเปนที่จะเลือกไดนักเรียนที่สวมรองเทาเบอร 6 หรือเบอร 7 = 47.0 100 47 = www.kengdee.com 21 เฉลยขอสอบโดย อาจารย ธนะชาติ ถนอมกุลบุตร
  • 22.
    ติวออนไลนฟรี! กับเกงดีดอทคอม เฉลยขอสอบ O– Net วิชาวิทยาศาสตร กุมภาพันธ 2549 ขอ 9 ตอบ 50 จากโจทยกําหนดให T เซตของคนที่ดื่มชา และ C แทนเซตของคนที่ดื่มกาแฟ จะไดวา n( ) 100=′∩′ CT n(T) =100 n(C) = 150 n( ) ( ) ( )CTnunCT ′∩′−=∪ = 300 -100 = 200 n( ) ( ) ( ) ( )CTnCnTnCT ∩−+=∪ 200 = 100 +150 - n ( )CT ∩ n( )CT ∩ = 250 - 200 = 50 ∴ คนที่ดื่มทั้งชาและกาแฟมีทั้งสิ้น 50 คน ขอ 10 ตอบ 2 จาก r1 = ( ) ( ) ( ) ( )( ){ }4,33,2,2,1,1,0,2,1 −−−− นําคูอันดับใน r1 แทนใน xy =+1 ของ r2 พิจารณา (-1,-2) ; 11112 −≠=−=+− ∴ ไมสอดคลอง พิจารณา (0,-1) ; 0011 ==+− ∴ ไมสอดคลอง พิจารณา (1,2) ; ≠==+ 3312 1 ∴ ไมสอดคลอง พิจารณา (2,-3) ; 2213 =−=+− ∴ สอดคลอง พิจารณา (3,4) ; 35514 ≠==+ ∴ ไมสอดคลอง ∴ r1 ={ } n(r1r2∩ ( ) ( )3,2,1,0 −− r2∩ ) = 2 www.kengdee.com 22 เฉลยขอสอบโดย อาจารย ธนะชาติ ถนอมกุลบุตร