ĐẠI HỌC QUỐC GIA HÀ NỘI
VIỆN ĐẢM BẢO CHẤT LƯỢNG GIÁO DỤC
------------    ------------
NGUYỄN VĂN NGHIÊM
ĐÁNH GIÁ NHỮNG YẾU TỐ ẢNH HƯỞNG ĐẾN MỨC ĐỘ ỨNG
DỤNG CÔNG NGHỆ THÔNG TIN TRONG HOẠT ĐỘNG DẠY HỌC
CỦA GIÁO VIÊN CÁC MÔN TỰ NHIÊN BẬC TRUNG HỌC PHỔ THÔNG
(Nghiên cứu trên địa bàn tỉnh Bình Phước)
LUẬN VĂN THẠC SĨ
Hà Nội – Năm 2013
ĐẠI HỌC QUỐC GIA HÀ NỘI
VIỆN ĐẢM BẢO CHẤT LƯỢNG GIÁO DỤC
------------    ------------
NGUYỄN VĂN NGHIÊM
ĐÁNH GIÁ NHỮNG YẾU TỐ ẢNH HƯỞNG ĐẾN MỨC ĐỘ ỨNG
DỤNG CÔNG NGHỆ THÔNG TIN TRONG HOẠT ĐỘNG DẠY HỌC
CỦA GIÁO VIÊN CÁC MÔN TỰ NHIÊN BẬC TRUNG HỌC PHỔ THÔNG
(Nghiên cứu trên địa bàn tỉnh Bình Phước)
Ngành: Đo lường và đánh giá trong giáo dục
()
LUẬN VĂN THẠC SĨ
Người hướng dẫn khoa học: TS. Nguyễn Thị Thu Hương
Hà Nội – Năm 2013
- i -
LỜI CAM ĐOAN
Tôi xin cam đoan luận văn với tiêu đề “Đánh giá những yếu tố ảnh
hưởng đến mức độ ứng dụng công nghệ thông tin trong hoạt động dạy học
của giáo viên các môn tự nhiên bậc trung học phổ thông (nghiên cứu trên
địa bàn tỉnh Bình Phước)” hoàn toàn là kết quả nghiên cứu của chính bản thân
tôi và chưa được công bố trong bất cứ một công trình nghiên cứu nào của người
khác. Trong quá trình thực hiện luận văn, tôi đã thực hiện nghiêm túc các quy
tắc đạo đức nghiên cứu; các kết quả trình bày trong luận văn là sản phẩm nghiên
cứu, khảo sát của riêng cá nhân tôi; tất cả các tài liệu tham khảo sử dụng trong
luận văn đều được trích dẫn tường minh, đúng theo quy định.
Tôi xin hoàn toàn chịu trách nhiệm về tính trung thực của số liệu và các
nội dung khác trong luận văn của mình.
Hà Nội, ngày 01 tháng 06 năm 2013
Tác giả luận văn
Nguyễn Văn Nghiêm
- ii -
LỜI CẢM ƠN
Tác giả xin chân thành cảm ơn cô giáo - TS. Nguyễn Thị Thu Hương đã
định hướng khoa học, hướng dẫn tận tình, chu đáo trong suốt quá trình thực
hiện luận văn.
Xin được bày tỏ lòng biết ơn đến:
Lãnh đạo sở GD-ĐT Bình Phước, lãnh đạo trường THPT chuyên Quang
Trung cùng bạn bè đồng nghiệp đã tạo điều kiện thuận lợi cho tác giả được
theo học chương trình sau đại học và thực hiện luận văn này.
Quý thầy cô giáo cùng các anh chị thuộc Viện đảm bảo chất lượng giáo
dục – ĐHQG Hà Nội và Trung tâm khảo thí và đánh giá chất lượng đào tạo –
ĐHQG TP.Hồ Chí Minh, đã tạo điều kiện thuận lợi cho tác giả trong suốt thời
gian học tập tại trường.
Lãnh đạo và các đồng nghiệp thuộc các trường THPT trong tỉnh Bình
Phước đã nhiệt tình hỗ trợ, hợp tác cùng tác giả trong quá trình thực hiện đề
tài.
Xin đặc biệt cảm ơn mẹ cha và những người thân trong gia đình đã luôn
giúp đỡ, động viên tác giả hoàn thành luận văn này !
- iii -
MỤC LỤC
LỜI CAM ĐOAN .......................................................................................... i
LỜI CẢM ƠN ...............................................................................................ii
MỤC LỤC....................................................................................................iii
QUY ƯỚC VIẾT TẮT TRONG LUẬN VĂN............................................ vi
DANH MỤC BẢNG BIỂU VÀ HÌNH ẢNH.............................................vii
DANH MỤC PHỤ LỤC............................................................................... x
MỞ ĐẦU........................................................................................................... 1
1. Lý do chọn đề tài....................................................................................... 1
2. Mục tiêu nghiên cứu của đề tài ................................................................. 3
3. Ý nghĩa của nghiên cứu............................................................................. 3
4. Giới hạn nghiên cứu của đề tài.................................................................. 4
4.1. Giới hạn đối tượng nghiên cứu .......................................................... 4
4.2. Giới hạn khách thể và địa bàn nghiên cứu......................................... 4
5. Câu hỏi nghiên cứu ................................................................................... 4
6. Khách thể và đối tượng nghiên cứu .......................................................... 4
6.1. Khách thể nghiên cứu: ....................................................................... 4
6.2. Đối tượng nghiên cứu ........................................................................ 5
7. Phương pháp nghiên cứu và công cụ nghiên cứu ..................................... 5
7.1. Phương pháp khảo cứu tài liệu........................................................... 5
7. 2. Phương pháp nghiên cứu thực tiễn ................................................... 6
7. 3. Công cụ sử dụng trong nghiên cứu ................................................... 6
8. Cấu trúc của luận văn................................................................................ 7
Chương 1 TỔNG QUAN VÀ CƠ SỞ LÝ LUẬN............................................ 8
1.1. Tổng quan nghiên cứu vấn đề................................................................ 8
1.1.1. Các công trình nghiên cứu liên quan ở trong nước......................... 8
- iv -
1.1.2. Các công trình nghiên cứu liên quan ở ngoài nước ......................10
1.2. Sơ lược chính sách và tình hình ứng dụng CNTT trong giáo dục....... 13
1.3. Một số vấn đề lý luận cơ bản về hoạt động dạy học............................ 15
1.3.1. Khái niệm và cấu trúc của hoạt động dạy học ..............................15
1.3.2. Hoạt động dạy và hoạt động học...................................................20
1.4. Chuẩn năng lực CNTT cho giáo viên .................................................. 22
1.5. Khung lý thuyết nghiên cứu của đề tài ................................................ 24
1.6. Các khái niệm sử dụng trong nghiên cứu ............................................ 26
1.6.1. Ứng dụng CNTT trong hoạt động dạy học ...................................26
1.6.2. Mức độ ứng dụng CNTT...............................................................27
1.6.3. Các yếu tố được chọn trong nghiên cứu .......................................27
Kết luận Chương 1 ...................................................................................... 29
Chương 2 PHƯƠNG PHÁP NGHIÊN CỨU..................................................31
2.1. Giới thiệu chung về địa bàn nghiên cứu .............................................. 31
2.2. Mẫu nghiên cứu.................................................................................... 32
2.3. Quy trình nghiên cứu ........................................................................... 34
2.4. Xây dựng công cụ đo lường................................................................. 36
2.4.1. Xác định các chỉ báo .....................................................................36
2.4.2. Xây dựng bảng hỏi........................................................................42
2. 5. Khảo sát thử và đánh giá công cụ đo lường........................................ 44
Kết luận chương 2....................................................................................... 48
Chương 3 KẾT QUẢ KHẢO SÁT VÀ PHÂN TÍCH SỐ LIỆU....................49
3.1. Đặc điểm mẫu nghiên cứu.................................................................... 49
3.2. Đánh giá thang đo ................................................................................ 50
3.2.1. Hệ số tin cậy Cronbach’s Alpha ..................................................50
3.2.1.1. Thang đo “Mức độ ứng dụng CNTT trong hoạt động dạy học” 50
- v -
3.2.1.2. Thang đo các yếu tố ảnh hưởng đến mức độ ứng dụng CNTT trong
HĐDH .....................................................................................................51
3.2.2. Phân tích nhân tố khám phá (EFA)...............................................53
3.2.3. Kiểm định độ tin cậy của thang đo ...............................................60
3.2.3. Hiệu chỉnh lại mô hình nghiên cứu...............................................64
3.3. Kết quả khảo sát mức độ ứng dụng CNTT trong HĐDH của giáo viên
THPT tỉnh Bình Phước................................................................................ 65
3.3.1. Mức độ ứng dụng CNTT trong HĐDH của giáo viên Bình Phước
.................................................................................................................65
3.3.2. Kỹ năng sử dụng máy tính cơ bản ................................................72
3.3.3. Sự hỗ trợ của BGH và đồng nghiệp..............................................73
3.3.4. Thái độ của giáo viên đối với việc ứng dụng CNTT trong HĐDH
.................................................................................................................73
3.3.5. Điều kiện tiếp cận thiết bị cá nhân................................................74
3.3.6. Kỹ năng sử dụng phần mềm chuyên dụng....................................75
3.3.7. Điều kiện tiếp cận thiết bị nhà trường...........................................75
3.4. Những yếu tố ảnh hưởng đến “Mức độ ứng dụng CNTT trong HĐDH
của giáo viên THPT tỉnh Bình Phước” ....................................................... 77
Kết luận chương 3....................................................................................... 84
KẾT LUẬN – KHUYẾN NGHỊ.....................................................................86
1. Kết luận ................................................................................................... 86
2. Khuyến nghị:........................................................................................... 87
3. Những điểm còn hạn chế và gợi ý nghiên cứu tiếp theo......................... 89
Tài liệu tham khảo...........................................................................................90
Phụ lục.............................................................................................................93
- vi -
QUY ƯỚC VIẾT TẮT TRONG LUẬN VĂN
CNTT Công nghệ thông tin và truyền thông
ĐH Đại học
GD-ĐT Giáo dục đào tạo
HĐDH Hoạt động dạy học
ICT Công nghệ thông tin và truyền thông
PPGD Phương pháp giảng dạy
TB Trung bình
THCS Trung học cơ sở
THPT Trung học phổ thông
TW Trung ương
UNESCO Tổ chức Giáo dục, Khoa học và Văn hoá của
Liên Hợp Quốc
- vii -
DANH MỤC BẢNG BIỂU VÀ HÌNH ẢNH
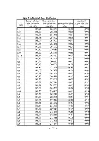
Hình 1. 1. Mô hình khung lý thuyết nghiên cứu của đề tài.............................25
Hình 2. 1. Sơ đồ quy trình nghiên cứu............................................................35
Hình 3. 1. Phân bổ mẫu khảo sát theo huyện, thị xã.......................................49
Hình 3. 2. Mô hình nghiên cứu chính thức .....................................................64
Hình 3. 3. Tần suất các mức ứng dụng CNTT trong HĐDH..........................66
Hình 3. 4. Biểu đồ tần số mức độ ứng dụng CNTT theo địa bàn công tác.....68
Hình 3. 5. Tần suất các mức sử dụng máy tính cơ bản...................................73
Hình 3. 6. Tần suất các mức đánh giá sự hỗ trợ của BGH và đồng nghiệp....73
Hình 3. 7. Tần suất các mức nhận định của giáo viên về vai trò tích cực của
việc ứng dụng CNTT trong HĐDH ................................................................74
Hình 3. 8. Tần suất các mức tiếp cận với thiết bị CNTT cá nhân...................74
Hình 3. 9. Tần suất các mức kỹ năng sử dụng phần mềm chuyên dụng ........75
Hình 3. 10. Tần suất điều kiện tiếp cận thiết bị CNTT của nhà trường..........76
Hình 3. 11. Biểu đồ trung bình mức độ các yếu tố trong nghiên cứu.............76
Hình 3. 12. Biểu đồ tần số phần dư chuẩn hóa ...............................................80
Hình 3. 13. Mô hình hồi quy tuyến tính..........................................................82
Hình 3. 14. Biểu đồ mức độ tác động của các yếu tố .....................................83
Bảng 2. 1. Số lượng giáo viên các môn tự nhiên ở 13 trường chọn mẫu .......33
Bảng 2. 2. Số lượng giáo viên được chọn vào mẫu ........................................34
Bảng 2. 3. Cấu trúc bảng hỏi...........................................................................43
Bảng 2. 4. Thông tin mẫu khảo sát thử nghiệm ..............................................44
Bảng 2. 5. Hệ số Cronbach’s Alpha các thang đo ..........................................48
Bảng 3. 1. Phân bổ mẫu theo vùng công tác và chuyên môn .........................49
Bảng 3. 2. Phân tích thống kê biến tổng .........................................................50
Bảng 3. 3. Phân tích thống kê biến tổng .........................................................52
- viii -
Bảng 3. 4. Chỉ số KMO và Kiểm định Bartlett...............................................53
Bảng 3. 5. Kết quả EFA khái niệm mức độ ứng dụng CNTT trong HĐDH ..53
Bảng 3. 6. Chỉ số KMO và kiểm định Bartlett................................................55
Bảng 3. 7. Kết quả EFA các yếu tố tác động đến mức độ ứng dụng CNTT trong
HĐDH .............................................................................................................56
Bảng 3. 8. Tương quan biến tổng các biến quan sát mức độ ứng dụng CNTT
trong HĐDH....................................................................................................60
Bảng 3. 9. Tương quan biến tổng các biến quan sát nhân tố 1 .......................61
Bảng 3. 10. Tương quan biến tổng các biến quan sát nhân tố 2 .....................61
Bảng 3. 11. Tương quan biến tổng các biến quan sát nhân tố 3 .....................62
Bảng 3. 12. Tương quan biến tổng các biến quan sát nhân tố 4 .....................62
Bảng 3. 13. Tương quan biến tổng các biến quan sát nhân tố 5 .....................63
Bảng 3. 14. Tương quan biến tổng các biến quan sát nhân tố 6 .....................63
Bảng 3. 15. Hệ số Cronbach’s Alpha các nhân tố ..........................................64
Bảng 3. 16. Thống kê mô tả thực trạng Mức độ ứng dụng CNTT trong HĐDH
.........................................................................................................................65
Bảng 3. 17. Kiểm định so sánh trung bình Mức độ ứng dụng CNTT theo địa
bàn ...................................................................................................................67
Bảng 3. 18. Trung bình mức độ ứng dụng CNTT theo địa bàn công tác .......68
Bảng 3. 19. Bảng chéo phân bổ tần số các mức ứng dụng CNTT giữa 2 nhóm
giáo viên ..........................................................................................................68
Bảng 3. 20. Thống kê mô tả trung bình mức độ ứng dụng CNTT của giáo viên
theo môn học...................................................................................................69
Bảng 3. 21. Kiểm nghiệm Homogeneity.........................................................69
Bảng 3. 22. Phân tích ANOVA một yếu tố.....................................................70
Bảng 3. 23. Phân tích Post Hoc… theo phương pháp Dunnett t-tests............70
Bảng 3. 24. Phân bổ tần suất mức độ ứng dụng CNTT trong HĐDH............71
- ix -
Bảng 3. 25. Trung bình kỹ năng sử dụng máy tính cơ bản.............................73
Bảng 3. 26. Trung bình đánh giá sự hỗ trợ của BGH và đồng nghiệp ...........73
Bảng 3. 27. Trung bình thái độ của giáo viên.................................................74
Bảng 3. 28. Trung bình điều kiện tiếp cận thiết bị CNTT cá nhân.................74
Bảng 3. 29. Trung bình kỹ năng sử dụng phần mềm chuyên dụng ................75
Bảng 3. 30. Trung bình điều kiện tiếp cận thiết bị CNTT của nhà trường.....76
Bảng 3. 31. Mức độ giải thích của mô hình....................................................79
Bảng 3. 32. Kết quả phân tích hồi quy tuyến tính bội ....................................79
Bảng 3. 33. Phân tích phương sai....................................................................80
Bảng 3. 34. Thông tin dự đoán và phần dư.....................................................81
- x -
DANH MỤC PHỤ LỤC
Phụ lục 1. Các chỉ báo đo lường các khái niệm..............................................93
Phụ lục 2. Phiếu khảo sát thăm dò ..................................................................97
Phụ lục 3. Kết quả kiểm định thang đo với dữ liệu khảo sát thử..................101
Phụ lục 4. Phiếu khảo sát chính thức ............................................................104
Phụ lục 5. Thống kê mô tả từng biến quan sát..............................................107
Phụ lục 6. Tần số trả lời theo từng biến quan sát..........................................108
Phụ lục 7. Thống kê so sánh các khía cạnh đặc điểm cá nhân......................122
Phụ lục 8. Thư ngỏ xin khảo sát giáo viên....................................................127
Phụ lục 9. Thư cảm ơn các trường THPT.....................................................128
- 1 -
MỞ ĐẦU
1. Lý do chọn đề tài
Chúng ta đang sống trong thời đại thông tin và công nghệ thông tin đã
được ứng dụng vào hầu hết các lĩnh vực trong cuộc sống. Trong giáo dục, công
nghệ thông tin – truyền thông đã được đưa vào ứng dụng trong cả công tác quản
lý, giảng dạy và học tập; CNTT ngày nay vừa là một môn học, vừa là một công
cụ hỗ trợ giảng dạy và học tập hiệu quả trong nhà trường.
Vai trò, tầm quan trọng và hiệu quả của ứng dụng CNTT trong dạy học
đã được chứng minh bằng thực tiễn giáo dục trong và ngoài nước những năm
qua, nó cho thấy việc ứng dụng CNTT trong giảng dạy và học tập là xu thế tất
yếu của giáo dục. Đổi mới phương pháp dạy học bằng CNTT là một chủ đề lớn
được UNESCO đưa ra thành chương trình của thế kỷ XXI và “dự đoán sẽ có
sự thay đổi nền giáo dục một cách căn bản vào đầu thế kỷ XXI do ảnh hưởng
của CNTT”[7]
. Trên thế giới, các chính sách mới về đổi mới giáo dục được xây
dựng dựa trên tiền đề và triển vọng của tích hợp CNTT một cách có hiệu quả
vào dạy học. Ở Việt Nam, việc ứng dụng CNTT trong giáo dục cũng rất được
mong đợi. Các nhà giáo dục Việt Nam được khuyến khích ứng dụng CNTT
hợp lý ở tất cả các cấp học và các môn học[21]
.
Nghị quyết TW2, khóa VIII đã nhấn mạnh: “Đổi mới mạnh mẽ phương
pháp giáo dục - đào tạo, khắc phục lối truyền thụ một chiều, rèn luyện thành
nếp tư duy sáng tạo của người học. Từng bước áp dụng các phương pháp tiên
tiến và phương tiện vào quá trình dạy và học, bảo đảm điều kiện và thời gian
tự học, tự nghiên cứu của học sinh, nhất là sinh viên đại học.”[33]
. Chỉ thị
29/2001/CT-BGD&ĐT của Bộ trưởng Bộ Giáo dục và Đào tạo cũng đã nêu rõ:
“Đối với giáo dục và đào tạo, công nghệ thông tin có tác động mạnh mẽ, làm
thay đổi phương pháp, phương thức dạy và học. Công nghệ thông tin là phương
- 2 -
tiện để tiến tới một xã hội học tập”. Năm học 2008-2009 được chọn là “Năm
học đẩy mạnh ứng dụng CNTT, đổi mới quản lý tài chính và xây dựng trường
học thân thiện, học sinh tích cực”[16]
, tạo bước đột phá về ứng dụng CNTT trong
giáo dục và tạo tiền đề phát triển ứng dụng CNTT trong những năm tiếp theo.
Chỉ thị 55/2008/CT-BGD-ĐT nhấn mạnh: “Triển khai áp dụng CNTT trong
dạy và học, hỗ trợ đổi mới phương pháp giảng dạy, tích hợp ứng dụng CNTT
ngay trong mỗi môn học một cách hiệu quả và sáng tạo ở những nơi có điều
kiện thiết bị tin học…”.[16]
Hiện tại tỉnh Bình Phước có 22 trường THPT công lập (không kể các
trường chuyên biệt), 1904 giáo viên trong đó có 614 giáo viên dạy các môn tự
nhiên. Những năm học gần đây ngành giáo dục Bình Phước cũng đã tích cực
triển khai thực hiện nhiệm vụ CNTT theo hướng dẫn của Bộ GD&ĐT. Gần đây
nhất, “Quy hoạch phát triển CNTT tỉnh Bình Phước đến năm 2015, định hướng
đến năm 2020”[28]
xác định đến năm 2015, “100% các trường THPT được trang
bị phòng máy tính đáp ứng nhu cầu dạy và học” và đến năm 2020 “e-learning
được triển khai rộng rãi trên địa bàn tỉnh”. Tuy nhiên việc ứng dụng CNTT
trong HĐDH của giáo viên ở mức độ nào, những yếu tố nào ảnh hưởng đến
mức độ ấy và làm thế nào để nâng cao mức độ ứng dụng CNTT trong dạy học
cho giáo viên THPT đến nay vẫn chưa có nghiên cứu nào được tiến hành. Trước
thực trạng đó tác giả chọn đề tài “Đánh giá những yếu tố ảnh hưởng đến mức
độ ứng dụng công nghệ thông tin trong hoạt động dạy học của giáo viên các
môn tự nhiên bậc trung học phổ thông (nghiên cứu trên địa bàn tỉnh Bình
Phước)” với mong muốn góp phần thúc đẩy việc ứng dụng CNTT trong HĐDH
của giáo viên THPT tỉnh Bình Phước.
- 3 -
2. Mục tiêu nghiên cứu của đề tài
Nghiên cứu đánh giá mức độ ứng dụng CNTT trong HĐDH của giáo
viên THPT đồng thời xác định mối tương quan giữa các yếu tố có ảnh hưởng
đến mức độ ứng dụng CNTT của giáo viên giảng dạy các môn khoa học tự
nhiên bậc THPT. Kết quả nghiên cứu sẽ cho thấy:
i) Thực trạng mức độ ứng dụng CNTT trong HĐDH của giáo viên giảng
dạy các môn khoa học tự nhiên trên địa bàn tỉnh Bình Phước.
ii) Chỉ ra các yếu tố tác động và mức độ tác động của từng yếu tố đến mức
độ ứng dụng CNTT trong HĐDH của giáo viên giải dạy các môn khoa
học tự nhiên tỉnh Bình Phước.
Từ đó nghiên cứu sẽ đề xuất một số gợi ý đối với Sở GD-ĐT, các trường
THPT và giáo viên THPT, nhằm nâng cao mức độ ứng dụng CNTT trong
HĐDH của giáo viên, góp phần nâng cao chất lượng giáo dục.
3. Ý nghĩa của nghiên cứu
Với mục tiêu đã nêu trên, nghiên cứu có thể mang lại những ý nghĩa thực
tiễn như:
- Với các cấp quản lý giáo dục: Từ bộ dữ liệu thu thập được và việc xác
định những yếu tố tác động đến mức độ ứng dụng CNTT trong HĐDH của giáo
viên, nghiên cứu sẽ đề xuất những gợi ý nhằm thúc đẩy việc ứng dụng CNTT
trong dạy học một cách có hiệu quả nhất. Các cấp quản lý giáo dục có thể coi
đây là một trong những luận cứ khoa học để xây dựng kế hoạch phát triển ứng
dụng CNTT trong dạy học phục vụ mục đích nâng cao chất lượng giáo dục.
- Với các trường THPT: Đề xuất của nghiên cứu là luận cứ khoa học để
các trường THPT đầu tư phát triển nguồn lực phục vụ việc ứng dụng CNTT
trong HĐDH của nhà trường.
- 4 -
- Với giáo viên THPT: Kết quả nghiên cứu của Đề tài sẽ giúp các giáo
viên THPT nhận thức rõ được vai trò của việc ứng dụng CNTT trong HĐDH
và các yếu tố ảnh hưởng đến hoạt động này, từ đó chủ động khắc phục những
khó khăn và có kế hoạch phát triển chuyên môn của mình cũng như hỗ trợ đồng
nghiệp.
4. Giới hạn nghiên cứu của đề tài
4.1. Giới hạn đối tượng nghiên cứu
Đề tài chỉ nghiên cứu đánh giá mức độ ứng dụng CNTT trong hoạt động
dạy đồng thời xác định các yếu tố ảnh hưởng để mức độ ứng dụng CNTT trong
HĐDH của giáo viên giảng dạy các môn khoa học tự nhiên bậc THPT.
4.2. Giới hạn khách thể và địa bàn nghiên cứu
Giới hạn về khách thể nghiên cứu của đề tài là giáo viên các môn Toán,
Vật lý, Hóa học, Sinh học thuộc các trường THPT công lập (hiện tại chưa có
trường dân lập) trên địa bàn tỉnh Bình Phước theo mẫu chọn trong nghiên cứu
này.
5. Câu hỏi nghiên cứu
1) Giáo viên giảng dạy các môn khoa học tự nhiên bậc THPT ứng
dụng CNTT trong HĐDH như thế nào?
2) Những yếu tố nào ảnh hưởng đến mức độ ứng dụng CNTT trong
HĐDH của giáo viên giảng dạy các môn khoa học tự nhiên bậc THPT?
6. Khách thể và đối tượng nghiên cứu
6.1. Khách thể nghiên cứu:
- Khách thể: Giáo viên các môn Toán, Lý, Hóa, Sinh thuộc các trường
THPT công lập trên địa bàn tình Bình Phước.
- 5 -
- Tổng thể: Toàn thể giáo viên các môn tự nhiên bậc THPT trên địa bàn
tỉnh Bình Phước. Bình Phước có 22 trường THPT công lập (hiện chưa
có trường ngoài công lập) với tổng số 614 giáo viên dạy các môn tự nhiên
(không kể giáo viên môn Tin học)[24]
.
- Mẫu nghiên cứu: Mẫu nghiên cứu được chọn theo phương pháp chọn
mẫu Phân tầng ngẫu nhiên không theo tỷ lệ[29]
. Mẫu giáo viên được chọn
từ 13 trường THPT trên địa bàn tỉnh Bình Phước trong đó có 6 trường
thuộc khu vực thị xã và 7 trường không thuộc thị xã. Như vậy mẫu được
lấy trên tất cả các huyện thị trong toàn tỉnh Bình Phước.
- Cỡ mẫu: Với tổng thể 614 giáo viên, sai số mẫu là 5% và độ tin cậy là
95% thì cỡ mẫu sẽ là 237 giáo viên[41]
. Cộng thêm 10% dự phòng ta có
cỡ mẫu điều tra là 261 giáo viên.
6.2. Đối tượng nghiên cứu
- Mức độ ứng dụng CNTT trong HĐDH của giáo viên THPT.
- Các yếu tố tác động đến mức độ ứng dụng CNTT trong HĐDH của giáo
viên THPT.
7. Phương pháp nghiên cứu và công cụ nghiên cứu
Nghiên cứu sử dụng kết hợp phương pháp nghiên cứu định tính và nghiên
cứu định lượng.
7.1. Phương pháp khảo cứu tài liệu
Mục tiêu của nghiên cứu tài liệu nhằm xác định những cơ sở lí luận có
liên quan đến vấn đề nghiên cứu. Nghiên cứu các tài liệu lí luận, sách, báo, tạp
chí, các công trình nghiên cứu khoa học, các văn bản, chủ trương của Đảng,
Nhà nước, Bộ Giáo dục và Đào tạo… có liên quan đến việc ứng dụng CNTT
- 6 -
trong HĐDH, phương pháp học tập, phương pháp giảng dạy… nhằm hệ thống
hóa để làm cơ sở lí luận cho nghiên cứu.
7. 2. Phương pháp nghiên cứu thực tiễn
7.2.1. Phương pháp điều tra xã hội học
Phương pháp điều tra xã hội học nhằm thu thập thông tin về việc ứng
dụng CNTT trong HĐDH của giáo viên, mức độ, những yếu tố cơ bản ảnh
hưởng đến quá trình ứng dụng CNTT trong HĐDH cũng như những khó khăn
giáo viên gặp phải trong quá trình ứng dụng CNTT trong HĐDH.
Bảng hỏi được phát cho giáo viên các môn Toán, Lý, Hóa, Sinh đang
công tác trên các trường được chọn trên địa bàn tình Bình Phước gồm 06 trường
trên địa bàn 03 thị xã và 07 trường trên địa bàn thuộc 07 huyện còn lại của tỉnh
Bình Phước.
7.2.2. Phương pháp phỏng vấn sâu
Phương pháp phỏng vấn sâu được sử dụng để phỏng vấn các chuyên gia
về lĩnh vực ứng dụng CNTT trong giáo dục, giáo viên các môn tự nhiên về các
tiêu chí đánh giá mức độ ứng dụng CNTT trong HĐDH của giáo viên THPT
đồng thời quan đó phát hiện những lỗi ngữ nghĩa của câu hỏi và cấu trúc bảng
hỏi để điều chỉnh. Phỏng vấn sâu các chuyên gia cũng là một trong những căn
cứ để xác định các yếu tố ảnh hưởng đến mức độ ứng dụng CNTT trong HĐDH
của giáo viên các môn tự nhiên bậc THPT.
7. 3. Công cụ sử dụng trong nghiên cứu
Các công cụ được sử dụng trong nghiên cứu gồm:
- Công cụ thu thập thông tin: Ngoài nguồn sách, tạp chí tiếp cận được từ
các thư viện và nhà sách tác giả sử dụng cơ sở dữ liệu ProQues và Google
Scholar để tìm kiếm các nghiên cứu liên quan đến vấn đề nghiên cứu phục vụ
- 7 -
phương pháp khảo cứu tài liệu. Sử dụng máy ghi âm và sổ ghi chép phục vụ
phương pháp phỏng vấn sâu và bảng hỏi được xây dựng bởi nghiên cứu này
phục vụ phương pháp điều tra xã hội học.
- Công cụ xử lý thông tin: Tác giả sử dụng phần mềm MS Excel và SPSS
18 để mã hóa, nhập liệu và phân tích thống kê.
- Công cụ trình bày luận văn: Tác giả sử dụng phần mềm MS Word để
trình bày luận văn, phần mềm Endnote X6 để trích dẫn tài liệu tham khảo.
8. Cấu trúc của luận văn
Cấu trúc luận văn gồm 3 phần.
Phần mở đầu nêu tóm tắt nội dung cơ bản của luận văn. Phần nội dung
nghiên cứu gồm 3 chương; chương 1 trình bày về cơ sở lý luận và tổng quan
nghiên cứu vấn đề, chương 2 trình bày chi tiết các phương pháp nghiên cứu sử
dụng trong luận văn và xây dựng bộ công cụ nghiên cứu để thu thập số liệu,
chương 3 trình bày kết quả khảo sát và phân tích số liệu. Tiếp theo là phần kết
luận và khuyến nghị, cuối cùng là danh mục tài liệu tham khảo và các phụ lục.
- 8 -
Chương 1
TỔNG QUAN VÀ CƠ SỞ LÝ LUẬN
1.1. Tổng quan nghiên cứu vấn đề
Trong phần này tác giả tiến hành khảo cứu và tóm tắt một số bài báo, bài
viết và một số công trình nghiên cứu trong và ngoài nước có liên quan đến đề
tài để có cái nhìn tổng thể về vấn đề nghiên cứu.
1.1.1. Các công trình nghiên cứu liên quan ở trong nước
Cùng với vấn đề đổi mới, nâng cao chất lượng giáo dục và đào tạo, vấn
đề ứng dụng CNTT trong HĐDH ở Việt Nam đã được nhiều nhà nghiên cứu
quan tâm trong suốt những năm qua. Nhiều công trình nghiên cứu có giá trị như
Ứng dụng CNTT trong ngành giáo dục hướng đến một nền giáo dục điện tử
của Quách Tuấn Ngọc (2009)[19]
, Công nghệ thông tin cho dạy học tích cực của
Jef Peeraer và Trần Nữ Mai Thy (2011)[20]
, E-Learning và ứng dụng trong dạy
học của Lê Huy Hoàng (2011)[9]
, Sử dụng công nghệ thông tin trong dạy học
tài liệu chương trình Parner in learning của Microsoft (2008)[15]
… Những công
trình này chủ yếu nói về tầm quan trọng của việc ứng dụng CNTT trong giáo
dục, trong đó có việc ứng dụng CNTT trong HĐDH của giáo viên, đồng thời
đưa ra các giải pháp cũng như hướng dẫn kỹ thuật ứng dụng CNTT trong giáo
dục.
Bên cạnh những công trình nghiên cứu kể trên có thể kể đến một số lượng
lớn các bài báo khoa học, các khóa luận, luận văn, nghiên cứu về đề tài ứng
dụng CNTT trong giáo dục xong hầu hết cũng đều đề cập đến vai trò của ứng
dụng CNTT trong giáo dục hoặc phương pháp ứng dụng CNTT vào môn học
cụ thể nào đó. Đặc biệt, hầu hết các công trình đều hướng đến đối tượng giảng
dạy ở bậc cao đẳng, đại học.
- 9 -
Nguyễn Văn Hòa (2010)[8]
đã tìm ra sự tác động của các yếu tố về thâm
niên công tác và thông tin đào tạo đến năng lực ứng dụng CNTT trong HĐDH
của giảng viên trường ĐH Sư phạm – ĐH Huế đồng thời cũng đề xuất một số
giải pháp nhằm nâng cao năng lực ứng dụng CNTT trong giảng dạy của giảng
viên. Tuy nhiên hạn chế của nghiên cứu là chỉ giới hạn trong khuôn khổ Trường
ĐH Sư phạm Huế, các kết quả nghiên cứu của luận văn được khảo sát trên mẫu
chưa đủ lớn để có thể trở thành những đánh giá mang tính khái quát. Mặc dù
còn có những hạn chế nhưng nghiên cứu cũng đã đề xuất được mô hình các yếu
tố tác động đến năng lực ứng dụng CNTT trong HĐDH của giảng viên trường
ĐH Sư Phạm - ĐH Huế.
Jef Peeraer và Trần Nữ Mai Thy (2011)[21]
nghiên cứu “Ứng dụng Công
nghệ thông tin trong giáo dục Việt Nam: Từ chính sách tới thực tế” đã khẳng
định: “CNTT luôn được đề cao trong cuông cuộc đổi mới giáo dục như và một
môn học cũng như là một công cụ quan trọng để đổi mới phương pháp dạy
học”. Nghiên cứu đã cho thấy các nhà hoạch định chính sách đã rất quan tâm
đến việc ứng dụng công nghệ thông tin trong giáo dục và “học tập điện tử (e-
Learning) và xây dựng, sử dụng bài giảng điện tử được hướng tới như là kết
quả cuối cùng của ứng dụng CNTT trong giáo dục”.
Một nghiên cứu khác của Jef Peeraer và Peter Van Petegem (2010)[40]
khảo sát các yếu tố ảnh hướng tới ứng dụng CNTT trong ngành sư phạm Việt
Nam, một nước đang đang ở giai đoạn đầu của ứng dụng CNTT. Phương pháp
phân tích hồi quy đa khám phá (Exploratory multiple regression analysis) được
sử dụng để đề cập tới tầm quan trọng của các yếu tố đối với giáo viên và tầm
quạn trọng của các trường sư phạm đối với ứng dụng CNTT trong dạy học.
Nghiên cứu khẳng định việc sử dụng các chương trình ứng dụng CNTT còn
hạn chế, chủ yếu để thay cho phương pháp dạy học cũ. Các yếu tố tác động đến
việc ứng dụng CNTT trong dạy học thực hành gồm: cơ hội tiếp cận với máy
- 10 -
tính, cường độ sử dụng máy tính, kỹ năng ICT, sự tự tin về ICT, và đặc điểm
cá nhân (gồm thái độ với ICT và quan niệm về việc học tập ở học sinh). Nghiên
cứu cũng đưa ra một số gợi ý về cách ứng dụng hiệu quả CNTT vào ngành sư
phạm Việt Nam.
Đào Thái Lai cùng nhóm tác giả (2011)[12]
đã tiến hành đánh giá “Mức
độ ứng dụng công nghệ thông tin vào dạy học của giảng viên các trường ĐH”
theo mức độ thường xuyên sử dụng thông qua các tiêu chí như: trình chiếu
Power Point, khai thác thông tin trên mạng internet vào dạy học, thiết kế bài
giảng điện tử, quản lí hồ sơ giảng dạy bằng máy tính, sử dụng phần mềm dạy
học, thi trực tuyến, dạy học qua mạng, làm phim video, và sử dụng máy tính hỗ
trợ thí nghiệm.
Khảo cứu những nghiên cứu kể trên giúp tác giả khái quát được bức tranh
toàn cảnh về việc ứng dụng CNTT trong HĐDH trong nước. Các nghiên cứu
cho thấy có nhiều yếu tố ảnh hưởng đến năng lực cũng như mức độ ứng dụng
CNTT trong HĐDH của giáo viên, là nguồn tham khảo hữu ích cho tác giả
trong việc xây dựng khung lý thuyết cho nghiên cứu này. Cũng qua khảo cứu
này tác giả phát hiện việc nghiên cứu sâu về đề tài ứng dụng CNTT trong
HĐDH là cần thiết và đặc biệt tác giả cũng nhận thấy chưa có nghiên cứu nào
về đánh giá mức độ ứng dụng CNTT trong HĐDH ở bậc THPT.
1.1.2. Các công trình nghiên cứu liên quan ở ngoài nước
Luận án tiến sĩ của Mohammed I. Isleem (2003)[38]
, đại học Ohio (Hoa
kỳ), đã nghiên cứu sâu về mối tương quan của các yếu tố cơ bản với mức độ
ứng dụng CNTT trong HĐDH của giáo viên ngành công nghệ giáo dục
(technology education teachers). Nghiên cứu đã chỉ ra được mối tương quan
thuận của các yếu tố được lựa chọn với mức độ ứng dụng CNTT trong HĐDH
tuy nhiên chỉ dừng lại ở khách thể nghiên cứu là giáo viên ngành công nghệ
- 11 -
giáo dục trong phạm vi bang Ohio, Hoa Kỳ. Trong nghiên cứu của mình,
Mohammed đã xác định được các yếu cơ bản có tương quan đến mức độ ứng
dụng CNTT trong HĐDH của giáo viên cùng với bộ công cụ đo lường gồm 63
biến quan sát đã trở thành gợi ý hữu ích cho tác giả luận văn này trong việc xác
định khung lý thuyết cũng như xây dựng công cụ đo lường cho đề tài luận văn.
“Teacher ICT skill”[35]
, một nghiên cứu của Sở giáo dục Tây Úc (Western
Australia) đã tiến hành khảo sát và đánh giá mức độ kiến thức, kỹ năng của
giáo viên trên địa bàn Western Australia trong lĩnh vực ứng dụng CNTT và
truyền thông phục vụ dạy học. Nghiên cứu đã chỉ ra rằng năng lực sử dụng
CNTT, nguồn lực của nhà trường về CNTT, thái độ và động lực của giáo viên,
chính sách và sự quan tâm của lãnh đạo là những yếu tố chủ yếu tác động đến
mức độ ứng dụng công nghệ thông tin trong dạy. Nghiên cứu cũng đã chỉ ra
các yếu tố tác động đến năng lực ứng dụng CNTT của giáo viên.
Nghiên cứu của Naser Jamil Al-Zaidiyeen, Leong Lai Mei và Fong Soon
Fook (2010)[34]
, đã khảo sát trên 650 giáo viên ở Jordan và khẳng định có mối
tương quan thuận có ý nghĩa thống kê giữa thái độ của giáo viên đối với việc
ứng dụng CNTT và mức độ ứng dụng CNTT trong HĐDH của họ.
Một nghiên cứu của Schacter (1999)[42]
đã chứng minh tác động tích cực
của việc ứng dụng CNTT trong giáo dục bằng việc phân tích hơn 700 nghiên
cứu về tác động của công nghệ giáo dục đến thành quả học tập của học sinh và
kết luận rằng học sinh được tiếp cận với công nghệ phục vụ giảng dạy và học
tập đều có tác động tích cực đối với thành quả học tập.
Sara Hennessy, David Harrison, và Leonard Wamakote (2010)[37]
chỉ ra
rằng, ngoài các yếu tố bên ngoài thì kỹ năng và mức độ tự tin về trình độ công
nghệ, nghiệp vụ sư phạm trong sử dụng công nghệ, vai trò của giáo viên là
những yếu tố quan trọng có tác động đến “lớp học có ứng dụng CNTT”
- 12 -
(Classroom Use of ICT) trong một nghiên cứu tại Châu Phi. Nghiên cứu cũng
chỉ ra rằng, đối với giáo viên cũng như giảng viên sư phạm, việc ứng dụng
CNTT trong dạy và học, sử dụng phương pháp sư phạm hiện đại, là điều cần
thiết.
Cher Ping Lim, Ching Sing Chai, Daniel Churchill (2010)[39]
chỉ ra rằng
“Những phương tiện đánh giá từ các bài kiểm tra trình độ được chuẩn hóa đến
hồ sơ bài dạy điện tử đã được sử dụng để đánh giá trình độ tích hợp CNTT phục
vụ cho giảng dạy của các giáo sinh. Việc đánh giá dựa trên bốn phương diện:
khả năng sử dụng CNTT, thái độ và niềm tin đối với việc sử dụng CNTT, lý
luận sư phạm và việc sử CNTT trong thực tế”. Và nhận định: “Mặc dù đã có
nhiều bằng chứng cho thấy CNTT có tiềm năng lớn trong việc cải thiện chất
lượng dạy và học cũng như việc tiếp cận CNTT ngày càng dễ dàng hơn, đa số
giáo viên trên thế giới ngày nay vẫn chưa sử dụng công nghệ thành thạo hay
thường xuyên để có thể khai thác tiềm năng của nó.”.
Nhấn mạnh yếu tố nhân lực trong việc ứng dụng CNTT trong dạy học,
Craig Barrett (2012)[11]
khẳng định: “Tất cả thiết bị công nghệ đang có trong
trường học ngày nay sẽ chẳng có giá trị gì nếu giáo viên không biết sử dụng
chúng một cách có hiệu quả. Chính các giáo viên mới đem lại sự kỳ diệu, chứ
không phải là chiếc máy vi tính”.
Các công trình nghiên cứu ở ngoài nước cũng cho thấy việc nghiên cứu
về ứng dụng CNTT trong HĐDH được đặc biệt quan tâm. Dựa trên các nghiên
cứu đã khảo cứu tác giả rút ra được nhiều nội dung quan trọng để kế thừa như
việc đánh giá tầm quan trọng và tác động tích cực của việc ứng dụng CNTT
trong HĐDH, các yếu tố cơ bản ảnh hưởng đến mức độ ứng dụng CNTT trong
dạy học, vai trò của tố nhân lực trong việc ứng dụng CNTT trong dạy học…
Dựa trên nghiên cứu của Isleem (2003)[38]
, Jef Peeraer và Peter Van Petegem[40]
- 13 -
và một số nghiên cứu khác tác giả lựa chọn và bổ sung các tiêu chí để xây dựng
bảng hỏi phù hợp với thực tế Việt Nam nhằm phục vụ nghiên cứu này.
1.2. Sơ lược chính sách và tình hình ứng dụng CNTT trong giáo dục
Ứng dụng CNTT trong hoạt động dạy và học là một hướng đi mang tính
chiến lược trong quá trình cải cách giáo dục ở Việt Nam. CNTT đã đóng góp
các công cụ, các phương thức và các giải pháp hữu hiệu hỗ trợ đắc lực cho việc
thực hiện đổi mới nội dung và phương pháp. Xét một cách toàn diện, CNTT
vừa là công cụ hỗ trợ vừa là nội dung và cũng là phương pháp nhằm đạt được
các mục tiêu giáo dục trong quá trình dạy học.
Nghị quyết TW2, khóa VIII đã nhấn mạnh: “Đổi mới mạnh mẽ phương
pháp giáo dục - đào tạo, khắc phục lối truyền thụ một chiều, rèn luyện thành
nếp tư duy sáng tạo của người học. Từng bước áp dụng các phương pháp tiên
tiến và phương tiện vào quá trình dạy và học, bảo đảm điều kiện và thời gian
tự học, tự nghiên cứu của học sinh, nhất là sinh viên đại học.”[33]
. Cuộc cách
mạng khoa học và công nghệ, đặc biệt là công nghệ thông tin và truyền thông
đang tạo ra những điều kiện thuận lợi để đổi mới cơ bản nội dung, phương pháp
và hình thức tổ chức giáo dục, đổi mới quản lý giáo dục, tiến tới một nền giáo
dục điện tử đáp ứng nhu cầu của từng cá nhân người học.
Chiến lược phát triển giáo dục 2011-2020 của Chính phủ Việt Nam[23]
đã nêu rõ: Đẩy mạnh ứng dụng công nghệ thông tin và truyền thông trong dạy
và học, đến năm 2015, 100% giảng viên đại học, cao đẳng và đến năm 2020,
100% giáo viên giáo dục nghề nghiệp và phổ thông có khả năng ứng dụng công
nghệ thông tin và truyền thông trong dạy học. Biên soạn và sử dụng giáo trình,
sách giáo khoa điện tử.
Hướng dẫn nhiệm vụ CNTT năm học 2012-2013 của Bộ GD-ĐT[6]
yêu
cầu triển khai Quyết định số 698/QĐ-TTg ngày 01/6/2009 của Thủ tướng Chính
- 14 -
phủ trong đó nhấn mạnh: “Đẩy mạnh việc ứng dụng CNTT trong trường phổ
thông nhằm đổi mới phương pháp dạy và học theo hướng giáo viên tự tích hợp
CNTT vào từng môn học thay vì học trong môn tin học. Giáo viên các bộ môn
chủ động tự soạn và tự chọn tài liệu và phần mềm (mã nguồn mở) để giảng dạy
ứng dụng CNTT”[22]
. Cũng theo tinh thần đó, Kế hoạch số 86/KH-UBND của
UBND tỉnh Bình Phước[27]
cũng yêu cầu “Đẩy mạnh ứng dụng CNTT trong
giảng dạy và trong quản lý giáo dục ở tất cả các cấp học”. Quy hoạch phát
triển CNTT tỉnh Bình Phước đến năm 2015, định hướng đến năm 2020[28]
xác
định đến năm 2015, “100% các trường THPT được trang bị phòng máy tính
đáp ứng nhu cầu dạy và học” và đến năm 2020 “e-learning được triển khai
rộng rãi trên địa bàn tỉnh”.
Hướng dẫn nhiệm vụ CNTT năm học những năm gần đây của Bộ GD-
ĐT và sở GD-ĐT Bình Phước[5, 6, 26]
đều đặc biệt coi trọng việc ứng dụng CNTT
trong đổi mới phương pháp dạy và học. CNTT được coi là một công cụ có thể
hỗ trợ đắc lực quá trình đổi mới phương pháp dạy học, đóng góp vào nâng cao
chất lượng và hiệu quả giáo dục. Khuyến khích giáo viên chủ động tự soạn giáo
án, bài giảng và tài liệu giảng dạy để ứng dụng CNTT trong các môn học.
Khuyến khích giáo viên tích cực ứng dụng CNTT vào HĐDH, thiết kế các bài
học có sử dụng các trang trình chiếu, bài giảng điện tử và kế hoạch bài học trên
máy vi tính.
Theo Sở GD-ĐT Bình Phước[25]
, năm học 2011-2012, ngành GD&ĐT
tỉnh Bình Phước đã đạt được những kết quả to lớn, chất lượng mũi nhọn được
giữ vững và chất lượng đại trà từng bước được nâng lên bền vững, trong đó có
sự đóng góp không nhỏ của việc ứng dụng CNTT trong quản lý và giảng dạy.
Báo cáo tổng kết nhiệm vụ CNTT năm học 2011-2012 của sở GD-ĐT Bình
Phước[25]
khẳng định: “Bên cạnh những kết quả đạt được, việc triển khai và ứng
dụng CNTT tại các cơ quan quản lý và các trường học trong tỉnh còn có những
- 15 -
hạn chế nhất định. Quá trình tổ chức triển khai còn gặp nhiều khó khăn về nhân
lực, vật lực và sự quan tâm, chỉ đạo chưa sâu sát của người đứng đầu đơn vị,
trường học.”
- Về hạ tầng kỹ thuật CNTT: 100% các phòng GD&ĐT và các trường
học đã kết nối mạng Internet; 100% trường THPT có 2 phòng máy vi tính trở
lên; 100% trường phổ thông cấp 2-3, phổ thông Dân tộc nội trú và trung tâm
Giáo dục thường xuyên có từ 01 đến 02 phòng máy vi tính; 56 trường THCS
và 17 trường tiểu học có phòng máy vi tính; 100% các trường học đã được trang
bị máy tính văn phòng.
- Về hạ tầng nhân lực CNTT: Số cán bộ, giáo viên có trình độ đại học
124 người và cao đẳng 103 người; có trên 90% cán bộ quản lý và 85% giáo
viên sử dụng được máy tính, email và tìm kiếm thông tin trên Internet.
Qua phân tích tình hình chính sách việc ứng dụng CNTT trong giáo dục
Việt Nam và thực tiễn triển khai tại tỉnh Bình Phước cho thấy các nhà hoạch
định chính sách, các cấp lãnh đạo từ trung ương đến địa phương đều đánh giá
việc ứng dụng CNTT trong HĐDH có vai trò mang tính chiến lược trong quá
trình cải cách giáo dục. Ứng dụng CNTT trong HĐDH là xu thế tất yếu, là kỹ
năng cần thiết của giáo viên trong thời đại thông tin hiện nay. Điều này khẳng
định việc nghiên cứu về việc ứng dụng CNTT trong HĐDH mang tính thực tiễn
cao, phù hợp với xu thế hiện nay của nền giáo dục nước nhà.
1.3. Một số vấn đề lý luận cơ bản về hoạt động dạy học
1.3.1. Khái niệm và cấu trúc của hoạt động dạy học
Trong giới hạn của đề tài, tác giả chỉ đề cập đến HĐDH với nghĩa là dạy
học trong nhà trường - một bộ phận của hoạt động giáo dục tổng thể chứ không
hàm ý nói đến dạy học nói chung (dạy học trong cuộc sống).
1) Khái niệm hoạt động dạy học
- 16 -
Theo Trần Thị Hương (2006)[10]
, khi xem xét HĐDH, có nhiều cách tiếp
cận khác nhau như tiếp cận hướng vào hoạt động dạy của thầy hoặc tiếp cận
hướng vào hoạt động học của trò. Dạy học hướng vào hoạt động học của trò thì
trọng tâm của HĐDH được đặt vào hoạt động học của học sinh chứ không phải
vào hoạt động dạy của giáo viên. Nói cách khác, giáo viên là người tạo ra việc
học, gợi cho học sinh khám phá và tạo dựng kiến thức, tạo ra các môi trường
học tập mạnh mẽ; nâng cao chất lượng học tập, v.v…
Như vậy, “Hoạt động dạy học là hệ thống những hành động phối hợp,
tương tác giữa giáo viên và học sinh, trong đó dưới tác động chủ đạo của giáo
viên, học sinh tự giác, tích cực, chủ động lĩnh hội hệ thống tri thức khoa học,
kỹ năng, kỹ xảo, phát triển năng lực nhận thức, năng lực hành động, hình thành
thế giới quan khoa học và những phẩm chất của nhân cách”[10]
.
Từ khái niệm trên, có thể rút ra một số đặc trưng cơ bản của HĐDH như
sau:
- Dạy học là một hoạt động kép gồm hoạt động dạy của giáo viên và hoạt
động học của người học. Trong đó, Dạy (giáo viên) giữ vai trò chủ đạo, dạy
hướng đến học, dạy thúc đẩy học và làm cho học thành công; Học (người học)
giữ vai trò chủ động, tự giác, tích cực, độc lập và sáng tạo.
- Hai hoạt động Dạy và Học tồn tại trong sự thống nhất và tương tác lẫn
nhau.
- Hai hoạt động Dạy và Học cùng hướng đến thực hiện mục tiêu và nhiệm
vụ dạy học.
2. Cấu trúc hoạt động dạy học
Thông thường, khi tiếp cận dạy học như là một hoạt động có các nhân tố
cấu trúc: chủ thể, đối tượng của HĐDH, mục đích, nhiệm vụ dạy học; nội dung,
phương pháp, phương tiện, hình thức tổ chức dạy học, kết quả dạy học. Các
- 17 -
nhân tố của HĐDH không tồn tại biệt lập với nhau, chúng có quan hệ, tác động
qua lại một cách biện chứng, phản ánh các tính qui luật của HĐDH. Sự biến
đổi của nhân tố này đòi hỏi sự biến đổi tương ứng phù hợp của các nhân tố
khác. Cho nên muốn nâng cao chất lượng và hiệu quả của HĐDH phải nâng
cao chất lượng của từng nhân tố, đồng thời, nâng cao chất lượng tổng hợp của
toàn hệ thống. Hoạt động dạy học với tư cách là một hệ thống tồn tại và phát
triển trong mối quan hệ với môi trường bên ngoài ở cả hai phương diện vĩ mô
và vi mô.
Tiếp cận HĐDH theo quan điểm sư phạm tương tác, chúng ta tiếp cận
đến một quan điểm mới về cấu trúc HĐDH như sau:
2.1. Các yếu tố cấu trúc hoạt động dạy học
Dạy (giáo viên) và Học (học sinh) là hai yếu tố không thể thiếu nước
trong cấu trúc HĐDH. Mối quan hệ giữa giáo viên và học sinh (quan hệ chủ thể
- chủ thể) không phải là quan hệ trực tiếp mà là gián tiếp qua một yếu tố trung
gian - đối tượng của hoạt động - nội dung (khái niệm khoa học). Từ đây ta có
cấu trúc ba yếu tố: Dạy (giáo viên) - đối tượng (nội dung) - chủ thể (học sinh).
Nội dung là yếu tố trung gian giữa dạy - học; còn giữa học - nội dung
(tài liệu học tập), yếu tố trung gian chính là thầy giáo (nhân cách của người
cộng sự với chủ thể). Thầy giáo (trình độ tri thức, phương pháp giảng dạy, kinh
nghiệm học của thầy) giúp học sinh tri giác tốt hơn, thông hiểu sâu hơn, cảm
nhận phong phú hơn đối tượng của hoạt động học (nội dung học tập). Vì thế,
cấu trúc ba yếu tố của HĐDH xuất hiện từ khi có HĐDH.
Nhưng dần dần các nhà nghiên cứu nhận ra ảnh hưởng không nhỏ của
yếu tố môi trường đến HĐDH và chất lượng của nó. Lúc đầu, yếu tố môi trường
chỉ được nhìn nhận ở phạm vi rộng như là những yêu cầu của xã hội đặt ra cho
giáo dục và nhà trường, hoặc môi trường được nhìn nhận ở phạm vi hẹp như là
- 18 -
cơ sở vật chất và trang thiết bị dạy học. Thực ra, môi trường không chỉ hiểu
một cách đơn giản và tĩnh tại như vậy. Trong thực tiễn dạy học, môi trường
được xem xét một cách đa dạng, phức tạp và biện chứng. Môi trường dạy học
bao gồm môi trường rộng (quan điểm, đường lối giáo dục của Đảng, tốc độ
phát triển kinh tế, sự quan tâm của gia đình đến việc học tập của con cái) và
môi trường hẹp (cơ sở vật chất nhà trường, sự đoàn kết của tập thể giáo viên),
môi trường bên trong (trình độ của thầy giáo, của học sinh) và môi trường bên
ngoài (xã hội, nhà trường, gia đình), môi trường vật chất và môi trường tinh
thần (Jean - Mar Denommé và Madeleine Roy – “Tiến tới một phương pháp sư
phạm tương tác”).
Vào những năm 70 của thế kỉ XX, một nhóm các nhà giáo dục Pháp
thuộc Viện Đào tạo Giáo viên ở tỉnh Grenoble như G.Broussea, Commiti,
C.Margolinas, v.v… cũng nghiên cứu ảnh hưởng của môi trường đến HĐDH -
môi trường sư phạm. Môi trường sư phạm là môi trường do giáo viên tạo ra
cho học sinh hoạt động, qua đó học sinh hoạt động học và cả môi trường cùng
phát triển. Cấu trúc bốn yếu tố: Dạy - Học - Nội dung - Môi trường ra đời.
2.2. Chức năng của từng yếu tố
- Dạy (Giáo viên) giữ vai trò truyền thụ và tổ chức, điều khiển.
- Học (Trò) giữ vai trò lĩnh hối và tự tổ chức, tự điều khiển.
- Nội dung (khái niệm) là cơ sở vật chất của hoạt động day và học. Dạy
học không có nội dung sẽ trở thành trống rỗng. Nội dung được bắt đầu từ thầy
và kết thúc ở trò.
- Môi trường - Những điều kiện dạy học cụ.thể trong đó HĐDH diễn ra
và ảnh hưởng đến chất lượng HĐDH.
2.3. Mối quan hệ biện chứng giữa các yếu tố
- 19 -
Các yếu tố cấu trúc của HĐDH không tồn tại độc lập bên cạnh nhau mà
luôn tác động biện chứng, qui định chi phối và ảnh hưởng lẫn nhau. Sự tác động
qua lại giữa các yếu tố không chỉ làm thay đổi tính chất của từng yếu tố mà còn
làm thay đổi tính chất của cả hệ thống dạy học - hệ toàn vẹn cân bằng động.
Trong hệ thống cấu trúc này, yếu tố dạy và học là hai yếu tố chính vì:
- Đây là hai yếu tố động nhất trong các yếu tố, nó có thay đổi theo thời
gian, hoàn cảnh, tình huống… Ví dụ, thái độ của Thầy đối với hoạt động dạy
và hoạt động học của Trò thay đổi theo bầu không khí lớp học trong từng bài
dạy, từng pha của bài dạy trên lớp hoặc vốn tri thức và kinh nghiệm sống của
Thầy và Trò sẽ được khai thác và sử dụng hiệu quả hay không thể hiện trong
từng tình huống dạy học cụ thể, v.v…
- Sự thay đổi một trong hai yếu tố sẽ kéo theo sự thay đổi các yếu tố khác
trong hệ thống.
