Perancangan Simulator Lengan Eskavator…………………..… (Purnawan, Dian FD, Uli Karo Karo)
PERANCANGAN SIMULATOR LENGAN ESKAVATOR DENGAN
KONTROL PNEUMATIK
Purnawan, Dian Fitri Diyanto, Uli Karo Karo
Jurusan Pendidikan Teknik Mesin FPTK UPI
Jl. Dr. Setiabudhi No.229 Bandung 40154
e-mail : purnawan@upi.edu
ABSTRAK
Tujuan penelitian ini adalah untuk membuat rancangan simulator lengan eskavator yang akan
digunakan untuk media pembelajaran pada mata kuliah otomasi di Jurusan Pendidikan
Teknik Mesin (JPTM) Universitas Pendidikan Indonesia (UPI). Metode perancangan
menggunakan pendekatan pengembangan produk. Hasil penelitian telah menghasilkan
rancangan simulator lengan eskavator dengan kontrol pneumatic untuk beban angkat sebesar
2,5 kg yang bekerja pada tekanan 6 bar. Simulator menggunakan 3 buah silinder kerja ganda
berdiamater 25 mm dengan panjang langkah 100 mm. Hasil pengujian menunjukkan
simulator dapat bekerja sesuai dengan perencanaan.
Kata Kunci : simulator, eskavator, pneumatik
ABSTRACT
The purpose of this study was to create a design simulator excavator arm will be used to
media learning in automation courses in the Department of Mechanical Engineering
Education (JPTM) Indonesian Education University (UPI). Design method using the
approach to product development. The results have produced a draft simulator excavator
arm with pneumatic controls to lift the load of 2.5 kg of working at a pressure of 6 bar.
Simulator uses 3 pieces of double-acting cylinders with a diameter of 25 mm length stroke
100 mm. The test results demonstrate the simulator can work according to plan.
Keywords: simulator, excavator, pneumatic
PENDAHULUAN
Eskavator merupakan salah satu alat berat yang berfungsi mengangkat material.
Dalam penggunaannya eskavator digerakan atas dasar operator. Banyaknya eskavator
tentunya membutuhkan pula banyak calon operator eskavator yang terampil.
Pada saat ini, pelatihan calon operator eskavator dilakukan dengan cara melakukan
pelatihan secara langsung menggunakan alat berat eskavator. Hal tersebut dikarenakan harga
simulator yang tersedia dipasaran sangatlah mahal. Dari hal tersebut rentan berdampak
kepada kecelakaan kerja.
67
TORSI, Volume XI, No.1, Januari 2013
Permasalahan lainnya yaitu kurangnya fasilitas media pembelajaran aplikatif mata
kuliah otomasi di jurusan pendidikan teknik mesin-UPI. Media pembelajaran aplikatif yang
tersedia diantaranya yaitu berupa training kit dan alat pemindah bahan. Akibat kurangnya
media tersebut, evaluasi pembelajaran pada mata kuliah otomasi cenderung kurang efektif.
Hal ini dikarenakan banyaknya mahasiswa yang mengikuti kuliah otomasi tidak sebanding
dengan jumlah media aplikatif yang tersedia.Sehingga media yang tersedia tersebut belum
dapat digunakan secara maksimal dalam kegiatan perkuliahan.
Solusi dari permasalahan diatas, maka dibutuhkan sebuah media berupa simulator
eskavator pneumatik. Simulator eskavator pneumatik merupaka media berupa prototype alat
berat berupa eskavator. Simulator yang dalam perancangan ini, mempunyai gerak operasi
yang sama berdasarkan alat berat eskavator dengan perbedaan dimana sistem gerak operasi
menggunakan aktuator pnematik. Hal ini dirancang atas dasar harga produksi yang akan jauh
lebih murah dibandingkan dengan penggunakan aktuator hidraulik.
KAJIAN PUSTAKA
Simulator Eskavator
Simulator eskavator adalah sebuah model atau prototype yang dapat
menginterpretasikan suatu operasi kerja alat berat berupa eskavator dimana resiko
kecelakaan dan bahaya dapat di minimalisir tanpa mengurangi nilai-nilai operasi kerja yang
sebenarnya.
Bagian-bagian Eskavator
Bagian-bagian utama eskavator dapat ditunjukan pada gambar .1 dibawah ini.
