Balancing of Reciprocating Masses
Partial Balancing of Unbalanced Primary
Force in a Reciprocating Engine
know that centrifugal force due to mass B,
horizontal component of this force acting in opposite direction of primary
force
The primary force is balanced
compromise let a fraction β€˜c’ of the reciprocating masses is balanced
Unbalanced force along the line of stroke
and unbalanced force along the perpendicular to the line of stroke
Resultant unbalanced force at any instant
If the balancing mass is required to balance the revolving masses as
well as reciprocating masses
Example 2.1. A single cylinder reciprocating engine has speed 240
r.p.m., stroke 300 mm, mass of reciprocating parts 50 kg, mass of
revolving parts at 150 mm radius 37 kg. If two-third of the reciprocating
parts and all the revolving parts are to be balanced, find: 1. the balance
mass required at a radius of 400 mm, and 2. the residual unbalanced
force when the crank has rotated 60Β° from top dead center.
2. Residual unbalanced force
Hammer Blow
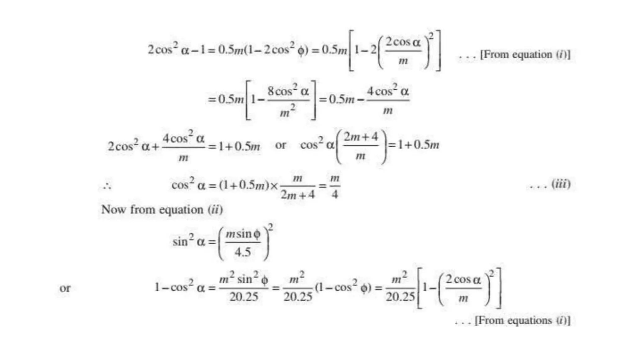
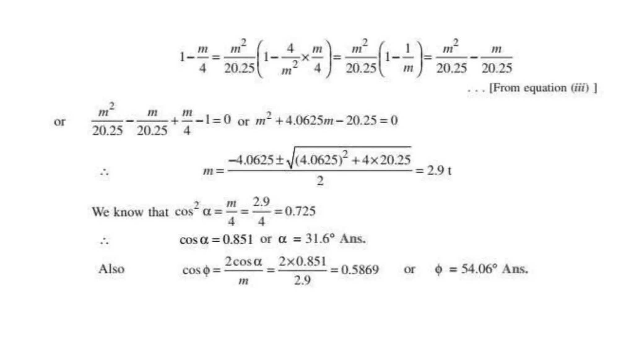
Example 2.2. A four cylinder engine has cranks arranged symmetrically
along the shaft as shown in Fig. 2.2. The distance between the outer cranks
A and D is 5.4 meters and that between the inner cranks B and C is 2.4
meters.
The mass of the reciprocating parts belonging to each of the outer
cylinders is 2 tones, and that belonging to each of the inner cylinders is m
tones. If the primary and secondary forces are to be balanced and also the
primary couples, determine the crank angle positions and the mass of the
reciprocating parts (m) corresponding to the inner cylinders.
lec4 single cylinder.pptx
lec4 single cylinder.pptx
lec4 single cylinder.pptx
lec4 single cylinder.pptx
lec4 single cylinder.pptx
lec4 single cylinder.pptx
lec4 single cylinder.pptx
lec4 single cylinder.pptx
lec4 single cylinder.pptx
lec4 single cylinder.pptx
lec4 single cylinder.pptx

lec4 single cylinder.pptx

  • 1.
  • 9.
    Partial Balancing ofUnbalanced Primary Force in a Reciprocating Engine
  • 10.
    know that centrifugalforce due to mass B, horizontal component of this force acting in opposite direction of primary force The primary force is balanced
  • 11.
    compromise let afraction β€˜c’ of the reciprocating masses is balanced Unbalanced force along the line of stroke
  • 12.
    and unbalanced forcealong the perpendicular to the line of stroke Resultant unbalanced force at any instant
  • 13.
    If the balancingmass is required to balance the revolving masses as well as reciprocating masses Example 2.1. A single cylinder reciprocating engine has speed 240 r.p.m., stroke 300 mm, mass of reciprocating parts 50 kg, mass of revolving parts at 150 mm radius 37 kg. If two-third of the reciprocating parts and all the revolving parts are to be balanced, find: 1. the balance mass required at a radius of 400 mm, and 2. the residual unbalanced force when the crank has rotated 60Β° from top dead center.
  • 15.
  • 16.
  • 19.
    Example 2.2. Afour cylinder engine has cranks arranged symmetrically along the shaft as shown in Fig. 2.2. The distance between the outer cranks A and D is 5.4 meters and that between the inner cranks B and C is 2.4 meters. The mass of the reciprocating parts belonging to each of the outer cylinders is 2 tones, and that belonging to each of the inner cylinders is m tones. If the primary and secondary forces are to be balanced and also the primary couples, determine the crank angle positions and the mass of the reciprocating parts (m) corresponding to the inner cylinders.