Lipids
Definition
• Lipids are water insoluble biomolecules that
can be extracted from cells, tssues by non-
polar solvents. For example : benzene,
Chloroform, Ether
Functions
• Structural component of cell membrane .
• Storage form of metabolic fuel.
• Protecting coating on surface on many
microorganisms.
• On some fruits e.g, apple, bird feather
• Cell recognition, species specificity
• Some have biological property as vitamins and
hormones
Classification; Presence of FA
• Complex (Saponifiable) lipid
• Simple ( Non saponifiable)
• Complex:
• Lipid Backbone
• 1.Acyl Glycerol Glycerol
• 2. Phosphoglycerides Glycerol 3 PO4
• 3.Sphingolipid Sphingosine
• 4.Waxes Non polar alcohal of high mol. wt
Simple lipid
• Terpenes
• Steroids
• Prostaglandin
Fatty acids
• Occur largely in large amount in saponifiable
lipids. Only traces are present in free form
• Hydrocarbon chain (C4 to C36)
• Terminal carboxylic group (COOH)
• Saturated FA Palmitic acid , C16, Stearic C18
• Un saturated fA Oleic, C18:1.^9
• Monoenoic : single double bond
• Polyenoic : More than one double bonds
• Unsaturated FA predominates over Saturated
FA,, particularly in higher plants & animals
living in low temp.
Some naturally occuring fatty acids
Packing of fatty acid
Essential fatty acids
• Linoleic
• Linolinic
• Arachidonic
Omega fatty acids
Classification of lipids :Complex :
Neutral Fat/ Triacyl Glycerol /
Triglycerides
• Triacylglycerols Are Fatty Acid Esters of Glycerol
The simplest lipids constructed from fatty acids are the
triacylglycerols, also referred to as triglycerides, fats,or neutral fats.
• Triacylglycerols are composed of three fatty acids each in ester
linkage with a single glycerol
• Those containing the same kind of fatty acid in all three positions
are called simple triacylglycerols and are named after the fatty acid
they contain. Simple triacylglycerols of 16:0, 18:0, and 18:1, for
example, are tristearin, tripalmitin, and triolein, respectively.
• Most naturally occurring triacylglycerols are mixed
;
• Fatty acid ester of glycerol are called acyl glycerol or
Glycerides.
• Most abundant family of lipid.
• Major component of storage lipid.
• It provides stored energy and insulation
• Triacylglycerol which are solid at room temperature is
called fat. Fat has higher mp than oil
• Which are liquid are called oil. In oil, m.p is lower than
fat.
• 1 gm fat gives 9 K cal against 4K cal from
carbohydrates.
Triglyceride
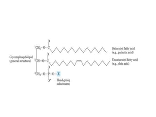
Phosphoglycerides
• Second largest class of complex lipid
• Major component of cell membrane.
• In phospho glycerides,one of the primary
hydroxyl group of glycerol is esterified with
phosphoric acid and others are esterified with
fatty acids.
:
Common phospholipids
• Phosphotidyl-ethanolamine (Cephalin)
• Phoshatidyl choline (Lecithin)
Sphingolipids
• Second largest class of membrane lipid in
plants and animals.
• Present in brain and nerve tissues in large
amount.
• have one polar head group and two non
polar tails.
• but they donot contain glycerol
• Shingolipids are composed of :
• Sphingosine : Long chain amino alcohal or its
derivatives
• One molecule of long chain FA
• A polar head that is joined by glycosidic
linkage or phosho diester linkage
Waxes
• Ester of long chain (C14 –C36) saturated and
unsaturated fatty acids with lonf chain (c16 –
C30) alcohal.
• They are chief storage form of metabolic fuel
of free floating marine organism.
• Due to water repellent property, they protect
the bird feather, leaves ,fruits,. Apple has waxy
coating
Bee wax component
Simple lipids
• They donot contain fatty acids as component.
• Terpenes and steroids are important group of
compounds.
• They are made up of 5C isoprene unit.
• Biological active counterpart is Isopentylpyro
phosphate.
