“OPTIMAL PLACEMENT AND SIZING OF MULTI-DISTRIBUTED
GENERATION (DG) INCLUDING DIFFERENT LOAD MODELS
USING PARTICLE SWARM OPTIMIZATION (PSO)”
DISSERTATION
Submitted in Partial Fulfilment of the
Requirements for the Award of the Degree of
MASTER OF TECHNOLOGY
In
INSTRUMENTATION
By
Jitendra Singh Bhadoriya
(DE/11/10)
Under The Supervision
Of
Dr. (Mrs.) Ganga Agnihotri
(MANIT, Bhopal)
School of Instrumentation, Devi Ahilya University
Indore-452001, INDIA.
JULY-2013
Dedicated to
my mother
Smt. Seema Bhadoriya
and
my father
Shri. Sambhu Singh Bhadoriya
Department of Electrical Engineering
MAULANA AZAD NATIONAL INSTITUTE OF TECHNOLOGY (MANIT)
Bhopal-462051, INDIA
CERTIFICATE
This is to certify that the dissertation entitled “OPTIMAL PLACEMENT AND SIZING
OF MULTI-DISTRIBUTED GENERATION (DG) INCLUDING DIFFERENT
LOAD MODELS USING PARTICLE SWARM OPTIMIZATION (PSO) ” submitted
by Mr. Jitendra Singh Bhadoriya, to School of Instrumentation, DEVI AHILYA
VISHWAVIDYALAYA, Indore during the period 28/08/2012 to 05/07/2013 is a
satisfactory account of the bona-fide work done under our supervision at Department of
Electrical Engineering MAULANA AZAD NATIONAL INSTITUTE OF
TECHNOLOGY, Bhopal and is recommended towards the partial fulfilment for the
award of the degree of Master of Technology in Instrumentation Engineering with
Specialization in Instrumentation by Devi Ahilya Vishwavidyalaya, Indore.
I wish his all professional success in her future.
PROJECT GUIDE
Dr. (Mrs.) Ganga Agnihotri
Professor & Dean Academic
MANIT, Bhopal (M.P.)
JITENDRA SINGH BHADORIYA-SCHOOL OF INSTRUMENTATION,DEVI AHILYA UNIVERSITY
INDORE(M.P.) INDIA
3
SCHOOL OF INSTRUMENTATION
DEVI AHILYA VISHWAVIDYALAYA, INDORE
Dissertation Approval
This is to certify that the dissertation entitled “OPTIMAL PLACEMENT AND
SIZING OF MULTI-DISTRIBUTED GENERATION (DG) INCLUDING
DIFFERENT LOAD MODELS USING PARTICLE SWARM OPTIMIZATION
(PSO)”submitted by JITENDRA SINGH BHADORIYA (DE/11/10) to School of
Instrumentation, Devi Ahilya University, Indore during the year 2012-13 is
approved as partial fulfilment for the award of the degree of Master of
Technology with Specialization in Instrumentation.
External Examiner
Date:
JITENDRA SINGH BHADORIYA-SCHOOL OF INSTRUMENTATION,DEVI AHILYA UNIVERSITY
INDORE(M.P.) INDIA
4
CANDIDATE’S DECLARATION
I declare that the work entitled “OPTIMAL PLACEMENT AND SIZING OF
MULTI-DISTRIBUTED GENERATION (DG) INCLUDING DIFFERENT LOAD
MODELS USING PARTICLE SWARM OPTIMIZATION (PSO)” is my own work
conducted under the supervision Of Dr. (Mrs.) Ganga Agnihotri .The
research work was carried out by me at Department of Electrical
Engineering, MAULANA AZAD NATIONAL INSTITUTE OF
TECHNOLOGY (MANIT) Bhopal.
I further declare that to the best of my knowledge the present work does not
contain any part of the work which has been submitted for the award of any
degree either in this University or in any other University/Deemed University
without proper citation.
(Jitendra Singh Bhadoriya)
JITENDRA SINGH BHADORIYA-SCHOOL OF INSTRUMENTATION,DEVI AHILYA UNIVERSITY
INDORE(M.P.) INDIA
5
ACKNOWLEDGEMENT
I would like to articulate my profound gratitude and indebtedness to my thesis guide
Dr. (Mrs.) Ganga Agnihotri who has always been a constant motivation and
guiding factor throughout the thesis time in and out as well. It has been a great
pleasure for me to get an opportunity to work under him and complete the project
successfully.
I wish to extend my sincere thanks to Prof. A. L. Sharma, Head of our
Department, and Dr. Ratnesh Gupta for approving my project work with great
interest. I would also like to mention Mr. Aashish Bohre, PhD Scholar, for his
cooperation and constantly rendered assistance and my friend, Mr. Akash Khakre
for his help and moral support.
I feel a deep sense of gratitude for my father Sri. Shambhu Singh Bhadoriya and
mother Smt. Seema Bhadoriya who formed a part of my vision and taught me the
good things that really matter in life.
Apart from my efforts, the success of any project depends highly on the
encouragement and guidance of many others. I take this opportunity to express my
gratitude to the people who have been instrumental in the successful completion of
this project. The guidance and support received from all the members who
contributed and who are contributing to this project, was vital for the success of the
project. I am grateful for their constant support and help.
JITENDRA SINGH BHADORIYA
ROLL NO: (DE/11/10)
JITENDRA SINGH BHADORIYA-SCHOOL OF INSTRUMENTATION,DEVI AHILYA UNIVERSITY
INDORE(M.P.) INDIA
6
ABSTRACT
This research work proposes a multi-objective index-based approach for
optimally determining the size and location of multi-distributed generation
(multi-DG) units in distribution systems with different load models. It is
shown that the load models can significantly affect the optimal location and
sizing of DG resources in distribution systems. The proposed multi-objective
function to be optimized includes a short circuit level parameter to represent
the protective device requirements. The proposed function also considers a
wide range of technical issues such as active and reactive power losses of the
system, the voltage profile, the line loading, and the Mega Volt Ampere
(MVA) intake by the grid. An optimization technique based on particle swarm
optimization (PSO) is introduced. An analysis of the continuation power flow
to determine the effect of DG units on the most sensitive buses to voltage
collapse is carried out. The proposed algorithm is tested using a 38-bus radial
system. The results show the effectiveness of the proposed algorithm.
Keywords- Particle swarm optimization (PSO), Optimal placement
Distributed Generation (DG), Load models .Short circuit level, Voltage
stability.
JITENDRA SINGH BHADORIYA-SCHOOL OF INSTRUMENTATION,DEVI AHILYA UNIVERSITY
INDORE(M.P.) INDIA
7
CONTENTS
CERTIFICATE…........................................................................................................1
DISSERTATION APPROVAL……………. ……………………………………….........3
CANDIDATE’S DECLARATION………………………………………………..............4
ACKNOWLEDGEMENTS..........................................................................................5
ABSTRACT..................................................................................................................6
CONTENTS..................................................................................................................7
LIST OF FIGURES.......................................................................................................9
LIST OF TABLES.........................................................................................................11
CHAPTER-1………………………………………………………………………...12
INTRODUCTION…………………………………………………………………..12
1.1 Background……………………………………………………………………....13
1.2 The main drawbacks of the centralized paradigm……………………………….14
1.3 DG Insertion in to grid…………………………………………………………..19
1.4 Problem Definition..……………………………….…………….………………22
1.5 Multi-objective-based problem formulation……………….……………………23
1.6 Thesis Layout……………………………………………………………….…..28
Summary……………………………………………………………………………29
CHAPTER-2……………………………………………………………………….30
LITERATURE REVIEW ………………………………………………………..30
Summary ……………………………………………………………………………38
CHAPTER-3………………………………………………………………………..39
DISTRIBUTED GENERATION (DG)…………………………………………...39
JITENDRA SINGH BHADORIYA-SCHOOL OF INSTRUMENTATION,DEVI AHILYA UNIVERSITY
INDORE(M.P.) INDIA
8
3.1 Introduction………………………………………………………..................40
3.2 Distributed Generation Technologies…………………………………………44
3.3 Distributed Generation Applications……………………………..................50
3.4 The Benefits of Distributed Power………………………………..................55
3.5 The main characteristics of distributed generation…………………..............58
Summary…………………………………………………………………………..60
CHAPTER-4……………………………………………………………………….....61
Particle Swarm Optimization (PSO)…..............................................................61
4.1 Background of Artificially Intelligence…………………………………………...62
4.2 PSO as A Optimization Tool……………………………………………………...64
4.3 Algorithm of PSO ………………………………………………………………...68
4.4 Superiority of PSO………………………………………………………………..79
Summary……………………………………………………………………………...81
CHAPTER-5………………………………………………………………………....82
SIMULATION & RESULTS ANALYSIS...……………………………………….82
5.1 Load modeling…………………………………………………………………...83
5.2 PSAT……………………………………………………………………………..88
5.3 Modeling of IEEE 38 Radial Distribution System……………………………….90
5.4 Results Analysis………………………………………………………………….96
CHAPTER-6………………………………………………………………………...
CONCLUSION …………………………………………………………………….107
Publications & Workshops………………………………………………………...109
REFERENCES……………………………………………………………………...110
JITENDRA SINGH BHADORIYA-SCHOOL OF INSTRUMENTATION,DEVI AHILYA UNIVERSITY
INDORE(M.P.) INDIA
9
LIST OF FIGURE
Figure-1.1 Central electricity paradigm ….……………………………….............18
Figure 1.2 Distributed Electricity Paradigm………………………………...........21
Figure 1.3 Thesis Layout ……………………………………………………….......28
Figure 3.1 Distributed generation types and technologies.........................…......47
Figure 4.1 Concept of a searching point by PS………………………….…..........71
Figure 4.2 Searching concepts with agents in a solution space by PSO……......72
Figure 4.3 Flow Chart Of PSO………………………………………………........74
Figure 4.4 Solution Procedure…......................................................................78
Figure5.1 General Configuration of the MATLAB Toolbox for Power
SystemAnalysis…………………………………………………………….………......88
Figure 5.2 IEEE 38 BUS SYSTEMS…………………………………..…….......92
Figure 5.3 Simulation model of 38 bus system……………………………….....93
Figure 5.4 Simulation model of 38 bus system with DG…………………….....94
Figure 5.5 Voltage Profile Under Constant Load …………………………......96
JITENDRA SINGH BHADORIYA-SCHOOL OF INSTRUMENTATION,DEVI AHILYA UNIVERSITY
INDORE(M.P.) INDIA
10
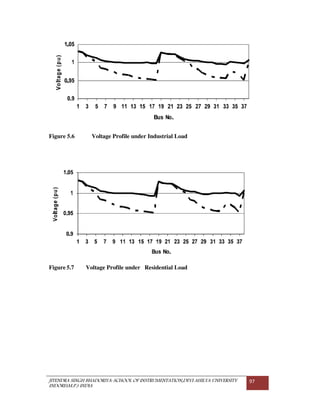
Figure 5.6 Voltage Profile Under Industrial Load ………………………….....97
Figure 5.7 Voltage Profile Under Residential Load ………………………..........97
Figure 5.8 Voltage Profile Under Commercial Load ………..…………….........98
Figure 5.9 Voltage Profile Under Mixed Load ……………………………...........98
Figure 5.10 Line loading under Constant Load ………………………....…..........99
Figure5.11 Line loading under Industrial Load ………………………….............99
Figure 5.12 Line loading under Residential Load ……………………..…….......100
Figure 5.13 Line loading under Commercial Load ……….……………….........100
Figure 5.14 Line loading under Mixed Load ……………………………….........101
Figure 5.15 Short Circuit Level Difference of the System under different Load
Models………………………….......................................................................................102
Figure 5.16 PV curve at (weakest bus of the system ) bus 18……………….......103
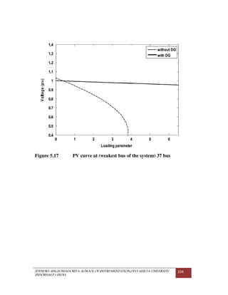
Figure 5.17 PV curve at (weakest bus of the system ) 37 bus ……………….......104
Figure 5.18 Multi Objective Function (MOF) is minimized under Different Load
Models…………………………………............................................................................105
JITENDRA SINGH BHADORIYA-SCHOOL OF INSTRUMENTATION,DEVI AHILYA UNIVERSITY
INDORE(M.P.) INDIA
11
LIST OF TABLE
Table 1.1 Impact Indices weighting …………………………………………......... 25
Table 3. 1 Technologies for distributed generation…………………………..........45
Table 3.2 Comparison between common energy types for power and time
duration…...............................................................................................................50
Table 4.1 SOME KEY TERMS USED TO DESCRIBE PSO…............................68
Table 4.2 Solution Procedure………………………………………………...........77
Table 5.1 Load Data for 38-bus system………………………………….…..........84
Table 5.2 Common values for the exponent’s np and nq, for different load
components………………………………………………………………………............87
Table5.3 Matlab Toolboxes for Power System Analysis………………..…...........89
Table5.4 Impact indices for penetration of a DG unit in the 38 bus system with load
models using PSO……………………………………………………............................101
Table 5.5 Size and Location of DG unit in the 38 bus radial system……….........103
Table 5.6 System power losses and MVA intake for different load models
in the 38-bus radial system, and the value of MOF………….............106
JITENDRA SINGH BHADORIYA-SCHOOL OF INSTRUMENTATION,DEVI AHILYA UNIVERSITY
INDORE(M.P.) INDIA
12
Introduction
Background
The main drawbacks of the centralized paradigm
DG Insertion in to grid
Problem Definition
Multi-objective-based problem formulation
Objective and Approaches
Thesis Layout
Summary
Chapter 1
Introduction
JITENDRA SINGH BHADORIYA-SCHOOL OF INSTRUMENTATION,DEVI AHILYA UNIVERSITY
INDORE(M.P.) INDIA
13
1.1 Background
Since the 1990s, electricity production has been driven towards generation concentration
and a higher degree of integration leading to the current centralized electricity paradigm.
This move was driven by several factors:
The search for high energy efficiency: gains in efficiency were achieved
through larger facilities capable of handling higher pressures and temperatures
in steam used in electricity generation. At a certain point, the gains were
however offset by the increase in operating and maintenance costs as materials
were unable to sustain operation at high specification over the long run;
Innovation in electricity transmission: the use of alternative current instead of direct
current permitted to transmit electricity over long distances with a significant loss
reduction;
The search for reliability: so as to increase the reliability at the customer’s end,
large electricity production facilities were connected to the transmission networks.
Pooling resources helped reduce the reliance of each customer on a particular
generator as other generators were often able to compensate for the loss.
Environmental constraints: the use of transmission networks made it possible to
relocate the generation facilities outside the city centers thus removing pollution
due to exhaust from coal fired plants.
Regulation favoring larger generation facilities.
In the sector’s layout resulting from this move towards concentration and Integration
electricity is generated, transported over long distances through the Transmission network
and medium distances through the distribution network to be finally used by the end
customer. This can be summed up as follows:
“Traditional electrical power system architectures reflect historical strategic policy
drivers for building large-scale, centralized, thermal- (hydro-carbon- and nuclear-)
based power stations providing bulk energy supplies to load centers through integrated
electricity transmission (high-voltage: 400, 275 and 132 kV) and distribution (medium,
low-voltage: 33 kV, 11 kV, 3.3 kV and 440V) three-phase systems.” (Mc Donald, 2008).
JITENDRA SINGH BHADORIYA-SCHOOL OF INSTRUMENTATION,DEVI AHILYA UNIVERSITY
INDORE(M.P.) INDIA
14
Though dominant, centralized generation has always been operating along a smaller
distributed generation capacities that were never phased out of the market. The persistence
of the first historical form of energy generation whereby energy is consumed near its
generation point seems puzzling in the light of the properties of centralized generation
mentioned above. The significant size of distributed generation in countries such as
Denmark clearly implies that it is capable of overcoming shortfalls of the centralized
generation paradigm .
1.2 The main drawbacks of the centralized paradigm
Several studies were conducted to emphasize the main shortfalls of the centralized
generation paradigm and to explicit the motivation of the agents in keeping distributed
generation as a primary source of electricity or as a backup generator the main drivers
listed in the literature are summarized below:
Transmission and distribution costs: transmission and distribution costs amount for up to
30% of the cost of delivered electricity on average. The lowest cost is achieved by
industrial customers taking electricity at high to medium voltage and highest for small
customers taking electricity from the distribution network at low voltage (IEA, 2002).
The high price for transmission and distribution results mainly from losses made up of:
line losses: electricity is lost when flowing into the transmission and distribution
lines;
Unaccounted for electricity and
Conversion losses when the characteristics of the power flow are changed to fit the
specifications of the network (e.g. changing the voltage while flowing from the
transmission network to the distribution network) (EIA, 2009).
The total amount of the losses is significant. In addition to the cash cost, these electricity
losses have an implicit cost in terms of greenhouse gas emissions: fuel is consumed thus
generating greenhouse gases to produce electricity that is actually not used by the final
consumer.
Rural electrification: in an integrated power system, rural electrification is challenging for
two reasons. As large capital expenditures are required to connect remote areas due to the
distance to be covered through overhead lines, connecting remote areas with small
JITENDRA SINGH BHADORIYA-SCHOOL OF INSTRUMENTATION,DEVI AHILYA UNIVERSITY
INDORE(M.P.) INDIA
15
consumption might prove uneconomical. This effect is amplified when taking into account
transmission and distribution losses because both tend to increase with the distance
covered. Rural electrification is thus costly. It often proves more economical to rely on
distributed generation in such cases .This has often been the case for mountain areas or low
density areas remote from the main cities.
Investment in transmission and distribution networks: over the next 20 years, significant
investment will be required to upgrade the transmission and distribution networks. The
International Energy Agency (2003) estimated the total amount to be invested in
generation, transmission and distribution up to 2030 for the OECD countries to stands
between 3,000 and 3,500 billion dollars (base case predictions). In order to cut these costs,
distributed generation can be used as a way to bypass the transmission and distribution
networks. In its alternative scenario – under this scenario distributed generation and
renewable energy are more heavily supported by policy makers- the IEA forecasts the
overall amount to be invested to be lower than 3,000 billion dollars (electricity generation
investments remaining constant).
Energy efficiency: in the 1960s, the marginal gains in energy efficiency through size
increase and use of higher temperature and pressure started to diminish. Higher
temperatures and pressure resulted in high material wear and tear leading to lower than
expected operating life for steam turbines (Hirsch, 1989). In order to increase energy
efficiency without requiring to higher pressure, cogeneration systems have been developed
to reuse the waste steam in a neighbourhood heating system or cooling system through
district heating and/or cooling district. The total energy efficiency achieved when
combining both electricity and heat goes up to 90% (IPPC, 2007). Comparatively, the sole
electricity generation hardly goes above 40%. The main problem, however, is that steam
and heat are even less easily transported than electricity, thus justifying the use of
distributed generation through production next to the point of consumption. Modern
electrical industry is facing a paradigm shift in the production, delivery and in the end use
of electricity. The introduction and integration of decentralized energy resources has a
positive impact on emerging systems such as micro grids and smart grids .
Security and reliability: The persistence of distributed generation contributed to energy
security through two effects:
JITENDRA SINGH BHADORIYA-SCHOOL OF INSTRUMENTATION,DEVI AHILYA UNIVERSITY
INDORE(M.P.) INDIA
16
• Fuel diversity: as distributed generation technologies can accommodate a larger
range of fuel that centralized generation, distributed generation has been used to
diversify away from coal, fuel, natural gas and nuclear fuel (IEA, 2002). For
instance, distributed generation has been used at landfills to collect biogas and
generate energy;
• Back up generation: the main use of distributed generation is for back up capacities
to prevent operational failures in case of network problems. Backup generators have
been installed at critical location such as hospitals, precincts etc.
Electricity deregulation and cost control device: in a deregulated electricity market, the
diminution of reserve margins or the failure of generators to supply the network (due for
example to unplanned outages etc) can lead to capacity shortfalls resulting in high
electricity prices to the consumers. In order to hedge against negative price impacts, large
electricity consumers have developed acquired distributed generation capacities. Such a
move was possible thanks to the increase in flexibility in the market regulation following
the deregulation including, among other, reducing barriers to entry.
Environmental Impact: the environmental impact of the centralized energy system is
significant due to the heavy reliance on fuel, coal and to a lesser extent natural gas.
The electricity sector is responsible for ¼ of the NO emissions, 1/3 of the CO2
emissions and 2/3 of the SO2 emissions in the United States (EPA, 2003). Distributed
generation Has been used to mitigate the impact both in terms of emissions associated
with transmission and distribution losses, to increase efficiency through cogeneration
and distributed renewable energy. As distributed generation has been able to overcome
the aforementioned Shortfalls of the centralized generation paradigm, it kept on
average a small share in the overall generation mix. The following subsection will
focus on the main features n of distributed generation and why it has been the source
of an increased attention recently. In figure 1.1 central electricity paradigm is given at
that time generated power is passed to transmission meanwhile some losses are
generated, but a lot of work has been done in smart transmission network .problem
arises when power is further given by transmission lines to distribution system ,where
power demand gets changing in every respect residentially, commercially so load
remains constant only for some time or in ideal conditions . Power demand is
increasing of development of certain area by establishing new industry etc. This
JITENDRA SINGH BHADORIYA-SCHOOL OF INSTRUMENTATION,DEVI AHILYA UNIVERSITY
INDORE(M.P.) INDIA
17
additional amount of power creates problem for distribution system because it gets
only certain amount of power from generating power plants. Extra amount of load will
get responsible for power fluctuation increasing reactive power , increase real power
loss . We have to reconstruct the distribution system to get overcome on this problem,
it needs heavy amount not economical because if we construct a distribution sub-
station with existing amount of power than we have to again reconstruct the
distribution system & if we reconstruct distribution system keeping future estimate in
mind than it will also creates problem of wasting power in island mode. So we install
distributed generator in that distribution sub-station , the type depends on the locality
of that area which one is better available and reliable(shown in figure 1.2 ) , it will
reduce the losses and also very economical compared to reconstruct a new distributed
network.
JITENDRA SINGH BHADORIYA-SCHOOL OF INSTRUMENTATION,DEVI AHILYA UNIVERSITY
INDORE(M.P.) INDIA
18
Transmission Network
Distribution Network
Central Power Station
Figure-1.1 Central electricity paradigm
JITENDRA SINGH BHADORIYA-SCHOOL OF INSTRUMENTATION,DEVI AHILYA UNIVERSITY
INDORE(M.P.) INDIA
19
1.3 DG Insertion in to grid
As seen in the previous part, distributed generation has been historically used in several
ways to complement centralized generation. The reason behind the recent revival of
distributed generation is two-fold: the liberalization of the electricity markets and concerns
over greenhouse gas emissions.
The electricity and gas deregulation process started in Europe following the application of
two directives aimed at providing a free flow of gas and electricity across the continent.
These directives and the subsequent legislation created a new framework making it possible
for distributed generators to increase their share in the total electricity generation mix. The
effect of deregulation is two-fold (IEA, 2002):
• Thanks to the reduction of barriers to entry and clearer prices signals, distributed
generators were able to move in niche markets and exploit failures of centralized
generation. These new applications took the form of standby capacity generators,
peaking generators (i.e. producing electricity only in case of high price and
consumption periods), generators improving reliability and power capacities,
generators providing a cheaper alternative to network use or expansion, provision
of grid support (i.e. provision of ancillary services permitting better and safer
operation of the network and/or shortening the recovery time).
• As distributed generators tend to be of smaller size and quicker to build, they have
been able to benefit from price premiums. Geographical and operational flexibility
made it possible to set up distributed generators in Congested areas or use it only
during consumption peaks. Besides, for small excess demand, it is often
uneconomical to build an additional centralized generation plant whereas with
lower CAPEX and capacities, distributed generation might come in handy (IEA,
2002).
The second driver behind the rebirth of distributed generation is to be related to
environmental constraints. Environmental and economic constraints led to look for cleaner
and more efficient use of energy. Distributed generation has been able to achieve this
target.
JITENDRA SINGH BHADORIYA-SCHOOL OF INSTRUMENTATION,DEVI AHILYA UNIVERSITY
INDORE(M.P.) INDIA
20
The current model for electricity generation and distribution in the India is dominated by
centralized power plants. The power at these plants is typically combustion (coal, oil, and
natural) or nuclear generated. Centralized power models, like this, require distribution from
the center to outlying consumers. Current substations can be anywhere from 10s to 100s of
miles away from the actual users of the power generated. This requires transmission across
the distance.
This system of centralized power plants has many disadvantages. In addition to the
transmission distance issues, these systems contribute to greenhouse gas emission, the
production of nuclear waste, inefficiencies and power loss over the lengthy transmission
lines, environmental distribution where the power lines are constructed, and security related
issues.
Many of these issues can be mediated through distributed energies. By locating, the source
near or at the end-user location the transmission line issues are rendered obsolete.