Gambar1. Bagian-bagian utama eskavator
( http://en.wikipedia.org/wiki/Excavator)
68
1
2
3
4
5 6
7
8
Perancangan Simulator Lengan Eskavator…………………..… (Purnawan, Dian FD, Uli Karo Karo)
Keterangan :
1.
2.
3.
4.
Bucket
Silinder bucket
Arm
Silinder arm
5.
6.
7.
8.
Boom
Silinder boom
Revolving unit
Travel unit
Cara Kerja Eskavator
Dilihat dari fungsinya eskavator adalah alat berat yang dapat melakukan pekerjaan
yang tidak dapat ditangani langsung secara konvensional oleh manusia, maka manusia pada
alat berat eskavator ini berperan sebagai operator. Dimana operator tersebut difungsikan
sebagai pembuat berbagai eksekusi gerak operasi eskavator.
Dilihat dari cara kerja eskavator atau yang disebut backhoe, gerakan-gerakan backhoe
dalam operasi terdiri dari empat langkah yaitu:
a. Mengisi Bucket (land bucket),
b. Mengayun (swing loaded),
c. Membongkar Beban (dump bucket), dan
d. Mengayun Balik (swing empty).
Dari gerakan operasi diatas, dapat di uraikan kedalam cara kerja eskavator. Dimana
cara eskavator atau backhoe ini adalah sebagai berikut:
1. Operator mengoperasikan tuas kontrol lever yang berada di dalam kabin,
2. Boom pada eskavator dapat dinaikan dan diturunkan terhadap permukaan tanah dengan
mengoperasikan tuas kontrol lever yang terdapat pada kabin oleh operator. Sehingga
fluida mengalir dan memberikan kompresi terhadap penampang piston silinder sehingga
boom bergerak naik secara rotasi terhadap engsel boom yang dipasangkan pada
revolving unit. Untuk menurunkan posisi boom, operator dapat melakukan operasi kerja
yang sama dengan cara menggerakan tuas kontrol yang dikhendaki sebelumnya secara
berlawanan arah. Sehingga kompresi fluida bekerja terhadap bidang penampang antara
batang piston dan piston sehingga piston bergerak mundur dan boom bergerak turun
mendekati permukaan tanah.
3. Arm pada eskavator dapat dinaikan dan diturunkan terhadap bidang horizontal dengan
mengoperasikan tuas kontrol lever yang terdapat pada kabin oleh operator. Tentunya
posisi maksimal arm akan lebih tinggi daripada posisi tinggi maksimal boom. Ketika
69
TORSI, Volume XI, No.1, Januari 2013
tuas kontrol lever di gerakan pada arah tertentu, fluida akan mengalir ke silinder arm
sehingga memberikan kompresi terhadap bidang penampang piston silinder arm yang
mengakibatkan arm terangkat ke atas secara rotasi terhadap engsel yang terpasang pada
boom. Untuk menurunkan posisi arm, operator dapat memberikan operasi kerja yang
sama dengan cara menggerakan tuas kontrol yang dikhendaki sebelumnya secara
berlawanan arah. Sehingga kompresi fluida bekerja terhadap bidang penampang antara
batang piston dan piston sehingga piston bergerak mundur dan arm bergerak turun
kembali.
4. Bucket dapat di gerakan hingga 90º terhadap arm agar material yang di angkat tidak
tumpah. Operasi kerja bucket yaitu dengan mengoperasikan tuas kontrol untuk gerak
bucket pada posisi yang dikhendaki. Ketika tuas kontrol bucket di gerakan pada arah
tertentu, fluida mengalir ke silinder bucket memberikan kompresi terhadap bidang
penampang piston. Sehingga piston mendorong bucket untuk bergerak kebawah pada
posisi penumpahan material atau penggalian. Untuk menaikan posisi bucket, operator
dapat mengoperasikan kontrol lever dengan menggerakan posisi tuas kontrol secara
berlawan arah dari posisi yang dikhendaki sebelumnya. Sehingga fluida berbalik arah
dan memberikan kompresi terhadap bidang penampang antara batang piston dan piston
pada silinder bucket. Kompresi yang dihasilkan tersebut memberikan gerakan bucket ke
posisi atas yaitu posisi pengangkutan material tidak tumpah.