Terpenes
• Terpenes containing
• 2 isoprene units -- monoterpenes
• 4 Diterpenes
• 6 Triterpenes
• Many Poly terpenes
• 3 Sesquiterpene
• Terpenes may be linear or cyclic molecules
• The characterstic aroma/flavour of essential
oil is due to terpenes
• cumin, coriander, fennel, mentha.
• Large number of terpenes are derived from
plants.
• Limonene (lemon oil)
• Anethole (fennel)
Steroids
• Are simple lipids. They are derived from
isoprene units. All steroids are originated
from linear triterpene, Squalene which
cyclises readily.
• The first important product of this cyclization
is lanosterol.
• which is precursor of cholesterol.
• Cholestrol (Vertebrates)
• Ergosterol (Fungi)
• Cholesterol is insoluble in water., but readily
extractable from tissues using chloroform,
ether, benzene.
• Cholesterol is precursor of many
steroids,including bile acids( emulsify and
absorb lipids)
• Androgen , Esterogen , Adrenocorticone
Prostaglandin
• Physiologically active lipid compound.
• Family of FA derivatives which have variety of
biological activities.
• They are synthesized from Archidonic acid.
• They have diverse hormone like effects .
• PG are found in prostrate gland,seminal
plasma and seminal vesicle.
• Lower blood pressure
• Stimulate contraction of smooth muscle.
• PG E1, PGF1.
• The name of prostaglandin was given by Von
Euler.
Biological membranes and transport
• Plasma membrane is an envelop which
surrounds the cell.
• It separates and protect the cell from
environment.
• It is connecting system between cell and
environment.
• The subcellular orgeneles such as
mitochondria, nucleus, lysosomes are
surrounded bymembrane.
Chemical composition
• The membrane is composed of mainly lipid
and protein.
• The actual composition differ from tissue to
tissue.
• Among lipid,amphipathic lipids
namely,phospholipid and glycolipid &
cholesterol are found in animal membrane.
Structure of membrane
• Fluid mosaic model given by Singer and
Nicholson.
• Essentially composed oflipid bilayer.
• The lipid hydrophobic region face each other
at the core of bilayer while the hydrophilic
(polar) region faces outward.
• Globular proteins are irregularly embedded in
the lipid bilayer. They are catagorized into two
groups.
• Extrinsic (Peripheral) membrane proteins
• Are loosely held to the surface of membrane.
• They can be easily separated e.g. CytochromeC
• Intrinsic (Integral) proteins
• Tightly bound to lipid bilayer. Separated by
• Detergent, organic solvent.
• E.g. Hormone receptor
Fluid mosaic model
Transport across the membrane
• Biological membranes are relatively
impermeable.
• They form a barrier for the free passage of
compounds across it.
• Three mechanism for transport of solutes.
• Passive diffusion
• Facilitated diffusion’
• Active transport
Passive diffusion
• It is a simple process which depends on the
concentration gradient of a particular
substances across the membrane.
• This process does not require energy.
• There is a difference in concentration of
solutes between two areas.
Facilitated diffusion
• is comparable to diffusion.
• Since solutes move along the concentration
gradient ( from higher to lower concentration
)
• No energy is needed .
• Carrier or transport protein is required .
• Specific carrier proteins for the transport of
Gal, Glu, Leu, Phe, have been isolated &
characterized.
Active transport
• It occurs against concentration gradient.
• It requires energy. Eg Na K pump
• Cell have high intracellular K+
• Low Na+
• Na+K+ pump is responsible for maintaining
high K+ and lowNa+ in the cell.
Transport System
• Uniport system : This involves the movement
of single molecule through membrane,
• E.g. Transport of glucose to erythrocyte
• Symport : Simultaneous transport of two
different molecules in the same direction e.g.
Transport of Na+ and glucose to the intestinal
mucosa
• Antiport :
• Simultaneous transport of two molecules in
opposite direction.e.g. Exchange of Cl & HCO3
in erythrocyte.
lipid,Types of lipids, classification.pptx
lipid,Types of lipids, classification.pptx

lipid,Types of lipids, classification.pptx

  • 1.