Distributed generation (DG) is often produced by small modular energy conversion units
like solar panels. As has been demonstrated by solar panel use in the United States, these
units can be stand-alone or integrated into the existing energy grid. Frequently, consumers
who have installed solar panels will contribute more to the grid than they take out resulting
in a win-win situation for both the power grid and the end-user.
JITENDRA SINGH BHADORIYA-SCHOOL OF INSTRUMENTATION,DEVI AHILYA UNIVERSITY
INDORE(M.P.) INDIA
21
Central plant
Distributed Generation
Distributed Load
Solar Power
Source
Wind-Power Source
Micro Turbine
Fuel cell
Figure 1.2 Distributed Electricity Paradigms
JITENDRA SINGH BHADORIYA-SCHOOL OF INSTRUMENTATION,DEVI AHILYA UNIVERSITY
INDORE(M.P.) INDIA
22
1.4 Problem Definition.
The newly introduced distributed or decentralized generation units connected to local
distribution systems are not dispatch able by a central operator, but they can have a
significant impact on the power flow, voltage profile, stability, continuity, short circuit
level, and quality of power supply for customers and electricity suppliers. Optimization
techniques should be employed for deregulation of the power industry, allowing for the
best allocation of the distributed generation (DG) units.
There are many approaches for deciding the optimum sizing and siting of DG units in
distribution systems. The optimum locations of DG in the distribution network were
determined. These works aimed to study several factors related to the network and the DG
unit itself such as the overall system efficiency, system reliability, voltage profile, load
variation, network losses, and the DG loss adjustment factors. The optimal sizing of a small
isolated power system that contains renewable and/or conventional energy technologies
was determined to minimize the system’s energy cost. The authors succeeded in merging
both the DG location and size in one optimization problem. The main factors included in
the optimization problem were investment cost, operation cost, network configuration,
active and reactive power costs, heat and power requirements, voltage profile, and system
losses.
Several methods have been adopted to solve such an optimization problem. Some of them
rely on conventional optimization methods and others use artificial intelligence-based
optimization methods.
In some research, the optimum location and size of a single DG unit is determined while in
others the optimum locations and sizes of multiple DG units are determined a mixed integer
linear program was formulated to solve the optimization problem. The objective was to
optimally determine the DG plant mix on a network section. However, that required
dealing with the power system approximately as a linear system, which is not the real case.
A particle swarm optimization (PSO) algorithm was introduced to determine the optimum
size and location of a single DG unit to minimize the real power losses of the system. The
problem was formulated as one of constrained mixed integer nonlinear programming, with
the location being discrete and the size being continuous. However, the real power loss of
the system was the only aspect considered in this research work, while trying to optimally
find the size of only one DG unit to be placed. Different scenarios were suggested for
JITENDRA SINGH BHADORIYA-SCHOOL OF INSTRUMENTATION,DEVI AHILYA UNIVERSITY
INDORE(M.P.) INDIA
23
optimum distribution planning. One of these scenarios was to place multiple DG units at
certain locations pre-determined by the Electric Utility Distribution Companies (DISCOs)
aiming to improve their profiles and minimize the investment risk.
An adaptive-weight PSO (APSO) algorithm was used to place multiple DG units, but the
objective was to minimize only the real power loss of the system. PSO used to find the
optimal location of a fixed number of DG units with specific total capacity such that the
real power loss of the system is minimized and the operational constraints of the system are
satisfied. In [24], three types of multi- DG unit were optimally placed, also to minimize the
real power loss of the system using PSO.
The proposed algorithm was applied to test systems, a radial 38-bus system. The algorithm
is built using MATLAB script functions. A continuation power flow is carried out to
determine the effect of DG units on the voltage stability limits using the Power System
Analysis Toolbox (PSAT).
1.5 Multi-objective-based problem formulation
The multi-objective index for the performance calculation of distribution systems for DG
size and location planning with load models have considered by mentioning following
indices by giving a weight to each index.
In this thesis, several indices will be computed in order to describe the effect of load
models due to the presence of DG. These indices are defined as follows.
(1) Real and reactive power loss indices (ILP and ILQ): The real and reactive power loss
indices are defined as.
ILP = (1)
ILQ = (2)
Where PLDG and QLDG are the real and reactive power losses of the distribution system
after the inclusion of DG. PL and QL are the real and reactive system losses without DG in
the distribution system.
(2) Voltage profile index (IVD): One of the advantages of proper location and size of the
DG is the improvement in voltage profile. This index penalizes a size–location pair which
JITENDRA SINGH BHADORIYA-SCHOOL OF INSTRUMENTATION,DEVI AHILYA UNIVERSITY
INDORE(M.P.) INDIA
24
gives higher voltage deviations from the nominal value (Vnom). In this way, the closer the
index is to zero better is the network performance. The IVD can be defined as
IVD= (3)
where n is the number of buses. Normally, the voltage limit (Vmin ≤ Vi ≤ Vmax) at a
particular bus is taken as a technical constraint, and thus the value of the IVD is normally
small and within the permissible limits.
(3) MVA capacity index (IC): As a consequence of supplying power near to loads, the
MVA flows may diminish in some sections of the network, thus releasing more capacity,
but in other sections they may also increase to levels beyond the distribution line limits (if
the line limits are not taken as constraints). The index (IC) gives important information
about the level of MVA flow/currents through the network regarding the maximum
capacity of conductors. This gives information about the need for system line upgrades.
Values higher than unity (calculated MVA flow values higher than the MVA capacity) of
the index given the amount of capacity violation in term of line flow, whereas lower values
indicate the capacity available
IC= (4)
where NOL is the number of lines, Si is the MVA flow in line i, and CSi is the MVA
capacity of line i.
The benefit of placing DG in a system in the context of line capacity released is measured
by finding the difference in IC between the system with and without DG. The avoidance of
flow near to the flow limits is an important criterion, as it indicates that how earlier the
system needs to be upgraded and thus adding to the cost. Normally, the constraint
(Si ≤ Si, max) at a particular line is taken as a strict constraint.
(4) Short circuit level index (ISC): This index is related to protection and sensitivity issues,
since it evaluates the short circuit current at each bus with and without DG
ISC= (5)
JITENDRA SINGH BHADORIYA-SCHOOL OF INSTRUMENTATION,DEVI AHILYA UNIVERSITY
INDORE(M.P.) INDIA
25
Where I without DG SC is the short circuit current before installing the DG and I with DG
SC is the short circuit current after installing the DG.
The PSO-based multi-objective function (MOF) is given by
MOF=(σ1.ILP+ σ2.ILQ+ σ3.IC+ σ4.IVD+ σ5.ISC)+MVAsys(pu) (6)
Where MVA sys(pu) is the total intake from the grid expressed per unit, and
=1.0 σp Є [0,1]. (7)
Table 1.1 Impact Indices weighting
Index weights.
ILP
Indices σp
0.3
ILQ 0.2
IC 0.25
IVD 0.1
ISC 0.15
These weights are indicated to give the corresponding importance to each impact index for
the penetration of DG with load models, and they depend on the required analysis (e.g.,
planning, operation, etc.). The weighted normalized indices used as the components of the
objective function are due to the fact that the indices get their weights by translating their
impacts in terms of cost. It is desirable if the total cost is decreased. Table 2 shows the
values for the weights used in present work, considering normal operation analysis, and
they are selected guided by the weights. However, these values may vary according to
engineer concerns.
For this analysis, active losses have the higher weight (0.3) since they are important in
many applications of DG. The current capacity index (IC) has the second highest weight
JITENDRA SINGH BHADORIYA-SCHOOL OF INSTRUMENTATION,DEVI AHILYA UNIVERSITY
INDORE(M.P.) INDIA
26
(0.25) since it gives important information about the level of currents through the network
regarding the maximum capacity of conductors in distribution systems. Protection and
selectivity impact (ISC) received a weighting of 0.15 since it evaluates important reliability
problems that DG presents in distribution networks. The behavior of the voltage profile
(IVD) received a weight of 0.1 due to its power quality impact.
The multi-objective function (6) is minimized subject to various
operational constraints to satisfy the electrical requirements for a distribution network.
These constraints are the following.
(1) Power-conservation limits: The algebraic sum of all incoming and outgoing power
including line losses over the whole distribution network and power generated from the DG
unit should be equal to zero
PSS(i, V) = + -PDGi (8)
where NOL=number of lines and PD = power demand (MW).
(2) Distribution line capacity limits: The power flow through any distribution line must not
exceed the thermal capacity of the line:
Si ≤ Simax. (9)
(3) Voltage limits: The voltage limits depend on the voltage regulation limits provided by
the DISCO:
Vmin ≤ Vi ≤ Vmax. (10)
The implementation of PSO starts by random generation of an initial population of possible
solutions. For each solution, size–location pairs of the DG units type and capacity
according to homer introduced to the system are chosen within technical limits of
locations and sizes of the DG units. Each solution must satisfy the operational constraints
represented .If one of these constraints is violated, such a solution is rejected. After
generating a population of solutions satisfying the pre-specified constraints, the objective
function of each solution (individual) is evaluated. Once the population cycle is initialized,
the position of each individual in the solution space is modified using the PSO parameters,
e.g., pbest, Gbest, and the agent velocity, to generate the new population. If the DG size
and/or location exceed the limit, they are adjusted back within the specified limits (the
JITENDRA SINGH BHADORIYA-SCHOOL OF INSTRUMENTATION,DEVI AHILYA UNIVERSITY
INDORE(M.P.) INDIA
27
boundaries). The operational constraints are then checked. If any of them is violated the
new solution is rejected and another one is generated and checked until a solution that
satisfies the specified limits is found. The algorithm stops when the maximum number of
generations is reached. According to PSO theory, the optimal solution is the best solution
ever found throughout the generations (Gbest
).
To validate the proposed method, it is applied to the 38-bus system of under the same load
conditions and using the same objective function (IMO) and same values of index weights
used in to optimally place multi DG unit in the system.
JITENDRA SINGH BHADORIYA-SCHOOL OF INSTRUMENTATION,DEVI AHILYA UNIVERSITY
INDORE(M.P.) INDIA
28
1.6 Thesis Layossut
Figure 1.3 Thesis Layout
Chapter 3
Distributed
Generation (DG)
Chapter 4
Particle Swarm Optimization a new
Methodology for installation &
planning of Distributed Generations
(DG)
Chapter 5
PSAT -TOOL. By using this mat-lab tool we
have simulated IEEE-38 bus system and we
have continuation power flow, optimum
power flow of the grid. We have found the
DG place & capacity on the required bus and
also SIMULATION & GRAPHICAL
RESULTS with Observation.
Chapter 6
Conclusion
Chapter 1
Introduction
Chapter 2
LITERATURE REVIEW
JITENDRA SINGH BHADORIYA-SCHOOL OF INSTRUMENTATION,DEVI AHILYA UNIVERSITY
INDORE(M.P.) INDIA
29
Summary
In this thesis work chapter 1 describes about the centralized electricity paradigm and
problem include in this type of system .the solution is carried out by introducing
DISTRIBUTED GENERATION (DG) in to the existing grid , by doing so we are able to
construct a decentralized electricity paradigm and the problems can be minimize at a
greater extent. in this chapter the benefits of distributed generation also presented when
DG has inserted in to grid. Problem has been identifying by taking IEEE-38 bus system
and before insertion of DG we have to check several load models and impact indices.
While inserting DG we should know where and how much capacity of DG should be
introduced for this we have taken PSO to determine exact location of DG. At last Thesis
layout is given.
JITENDRA SINGH BHADORIYA-SCHOOL OF INSTRUMENTATION,DEVI AHILYA UNIVERSITY
INDORE(M.P.) INDIA
30
Chapter 2
LITERATURE REVIEW
JITENDRA SINGH BHADORIYA-SCHOOL OF INSTRUMENTATION,DEVI AHILYA UNIVERSITY
INDORE(M.P.) INDIA
31
[1]` This paper proposes a multi-objective index-based approach for optimally
determining the size and location of multi-distributed generation (multi-DG) units in
distribution systems with different load models. It is shown that the load models can
significantly affect the optimal location and sizing of DG resources in distribution systems.
The proposed multi-objective function to be optimized includes a short circuit level
parameter to represent the protective device requirements. The proposed function also
considers a wide range of technical issues such as active and reactive power losses of the
system, the voltage profile, the line loading, and the Mega Volt Ampere (MVA) intake by
the grid. An optimization
Technique based on particle swarm optimization (PSO) is introduced. An analysis of the
continuation power flow to determine the effect of DG units on the most sensitive buses to
voltage collapse is carried out. The proposed algorithm is tested using a 38-bus radial
system and an IEEE 30-bus meshed system.
Multi-objective optimization analysis, including load models, for size–location
planning of distributed generation in distribution systems has been presented. The proposed
optimization algorithm was applied to a 38-bus radial test system and an IEEE 30-bus mesh
test system. The results showed that the proposed algorithm is capable of optimal and fast
placement of DG units. The results clarified the efficiency of this algorithm for
improvement of the voltage profile, reduction of power losses, and reduction of MVA
flows and MVA intake from the grid, and also for increasing the voltage stability margin
and maximum loading.
[2] Distributed generators (DGs) sometimes provide the lowest cost solution to
handling low-voltage or overload problems. In conjunction with handling such problems, a
DG can be placed for optimum efficiency or optimum reliability. Such optimum
placements of DGs are investigated. The concept of segments, which has been applied in
previous reliability studies, is used in the DG placement. The optimum locations are sought
for time-varying
load patterns. It is shown that the circuit reliability is a function of the loading level. The
difference of DG placement between optimum efficiency and optimum reliability varies
under different load conditions. Observations and recommendations concerning DG
placement for optimum reliability and efficiency are provided in this paper. Economic
considerations are also addressed.
JITENDRA SINGH BHADORIYA-SCHOOL OF INSTRUMENTATION,DEVI AHILYA UNIVERSITY
INDORE(M.P.) INDIA
32
This paper discusses two criteria for the optimal placement of a DG for time-
varying loads. One is to maximize the reliability improvement, and the other is to minimize
the power loss in the system. A three-circuit example is used for quantitative analysis. It is
pointed out that both reliability and losses vary as a function of loading or time. There are
additional practical constraints that must be considered, such as what locations are
available to the utility for installing the DG. Also, modifying the protection system either
due to the additional fault currents supplied by the DG or due to switching operations
anticipated are other practical aspects that need to be considered.
[4] The distributed generation (DG) plant mix connected to any network section has a
considerable impact on the total amount of DG energy exported and on the amount of
losses incurred on the network. A new method for the calculation of loss adjustment factors
(LAFs) for DG is presented, which determines the LAFs on a site specific and energy
resource specific basis. A mixed integer linear program is formulated to optimally utilize
the available energy resource on a distribution network section. The objective function
incorporates the novel LAFs along with individual generation load factors, facilitating the
determination of the optimal DG plant mix on a network section. Results are presented for
a sample section of network illustrating the implementation of the optimal DG plant mix
methodology for two representative energy resource portfolios.
A novel method for the calculation of loss adjustment factors for distributed
generation has been presented. These LAFs take account of the average impact of different
generation technologies at each bus on losses. The LAFs provide a pricing signal for the
optimal DG plant mix, whereby generators’ revenue will increase if they connect at the
appropriate bus. These novel LAFs have been incorporated into an optimal plant mix
methodology using MILP. This methodology determines the optimal DG plant mix for a
section of distribution network subject to a number of constraints. The methodology is
tested on two representative energy portfolios, in both cases performing well. Both cases
demonstrate that there is significant scope for optimization of the DG plant mix, to
maximize both the revenue for the generators and the benefit to society.
[6] This paper presents a novel particle swarm optimization based approach to optimally
incorporate a distribution generator into a distribution system. The proposed algorithm
combines particle swarm optimization with load flow algorithm to solve the problem in a
JITENDRA SINGH BHADORIYA-SCHOOL OF INSTRUMENTATION,DEVI AHILYA UNIVERSITY
INDORE(M.P.) INDIA
33
single step, i.e. finding the best combination of location and size simultaneously. In the
developed algorithm, the objective function to be minimized is the total network power
losses while satisfying the voltage constraints imposed on the system. It is formulated as
constrained mixed integer nonlinear programming problem with the location being discrete.
The 69−bus radial distribution system has been used to validate the proposed method. Test
results demonstrate the effectiveness and robustness of the developed algorithm.
This paper presents solving the optimal DG allocation and sizing problem through
applying novel hybrid particle swarm optimization based approach algorithm. By
combining the particle swarm optimization with the load flow algorithm the problem was
solved in a single step that is finding the best combination of location and sizing
simultaneously. The effectiveness of the PSO was demonstrated and tested. The proposed
algorithm was tested on 69−bus distribution system to solve the DG mixed integer
nonlinear problem with both equality and inequality constraints imposed on the system.
The hybrid PSO significantly minimized the distribution network real power losses and
converged to the same bus for the DG to be installed in every single run.
[11] Recent changes in the energy industry initiated by deregulation have accelerated the
introduction of distributed generation at the sub-transmission and distribution levels. In
light of the well-known benefits as well as the various issues involved in DG incorporation,
this paper proposes two new quadratic voltage profile improvement indices VPI1 and
VPI2The primal dual interior-point (PDIP) method has been employed to identify the
optimal location and real and reactive power generation on the basis of the newly proposed
indices. A simplified model of a 33-bus radial distribution system has been simulated in
MATLAB to illustrate the use of the new indices.
Employing DG in a distribution system results in several benefits such as
increased overall system efficiency, reduced line losses, improved system voltage profile
and transmission and distribution capacity relief to both utilities and the customers. This
paper has proposed two indices: VPI1 VPI2, to quantify voltage profile improvement in a
distribution system. Primal-dual interior-point method has been employed to determine the
optimal location for the DG units in a distribution system.
[17] Evaluating the technical impacts associated with connecting distributed generation
to distribution networks is a complex activity requiring a wide range of network operational
JITENDRA SINGH BHADORIYA-SCHOOL OF INSTRUMENTATION,DEVI AHILYA UNIVERSITY
INDORE(M.P.) INDIA
34
and security effects to be quailed and quantized. One means of dealing with such
complexity is through the use of indices that indicate the benefit or otherwise of
connections at a given location and which could be used to shape the nature of the contract
between the utility and distributed generator. This paper presents a multi objective
performance index for distribution networks with distributed generation which considers a
wide range of technical issues. Distributed generation is extensively located and sized
within the IEEE-34 test feeder, wherein the multi objective performance index is computed
for each configuration.
Various impact indices were addressed in this work, aimed at characterizing the
benefits and negative impacts of DG in distribution networks. Furthermore, a multi
objective performance index that relates impact indices by strategically assigning a
relevance factor to each index was proposed. Though the selection of values of relevance
factors will depend on engineering experience, the presented values solved, in a satisfactory
and coherent fashion, the DG location problem, considering different power generation
outputs for the IEEE-34 test feeder. Nevertheless, the proposed relevance factors are
flexible since electric utilities have different concerns about losses, voltages, protection
schemes, etc. This flexibility makes the proposed methodology even more suitable as a tool
for finding the most beneficial places where DGs may be located, as viewed from an
electric utility technical perspective.
[22] This paper proposes an adaptive weight particle swarm optimization (APSO) for
solving optimal distributed generation (DG) placement. APSO has ability to control
velocity of particles. The objective is to minimize the real power loss within acceptable
voltage limits. Four types of DG are considered including DG supplying real power only,
DG supplying reactive power only, DG supplying real power and consume reactive power,
DG supplying real power and reactive power, representing photovoltaic, synchronous
condenser, wind turbines, and hydro power, respectively. The test systems include 33-bus
and 69-bus radial distribution systems. With a given number of DGs in each type, APSO
could find the optimal sizes and locations of multi-DG which result in less total power
system loss than basic particle swarm optimization (BPSO) and repetitive load flow.
Moreover, if the number of DG increases from one to three, the total power loss will
decrease for all types.
JITENDRA SINGH BHADORIYA-SCHOOL OF INSTRUMENTATION,DEVI AHILYA UNIVERSITY
INDORE(M.P.) INDIA
35
In this paper, APSO is proposed for optimal multi-distributed generation placement. Test
results indicate that the PSO-based algorithm is efficiently finding the optimal multi-DG
placement, compared to BPSO and repetitive load flows,
[27] A concept for the optimization of nonlinear functions using particle swarm
methodology is introduced. The evolution of several paradigms is outlined, and an
implementation of one of the paradigms is discussed. Benchmark testing of the paradigm is
described, and applications, including nonlinear function optimization and neural network
training, are proposed. The relationships between particle swarm optimization and both
artificial life and genetic algorithms are described,
Particle swarm optimization is an extremely wimple algorithm that seems to be effective
for optimizing a wide range of functions. We view it as a ]mid-level form of A-life or
biologically derived algorithm, occupying the space in nature between evolutionary
search, which requires eons, and neural processing, which occurs on the order of
milliseconds. Social optimization occurs in the time frame of ordinary experience - in
fact, it is ordinary experience. In addition to its ties with A-life, particle swarm
optimization has obvious ties with evolutionary computation. Conceptually, it seems to
lie somewhere between genetic algorithms and evolutionary programming. It is highly
dependent on stochastic processes, like evolutionary programming. The adjustment
toward pbest and gbest by the particle swarm optimizer is conceptually similar to the
crossover operation utilized by genetic algorithms. It uses the concept of fitness, as do
all evolutionary computation paradigms.
[37] In this paper, a fuzzy system is implemented to dynamically adapt the inertia
weight of the particle swarm optimization algorithm (PSO). Three benchmark functions
with asymmetric initial range settings are selected as the test functions. The same fuzzy
system has been applied to all the three test functions with different dimensions. The
Experimental results illustrate that the fuzzy adaptive PSO is a promising optimization
method, which is especially useful for optimization problems with a dynamic
environment.
In this paper, a fuzzy system is implemented to dynamically adjust the inertia weight to
improve the performance of the PSO. Three benchmark functions have been used for
JITENDRA SINGH BHADORIYA-SCHOOL OF INSTRUMENTATION,DEVI AHILYA UNIVERSITY
INDORE(M.P.) INDIA
36
testing the performance of the fuzzy adaptive PSO. For comparison, simulations are
conducted for both the fuzzy adaptive PSO and the PSO with a linearly decreasing
inertia weight. The simulation results illustrate the performance of PSO is not sensitive
To the population size, and the scalability of the PSO is acceptable.
[13] Recently, there has been a great interest in the integration of distributed generation
units at the distribution level. This requires new analysis tools for understanding system
performance. This paper presents a simple methodology for placing a distributed
generator with the view of increasing the load ability of the distribution system. The
effectiveness of the proposed placement technique is demonstrated in a test distribution
system that consists of 30 nodes 32 segments.
A methodology is presented in the paper for distributed generator placement in the
distribution system for maximizing the load ability of the system. In practice, there will
be many factors deciding the location of DG such as fuel availability, land availability
and local ordnance, etc. Given a choice, as corroborated through results the weakest bus
of the system is the best location for DG to increase the loading margin of the system.
[40] This paper presents a genetic algorithm based distributed generator placement
technique in a distribution system for minimizing the total real power losses in the
system. Both the optimal size and location are obtained as outputs from the genetic
algorithm toolbox. The results are verified using two popular power flow analytical tools
for distribution system load flow. The paper also evinces the importance of selecting the
correct size and suitable location for minimizing the system losses.
A genetic algorithm based distributed generator placement technique in a distribution
System for reducing the total real power losses in the system is presented in the paper.
The genetic algorithm toolbox gives both optimal size and the locations as outputs.
These results are verified using two popular load flow programs. This study shows that
the proper placement and size of DG units can have a significant impact on system loss
reduction. It also shows how improper choice of size would lead to higher losses than the
case without DG. However, in practice there will be many constraints to be considered in
selecting the site. Given the choices, the correct sizes of DG units should be placed in the
right location to enjoy the maximum technical benefits.
JITENDRA SINGH BHADORIYA-SCHOOL OF INSTRUMENTATION,DEVI AHILYA UNIVERSITY
INDORE(M.P.) INDIA
37
[46] This paper describes the Power System Analysis Toolbox (PSAT), an open source
Matlab and GNU/Octave-based software package for analysis and design of small to
medium size electric power systems. PSAT includes power flow, continuation power flow,
optimal power flow, small-signal stability analysis, and time-domain simulation, as well as
several static and dynamic models, including nonconventional loads, synchronous and
asynchronous machines, regulators, and FACTS. PSAT is also provided with a complete
set of user-friendly graphical interfaces and a Simulink-based editor of one-line network
diagrams. Basic features, algorithms, and a variety of case studies are presented in this
paper to illustrate the capabilities of the presented tool and its suitability for educational
and research purposes.
This paper has presented a new open-source PSAT which runs on Matlab and
GNU/Octave. PSAT comes with a variety of procedures for static and dynamic analysis,
several models of standard and unconventional devices, a complete GUI, and a Simulink-
based network editor. These features make PSAT suited for both educational and research
purposes.