Dasar Perancangan Simulator Eskavator
Momen bengkok
M = W. l …………………………………………………………….…………… (1)
(R.S Khurmi dan J.K Gupta, 1982:114)
Keterangan :
M = Momen bengkok (kg.mm)
W = Beban kerja (kg)
l = Panjang (mm)
Momen tahanan bengkok
70
Perancangan Simulator Lengan Eskavator…………………..… (Purnawan, Dian FD, Uli Karo Karo)
a) Penampang persegi
Wb = bh2
/6 ………………………………………………………………..………….. (2)
(R.S Khurmi dan J.K Gupta, 1982:144)
b) Penampang lingkaran
(R.S Khurmi dan J.K Gupta, 1982:145)
Keterangan :
Wb = Momen tahanan bengkok (mm3
)
d = Diameter poros (mm)
b = Tebal (mm)
h = Tinggi (mm)
Tegangan bengkok
(R.S Khurmi dan J.K Gupta, 1982:114)
Keterangan :
σb = Tegangan bengkok (kg/mm2
)
M = Momen bengkok (kg.mm)
Wb = Momen tahanan bengkok (mm3
)
Diameter poros
(R.S Khurmi dan J.K Gupta, 1982:415)
Keterangan :
σb = Tegangan bengkok (kg/mm2
)
M = Momen bengkok (kg.mm)
d = Diameter poros (mm)
Diameter piston
71
…………………….………………...….. (3)
…………………….………………...….. (4)
…………………….………………...….. (5)
…………………….………………...….. (6)
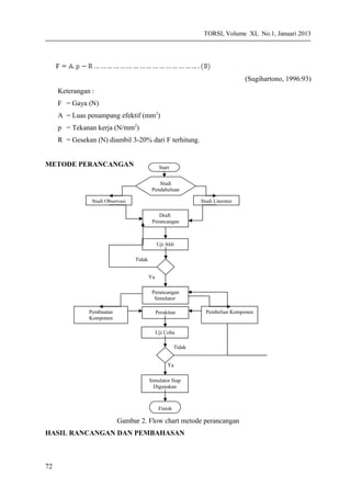
TORSI, Volume XI, No.1, Januari 2013
(Sugihartono, 1996:93)
Keterangan :
F = Gaya (N)
A = Luas penampang efektif (mm2
)
p = Tekanan kerja (N/mm2
)
R = Gesekan (N) diambil 3-20% dari F terhitung.
METODE PERANCANGAN
Gambar 2. Flow chart metode perancangan
HASIL RANCANGAN DAN PEMBAHASAN
72
Studi
Pendahuluan
Studi Observasi Studi Literatur
Draft
Perancangan
Uji Ahli
Perancangan
Simulator
Ya
Tidak
Perakitan
Uji Coba
Simulator
Pembelian KomponenPembuatan
Komponen
Ya
Tidak
Simulator Siap
Digunakan
Start
Finish
Perancangan Simulator Lengan Eskavator…………………..… (Purnawan, Dian FD, Uli Karo Karo)
Spesifikasi Rancangan Simulator Eskavator
Gambar 3. Dimensi simulator eskavator
• Dimensi : l x h x w = 1130 mm x 1490 mm x 445 mm
• Penggerak : Sistem Pneumatik
• Material : Baja ST 37
• Daya angkut maksimal : 2,5 Kg
Data Hasil Perancangan Konstruksi Simulator Eskavator
73
Keterangan :
1. Bucket
2. Arm
3. Boom
4. Silinder
5. Landasan & tuas kontrol
6. Rangka meja
7. Roda
h
l w
TORSI, Volume XI, No.1, Januari 2013
Tabel 1. Data ukuran minimal
No. Nama Bagian
Ukuran minimal hasil
perhitungan (mm) Keterangan
Panjang Lebar Tebal Diameter
1.
2.
3.
4.
5.
6.
7.
Bucket
Lengan bucket
Arm
Boom
Poros bucket-arm
Poros arm-boom
Poros boom-landasan
150
200
350
350
100
104
128
120
38
50
54
-
-
-
2
2
2
2
-
-
-
240
-
-
-
3,6
3,8
4
A=68868 mm2
Data hasil perancangan silinder simulator eskavator
Tabel 2. Spesifikasi silinder yang digunakan
No
Nama
Silinder
F
(N)
D
(mm)
Drancangan
(mm)
h
(mm)
Qmaju
(liter)
Qmundur
(liter)
1.
2.
3.