- Thay đổi sự tương tác giữa dạy - học sẽ tạo nên một chất lượng mới
cho cả hệ, vì những yếu tố nội dung, môi trường đặt trong sự tương tác giữa
dạy - học sẽ trở nên sống động vì được khai thác một cách hiệu quả.
Việc xác định chức năng cơ bản của từng thành tố và mối quan hệ qua
lại giữa chúng là một vấn đề lí luận mấu chốt đối với cả lí luận và thực tiễn dạy
học, nó hướng dẫn cho những quyết định đúng đắn trong tác động dạy học. Vì
thế, nếu tuyệt đối hoá nhân tố này và làm lu mờ vai trò của nhân tố khác trong
cấu trúc HĐDH đều dẫn đến những quyết định sai lầm, lệch lạc trong tác động
dạy học và làm giảm hiệu quả dạy học.
Trong hai yếu tố Dạy - Học, thì dạy hướng đến học, dạy thúc đẩy học,
dạy làm cho học thành công. Chẳng hạn, dạy xác định các kết quả mà học phải
hướng đến và đạt được. Dạy kích thích học thông qua việc thiết kế nội dung
dưới dạng các tình huống có vấn đề, lựa chọn các phương pháp, phương tiện
- 20 -
và điều kiện giải quyết tình huống có kết quả, qua đó, các yếu tố bên trong và
bên ngoài hoạt động học được khai thác một cách tối đa và được phát triển. Vì
vậy, cần hoàn thiện yếu tố dạy (giáo viên) về nhiều phương diện như chuyên
môn, nghiệp vụ và đạo đức của người thầy.
1.3.2. Hoạt động dạy và hoạt động học
Theo Nguyễn Văn Tuấn (2009)[32]
, Dạy học là hoạt động đặc trưng nhất,
chủ yếu nhất của nhà trường, diễn ra theo một quá trình nhất định từ t0 đến tn
được gọi là quá trình dạy học. Đó là một quá trình xã hội bao gồm và gắn liền
với hoạt động dạy và hoạt động học trong đó học sinh tự giác, tích cực, chủ
động, tự tổ chức, tự điều kiển và điều chỉnh hoạt động nhận thức của mình dưới
sự điều khiển chỉ đạo, tổ chức, hướng dẫn của giáo viên nhằm thực hiện mục
tiêu, nhiệm vụ dạy học. Theo đó, ông đã đưa ra khái niệm hoạt động dạy và
đoạn động học như sau:
Hoạt động dạy:
- Dạy học được hiểu là một hình thức đặc biệt của giáo dục (nghĩa rộng),
xem như là một trường hợp riêng của nó (của giáo dục). Dạy học là con đường
đặc biệt quan trọng trong mối quan hệ biện chứng và phối hợp với các con
đường, các hoạt động khác trong quá trình giáo dục để thực hiện các mục tiêu
và nhiệm vụ giáo dục đặt ra.
- Dạy học là một quá trình truyền thụ, tổ chức nhận thức kiến thức, kinh
nghiệm xã hội và nghề nghiệp cho người học nhằm hình thành và phát triển
nhân cách nói chung và nhân cách nghề nghiệp nói riêng. Dạy học bao hàm
trong nó sự học và sự dạy gắn bó với nhau, trong đó sự dạy không chỉ là sự
giảng dạy mà còn là sự tổ chức, chỉ đạo và điều khiển sự học.
- Dạy học là một mặt của quá trình dạy và học do người giáo viên thực
hiện theo nội dung, chương trình đào tạo đã định nhằm giúp người học đạt được
- 21 -
các mục tiêu học tập theo từng bài học hoặc toàn khóa đào tạo. Hoạt động dạy
học không chỉ hướng đến yêu cầu truyền thụ kiến thức, hình thành kĩ năng, kĩ
xảo và thái độ nghề nghiệp đúng đắn ở người học mà còn góp phần phát triển
tính tích cực và tổ chức các hoạt động học tập của học viên.
- Dạy là hoạt động của giáo viên, không chỉ là hoạt động truyền thụ cho
học sinh những nội dung đáp ứng được các mục tiêu đề ra, mà còn hơn nữa là
hoạt động giúp đỡ chỉ đạo và hướng dẫn học sinh trong quá trình lĩnh hội.
Hoạt động học:
- Học, theo nghĩa rộng nhất, được hiểu là quá trình cơ bản của sự phát
triển nhân cách trong hoạt động của con người, là sự lĩnh hội những “sức mạnh
bản chất người” đã được đối tượng hóa trong các sản phẩm của hoạt động con
người. Đó là hoạt động phản ánh những mặt nhất định của hiện thực khách quan
vào ý thức người học. Tuy nhiên nó chủ yếu hướng người học vào lĩnh hội
những chân lí đã được loài người phát hiện nhưng chúng lại là mới đối với họ.
- Hoạt động học là một hoạt động nhận thức độc đáo của người học,
thông qua đó người học chủ yếu thay đổi chính bản thân mình và ngày càng có
năng lực hơn trong hoạt động tích cực nhận thức và cải biến hiện thực khách
quan.
Hoạt động dạy học gồm hai mặt của quá trình đó là dạy và học luôn đi
kèm biện chứng với nhau. Hoạt động dạy - học có các đặc trưng sau đây:
- Thể hiện vai trò chủ đạo của giáo viên
- Là một hoạt động có mục đích rõ ràng
- Có nội dung, chương trình kế hoạch cụ thể
- Diễn ra trong một môi trường nhất định (lớp học, xưởng thực hành,
phòng thí nghiệm)
- 22 -
- Sử dụng các phương tiện đa dạng (ngôn ngữ, thiết bị, tài liệu)
- Đa dạng về hoạt động: nhận thức, trí tuệ, vận động, thao tác, …
- Kết quả hoạt động dạy được đánh giá thông qua kết quả hoạt động học
tập.
Trong nghiên cứu này tác giả tiếp cận khái niệm “hoạt động dạy học” là
các hoạt động trong quá trình dạy học của giáo viên bao gồm công việc chuẩn
bị phương tiện dạy học, lựa chọn phương pháp dạy học, xác định mục tiêu dạy
học và nội dung dạy học, đến việc thực hiện hoạt động dạy của người giáo viên.
Hoạt động dạy học được xem xét cả trước, trong và sau khi lên lớp. Trước khi
lên lớp là công tác chuẩn bị như tìm kiếm tài liệu, soạn giáo án, làm mô hình
dạy học...; trong khi lên lớp là HĐDH trên lớp; và sau khi lên lớp là các hoạt
động hỗ trợ học tập như việc tư vấn, giải đáp thắc mắc, tổ chức các hoạt động
nghiên cứu cho học sinh.
1.4. Chuẩn năng lực CNTT cho giáo viên
Khung Chuẩn năng lực ICT cho giáo viên (UNESCO ICT Competency
Framework for Teachers) được UNESCO công bố lần đầu tiên vào năm 2008;
năm 2011, UNESCO phối hợp với Microsoft công bố khung Chuẩn năng lực
ICT cho giáo viên phiên bản 2.0 (ICT-CFT) với một số điều chỉnh so với phiên
bản năm 2008. ICT-CFT chỉ ra những yêu cầu cần thiết về năng lực CNTT của
giáo viên để giúp học sinh không chỉ nắm vững những kiến thức học được từ
chương trình mà còn có thể biết cách kiến tạo ra những kiến thức mới.
ICT-CFT được sắp xếp theo ba cấp độ khác nhau trong giảng dạy tương
ứng với ba giai đoạn kế tiếp của sự phát triển của giáo viên. Đầu tiên là Hiểu
biết về CNTT (Technology literacy). Người giáo viên có hiểu biết về CNTT có
thể giúp học sinh sử dụng công nghệ thông tin để học tập hiệu quả hơn. Cấp độ
thứ hai là Đào sâu kiến thức (Knowledge deepening), ở cấp độ này người giáo
- 23 -
viên sẽ tạo điều kiện cho học sinh có được kiến thức chuyên sâu của môn học
của họ và áp dụng nó vào vấn đề phức tạp trong thế giới thực. Cấp độ thứ ba là
Sáng tạo tri thức (Knowledge creation); giáo viên có thể giúp học sinh, những
công dân và lực lượng lao động trong tương lai, tạo ra các kiến thức mới làm
cho xã hội thêm hài hòa, hoàn thiện và phồn thịnh hơn. Với mỗi cấp độ, ICT-
CFT được phân chia thành sáu khía cạnh (Bảng 1. 1).
Bảng 1. 1. Khung Chuẩn năng lực ICT cho giáo viên của UNESCO
Khung Chuẩn năng lực ICT cho giáo viên của UNESCO
Hiểu biết về
CNTT
Đào sâu kiến
thức
Sáng tạo tri thức
Hiểu biết về CNTT
trong giáo dục
Nhận thức về
chính sách
Hiểu biết về chính
sách
Đổi mới chính
sách
Chương trình và
đánh giá
Kiến thức cơ
bản
Vận dụng kiến
thức
Kiến thức về kỹ
năng xã hội
Phương pháp sư
phạm
Tích hợp công
nghệ
Giải quyết vấn đề
phức tạp
Tự quản lý
CNTT
Những công cụ
cơ bản
Những công cụ
phức hợp
Những công cụ
phổ quát
Tổ chức và quản lý
Lớp học tiêu
chuẩn
Các nhóm cộng
tác
Tổ chức học tập
Phát triển chuyên
môn giáo viên
Hiểu biết về kỹ
thuật số
Quản lý và
hướng dẫn
Giáo viên là tấm
gương học tập
UNESCO (2011)[45]
trình bày một cách chi tiết các khai niệm được sử
dụng trong ICT-CFT, với các ví dụ chi tiết, liệt kê những chỉ báo về thái độ,
kiến thức, kỹ năng cần thiết về CNTT của giáo viên theo từng cấp độ và khía
cạnh của khung ICT-CFT.
Trong nghiên cứu này tác giả vận dụng Khung ICT-CFT như một căn cứ
khoa học nhằm xác định các chỉ báo về năng lực ứng dụng CNTT trong HĐDH
của giáo viên đồng thời cũng là một trong những căn cứ quan trọng để xây dựng
khung lý thuyết nghiên cứu cho đề tài.
- 24 -
1.5. Khung lý thuyết nghiên cứu của đề tài
Như đã trình bày trong phần 1.1 của chương này, đến nay đã có nhiều
tác giả trong và ngoài nước nghiên cứu để xác định các yếu tố tác động đến
năng lực ứng dụng CNTT cũng như mức độ ứng dụng CNTT trong HĐDH.
Điển hình có thể kể đến luận án tiến sĩ của Mohammed I. Isleem (2003)[38]
.
Trong nghiên cứu của mình, Isleem đã chọn 5 yếu tố cơ bản tác động đến mức
độ ứng dụng CNTT của giáo viên đó là (1) sự thành thạo (expertise), (2) cơ hội
tiếp cận (access), (3) thái độ (attitude), (4) sự hỗ trợ (support), và (5) đặc điểm
cá nhân của giáo viên (teacher characteristics). Một tác giả khác, Jef Peeraer
(2010)[40]
, đã xác định các yếu tố tác động đến việc ứng dụng CNTT trong dạy
học thực hành gồm: cơ hội tiếp cận với máy tính, cường độ sử dụng máy tính,
kỹ năng ICT, sự tự tin về ICT, và đặc điểm cá nhân (gồm thái độ với ICT và
quan niệm về việc học tập ở học sinh). Một nghiên cứu khác của Snoeyink và
Ertmer (2004) đã chỉ ra 2 yếu tố quan trọng ảnh hưởng đến việc ứng dụng
CNTT trong giáo dục là yếu tố “bên ngoài” như nguồn lực và sự hỗ trợ kỹ thuật;
yếu tố “bên trong” như thái độ của giáo viên với việc ứng dụng CNTT vào dạy
học…
Khung Chuẩn năng lức ICT-CFT cho thấy việc ứng dụng CNTT trong
HĐDH của giáo viên được thể hiện qua các chỉ báo cụ thể liên quan đến kỹ
năng sử dụng máy tính và đặc điểm cá nhân của giáo viên như hiểu biết, ý thức,
thái độ đối với việc tích hợp CNTT trong HĐDH.
Kết quả phỏng vấn sâu chuyên gia trong lĩnh vực ứng dụng CNTT trong
giáo dục cho thấy các yếu tố chính tác động đến mức động ứng dụng CNTT
trong HĐDH của giáo viên gồm yếu tố khách quan và yếu tố chủ quan. Yếu tố
khách quan gồm điều kiện cơ sở vật chất, chính sách, đặc điểm chung của học
sinh, đặc thù môn học…; yếu tố chủ quan gồm năng lực, nhận thức, tính tích
- 25 -
cực, hứng thú của giáo viên về ứng dụng CNTT trong HĐDH. Những yếu tố
rút ra được từ ý kiến chuyên gia nêu trên cũng tương đồng với một số nghiên
cứu trước đây như đã được trình bày trong phần Tổng quan nghiên cứu vấn đề.
Kế thừa kết quả các nghiên cứu trước đây, dựa vào Khung chuẩn năng
lực ICT-CFT, và tham khảo các ý kiến chuyên gia, trong phạm vi của đề tài
này, tác giả xác định các yếu tố tác động đến mức độ ứng dụng CNTT trong
HĐDH của giáo viên THPT gồm: (1) điều kiện tiếp cận công nghệ thông tin,
(2) kỹ năng sử dụng máy tính của giáo viên, (3) đặc điểm cá nhân của giáo viên,
và (4) sự hỗ trợ của ban giám hiệu và đồng nghiệp. Như vậy, Khung lý thuyết
nghiên cứu của đề tài được xác định như Hình 1. 1 dưới đây:
Hình 1. 1. Mô hình khung lý thuyết nghiên cứu của đề tài
Mức độ ứng
dụng CNTT
trong hoạt động
dạy học của
giáo viên
Điều kiện
tiếp cận
CNTT
Kỹ năng sử
dụng máy
tính
Đặc điểm cá
nhân của
giáo viên
Sự hỗ trợ
của BGH và
đồng nghiệp
- 26 -
1.6. Các khái niệm sử dụng trong nghiên cứu
1.6.1. Ứng dụng CNTT trong hoạt động dạy học
Công nghệ thông tin là thuật ngữ chỉ chung cho tập hợp các ngành khoa
học và công nghệ liên quan đến khái niệm thông tin và các quá trình xử lí thông
tin. Theo nghĩa đó, CNTT cung cấp cho chúng ta các quan điểm, phương pháp
khoa học, các phương tiện, công cụ và giải pháp kĩ thuật hiện đại chủ yếu là
các máy tính và phương tiện truyền thông nhằm tổ chức, khai thác và sử dụng
có hiệu quả các nguồn tài nguyên thông tin trong mọi lĩnh vực hoạt động kinh
tế, xã hội, văn hoá của con người[17]
.
Luật CNTT Việt Nam (2006) giải thích: Công nghệ thông tin là tập hợp
các phương pháp khoa học, công nghệ và công cụ kỹ thuật hiện đại để sản xuất,
truyền đưa, thu thập, xử lý, lưu trữ và trao đổi thông tin số; Ứng dụng công
nghệ thông tin là việc sử dụng công nghệ thông tin vào các hoạt động thuộc
lĩnh vực kinh tế - xã hội, đối ngoại, quốc phòng, an ninh và các hoạt động khác
nhằm nâng cao năng suất, chất lượng, hiệu quả của các hoạt động này[18]
. Thuật
ngữ CNTT còn bao hàm nội dung truyền thông trong đó [8]
vì vậy trong nghiên
cứu này tác giả sử dụng thuật ngữ CNTT thay cho cả thuật ngữ “CNTT và
truyền thông” (ICT) được nhiều tác giả sử dụng trong thời gian gần đây.
Tóm lại, Ứng dụng CNTT trong HĐDH là việc sử dụng các phương pháp
khoa học, công nghệ và công cụ kỹ thuật hiện đại để khai thác, sản xuất và trao
đổi thông tin số, phục vụ hiệu quả cho HĐDH của giáo viên. Cụ thể hơn, ứng
dụng CNTT trong HĐDH là việc sử dụng máy tính, phần mềm máy tính và các
thiết bị CNTT khác trong việc soạn bài, dạy học, kiểm tra đánh giá, hỗ trợ học
sinh học tập và cả việc nghiên cứu nhằm phát triển chuyên môn.
- 27 -
1.6.2. Mức độ ứng dụng CNTT
Mức độ ứng dụng CNTT có thể hiểu theo nghĩa khác nhau theo từng
cách tiếp cận khác nhau. Các tác giả Isleem (2003), Castillo (2002) đã tiếp cận
theo khía cạnh tần số trong nghiên cứu của mình, theo đó mức độ ứng dụng
CNTT được chia thành các mức: (1) chưa bao giờ, (2) hiếm khi, (3) thỉnh
thoảng, (4) thường xuyên, và (5) rất thường xuyên[38]
hoặc (1) không bao giờ,
(2) một lần/học kỳ, (3) 2-3 lần/học kỳ, (4) hằng tháng, (5) 2-3 lần/tháng, (6)
hằng tuần, (7) 2-3 lần/tuần, (8) hằng ngày[36]
. Nếu tiếp cận theo khía cạnh đánh
giá kiến thức có thể chia theo các mức: (1) không có kiến thức, (2) kiến thức
có giới hạn, (3) kiến thức đủ, (4) kiến thức tốt, (5) kiến thức rất tốt[36]
.
Trong luận văn này, tác giả tiếp cận mức độ ứng dụng CNTT ở khía cạnh
sự tần số ứng dụng CNTT trong HĐDH. Mức độ được xác định theo 5 mức
theo chiều hướng tăng dần về việc ứnng dụng CNTT trong HĐDH là: (1) chưa
bao giờ, (2) 1 đến 2 lần/học kỳ, (3) hằng tháng, (4) hằng tuần, và (5) hằng
ngày.
1.6.3. Các yếu tố được chọn trong nghiên cứu
1.6.3.1. Điều kiện tiếp cận công nghệ thông tin
“Điều kiện tiếp cận” là từ tiếng Việt tương ứng với từ “accessibility”
trong tiếng Anh. Nó được dùng để mô tả khả năng một ai đó, khi cần, có thể sử
dụng được, có thể có được điều gì đó. “Tiếp cận” không đồng nghĩa với “khả
năng sử dụng”, nó không mang nghĩa về mặt năng lực, kỹ năng.
Điều kiện tiếp cận công nghệ thông tin được hiểu là cơ hội để tiếp cận,
sử dụng các thiết bị CNTT như máy tính, internet, phòng dạy học đa phương
tiện (multimedia), máy chiếu, phần mềm…. Các thiết bị CNTT này có thể là
của cá nhân, của bạn bè, của cơ quan hoặc của ai đó nhưng người giáo viên có
thể tiếp cận và sử dụng nó, phục vụ cho HĐDH của mình.
- 28 -
Đánh giá cơ hội tiếp cận được tác giả chia làm 5 mức độ: (1) chưa có,
(2) rất khó tiếp cận, (3) khó tiếp cận, (4) dễ tiếp cận, và (5) rất dễ tiếp cận.
1.6.3.2. Kỹ năng sử dụng máy tính
Kỹ năng là năng lực hay khả năng chuyên biệt của một cá nhân về một
hoặc nhiều khía cạnh nào đó được sử dụng để giải quyết tình huống hay công
việc nào đó phát sinh trong cuộc sống.
Kỹ năng sử dụng máy tính trong nghiên cứu này được hiểu là khả năng
sử dụng máy tính và phần mềm máy tính trong xử lý công việc liên quan đến
HĐDH. Kỹ năng cũng được chia thành 5 mức độ để đánh giá đó là (1) chưa
biết, (2) biết ít, (3) chưa thành thạo, (4) thành thạo, và (5) rất thành thạo.
1.6.3.3. Đặc điểm cá nhân của giáo viên
Đặc điểm cá nhân trong nghiên cứu bao gồm thái độ của giáo viên đối
với việc ứng dụng CNTT trong HĐDH, các đặc điểm dân số học, các đặc điểm
về chuyên môn và kinh nghiệm công tác...
Trong từ điển tiếng Việt, “Thái độ” được định nghĩa là: “Cách nhìn nhận,
hành động của cá nhân về một hướng nào đó trước một vấn đề, một tình huống
cần giải quyết. Đó là tổng thể những biểu hiện ra bên ngoài của ý nghĩ, tình
cảm của cá nhân đối với con người hay một sự việc nào đó”.
Từ điển Bách khoa Việt Nam[17]
giải nghĩa: Thái độ là tâm trạng bên
trong được biểu lộ qua hành động, hành vi, cử chỉ ứng xử đối với người khác,
đối với các sự kiện, quan điểm, với bản thân. Là giai đoạn trung gian giữa giai
đoạn tiềm ẩn với giai đoạn thực hiện đầy đủ một ý nghĩa, ý định nào đó trong
thực tế.
Nghiên cứu này tiếp cận thái độ với nghĩa là “quan điểm, cách nhìn nhận,
ứng xử của cá nhân đối với việc ứng dụng CNTT trong hoạt động giảng dạy”.
- 29 -
Đánh giá thái độ cũng được tác giả chia làm 5 cấp độ: (1) rất không đồng ý, (2)
không đồng ý, (3) phân vân, (4) đồng ý, và (5) rất đồng ý.
1.6.3.4. Sự hỗ trợ của ban giám hiệu và đồng nghiệp
“Sự hỗ trợ” là từ tiếng Việt tương ứng với từ “support” trong tiếng Anh.
Từ điển Encarta® (1999) đã định nghĩa “sự hỗ trợ” (support) bằng 3 khái niệm
đó là “to give active help, encouragement, or money to somebody or
something” có thể hiểu là cho ai/vật gì đó sự giúp đỡ tích cực, sự khích lệ hoặc
tiền bạc.
Yếu tố “sự hỗ trợ của đồng nghiệp và ban giám hiệu” được chọn trong
nghiên cứu này là: sự hỗ trợ việc ứng dụng CNTT trong HĐDH bao gồm sự hỗ
trợ của ban giám hiệu và sự hỗ trợ, giúp đỡ của đồng nghiệp. Đánh giá yếu tố
này được tác giả chia thành 5 mức độ: (1) Chưa có, (2) hiếm khi, (3) chưa
thường xuyên, (4) thường xuyên, và (5) rất thường xuyên.
Kết luận Chương 1
Trong chương này tác giả đã giải quyết các vấn đề cơ bản làm cơ sở lý
luận xây dựng khung lý thuyết nghiên cứu của đề tài đồng thời khẳng định tính
đúng đắn của hướng nghiên cứu đề tài. Các vấn đề được giải quyết trong
chương gồm:
i) Kết quả nghiên cứu cho thấy vấn đề ứng dụng CNTT trong HĐDH đã
được nhiều nhà nghiên cứu trong và ngoài nước quan tâm, đã có nhiều công
trình khoa học được công bố trong lĩnh vực này. Tuy nhiên, phần lớn các nghiên
cứu tập trung vào việc khẳng định vai tròng tích cực của việc ứng dụng CNTT
trong HĐDH, về năng lực CNTT của người dạy, người học; một số khác tập
trung nghiên cứu các giải pháp nhằm phát huy hiệu quả ứng dụng CNTT trong
môn học, bài học cụ thể. Ở Việt Nam, đến thời điểm này chưa có nghiên cứu
nào đánh giá các yếu tố tác động đến mức độ ứng dụng CNTT trong HĐDH
- 30 -
của giáo viên. Điều này khẳng định tính cấp thiết và hướng nghiên cứu của đề
tài là đúng.
ii) Các nhà hoạch định chính sách cùng các cấp lãnh đạo từ trung ương
đến địa phương đều rất quan tâm đến vấn đề ứng dụng CNTT vào HĐDH.
Nhiều văn bản nhà nước được ban hành nhằm định hướng, hướng dẫn, khuyến
khích giáo viên các bậc học tích cực ứng dụng CNTT trong HĐDH.
iii) Dựa trên quan điểm của giáo dục học, lý luận dạy học, và các nghiên
cứu liên quan tác giả đã xác định và làm rõ được các khái niệm sử dụng trong
đề tài.
- 31 -
Chương 2
PHƯƠNG PHÁP NGHIÊN CỨU
2.1. Giới thiệu chung về địa bàn nghiên cứu
Bình Phước được tái lập theo quyết định của Quốc hội khóa IX, kỳ họp
thứ 10 (6-11-1996) và chính thức đi vào hoạt động từ ngày 1 tháng 1 năm 1997.
Theo Nghị quyết số 35/NQ-CP của Thủ tướng Chính phủ, ngày 11 tháng 8 năm
2009, hiện nay tỉnh Bình Phước có 10 đơn vị hành chính, bao gồm 3 thị xã và
07 huyện[1]
: Thị xã Đồng Xoài, Thị xã Phước Long, Thị xã Bình Long và các
huyện Đồng Phú, Chơn Thành, Hớn Quản, Lộc Ninh, Bù Đốp, Bù Gia Mập,
Bù Đăng. Là một tỉnh thuộc Đông Nam bộ, diện tích tự nhiên là 6.871,543 km2
,
có 240 km đường biên giới với Vương quốc Campuchia. Phía đông giáp tỉnh
Lâm Đồng và Đồng Nai, phía tây giáp tỉnh Tây Ninh và tỉnh Côngpông Chàm
(Campuchia), phía nam giáp tỉnh Bình Dương, phía bắc giáp tỉnh Đắc Lắc và 2
tỉnh Karatié, Munđunkiri (Campuchia).
Bình Phước là nơi sinh sống của 41 dân tộc anh em, đông nhất là người
Kinh (724,680 người), tiếp đó là người S’tiêng (84,425 người), Tày (24,000
người), Nùng (23,969 người), Khơ-me (16,096 người), Hoa (10,095 người),
m’nông (8,885 người)[45]
… mỗi dân tộc có nét văn hoá riêng rất đặc sắc.
Là một tỉnh nằm trong khu kinh tế trọng điểm phía Nam phát triển với
tốc độ cao nên có sự tác động tích cực đến sự phát triển kinh tế xã hội của tỉnh.
Đất đai, khí hậu thích hợp với nhiều loại cây trồng vật nuôi có giá trị kinh tế
cao. Thế mạnh của tỉnh là cây công nghiệp (điều, hồ tiêu, cao su, ca cao…), với
tổng diện tích cây lâu năm ước đến hết năm 2012 là 391,174 ha, trong đó cây
điều, cao su của tỉnh vẫn đóng vai trò thủ phủ của cả nước. Tỉnh hiện có 18 khu
công nghiệp với tổng diện tích hơn 28,300ha.
Về giáo dục, năm học 2011 - 2012 toàn tỉnh có 429 trường học và 6,558
lớp. Toàn tỉnh có 26/111 xã, phường, thị trấn được huyện, thị xã công nhận phổ
- 32 -
cập giáo dục mầm non 5 tuổi, 100% số xã, phường, thị trấn đạt chuẩn xóa nạn
mù chữ, phổ cập giáo dục tiểu học và THCS, học sinh tốt nghiệp THCS đạt
99,7%. Đặc biệt năm học vừa qua tỷ lệ học sinh bỏ học các cấp giảm chỉ còn
0,5% (giảm so với các năm trước từ 2-3%)[13]
. Năm học 2012 – 2013 toàn tỉnh
có 447 trường và 7,823 lớp, 217,476 học sinh. Cán bộ, giáo viên, nhân viên
công tác tại các trường trên toàn tỉnh đạt 15,304 cán bộ. Đến nay, toàn tỉnh có
35 trường đạt chuẩn quốc gia, tỷ lệ học sinh tốt nghiệp các cấp, số học sinh
trúng tuyển cao đẳng, đại học và học sinh giỏi cấp quốc gia tăng hàng năm.
Trong đó có trường THPT chuyên Quang Trung của tỉnh từng xếp hạng nhất
cả nước về chất lượng điểm thi đại học năm 2011[3]
. Về cơ sở vật chất không
xảy ra tình trạng thiếu trường, lớp, không có lớp học ca 3. Tuy nhiên, ở một số
địa phương vẫn còn nhiều khó khăn về cơ sở vật chất trường, lớp học[2]
.
2.2. Mẫu nghiên cứu
Bình Phước hiện có 22 trường THPT công lập (hiện chưa có trường ngoài
công lập) phân bổ trên 7 huyện, 3 thị xã, với tổng số 614 giáo viên dạy các môn
Toán, Vật lý, Hóa học, Sinh học (không kể môn Tin học). Thực tế cho thấy đặc
điểm về điều kiện dạy học ở các trường thuộc khu vực thị xã và các trường
thuộc khu vực ngoài thị xã có sự khác biệt khá rõ rệt, vì vậy tác giả chia tổng
thể thành hai tầng và tiến hành chọn mẫu theo phương pháp chọn mẫu ngẫu
nhiên phân tầng không theo tỷ lệ.
Sử dụng phần mềm tính cỡ mấu Sample Size Calculator[41, 43]
, với tổng
thể là 614 giáo viên, sai số mẫu là 5% và độ tin cậy là 95% thì cỡ mẫu là 237
giáo viên. Cộng thêm khoảng 10% dự phòng ta có cỡ mẫu điều tra là 260 giáo
viên.
Thực tế mỗi trường THPT trên địa bàn tỉnh Bình Phước có khoảng trên
30 giáo viên các môn tự nhiên. Toàn tỉnh có 6 trường THPT thuộc khu vực thị
- 33 -
xã. Như vậy để lấy đủ 260 giáo viên theo 2 tầng (thị xã và không thuộc thị xã)
tác giả chọn mẫu giáo viên từ 13 trường THPT trong đó có 6 trường thuộc 3 thị
xã và 7 trường trên địa bàn 7 huyện còn lại của tỉnh Bình Phước (mỗi huyện
một trường).
Khung mẫu được xác định là danh sách giáo viên các môn tự nhiên thuộc
13 trường được chọn, năm học 2011 - 2012.
Bảng 2. 1. Số lượng giáo viên các môn tự nhiên ở 13 trường chọn mẫu a
TT Đơn vị
Khu
vực
Toán
Vật
lí
Hóa
học
Sinh
học
Tổng
số
1 THPT Đồng Xoài TX 14 11 9 5 39
2 THPT Bình Long TX 13 11 7 5 36
3 THPT Phước Long TX 11 12 7 6 36
4 THPT Hùng Vương TX 11 7 8 5 31
5 THPT Nguyễn Du TX 10 9 6 6 31
6 THPT Nguyễn Huệ TX 10 6 5 5 26
7 THPT Phước Bình K.TX 12 15 12 8 47
8 THPT Lộc Ninh K.TX 13 10 8 5 36
9 THPT Bù Đăng K.TX 11 9 8 5 33
10 THPT Đồng Phú K.TX 10 7 8 4 29
11 THPT Chơn Thành K.TX 7 5 5 3 20
12 THPT Nguyễn Hữu Cảnh K.TX 11 8 7 5 31
13 THPT Thanh Hòa K.TX 11 10 6 9 36
Tổng Cộng
TX 69 56 42 32 199
K.TX 75 64 54 39 232
Tổng 144 120 96 71 431
a: TX = Thị xã, K.TX = Không thuộc thị xã
Từ số lượng giáo viên trong Bảng 2. 1 ta tính được số lượng giáo viên
cần được chọn làm mẫu nghiên cứu cho từng môn theo từng khu vực.
Vì chọn mẫu phân tầng không theo tỷ lệ nên ta chọn mỗi khu vực 50%
cỡ mẫu (260/2 = 130) như vậy đối với tầng thị xã ta lấy 65,32%, ở tầng không
thuộc thị xã lấy 56,03% số giáo viên trong khung mẫu.
- 34 -
Nhân tổng từng môn theo tỷ lệ từng khu vực ta có được số lượng giáo
viên từng môn theo khu vực được chọn làm mẫu theo Bảng 2. 2.
Bảng 2. 2. Số lượng giáo viên được chọn vào mẫu
Khu vực Tỷ lệ Toán
Vật
lí
Hóa
học
Sinh
học
Tổng
số
Thị xã 65,32 45 37 27 21 130
Không thuộc thị xã 56,03 42 36 30 22 130
Tổng cộng 87 73 57 43 260
Có được số lượng mẫu theo từng môn ta tiến hành chọn ngẫu nhiên hệ
thống theo môn dựa trên danh sách giáo viên. Ta tính khoảng cách (bước nhảy)
k=
số lượng đơn vị khung mẫu
số lượng đơn vị mẫu
cho việc chọn mẫu ngẫu nhiên hệ thống. Trong
trường hợp này ở cả 4 môn đều tính được k < 2, nghĩa là sau khi bốc thăm ngẫu
nhiên vị trí xuất phát, thì bắt đầu từ đó, cứ cách một người lại chọn một người
vào mẫu nghiên cứu đến khi đủ số lượng.
2.3. Quy trình nghiên cứu
Luận văn sử dụng phương pháp nghiên cứu chính là định lượng và định
tính. Việc nghiên cứu định tính được tiến hành nhằm xây dựng cơ sở lý luận,
tham khảo ý kiến chuyên gia và phỏng vấn giáo viên trong nghiên cứu sơ bộ để
xây dựng công cụ đo lường (bảng hỏi) phục vụ nghiên cứu định lượng. Chuyên
gia được chọn trong nghiên cứu này là các cán bộ, chuyên viên phòng CNTT,
sở GD-ĐT và các báo cáo viên chương trình tập huấn “Thiết kế bài giảng điện
tử E-Learning” do Sở GD-ĐT Bình Phước tổ chức trong năm 2013.
Nghiên cứu được tiến hành theo bốn bước, bước một là nghiên cứu định
tính (khảo cứu tài liệu) nhằm xây dựng cơ sở lý thuyết, tổng quan nghiên cứu
vấn đề, và xác định các chỉ báo; bước hai là nghiên cứu sơ bộ bằng định tính
nhằm thăm dò và điều chỉnh bảng hỏi; bước ba là nghiên cứu thử nghiệm bằng
- 35 -
định lượng và bước bốn là nghiên cứu chính thức bằng định lượng. Kết quả
khảo sát được mã hóa và xử lý bằng phần mềm MS Excel và SPSS (Hình 2. 1).
Cơ sở lý thuyết
Mô hình lý thuyết
Các chỉ báo thang đo
Bảng hỏi thô
Nghiên cứu sơ bộ:
Phát bảng hỏi thăm dò, phỏng
vấn
Điều chỉnhBảng hỏi thử nghiệm
Điều tra thử nghiệm
Bảng hỏi chính thức
Nghiên cứu chính thức
Kiểm định thang đó
Cronbach’s Alpha & EFA
Phù hợp
Chưa phù hợp
Điều chỉnh mô hình
Kiểm định mô hình
Phân tích hồi quy
Kết luận
Hình 2. 1. Sơ đồ quy trình nghiên cứu
i) Nghiên cứu sơ bộ theo phương pháp định tính, thông qua phương pháp
phỏng vấn sâu và phát bảng hỏi thăm dò.
Đầu tiên, tác giả tiến hành nghiên cứu tài liệu, dựa trên các cơ sở lý luận
thiết kế khung lý thuyết nghiên cứu của đề tài (Hình 1. 1), xác định các chỉ báo
và xây dựng bảng hỏi thô (Phụ lục 1, Phụ lục 2); sau đó tiến hành xin ý kiến
- 36 -
chuyên gia về sự cần thiết và phù hợp của từng câu hỏi trong bảng hỏi và tiến
hành hiệu chỉnh. Sử dụng bảng hỏi thăm dò (Phụ lục 2) để khảo sát đồng thời
phỏng vấn sâu 15 giáo viên.
Nghiên cứu sơ bộ này dùng để đánh giá cách sử dụng thuật ngữ trong
bảng hỏi để điều chỉnh một số thuật ngữ cũng như cấu trúc bảng hỏi cho thích
hợp, tránh trường hợp người được khảo sát hiểu sai ý cần hỏi; đồng thời loại
bỏ những chỉ báo không phù hợp (được trình bày chi tiết trong mục 2.3.1) và
hoàn thành bảng hỏi trước khi tiến hành điều tra thử nghiệm bằng bảng hỏi đã
điều chỉnh (Phụ lục 4).
ii) Nghiên cứu thử nghiệm được tiến hành khi đã có một bảng hỏi tương
đối hoàn chỉnh.
Tác giả tiến hành nghiên cứu thử nghiệm trên mẫu thử với 60 giáo viên
thuộc 2 nhóm đối tượng (thị xã và không thuộc thị xã). Từ số liệu nghiên cứu
thử nghiệm này tác giả dùng phần mềm SPSS phân tích, đánh giá. Dựa vào chỉ
số Cronbach's Alpha và hệ số tương quan biến tổng (item-total correlation), kết
quả phân tích sẽ cho biết những câu hỏi nào cần phải hiệu chỉnh hoặc loại bỏ.
iii) Nghiên cứu chính thức được tiến hành bằng phương pháp định lượng
thông qua kỹ thuật phát bảng hỏi và xử lý số liệu bằng phần mềm SPSS. Số
bảng hỏi phát ra là 290 theo mẫu nghiên cứu đã được trình bày trong mục 2.2.
Số bảng hỏi thu về được kiểm lọc để loại bỏ những bảng hỏi không phù hợp do
người trả lời bỏ trống nhiều hoặc chọn phương án trả lời mâu thuẫn. Kết quả
khảo sát được dùng để phân tích nhân tố khám phá (EFA) và phân tích hồi quy.
2.4. Xây dựng công cụ đo lường
2.4.1. Xác định các chỉ báo
Bảng hỏi được thiết kế nhằm thu thập theo các yếu tố được xác định như
khung lý thuyết bao gồm: Mức độ ứng dụng CNTT trong HĐDH, kỹ năng sử
- 37 -
dụng máy tính, điều kiện tiếp cận với CNTT của giáo viên, sự hỗ trợ của BGH
và động nghiệp, và đặc điểm cá nhân của giáo viên. Qua nghiên cứu tổng quan
và cơ sở lý luận được trình bày trong Chương 2, tác giả đã xác định được 72
chỉ báo (xem Phụ lục 1). Sau khi tiến hành xin ý kiến chuyên gia, khảo sát thăm
dò và phỏng vấn sâu 15 giáo viên, 30 chỉ báo đã được loại bỏ và giữ lại 42 chỉ
báo để xây dựng công cụ đo lường gồm:
- Khái niệm “Mức độ ứng dụng CNTT trong HĐDH”
Các chỉ báo được loại bỏ gồm:
6. Dạy học có dùng máy chiếu (projector)
7. Dạy học có dùng bài giảng điện tử hay phần mềm mô phỏng
8. Dạy học trên phòng máy vi tính hoặc phòng nghe nhìn
(multimedia)
11. Trả lời email cho học sinh, phụ huynh học sinh
12. Trả lời email cho đồng nghiệp
13. Tổ chức kiểm tra bằng phần mềm máy tính
14. Phân tích, đánh giá đề trắc nghiệm sau khi kiểm tra
15. Phân tích thông tin về kết quả học tập của học sinh
16. Phân tích, đánh giá đề thi sau khi kiểm tra (bằng excel hoặc bằng
phần mềm nào đó).
Chỉ báo số 6 được loại bỏ vì đã bao hàm trong chỉ báo số 7. Các chỉ báo
số 8, 9 được loại bỏ vì phần lớn các trường đều chưa có phòng nghe nghìn, và
“dạy học trực tuyến còn rất xa lạ với giáo dục phổ thông ở Việt Nam”[14]
. Chỉ
báo 11, 12 được thay bằng “Trả lời email cho học sinh, phụ huynh hoặc đồng
nghiệp”. Chỉ báo 13,14, 15, 16 được thay bằng “Phân tích, đánh giá đề thi sau
khi kiểm tra (bằng excel hoặc bằng phần mềm nào đó)”
- 38 -
Như vậy, khái niệm “Mức độ ứng dụng CNTT trong HĐDH” sẽ được đo
bằng 09 chỉ báo sau:
1. Soạn giáo án
2. Soạn bài giảng điện tử
3. Tra cứu thông tin, tư liệu cho việc soạn giảng
4. Làm phim, ảnh tư liệu, hoạt hình phục vụ dạy học
5. Biên soạn đề trắc nghiệm bằng phần mềm
6. Dạy học có dùng bài giảng điện tử hay phần mềm mô phỏng
7. Viết bài trả lời, hướng dẫn học tập lên diễn đàn, hoặc chia sẻ tài
nguyên, bài giảng lên website
8. Trả lời email cho học sinh, phụ huynh hoặc đồng nghiệp
9. Phân tích, đánh giá đề thi sau khi kiểm tra (bằng excel hoặc bằng
phần mềm nào đó).
- Khái niệm “Điều kiện tiếp cận với CNTT”:
Các chỉ báo được loại bỏ gồm:
7. Phòng nghe nhìn (multimedia)
9. Bảng thông minh
10. Máy tính cá nhân (máy để bàn)
11. Laptop cá nhân (máy tính xách tay)
Các chỉ báo số 7, 9 được loại bỏ vì lý do hầu hết các trường THPT không
có các thiết bị này. Các chỉ báo 10, 11 được thay bằng “Máy tính cá nhân”.
Như vậy, khái niệm “Điều kiện tiếp cận với CNTT” với cả thiết bị của
nhà trường và thiết bị cá nhân sẽ được đo bằng 11 chỉ báo như sau:
Thiết bị của nhà trường:
1. Máy tính dành cho giáo viên (dùng chung)
- 39 -
2. Kết nối với Internet tại trường
3. Máy in dùng chung
4. Máy quay phim/chụp hình
5. Phòng máy tính dùng cho dạy học
6. Máy chiếu (projector)
7. Phần mềm phục vụ soạn giảng (có bản quyền)
Thiết bị của cá nhân hoặc bạn bè, đồng nghiệp:
8. Máy tính cá nhân
9. Kết nối Internet tại nhà riêng/ nơi ở
10.Máy in
11.Máy quay phim/chụp hình.
- Khái niệm “Sự hỗ trợ từ BGH và đồng nghiệp”:
Các chỉ báo được loại bỏ gồm:
2. Tổ chức thi bài giảng điện tử
5. Hỗ trợ giáo viên cài đặt và cập nhật phần mềm
Chỉ báo số 2 được loại bỏ vì hầu hết các trường trên địa bàn Bình Phước
không tổ chức thi bài giảng điện tử. Chỉ báo số 5 được loại bỏ vì nó được bao
hàm trong các chỉ báo số 6 và số 7.
Như vậy, khái niệm “Sự hỗ trợ từ BGH và đồng nghiệp” sẽ được đo bằng
06 chỉ báo sau:
1. Có chính sách khuyến khích giáo viên ứng dụng CNTT trong dạy
học
2. Tổ chức tập huấn/hội thảo về kỹ năng ứng dụng CNTT trong dạy
học
3. Cung cấp phần mềm có bản quyền cho giáo viên
- 40 -
4. Có hỗ trợ của đội ngũ hỗ trợ kỹ thuật (GV kiêm nhiệm)
5. Có hỗ trợ của nhân viên kỹ thuật tin học (chuyên trách)
6. Đồng nghiệp hướng dẫn nhau sử dụng CNTT.
- Khái niệm “Kỹ năng sử dụng máy tính”:
Các chỉ báo được loại bỏ gồm:
8.Phần mềm hỗ trợ soạn công thức toán học, hóa học… (như
Mathtype, Chemwin,… hoặc tương tự)
9.Phần mềm hỗ trợ vẽ hình trong word (như Science Helper for
word)
12. Phần mềm hỗ trợ xây dựng ngân hàng đề trắc nghiệm (như iQB
Leo, TestPro Bank hoặc tương tự)
13. Phần mềm hỗ trợ quản lý lớp học (như Netop School, NetSupport
School hoặc tương tự)
14. Phần mềm hỗ trợ dạy-học chuyên môn (như các phần mềm của
Crocodile, School Net…)
16. Hệ thống quản lý học tập trực tuyến (như Black Board, Moodle,
web 2.0 hoặc tương tự)
Các chỉ báo số 8, 9 được thay bằng “Phần mềm hỗ trợ soạn công thức
toán học, hóa học, vẽ hình … (như Mathtype, Chemwin, Science Helper… hoặc
tương tự)”. Các chỉ báo 12, 13, 14, 16 được loại bỏ vì đây là những phần mềm
lớn, khá phức tạp, đòi hỏi kỹ thuật cao nên các giáo viên được hỏi đều không
biết và chưa từng sử dụng.
Như vậy, khái niệm “Kỹ năng sử dụng máy tính” sẽ được đo bằng 11 chỉ
báo sau:
1. Xử lý những sự cố đơn giản của máy tính
- 41 -
2. Quản lý thư mục (folder), tập tin (file) như: tạo mới, di chuyển,
đổi tên…
3. Sử dụng email: đọc, gửi, và các chức năng khác của email
4. Tìm kiếm và lấy thông tin từ internet
5. Sử dụng phần mềm soạn thảo văn bản (như MS Word hoặc phần
mềm tương tự)
6. Sử dụng phầm mềm soạn bài trình chiếu (như MS PowerPoint
hoặc tương tự)
7. Sử dụng phầm mềm bảng tính (như MS Excel hoặc tương tự)
8. Phần mềm hỗ trợ soạn công thức toán học, hóa học, vẽ hình …
(như Mathtype, Chemwin, Science Helper… hoặc tương tự)
9. Phần mềm hỗ trợ soạn bài giảng điện tử (như Violet, Adobe
presenter, iSpring, Lecture Maker, hoặc tương tự)
10.Phần mềm soạn đề trắc nghiệm (như McMix hoặc tương tự)
11.Hệ quản trị CSDL (như MS Access, SQL, My SQL…)
- Khái niệm “Đặc điểm cá nhân”:
Các chỉ báo được loại bỏ gồm:
3.Ứng dụng CNTT làm cho người giáo viên vất vả hơn
5.CNTT rất cần cho việc nâng cao trình độ chuyên môn
8.CNTT giúp tôi thu thập thông tin nhanh và chính xác hơn
Đặc điểm cá nhân được chia làm 2 phần là (1) thái độ và (2) thông tin cá
nhân và đặc điểm nghề nghiệp. Các chỉ báo số 3, 5, 8, 9 được loại bỏ vì nó được
bao hàm trong các chỉ báo khác.
Như vậy, khái niệm “Thái độ” sẽ được đo bằng 05 chỉ báo và các thông
tin cá nhân và đặc điểm nghề nghiệp được đo bằng 06 chỉ báo như sau:
- 42 -
- Các chỉ báo về thái độ của cá nhân với việc ứng dụng CNTT trong
HĐDH gồm:
1. Ứng dụng CNTT trong dạy học chưa thật sự cần thiết
2. CNTT giúp mô phỏng những hiện tượng khó diễn tả một cách dễ
dàng và sinh động hơn
3. Tôi muốn tham gia tập huấn ứng dụng CNTT trong dạy học
4. CNTT cung cấp nhiều tài nguyên và công cụ cho dạy học
5. CNTT giúp tôi làm việc năng suất hơn.
- Các chỉ báo thông tin cá nhân và đặc điểm nghề nghiệp gồm:
1. Tuổi
2. Giới tính
3. Chuyên môn (giáo viên dạy môn gì)
4. Nơi công tác (thị xã hay không thuộc thị xã)
5. Số năm giảng dạy
6. Số năm sử dụng máy tính.
2.4.2. Xây dựng bảng hỏi
Trên cơ sở các chỉ báo và phân tích, thiết kế thang đo, tác giả xây dựng
Phiếu khảo sát Mức độ ứng dụng CNTT trong HĐDH của giáo viên (Phụ lục
4). Cấu trúc tổng quát được trình bày ở Bảng 2. 3. Trong phần thông tin cá
nhân, thông tin về tuổi được chia thành 5 nhóm: 20-29, 30-39, 40-49, 50-59, và
trên 59; thông tin về chuyên môn gồm các môn Toán học, Vật Lý, Hóa học, và
Sinh học; nơi công tác được chia thành Thị xã và Không thuộc thị xã; số năm
giảng dạy và số năm sử dụng máy tính được chia thành 5 nhóm: 1-5, 6-10, 11-
15, 16-20, và trên 20.
- 43 -
Bảng 2. 3. Cấu trúc bảng hỏi
CẤU TRÚC BẢNG HỎI
I. Thông tin cá nhân
Gồm các câu hỏi về giới tính, tuổi, chuyên môn, nơi công tác, số năm
công tác và số năm sử dụng máy tính.
II. Ứng dụng CNTT trong hoạt động dạy học
Gồm 9 câu hỏi theo thang đo: Chưa bao giờ, 1-2 lần/học kỳ, Hằng
tháng, Hằng tuần, Hằng ngày.
III. Điều kiện tiếp cận với CNTT
A. Thiết bị của trường
Gồm 07 câu hỏi theo thang đo: Không có, Rất khó tiếp cận, Khó tiếp
cận, Dễ tiếp cận, Rất dễ tiếp cận.
B. Thiết bị của cá nhân hoặc gia đình, đồng nghiệp, bạn bè
Gồm 04 câu hỏi theo thang đo: Không có, Rất khó tiếp cận, Khó tiếp
cận, Dễ tiếp cận, Rất dễ tiếp cận.
IV. Sự hỗ trợ từ đồng nghiệp và Ban giám hiệu
Gồm 06 câu hỏi theo thang đo: Chưa có, Hiếm khi, Chưa thường
xuyên, Thường xuyên, Rất thường xuyên.
V. Kỹ năng sử dụng máy tính
Gồm 11 câu hỏi theo thang đo: Chưa biết, Biết ít, Chưa thành thạo,
Thành thạo, Rất thành thạo.
VI. Nhận định cá nhân
Gồm 05 câu hỏi theo thang đo: Rất không đồng ý, Không đồng ý, Phân
vân, Đồng ý, Rất đồng ý.
Và 01 câu hỏi mở về đề xuất nâng cao mức độ ứng dụng CNTT trong HĐDH
của giáo viên.
- 44 -
2. 5. Khảo sát thử và đánh giá công cụ đo lường
2.5.1. Khảo sát thử nghiệm
Sử dụng bảng hỏi (Phụ lục 4) tiến hành khảo sát thử nghiệm trên mẫu
thử với 60 giáo viên thuộc 2 nhóm đối tượng (thị xã và không thuộc thị xã theo
tỷ lệ 1:1).
Bảng 2. 4. Thông tin mẫu khảo sát thử nghiệm
Địa bàn công tác
Thuộc thị xã Không thuộc thị xã
Giới tính Nam 15 14
Nữ 15 16
Số liệu thô được nhập và kiểm tra bằng phần mềm bảng tính MicroSoft
Excel, sau đó chuyển vào phần mềm SPSS để phân tích, xử lý.
Các biến được mã hóa thành giá trị từ 1 đến 5 theo mức độ tăng dần cho
các thang đo. Riêng biến td1 (chỉ báo số 01 của khái niệm “thái độ”) sẽ được
recode lại giá trị (5 = 1, 5 = 1, 4 = 2, 2 = 4, 3 = 3) vì đây là “câu hỏi ngược”
được tác giả đưa vào bảng hỏi để làm dấu hiệu phát hiện người trả lời đánh đại
(không đọc câu hỏi mà chỉ trả lời cho có).
2.5.2. Đánh giá độ tin cậy của bảng hỏi
Tính toán độ tin cậy của bộ câu hỏi là bước quan trọng nhằm khẳng định
độ tin cậy của công cụ đo lường đồng thời cũng khẳng định độ tin cậy của thông
tin thu thập được thông qua công cụ đo lường này. Tác giả tiến hành phân tích
chỉ số Cronbach's Alpha bằng phần mềm SPSS.
Kết quả phân tích Cronbach’s Alpha cho từng nhân tố như sau:
- 45 -
- Mức độ ứng dụng CNTT trong HĐDH (09 biến): α = 0. 855;
Thống kê Biến-Tổng
Biến
Trung bình được
điều chỉnh nếu
xóa biến
Phương sai được
điều chỉnh nếu
xóa biến
Tương quan biến
tổng
Cronbach's
Alpha nếu xóa
biến
md1 22,53 50,524 0,167 0,871
md2 23,87 40,863 0,739 0,823
md3 22,70 47,366 0,423 0,853
md4 24,53 40,999 0,707 0,826
md5 24,33 42,429 0,546 0,843
md6 24,07 39,758 0,755 0,820
md7 24,57 42,453 0,635 0,834
md8 23,97 40,134 0,617 0,836
md9 24,63 43,185 0,571 0,840
Xét hệ số tương quan biến tổng của các biến cho thấy chỉ có biến md1 =
0,167, các biến còn lại đều có hệ số tương quan biến tổng lớn hơn 0,3 (từ 0,423
đến 0,755). Về lý thuyết, các biến có hệ số tương quan biến tổng nhỏ hơn 0,3
cần được loại bỏ (Nunnally & Bernstein 1994)[31]
. Tuy nhiên bảng hỏi chỉ có 1
trên tổng số 42 biến có chỉ số nhỏ hơn 0,3, mặt khác mẫu điều tra thử nghiệm
chỉ là 60 nên tác giả vẫn giữ lại biến md1 để tiến hành khảo sát chính thức.
Trường hợp với số liệu điều tra chính thức mà biến md1 vẫn có chỉ số nhỏ hơn
0,3 thì sẽ loại bỏ biến này trước khi phân tích bàn luận kết quả chính thức.
- 46 -
- Kỹ năng sử dụng máy tính (11 biến): α = 0,890;
Thống kê Biến-Tổng
Biến
Trung bình được
điều chỉnh nếu
xóa biến
Phương sai được
điều chỉnh nếu
xóa biến
Tương quan biến
tổng
Cronbach's
Alpha nếu xóa
biến
kn1 34,43 58,012 0,549 0,884
kn2 33,18 61,813 0,505 0,886
kn3 33,45 56,252 0,654 0,878
kn4 33,27 60,368 0,648 0,880
kn5 33,33 60,158 0,692 0,879
kn6 33,88 56,071 0,783 0,871
kn7 34,08 56,383 0,668 0,877
kn8 34,18 55,508 0,723 0,873
kn9 34,78 53,291 0,771 0,869
kn10 34,80 58,332 0,382 0,901
kn11 35,60 57,363 0,564 0,884
- Điều kiện tiếp cận CNTT (11 biến): α = 0,840;
Thống kê Biến-Tổng
Biến
Trung bình được
điều chỉnh nếu
xóa biến
Phương sai được
điều chỉnh nếu
xóa biến
Tương quan biến
tổng
Cronbach's
Alpha nếu xóa
biến
tc1 33,68 64,152 0,580 0,822
tc2 33,22 66,308 0,556 0,825
tc3 34,83 61,734 0,538 0,825
tc4 35,13 62,084 0,634 0,817
tc5 33,85 64,265 0,556 0,824
tc6 33,27 67,690 0,472 0,831
tc7 34,95 65,201 0,427 0,835
tc8 32,82 68,390 0,499 0,830
tc9 33,05 64,353 0,522 0,826
tc10 33,35 63,486 0,438 0,836
tc11 34,52 59,271 0,576 0,823
- 47 -
- Sự hỗ trợ của BGH và đồng nghiệp: (06 biến): α = 0,850;
Thống kê Biến-Tổng
Biến
Trung bình được
điều chỉnh nếu
xóa biến
Phương sai được
điều chỉnh nếu
xóa biến
Tương quan biến
tổng
Cronbach's
Alpha nếu xóa
biến
ht1 14,88 19,054 0,611 0,830
ht2 15,55 18,930 0,720 0,815
ht3 16,43 17,741 0,552 0,846
ht4 15,97 16,711 0,705 0,811
ht5 15,95 17,404 0,707 0,811
ht6 15,22 19,529 0,564 0,838
- Nhận định cá nhân (05 biến): α = 0,840;
Thống kê Biến-Tổng
Biến
Trung bình được
điều chỉnh nếu
xóa biến
Phương sai được
điều chỉnh nếu
xóa biến
Tương quan biến
tổng
Cronbach's
Alpha nếu xóa
biến
td1 16,97 7,219 0,488 0,851
td2 16,82 6,423 0,629 0,815
td3 16,68 6,898 0,641 0,809
td4 16,57 6,724 0,737 0,785
td5 16,63 6,609 0,764 0,777
Như vậy, tất cả các thang đo đều đạt yêu cầu về hệ số tin vậy Cronbach’s
alpha (Bảng 2. 5). Thấp nhất là α = 0,840, cao nhất là α = 0,890; chỉ số
Cronbach’s Alpha của tất cả 42 item = 0,941, đây là chỉ số cao cho thấy bộ câu
hỏi có độ tin cậy cao.
- 48 -
Bảng 2. 5. Hệ số Cronbach’s Alpha các thang đo
STT Tên nhân tố Số lượng
biến
Cronbach’s
Alpha
1 Mức độ ứng dụng CNTT trong HĐDH 09 0,855
2 Kỹ năng sử dụng máy tính 11 0,890
3 Điều kiện tiếp cận CNTT 11 0,840
4 Sự hỗ trợ của BGH và đồng nghiệp 06 0,850
5 Nhận định cá nhân 05 0,840
Kết luận chương 2
Chương 2 trình bày phương pháp nghiên cứu của đề tài bao gồm phương
pháp và quy trình thiết kế mẫu và xây dựng công cụ đo lường. Nội dung chương
này đã giải quyết các vấn đề sau:
Từ kết quả nghiên cứu đặc điểm giáo viên các môn tự nhiên bậc THPT
tỉnh Bình Phước cũng như những đặc điểm hạ tầng CNTT tại các trường, tác
giả tiến hành chọn phương pháp chọn mẫu là chọn mẫu phân tầng không theo
tỷ lệ (gồm 2 tầng: Thị xã và Không thuộc thị xã) và phương pháp lấy mẫu từ
khung mẫu là phương pháp ngẫu nhiên hệ thống.