JITENDRA SINGH BHADORIYA-SCHOOL OF INSTRUMENTATION,DEVI AHILYA UNIVERSITY
INDORE(M.P.) INDIA
38
Summary
In this chapter brief literature review is presented. Previous work is carried out on
distributed generation (DG) planning is discussed. The optimal placement is carried out
by different methods are shown. Only main research work papers are considered here for
modelling of 38-bus system and optimal placements & penetration power of DG are
mainly considered .Research papers shows that after insertion of DG in to grid voltage
profile becomes flat , reduction in real power losses & several advantages achieved . PSO
is landmark optimization method for complex engineering problems now-days; in last
PSAT research paper gave information about its capability & advantages over other
power system tools.
JITENDRA SINGH BHADORIYA-SCHOOL OF INSTRUMENTATION,DEVI AHILYA UNIVERSITY
INDORE(M.P.) INDIA
39
Chapter-3
DISTRIBUTED GENERATION (DG)
Introduction
Distributed Generation Technologies-
Distributed Generation Applications
The Benefits of Distributed Power.
The main characteristics of distributed generation
Summary
JITENDRA SINGH BHADORIYA-SCHOOL OF INSTRUMENTATION,DEVI AHILYA UNIVERSITY
INDORE(M.P.) INDIA
40
3.1 Introduction
Distributed generation (DG) is not a new concept but it is an emerging approach for
providing electric power in the heart of the power system. The concept of distributed
Generation, which is now gaining worldwide acceptance, was started in the USA almost a
decade ago .Distributed generation (DG) technologies can provide energy solutions to some
customers that are more cost-effective, more environmentally friendly, or provide higher
power quality or reliability than conventional solutions.
Distributed generation is also known as:
Back-up generation
Stand-by generation
Cogeneration
Combined Heat and Power (CHP)
Renewable generation
Remote power
There is not a unique definition of Distributed Generation in all respect covering all the
relevant issues of that like range, location, and siltation. So we have some exist definitions
from different research centers.
DPCA (Distributed Power Coalition of America)
Distributed power generation is any small-scale power generation technology that provides
electric power at a site closer to customers than central station generation. A distributed
power unit can be connected directly to the consumer or to a utility's transmission or
distribution system.
CIGRE (International Conference on High Voltage
Electric Systems)
JITENDRA SINGH BHADORIYA-SCHOOL OF INSTRUMENTATION,DEVI AHILYA UNIVERSITY
INDORE(M.P.) INDIA
41
Distributed generation is
• Not centrally planned
• Today not centrally dispatched
• Usually connected to the distribution network
• Smaller than 50 or 100 MW
IEA (International Energy Agency)
Distributed generation is generating plant serving a customer on-site, or providing support
to a distribution network, and connected to the grid at distribution level voltages. The
technologies generally include engines, small (including micro) turbines, fuel cells and
photovoltaic. It does not generally include wind power, since most wind power is produced
in wind farms built specifically for that purpose rather than for meeting an on-site power
requirement.
Arthur D. Little
Distributed generation is the integrated or standalone use of small, modular electricity
generation resources by utilities, utility customers, and/or third parties in applications that
benefit the electric system, specific end-user customers, or both. Cogeneration
and combined heat and power (CHP) are included. From a practical perspective, it is a
facility for the generation of electricity that may be located at or near end users within an
industrial area, a commercial building, or a community.
Swedish Electric Power Utilities
Distributed generation is a source of electric power connected directly to the distribution
network or on the customer site of meter.
US Department of Energy
Distributed generation - small, modular electricity generators sited close to the customer
load that can enable utilities to defer or eliminate costly investments in transmission and
distribution (T&D) system upgrades, and provide customers with better quality, more
reliable energy supplies and a cleaner environment.
INDIA
Distributed power means modular electric generation or storage located near the point of
use. It includes biomass generators, combustion turbines, micro turbines, engines/generator
sets and storage and control technologies. It can be either grid connected or independent.
Distributed power connected to the grid is the typically interfaced added distribution
JITENDRA SINGH BHADORIYA-SCHOOL OF INSTRUMENTATION,DEVI AHILYA UNIVERSITY
INDORE(M.P.) INDIA
42
system. Distributed power generation systems range typically from less than a kilowatt
(kW) to ten megawatts (MW) in size.
By definitions, distributed generation involves the technology of using small-scale power
generation technologies located in close proximity to the load being served. The move
toward on-site distributed power generation is accelerating because of the impending
deregulation and restructuring of the utility industry. In the appropriate configuration,
distributed generation technologies can improve power quality, boost system reliability,
reduce energy costs and help delay or defray substantial utility capital investment.
It mainly depends upon the installation and operation of a portfolio of small size, compact,
and clean electric power generating units at or near an electrical load (customer). The
premise of distributed generation is to provide electricity to a customer at a reduced cost
and more efficiently with reduced losses than the traditional utility central generating plant
with transmission and distribution wires. Other benefits that distributed generation could
potentially provide, depending on the technology, include reduced emissions, utilization of
waste heat, improved power quality and reliability and deferral f transmission or
distribution upgrades.
Distributed power generation or simply distributed - generation (DG), is in the focal point
when it comes to providing possible solutions for a number of socio-economic energy
problems that have taken on Considerable importance as we move into the new
millennium. The enhanced efficiency, environmental friendliness, flexibility and
scalability of the emerging technologies involved in distributed generation have put these
systems at the forefront of solutions to provide power generation for the future.
Moving away from the classical "standby" image of small generator sets and battery based
UPS, the use of DG is expected to grow through a wide range of applications . In many
parts of the world, where there is no power grid, DG can be the only source of power. On
the other hand, in regions well provided with power supply networks, there are few who
contemplate totally replacing connection to the grid by complete reliance on DG, and it is
this aspect of integration of DG into the network that has led to a number of issues which
need to be resolved. The issues involve, not only technical aspects of introducing DG as a
JITENDRA SINGH BHADORIYA-SCHOOL OF INSTRUMENTATION,DEVI AHILYA UNIVERSITY
INDORE(M.P.) INDIA
43
power source in the network, but also safety and financial concerns of the utility
companies, and inherently, the costs of installing DG with connections to the grid.
DGs are close to the end users, their capacity is small and can operate independently or
Grid- connected. The application of DGs can improve the security and reliability of
electricity supply. DGs are based on the development of power electronic, computer,
communication and control technology. The traditional network topology will be changed
by introducing a large number of power electronic devices, thus there will be uncertainty
generating to network stability. DGs can generate power in time, and reduce the operate
failure to improve the stability of the power system. With the appropriate layout and
voltage regulation, DGs can mitigate the voltage dips and improve voltage regulation
ability and reliability of the system . This is also the main reason for the rapid development
of DGs in recent years.
Till now, not all DG technologies and types are economic, clean or reliable. Some literature
studies delineating the future growth of DGs are:
a) The Public Services Electric and Gas Company (PSE&G), New Jersey, started
to participate in fuel cells (FCs) and photovoltaic’s (PVs) from 1970 and micro-
turbines (MTs) from 1995 till now. PSE&G becomes the distributor of
Honeywell’s 75kW MTs in USA and Canada. Fuel cells are now available in
units range 3–250kW size.
b) The Electric Power Research Institutes (EPRI) study shows that by 2010, DGs
will take nearly 25% of the new future electric generation, while a National Gas
Foundation study indicated that it would be around 30%.
Surveying DG concepts may include DG definitions, technologies, applications, sizes,
locations, DG practical and operational limitations, and their impact on system operation
and the existing power grid. This work focuses on surveying different DG types,
technologies, definitions, their operational constraints, placement and sizing with new
methodology particle swarm optimization. Furthermore, we aim to present a critical survey
by proposing new DG in to conventional grid to make it smart grid.
JITENDRA SINGH BHADORIYA-SCHOOL OF INSTRUMENTATION,DEVI AHILYA UNIVERSITY
INDORE(M.P.) INDIA
44
3.2 Distributed Generation Technologies-
There are different types of DGs from the constructional and technological points of view
as shown in Fig. 1. These types of DGs must be compared to each other to help in taking
the decision with regard to which kind is more suitable to be chosen in different situations.
However, in our work we are concerned with the technologies and types of the new
emerging DGs: micro-turbines and fuel cells. The different kinds of distributed generation
Technologies are discussed below. Often the term distributed generation is used in
combination with a certain generation technology category, e.g. renewable energy
technology. According to our definition, however, the technology that can be used is not
limited.
DG technologies can meet the needs of a wide range of users, with applications in the
residential, commercial, and industrial sectors. Decision makers at all levels need to be
aware of the potential benefits DG can offer. In some instances, DG technologies can be
more cost effective than conventional solutions.
JITENDRA SINGH BHADORIYA-SCHOOL OF INSTRUMENTATION,DEVI AHILYA UNIVERSITY
INDORE(M.P.) INDIA
45
Table 3. 1 Technologies for distributed generation
Technology Typical available size per module
Wind turbine 200 Watt–3 MW
Micro-Turbines 35 kW–1 MW
Combined cycle gas T. 35–400 MW
Internal combustion engines 5 kW–10 MW
Combustion turbine 1–250 MW
Small hydro 1–100 MW
Micro hydro 25 kW–1 MW
Photovoltaic arrays 20 Watt–100 kW
Solar thermal, central receive 1–10 MW
Solar thermal, Lutz system 10–80 MW
Biomass, e.g. based on gasification 100 kW–20 MW
Fuel cells, phos acid 200 kW–2 MW
Fuel cells, molten carbonate 250 kW–2 MW
Fuel cells, proton exchange 1 kW–250 kW
Fuel cells, solid oxide 250 kW–5 MW
Geothermal 5–100 MW
Ocean energy 100 kW–1 MW
Stirling engine 2–10 kW
Battery storage 500 kW–5 MW
JITENDRA SINGH BHADORIYA-SCHOOL OF INSTRUMENTATION,DEVI AHILYA UNIVERSITY
INDORE(M.P.) INDIA
46
3.2.1 Reciprocating Engines
Reciprocating engines, developed more than 100 years ago, were the first of the fossil fuel-
driven DG technologies. Both Otto (spark ignition) and Diesel cycle (compression ignition)
engines have gained widespread acceptance in almost every sector of the economy and are
in applications ranging from fractional horsepower units powering small hand-held tools
to60 MW base load electric power plants. Reciprocating engines are ones in which pistons
move back and forth in cylinders. Reciprocating engines are a subset of internal
combustion engines which also include rotary engines. Smaller engines are primarily
designed for transportation and can be converted to power generation with little
modification. Larger engines are, in general, designed for power generation, mechanical
drive, or marine propulsion. Reciprocating engines are currently available from many
manufacturers in all DG size ranges. For DG applications, reciprocating engines offer low
costs and good efficiency, but maintenance requirements are high, and diesel-fueled units
have high emissions.
3.2.2 Micro-turbine (MT)
Micro-turbine technologies are expected to have a bright future. They are small capacity
combustion turbines, which can operate using natural gas, propane, and fuel oil. In a simple
form, they consist of a compressor, combustor, recuperate small turbine, and generator.
Sometimes, they have only one moving shaft, and use air or oil for lubrication. MTs are
small scale of 0.4–1m3 in volume and 20–500kW in size. Unlike the traditional
combustion turbines, MTs run at less temperature and pressure and faster speed (100,000
rpm), which sometimes require no gearbox. Some existing commercial examples have low
costs, good reliability, fast speed with air foil bearings ratings range of 30–75kW are
installed in North-eastern US and Eastern Canada and Argentina by Honeywell Company
and 30–50kW for Capstone and Allison/GE companies, respectively . Another example is
ABB MT: of size 100kW, which runs at maximum power with a speed of 70,000 rpm and
has one shaft with no gearbox where the turbine, compressor, and a special designed high
speed generator are on the same shaft.
JITENDRA SINGH BHADORIYA-SCHOOL OF INSTRUMENTATION,DEVI AHILYA UNIVERSITY
INDORE(M.P.) INDIA
47
Consist of
LIKE
Such as
Fig.3.1 . Distributed generation types and technologies.
Distributed
Generation type
and Technologies
Non-traditional generatorsTraditional Generators
Combustion Engines
MICRO
TURBINE
MT
Natural gas
turbine
Simple
cycle
Combined
cycleRecuperated
cycle
Electrochemical
device
Storage
device
Renewable
device
Fuel
cells
Batterie
s
Flywheels
(PV) Wind
Turbine
(WT)
JITENDRA SINGH BHADORIYA-SCHOOL OF INSTRUMENTATION,DEVI AHILYA UNIVERSITY
INDORE(M.P.) INDIA
48
3.2.3 Electrochemical devices: fuel cell (FC)
The fuel cell is a device used to generate electric power and provide thermal energy from
chemical energy through electrochemical processes. It can be considered as a battery
supplying electric energy as long as its fuels are continued to supply. Unlike batteries, FC
does not need to be charged for the consumed materials during the electrochemical process
since these materials are continuously supplied. FC is a well-known technology from the
early 1960s when they were used in the Modulated States Space Program and many
automobile industry companies. Later in 1997, the US Department of Energy tested
gasoline fuel for FC to study its availability for generating electric power. FC capacities
vary from kW to MW for portable and stationary units, respectively.
3.2.4 The Internal Combustion Engine:
The most important instrument of the DG systems around the world has been the Internal
Combustion Engine. Hotels, tall buildings, hospitals, all over the world use diesels as a
back-up. Though the diesel engine is efficient, starts up relatively quickly,
it is not environment friendly and has high O & M costs. Consequently its use in the
developed world is limited. In India, the diesel engine is used very widely on account of the
immediate need for power, especially in rural areas, without much concern either for long-
term economics or for environment.
3.2.5 Biomass Based on Gasification
Biomass gasifier systems of up to 500 kW capacity based on fuel wood have been
indigenously developed and being manufactured in the country. Technology for producing
biomass briquettes from agricultural residues and forest litter at both household and
industry levels has been developed. A total capacity of 51.3 MW has so far been installed,
mainly for stand-alone applications.
3.2.6 Wind Turbine Systems
Windmills have been used for many years to harness wind energy for mechanical work
such as pumping water. Before the Rural Electrification Act in the 1920’s provided funds
to extend electric power to outlying areas, farms were using windmills to produce
electricity with electric generators. In the US alone, eight million mechanical windmills
have been installed. Wind energy became a significant topic in the 1970s during the energy
crisis in the U.S. and the resulting search for potential renewable energy sources. Wind
JITENDRA SINGH BHADORIYA-SCHOOL OF INSTRUMENTATION,DEVI AHILYA UNIVERSITY
INDORE(M.P.) INDIA
49
turbines, basically wind mills dedicated to producing electricity, were considered the most
economically viable choice with in the renewable energy portfolio. During this time,
subsidies in the form of tax credits and favorable Federal regulations were available for
wind turbine projects to encourage the penetration of wind turbines and other renewable
energy sources. Today, attention has remained]focused on this technology as an
environmentally sound and convenient alternative. Wind turbines can produce electricity
without requiring additional investments in infrastructure such as new transmission lines,
and are thus commonly employed in remote locations. Most wind turbines currently being
used are small units (less than 5 kW) designed for the residential sector or larger units
installed by electric companies so they can sell green power to their customers.
3.2.7 Storage devices
It consists of batteries, flywheels, and other devices, which are charged during low load
demand and used when required. It is usually combined with other kinds of DG types to
supply the required peak load demand. These batteries are called “deep cycle”. Unlike car
batteries, “shallow cycle” which will be damaged if they have several times of deep
discharging, deep cycle batteries can be charged and discharged a large number of times
without any failure or damage. These batteries have a charging controller for protection
from overcharge and over discharge as it disconnects the charging process when the
batteries have full charge. The sizes of these batteries determine the battery discharge
period. However, flywheels systems can charge and provide 700kW in 5 s.
3.2.8 Renewable devices
Green power is a new clean energy from renewable resources like; sun, wind, and water. Its
electricity price is still higher than that of power generated from conventional oil sources.
3.2.9 Gas Turbines:
gas turbines are widely used for electricity generation thanks to the regulatory incentives
induced to favor fuel diversification towards natural gas and thanks to their low emission
levels. Conversely to reciprocating engines, gas turbines ordered over the period covered
by the survey were widely used as continuous generators (58%), 18% were used as standby
generators and 24% as peaking generators (DGTW, 2008). Gas turbines are
Widely used in cogeneration;
JITENDRA SINGH BHADORIYA-SCHOOL OF INSTRUMENTATION,DEVI AHILYA UNIVERSITY
INDORE(M.P.) INDIA
50
DG capacities are not restrictedly defined as they depend on the user type (utility or
customer) and/or the used applications. These levels of capacities vary widely from one
unit to a large number of units connected in a modular form.
Table 3.2 Comparison between common energy types for power and time duration
Power supplied period DG type Remarks
Long period supply Gas turbine and FC
stations
Provide P and Q except FC provides P
only.
Used as base load provider.
Unsteady supply Renewable energy
systems; PV arrays,
WT
Depend on weather conditions.
Provide P only and need a source of Q in
the network.
Used in remote places.
Need control on their operation in some
applications.
Short period supply FC storage units,
batteries, PV cells
Used for supply continuity.
Store energy to use it in need times for a
short period.
3.3 Distributed Generation Applications
Distributed generation (DG) is currently being used by some customers to provide some or
all of their electricity needs. There are many different potential applications for DG
technologies. For example, some customers use DG to reduce demand charges imposed by
their electric utility, while others use it to provide premium power or reduce environmental
emissions. DG can also be used by electric utilities to enhance their distribution systems.
JITENDRA SINGH BHADORIYA-SCHOOL OF INSTRUMENTATION,DEVI AHILYA UNIVERSITY
INDORE(M.P.) INDIA
51
Many other applications for DG solutions exist. The following is a list of those of potential
interest to electric utilities and their customers.
Continuous Power - In this application, the DG technology is operated at least 6,000 hours
a year to allow a facility to generate some or all of its power on a relatively continuous
basis.
Important DG characteristics for continuous power include:
· High electric efficiency,
· Low variable maintenance costs, and
· Low emissions.
Currently, DG is being utilized most often in a continuous power capacity for industrial
Application such as food manufacturing, plastics, rubber, metals and chemical production.
Commercial sector usage, while a fraction of total industrial usage, includes sectors such as
grocery stores and hospitals.
Combined Heat and Power (CHP) - Also referred to as Cooling, Heating, and Power or
Cogeneration, this DG technology is operated at least 6,000 hours per year to allow a
facility to generate some or all of its power. A portion of the DG waste heat is used for
water heating, space heating, steam generation or other thermal needs. In some instances
this thermal energy can also be used to operate special cooling equipment. Important DG
characteristics for combined heat and power include:
· High useable thermal output (leading to high overall efficiency),
· Low variable maintenance costs, and
· Low emissions.
CHP characteristics are similar to those of Continuous Power, and thus the two applications
have almost identical customer profiles, though the high thermal demand necessary here is
not a requisite for Continuous Power applications. As with Continuous Power, CHP is most
commonly used by industry clients, with a small portion of overall installations in the
commercial sector.
Peaking Power - In a peaking power application, DG is operated between 200-3000 hours
per year to reduce overall electricity costs. Units can be operated to reduce the utility’s
demand charges, to defer buying electricity during high-price periods, or to allow for lower
rates from power providers by smoothing site demand. Important DG characteristics for
peaking power include:
JITENDRA SINGH BHADORIYA-SCHOOL OF INSTRUMENTATION,DEVI AHILYA UNIVERSITY
INDORE(M.P.) INDIA
52
· Low installed cost,
· Quick startup, and
· Low fixed maintenance costs.
Peaking power applications can be offered by energy companies to clients who want to
reduce the cost of buying electricity during high-price periods. Currently DG peaking units
are being used mostly in the commercial sector, as load factors in the industrial sector are
relatively flat.
The most common applications are in educational facilities, lodging, miscellaneous retail
sites and some industrial facilities with peaky load profiles.
Green Power - DG units can be operated by a facility to reduce environmental emissions
from generating its power supply. Important DG characteristics for green power
applications include:
· Low emissions,
· High efficiency, and
· Low variable maintenance costs.
Green power could also be used by energy companies to supply customers who want to
purchase power generated with low emissions.
Premium Power - DG is used to provide electricity service at a higher level of reliability
and/or power quality than typically available from the grid. The growing premium power
market presents utilities with an opportunity to provide a value-added service to their
clients. Customers typically demand uninterrupted power for a variety of applications, and
for this reason, premium power is broken down into three further categories:
Emergency Power System - This is an independent system that automatically provide
electricity within a specified time frame to replace the normal source if it fails. The system
is used to power critical devices whose failure would result in property damage and/or
threatened health and safety. Customers include apartment, office and commercial
buildings, hotels, schools, and a wide range of public gathering places.
Standby Power System - This independent system provides electricity to replace the
normal source if it fails and thus allows the customer’s entire facility to continue to operate
satisfactorily. Such a system is critical for clients like airports, fire and police stations,
military bases, prisons, water supply and sewage treatment plants, natural gas transmission
and distribution systems and dairy farms.
JITENDRA SINGH BHADORIYA-SCHOOL OF INSTRUMENTATION,DEVI AHILYA UNIVERSITY
INDORE(M.P.) INDIA
53
True Premium Power System - Clients who demand uninterrupted power, free of all
power quality problems such as frequency variations, voltage transients, dips, and surges,
use this system. Power of this quality is not available directly from the grid – it requires
both auxiliary power conditioning equipment and either emergency or standby power.
Alternatively, a DG technology can be used as the primary power source and the grid can
be used as a backup. This technology is used by mission critical systems like airlines,
banks, insurance companies, communications stations, hospitals and nursing homes.
Important DG characteristics for premium power (emergency and standby) include:
• Quick startup,
• Low installed cost, and
• Low fixed maintenance costs.
Transmission and Distribution Deferral - In some cases, placing DG units in strategic
locations can help delay the purchase of new transmission or distribution systems and
equipment such as distribution lines and substations. A thorough analysis of the life-cycle
costs of the various alternatives is critical and contractual issues relating to equipment
deferrals must also be examined closely. Important DG characteristics for transmission and
distribution deferral (when used as a “peak deferral”) include:
· Low installed cost, and
· Low fixed maintenance costs.
Transmission and distribution DG applications in the U.S. are rare and are not discussed in
the main sections of this report.
Ancillary Service Power - DG is used by an electric utility to provide ancillary services
(interconnected operations necessary to effect the transfer of electricity between purchaser
and seller) at the transmission or distribution level. The market for ancillary services is still
unfolding in the U.S., but in markets where the electric industry has been deregulated and
ancillary services unbundled (in the United Kingdom, for example), DG applications offer
advantages over currently employed technologies. Ancillary services include spinning
reserves (unloaded generation, which is synchronized and ready to serve additional
demand) and non-spinning, or supplemental, reserves (operating reserve is not connected to
the system but is capable of serving demand within a specific time or interruptible demand
that can be removed from the system within a specified time). Other potential services
range from transmission market reactive supply and voltage control, which uses generating
facilities to maintain a proper transmission line voltage, to distribution level local area
JITENDRA SINGH BHADORIYA-SCHOOL OF INSTRUMENTATION,DEVI AHILYA UNIVERSITY
INDORE(M.P.) INDIA
54
security, which provides back up power to end users in the case of a system fault. The
characteristics that may influence the adoption of DG technologies for ancillary service
applications will vary according to the service performed and the ultimate shape of the
ancillary service market. Ancillary service DG applications in the India.
Distributed power technologies are typically installed for one or more of the following
purposes:
(i) Overall load reduction – Use of energy efficiency and other energy saving measures
for reducing total consumption of electricity, sometimes with supplemental power
generation.
(ii) Independence from the grid – Power is generated locally to meet all local energy
needs by ensuring reliable and quality power under two different models.
a. Grid Connected – Grid power is used only as a back up during failure of
maintenance of the onsite generator.
b. Off grid – This is in the nature of stand-alone power generation. In order to attain
self-sufficiency it usually includes energy saving approaches and an energy storage
device for back-up power. This includes most village power applications in
developing countries.
(iii) Supplemental Power- Under this model, power generated by the grid is augmented
with distributed generation for the following reasons: -
a. Standby Power- Under this arrangement power availability is assured during grid
outages.
b. Peak shaving – Under this model the power that is locally generated is used for
reducing the demand for grid electricity during the peak periods to avoid the peak
demand charges imposed on big electricity users.
(iv) Net energy sales – Individual homeowners and entrepreneurs can generate more
electricity than they need and sell their surplus to the grid. Co-generation could fall into this
category.
JITENDRA SINGH BHADORIYA-SCHOOL OF INSTRUMENTATION,DEVI AHILYA UNIVERSITY
INDORE(M.P.) INDIA
55
(v) Combined heat and power - Under this model waste heat from a power generator is
captured and used in manufacturing process for space heating, water heating etc. in order to
enhance the efficiency of fuel utilization.
(vi) Grid support – Power companies resort to distributed generation for a wide variety of
reasons. The emphasis is on meeting higher peak loads without having to invest in
infrastructure (line and sub-station upgrades).