Bucket
Arm
Boom
39,28
102,97
166
9,07
14,69
18,7
25
25
25
100
100
100
0,29
0,29
0,29
0,1
0,1
0,1
Total kebutuhan udara dalam satu kali gerak 0,87 0,3
Sistem kontrol simulator eskavator
Gambar 4. Diagram kontrol simulator eskavator
Komponen pneumatik
74
Perancangan Simulator Lengan Eskavator…………………..… (Purnawan, Dian FD, Uli Karo Karo)
Tabel 3. Komponen pneumatik
No. Komponen Unit Keterangan
1.
2.
3.
4.
5.
6.
7.
8.
Double Acting Cylinder
3 unit = CG5EN25MSR-100
Flow Control Valve
Direct Control Valve
DCV 4/3 NC-RO-SR
Mur converter selang
Terminal cabang
Nipple selang inport, outport
Selang pneumatik
Air Supply Unit
3 bh
6 bh
3 bh
12 bh
1 bh
1 bh
8 m
1 bh
TMC 25 x 100
1 inport, outport Ø6 mm
DCV 5/3 NO-RO-SR
Ø6 mm
Ø6 mm
1/2 “
Ø6 mm
-
KESIMPULAN
Telah dihasilkan sebuah simulator eskavator dengan penggerak pneumatik dengan
spesifikasi umum sebagai berikut :
Dimensi : 1130 mm x 1490 mm x 445 mm
Bahan lengan : Baja ST 37 tebal 2 mm
Penggerak/control : Pneumatik dengan tekanan operational 6 Bar
Kapasitas beban angkat : 2,5 kg
Aktuator : 3 buah Double Acting Cylinder berdiameter 25 mm x100 mm
Hasil perhitungan menunjukan simulator dapat bekerja sesuai perencanaan.
Beberapa saran untuk perbaikan simulator diuraikan sebagai berikut :
1. Diperlukan sebuah pengembangan operasi kerja berupa revolving unit dan travel unit
pada simulator eskavator agar fungsi gerak utama secara menyeluruh dapat tercapai.
2. Diperlukan beberapa tahap untuk modifikasi tata letak dari lengan-lengan simulator
eskavator agar tidak terjadi benturan antar bagian lengan simulator eskavator.
3. Diperlukan penambahan sebuah unit kompresor portable yang dipasang pada meja
simulator eskavator dengan kapasitas yang mencukupi sesuai kebutuhan udara dalam
setiap gerak operasi.
DAFTAR PUSTAKA
75
TORSI, Volume XI, No.1, Januari 2013
___. (2012). Excavator.[Online]. Tersedia: http://en.wikipedia.org/wiki/Excavator .[24
Januari 2012]
____.(____).Katalog SMC Pneumatic.[Online].Tersedia: http://content2.smce tech.com
/pdf/CJ5-CG5-B_EU.pdf.[3 Juni 2012]
Croser,Peter dan Ebel, Frank.(1999).Pneumatics Basic Level.Festo Didactict GmbH &
Co.:____.
Das, Braja M.(1988).Mekanika Tanah (Prinsip-Prinsip Rekayasa
Geoteknis).Erlangga:Jakarta.
Hasan, Ali. (2010). Alat Berat.[Online]. Tersedia: http://wwwalizyrocket.blog spot.com/.[24
Januari 2012]
Isdwiyanudi, Sugeng.Ir.(1996).Bahan mata kuliah elemen mesin Fakultas Teknik
UNJANI.Unjani:Bandung
Khurmi, R.S dan Gupta, J.K.(1982).A Text Book Of Machine Design.Rajendra Bavindra
Printers (Pvt)Ltd:New Delhi.
Racmanhadi, Ir.(1982). Alat-Alat Berat Dan Penggunaannya. Departemen pek erjaan umum
badan penerbit pekerjaan umum: Semarang
Singer.L.Ferdinand dan Pytel, Andrew.(1985).Kekuatan Bahan (Teori Kokoh-Strength Of
Materials).Erlangga:Jakarta
Siska,Ir, M.T.(1996).Pemindah Tanah Mekanik.:Bandung
Sugihartono, Drs. (1996).Dasar-Dasar Kontrol Pneumatik.Tarsito:Bandung.
Sularso,Ir,MSME dan Haruo Tahara,Prof.DR.(1983).”Pompa dan Kompresor Pemelihan,
Pemakaian dan Pemeliharaan”.Pradnya Paramita:Jakarta.