  • 2.
    Definition • Lipids arewater insoluble biomolecules that can be extracted from cells, tssues by non- polar solvents. For example : benzene, Chloroform, Ether
  • 3.
    Functions • Structural componentof cell membrane . • Storage form of metabolic fuel. • Protecting coating on surface on many microorganisms. • On some fruits e.g, apple, bird feather • Cell recognition, species specificity • Some have biological property as vitamins and hormones
  • 4.
    Classification; Presence ofFA • Complex (Saponifiable) lipid • Simple ( Non saponifiable) • Complex: • Lipid Backbone • 1.Acyl Glycerol Glycerol • 2. Phosphoglycerides Glycerol 3 PO4 • 3.Sphingolipid Sphingosine • 4.Waxes Non polar alcohal of high mol. wt
  • 5.
    Simple lipid • Terpenes •Steroids • Prostaglandin
  • 6.
    Fatty acids • Occurlargely in large amount in saponifiable lipids. Only traces are present in free form • Hydrocarbon chain (C4 to C36) • Terminal carboxylic group (COOH) • Saturated FA Palmitic acid , C16, Stearic C18 • Un saturated fA Oleic, C18:1.^9 • Monoenoic : single double bond • Polyenoic : More than one double bonds
  • 7.
    • Unsaturated FApredominates over Saturated FA,, particularly in higher plants & animals living in low temp.
  • 8.
  • 9.
  • 10.
    Essential fatty acids •Linoleic • Linolinic • Arachidonic
  • 11.
  • 12.
    Classification of lipids:Complex : Neutral Fat/ Triacyl Glycerol / Triglycerides • Triacylglycerols Are Fatty Acid Esters of Glycerol The simplest lipids constructed from fatty acids are the triacylglycerols, also referred to as triglycerides, fats,or neutral fats. • Triacylglycerols are composed of three fatty acids each in ester linkage with a single glycerol • Those containing the same kind of fatty acid in all three positions are called simple triacylglycerols and are named after the fatty acid they contain. Simple triacylglycerols of 16:0, 18:0, and 18:1, for example, are tristearin, tripalmitin, and triolein, respectively. • Most naturally occurring triacylglycerols are mixed ;
  • 13.
    • Fatty acidester of glycerol are called acyl glycerol or Glycerides. • Most abundant family of lipid. • Major component of storage lipid. • It provides stored energy and insulation • Triacylglycerol which are solid at room temperature is called fat. Fat has higher mp than oil • Which are liquid are called oil. In oil, m.p is lower than fat. • 1 gm fat gives 9 K cal against 4K cal from carbohydrates.
  • 14.
  • 15.
    Phosphoglycerides • Second largestclass of complex lipid • Major component of cell membrane. • In phospho glycerides,one of the primary hydroxyl group of glycerol is esterified with phosphoric acid and others are esterified with fatty acids.
  • 16.
  • 19.
    Common phospholipids • Phosphotidyl-ethanolamine(Cephalin) • Phoshatidyl choline (Lecithin)
  • 20.
    Sphingolipids • Second largestclass of membrane lipid in plants and animals. • Present in brain and nerve tissues in large amount. • have one polar head group and two non polar tails. • but they donot contain glycerol
  • 21.
    • Shingolipids arecomposed of : • Sphingosine : Long chain amino alcohal or its derivatives • One molecule of long chain FA • A polar head that is joined by glycosidic linkage or phosho diester linkage
  • 24.
    Waxes • Ester oflong chain (C14 –C36) saturated and unsaturated fatty acids with lonf chain (c16 – C30) alcohal. • They are chief storage form of metabolic fuel of free floating marine organism. • Due to water repellent property, they protect the bird feather, leaves ,fruits,. Apple has waxy coating
  • 25.
  • 26.
    Simple lipids • Theydonot contain fatty acids as component. • Terpenes and steroids are important group of compounds. • They are made up of 5C isoprene unit. • Biological active counterpart is Isopentylpyro phosphate.