3.4 The Benefits of Distributed Power.
DG is a competitive power generation in the future electricity market. Application of DG
brings the following advantages to electric power system operation .
1) DG is a useful addition for a large power grid: as the implementation of networking,
the emergence of AC/ DC hybrid transmission system and electricity market reforms, the
loss of accident caused by major power system blackouts has a great relationship with a
reasonable and feasible "Black Start" program. In DG the hydro and gas turbine with easy
start and fast recovery characteristics, can be used as black start power supply.
2) DG can be used for military and humanitarian tasks:
electrical safety is an important component of national security. Large power grids are
vulnerable to the destruction of war or terrorism or catastrophe, it will seriously endanger
national security. Such as the Kosovo War and the Gulf war. after "911 event", many
experts proposed developing DG is an effective means to solve these electrical safety
issues, such as from the support of Isolated small villages to the support of entire large
operational plan can take advantage of DG.
3) DG can make up the deficiency of large power grids stability: When electric power
system is failure, it can provide emergency power support, making use of local DG
technology which can launch to gradual recovery important load of local power grid in a
short time, then it will ensure electricity supply of important users, but also will prevent
system accident to expand. It not only increases power grid flexibility, and improves power
quality, increases reliability.
4) Need not build power transformer and distribution
station: With the development of social, Load fluctuations is increasing, for short-term
peak load, the investment of building power plants is large and economically inefficient,
but a great deal of nearby supply power reduces transmission and distribution investment,
JITENDRA SINGH BHADORIYA-SCHOOL OF INSTRUMENTATION,DEVI AHILYA UNIVERSITY
INDORE(M.P.) INDIA
56
and line losses is small. Reduction of transmission and distribution lines can reduce outlet
corridor, reduce electromagnetic pollution of high voltage transmission lines.
5) High efficiency and environmental protection: DG's environmental protection
performance is excellent, it has high energy efficiency up to 65% to 95%. DG also makes
study of using clean energy and renewable energy to generate
electricity possible. Fuel cells, solar photovoltaic, Solar thermal collectors power, wind
power will be effectively applied.
6) can break the power monopoly: In recent years, China has continuously carried the
electricity market reform, the intent is to introduce competition, lower costs of power
production and supply, optimize resource allocation. DG can contribute to the realization of
these purposes. Because DG investment is small, construction time of installation is
short,so it is conducive to investment of independent power producers, which can realize
the power industry market
7) can promote the sustainable development of China's economy:
In order to support sustainable development of China's economic growth, China need to
increase power capacity, expand power production. If using the traditional
power generation mode, it will pose a great threat to energy supply in China. Another
constraint can not be ignored is serious environmental pollution caused by the large
number of fossil energy consumption and large amounts of greenhouse gas emissions.
Active using renewable energy and developing DG can ensure sustainable economic
development.
8) can achieve load power demand in remote areas:
Remote area load is too far away from the existing power system, it is too much investment
to built transmission and distribution systems; and because of natural conditions are too
harsh, from the existing power system to user's transmission line is fully impossible to set
up or after the completion it will often fail. Using DG mode such as small hydropower,
wind power, solar photovoltaic and biomass power generation is an
effective method to solve users electricity in remote areas .
Energy consumers, power providers and all other state holders are benefited in their own
ways by the adoption of distributed power. The most important benefit of distributed power
stems from its flexibility, it can provide power where it is needed and when it is needed.
The major benefits of distributed power to the various stakeholders are as follows:
JITENDRA SINGH BHADORIYA-SCHOOL OF INSTRUMENTATION,DEVI AHILYA UNIVERSITY
INDORE(M.P.) INDIA
57
3.4.1 Major Potential Benefits of Distributed Generation
Consumer-Side Benefits: Better power reliability and quality, lower energy cost, wider
choice in energy supply options, better energy and load management and faster response to
new power demands are among the major potential benefits that can accrue to the
consumers.
Grid –Side Benefits: The grid benefits by way of reduced transmission and distribution
losses, reduction in upstream congestion on transmission lines, optimal use of existing grid
assets, higher energy conversion efficiency than in central generation and improved grid
reliability. Capacity additions and reductions can be made in small increments closely
matching the demands instead of constructing Central Power Plants which are sized to meet
a estimated future rather than current demand under distributed generation.
Energy Shortage –States likes California and New York that experienced energy
shortages decided to encourage businesses and homeowners to install their own generating
capacity and take less power from the grid. The California Public Utilities Commission for
instance approved a programme of 125 US million $ incentives programme to encourage
businesses and homeowners to install their own generating capacity and take less power
from the grid. In the long run the factors enumerated below would play a significant part in
the development of distributed generation.
Digital Economy –Though the power industry in the USA met more than 99% of the
power requirements of the computer based industries, these industries found that even a
momentary fluctuation in power supply can cause computer crashes. The industries, which
used computer, based manufacturing processes shifted to their own back-up systems for
power generation.
Continued Deregulation of Electricity Markets – The progressive deregulation of the
electricity markets in the USA led to violent price fluctuations because the power
generators, who were not allowed to enter into long-term wholesale contracts, had to pass
on whatever loss they suffered only on the spot markets. In a situation like that in
California where prices can fluctuate by the hour, flexibility to switch onto and off the grid
JITENDRA SINGH BHADORIYA-SCHOOL OF INSTRUMENTATION,DEVI AHILYA UNIVERSITY
INDORE(M.P.) INDIA
58
alone gives the buyer the strength to negotiate with the power supplier on a strong footing.
Distributed generation in fact is regarded as the best means of ensuring competition in the
power sector.
Both in the USA and UK the process of de-regulation did not make smooth progress on
account of the difficulties created by the regulated structure of the power market and a
monopoly enjoyed the dominant utilities. In fact, the current situation in the United States
in the power sector is compared to the situation that arose in the Telecom Sector on account
of the breakup of AT&T Corporation’s monopoly 20 years ago. In other words distributed
generation is a revolution that is caused by profound regulatory change as well as profound
technical change.
3.5 The main characteristics of distributed generation
As seen in the chapter-1, distributed generation is The main drivers behind the revival of
distributed generation has been historically used in several ways to complement centralized
generation. The reason behind the recent revival of distributed generation is two-fold:
The liberalization of the electricity markets and concerns over greenhouse gas emissions.
The electricity and gas deregulation process started in Europe following the application of
two directives aimed at providing a free flow of gas and electricity across the continent.
These directives and the subsequent legislation created a new framework making it possible
for distributed generators to increase their share in the total electricity generation mix.
The effect of deregulation is two-fold (IEA, 2002):
• Thanks to the reduction of barriers to entry and clearer prices signals, distributed
generators were able to move in niche markets and exploit failures of centralized
generation. These new applications took the form of standby capacity generators,
peaking generators (i.e. producing electricity only in case of high price and
consumption periods), generators improving reliability and power capacities,
generators providing a cheaper alternative to network use or expansion, provision
of grid support (i.e. provision of ancillary services permitting better and safer
operation of the network and/or shortening the recovery time)
• As distributed generators tend to be of smaller size and quicker to build, they have
been able to benefit from price premiums. Geographical and operational flexibility
made it possible to set up distributed generators in Congested areas or use it only
during consumption peaks. Besides, for small excess demand, it is often
JITENDRA SINGH BHADORIYA-SCHOOL OF INSTRUMENTATION,DEVI AHILYA UNIVERSITY
INDORE(M.P.) INDIA
59
uneconomical to build an additional centralized generation plant whereas with
lower CAPEX and capacities, distributed generation might come in handy (IEA,
2002).
The second driver behind the rebirth of distributed generation is to be related to
environmental constraints. Environmental and economic constraints led to look for cleaner
and more efficient use of energy.
Distributed generation has been able to achieve this target.
The current model for electricity generation and distribution in the United States is
dominated by centralized power plants. The power at these plants is typically combustion
(coal, oil, and natural) or nuclear generated. Centralized power models, like this, require
distribution from the center to outlying consumers. Current substations can be anywhere
from 10s to 100s of miles away from the actual users of the power generated. This requires
transmission across the distance.
This system of centralized power plants has many disadvantages. In addition to the
transmission distance issues, these systems contribute to greenhouse gas emission, the
production of nuclear waste, inefficiencies and power loss over the lengthy transmission
lines, environmental distribution where the power lines are constructed, and security related
issues.
Many of these issues can be mediated through distributed energies. By locating, the source
near or at the end-user location the transmission line issues are rendered obsolete.
Distributed generation (DG) is often produced by small modular energy conversion units
like solar panels. As has been demonstrated by solar panel use in the United States, these
units can be stand-alone or integrated into the existing energy grid. Frequently, consumers
who have installed solar panels will contribute more to the grid than they take out resulting
in a win-win situation for both the power grid and the end-user.
JITENDRA SINGH BHADORIYA-SCHOOL OF INSTRUMENTATION,DEVI AHILYA UNIVERSITY
INDORE(M.P.) INDIA
60
Summary
Introduction of Distributed Generation is given along-with the definition of DG according
to different research organizations. Different DG technologies are presented depending on
the situation, and duration of services. All types of DG are considered for the insertion in
grid like micro-turbine (MT), PV, wind-turbine etc. Several advantages & application of
distributed power are introduced over the convention electricity paradigm such as green
power, continuous power , net reduction in overall load etc., also major potential benefits
of DG described taking considering to digital economy, grid-consumer side benefits and
energy shortage. In the last characteristics of DG have discussed converting centralized
electricity paradigm in to continuous deregulation of electricity system.
JITENDRA SINGH BHADORIYA-SCHOOL OF INSTRUMENTATION,DEVI AHILYA UNIVERSITY
INDORE(M.P.) INDIA
61
Chapter-4
Particle Swarm Optimization (PSO)
Background of Artificially Intelligence
PSO as A Optimization Tool
Algorithm of PSO
Superiority of PSO
Summary
JITENDRA SINGH BHADORIYA-SCHOOL OF INSTRUMENTATION,DEVI AHILYA UNIVERSITY
INDORE(M.P.) INDIA
62
4.1 Background of Artificially Intelligence
The term artificial intelligence denotes behavior of a machine which, if a human behaves in
the same way, is considered intelligent.
The term "Artificial Intelligence" (AI) is used to describe research into human-made systems
that possess some of the essential properties of life. AI includes two-folded research topic.
•AI studies how computational techniques can help when studying biological phenomena
• AI studies how biological techniques can help out with computational problems.
Christopher Langton (1988) has defined artificial life as “the study of man-made systems that
exhibit behaviors characteristic of natural living systems.” In the same paper, he states, “Life
is a property of form, not matter . . .” If we accept Langton’s premise, then we would have to
admit that the similarity between an artificial-life program and life itself may be somewhat
stronger than the usual kind of analogy. We will avoid declaring that computer programs live
that it is unsettlingly difficult sometimes to draw the line between a phenomenon and a
simulation of that phenomenon.
A fact that computers actually cannot differentiate between representations of numbers and
representations of symbols and therefore have the capability to do symbol processing as
easily as they do number processing. In its most common form, this type of system is called
an expert system (ES). The ES originated in laboratories conducting research into ways in
which digital machines might be made to mimic intelligent human behavior. The nature of
the research involved caused the term artificial intelligence (AI) to be applied to it and to all
of the technology developed from it. In spite of the wide use of the resultant technology, it is
not always clear what the specific meaning of the term is, or how problems can be identified
as candidates for application of the methodology.
A new class of computer systems has emerged which makes extensive use of the fact that
computers operate equally well in processing either numbers or symbols. The best known of
the systems which exploit this capability are the expert systems coming into wide use in
industry. The research from which these systems are derived is called artificial Intelligence.
In spite of the popularity of systems based on this technology, there is still confusion about
the meaning of the terms, and how the technology can be effectively used.
JITENDRA SINGH BHADORIYA-SCHOOL OF INSTRUMENTATION,DEVI AHILYA UNIVERSITY
INDORE(M.P.) INDIA
63
The various methodologies in use and their respective strengths are existing. Important
factors to be considered in selecting a problem are mentioned, followed by a discussion of the
hardware and software tools available. The inclusion of tools includes an evaluation of the
kinds of systems for which they seem to be best suited.
It is intended that the potential user of AI get sufficient information from this review not only
to identify the utility of the AI approach to his specific problems, but also to be able to define
reasonable limits for his expectations. It must be emphasized at the beginning that the tools of
AI provide a means by which human expertise may be captured in a machine, thus allowing it
to solve problems previously solved only by the human. They do not allow solutions of
problems which have never been solved before, or for which the solution procedures are not
implied by successful human behavior. This is the foundation for the proposed definition of
artificial intelligence.
AI technology does provide a set of tools which allow some aspects of human behavior to be
easily transferred to a machine, and the techniques used encourage a new kind of thought
about the nature of such behaviors, because they focus attention on the type of knowledge
involved, as well as a plausible representation of it. They provide a framework for
implementation of a known, but inexact, method of solving a problem. They do not provide
the solution itself. The capability provided therefore resembles most closely a new form of
calculus, which may or may not be applicable to the problem at hand. It is still necessary for
the user to choose a specific technique, based on his understanding of the behavior involved
and the structure of the problem. The user must supply all the information, knowledge
structures, and operations needed. It is therefore better to refer to the new type of endeavor as
knowledge engineering, and the systems created as knowledge-based systems. The resulting
system will always be limited to the subset of human knowledge embedded in it.
The focus of this research work is on the second topic. Actually, there are already lots of
computational techniques inspired by biological systems. For example, artificial neural
network is a simplified model of human brain; genetic algorithm is inspired by the human
evolution. Here we discuss another type of biological system - social system, more
specifically, the collective behaviors of simple individuals interacting with their environment
and each other. Someone called it as swarm intelligence. All of the simulations utilized local
processes, such as those modeled by cellular automata, and might underlie the unpredictable
group dynamics of social behavior. Some popular examples are bees and birds. Both of the
simulations were created to interpret the movement of organisms in a bird flock or fish
JITENDRA SINGH BHADORIYA-SCHOOL OF INSTRUMENTATION,DEVI AHILYA UNIVERSITY
INDORE(M.P.) INDIA
64
school. These simulations are normally used in computer animation or computer aided
design. There are two popular swarm inspired methods in computational intelligence areas:
Ant colony optimization (ACO) and particle swarm optimization (PSO). ACO was inspired
by the behaviors of ants and has many successful applications in discrete optimization
problems. Particle swarm optimization has been used for approaches that can be used across a
wide range of applications, as well as for specific applications focused on a specific
requirement.
The particle swarm concept originated as a simulation of simplified social system. The
original intent was to graphically simulate the choreography of bird of a bird block or fish
school. However, it was found that particle swarm model could be used as an optimizer.
4.2 PSO as a Optimization Tool
Particle swarm optimization (PSO) is an evolutionary computation technique developed by
Kennedy and Eberhart in 1995 (Kennedy and Eberhart 1995; Eberhart and Kennedy, 1995;
Eberhart, Simpson, and Dobbins 1996).
Particle Swarm Optimization (PSO) is a computational intelligence method for solving global
optimization problems. It was originally proposed by J. Kennedy as an emulation of the
behavior of birds’ swarms and fish school while searching for food. It was introduced as an
optimization method.
Through cooperation and competition among the population, population-based optimization
approaches often can find very good solutions efficiently and effectively. Most of the
population based search approaches are motivated by evolution as seen in nature. Four well-
known examples are genetic algorithms, evolutionary programming, evolutionary strategies
and genetic programming. Particle swarm optimization (PSO), on the other hand, is
motivated from the simulation of social behavior. Nevertheless, they all work in the same
way that is, updating the population of individuals by applying some kinds of operators
according to the fitness information obtained from the environment so that the individuals of
the population can be expected to move towards better solution areas.
Particle swarm optimization has roots in two main component methodologies. Perhaps more
obvious are its ties to artificial life (A-life) in general, and to bird flocking, fish schooling,
and swarming theory in particular. It is also related, however, to evolutionary
JITENDRA SINGH BHADORIYA-SCHOOL OF INSTRUMENTATION,DEVI AHILYA UNIVERSITY
INDORE(M.P.) INDIA
65
Computation, and has ties to both genetic algorithms and evolution strategies. Particle swarm
optimization comprises a very simple concept, and paradigms are implemented in a few lines
of computer code. It requires only primitive mathematical operators, and is computationally
inexpensive in terms of both memory requirements and speed. Early testing has found the
implementation to be effective with several kinds of problems.
Many areas in power systems require solving one or more nonlinear optimization problems.
While analytical methods might suffer from slow convergence and the curse of
dimensionality, heuristics-based swarm intelligence can be an efficient alternative. Particle
swarm optimization (PSO), part of the swarm intelligence family, is known to effectively
solve large-scale nonlinear optimization problems.
PSO is based on two fundamental disciplines: social science and computer science. In
addition, PSO uses the swarm intelligence concept, which is the property of a system,
whereby the collective behaviors of unsophisticated agents that are interacting locally with
their environment create coherent global functional patterns. Therefore, the cornerstones of
PSO can be described as follows.
1) Social Concepts: It is known that “human intelligence results from social interaction.”
Evaluation, comparison, and imitation of others, as well as learning from experience allow
humans to adapt to the environment and determine optimal patterns of behavior, attitudes,
and suchlike. In addition, a second fundamental social concept indicates that “culture and
cognition are inseparable consequences of human sociality.”
Culture is generated when individuals become more similar due to mutual social learning.
The sweep of culture allows individuals to move towards more adaptive patterns of behavior.
JITENDRA SINGH BHADORIYA-SCHOOL OF INSTRUMENTATION,DEVI AHILYA UNIVERSITY
INDORE(M.P.) INDIA
66
2) Swarm Intelligence Principles: Swarm Intelligence can be described by considering five
fundamental principles.
1) Proximity Principle: the population should be able to carry out simple space and time
computations.
2) Quality Principle: the population should be able to respond to quality factors in the
environment.
3) Diverse Response Principle: the population should not commit its activity along
excessively narrow channels.
4) Stability Principle: the population should not change its mode of behavior every time the
environment changes.
5) Adaptability Principle: the population should be able to change its behavior mode when it
is worth the computational price.
In PSO, the term “particles” refers to population members which are mass-less and volume-
less (or with an arbitrarily small mass or volume) and are subject to velocities and
accelerations towards a better mode of behavior.
3) Computational Characteristics: Swarm intelligence provides a useful paradigm for
implementing adaptive systems. It is an extension of evolutionary computation and includes
the softening parameterization of logical operators like AND, OR, and NOT. In particular,
PSO is an extension, and a potentially important incarnation of cellular automata (CA). The
particle swarm can be conceptualized as cells in CA, whose states change in many
dimensions simultaneously. Both PSO and CA share the following computational attributes.
1) Individual particles (cells) are updated in parallel.
2) Each new value depends only on the previous value of the particle (cell) and its neighbors.
3) All updates are performed according to the same rules.
JITENDRA SINGH BHADORIYA-SCHOOL OF INSTRUMENTATION,DEVI AHILYA UNIVERSITY
INDORE(M.P.) INDIA
67
Other algorithms also exist that are based on swarm intelligence. The ant colony optimization
(ACO) algorithm was introduced by Dorigo in 1992.It is a probabilistic technique for solving
computational problems, which can be reduced to finding good paths through graphs. It is
inspired by the behavior of ants in finding paths from the colony to the food. In the real
world, ants initially wander randomly, and upon finding food, they return to their colony
while laying down pheromone trails. If other ants find such a path, they are likely not to keep
traveling at random, but rather follow the trail, returning and reinforcing it if they eventually
find food. However, the pheromone trail starts to evaporate over time, therefore reducing its
attractive strength. The more time it takes for an ant to travel down the path and back again,
the longer it takes for the pheromones to evaporate. A short path, by comparison, gets
marched over faster, and thus the pheromone density remains high as it is laid on the path as
fast as it can evaporate. Pheromone evaporation also has the advantage of avoiding the
convergence to a locally optimal solution. If there were no evaporation at all, the paths
chosen by the first ants would tend to be excessively attractive to the following ones. In that
case, the exploration of the solution space would be constrained. Thus, when one ant finds a
short path from the colony to a food source (i.e., a good solution), other ants are more likely
to follow that path, and positive feedback eventually leaves all the ants following a single
path. The idea of the ant colony algorithm is to mimic this behavior with “simulated ants”
walking around the graph representing the problem to solve. ACO algorithms have an
advantage over simulated annealing (SA) and GA approaches when the graph may change
dynamically, since the ant colony algorithm can be run continuously and adapt to changes in
real time. In addition to the above techniques, efforts have been made in the past few years to
develop new models for swarm intelligence systems, such as a honey bee colony and bacteria
foraging. The honey bee colony is considered as an intelligent system that is composed of a
large number of simplified units (particles). Working together, the particles give the system
some intelligent behavior. Recently, research has been conducted on using the honey bee
model to solve optimization problems. This can be viewed as modeling the bee foraging, in
which the amount of honey has to be maximized within a minimal time and smaller number
of scouts.
Bacteria foraging emulates the social foraging behavior of bacteria by models that are based
on the foraging principles theory. In this case, foraging is considered as an optimization
process in which a bacterium (particle) seeks to maximize the collected energy per unit
foraging time. Bacteria foraging provides a link between the evolutionary computation in a
JITENDRA SINGH BHADORIYA-SCHOOL OF INSTRUMENTATION,DEVI AHILYA UNIVERSITY
INDORE(M.P.) INDIA
68
social foraging environment and the distributed non gradient optimization algorithms that
could be useful for global optimization over noisy conditions. This algorithm has been
recently applied to power systems as well as adaptive control applications.
4.3 Algorithm of PSO
The language used to discuss the PSO follows from the analogy of particles in a swarm,
much like the analogy presented above. Table I shows some of the key terminology.
Table 4.1 SOME KEY TERMS USED TO DESCRIBE PSO
Particle/Agent One Single Individual in the Swarm
Location/Position An Agent’s N-dimension coordinates which represents a
Solution to the problem
Swarm The entire collection of agents
Fitness A single number representing the goodness of a given solution
(represented by a Location in search space)
Pbest The Location in Parameter Space of the best fitness returned
for a specified agent
gbest The Location in Parameter Space of the best fitness returned
for the Specified agent
VMAX
The maximum allowed velocity in a given direction
1) Particle or Agent: Each individual in the swarm (bees in the analogy above) is
referred to as a particle or agent. All the particles in the swarm act individually under
the same governing principle: accelerate toward the best personal and best overall
location while constantly checking the value of its current location.
JITENDRA SINGH BHADORIYA-SCHOOL OF INSTRUMENTATION,DEVI AHILYA UNIVERSITY
INDORE(M.P.) INDIA
69
2) Position/Location :In the analogy above position referred to a bee’s place in the field.
This is represented by coordinates on the x-y plane. In general, however, we can
extend this idea into any N-dimensional space according the problem at hand. This -
dimensional space is the solution space for the problem being optimized, where any
set of coordinates represents a solution to the problem. In the analogy above the
solution is a physical location on the x-y plane, but this could just as easily represent
amplitude and phase of element excitation in a phased array. In general these can be
any values needed to be optimized. Reducing the optimization problem to a set of
values that could represent a position in solution space is an essential step in utilizing
the PSO.
3) Fitness: As in all evolutionary computation techniques there must be some function
or method to evaluate the goodness of a position. The fitness function must take the
position in the solution space and return a single number representing the value of that
position. In the analogy above the fitness function would simply be the density of
flowers: the higher the density, the better the location. In general this could be antenna
gain, weight, peak cross-polarization, or some kind of weighted sum of all these
factors. The fitness function provides the interface between the physical problem and
the optimization algorithm.
4) pbest: In the analogy above each bee remembers the location where it personally
encountered the most flowers. This location with the highest fitness value personally
discovered by a bee is known as the personal best or pbest. Each bee has its own pbest
determined by the path that it has flown. At each point along its path the bee
compares the fitness value of its current location to that of pbest. If the current
location has a higher fitness value, pbest is replaced with its current location.
5) gbest: Each bee also had some way of knowing the highest concentration of flowers
discovered by the entire swarm. This location of highest fitness encountered is known
as the global best or gbest. For the entire swarm there is one gbest to which each bee
is attracted. At each point along their path every bee compares the fitness of their
JITENDRA SINGH BHADORIYA-SCHOOL OF INSTRUMENTATION,DEVI AHILYA UNIVERSITY
INDORE(M.P.) INDIA
70
current location to that of gbest. If any bee is at a location of higher fitness, gbest is
replaced by that bee’s current position.