Suryani,Erma.(2006).Pemodelan & Simulasi.Graha Ilmu:Yogyakarta
Uno, Hamzah B,Prof.Dr.M.MPd.(2007).Model Pembelajaran Menciptakan Proses Belajar
Mengajar yang Efektif dan Kreatif.Bumi Aksara:Jakarta
White, Frank M.(1986). Mekanika Zalir (Fluid Mechanics).Erlangga:Jakarta
76

Jurnal

  • 1.
    Perancangan Simulator LenganEskavator…………………..… (Purnawan, Dian FD, Uli Karo Karo) PERANCANGAN SIMULATOR LENGAN ESKAVATOR DENGAN KONTROL PNEUMATIK Purnawan, Dian Fitri Diyanto, Uli Karo Karo Jurusan Pendidikan Teknik Mesin FPTK UPI Jl. Dr. Setiabudhi No.229 Bandung 40154 e-mail : purnawan@upi.edu ABSTRAK Tujuan penelitian ini adalah untuk membuat rancangan simulator lengan eskavator yang akan digunakan untuk media pembelajaran pada mata kuliah otomasi di Jurusan Pendidikan Teknik Mesin (JPTM) Universitas Pendidikan Indonesia (UPI). Metode perancangan menggunakan pendekatan pengembangan produk. Hasil penelitian telah menghasilkan rancangan simulator lengan eskavator dengan kontrol pneumatic untuk beban angkat sebesar 2,5 kg yang bekerja pada tekanan 6 bar. Simulator menggunakan 3 buah silinder kerja ganda berdiamater 25 mm dengan panjang langkah 100 mm. Hasil pengujian menunjukkan simulator dapat bekerja sesuai dengan perencanaan. Kata Kunci : simulator, eskavator, pneumatik ABSTRACT The purpose of this study was to create a design simulator excavator arm will be used to media learning in automation courses in the Department of Mechanical Engineering Education (JPTM) Indonesian Education University (UPI). Design method using the approach to product development. The results have produced a draft simulator excavator arm with pneumatic controls to lift the load of 2.5 kg of working at a pressure of 6 bar. Simulator uses 3 pieces of double-acting cylinders with a diameter of 25 mm length stroke 100 mm. The test results demonstrate the simulator can work according to plan. Keywords: simulator, excavator, pneumatic PENDAHULUAN Eskavator merupakan salah satu alat berat yang berfungsi mengangkat material. Dalam penggunaannya eskavator digerakan atas dasar operator. Banyaknya eskavator tentunya membutuhkan pula banyak calon operator eskavator yang terampil. Pada saat ini, pelatihan calon operator eskavator dilakukan dengan cara melakukan pelatihan secara langsung menggunakan alat berat eskavator. Hal tersebut dikarenakan harga simulator yang tersedia dipasaran sangatlah mahal. Dari hal tersebut rentan berdampak kepada kecelakaan kerja. 67
  • 2.
    TORSI, Volume XI,No.1, Januari 2013 Permasalahan lainnya yaitu kurangnya fasilitas media pembelajaran aplikatif mata kuliah otomasi di jurusan pendidikan teknik mesin-UPI. Media pembelajaran aplikatif yang tersedia diantaranya yaitu berupa training kit dan alat pemindah bahan. Akibat kurangnya media tersebut, evaluasi pembelajaran pada mata kuliah otomasi cenderung kurang efektif. Hal ini dikarenakan banyaknya mahasiswa yang mengikuti kuliah otomasi tidak sebanding dengan jumlah media aplikatif yang tersedia.Sehingga media yang tersedia tersebut belum dapat digunakan secara maksimal dalam kegiatan perkuliahan. Solusi dari permasalahan diatas, maka dibutuhkan sebuah media berupa simulator eskavator pneumatik. Simulator eskavator pneumatik merupaka media berupa prototype alat berat berupa eskavator. Simulator yang dalam perancangan ini, mempunyai gerak operasi yang sama berdasarkan alat berat eskavator dengan perbedaan dimana sistem gerak operasi menggunakan aktuator pnematik. Hal ini dirancang atas dasar harga produksi yang akan jauh lebih murah dibandingkan dengan penggunakan aktuator hidraulik. KAJIAN PUSTAKA Simulator Eskavator Simulator eskavator adalah sebuah model atau prototype yang dapat menginterpretasikan suatu operasi kerja alat berat berupa eskavator dimana resiko kecelakaan dan bahaya dapat di minimalisir tanpa mengurangi nilai-nilai operasi kerja yang sebenarnya. Bagian-bagian Eskavator Bagian-bagian utama eskavator dapat ditunjukan pada gambar .1 dibawah ini. Gambar1. Bagian-bagian utama eskavator ( http://en.wikipedia.org/wiki/Excavator) 68 1 2 3 4 5 6 7 8
  • 3.