Xác định các chỉ báo (biến quan sát) của các khái niệm (yếu tố). Từ 72
chỉ báo ban đầu (Phụ lục 1), qua nghiên cứu sơ bộ tác giả đã loại bỏ 30 chỉ báo
và giữ lại 42 chỉ báo.
Xây dựng công cụ đo lường (phiếu khảo, bảng hỏi) mức độ ứng dụng
CNTT trong HĐDH và các yếu tố ảnh hưởng đến mức độ ứng dụng CNTT
trong HĐDH (Phụ lục 4).
Khảo sát thử nghiệm và đánh giá độ tin cậy của công cụ đo lường. Kết
quả đánh giá cho thấy công cụ đo lường được xây dựng là phù hợp để tiến hành
nghiên cứu chính thức.
- 49 -
Chương 3
KẾT QUẢ KHẢO SÁT VÀ PHÂN TÍCH SỐ LIỆU
3.1. Đặc điểm mẫu nghiên cứu
Số bảng hỏi phát ra là 290, số bảng hỏi thu về là 277 bảng hỏi, trong đó
có 19 phiếu phải loại bỏ vì người trả lời bỏ trống nhiều hoặc phương án chọn
trả lời tự mâu thuẫn. Như vậy cỡ mẫu cuối cùng dùng để xử lý là 258 (thỏa mãn
điều kiện kích thước mẫu cần thiết là 237).
Bảng 3. 1. Phân bổ mẫu theo vùng công tác và chuyên môn
Môn
Toán Lý Hóa Sinh
Tổng
cộng
Địa
bàn
Thuộc thị xã 45 37 28 20 130
Không thuộc thị xã 42 36 29 21 128
Tổng 87 73 57 41 258
Hình 3. 1. Phân bổ mẫu khảo sát theo huyện, thị xã
0
10
20
30
40
50
60
70
80
ThịxãĐồngXoài
ThịxãBìnhLong
ThịxãPhướcLong
HuyệnĐồngPhú
HuyệnBùĐăng
HuyệnBùGiaMập
HuyệnBùĐốp
HuyệnLộcNinh
HuyệnHớnQuản
HuyệnChơnThành
1 2 3 4 5 6 7 8 9 10
Số phiếu phát ra
Số phiếu thu về
Số phiếu đạt
- 50 -
3.2. Đánh giá thang đo
Thang đo được đánh giá thông qua hai kỹ thuật gồm (1) tính hệ số tin
cậy Cronbach’s Alpha và (2) phương pháp phân tích nhân tố khám phá (EFA).
Hệ số Cronbach’s Alpha được sử dụng trước để loại các biến không phù hợp.
Các biến có hệ số tương quan biến tống (item-total correlation) nhỏ hơn 0,30
sẽ bị loại và tiêu chuẩn chọn thang đo khi biến có độ tin cậy alpha từ 0,60 trở
lên[31]
. Sau đó các biến có trọng số nhân tố (factor loading) trong phân tích nhân
tố khám phá nhỏ hơn 0,40 sẽ bị tiếp tục loại. Phương pháp trích hệ số sử dụng
là phương pháp trích nhân tố, phép quay Varimax và điểm dừng khi trích các
yếu tố có eigenvalue là 1. Thang đo được chấp nhận khi tổng phương sai trích
bằng hoặc lớn hơn 50% (Gerbing & Anderson, 1988; trích lại từ Isleem[38]
).
3.2.1. Hệ số tin cậy Cronbach’s Alpha
3.2.1.1. Thang đo “Mức độ ứng dụng CNTT trong hoạt động dạy học”
Thang đo “Mức độ ứng dụng CNTT trong HĐDH” gồm 09 biến, từ md1
đến md9, tương ứng với câu hỏi 01 đến 09 trong phần II của bảng hỏi (Phụ lục
4).
Bảng 3. 2. Phân tích thống kê biến tổng
Biến
Trung bình được
điều chỉnh nếu
xóa biến
Phương sai được
điều chỉnh nếu
xóa biến
Tương quan biến
tổng
Cronbach's
Alpha nếu xóa
biến
md1 21,24 37,327 0,298 0,829
md2 22,45 32,785 0,648 0,790
md3 21,10 36,718 0,427 0,815
md4 23,36 35,888 0,539 0,805
md5 22,71 32,458 0,557 0,801
md6 22,73 32,090 0,672 0,786
md7 23,27 32,632 0,578 0,798
md8 22,64 31,872 0,536 0,805
md9 23,31 35,357 0,491 0,808
- 51 -
Hệ số Cronbach’s alpha tính được là 0,822. Hệ số tương quan biến tổng
của biến md1 = 0,298, các biến có hệ số trong khoảng từ 0,427 đến 0,648. Vì
vậy sau khi loại bỏ biến md1, 08 biến còn lại đều được sử dụng trong phân tích
EFA tiếp theo.
3.2.1.2. Thang đo các yếu tố ảnh hưởng đến mức độ ứng dụng CNTT trong
HĐDH
Thang đo các yếu tố ảnh hưởng đến mức độ ứng dụng CNTT trong
HĐDH gồm 33 biến, gồm 11 biến đo kỹ năng sử dụng máy tính (kn1 – kn11),
11 biến đo điều kiện tiếp cận CNTT (tc1 – tc11), 6 biến đo sự hỗ trợ của BGH
và đồng nghiệp (ht1 – ht6), và 05 biến đo thái độ giáo viên đối với việc ứng
dụng CNTT trong HĐDH (td1 – td5) (Phụ lục 4).
Hệ số Cronbach’s alpha tính được là 0,911. Có 02 biến có hệ số tương
quan biến tổng nhỏ hơn 0,3 (tc3 = 0,288; ht3 = 0,128), 31 biến còn lại có hệ số
trong khoảng từ 0,356 đến 0,642. Vì vậy sau khi loại bỏ các biến tc3, ht3; các
biến còn lại đều được sử dụng trong phân tích EFA tiếp theo.
- 52 -
Bảng 3. 3. Phân tích thống kê biến tổng
Biến
Trung bình được
điều chỉnh nếu
xóa biến
Phương sai được
điều chỉnh nếu
xóa biến
Tương quan biến
tổng
Cronbach's
Alpha nếu xóa
biến
kn1 107,92 264,834 0,482 0,908
kn2 106,79 266,886 0,500 0,908
kn3 106,97 261,385 0,604 0,906
kn4 106,85 267,502 0,600 0,907
kn5 106,94 267,307 0,544 0,907
kn6 107,38 263,145 0,612 0,906
kn7 107,73 264,092 0,524 0,907
kn8 107,52 270,681 0,457 0,908
kn9 108,22 262,960 0,555 0,907
kn10 108,14 263,932 0,404 0,910
kn11 109,10 267,779 0,402 0,909
tc1 107,94 260,152 0,642 0,905
tc2 107,17 266,009 0,509 0,907
tc3 108,87 273,628 0,288 0,911
tc4 109,07 267,429 0,504 0,908
tc5 107,81 262,800 0,487 0,908
tc6 107,17 264,410 0,562 0,907
tc7 109,32 275,008 0,429 0,909
tc8 107,32 267,014 0,603 0,907
tc9 106,84 265,005 0,465 0,908
tc10 107,60 265,269 0,476 0,908
tc11 108,25 256,963 0,461 0,910
ht1 107,30 265,510 0,465 0,908
ht2 107,79 268,786 0,551 0,907
ht3 109,07 279,314 0,128 0,912
ht4 108,31 264,932 0,453 0,908
ht5 108,44 266,996 0,413 0,909
ht6 107,60 269,714 0,439 0,909
td1 106,89 275,180 0,356 0,910
td2 106,84 272,118 0,414 0,909
td3 106,79 273,856 0,370 0,909
td4 106,70 273,375 0,407 0,909
td5 106,75 271,144 0,469 0,908
- 53 -
3.2.2. Phân tích nhân tố khám phá (EFA)
a. Thang đo Mức độ ứng dụng CNTT trong HĐDH
Thang đo Mức độ ứng dụng CNTT trong HĐDH gồm 08 biến quan sát
(biến md1 đã bị loại do có chỉ số tương quan biến tổng thấp). Chỉ số Cronbach’s
Alpha = 0,829, hệ số tương quan biến tổng (nhỏ nhất = 0,382) đều đạt điều kiện
để tiến hành phân tích EFA.
Phân tích EFA tại mức giá trị Eigenvalue=1 với phép quay Varimax cho
kết quả trích xuất được 01 nhân tố, tuy nhiên biến md3 có trọng số nhân tố
(Factor loading) nhỏ hơn mức yêu cầu nên được loại bỏ và tiến hành phân tích
EFA lần hai. Kết quả EFA lần hai với 07 biến cho kết quả một nhân tố như sau:
Bảng 3. 4. Chỉ số KMO và Kiểm định Bartlett
KMO và kiểm định Bartlett
KMO (Kaiser-Meyer-Olkin) 0,828
Kiểm định Bartlett's Approx. Chi-Square 618,437
df 21
Sig. 0,000
Kiểm định KMO và Barlett trong phân tích EFA cho giá trị Sig=0,000,
hệ số KMO = 0,847 là rất cao, chứng tỏ phân tích EFA thích hợp được sử dụng
trong phân tích này. Phương sai trích = 50,234%, chỉ số Factor loading của cả
07 biến đều đạt yêu cầu (nhỏ nhất là 0,653).
Bảng 3. 5. Kết quả EFA khái niệm mức độ ứng dụng CNTT trong HĐDH
Ma trận nhân tố
md6 md2 md5 md7 md9 md4 md8
Nhân tố 1 0,805 0,764 0,703 0,686 0,669 0,668 0,653
Phương pháp trích xuất: Principal Component Analysis.
a. 1 nhân tố được trích xuất.
- 54 -
Như vậy, khái niệm “Mức độ ứng dụng CNTT trong HĐDH của giáo
viên các môn tự nhiên bậc THPT tình Bình Phước” được đo bằng 07 chỉ báo
(biến) sau:
md2 Soạn bài giảng điện tử
md4 Làm phim, ảnh tư liệu, hoạt hình phục vụ dạy học
md5 Biên soạn đề trắc nghiệm bằng phần mềm
md6 Dạy học có dùng bài giảng điện tử hay phần mềm mô phỏng
md7
Viết bài trả lời, hướng dẫn học tập lên diễn đàn, hoặc chia sẻ tài
nguyên, bài giảng lên website
md8 Trả lời email cho học sinh, phụ huynh hoặc đồng nghiệp
md9
Phân tích, đánh giá đề thi sau khi kiểm tra (bằng excel hoặc bằng
phần mềm nào đó)
b. Thang đo các yếu tố tác động đến mức độ ứng dụng CNTT trong HĐDH
Theo khung lý thuyết nghiên cứu thì có 04 yếu tố tác động đến mức độ
ứng dụng CNTT trong HĐDH gồm 33 biến quan sát. Số quan sát (cỡ mẫu) lớn
hơn 05 lần số lượng biến (Qui tắc kinh nghiệm: số quan sát lớn hơn (ít nhất) 5
lần số biến (Lê Văn Huy, 2009)), Chỉ số Cronbach’s Alpha cao (0,911). Hệ số
tương quan biến tổng có 02 biến có giá trị nhỏ hơn 0,3 gồm biến tc3 và biến
ht3. Như vậy sau khi loại bỏ 2 biến tc3 và ht3, 31 biến còn lại đều đạt điều kiện
để tiến hành phân tích EFA. Tiến hành phân tích EFA lần thứ nhất, các biến
tc2, tc4 tiếp tục bị loại bỏ do có chỉ số Factor loading nhỏ (< 0,5). Tiến hành
phân tích EFA lần 2 thu được kết quả như sau:
- 55 -
Bảng 3. 6. Chỉ số KMO và kiểm định Bartlett
KMO và kiểm định Bartlett's
KMO (Kaiser-Meyer-Olkin). 0,870
Kiểm định Bartlett Approx. Chi-Square 4001,922
df 406
Sig. 0,000
Kiểm định KMO và Barlett’s trong phân tích EFA (Bảng 3. 6) cho giá
trị Sig. = 0,000, hệ số KMO = 0,870 là rất cao, tổng phương sai trích đạt
65,349%, chứng tỏ EFA thích hợp sử dụng trong phân tích này.
Bảng 3. 7 dưới đây mô tả kết quả phân tích EFA tại mức giá trị
Eigenvalue=1 với phương pháp trích nhân tố với phép quay Varimax cho phép
trích được 06 nhân tố từ 29 biến quan sát. Giá trị Cumulative % của Component
6 = 65,349 (tổng phương sai trích của các nhân tố) cho biết 06 nhân tố đầu giải
thích 65,349% biến thiên của dữ liệu. Hay nói cách khác là 06 nhân tố này quy
định 65,349% mức độ ứng dụng CNTT trong HĐDH của giáo viên các môn tự
nhiên bậc THPT tình Bình Phước. Trọng số nhân tố các biến đều đạt yêu cầu
(nhỏ nhất là 0,508).
- 56 -
Bảng 3. 7. Kết quả EFA các yếu tố tác động đến mức độ ứng dụng CNTT trong
HĐDH
Nhân tố
1 2 3 4 5 6
kn5 0,815
kn3 0,801
kn2 0,797
kn4 0,780
kn6 0,746
kn7 0,656
kn1 0,646
kn8 0,508
ht4 0,853
ht5 0,822
ht2 0,706
ht6 0,685
ht1 0,590
tc7 0,557
td4 0,808
td5 0,804
td2 0,775
td3 0,773
td1 0,666
tc10 0,843
tc8 0,756
tc9 0,695
tc11 0,534
kn11 0,810
kn9 0,717
kn10 0,700
tc6 0,733
tc5 0,661
tc1 0,532
- 57 -
Dựa vào những điểm giống nhau (thể hiện tính chung) của biến nằm
trong nhân tố và những nghiên cứu trước tác giả đặt tên cho những nhân tố và
tên biến các nhân số như sau.
Nhân tố 1: Kỹ năng sử dụng máy tính cơ bản (X1)
STT
Tên
biến
Trọng
số
Nội dung câu hỏi
1 kn5 0,815
Sử dụng phần mềm soạn thảo văn bản (như MS Word
hoặc phần mềm tương tự)
2 kn3 0,801 Sử dụng email: đọc, gửi, và các chức năng khác của email
3 kn2 0,797
Quản lý thư mục (folder), tập tin (file) như: tạo mới, di
chuyển, đổi tên…
4 kn4 0,780 Tìm kiếm và lấy thông tin từ internet
5 kn6 0,746
Sử dụng phầm mềm soạn bài trình chiếu (như MS
PowerPoint hoặc tương tự)
6 kn7 0,656
Sử dụng phầm mềm bảng tính (như MS Excel hoặc tương
tự)
7 kn1 0,646 Xử lý những sự cố đơn giản của máy tính
8 kn8 0,508
Phần mềm hỗ trợ soạn công thức toán học, hóa học, vẽ
hình … (như Mathtype, Chemwin, Science Helper… hoặc
tương tự)
Nhân tố 2: Sự hỗ trợ của BGH và đồng nghiệp (X2)
STT
Tên
biến
Trọng
số
Nội dung câu hỏi
1 ht4 0,853 Hỗ trợ của đội ngũ hỗ trợ kỹ thuật (GV kiêm nhiệm)
2 ht5 0,822 Hỗ trợ của nhân viên kỹ thuật tin học (chuyên trách)
3 ht2 0,706
Tổ chức tập huấn/hội thảo về kỹ năng ứng dụng CNTT
trong dạy học
4 ht6 0,685 Đồng nghiệp hướng dẫn nhau sử dụng CNTT
- 58 -
5 ht1 0,590
Có chính sách khuyến khích giáo viên ứng dụng CNTT
trong dạy học
6 tc7 0,557 Phần mềm phục vụ soạn giảng (có bản quyền)
Nhân tố 3: Thái độ của giáo viên (X3)
Là thái độ của giáo viên đối với việc ứng dụng CNTT trong HĐDH.
STT
Tên
biến
Trọng
số
Nội dung câu hỏi
1 td4 0,808 CNTT cung cấp nhiều tài nguyên và công cụ cho dạy học
2 td5 0,804 CNTT giúp tôi làm việc năng xuất hơn
3 td2 0,775
CNTT giúp mô phỏng những hiện tượng khó diễn tả một
cách dễ dàng và sinh động hơn
4 td3 0,773
Tôi muốn tham gia tập huấn ứng dụng CNTT trong dạy
học
5 td1 0,666 Ứng dụng CNTT trong dạy học chưa thật sự cần thiết
Nhân tố 4: Điều kiện tiếp cận thiết bị cá nhân (X4)
Là điều kiện tiếp cận với thiết bị CNTT của cá nhân, người thân, đồng
nghiệp để phục vụ công việc ứng dụng CNTT trong HĐDH.
STT
Tên
biến
Trọng
số
Nội dung câu hỏi
1 tc10 0,843 Máy in
2 tc8 0,756 Máy tính cá nhân
3 tc9 0,695 Kết nối Internet tại nhà riêng/ nơi ở
4 tc11 0,534 Máy quay phim/chụp hình
Nhân tố 5: Kỹ năng Sử dụng phần mềm chuyên dụng (X5)
Là kỹ năng sử dụng những phần mềm chuyên dụng phục vụ công việc
ứng dụng CNTT trong HĐDH. Khái niệm “phần mềm chuyên dụng” được sử
- 59 -
dụng trong đề tài là những phần mềm có chức năng hỗ trợ công tác soạn giảng
và quản trị dữ liệu dành cho giáo viên, không phân biệt phần mềm thương mại
hay mã nguồn mở, miễn phí.
STT
Tên
biến
Trọng
số
Nội dung câu hỏi
1 kn11 0,810 Hệ quản trị CSDL (như MS Access, SQL, My SQL…)
2 kn9 0,717
Phần mềm hỗ trợ soạn bài giảng điện tử (như Violet,
Adobe presenter, iSpring, Lecture Maker, hoặc tương tự)
3 kn10 0,700
Phần mềm soạn đề trắc nghiệm (như McMix hoặc tương
tự)
Nhân tố 6: Điều kiện tiếp cận thiết bị nhà trường (X6)
Là điều kiện tiếp cận với thiết bị CNTT của nhà trường để phục vụ công
việc ứng dụng CNTT trong HĐDH.
STT
Tên
biến
Trọng
số
Nội dung câu hỏi
1 tc6 0,733 Máy chiếu (projector)
2 tc5 0,661 Phòng máy tính dùng cho dạy học
3 tc1 0,532 Máy tính dành cho giáo viên (dùng chung)
Như vậy, so với 04 nhân tố ban đầu, sau khi phân tích nhân tố EFA ta
thu được 06 nhân tố. Tuy có thay đổi về số lượng nhân tố nhưng về nội hàm
vẫn được bao hàm trong các khái niệm đã trình bày trong cơ sở lý luận của
nghiên cứu. Nhân tố 1 (Kỹ năng sử dụng máy tính cơ bản) và Nhân tố 5 (Kỹ
năng sử dụng phần mềm chuyên dụng) được tách từ nhân tố “Kỹ năng sử dụng
máy tính”; Nhân tố 4 (điều kiện tiếp cận thiết bị cá nhân) và Nhân tố 6 (điều
kiện tiếp cận thiết bị nhà trường được tách từ nhân tố “Điều kiện tiếp cận
- 60 -
CNTT”. Điều này hoàn toàn phù hợp với cơ sở lý luận và các nghiên cứu trước
đây như đã trình bày trong chương 1 của luận văn.
3.2.3. Kiểm định độ tin cậy của thang đo
Thang đo “Mức độ ứng dụng CNTT trong HĐDH” gồm 07 biến quan sát
đều có hệ số tương quan biến tổng lớn hơn 0,5, Cronbach’s Alpha = 0,829 nên
thang đo đạt yêu cầu.
Bảng 3. 8. Tương quan biến tổng các biến quan sát mức độ ứng dụng CNTT
trong HĐDH
Thống kê Biến tổng
Biến
Trung bình được
điều chỉnh nếu
xóa biến
Phương sai được
điều chỉnh nếu
xóa biến
Tương quan biến
tổng
Cronbach's
Alpha nếu xóa
biến
md2 18,34 28,481 0,643 0,797
md3 16,99 32,541 0,382 0,828
md4 19,25 31,269 0,546 0,812
md5 18,60 28,016 0,564 0,808
md6 18,62 27,653 0,684 0,790
md7 19,16 28,290 0,577 0,805
md8 18,53 27,464 0,542 0,813
md9 19,20 30,517 0,521 0,813
Nhân tố 1 – “Kỹ năng sử dụng máy tính cơ” bản gồm 08 biến quan sát
đều có hệ số tương quan biến tổng lớn hơn 0,5, Cronbach’s Alpha = 0,897 nên
thang đo nhân tố đạt yêu cầu.
- 61 -
Bảng 3. 9. Tương quan biến tổng các biến quan sát nhân tố 1
Thống kê Biến tổng
Biến
Trung bình được
điều chỉnh nếu
xóa biến
Phương sai được
điều chỉnh nếu
xóa biến
Tương quan biến
tổng
Cronbach's
Alpha nếu xóa
biến
kn1 27,09 26,624 0,587 0,895
kn2 25,97 26,558 0,720 0,880
kn3 26,16 25,301 0,752 0,877
kn4 26,04 27,823 0,746 0,880
kn5 26,12 27,075 0,753 0,878
kn6 26,57 26,230 0,743 0,878
kn7 26,92 26,260 0,656 0,887
kn8 26,70 29,258 0,536 0,896
Nhân tố 2 – “Sự hỗ trợ của BGH và đồng nghiệp” gồm 06 biến quan sát
đều có hệ số tương quan biến tổng lớn hơn 0,5, Cronbach’s Alpha = 0,823 nên
thang đo nhân tố đạt yêu cầu.
Bảng 3. 10. Tương quan biến tổng các biến quan sát nhân tố 2
Thống kê Biến tổng
Biến
Trung bình được
điều chỉnh nếu
xóa biến
Phương sai được
điều chỉnh nếu
xóa biến
Tương quan biến
tổng
Cronbach's
Alpha nếu xóa
biến
ht1 13,73 12,773 0,509 0,815
ht2 14,23 13,471 0,679 0,782
ht4 14,74 10,963 0,728 0,762
ht5 14,88 11,378 0,693 0,771
ht6 14,03 13,439 0,571 0,799
tc7 15,75 15,674 0,437 0,825
- 62 -
Nhân tố 3 – “Thái độ của giáo viên” gồm 05 biến quan sát đều có hệ số
tương quan biến tổng lớn hơn 0,5, Cronbach’s Alpha = 0,858 nên thang đo
nhân tố đạt yêu cầu.
Bảng 3. 11. Tương quan biến tổng các biến quan sát nhân tố 3
Thống kê Biến tổng
Biến
Trung bình được
điều chỉnh nếu
xóa biến
Phương sai được
điều chỉnh nếu
xóa biến
Tương quan biến
tổng
Cronbach's
Alpha nếu xóa
biến
td1 17,12 6,407 0,550 0,858
td2 17,05 5,561 0,677 0,829
td3 17,01 5,739 0,677 0,828
td4 16,92 5,725 0,721 0,817
td5 16,97 5,454 0,751 0,808
Nhân tố 4 – “Điều kiện tiếp cận thiết bị cá nhân”, đây là nhân tố được
tách ra từ thang đo “Điều kiện tiếp cận CNTT”. Nhân tố 04 gồm 04 biến quan
sát đều có hệ số tương quan biến tổng lớn hơn 0,5, Cronbach’s Alpha = 0,745
nên thang đo nhân tố đạt yêu cầu.
Bảng 3. 12. Tương quan biến tổng các biến quan sát nhân tố 4
Thống kê Biến tổng
Biến
Trung bình được
điều chỉnh nếu
xóa biến
Phương sai được
điều chỉnh nếu
xóa biến
Tương quan biến
tổng
Cronbach's
Alpha nếu xóa
biến
tc8 10,45 9,159 0,673 0,661
tc9 9,950 8,231 0,545 0,684
tc10 10,72 7,642 0,698 0,604
tc11 11,40 6,856 0,420 0,816
Nhân tố 5 – “Kỹ năng Sử dụng phần mềm chuyên dụng”, là nhân tố được
tách ra từ thang đo “Kỹ năng sử dụng máy tính”, gồm 03 biến quan sát đều có
- 63 -
hệ số tương quan biến tổng lớn hơn 0,5, Cronbach’s Alpha = 0,771 nên thang
đo nhân tố đạt yêu cầu.
Bảng 3. 13. Tương quan biến tổng các biến quan sát nhân tố 5
Thống kê Biến tổng
Biến
Trung bình được
điều chỉnh nếu
xóa biến
Phương sai được
điều chỉnh nếu
xóa biến
Tương quan biến
tổng
Cronbach's
Alpha nếu xóa
biến
kn9 4,85 4,505 0,660 0,642
kn10 4,76 3,881 0,559 0,768
kn11 5,74 4,539 0,623 0,677
Nhân tố 6 – “Điều kiện tiếp cận thiết bị nhà trường”, được tách ra từ
thang đó “Điều kiện tiếp cận CNTT”, gồm 03 biến quan sát đều có hệ số tương
quan biến tổng lớn hơn 0,5, Cronbach’s Alpha = 0,725 nên thang đo nhân tố
đạt yêu cầu.
Bảng 3. 14. Tương quan biến tổng các biến quan sát nhân tố 6
Thống kê Biến tổng
Biến
Trung bình được
điều chỉnh nếu
xóa biến
Phương sai được
điều chỉnh nếu
xóa biến
Tương quan biến
tổng
Cronbach's
Alpha nếu xóa
biến
tc1 7,13 3,678 0,584 0,665
tc5 6,99 3,348 0,541 0,729
tc6 6,35 3,808 0,633 0,621
Qua kiểm định cho từng nhân tố, kết quả hệ số Cronbach’s alpha các
nhân tố đều cao > 0,7 và hệ số tương quan biến tổng của các các biến trong
từng nhân tố đều lớn hơn 0,4 cho thấy các biến quan sát là các chỉ báo giải thích
cho các nhân tố một cách có ý nghĩa và đủ độ tin cậy.
- 64 -
Bảng 3. 15. Hệ số Cronbach’s Alpha các nhân tố
STT Tên nhân tố Tên
biến
Cronbach’s
Alpha
1 Mức độ ứng dụng CNTT trong HĐDH Y 0,829
2 Kỹ năng sử dụng máy tính cơ bản X2 0,897
3 Sự hỗ trợ của BGH và đồng nghiệp X3 0,823
4 Thái độ của giáo viên X4 0,858
5 Điều kiện tiếp cận thiết bị cá nhân X5 0,745
6 Kỹ năng Sử dụng phần mềm chuyên
dụng
X6
0,771
7 Điều kiện tiếp cận thiết bị nhà trường X7 0,752
3.2.3. Hiệu chỉnh lại mô hình nghiên cứu
Theo kết quả phân tích EFA, từ 04 yếu tố tác động đến mức độ ứng dụng
CNTT trong HĐDH ban đầu được phân tích thành 06 nhân tố mới đó là (1) Kỹ
năng sử dụng máy tính cơ bản, (2) Sự hỗ trợ của BGH và đồng nghiệp, (3) Thái
độ của giáo viên đối với việc ứng dụng CNTT trong HĐDH, (4) Điều kiện tiếp
cận thiết bị của trường, (5) Kỹ năng Sử dụng phần mềm chuyên dụng, (6) Điều
kiện tiếp cận thiết bị cá nhân. Như vậy mô hình nghiên cứu được điều chỉnh
như sau (Hình 3. 2).
Kỹ năng sử dụng máy tính
cơ bản
Sự hỗ trợ của BGH và đồng
nghiệp
Thái độ của giáo viên
Kỹ năng sử dụng phần
mềm chuyên dụng
Điều kiện tiếp cận thiết bị
nhà trường
Điều kiện tiếp cận thiết bị
cá nhân
Mức độ
ứng dụng
CNTT trong
HĐDH
Hình 3. 2. Mô hình nghiên cứu chính thức
- 65 -
3.3. Kết quả khảo sát mức độ ứng dụng CNTT trong HĐDH của giáo viên
THPT tỉnh Bình Phước
Bằng phương pháp thống kê mô tả, trong phần này, tác giả phân tích các
khia cạnh liên quan đến khái niệm mức độ ứng dụng CNTT trong HĐDH nhằm
trả lời câu hỏi “Giáo viên các môn tự nhiên bậc THPT ứng dụng CNTT trong
HĐDH ở mức độ nào?”.
3.3.1. Mức độ ứng dụng CNTT trong HĐDH của giáo viên Bình Phước
Mức độ ứng dụng CNTT trong HĐDH được đánh giá theo thang đo năm
mức với bộ câu hỏi gồm bảy biến quan sát. Tác giả tiến hành thống kê mô tả
dựa trên giá trị trung bình của bảy biến vì vậy tác giả quy ước giá trị trung bình
tương ứng với các mức độ như sau:
Giá trị trung bình Ý nghĩa tương đương
1,00 - 1,80 (1) Chưa bao giờ
1,81 - 2,60 (2) 1 – 2 lần/học kỳ
2,61 - 3,40 (3) Hằng tháng
3,41 - 4,20 (4) Hằng tuần
4,21 - 5,00 (5) Hằng ngày
Bảng 3. 16. Thống kê mô tả thực trạng Mức độ ứng dụng CNTT trong HĐDH
Mức độ Ứng dụng CNTT
Trung
bình
Tứ phân vị thứ
nhất
Trung vị
Tứ phân vị thứ
ba
Mức độ Ứng dụng CNTT 2,43 1,86 2,36 3,00
- 66 -
Hình 3. 3. Tần suất các mức ứng dụng CNTT trong HĐDH
Thống kê mô tả cho thấy mức độ ứng dụng CNTT trong HĐDH trung
bình của giáo viên các môn tự nhiên bậc THPT trên địa bàn tỉnh Bình Phước
(gọi tắt là giáo viên Bình Phước) ở mức độ thấp - “1 - 2 lần/học kỳ” (Trung
bình = 2,43). Tứ phân vị thứ ba có giá trị bằng 3,00 cho thấy ít nhất có 25%
giáo viên Bình Phước ứng dụng CNTT trong HĐDH ở mức “Hằng tháng”.
Phần lớn giáo viên Bình Phước chưa bao giờ hoặc chỉ ứng dụng một đến hai
lần trên một học kỳ (63,56%). 23,72% giáo viên ứng dụng CNTT trong HĐDH
ở mức hằng tuần hoặc hằng ngày và 24,3% giáo viên Bình Phước chưa bao giờ
ứng dụng CNTT trong HĐDH (Tứ phân vị thứ nhất = 1,86).
So sánh mức độ ứng dụng CNTT của giáo viên công tác trên địa bàn các
thị xã và giáo viên công tác trên địa bàn không thuộc thị xã cho thấy có sự khác
biệt có ý nghĩa thống kê ở mức ý nghĩa Sig= 0,000. Nhóm “Thuộc thị xã” có
mức độ ứng dụng trung bình là “hằng tháng” (trung bình = 2,779), nhóm
- 67 -
“không thuộc thị xã” có mức độ ứng dụng trung bình là “1 đến 2 lần/học kỳ”
(trung bình = 2,069). Trên thực tế, các trường trên địa bàn thị xã thường có cơ
sở vật chất tốt hơn các trường không thuộc thị xã, giáo viên và học sinh cũng
có điều kiện tiếp cận và tiếp cận sớm hơn vơi CNTT nên giáo viên giải dạy tại
các trường thuộc địa bàn thị xã có mức độ ứng dụng CNTT trong HĐDH cao
hơn giáo viên giảng dạy tại các trường không thuộc địa bàn thị xã là điều dễ
hiểu.
Quy đổi giá trị trung bình mức độ ứng dụng CNTT về năm mức như đã
trình bày ở trên và tiến hành thống kê, lập biểu đồ (Bảng 3. 19, Hình 3. 4) cho
thấy chi tiết và trực quan hơn về mức độ ứng dụng CNTT của giáo viên thuộc
khu vực thị xã và không thuộc thị xã.
Bảng 3. 17. Kiểm định so sánh trung bình Mức độ ứng dụng CNTT theo địa
bàn
Kiểm định mẫu độc lập
Mức độ Ứng dụng CNTT
Phương sai
bằng nhau
Phương sai
khác nhau
Kiểm định Levene
về sự cân bằng
phương sai
F 5,682
Sig. 0,018
Kiểm định t-test về
sự cân bằng giá trị
trung bình
t 7,761 7,774
df 256 245,715
Sig. (2-tailed) 0,000 0,000
Khác biệt của Trung bình 0,70992 0,70992
Sai số chuẩn sự khác biệt 0,09148 0,09132
Khoảng tin cậy của
sự khác biệt 95%
Dưới 0,52978 0,53005
Trên 0,89007 0,88980
- 68 -
Bảng 3. 18. Trung bình mức độ ứng dụng CNTT theo địa bàn công tác
Thống kê theo nhóm
Địa bàn
N
Trung
bình
Độ lệch
chuẩn
Sai số
chuẩn TB
Mức độ Ứng
dụng CNTT
Thuộc thị xã 130 27,791 0,81068 0,07110
Không thuộc thị xã 128 20,692 0,64836 0,05731
Bảng 3. 19. Bảng chéo phân bổ tần số các mức ứng dụng CNTT giữa 2 nhóm
giáo viên
Địa bàn Tổng
cộngThuộc thị xã Không thuộc thị xã
Mức độ Ứng dụng
CNTT (recode)
Chưa bao giờ 15 47 62
1-2 lần/học kỳ 43 59 102
Hằng tháng 42 19 61
Hằng tuần 24 2 26
Hằng ngày 6 1 7
Tổng 130 128 258
Hình 3. 4. Biểu đồ tần số mức độ ứng dụng CNTT theo địa bàn công tác
- 69 -
So sánh trung bình mức độ ứng dụng CNTT trong HĐDH của giáo viên
Bình Phước ở khía cạnh chuyên môn (môn học) cho thấy: Kết quả kiểm định
phương sai bằng kiểm định Homogeneity có giá trị Sig. = 0,017 (Bảng 3. 21)
cho biết phương sai của “mức độ ứng dụng CNTT trong HĐDH” của giáo viên
Bình Phước bốn môn học là khác biệt một cách có ý nghĩa.
Phân tích ANOVA cho thấy có sự khác biệt về trung bình mức độ ứng
dụng CNTT trong HĐDH của giáo viên giữa bốn môn học khác nhau ở mức ý
nghĩa Sig. = 0,000 (Bảng 3. 22). Tiến hành phân tích sâu theo phương pháp
Tamhane’s T2[31]
cho thấy giáo viên môn Toán có mức độ ứng dụng CNTT
trong HĐDH thấp hơn giáo viên giả dạy các môn học khác; không có sự khác
biệt giữa các môn Vật lý, Hóa học và Sinh học (Bảng 3. 23).
Bảng 3. 20. Thống kê mô tả trung bình mức độ ứng dụng CNTT của giáo
viên theo môn học
Mức độ Ứng dụng CNTT
N
Trung
bình
Lệch
chuẩn
Sai số
chuẩn
Khoảng tin cậy của giá trị
trung bình 95%
Cận dưới Cận trên
Toán 87 1,8621 0,87832 0,09417 1,6749 2,0493
Lý 73 2,4247 0,99886 0,11691 2,1916 2,6577
Hóa 57 2,5965 1,01523 0,13447 2,3271 2,8659
Sinh 41 2,4634 1,12021 0,17495 2,1098 2,8170
Tổng 258 2,2791 1,02480 0,06380 2,1534 2,4047
Bảng 3. 21. Kiểm nghiệm Homogeneity
Kiểm nghiệm sự thuần nhất của sai lệch
Mức độ Ứng dụng CNTT
Levene df1 df2 Sig.
3,460 3 254 0,017
- 70 -
Bảng 3. 22. Phân tích ANOVA một yếu tố
ANOVA
Mức độ ứng dụng CNTT
Tổng bình
phương df
Trung bình
bình phương F Sig.
Giữa các nhóm 23,812 3 7,937 8,192 0,000
Trong nhóm 246,095 254 0,969
Tổng 269,907 257
Bảng 3. 23. Phân tích Post Hoc… theo phương pháp Tamhane’s T2
So sánh các nhóm
Mức độ Ứng dụng CNTT, Tamhane
(I) Môn (J) Môn Khác biệt của
Trung bình
(I-J)
Sai số
chuẩn Sig.
Khoảng tin cậy 95%
Cận dưới Cận dưới
Toán Lý -0,56259*
0,15012 0,002 -0,9630 -0,1622
Hóa -0,73442*
0,16416 0,000 -1,1744 -0,2944
Sinh -0,60135*
0,19868 0,021 -1,1407 -0,0620
Lý Toán 0,56259*
0,15012 0,002 0,1622 0,9630
Hóa -0,17183 0,17818 0,915 -0,6485 0,3049
Sinh -0,03876 0,21041 1,000 -0,6073 0,5298
Hóa Toán 0,73442*
0,16416 0,000 0,2944 1,1744
Lý 0,17183 0,17818 0,915 -0,3049 0,6485
Sinh 0,13308 0,22066 0,991 -0,4620 0,7282
Sinh Toán 0,60135*
0,19868 0,021 0,0620 1,1407
Lý 0,03876 0,21041 1,000 -0,5298 0,6073
Hóa -0,13308 0,22066 0,991 -0,7282 0,4620
*. Sự khác biệt của giá trị trung bình có ý nghĩa ở mức 0,05.
Tương tự, bằng phân tích ANOVA, tác giả so sánh sự khác biệt về mức
độ ứng dụng CNTT ở khía cạnh “thâm niên công tác” và phân tích sâu bằng
phương pháp Bonfferoni (do phương sai các đối tượng so sánh khác nhau)[31]
cho thấy chỉ có đối tượng có thâm niên “trên 20 năm” là có sự khác biệt (thấp
- 71 -
hơn) so với các nhóm thâm niên “6-10” (-1,148) và “11 – 15” (-1,265), các
nhóm khác so với nhau đều không có sự khác biệt (Phụ lục 7,1).
So sánh sự khác biệt về mức độ ứng dụng CNTT ở khía cạnh “độ tuổi”
với kỹ thuật tương tự cho thấy không có sự khác biệt có ý nghĩa thống kê ở các
độ tuổi khác nhau (Phụ lục 7,2).
So sánh khác biệt về mức độ ứng dụng CNTT ở khía cạnh “Số năm sử
dụng máy tính” cho thấy có sự khác biệt giữa nhóm “1 – 5 năm” với nhóm “11
– 15 năm” (-0,605) (Phụ lục 7,3).
So sánh khác biệt ở khía cạnh “giới tính” cho thấy không có sự khác biệt
giữa nam và nữ về mức độ ứng dụng CNTT trong HĐDH (Phụ lục 7,4).
Phân tích tần suất phương án trả lời cho từng biến (câu hỏi) ở Bảng 3. 24
cho thấy giáo viên Bình Phước ứng dụng thường xuyên nhất là việc “soạn bài
giảng điện tử” (32,95% “hằng ngày” hoặc “hằng tuần”), và “trả lời email cho
học sinh, phụ huynh hoặc đồng nghiệp” (28,29% “hằng ngày” hoặc “hằng
tuần”). Ít được giáo viên ứng dụng nhất là việc “làm phim, ảnh tư liệu, hoạt
hình phục vụ dạy học” (79,84% “chưa bao giờ” hoặc “1-2 lần/học kỳ”) và
“Phân tích, đánh giá đề thi sau khi kiểm tra” (68,22% “chưa bao giờ” hoặc “1-
2 lần/học kỳ”).
Bảng 3. 24. Phân bổ tần suất mức độ ứng dụng CNTT trong HĐDH
Mức độ ứng dụng trong HĐDH
Phần trăm (%)
Chưa
bao giờ
1-2 lần
/học kỳ
Hằng
tháng
Hằng
tuần
Hằng
ngày
md2 Soạn bài giảng điện tử 8,530 33,33 25,19 25,19 7,75
md4
Làm phim, ảnh tư liệu, hoạt
hình phục vụ dạy học
29,46 50,39 11,63 8,53 0,00
md5
Biên soạn đề trắc nghiệm
bằng phần mềm
24,42 22,09 29,07 13,57 10,85
- 72 -
md6
Dạy học có dùng bài giảng
điện tử hay phần mềm mô
phỏng
15,89 36,82 25,19 13,57 8,53
md7
Viết bài trả lời, hướng dẫn
học tập lên diễn đàn, hoặc
chia sẻ tài nguyên, bài giảng
lên website
40,87 25,79 17,06 11,90 4,37
md8
Trả lời email cho học sinh,
phụ huynh hoặc đồng nghiệp
26,36 20,93 24,42 12,40 15,89
md9
Phân tích, đánh giá đề thi sau
khi kiểm tra (bằng excel hoặc
bằng phần mềm nào đó)
37,98 30,23 21,32 10,47 0,00
Tóm lại, qua phân tích kết quả khảo sát thực trạng mức độ ứng dụng
CNTT trong HĐDH của giáo viên các môn tự nhiên cho ta các kết luận sau:
i) Phần lớn giáo viên các môn tự nhiên bậc THPT tỉnh Bình Phước ứng
dụng CNTT trong HĐDH ở mức thấp, khoảng 1 đến 2 lần mỗi tháng.
ii) Có sự khác biệt có ý nghĩa thống kê về mức độ ứng dụng CNTT trong
HĐDH của giáo viên các môn tự nhiên bậc THPT tỉnh Bình Phước ở các khía
cạnh “địa bàn công tác”, “chuyên môn”, “thâm niên công tác”, “số năm sử dụng
máy tính”.
3.3.2. Kỹ năng sử dụng máy tính cơ bản
Kỹ năng sử dụng máy tính cơ bản của giáo viên Bình Phước phần lớn ở
mức thành thạo và rất thành thạo (72,9%). Một phần rất nhỏ có kỹ năng ở mức
“biết ít” hoặc “chưa biết” (4,66%). Giá trị trung bình đạt 3,965 tương đương
với mức “thành thạo”.
- 73 -
Hình 3. 5. Tần suất các mức sử dụng máy
tính cơ bản
Bảng 3. 25. Trung bình kỹ năng sử
dụng máy tính cơ bản
N Hợp lệ 258
Khuyết 0
Trung bình 3,7791
Độ lệch chuẩn 0,73411
3.3.3. Sự hỗ trợ của BGH và đồng nghiệp
Đánh giá về sự hỗ trợ của BGH và đồng nghiệp đối với việc ứng dụng
CNTT trong HĐDH của giáo viên Bình Phước phần lớn cho rằng chưa thường
xuyên hoặc hiếm khi (70,93%) và chỉ có 3,49% cho rằng rất thường xuyên. Giá
trị trung bình đạt 2,895 tương đương với mức “chưa thường xuyên”.
Hình 3. 6. Tần suất các mức đánh giá sự
hỗ trợ của BGH và đồng nghiệp
Bảng 3. 26. Trung bình đánh giá
sự hỗ trợ của BGH và đồng nghiệp
N Hợp lệ 258
Khuyết 0
Trung bình 2,9121
Độ lệch chuẩn 0,70728
3.3.4. Thái độ của giáo viên đối với việc ứng dụng CNTT trong HĐDH
Nhận định của của giáo viên Bình Phước phần về việc ứng dụng CNTT
trong HĐDH phần lớn theo hướng tích cực ở mức đồng ý và rất đồng ý
- 74 -
(89,92%). Chỉ có một phần nhỏ còn phân vân hoặc không đồng ý với vai trò
tích cực của việc ứng dụng CNTT trong HĐDH (10,07%) Giá trị trung bình đạt
4,3535 tương đương với mức “rất đồng ý”.
Hình 3. 7. Tần suất các mức nhận định
của giáo viên về vai trò tích cực của việc
ứng dụng CNTT trong HĐDH
Bảng 3. 27. Trung bình thái độ của
giáo viên
N Hợp lệ 258
Khuyết 0
Trung bình 4,2535
Độ lệch chuẩn 0,59053
3.3.5. Điều kiện tiếp cận thiết bị cá nhân
Điều kiện tiếp cận với các thiết bị CNTT của cá nhân, bạn bè, đồng
nghiệp của giáo viên Bình Phước phần lớn ở mức dễ hoặc rất dễ tiếp cận
(50,38%). 15,51% cho rằng khó hoặc rất khó tiếp cận. Giá trị trung bình đạt
3,41 tương đương với mức “dễ tiếp cận”.
Hình 3. 8. Tần suất các mức tiếp cận với
thiết bị CNTT cá nhân
Bảng 3. 28. Trung bình điều kiện tiếp
cận thiết bị CNTT cá nhân
N Hợp lệ 258
Khuyết 0
Trung bình 3,4128
Độ lệch chuẩn 0,89447
- 75 -
3.3.6. Kỹ năng sử dụng phần mềm chuyên dụng
Mức độ sử dụng phần mềm chuyên dụng của giáo viên Bình Phước phần
lớn ở mức thấp – chưa biết hoặc biết ít (50%). Kỹ năng ở mức thành thạo hoặc
rất thành thạo chỉ có 16,16%. Giá trị trung bình đạt 2,57 tương đương với mức
“chưa thành thạo”.
Kết quả này hoàn toàn phù hợp với thực tế giáo dục Bình Phước bởi lẽ
đến nay giáo viên chưa được trang bị các phần mềm chuyên dụng phục vụ việc
ứng dụng CNTT trong HĐDH, trong khi hầu hết các phần mềm chuyên dụng
là phần mềm thương mại, có giá thành khá cao, nên giáo viên đa phần không
được tiếp cận.
Hình 3. 9. Tần suất các mức kỹ năng sử
dụng phần mềm chuyên dụng
Bảng 3. 29. Trung bình kỹ
năng sử dụng phần mềm chuyên
dụng
N Hợp lệ 258
Khuyết 0
Trung bình 2,5704
Độ lệch chuẩn 0,98360
3.3.7. Điều kiện tiếp cận thiết bị nhà trường
Điều kiện tiếp cận với các thiết bị CNTT của nhà trường của giáo viên
Bình Phước phần lớn ở mức dễ hoặc rất dễ tiếp cận (63,18%). 11,63% cho rằng
khó hoặc rất khó tiếp cận với thiết bị CNTT của nhà trường. Giá trị trung bình
đạt 3,54 tương đương với mức “dễ tiếp cận”.
- 76 -
Hình 3. 10. Tần suất điều kiện tiếp cận
thiết bị CNTT của nhà trường
Bảng 3. 30. Trung bình điều kiện
tiếp cận thiết bị CNTT của nhà
trường
N Hợp lệ 258
Khuyết 0
Trung bình 3,5436
Độ lệch chuẩn 0,90356
Hình 3. 11. Biểu đồ trung bình mức độ các yếu tố trong nghiên cứu
Tóm lại, giáo viên các môn tự nhiên bậc THPT tỉnh Bình Phước có thái
độ rất tích cực với việc ứng dụng CNTT trong HĐDH, phần lớn giáo viên có
kỹ năng sử dụng máy tính cơ bản ở mức thành thạo, có điều kiện tiếp cận với
thiết bị CNTT khá tốt. Tuy nhiên mức độ ứng dụng CNTT trong HĐDH trung
2.43
2.57
2.91
3.41
3.54
3.78
4.25
1.00
1.80
2.60
3.40
4.20
5.00
Mức độ Ứng
dụng CNTT
Kỹ năng sử
dụng phần
mềm chuyên
dụng
Sự hỗ trợ của
đồng nghiệp
và BGH
Điều kiện tiếp
cận thiết bị cá
nhân
Điều kiện tiếp
cận thiết bị
nhà trường
Kỹ năng sử
dụng máy
tính cơ bản
Thái độ của
giáo viên
Trung bình mức độ ứng dụng CNTT trong HĐDH
- 77 -
bình chỉ ở mức thấp – “1-2 lần/học kỳ”. Điều này được giải thích một phần bởi
kỹ năng sử dụng phần mềm chuyên dụng còn ở mức “chưa thành thạo” và sự
hỗ trợ của BGH và đồng nghiệp chỉ ở mức “chưa thường xuyên”.
3.4. Những yếu tố ảnh hưởng đến “Mức độ ứng dụng CNTT trong HĐDH
của giáo viên THPT tỉnh Bình Phước”
Nhằm trả lời câu hỏi nghiên cứu thứ 2 “Những yếu tố nào ảnh hưởng đến
mức độ ứng dụng CNTT trong HĐDH của giáo viên các môn tự nhiên bậc
THPT?”, trong phần này, tác giả sử dụng phương pháp hồi quy tuyến tính để
tìm ra những yếu tố ảnh hưởng đồng thời đánh giá mức độ tác động của chúng
đến đến mức độ ứng dụng CNTT trong HĐDH của giáo viên Bình Phước.
Như đã trình bày trong phân tích nhân tố EFA, mô hình nghiên cứu được
xác định gồm 06 yếu tố độc lập tác động đến “Mức độ ứng dụng CNTT trong
HĐDH” được tác giả đặt tên biến theo qui ước sau:
- Y: Mức độ ứng dụng CNTT trong HĐDH
- X1: Kỹ năng sử dụng máy tính cơ bản,
- X2: Sự hỗ trợ của BGH và đồng nghiệp,
- X3: Thái độ của giáo viên đối với việc ứng dụng CNTT trong HĐDH,
- X4: Điều kiện tiếp cận thiết bị cá nhân,
- X5: Kỹ năng Sử dụng phần mềm chuyên dụng,
- X6: Điều kiện tiếp cận thiết bị nhà trường.
Để xác định sự tác động của từng nhân tố Xi đến Y, tác giả tiến hành
phân tích theo phương pháp hồi quy tuyến tính bội. Giá trị của các yếu tố được
dùng để phân tích hồi quy là giá trị nhân số được tạo ra từ quá trình phân tích
EFA bằng phần mềm SPSS theo phương pháp Regression. Phân tích hồi quy
được thực hiện bằng phương pháp đưa các biến vào cùng lúc (Method: Enter).
- 78 -
Kết quả phân tích hồi quy tuyến tính bội cho thấy: mức độ giải thích của các
các biến độc lập (Xi) đối với biến phụ thuộc (Y) trong mô hình là 51,5% (
Bảng 3. 31). Nói cách khác, 51,5% sự biến thiên của mức độ ứng dụng CNTT
trong HĐDH được giải thích bới 6 yếu tố (Xi). Kết quả này cho thấy ngoài 06
nhân tố được khám phá trong mô hình còn các các yếu tố khác quy định trên
40% sự biến thiên của mức độ ứng dụng CNTT trong HĐDH.
Đại lượng thống kê Durbin-Watson (d) = 1,737, tra bảng hệ số Durbin –
Watson với mức ý nghĩa 0,05 và n >200, k=6 có hệ số dL = 1,707 và dU = 1,831,
vậy dL < d < 4-dU. cho thấy không có sự tương quan giữa các phần dư. Điều
này có ý nghĩa là mô hình hồi quy không vi phạm giả định về tính độc lập của
sai số.
Kiểm tra hiện tượng đa cộng tuyến thông qua hệ số phóng đại phương
sai VIF (Bảng 3. 32) cho thấy giá trị hệ số VIF của cả 6 biến đều bằng 1,00 nên
không có hiện tượng đa cộng tuyến (VIF > 10 là dấu hiệu của đa cộng tuyến[31]
).
Xem xét giả định về phân phối chuẩn của phần dư thì thấy phân phối này
có Mean =0,000, Std. Dev. = 0,988 tức gần bằng 1, do đó có thể kết luận giả
định phân phối chuẩn của các sai số của mô hình không bị vi phạm.
Đại lượng thống kê F trong bảng phân tích phương sai được dùng để kiểm định
sự phù hợp của mô hình hồi quy với tổng thể (Bảng 3. 33). Kết quả kiểm định
này có mức ý nghĩa Sig. = 0,000 < 0,01 (α= 0,01) thì cho thấy mô hình phù hợp
với tổng thể nghiên cứu và có thể được sử dụng.
Sáu nhân tố có mối liên hệ tuyến tính với mức độ ứng dụng CNTT trong
HĐDH với mức ý nghĩa Sig. < 0,05 (sắp xỉ bằng 0,000). Như vậy, ta có phương
trình hồi quy như sau:
𝑌 = 0,290𝑋1 + 0,352𝑋2 + 0,139𝑋3 + 0,232𝑋4 + 0,468𝑋5 + 0,184𝑋6 + 𝜀
- 79 -
Bảng 3. 31. Mức độ giải thích của mô hình
Thông số mô hình b
Mô
hình R
R bình
phương
R bình phương
đã hiệu chỉnh
Sai số chuẩn
của ước lượng Durbin-Watson
1 0,726a
0,527 0,515 0,70096623 1,737
a. Yếu tố dự báo: (Hằng số), Tiếp cận thiết bị nhà trường, Kỹ năng sử dụng phần mềm
chuyên dụng, Tiếp cận thiết bị cá nhân, Thái độ của giáo viên..., Sự hỗ trợ..., Kỹ năng sử
dụng máy tính cơ bản
b. Biến phụ thuộc: Mức độ Ứng dụng CNTT
Bảng 3. 32. Kết quả phân tích hồi quy tuyến tính bội
Các hệ số a
Model
Chưa chuẩn hóa
Đã chuẩn
hóa
t Sig.
Thống kê
Cộng tuyến
B
Sai số
chuẩn Beta
Dung
sai VIF
1 (Hằng số) 0,004 0,044 0,093 0,926
Kỹ năng sử dụng
máy tính cơ bản
0,290 0,044 0,288 6,570 0.000 1.000 1.000
Sự hỗ trợ... 0,352 0,044 0,350 7,977 0.000 1.000 1.000
Thái độ của giáo
viên...
0,139 0,044 0,138 3,150 0,002 1.000 1.000
Tiếp cận thiết bị cá
nhân
0,232 0,044 0,231 5,255 0.000 1.000 1.000
Kỹ năng sử dụng
phần mềm chuyên
dụng
0,468 0,044 0,464 10,588 0.000 1.000 1.000
Tiếp cận thiết bị nhà
trường
0,184 0,044 0,182 4,157 0.000 1.000 1.000
a. Biến phụ thuộc: Mức độ Ứng dụng CNTT
- 80 -
Bảng 3. 33. Phân tích phương sai
ANOVAb
Mô hình Tổng bình
phương df
Trung bình
bình phương F Sig.
1 Hồi quy 134,495 6 22,416 45,621 0,000a
Phần dư 120,873 246 0,491
Tổng 255,368 252
a. Yếu tố dự báo: (Hằng số), Tiếp cận thiết bị nhà trường, Kỹ năng sử dụng phần mềm
chuyên dụng, Tiếp cận thiết bị cá nhân, Thái độ của giáo viên..., Sự hỗ trợ..., Kỹ năng sử
dụng máy tính cơ bản
b. Biến phụ thuộc: Mức độ Ứng dụng CNTT
Hình 3. 12. Biểu đồ tần số phần dư chuẩn hóa
- 81 -
Bảng 3. 34. Thông tin dự đoán và phần dư
Thống kê phần dư a
Cực tiểu Cực đại
Trung
bình
Độ lệch
chuẩn
N
Giá trị dự đoán -2,0122395 2,1327333 0,0041101 0,73055592 253
Phần dư -2,45873094 1,93626177 0,0000000 0,69257113 253
Dự đoán đã chuẩn
hóa
-2,760 2,914 0,000 1,000 253
Phần dư đã chuẩn
hóa
-3,508 2,762 0,000 0,988 253
a. Biến phụ thuộc: Mức độ Ứng dụng CNTT
Hệ số của từng biến độc lập trong phương trình cho thấy mức độ tác động
của nhân tố đó đến mức động ứng dụng CNTT trong HĐDH. Theo đó, nếu hệ
số (β) của một biến độc lập nào đó biến thiên một đơn vị thì biến phụ thuộc
cũng biến thiên β đơn vị. Ví dụ: Khi biến X1 tăng lên một đơn vị thì biến Y sẽ
tăng lên 0,29 đơn vị trong trường hợp các biến còn lại là cố định. Như vậy, cả
06 nhân tố đều có mối tương quan tuyến tính cùng chiều với mức độ ứng dụng
CNTT trong HĐDH.
Xem xét mức độ tác động của từng biến độc lập đối với biến phụ thuộc
ta thấy: biến X5 (Kỹ năng sử dụng phần mềm chuyên dụng) có tác động mạnh
nhất đối với Y (Beta = 0,464, Sig. = 0,000), nghĩa là khi “kỹ năng sử dụng phần
mềm chuyên dụng” tăng lên một mức thì “mức độ ứng dụng CNTT trong
HĐDH” cũng tăng lên 0,464 mức. Kế đến, lần lượt là, X2 (Sự hỗ trợ của BGH
và đồng nghiệp) với Beta = 0,350; X1 (Kỹ năng sử dụng máy tính cơ bản) với
Beta = 0,288; X4 (Điều kiện tiếp cận với thiết bị cá nhân) với Beta = 0,231; X6
(Tiếp cận thiết bị nhà trường) với Beta = 0,182; và cuối cùng là X3 (Thái độ
của giáo viên) vớ Beta = 0,138.
- 82 -
Căn cứ kết quả phân tích hồi quy tuyến tính bội ta có được mô hình hồi
quy tuyến tính của các yếu tố tác động đến mức độ ứng dụng CNTT trong
HĐDH như hình sau:
Kỹ năng sử dụng máy tính
cơ bản
Sự hỗ trợ của BGH và đồng
nghiệp
Thái độ của giáo viên
Kỹ năng sử dụng phần
mềm chuyên dụng
Điều kiện tiếp cận thiết bị
nhà trường
Điều kiện tiếp cận thiết bị
cá nhân
Mức độ
ứng dụng
CNTT trong
HĐDH
0,288
0,35
0,138
0,464
0,182
0,231
Hình 3. 13. Mô hình hồi quy tuyến tính
Trong sáu yếu tố tác động đến mức độ ứng dụng CNTT trong HĐDH thì
yếu tố “Kỹ năng sử dụng phần mềm chuyên biệt” có tác động lớn nhất. Tiếp
đến là yếu tố “Sự hỗ trợ của BGH và đồng nghiệp”. Tuy nhiên, kết quả phân
tích trong phần 3.3 chương này về thực trạng mức độ ứng dụng CNTT trong
HĐDH ở Bình Phước cho thấy hai yêu tố này lại đang ở mức thấp nhất. Qua
đó ta thấy việc tổ chức tập huấn kỹ năng sử dụng phần mềm chuyên dụng phục
vụ dạy học là cần thiết, đồng thời cấp quản lý giáo dục cần có giải pháp khuyến
khích, đôn đốc cán bộ, giáo viên các trường THPT tích cực ứng dụng CNTT
trong HĐDH.