JITENDRA SINGH BHADORIYA-SCHOOL OF INSTRUMENTATION,DEVI AHILYA UNIVERSITY
INDORE(M.P.) INDIA
71
SK
: current searching point,
SK+1
: modified searching point,
VK
: current velocity,
VK+1
: modified velocity,
Vpbest: velocity based on pbest,
Vgbest : velocity based on gbest
Figure4.1 Concept of a searching point by PSO
JITENDRA SINGH BHADORIYA-SCHOOL OF INSTRUMENTATION,DEVI AHILYA UNIVERSITY
INDORE(M.P.) INDIA
72
Figure 4.2 Searching concepts with agents in a solution space by PSO
Fig. 4.1 shows a concept of modification of a searching point by PSO and Fig.4.2 shows a
searching concept with agents in a two dimensional solution space. This concept can be then
extended to an N-dimensional solution space. PSO in its simplest form has been applied in
many fields concerning optimization, and many research studies have attempted to improve
the simple PSO performance by improving its variants., adaptive control strategies were
developed for the inertia weight and acceleration coefficients for faster convergence speed. In
a comprehensive learning particle swarm optimizer which applied a learning strategy using
all other particles’ historical best information, was used to update a particle’s velocity. The
showed an improved performance compared to many other PSO variants.small
neighborhoods were used to enable the particles to have more diverse exemplars to learn
from to achieve better results on multi-modal problems. The velocity update rule used in
considered all the neighbors of a particle to update its velocity instead of just the best one. In
general, all the improvements to PSO aimed to achieve faster convergence speed while
solving the problem of premature convergence especially in a multi-peak, high-dimensional
function.
JITENDRA SINGH BHADORIYA-SCHOOL OF INSTRUMENTATION,DEVI AHILYA UNIVERSITY
INDORE(M.P.) INDIA
73
DEVELOPMENT OF THE PSO ALGORITHM
Understanding the conceptual basis of the PSO, the task then becomes to develop the
algorithmic tools needed to implement the optimization. The algorithm, described
below, is shown pictorially in Fig. 4.1.
1) Define the Solution Space: The first step toward implementation of the PSO is to pick the
parameters that need to be optimized and give them a reasonable range in which to search for
the optimal solution. This requires specification of a minimum and maximum value for each
dimension in an N-dimensional optimization. This is referred to as Xmin and Xmax
respectively, where ranges from 1 to N.
2) Define a Fitness Function: This important step provides the link between the optimization
algorithm and the physical world. It is critical that a good function be chosen that accurately
represents, in a single number, the goodness of the solution. The fitness function should
exhibit a functional dependence that is relative to the importance of each characteristic being
optimized. The fitness function and the solution space must be specifically developed for
each optimization; the rest of the implementation, however, is independent of the physical
system being optimized.
3) Initialize Random Swarm Location and Velocities: To begin searching for the optimal
position in the solution space, each particle begins at its own random location with a velocity
that is random both in its direction and magnitude. Since its initial position is the only
location encountered by each particle at the run’s start, this position becomes each particle’s
respective pbest. The first gbest is then selected from among these initial positions.
4) Systematically Fly the Particles through the Solution Space: Each particle must then be
moved through the solution space as if it were a bee in a swarm. The algorithm acts on each
particle one by one, moving it by a small amount and cycling through the entire swarm. The
following steps are enacted on each particle individually Fig. 3.
JITENDRA SINGH BHADORIYA-SCHOOL OF INSTRUMENTATION,DEVI AHILYA UNIVERSITY
INDORE(M.P.) INDIA
74
Figure 4.3 Flow Chart Of PSO
a) Evaluate the Particle’s Fitness, Compare to gbest, pbest:The fitness function, using the
coordinates of the particle in solution space, returns a fitness value to be assigned to the
current location. If that value is greater than the value at the respective pbest for that particle,
or the global gbest, then the appropriate locations are replaced with the current location.
JITENDRA SINGH BHADORIYA-SCHOOL OF INSTRUMENTATION,DEVI AHILYA UNIVERSITY
INDORE(M.P.) INDIA
75
b) Update the Particle’s Velocity: The manipulation of a particle’s velocity is the core
element of the entire optimization. Careful understanding of the equation used to determine
the velocity is the key to understanding the optimization as a whole. The velocity of the
particle is changed according to the relative locations of pbest and gbest. It is accelerated in
the directions of these locations of greatest fitness according to the following equation:
= w* +C1*r1*(PBEST- ) + C2*r2*(PBEST- )………4.1
JITENDRA SINGH BHADORIYA-SCHOOL OF INSTRUMENTATION,DEVI AHILYA UNIVERSITY
INDORE(M.P.) INDIA
76
This calculation is done for each of the dimensions in an -dimensional optimization. Apparent
from this equation, the new velocity is simply the old velocity scaled by and increased in the
direction of g
best
and p
best
for that particular dimension. and are scaling factors that
determine the relative “pull” of g
best
and g
best
. These are sometimes referred to as the
cognitive and social rates, respectively. is a factor determining how much the particle is
influenced by the memory of his best location, and is a factor determining how much the
particle is influenced by the rest of the swarm. Increasing encourages exploration of the
solution space as each particle moves toward its own pbest; increasing encourages
exploitation of the supposed global maximum. The random number function rand() returns a
number between 0.0 and 1.0. It is generally the case that the two appearances of the rand()
function in (1) represent two separate calls to the function. Most implementations use two
independent random numbers to stochastically vary the relative pull of gbest and pbest. This
introduction of a random element into the optimization is intended to simulate the slight
unpredictable component of natural swarm behavior. is known as the “inertial weight,” and
this number (chosen to be between 0.0 and 1.0) determines to what extent the particle
remains along its original course unaffected by the pull of gbest and pbest. This too is a way
to balance the exploration and exploitation. motion of the particle can be traced based on (1).
The particles furthest from gbest or pbest feel the greatest “pull” from the respective
locations, and therefore move toward them more rapidly than a particle that is closer. The
particle continues to gain speed in the direction of the locations of greatest fitness until they
pass over them. At that point they begin to be pulled back in the opposite direction. It is this
“overflying” of the local and global maxima that many believe is one secret to the PSOs
success.
c) Move the Particle: Once the velocity has been determined it is simple to move the
particle to its next location. The velocity is applied for a given time-step usually
chosen to be one and new coordinate is computed for each of the dimensions
according the following equation:
= + ………………………………..4.2
JITENDRA SINGH BHADORIYA-SCHOOL OF INSTRUMENTATION,DEVI AHILYA UNIVERSITY
INDORE(M.P.) INDIA
77
The particle is then moved to the location calculated by (2). The composite nature of this
algorithm composed of several independent agents makes it especially conducive to
implementation on parallel processors.
6) Repeat: After this process is carried out for each particle in the swarm, the process is
repeated starting at Step 4). In this way the particles move for discrete time intervals
before being evaluated. It is as though a snapshot is taken of the entire swarm every
second. At that time the positions of all the particles are evaluated, and corrections are
made to the positions of pbest, and gbest before letting the particles fly around for
another second. Repetition of this cycle is continued until the termination criteria are
met.
In this thesis work PSO is implemented in to IEEE-38 bus system to find out the optimal
place and sizing of DG including different load models .
Table 4.2 Solution Procedure
Step 1 Input basic data of 38-bus distribution system
Step 2 Calculate the original losses , load ability and impact indices
Step 3 Initialize a particle population
Step 4 Calculate the objective value (IMO)
Step 5 Record real power loss , loadability and impact indices data to PBEST
&
GBEST
Step 6 Update velocity and position of particle according to equation 4.1& 4.2
Step 7 Check the stop criterion
Step 8 After DG is set calculate real power loss ,loadability and impact indices
again
Step 9 Select the compromised solution by busing particle swarm optimization
JITENDRA SINGH BHADORIYA-SCHOOL OF INSTRUMENTATION,DEVI AHILYA UNIVERSITY
INDORE(M.P.) INDIA
78
NO
Yes
Figure 4.2 Solution procedure Algorithm
Start
Input Basic Data (IEEE 38-BUS
Distribution Test System)
Calculate the Original Loss and Load- ability
& different Impact Indices
Initialize a Particle Population
Calculate the Objective Value (IMO)
Record Pbest , Gbest
Update Velocity, Particle
Check the Stop
Criterion
Select Compromised Solution by PSO
Print Out Location and Size of DG
Calculate the Loss and load-ability
END
JITENDRA SINGH BHADORIYA-SCHOOL OF INSTRUMENTATION,DEVI AHILYA UNIVERSITY
INDORE(M.P.) INDIA
79
4.4 Superiority of PSO
The electric power grid is the largest man-made machine in the world. It consists of
synchronous generators, transformers, transmission lines, switches and relays, active/reactive
compensators, and controllers. Various control objectives, operation actions, and/or design
decisions in such a system require an optimization problem to be solved. For such a nonlinear
non stationary system with possible noise and uncertainties, as well as various
design/operational constraints, the solution to the optimization problem is by no means
trivial. Moreover, the following issues need attention:
1) The optimization technique selected must be appropriate and must suit the nature of the
problem.
2) All the various aspects of the problem have to be taken into account.
3) All the system constraints should be correctly addressed.
4) A comprehensive yet not too complicated objective function should be defined.
Many areas in power systems require solving on or more nonlinear optimization problems.
While analytical methods might suffer from slow convergence and the curse of
dimensionality, heuristics-based swarm intelligence can be an efficient alternative. Particle
swarm optimization (PSO), part of the swarm intelligence family, is known to effectively
solve large-scale nonlinear optimization problems.
Particle swarm optimization (PSO) is one of the modern heuristic algorithms, which can be
used to solve nonlinear and non-continuous optimization problems. It is a population-based
search algorithm and searches in parallel using a group of particles similar to other AI-based
heuristic optimization techniques. A PSO is considered as one of the most powerful methods
for resolving the non-smooth global optimization problems
and has many key advantages as follows:
PSO is a derivative-free technique just like as other heuristic optimization techniques.
PSO is easy in its concept and coding implementation compared to other heuristic.
optimization techniques.
PSO is less sensitivity to the nature of the objective function compared to the
conventional mathematical approaches and other heuristic methods.
PSO has limited number of parameters including only inertia weight factor and two
acceleration coefficients in comparison with other competing heuristic optimization
JITENDRA SINGH BHADORIYA-SCHOOL OF INSTRUMENTATION,DEVI AHILYA UNIVERSITY
INDORE(M.P.) INDIA
80
methods. Also, the impact of parameters to the solutions is considered to be less
sensitive compared to other heuristic algorithms.
PSO seems to be somewhat less dependent of a set of initial points compared to other
evolutionary methods, implying that convergence algorithm is robust.
PSO techniques can generate high-quality solutions within shorter calculation time
and stable convergence characteristics than other stochastic methods. PSO is a
population-based evolutionary technique that has many key advantages over other
optimization techniques like:
PSO has the flexibility to be integrated with other optimization techniques to form
hybrid tools.
PSO is less sensitive to the nature of the objective function i.e., convexity or
continuity.
PSO has less parameters to adjust unlike many other competing evolutionary
techniques.
PSO has the ability to escape local minima.
PSO is easy to implement and program with basic mathematical and logic operations.
PSO can handle objective functions with stochastic nature, like in the case of
representing one of the optimization variables as random.
PSO does not require a good initial solution to start its iteration process.
Electric power system optimization problems are fairly diverse and they can be categorized in
terms of the objective function characteristics and/or type of constraints. They are commonly
referred to as linear, nonlinear, integer, and mixed integer constrained optimization problems.
Traditionally, a derivative-based optimization technique is utilized to tackle a specific
problem based on its formulation which requires differentiability among many other things.
However, the PSO technique can be easily adapted to suit various categories of optimization
problems with minor modifications. This key attribute makes the PSO a general purpose
optimizer that solves a wide range of optimization problems. PSO applications in electric
power systems are similar to those in different research fields once a common formulation is
established. However, PSO parameter tuning might be different from one application to
another.
JITENDRA SINGH BHADORIYA-SCHOOL OF INSTRUMENTATION,DEVI AHILYA UNIVERSITY
INDORE(M.P.) INDIA
81
Summary
PSO is optimization technique emerged out from artificial intelligence background. It is
based on the intelligence swarm for searching the best solution from search space like bird
flocking and fish schooling. Fitness is computed by the comparison of particles or agents
in a group. Flow-chart of standard pso is given with describing some key terms of pso.
Implementation of objective problem(IMO) is merged with pso to formulate the solution
procedure hence new algorithm is presented .Steps of solution is given step by step , in last
advantages of pso is discussed over other evolutionary computation optimization
methodologies concerning electrical power system problems
JITENDRA SINGH BHADORIYA-SCHOOL OF INSTRUMENTATION,DEVI AHILYA UNIVERSITY
INDORE(M.P.) INDIA
82
Chapter 5
Simulation and results analysis
Load Modeling
Matlab/Psat Research tool
Modeling of IEEE-38 BUS Radial System
Result Analysis
JITENDRA SINGH BHADORIYA-SCHOOL OF INSTRUMENTATION,DEVI AHILYA UNIVERSITY
INDORE(M.P.) INDIA
83
5.1 Load Modelling
5.1.1 Physical vs. black box models
A model based on fundamental engineering knowledge about the physical phenomena that
affect the system is called physical model. A basic model based on elementary laws will
provide accurate results when simulating, but in case of a high complexity system, the high
difficulty in obtaining all the physical laws affecting the system and the specific parameters
will make it necessary to develop the model based on empirical laws. When a model is based
on the empirical relations between input and output signals, it is called a black box or
empirical model. Black-box models are thus applied when there is not enough knowledge to
create a physical model, or the functioning of the system is very complex, but there is
available data to establish a mathematical relation between the input and output
measurements of the system. A physical model, which will be described further in the thesis,
has been chosen for the realization of this work. The model complexity is able to describe the
load dynamics of interest.
5.1.2 Data for Load Modeling
The load class mix data describes which is the percentage of each of several load classes
such as industrial, residential, commercial, to the load consumption at a specific bus of the
system. The load composition data describes the percentage of each load component, such
as electric heating, air conditioner, induction motors to the active consumption of a particular
load class, and the load characteristic data is related to the physical characteristics of each
one of those load components. For line load data of 38 bus system we have used data from
the table 7.1.
JITENDRA SINGH BHADORIYA-SCHOOL OF INSTRUMENTATION,DEVI AHILYA UNIVERSITY
INDORE(M.P.) INDIA
84
Table 5.1 Load Data for 38-bus system
F T RP.U. XP.U. L SL P Q LT
1 2 0.000574 0.000293 1 4.6 0.1 0.06 R
2 3 0.00307 0.001564 6 4.1 0.09 0.04 I
3 4 0.002279 0.001161 11 2.9 0.12 0.08 C
4 5 0.002373 0.001209 12 2.9 0.06 0.03 R
5 6 0.0051 0.004402 13 2.9 0.06 0.02 I
6 7 0.001166 0.003853 22 1.5 0.2 0.1 C
7 8 0.00443 0.001464 23 1.05 0.2 0.1 C
8 9 0.006413 0.004608 25 1.05 0.06 0.02 I
9 10 0.006501 0.004608 27 1.05 0.06 0.02 C
10 11 0.001224 0.000405 28 1.05 0.045 0.03 C
11 12 0.002331 0.000771 29 1.05 0.06 0.035 R
12 13 0.009141 0.007192 31 0.5 0.06 0.035 C
13 14 0.003372 0.004439 32 0.45 0.12 0.08 R
14 15 0.00368 0.003275 33 0.3 0.06 0.01 C
15 16 0.004647 0.003394 34 0.25 0.06 0.02 I
16 17 0.008026 0.010716 35 0.25 0.06 0.02 C
17 18 0.004558 0.003574 36 0.1 0.09 0.04 I
2 19 0.001021 0.000974 2 0.5 0.09 0.04 R
JITENDRA SINGH BHADORIYA-SCHOOL OF INSTRUMENTATION,DEVI AHILYA UNIVERSITY
INDORE(M.P.) INDIA
85
19 20 0.009366 0.00844 3 0.5 0.09 0.04 C
20 21 0.00255 0.002979 4 0.21 0.09 0.04 I
21 22 0.004414 0.005836 5 0.11 0.09 0.04 R
3 23 0.002809 0.00192 7 1.05 0.9 0.05 C
23 24 0.005592 0.004415 8 1.05 0.42 0.2 C
24 25 0.005579 0.004366 9 0.5 0.42 0.2 C
6 26 0.001264 0.000644 14 1.5 0.06 0.025 C
26 27 0.00177 0.000901 15 1.5 0.06 0.025 I
27 28 0.006594 0.005814 16 1.5 0.06 0.02 C
28 29 0.005007 0.004362 17 1.5 0.12 0.07 C
29 30 0.00316 0.00161 18 1.5 0.2 0.6 C
30 31 0.006067 0.005996 19 0.5 0.15 0.07 R
31 32 0.001933 0.002253 20 0.5 0.21 0.1 R
32 33 0.002123 0.003301 21 0.1 0.06 0.04 C
8 34 0.012453 0.012453 24 0.5 0 0
9 35 0.012453 0.012453 26 0.5 0 0
12 36 0.012453 0.012453 30 0.5 0 0
18 37 0.003113 0.003113 37 0.5 0 0
25 38 0.003113 0.003113 10 0.1 0 0
JITENDRA SINGH BHADORIYA-SCHOOL OF INSTRUMENTATION,DEVI AHILYA UNIVERSITY
INDORE(M.P.) INDIA
86
5.1.2 Standard Load Models
As mentioned earlier in this chapter a model is a set of equations to describe the relationship
between the input and output of a system. In the case of load modeling this mathematical
representation is related to the measured voltage and/or frequency at a bus, and the power
consumed by the load, active and reactive. Due to the high diversity and distribution of power
system loads it has been difficult to model it, and several alternatives have been proposed
troughout the time for its representation, depending on its main purpose.
The main classification is in static and dynamic models. A static load model is not dependent
on time, and therefore it describes the relation of the active and reactive power at any time
with the voltage and/or frequency at the same instant of time. On the hand, a dynamic load
model expresses this relation at any instant of time, as a function of the voltage and/or
frequency at past instant of time, including normally the present moment. The static load
models have been used for a long time for both purposes, to represent static load components,
such as resistive and lighting loads, but also to approximate dynamic components. This
approximation may be sufficient in some of the cases, but the fact that the load representation
has critical effects in voltage stability studies is more and more replacing the traditional static
load models with dynamic ones.
5.1.3 Static Load Models
Common static load models for active and reactive power are expressed in a polynomial or an
exponential form.The static characteristics of the load can be classified into constant power,
constant current and constant impedance load, depending on the power relation to the
voltage. For a constant impedance load, the power dependence on voltage is quadratic, for a
constant current it is linear, and for a constant power the power it is independent of changes
in voltage. The
P=PO [a1 ( )2
+a2 ( )+a3 ]…………………...…5.1
Q=QO[a4 ( )2
+a5 ( )+a6 ]……………………..5.2
equations (5.1) and (5.2), is a polynomial model that represents the sum of these three
categories: Vo ,Po and Qo are the values at the initial conditions of the system for the study,
and the coefficients a1 to a6 are the parameters of the model.
JITENDRA SINGH BHADORIYA-SCHOOL OF INSTRUMENTATION,DEVI AHILYA UNIVERSITY
INDORE(M.P.) INDIA
87
Exponential Load Model
Equations (3.3) and (3.4) express the power dependence with the voltage, as an exponential
function.
P=PO ……………………………………………………………………..7.3
Q=QO ………………………………………………………………….7.4
The parameters of this model are np, nq, and the values of the active and reactive power of
Po and Qo, at the initial conditions. Common values for the exponents of the model [T ylor,
1994], [Le Dous, 1999], for different load components are included in
Table 5.2 : Common values for the exponent’s np and nq, for different load
components.
Load Component np(α) nq(β)
Air Conditioner 0.50 2.50
Resistance Space Heater 2.00 0.00
Fluorescent Lighting 1.00 3.00
Pump, fans other motors 0.08 1.60
Large industrial motors 0.05 0.50
Small industrial motors 0.10 0.60
For the special case, where np(α) or nq(β)are equal to 0, 1 and 2, the load model will
represent a constant power, constant current or constant impedance model respectively.
JITENDRA SINGH BHADORIYA-SCHOOL OF INSTRUMENTATION,DEVI AHILYA UNIVERSITY
INDORE(M.P.) INDIA
88
5.2 PSAT
PSAT is a comparatively newer software (developed in about 2004-2005) employing the
excellent matrix-oriented computation techniques of MATLAB. This toolbox (MATLAB) or
software-package is designed for electric power system analysis and control. The group of the
Mat-lab toolboxes used in the power system analysis includes a set of application functions,
which collect their inputs and provide their outputs in a form to be processed for proper
presentation to user.
Fig:5.1 General Configuration of the MATLAB Toolbox for Power System Analysis
Mat-lab toolbox for Power
System Simulation
ON-LINE
Network Editor
Applications
Continuous
Power Flow
Optimal
Power Flow
Analysis
Small-Signal
Stability
Analysis
Transient
Stability
Analysis
Data
Analysis
JITENDRA SINGH BHADORIYA-SCHOOL OF INSTRUMENTATION,DEVI AHILYA UNIVERSITY
INDORE(M.P.) INDIA
89
The features of several Matlab toolboxes used in power system analysis, such as Mat Power
Toolbox (MPT), Power System Analysis Toolbox (PSAT) and Voltage Stability Toolbox
(VST).
Table:5.3 Matlab Toolboxes for Power System Analysis
Toolbox PF CPF OPF SSA TDA
MPT
* *
PSAT
* * * * *
VST
* * * *
Power System Analysis Toolbox (PSAT) is a Mat-lab toolbox for electric power system
analysis and control. Besides basic power flow analysis, PSAT offers several other
static/dynamic analyses like CPF (Continuation Power Flow), OPF (Optimal Power Flow),
Small-signal stability analysis, Time-domain simulations etc. Only the power flow feature is
explored for the simulation purpose of this work. Newton-Raphson (NR) method, Fast
decoupled methods (both BX and XB), Runge-Kutta method, Simple robust method are the
available algorithmic options provided by PSAT to conduct power flow analysis. Both
JITENDRA SINGH BHADORIYA-SCHOOL OF INSTRUMENTATION,DEVI AHILYA UNIVERSITY
INDORE(M.P.) INDIA
90
theoretically and practically NR algorithm converges faster to the solutions than the others,
which is why we applied it to our system.
5.3 Modelling of IEEE-38 BUS Radial Distribution System
The proposed PSO-based algorithm was applied to the 38-bus test system to determine the
optimal size and location of DG units such that the multi-objective function (IMO) is
minimized. The system line data and load data are given in table 5.1 for this test system, three
DG units were optimally sized and placed. The proposed system was applied to different load
models. The size and location of each DG unit under different load models are given in Table
5.5. The multi-objective function optimally minimized under different load models is shown
in Fig5.5 to Fig5.9. After many trials it was found that, for this optimization problem and this
system, the best parameters to be used for PSO in all cases were a population size of 15 and a
maximum iteration number of 25. As shown in Figure 5.5 to Figure 5.9, the objective
function reached a near-global minimum and stayed there till the end of the iterations. The
minimum objective function was attained with a computation time of about All the
evaluations were carried out with self-developed codes in MATLAB.
The value of the MOF and the impact of optimal placement and sizing of DG units on the
active and reactive power losses of the system and the total MVA intake from the grid are
given in Table 5.
It is shown that the optimal placement of DG units in the system caused a reduction in both
power losses and MVA intake from the grid. The reduction in real power loss was in the
range 54–67%. The reduction in reactive power loss was in the range 58–67%. The
reduction in the total MVA intake was about 30%.
The effect of inserting DG units in the system on the voltage profile, line flow, and the short
circuit level is shown in Figs5.15, 5.16, 5.17 respectively. Fig. 5.16 and fig. 5.17 shows the
improvement in voltage profile under different load models. As shown in Fig. 5.5 to Fig 5.9
the voltage at all buses before inserting DG units in the system is higher than 0.95 pu, except
at buses 18 and 37, in the case of the constant load model. Due to the insertion of DG units,
the voltage profile significantly improved for all load models studied. As shown in Fig.5.5-
5.9 the voltage at bus 18 during the constant load was raised to 0.99 pu Fig. 5.10 to Fig. 5.14
shows the line loading of the system with and without DG. It is clear that for most of the lines
JITENDRA SINGH BHADORIYA-SCHOOL OF INSTRUMENTATION,DEVI AHILYA UNIVERSITY
INDORE(M.P.) INDIA
91
the loading decreased, while for some lines it remained the same or increased, but still within
line loading limits.
As a result of the placement of DG units in the system, the short circuit level at most of the
system buses was increased. Fig. 5.15 shows the difference between the short circuit level at
each bus of the system with and without DG as a percentage of the value of the short circuit
level before the placement of DG units in the system. As shown in Fig. 6, the maximum
increase is very low: a maximum difference of 3.92% occurred in the case of the industrial
load model and it happened at bus 37.
Running the continuation power flow using the PSAT for the system with and without DG
units and recording the P–V curve at the weakest buses of the system, bus 18 and bus 37,
showed a great improvement in the maximum loading and hence in the voltage stability
margin for both buses. Fig. 5.16,5.17 shows how the maximum loading and in consequence
the voltage stability margin at buses 18 and 37 in the case of the constant load model have
been improved by moving the breakdown point far to the right (higher loading parameter λ).