    Perancangan Simulator LenganEskavator…………………..… (Purnawan, Dian FD, Uli Karo Karo) Keterangan : 1. 2. 3. 4. Bucket Silinder bucket Arm Silinder arm 5. 6. 7. 8. Boom Silinder boom Revolving unit Travel unit Cara Kerja Eskavator Dilihat dari fungsinya eskavator adalah alat berat yang dapat melakukan pekerjaan yang tidak dapat ditangani langsung secara konvensional oleh manusia, maka manusia pada alat berat eskavator ini berperan sebagai operator. Dimana operator tersebut difungsikan sebagai pembuat berbagai eksekusi gerak operasi eskavator. Dilihat dari cara kerja eskavator atau yang disebut backhoe, gerakan-gerakan backhoe dalam operasi terdiri dari empat langkah yaitu: a. Mengisi Bucket (land bucket), b. Mengayun (swing loaded), c. Membongkar Beban (dump bucket), dan d. Mengayun Balik (swing empty). Dari gerakan operasi diatas, dapat di uraikan kedalam cara kerja eskavator. Dimana cara eskavator atau backhoe ini adalah sebagai berikut: 1. Operator mengoperasikan tuas kontrol lever yang berada di dalam kabin, 2. Boom pada eskavator dapat dinaikan dan diturunkan terhadap permukaan tanah dengan mengoperasikan tuas kontrol lever yang terdapat pada kabin oleh operator. Sehingga fluida mengalir dan memberikan kompresi terhadap penampang piston silinder sehingga boom bergerak naik secara rotasi terhadap engsel boom yang dipasangkan pada revolving unit. Untuk menurunkan posisi boom, operator dapat melakukan operasi kerja yang sama dengan cara menggerakan tuas kontrol yang dikhendaki sebelumnya secara berlawanan arah. Sehingga kompresi fluida bekerja terhadap bidang penampang antara batang piston dan piston sehingga piston bergerak mundur dan boom bergerak turun mendekati permukaan tanah. 3. Arm pada eskavator dapat dinaikan dan diturunkan terhadap bidang horizontal dengan mengoperasikan tuas kontrol lever yang terdapat pada kabin oleh operator. Tentunya posisi maksimal arm akan lebih tinggi daripada posisi tinggi maksimal boom. Ketika 69
  • 4.
    TORSI, Volume XI,No.1, Januari 2013 tuas kontrol lever di gerakan pada arah tertentu, fluida akan mengalir ke silinder arm sehingga memberikan kompresi terhadap bidang penampang piston silinder arm yang mengakibatkan arm terangkat ke atas secara rotasi terhadap engsel yang terpasang pada boom. Untuk menurunkan posisi arm, operator dapat memberikan operasi kerja yang sama dengan cara menggerakan tuas kontrol yang dikhendaki sebelumnya secara berlawanan arah. Sehingga kompresi fluida bekerja terhadap bidang penampang antara batang piston dan piston sehingga piston bergerak mundur dan arm bergerak turun kembali. 4. Bucket dapat di gerakan hingga 90º terhadap arm agar material yang di angkat tidak tumpah. Operasi kerja bucket yaitu dengan mengoperasikan tuas kontrol untuk gerak bucket pada posisi yang dikhendaki. Ketika tuas kontrol bucket di gerakan pada arah tertentu, fluida mengalir ke silinder bucket memberikan kompresi terhadap bidang penampang piston. Sehingga piston mendorong bucket untuk bergerak kebawah pada posisi penumpahan material atau penggalian. Untuk menaikan posisi bucket, operator dapat mengoperasikan kontrol lever dengan menggerakan posisi tuas kontrol secara berlawan arah dari posisi yang dikhendaki sebelumnya. Sehingga fluida berbalik arah dan memberikan kompresi terhadap bidang penampang antara batang piston dan piston pada silinder bucket. Kompresi yang dihasilkan tersebut memberikan gerakan bucket ke posisi atas yaitu posisi pengangkutan material tidak tumpah. Dasar Perancangan Simulator Eskavator Momen bengkok M = W. l …………………………………………………………….…………… (1) (R.S Khurmi dan J.K Gupta, 1982:114) Keterangan : M = Momen bengkok (kg.mm) W = Beban kerja (kg) l = Panjang (mm) Momen tahanan bengkok 70
  • 5.