Yếu tố thái độ của giáo viên đối với việc ứng dụng CNTT trong HĐDH
có mức độ tác động thấp nhất trong mô hình (Beta = 0,138). Điều này có vẻ
nghịch lý. Tuy nhiên, khi xem xét giá trị trung bình của biến này cho thấy giáo
viên Bình Phước có thái độ rất tích cực (rất đồng ý) với việc ứng dụng CNTT
trong HĐDH (trung bình = 4,35). Xem xét tần suất trả lời bảng hỏi cho thấy có
89,92% có nhận thức tích cực ở mức đồng ý và rất đồng ý, chỉ có một phần nhỏ
- 83 -
giáo viên còn “phân vân” hoặc “không đồng ý” (10,07%). Chính sự đồng nhất
về thái độ của giáo viên trong mẫu nghiên cứu này đã giải thích vì sao yếu tố ý
thức không ảnh hưởng nhiều đến mức độ ứng dụng CNTT trong HDDH của
giáo viên các môn tự nhiên tỉnh Bình Phước.
Hình 3. 14. Biểu đồ mức độ tác động của các yếu tố
Tóm lại, kết quả phân tích hồi quy bội cho thấy mức độ ứng dụng CNTT
trong HĐDH của giáo viên Bình Phước có mối tương quan thuận và khá mạnh
với 06 yếu tố gồm: (1) Kỹ năng sử dụng phần mềm chuyên dụng, (2) Sự hỗ trợ
của BGH và đồng nghiệp, (3) Kỹ năng sử dụng máy tính cơ bản, (4) Điều kiện
tiếp cận thiết bị cá nhân, (5) Điều kiện tiếp cận thiết bị của trường, và (6) Thái
độ của giáo viên đối với việc ứng dụng CNTT trong HĐDH. Trong đó yếu tố
“Kỹ năng sử dụng phần mềm chuyên dụng” có tác động mạnh nhất đến mức
độ ứng dụng CNTT trong HĐDH của giáo viên. Mức độ giải thích của 6 nhân
0.138
0.182
0.231
0.288
0.35
0.464
0
0.05
0.1
0.15
0.2
0.25
0.3
0.35
0.4
0.45
0.5
Thái độ của
giáo viên...
Tiếp cận thiết bị
nhà trường
Tiếp cận thiết bị
cá nhân
Kỹ năng sử
dụng máy tính
cơ bản
Sự hỗ trợ của
BGH và đồng
nghiệp
Kỹ năng sử
dụng phần mềm
chuyên dụng
Mức độ tác động của các nhân tố (Beta)
- 84 -
tố (biến độc lập - Xi) đối với mức độ ứng dụng CNTT trong HĐDH (biến phụ
thuộc - Y) trong mô hình là 51,5%.
Kết luận chương 3
Từ kết quả khảo sát chính thức với 258 bảng hỏi đạt điều kiện sử dụng
được thu thập từ 13 trường THPT trên 10 huyện thị trong tỉnh Bình Phước, tác
giả tiến hành đánh giá độ tin cậy của các thang đo, phân tích nhân tố khám phá
để xác định mô hình nghiên cứu chính thức, trình bày thực trạng mức độ ứng
dụng CNTT trong HĐDH của giáo viên Bình Phước, và đánh giá mức độ tác
động của các yếu tố có ảnh hưởng đến mức độ ứng dụng CNTT trong HĐDH
của giáo viên. Các phát hiện chính trong chương này gồm:
i) Các thang đo có độ tin cậy cao, thang đo mức độ ứng dụng CNTT trong
HĐDH đạt α = 0,822, thang đo các yếu tố ảnh hưởng đến mức độ ứng
dụng CNTT trong HĐDH đạt α = 0,911.
ii) Phân tích nhân tố khám phá cho kết quả có 06 yếu tố ảnh hưởng đến mức
độ ứng dụng CNTT trong HĐDH, qua đó tác giả hiệu chỉnh lại mô hình
nghiên cứu, xác định mô hình nghiên cứu chính thức (Hình 3. 2). Mức
độ giải thích của 6 nhân tố (biến độc lập - Xi) đối với mức độ ứng dụng
CNTT trong HĐDH (biến phụ thuộc - Y) trong mô hình là 51,5%.
iii) Cả 06 yếu tố trong mô hình có mối tương quan thuận với mức độ ứng
dụng CNTT trong HĐDH của giáo viên gồm: (1) Kỹ năng sử dụng phần
mềm chuyên dụng, (2) Sự hỗ trợ của BGH và đồng nghiệp, (3) Kỹ năng
sử dụng máy tính cơ bản, (4) Điều kiện tiếp cận thiết bị cá nhân, (5) Điều
kiện tiếp cận thiết bị của trường, và (6) Thái độ của giáo viên đối với việc
ứng dụng CNTT trong HĐDH. Trong đó yếu tố “Kỹ năng sử dụng phần
mềm chuyên dụng” có mức độ tác động mạnh nhất (Beta = 0,464).
- 85 -
iv) Thực trạng mức độ ứng dụng CNTT trong HĐDH của giáo viên Bình
Phước ở mức thấp, trung bình là “1 – 2 lần/ học kỳ”. Giáo viên Bình
Phước có “kỹ năng sử dụng máy tính cơ bản” và thái độ đối với việc ứng
dụng CNTT trong HĐDH ở mức cao; có điều kiện tiếp cận với thiết bị
CNTT khá tốt; song “kỹ năng sử dụng phần mềm chuyên dụng” ở mức
chưa thành thạo và đánh giá “sự hỗ trợ của BGH và đồng nghiệp” chỉ ở
mức chưa thường xuyên. Có sự khác biệt có ý nghĩa thống kê về mức độ
ứng dụng CNTT trong HĐDH của giáo viên các môn tự nhiên bậc THPT
tỉnh Bình Phước ở các khía cạnh “địa bàn công tác”, “chuyên môn”,
“thâm niên công tác”, và “số năm sử dụng máy tính”
- 86 -
KẾT LUẬN – KHUYẾN NGHỊ
1. Kết luận
Kết quả nghiên cứu cho thấy phần lớn giáo viên các môn tự nhiên tỉnh
Bình Phước có “kỹ năng sử dụng máy tính cơ bản” ở mức thành thạo, có thái
độ tích cực đối với việc ứng dụng CNTT trong HĐDH, và có điều kiện tiếp cận
với CNTT ở mức “dễ tiếp cận”.
Tuy nhiên, mức độ ứng dụng CNTT trong HĐDH của giáo viên giảng
dạy các môn khoa học tự nhiên tỉnh Bình Phước ở mức thấp, trung bình chỉ từ
1 đến 2 lần/học kỳ; trong đó có 24,3% giáo viên chưa bao giờ ứng dụng CNTT
trong HĐDH. Điều này có thể được giải thích một phần bởi kỹ năng sử dụng
phần mềm chuyên dụng trong giáo dục của giáo viên chỉ ở mức “chưa thành
thạo” và sự hỗ trợ của BGH và đồng nghiệp ở các trường ở mức “chưa thường
xuyên”, 70,93% giáo viên cho rằng sự hỗ trợ của BGH và đồng nghiệp ở mức
“chưa thường xuyên” hoặc “hiếm khi” hỗ trợ.
Thống kê so sánh cho thấy có sự khác biệt về mức độ ứng dụng CNTT
trong HĐDH giữa các nhóm giáo viên: “thuộc thị xã” cao hơn “không thuộc thị
xã”; môn Sinh học cao hơn môn Toán; thâm niên “6-10 năm”, “11 – 15 năm”
cao hơn thâm niên “trên 20 năm”; số năm sử dụng máy tính “11 – 15 năm” cao
hơn “1 – 5 năm”. Không có sự khác biệt về mức độ ứng dung CNTT trong
HĐDH khi so sánh ở khía cạnh “giới tính” hay “độ tuổi”.
Khung lý thuyết được xác định gồm 06 yếu tố tác động đến mức độ ứng
dụng CNTT trong HĐDH của giáo viên các môn tự nhiên bậc THPT tỉnh Bình
Phước, được đo lường qua 29 tiêu chí theo thang đo 5 mức, với khả năng giải
thích 51,5% sự biến thiên của mức độ ứng dụng CNTT trong HĐDH.
Cả sáu yếu tố đều tác động tỷ lệ thuận đến mức độ ứng dụng CNTT trong
HĐDH của giáo viên Bình Phước, gồm: (1) Kỹ năng sử dụng phần mềm chuyên
- 87 -
dụng, (2) Sự hỗ trợ của BGH và đồng nghiệp, (3) Kỹ năng sử dụng máy tính
cơ bản, (4) Điều kiện tiếp cận thiết bị cá nhân, (5) Điều kiện tiếp cận thiết bị
của trường, và (6) Thái độ của giáo viên đối với việc ứng dụng CNTT trong
HĐDH. Trong đó yếu tố “Kỹ năng sử dụng phần mềm chuyên dụng” có tác
động mạnh nhất đến mức độ ứng dụng CNTT trong HĐDH của giáo viên, kế
đến là “Sự hỗ trợ của BGH và đồng nghiệp”; tác động ít nhất đến mức độ ứng
dụng CNTT trong HĐDH là yếu tố “Thái độ của giáo viên đối với việc ứng
dụng CNTT trong HĐDH”.
2. Khuyến nghị:
Căn cứ kết quả nghiên cứu, tác giả đề xuất một số gợi ý với cấp quản lý
giáo dục tỉnh Bình Phước, các trường THPT và giáo viên THPT trên địa bàn
tỉnh như sau:
- Với các cấp quản lý giáo dục:
Tác động tích cực của việc ứng dụng CNTT trong HĐDH đến chất lượng
dạy học đã được nhiều nghiên cứu khẳng định. Tăng cường ứng dụng CNTT
trong HĐDH là một giải pháp tất yếu nhằm góp phần nâng cao chất lượng giáo
dục. Trong khi đó, mức độ ứng dụng CNTT trong HĐDH của giáo viên Bình
Phước còn ở mức thấp dù điều kiện tiếp cận với thiết bị CNTT là tương đối tốt.
Trong sáu yếu tố tác động đến mức độ ứng dụng CNTT trong HĐDH thì
yếu tố “Kỹ năng sử dụng phần mềm chuyên biệt” có tác động lớn nhất. Tiếp
đến là yếu tố “Sự hỗ trợ của BGH và đồng nghiệp”. Tuy nhiên, khảo sát thực
trạng cho thấy hai yêu tố này lại đang ở mức thấp. Qua đó ta thấy việc tổ chức
tập huấn kỹ năng sử dụng phần mềm chuyên dụng phục vụ dạy học là cần thiết,
đồng thời cần có giải pháp khuyến khích, đôn đốc cán bộ, giáo viên các trường
THPT tích cực ứng dụng CNTT trong HĐDH.
- 88 -
Trung bình điều kiện tiếp cận thiết bị CNTT của giáo viên là khá tốt, tuy
nhiên có sự khác biệt giữa giáo viên các trường thuộc địa bàn thị xã và giáo
viên các trường không thuộc thị xã. Qua đây cho thấy cần tăng cường quan tâm,
đầu tư trang thiết bị CNTT ứng dụng trong HĐDH cho các trường trên địa bàn
không thuộc các thị xã.
- Với các trường THPT:
Kết quả nghiên cứu cho thấy nhận thức (thái độ) của giáo viên đối với
việc ứng dụng CNTT trong HĐDH là rất tốt, kỹ năng sử dụng máy tính cơ bản
ở mức thành thạo, điều kiện tiếp cận thiết bị CNTT cũng tương đối tốt. Đây là
điều kiện thuận lợi để các trường triển khai ứng dụng CNTT trong HĐDH.
Tuy nhiên, yếu tố “kỹ năng sử dụng phần mềm chuyên biệt” và “sự hỗ
trợ của BGH và đồng nghiệp” ở mức thấp cho thấy nhà trường chưa có các biện
pháp hiệu quả hỗ trợ giáo viên ứng dụng CNTT trong HĐDH. Nhà trường cần
có các giải pháp cụ thể như:
+ BGH có chính sách khuyến khích, động viên giáo viên ứng dụng
CNTT trong HĐDH;
+ Bố trí giáo viên kiêm nhiệm hoặc chuyên trách công tác hỗ trợ giáo
viên ứng dụng CNTT trong HĐDH;
+ Cung cấp phần mềm hỗ trợ soạn giảng có bản quyền cho giáo viên sử
dụng;
+ Tổ chức tập huấn, hội thảo trang bị kỹ năng sử dụng phần mềm
chuyên dụng trong việc ứng dụng CNTT trong HĐDH và kỹ năng xử lý sự cố
đơn giản thường gặp của máy tính cho giáo viên.
- Với giáo viên THPT:
- 89 -
Kết quả nghiên cứu cho thấy hầu hết giáo viên có thái độ tích cực với
việc ứng dụng CNTT trong HĐDH. Tuy nhiên, phần lớn giáo viên chưa trang
bị đủ kỹ năng sử dụng các phần mềm chuyên dùng trong HĐDH. Qua đây xin
gợi ý một số giải pháp cho giáo viên gồm:
+ Tích cực hỗ trợ, học hỏi, trao đổi kinh nghiệm với đồng nghiệp trong
ứng việc ứng dụng CNTT trong HĐDH.
+ Tránh thụ động, chờ đợi mà nên tích cực tự trang bị kỹ năng sử dụng
phần mềm cho mình. Một số phần mềm chuyên dụng giáo viên nên biết như:
V-iSpring Suit (bộ phần mềm hỗ trợ soạn bài giảng điện tử, soạn đề trắc
nghiệm, soạn giáo trình); Chemwin (soạn công thức hóa học), Mathtype (soạn
công thức toán học), Science Helper (vẽ hình cho Vật lý); McMix (soạn, trộn
đề trắc nghiệm).
3. Những điểm còn hạn chế và gợi ý nghiên cứu tiếp theo
Nghiên cứu chỉ giới hạn khách thể là giáo viên các môn tự nhiên bậc
THPT trên địa bàn tỉnh Bình Phước gồm các môn toán, lý, hóa, sinh.
Nghiên cứu chưa xem xét mối tương quan giữa mức độ ứng dụng CNTT
trong HĐDH với chất lượng dạy học.
Từ những hạn chế nên trên, các nghiên cứu tiếp theo có thể mở rộng
khách thể nghiên cứu thành “giáo viên THPT”, nghiên cứu mối tương quan
giữa mức độ ứng dụng CNTT trong HĐDH với chất lượng dạy học của giáo
viên. Xem xét ứng dụng CNTT trong HĐDH ở mức nào có thể mang lại chất
lượng dạy học tốt nhất.
- 90 -
Tài liệu tham khảo
Tài liệu tiếng Việt:
1. Chính phủ (2009), Nghị quyết số 35/NQ-CP của Chính phủ, Số. 35/NQ-
CP.
2. Cục thống kê tỉnh Bình Phước (2012), Tình hình KTXH tháng 9 năm
2012.
3. Bộ GD-ĐT Việt Nam (2011), Xếp hạng trường phổ thông năm 2011 (Top
200 trường).
4. Vũ Cao Đàm (2011), Giáo trình Phương pháp luận nghiên cứu khoa học,
NXB Giáo dục Việt Nam.
5. MOET (2011), Hướng dẫn thực hiện nhiệm vụ CNTT năm học 2011 -
2012, Số. 4960/BGD-ĐT-CNTT.
6. MOET (2012), Hướng dẫn thực hiện nhiệm vụ CNTT năm học 2012 -
2013, Số. 4987/BGD-ĐT-CNTT.
7. Phạm Xuân Hậu (2010), Ứng dụng CNTT để nâng cao hiệu quả dạy-học
và Nghiên cứu khoa học trong các trường Đại học Sư phạm, Kỷ yếu Hội
thảo khoa học "Tăng cường năng lực ứng dụng Công nghệ thông tin
trong Đào tạo và Nghiên cứu Khoa học", tr. 1.
8. Nguyễn Văn Hòa (2010), Năng lực ứng dụng công nghệ thông tin trong
hoạt động dạy học của giảng viên trường đại học sư phạm – đại học Huế,
Luận văn thạc sĩ, Viện đảm bảo chất lượng giáo dục, ĐHQG Hà Nội.
9. Lê Huy Hoàng và Lê Xuân Quang (2011), e-Learning và ứng dụng trong
dạy học, VVOB Viet Nam.
10. Trần Thị Hương (2009), Giáo dục học đại cương, MXB Đại học Sư
phạm TP.HCM.
11. Intel (2012). Website chương trình giáo dục của Intel tại Việt Nam,
www.intel.com/education/vn.
12. Đào Thái Lai, Vũ Trọng Rỹ, Lê Đông Phương, và Ngô Doãn Đãi (2011),
Thực trạng đổi mới phương pháp dạy học ở đại học, Kỷ yếu Hội thảo
toàn quốc về khoa học giáo dục, Hà Nội.
13. Trần Thị Bích Liễu (2010), Chính sách và chuẩn giáo dục ICT, Tạp chí
Quản lí giáo dục.
14. Tư liệu (2013), Chuyên gia trong lĩnh vực ứng dụng CNTT trong hoạt
động dạy học.
15. Microsoft (2008), Sử dụng công nghệ thông tin trong dạy học, NXB Giáo
dục Việt Nam.
- 91 -
16. MOET (2008), Chỉ thị về tăng cường giảng dạy, đào tạo và ứng dụng
công nghệ thông tin trong ngành giáo dục giai đoạn 2008-2012, Bộ GD
và Đào tạo Việt Nam, số 55/2008/CT-BGD-ĐT.
17. Hội đồng Quốc gia chỉ đạo biên soạn Từ điển bách khoa Việt Nam
(2011). Từ Điển Bách Khoa Việt Nam (phiên bản điện tử),
www.bachkhoatoanthu.gov.vn.
18. Quốc hội Việt Nam (2006), Luật Công nghệ thông tin của nước Cộng
hòa xã hội chủ nghĩa Việt Nam, Số. 67/2006/QH11 ngày 29 tháng 6 năm
2006.
19. Quách Tuấn Ngọc (2009), Ứng dụng CNTT trong ngành giáo dục hướng
đến một nền giáo dục điện tử, Bộ GD và Đào tạo Việt Nam.
20. Jef Peeraer (2011), Công nghệ thông tin cho dạy học tích cực, NXB Giáo
dục Việt Nam.
21. Jef Peeraer và Trần Nữ Mai Thy (2011), Ứng dụng Công nghệ thông tin
trong giáo dục Việt Nam: Từ chính sách tới thực tế, VVOB Viet Nam,
tr. 6.
22. Thủ tướng Chính Phủ (2009), Kế hoạch tổng thể phát triển nguồn nhân
lực công nghệ thông tin đến năm 2015 và định hướng đến năm 2020số
698/QĐ-TTg.
23. Chính Phủ Việt Nam (2012), Chiến lược phát triển giáo dục 2011-2020,
Số. 711/QĐ-TTg ngày 13 tháng 6 năm 2012.
24. Sở GD-ĐT Bình Phước (2012), Báo cáo số liệu đầu năm học 2012 -
2013.
25. Sở GD-ĐT Bình Phước (2012), Báo cáo Tổng kết nhiệm vụ công nghệ
thông tin năm học 2011-2012, Số. 2380/BC-SGD-ĐT.
26. Sở GD-ĐT Bình Phước (2012), Hướng dẫn thực hiện nhiệm vụ CNTT
năm học 2012-2013, Số. 2381/SGD-ĐT-CNTT.
27. UBND Tỉnh Bình Phước (2011), Kế hoạch số 86/KH-UBND về việc triển
khai đề án đưa Việt Nam sớm trở thành nước mạnh về CNTT-TT trên
địan bàn tỉnh Bình Phướcsố 86/KH-UBND.
28. UBND Tỉnh Bình Phước (2011), Quy hoạch phát triển CNTT tỉnh Bình
Phước đến năm 2015, định hướng đến năm 2020số 2782/QĐ-UBND.
29. Phạm Văn Quyết và Nguyễn Quý Thanh (2010), Phương pháp nghiên
cứu khoa học xã hội, NXB ĐHQG Hà Nội.
30. Trần Thị Kim Thu (2011), Giáo trình điều tra xã hội học,Hà Nội, NXB
ĐH Kinh tế quốc dân. 255 trang.
31. Hoàng Trọng và Chu Nguyễn Mộng Ngọc (2008), Phân tích dữ liệu
nghiên cứu với SPSS, NXB Hồng Đức.
32. Nguyễn Văn Tuấn (2009), Lý luận dạy học, ĐH SPKT TP.HCM.
33. TW (2000), Nghị quyết Trung ương 2 - khóa VIII.
- 92 -
Tài liệu tiếng Anh
34. Al-Zaidiyeen, N.J., L.L. Mei, and F.S. Fook, Teachers’ Attitudes and
Levels of Technology Use in Classrooms: The Case of Jordan Schools.
International Education Studies, 2010. 3(2).
35. Australia, D.o.E.a.T.W., Teacher ICT skills. 2006, Australia:
Department of Education and Training Western Australia.
36. Castillo, N., The Level of ICT Use and Expertise by Teachers in Chilean
Secondary Schools. Universidad del Bío-Bío, Chile, 2002.
37. Hennessy, S., D. Harrison, and L. Wamakote, Teacher Factors
Influencing Classroom Use of ICT in Sub-Saharan Africa. Itupale Online
Journal of African Studies, 2010. 2.
38. Isleem, M.I., Relationships of selected factors and the level of computer
use for instructional purposes by technology education teachers in ohio
public schools: a statewide survey, 2003, Ohio State University.
39. Lim, C.P., C.S. Chai, and D. Churchill, Leading ICT in Education
Practices: A Capacity-building Toolkit for Teacher Education
Institutions in the Asia-Pacific. 2010: Microsoft Partners-in-Learning
(Asia-Pacific).
40. Peeraer, J. and P.V. Petegem, Factors Influencing Integration of ICT in
Higher Education in Vietnam Proceedings of Global Learn 2010, 2010.
41. Raosoft, I. Sample Size Calculator. 2004; Available from:
http://www.raosoft.com/samplesize.html.
42. Schacter, J., The Impact of Education Technology on Student
Achievement: What the Most Current Research Has to Say. Milken
Family Foundation, 1999.
43. Systems, C.R. Sample Size Calculator. 2012; Available from:
http://www.surveysystem.com/sscalc.htm.
44. UNESCO, Regional Guidelines on Teacher Development for Pedagogy-
Technology Integration. 2005, Bangkok: UNESCO Asia and Pacific
Regional Bureau for Education.
45. UNESCO and Microsoft, UNESCO ICT Competency Framework for
Teachers, ed. 2.0. 2011: United Nations Educational, Scientific and
Cultural Organization.
- 93 -
Phụ lục
Phụ lục 1. Các chỉ báo đo lường các khái niệm
I. Mức độ ứng dụng CNTT trong HĐDH được xác định thông qua 16
chỉ báo gồm:
1. Soạn giáo án
2. Soạn bài giảng điện tử
3. Tra cứu thông tin, tư liệu cho việc soạn giảng
4. Làm phim, ảnh tư liệu, hoạt hình phục vụ dạy học
5. Biên soạn đề trắc nghiệm bằng phần mềm
6. Dạy học có dùng máy chiếu (projector)
7. Dạy học có dùng bài giảng điện tử hay phần mềm mô phỏng
8. Dạy học trên phòng máy vi tính hoặc phòng nghe nhìn
(multimedia)
9. Dạy học trực tuyến
10.Viết bài trả lời, hướng dẫn học tập lên diễn đàn, hoặc chia sẻ tài
nguyên, bài giảng lên website
11.Trả lời email cho học sinh, phụ huynh học sinh
12.Trả lời email cho đồng nghiệp
13.Tổ chức kiểm tra bằng phần mềm máy tính
14.Phân tích, đánh giá đề trắc nghiệm sau khi kiểm tra
15.Phân tích thông tin về kết quả học tập của học sinh
16.Phân tích, đánh giá đề thi sau khi kiểm tra (bằng excel hoặc bằng
phần mềm nào đó).
II. Điều kiện tiếp cận với CNTT được xác định thông qua 14 chỉ báo
gồm:
1. Máy tính dành cho giáo viên (dùng chung)
2. Kết nối với Internet tại trường
3. Máy in dùng chung
4. Máy quay phim/chụp hình
5. Phòng máy tính dùng cho dạy học
6. Máy chiếu (projector)
- 94 -
7. Phòng nghe nhìn (multimedia)
8. Phần mềm phục vụ soạn giảng (có bản quyền)
9. Bảng thông minh
10.Máy tính cá nhân (máy để bàn)
11.Laptop cá nhân (máy tính xách tay)
12.Kết nối Internet tại nhà riêng/ nơi ở
13.Máy in
14.Máy quay phim/chụp hình.
III. Sự hỗ trợ từ BGH và đồng nghiệp được xác định thông qua 8 chỉ
báo gồm:
1. Có chính sách khuyến khích giáo viên ứng dụng CNTT trong dạy
học
2. Tổ chức thi bài giảng điện tử
3. Tổ chức tập huấn/hội thảo về kỹ năng ứng dụng CNTT trong dạy
học
4. Cung cấp phần mềm có bản quyền cho giáo viên
5. Hỗ trợ giáo viên cài đặt và cập nhật phần mềm
6. Có hỗ trợ của đội ngũ hỗ trợ kỹ thuật (GV kiêm nhiệm)
7. Có hỗ trợ của nhân viên kỹ thuật tin học (chuyên trách)
8. Đồng nghiệp hướng dẫn nhau sử dụng CNTT.
IV. Kỹ năng sử dụng máy tính được xác định thông qua 15 chỉ báo
gồm:
1. Xử lý những sự cố đơn giản của máy tính
2. Quản lý thư mục (folder), tập tin (file) như: tạo mới, di chuyển,
đổi tên…
3. Sử dụng email: đọc, gửi, và các chức năng khác của email
4. Tìm kiếm và lấy thông tin từ internet
5. Sử dụng phần mềm soạn thảo văn bản (như MS Word hoặc phần
mềm tương tự)
6. Sử dụng phầm mềm soạn bài trình chiếu (như MS PowerPoint
hoặc tương tự)
7. Sử dụng phầm mềm bảng tính (như MS Excel hoặc tương tự)
- 95 -
8. Phần mềm hỗ trợ soạn công thức toán học, hóa học… (như
Mathtype, Chemwin,… hoặc tương tự)
9. Phần mềm hỗ trợ vẽ hình trong word (như Science Helper for
word)
10.Phần mềm hỗ trợ soạn bài giảng điện tử (như Violet, Adobe
presenter, iSpring, Lecture Maker, hoặc tương tự)
11.Phần mềm soạn đề trắc nghiệm (như McMix hoặc tương tự)
12.Phần mềm hỗ trợ xây dựng ngân hàng đề trắc nghiệm (như iQB
Leo, TestPro Bank hoặc tương tự)
13.Phần mềm hỗ trợ quản lý lớp học (như Netop School, NetSupport
School hoặc tương tự)
14.Phần mềm hỗ trợ dạy-học chuyên môn (như các phần mềm của
Crocodile, School Net…)
15.Hệ quản trị CSDL (như MS Access, SQL, My SQL…)
16.Hệ thống quản lý học tập trực tuyến (như Black Board, Moodle,
web 2.0 hoặc tương tự)
V. Đặc điểm cá nhân được xác định thông qua 15 chỉ báo gồm:
- Các chỉ báo về thái độ của cá nhân với việc ứng dụng CNTT trong
HĐDH gồm:
1. Ứng dụng CNTT trong dạy học chưa thật sự cần thiết
2. CNTT giúp mô phỏng những hiện tượng khó diễn tả một cách dễ
dàng và sinh động hơn
3. Ứng dụng CNTT làm cho người giáo viên vất vả hơn
4. Tôi muốn tham gia tập huấn ứng dụng CNTT trong dạy học
5. CNTT rất cần cho việc nâng cao trình độ chuyên môn
6. CNTT cung cấp nhiều tài nguyên và công cụ cho dạy học
7. CNTT giúp tôi làm việc năng suất hơn.
8. CNTT giúp tôi thu thập thông tin nhanh và chính xác hơn
9. Tôi thích ứng dụng CNTT trong hoạt động dạy học
- Các chỉ báo thông tin cá nhân và đặc điểm nghề nghiệp gồm:
1. Tuổi
2. Giới tính
3. Chuyên môn (giáo viên dạy môn gì)
- 96 -
4. Nơi công tác (thị xã hay không thuộc thị xã)
5. Số năm giảng dạy
6. Số năm sử dụng máy tính.
- 97 -
Phụ lục 2. Phiếu khảo sát thăm dò
- 98 -
- 99 -
- 100 -
- 101 -
Phụ lục 3. Kết quả kiểm định thang đo với dữ liệu khảo sát thử
1. Thang đo Mức độ ứng dụng CNTT trong HĐDH
Case Processing Summary
N %
Cases Valid 60 100.0
Excludeda
0 .0
Total 60 100.0
a. Listwise deletion based on all variables in the
procedure.
Item Statistics
Mean Std. Deviation N
md1 4.37 .920 60
md2 3.03 1.193 60
md3 4.20 .917 60
md4 2.37 1.221 60
md5 2.57 1.320 60
md6 2.83 1.278 60
md7 2.33 1.174 60
md8 2.93 1.448 60
md9 2.27 1.191 60
Item-Total Statistics
Scale Mean if Item
Deleted
Scale Variance if Item
Deleted
Corrected Item-Total
Correlation
Cronbach's Alpha if
Item Deleted
md1 22.53 50.524 .167 .871
md2 23.87 40.863 .739 .823
md3 22.70 47.366 .423 .853
md4 24.53 40.999 .707 .826
md5 24.33 42.429 .546 .843
md6 24.07 39.758 .755 .820
md7 24.57 42.453 .635 .834
md8 23.97 40.134 .617 .836
md9 24.63 43.185 .571 .840
Reliability Statistics
Cronbach's
Alpha N of Items
.855 9
- 102 -
2. Thang đo các yếu tố tác động đến mức độ ứng dụng CNTT trong
HĐDH
Case Processing Summary
N %
Cases Valid 60 100.0
Excludeda
0 .0
Total 60 100.0
a. Listwise deletion based on all variables in the
procedure.
Item Statistics
Mean Std. Deviation N
kn1 3.07 1.148 60
kn2 4.32 .813 60
kn3 4.05 1.156 60
kn4 4.23 .789 60
kn5 4.17 .763 60
kn6 3.62 1.010 60
kn7 3.42 1.124 60
kn8 3.32 1.127 60
kn9 2.72 1.250 60
kn10 2.70 1.453 60
kn11 1.90 1.189 60
tc1 3.58 1.183 60
tc2 4.05 1.016 60
tc3 2.43 1.489 60
tc4 2.13 1.282 60
tc5 3.42 1.211 60
tc6 4.00 1.008 60
tc7 2.32 1.372 60
tc8 4.45 .891 60
tc9 4.22 1.263 60
tc10 3.92 1.533 60
tc11 2.75 1.643 60
ht1 3.92 1.013 60
ht2 3.25 .914 60
ht3 2.37 1.301 60
ht4 2.83 1.251 60
ht5 2.85 1.147 60
ht6 3.58 .996 60
td1 3.95 .852 60
td2 4.10 .915 60
td3 4.23 .789 60
td4 4.35 .755 60
td5 4.28 .761 60
Reliability Statistics
Cronbach's
Alpha N of Items
.923 33
- 103 -
Item-Total Statistics
Scale Mean if Item
Deleted
Scale Variance if Item
Deleted
Corrected Item-Total
Correlation
Cronbach's Alpha if
Item Deleted
kn1 111.42 383.061 .316 .923
kn2 110.17 386.480 .358 .922
kn3 110.43 367.877 .663 .918
kn4 110.25 382.767 .492 .921
kn5 110.32 381.915 .540 .920
kn6 110.87 373.440 .618 .919
kn7 111.07 378.199 .437 .921
kn8 111.17 373.802 .540 .920
kn9 111.77 367.640 .613 .919
kn10 111.78 366.512 .539 .920
kn11 112.58 377.298 .430 .921
tc1 110.90 373.549 .517 .920
tc2 110.43 375.131 .570 .919
tc3 112.05 363.099 .587 .919
tc4 112.35 363.655 .681 .918
tc5 111.07 373.012 .515 .920
tc6 110.48 376.695 .533 .920
tc7 112.17 364.446 .616 .919
tc8 110.03 383.795 .401 .921
tc9 110.27 377.318 .401 .922
tc10 110.57 377.368 .317 .924
tc11 111.73 363.080 .524 .920
ht1 110.57 374.792 .580 .919
ht2 111.23 377.775 .563 .920
ht3 112.12 369.020 .558 .919
ht4 111.65 370.503 .551 .920
ht5 111.63 372.338 .563 .919
ht6 110.90 380.261 .446 .921
td1 110.53 381.948 .478 .921
td2 110.38 382.274 .433 .921
td3 110.25 387.038 .352 .922
td4 110.13 387.846 .342 .922
td5 110.20 384.468 .454 .921
- 104 -
Phụ lục 4. Phiếu khảo sát chính thức
- 105 -
- 106 -
- 107 -
Phụ lục 5. Thống kê mô tả từng biến quan sát
Statistics
N
Mean
Std.
Deviation Skewness
Std. Error of
Skewness Minimum MaximumValid Missing
md1 258 0 4.11 1.049 -1.217 .152 1 5
md2 258 0 2.90 1.110 .159 .152 1 5
md3 258 0 4.25 .910 -1.177 .152 1 5
md4 258 0 1.99 .869 .804 .152 1 4
md5 258 0 2.64 1.283 .301 .152 1 5
md6 258 0 2.62 1.158 .492 .152 1 5
md7 258 0 2.08 1.228 .709 .152 0 5
md8 258 0 2.71 1.394 .304 .152 1 5
md9 258 0 2.04 1.007 .537 .152 1 4
kn1 258 0 3.13 1.114 .017 .152 1 5
kn2 258 0 4.26 .961 -1.329 .152 1 5
kn3 258 0 4.05 1.083 -1.184 .152 1 5
kn4 258 0 4.19 .783 -.984 .152 1 5
kn5 258 0 4.11 .866 -1.333 .152 1 5
kn6 258 0 3.66 .978 -.754 .152 1 5
kn7 257 1 3.30 1.072 -.304 .152 1 5
kn8 258 0 3.53 .814 .357 .152 2 5
kn9 258 0 2.84 1.079 .048 .152 1 5
kn10 257 1 2.92 1.351 -.119 .152 1 5
kn11 256 2 1.94 1.106 .940 .152 1 5
tc1 258 0 3.10 1.070 -.133 .152 1 5
tc2 258 0 3.88 .994 -.754 .152 1 5
tc3 258 0 2.18 .950 -.116 .152 1 4
tc4 258 0 1.95 .930 .627 .152 1 5
tc5 257 1 3.25 1.215 -.383 .152 1 5
tc6 258 0 3.88 .987 -.914 .152 1 5
tc7 258 0 1.72 .578 .112 .152 1 3
tc8 258 0 3.73 .801 -1.071 .152 1 5
tc9 258 0 4.22 1.134 -1.751 .152 1 5
tc10 258 0 3.45 1.095 -1.118 .152 1 5
tc11 258 0 2.77 1.624 .100 .152 1 5
ht1 258 0 3.74 1.105 -.990 .152 1 5
ht2 258 0 3.24 .787 .127 .152 2 5
ht3 257 1 1.99 .841 .022 .152 1 3
ht4 258 0 2.73 1.175 -.018 .152 1 5
ht5 258 0 2.60 1.140 .124 .152 1 5
ht6 258 0 3.44 .899 -.278 .152 1 5
td1 258 0 4.15 .669 -.184 .152 3 5
td2 258 0 4.21 .792 -.825 .152 2 5
td3 258 0 4.26 .746 -.907 .152 2 5
td4 258 0 4.35 .718 -1.013 .152 2 5
td5 258 0 4.30 .764 -.986 .152 2 5
- 108 -
Phụ lục 6. Tần số trả lời theo từng biến quan sát
md1
Frequency Percent Valid Percent Cumulative Percent
Valid Chưa bao giờ 8 3.1 3.1 3.1
1-2 lần/học kỳ 17 6.6 6.6 9.7
Hằng tháng 30 11.6 11.6 21.3
Hằng tuần 87 33.7 33.7 55.0
Hằng ngày 116 45.0 45.0 100.0
Total 258 100.0 100.0
md2
Frequency Percent Valid Percent Cumulative Percent
Valid Chưa bao giờ 22 8.5 8.5 8.5
1-2 lần/học kỳ 86 33.3 33.3 41.9
Hằng tháng 65 25.2 25.2 67.1
Hằng tuần 65 25.2 25.2 92.2
Hằng ngày 20 7.8 7.8 100.0
Total 258 100.0 100.0
md3
Frequency Percent Valid Percent Cumulative Percent
Valid Chưa bao giờ 2 .8 .8 .8
1-2 lần/học kỳ 13 5.0 5.0 5.8
Hằng tháng 31 12.0 12.0 17.8
Hằng tuần 84 32.6 32.6 50.4
Hằng ngày 128 49.6 49.6 100.0
Total 258 100.0 100.0
- 109 -
md4
Frequency Percent Valid Percent Cumulative Percent
Valid Chưa bao giờ 76 29.5 29.5 29.5
1-2 lần/học kỳ 130 50.4 50.4 79.8
Hằng tháng 30 11.6 11.6 91.5
Hằng tuần 22 8.5 8.5 100.0
Total 258 100.0 100.0
md5
Frequency Percent Valid Percent Cumulative Percent
Valid Chưa bao giờ 63 24.4 24.4 24.4
1-2 lần/học kỳ 57 22.1 22.1 46.5
Hằng tháng 75 29.1 29.1 75.6
Hằng tuần 35 13.6 13.6 89.1
Hằng ngày 28 10.9 10.9 100.0
Total 258 100.0 100.0
md6
Frequency Percent Valid Percent Cumulative Percent
Valid Chưa bao giờ 41 15.9 15.9 15.9
1-2 lần/học kỳ 95 36.8 36.8 52.7
Hằng tháng 65 25.2 25.2 77.9
Hằng tuần 35 13.6 13.6 91.5
Hằng ngày 22 8.5 8.5 100.0
Total 258 100.0 100.0
- 110 -
md7
Frequency Percent Valid Percent Cumulative Percent
Valid 0 6 2.3 2.3 2.3
Chưa bao giờ 103 39.9 39.9 42.2
1-2 lần/học kỳ 65 25.2 25.2 67.4
Hằng tháng 43 16.7 16.7 84.1
Hằng tuần 30 11.6 11.6 95.7
Hằng ngày 11 4.3 4.3 100.0
Total 258 100.0 100.0
md8
Frequency Percent Valid Percent Cumulative Percent
Valid Chưa bao giờ 68 26.4 26.4 26.4
1-2 lần/học kỳ 54 20.9 20.9 47.3
Hằng tháng 63 24.4 24.4 71.7
Hằng tuần 32 12.4 12.4 84.1
Hằng ngày 41 15.9 15.9 100.0
Total 258 100.0 100.0
md9
Frequency Percent Valid Percent Cumulative Percent
Valid Chưa bao giờ 98 38.0 38.0 38.0
1-2 lần/học kỳ 78 30.2 30.2 68.2
Hằng tháng 55 21.3 21.3 89.5
Hằng tuần 27 10.5 10.5 100.0
Total 258 100.0 100.0
- 111 -
kn1
Frequency Percent Valid Percent Cumulative Percent
Valid Chưa biết 12 4.7 4.7 4.7
Biết ít 81 31.4 31.4 36.0
Chưa thành thạo 55 21.3 21.3 57.4
Thành thạo 82 31.8 31.8 89.1
Rất thành thạo 28 10.9 10.9 100.0
Total 258 100.0 100.0
kn2
Frequency Percent Valid Percent Cumulative Percent
Valid Chưa biết 4 1.6 1.6 1.6
Biết ít 14 5.4 5.4 7.0
Chưa thành thạo 28 10.9 10.9 17.8
Thành thạo 78 30.2 30.2 48.1
Rất thành thạo 134 51.9 51.9 100.0
Total 258 100.0 100.0
kn3
Frequency Percent Valid Percent Cumulative Percent
Valid Chưa biết 10 3.9 3.9 3.9
Biết ít 18 7.0 7.0 10.9
Chưa thành thạo 30 11.6 11.6 22.5
Thành thạo 90 34.9 34.9 57.4
Rất thành thạo 110 42.6 42.6 100.0
Total 258 100.0 100.0
- 112 -
kn4
Frequency Percent Valid Percent Cumulative Percent
Valid Chưa biết 2 .8 .8 .8
Biết ít 5 1.9 1.9 2.7
Chưa thành thạo 32 12.4 12.4 15.1
Thành thạo 122 47.3 47.3 62.4
Rất thành thạo 97 37.6 37.6 100.0
Total 258 100.0 100.0
kn5
Frequency Percent Valid Percent Cumulative Percent
Valid Chưa biết 6 2.3 2.3 2.3
Biết ít 7 2.7 2.7 5.0
Chưa thành thạo 27 10.5 10.5 15.5
Thành thạo 131 50.8 50.8 66.3
Rất thành thạo 87 33.7 33.7 100.0
Total 258 100.0 100.0
kn6
Frequency Percent Valid Percent Cumulative Percent
Valid Chưa biết 9 3.5 3.5 3.5
Biết ít 23 8.9 8.9 12.4
Chưa thành thạo 59 22.9 22.9 35.3
Thành thạo 123 47.7 47.7 82.9
Rất thành thạo 44 17.1 17.1 100.0
Total 258 100.0 100.0
- 113 -
kn7
Frequency Percent Valid Percent
Cumulative
Percent
Valid Chưa biết 16 6.2 6.2 6.2
Biết ít 39 15.1 15.2 21.4
Chưa thành thạo 86 33.3 33.5 54.9
Thành thạo 83 32.2 32.3 87.2
Rất thành thạo 33 12.8 12.8 100.0
Total 257 99.6 100.0
Missing System 1 .4
Total 258 100.0
kn8
Frequency Percent Valid Percent Cumulative Percent
Valid Biết ít 16 6.2 6.2 6.2
Chưa thành thạo 126 48.8 48.8 55.0
Thành thạo 79 30.6 30.6 85.7
Rất thành thạo 37 14.3 14.3 100.0
Total 258 100.0 100.0
kn9
Frequency Percent Valid Percent Cumulative Percent
Valid Chưa biết 32 12.4 12.4 12.4
Biết ít 61 23.6 23.6 36.0
Chưa thành thạo 99 38.4 38.4 74.4
Thành thạo 49 19.0 19.0 93.4
Rất thành thạo 17 6.6 6.6 100.0
Total 258 100.0 100.0
- 114 -
kn10
Frequency Percent Valid Percent
Cumulative
Percent
Valid Chưa biết 57 22.1 22.2 22.2
Biết ít 45 17.4 17.5 39.7
Chưa thành thạo 46 17.8 17.9 57.6
Thành thạo 80 31.0 31.1 88.7
Rất thành thạo 29 11.2 11.3 100.0
Total 257 99.6 100.0
Missing System 1 .4
Total 258 100.0
kn11
Frequency Percent Valid Percent
Cumulative
Percent
Valid Chưa biết 125 48.4 48.8 48.8
Biết ít 52 20.2 20.3 69.1
Chưa thành thạo 56 21.7 21.9 91.0
Thành thạo 15 5.8 5.9 96.9
Rất thành thạo 8 3.1 3.1 100.0
Total 256 99.2 100.0
Missing System 2 .8
Total 258 100.0
tc1
Frequency Percent Valid Percent Cumulative Percent
Valid Chưa có 21 8.1 8.1 8.1
Rất khó tiếp cận 47 18.2 18.2 26.4
Khó tiếp cận 99 38.4 38.4 64.7
Dễ tiếp cận 66 25.6 25.6 90.3
Rất dễ tiếp cận 25 9.7 9.7 100.0
Total 258 100.0 100.0
- 115 -
tc2
Frequency Percent Valid Percent Cumulative Percent
Valid Chưa có 5 1.9 1.9 1.9
Rất khó tiếp cận 22 8.5 8.5 10.5
Khó tiếp cận 49 19.0 19.0 29.5
Dễ tiếp cận 106 41.1 41.1 70.5
Rất dễ tiếp cận 76 29.5 29.5 100.0
Total 258 100.0 100.0
tc3
Frequency Percent Valid Percent Cumulative Percent
Valid Chưa có 88 34.1 34.1 34.1
Rất khó tiếp cận 45 17.4 17.4 51.6
Khó tiếp cận 116 45.0 45.0 96.5
Dễ tiếp cận 9 3.5 3.5 100.0
Total 258 100.0 100.0
tc4
Frequency Percent Valid Percent Cumulative Percent
Valid Chưa có 104 40.3 40.3 40.3
Rất khó tiếp cận 73 28.3 28.3 68.6
Khó tiếp cận 75 29.1 29.1 97.7
Dễ tiếp cận 2 .8 .8 98.4
Rất dễ tiếp cận 4 1.6 1.6 100.0
Total 258 100.0 100.0
- 116 -
tc5
Frequency Percent Valid Percent
Cumulative
Percent
Valid Chưa có 30 11.6 11.7 11.7
Rất khó tiếp cận 37 14.3 14.4 26.1
Khó tiếp cận 67 26.0 26.1 52.1
Dễ tiếp cận 85 32.9 33.1 85.2
Rất dễ tiếp cận 38 14.7 14.8 100.0
Total 257 99.6 100.0
Missing System 1 .4
Total 258 100.0
tc6
Frequency Percent Valid Percent Cumulative Percent
Valid Chưa có 7 2.7 2.7 2.7
Rất khó tiếp cận 19 7.4 7.4 10.1
Khó tiếp cận 43 16.7 16.7 26.7
Dễ tiếp cận 117 45.3 45.3 72.1
Rất dễ tiếp cận 72 27.9 27.9 100.0
Total 258 100.0 100.0
tc7
Frequency Percent Valid Percent Cumulative Percent
Valid Chưa có 89 34.5 34.5 34.5
Rất khó tiếp cận 152 58.9 58.9 93.4
Khó tiếp cận 17 6.6 6.6 100.0
Total 258 100.0 100.0
- 117 -
tc8
Frequency Percent Valid Percent Cumulative Percent
Valid Chưa có 8 3.1 3.1 3.1
Rất khó tiếp cận 3 1.2 1.2 4.3
Khó tiếp cận 70 27.1 27.1 31.4
Dễ tiếp cận 147 57.0 57.0 88.4
Rất dễ tiếp cận 30 11.6 11.6 100.0
Total 258 100.0 100.0
tc9
Frequency Percent Valid Percent Cumulative Percent
Valid Chưa có 19 7.4 7.4 7.4
Rất khó tiếp cận 5 1.9 1.9 9.3
Khó tiếp cận 14 5.4 5.4 14.7
Dễ tiếp cận 82 31.8 31.8 46.5
Rất dễ tiếp cận 138 53.5 53.5 100.0
Total 258 100.0 100.0
tc10
Frequency Percent Valid Percent Cumulative Percent
Valid Chưa có 31 12.0 12.0 12.0
Rất khó tiếp cận 6 2.3 2.3 14.3
Khó tiếp cận 59 22.9 22.9 37.2
Dễ tiếp cận 139 53.9 53.9 91.1
Rất dễ tiếp cận 23 8.9 8.9 100.0
Total 258 100.0 100.0
- 118 -
tc11
Frequency Percent Valid Percent Cumulative Percent
Valid Chưa có 103 39.9 39.9 39.9
Rất khó tiếp cận 13 5.0 5.0 45.0
Khó tiếp cận 35 13.6 13.6 58.5
Dễ tiếp cận 54 20.9 20.9 79.5
Rất dễ tiếp cận 53 20.5 20.5 100.0
Total 258 100.0 100.0
ht1
Frequency Percent Valid Percent
Cumulative
Percent
Valid Chưa có 19 7.4 7.4 7.4
Hiếm khi 11 4.3 4.3 11.6
Chưa thường xuyên 52 20.2 20.2 31.8
Thường xuyên 112 43.4 43.4 75.2
Trất hường xuyên 64 24.8 24.8 100.0
Total 258 100.0 100.0
ht2
Frequency Percent Valid Percent
Cumulative
Percent
Valid Hiếm khi 44 17.1 17.1 17.1
Chưa thường xuyên 120 46.5 46.5 63.6
Thường xuyên 82 31.8 31.8 95.3
Trất hường xuyên 12 4.7 4.7 100.0
Total 258 100.0 100.0
- 119 -
ht3
Frequency Percent Valid Percent
Cumulative
Percent
Valid Chưa có 92 35.7 35.8 35.8
Hiếm khi 76 29.5 29.6 65.4
Chưa thường xuyên 89 34.5 34.6 100.0
Total 257 99.6 100.0
Missing System 1 .4
Total 258 100.0
ht4
Frequency Percent Valid Percent
Cumulative
Percent
Valid Chưa có 53 20.5 20.5 20.5
Hiếm khi 47 18.2 18.2 38.8
Chưa thường xuyên 89 34.5 34.5 73.3
Thường xuyên 54 20.9 20.9 94.2
Trất hường xuyên 15 5.8 5.8 100.0
Total 258 100.0 100.0
ht5
Frequency Percent Valid Percent
Cumulative
Percent
Valid Chưa có 55 21.3 21.3 21.3
Hiếm khi 65 25.2 25.2 46.5
Chưa thường xuyên 77 29.8 29.8 76.4
Thường xuyên 51 19.8 19.8 96.1
Trất hường xuyên 10 3.9 3.9 100.0
Total 258 100.0 100.0
- 120 -
ht6
Frequency Percent Valid Percent
Cumulative
Percent
Valid Chưa có 5 1.9 1.9 1.9
Hiếm khi 30 11.6 11.6 13.6
Chưa thường xuyên 96 37.2 37.2 50.8
Thường xuyên 100 38.8 38.8 89.5
Trất hường xuyên 27 10.5 10.5 100.0
Total 258 100.0 100.0
td1
Frequency Percent Valid Percent
Cumulative
Percent
Valid Phân vân 41 15.9 15.9 15.9
Đồng ý 137 53.1 53.1 69.0
Rất không đồng ý 80 31.0 31.0 100.0
Total 258 100.0 100.0
td2
Frequency Percent Valid Percent
Cumulative
Percent
Valid Không đồng ý 9 3.5 3.5 3.5
Phân vân 32 12.4 12.4 15.9
Đồng ý 112 43.4 43.4 59.3
Rất không đồng ý 105 40.7 40.7 100.0
Total 258 100.0 100.0
td3
Frequency Percent Valid Percent
Cumulative
Percent
Valid Không đồng ý 8 3.1 3.1 3.1
Phân vân 23 8.9 8.9 12.0
Đồng ý 122 47.3 47.3 59.3
Rất không đồng ý 105 40.7 40.7 100.0
Total 258 100.0 100.0
- 121 -
td4
Frequency Percent Valid Percent
Cumulative
Percent
Valid Không đồng ý 6 2.3 2.3 2.3
Phân vân 19 7.4 7.4 9.7
Đồng ý 112 43.4 43.4 53.1
Rất không đồng ý 121 46.9 46.9 100.0
Total 258 100.0 100.0
td5
Frequency Percent Valid Percent
Cumulative
Percent
Valid Không đồng ý 8 3.1 3.1 3.1
Phân vân 24 9.3 9.3 12.4
Đồng ý 109 42.2 42.2 54.7
Rất không đồng ý 117 45.3 45.3 100.0
Total 258 100.0 100.0
- 122 -
Phụ lục 7. Thống kê so sánh các khía cạnh đặc điểm cá nhân
1. So sánh mức độ ứng dụng CNTT theo khía cạnh “thâm niên công tác”
Descriptives
Mức độ Ứng dụng CNTT
N Mean
Std.
Deviation
Std.
Error
95% Confidence Interval
for Mean
Minimu
m
Maximu
m
Lower
Bound
Upper
Bound
1-5 năm 68 2.2290 .67691 .08209 2.0651 2.3928 1.00 4.29
6-10 năm 130 2.5055 .84415 .07404 2.3590 2.6520 1.00 4.71
11-15 năm 45 2.6222 .78551 .11710 2.3862 2.8582 1.14 4.71
16-20 năm 9 2.5238 .98974 .32991 1.7630 3.2846 1.14 4.00
Trên 20 năm 6 1.3571 .43095 .17593 .9049 1.8094 1.00 2.14
Total 258 2.4269 .81492 .05073 2.3270 2.5268 1.00 4.71
Test of Homogeneity of Variances
Mức độ Ứng dụng CNTT
Levene Statistic df1 df2 Sig.
2.477 4 253 .045
- 123 -
Multiple Comparisons
Mức độ Ứng dụng CNTT
Bonferroni
(I) Thâm niên (J) Thâm niên Mean
Difference (I-J) Std. Error Sig.
95% Confidence Interval
Lower Bound Upper Bound
d
i
m
e
n
s
i
o
n
2
1-5 năm
3
6-10 năm -.27650 .11847 .204 -.6120 .0590
11-15 năm -.39323 .15212 .103 -.8240 .0376
16-20 năm -.29482 .28079 1.000 -1.0900 .5003
Trên 20 năm .87185 .33713 .103 -.0828 1.8265
6-10 năm
n
3
1-5 năm .27650 .11847 .204 -.0590 .6120
11-15 năm -.11673 .13691 1.000 -.5045 .2710
16-20 năm -.01832 .27285 1.000 -.7910 .7544
Trên 20 năm 1.14835*
.33054 .006 .2123 2.0844
11-15 năm
n
3
1-5 năm .39323 .15212 .103 -.0376 .8240
6-10 năm .11673 .13691 1.000 -.2710 .5045
16-20 năm .09841 .28905 1.000 -.7201 .9170
Trên 20 năm 1.26508*
.34404 .003 .2908 2.2394
16-20 năm
d
3
1-5 năm .29482 .28079 1.000 -.5003 1.0900
6-10 năm .01832 .27285 1.000 -.7544 .7910
11-15 năm -.09841 .28905 1.000 -.9170 .7201
Trên 20 năm 1.16667 .41721 .056 -.0148 2.3482
Trên 20 năm
e
n
s
3
1-5 năm -.87185 .33713 .103 -1.8265 .0828
6-10 năm -1.14835*
.33054 .006 -2.0844 -.2123
11-15 năm -1.26508*
.34404 .003 -2.2394 -.2908
16-20 năm -1.16667 .41721 .056 -2.3482 .0148
*. The mean difference is significant at the 0.05 level.
- 124 -
2. So sánh sự khác biệt về mức độ ứng dụng CNTT ở khía cạnh “độ tuổi”
Descriptives
Mức độ Ứng dụng CNTT
N Mean
Std.
Deviation
Std.
Error
95% Confidence Interval for
Mean
Minimum
Maximu
mLower Bound Upper Bound
20-29 64 2.3125 .74552 .09319 2.1263 2.4987 1.14 4.71
30-39 166 2.5189 .79862 .06199 2.3965 2.6413 1.00 4.71
40-49 15 2.1333 .74908 .19341 1.7185 2.5482 1.14 3.43
50-59 13 2.1538 1.22677 .34025 1.4125 2.8952 1.00 4.00
Total 258 2.4269 .81492 .05073 2.3270 2.5268 1.00 4.71
Test of Homogeneity of Variances
Mức độ Ứng dụng CNTT
Levene Statistic df1 df2 Sig.
4.097 3 254 .007
Multiple Comparisons
Mức độ Ứng dụng CNTT
Bonferroni
(I) Tuổi (J) Tuổi
Mean Difference
(I-J) Std. Error Sig.
95% Confidence Interval
Lower Bound Upper Bound
d
i
m
e
n
s
i
o
n
2
20-29
3
30-39 -.20643 .11901 .504 -.5229 .1100
40-49 .17917 .23202 1.000 -.4378 .7961
50-59 .15865 .24606 1.000 -.4956 .8129
30-39
di
m3
20-29 .20643 .11901 .504 -.1100 .5229
40-49 .38560 .21807 .469 -.1943 .9655
50-59 .36509 .23295 .710 -.2543 .9845
40-49
di
me
20-29 -.17917 .23202 1.000 -.7961 .4378
30-39 -.38560 .21807 .469 -.9655 .1943
50-59 -.02051 .30649 1.000 -.8355 .7945
50-59
di
me
20-29 -.15865 .24606 1.000 -.8129 .4956
30-39 -.36509 .23295 .710 -.9845 .2543
40-49 .02051 .30649 1.000 -.7945 .8355
- 125 -
3. So sánh khác biệt về mức độ ứng dụng CNTT ở khía cạnh “Số năm sử
dụng máy tính”
Descriptives
Mức độ Ứng dụng CNTT
N Mean
Std.
Deviation
Std.
Error
95% Confidence Interval for
Mean
Minimu
m
Maximu
m
Lower
Bound
Upper
Bound
1-5 năm 89 2.1637 .70202 .07441 2.0158 2.3116 1.00 4.00
6-10 năm 127 2.4983 .78923 .07003 2.3597 2.6369 1.00 4.71
11-15
năm
42 2.7687 .95125 .14678 2.4723 3.0651 1.00 4.71
Total 258 2.4269 .81492 .05073 2.3270 2.5268 1.00 4.71
Test of Homogeneity of Variances
Mức độ Ứng dụng CNTT
Levene Statistic df1 df2 Sig.