  • 27.
    Terpenes • Terpenes containing •2 isoprene units -- monoterpenes • 4 Diterpenes • 6 Triterpenes • Many Poly terpenes • 3 Sesquiterpene • Terpenes may be linear or cyclic molecules
  • 28.
    • The charactersticaroma/flavour of essential oil is due to terpenes • cumin, coriander, fennel, mentha. • Large number of terpenes are derived from plants. • Limonene (lemon oil) • Anethole (fennel)
  • 29.
    Steroids • Are simplelipids. They are derived from isoprene units. All steroids are originated from linear triterpene, Squalene which cyclises readily. • The first important product of this cyclization is lanosterol. • which is precursor of cholesterol. • Cholestrol (Vertebrates) • Ergosterol (Fungi)
  • 30.
    • Cholesterol isinsoluble in water., but readily extractable from tissues using chloroform, ether, benzene. • Cholesterol is precursor of many steroids,including bile acids( emulsify and absorb lipids) • Androgen , Esterogen , Adrenocorticone
  • 31.
    Prostaglandin • Physiologically activelipid compound. • Family of FA derivatives which have variety of biological activities. • They are synthesized from Archidonic acid. • They have diverse hormone like effects . • PG are found in prostrate gland,seminal plasma and seminal vesicle.
  • 32.
    • Lower bloodpressure • Stimulate contraction of smooth muscle. • PG E1, PGF1. • The name of prostaglandin was given by Von Euler.
  • 33.
    Biological membranes andtransport • Plasma membrane is an envelop which surrounds the cell. • It separates and protect the cell from environment. • It is connecting system between cell and environment. • The subcellular orgeneles such as mitochondria, nucleus, lysosomes are surrounded bymembrane.
  • 34.
    Chemical composition • Themembrane is composed of mainly lipid and protein. • The actual composition differ from tissue to tissue. • Among lipid,amphipathic lipids namely,phospholipid and glycolipid & cholesterol are found in animal membrane.
  • 35.
    Structure of membrane •Fluid mosaic model given by Singer and Nicholson. • Essentially composed oflipid bilayer. • The lipid hydrophobic region face each other at the core of bilayer while the hydrophilic (polar) region faces outward. • Globular proteins are irregularly embedded in the lipid bilayer. They are catagorized into two groups.
  • 36.
    • Extrinsic (Peripheral)membrane proteins • Are loosely held to the surface of membrane. • They can be easily separated e.g. CytochromeC • Intrinsic (Integral) proteins • Tightly bound to lipid bilayer. Separated by • Detergent, organic solvent. • E.g. Hormone receptor
  • 37.
  • 38.
    Transport across themembrane • Biological membranes are relatively impermeable. • They form a barrier for the free passage of compounds across it. • Three mechanism for transport of solutes. • Passive diffusion • Facilitated diffusion’ • Active transport
  • 39.
    Passive diffusion • Itis a simple process which depends on the concentration gradient of a particular substances across the membrane. • This process does not require energy. • There is a difference in concentration of solutes between two areas.
  • 40.
    Facilitated diffusion • iscomparable to diffusion. • Since solutes move along the concentration gradient ( from higher to lower concentration ) • No energy is needed . • Carrier or transport protein is required . • Specific carrier proteins for the transport of Gal, Glu, Leu, Phe, have been isolated & characterized.
  • 41.
    Active transport • Itoccurs against concentration gradient. • It requires energy. Eg Na K pump • Cell have high intracellular K+ • Low Na+ • Na+K+ pump is responsible for maintaining high K+ and lowNa+ in the cell.
  • 43.
    Transport System • Uniportsystem : This involves the movement of single molecule through membrane, • E.g. Transport of glucose to erythrocyte • Symport : Simultaneous transport of two different molecules in the same direction e.g. Transport of Na+ and glucose to the intestinal mucosa
  • 44.
    • Antiport : •Simultaneous transport of two molecules in opposite direction.e.g. Exchange of Cl & HCO3 in erythrocyte.