    Perancangan Simulator LenganEskavator…………………..… (Purnawan, Dian FD, Uli Karo Karo) a) Penampang persegi Wb = bh2 /6 ………………………………………………………………..………….. (2) (R.S Khurmi dan J.K Gupta, 1982:144) b) Penampang lingkaran (R.S Khurmi dan J.K Gupta, 1982:145) Keterangan : Wb = Momen tahanan bengkok (mm3 ) d = Diameter poros (mm) b = Tebal (mm) h = Tinggi (mm) Tegangan bengkok (R.S Khurmi dan J.K Gupta, 1982:114) Keterangan : σb = Tegangan bengkok (kg/mm2 ) M = Momen bengkok (kg.mm) Wb = Momen tahanan bengkok (mm3 ) Diameter poros (R.S Khurmi dan J.K Gupta, 1982:415) Keterangan : σb = Tegangan bengkok (kg/mm2 ) M = Momen bengkok (kg.mm) d = Diameter poros (mm) Diameter piston 71 …………………….………………...….. (3) …………………….………………...….. (4) …………………….………………...….. (5) …………………….………………...….. (6)
  • 6.
    TORSI, Volume XI,No.1, Januari 2013 (Sugihartono, 1996:93) Keterangan : F = Gaya (N) A = Luas penampang efektif (mm2 ) p = Tekanan kerja (N/mm2 ) R = Gesekan (N) diambil 3-20% dari F terhitung. METODE PERANCANGAN Gambar 2. Flow chart metode perancangan HASIL RANCANGAN DAN PEMBAHASAN 72 Studi Pendahuluan Studi Observasi Studi Literatur Draft Perancangan Uji Ahli Perancangan Simulator Ya Tidak Perakitan Uji Coba Simulator Pembelian KomponenPembuatan Komponen Ya Tidak Simulator Siap Digunakan Start Finish
  • 7.
    Perancangan Simulator LenganEskavator…………………..… (Purnawan, Dian FD, Uli Karo Karo) Spesifikasi Rancangan Simulator Eskavator Gambar 3. Dimensi simulator eskavator • Dimensi : l x h x w = 1130 mm x 1490 mm x 445 mm • Penggerak : Sistem Pneumatik • Material : Baja ST 37 • Daya angkut maksimal : 2,5 Kg Data Hasil Perancangan Konstruksi Simulator Eskavator 73 Keterangan : 1. Bucket 2. Arm 3. Boom 4. Silinder 5. Landasan & tuas kontrol 6. Rangka meja 7. Roda h l w
  • 8.
    TORSI, Volume XI,No.1, Januari 2013 Tabel 1. Data ukuran minimal No. Nama Bagian Ukuran minimal hasil perhitungan (mm) Keterangan Panjang Lebar Tebal Diameter 1. 2. 3. 4. 5. 6. 7. Bucket Lengan bucket Arm Boom Poros bucket-arm Poros arm-boom Poros boom-landasan 150 200 350 350 100 104 128 120 38 50 54 - - - 2 2 2 2 - - - 240 - - - 3,6 3,8 4 A=68868 mm2 Data hasil perancangan silinder simulator eskavator Tabel 2. Spesifikasi silinder yang digunakan No Nama Silinder F (N) D (mm) Drancangan (mm) h (mm) Qmaju (liter) Qmundur (liter) 1. 2. 3. Bucket Arm Boom 39,28 102,97 166 9,07 14,69 18,7 25 25 25 100 100 100 0,29 0,29 0,29 0,1 0,1 0,1 Total kebutuhan udara dalam satu kali gerak 0,87 0,3 Sistem kontrol simulator eskavator Gambar 4. Diagram kontrol simulator eskavator Komponen pneumatik 74
  • 9.