2.705 2 255 .069
Multiple Comparisons
Mức độ Ứng dụng CNTT
Bonferroni
(I) Năm SDMT (J) Năm SDMT Mean
Difference (I-J) Std. Error Sig.
95% Confidence Interval
Lower Bound Upper Bound
dimension2
1-5 năm
dimension3
6-10 năm -.33459*
.10914 .007 -.5976 -.0716
11-15 năm -.60498*
.14780 .000 -.9612 -.2488
6-10 năm
dimension3
1-5 năm .33459*
.10914 .007 .0716 .5976
11-15 năm -.27039 .14053 .166 -.6091 .0683
11-15 năm
dimension3
1-5 năm .60498*
.14780 .000 .2488 .9612
6-10 năm .27039 .14053 .166 -.0683 .6091
*. The mean difference is significant at the 0.05 level.
- 126 -
4. So sánh khác biệt về mức độ ứng dụng CNTT ở khía cạnh “giới tính”
Group Statistics
Giới tính N Mean Std. Deviation Std. Error Mean
Mức độ Ứng dụng CNTT
dimension1
Nam 130 2.4429 .82878 .07269
Nữ 128 2.4107 .80354 .07102
Independent Samples Test
Mức độ Ứng dụng CNTT
Equal
variances
assumed
Equal
variances not
assumed
Levene's Test for Equality
of Variances
F .397
Sig. .529
t-test for Equality of
Means
t .316 .316
df 256 255.940
Sig. (2-tailed) .752 .752
Mean Difference .03214 .03214
Std. Error Difference .10165 .10163
95% Confidence Interval
of the Difference
Lower -.16804 -.16799
Upper .23232 .23227
- 127 -
Phụ lục 8. Thư ngỏ xin khảo sát giáo viên
- 128 -
Phụ lục 9. Thư cảm ơn các trường THPT

Mức độ ứng dụng công nghệ thông tin trong hoạt động dạy học...

  • 1.
    ĐẠI HỌC QUỐCGIA HÀ NỘI VIỆN ĐẢM BẢO CHẤT LƯỢNG GIÁO DỤC ------------    ------------ NGUYỄN VĂN NGHIÊM ĐÁNH GIÁ NHỮNG YẾU TỐ ẢNH HƯỞNG ĐẾN MỨC ĐỘ ỨNG DỤNG CÔNG NGHỆ THÔNG TIN TRONG HOẠT ĐỘNG DẠY HỌC CỦA GIÁO VIÊN CÁC MÔN TỰ NHIÊN BẬC TRUNG HỌC PHỔ THÔNG (Nghiên cứu trên địa bàn tỉnh Bình Phước) LUẬN VĂN THẠC SĨ Hà Nội – Năm 2013
  • 2.
    ĐẠI HỌC QUỐCGIA HÀ NỘI VIỆN ĐẢM BẢO CHẤT LƯỢNG GIÁO DỤC ------------    ------------ NGUYỄN VĂN NGHIÊM ĐÁNH GIÁ NHỮNG YẾU TỐ ẢNH HƯỞNG ĐẾN MỨC ĐỘ ỨNG DỤNG CÔNG NGHỆ THÔNG TIN TRONG HOẠT ĐỘNG DẠY HỌC CỦA GIÁO VIÊN CÁC MÔN TỰ NHIÊN BẬC TRUNG HỌC PHỔ THÔNG (Nghiên cứu trên địa bàn tỉnh Bình Phước) Ngành: Đo lường và đánh giá trong giáo dục () LUẬN VĂN THẠC SĨ Người hướng dẫn khoa học: TS. Nguyễn Thị Thu Hương Hà Nội – Năm 2013
  • 3.
    - i - LỜICAM ĐOAN Tôi xin cam đoan luận văn với tiêu đề “Đánh giá những yếu tố ảnh hưởng đến mức độ ứng dụng công nghệ thông tin trong hoạt động dạy học của giáo viên các môn tự nhiên bậc trung học phổ thông (nghiên cứu trên địa bàn tỉnh Bình Phước)” hoàn toàn là kết quả nghiên cứu của chính bản thân tôi và chưa được công bố trong bất cứ một công trình nghiên cứu nào của người khác. Trong quá trình thực hiện luận văn, tôi đã thực hiện nghiêm túc các quy tắc đạo đức nghiên cứu; các kết quả trình bày trong luận văn là sản phẩm nghiên cứu, khảo sát của riêng cá nhân tôi; tất cả các tài liệu tham khảo sử dụng trong luận văn đều được trích dẫn tường minh, đúng theo quy định. Tôi xin hoàn toàn chịu trách nhiệm về tính trung thực của số liệu và các nội dung khác trong luận văn của mình. Hà Nội, ngày 01 tháng 06 năm 2013 Tác giả luận văn Nguyễn Văn Nghiêm
  • 4.
    - ii - LỜICẢM ƠN Tác giả xin chân thành cảm ơn cô giáo - TS. Nguyễn Thị Thu Hương đã định hướng khoa học, hướng dẫn tận tình, chu đáo trong suốt quá trình thực hiện luận văn. Xin được bày tỏ lòng biết ơn đến: Lãnh đạo sở GD-ĐT Bình Phước, lãnh đạo trường THPT chuyên Quang Trung cùng bạn bè đồng nghiệp đã tạo điều kiện thuận lợi cho tác giả được theo học chương trình sau đại học và thực hiện luận văn này. Quý thầy cô giáo cùng các anh chị thuộc Viện đảm bảo chất lượng giáo dục – ĐHQG Hà Nội và Trung tâm khảo thí và đánh giá chất lượng đào tạo – ĐHQG TP.Hồ Chí Minh, đã tạo điều kiện thuận lợi cho tác giả trong suốt thời gian học tập tại trường. Lãnh đạo và các đồng nghiệp thuộc các trường THPT trong tỉnh Bình Phước đã nhiệt tình hỗ trợ, hợp tác cùng tác giả trong quá trình thực hiện đề tài. Xin đặc biệt cảm ơn mẹ cha và những người thân trong gia đình đã luôn giúp đỡ, động viên tác giả hoàn thành luận văn này !
  • 5.
    - iii - MỤCLỤC LỜI CAM ĐOAN .......................................................................................... i LỜI CẢM ƠN ...............................................................................................ii MỤC LỤC....................................................................................................iii QUY ƯỚC VIẾT TẮT TRONG LUẬN VĂN............................................ vi DANH MỤC BẢNG BIỂU VÀ HÌNH ẢNH.............................................vii DANH MỤC PHỤ LỤC............................................................................... x MỞ ĐẦU........................................................................................................... 1 1. Lý do chọn đề tài....................................................................................... 1 2. Mục tiêu nghiên cứu của đề tài ................................................................. 3 3. Ý nghĩa của nghiên cứu............................................................................. 3 4. Giới hạn nghiên cứu của đề tài.................................................................. 4 4.1. Giới hạn đối tượng nghiên cứu .......................................................... 4 4.2. Giới hạn khách thể và địa bàn nghiên cứu......................................... 4 5. Câu hỏi nghiên cứu ................................................................................... 4 6. Khách thể và đối tượng nghiên cứu .......................................................... 4 6.1. Khách thể nghiên cứu: ....................................................................... 4 6.2. Đối tượng nghiên cứu ........................................................................ 5 7. Phương pháp nghiên cứu và công cụ nghiên cứu ..................................... 5 7.1. Phương pháp khảo cứu tài liệu........................................................... 5 7. 2. Phương pháp nghiên cứu thực tiễn ................................................... 6 7. 3. Công cụ sử dụng trong nghiên cứu ................................................... 6 8. Cấu trúc của luận văn................................................................................ 7 Chương 1 TỔNG QUAN VÀ CƠ SỞ LÝ LUẬN............................................ 8 1.1. Tổng quan nghiên cứu vấn đề................................................................ 8 1.1.1. Các công trình nghiên cứu liên quan ở trong nước......................... 8
  • 6.
    - iv - 1.1.2.Các công trình nghiên cứu liên quan ở ngoài nước ......................10 1.2. Sơ lược chính sách và tình hình ứng dụng CNTT trong giáo dục....... 13 1.3. Một số vấn đề lý luận cơ bản về hoạt động dạy học............................ 15 1.3.1. Khái niệm và cấu trúc của hoạt động dạy học ..............................15 1.3.2. Hoạt động dạy và hoạt động học...................................................20 1.4. Chuẩn năng lực CNTT cho giáo viên .................................................. 22 1.5. Khung lý thuyết nghiên cứu của đề tài ................................................ 24 1.6. Các khái niệm sử dụng trong nghiên cứu ............................................ 26 1.6.1. Ứng dụng CNTT trong hoạt động dạy học ...................................26 1.6.2. Mức độ ứng dụng CNTT...............................................................27 1.6.3. Các yếu tố được chọn trong nghiên cứu .......................................27 Kết luận Chương 1 ...................................................................................... 29 Chương 2 PHƯƠNG PHÁP NGHIÊN CỨU..................................................31 2.1. Giới thiệu chung về địa bàn nghiên cứu .............................................. 31 2.2. Mẫu nghiên cứu.................................................................................... 32 2.3. Quy trình nghiên cứu ........................................................................... 34 2.4. Xây dựng công cụ đo lường................................................................. 36 2.4.1. Xác định các chỉ báo .....................................................................36 2.4.2. Xây dựng bảng hỏi........................................................................42 2. 5. Khảo sát thử và đánh giá công cụ đo lường........................................ 44 Kết luận chương 2....................................................................................... 48 Chương 3 KẾT QUẢ KHẢO SÁT VÀ PHÂN TÍCH SỐ LIỆU....................49 3.1. Đặc điểm mẫu nghiên cứu.................................................................... 49 3.2. Đánh giá thang đo ................................................................................ 50 3.2.1. Hệ số tin cậy Cronbach’s Alpha ..................................................50 3.2.1.1. Thang đo “Mức độ ứng dụng CNTT trong hoạt động dạy học” 50
  • 7.
    - v - 3.2.1.2.Thang đo các yếu tố ảnh hưởng đến mức độ ứng dụng CNTT trong HĐDH .....................................................................................................51 3.2.2. Phân tích nhân tố khám phá (EFA)...............................................53 3.2.3. Kiểm định độ tin cậy của thang đo ...............................................60 3.2.3. Hiệu chỉnh lại mô hình nghiên cứu...............................................64 3.3. Kết quả khảo sát mức độ ứng dụng CNTT trong HĐDH của giáo viên THPT tỉnh Bình Phước................................................................................ 65 3.3.1. Mức độ ứng dụng CNTT trong HĐDH của giáo viên Bình Phước .................................................................................................................65 3.3.2. Kỹ năng sử dụng máy tính cơ bản ................................................72 3.3.3. Sự hỗ trợ của BGH và đồng nghiệp..............................................73 3.3.4. Thái độ của giáo viên đối với việc ứng dụng CNTT trong HĐDH .................................................................................................................73 3.3.5. Điều kiện tiếp cận thiết bị cá nhân................................................74 3.3.6. Kỹ năng sử dụng phần mềm chuyên dụng....................................75 3.3.7. Điều kiện tiếp cận thiết bị nhà trường...........................................75 3.4. Những yếu tố ảnh hưởng đến “Mức độ ứng dụng CNTT trong HĐDH của giáo viên THPT tỉnh Bình Phước” ....................................................... 77 Kết luận chương 3....................................................................................... 84 KẾT LUẬN – KHUYẾN NGHỊ.....................................................................86 1. Kết luận ................................................................................................... 86 2. Khuyến nghị:........................................................................................... 87 3. Những điểm còn hạn chế và gợi ý nghiên cứu tiếp theo......................... 89 Tài liệu tham khảo...........................................................................................90 Phụ lục.............................................................................................................93
  • 8.
    - vi - QUYƯỚC VIẾT TẮT TRONG LUẬN VĂN CNTT Công nghệ thông tin và truyền thông ĐH Đại học GD-ĐT Giáo dục đào tạo HĐDH Hoạt động dạy học ICT Công nghệ thông tin và truyền thông PPGD Phương pháp giảng dạy TB Trung bình THCS Trung học cơ sở THPT Trung học phổ thông TW Trung ương UNESCO Tổ chức Giáo dục, Khoa học và Văn hoá của Liên Hợp Quốc
  • 9.
    - vii - DANHMỤC BẢNG BIỂU VÀ HÌNH ẢNH Hình 1. 1. Mô hình khung lý thuyết nghiên cứu của đề tài.............................25 Hình 2. 1. Sơ đồ quy trình nghiên cứu............................................................35 Hình 3. 1. Phân bổ mẫu khảo sát theo huyện, thị xã.......................................49 Hình 3. 2. Mô hình nghiên cứu chính thức .....................................................64 Hình 3. 3. Tần suất các mức ứng dụng CNTT trong HĐDH..........................66 Hình 3. 4. Biểu đồ tần số mức độ ứng dụng CNTT theo địa bàn công tác.....68 Hình 3. 5. Tần suất các mức sử dụng máy tính cơ bản...................................73 Hình 3. 6. Tần suất các mức đánh giá sự hỗ trợ của BGH và đồng nghiệp....73 Hình 3. 7. Tần suất các mức nhận định của giáo viên về vai trò tích cực của việc ứng dụng CNTT trong HĐDH ................................................................74 Hình 3. 8. Tần suất các mức tiếp cận với thiết bị CNTT cá nhân...................74 Hình 3. 9. Tần suất các mức kỹ năng sử dụng phần mềm chuyên dụng ........75 Hình 3. 10. Tần suất điều kiện tiếp cận thiết bị CNTT của nhà trường..........76 Hình 3. 11. Biểu đồ trung bình mức độ các yếu tố trong nghiên cứu.............76 Hình 3. 12. Biểu đồ tần số phần dư chuẩn hóa ...............................................80 Hình 3. 13. Mô hình hồi quy tuyến tính..........................................................82 Hình 3. 14. Biểu đồ mức độ tác động của các yếu tố .....................................83 Bảng 2. 1. Số lượng giáo viên các môn tự nhiên ở 13 trường chọn mẫu .......33 Bảng 2. 2. Số lượng giáo viên được chọn vào mẫu ........................................34 Bảng 2. 3. Cấu trúc bảng hỏi...........................................................................43 Bảng 2. 4. Thông tin mẫu khảo sát thử nghiệm ..............................................44 Bảng 2. 5. Hệ số Cronbach’s Alpha các thang đo ..........................................48 Bảng 3. 1. Phân bổ mẫu theo vùng công tác và chuyên môn .........................49 Bảng 3. 2. Phân tích thống kê biến tổng .........................................................50 Bảng 3. 3. Phân tích thống kê biến tổng .........................................................52
  • 10.
    - viii - Bảng3. 4. Chỉ số KMO và Kiểm định Bartlett...............................................53 Bảng 3. 5. Kết quả EFA khái niệm mức độ ứng dụng CNTT trong HĐDH ..53 Bảng 3. 6. Chỉ số KMO và kiểm định Bartlett................................................55 Bảng 3. 7. Kết quả EFA các yếu tố tác động đến mức độ ứng dụng CNTT trong HĐDH .............................................................................................................56 Bảng 3. 8. Tương quan biến tổng các biến quan sát mức độ ứng dụng CNTT trong HĐDH....................................................................................................60 Bảng 3. 9. Tương quan biến tổng các biến quan sát nhân tố 1 .......................61 Bảng 3. 10. Tương quan biến tổng các biến quan sát nhân tố 2 .....................61 Bảng 3. 11. Tương quan biến tổng các biến quan sát nhân tố 3 .....................62 Bảng 3. 12. Tương quan biến tổng các biến quan sát nhân tố 4 .....................62 Bảng 3. 13. Tương quan biến tổng các biến quan sát nhân tố 5 .....................63 Bảng 3. 14. Tương quan biến tổng các biến quan sát nhân tố 6 .....................63 Bảng 3. 15. Hệ số Cronbach’s Alpha các nhân tố ..........................................64 Bảng 3. 16. Thống kê mô tả thực trạng Mức độ ứng dụng CNTT trong HĐDH .........................................................................................................................65 Bảng 3. 17. Kiểm định so sánh trung bình Mức độ ứng dụng CNTT theo địa bàn ...................................................................................................................67 Bảng 3. 18. Trung bình mức độ ứng dụng CNTT theo địa bàn công tác .......68 Bảng 3. 19. Bảng chéo phân bổ tần số các mức ứng dụng CNTT giữa 2 nhóm giáo viên ..........................................................................................................68 Bảng 3. 20. Thống kê mô tả trung bình mức độ ứng dụng CNTT của giáo viên theo môn học...................................................................................................69 Bảng 3. 21. Kiểm nghiệm Homogeneity.........................................................69 Bảng 3. 22. Phân tích ANOVA một yếu tố.....................................................70 Bảng 3. 23. Phân tích Post Hoc… theo phương pháp Dunnett t-tests............70 Bảng 3. 24. Phân bổ tần suất mức độ ứng dụng CNTT trong HĐDH............71
  • 11.
    - ix - Bảng3. 25. Trung bình kỹ năng sử dụng máy tính cơ bản.............................73 Bảng 3. 26. Trung bình đánh giá sự hỗ trợ của BGH và đồng nghiệp ...........73 Bảng 3. 27. Trung bình thái độ của giáo viên.................................................74 Bảng 3. 28. Trung bình điều kiện tiếp cận thiết bị CNTT cá nhân.................74 Bảng 3. 29. Trung bình kỹ năng sử dụng phần mềm chuyên dụng ................75 Bảng 3. 30. Trung bình điều kiện tiếp cận thiết bị CNTT của nhà trường.....76 Bảng 3. 31. Mức độ giải thích của mô hình....................................................79 Bảng 3. 32. Kết quả phân tích hồi quy tuyến tính bội ....................................79 Bảng 3. 33. Phân tích phương sai....................................................................80 Bảng 3. 34. Thông tin dự đoán và phần dư.....................................................81
  • 12.
    - x - DANHMỤC PHỤ LỤC Phụ lục 1. Các chỉ báo đo lường các khái niệm..............................................93 Phụ lục 2. Phiếu khảo sát thăm dò ..................................................................97 Phụ lục 3. Kết quả kiểm định thang đo với dữ liệu khảo sát thử..................101 Phụ lục 4. Phiếu khảo sát chính thức ............................................................104 Phụ lục 5. Thống kê mô tả từng biến quan sát..............................................107 Phụ lục 6. Tần số trả lời theo từng biến quan sát..........................................108 Phụ lục 7. Thống kê so sánh các khía cạnh đặc điểm cá nhân......................122 Phụ lục 8. Thư ngỏ xin khảo sát giáo viên....................................................127 Phụ lục 9. Thư cảm ơn các trường THPT.....................................................128
  • 13.
    - 1 - MỞĐẦU 1. Lý do chọn đề tài Chúng ta đang sống trong thời đại thông tin và công nghệ thông tin đã được ứng dụng vào hầu hết các lĩnh vực trong cuộc sống. Trong giáo dục, công nghệ thông tin – truyền thông đã được đưa vào ứng dụng trong cả công tác quản lý, giảng dạy và học tập; CNTT ngày nay vừa là một môn học, vừa là một công cụ hỗ trợ giảng dạy và học tập hiệu quả trong nhà trường. Vai trò, tầm quan trọng và hiệu quả của ứng dụng CNTT trong dạy học đã được chứng minh bằng thực tiễn giáo dục trong và ngoài nước những năm qua, nó cho thấy việc ứng dụng CNTT trong giảng dạy và học tập là xu thế tất yếu của giáo dục. Đổi mới phương pháp dạy học bằng CNTT là một chủ đề lớn được UNESCO đưa ra thành chương trình của thế kỷ XXI và “dự đoán sẽ có sự thay đổi nền giáo dục một cách căn bản vào đầu thế kỷ XXI do ảnh hưởng của CNTT”[7] . Trên thế giới, các chính sách mới về đổi mới giáo dục được xây dựng dựa trên tiền đề và triển vọng của tích hợp CNTT một cách có hiệu quả vào dạy học. Ở Việt Nam, việc ứng dụng CNTT trong giáo dục cũng rất được mong đợi. Các nhà giáo dục Việt Nam được khuyến khích ứng dụng CNTT hợp lý ở tất cả các cấp học và các môn học[21] . Nghị quyết TW2, khóa VIII đã nhấn mạnh: “Đổi mới mạnh mẽ phương pháp giáo dục - đào tạo, khắc phục lối truyền thụ một chiều, rèn luyện thành nếp tư duy sáng tạo của người học. Từng bước áp dụng các phương pháp tiên tiến và phương tiện vào quá trình dạy và học, bảo đảm điều kiện và thời gian tự học, tự nghiên cứu của học sinh, nhất là sinh viên đại học.”[33] . Chỉ thị 29/2001/CT-BGD&ĐT của Bộ trưởng Bộ Giáo dục và Đào tạo cũng đã nêu rõ: “Đối với giáo dục và đào tạo, công nghệ thông tin có tác động mạnh mẽ, làm thay đổi phương pháp, phương thức dạy và học. Công nghệ thông tin là phương
  • 14.
    - 2 - tiệnđể tiến tới một xã hội học tập”. Năm học 2008-2009 được chọn là “Năm học đẩy mạnh ứng dụng CNTT, đổi mới quản lý tài chính và xây dựng trường học thân thiện, học sinh tích cực”[16] , tạo bước đột phá về ứng dụng CNTT trong giáo dục và tạo tiền đề phát triển ứng dụng CNTT trong những năm tiếp theo. Chỉ thị 55/2008/CT-BGD-ĐT nhấn mạnh: “Triển khai áp dụng CNTT trong dạy và học, hỗ trợ đổi mới phương pháp giảng dạy, tích hợp ứng dụng CNTT ngay trong mỗi môn học một cách hiệu quả và sáng tạo ở những nơi có điều kiện thiết bị tin học…”.[16] Hiện tại tỉnh Bình Phước có 22 trường THPT công lập (không kể các trường chuyên biệt), 1904 giáo viên trong đó có 614 giáo viên dạy các môn tự nhiên. Những năm học gần đây ngành giáo dục Bình Phước cũng đã tích cực triển khai thực hiện nhiệm vụ CNTT theo hướng dẫn của Bộ GD&ĐT. Gần đây nhất, “Quy hoạch phát triển CNTT tỉnh Bình Phước đến năm 2015, định hướng đến năm 2020”[28] xác định đến năm 2015, “100% các trường THPT được trang bị phòng máy tính đáp ứng nhu cầu dạy và học” và đến năm 2020 “e-learning được triển khai rộng rãi trên địa bàn tỉnh”. Tuy nhiên việc ứng dụng CNTT trong HĐDH của giáo viên ở mức độ nào, những yếu tố nào ảnh hưởng đến mức độ ấy và làm thế nào để nâng cao mức độ ứng dụng CNTT trong dạy học cho giáo viên THPT đến nay vẫn chưa có nghiên cứu nào được tiến hành. Trước thực trạng đó tác giả chọn đề tài “Đánh giá những yếu tố ảnh hưởng đến mức độ ứng dụng công nghệ thông tin trong hoạt động dạy học của giáo viên các môn tự nhiên bậc trung học phổ thông (nghiên cứu trên địa bàn tỉnh Bình Phước)” với mong muốn góp phần thúc đẩy việc ứng dụng CNTT trong HĐDH của giáo viên THPT tỉnh Bình Phước.
  • 15.
    - 3 - 2.Mục tiêu nghiên cứu của đề tài Nghiên cứu đánh giá mức độ ứng dụng CNTT trong HĐDH của giáo viên THPT đồng thời xác định mối tương quan giữa các yếu tố có ảnh hưởng đến mức độ ứng dụng CNTT của giáo viên giảng dạy các môn khoa học tự nhiên bậc THPT. Kết quả nghiên cứu sẽ cho thấy: i) Thực trạng mức độ ứng dụng CNTT trong HĐDH của giáo viên giảng dạy các môn khoa học tự nhiên trên địa bàn tỉnh Bình Phước. ii) Chỉ ra các yếu tố tác động và mức độ tác động của từng yếu tố đến mức độ ứng dụng CNTT trong HĐDH của giáo viên giải dạy các môn khoa học tự nhiên tỉnh Bình Phước. Từ đó nghiên cứu sẽ đề xuất một số gợi ý đối với Sở GD-ĐT, các trường THPT và giáo viên THPT, nhằm nâng cao mức độ ứng dụng CNTT trong HĐDH của giáo viên, góp phần nâng cao chất lượng giáo dục. 3. Ý nghĩa của nghiên cứu Với mục tiêu đã nêu trên, nghiên cứu có thể mang lại những ý nghĩa thực tiễn như: - Với các cấp quản lý giáo dục: Từ bộ dữ liệu thu thập được và việc xác định những yếu tố tác động đến mức độ ứng dụng CNTT trong HĐDH của giáo viên, nghiên cứu sẽ đề xuất những gợi ý nhằm thúc đẩy việc ứng dụng CNTT trong dạy học một cách có hiệu quả nhất. Các cấp quản lý giáo dục có thể coi đây là một trong những luận cứ khoa học để xây dựng kế hoạch phát triển ứng dụng CNTT trong dạy học phục vụ mục đích nâng cao chất lượng giáo dục. - Với các trường THPT: Đề xuất của nghiên cứu là luận cứ khoa học để các trường THPT đầu tư phát triển nguồn lực phục vụ việc ứng dụng CNTT trong HĐDH của nhà trường.
  • 16.
    - 4 - -Với giáo viên THPT: Kết quả nghiên cứu của Đề tài sẽ giúp các giáo viên THPT nhận thức rõ được vai trò của việc ứng dụng CNTT trong HĐDH và các yếu tố ảnh hưởng đến hoạt động này, từ đó chủ động khắc phục những khó khăn và có kế hoạch phát triển chuyên môn của mình cũng như hỗ trợ đồng nghiệp. 4. Giới hạn nghiên cứu của đề tài 4.1. Giới hạn đối tượng nghiên cứu Đề tài chỉ nghiên cứu đánh giá mức độ ứng dụng CNTT trong hoạt động dạy đồng thời xác định các yếu tố ảnh hưởng để mức độ ứng dụng CNTT trong HĐDH của giáo viên giảng dạy các môn khoa học tự nhiên bậc THPT. 4.2. Giới hạn khách thể và địa bàn nghiên cứu Giới hạn về khách thể nghiên cứu của đề tài là giáo viên các môn Toán, Vật lý, Hóa học, Sinh học thuộc các trường THPT công lập (hiện tại chưa có trường dân lập) trên địa bàn tỉnh Bình Phước theo mẫu chọn trong nghiên cứu này. 5. Câu hỏi nghiên cứu 1) Giáo viên giảng dạy các môn khoa học tự nhiên bậc THPT ứng dụng CNTT trong HĐDH như thế nào? 2) Những yếu tố nào ảnh hưởng đến mức độ ứng dụng CNTT trong HĐDH của giáo viên giảng dạy các môn khoa học tự nhiên bậc THPT? 6. Khách thể và đối tượng nghiên cứu 6.1. Khách thể nghiên cứu: - Khách thể: Giáo viên các môn Toán, Lý, Hóa, Sinh thuộc các trường THPT công lập trên địa bàn tình Bình Phước.
  • 17.
    - 5 - -Tổng thể: Toàn thể giáo viên các môn tự nhiên bậc THPT trên địa bàn tỉnh Bình Phước. Bình Phước có 22 trường THPT công lập (hiện chưa có trường ngoài công lập) với tổng số 614 giáo viên dạy các môn tự nhiên (không kể giáo viên môn Tin học)[24] . - Mẫu nghiên cứu: Mẫu nghiên cứu được chọn theo phương pháp chọn mẫu Phân tầng ngẫu nhiên không theo tỷ lệ[29] . Mẫu giáo viên được chọn từ 13 trường THPT trên địa bàn tỉnh Bình Phước trong đó có 6 trường thuộc khu vực thị xã và 7 trường không thuộc thị xã. Như vậy mẫu được lấy trên tất cả các huyện thị trong toàn tỉnh Bình Phước. - Cỡ mẫu: Với tổng thể 614 giáo viên, sai số mẫu là 5% và độ tin cậy là 95% thì cỡ mẫu sẽ là 237 giáo viên[41] . Cộng thêm 10% dự phòng ta có cỡ mẫu điều tra là 261 giáo viên. 6.2. Đối tượng nghiên cứu - Mức độ ứng dụng CNTT trong HĐDH của giáo viên THPT. - Các yếu tố tác động đến mức độ ứng dụng CNTT trong HĐDH của giáo viên THPT. 7. Phương pháp nghiên cứu và công cụ nghiên cứu Nghiên cứu sử dụng kết hợp phương pháp nghiên cứu định tính và nghiên cứu định lượng. 7.1. Phương pháp khảo cứu tài liệu Mục tiêu của nghiên cứu tài liệu nhằm xác định những cơ sở lí luận có liên quan đến vấn đề nghiên cứu. Nghiên cứu các tài liệu lí luận, sách, báo, tạp chí, các công trình nghiên cứu khoa học, các văn bản, chủ trương của Đảng, Nhà nước, Bộ Giáo dục và Đào tạo… có liên quan đến việc ứng dụng CNTT
  • 18.
    - 6 - trongHĐDH, phương pháp học tập, phương pháp giảng dạy… nhằm hệ thống hóa để làm cơ sở lí luận cho nghiên cứu. 7. 2. Phương pháp nghiên cứu thực tiễn 7.2.1. Phương pháp điều tra xã hội học Phương pháp điều tra xã hội học nhằm thu thập thông tin về việc ứng dụng CNTT trong HĐDH của giáo viên, mức độ, những yếu tố cơ bản ảnh hưởng đến quá trình ứng dụng CNTT trong HĐDH cũng như những khó khăn giáo viên gặp phải trong quá trình ứng dụng CNTT trong HĐDH. Bảng hỏi được phát cho giáo viên các môn Toán, Lý, Hóa, Sinh đang công tác trên các trường được chọn trên địa bàn tình Bình Phước gồm 06 trường trên địa bàn 03 thị xã và 07 trường trên địa bàn thuộc 07 huyện còn lại của tỉnh Bình Phước. 7.2.2. Phương pháp phỏng vấn sâu Phương pháp phỏng vấn sâu được sử dụng để phỏng vấn các chuyên gia về lĩnh vực ứng dụng CNTT trong giáo dục, giáo viên các môn tự nhiên về các tiêu chí đánh giá mức độ ứng dụng CNTT trong HĐDH của giáo viên THPT đồng thời quan đó phát hiện những lỗi ngữ nghĩa của câu hỏi và cấu trúc bảng hỏi để điều chỉnh. Phỏng vấn sâu các chuyên gia cũng là một trong những căn cứ để xác định các yếu tố ảnh hưởng đến mức độ ứng dụng CNTT trong HĐDH của giáo viên các môn tự nhiên bậc THPT. 7. 3. Công cụ sử dụng trong nghiên cứu Các công cụ được sử dụng trong nghiên cứu gồm: - Công cụ thu thập thông tin: Ngoài nguồn sách, tạp chí tiếp cận được từ các thư viện và nhà sách tác giả sử dụng cơ sở dữ liệu ProQues và Google Scholar để tìm kiếm các nghiên cứu liên quan đến vấn đề nghiên cứu phục vụ
  • 19.
    - 7 - phươngpháp khảo cứu tài liệu. Sử dụng máy ghi âm và sổ ghi chép phục vụ phương pháp phỏng vấn sâu và bảng hỏi được xây dựng bởi nghiên cứu này phục vụ phương pháp điều tra xã hội học. - Công cụ xử lý thông tin: Tác giả sử dụng phần mềm MS Excel và SPSS 18 để mã hóa, nhập liệu và phân tích thống kê. - Công cụ trình bày luận văn: Tác giả sử dụng phần mềm MS Word để trình bày luận văn, phần mềm Endnote X6 để trích dẫn tài liệu tham khảo. 8. Cấu trúc của luận văn Cấu trúc luận văn gồm 3 phần. Phần mở đầu nêu tóm tắt nội dung cơ bản của luận văn. Phần nội dung nghiên cứu gồm 3 chương; chương 1 trình bày về cơ sở lý luận và tổng quan nghiên cứu vấn đề, chương 2 trình bày chi tiết các phương pháp nghiên cứu sử dụng trong luận văn và xây dựng bộ công cụ nghiên cứu để thu thập số liệu, chương 3 trình bày kết quả khảo sát và phân tích số liệu. Tiếp theo là phần kết luận và khuyến nghị, cuối cùng là danh mục tài liệu tham khảo và các phụ lục.
  • 20.
    - 8 - Chương1 TỔNG QUAN VÀ CƠ SỞ LÝ LUẬN 1.1. Tổng quan nghiên cứu vấn đề Trong phần này tác giả tiến hành khảo cứu và tóm tắt một số bài báo, bài viết và một số công trình nghiên cứu trong và ngoài nước có liên quan đến đề tài để có cái nhìn tổng thể về vấn đề nghiên cứu. 1.1.1. Các công trình nghiên cứu liên quan ở trong nước Cùng với vấn đề đổi mới, nâng cao chất lượng giáo dục và đào tạo, vấn đề ứng dụng CNTT trong HĐDH ở Việt Nam đã được nhiều nhà nghiên cứu quan tâm trong suốt những năm qua. Nhiều công trình nghiên cứu có giá trị như Ứng dụng CNTT trong ngành giáo dục hướng đến một nền giáo dục điện tử của Quách Tuấn Ngọc (2009)[19] , Công nghệ thông tin cho dạy học tích cực của Jef Peeraer và Trần Nữ Mai Thy (2011)[20] , E-Learning và ứng dụng trong dạy học của Lê Huy Hoàng (2011)[9] , Sử dụng công nghệ thông tin trong dạy học tài liệu chương trình Parner in learning của Microsoft (2008)[15] … Những công trình này chủ yếu nói về tầm quan trọng của việc ứng dụng CNTT trong giáo dục, trong đó có việc ứng dụng CNTT trong HĐDH của giáo viên, đồng thời đưa ra các giải pháp cũng như hướng dẫn kỹ thuật ứng dụng CNTT trong giáo dục. Bên cạnh những công trình nghiên cứu kể trên có thể kể đến một số lượng lớn các bài báo khoa học, các khóa luận, luận văn, nghiên cứu về đề tài ứng dụng CNTT trong giáo dục xong hầu hết cũng đều đề cập đến vai trò của ứng dụng CNTT trong giáo dục hoặc phương pháp ứng dụng CNTT vào môn học cụ thể nào đó. Đặc biệt, hầu hết các công trình đều hướng đến đối tượng giảng dạy ở bậc cao đẳng, đại học.
  • 21.
    - 9 - NguyễnVăn Hòa (2010)[8] đã tìm ra sự tác động của các yếu tố về thâm niên công tác và thông tin đào tạo đến năng lực ứng dụng CNTT trong HĐDH của giảng viên trường ĐH Sư phạm – ĐH Huế đồng thời cũng đề xuất một số giải pháp nhằm nâng cao năng lực ứng dụng CNTT trong giảng dạy của giảng viên. Tuy nhiên hạn chế của nghiên cứu là chỉ giới hạn trong khuôn khổ Trường ĐH Sư phạm Huế, các kết quả nghiên cứu của luận văn được khảo sát trên mẫu chưa đủ lớn để có thể trở thành những đánh giá mang tính khái quát. Mặc dù còn có những hạn chế nhưng nghiên cứu cũng đã đề xuất được mô hình các yếu tố tác động đến năng lực ứng dụng CNTT trong HĐDH của giảng viên trường ĐH Sư Phạm - ĐH Huế. Jef Peeraer và Trần Nữ Mai Thy (2011)[21] nghiên cứu “Ứng dụng Công nghệ thông tin trong giáo dục Việt Nam: Từ chính sách tới thực tế” đã khẳng định: “CNTT luôn được đề cao trong cuông cuộc đổi mới giáo dục như và một môn học cũng như là một công cụ quan trọng để đổi mới phương pháp dạy học”. Nghiên cứu đã cho thấy các nhà hoạch định chính sách đã rất quan tâm đến việc ứng dụng công nghệ thông tin trong giáo dục và “học tập điện tử (e- Learning) và xây dựng, sử dụng bài giảng điện tử được hướng tới như là kết quả cuối cùng của ứng dụng CNTT trong giáo dục”. Một nghiên cứu khác của Jef Peeraer và Peter Van Petegem (2010)[40] khảo sát các yếu tố ảnh hướng tới ứng dụng CNTT trong ngành sư phạm Việt Nam, một nước đang đang ở giai đoạn đầu của ứng dụng CNTT. Phương pháp phân tích hồi quy đa khám phá (Exploratory multiple regression analysis) được sử dụng để đề cập tới tầm quan trọng của các yếu tố đối với giáo viên và tầm quạn trọng của các trường sư phạm đối với ứng dụng CNTT trong dạy học. Nghiên cứu khẳng định việc sử dụng các chương trình ứng dụng CNTT còn hạn chế, chủ yếu để thay cho phương pháp dạy học cũ. Các yếu tố tác động đến việc ứng dụng CNTT trong dạy học thực hành gồm: cơ hội tiếp cận với máy
  • 22.
    - 10 - tính,cường độ sử dụng máy tính, kỹ năng ICT, sự tự tin về ICT, và đặc điểm cá nhân (gồm thái độ với ICT và quan niệm về việc học tập ở học sinh). Nghiên cứu cũng đưa ra một số gợi ý về cách ứng dụng hiệu quả CNTT vào ngành sư phạm Việt Nam. Đào Thái Lai cùng nhóm tác giả (2011)[12] đã tiến hành đánh giá “Mức độ ứng dụng công nghệ thông tin vào dạy học của giảng viên các trường ĐH” theo mức độ thường xuyên sử dụng thông qua các tiêu chí như: trình chiếu Power Point, khai thác thông tin trên mạng internet vào dạy học, thiết kế bài giảng điện tử, quản lí hồ sơ giảng dạy bằng máy tính, sử dụng phần mềm dạy học, thi trực tuyến, dạy học qua mạng, làm phim video, và sử dụng máy tính hỗ trợ thí nghiệm. Khảo cứu những nghiên cứu kể trên giúp tác giả khái quát được bức tranh toàn cảnh về việc ứng dụng CNTT trong HĐDH trong nước. Các nghiên cứu cho thấy có nhiều yếu tố ảnh hưởng đến năng lực cũng như mức độ ứng dụng CNTT trong HĐDH của giáo viên, là nguồn tham khảo hữu ích cho tác giả trong việc xây dựng khung lý thuyết cho nghiên cứu này. Cũng qua khảo cứu này tác giả phát hiện việc nghiên cứu sâu về đề tài ứng dụng CNTT trong HĐDH là cần thiết và đặc biệt tác giả cũng nhận thấy chưa có nghiên cứu nào về đánh giá mức độ ứng dụng CNTT trong HĐDH ở bậc THPT. 1.1.2. Các công trình nghiên cứu liên quan ở ngoài nước Luận án tiến sĩ của Mohammed I. Isleem (2003)[38] , đại học Ohio (Hoa kỳ), đã nghiên cứu sâu về mối tương quan của các yếu tố cơ bản với mức độ ứng dụng CNTT trong HĐDH của giáo viên ngành công nghệ giáo dục (technology education teachers). Nghiên cứu đã chỉ ra được mối tương quan thuận của các yếu tố được lựa chọn với mức độ ứng dụng CNTT trong HĐDH tuy nhiên chỉ dừng lại ở khách thể nghiên cứu là giáo viên ngành công nghệ
  • 23.
    - 11 - giáodục trong phạm vi bang Ohio, Hoa Kỳ. Trong nghiên cứu của mình, Mohammed đã xác định được các yếu cơ bản có tương quan đến mức độ ứng dụng CNTT trong HĐDH của giáo viên cùng với bộ công cụ đo lường gồm 63 biến quan sát đã trở thành gợi ý hữu ích cho tác giả luận văn này trong việc xác định khung lý thuyết cũng như xây dựng công cụ đo lường cho đề tài luận văn. “Teacher ICT skill”[35] , một nghiên cứu của Sở giáo dục Tây Úc (Western Australia) đã tiến hành khảo sát và đánh giá mức độ kiến thức, kỹ năng của giáo viên trên địa bàn Western Australia trong lĩnh vực ứng dụng CNTT và truyền thông phục vụ dạy học. Nghiên cứu đã chỉ ra rằng năng lực sử dụng CNTT, nguồn lực của nhà trường về CNTT, thái độ và động lực của giáo viên, chính sách và sự quan tâm của lãnh đạo là những yếu tố chủ yếu tác động đến mức độ ứng dụng công nghệ thông tin trong dạy. Nghiên cứu cũng đã chỉ ra các yếu tố tác động đến năng lực ứng dụng CNTT của giáo viên. Nghiên cứu của Naser Jamil Al-Zaidiyeen, Leong Lai Mei và Fong Soon Fook (2010)[34] , đã khảo sát trên 650 giáo viên ở Jordan và khẳng định có mối tương quan thuận có ý nghĩa thống kê giữa thái độ của giáo viên đối với việc ứng dụng CNTT và mức độ ứng dụng CNTT trong HĐDH của họ. Một nghiên cứu của Schacter (1999)[42] đã chứng minh tác động tích cực của việc ứng dụng CNTT trong giáo dục bằng việc phân tích hơn 700 nghiên cứu về tác động của công nghệ giáo dục đến thành quả học tập của học sinh và kết luận rằng học sinh được tiếp cận với công nghệ phục vụ giảng dạy và học tập đều có tác động tích cực đối với thành quả học tập. Sara Hennessy, David Harrison, và Leonard Wamakote (2010)[37] chỉ ra rằng, ngoài các yếu tố bên ngoài thì kỹ năng và mức độ tự tin về trình độ công nghệ, nghiệp vụ sư phạm trong sử dụng công nghệ, vai trò của giáo viên là những yếu tố quan trọng có tác động đến “lớp học có ứng dụng CNTT”
  • 24.
    - 12 - (ClassroomUse of ICT) trong một nghiên cứu tại Châu Phi. Nghiên cứu cũng chỉ ra rằng, đối với giáo viên cũng như giảng viên sư phạm, việc ứng dụng CNTT trong dạy và học, sử dụng phương pháp sư phạm hiện đại, là điều cần thiết. Cher Ping Lim, Ching Sing Chai, Daniel Churchill (2010)[39] chỉ ra rằng “Những phương tiện đánh giá từ các bài kiểm tra trình độ được chuẩn hóa đến hồ sơ bài dạy điện tử đã được sử dụng để đánh giá trình độ tích hợp CNTT phục vụ cho giảng dạy của các giáo sinh. Việc đánh giá dựa trên bốn phương diện: khả năng sử dụng CNTT, thái độ và niềm tin đối với việc sử dụng CNTT, lý luận sư phạm và việc sử CNTT trong thực tế”. Và nhận định: “Mặc dù đã có nhiều bằng chứng cho thấy CNTT có tiềm năng lớn trong việc cải thiện chất lượng dạy và học cũng như việc tiếp cận CNTT ngày càng dễ dàng hơn, đa số giáo viên trên thế giới ngày nay vẫn chưa sử dụng công nghệ thành thạo hay thường xuyên để có thể khai thác tiềm năng của nó.”. Nhấn mạnh yếu tố nhân lực trong việc ứng dụng CNTT trong dạy học, Craig Barrett (2012)[11] khẳng định: “Tất cả thiết bị công nghệ đang có trong trường học ngày nay sẽ chẳng có giá trị gì nếu giáo viên không biết sử dụng chúng một cách có hiệu quả. Chính các giáo viên mới đem lại sự kỳ diệu, chứ không phải là chiếc máy vi tính”. Các công trình nghiên cứu ở ngoài nước cũng cho thấy việc nghiên cứu về ứng dụng CNTT trong HĐDH được đặc biệt quan tâm. Dựa trên các nghiên cứu đã khảo cứu tác giả rút ra được nhiều nội dung quan trọng để kế thừa như việc đánh giá tầm quan trọng và tác động tích cực của việc ứng dụng CNTT trong HĐDH, các yếu tố cơ bản ảnh hưởng đến mức độ ứng dụng CNTT trong dạy học, vai trò của tố nhân lực trong việc ứng dụng CNTT trong dạy học… Dựa trên nghiên cứu của Isleem (2003)[38] , Jef Peeraer và Peter Van Petegem[40]
  • 25.
    - 13 - vàmột số nghiên cứu khác tác giả lựa chọn và bổ sung các tiêu chí để xây dựng bảng hỏi phù hợp với thực tế Việt Nam nhằm phục vụ nghiên cứu này. 1.2. Sơ lược chính sách và tình hình ứng dụng CNTT trong giáo dục Ứng dụng CNTT trong hoạt động dạy và học là một hướng đi mang tính chiến lược trong quá trình cải cách giáo dục ở Việt Nam. CNTT đã đóng góp các công cụ, các phương thức và các giải pháp hữu hiệu hỗ trợ đắc lực cho việc thực hiện đổi mới nội dung và phương pháp. Xét một cách toàn diện, CNTT vừa là công cụ hỗ trợ vừa là nội dung và cũng là phương pháp nhằm đạt được các mục tiêu giáo dục trong quá trình dạy học. Nghị quyết TW2, khóa VIII đã nhấn mạnh: “Đổi mới mạnh mẽ phương pháp giáo dục - đào tạo, khắc phục lối truyền thụ một chiều, rèn luyện thành nếp tư duy sáng tạo của người học. Từng bước áp dụng các phương pháp tiên tiến và phương tiện vào quá trình dạy và học, bảo đảm điều kiện và thời gian tự học, tự nghiên cứu của học sinh, nhất là sinh viên đại học.”[33] . Cuộc cách mạng khoa học và công nghệ, đặc biệt là công nghệ thông tin và truyền thông đang tạo ra những điều kiện thuận lợi để đổi mới cơ bản nội dung, phương pháp và hình thức tổ chức giáo dục, đổi mới quản lý giáo dục, tiến tới một nền giáo dục điện tử đáp ứng nhu cầu của từng cá nhân người học. Chiến lược phát triển giáo dục 2011-2020 của Chính phủ Việt Nam[23] đã nêu rõ: Đẩy mạnh ứng dụng công nghệ thông tin và truyền thông trong dạy và học, đến năm 2015, 100% giảng viên đại học, cao đẳng và đến năm 2020, 100% giáo viên giáo dục nghề nghiệp và phổ thông có khả năng ứng dụng công nghệ thông tin và truyền thông trong dạy học. Biên soạn và sử dụng giáo trình, sách giáo khoa điện tử. Hướng dẫn nhiệm vụ CNTT năm học 2012-2013 của Bộ GD-ĐT[6] yêu cầu triển khai Quyết định số 698/QĐ-TTg ngày 01/6/2009 của Thủ tướng Chính
  • 26.
    - 14 - phủtrong đó nhấn mạnh: “Đẩy mạnh việc ứng dụng CNTT trong trường phổ thông nhằm đổi mới phương pháp dạy và học theo hướng giáo viên tự tích hợp CNTT vào từng môn học thay vì học trong môn tin học. Giáo viên các bộ môn chủ động tự soạn và tự chọn tài liệu và phần mềm (mã nguồn mở) để giảng dạy ứng dụng CNTT”[22] . Cũng theo tinh thần đó, Kế hoạch số 86/KH-UBND của UBND tỉnh Bình Phước[27] cũng yêu cầu “Đẩy mạnh ứng dụng CNTT trong giảng dạy và trong quản lý giáo dục ở tất cả các cấp học”. Quy hoạch phát triển CNTT tỉnh Bình Phước đến năm 2015, định hướng đến năm 2020[28] xác định đến năm 2015, “100% các trường THPT được trang bị phòng máy tính đáp ứng nhu cầu dạy và học” và đến năm 2020 “e-learning được triển khai rộng rãi trên địa bàn tỉnh”. Hướng dẫn nhiệm vụ CNTT năm học những năm gần đây của Bộ GD- ĐT và sở GD-ĐT Bình Phước[5, 6, 26] đều đặc biệt coi trọng việc ứng dụng CNTT trong đổi mới phương pháp dạy và học. CNTT được coi là một công cụ có thể hỗ trợ đắc lực quá trình đổi mới phương pháp dạy học, đóng góp vào nâng cao chất lượng và hiệu quả giáo dục. Khuyến khích giáo viên chủ động tự soạn giáo án, bài giảng và tài liệu giảng dạy để ứng dụng CNTT trong các môn học. Khuyến khích giáo viên tích cực ứng dụng CNTT vào HĐDH, thiết kế các bài học có sử dụng các trang trình chiếu, bài giảng điện tử và kế hoạch bài học trên máy vi tính. Theo Sở GD-ĐT Bình Phước[25] , năm học 2011-2012, ngành GD&ĐT tỉnh Bình Phước đã đạt được những kết quả to lớn, chất lượng mũi nhọn được giữ vững và chất lượng đại trà từng bước được nâng lên bền vững, trong đó có sự đóng góp không nhỏ của việc ứng dụng CNTT trong quản lý và giảng dạy. Báo cáo tổng kết nhiệm vụ CNTT năm học 2011-2012 của sở GD-ĐT Bình Phước[25] khẳng định: “Bên cạnh những kết quả đạt được, việc triển khai và ứng dụng CNTT tại các cơ quan quản lý và các trường học trong tỉnh còn có những
  • 27.
    - 15 - hạnchế nhất định. Quá trình tổ chức triển khai còn gặp nhiều khó khăn về nhân lực, vật lực và sự quan tâm, chỉ đạo chưa sâu sát của người đứng đầu đơn vị, trường học.” - Về hạ tầng kỹ thuật CNTT: 100% các phòng GD&ĐT và các trường học đã kết nối mạng Internet; 100% trường THPT có 2 phòng máy vi tính trở lên; 100% trường phổ thông cấp 2-3, phổ thông Dân tộc nội trú và trung tâm Giáo dục thường xuyên có từ 01 đến 02 phòng máy vi tính; 56 trường THCS và 17 trường tiểu học có phòng máy vi tính; 100% các trường học đã được trang bị máy tính văn phòng. - Về hạ tầng nhân lực CNTT: Số cán bộ, giáo viên có trình độ đại học 124 người và cao đẳng 103 người; có trên 90% cán bộ quản lý và 85% giáo viên sử dụng được máy tính, email và tìm kiếm thông tin trên Internet. Qua phân tích tình hình chính sách việc ứng dụng CNTT trong giáo dục Việt Nam và thực tiễn triển khai tại tỉnh Bình Phước cho thấy các nhà hoạch định chính sách, các cấp lãnh đạo từ trung ương đến địa phương đều đánh giá việc ứng dụng CNTT trong HĐDH có vai trò mang tính chiến lược trong quá trình cải cách giáo dục. Ứng dụng CNTT trong HĐDH là xu thế tất yếu, là kỹ năng cần thiết của giáo viên trong thời đại thông tin hiện nay. Điều này khẳng định việc nghiên cứu về việc ứng dụng CNTT trong HĐDH mang tính thực tiễn cao, phù hợp với xu thế hiện nay của nền giáo dục nước nhà. 1.3. Một số vấn đề lý luận cơ bản về hoạt động dạy học 1.3.1. Khái niệm và cấu trúc của hoạt động dạy học Trong giới hạn của đề tài, tác giả chỉ đề cập đến HĐDH với nghĩa là dạy học trong nhà trường - một bộ phận của hoạt động giáo dục tổng thể chứ không hàm ý nói đến dạy học nói chung (dạy học trong cuộc sống). 1) Khái niệm hoạt động dạy học
  • 28.
    - 16 - TheoTrần Thị Hương (2006)[10] , khi xem xét HĐDH, có nhiều cách tiếp cận khác nhau như tiếp cận hướng vào hoạt động dạy của thầy hoặc tiếp cận hướng vào hoạt động học của trò. Dạy học hướng vào hoạt động học của trò thì trọng tâm của HĐDH được đặt vào hoạt động học của học sinh chứ không phải vào hoạt động dạy của giáo viên. Nói cách khác, giáo viên là người tạo ra việc học, gợi cho học sinh khám phá và tạo dựng kiến thức, tạo ra các môi trường học tập mạnh mẽ; nâng cao chất lượng học tập, v.v… Như vậy, “Hoạt động dạy học là hệ thống những hành động phối hợp, tương tác giữa giáo viên và học sinh, trong đó dưới tác động chủ đạo của giáo viên, học sinh tự giác, tích cực, chủ động lĩnh hội hệ thống tri thức khoa học, kỹ năng, kỹ xảo, phát triển năng lực nhận thức, năng lực hành động, hình thành thế giới quan khoa học và những phẩm chất của nhân cách”[10] . Từ khái niệm trên, có thể rút ra một số đặc trưng cơ bản của HĐDH như sau: - Dạy học là một hoạt động kép gồm hoạt động dạy của giáo viên và hoạt động học của người học. Trong đó, Dạy (giáo viên) giữ vai trò chủ đạo, dạy hướng đến học, dạy thúc đẩy học và làm cho học thành công; Học (người học) giữ vai trò chủ động, tự giác, tích cực, độc lập và sáng tạo. - Hai hoạt động Dạy và Học tồn tại trong sự thống nhất và tương tác lẫn nhau. - Hai hoạt động Dạy và Học cùng hướng đến thực hiện mục tiêu và nhiệm vụ dạy học. 2. Cấu trúc hoạt động dạy học Thông thường, khi tiếp cận dạy học như là một hoạt động có các nhân tố cấu trúc: chủ thể, đối tượng của HĐDH, mục đích, nhiệm vụ dạy học; nội dung, phương pháp, phương tiện, hình thức tổ chức dạy học, kết quả dạy học. Các
  • 29.
    - 17 - nhântố của HĐDH không tồn tại biệt lập với nhau, chúng có quan hệ, tác động qua lại một cách biện chứng, phản ánh các tính qui luật của HĐDH. Sự biến đổi của nhân tố này đòi hỏi sự biến đổi tương ứng phù hợp của các nhân tố khác. Cho nên muốn nâng cao chất lượng và hiệu quả của HĐDH phải nâng cao chất lượng của từng nhân tố, đồng thời, nâng cao chất lượng tổng hợp của toàn hệ thống. Hoạt động dạy học với tư cách là một hệ thống tồn tại và phát triển trong mối quan hệ với môi trường bên ngoài ở cả hai phương diện vĩ mô và vi mô. Tiếp cận HĐDH theo quan điểm sư phạm tương tác, chúng ta tiếp cận đến một quan điểm mới về cấu trúc HĐDH như sau: 2.1. Các yếu tố cấu trúc hoạt động dạy học Dạy (giáo viên) và Học (học sinh) là hai yếu tố không thể thiếu nước trong cấu trúc HĐDH. Mối quan hệ giữa giáo viên và học sinh (quan hệ chủ thể - chủ thể) không phải là quan hệ trực tiếp mà là gián tiếp qua một yếu tố trung gian - đối tượng của hoạt động - nội dung (khái niệm khoa học). Từ đây ta có cấu trúc ba yếu tố: Dạy (giáo viên) - đối tượng (nội dung) - chủ thể (học sinh). Nội dung là yếu tố trung gian giữa dạy - học; còn giữa học - nội dung (tài liệu học tập), yếu tố trung gian chính là thầy giáo (nhân cách của người cộng sự với chủ thể). Thầy giáo (trình độ tri thức, phương pháp giảng dạy, kinh nghiệm học của thầy) giúp học sinh tri giác tốt hơn, thông hiểu sâu hơn, cảm nhận phong phú hơn đối tượng của hoạt động học (nội dung học tập). Vì thế, cấu trúc ba yếu tố của HĐDH xuất hiện từ khi có HĐDH. Nhưng dần dần các nhà nghiên cứu nhận ra ảnh hưởng không nhỏ của yếu tố môi trường đến HĐDH và chất lượng của nó. Lúc đầu, yếu tố môi trường chỉ được nhìn nhận ở phạm vi rộng như là những yêu cầu của xã hội đặt ra cho giáo dục và nhà trường, hoặc môi trường được nhìn nhận ở phạm vi hẹp như là
  • 30.
    - 18 - cơsở vật chất và trang thiết bị dạy học. Thực ra, môi trường không chỉ hiểu một cách đơn giản và tĩnh tại như vậy. Trong thực tiễn dạy học, môi trường được xem xét một cách đa dạng, phức tạp và biện chứng. Môi trường dạy học bao gồm môi trường rộng (quan điểm, đường lối giáo dục của Đảng, tốc độ phát triển kinh tế, sự quan tâm của gia đình đến việc học tập của con cái) và môi trường hẹp (cơ sở vật chất nhà trường, sự đoàn kết của tập thể giáo viên), môi trường bên trong (trình độ của thầy giáo, của học sinh) và môi trường bên ngoài (xã hội, nhà trường, gia đình), môi trường vật chất và môi trường tinh thần (Jean - Mar Denommé và Madeleine Roy – “Tiến tới một phương pháp sư phạm tương tác”). Vào những năm 70 của thế kỉ XX, một nhóm các nhà giáo dục Pháp thuộc Viện Đào tạo Giáo viên ở tỉnh Grenoble như G.Broussea, Commiti, C.Margolinas, v.v… cũng nghiên cứu ảnh hưởng của môi trường đến HĐDH - môi trường sư phạm. Môi trường sư phạm là môi trường do giáo viên tạo ra cho học sinh hoạt động, qua đó học sinh hoạt động học và cả môi trường cùng phát triển. Cấu trúc bốn yếu tố: Dạy - Học - Nội dung - Môi trường ra đời. 2.2. Chức năng của từng yếu tố - Dạy (Giáo viên) giữ vai trò truyền thụ và tổ chức, điều khiển. - Học (Trò) giữ vai trò lĩnh hối và tự tổ chức, tự điều khiển. - Nội dung (khái niệm) là cơ sở vật chất của hoạt động day và học. Dạy học không có nội dung sẽ trở thành trống rỗng. Nội dung được bắt đầu từ thầy và kết thúc ở trò. - Môi trường - Những điều kiện dạy học cụ.thể trong đó HĐDH diễn ra và ảnh hưởng đến chất lượng HĐDH. 2.3. Mối quan hệ biện chứng giữa các yếu tố
  • 31.
