Embed presentation
Download to read offline








































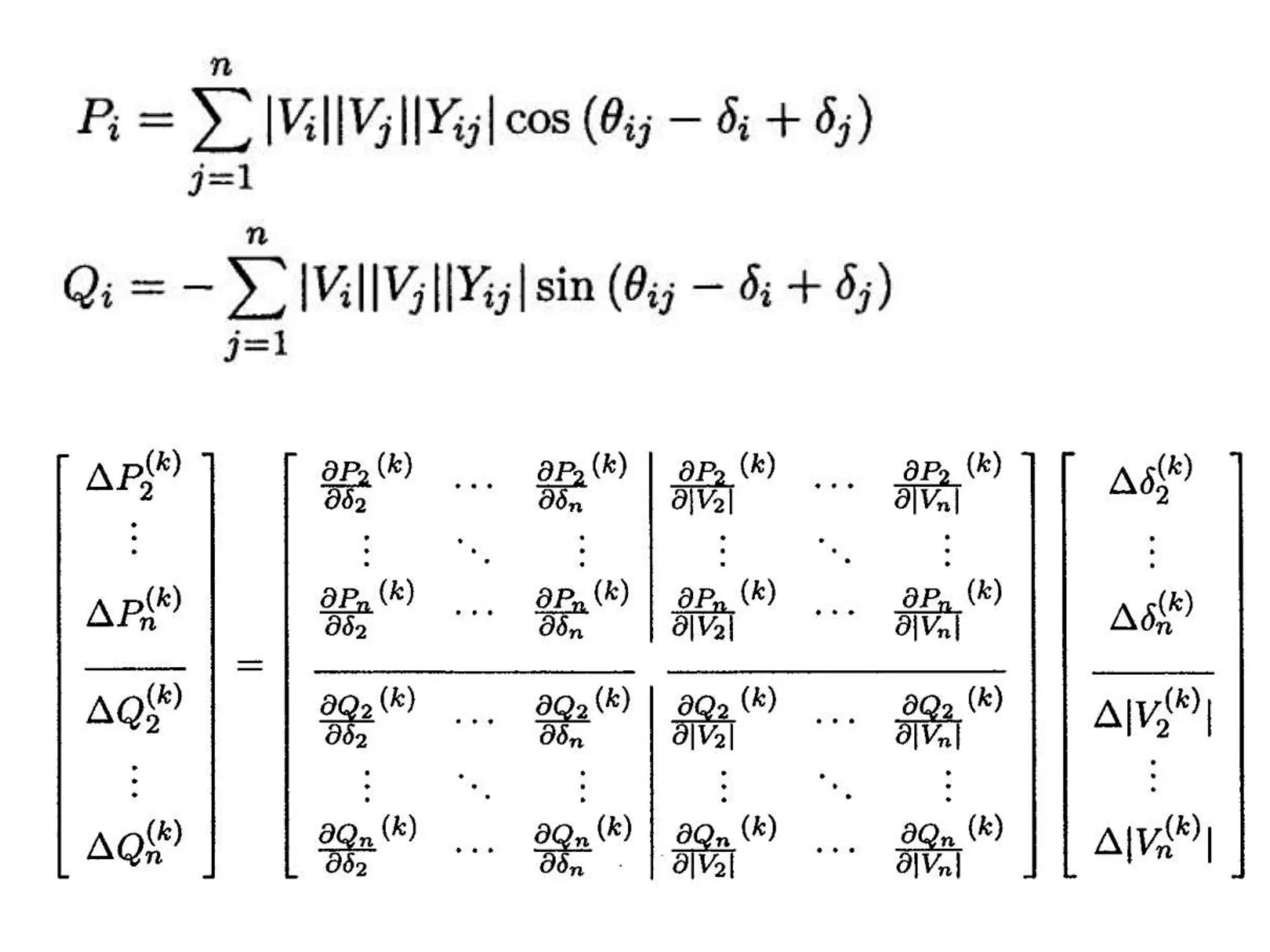
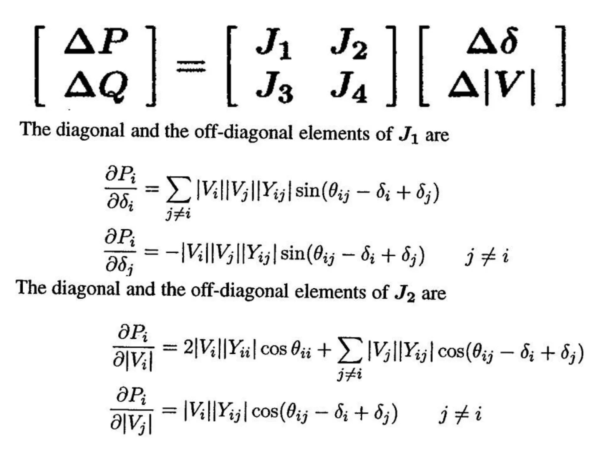
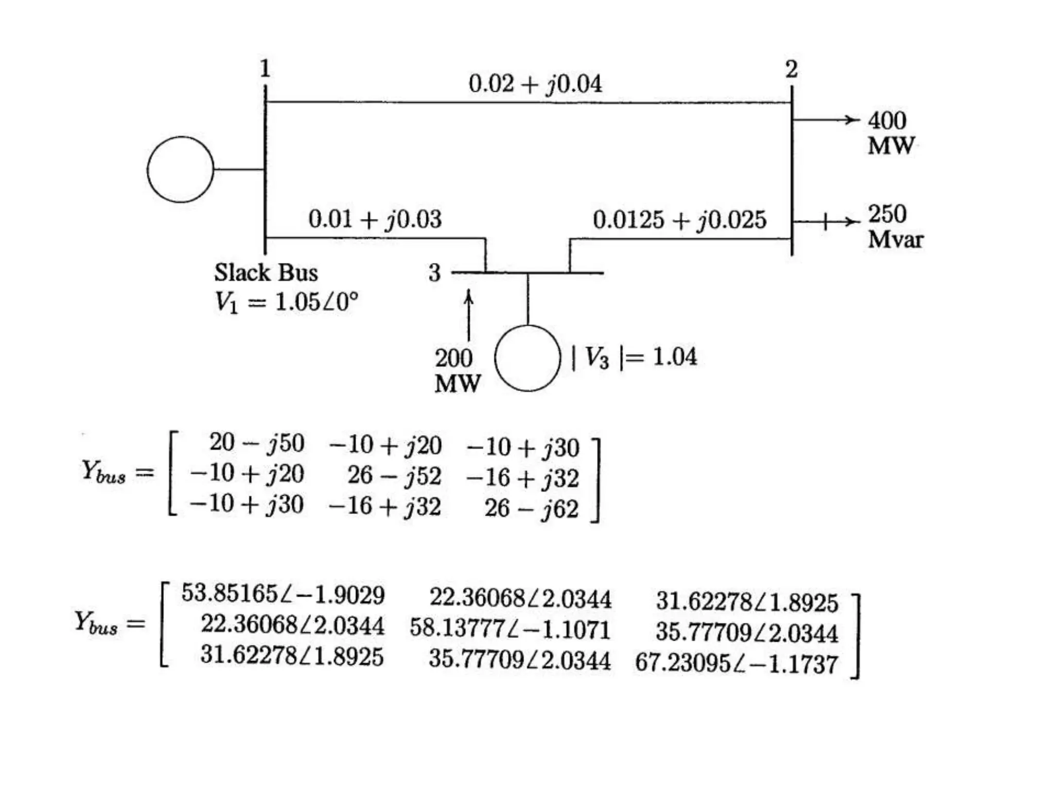
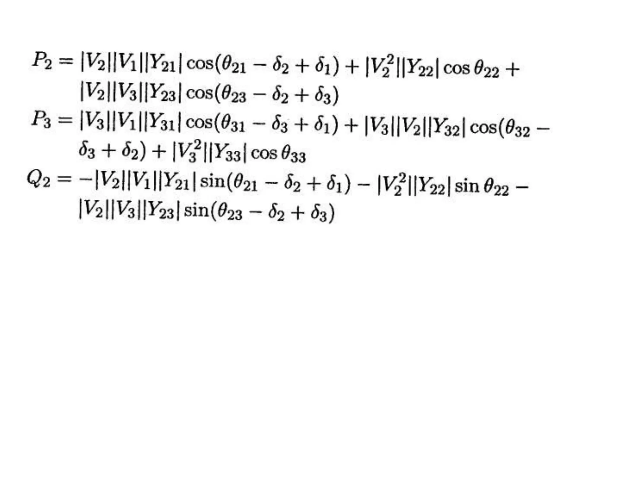
Load flow studies are performed by utilities to ensure voltage levels and equipment currents stay within safe operating limits. They model the known loads, generator outputs, and voltage regulator set points to calculate voltages and currents throughout the system using methods like Gauss-Seidel or Newton-Raphson. These load flow studies help utilities maintain reliability by identifying any potential overloads or voltage violations.







