    Perancangan Simulator LenganEskavator…………………..… (Purnawan, Dian FD, Uli Karo Karo) Tabel 3. Komponen pneumatik No. Komponen Unit Keterangan 1. 2. 3. 4. 5. 6. 7. 8. Double Acting Cylinder 3 unit = CG5EN25MSR-100 Flow Control Valve Direct Control Valve DCV 4/3 NC-RO-SR Mur converter selang Terminal cabang Nipple selang inport, outport Selang pneumatik Air Supply Unit 3 bh 6 bh 3 bh 12 bh 1 bh 1 bh 8 m 1 bh TMC 25 x 100 1 inport, outport Ø6 mm DCV 5/3 NO-RO-SR Ø6 mm Ø6 mm 1/2 “ Ø6 mm - KESIMPULAN Telah dihasilkan sebuah simulator eskavator dengan penggerak pneumatik dengan spesifikasi umum sebagai berikut : Dimensi : 1130 mm x 1490 mm x 445 mm Bahan lengan : Baja ST 37 tebal 2 mm Penggerak/control : Pneumatik dengan tekanan operational 6 Bar Kapasitas beban angkat : 2,5 kg Aktuator : 3 buah Double Acting Cylinder berdiameter 25 mm x100 mm Hasil perhitungan menunjukan simulator dapat bekerja sesuai perencanaan. Beberapa saran untuk perbaikan simulator diuraikan sebagai berikut : 1. Diperlukan sebuah pengembangan operasi kerja berupa revolving unit dan travel unit pada simulator eskavator agar fungsi gerak utama secara menyeluruh dapat tercapai. 2. Diperlukan beberapa tahap untuk modifikasi tata letak dari lengan-lengan simulator eskavator agar tidak terjadi benturan antar bagian lengan simulator eskavator. 3. Diperlukan penambahan sebuah unit kompresor portable yang dipasang pada meja simulator eskavator dengan kapasitas yang mencukupi sesuai kebutuhan udara dalam setiap gerak operasi. DAFTAR PUSTAKA 75
  • 10.
    TORSI, Volume XI,No.1, Januari 2013 ___. (2012). Excavator.[Online]. Tersedia: http://en.wikipedia.org/wiki/Excavator .[24 Januari 2012] ____.(____).Katalog SMC Pneumatic.[Online].Tersedia: http://content2.smce tech.com /pdf/CJ5-CG5-B_EU.pdf.[3 Juni 2012] Croser,Peter dan Ebel, Frank.(1999).Pneumatics Basic Level.Festo Didactict GmbH & Co.:____. Das, Braja M.(1988).Mekanika Tanah (Prinsip-Prinsip Rekayasa Geoteknis).Erlangga:Jakarta. Hasan, Ali. (2010). Alat Berat.[Online]. Tersedia: http://wwwalizyrocket.blog spot.com/.[24 Januari 2012] Isdwiyanudi, Sugeng.Ir.(1996).Bahan mata kuliah elemen mesin Fakultas Teknik UNJANI.Unjani:Bandung Khurmi, R.S dan Gupta, J.K.(1982).A Text Book Of Machine Design.Rajendra Bavindra Printers (Pvt)Ltd:New Delhi. Racmanhadi, Ir.(1982). Alat-Alat Berat Dan Penggunaannya. Departemen pek erjaan umum badan penerbit pekerjaan umum: Semarang Singer.L.Ferdinand dan Pytel, Andrew.(1985).Kekuatan Bahan (Teori Kokoh-Strength Of Materials).Erlangga:Jakarta Siska,Ir, M.T.(1996).Pemindah Tanah Mekanik.:Bandung Sugihartono, Drs. (1996).Dasar-Dasar Kontrol Pneumatik.Tarsito:Bandung. Sularso,Ir,MSME dan Haruo Tahara,Prof.DR.(1983).”Pompa dan Kompresor Pemelihan, Pemakaian dan Pemeliharaan”.Pradnya Paramita:Jakarta. Suryani,Erma.(2006).Pemodelan & Simulasi.Graha Ilmu:Yogyakarta Uno, Hamzah B,Prof.Dr.M.MPd.(2007).Model Pembelajaran Menciptakan Proses Belajar Mengajar yang Efektif dan Kreatif.Bumi Aksara:Jakarta White, Frank M.(1986). Mekanika Zalir (Fluid Mechanics).Erlangga:Jakarta 76