    - 19 - Cácyếu tố cấu trúc của HĐDH không tồn tại độc lập bên cạnh nhau mà luôn tác động biện chứng, qui định chi phối và ảnh hưởng lẫn nhau. Sự tác động qua lại giữa các yếu tố không chỉ làm thay đổi tính chất của từng yếu tố mà còn làm thay đổi tính chất của cả hệ thống dạy học - hệ toàn vẹn cân bằng động. Trong hệ thống cấu trúc này, yếu tố dạy và học là hai yếu tố chính vì: - Đây là hai yếu tố động nhất trong các yếu tố, nó có thay đổi theo thời gian, hoàn cảnh, tình huống… Ví dụ, thái độ của Thầy đối với hoạt động dạy và hoạt động học của Trò thay đổi theo bầu không khí lớp học trong từng bài dạy, từng pha của bài dạy trên lớp hoặc vốn tri thức và kinh nghiệm sống của Thầy và Trò sẽ được khai thác và sử dụng hiệu quả hay không thể hiện trong từng tình huống dạy học cụ thể, v.v… - Sự thay đổi một trong hai yếu tố sẽ kéo theo sự thay đổi các yếu tố khác trong hệ thống. - Thay đổi sự tương tác giữa dạy - học sẽ tạo nên một chất lượng mới cho cả hệ, vì những yếu tố nội dung, môi trường đặt trong sự tương tác giữa dạy - học sẽ trở nên sống động vì được khai thác một cách hiệu quả. Việc xác định chức năng cơ bản của từng thành tố và mối quan hệ qua lại giữa chúng là một vấn đề lí luận mấu chốt đối với cả lí luận và thực tiễn dạy học, nó hướng dẫn cho những quyết định đúng đắn trong tác động dạy học. Vì thế, nếu tuyệt đối hoá nhân tố này và làm lu mờ vai trò của nhân tố khác trong cấu trúc HĐDH đều dẫn đến những quyết định sai lầm, lệch lạc trong tác động dạy học và làm giảm hiệu quả dạy học. Trong hai yếu tố Dạy - Học, thì dạy hướng đến học, dạy thúc đẩy học, dạy làm cho học thành công. Chẳng hạn, dạy xác định các kết quả mà học phải hướng đến và đạt được. Dạy kích thích học thông qua việc thiết kế nội dung dưới dạng các tình huống có vấn đề, lựa chọn các phương pháp, phương tiện
  • 32.
    - 20 - vàđiều kiện giải quyết tình huống có kết quả, qua đó, các yếu tố bên trong và bên ngoài hoạt động học được khai thác một cách tối đa và được phát triển. Vì vậy, cần hoàn thiện yếu tố dạy (giáo viên) về nhiều phương diện như chuyên môn, nghiệp vụ và đạo đức của người thầy. 1.3.2. Hoạt động dạy và hoạt động học Theo Nguyễn Văn Tuấn (2009)[32] , Dạy học là hoạt động đặc trưng nhất, chủ yếu nhất của nhà trường, diễn ra theo một quá trình nhất định từ t0 đến tn được gọi là quá trình dạy học. Đó là một quá trình xã hội bao gồm và gắn liền với hoạt động dạy và hoạt động học trong đó học sinh tự giác, tích cực, chủ động, tự tổ chức, tự điều kiển và điều chỉnh hoạt động nhận thức của mình dưới sự điều khiển chỉ đạo, tổ chức, hướng dẫn của giáo viên nhằm thực hiện mục tiêu, nhiệm vụ dạy học. Theo đó, ông đã đưa ra khái niệm hoạt động dạy và đoạn động học như sau: Hoạt động dạy: - Dạy học được hiểu là một hình thức đặc biệt của giáo dục (nghĩa rộng), xem như là một trường hợp riêng của nó (của giáo dục). Dạy học là con đường đặc biệt quan trọng trong mối quan hệ biện chứng và phối hợp với các con đường, các hoạt động khác trong quá trình giáo dục để thực hiện các mục tiêu và nhiệm vụ giáo dục đặt ra. - Dạy học là một quá trình truyền thụ, tổ chức nhận thức kiến thức, kinh nghiệm xã hội và nghề nghiệp cho người học nhằm hình thành và phát triển nhân cách nói chung và nhân cách nghề nghiệp nói riêng. Dạy học bao hàm trong nó sự học và sự dạy gắn bó với nhau, trong đó sự dạy không chỉ là sự giảng dạy mà còn là sự tổ chức, chỉ đạo và điều khiển sự học. - Dạy học là một mặt của quá trình dạy và học do người giáo viên thực hiện theo nội dung, chương trình đào tạo đã định nhằm giúp người học đạt được
  • 33.
    - 21 - cácmục tiêu học tập theo từng bài học hoặc toàn khóa đào tạo. Hoạt động dạy học không chỉ hướng đến yêu cầu truyền thụ kiến thức, hình thành kĩ năng, kĩ xảo và thái độ nghề nghiệp đúng đắn ở người học mà còn góp phần phát triển tính tích cực và tổ chức các hoạt động học tập của học viên. - Dạy là hoạt động của giáo viên, không chỉ là hoạt động truyền thụ cho học sinh những nội dung đáp ứng được các mục tiêu đề ra, mà còn hơn nữa là hoạt động giúp đỡ chỉ đạo và hướng dẫn học sinh trong quá trình lĩnh hội. Hoạt động học: - Học, theo nghĩa rộng nhất, được hiểu là quá trình cơ bản của sự phát triển nhân cách trong hoạt động của con người, là sự lĩnh hội những “sức mạnh bản chất người” đã được đối tượng hóa trong các sản phẩm của hoạt động con người. Đó là hoạt động phản ánh những mặt nhất định của hiện thực khách quan vào ý thức người học. Tuy nhiên nó chủ yếu hướng người học vào lĩnh hội những chân lí đã được loài người phát hiện nhưng chúng lại là mới đối với họ. - Hoạt động học là một hoạt động nhận thức độc đáo của người học, thông qua đó người học chủ yếu thay đổi chính bản thân mình và ngày càng có năng lực hơn trong hoạt động tích cực nhận thức và cải biến hiện thực khách quan. Hoạt động dạy học gồm hai mặt của quá trình đó là dạy và học luôn đi kèm biện chứng với nhau. Hoạt động dạy - học có các đặc trưng sau đây: - Thể hiện vai trò chủ đạo của giáo viên - Là một hoạt động có mục đích rõ ràng - Có nội dung, chương trình kế hoạch cụ thể - Diễn ra trong một môi trường nhất định (lớp học, xưởng thực hành, phòng thí nghiệm)
  • 34.
    - 22 - -Sử dụng các phương tiện đa dạng (ngôn ngữ, thiết bị, tài liệu) - Đa dạng về hoạt động: nhận thức, trí tuệ, vận động, thao tác, … - Kết quả hoạt động dạy được đánh giá thông qua kết quả hoạt động học tập. Trong nghiên cứu này tác giả tiếp cận khái niệm “hoạt động dạy học” là các hoạt động trong quá trình dạy học của giáo viên bao gồm công việc chuẩn bị phương tiện dạy học, lựa chọn phương pháp dạy học, xác định mục tiêu dạy học và nội dung dạy học, đến việc thực hiện hoạt động dạy của người giáo viên. Hoạt động dạy học được xem xét cả trước, trong và sau khi lên lớp. Trước khi lên lớp là công tác chuẩn bị như tìm kiếm tài liệu, soạn giáo án, làm mô hình dạy học...; trong khi lên lớp là HĐDH trên lớp; và sau khi lên lớp là các hoạt động hỗ trợ học tập như việc tư vấn, giải đáp thắc mắc, tổ chức các hoạt động nghiên cứu cho học sinh. 1.4. Chuẩn năng lực CNTT cho giáo viên Khung Chuẩn năng lực ICT cho giáo viên (UNESCO ICT Competency Framework for Teachers) được UNESCO công bố lần đầu tiên vào năm 2008; năm 2011, UNESCO phối hợp với Microsoft công bố khung Chuẩn năng lực ICT cho giáo viên phiên bản 2.0 (ICT-CFT) với một số điều chỉnh so với phiên bản năm 2008. ICT-CFT chỉ ra những yêu cầu cần thiết về năng lực CNTT của giáo viên để giúp học sinh không chỉ nắm vững những kiến thức học được từ chương trình mà còn có thể biết cách kiến tạo ra những kiến thức mới. ICT-CFT được sắp xếp theo ba cấp độ khác nhau trong giảng dạy tương ứng với ba giai đoạn kế tiếp của sự phát triển của giáo viên. Đầu tiên là Hiểu biết về CNTT (Technology literacy). Người giáo viên có hiểu biết về CNTT có thể giúp học sinh sử dụng công nghệ thông tin để học tập hiệu quả hơn. Cấp độ thứ hai là Đào sâu kiến thức (Knowledge deepening), ở cấp độ này người giáo
  • 35.
    - 23 - viênsẽ tạo điều kiện cho học sinh có được kiến thức chuyên sâu của môn học của họ và áp dụng nó vào vấn đề phức tạp trong thế giới thực. Cấp độ thứ ba là Sáng tạo tri thức (Knowledge creation); giáo viên có thể giúp học sinh, những công dân và lực lượng lao động trong tương lai, tạo ra các kiến thức mới làm cho xã hội thêm hài hòa, hoàn thiện và phồn thịnh hơn. Với mỗi cấp độ, ICT- CFT được phân chia thành sáu khía cạnh (Bảng 1. 1). Bảng 1. 1. Khung Chuẩn năng lực ICT cho giáo viên của UNESCO Khung Chuẩn năng lực ICT cho giáo viên của UNESCO Hiểu biết về CNTT Đào sâu kiến thức Sáng tạo tri thức Hiểu biết về CNTT trong giáo dục Nhận thức về chính sách Hiểu biết về chính sách Đổi mới chính sách Chương trình và đánh giá Kiến thức cơ bản Vận dụng kiến thức Kiến thức về kỹ năng xã hội Phương pháp sư phạm Tích hợp công nghệ Giải quyết vấn đề phức tạp Tự quản lý CNTT Những công cụ cơ bản Những công cụ phức hợp Những công cụ phổ quát Tổ chức và quản lý Lớp học tiêu chuẩn Các nhóm cộng tác Tổ chức học tập Phát triển chuyên môn giáo viên Hiểu biết về kỹ thuật số Quản lý và hướng dẫn Giáo viên là tấm gương học tập UNESCO (2011)[45] trình bày một cách chi tiết các khai niệm được sử dụng trong ICT-CFT, với các ví dụ chi tiết, liệt kê những chỉ báo về thái độ, kiến thức, kỹ năng cần thiết về CNTT của giáo viên theo từng cấp độ và khía cạnh của khung ICT-CFT. Trong nghiên cứu này tác giả vận dụng Khung ICT-CFT như một căn cứ khoa học nhằm xác định các chỉ báo về năng lực ứng dụng CNTT trong HĐDH của giáo viên đồng thời cũng là một trong những căn cứ quan trọng để xây dựng khung lý thuyết nghiên cứu cho đề tài.
  • 36.
    - 24 - 1.5.Khung lý thuyết nghiên cứu của đề tài Như đã trình bày trong phần 1.1 của chương này, đến nay đã có nhiều tác giả trong và ngoài nước nghiên cứu để xác định các yếu tố tác động đến năng lực ứng dụng CNTT cũng như mức độ ứng dụng CNTT trong HĐDH. Điển hình có thể kể đến luận án tiến sĩ của Mohammed I. Isleem (2003)[38] . Trong nghiên cứu của mình, Isleem đã chọn 5 yếu tố cơ bản tác động đến mức độ ứng dụng CNTT của giáo viên đó là (1) sự thành thạo (expertise), (2) cơ hội tiếp cận (access), (3) thái độ (attitude), (4) sự hỗ trợ (support), và (5) đặc điểm cá nhân của giáo viên (teacher characteristics). Một tác giả khác, Jef Peeraer (2010)[40] , đã xác định các yếu tố tác động đến việc ứng dụng CNTT trong dạy học thực hành gồm: cơ hội tiếp cận với máy tính, cường độ sử dụng máy tính, kỹ năng ICT, sự tự tin về ICT, và đặc điểm cá nhân (gồm thái độ với ICT và quan niệm về việc học tập ở học sinh). Một nghiên cứu khác của Snoeyink và Ertmer (2004) đã chỉ ra 2 yếu tố quan trọng ảnh hưởng đến việc ứng dụng CNTT trong giáo dục là yếu tố “bên ngoài” như nguồn lực và sự hỗ trợ kỹ thuật; yếu tố “bên trong” như thái độ của giáo viên với việc ứng dụng CNTT vào dạy học… Khung Chuẩn năng lức ICT-CFT cho thấy việc ứng dụng CNTT trong HĐDH của giáo viên được thể hiện qua các chỉ báo cụ thể liên quan đến kỹ năng sử dụng máy tính và đặc điểm cá nhân của giáo viên như hiểu biết, ý thức, thái độ đối với việc tích hợp CNTT trong HĐDH. Kết quả phỏng vấn sâu chuyên gia trong lĩnh vực ứng dụng CNTT trong giáo dục cho thấy các yếu tố chính tác động đến mức động ứng dụng CNTT trong HĐDH của giáo viên gồm yếu tố khách quan và yếu tố chủ quan. Yếu tố khách quan gồm điều kiện cơ sở vật chất, chính sách, đặc điểm chung của học sinh, đặc thù môn học…; yếu tố chủ quan gồm năng lực, nhận thức, tính tích
  • 37.
    - 25 - cực,hứng thú của giáo viên về ứng dụng CNTT trong HĐDH. Những yếu tố rút ra được từ ý kiến chuyên gia nêu trên cũng tương đồng với một số nghiên cứu trước đây như đã được trình bày trong phần Tổng quan nghiên cứu vấn đề. Kế thừa kết quả các nghiên cứu trước đây, dựa vào Khung chuẩn năng lực ICT-CFT, và tham khảo các ý kiến chuyên gia, trong phạm vi của đề tài này, tác giả xác định các yếu tố tác động đến mức độ ứng dụng CNTT trong HĐDH của giáo viên THPT gồm: (1) điều kiện tiếp cận công nghệ thông tin, (2) kỹ năng sử dụng máy tính của giáo viên, (3) đặc điểm cá nhân của giáo viên, và (4) sự hỗ trợ của ban giám hiệu và đồng nghiệp. Như vậy, Khung lý thuyết nghiên cứu của đề tài được xác định như Hình 1. 1 dưới đây: Hình 1. 1. Mô hình khung lý thuyết nghiên cứu của đề tài Mức độ ứng dụng CNTT trong hoạt động dạy học của giáo viên Điều kiện tiếp cận CNTT Kỹ năng sử dụng máy tính Đặc điểm cá nhân của giáo viên Sự hỗ trợ của BGH và đồng nghiệp
  • 38.
    - 26 - 1.6.Các khái niệm sử dụng trong nghiên cứu 1.6.1. Ứng dụng CNTT trong hoạt động dạy học Công nghệ thông tin là thuật ngữ chỉ chung cho tập hợp các ngành khoa học và công nghệ liên quan đến khái niệm thông tin và các quá trình xử lí thông tin. Theo nghĩa đó, CNTT cung cấp cho chúng ta các quan điểm, phương pháp khoa học, các phương tiện, công cụ và giải pháp kĩ thuật hiện đại chủ yếu là các máy tính và phương tiện truyền thông nhằm tổ chức, khai thác và sử dụng có hiệu quả các nguồn tài nguyên thông tin trong mọi lĩnh vực hoạt động kinh tế, xã hội, văn hoá của con người[17] . Luật CNTT Việt Nam (2006) giải thích: Công nghệ thông tin là tập hợp các phương pháp khoa học, công nghệ và công cụ kỹ thuật hiện đại để sản xuất, truyền đưa, thu thập, xử lý, lưu trữ và trao đổi thông tin số; Ứng dụng công nghệ thông tin là việc sử dụng công nghệ thông tin vào các hoạt động thuộc lĩnh vực kinh tế - xã hội, đối ngoại, quốc phòng, an ninh và các hoạt động khác nhằm nâng cao năng suất, chất lượng, hiệu quả của các hoạt động này[18] . Thuật ngữ CNTT còn bao hàm nội dung truyền thông trong đó [8] vì vậy trong nghiên cứu này tác giả sử dụng thuật ngữ CNTT thay cho cả thuật ngữ “CNTT và truyền thông” (ICT) được nhiều tác giả sử dụng trong thời gian gần đây. Tóm lại, Ứng dụng CNTT trong HĐDH là việc sử dụng các phương pháp khoa học, công nghệ và công cụ kỹ thuật hiện đại để khai thác, sản xuất và trao đổi thông tin số, phục vụ hiệu quả cho HĐDH của giáo viên. Cụ thể hơn, ứng dụng CNTT trong HĐDH là việc sử dụng máy tính, phần mềm máy tính và các thiết bị CNTT khác trong việc soạn bài, dạy học, kiểm tra đánh giá, hỗ trợ học sinh học tập và cả việc nghiên cứu nhằm phát triển chuyên môn.
  • 39.
    - 27 - 1.6.2.Mức độ ứng dụng CNTT Mức độ ứng dụng CNTT có thể hiểu theo nghĩa khác nhau theo từng cách tiếp cận khác nhau. Các tác giả Isleem (2003), Castillo (2002) đã tiếp cận theo khía cạnh tần số trong nghiên cứu của mình, theo đó mức độ ứng dụng CNTT được chia thành các mức: (1) chưa bao giờ, (2) hiếm khi, (3) thỉnh thoảng, (4) thường xuyên, và (5) rất thường xuyên[38] hoặc (1) không bao giờ, (2) một lần/học kỳ, (3) 2-3 lần/học kỳ, (4) hằng tháng, (5) 2-3 lần/tháng, (6) hằng tuần, (7) 2-3 lần/tuần, (8) hằng ngày[36] . Nếu tiếp cận theo khía cạnh đánh giá kiến thức có thể chia theo các mức: (1) không có kiến thức, (2) kiến thức có giới hạn, (3) kiến thức đủ, (4) kiến thức tốt, (5) kiến thức rất tốt[36] . Trong luận văn này, tác giả tiếp cận mức độ ứng dụng CNTT ở khía cạnh sự tần số ứng dụng CNTT trong HĐDH. Mức độ được xác định theo 5 mức theo chiều hướng tăng dần về việc ứnng dụng CNTT trong HĐDH là: (1) chưa bao giờ, (2) 1 đến 2 lần/học kỳ, (3) hằng tháng, (4) hằng tuần, và (5) hằng ngày. 1.6.3. Các yếu tố được chọn trong nghiên cứu 1.6.3.1. Điều kiện tiếp cận công nghệ thông tin “Điều kiện tiếp cận” là từ tiếng Việt tương ứng với từ “accessibility” trong tiếng Anh. Nó được dùng để mô tả khả năng một ai đó, khi cần, có thể sử dụng được, có thể có được điều gì đó. “Tiếp cận” không đồng nghĩa với “khả năng sử dụng”, nó không mang nghĩa về mặt năng lực, kỹ năng. Điều kiện tiếp cận công nghệ thông tin được hiểu là cơ hội để tiếp cận, sử dụng các thiết bị CNTT như máy tính, internet, phòng dạy học đa phương tiện (multimedia), máy chiếu, phần mềm…. Các thiết bị CNTT này có thể là của cá nhân, của bạn bè, của cơ quan hoặc của ai đó nhưng người giáo viên có thể tiếp cận và sử dụng nó, phục vụ cho HĐDH của mình.
  • 40.
    - 28 - Đánhgiá cơ hội tiếp cận được tác giả chia làm 5 mức độ: (1) chưa có, (2) rất khó tiếp cận, (3) khó tiếp cận, (4) dễ tiếp cận, và (5) rất dễ tiếp cận. 1.6.3.2. Kỹ năng sử dụng máy tính Kỹ năng là năng lực hay khả năng chuyên biệt của một cá nhân về một hoặc nhiều khía cạnh nào đó được sử dụng để giải quyết tình huống hay công việc nào đó phát sinh trong cuộc sống. Kỹ năng sử dụng máy tính trong nghiên cứu này được hiểu là khả năng sử dụng máy tính và phần mềm máy tính trong xử lý công việc liên quan đến HĐDH. Kỹ năng cũng được chia thành 5 mức độ để đánh giá đó là (1) chưa biết, (2) biết ít, (3) chưa thành thạo, (4) thành thạo, và (5) rất thành thạo. 1.6.3.3. Đặc điểm cá nhân của giáo viên Đặc điểm cá nhân trong nghiên cứu bao gồm thái độ của giáo viên đối với việc ứng dụng CNTT trong HĐDH, các đặc điểm dân số học, các đặc điểm về chuyên môn và kinh nghiệm công tác... Trong từ điển tiếng Việt, “Thái độ” được định nghĩa là: “Cách nhìn nhận, hành động của cá nhân về một hướng nào đó trước một vấn đề, một tình huống cần giải quyết. Đó là tổng thể những biểu hiện ra bên ngoài của ý nghĩ, tình cảm của cá nhân đối với con người hay một sự việc nào đó”. Từ điển Bách khoa Việt Nam[17] giải nghĩa: Thái độ là tâm trạng bên trong được biểu lộ qua hành động, hành vi, cử chỉ ứng xử đối với người khác, đối với các sự kiện, quan điểm, với bản thân. Là giai đoạn trung gian giữa giai đoạn tiềm ẩn với giai đoạn thực hiện đầy đủ một ý nghĩa, ý định nào đó trong thực tế. Nghiên cứu này tiếp cận thái độ với nghĩa là “quan điểm, cách nhìn nhận, ứng xử của cá nhân đối với việc ứng dụng CNTT trong hoạt động giảng dạy”.
  • 41.
    - 29 - Đánhgiá thái độ cũng được tác giả chia làm 5 cấp độ: (1) rất không đồng ý, (2) không đồng ý, (3) phân vân, (4) đồng ý, và (5) rất đồng ý. 1.6.3.4. Sự hỗ trợ của ban giám hiệu và đồng nghiệp “Sự hỗ trợ” là từ tiếng Việt tương ứng với từ “support” trong tiếng Anh. Từ điển Encarta® (1999) đã định nghĩa “sự hỗ trợ” (support) bằng 3 khái niệm đó là “to give active help, encouragement, or money to somebody or something” có thể hiểu là cho ai/vật gì đó sự giúp đỡ tích cực, sự khích lệ hoặc tiền bạc. Yếu tố “sự hỗ trợ của đồng nghiệp và ban giám hiệu” được chọn trong nghiên cứu này là: sự hỗ trợ việc ứng dụng CNTT trong HĐDH bao gồm sự hỗ trợ của ban giám hiệu và sự hỗ trợ, giúp đỡ của đồng nghiệp. Đánh giá yếu tố này được tác giả chia thành 5 mức độ: (1) Chưa có, (2) hiếm khi, (3) chưa thường xuyên, (4) thường xuyên, và (5) rất thường xuyên. Kết luận Chương 1 Trong chương này tác giả đã giải quyết các vấn đề cơ bản làm cơ sở lý luận xây dựng khung lý thuyết nghiên cứu của đề tài đồng thời khẳng định tính đúng đắn của hướng nghiên cứu đề tài. Các vấn đề được giải quyết trong chương gồm: i) Kết quả nghiên cứu cho thấy vấn đề ứng dụng CNTT trong HĐDH đã được nhiều nhà nghiên cứu trong và ngoài nước quan tâm, đã có nhiều công trình khoa học được công bố trong lĩnh vực này. Tuy nhiên, phần lớn các nghiên cứu tập trung vào việc khẳng định vai tròng tích cực của việc ứng dụng CNTT trong HĐDH, về năng lực CNTT của người dạy, người học; một số khác tập trung nghiên cứu các giải pháp nhằm phát huy hiệu quả ứng dụng CNTT trong môn học, bài học cụ thể. Ở Việt Nam, đến thời điểm này chưa có nghiên cứu nào đánh giá các yếu tố tác động đến mức độ ứng dụng CNTT trong HĐDH
  • 42.
    - 30 - củagiáo viên. Điều này khẳng định tính cấp thiết và hướng nghiên cứu của đề tài là đúng. ii) Các nhà hoạch định chính sách cùng các cấp lãnh đạo từ trung ương đến địa phương đều rất quan tâm đến vấn đề ứng dụng CNTT vào HĐDH. Nhiều văn bản nhà nước được ban hành nhằm định hướng, hướng dẫn, khuyến khích giáo viên các bậc học tích cực ứng dụng CNTT trong HĐDH. iii) Dựa trên quan điểm của giáo dục học, lý luận dạy học, và các nghiên cứu liên quan tác giả đã xác định và làm rõ được các khái niệm sử dụng trong đề tài.
  • 43.
    - 31 - Chương2 PHƯƠNG PHÁP NGHIÊN CỨU 2.1. Giới thiệu chung về địa bàn nghiên cứu Bình Phước được tái lập theo quyết định của Quốc hội khóa IX, kỳ họp thứ 10 (6-11-1996) và chính thức đi vào hoạt động từ ngày 1 tháng 1 năm 1997. Theo Nghị quyết số 35/NQ-CP của Thủ tướng Chính phủ, ngày 11 tháng 8 năm 2009, hiện nay tỉnh Bình Phước có 10 đơn vị hành chính, bao gồm 3 thị xã và 07 huyện[1] : Thị xã Đồng Xoài, Thị xã Phước Long, Thị xã Bình Long và các huyện Đồng Phú, Chơn Thành, Hớn Quản, Lộc Ninh, Bù Đốp, Bù Gia Mập, Bù Đăng. Là một tỉnh thuộc Đông Nam bộ, diện tích tự nhiên là 6.871,543 km2 , có 240 km đường biên giới với Vương quốc Campuchia. Phía đông giáp tỉnh Lâm Đồng và Đồng Nai, phía tây giáp tỉnh Tây Ninh và tỉnh Côngpông Chàm (Campuchia), phía nam giáp tỉnh Bình Dương, phía bắc giáp tỉnh Đắc Lắc và 2 tỉnh Karatié, Munđunkiri (Campuchia). Bình Phước là nơi sinh sống của 41 dân tộc anh em, đông nhất là người Kinh (724,680 người), tiếp đó là người S’tiêng (84,425 người), Tày (24,000 người), Nùng (23,969 người), Khơ-me (16,096 người), Hoa (10,095 người), m’nông (8,885 người)[45] … mỗi dân tộc có nét văn hoá riêng rất đặc sắc. Là một tỉnh nằm trong khu kinh tế trọng điểm phía Nam phát triển với tốc độ cao nên có sự tác động tích cực đến sự phát triển kinh tế xã hội của tỉnh. Đất đai, khí hậu thích hợp với nhiều loại cây trồng vật nuôi có giá trị kinh tế cao. Thế mạnh của tỉnh là cây công nghiệp (điều, hồ tiêu, cao su, ca cao…), với tổng diện tích cây lâu năm ước đến hết năm 2012 là 391,174 ha, trong đó cây điều, cao su của tỉnh vẫn đóng vai trò thủ phủ của cả nước. Tỉnh hiện có 18 khu công nghiệp với tổng diện tích hơn 28,300ha. Về giáo dục, năm học 2011 - 2012 toàn tỉnh có 429 trường học và 6,558 lớp. Toàn tỉnh có 26/111 xã, phường, thị trấn được huyện, thị xã công nhận phổ
  • 44.
    - 32 - cậpgiáo dục mầm non 5 tuổi, 100% số xã, phường, thị trấn đạt chuẩn xóa nạn mù chữ, phổ cập giáo dục tiểu học và THCS, học sinh tốt nghiệp THCS đạt 99,7%. Đặc biệt năm học vừa qua tỷ lệ học sinh bỏ học các cấp giảm chỉ còn 0,5% (giảm so với các năm trước từ 2-3%)[13] . Năm học 2012 – 2013 toàn tỉnh có 447 trường và 7,823 lớp, 217,476 học sinh. Cán bộ, giáo viên, nhân viên công tác tại các trường trên toàn tỉnh đạt 15,304 cán bộ. Đến nay, toàn tỉnh có 35 trường đạt chuẩn quốc gia, tỷ lệ học sinh tốt nghiệp các cấp, số học sinh trúng tuyển cao đẳng, đại học và học sinh giỏi cấp quốc gia tăng hàng năm. Trong đó có trường THPT chuyên Quang Trung của tỉnh từng xếp hạng nhất cả nước về chất lượng điểm thi đại học năm 2011[3] . Về cơ sở vật chất không xảy ra tình trạng thiếu trường, lớp, không có lớp học ca 3. Tuy nhiên, ở một số địa phương vẫn còn nhiều khó khăn về cơ sở vật chất trường, lớp học[2] . 2.2. Mẫu nghiên cứu Bình Phước hiện có 22 trường THPT công lập (hiện chưa có trường ngoài công lập) phân bổ trên 7 huyện, 3 thị xã, với tổng số 614 giáo viên dạy các môn Toán, Vật lý, Hóa học, Sinh học (không kể môn Tin học). Thực tế cho thấy đặc điểm về điều kiện dạy học ở các trường thuộc khu vực thị xã và các trường thuộc khu vực ngoài thị xã có sự khác biệt khá rõ rệt, vì vậy tác giả chia tổng thể thành hai tầng và tiến hành chọn mẫu theo phương pháp chọn mẫu ngẫu nhiên phân tầng không theo tỷ lệ. Sử dụng phần mềm tính cỡ mấu Sample Size Calculator[41, 43] , với tổng thể là 614 giáo viên, sai số mẫu là 5% và độ tin cậy là 95% thì cỡ mẫu là 237 giáo viên. Cộng thêm khoảng 10% dự phòng ta có cỡ mẫu điều tra là 260 giáo viên. Thực tế mỗi trường THPT trên địa bàn tỉnh Bình Phước có khoảng trên 30 giáo viên các môn tự nhiên. Toàn tỉnh có 6 trường THPT thuộc khu vực thị
  • 45.
    - 33 - xã.Như vậy để lấy đủ 260 giáo viên theo 2 tầng (thị xã và không thuộc thị xã) tác giả chọn mẫu giáo viên từ 13 trường THPT trong đó có 6 trường thuộc 3 thị xã và 7 trường trên địa bàn 7 huyện còn lại của tỉnh Bình Phước (mỗi huyện một trường). Khung mẫu được xác định là danh sách giáo viên các môn tự nhiên thuộc 13 trường được chọn, năm học 2011 - 2012. Bảng 2. 1. Số lượng giáo viên các môn tự nhiên ở 13 trường chọn mẫu a TT Đơn vị Khu vực Toán Vật lí Hóa học Sinh học Tổng số 1 THPT Đồng Xoài TX 14 11 9 5 39 2 THPT Bình Long TX 13 11 7 5 36 3 THPT Phước Long TX 11 12 7 6 36 4 THPT Hùng Vương TX 11 7 8 5 31 5 THPT Nguyễn Du TX 10 9 6 6 31 6 THPT Nguyễn Huệ TX 10 6 5 5 26 7 THPT Phước Bình K.TX 12 15 12 8 47 8 THPT Lộc Ninh K.TX 13 10 8 5 36 9 THPT Bù Đăng K.TX 11 9 8 5 33 10 THPT Đồng Phú K.TX 10 7 8 4 29 11 THPT Chơn Thành K.TX 7 5 5 3 20 12 THPT Nguyễn Hữu Cảnh K.TX 11 8 7 5 31 13 THPT Thanh Hòa K.TX 11 10 6 9 36 Tổng Cộng TX 69 56 42 32 199 K.TX 75 64 54 39 232 Tổng 144 120 96 71 431 a: TX = Thị xã, K.TX = Không thuộc thị xã Từ số lượng giáo viên trong Bảng 2. 1 ta tính được số lượng giáo viên cần được chọn làm mẫu nghiên cứu cho từng môn theo từng khu vực. Vì chọn mẫu phân tầng không theo tỷ lệ nên ta chọn mỗi khu vực 50% cỡ mẫu (260/2 = 130) như vậy đối với tầng thị xã ta lấy 65,32%, ở tầng không thuộc thị xã lấy 56,03% số giáo viên trong khung mẫu.
  • 46.
    - 34 - Nhântổng từng môn theo tỷ lệ từng khu vực ta có được số lượng giáo viên từng môn theo khu vực được chọn làm mẫu theo Bảng 2. 2. Bảng 2. 2. Số lượng giáo viên được chọn vào mẫu Khu vực Tỷ lệ Toán Vật lí Hóa học Sinh học Tổng số Thị xã 65,32 45 37 27 21 130 Không thuộc thị xã 56,03 42 36 30 22 130 Tổng cộng 87 73 57 43 260 Có được số lượng mẫu theo từng môn ta tiến hành chọn ngẫu nhiên hệ thống theo môn dựa trên danh sách giáo viên. Ta tính khoảng cách (bước nhảy) k= số lượng đơn vị khung mẫu số lượng đơn vị mẫu cho việc chọn mẫu ngẫu nhiên hệ thống. Trong trường hợp này ở cả 4 môn đều tính được k < 2, nghĩa là sau khi bốc thăm ngẫu nhiên vị trí xuất phát, thì bắt đầu từ đó, cứ cách một người lại chọn một người vào mẫu nghiên cứu đến khi đủ số lượng. 2.3. Quy trình nghiên cứu Luận văn sử dụng phương pháp nghiên cứu chính là định lượng và định tính. Việc nghiên cứu định tính được tiến hành nhằm xây dựng cơ sở lý luận, tham khảo ý kiến chuyên gia và phỏng vấn giáo viên trong nghiên cứu sơ bộ để xây dựng công cụ đo lường (bảng hỏi) phục vụ nghiên cứu định lượng. Chuyên gia được chọn trong nghiên cứu này là các cán bộ, chuyên viên phòng CNTT, sở GD-ĐT và các báo cáo viên chương trình tập huấn “Thiết kế bài giảng điện tử E-Learning” do Sở GD-ĐT Bình Phước tổ chức trong năm 2013. Nghiên cứu được tiến hành theo bốn bước, bước một là nghiên cứu định tính (khảo cứu tài liệu) nhằm xây dựng cơ sở lý thuyết, tổng quan nghiên cứu vấn đề, và xác định các chỉ báo; bước hai là nghiên cứu sơ bộ bằng định tính nhằm thăm dò và điều chỉnh bảng hỏi; bước ba là nghiên cứu thử nghiệm bằng
  • 47.
    - 35 - địnhlượng và bước bốn là nghiên cứu chính thức bằng định lượng. Kết quả khảo sát được mã hóa và xử lý bằng phần mềm MS Excel và SPSS (Hình 2. 1). Cơ sở lý thuyết Mô hình lý thuyết Các chỉ báo thang đo Bảng hỏi thô Nghiên cứu sơ bộ: Phát bảng hỏi thăm dò, phỏng vấn Điều chỉnhBảng hỏi thử nghiệm Điều tra thử nghiệm Bảng hỏi chính thức Nghiên cứu chính thức Kiểm định thang đó Cronbach’s Alpha & EFA Phù hợp Chưa phù hợp Điều chỉnh mô hình Kiểm định mô hình Phân tích hồi quy Kết luận Hình 2. 1. Sơ đồ quy trình nghiên cứu i) Nghiên cứu sơ bộ theo phương pháp định tính, thông qua phương pháp phỏng vấn sâu và phát bảng hỏi thăm dò. Đầu tiên, tác giả tiến hành nghiên cứu tài liệu, dựa trên các cơ sở lý luận thiết kế khung lý thuyết nghiên cứu của đề tài (Hình 1. 1), xác định các chỉ báo và xây dựng bảng hỏi thô (Phụ lục 1, Phụ lục 2); sau đó tiến hành xin ý kiến
  • 48.
    - 36 - chuyêngia về sự cần thiết và phù hợp của từng câu hỏi trong bảng hỏi và tiến hành hiệu chỉnh. Sử dụng bảng hỏi thăm dò (Phụ lục 2) để khảo sát đồng thời phỏng vấn sâu 15 giáo viên. Nghiên cứu sơ bộ này dùng để đánh giá cách sử dụng thuật ngữ trong bảng hỏi để điều chỉnh một số thuật ngữ cũng như cấu trúc bảng hỏi cho thích hợp, tránh trường hợp người được khảo sát hiểu sai ý cần hỏi; đồng thời loại bỏ những chỉ báo không phù hợp (được trình bày chi tiết trong mục 2.3.1) và hoàn thành bảng hỏi trước khi tiến hành điều tra thử nghiệm bằng bảng hỏi đã điều chỉnh (Phụ lục 4). ii) Nghiên cứu thử nghiệm được tiến hành khi đã có một bảng hỏi tương đối hoàn chỉnh. Tác giả tiến hành nghiên cứu thử nghiệm trên mẫu thử với 60 giáo viên thuộc 2 nhóm đối tượng (thị xã và không thuộc thị xã). Từ số liệu nghiên cứu thử nghiệm này tác giả dùng phần mềm SPSS phân tích, đánh giá. Dựa vào chỉ số Cronbach's Alpha và hệ số tương quan biến tổng (item-total correlation), kết quả phân tích sẽ cho biết những câu hỏi nào cần phải hiệu chỉnh hoặc loại bỏ. iii) Nghiên cứu chính thức được tiến hành bằng phương pháp định lượng thông qua kỹ thuật phát bảng hỏi và xử lý số liệu bằng phần mềm SPSS. Số bảng hỏi phát ra là 290 theo mẫu nghiên cứu đã được trình bày trong mục 2.2. Số bảng hỏi thu về được kiểm lọc để loại bỏ những bảng hỏi không phù hợp do người trả lời bỏ trống nhiều hoặc chọn phương án trả lời mâu thuẫn. Kết quả khảo sát được dùng để phân tích nhân tố khám phá (EFA) và phân tích hồi quy. 2.4. Xây dựng công cụ đo lường 2.4.1. Xác định các chỉ báo Bảng hỏi được thiết kế nhằm thu thập theo các yếu tố được xác định như khung lý thuyết bao gồm: Mức độ ứng dụng CNTT trong HĐDH, kỹ năng sử
  • 49.
    - 37 - dụngmáy tính, điều kiện tiếp cận với CNTT của giáo viên, sự hỗ trợ của BGH và động nghiệp, và đặc điểm cá nhân của giáo viên. Qua nghiên cứu tổng quan và cơ sở lý luận được trình bày trong Chương 2, tác giả đã xác định được 72 chỉ báo (xem Phụ lục 1). Sau khi tiến hành xin ý kiến chuyên gia, khảo sát thăm dò và phỏng vấn sâu 15 giáo viên, 30 chỉ báo đã được loại bỏ và giữ lại 42 chỉ báo để xây dựng công cụ đo lường gồm: - Khái niệm “Mức độ ứng dụng CNTT trong HĐDH” Các chỉ báo được loại bỏ gồm: 6. Dạy học có dùng máy chiếu (projector) 7. Dạy học có dùng bài giảng điện tử hay phần mềm mô phỏng 8. Dạy học trên phòng máy vi tính hoặc phòng nghe nhìn (multimedia) 11. Trả lời email cho học sinh, phụ huynh học sinh 12. Trả lời email cho đồng nghiệp 13. Tổ chức kiểm tra bằng phần mềm máy tính 14. Phân tích, đánh giá đề trắc nghiệm sau khi kiểm tra 15. Phân tích thông tin về kết quả học tập của học sinh 16. Phân tích, đánh giá đề thi sau khi kiểm tra (bằng excel hoặc bằng phần mềm nào đó). Chỉ báo số 6 được loại bỏ vì đã bao hàm trong chỉ báo số 7. Các chỉ báo số 8, 9 được loại bỏ vì phần lớn các trường đều chưa có phòng nghe nghìn, và “dạy học trực tuyến còn rất xa lạ với giáo dục phổ thông ở Việt Nam”[14] . Chỉ báo 11, 12 được thay bằng “Trả lời email cho học sinh, phụ huynh hoặc đồng nghiệp”. Chỉ báo 13,14, 15, 16 được thay bằng “Phân tích, đánh giá đề thi sau khi kiểm tra (bằng excel hoặc bằng phần mềm nào đó)”
  • 50.
    - 38 - Nhưvậy, khái niệm “Mức độ ứng dụng CNTT trong HĐDH” sẽ được đo bằng 09 chỉ báo sau: 1. Soạn giáo án 2. Soạn bài giảng điện tử 3. Tra cứu thông tin, tư liệu cho việc soạn giảng 4. Làm phim, ảnh tư liệu, hoạt hình phục vụ dạy học 5. Biên soạn đề trắc nghiệm bằng phần mềm 6. Dạy học có dùng bài giảng điện tử hay phần mềm mô phỏng 7. Viết bài trả lời, hướng dẫn học tập lên diễn đàn, hoặc chia sẻ tài nguyên, bài giảng lên website 8. Trả lời email cho học sinh, phụ huynh hoặc đồng nghiệp 9. Phân tích, đánh giá đề thi sau khi kiểm tra (bằng excel hoặc bằng phần mềm nào đó). - Khái niệm “Điều kiện tiếp cận với CNTT”: Các chỉ báo được loại bỏ gồm: 7. Phòng nghe nhìn (multimedia) 9. Bảng thông minh 10. Máy tính cá nhân (máy để bàn) 11. Laptop cá nhân (máy tính xách tay) Các chỉ báo số 7, 9 được loại bỏ vì lý do hầu hết các trường THPT không có các thiết bị này. Các chỉ báo 10, 11 được thay bằng “Máy tính cá nhân”. Như vậy, khái niệm “Điều kiện tiếp cận với CNTT” với cả thiết bị của nhà trường và thiết bị cá nhân sẽ được đo bằng 11 chỉ báo như sau: Thiết bị của nhà trường: 1. Máy tính dành cho giáo viên (dùng chung)
  • 51.
    - 39 - 2.Kết nối với Internet tại trường 3. Máy in dùng chung 4. Máy quay phim/chụp hình 5. Phòng máy tính dùng cho dạy học 6. Máy chiếu (projector) 7. Phần mềm phục vụ soạn giảng (có bản quyền) Thiết bị của cá nhân hoặc bạn bè, đồng nghiệp: 8. Máy tính cá nhân 9. Kết nối Internet tại nhà riêng/ nơi ở 10.Máy in 11.Máy quay phim/chụp hình. - Khái niệm “Sự hỗ trợ từ BGH và đồng nghiệp”: Các chỉ báo được loại bỏ gồm: 2. Tổ chức thi bài giảng điện tử 5. Hỗ trợ giáo viên cài đặt và cập nhật phần mềm Chỉ báo số 2 được loại bỏ vì hầu hết các trường trên địa bàn Bình Phước không tổ chức thi bài giảng điện tử. Chỉ báo số 5 được loại bỏ vì nó được bao hàm trong các chỉ báo số 6 và số 7. Như vậy, khái niệm “Sự hỗ trợ từ BGH và đồng nghiệp” sẽ được đo bằng 06 chỉ báo sau: 1. Có chính sách khuyến khích giáo viên ứng dụng CNTT trong dạy học 2. Tổ chức tập huấn/hội thảo về kỹ năng ứng dụng CNTT trong dạy học 3. Cung cấp phần mềm có bản quyền cho giáo viên
  • 52.
    - 40 - 4.Có hỗ trợ của đội ngũ hỗ trợ kỹ thuật (GV kiêm nhiệm) 5. Có hỗ trợ của nhân viên kỹ thuật tin học (chuyên trách) 6. Đồng nghiệp hướng dẫn nhau sử dụng CNTT. - Khái niệm “Kỹ năng sử dụng máy tính”: Các chỉ báo được loại bỏ gồm: 8.Phần mềm hỗ trợ soạn công thức toán học, hóa học… (như Mathtype, Chemwin,… hoặc tương tự) 9.Phần mềm hỗ trợ vẽ hình trong word (như Science Helper for word) 12. Phần mềm hỗ trợ xây dựng ngân hàng đề trắc nghiệm (như iQB Leo, TestPro Bank hoặc tương tự) 13. Phần mềm hỗ trợ quản lý lớp học (như Netop School, NetSupport School hoặc tương tự) 14. Phần mềm hỗ trợ dạy-học chuyên môn (như các phần mềm của Crocodile, School Net…) 16. Hệ thống quản lý học tập trực tuyến (như Black Board, Moodle, web 2.0 hoặc tương tự) Các chỉ báo số 8, 9 được thay bằng “Phần mềm hỗ trợ soạn công thức toán học, hóa học, vẽ hình … (như Mathtype, Chemwin, Science Helper… hoặc tương tự)”. Các chỉ báo 12, 13, 14, 16 được loại bỏ vì đây là những phần mềm lớn, khá phức tạp, đòi hỏi kỹ thuật cao nên các giáo viên được hỏi đều không biết và chưa từng sử dụng. Như vậy, khái niệm “Kỹ năng sử dụng máy tính” sẽ được đo bằng 11 chỉ báo sau: 1. Xử lý những sự cố đơn giản của máy tính
  • 53.
    - 41 - 2.Quản lý thư mục (folder), tập tin (file) như: tạo mới, di chuyển, đổi tên… 3. Sử dụng email: đọc, gửi, và các chức năng khác của email 4. Tìm kiếm và lấy thông tin từ internet 5. Sử dụng phần mềm soạn thảo văn bản (như MS Word hoặc phần mềm tương tự) 6. Sử dụng phầm mềm soạn bài trình chiếu (như MS PowerPoint hoặc tương tự) 7. Sử dụng phầm mềm bảng tính (như MS Excel hoặc tương tự) 8. Phần mềm hỗ trợ soạn công thức toán học, hóa học, vẽ hình … (như Mathtype, Chemwin, Science Helper… hoặc tương tự) 9. Phần mềm hỗ trợ soạn bài giảng điện tử (như Violet, Adobe presenter, iSpring, Lecture Maker, hoặc tương tự) 10.Phần mềm soạn đề trắc nghiệm (như McMix hoặc tương tự) 11.Hệ quản trị CSDL (như MS Access, SQL, My SQL…) - Khái niệm “Đặc điểm cá nhân”: Các chỉ báo được loại bỏ gồm: 3.Ứng dụng CNTT làm cho người giáo viên vất vả hơn 5.CNTT rất cần cho việc nâng cao trình độ chuyên môn 8.CNTT giúp tôi thu thập thông tin nhanh và chính xác hơn Đặc điểm cá nhân được chia làm 2 phần là (1) thái độ và (2) thông tin cá nhân và đặc điểm nghề nghiệp. Các chỉ báo số 3, 5, 8, 9 được loại bỏ vì nó được bao hàm trong các chỉ báo khác. Như vậy, khái niệm “Thái độ” sẽ được đo bằng 05 chỉ báo và các thông tin cá nhân và đặc điểm nghề nghiệp được đo bằng 06 chỉ báo như sau:
  • 54.
    - 42 - -Các chỉ báo về thái độ của cá nhân với việc ứng dụng CNTT trong HĐDH gồm: 1. Ứng dụng CNTT trong dạy học chưa thật sự cần thiết 2. CNTT giúp mô phỏng những hiện tượng khó diễn tả một cách dễ dàng và sinh động hơn 3. Tôi muốn tham gia tập huấn ứng dụng CNTT trong dạy học 4. CNTT cung cấp nhiều tài nguyên và công cụ cho dạy học 5. CNTT giúp tôi làm việc năng suất hơn. - Các chỉ báo thông tin cá nhân và đặc điểm nghề nghiệp gồm: 1. Tuổi 2. Giới tính 3. Chuyên môn (giáo viên dạy môn gì) 4. Nơi công tác (thị xã hay không thuộc thị xã) 5. Số năm giảng dạy 6. Số năm sử dụng máy tính. 2.4.2. Xây dựng bảng hỏi Trên cơ sở các chỉ báo và phân tích, thiết kế thang đo, tác giả xây dựng Phiếu khảo sát Mức độ ứng dụng CNTT trong HĐDH của giáo viên (Phụ lục 4). Cấu trúc tổng quát được trình bày ở Bảng 2. 3. Trong phần thông tin cá nhân, thông tin về tuổi được chia thành 5 nhóm: 20-29, 30-39, 40-49, 50-59, và trên 59; thông tin về chuyên môn gồm các môn Toán học, Vật Lý, Hóa học, và Sinh học; nơi công tác được chia thành Thị xã và Không thuộc thị xã; số năm giảng dạy và số năm sử dụng máy tính được chia thành 5 nhóm: 1-5, 6-10, 11- 15, 16-20, và trên 20.
  • 55.
    - 43 - Bảng2. 3. Cấu trúc bảng hỏi CẤU TRÚC BẢNG HỎI I. Thông tin cá nhân Gồm các câu hỏi về giới tính, tuổi, chuyên môn, nơi công tác, số năm công tác và số năm sử dụng máy tính. II. Ứng dụng CNTT trong hoạt động dạy học Gồm 9 câu hỏi theo thang đo: Chưa bao giờ, 1-2 lần/học kỳ, Hằng tháng, Hằng tuần, Hằng ngày. III. Điều kiện tiếp cận với CNTT A. Thiết bị của trường Gồm 07 câu hỏi theo thang đo: Không có, Rất khó tiếp cận, Khó tiếp cận, Dễ tiếp cận, Rất dễ tiếp cận. B. Thiết bị của cá nhân hoặc gia đình, đồng nghiệp, bạn bè Gồm 04 câu hỏi theo thang đo: Không có, Rất khó tiếp cận, Khó tiếp cận, Dễ tiếp cận, Rất dễ tiếp cận. IV. Sự hỗ trợ từ đồng nghiệp và Ban giám hiệu Gồm 06 câu hỏi theo thang đo: Chưa có, Hiếm khi, Chưa thường xuyên, Thường xuyên, Rất thường xuyên. V. Kỹ năng sử dụng máy tính Gồm 11 câu hỏi theo thang đo: Chưa biết, Biết ít, Chưa thành thạo, Thành thạo, Rất thành thạo. VI. Nhận định cá nhân Gồm 05 câu hỏi theo thang đo: Rất không đồng ý, Không đồng ý, Phân vân, Đồng ý, Rất đồng ý. Và 01 câu hỏi mở về đề xuất nâng cao mức độ ứng dụng CNTT trong HĐDH của giáo viên.
  • 56.
    - 44 - 2.5. Khảo sát thử và đánh giá công cụ đo lường 2.5.1. Khảo sát thử nghiệm Sử dụng bảng hỏi (Phụ lục 4) tiến hành khảo sát thử nghiệm trên mẫu thử với 60 giáo viên thuộc 2 nhóm đối tượng (thị xã và không thuộc thị xã theo tỷ lệ 1:1). Bảng 2. 4. Thông tin mẫu khảo sát thử nghiệm Địa bàn công tác Thuộc thị xã Không thuộc thị xã Giới tính Nam 15 14 Nữ 15 16 Số liệu thô được nhập và kiểm tra bằng phần mềm bảng tính MicroSoft Excel, sau đó chuyển vào phần mềm SPSS để phân tích, xử lý. Các biến được mã hóa thành giá trị từ 1 đến 5 theo mức độ tăng dần cho các thang đo. Riêng biến td1 (chỉ báo số 01 của khái niệm “thái độ”) sẽ được recode lại giá trị (5 = 1, 5 = 1, 4 = 2, 2 = 4, 3 = 3) vì đây là “câu hỏi ngược” được tác giả đưa vào bảng hỏi để làm dấu hiệu phát hiện người trả lời đánh đại (không đọc câu hỏi mà chỉ trả lời cho có). 2.5.2. Đánh giá độ tin cậy của bảng hỏi Tính toán độ tin cậy của bộ câu hỏi là bước quan trọng nhằm khẳng định độ tin cậy của công cụ đo lường đồng thời cũng khẳng định độ tin cậy của thông tin thu thập được thông qua công cụ đo lường này. Tác giả tiến hành phân tích chỉ số Cronbach's Alpha bằng phần mềm SPSS. Kết quả phân tích Cronbach’s Alpha cho từng nhân tố như sau:
  • 57.
    - 45 - -Mức độ ứng dụng CNTT trong HĐDH (09 biến): α = 0. 855; Thống kê Biến-Tổng Biến Trung bình được điều chỉnh nếu xóa biến Phương sai được điều chỉnh nếu xóa biến Tương quan biến tổng Cronbach's Alpha nếu xóa biến md1 22,53 50,524 0,167 0,871 md2 23,87 40,863 0,739 0,823 md3 22,70 47,366 0,423 0,853 md4 24,53 40,999 0,707 0,826 md5 24,33 42,429 0,546 0,843 md6 24,07 39,758 0,755 0,820 md7 24,57 42,453 0,635 0,834 md8 23,97 40,134 0,617 0,836 md9 24,63 43,185 0,571 0,840 Xét hệ số tương quan biến tổng của các biến cho thấy chỉ có biến md1 = 0,167, các biến còn lại đều có hệ số tương quan biến tổng lớn hơn 0,3 (từ 0,423 đến 0,755). Về lý thuyết, các biến có hệ số tương quan biến tổng nhỏ hơn 0,3 cần được loại bỏ (Nunnally & Bernstein 1994)[31] . Tuy nhiên bảng hỏi chỉ có 1 trên tổng số 42 biến có chỉ số nhỏ hơn 0,3, mặt khác mẫu điều tra thử nghiệm chỉ là 60 nên tác giả vẫn giữ lại biến md1 để tiến hành khảo sát chính thức. Trường hợp với số liệu điều tra chính thức mà biến md1 vẫn có chỉ số nhỏ hơn 0,3 thì sẽ loại bỏ biến này trước khi phân tích bàn luận kết quả chính thức.
  • 58.
    - 46 - -Kỹ năng sử dụng máy tính (11 biến): α = 0,890; Thống kê Biến-Tổng Biến Trung bình được điều chỉnh nếu xóa biến Phương sai được điều chỉnh nếu xóa biến Tương quan biến tổng Cronbach's Alpha nếu xóa biến kn1 34,43 58,012 0,549 0,884 kn2 33,18 61,813 0,505 0,886 kn3 33,45 56,252 0,654 0,878 kn4 33,27 60,368 0,648 0,880 kn5 33,33 60,158 0,692 0,879 kn6 33,88 56,071 0,783 0,871 kn7 34,08 56,383 0,668 0,877 kn8 34,18 55,508 0,723 0,873 kn9 34,78 53,291 0,771 0,869 kn10 34,80 58,332 0,382 0,901 kn11 35,60 57,363 0,564 0,884 - Điều kiện tiếp cận CNTT (11 biến): α = 0,840; Thống kê Biến-Tổng Biến Trung bình được điều chỉnh nếu xóa biến Phương sai được điều chỉnh nếu xóa biến Tương quan biến tổng Cronbach's Alpha nếu xóa biến tc1 33,68 64,152 0,580 0,822 tc2 33,22 66,308 0,556 0,825 tc3 34,83 61,734 0,538 0,825 tc4 35,13 62,084 0,634 0,817 tc5 33,85 64,265 0,556 0,824 tc6 33,27 67,690 0,472 0,831 tc7 34,95 65,201 0,427 0,835 tc8 32,82 68,390 0,499 0,830 tc9 33,05 64,353 0,522 0,826 tc10 33,35 63,486 0,438 0,836 tc11 34,52 59,271 0,576 0,823
  • 59.
    - 47 - -Sự hỗ trợ của BGH và đồng nghiệp: (06 biến): α = 0,850; Thống kê Biến-Tổng Biến Trung bình được điều chỉnh nếu xóa biến Phương sai được điều chỉnh nếu xóa biến Tương quan biến tổng Cronbach's Alpha nếu xóa biến ht1 14,88 19,054 0,611 0,830 ht2 15,55 18,930 0,720 0,815 ht3 16,43 17,741 0,552 0,846 ht4 15,97 16,711 0,705 0,811 ht5 15,95 17,404 0,707 0,811 ht6 15,22 19,529 0,564 0,838 - Nhận định cá nhân (05 biến): α = 0,840; Thống kê Biến-Tổng Biến Trung bình được điều chỉnh nếu xóa biến Phương sai được điều chỉnh nếu xóa biến Tương quan biến tổng Cronbach's Alpha nếu xóa biến td1 16,97 7,219 0,488 0,851 td2 16,82 6,423 0,629 0,815 td3 16,68 6,898 0,641 0,809 td4 16,57 6,724 0,737 0,785 td5 16,63 6,609 0,764 0,777 Như vậy, tất cả các thang đo đều đạt yêu cầu về hệ số tin vậy Cronbach’s alpha (Bảng 2. 5). Thấp nhất là α = 0,840, cao nhất là α = 0,890; chỉ số Cronbach’s Alpha của tất cả 42 item = 0,941, đây là chỉ số cao cho thấy bộ câu hỏi có độ tin cậy cao.
  • 60.
    - 48 - Bảng2. 5. Hệ số Cronbach’s Alpha các thang đo STT Tên nhân tố Số lượng biến Cronbach’s Alpha 1 Mức độ ứng dụng CNTT trong HĐDH 09 0,855 2 Kỹ năng sử dụng máy tính 11 0,890 3 Điều kiện tiếp cận CNTT 11 0,840 4 Sự hỗ trợ của BGH và đồng nghiệp 06 0,850 5 Nhận định cá nhân 05 0,840 Kết luận chương 2 Chương 2 trình bày phương pháp nghiên cứu của đề tài bao gồm phương pháp và quy trình thiết kế mẫu và xây dựng công cụ đo lường. Nội dung chương này đã giải quyết các vấn đề sau: Từ kết quả nghiên cứu đặc điểm giáo viên các môn tự nhiên bậc THPT tỉnh Bình Phước cũng như những đặc điểm hạ tầng CNTT tại các trường, tác giả tiến hành chọn phương pháp chọn mẫu là chọn mẫu phân tầng không theo tỷ lệ (gồm 2 tầng: Thị xã và Không thuộc thị xã) và phương pháp lấy mẫu từ khung mẫu là phương pháp ngẫu nhiên hệ thống. Xác định các chỉ báo (biến quan sát) của các khái niệm (yếu tố). Từ 72 chỉ báo ban đầu (Phụ lục 1), qua nghiên cứu sơ bộ tác giả đã loại bỏ 30 chỉ báo và giữ lại 42 chỉ báo. Xây dựng công cụ đo lường (phiếu khảo, bảng hỏi) mức độ ứng dụng CNTT trong HĐDH và các yếu tố ảnh hưởng đến mức độ ứng dụng CNTT trong HĐDH (Phụ lục 4). Khảo sát thử nghiệm và đánh giá độ tin cậy của công cụ đo lường. Kết quả đánh giá cho thấy công cụ đo lường được xây dựng là phù hợp để tiến hành nghiên cứu chính thức.