JITENDRA SINGH BHADORIYA-SCHOOL OF INSTRUMENTATION,DEVI AHILYA UNIVERSITY
INDORE(M.P.) INDIA
92
17 15 14 13
38 25 18 16 12
24 11
10
23 9
1 2 3 4 5 6 7 8
19 26
20 33 27 34
21 32 28
31 30
22 29
FIG 5.2 IEEE 38 BUS SYSTEMS
JITENDRA SINGH BHADORIYA-SCHOOL OF INSTRUMENTATION,DEVI AHILYA UNIVERSITY
INDORE(M.P.) INDIA
93
Line1
Line Bus_3
Bus_2Bus_1
Bus 9
Bus 8
Bus 7Bus 6
Bus 5
Bus 4
Bus 38
Bus 37
Bus 36
Bus 35
Bus 34
Bus 33
Bus 32
Bus 31
Bus 30
Bus 29
Bus 28
Bus 27
Bus 26
Bus 25
Bus 24
Bus 23
Bus 22
Bus 21
Bus 20
Bus 19
Bus 18
Bus 17
Bus 16
Bus 15
Bus 14
Bus 13
Bus 12
Bus 11
Bus 10
Figure 5.3 Simulation model of 38 bus system
JITENDRA SINGH BHADORIYA-SCHOOL OF INSTRUMENTATION,DEVI AHILYA UNIVERSITY
INDORE(M.P.) INDIA
94
DG
DG
DG
Bus 38
Bus 37
Bus 36
Bus 35
Bus 34
Bus 33
Bus 32
Bus 31
Bus 30
Bus 29
Bus 28
Bus 27
Bus 26
Bus 25
Bus 24
Bus 23
Bus 22
Bus 21
Bus 20
Bus 19
Bus 18
Bus 17
Bus 16
Bus 15
Bus 14
Bus 13
Bus 12
Bus 11
Bus 10
Bus 09
Bus 08
Bus 07Bus 06
Bus 05
Bus 04Bus 03
Bus 02Bus 01
9
8
7
6
5
4
37
36
35
34
33
32
31
30
3
29
28
27
26
25
242322
21
20
2
19
18
17
16
15
14
13
12
11
10
1
Figure 5.4 Simulation model of 38 bus system with DG
JITENDRA SINGH BHADORIYA-SCHOOL OF INSTRUMENTATION,DEVI AHILYA UNIVERSITY
INDORE(M.P.) INDIA
95
The implementation of PSO starts by random generation of an initial population of possible
solutions. For each solution, size–location pairs of the DG units introduced to the system are
chosen within technical limits of locations and sizes of the DG units. Each solution must
satisfy the operational constraints explained in chapter 1.If one of these constraints is
violated, such a solution is rejected. After generating a population of solutions satisfying the
pre-specified constraints, the objective function of each solution (individual) is evaluated.
Once the population cycle is initialized, the position of each individual in the solution space
is modified using the PSO parameters, e.g., pbest, gbest, and the agent velocity, to generate
the new population. If the DG size and/or location exceed the limit, they are adjusted back
within the specified limits (the boundaries). The operational constraints are then checked. If
any of them is violated the new solution is rejected and another one is generated and checked
until a solution that satisfies the specified limits is found. The algorithm stops when the
maximum number of generations is reached. According to PSO theory, the optimal solution
is the best solution ever found throughout the generations (gbest).
To validate the proposed method, it is applied to the 38-bus system of under the same load
conditions and using the same objective function (IMO) and same values of index weights
used in to optimally place one DG unit in the system. The results of applying the proposed
PSO to the system under different load conditions and the results given in [Table 5.6]. It must
be noted that the run time of the PSO algorithm ranged from 10 to 20 s, which is relatively a
very short time. As shown in Table 5.4, for all load models, all the indices are much reduced
when using PSO for the problem except the IC index. From the values of the IC index, it can
be concluded that the line loading with the resulting size–location pairs was higher than that
of but still within rated limits. However, the overall objective function (IMO) was reduced as
well.
From the previous results, it can be concluded that the proposed PSO method is an efficient
method to deal with the problem introduced in this research work.
JITENDRA SINGH BHADORIYA-SCHOOL OF INSTRUMENTATION,DEVI AHILYA UNIVERSITY
INDORE(M.P.) INDIA
96
5.4 results Analysis
The proposed algorithm is tested using both a 38-bus radial test system . The base values
used are 100 MVA and 23 kV. A DG size is considered in a range of 0–0.63 pu. In this study,
it is considered that the DG is operated at an unspecified power factor, unlike the situation
that has commonly been used in literature.
The first bus is considered as the feeder of electric power from the generation/transmission
network. The remaining buses of the distribution system except the voltage-controlled buses
are considered for the placement of a DG of given size from the range considered. The real
and reactive loads were modelled as being voltage dependent.
Figure 5.5 Voltage Profile under Constant Load
JITENDRA SINGH BHADORIYA-SCHOOL OF INSTRUMENTATION,DEVI AHILYA UNIVERSITY
INDORE(M.P.) INDIA
97
Figure 5.6 Voltage Profile under Industrial Load
Figure 5.7 Voltage Profile under Residential Load
JITENDRA SINGH BHADORIYA-SCHOOL OF INSTRUMENTATION,DEVI AHILYA UNIVERSITY
INDORE(M.P.) INDIA
98
Figure 5.8 Voltage Profile under Commercial Load
Figure 5.9 Voltage Profile under Mixed Load
JITENDRA SINGH BHADORIYA-SCHOOL OF INSTRUMENTATION,DEVI AHILYA UNIVERSITY
INDORE(M.P.) INDIA
99
Figure 5.10 Line loading under Constant Load
Figure 5.11 Line loading under Industrial Load
JITENDRA SINGH BHADORIYA-SCHOOL OF INSTRUMENTATION,DEVI AHILYA UNIVERSITY
INDORE(M.P.) INDIA
100
Figure 5.12 Line loading under Residential Load
Figure 5.13 Line loading under Commercial Load
JITENDRA SINGH BHADORIYA-SCHOOL OF INSTRUMENTATION,DEVI AHILYA UNIVERSITY
INDORE(M.P.) INDIA
101
Figure 5.14 Line loading under Mixed Load
Table5.4 Impact indices for penetration of a DG unit in the 38 bus
system with load models using PSO.
Impact
Indices
Constant
load
Industrial
Load
Residential
Load
Commercial
Load
Mixed
Load
ILP 0.45 0.5025 0.4852 0.4783 0.4824
ILQ 0.4572 0.511 0.4928 0.4853 0.4898
IC 0.9944 0.765 0.9856 0.9931 0.9745
IVD 0.059 0.0594 0.0575 0.0574 0.0575
Min IMO 0.5289 0.5281 0.5278 0.5277 0.5285
Optimal
size-location
0.63-30 0.63-30 0.63-30 0.63-30 0.63-30
JITENDRA SINGH BHADORIYA-SCHOOL OF INSTRUMENTATION,DEVI AHILYA UNIVERSITY
INDORE(M.P.) INDIA
102
Figure 5.15 Short Circuit Level Difference of the System under
different Load Models
JITENDRA SINGH BHADORIYA-SCHOOL OF INSTRUMENTATION,DEVI AHILYA UNIVERSITY
INDORE(M.P.) INDIA
103
Table 5.5 Size and Location of DG unit in the 38 bus radial system
Load type DG1 DG2 DG3
Size
Loc
atio
n
Size
Locat
ion
Size
Locat
ion
P(pu) Q(pu) P(pu) Q(pu) P(pu) Q(pu)
Constant 0.6299 0.6289 30 0.2585 0.507 13 0.1957 -0.1853 11
Industrial 0.3038 1.0659 30 0.3802 -0.2334 10 0.3845 0.1522 16
Residential 0.0647 0.6281 31 0.5107 -0.0663 32 0.4076 0.4022 13
Commercial 0.2892 -0.2916 35 0.2862 1.0677 29 0.4575 0.2103 15
Mixed 0.4758 -0.8928 29 0.1307 0.7862 12 0.4582 1.1254 30
Figure 5.16 PV curve at (weakest bus of the system) bus 18
JITENDRA SINGH BHADORIYA-SCHOOL OF INSTRUMENTATION,DEVI AHILYA UNIVERSITY
INDORE(M.P.) INDIA
104
Figure 5.17 PV curve at (weakest bus of the system) 37 bus
JITENDRA SINGH BHADORIYA-SCHOOL OF INSTRUMENTATION,DEVI AHILYA UNIVERSITY
INDORE(M.P.) INDIA
105
Figure 5.18 The Multi Objective Function (MOF) is minimized
under Different Load Models
JITENDRA SINGH BHADORIYA-SCHOOL OF INSTRUMENTATION,DEVI AHILYA UNIVERSITY
INDORE(M.P.) INDIA
106
Table 5.6 System power losses and MVA intake for different load
models in the 38-bus radial system, and the value of MOF.
Load Models PL PLDG QL QLDG MVASYS MVASYSDG Value of
MOF
Constant 16.516 5.3986 11.006 3.5976 438.57 300.2462 3.252718
Industrial 14.627 5.8781 9.713 3.9236 425.35 304.4423 3.297935
Residential 15.113 5.6135 10.046 3.6998 428.67 311.0265 3.305198
Commercial 15.294 6.3262 10.169 4.2428 429.93 308.0879 3.335645
Mixed 15.207 6.9399 10.109 4.7914 429.47 305.5652 3.310678
JITENDRA SINGH BHADORIYA-SCHOOL OF INSTRUMENTATION,DEVI AHILYA UNIVERSITY
INDORE(M.P.) INDIA
107
Chapter-6
Conclusion
Multi-objective optimization analysis, including load models, for size–location planning of
distributed generation in distribution systems has been presented. The proposed optimization
algorithm was applied to a 38-bus radial test system. The results showed that the proposed
algorithm is capable of optimal and fast placement of DG units. The results clarified the
efficiency of this algorithm for improvement of the voltage profile, reduction of power losses,
reduction of MVA flows and MVA intake from the grid, and also for increasing the voltage
stability margin and maximum loading. The exhaustive analysis, including load models, for
size-location planning of distributed generation in multi-objective optimization in distribution
systems is presented. The multi-objective
criteria based on system performance indices of ILP and ILQ, related to real and reactive
power losses, and IC and IVD, related to system MVA capacity enhancement and voltage
profile improvement, is utilized in the present work. It is observed that the significant
difference exists in both size and location of DG when load models are considered. The
overall value of multi-objective index (IMO) is also found to be significantly different with
different load models. The effect of load models on individual performance indices
is also shown and it is established that the load models play a decisive role in deciding the
size-location pair of DG in any practical distribution system.
This thesis presents an efficient method for choosing the
suitable placement and size of Distributed Generation (DG) to achieve the third objective
which is the minimization of multi-objective function hence lowest real power loss, the
maximum increasable of loading factor. PSO is used to determine the best location and size
of DG to achieve these objectives. The simulation system is IEEE 38-bus radial distribution
JITENDRA SINGH BHADORIYA-SCHOOL OF INSTRUMENTATION,DEVI AHILYA UNIVERSITY
INDORE(M.P.) INDIA
108
system. The appropriated size and position of DG are selected by PSO methodology. From
the results obtained show that the proper size and site of DG can improve system
performance by reducing the loss, and adding the increasable of system load.
JITENDRA SINGH BHADORIYA-SCHOOL OF INSTRUMENTATION,DEVI AHILYA UNIVERSITY
INDORE(M.P.) INDIA
109
Publications:-
Journal (proceeding)
1. THE INSTRUMENTATION TECHNOLOGIES IN TO SMART GRID in
international journal of advanced research in electrical, electronics & instrumentation
engineering (accepted for volume 2 issue 6 June 2013).
2. MODIFICATIONS OF PARTICLE SWARM OPTIMIZATION PARAMETER
AND PERFORMANCES in Journal of Emerging Trends in Computing and
Information Sciences(accepted for volume 4 no.6 June 2013).
CONFERENCES (Published)
1. Jitendra Singh Bhadoriya, Dr. Ganga Agnihotri , Aashish Bohre, “The Benefits of
Distributed Generation in Smart-Grid Environment- A Case Study” . 2013 in
National Conference on Modeling and Simulation of Electrical Systems (MSES- feb.
2013).
2. Jitendra Singh Bhadoriya, Aashish Bohre , Dr. Ganga Agnihotri “MODIFICATIONS
OF PARTICLE SWARM OPTIMIZATIONPARAMETER AND
PERFORMANCES” in Recent trends in manufacturing & information system
(RTMIS- may2013).
WORKSHOPS:-
1. SHORT TERM COURSE ON MATLAB UNDER TEQIP-II 7-11 JAN IN MANIT
BHOPAL.
2. WORKSHOP ON FUEL CELLS AND IEC 61850 IMPLEMENTATION 3- 4 JAN
2013 IN MANIT BHOPAL.
3. TECHNICAL INNOVATION AND REFORMS IN ENERGY SECTOR 30th
NOV.-
1st
DEC IN MANIT BHOPAL.
4. WORKSHOP ON SMART GRID 27-28 SEP.2013 IN MANIT BHOPAL.
JITENDRA SINGH BHADORIYA-SCHOOL OF INSTRUMENTATION,DEVI AHILYA UNIVERSITY
INDORE(M.P.) INDIA
110
References-
[1] V.V. Thong, J. Driesen, R. Belmans, Transmission system operation concerns with high
penetration level of distributed generation, in: Proc. of Inter. Universities Power Engineering
Conference, Brighton, 2007, pp. 867–871.
[2] D. Zhu, R.P. Broadwater, K. Tam, R. Seguin, H. Asgeirsson, Impact of DG placement on
reliability and efficiency with time-varying loads, IEEE Transactions on Power Systems 21
(1) (2006) 419–427.
[3] A.M. El-Zonkoly, "Optimal placement of multi-distributed generation units including
different load models using particle swarm optimization," Swarm and Evolutionary
Computation Elsevier, vol. 1, pp. 50–59, 2011.
[4] A. Keane, M. O’Malley, Optimal distributed generation plant mix with novel loss
adjustment factors, in: IEEE Power Eng. Society General Meeting, 2006.
[5] Y.A. Katsigiannis, P.S. Georgilakis, Optimal sizing of small isolated hybrid power
systems using tabu search, Journal of Optoelectronics and Advanced Materials 10 (5) (2008)
1241–1245.
[6] M.F. AlHajri, M.R. AlRashidi, M.E. El-Hawary, Hybrid particle swarm optimization
approach for optimal distribution generation sizing and allocation in distribution systems, in:
Proc. of Canadian Conference on Electrical and Computer Engineering, Vancouver, Canada,
2007, pp. 1290–1293.
[7] L.Y. Wong, S.R. Abdul Rahim, M.H. Sulaiman, O. Aliman, Distributed generation
installation using particle swarm optimization, in: Proc. of Inter. Power Engineering and
Optimization Conf., PEOCO2010, Shah Alam, Selangor, Malaysia, 2010, pp. 159–163.
[8] M.P. Lalitha, V.C.V. Reddy, V. Usha, Optimal DG placement for minimum real power
loss in radial distribution systems using PSO, Journal of Theoretical and Applied Information
Technology (2010) 107–116.
[9] W. El-Khattam, Y.G. Hegazy, M.M.A. Salama, An integrated distributed generation
optimization model for distribution system planning, IEEE Transactions on Power Systems
20 (2) (2005) 1158–1165.
[10] M. Mardaneh, G.B. Gharehpetian, Siting and sizing of DG units using GA and OPF
based technique, in: IEEE Region 10 Conference, vol. 3, 2004, pp. 331–334.
[11] H. lyer, S. Ray, R. Ramakumar, Voltage profile improvement with distributed
generation, in: IEEE Power Eng. Society General Meeting, vol. 3, 2005, pp. 2977–2984.
JITENDRA SINGH BHADORIYA-SCHOOL OF INSTRUMENTATION,DEVI AHILYA UNIVERSITY
INDORE(M.P.) INDIA
111
[12] M.A. Kashem, D.T. Le, M. Negnevitsky, G. Ledwich, Distributed generation for
minimization of power losses in distribution systems, in: IEEE Power Eng. Society General
Meeting, 2006.
[13] Mithulananthan N, Oo T. Distributed Generator Placement to Maximize the Loadability of
Distribution System. Direct.
[14] IEEE task force on load representation for dynamic performance, load representation for
dynamic performance analysis, IEEE Transactions on Power Systems 8 (2) (1993) 472–482.
[15] T. Gozel, M.H. Hocaoglu, An analytical method for the sizing and siting of distributed
generators in radial systems, International Journal of Electric Power Systems Research 79
(2009) 912–918.
[16] M.M. Elnashar, R. El-Shatshat, M.A. Salama, Optimum siting and sizing of a large
distributed generators in a mesh connected system, International Journal of Electric Power
Systems Research 80 (2010) 690–697.
[17] L.F. Ochoa, A. Padilha-Feltrin, G.P. Harrison, Evaluating distributed generation impacts
with a multi objective index, IEEE Transactions on Power Delivery 21 (3) (2006) 1452–
1458.
[18] R.K. Singh, S.K. Goswami, Optimum allocation of distributed generations based on
nodal pricing for profit, loss reduction and voltage improvement including voltage rise issue,
International Journal of Electrical Power and Energy Systems 32 (2010) 637–644.
[19] H. Hedayati, S.A. Nabaviniaki, A. Akbarimajd, A method for placement of DG units in
distribution networks, IEEE Transactions on Power Delivery 23 (3) (2008) 1620–1628.
[20] G. Celli, E. Ghiani, S. Mocci, F. Pilo, A multiobjective evolutionary algorithm for the
sizing and siting of distributed generation, IEEE Transactions on Power Systems 20 (2)
(2005) 750–757.
[22] W. Prommee, W. Ongsakul, Optimal multi-distributed generation placement by
adaptive weight particle swarm optimization, in: Proc. of Inter. Conference on Control,
Automation and Systems, Seoul, Korea, 2008, pp. 1663–1668.
[23] A. Safari, R. Jahani, H.A. Shayanfar, J. Olamaei, Optimal DG allocation in distribution
network, International Journal of Electrical and Electronics Engineering 4 (8) (2010) 550–
553.
[24] Wichit Krueasuk, Weerakorn Ongsakul, Optimal placement of distributed generation
using particle swarm optimization, in: The Proc. of Australian Universities Power
Engineering Conf., 2006, pp. 1–6.
JITENDRA SINGH BHADORIYA-SCHOOL OF INSTRUMENTATION,DEVI AHILYA UNIVERSITY
INDORE(M.P.) INDIA
112
[25] M. AlHajri, Sizing and placement of distributed generation in electrical distribution
systems using conventional and heuristic optimization methods, Ph.D. Thesis, Dalhousie
University, Halifax, Nova Scotia, 2009.
[27] J. Kennedy, R. Eberhart, Particle swarm optimization, in: Proc. IEEE Int. Conf. Neural
Networks, Perth, Australia, vol. IV, 1995, pp. 1942–1948.
[28] Y. Shi, R. Eberhart, A modified particle swarm optimizer, in: Proc. IEEE Int. Conf.
Evolutionary Computation ., Anchorage, UK, 1998, pp. 69–73.
[29] H. Yoshida, K. Kawata, Y. Fukuyama, A particle swarm optimization for reactive power
and voltage control considering voltage security assessment, IEEE Transactions on Power
Systems 15 (2000) 1232–1239.
[30] N. Deeb, S. Shahidehpour, Cross decomposition for multi-area optimal reactive power
planning, IEEE Transactions on Power Systems PWRS-8 (1993) 1539–1544.
[31] Power System Analysis Toolbox, PSAT. Available online:
http://www.power.uwaterloo.ca/~fmilano/psat.htm.
[32] J. Kennedy, R. Eberhart, Particle swarm optimization, in: Proc. of IEEE Inter. Conf. on
Neural Networks, ICNN, 1995, pp. 1942–1948.
[37] Y. Shi, R.C. Eberhart, Fuzzy adaptive particle swarm optimization, in: Proc. Of the 2001
Congress on Evolutionary Computation, 2001, pp. 101–106.
[38] J.J. Liang, A.K. Qin, P.N. Suganthan, S. Baskar, Comprehensive learning particle swarm
optimizer for global optimization of multimodal functions, IEEE Transactions on
Evolutionary Computation 10 (3) (2006) 281–295.
[39 ]D. Singh, D. Singh, K.S. Verma, Multiobjective optimization for DG planning with load
models, IEEE Transactions on Power Systems 24 (1) (2009) 427–436.
[40] Mithulananthan N, Than Oo and Le Van Phu, ‘Distributed generator placement in power
distribution system using genetic algorithm to reduce losses’, TIJSAT, 9(3) (2004), 55–62.
[41] Ackermann, T., Andersson, G., S.oder, L., (2001). “Distributed generation: a
definition”. Electric Power Systems Research 57, pp. 195–204.
[42] J. Martin, "Distributed vs. centralized electricity generation: are we witnessing a change
of paradigm? An introduction to distributed generation," (HEC Paris), May 2009.
[43] El-Kattam,W., Salama, M.M.A, (2004). “Distributed Generation Technologies:
definitions and benefits”. Electric Power Research, 71, pp. 119-128.
[44] McDonald, J., (2008). “Adaptive intelligent power systems: active distribution
networks”. Energy Policy 36, pp. 4346–4351.
JITENDRA SINGH BHADORIYA-SCHOOL OF INSTRUMENTATION,DEVI AHILYA UNIVERSITY
INDORE(M.P.) INDIA
113
[45] Pehnt, M., Schneider, L., (2006). “Embedding Micro Cogeneration in the Energy Supply
System”, in Pehnt, M., Cames, M., Fischer, C., Praetorius, B., Shneider, L., Schumacher, K.,
Voss, J.P. Micro cogeneration towards decentralized energy
systems, Berlin: Springer, pp. 197-218.
[46] F. Milano, An open source power system analysis toolbox. Power Engineering Society
General Meeting, 2006. IEEE, Montreal, Que, 2006.
JITENDRA SINGH BHADORIYA-SCHOOL OF INSTRUMENTATION,DEVI AHILYA UNIVERSITY
INDORE(M.P.) INDIA
114

Jitendiys

  • 1.
    “OPTIMAL PLACEMENT ANDSIZING OF MULTI-DISTRIBUTED GENERATION (DG) INCLUDING DIFFERENT LOAD MODELS USING PARTICLE SWARM OPTIMIZATION (PSO)” DISSERTATION Submitted in Partial Fulfilment of the Requirements for the Award of the Degree of MASTER OF TECHNOLOGY In INSTRUMENTATION By Jitendra Singh Bhadoriya (DE/11/10) Under The Supervision Of Dr. (Mrs.) Ganga Agnihotri (MANIT, Bhopal) School of Instrumentation, Devi Ahilya University Indore-452001, INDIA. JULY-2013
  • 2.
    Dedicated to my mother Smt.Seema Bhadoriya and my father Shri. Sambhu Singh Bhadoriya
  • 3.
    Department of ElectricalEngineering MAULANA AZAD NATIONAL INSTITUTE OF TECHNOLOGY (MANIT) Bhopal-462051, INDIA CERTIFICATE This is to certify that the dissertation entitled “OPTIMAL PLACEMENT AND SIZING OF MULTI-DISTRIBUTED GENERATION (DG) INCLUDING DIFFERENT LOAD MODELS USING PARTICLE SWARM OPTIMIZATION (PSO) ” submitted by Mr. Jitendra Singh Bhadoriya, to School of Instrumentation, DEVI AHILYA VISHWAVIDYALAYA, Indore during the period 28/08/2012 to 05/07/2013 is a satisfactory account of the bona-fide work done under our supervision at Department of Electrical Engineering MAULANA AZAD NATIONAL INSTITUTE OF TECHNOLOGY, Bhopal and is recommended towards the partial fulfilment for the award of the degree of Master of Technology in Instrumentation Engineering with Specialization in Instrumentation by Devi Ahilya Vishwavidyalaya, Indore. I wish his all professional success in her future. PROJECT GUIDE Dr. (Mrs.) Ganga Agnihotri Professor & Dean Academic MANIT, Bhopal (M.P.)
  • 4.
    JITENDRA SINGH BHADORIYA-SCHOOLOF INSTRUMENTATION,DEVI AHILYA UNIVERSITY INDORE(M.P.) INDIA 3 SCHOOL OF INSTRUMENTATION DEVI AHILYA VISHWAVIDYALAYA, INDORE Dissertation Approval This is to certify that the dissertation entitled “OPTIMAL PLACEMENT AND SIZING OF MULTI-DISTRIBUTED GENERATION (DG) INCLUDING DIFFERENT LOAD MODELS USING PARTICLE SWARM OPTIMIZATION (PSO)”submitted by JITENDRA SINGH BHADORIYA (DE/11/10) to School of Instrumentation, Devi Ahilya University, Indore during the year 2012-13 is approved as partial fulfilment for the award of the degree of Master of Technology with Specialization in Instrumentation. External Examiner Date:
  • 5.