  • 61.
    - 49 - Chương3 KẾT QUẢ KHẢO SÁT VÀ PHÂN TÍCH SỐ LIỆU 3.1. Đặc điểm mẫu nghiên cứu Số bảng hỏi phát ra là 290, số bảng hỏi thu về là 277 bảng hỏi, trong đó có 19 phiếu phải loại bỏ vì người trả lời bỏ trống nhiều hoặc phương án chọn trả lời tự mâu thuẫn. Như vậy cỡ mẫu cuối cùng dùng để xử lý là 258 (thỏa mãn điều kiện kích thước mẫu cần thiết là 237). Bảng 3. 1. Phân bổ mẫu theo vùng công tác và chuyên môn Môn Toán Lý Hóa Sinh Tổng cộng Địa bàn Thuộc thị xã 45 37 28 20 130 Không thuộc thị xã 42 36 29 21 128 Tổng 87 73 57 41 258 Hình 3. 1. Phân bổ mẫu khảo sát theo huyện, thị xã 0 10 20 30 40 50 60 70 80 ThịxãĐồngXoài ThịxãBìnhLong ThịxãPhướcLong HuyệnĐồngPhú HuyệnBùĐăng HuyệnBùGiaMập HuyệnBùĐốp HuyệnLộcNinh HuyệnHớnQuản HuyệnChơnThành 1 2 3 4 5 6 7 8 9 10 Số phiếu phát ra Số phiếu thu về Số phiếu đạt
  • 62.
    - 50 - 3.2.Đánh giá thang đo Thang đo được đánh giá thông qua hai kỹ thuật gồm (1) tính hệ số tin cậy Cronbach’s Alpha và (2) phương pháp phân tích nhân tố khám phá (EFA). Hệ số Cronbach’s Alpha được sử dụng trước để loại các biến không phù hợp. Các biến có hệ số tương quan biến tống (item-total correlation) nhỏ hơn 0,30 sẽ bị loại và tiêu chuẩn chọn thang đo khi biến có độ tin cậy alpha từ 0,60 trở lên[31] . Sau đó các biến có trọng số nhân tố (factor loading) trong phân tích nhân tố khám phá nhỏ hơn 0,40 sẽ bị tiếp tục loại. Phương pháp trích hệ số sử dụng là phương pháp trích nhân tố, phép quay Varimax và điểm dừng khi trích các yếu tố có eigenvalue là 1. Thang đo được chấp nhận khi tổng phương sai trích bằng hoặc lớn hơn 50% (Gerbing & Anderson, 1988; trích lại từ Isleem[38] ). 3.2.1. Hệ số tin cậy Cronbach’s Alpha 3.2.1.1. Thang đo “Mức độ ứng dụng CNTT trong hoạt động dạy học” Thang đo “Mức độ ứng dụng CNTT trong HĐDH” gồm 09 biến, từ md1 đến md9, tương ứng với câu hỏi 01 đến 09 trong phần II của bảng hỏi (Phụ lục 4). Bảng 3. 2. Phân tích thống kê biến tổng Biến Trung bình được điều chỉnh nếu xóa biến Phương sai được điều chỉnh nếu xóa biến Tương quan biến tổng Cronbach's Alpha nếu xóa biến md1 21,24 37,327 0,298 0,829 md2 22,45 32,785 0,648 0,790 md3 21,10 36,718 0,427 0,815 md4 23,36 35,888 0,539 0,805 md5 22,71 32,458 0,557 0,801 md6 22,73 32,090 0,672 0,786 md7 23,27 32,632 0,578 0,798 md8 22,64 31,872 0,536 0,805 md9 23,31 35,357 0,491 0,808
  • 63.
    - 51 - Hệsố Cronbach’s alpha tính được là 0,822. Hệ số tương quan biến tổng của biến md1 = 0,298, các biến có hệ số trong khoảng từ 0,427 đến 0,648. Vì vậy sau khi loại bỏ biến md1, 08 biến còn lại đều được sử dụng trong phân tích EFA tiếp theo. 3.2.1.2. Thang đo các yếu tố ảnh hưởng đến mức độ ứng dụng CNTT trong HĐDH Thang đo các yếu tố ảnh hưởng đến mức độ ứng dụng CNTT trong HĐDH gồm 33 biến, gồm 11 biến đo kỹ năng sử dụng máy tính (kn1 – kn11), 11 biến đo điều kiện tiếp cận CNTT (tc1 – tc11), 6 biến đo sự hỗ trợ của BGH và đồng nghiệp (ht1 – ht6), và 05 biến đo thái độ giáo viên đối với việc ứng dụng CNTT trong HĐDH (td1 – td5) (Phụ lục 4). Hệ số Cronbach’s alpha tính được là 0,911. Có 02 biến có hệ số tương quan biến tổng nhỏ hơn 0,3 (tc3 = 0,288; ht3 = 0,128), 31 biến còn lại có hệ số trong khoảng từ 0,356 đến 0,642. Vì vậy sau khi loại bỏ các biến tc3, ht3; các biến còn lại đều được sử dụng trong phân tích EFA tiếp theo.
  • 64.
    - 52 - Bảng3. 3. Phân tích thống kê biến tổng Biến Trung bình được điều chỉnh nếu xóa biến Phương sai được điều chỉnh nếu xóa biến Tương quan biến tổng Cronbach's Alpha nếu xóa biến kn1 107,92 264,834 0,482 0,908 kn2 106,79 266,886 0,500 0,908 kn3 106,97 261,385 0,604 0,906 kn4 106,85 267,502 0,600 0,907 kn5 106,94 267,307 0,544 0,907 kn6 107,38 263,145 0,612 0,906 kn7 107,73 264,092 0,524 0,907 kn8 107,52 270,681 0,457 0,908 kn9 108,22 262,960 0,555 0,907 kn10 108,14 263,932 0,404 0,910 kn11 109,10 267,779 0,402 0,909 tc1 107,94 260,152 0,642 0,905 tc2 107,17 266,009 0,509 0,907 tc3 108,87 273,628 0,288 0,911 tc4 109,07 267,429 0,504 0,908 tc5 107,81 262,800 0,487 0,908 tc6 107,17 264,410 0,562 0,907 tc7 109,32 275,008 0,429 0,909 tc8 107,32 267,014 0,603 0,907 tc9 106,84 265,005 0,465 0,908 tc10 107,60 265,269 0,476 0,908 tc11 108,25 256,963 0,461 0,910 ht1 107,30 265,510 0,465 0,908 ht2 107,79 268,786 0,551 0,907 ht3 109,07 279,314 0,128 0,912 ht4 108,31 264,932 0,453 0,908 ht5 108,44 266,996 0,413 0,909 ht6 107,60 269,714 0,439 0,909 td1 106,89 275,180 0,356 0,910 td2 106,84 272,118 0,414 0,909 td3 106,79 273,856 0,370 0,909 td4 106,70 273,375 0,407 0,909 td5 106,75 271,144 0,469 0,908
  • 65.
    - 53 - 3.2.2.Phân tích nhân tố khám phá (EFA) a. Thang đo Mức độ ứng dụng CNTT trong HĐDH Thang đo Mức độ ứng dụng CNTT trong HĐDH gồm 08 biến quan sát (biến md1 đã bị loại do có chỉ số tương quan biến tổng thấp). Chỉ số Cronbach’s Alpha = 0,829, hệ số tương quan biến tổng (nhỏ nhất = 0,382) đều đạt điều kiện để tiến hành phân tích EFA. Phân tích EFA tại mức giá trị Eigenvalue=1 với phép quay Varimax cho kết quả trích xuất được 01 nhân tố, tuy nhiên biến md3 có trọng số nhân tố (Factor loading) nhỏ hơn mức yêu cầu nên được loại bỏ và tiến hành phân tích EFA lần hai. Kết quả EFA lần hai với 07 biến cho kết quả một nhân tố như sau: Bảng 3. 4. Chỉ số KMO và Kiểm định Bartlett KMO và kiểm định Bartlett KMO (Kaiser-Meyer-Olkin) 0,828 Kiểm định Bartlett's Approx. Chi-Square 618,437 df 21 Sig. 0,000 Kiểm định KMO và Barlett trong phân tích EFA cho giá trị Sig=0,000, hệ số KMO = 0,847 là rất cao, chứng tỏ phân tích EFA thích hợp được sử dụng trong phân tích này. Phương sai trích = 50,234%, chỉ số Factor loading của cả 07 biến đều đạt yêu cầu (nhỏ nhất là 0,653). Bảng 3. 5. Kết quả EFA khái niệm mức độ ứng dụng CNTT trong HĐDH Ma trận nhân tố md6 md2 md5 md7 md9 md4 md8 Nhân tố 1 0,805 0,764 0,703 0,686 0,669 0,668 0,653 Phương pháp trích xuất: Principal Component Analysis. a. 1 nhân tố được trích xuất.
  • 66.
    - 54 - Nhưvậy, khái niệm “Mức độ ứng dụng CNTT trong HĐDH của giáo viên các môn tự nhiên bậc THPT tình Bình Phước” được đo bằng 07 chỉ báo (biến) sau: md2 Soạn bài giảng điện tử md4 Làm phim, ảnh tư liệu, hoạt hình phục vụ dạy học md5 Biên soạn đề trắc nghiệm bằng phần mềm md6 Dạy học có dùng bài giảng điện tử hay phần mềm mô phỏng md7 Viết bài trả lời, hướng dẫn học tập lên diễn đàn, hoặc chia sẻ tài nguyên, bài giảng lên website md8 Trả lời email cho học sinh, phụ huynh hoặc đồng nghiệp md9 Phân tích, đánh giá đề thi sau khi kiểm tra (bằng excel hoặc bằng phần mềm nào đó) b. Thang đo các yếu tố tác động đến mức độ ứng dụng CNTT trong HĐDH Theo khung lý thuyết nghiên cứu thì có 04 yếu tố tác động đến mức độ ứng dụng CNTT trong HĐDH gồm 33 biến quan sát. Số quan sát (cỡ mẫu) lớn hơn 05 lần số lượng biến (Qui tắc kinh nghiệm: số quan sát lớn hơn (ít nhất) 5 lần số biến (Lê Văn Huy, 2009)), Chỉ số Cronbach’s Alpha cao (0,911). Hệ số tương quan biến tổng có 02 biến có giá trị nhỏ hơn 0,3 gồm biến tc3 và biến ht3. Như vậy sau khi loại bỏ 2 biến tc3 và ht3, 31 biến còn lại đều đạt điều kiện để tiến hành phân tích EFA. Tiến hành phân tích EFA lần thứ nhất, các biến tc2, tc4 tiếp tục bị loại bỏ do có chỉ số Factor loading nhỏ (< 0,5). Tiến hành phân tích EFA lần 2 thu được kết quả như sau:
  • 67.
    - 55 - Bảng3. 6. Chỉ số KMO và kiểm định Bartlett KMO và kiểm định Bartlett's KMO (Kaiser-Meyer-Olkin). 0,870 Kiểm định Bartlett Approx. Chi-Square 4001,922 df 406 Sig. 0,000 Kiểm định KMO và Barlett’s trong phân tích EFA (Bảng 3. 6) cho giá trị Sig. = 0,000, hệ số KMO = 0,870 là rất cao, tổng phương sai trích đạt 65,349%, chứng tỏ EFA thích hợp sử dụng trong phân tích này. Bảng 3. 7 dưới đây mô tả kết quả phân tích EFA tại mức giá trị Eigenvalue=1 với phương pháp trích nhân tố với phép quay Varimax cho phép trích được 06 nhân tố từ 29 biến quan sát. Giá trị Cumulative % của Component 6 = 65,349 (tổng phương sai trích của các nhân tố) cho biết 06 nhân tố đầu giải thích 65,349% biến thiên của dữ liệu. Hay nói cách khác là 06 nhân tố này quy định 65,349% mức độ ứng dụng CNTT trong HĐDH của giáo viên các môn tự nhiên bậc THPT tình Bình Phước. Trọng số nhân tố các biến đều đạt yêu cầu (nhỏ nhất là 0,508).
  • 68.
    - 56 - Bảng3. 7. Kết quả EFA các yếu tố tác động đến mức độ ứng dụng CNTT trong HĐDH Nhân tố 1 2 3 4 5 6 kn5 0,815 kn3 0,801 kn2 0,797 kn4 0,780 kn6 0,746 kn7 0,656 kn1 0,646 kn8 0,508 ht4 0,853 ht5 0,822 ht2 0,706 ht6 0,685 ht1 0,590 tc7 0,557 td4 0,808 td5 0,804 td2 0,775 td3 0,773 td1 0,666 tc10 0,843 tc8 0,756 tc9 0,695 tc11 0,534 kn11 0,810 kn9 0,717 kn10 0,700 tc6 0,733 tc5 0,661 tc1 0,532
  • 69.
    - 57 - Dựavào những điểm giống nhau (thể hiện tính chung) của biến nằm trong nhân tố và những nghiên cứu trước tác giả đặt tên cho những nhân tố và tên biến các nhân số như sau. Nhân tố 1: Kỹ năng sử dụng máy tính cơ bản (X1) STT Tên biến Trọng số Nội dung câu hỏi 1 kn5 0,815 Sử dụng phần mềm soạn thảo văn bản (như MS Word hoặc phần mềm tương tự) 2 kn3 0,801 Sử dụng email: đọc, gửi, và các chức năng khác của email 3 kn2 0,797 Quản lý thư mục (folder), tập tin (file) như: tạo mới, di chuyển, đổi tên… 4 kn4 0,780 Tìm kiếm và lấy thông tin từ internet 5 kn6 0,746 Sử dụng phầm mềm soạn bài trình chiếu (như MS PowerPoint hoặc tương tự) 6 kn7 0,656 Sử dụng phầm mềm bảng tính (như MS Excel hoặc tương tự) 7 kn1 0,646 Xử lý những sự cố đơn giản của máy tính 8 kn8 0,508 Phần mềm hỗ trợ soạn công thức toán học, hóa học, vẽ hình … (như Mathtype, Chemwin, Science Helper… hoặc tương tự) Nhân tố 2: Sự hỗ trợ của BGH và đồng nghiệp (X2) STT Tên biến Trọng số Nội dung câu hỏi 1 ht4 0,853 Hỗ trợ của đội ngũ hỗ trợ kỹ thuật (GV kiêm nhiệm) 2 ht5 0,822 Hỗ trợ của nhân viên kỹ thuật tin học (chuyên trách) 3 ht2 0,706 Tổ chức tập huấn/hội thảo về kỹ năng ứng dụng CNTT trong dạy học 4 ht6 0,685 Đồng nghiệp hướng dẫn nhau sử dụng CNTT
  • 70.
    - 58 - 5ht1 0,590 Có chính sách khuyến khích giáo viên ứng dụng CNTT trong dạy học 6 tc7 0,557 Phần mềm phục vụ soạn giảng (có bản quyền) Nhân tố 3: Thái độ của giáo viên (X3) Là thái độ của giáo viên đối với việc ứng dụng CNTT trong HĐDH. STT Tên biến Trọng số Nội dung câu hỏi 1 td4 0,808 CNTT cung cấp nhiều tài nguyên và công cụ cho dạy học 2 td5 0,804 CNTT giúp tôi làm việc năng xuất hơn 3 td2 0,775 CNTT giúp mô phỏng những hiện tượng khó diễn tả một cách dễ dàng và sinh động hơn 4 td3 0,773 Tôi muốn tham gia tập huấn ứng dụng CNTT trong dạy học 5 td1 0,666 Ứng dụng CNTT trong dạy học chưa thật sự cần thiết Nhân tố 4: Điều kiện tiếp cận thiết bị cá nhân (X4) Là điều kiện tiếp cận với thiết bị CNTT của cá nhân, người thân, đồng nghiệp để phục vụ công việc ứng dụng CNTT trong HĐDH. STT Tên biến Trọng số Nội dung câu hỏi 1 tc10 0,843 Máy in 2 tc8 0,756 Máy tính cá nhân 3 tc9 0,695 Kết nối Internet tại nhà riêng/ nơi ở 4 tc11 0,534 Máy quay phim/chụp hình Nhân tố 5: Kỹ năng Sử dụng phần mềm chuyên dụng (X5) Là kỹ năng sử dụng những phần mềm chuyên dụng phục vụ công việc ứng dụng CNTT trong HĐDH. Khái niệm “phần mềm chuyên dụng” được sử
  • 71.
    - 59 - dụngtrong đề tài là những phần mềm có chức năng hỗ trợ công tác soạn giảng và quản trị dữ liệu dành cho giáo viên, không phân biệt phần mềm thương mại hay mã nguồn mở, miễn phí. STT Tên biến Trọng số Nội dung câu hỏi 1 kn11 0,810 Hệ quản trị CSDL (như MS Access, SQL, My SQL…) 2 kn9 0,717 Phần mềm hỗ trợ soạn bài giảng điện tử (như Violet, Adobe presenter, iSpring, Lecture Maker, hoặc tương tự) 3 kn10 0,700 Phần mềm soạn đề trắc nghiệm (như McMix hoặc tương tự) Nhân tố 6: Điều kiện tiếp cận thiết bị nhà trường (X6) Là điều kiện tiếp cận với thiết bị CNTT của nhà trường để phục vụ công việc ứng dụng CNTT trong HĐDH. STT Tên biến Trọng số Nội dung câu hỏi 1 tc6 0,733 Máy chiếu (projector) 2 tc5 0,661 Phòng máy tính dùng cho dạy học 3 tc1 0,532 Máy tính dành cho giáo viên (dùng chung) Như vậy, so với 04 nhân tố ban đầu, sau khi phân tích nhân tố EFA ta thu được 06 nhân tố. Tuy có thay đổi về số lượng nhân tố nhưng về nội hàm vẫn được bao hàm trong các khái niệm đã trình bày trong cơ sở lý luận của nghiên cứu. Nhân tố 1 (Kỹ năng sử dụng máy tính cơ bản) và Nhân tố 5 (Kỹ năng sử dụng phần mềm chuyên dụng) được tách từ nhân tố “Kỹ năng sử dụng máy tính”; Nhân tố 4 (điều kiện tiếp cận thiết bị cá nhân) và Nhân tố 6 (điều kiện tiếp cận thiết bị nhà trường được tách từ nhân tố “Điều kiện tiếp cận
  • 72.
    - 60 - CNTT”.Điều này hoàn toàn phù hợp với cơ sở lý luận và các nghiên cứu trước đây như đã trình bày trong chương 1 của luận văn. 3.2.3. Kiểm định độ tin cậy của thang đo Thang đo “Mức độ ứng dụng CNTT trong HĐDH” gồm 07 biến quan sát đều có hệ số tương quan biến tổng lớn hơn 0,5, Cronbach’s Alpha = 0,829 nên thang đo đạt yêu cầu. Bảng 3. 8. Tương quan biến tổng các biến quan sát mức độ ứng dụng CNTT trong HĐDH Thống kê Biến tổng Biến Trung bình được điều chỉnh nếu xóa biến Phương sai được điều chỉnh nếu xóa biến Tương quan biến tổng Cronbach's Alpha nếu xóa biến md2 18,34 28,481 0,643 0,797 md3 16,99 32,541 0,382 0,828 md4 19,25 31,269 0,546 0,812 md5 18,60 28,016 0,564 0,808 md6 18,62 27,653 0,684 0,790 md7 19,16 28,290 0,577 0,805 md8 18,53 27,464 0,542 0,813 md9 19,20 30,517 0,521 0,813 Nhân tố 1 – “Kỹ năng sử dụng máy tính cơ” bản gồm 08 biến quan sát đều có hệ số tương quan biến tổng lớn hơn 0,5, Cronbach’s Alpha = 0,897 nên thang đo nhân tố đạt yêu cầu.
  • 73.
    - 61 - Bảng3. 9. Tương quan biến tổng các biến quan sát nhân tố 1 Thống kê Biến tổng Biến Trung bình được điều chỉnh nếu xóa biến Phương sai được điều chỉnh nếu xóa biến Tương quan biến tổng Cronbach's Alpha nếu xóa biến kn1 27,09 26,624 0,587 0,895 kn2 25,97 26,558 0,720 0,880 kn3 26,16 25,301 0,752 0,877 kn4 26,04 27,823 0,746 0,880 kn5 26,12 27,075 0,753 0,878 kn6 26,57 26,230 0,743 0,878 kn7 26,92 26,260 0,656 0,887 kn8 26,70 29,258 0,536 0,896 Nhân tố 2 – “Sự hỗ trợ của BGH và đồng nghiệp” gồm 06 biến quan sát đều có hệ số tương quan biến tổng lớn hơn 0,5, Cronbach’s Alpha = 0,823 nên thang đo nhân tố đạt yêu cầu. Bảng 3. 10. Tương quan biến tổng các biến quan sát nhân tố 2 Thống kê Biến tổng Biến Trung bình được điều chỉnh nếu xóa biến Phương sai được điều chỉnh nếu xóa biến Tương quan biến tổng Cronbach's Alpha nếu xóa biến ht1 13,73 12,773 0,509 0,815 ht2 14,23 13,471 0,679 0,782 ht4 14,74 10,963 0,728 0,762 ht5 14,88 11,378 0,693 0,771 ht6 14,03 13,439 0,571 0,799 tc7 15,75 15,674 0,437 0,825
  • 74.
    - 62 - Nhântố 3 – “Thái độ của giáo viên” gồm 05 biến quan sát đều có hệ số tương quan biến tổng lớn hơn 0,5, Cronbach’s Alpha = 0,858 nên thang đo nhân tố đạt yêu cầu. Bảng 3. 11. Tương quan biến tổng các biến quan sát nhân tố 3 Thống kê Biến tổng Biến Trung bình được điều chỉnh nếu xóa biến Phương sai được điều chỉnh nếu xóa biến Tương quan biến tổng Cronbach's Alpha nếu xóa biến td1 17,12 6,407 0,550 0,858 td2 17,05 5,561 0,677 0,829 td3 17,01 5,739 0,677 0,828 td4 16,92 5,725 0,721 0,817 td5 16,97 5,454 0,751 0,808 Nhân tố 4 – “Điều kiện tiếp cận thiết bị cá nhân”, đây là nhân tố được tách ra từ thang đo “Điều kiện tiếp cận CNTT”. Nhân tố 04 gồm 04 biến quan sát đều có hệ số tương quan biến tổng lớn hơn 0,5, Cronbach’s Alpha = 0,745 nên thang đo nhân tố đạt yêu cầu. Bảng 3. 12. Tương quan biến tổng các biến quan sát nhân tố 4 Thống kê Biến tổng Biến Trung bình được điều chỉnh nếu xóa biến Phương sai được điều chỉnh nếu xóa biến Tương quan biến tổng Cronbach's Alpha nếu xóa biến tc8 10,45 9,159 0,673 0,661 tc9 9,950 8,231 0,545 0,684 tc10 10,72 7,642 0,698 0,604 tc11 11,40 6,856 0,420 0,816 Nhân tố 5 – “Kỹ năng Sử dụng phần mềm chuyên dụng”, là nhân tố được tách ra từ thang đo “Kỹ năng sử dụng máy tính”, gồm 03 biến quan sát đều có
  • 75.
    - 63 - hệsố tương quan biến tổng lớn hơn 0,5, Cronbach’s Alpha = 0,771 nên thang đo nhân tố đạt yêu cầu. Bảng 3. 13. Tương quan biến tổng các biến quan sát nhân tố 5 Thống kê Biến tổng Biến Trung bình được điều chỉnh nếu xóa biến Phương sai được điều chỉnh nếu xóa biến Tương quan biến tổng Cronbach's Alpha nếu xóa biến kn9 4,85 4,505 0,660 0,642 kn10 4,76 3,881 0,559 0,768 kn11 5,74 4,539 0,623 0,677 Nhân tố 6 – “Điều kiện tiếp cận thiết bị nhà trường”, được tách ra từ thang đó “Điều kiện tiếp cận CNTT”, gồm 03 biến quan sát đều có hệ số tương quan biến tổng lớn hơn 0,5, Cronbach’s Alpha = 0,725 nên thang đo nhân tố đạt yêu cầu. Bảng 3. 14. Tương quan biến tổng các biến quan sát nhân tố 6 Thống kê Biến tổng Biến Trung bình được điều chỉnh nếu xóa biến Phương sai được điều chỉnh nếu xóa biến Tương quan biến tổng Cronbach's Alpha nếu xóa biến tc1 7,13 3,678 0,584 0,665 tc5 6,99 3,348 0,541 0,729 tc6 6,35 3,808 0,633 0,621 Qua kiểm định cho từng nhân tố, kết quả hệ số Cronbach’s alpha các nhân tố đều cao > 0,7 và hệ số tương quan biến tổng của các các biến trong từng nhân tố đều lớn hơn 0,4 cho thấy các biến quan sát là các chỉ báo giải thích cho các nhân tố một cách có ý nghĩa và đủ độ tin cậy.
  • 76.
    - 64 - Bảng3. 15. Hệ số Cronbach’s Alpha các nhân tố STT Tên nhân tố Tên biến Cronbach’s Alpha 1 Mức độ ứng dụng CNTT trong HĐDH Y 0,829 2 Kỹ năng sử dụng máy tính cơ bản X2 0,897 3 Sự hỗ trợ của BGH và đồng nghiệp X3 0,823 4 Thái độ của giáo viên X4 0,858 5 Điều kiện tiếp cận thiết bị cá nhân X5 0,745 6 Kỹ năng Sử dụng phần mềm chuyên dụng X6 0,771 7 Điều kiện tiếp cận thiết bị nhà trường X7 0,752 3.2.3. Hiệu chỉnh lại mô hình nghiên cứu Theo kết quả phân tích EFA, từ 04 yếu tố tác động đến mức độ ứng dụng CNTT trong HĐDH ban đầu được phân tích thành 06 nhân tố mới đó là (1) Kỹ năng sử dụng máy tính cơ bản, (2) Sự hỗ trợ của BGH và đồng nghiệp, (3) Thái độ của giáo viên đối với việc ứng dụng CNTT trong HĐDH, (4) Điều kiện tiếp cận thiết bị của trường, (5) Kỹ năng Sử dụng phần mềm chuyên dụng, (6) Điều kiện tiếp cận thiết bị cá nhân. Như vậy mô hình nghiên cứu được điều chỉnh như sau (Hình 3. 2). Kỹ năng sử dụng máy tính cơ bản Sự hỗ trợ của BGH và đồng nghiệp Thái độ của giáo viên Kỹ năng sử dụng phần mềm chuyên dụng Điều kiện tiếp cận thiết bị nhà trường Điều kiện tiếp cận thiết bị cá nhân Mức độ ứng dụng CNTT trong HĐDH Hình 3. 2. Mô hình nghiên cứu chính thức
  • 77.
    - 65 - 3.3.Kết quả khảo sát mức độ ứng dụng CNTT trong HĐDH của giáo viên THPT tỉnh Bình Phước Bằng phương pháp thống kê mô tả, trong phần này, tác giả phân tích các khia cạnh liên quan đến khái niệm mức độ ứng dụng CNTT trong HĐDH nhằm trả lời câu hỏi “Giáo viên các môn tự nhiên bậc THPT ứng dụng CNTT trong HĐDH ở mức độ nào?”. 3.3.1. Mức độ ứng dụng CNTT trong HĐDH của giáo viên Bình Phước Mức độ ứng dụng CNTT trong HĐDH được đánh giá theo thang đo năm mức với bộ câu hỏi gồm bảy biến quan sát. Tác giả tiến hành thống kê mô tả dựa trên giá trị trung bình của bảy biến vì vậy tác giả quy ước giá trị trung bình tương ứng với các mức độ như sau: Giá trị trung bình Ý nghĩa tương đương 1,00 - 1,80 (1) Chưa bao giờ 1,81 - 2,60 (2) 1 – 2 lần/học kỳ 2,61 - 3,40 (3) Hằng tháng 3,41 - 4,20 (4) Hằng tuần 4,21 - 5,00 (5) Hằng ngày Bảng 3. 16. Thống kê mô tả thực trạng Mức độ ứng dụng CNTT trong HĐDH Mức độ Ứng dụng CNTT Trung bình Tứ phân vị thứ nhất Trung vị Tứ phân vị thứ ba Mức độ Ứng dụng CNTT 2,43 1,86 2,36 3,00
  • 78.
    - 66 - Hình3. 3. Tần suất các mức ứng dụng CNTT trong HĐDH Thống kê mô tả cho thấy mức độ ứng dụng CNTT trong HĐDH trung bình của giáo viên các môn tự nhiên bậc THPT trên địa bàn tỉnh Bình Phước (gọi tắt là giáo viên Bình Phước) ở mức độ thấp - “1 - 2 lần/học kỳ” (Trung bình = 2,43). Tứ phân vị thứ ba có giá trị bằng 3,00 cho thấy ít nhất có 25% giáo viên Bình Phước ứng dụng CNTT trong HĐDH ở mức “Hằng tháng”. Phần lớn giáo viên Bình Phước chưa bao giờ hoặc chỉ ứng dụng một đến hai lần trên một học kỳ (63,56%). 23,72% giáo viên ứng dụng CNTT trong HĐDH ở mức hằng tuần hoặc hằng ngày và 24,3% giáo viên Bình Phước chưa bao giờ ứng dụng CNTT trong HĐDH (Tứ phân vị thứ nhất = 1,86). So sánh mức độ ứng dụng CNTT của giáo viên công tác trên địa bàn các thị xã và giáo viên công tác trên địa bàn không thuộc thị xã cho thấy có sự khác biệt có ý nghĩa thống kê ở mức ý nghĩa Sig= 0,000. Nhóm “Thuộc thị xã” có mức độ ứng dụng trung bình là “hằng tháng” (trung bình = 2,779), nhóm
  • 79.
    - 67 - “khôngthuộc thị xã” có mức độ ứng dụng trung bình là “1 đến 2 lần/học kỳ” (trung bình = 2,069). Trên thực tế, các trường trên địa bàn thị xã thường có cơ sở vật chất tốt hơn các trường không thuộc thị xã, giáo viên và học sinh cũng có điều kiện tiếp cận và tiếp cận sớm hơn vơi CNTT nên giáo viên giải dạy tại các trường thuộc địa bàn thị xã có mức độ ứng dụng CNTT trong HĐDH cao hơn giáo viên giảng dạy tại các trường không thuộc địa bàn thị xã là điều dễ hiểu. Quy đổi giá trị trung bình mức độ ứng dụng CNTT về năm mức như đã trình bày ở trên và tiến hành thống kê, lập biểu đồ (Bảng 3. 19, Hình 3. 4) cho thấy chi tiết và trực quan hơn về mức độ ứng dụng CNTT của giáo viên thuộc khu vực thị xã và không thuộc thị xã. Bảng 3. 17. Kiểm định so sánh trung bình Mức độ ứng dụng CNTT theo địa bàn Kiểm định mẫu độc lập Mức độ Ứng dụng CNTT Phương sai bằng nhau Phương sai khác nhau Kiểm định Levene về sự cân bằng phương sai F 5,682 Sig. 0,018 Kiểm định t-test về sự cân bằng giá trị trung bình t 7,761 7,774 df 256 245,715 Sig. (2-tailed) 0,000 0,000 Khác biệt của Trung bình 0,70992 0,70992 Sai số chuẩn sự khác biệt 0,09148 0,09132 Khoảng tin cậy của sự khác biệt 95% Dưới 0,52978 0,53005 Trên 0,89007 0,88980
  • 80.
    - 68 - Bảng3. 18. Trung bình mức độ ứng dụng CNTT theo địa bàn công tác Thống kê theo nhóm Địa bàn N Trung bình Độ lệch chuẩn Sai số chuẩn TB Mức độ Ứng dụng CNTT Thuộc thị xã 130 27,791 0,81068 0,07110 Không thuộc thị xã 128 20,692 0,64836 0,05731 Bảng 3. 19. Bảng chéo phân bổ tần số các mức ứng dụng CNTT giữa 2 nhóm giáo viên Địa bàn Tổng cộngThuộc thị xã Không thuộc thị xã Mức độ Ứng dụng CNTT (recode) Chưa bao giờ 15 47 62 1-2 lần/học kỳ 43 59 102 Hằng tháng 42 19 61 Hằng tuần 24 2 26 Hằng ngày 6 1 7 Tổng 130 128 258 Hình 3. 4. Biểu đồ tần số mức độ ứng dụng CNTT theo địa bàn công tác
  • 81.
    - 69 - Sosánh trung bình mức độ ứng dụng CNTT trong HĐDH của giáo viên Bình Phước ở khía cạnh chuyên môn (môn học) cho thấy: Kết quả kiểm định phương sai bằng kiểm định Homogeneity có giá trị Sig. = 0,017 (Bảng 3. 21) cho biết phương sai của “mức độ ứng dụng CNTT trong HĐDH” của giáo viên Bình Phước bốn môn học là khác biệt một cách có ý nghĩa. Phân tích ANOVA cho thấy có sự khác biệt về trung bình mức độ ứng dụng CNTT trong HĐDH của giáo viên giữa bốn môn học khác nhau ở mức ý nghĩa Sig. = 0,000 (Bảng 3. 22). Tiến hành phân tích sâu theo phương pháp Tamhane’s T2[31] cho thấy giáo viên môn Toán có mức độ ứng dụng CNTT trong HĐDH thấp hơn giáo viên giả dạy các môn học khác; không có sự khác biệt giữa các môn Vật lý, Hóa học và Sinh học (Bảng 3. 23). Bảng 3. 20. Thống kê mô tả trung bình mức độ ứng dụng CNTT của giáo viên theo môn học Mức độ Ứng dụng CNTT N Trung bình Lệch chuẩn Sai số chuẩn Khoảng tin cậy của giá trị trung bình 95% Cận dưới Cận trên Toán 87 1,8621 0,87832 0,09417 1,6749 2,0493 Lý 73 2,4247 0,99886 0,11691 2,1916 2,6577 Hóa 57 2,5965 1,01523 0,13447 2,3271 2,8659 Sinh 41 2,4634 1,12021 0,17495 2,1098 2,8170 Tổng 258 2,2791 1,02480 0,06380 2,1534 2,4047 Bảng 3. 21. Kiểm nghiệm Homogeneity Kiểm nghiệm sự thuần nhất của sai lệch Mức độ Ứng dụng CNTT Levene df1 df2 Sig. 3,460 3 254 0,017
  • 82.
    - 70 - Bảng3. 22. Phân tích ANOVA một yếu tố ANOVA Mức độ ứng dụng CNTT Tổng bình phương df Trung bình bình phương F Sig. Giữa các nhóm 23,812 3 7,937 8,192 0,000 Trong nhóm 246,095 254 0,969 Tổng 269,907 257 Bảng 3. 23. Phân tích Post Hoc… theo phương pháp Tamhane’s T2 So sánh các nhóm Mức độ Ứng dụng CNTT, Tamhane (I) Môn (J) Môn Khác biệt của Trung bình (I-J) Sai số chuẩn Sig. Khoảng tin cậy 95% Cận dưới Cận dưới Toán Lý -0,56259* 0,15012 0,002 -0,9630 -0,1622 Hóa -0,73442* 0,16416 0,000 -1,1744 -0,2944 Sinh -0,60135* 0,19868 0,021 -1,1407 -0,0620 Lý Toán 0,56259* 0,15012 0,002 0,1622 0,9630 Hóa -0,17183 0,17818 0,915 -0,6485 0,3049 Sinh -0,03876 0,21041 1,000 -0,6073 0,5298 Hóa Toán 0,73442* 0,16416 0,000 0,2944 1,1744 Lý 0,17183 0,17818 0,915 -0,3049 0,6485 Sinh 0,13308 0,22066 0,991 -0,4620 0,7282 Sinh Toán 0,60135* 0,19868 0,021 0,0620 1,1407 Lý 0,03876 0,21041 1,000 -0,5298 0,6073 Hóa -0,13308 0,22066 0,991 -0,7282 0,4620 *. Sự khác biệt của giá trị trung bình có ý nghĩa ở mức 0,05. Tương tự, bằng phân tích ANOVA, tác giả so sánh sự khác biệt về mức độ ứng dụng CNTT ở khía cạnh “thâm niên công tác” và phân tích sâu bằng phương pháp Bonfferoni (do phương sai các đối tượng so sánh khác nhau)[31] cho thấy chỉ có đối tượng có thâm niên “trên 20 năm” là có sự khác biệt (thấp
  • 83.
    - 71 - hơn)so với các nhóm thâm niên “6-10” (-1,148) và “11 – 15” (-1,265), các nhóm khác so với nhau đều không có sự khác biệt (Phụ lục 7,1). So sánh sự khác biệt về mức độ ứng dụng CNTT ở khía cạnh “độ tuổi” với kỹ thuật tương tự cho thấy không có sự khác biệt có ý nghĩa thống kê ở các độ tuổi khác nhau (Phụ lục 7,2). So sánh khác biệt về mức độ ứng dụng CNTT ở khía cạnh “Số năm sử dụng máy tính” cho thấy có sự khác biệt giữa nhóm “1 – 5 năm” với nhóm “11 – 15 năm” (-0,605) (Phụ lục 7,3). So sánh khác biệt ở khía cạnh “giới tính” cho thấy không có sự khác biệt giữa nam và nữ về mức độ ứng dụng CNTT trong HĐDH (Phụ lục 7,4). Phân tích tần suất phương án trả lời cho từng biến (câu hỏi) ở Bảng 3. 24 cho thấy giáo viên Bình Phước ứng dụng thường xuyên nhất là việc “soạn bài giảng điện tử” (32,95% “hằng ngày” hoặc “hằng tuần”), và “trả lời email cho học sinh, phụ huynh hoặc đồng nghiệp” (28,29% “hằng ngày” hoặc “hằng tuần”). Ít được giáo viên ứng dụng nhất là việc “làm phim, ảnh tư liệu, hoạt hình phục vụ dạy học” (79,84% “chưa bao giờ” hoặc “1-2 lần/học kỳ”) và “Phân tích, đánh giá đề thi sau khi kiểm tra” (68,22% “chưa bao giờ” hoặc “1- 2 lần/học kỳ”). Bảng 3. 24. Phân bổ tần suất mức độ ứng dụng CNTT trong HĐDH Mức độ ứng dụng trong HĐDH Phần trăm (%) Chưa bao giờ 1-2 lần /học kỳ Hằng tháng Hằng tuần Hằng ngày md2 Soạn bài giảng điện tử 8,530 33,33 25,19 25,19 7,75 md4 Làm phim, ảnh tư liệu, hoạt hình phục vụ dạy học 29,46 50,39 11,63 8,53 0,00 md5 Biên soạn đề trắc nghiệm bằng phần mềm 24,42 22,09 29,07 13,57 10,85
  • 84.
    - 72 - md6 Dạyhọc có dùng bài giảng điện tử hay phần mềm mô phỏng 15,89 36,82 25,19 13,57 8,53 md7 Viết bài trả lời, hướng dẫn học tập lên diễn đàn, hoặc chia sẻ tài nguyên, bài giảng lên website 40,87 25,79 17,06 11,90 4,37 md8 Trả lời email cho học sinh, phụ huynh hoặc đồng nghiệp 26,36 20,93 24,42 12,40 15,89 md9 Phân tích, đánh giá đề thi sau khi kiểm tra (bằng excel hoặc bằng phần mềm nào đó) 37,98 30,23 21,32 10,47 0,00 Tóm lại, qua phân tích kết quả khảo sát thực trạng mức độ ứng dụng CNTT trong HĐDH của giáo viên các môn tự nhiên cho ta các kết luận sau: i) Phần lớn giáo viên các môn tự nhiên bậc THPT tỉnh Bình Phước ứng dụng CNTT trong HĐDH ở mức thấp, khoảng 1 đến 2 lần mỗi tháng. ii) Có sự khác biệt có ý nghĩa thống kê về mức độ ứng dụng CNTT trong HĐDH của giáo viên các môn tự nhiên bậc THPT tỉnh Bình Phước ở các khía cạnh “địa bàn công tác”, “chuyên môn”, “thâm niên công tác”, “số năm sử dụng máy tính”. 3.3.2. Kỹ năng sử dụng máy tính cơ bản Kỹ năng sử dụng máy tính cơ bản của giáo viên Bình Phước phần lớn ở mức thành thạo và rất thành thạo (72,9%). Một phần rất nhỏ có kỹ năng ở mức “biết ít” hoặc “chưa biết” (4,66%). Giá trị trung bình đạt 3,965 tương đương với mức “thành thạo”.
  • 85.
    - 73 - Hình3. 5. Tần suất các mức sử dụng máy tính cơ bản Bảng 3. 25. Trung bình kỹ năng sử dụng máy tính cơ bản N Hợp lệ 258 Khuyết 0 Trung bình 3,7791 Độ lệch chuẩn 0,73411 3.3.3. Sự hỗ trợ của BGH và đồng nghiệp Đánh giá về sự hỗ trợ của BGH và đồng nghiệp đối với việc ứng dụng CNTT trong HĐDH của giáo viên Bình Phước phần lớn cho rằng chưa thường xuyên hoặc hiếm khi (70,93%) và chỉ có 3,49% cho rằng rất thường xuyên. Giá trị trung bình đạt 2,895 tương đương với mức “chưa thường xuyên”. Hình 3. 6. Tần suất các mức đánh giá sự hỗ trợ của BGH và đồng nghiệp Bảng 3. 26. Trung bình đánh giá sự hỗ trợ của BGH và đồng nghiệp N Hợp lệ 258 Khuyết 0 Trung bình 2,9121 Độ lệch chuẩn 0,70728 3.3.4. Thái độ của giáo viên đối với việc ứng dụng CNTT trong HĐDH Nhận định của của giáo viên Bình Phước phần về việc ứng dụng CNTT trong HĐDH phần lớn theo hướng tích cực ở mức đồng ý và rất đồng ý
  • 86.
    - 74 - (89,92%).Chỉ có một phần nhỏ còn phân vân hoặc không đồng ý với vai trò tích cực của việc ứng dụng CNTT trong HĐDH (10,07%) Giá trị trung bình đạt 4,3535 tương đương với mức “rất đồng ý”. Hình 3. 7. Tần suất các mức nhận định của giáo viên về vai trò tích cực của việc ứng dụng CNTT trong HĐDH Bảng 3. 27. Trung bình thái độ của giáo viên N Hợp lệ 258 Khuyết 0 Trung bình 4,2535 Độ lệch chuẩn 0,59053 3.3.5. Điều kiện tiếp cận thiết bị cá nhân Điều kiện tiếp cận với các thiết bị CNTT của cá nhân, bạn bè, đồng nghiệp của giáo viên Bình Phước phần lớn ở mức dễ hoặc rất dễ tiếp cận (50,38%). 15,51% cho rằng khó hoặc rất khó tiếp cận. Giá trị trung bình đạt 3,41 tương đương với mức “dễ tiếp cận”. Hình 3. 8. Tần suất các mức tiếp cận với thiết bị CNTT cá nhân Bảng 3. 28. Trung bình điều kiện tiếp cận thiết bị CNTT cá nhân N Hợp lệ 258 Khuyết 0 Trung bình 3,4128 Độ lệch chuẩn 0,89447
  • 87.
    - 75 - 3.3.6.Kỹ năng sử dụng phần mềm chuyên dụng Mức độ sử dụng phần mềm chuyên dụng của giáo viên Bình Phước phần lớn ở mức thấp – chưa biết hoặc biết ít (50%). Kỹ năng ở mức thành thạo hoặc rất thành thạo chỉ có 16,16%. Giá trị trung bình đạt 2,57 tương đương với mức “chưa thành thạo”. Kết quả này hoàn toàn phù hợp với thực tế giáo dục Bình Phước bởi lẽ đến nay giáo viên chưa được trang bị các phần mềm chuyên dụng phục vụ việc ứng dụng CNTT trong HĐDH, trong khi hầu hết các phần mềm chuyên dụng là phần mềm thương mại, có giá thành khá cao, nên giáo viên đa phần không được tiếp cận. Hình 3. 9. Tần suất các mức kỹ năng sử dụng phần mềm chuyên dụng Bảng 3. 29. Trung bình kỹ năng sử dụng phần mềm chuyên dụng N Hợp lệ 258 Khuyết 0 Trung bình 2,5704 Độ lệch chuẩn 0,98360 3.3.7. Điều kiện tiếp cận thiết bị nhà trường Điều kiện tiếp cận với các thiết bị CNTT của nhà trường của giáo viên Bình Phước phần lớn ở mức dễ hoặc rất dễ tiếp cận (63,18%). 11,63% cho rằng khó hoặc rất khó tiếp cận với thiết bị CNTT của nhà trường. Giá trị trung bình đạt 3,54 tương đương với mức “dễ tiếp cận”.
  • 88.
    - 76 - Hình3. 10. Tần suất điều kiện tiếp cận thiết bị CNTT của nhà trường Bảng 3. 30. Trung bình điều kiện tiếp cận thiết bị CNTT của nhà trường N Hợp lệ 258 Khuyết 0 Trung bình 3,5436 Độ lệch chuẩn 0,90356 Hình 3. 11. Biểu đồ trung bình mức độ các yếu tố trong nghiên cứu Tóm lại, giáo viên các môn tự nhiên bậc THPT tỉnh Bình Phước có thái độ rất tích cực với việc ứng dụng CNTT trong HĐDH, phần lớn giáo viên có kỹ năng sử dụng máy tính cơ bản ở mức thành thạo, có điều kiện tiếp cận với thiết bị CNTT khá tốt. Tuy nhiên mức độ ứng dụng CNTT trong HĐDH trung 2.43 2.57 2.91 3.41 3.54 3.78 4.25 1.00 1.80 2.60 3.40 4.20 5.00 Mức độ Ứng dụng CNTT Kỹ năng sử dụng phần mềm chuyên dụng Sự hỗ trợ của đồng nghiệp và BGH Điều kiện tiếp cận thiết bị cá nhân Điều kiện tiếp cận thiết bị nhà trường Kỹ năng sử dụng máy tính cơ bản Thái độ của giáo viên Trung bình mức độ ứng dụng CNTT trong HĐDH
  • 89.
    - 77 - bìnhchỉ ở mức thấp – “1-2 lần/học kỳ”. Điều này được giải thích một phần bởi kỹ năng sử dụng phần mềm chuyên dụng còn ở mức “chưa thành thạo” và sự hỗ trợ của BGH và đồng nghiệp chỉ ở mức “chưa thường xuyên”. 3.4. Những yếu tố ảnh hưởng đến “Mức độ ứng dụng CNTT trong HĐDH của giáo viên THPT tỉnh Bình Phước” Nhằm trả lời câu hỏi nghiên cứu thứ 2 “Những yếu tố nào ảnh hưởng đến mức độ ứng dụng CNTT trong HĐDH của giáo viên các môn tự nhiên bậc THPT?”, trong phần này, tác giả sử dụng phương pháp hồi quy tuyến tính để tìm ra những yếu tố ảnh hưởng đồng thời đánh giá mức độ tác động của chúng đến đến mức độ ứng dụng CNTT trong HĐDH của giáo viên Bình Phước. Như đã trình bày trong phân tích nhân tố EFA, mô hình nghiên cứu được xác định gồm 06 yếu tố độc lập tác động đến “Mức độ ứng dụng CNTT trong HĐDH” được tác giả đặt tên biến theo qui ước sau: - Y: Mức độ ứng dụng CNTT trong HĐDH - X1: Kỹ năng sử dụng máy tính cơ bản, - X2: Sự hỗ trợ của BGH và đồng nghiệp, - X3: Thái độ của giáo viên đối với việc ứng dụng CNTT trong HĐDH, - X4: Điều kiện tiếp cận thiết bị cá nhân, - X5: Kỹ năng Sử dụng phần mềm chuyên dụng, - X6: Điều kiện tiếp cận thiết bị nhà trường. Để xác định sự tác động của từng nhân tố Xi đến Y, tác giả tiến hành phân tích theo phương pháp hồi quy tuyến tính bội. Giá trị của các yếu tố được dùng để phân tích hồi quy là giá trị nhân số được tạo ra từ quá trình phân tích EFA bằng phần mềm SPSS theo phương pháp Regression. Phân tích hồi quy được thực hiện bằng phương pháp đưa các biến vào cùng lúc (Method: Enter).
  • 90.
    - 78 - Kếtquả phân tích hồi quy tuyến tính bội cho thấy: mức độ giải thích của các các biến độc lập (Xi) đối với biến phụ thuộc (Y) trong mô hình là 51,5% ( Bảng 3. 31). Nói cách khác, 51,5% sự biến thiên của mức độ ứng dụng CNTT trong HĐDH được giải thích bới 6 yếu tố (Xi). Kết quả này cho thấy ngoài 06 nhân tố được khám phá trong mô hình còn các các yếu tố khác quy định trên 40% sự biến thiên của mức độ ứng dụng CNTT trong HĐDH. Đại lượng thống kê Durbin-Watson (d) = 1,737, tra bảng hệ số Durbin – Watson với mức ý nghĩa 0,05 và n >200, k=6 có hệ số dL = 1,707 và dU = 1,831, vậy dL < d < 4-dU. cho thấy không có sự tương quan giữa các phần dư. Điều này có ý nghĩa là mô hình hồi quy không vi phạm giả định về tính độc lập của sai số. Kiểm tra hiện tượng đa cộng tuyến thông qua hệ số phóng đại phương sai VIF (Bảng 3. 32) cho thấy giá trị hệ số VIF của cả 6 biến đều bằng 1,00 nên không có hiện tượng đa cộng tuyến (VIF > 10 là dấu hiệu của đa cộng tuyến[31] ). Xem xét giả định về phân phối chuẩn của phần dư thì thấy phân phối này có Mean =0,000, Std. Dev. = 0,988 tức gần bằng 1, do đó có thể kết luận giả định phân phối chuẩn của các sai số của mô hình không bị vi phạm. Đại lượng thống kê F trong bảng phân tích phương sai được dùng để kiểm định sự phù hợp của mô hình hồi quy với tổng thể (Bảng 3. 33). Kết quả kiểm định này có mức ý nghĩa Sig. = 0,000 < 0,01 (α= 0,01) thì cho thấy mô hình phù hợp với tổng thể nghiên cứu và có thể được sử dụng. Sáu nhân tố có mối liên hệ tuyến tính với mức độ ứng dụng CNTT trong HĐDH với mức ý nghĩa Sig. < 0,05 (sắp xỉ bằng 0,000). Như vậy, ta có phương trình hồi quy như sau: 𝑌 = 0,290𝑋1 + 0,352𝑋2 + 0,139𝑋3 + 0,232𝑋4 + 0,468𝑋5 + 0,184𝑋6 + 𝜀
  • 91.
    - 79 - Bảng3. 31. Mức độ giải thích của mô hình Thông số mô hình b Mô hình R R bình phương R bình phương đã hiệu chỉnh Sai số chuẩn của ước lượng Durbin-Watson 1 0,726a 0,527 0,515 0,70096623 1,737 a. Yếu tố dự báo: (Hằng số), Tiếp cận thiết bị nhà trường, Kỹ năng sử dụng phần mềm chuyên dụng, Tiếp cận thiết bị cá nhân, Thái độ của giáo viên..., Sự hỗ trợ..., Kỹ năng sử dụng máy tính cơ bản b. Biến phụ thuộc: Mức độ Ứng dụng CNTT Bảng 3. 32. Kết quả phân tích hồi quy tuyến tính bội Các hệ số a Model Chưa chuẩn hóa Đã chuẩn hóa t Sig. Thống kê Cộng tuyến B Sai số chuẩn Beta Dung sai VIF 1 (Hằng số) 0,004 0,044 0,093 0,926 Kỹ năng sử dụng máy tính cơ bản 0,290 0,044 0,288 6,570 0.000 1.000 1.000 Sự hỗ trợ... 0,352 0,044 0,350 7,977 0.000 1.000 1.000 Thái độ của giáo viên... 0,139 0,044 0,138 3,150 0,002 1.000 1.000 Tiếp cận thiết bị cá nhân 0,232 0,044 0,231 5,255 0.000 1.000 1.000 Kỹ năng sử dụng phần mềm chuyên dụng 0,468 0,044 0,464 10,588 0.000 1.000 1.000 Tiếp cận thiết bị nhà trường 0,184 0,044 0,182 4,157 0.000 1.000 1.000 a. Biến phụ thuộc: Mức độ Ứng dụng CNTT
  • 92.
    - 80 - Bảng3. 33. Phân tích phương sai ANOVAb Mô hình Tổng bình phương df Trung bình bình phương F Sig. 1 Hồi quy 134,495 6 22,416 45,621 0,000a Phần dư 120,873 246 0,491 Tổng 255,368 252 a. Yếu tố dự báo: (Hằng số), Tiếp cận thiết bị nhà trường, Kỹ năng sử dụng phần mềm chuyên dụng, Tiếp cận thiết bị cá nhân, Thái độ của giáo viên..., Sự hỗ trợ..., Kỹ năng sử dụng máy tính cơ bản b. Biến phụ thuộc: Mức độ Ứng dụng CNTT Hình 3. 12. Biểu đồ tần số phần dư chuẩn hóa
  • 93.
    - 81 - Bảng3. 34. Thông tin dự đoán và phần dư Thống kê phần dư a Cực tiểu Cực đại Trung bình Độ lệch chuẩn N Giá trị dự đoán -2,0122395 2,1327333 0,0041101 0,73055592 253 Phần dư -2,45873094 1,93626177 0,0000000 0,69257113 253 Dự đoán đã chuẩn hóa -2,760 2,914 0,000 1,000 253 Phần dư đã chuẩn hóa -3,508 2,762 0,000 0,988 253 a. Biến phụ thuộc: Mức độ Ứng dụng CNTT Hệ số của từng biến độc lập trong phương trình cho thấy mức độ tác động của nhân tố đó đến mức động ứng dụng CNTT trong HĐDH. Theo đó, nếu hệ số (β) của một biến độc lập nào đó biến thiên một đơn vị thì biến phụ thuộc cũng biến thiên β đơn vị. Ví dụ: Khi biến X1 tăng lên một đơn vị thì biến Y sẽ tăng lên 0,29 đơn vị trong trường hợp các biến còn lại là cố định. Như vậy, cả 06 nhân tố đều có mối tương quan tuyến tính cùng chiều với mức độ ứng dụng CNTT trong HĐDH. Xem xét mức độ tác động của từng biến độc lập đối với biến phụ thuộc ta thấy: biến X5 (Kỹ năng sử dụng phần mềm chuyên dụng) có tác động mạnh nhất đối với Y (Beta = 0,464, Sig. = 0,000), nghĩa là khi “kỹ năng sử dụng phần mềm chuyên dụng” tăng lên một mức thì “mức độ ứng dụng CNTT trong HĐDH” cũng tăng lên 0,464 mức. Kế đến, lần lượt là, X2 (Sự hỗ trợ của BGH và đồng nghiệp) với Beta = 0,350; X1 (Kỹ năng sử dụng máy tính cơ bản) với Beta = 0,288; X4 (Điều kiện tiếp cận với thiết bị cá nhân) với Beta = 0,231; X6 (Tiếp cận thiết bị nhà trường) với Beta = 0,182; và cuối cùng là X3 (Thái độ của giáo viên) vớ Beta = 0,138.
  • 94.
    - 82 - Căncứ kết quả phân tích hồi quy tuyến tính bội ta có được mô hình hồi quy tuyến tính của các yếu tố tác động đến mức độ ứng dụng CNTT trong HĐDH như hình sau: Kỹ năng sử dụng máy tính cơ bản Sự hỗ trợ của BGH và đồng nghiệp Thái độ của giáo viên Kỹ năng sử dụng phần mềm chuyên dụng Điều kiện tiếp cận thiết bị nhà trường Điều kiện tiếp cận thiết bị cá nhân Mức độ ứng dụng CNTT trong HĐDH 0,288 0,35 0,138 0,464 0,182 0,231 Hình 3. 13. Mô hình hồi quy tuyến tính Trong sáu yếu tố tác động đến mức độ ứng dụng CNTT trong HĐDH thì yếu tố “Kỹ năng sử dụng phần mềm chuyên biệt” có tác động lớn nhất. Tiếp đến là yếu tố “Sự hỗ trợ của BGH và đồng nghiệp”. Tuy nhiên, kết quả phân tích trong phần 3.3 chương này về thực trạng mức độ ứng dụng CNTT trong HĐDH ở Bình Phước cho thấy hai yêu tố này lại đang ở mức thấp nhất. Qua đó ta thấy việc tổ chức tập huấn kỹ năng sử dụng phần mềm chuyên dụng phục vụ dạy học là cần thiết, đồng thời cấp quản lý giáo dục cần có giải pháp khuyến khích, đôn đốc cán bộ, giáo viên các trường THPT tích cực ứng dụng CNTT trong HĐDH. Yếu tố thái độ của giáo viên đối với việc ứng dụng CNTT trong HĐDH có mức độ tác động thấp nhất trong mô hình (Beta = 0,138). Điều này có vẻ nghịch lý. Tuy nhiên, khi xem xét giá trị trung bình của biến này cho thấy giáo viên Bình Phước có thái độ rất tích cực (rất đồng ý) với việc ứng dụng CNTT trong HĐDH (trung bình = 4,35). Xem xét tần suất trả lời bảng hỏi cho thấy có 89,92% có nhận thức tích cực ở mức đồng ý và rất đồng ý, chỉ có một phần nhỏ
  • 95.
    - 83 - giáoviên còn “phân vân” hoặc “không đồng ý” (10,07%). Chính sự đồng nhất về thái độ của giáo viên trong mẫu nghiên cứu này đã giải thích vì sao yếu tố ý thức không ảnh hưởng nhiều đến mức độ ứng dụng CNTT trong HDDH của giáo viên các môn tự nhiên tỉnh Bình Phước. Hình 3. 14. Biểu đồ mức độ tác động của các yếu tố Tóm lại, kết quả phân tích hồi quy bội cho thấy mức độ ứng dụng CNTT trong HĐDH của giáo viên Bình Phước có mối tương quan thuận và khá mạnh với 06 yếu tố gồm: (1) Kỹ năng sử dụng phần mềm chuyên dụng, (2) Sự hỗ trợ của BGH và đồng nghiệp, (3) Kỹ năng sử dụng máy tính cơ bản, (4) Điều kiện tiếp cận thiết bị cá nhân, (5) Điều kiện tiếp cận thiết bị của trường, và (6) Thái độ của giáo viên đối với việc ứng dụng CNTT trong HĐDH. Trong đó yếu tố “Kỹ năng sử dụng phần mềm chuyên dụng” có tác động mạnh nhất đến mức độ ứng dụng CNTT trong HĐDH của giáo viên. Mức độ giải thích của 6 nhân 0.138 0.182 0.231 0.288 0.35 0.464 0 0.05 0.1 0.15 0.2 0.25 0.3 0.35 0.4 0.45 0.5 Thái độ của giáo viên... Tiếp cận thiết bị nhà trường Tiếp cận thiết bị cá nhân Kỹ năng sử dụng máy tính cơ bản Sự hỗ trợ của BGH và đồng nghiệp Kỹ năng sử dụng phần mềm chuyên dụng Mức độ tác động của các nhân tố (Beta)
  • 96.
    - 84 - tố(biến độc lập - Xi) đối với mức độ ứng dụng CNTT trong HĐDH (biến phụ thuộc - Y) trong mô hình là 51,5%. Kết luận chương 3 Từ kết quả khảo sát chính thức với 258 bảng hỏi đạt điều kiện sử dụng được thu thập từ 13 trường THPT trên 10 huyện thị trong tỉnh Bình Phước, tác giả tiến hành đánh giá độ tin cậy của các thang đo, phân tích nhân tố khám phá để xác định mô hình nghiên cứu chính thức, trình bày thực trạng mức độ ứng dụng CNTT trong HĐDH của giáo viên Bình Phước, và đánh giá mức độ tác động của các yếu tố có ảnh hưởng đến mức độ ứng dụng CNTT trong HĐDH của giáo viên. Các phát hiện chính trong chương này gồm: i) Các thang đo có độ tin cậy cao, thang đo mức độ ứng dụng CNTT trong HĐDH đạt α = 0,822, thang đo các yếu tố ảnh hưởng đến mức độ ứng dụng CNTT trong HĐDH đạt α = 0,911. ii) Phân tích nhân tố khám phá cho kết quả có 06 yếu tố ảnh hưởng đến mức độ ứng dụng CNTT trong HĐDH, qua đó tác giả hiệu chỉnh lại mô hình nghiên cứu, xác định mô hình nghiên cứu chính thức (Hình 3. 2). Mức độ giải thích của 6 nhân tố (biến độc lập - Xi) đối với mức độ ứng dụng CNTT trong HĐDH (biến phụ thuộc - Y) trong mô hình là 51,5%. iii) Cả 06 yếu tố trong mô hình có mối tương quan thuận với mức độ ứng dụng CNTT trong HĐDH của giáo viên gồm: (1) Kỹ năng sử dụng phần mềm chuyên dụng, (2) Sự hỗ trợ của BGH và đồng nghiệp, (3) Kỹ năng sử dụng máy tính cơ bản, (4) Điều kiện tiếp cận thiết bị cá nhân, (5) Điều kiện tiếp cận thiết bị của trường, và (6) Thái độ của giáo viên đối với việc ứng dụng CNTT trong HĐDH. Trong đó yếu tố “Kỹ năng sử dụng phần mềm chuyên dụng” có mức độ tác động mạnh nhất (Beta = 0,464).
  • 97.
    - 85 - iv)Thực trạng mức độ ứng dụng CNTT trong HĐDH của giáo viên Bình Phước ở mức thấp, trung bình là “1 – 2 lần/ học kỳ”. Giáo viên Bình Phước có “kỹ năng sử dụng máy tính cơ bản” và thái độ đối với việc ứng dụng CNTT trong HĐDH ở mức cao; có điều kiện tiếp cận với thiết bị CNTT khá tốt; song “kỹ năng sử dụng phần mềm chuyên dụng” ở mức chưa thành thạo và đánh giá “sự hỗ trợ của BGH và đồng nghiệp” chỉ ở mức chưa thường xuyên. Có sự khác biệt có ý nghĩa thống kê về mức độ ứng dụng CNTT trong HĐDH của giáo viên các môn tự nhiên bậc THPT tỉnh Bình Phước ở các khía cạnh “địa bàn công tác”, “chuyên môn”, “thâm niên công tác”, và “số năm sử dụng máy tính”
  • 98.
    - 86 - KẾTLUẬN – KHUYẾN NGHỊ 1. Kết luận Kết quả nghiên cứu cho thấy phần lớn giáo viên các môn tự nhiên tỉnh Bình Phước có “kỹ năng sử dụng máy tính cơ bản” ở mức thành thạo, có thái độ tích cực đối với việc ứng dụng CNTT trong HĐDH, và có điều kiện tiếp cận với CNTT ở mức “dễ tiếp cận”. Tuy nhiên, mức độ ứng dụng CNTT trong HĐDH của giáo viên giảng dạy các môn khoa học tự nhiên tỉnh Bình Phước ở mức thấp, trung bình chỉ từ 1 đến 2 lần/học kỳ; trong đó có 24,3% giáo viên chưa bao giờ ứng dụng CNTT trong HĐDH. Điều này có thể được giải thích một phần bởi kỹ năng sử dụng phần mềm chuyên dụng trong giáo dục của giáo viên chỉ ở mức “chưa thành thạo” và sự hỗ trợ của BGH và đồng nghiệp ở các trường ở mức “chưa thường xuyên”, 70,93% giáo viên cho rằng sự hỗ trợ của BGH và đồng nghiệp ở mức “chưa thường xuyên” hoặc “hiếm khi” hỗ trợ. Thống kê so sánh cho thấy có sự khác biệt về mức độ ứng dụng CNTT trong HĐDH giữa các nhóm giáo viên: “thuộc thị xã” cao hơn “không thuộc thị xã”; môn Sinh học cao hơn môn Toán; thâm niên “6-10 năm”, “11 – 15 năm” cao hơn thâm niên “trên 20 năm”; số năm sử dụng máy tính “11 – 15 năm” cao hơn “1 – 5 năm”. Không có sự khác biệt về mức độ ứng dung CNTT trong HĐDH khi so sánh ở khía cạnh “giới tính” hay “độ tuổi”. Khung lý thuyết được xác định gồm 06 yếu tố tác động đến mức độ ứng dụng CNTT trong HĐDH của giáo viên các môn tự nhiên bậc THPT tỉnh Bình Phước, được đo lường qua 29 tiêu chí theo thang đo 5 mức, với khả năng giải thích 51,5% sự biến thiên của mức độ ứng dụng CNTT trong HĐDH. Cả sáu yếu tố đều tác động tỷ lệ thuận đến mức độ ứng dụng CNTT trong HĐDH của giáo viên Bình Phước, gồm: (1) Kỹ năng sử dụng phần mềm chuyên
  • 99.
    - 87 - dụng,(2) Sự hỗ trợ của BGH và đồng nghiệp, (3) Kỹ năng sử dụng máy tính cơ bản, (4) Điều kiện tiếp cận thiết bị cá nhân, (5) Điều kiện tiếp cận thiết bị của trường, và (6) Thái độ của giáo viên đối với việc ứng dụng CNTT trong HĐDH. Trong đó yếu tố “Kỹ năng sử dụng phần mềm chuyên dụng” có tác động mạnh nhất đến mức độ ứng dụng CNTT trong HĐDH của giáo viên, kế đến là “Sự hỗ trợ của BGH và đồng nghiệp”; tác động ít nhất đến mức độ ứng dụng CNTT trong HĐDH là yếu tố “Thái độ của giáo viên đối với việc ứng dụng CNTT trong HĐDH”. 2. Khuyến nghị: Căn cứ kết quả nghiên cứu, tác giả đề xuất một số gợi ý với cấp quản lý giáo dục tỉnh Bình Phước, các trường THPT và giáo viên THPT trên địa bàn tỉnh như sau: - Với các cấp quản lý giáo dục: Tác động tích cực của việc ứng dụng CNTT trong HĐDH đến chất lượng dạy học đã được nhiều nghiên cứu khẳng định. Tăng cường ứng dụng CNTT trong HĐDH là một giải pháp tất yếu nhằm góp phần nâng cao chất lượng giáo dục. Trong khi đó, mức độ ứng dụng CNTT trong HĐDH của giáo viên Bình Phước còn ở mức thấp dù điều kiện tiếp cận với thiết bị CNTT là tương đối tốt. Trong sáu yếu tố tác động đến mức độ ứng dụng CNTT trong HĐDH thì yếu tố “Kỹ năng sử dụng phần mềm chuyên biệt” có tác động lớn nhất. Tiếp đến là yếu tố “Sự hỗ trợ của BGH và đồng nghiệp”. Tuy nhiên, khảo sát thực trạng cho thấy hai yêu tố này lại đang ở mức thấp. Qua đó ta thấy việc tổ chức tập huấn kỹ năng sử dụng phần mềm chuyên dụng phục vụ dạy học là cần thiết, đồng thời cần có giải pháp khuyến khích, đôn đốc cán bộ, giáo viên các trường THPT tích cực ứng dụng CNTT trong HĐDH.
  • 100.
    - 88 - Trungbình điều kiện tiếp cận thiết bị CNTT của giáo viên là khá tốt, tuy nhiên có sự khác biệt giữa giáo viên các trường thuộc địa bàn thị xã và giáo viên các trường không thuộc thị xã. Qua đây cho thấy cần tăng cường quan tâm, đầu tư trang thiết bị CNTT ứng dụng trong HĐDH cho các trường trên địa bàn không thuộc các thị xã. - Với các trường THPT: Kết quả nghiên cứu cho thấy nhận thức (thái độ) của giáo viên đối với việc ứng dụng CNTT trong HĐDH là rất tốt, kỹ năng sử dụng máy tính cơ bản ở mức thành thạo, điều kiện tiếp cận thiết bị CNTT cũng tương đối tốt. Đây là điều kiện thuận lợi để các trường triển khai ứng dụng CNTT trong HĐDH. Tuy nhiên, yếu tố “kỹ năng sử dụng phần mềm chuyên biệt” và “sự hỗ trợ của BGH và đồng nghiệp” ở mức thấp cho thấy nhà trường chưa có các biện pháp hiệu quả hỗ trợ giáo viên ứng dụng CNTT trong HĐDH. Nhà trường cần có các giải pháp cụ thể như: + BGH có chính sách khuyến khích, động viên giáo viên ứng dụng CNTT trong HĐDH; + Bố trí giáo viên kiêm nhiệm hoặc chuyên trách công tác hỗ trợ giáo viên ứng dụng CNTT trong HĐDH; + Cung cấp phần mềm hỗ trợ soạn giảng có bản quyền cho giáo viên sử dụng; + Tổ chức tập huấn, hội thảo trang bị kỹ năng sử dụng phần mềm chuyên dụng trong việc ứng dụng CNTT trong HĐDH và kỹ năng xử lý sự cố đơn giản thường gặp của máy tính cho giáo viên. - Với giáo viên THPT:
  • 101.
    - 89 - Kếtquả nghiên cứu cho thấy hầu hết giáo viên có thái độ tích cực với việc ứng dụng CNTT trong HĐDH. Tuy nhiên, phần lớn giáo viên chưa trang bị đủ kỹ năng sử dụng các phần mềm chuyên dùng trong HĐDH. Qua đây xin gợi ý một số giải pháp cho giáo viên gồm: + Tích cực hỗ trợ, học hỏi, trao đổi kinh nghiệm với đồng nghiệp trong ứng việc ứng dụng CNTT trong HĐDH. + Tránh thụ động, chờ đợi mà nên tích cực tự trang bị kỹ năng sử dụng phần mềm cho mình. Một số phần mềm chuyên dụng giáo viên nên biết như: V-iSpring Suit (bộ phần mềm hỗ trợ soạn bài giảng điện tử, soạn đề trắc nghiệm, soạn giáo trình); Chemwin (soạn công thức hóa học), Mathtype (soạn công thức toán học), Science Helper (vẽ hình cho Vật lý); McMix (soạn, trộn đề trắc nghiệm). 3. Những điểm còn hạn chế và gợi ý nghiên cứu tiếp theo Nghiên cứu chỉ giới hạn khách thể là giáo viên các môn tự nhiên bậc THPT trên địa bàn tỉnh Bình Phước gồm các môn toán, lý, hóa, sinh. Nghiên cứu chưa xem xét mối tương quan giữa mức độ ứng dụng CNTT trong HĐDH với chất lượng dạy học. Từ những hạn chế nên trên, các nghiên cứu tiếp theo có thể mở rộng khách thể nghiên cứu thành “giáo viên THPT”, nghiên cứu mối tương quan giữa mức độ ứng dụng CNTT trong HĐDH với chất lượng dạy học của giáo viên. Xem xét ứng dụng CNTT trong HĐDH ở mức nào có thể mang lại chất lượng dạy học tốt nhất.
  • 102.
    - 90 - Tàiliệu tham khảo Tài liệu tiếng Việt: 1. Chính phủ (2009), Nghị quyết số 35/NQ-CP của Chính phủ, Số. 35/NQ- CP. 2. Cục thống kê tỉnh Bình Phước (2012), Tình hình KTXH tháng 9 năm 2012. 3. Bộ GD-ĐT Việt Nam (2011), Xếp hạng trường phổ thông năm 2011 (Top 200 trường). 4. Vũ Cao Đàm (2011), Giáo trình Phương pháp luận nghiên cứu khoa học, NXB Giáo dục Việt Nam. 5. MOET (2011), Hướng dẫn thực hiện nhiệm vụ CNTT năm học 2011 - 2012, Số. 4960/BGD-ĐT-CNTT. 6. MOET (2012), Hướng dẫn thực hiện nhiệm vụ CNTT năm học 2012 - 2013, Số. 4987/BGD-ĐT-CNTT. 7. Phạm Xuân Hậu (2010), Ứng dụng CNTT để nâng cao hiệu quả dạy-học và Nghiên cứu khoa học trong các trường Đại học Sư phạm, Kỷ yếu Hội thảo khoa học "Tăng cường năng lực ứng dụng Công nghệ thông tin trong Đào tạo và Nghiên cứu Khoa học", tr. 1. 8. Nguyễn Văn Hòa (2010), Năng lực ứng dụng công nghệ thông tin trong hoạt động dạy học của giảng viên trường đại học sư phạm – đại học Huế, Luận văn thạc sĩ, Viện đảm bảo chất lượng giáo dục, ĐHQG Hà Nội. 9. Lê Huy Hoàng và Lê Xuân Quang (2011), e-Learning và ứng dụng trong dạy học, VVOB Viet Nam. 10. Trần Thị Hương (2009), Giáo dục học đại cương, MXB Đại học Sư phạm TP.HCM. 11. Intel (2012). Website chương trình giáo dục của Intel tại Việt Nam, www.intel.com/education/vn. 12. Đào Thái Lai, Vũ Trọng Rỹ, Lê Đông Phương, và Ngô Doãn Đãi (2011), Thực trạng đổi mới phương pháp dạy học ở đại học, Kỷ yếu Hội thảo toàn quốc về khoa học giáo dục, Hà Nội. 13. Trần Thị Bích Liễu (2010), Chính sách và chuẩn giáo dục ICT, Tạp chí Quản lí giáo dục. 14. Tư liệu (2013), Chuyên gia trong lĩnh vực ứng dụng CNTT trong hoạt động dạy học. 15. Microsoft (2008), Sử dụng công nghệ thông tin trong dạy học, NXB Giáo dục Việt Nam.
  • 103.
    - 91 - 16.MOET (2008), Chỉ thị về tăng cường giảng dạy, đào tạo và ứng dụng công nghệ thông tin trong ngành giáo dục giai đoạn 2008-2012, Bộ GD và Đào tạo Việt Nam, số 55/2008/CT-BGD-ĐT. 17. Hội đồng Quốc gia chỉ đạo biên soạn Từ điển bách khoa Việt Nam (2011). Từ Điển Bách Khoa Việt Nam (phiên bản điện tử), www.bachkhoatoanthu.gov.vn. 18. Quốc hội Việt Nam (2006), Luật Công nghệ thông tin của nước Cộng hòa xã hội chủ nghĩa Việt Nam, Số. 67/2006/QH11 ngày 29 tháng 6 năm 2006. 19. Quách Tuấn Ngọc (2009), Ứng dụng CNTT trong ngành giáo dục hướng đến một nền giáo dục điện tử, Bộ GD và Đào tạo Việt Nam. 20. Jef Peeraer (2011), Công nghệ thông tin cho dạy học tích cực, NXB Giáo dục Việt Nam. 21. Jef Peeraer và Trần Nữ Mai Thy (2011), Ứng dụng Công nghệ thông tin trong giáo dục Việt Nam: Từ chính sách tới thực tế, VVOB Viet Nam, tr. 6. 22. Thủ tướng Chính Phủ (2009), Kế hoạch tổng thể phát triển nguồn nhân lực công nghệ thông tin đến năm 2015 và định hướng đến năm 2020số 698/QĐ-TTg. 23. Chính Phủ Việt Nam (2012), Chiến lược phát triển giáo dục 2011-2020, Số. 711/QĐ-TTg ngày 13 tháng 6 năm 2012. 24. Sở GD-ĐT Bình Phước (2012), Báo cáo số liệu đầu năm học 2012 - 2013. 25. Sở GD-ĐT Bình Phước (2012), Báo cáo Tổng kết nhiệm vụ công nghệ thông tin năm học 2011-2012, Số. 2380/BC-SGD-ĐT. 26. Sở GD-ĐT Bình Phước (2012), Hướng dẫn thực hiện nhiệm vụ CNTT năm học 2012-2013, Số. 2381/SGD-ĐT-CNTT. 27. UBND Tỉnh Bình Phước (2011), Kế hoạch số 86/KH-UBND về việc triển khai đề án đưa Việt Nam sớm trở thành nước mạnh về CNTT-TT trên địan bàn tỉnh Bình Phướcsố 86/KH-UBND. 28. UBND Tỉnh Bình Phước (2011), Quy hoạch phát triển CNTT tỉnh Bình Phước đến năm 2015, định hướng đến năm 2020số 2782/QĐ-UBND. 29. Phạm Văn Quyết và Nguyễn Quý Thanh (2010), Phương pháp nghiên cứu khoa học xã hội, NXB ĐHQG Hà Nội. 30. Trần Thị Kim Thu (2011), Giáo trình điều tra xã hội học,Hà Nội, NXB ĐH Kinh tế quốc dân. 255 trang. 31. Hoàng Trọng và Chu Nguyễn Mộng Ngọc (2008), Phân tích dữ liệu nghiên cứu với SPSS, NXB Hồng Đức. 32. Nguyễn Văn Tuấn (2009), Lý luận dạy học, ĐH SPKT TP.HCM. 33. TW (2000), Nghị quyết Trung ương 2 - khóa VIII.
  • 104.
    - 92 - Tàiliệu tiếng Anh 34. Al-Zaidiyeen, N.J., L.L. Mei, and F.S. Fook, Teachers’ Attitudes and Levels of Technology Use in Classrooms: The Case of Jordan Schools. International Education Studies, 2010. 3(2). 35. Australia, D.o.E.a.T.W., Teacher ICT skills. 2006, Australia: Department of Education and Training Western Australia. 36. Castillo, N., The Level of ICT Use and Expertise by Teachers in Chilean Secondary Schools. Universidad del Bío-Bío, Chile, 2002. 37. Hennessy, S., D. Harrison, and L. Wamakote, Teacher Factors Influencing Classroom Use of ICT in Sub-Saharan Africa. Itupale Online Journal of African Studies, 2010. 2. 38. Isleem, M.I., Relationships of selected factors and the level of computer use for instructional purposes by technology education teachers in ohio public schools: a statewide survey, 2003, Ohio State University. 39. Lim, C.P., C.S. Chai, and D. Churchill, Leading ICT in Education Practices: A Capacity-building Toolkit for Teacher Education Institutions in the Asia-Pacific. 2010: Microsoft Partners-in-Learning (Asia-Pacific). 40. Peeraer, J. and P.V. Petegem, Factors Influencing Integration of ICT in Higher Education in Vietnam Proceedings of Global Learn 2010, 2010. 41. Raosoft, I. Sample Size Calculator. 2004; Available from: http://www.raosoft.com/samplesize.html. 42. Schacter, J., The Impact of Education Technology on Student Achievement: What the Most Current Research Has to Say. Milken Family Foundation, 1999. 43. Systems, C.R. Sample Size Calculator. 2012; Available from: http://www.surveysystem.com/sscalc.htm. 44. UNESCO, Regional Guidelines on Teacher Development for Pedagogy- Technology Integration. 2005, Bangkok: UNESCO Asia and Pacific Regional Bureau for Education. 45. UNESCO and Microsoft, UNESCO ICT Competency Framework for Teachers, ed. 2.0. 2011: United Nations Educational, Scientific and Cultural Organization.
  • 105.
    - 93 - Phụlục Phụ lục 1. Các chỉ báo đo lường các khái niệm I. Mức độ ứng dụng CNTT trong HĐDH được xác định thông qua 16 chỉ báo gồm: 1. Soạn giáo án 2. Soạn bài giảng điện tử 3. Tra cứu thông tin, tư liệu cho việc soạn giảng 4. Làm phim, ảnh tư liệu, hoạt hình phục vụ dạy học 5. Biên soạn đề trắc nghiệm bằng phần mềm 6. Dạy học có dùng máy chiếu (projector) 7. Dạy học có dùng bài giảng điện tử hay phần mềm mô phỏng 8. Dạy học trên phòng máy vi tính hoặc phòng nghe nhìn (multimedia) 9. Dạy học trực tuyến 10.Viết bài trả lời, hướng dẫn học tập lên diễn đàn, hoặc chia sẻ tài nguyên, bài giảng lên website 11.Trả lời email cho học sinh, phụ huynh học sinh 12.Trả lời email cho đồng nghiệp 13.Tổ chức kiểm tra bằng phần mềm máy tính 14.Phân tích, đánh giá đề trắc nghiệm sau khi kiểm tra 15.Phân tích thông tin về kết quả học tập của học sinh 16.Phân tích, đánh giá đề thi sau khi kiểm tra (bằng excel hoặc bằng phần mềm nào đó). II. Điều kiện tiếp cận với CNTT được xác định thông qua 14 chỉ báo gồm: 1. Máy tính dành cho giáo viên (dùng chung) 2. Kết nối với Internet tại trường 3. Máy in dùng chung 4. Máy quay phim/chụp hình 5. Phòng máy tính dùng cho dạy học 6. Máy chiếu (projector)
  • 106.
    - 94 - 7.Phòng nghe nhìn (multimedia) 8. Phần mềm phục vụ soạn giảng (có bản quyền) 9. Bảng thông minh 10.Máy tính cá nhân (máy để bàn) 11.Laptop cá nhân (máy tính xách tay) 12.Kết nối Internet tại nhà riêng/ nơi ở 13.Máy in 14.Máy quay phim/chụp hình. III. Sự hỗ trợ từ BGH và đồng nghiệp được xác định thông qua 8 chỉ báo gồm: 1. Có chính sách khuyến khích giáo viên ứng dụng CNTT trong dạy học 2. Tổ chức thi bài giảng điện tử 3. Tổ chức tập huấn/hội thảo về kỹ năng ứng dụng CNTT trong dạy học 4. Cung cấp phần mềm có bản quyền cho giáo viên 5. Hỗ trợ giáo viên cài đặt và cập nhật phần mềm 6. Có hỗ trợ của đội ngũ hỗ trợ kỹ thuật (GV kiêm nhiệm) 7. Có hỗ trợ của nhân viên kỹ thuật tin học (chuyên trách) 8. Đồng nghiệp hướng dẫn nhau sử dụng CNTT. IV. Kỹ năng sử dụng máy tính được xác định thông qua 15 chỉ báo gồm: 1. Xử lý những sự cố đơn giản của máy tính 2. Quản lý thư mục (folder), tập tin (file) như: tạo mới, di chuyển, đổi tên… 3. Sử dụng email: đọc, gửi, và các chức năng khác của email 4. Tìm kiếm và lấy thông tin từ internet 5. Sử dụng phần mềm soạn thảo văn bản (như MS Word hoặc phần mềm tương tự) 6. Sử dụng phầm mềm soạn bài trình chiếu (như MS PowerPoint hoặc tương tự) 7. Sử dụng phầm mềm bảng tính (như MS Excel hoặc tương tự)
  • 107.
    - 95 - 8.Phần mềm hỗ trợ soạn công thức toán học, hóa học… (như Mathtype, Chemwin,… hoặc tương tự) 9. Phần mềm hỗ trợ vẽ hình trong word (như Science Helper for word) 10.Phần mềm hỗ trợ soạn bài giảng điện tử (như Violet, Adobe presenter, iSpring, Lecture Maker, hoặc tương tự) 11.Phần mềm soạn đề trắc nghiệm (như McMix hoặc tương tự) 12.Phần mềm hỗ trợ xây dựng ngân hàng đề trắc nghiệm (như iQB Leo, TestPro Bank hoặc tương tự) 13.Phần mềm hỗ trợ quản lý lớp học (như Netop School, NetSupport School hoặc tương tự) 14.Phần mềm hỗ trợ dạy-học chuyên môn (như các phần mềm của Crocodile, School Net…) 15.Hệ quản trị CSDL (như MS Access, SQL, My SQL…) 16.Hệ thống quản lý học tập trực tuyến (như Black Board, Moodle, web 2.0 hoặc tương tự) V. Đặc điểm cá nhân được xác định thông qua 15 chỉ báo gồm: - Các chỉ báo về thái độ của cá nhân với việc ứng dụng CNTT trong HĐDH gồm: 1. Ứng dụng CNTT trong dạy học chưa thật sự cần thiết 2. CNTT giúp mô phỏng những hiện tượng khó diễn tả một cách dễ dàng và sinh động hơn 3. Ứng dụng CNTT làm cho người giáo viên vất vả hơn 4. Tôi muốn tham gia tập huấn ứng dụng CNTT trong dạy học 5. CNTT rất cần cho việc nâng cao trình độ chuyên môn 6. CNTT cung cấp nhiều tài nguyên và công cụ cho dạy học 7. CNTT giúp tôi làm việc năng suất hơn. 8. CNTT giúp tôi thu thập thông tin nhanh và chính xác hơn 9. Tôi thích ứng dụng CNTT trong hoạt động dạy học - Các chỉ báo thông tin cá nhân và đặc điểm nghề nghiệp gồm: 1. Tuổi 2. Giới tính 3. Chuyên môn (giáo viên dạy môn gì)
  • 108.
    - 96 - 4.Nơi công tác (thị xã hay không thuộc thị xã) 5. Số năm giảng dạy 6. Số năm sử dụng máy tính.
  • 109.
    - 97 - Phụlục 2. Phiếu khảo sát thăm dò
  • 110.
  • 111.
  • 112.
  • 113.
    - 101 - Phụlục 3. Kết quả kiểm định thang đo với dữ liệu khảo sát thử 1. Thang đo Mức độ ứng dụng CNTT trong HĐDH Case Processing Summary N % Cases Valid 60 100.0 Excludeda 0 .0 Total 60 100.0 a. Listwise deletion based on all variables in the procedure. Item Statistics Mean Std. Deviation N md1 4.37 .920 60 md2 3.03 1.193 60 md3 4.20 .917 60 md4 2.37 1.221 60 md5 2.57 1.320 60 md6 2.83 1.278 60 md7 2.33 1.174 60 md8 2.93 1.448 60 md9 2.27 1.191 60 Item-Total Statistics Scale Mean if Item Deleted Scale Variance if Item Deleted Corrected Item-Total Correlation Cronbach's Alpha if Item Deleted md1 22.53 50.524 .167 .871 md2 23.87 40.863 .739 .823 md3 22.70 47.366 .423 .853 md4 24.53 40.999 .707 .826 md5 24.33 42.429 .546 .843 md6 24.07 39.758 .755 .820 md7 24.57 42.453 .635 .834 md8 23.97 40.134 .617 .836 md9 24.63 43.185 .571 .840 Reliability Statistics Cronbach's Alpha N of Items .855 9
  • 114.
    - 102 - 2.Thang đo các yếu tố tác động đến mức độ ứng dụng CNTT trong HĐDH Case Processing Summary N % Cases Valid 60 100.0 Excludeda 0 .0 Total 60 100.0 a. Listwise deletion based on all variables in the procedure. Item Statistics Mean Std. Deviation N kn1 3.07 1.148 60 kn2 4.32 .813 60 kn3 4.05 1.156 60 kn4 4.23 .789 60 kn5 4.17 .763 60 kn6 3.62 1.010 60 kn7 3.42 1.124 60 kn8 3.32 1.127 60 kn9 2.72 1.250 60 kn10 2.70 1.453 60 kn11 1.90 1.189 60 tc1 3.58 1.183 60 tc2 4.05 1.016 60 tc3 2.43 1.489 60 tc4 2.13 1.282 60 tc5 3.42 1.211 60 tc6 4.00 1.008 60 tc7 2.32 1.372 60 tc8 4.45 .891 60 tc9 4.22 1.263 60 tc10 3.92 1.533 60 tc11 2.75 1.643 60 ht1 3.92 1.013 60 ht2 3.25 .914 60 ht3 2.37 1.301 60 ht4 2.83 1.251 60 ht5 2.85 1.147 60 ht6 3.58 .996 60 td1 3.95 .852 60 td2 4.10 .915 60 td3 4.23 .789 60 td4 4.35 .755 60 td5 4.28 .761 60 Reliability Statistics Cronbach's Alpha N of Items .923 33
  • 115.
    - 103 - Item-TotalStatistics Scale Mean if Item Deleted Scale Variance if Item Deleted Corrected Item-Total Correlation Cronbach's Alpha if Item Deleted kn1 111.42 383.061 .316 .923 kn2 110.17 386.480 .358 .922 kn3 110.43 367.877 .663 .918 kn4 110.25 382.767 .492 .921 kn5 110.32 381.915 .540 .920 kn6 110.87 373.440 .618 .919 kn7 111.07 378.199 .437 .921 kn8 111.17 373.802 .540 .920 kn9 111.77 367.640 .613 .919 kn10 111.78 366.512 .539 .920 kn11 112.58 377.298 .430 .921 tc1 110.90 373.549 .517 .920 tc2 110.43 375.131 .570 .919 tc3 112.05 363.099 .587 .919 tc4 112.35 363.655 .681 .918 tc5 111.07 373.012 .515 .920 tc6 110.48 376.695 .533 .920 tc7 112.17 364.446 .616 .919 tc8 110.03 383.795 .401 .921 tc9 110.27 377.318 .401 .922 tc10 110.57 377.368 .317 .924 tc11 111.73 363.080 .524 .920 ht1 110.57 374.792 .580 .919 ht2 111.23 377.775 .563 .920 ht3 112.12 369.020 .558 .919 ht4 111.65 370.503 .551 .920 ht5 111.63 372.338 .563 .919 ht6 110.90 380.261 .446 .921 td1 110.53 381.948 .478 .921 td2 110.38 382.274 .433 .921 td3 110.25 387.038 .352 .922 td4 110.13 387.846 .342 .922 td5 110.20 384.468 .454 .921
  • 116.
    - 104 - Phụlục 4. Phiếu khảo sát chính thức
  • 117.
  • 118.
  • 119.
    - 107 - Phụlục 5. Thống kê mô tả từng biến quan sát Statistics N Mean Std. Deviation Skewness Std. Error of Skewness Minimum MaximumValid Missing md1 258 0 4.11 1.049 -1.217 .152 1 5 md2 258 0 2.90 1.110 .159 .152 1 5 md3 258 0 4.25 .910 -1.177 .152 1 5 md4 258 0 1.99 .869 .804 .152 1 4 md5 258 0 2.64 1.283 .301 .152 1 5 md6 258 0 2.62 1.158 .492 .152 1 5 md7 258 0 2.08 1.228 .709 .152 0 5 md8 258 0 2.71 1.394 .304 .152 1 5 md9 258 0 2.04 1.007 .537 .152 1 4 kn1 258 0 3.13 1.114 .017 .152 1 5 kn2 258 0 4.26 .961 -1.329 .152 1 5 kn3 258 0 4.05 1.083 -1.184 .152 1 5 kn4 258 0 4.19 .783 -.984 .152 1 5 kn5 258 0 4.11 .866 -1.333 .152 1 5 kn6 258 0 3.66 .978 -.754 .152 1 5 kn7 257 1 3.30 1.072 -.304 .152 1 5 kn8 258 0 3.53 .814 .357 .152 2 5 kn9 258 0 2.84 1.079 .048 .152 1 5 kn10 257 1 2.92 1.351 -.119 .152 1 5 kn11 256 2 1.94 1.106 .940 .152 1 5 tc1 258 0 3.10 1.070 -.133 .152 1 5 tc2 258 0 3.88 .994 -.754 .152 1 5 tc3 258 0 2.18 .950 -.116 .152 1 4 tc4 258 0 1.95 .930 .627 .152 1 5 tc5 257 1 3.25 1.215 -.383 .152 1 5 tc6 258 0 3.88 .987 -.914 .152 1 5 tc7 258 0 1.72 .578 .112 .152 1 3 tc8 258 0 3.73 .801 -1.071 .152 1 5 tc9 258 0 4.22 1.134 -1.751 .152 1 5 tc10 258 0 3.45 1.095 -1.118 .152 1 5 tc11 258 0 2.77 1.624 .100 .152 1 5 ht1 258 0 3.74 1.105 -.990 .152 1 5 ht2 258 0 3.24 .787 .127 .152 2 5 ht3 257 1 1.99 .841 .022 .152 1 3 ht4 258 0 2.73 1.175 -.018 .152 1 5 ht5 258 0 2.60 1.140 .124 .152 1 5 ht6 258 0 3.44 .899 -.278 .152 1 5 td1 258 0 4.15 .669 -.184 .152 3 5 td2 258 0 4.21 .792 -.825 .152 2 5 td3 258 0 4.26 .746 -.907 .152 2 5 td4 258 0 4.35 .718 -1.013 .152 2 5 td5 258 0 4.30 .764 -.986 .152 2 5
  • 120.
    - 108 - Phụlục 6. Tần số trả lời theo từng biến quan sát md1 Frequency Percent Valid Percent Cumulative Percent Valid Chưa bao giờ 8 3.1 3.1 3.1 1-2 lần/học kỳ 17 6.6 6.6 9.7 Hằng tháng 30 11.6 11.6 21.3 Hằng tuần 87 33.7 33.7 55.0 Hằng ngày 116 45.0 45.0 100.0 Total 258 100.0 100.0 md2 Frequency Percent Valid Percent Cumulative Percent Valid Chưa bao giờ 22 8.5 8.5 8.5 1-2 lần/học kỳ 86 33.3 33.3 41.9 Hằng tháng 65 25.2 25.2 67.1 Hằng tuần 65 25.2 25.2 92.2 Hằng ngày 20 7.8 7.8 100.0 Total 258 100.0 100.0 md3 Frequency Percent Valid Percent Cumulative Percent Valid Chưa bao giờ 2 .8 .8 .8 1-2 lần/học kỳ 13 5.0 5.0 5.8 Hằng tháng 31 12.0 12.0 17.8 Hằng tuần 84 32.6 32.6 50.4 Hằng ngày 128 49.6 49.6 100.0 Total 258 100.0 100.0
  • 121.
    - 109 - md4 FrequencyPercent Valid Percent Cumulative Percent Valid Chưa bao giờ 76 29.5 29.5 29.5 1-2 lần/học kỳ 130 50.4 50.4 79.8 Hằng tháng 30 11.6 11.6 91.5 Hằng tuần 22 8.5 8.5 100.0 Total 258 100.0 100.0 md5 Frequency Percent Valid Percent Cumulative Percent Valid Chưa bao giờ 63 24.4 24.4 24.4 1-2 lần/học kỳ 57 22.1 22.1 46.5 Hằng tháng 75 29.1 29.1 75.6 Hằng tuần 35 13.6 13.6 89.1 Hằng ngày 28 10.9 10.9 100.0 Total 258 100.0 100.0 md6 Frequency Percent Valid Percent Cumulative Percent Valid Chưa bao giờ 41 15.9 15.9 15.9 1-2 lần/học kỳ 95 36.8 36.8 52.7 Hằng tháng 65 25.2 25.2 77.9 Hằng tuần 35 13.6 13.6 91.5 Hằng ngày 22 8.5 8.5 100.0 Total 258 100.0 100.0
  • 122.
    - 110 - md7 FrequencyPercent Valid Percent Cumulative Percent Valid 0 6 2.3 2.3 2.3 Chưa bao giờ 103 39.9 39.9 42.2 1-2 lần/học kỳ 65 25.2 25.2 67.4 Hằng tháng 43 16.7 16.7 84.1 Hằng tuần 30 11.6 11.6 95.7 Hằng ngày 11 4.3 4.3 100.0 Total 258 100.0 100.0 md8 Frequency Percent Valid Percent Cumulative Percent Valid Chưa bao giờ 68 26.4 26.4 26.4 1-2 lần/học kỳ 54 20.9 20.9 47.3 Hằng tháng 63 24.4 24.4 71.7 Hằng tuần 32 12.4 12.4 84.1 Hằng ngày 41 15.9 15.9 100.0 Total 258 100.0 100.0 md9 Frequency Percent Valid Percent Cumulative Percent Valid Chưa bao giờ 98 38.0 38.0 38.0 1-2 lần/học kỳ 78 30.2 30.2 68.2 Hằng tháng 55 21.3 21.3 89.5 Hằng tuần 27 10.5 10.5 100.0 Total 258 100.0 100.0
  • 123.
    - 111 - kn1 FrequencyPercent Valid Percent Cumulative Percent Valid Chưa biết 12 4.7 4.7 4.7 Biết ít 81 31.4 31.4 36.0 Chưa thành thạo 55 21.3 21.3 57.4 Thành thạo 82 31.8 31.8 89.1 Rất thành thạo 28 10.9 10.9 100.0 Total 258 100.0 100.0 kn2 Frequency Percent Valid Percent Cumulative Percent Valid Chưa biết 4 1.6 1.6 1.6 Biết ít 14 5.4 5.4 7.0 Chưa thành thạo 28 10.9 10.9 17.8 Thành thạo 78 30.2 30.2 48.1 Rất thành thạo 134 51.9 51.9 100.0 Total 258 100.0 100.0 kn3 Frequency Percent Valid Percent Cumulative Percent Valid Chưa biết 10 3.9 3.9 3.9 Biết ít 18 7.0 7.0 10.9 Chưa thành thạo 30 11.6 11.6 22.5 Thành thạo 90 34.9 34.9 57.4 Rất thành thạo 110 42.6 42.6 100.0 Total 258 100.0 100.0
  • 124.
    - 112 - kn4 FrequencyPercent Valid Percent Cumulative Percent Valid Chưa biết 2 .8 .8 .8 Biết ít 5 1.9 1.9 2.7 Chưa thành thạo 32 12.4 12.4 15.1 Thành thạo 122 47.3 47.3 62.4 Rất thành thạo 97 37.6 37.6 100.0 Total 258 100.0 100.0 kn5 Frequency Percent Valid Percent Cumulative Percent Valid Chưa biết 6 2.3 2.3 2.3 Biết ít 7 2.7 2.7 5.0 Chưa thành thạo 27 10.5 10.5 15.5 Thành thạo 131 50.8 50.8 66.3 Rất thành thạo 87 33.7 33.7 100.0 Total 258 100.0 100.0 kn6 Frequency Percent Valid Percent Cumulative Percent Valid Chưa biết 9 3.5 3.5 3.5 Biết ít 23 8.9 8.9 12.4 Chưa thành thạo 59 22.9 22.9 35.3 Thành thạo 123 47.7 47.7 82.9 Rất thành thạo 44 17.1 17.1 100.0 Total 258 100.0 100.0
  • 125.
    - 113 - kn7 FrequencyPercent Valid Percent Cumulative Percent Valid Chưa biết 16 6.2 6.2 6.2 Biết ít 39 15.1 15.2 21.4 Chưa thành thạo 86 33.3 33.5 54.9 Thành thạo 83 32.2 32.3 87.2 Rất thành thạo 33 12.8 12.8 100.0 Total 257 99.6 100.0 Missing System 1 .4 Total 258 100.0 kn8 Frequency Percent Valid Percent Cumulative Percent Valid Biết ít 16 6.2 6.2 6.2 Chưa thành thạo 126 48.8 48.8 55.0 Thành thạo 79 30.6 30.6 85.7 Rất thành thạo 37 14.3 14.3 100.0 Total 258 100.0 100.0 kn9 Frequency Percent Valid Percent Cumulative Percent Valid Chưa biết 32 12.4 12.4 12.4 Biết ít 61 23.6 23.6 36.0 Chưa thành thạo 99 38.4 38.4 74.4 Thành thạo 49 19.0 19.0 93.4 Rất thành thạo 17 6.6 6.6 100.0 Total 258 100.0 100.0
  • 126.
    - 114 - kn10 FrequencyPercent Valid Percent Cumulative Percent Valid Chưa biết 57 22.1 22.2 22.2 Biết ít 45 17.4 17.5 39.7 Chưa thành thạo 46 17.8 17.9 57.6 Thành thạo 80 31.0 31.1 88.7 Rất thành thạo 29 11.2 11.3 100.0 Total 257 99.6 100.0 Missing System 1 .4 Total 258 100.0 kn11 Frequency Percent Valid Percent Cumulative Percent Valid Chưa biết 125 48.4 48.8 48.8 Biết ít 52 20.2 20.3 69.1 Chưa thành thạo 56 21.7 21.9 91.0 Thành thạo 15 5.8 5.9 96.9 Rất thành thạo 8 3.1 3.1 100.0 Total 256 99.2 100.0 Missing System 2 .8 Total 258 100.0 tc1 Frequency Percent Valid Percent Cumulative Percent Valid Chưa có 21 8.1 8.1 8.1 Rất khó tiếp cận 47 18.2 18.2 26.4 Khó tiếp cận 99 38.4 38.4 64.7 Dễ tiếp cận 66 25.6 25.6 90.3 Rất dễ tiếp cận 25 9.7 9.7 100.0 Total 258 100.0 100.0
  • 127.
    - 115 - tc2 FrequencyPercent Valid Percent Cumulative Percent Valid Chưa có 5 1.9 1.9 1.9 Rất khó tiếp cận 22 8.5 8.5 10.5 Khó tiếp cận 49 19.0 19.0 29.5 Dễ tiếp cận 106 41.1 41.1 70.5 Rất dễ tiếp cận 76 29.5 29.5 100.0 Total 258 100.0 100.0 tc3 Frequency Percent Valid Percent Cumulative Percent Valid Chưa có 88 34.1 34.1 34.1 Rất khó tiếp cận 45 17.4 17.4 51.6 Khó tiếp cận 116 45.0 45.0 96.5 Dễ tiếp cận 9 3.5 3.5 100.0 Total 258 100.0 100.0 tc4 Frequency Percent Valid Percent Cumulative Percent Valid Chưa có 104 40.3 40.3 40.3 Rất khó tiếp cận 73 28.3 28.3 68.6 Khó tiếp cận 75 29.1 29.1 97.7 Dễ tiếp cận 2 .8 .8 98.4 Rất dễ tiếp cận 4 1.6 1.6 100.0 Total 258 100.0 100.0
  • 128.
    - 116 - tc5 FrequencyPercent Valid Percent Cumulative Percent Valid Chưa có 30 11.6 11.7 11.7 Rất khó tiếp cận 37 14.3 14.4 26.1 Khó tiếp cận 67 26.0 26.1 52.1 Dễ tiếp cận 85 32.9 33.1 85.2 Rất dễ tiếp cận 38 14.7 14.8 100.0 Total 257 99.6 100.0 Missing System 1 .4 Total 258 100.0 tc6 Frequency Percent Valid Percent Cumulative Percent Valid Chưa có 7 2.7 2.7 2.7 Rất khó tiếp cận 19 7.4 7.4 10.1 Khó tiếp cận 43 16.7 16.7 26.7 Dễ tiếp cận 117 45.3 45.3 72.1 Rất dễ tiếp cận 72 27.9 27.9 100.0 Total 258 100.0 100.0 tc7 Frequency Percent Valid Percent Cumulative Percent Valid Chưa có 89 34.5 34.5 34.5 Rất khó tiếp cận 152 58.9 58.9 93.4 Khó tiếp cận 17 6.6 6.6 100.0 Total 258 100.0 100.0
  • 129.
    - 117 - tc8 FrequencyPercent Valid Percent Cumulative Percent Valid Chưa có 8 3.1 3.1 3.1 Rất khó tiếp cận 3 1.2 1.2 4.3 Khó tiếp cận 70 27.1 27.1 31.4 Dễ tiếp cận 147 57.0 57.0 88.4 Rất dễ tiếp cận 30 11.6 11.6 100.0 Total 258 100.0 100.0 tc9 Frequency Percent Valid Percent Cumulative Percent Valid Chưa có 19 7.4 7.4 7.4 Rất khó tiếp cận 5 1.9 1.9 9.3 Khó tiếp cận 14 5.4 5.4 14.7 Dễ tiếp cận 82 31.8 31.8 46.5 Rất dễ tiếp cận 138 53.5 53.5 100.0 Total 258 100.0 100.0 tc10 Frequency Percent Valid Percent Cumulative Percent Valid Chưa có 31 12.0 12.0 12.0 Rất khó tiếp cận 6 2.3 2.3 14.3 Khó tiếp cận 59 22.9 22.9 37.2 Dễ tiếp cận 139 53.9 53.9 91.1 Rất dễ tiếp cận 23 8.9 8.9 100.0 Total 258 100.0 100.0
  • 130.
    - 118 - tc11 FrequencyPercent Valid Percent Cumulative Percent Valid Chưa có 103 39.9 39.9 39.9 Rất khó tiếp cận 13 5.0 5.0 45.0 Khó tiếp cận 35 13.6 13.6 58.5 Dễ tiếp cận 54 20.9 20.9 79.5 Rất dễ tiếp cận 53 20.5 20.5 100.0 Total 258 100.0 100.0 ht1 Frequency Percent Valid Percent Cumulative Percent Valid Chưa có 19 7.4 7.4 7.4 Hiếm khi 11 4.3 4.3 11.6 Chưa thường xuyên 52 20.2 20.2 31.8 Thường xuyên 112 43.4 43.4 75.2 Trất hường xuyên 64 24.8 24.8 100.0 Total 258 100.0 100.0 ht2 Frequency Percent Valid Percent Cumulative Percent Valid Hiếm khi 44 17.1 17.1 17.1 Chưa thường xuyên 120 46.5 46.5 63.6 Thường xuyên 82 31.8 31.8 95.3 Trất hường xuyên 12 4.7 4.7 100.0 Total 258 100.0 100.0
  • 131.
    - 119 - ht3 FrequencyPercent Valid Percent Cumulative Percent Valid Chưa có 92 35.7 35.8 35.8 Hiếm khi 76 29.5 29.6 65.4 Chưa thường xuyên 89 34.5 34.6 100.0 Total 257 99.6 100.0 Missing System 1 .4 Total 258 100.0 ht4 Frequency Percent Valid Percent Cumulative Percent Valid Chưa có 53 20.5 20.5 20.5 Hiếm khi 47 18.2 18.2 38.8 Chưa thường xuyên 89 34.5 34.5 73.3 Thường xuyên 54 20.9 20.9 94.2 Trất hường xuyên 15 5.8 5.8 100.0 Total 258 100.0 100.0 ht5 Frequency Percent Valid Percent Cumulative Percent Valid Chưa có 55 21.3 21.3 21.3 Hiếm khi 65 25.2 25.2 46.5 Chưa thường xuyên 77 29.8 29.8 76.4 Thường xuyên 51 19.8 19.8 96.1 Trất hường xuyên 10 3.9 3.9 100.0 Total 258 100.0 100.0
  • 132.
    - 120 - ht6 FrequencyPercent Valid Percent Cumulative Percent Valid Chưa có 5 1.9 1.9 1.9 Hiếm khi 30 11.6 11.6 13.6 Chưa thường xuyên 96 37.2 37.2 50.8 Thường xuyên 100 38.8 38.8 89.5 Trất hường xuyên 27 10.5 10.5 100.0 Total 258 100.0 100.0 td1 Frequency Percent Valid Percent Cumulative Percent Valid Phân vân 41 15.9 15.9 15.9 Đồng ý 137 53.1 53.1 69.0 Rất không đồng ý 80 31.0 31.0 100.0 Total 258 100.0 100.0 td2 Frequency Percent Valid Percent Cumulative Percent Valid Không đồng ý 9 3.5 3.5 3.5 Phân vân 32 12.4 12.4 15.9 Đồng ý 112 43.4 43.4 59.3 Rất không đồng ý 105 40.7 40.7 100.0 Total 258 100.0 100.0 td3 Frequency Percent Valid Percent Cumulative Percent Valid Không đồng ý 8 3.1 3.1 3.1 Phân vân 23 8.9 8.9 12.0 Đồng ý 122 47.3 47.3 59.3 Rất không đồng ý 105 40.7 40.7 100.0 Total 258 100.0 100.0
  • 133.
    - 121 - td4 FrequencyPercent Valid Percent Cumulative Percent Valid Không đồng ý 6 2.3 2.3 2.3 Phân vân 19 7.4 7.4 9.7 Đồng ý 112 43.4 43.4 53.1 Rất không đồng ý 121 46.9 46.9 100.0 Total 258 100.0 100.0 td5 Frequency Percent Valid Percent Cumulative Percent Valid Không đồng ý 8 3.1 3.1 3.1 Phân vân 24 9.3 9.3 12.4 Đồng ý 109 42.2 42.2 54.7 Rất không đồng ý 117 45.3 45.3 100.0 Total 258 100.0 100.0
  • 134.
    - 122 - Phụlục 7. Thống kê so sánh các khía cạnh đặc điểm cá nhân 1. So sánh mức độ ứng dụng CNTT theo khía cạnh “thâm niên công tác” Descriptives Mức độ Ứng dụng CNTT N Mean Std. Deviation Std. Error 95% Confidence Interval for Mean Minimu m Maximu m Lower Bound Upper Bound 1-5 năm 68 2.2290 .67691 .08209 2.0651 2.3928 1.00 4.29 6-10 năm 130 2.5055 .84415 .07404 2.3590 2.6520 1.00 4.71 11-15 năm 45 2.6222 .78551 .11710 2.3862 2.8582 1.14 4.71 16-20 năm 9 2.5238 .98974 .32991 1.7630 3.2846 1.14 4.00 Trên 20 năm 6 1.3571 .43095 .17593 .9049 1.8094 1.00 2.14 Total 258 2.4269 .81492 .05073 2.3270 2.5268 1.00 4.71 Test of Homogeneity of Variances Mức độ Ứng dụng CNTT Levene Statistic df1 df2 Sig. 2.477 4 253 .045
  • 135.
    - 123 - MultipleComparisons Mức độ Ứng dụng CNTT Bonferroni (I) Thâm niên (J) Thâm niên Mean Difference (I-J) Std. Error Sig. 95% Confidence Interval Lower Bound Upper Bound d i m e n s i o n 2 1-5 năm 3 6-10 năm -.27650 .11847 .204 -.6120 .0590 11-15 năm -.39323 .15212 .103 -.8240 .0376 16-20 năm -.29482 .28079 1.000 -1.0900 .5003 Trên 20 năm .87185 .33713 .103 -.0828 1.8265 6-10 năm n 3 1-5 năm .27650 .11847 .204 -.0590 .6120 11-15 năm -.11673 .13691 1.000 -.5045 .2710 16-20 năm -.01832 .27285 1.000 -.7910 .7544 Trên 20 năm 1.14835* .33054 .006 .2123 2.0844 11-15 năm n 3 1-5 năm .39323 .15212 .103 -.0376 .8240 6-10 năm .11673 .13691 1.000 -.2710 .5045 16-20 năm .09841 .28905 1.000 -.7201 .9170 Trên 20 năm 1.26508* .34404 .003 .2908 2.2394 16-20 năm d 3 1-5 năm .29482 .28079 1.000 -.5003 1.0900 6-10 năm .01832 .27285 1.000 -.7544 .7910 11-15 năm -.09841 .28905 1.000 -.9170 .7201 Trên 20 năm 1.16667 .41721 .056 -.0148 2.3482 Trên 20 năm e n s 3 1-5 năm -.87185 .33713 .103 -1.8265 .0828 6-10 năm -1.14835* .33054 .006 -2.0844 -.2123 11-15 năm -1.26508* .34404 .003 -2.2394 -.2908 16-20 năm -1.16667 .41721 .056 -2.3482 .0148 *. The mean difference is significant at the 0.05 level.
  • 136.
    - 124 - 2.So sánh sự khác biệt về mức độ ứng dụng CNTT ở khía cạnh “độ tuổi” Descriptives Mức độ Ứng dụng CNTT N Mean Std. Deviation Std. Error 95% Confidence Interval for Mean Minimum Maximu mLower Bound Upper Bound 20-29 64 2.3125 .74552 .09319 2.1263 2.4987 1.14 4.71 30-39 166 2.5189 .79862 .06199 2.3965 2.6413 1.00 4.71 40-49 15 2.1333 .74908 .19341 1.7185 2.5482 1.14 3.43 50-59 13 2.1538 1.22677 .34025 1.4125 2.8952 1.00 4.00 Total 258 2.4269 .81492 .05073 2.3270 2.5268 1.00 4.71 Test of Homogeneity of Variances Mức độ Ứng dụng CNTT Levene Statistic df1 df2 Sig. 4.097 3 254 .007 Multiple Comparisons Mức độ Ứng dụng CNTT Bonferroni (I) Tuổi (J) Tuổi Mean Difference (I-J) Std. Error Sig. 95% Confidence Interval Lower Bound Upper Bound d i m e n s i o n 2 20-29 3 30-39 -.20643 .11901 .504 -.5229 .1100 40-49 .17917 .23202 1.000 -.4378 .7961 50-59 .15865 .24606 1.000 -.4956 .8129 30-39 di m3 20-29 .20643 .11901 .504 -.1100 .5229 40-49 .38560 .21807 .469 -.1943 .9655 50-59 .36509 .23295 .710 -.2543 .9845 40-49 di me 20-29 -.17917 .23202 1.000 -.7961 .4378 30-39 -.38560 .21807 .469 -.9655 .1943 50-59 -.02051 .30649 1.000 -.8355 .7945 50-59 di me 20-29 -.15865 .24606 1.000 -.8129 .4956 30-39 -.36509 .23295 .710 -.9845 .2543 40-49 .02051 .30649 1.000 -.7945 .8355
  • 137.
    - 125 - 3.So sánh khác biệt về mức độ ứng dụng CNTT ở khía cạnh “Số năm sử dụng máy tính” Descriptives Mức độ Ứng dụng CNTT N Mean Std. Deviation Std. Error 95% Confidence Interval for Mean Minimu m Maximu m Lower Bound Upper Bound 1-5 năm 89 2.1637 .70202 .07441 2.0158 2.3116 1.00 4.00 6-10 năm 127 2.4983 .78923 .07003 2.3597 2.6369 1.00 4.71 11-15 năm 42 2.7687 .95125 .14678 2.4723 3.0651 1.00 4.71 Total 258 2.4269 .81492 .05073 2.3270 2.5268 1.00 4.71 Test of Homogeneity of Variances Mức độ Ứng dụng CNTT Levene Statistic df1 df2 Sig. 2.705 2 255 .069 Multiple Comparisons Mức độ Ứng dụng CNTT Bonferroni (I) Năm SDMT (J) Năm SDMT Mean Difference (I-J) Std. Error Sig. 95% Confidence Interval Lower Bound Upper Bound dimension2 1-5 năm dimension3 6-10 năm -.33459* .10914 .007 -.5976 -.0716 11-15 năm -.60498* .14780 .000 -.9612 -.2488 6-10 năm dimension3 1-5 năm .33459* .10914 .007 .0716 .5976 11-15 năm -.27039 .14053 .166 -.6091 .0683 11-15 năm dimension3 1-5 năm .60498* .14780 .000 .2488 .9612 6-10 năm .27039 .14053 .166 -.0683 .6091 *. The mean difference is significant at the 0.05 level.
  • 138.
    - 126 - 4.So sánh khác biệt về mức độ ứng dụng CNTT ở khía cạnh “giới tính” Group Statistics Giới tính N Mean Std. Deviation Std. Error Mean Mức độ Ứng dụng CNTT dimension1 Nam 130 2.4429 .82878 .07269 Nữ 128 2.4107 .80354 .07102 Independent Samples Test Mức độ Ứng dụng CNTT Equal variances assumed Equal variances not assumed Levene's Test for Equality of Variances F .397 Sig. .529 t-test for Equality of Means t .316 .316 df 256 255.940 Sig. (2-tailed) .752 .752 Mean Difference .03214 .03214 Std. Error Difference .10165 .10163 95% Confidence Interval of the Difference Lower -.16804 -.16799 Upper .23232 .23227
  • 139.
    - 127 - Phụlục 8. Thư ngỏ xin khảo sát giáo viên
  • 140.
    - 128 - Phụlục 9. Thư cảm ơn các trường THPT