    JITENDRA SINGH BHADORIYA-SCHOOLOF INSTRUMENTATION,DEVI AHILYA UNIVERSITY INDORE(M.P.) INDIA 4 CANDIDATE’S DECLARATION I declare that the work entitled “OPTIMAL PLACEMENT AND SIZING OF MULTI-DISTRIBUTED GENERATION (DG) INCLUDING DIFFERENT LOAD MODELS USING PARTICLE SWARM OPTIMIZATION (PSO)” is my own work conducted under the supervision Of Dr. (Mrs.) Ganga Agnihotri .The research work was carried out by me at Department of Electrical Engineering, MAULANA AZAD NATIONAL INSTITUTE OF TECHNOLOGY (MANIT) Bhopal. I further declare that to the best of my knowledge the present work does not contain any part of the work which has been submitted for the award of any degree either in this University or in any other University/Deemed University without proper citation. (Jitendra Singh Bhadoriya)
  • 6.
    JITENDRA SINGH BHADORIYA-SCHOOLOF INSTRUMENTATION,DEVI AHILYA UNIVERSITY INDORE(M.P.) INDIA 5 ACKNOWLEDGEMENT I would like to articulate my profound gratitude and indebtedness to my thesis guide Dr. (Mrs.) Ganga Agnihotri who has always been a constant motivation and guiding factor throughout the thesis time in and out as well. It has been a great pleasure for me to get an opportunity to work under him and complete the project successfully. I wish to extend my sincere thanks to Prof. A. L. Sharma, Head of our Department, and Dr. Ratnesh Gupta for approving my project work with great interest. I would also like to mention Mr. Aashish Bohre, PhD Scholar, for his cooperation and constantly rendered assistance and my friend, Mr. Akash Khakre for his help and moral support. I feel a deep sense of gratitude for my father Sri. Shambhu Singh Bhadoriya and mother Smt. Seema Bhadoriya who formed a part of my vision and taught me the good things that really matter in life. Apart from my efforts, the success of any project depends highly on the encouragement and guidance of many others. I take this opportunity to express my gratitude to the people who have been instrumental in the successful completion of this project. The guidance and support received from all the members who contributed and who are contributing to this project, was vital for the success of the project. I am grateful for their constant support and help. JITENDRA SINGH BHADORIYA ROLL NO: (DE/11/10)
  • 7.
    JITENDRA SINGH BHADORIYA-SCHOOLOF INSTRUMENTATION,DEVI AHILYA UNIVERSITY INDORE(M.P.) INDIA 6 ABSTRACT This research work proposes a multi-objective index-based approach for optimally determining the size and location of multi-distributed generation (multi-DG) units in distribution systems with different load models. It is shown that the load models can significantly affect the optimal location and sizing of DG resources in distribution systems. The proposed multi-objective function to be optimized includes a short circuit level parameter to represent the protective device requirements. The proposed function also considers a wide range of technical issues such as active and reactive power losses of the system, the voltage profile, the line loading, and the Mega Volt Ampere (MVA) intake by the grid. An optimization technique based on particle swarm optimization (PSO) is introduced. An analysis of the continuation power flow to determine the effect of DG units on the most sensitive buses to voltage collapse is carried out. The proposed algorithm is tested using a 38-bus radial system. The results show the effectiveness of the proposed algorithm. Keywords- Particle swarm optimization (PSO), Optimal placement Distributed Generation (DG), Load models .Short circuit level, Voltage stability.
  • 8.
    JITENDRA SINGH BHADORIYA-SCHOOLOF INSTRUMENTATION,DEVI AHILYA UNIVERSITY INDORE(M.P.) INDIA 7 CONTENTS CERTIFICATE…........................................................................................................1 DISSERTATION APPROVAL……………. ……………………………………….........3 CANDIDATE’S DECLARATION………………………………………………..............4 ACKNOWLEDGEMENTS..........................................................................................5 ABSTRACT..................................................................................................................6 CONTENTS..................................................................................................................7 LIST OF FIGURES.......................................................................................................9 LIST OF TABLES.........................................................................................................11 CHAPTER-1………………………………………………………………………...12 INTRODUCTION…………………………………………………………………..12 1.1 Background……………………………………………………………………....13 1.2 The main drawbacks of the centralized paradigm……………………………….14 1.3 DG Insertion in to grid…………………………………………………………..19 1.4 Problem Definition..……………………………….…………….………………22 1.5 Multi-objective-based problem formulation……………….……………………23 1.6 Thesis Layout……………………………………………………………….…..28 Summary……………………………………………………………………………29 CHAPTER-2……………………………………………………………………….30 LITERATURE REVIEW ………………………………………………………..30 Summary ……………………………………………………………………………38 CHAPTER-3………………………………………………………………………..39 DISTRIBUTED GENERATION (DG)…………………………………………...39
  • 9.
    JITENDRA SINGH BHADORIYA-SCHOOLOF INSTRUMENTATION,DEVI AHILYA UNIVERSITY INDORE(M.P.) INDIA 8 3.1 Introduction………………………………………………………..................40 3.2 Distributed Generation Technologies…………………………………………44 3.3 Distributed Generation Applications……………………………..................50 3.4 The Benefits of Distributed Power………………………………..................55 3.5 The main characteristics of distributed generation…………………..............58 Summary…………………………………………………………………………..60 CHAPTER-4……………………………………………………………………….....61 Particle Swarm Optimization (PSO)…..............................................................61 4.1 Background of Artificially Intelligence…………………………………………...62 4.2 PSO as A Optimization Tool……………………………………………………...64 4.3 Algorithm of PSO ………………………………………………………………...68 4.4 Superiority of PSO………………………………………………………………..79 Summary……………………………………………………………………………...81 CHAPTER-5………………………………………………………………………....82 SIMULATION & RESULTS ANALYSIS...……………………………………….82 5.1 Load modeling…………………………………………………………………...83 5.2 PSAT……………………………………………………………………………..88 5.3 Modeling of IEEE 38 Radial Distribution System……………………………….90 5.4 Results Analysis………………………………………………………………….96 CHAPTER-6………………………………………………………………………... CONCLUSION …………………………………………………………………….107 Publications & Workshops………………………………………………………...109 REFERENCES……………………………………………………………………...110
  • 10.
    JITENDRA SINGH BHADORIYA-SCHOOLOF INSTRUMENTATION,DEVI AHILYA UNIVERSITY INDORE(M.P.) INDIA 9 LIST OF FIGURE Figure-1.1 Central electricity paradigm ….……………………………….............18 Figure 1.2 Distributed Electricity Paradigm………………………………...........21 Figure 1.3 Thesis Layout ……………………………………………………….......28 Figure 3.1 Distributed generation types and technologies.........................…......47 Figure 4.1 Concept of a searching point by PS………………………….…..........71 Figure 4.2 Searching concepts with agents in a solution space by PSO……......72 Figure 4.3 Flow Chart Of PSO………………………………………………........74 Figure 4.4 Solution Procedure…......................................................................78 Figure5.1 General Configuration of the MATLAB Toolbox for Power SystemAnalysis…………………………………………………………….………......88 Figure 5.2 IEEE 38 BUS SYSTEMS…………………………………..…….......92 Figure 5.3 Simulation model of 38 bus system……………………………….....93 Figure 5.4 Simulation model of 38 bus system with DG…………………….....94 Figure 5.5 Voltage Profile Under Constant Load …………………………......96
  • 11.
    JITENDRA SINGH BHADORIYA-SCHOOLOF INSTRUMENTATION,DEVI AHILYA UNIVERSITY INDORE(M.P.) INDIA 10 Figure 5.6 Voltage Profile Under Industrial Load ………………………….....97 Figure 5.7 Voltage Profile Under Residential Load ………………………..........97 Figure 5.8 Voltage Profile Under Commercial Load ………..…………….........98 Figure 5.9 Voltage Profile Under Mixed Load ……………………………...........98 Figure 5.10 Line loading under Constant Load ………………………....…..........99 Figure5.11 Line loading under Industrial Load ………………………….............99 Figure 5.12 Line loading under Residential Load ……………………..…….......100 Figure 5.13 Line loading under Commercial Load ……….……………….........100 Figure 5.14 Line loading under Mixed Load ……………………………….........101 Figure 5.15 Short Circuit Level Difference of the System under different Load Models………………………….......................................................................................102 Figure 5.16 PV curve at (weakest bus of the system ) bus 18……………….......103 Figure 5.17 PV curve at (weakest bus of the system ) 37 bus ……………….......104 Figure 5.18 Multi Objective Function (MOF) is minimized under Different Load Models…………………………………............................................................................105
  • 12.
    JITENDRA SINGH BHADORIYA-SCHOOLOF INSTRUMENTATION,DEVI AHILYA UNIVERSITY INDORE(M.P.) INDIA 11 LIST OF TABLE Table 1.1 Impact Indices weighting …………………………………………......... 25 Table 3. 1 Technologies for distributed generation…………………………..........45 Table 3.2 Comparison between common energy types for power and time duration…...............................................................................................................50 Table 4.1 SOME KEY TERMS USED TO DESCRIBE PSO…............................68 Table 4.2 Solution Procedure………………………………………………...........77 Table 5.1 Load Data for 38-bus system………………………………….…..........84 Table 5.2 Common values for the exponent’s np and nq, for different load components………………………………………………………………………............87 Table5.3 Matlab Toolboxes for Power System Analysis………………..…...........89 Table5.4 Impact indices for penetration of a DG unit in the 38 bus system with load models using PSO……………………………………………………............................101 Table 5.5 Size and Location of DG unit in the 38 bus radial system……….........103 Table 5.6 System power losses and MVA intake for different load models in the 38-bus radial system, and the value of MOF………….............106
  • 13.
    JITENDRA SINGH BHADORIYA-SCHOOLOF INSTRUMENTATION,DEVI AHILYA UNIVERSITY INDORE(M.P.) INDIA 12 Introduction Background The main drawbacks of the centralized paradigm DG Insertion in to grid Problem Definition Multi-objective-based problem formulation Objective and Approaches Thesis Layout Summary Chapter 1 Introduction
  • 14.
    JITENDRA SINGH BHADORIYA-SCHOOLOF INSTRUMENTATION,DEVI AHILYA UNIVERSITY INDORE(M.P.) INDIA 13 1.1 Background Since the 1990s, electricity production has been driven towards generation concentration and a higher degree of integration leading to the current centralized electricity paradigm. This move was driven by several factors: The search for high energy efficiency: gains in efficiency were achieved through larger facilities capable of handling higher pressures and temperatures in steam used in electricity generation. At a certain point, the gains were however offset by the increase in operating and maintenance costs as materials were unable to sustain operation at high specification over the long run; Innovation in electricity transmission: the use of alternative current instead of direct current permitted to transmit electricity over long distances with a significant loss reduction; The search for reliability: so as to increase the reliability at the customer’s end, large electricity production facilities were connected to the transmission networks. Pooling resources helped reduce the reliance of each customer on a particular generator as other generators were often able to compensate for the loss. Environmental constraints: the use of transmission networks made it possible to relocate the generation facilities outside the city centers thus removing pollution due to exhaust from coal fired plants. Regulation favoring larger generation facilities. In the sector’s layout resulting from this move towards concentration and Integration electricity is generated, transported over long distances through the Transmission network and medium distances through the distribution network to be finally used by the end customer. This can be summed up as follows: “Traditional electrical power system architectures reflect historical strategic policy drivers for building large-scale, centralized, thermal- (hydro-carbon- and nuclear-) based power stations providing bulk energy supplies to load centers through integrated electricity transmission (high-voltage: 400, 275 and 132 kV) and distribution (medium, low-voltage: 33 kV, 11 kV, 3.3 kV and 440V) three-phase systems.” (Mc Donald, 2008).
  • 15.
    JITENDRA SINGH BHADORIYA-SCHOOLOF INSTRUMENTATION,DEVI AHILYA UNIVERSITY INDORE(M.P.) INDIA 14 Though dominant, centralized generation has always been operating along a smaller distributed generation capacities that were never phased out of the market. The persistence of the first historical form of energy generation whereby energy is consumed near its generation point seems puzzling in the light of the properties of centralized generation mentioned above. The significant size of distributed generation in countries such as Denmark clearly implies that it is capable of overcoming shortfalls of the centralized generation paradigm . 1.2 The main drawbacks of the centralized paradigm Several studies were conducted to emphasize the main shortfalls of the centralized generation paradigm and to explicit the motivation of the agents in keeping distributed generation as a primary source of electricity or as a backup generator the main drivers listed in the literature are summarized below: Transmission and distribution costs: transmission and distribution costs amount for up to 30% of the cost of delivered electricity on average. The lowest cost is achieved by industrial customers taking electricity at high to medium voltage and highest for small customers taking electricity from the distribution network at low voltage (IEA, 2002). The high price for transmission and distribution results mainly from losses made up of: line losses: electricity is lost when flowing into the transmission and distribution lines; Unaccounted for electricity and Conversion losses when the characteristics of the power flow are changed to fit the specifications of the network (e.g. changing the voltage while flowing from the transmission network to the distribution network) (EIA, 2009). The total amount of the losses is significant. In addition to the cash cost, these electricity losses have an implicit cost in terms of greenhouse gas emissions: fuel is consumed thus generating greenhouse gases to produce electricity that is actually not used by the final consumer. Rural electrification: in an integrated power system, rural electrification is challenging for two reasons. As large capital expenditures are required to connect remote areas due to the distance to be covered through overhead lines, connecting remote areas with small
  • 16.
    JITENDRA SINGH BHADORIYA-SCHOOLOF INSTRUMENTATION,DEVI AHILYA UNIVERSITY INDORE(M.P.) INDIA 15 consumption might prove uneconomical. This effect is amplified when taking into account transmission and distribution losses because both tend to increase with the distance covered. Rural electrification is thus costly. It often proves more economical to rely on distributed generation in such cases .This has often been the case for mountain areas or low density areas remote from the main cities. Investment in transmission and distribution networks: over the next 20 years, significant investment will be required to upgrade the transmission and distribution networks. The International Energy Agency (2003) estimated the total amount to be invested in generation, transmission and distribution up to 2030 for the OECD countries to stands between 3,000 and 3,500 billion dollars (base case predictions). In order to cut these costs, distributed generation can be used as a way to bypass the transmission and distribution networks. In its alternative scenario – under this scenario distributed generation and renewable energy are more heavily supported by policy makers- the IEA forecasts the overall amount to be invested to be lower than 3,000 billion dollars (electricity generation investments remaining constant). Energy efficiency: in the 1960s, the marginal gains in energy efficiency through size increase and use of higher temperature and pressure started to diminish. Higher temperatures and pressure resulted in high material wear and tear leading to lower than expected operating life for steam turbines (Hirsch, 1989). In order to increase energy efficiency without requiring to higher pressure, cogeneration systems have been developed to reuse the waste steam in a neighbourhood heating system or cooling system through district heating and/or cooling district. The total energy efficiency achieved when combining both electricity and heat goes up to 90% (IPPC, 2007). Comparatively, the sole electricity generation hardly goes above 40%. The main problem, however, is that steam and heat are even less easily transported than electricity, thus justifying the use of distributed generation through production next to the point of consumption. Modern electrical industry is facing a paradigm shift in the production, delivery and in the end use of electricity. The introduction and integration of decentralized energy resources has a positive impact on emerging systems such as micro grids and smart grids . Security and reliability: The persistence of distributed generation contributed to energy security through two effects:
  • 17.
    JITENDRA SINGH BHADORIYA-SCHOOLOF INSTRUMENTATION,DEVI AHILYA UNIVERSITY INDORE(M.P.) INDIA 16 • Fuel diversity: as distributed generation technologies can accommodate a larger range of fuel that centralized generation, distributed generation has been used to diversify away from coal, fuel, natural gas and nuclear fuel (IEA, 2002). For instance, distributed generation has been used at landfills to collect biogas and generate energy; • Back up generation: the main use of distributed generation is for back up capacities to prevent operational failures in case of network problems. Backup generators have been installed at critical location such as hospitals, precincts etc. Electricity deregulation and cost control device: in a deregulated electricity market, the diminution of reserve margins or the failure of generators to supply the network (due for example to unplanned outages etc) can lead to capacity shortfalls resulting in high electricity prices to the consumers. In order to hedge against negative price impacts, large electricity consumers have developed acquired distributed generation capacities. Such a move was possible thanks to the increase in flexibility in the market regulation following the deregulation including, among other, reducing barriers to entry. Environmental Impact: the environmental impact of the centralized energy system is significant due to the heavy reliance on fuel, coal and to a lesser extent natural gas. The electricity sector is responsible for ¼ of the NO emissions, 1/3 of the CO2 emissions and 2/3 of the SO2 emissions in the United States (EPA, 2003). Distributed generation Has been used to mitigate the impact both in terms of emissions associated with transmission and distribution losses, to increase efficiency through cogeneration and distributed renewable energy. As distributed generation has been able to overcome the aforementioned Shortfalls of the centralized generation paradigm, it kept on average a small share in the overall generation mix. The following subsection will focus on the main features n of distributed generation and why it has been the source of an increased attention recently. In figure 1.1 central electricity paradigm is given at that time generated power is passed to transmission meanwhile some losses are generated, but a lot of work has been done in smart transmission network .problem arises when power is further given by transmission lines to distribution system ,where power demand gets changing in every respect residentially, commercially so load remains constant only for some time or in ideal conditions . Power demand is increasing of development of certain area by establishing new industry etc. This
  • 18.
    JITENDRA SINGH BHADORIYA-SCHOOLOF INSTRUMENTATION,DEVI AHILYA UNIVERSITY INDORE(M.P.) INDIA 17 additional amount of power creates problem for distribution system because it gets only certain amount of power from generating power plants. Extra amount of load will get responsible for power fluctuation increasing reactive power , increase real power loss . We have to reconstruct the distribution system to get overcome on this problem, it needs heavy amount not economical because if we construct a distribution sub- station with existing amount of power than we have to again reconstruct the distribution system & if we reconstruct distribution system keeping future estimate in mind than it will also creates problem of wasting power in island mode. So we install distributed generator in that distribution sub-station , the type depends on the locality of that area which one is better available and reliable(shown in figure 1.2 ) , it will reduce the losses and also very economical compared to reconstruct a new distributed network.
  • 19.
    JITENDRA SINGH BHADORIYA-SCHOOLOF INSTRUMENTATION,DEVI AHILYA UNIVERSITY INDORE(M.P.) INDIA 18 Transmission Network Distribution Network Central Power Station Figure-1.1 Central electricity paradigm
  • 20.
    JITENDRA SINGH BHADORIYA-SCHOOLOF INSTRUMENTATION,DEVI AHILYA UNIVERSITY INDORE(M.P.) INDIA 19 1.3 DG Insertion in to grid As seen in the previous part, distributed generation has been historically used in several ways to complement centralized generation. The reason behind the recent revival of distributed generation is two-fold: the liberalization of the electricity markets and concerns over greenhouse gas emissions. The electricity and gas deregulation process started in Europe following the application of two directives aimed at providing a free flow of gas and electricity across the continent. These directives and the subsequent legislation created a new framework making it possible for distributed generators to increase their share in the total electricity generation mix. The effect of deregulation is two-fold (IEA, 2002): • Thanks to the reduction of barriers to entry and clearer prices signals, distributed generators were able to move in niche markets and exploit failures of centralized generation. These new applications took the form of standby capacity generators, peaking generators (i.e. producing electricity only in case of high price and consumption periods), generators improving reliability and power capacities, generators providing a cheaper alternative to network use or expansion, provision of grid support (i.e. provision of ancillary services permitting better and safer operation of the network and/or shortening the recovery time). • As distributed generators tend to be of smaller size and quicker to build, they have been able to benefit from price premiums. Geographical and operational flexibility made it possible to set up distributed generators in Congested areas or use it only during consumption peaks. Besides, for small excess demand, it is often uneconomical to build an additional centralized generation plant whereas with lower CAPEX and capacities, distributed generation might come in handy (IEA, 2002). The second driver behind the rebirth of distributed generation is to be related to environmental constraints. Environmental and economic constraints led to look for cleaner and more efficient use of energy. Distributed generation has been able to achieve this target.
  • 21.
    JITENDRA SINGH BHADORIYA-SCHOOLOF INSTRUMENTATION,DEVI AHILYA UNIVERSITY INDORE(M.P.) INDIA 20 The current model for electricity generation and distribution in the India is dominated by centralized power plants. The power at these plants is typically combustion (coal, oil, and natural) or nuclear generated. Centralized power models, like this, require distribution from the center to outlying consumers. Current substations can be anywhere from 10s to 100s of miles away from the actual users of the power generated. This requires transmission across the distance. This system of centralized power plants has many disadvantages. In addition to the transmission distance issues, these systems contribute to greenhouse gas emission, the production of nuclear waste, inefficiencies and power loss over the lengthy transmission lines, environmental distribution where the power lines are constructed, and security related issues. Many of these issues can be mediated through distributed energies. By locating, the source near or at the end-user location the transmission line issues are rendered obsolete. Distributed generation (DG) is often produced by small modular energy conversion units like solar panels. As has been demonstrated by solar panel use in the United States, these units can be stand-alone or integrated into the existing energy grid. Frequently, consumers who have installed solar panels will contribute more to the grid than they take out resulting in a win-win situation for both the power grid and the end-user.
  • 22.
    JITENDRA SINGH BHADORIYA-SCHOOLOF INSTRUMENTATION,DEVI AHILYA UNIVERSITY INDORE(M.P.) INDIA 21 Central plant Distributed Generation Distributed Load Solar Power Source Wind-Power Source Micro Turbine Fuel cell Figure 1.2 Distributed Electricity Paradigms
  • 23.
    JITENDRA SINGH BHADORIYA-SCHOOLOF INSTRUMENTATION,DEVI AHILYA UNIVERSITY INDORE(M.P.) INDIA 22 1.4 Problem Definition. The newly introduced distributed or decentralized generation units connected to local distribution systems are not dispatch able by a central operator, but they can have a significant impact on the power flow, voltage profile, stability, continuity, short circuit level, and quality of power supply for customers and electricity suppliers. Optimization techniques should be employed for deregulation of the power industry, allowing for the best allocation of the distributed generation (DG) units. There are many approaches for deciding the optimum sizing and siting of DG units in distribution systems. The optimum locations of DG in the distribution network were determined. These works aimed to study several factors related to the network and the DG unit itself such as the overall system efficiency, system reliability, voltage profile, load variation, network losses, and the DG loss adjustment factors. The optimal sizing of a small isolated power system that contains renewable and/or conventional energy technologies was determined to minimize the system’s energy cost. The authors succeeded in merging both the DG location and size in one optimization problem. The main factors included in the optimization problem were investment cost, operation cost, network configuration, active and reactive power costs, heat and power requirements, voltage profile, and system losses. Several methods have been adopted to solve such an optimization problem. Some of them rely on conventional optimization methods and others use artificial intelligence-based optimization methods. In some research, the optimum location and size of a single DG unit is determined while in others the optimum locations and sizes of multiple DG units are determined a mixed integer linear program was formulated to solve the optimization problem. The objective was to optimally determine the DG plant mix on a network section. However, that required dealing with the power system approximately as a linear system, which is not the real case. A particle swarm optimization (PSO) algorithm was introduced to determine the optimum size and location of a single DG unit to minimize the real power losses of the system. The problem was formulated as one of constrained mixed integer nonlinear programming, with the location being discrete and the size being continuous. However, the real power loss of the system was the only aspect considered in this research work, while trying to optimally find the size of only one DG unit to be placed. Different scenarios were suggested for
  • 24.
    JITENDRA SINGH BHADORIYA-SCHOOLOF INSTRUMENTATION,DEVI AHILYA UNIVERSITY INDORE(M.P.) INDIA 23 optimum distribution planning. One of these scenarios was to place multiple DG units at certain locations pre-determined by the Electric Utility Distribution Companies (DISCOs) aiming to improve their profiles and minimize the investment risk. An adaptive-weight PSO (APSO) algorithm was used to place multiple DG units, but the objective was to minimize only the real power loss of the system. PSO used to find the optimal location of a fixed number of DG units with specific total capacity such that the real power loss of the system is minimized and the operational constraints of the system are satisfied. In [24], three types of multi- DG unit were optimally placed, also to minimize the real power loss of the system using PSO. The proposed algorithm was applied to test systems, a radial 38-bus system. The algorithm is built using MATLAB script functions. A continuation power flow is carried out to determine the effect of DG units on the voltage stability limits using the Power System Analysis Toolbox (PSAT). 1.5 Multi-objective-based problem formulation The multi-objective index for the performance calculation of distribution systems for DG size and location planning with load models have considered by mentioning following indices by giving a weight to each index. In this thesis, several indices will be computed in order to describe the effect of load models due to the presence of DG. These indices are defined as follows. (1) Real and reactive power loss indices (ILP and ILQ): The real and reactive power loss indices are defined as. ILP = (1) ILQ = (2) Where PLDG and QLDG are the real and reactive power losses of the distribution system after the inclusion of DG. PL and QL are the real and reactive system losses without DG in the distribution system. (2) Voltage profile index (IVD): One of the advantages of proper location and size of the DG is the improvement in voltage profile. This index penalizes a size–location pair which
  • 25.
    JITENDRA SINGH BHADORIYA-SCHOOLOF INSTRUMENTATION,DEVI AHILYA UNIVERSITY INDORE(M.P.) INDIA 24 gives higher voltage deviations from the nominal value (Vnom). In this way, the closer the index is to zero better is the network performance. The IVD can be defined as IVD= (3) where n is the number of buses. Normally, the voltage limit (Vmin ≤ Vi ≤ Vmax) at a particular bus is taken as a technical constraint, and thus the value of the IVD is normally small and within the permissible limits. (3) MVA capacity index (IC): As a consequence of supplying power near to loads, the MVA flows may diminish in some sections of the network, thus releasing more capacity, but in other sections they may also increase to levels beyond the distribution line limits (if the line limits are not taken as constraints). The index (IC) gives important information about the level of MVA flow/currents through the network regarding the maximum capacity of conductors. This gives information about the need for system line upgrades. Values higher than unity (calculated MVA flow values higher than the MVA capacity) of the index given the amount of capacity violation in term of line flow, whereas lower values indicate the capacity available IC= (4) where NOL is the number of lines, Si is the MVA flow in line i, and CSi is the MVA capacity of line i. The benefit of placing DG in a system in the context of line capacity released is measured by finding the difference in IC between the system with and without DG. The avoidance of flow near to the flow limits is an important criterion, as it indicates that how earlier the system needs to be upgraded and thus adding to the cost. Normally, the constraint (Si ≤ Si, max) at a particular line is taken as a strict constraint. (4) Short circuit level index (ISC): This index is related to protection and sensitivity issues, since it evaluates the short circuit current at each bus with and without DG ISC= (5)
  • 26.
    JITENDRA SINGH BHADORIYA-SCHOOLOF INSTRUMENTATION,DEVI AHILYA UNIVERSITY INDORE(M.P.) INDIA 25 Where I without DG SC is the short circuit current before installing the DG and I with DG SC is the short circuit current after installing the DG. The PSO-based multi-objective function (MOF) is given by MOF=(σ1.ILP+ σ2.ILQ+ σ3.IC+ σ4.IVD+ σ5.ISC)+MVAsys(pu) (6) Where MVA sys(pu) is the total intake from the grid expressed per unit, and =1.0 σp Є [0,1]. (7) Table 1.1 Impact Indices weighting Index weights. ILP Indices σp 0.3 ILQ 0.2 IC 0.25 IVD 0.1 ISC 0.15 These weights are indicated to give the corresponding importance to each impact index for the penetration of DG with load models, and they depend on the required analysis (e.g., planning, operation, etc.). The weighted normalized indices used as the components of the objective function are due to the fact that the indices get their weights by translating their impacts in terms of cost. It is desirable if the total cost is decreased. Table 2 shows the values for the weights used in present work, considering normal operation analysis, and they are selected guided by the weights. However, these values may vary according to engineer concerns. For this analysis, active losses have the higher weight (0.3) since they are important in many applications of DG. The current capacity index (IC) has the second highest weight
  • 27.
    JITENDRA SINGH BHADORIYA-SCHOOLOF INSTRUMENTATION,DEVI AHILYA UNIVERSITY INDORE(M.P.) INDIA 26 (0.25) since it gives important information about the level of currents through the network regarding the maximum capacity of conductors in distribution systems. Protection and selectivity impact (ISC) received a weighting of 0.15 since it evaluates important reliability problems that DG presents in distribution networks. The behavior of the voltage profile (IVD) received a weight of 0.1 due to its power quality impact. The multi-objective function (6) is minimized subject to various operational constraints to satisfy the electrical requirements for a distribution network. These constraints are the following. (1) Power-conservation limits: The algebraic sum of all incoming and outgoing power including line losses over the whole distribution network and power generated from the DG unit should be equal to zero PSS(i, V) = + -PDGi (8) where NOL=number of lines and PD = power demand (MW). (2) Distribution line capacity limits: The power flow through any distribution line must not exceed the thermal capacity of the line: Si ≤ Simax. (9) (3) Voltage limits: The voltage limits depend on the voltage regulation limits provided by the DISCO: Vmin ≤ Vi ≤ Vmax. (10) The implementation of PSO starts by random generation of an initial population of possible solutions. For each solution, size–location pairs of the DG units type and capacity according to homer introduced to the system are chosen within technical limits of locations and sizes of the DG units. Each solution must satisfy the operational constraints represented .If one of these constraints is violated, such a solution is rejected. After generating a population of solutions satisfying the pre-specified constraints, the objective function of each solution (individual) is evaluated. Once the population cycle is initialized, the position of each individual in the solution space is modified using the PSO parameters, e.g., pbest, Gbest, and the agent velocity, to generate the new population. If the DG size and/or location exceed the limit, they are adjusted back within the specified limits (the
  • 28.
    JITENDRA SINGH BHADORIYA-SCHOOLOF INSTRUMENTATION,DEVI AHILYA UNIVERSITY INDORE(M.P.) INDIA 27 boundaries). The operational constraints are then checked. If any of them is violated the new solution is rejected and another one is generated and checked until a solution that satisfies the specified limits is found. The algorithm stops when the maximum number of generations is reached. According to PSO theory, the optimal solution is the best solution ever found throughout the generations (Gbest ). To validate the proposed method, it is applied to the 38-bus system of under the same load conditions and using the same objective function (IMO) and same values of index weights used in to optimally place multi DG unit in the system.
  • 29.
    JITENDRA SINGH BHADORIYA-SCHOOLOF INSTRUMENTATION,DEVI AHILYA UNIVERSITY INDORE(M.P.) INDIA 28 1.6 Thesis Layossut Figure 1.3 Thesis Layout Chapter 3 Distributed Generation (DG) Chapter 4 Particle Swarm Optimization a new Methodology for installation & planning of Distributed Generations (DG) Chapter 5 PSAT -TOOL. By using this mat-lab tool we have simulated IEEE-38 bus system and we have continuation power flow, optimum power flow of the grid. We have found the DG place & capacity on the required bus and also SIMULATION & GRAPHICAL RESULTS with Observation. Chapter 6 Conclusion Chapter 1 Introduction Chapter 2 LITERATURE REVIEW
  • 30.
    JITENDRA SINGH BHADORIYA-SCHOOLOF INSTRUMENTATION,DEVI AHILYA UNIVERSITY INDORE(M.P.) INDIA 29 Summary In this thesis work chapter 1 describes about the centralized electricity paradigm and problem include in this type of system .the solution is carried out by introducing DISTRIBUTED GENERATION (DG) in to the existing grid , by doing so we are able to construct a decentralized electricity paradigm and the problems can be minimize at a greater extent. in this chapter the benefits of distributed generation also presented when DG has inserted in to grid. Problem has been identifying by taking IEEE-38 bus system and before insertion of DG we have to check several load models and impact indices. While inserting DG we should know where and how much capacity of DG should be introduced for this we have taken PSO to determine exact location of DG. At last Thesis layout is given.
  • 31.
    JITENDRA SINGH BHADORIYA-SCHOOLOF INSTRUMENTATION,DEVI AHILYA UNIVERSITY INDORE(M.P.) INDIA 30 Chapter 2 LITERATURE REVIEW
  • 32.
    JITENDRA SINGH BHADORIYA-SCHOOLOF INSTRUMENTATION,DEVI AHILYA UNIVERSITY INDORE(M.P.) INDIA 31 [1]` This paper proposes a multi-objective index-based approach for optimally determining the size and location of multi-distributed generation (multi-DG) units in distribution systems with different load models. It is shown that the load models can significantly affect the optimal location and sizing of DG resources in distribution systems. The proposed multi-objective function to be optimized includes a short circuit level parameter to represent the protective device requirements. The proposed function also considers a wide range of technical issues such as active and reactive power losses of the system, the voltage profile, the line loading, and the Mega Volt Ampere (MVA) intake by the grid. An optimization Technique based on particle swarm optimization (PSO) is introduced. An analysis of the continuation power flow to determine the effect of DG units on the most sensitive buses to voltage collapse is carried out. The proposed algorithm is tested using a 38-bus radial system and an IEEE 30-bus meshed system. Multi-objective optimization analysis, including load models, for size–location planning of distributed generation in distribution systems has been presented. The proposed optimization algorithm was applied to a 38-bus radial test system and an IEEE 30-bus mesh test system. The results showed that the proposed algorithm is capable of optimal and fast placement of DG units. The results clarified the efficiency of this algorithm for improvement of the voltage profile, reduction of power losses, and reduction of MVA flows and MVA intake from the grid, and also for increasing the voltage stability margin and maximum loading. [2] Distributed generators (DGs) sometimes provide the lowest cost solution to handling low-voltage or overload problems. In conjunction with handling such problems, a DG can be placed for optimum efficiency or optimum reliability. Such optimum placements of DGs are investigated. The concept of segments, which has been applied in previous reliability studies, is used in the DG placement. The optimum locations are sought for time-varying load patterns. It is shown that the circuit reliability is a function of the loading level. The difference of DG placement between optimum efficiency and optimum reliability varies under different load conditions. Observations and recommendations concerning DG placement for optimum reliability and efficiency are provided in this paper. Economic considerations are also addressed.
  • 33.
    JITENDRA SINGH BHADORIYA-SCHOOLOF INSTRUMENTATION,DEVI AHILYA UNIVERSITY INDORE(M.P.) INDIA 32 This paper discusses two criteria for the optimal placement of a DG for time- varying loads. One is to maximize the reliability improvement, and the other is to minimize the power loss in the system. A three-circuit example is used for quantitative analysis. It is pointed out that both reliability and losses vary as a function of loading or time. There are additional practical constraints that must be considered, such as what locations are available to the utility for installing the DG. Also, modifying the protection system either due to the additional fault currents supplied by the DG or due to switching operations anticipated are other practical aspects that need to be considered. [4] The distributed generation (DG) plant mix connected to any network section has a considerable impact on the total amount of DG energy exported and on the amount of losses incurred on the network. A new method for the calculation of loss adjustment factors (LAFs) for DG is presented, which determines the LAFs on a site specific and energy resource specific basis. A mixed integer linear program is formulated to optimally utilize the available energy resource on a distribution network section. The objective function incorporates the novel LAFs along with individual generation load factors, facilitating the determination of the optimal DG plant mix on a network section. Results are presented for a sample section of network illustrating the implementation of the optimal DG plant mix methodology for two representative energy resource portfolios. A novel method for the calculation of loss adjustment factors for distributed generation has been presented. These LAFs take account of the average impact of different generation technologies at each bus on losses. The LAFs provide a pricing signal for the optimal DG plant mix, whereby generators’ revenue will increase if they connect at the appropriate bus. These novel LAFs have been incorporated into an optimal plant mix methodology using MILP. This methodology determines the optimal DG plant mix for a section of distribution network subject to a number of constraints. The methodology is tested on two representative energy portfolios, in both cases performing well. Both cases demonstrate that there is significant scope for optimization of the DG plant mix, to maximize both the revenue for the generators and the benefit to society. [6] This paper presents a novel particle swarm optimization based approach to optimally incorporate a distribution generator into a distribution system. The proposed algorithm combines particle swarm optimization with load flow algorithm to solve the problem in a
  • 34.
    JITENDRA SINGH BHADORIYA-SCHOOLOF INSTRUMENTATION,DEVI AHILYA UNIVERSITY INDORE(M.P.) INDIA 33 single step, i.e. finding the best combination of location and size simultaneously. In the developed algorithm, the objective function to be minimized is the total network power losses while satisfying the voltage constraints imposed on the system. It is formulated as constrained mixed integer nonlinear programming problem with the location being discrete. The 69−bus radial distribution system has been used to validate the proposed method. Test results demonstrate the effectiveness and robustness of the developed algorithm. This paper presents solving the optimal DG allocation and sizing problem through applying novel hybrid particle swarm optimization based approach algorithm. By combining the particle swarm optimization with the load flow algorithm the problem was solved in a single step that is finding the best combination of location and sizing simultaneously. The effectiveness of the PSO was demonstrated and tested. The proposed algorithm was tested on 69−bus distribution system to solve the DG mixed integer nonlinear problem with both equality and inequality constraints imposed on the system. The hybrid PSO significantly minimized the distribution network real power losses and converged to the same bus for the DG to be installed in every single run. [11] Recent changes in the energy industry initiated by deregulation have accelerated the introduction of distributed generation at the sub-transmission and distribution levels. In light of the well-known benefits as well as the various issues involved in DG incorporation, this paper proposes two new quadratic voltage profile improvement indices VPI1 and VPI2The primal dual interior-point (PDIP) method has been employed to identify the optimal location and real and reactive power generation on the basis of the newly proposed indices. A simplified model of a 33-bus radial distribution system has been simulated in MATLAB to illustrate the use of the new indices. Employing DG in a distribution system results in several benefits such as increased overall system efficiency, reduced line losses, improved system voltage profile and transmission and distribution capacity relief to both utilities and the customers. This paper has proposed two indices: VPI1 VPI2, to quantify voltage profile improvement in a distribution system. Primal-dual interior-point method has been employed to determine the optimal location for the DG units in a distribution system. [17] Evaluating the technical impacts associated with connecting distributed generation to distribution networks is a complex activity requiring a wide range of network operational
  • 35.
    JITENDRA SINGH BHADORIYA-SCHOOLOF INSTRUMENTATION,DEVI AHILYA UNIVERSITY INDORE(M.P.) INDIA 34 and security effects to be quailed and quantized. One means of dealing with such complexity is through the use of indices that indicate the benefit or otherwise of connections at a given location and which could be used to shape the nature of the contract between the utility and distributed generator. This paper presents a multi objective performance index for distribution networks with distributed generation which considers a wide range of technical issues. Distributed generation is extensively located and sized within the IEEE-34 test feeder, wherein the multi objective performance index is computed for each configuration. Various impact indices were addressed in this work, aimed at characterizing the benefits and negative impacts of DG in distribution networks. Furthermore, a multi objective performance index that relates impact indices by strategically assigning a relevance factor to each index was proposed. Though the selection of values of relevance factors will depend on engineering experience, the presented values solved, in a satisfactory and coherent fashion, the DG location problem, considering different power generation outputs for the IEEE-34 test feeder. Nevertheless, the proposed relevance factors are flexible since electric utilities have different concerns about losses, voltages, protection schemes, etc. This flexibility makes the proposed methodology even more suitable as a tool for finding the most beneficial places where DGs may be located, as viewed from an electric utility technical perspective. [22] This paper proposes an adaptive weight particle swarm optimization (APSO) for solving optimal distributed generation (DG) placement. APSO has ability to control velocity of particles. The objective is to minimize the real power loss within acceptable voltage limits. Four types of DG are considered including DG supplying real power only, DG supplying reactive power only, DG supplying real power and consume reactive power, DG supplying real power and reactive power, representing photovoltaic, synchronous condenser, wind turbines, and hydro power, respectively. The test systems include 33-bus and 69-bus radial distribution systems. With a given number of DGs in each type, APSO could find the optimal sizes and locations of multi-DG which result in less total power system loss than basic particle swarm optimization (BPSO) and repetitive load flow. Moreover, if the number of DG increases from one to three, the total power loss will decrease for all types.
  • 36.
    JITENDRA SINGH BHADORIYA-SCHOOLOF INSTRUMENTATION,DEVI AHILYA UNIVERSITY INDORE(M.P.) INDIA 35 In this paper, APSO is proposed for optimal multi-distributed generation placement. Test results indicate that the PSO-based algorithm is efficiently finding the optimal multi-DG placement, compared to BPSO and repetitive load flows, [27] A concept for the optimization of nonlinear functions using particle swarm methodology is introduced. The evolution of several paradigms is outlined, and an implementation of one of the paradigms is discussed. Benchmark testing of the paradigm is described, and applications, including nonlinear function optimization and neural network training, are proposed. The relationships between particle swarm optimization and both artificial life and genetic algorithms are described, Particle swarm optimization is an extremely wimple algorithm that seems to be effective for optimizing a wide range of functions. We view it as a ]mid-level form of A-life or biologically derived algorithm, occupying the space in nature between evolutionary search, which requires eons, and neural processing, which occurs on the order of milliseconds. Social optimization occurs in the time frame of ordinary experience - in fact, it is ordinary experience. In addition to its ties with A-life, particle swarm optimization has obvious ties with evolutionary computation. Conceptually, it seems to lie somewhere between genetic algorithms and evolutionary programming. It is highly dependent on stochastic processes, like evolutionary programming. The adjustment toward pbest and gbest by the particle swarm optimizer is conceptually similar to the crossover operation utilized by genetic algorithms. It uses the concept of fitness, as do all evolutionary computation paradigms. [37] In this paper, a fuzzy system is implemented to dynamically adapt the inertia weight of the particle swarm optimization algorithm (PSO). Three benchmark functions with asymmetric initial range settings are selected as the test functions. The same fuzzy system has been applied to all the three test functions with different dimensions. The Experimental results illustrate that the fuzzy adaptive PSO is a promising optimization method, which is especially useful for optimization problems with a dynamic environment. In this paper, a fuzzy system is implemented to dynamically adjust the inertia weight to improve the performance of the PSO. Three benchmark functions have been used for
  • 37.
    JITENDRA SINGH BHADORIYA-SCHOOLOF INSTRUMENTATION,DEVI AHILYA UNIVERSITY INDORE(M.P.) INDIA 36 testing the performance of the fuzzy adaptive PSO. For comparison, simulations are conducted for both the fuzzy adaptive PSO and the PSO with a linearly decreasing inertia weight. The simulation results illustrate the performance of PSO is not sensitive To the population size, and the scalability of the PSO is acceptable. [13] Recently, there has been a great interest in the integration of distributed generation units at the distribution level. This requires new analysis tools for understanding system performance. This paper presents a simple methodology for placing a distributed generator with the view of increasing the load ability of the distribution system. The effectiveness of the proposed placement technique is demonstrated in a test distribution system that consists of 30 nodes 32 segments. A methodology is presented in the paper for distributed generator placement in the distribution system for maximizing the load ability of the system. In practice, there will be many factors deciding the location of DG such as fuel availability, land availability and local ordnance, etc. Given a choice, as corroborated through results the weakest bus of the system is the best location for DG to increase the loading margin of the system. [40] This paper presents a genetic algorithm based distributed generator placement technique in a distribution system for minimizing the total real power losses in the system. Both the optimal size and location are obtained as outputs from the genetic algorithm toolbox. The results are verified using two popular power flow analytical tools for distribution system load flow. The paper also evinces the importance of selecting the correct size and suitable location for minimizing the system losses. A genetic algorithm based distributed generator placement technique in a distribution System for reducing the total real power losses in the system is presented in the paper. The genetic algorithm toolbox gives both optimal size and the locations as outputs. These results are verified using two popular load flow programs. This study shows that the proper placement and size of DG units can have a significant impact on system loss reduction. It also shows how improper choice of size would lead to higher losses than the case without DG. However, in practice there will be many constraints to be considered in selecting the site. Given the choices, the correct sizes of DG units should be placed in the right location to enjoy the maximum technical benefits.
  • 38.
    JITENDRA SINGH BHADORIYA-SCHOOLOF INSTRUMENTATION,DEVI AHILYA UNIVERSITY INDORE(M.P.) INDIA 37 [46] This paper describes the Power System Analysis Toolbox (PSAT), an open source Matlab and GNU/Octave-based software package for analysis and design of small to medium size electric power systems. PSAT includes power flow, continuation power flow, optimal power flow, small-signal stability analysis, and time-domain simulation, as well as several static and dynamic models, including nonconventional loads, synchronous and asynchronous machines, regulators, and FACTS. PSAT is also provided with a complete set of user-friendly graphical interfaces and a Simulink-based editor of one-line network diagrams. Basic features, algorithms, and a variety of case studies are presented in this paper to illustrate the capabilities of the presented tool and its suitability for educational and research purposes. This paper has presented a new open-source PSAT which runs on Matlab and GNU/Octave. PSAT comes with a variety of procedures for static and dynamic analysis, several models of standard and unconventional devices, a complete GUI, and a Simulink- based network editor. These features make PSAT suited for both educational and research purposes.
  • 39.
    JITENDRA SINGH BHADORIYA-SCHOOLOF INSTRUMENTATION,DEVI AHILYA UNIVERSITY INDORE(M.P.) INDIA 38 Summary In this chapter brief literature review is presented. Previous work is carried out on distributed generation (DG) planning is discussed. The optimal placement is carried out by different methods are shown. Only main research work papers are considered here for modelling of 38-bus system and optimal placements & penetration power of DG are mainly considered .Research papers shows that after insertion of DG in to grid voltage profile becomes flat , reduction in real power losses & several advantages achieved . PSO is landmark optimization method for complex engineering problems now-days; in last PSAT research paper gave information about its capability & advantages over other power system tools.
  • 40.
    JITENDRA SINGH BHADORIYA-SCHOOLOF INSTRUMENTATION,DEVI AHILYA UNIVERSITY INDORE(M.P.) INDIA 39 Chapter-3 DISTRIBUTED GENERATION (DG) Introduction Distributed Generation Technologies- Distributed Generation Applications The Benefits of Distributed Power. The main characteristics of distributed generation Summary
  • 41.
    JITENDRA SINGH BHADORIYA-SCHOOLOF INSTRUMENTATION,DEVI AHILYA UNIVERSITY INDORE(M.P.) INDIA 40 3.1 Introduction Distributed generation (DG) is not a new concept but it is an emerging approach for providing electric power in the heart of the power system. The concept of distributed Generation, which is now gaining worldwide acceptance, was started in the USA almost a decade ago .Distributed generation (DG) technologies can provide energy solutions to some customers that are more cost-effective, more environmentally friendly, or provide higher power quality or reliability than conventional solutions. Distributed generation is also known as: Back-up generation Stand-by generation Cogeneration Combined Heat and Power (CHP) Renewable generation Remote power There is not a unique definition of Distributed Generation in all respect covering all the relevant issues of that like range, location, and siltation. So we have some exist definitions from different research centers. DPCA (Distributed Power Coalition of America) Distributed power generation is any small-scale power generation technology that provides electric power at a site closer to customers than central station generation. A distributed power unit can be connected directly to the consumer or to a utility's transmission or distribution system. CIGRE (International Conference on High Voltage Electric Systems)
  • 42.
    JITENDRA SINGH BHADORIYA-SCHOOLOF INSTRUMENTATION,DEVI AHILYA UNIVERSITY INDORE(M.P.) INDIA 41 Distributed generation is • Not centrally planned • Today not centrally dispatched • Usually connected to the distribution network • Smaller than 50 or 100 MW IEA (International Energy Agency) Distributed generation is generating plant serving a customer on-site, or providing support to a distribution network, and connected to the grid at distribution level voltages. The technologies generally include engines, small (including micro) turbines, fuel cells and photovoltaic. It does not generally include wind power, since most wind power is produced in wind farms built specifically for that purpose rather than for meeting an on-site power requirement. Arthur D. Little Distributed generation is the integrated or standalone use of small, modular electricity generation resources by utilities, utility customers, and/or third parties in applications that benefit the electric system, specific end-user customers, or both. Cogeneration and combined heat and power (CHP) are included. From a practical perspective, it is a facility for the generation of electricity that may be located at or near end users within an industrial area, a commercial building, or a community. Swedish Electric Power Utilities Distributed generation is a source of electric power connected directly to the distribution network or on the customer site of meter. US Department of Energy Distributed generation - small, modular electricity generators sited close to the customer load that can enable utilities to defer or eliminate costly investments in transmission and distribution (T&D) system upgrades, and provide customers with better quality, more reliable energy supplies and a cleaner environment. INDIA Distributed power means modular electric generation or storage located near the point of use. It includes biomass generators, combustion turbines, micro turbines, engines/generator sets and storage and control technologies. It can be either grid connected or independent. Distributed power connected to the grid is the typically interfaced added distribution
  • 43.
    JITENDRA SINGH BHADORIYA-SCHOOLOF INSTRUMENTATION,DEVI AHILYA UNIVERSITY INDORE(M.P.) INDIA 42 system. Distributed power generation systems range typically from less than a kilowatt (kW) to ten megawatts (MW) in size. By definitions, distributed generation involves the technology of using small-scale power generation technologies located in close proximity to the load being served. The move toward on-site distributed power generation is accelerating because of the impending deregulation and restructuring of the utility industry. In the appropriate configuration, distributed generation technologies can improve power quality, boost system reliability, reduce energy costs and help delay or defray substantial utility capital investment. It mainly depends upon the installation and operation of a portfolio of small size, compact, and clean electric power generating units at or near an electrical load (customer). The premise of distributed generation is to provide electricity to a customer at a reduced cost and more efficiently with reduced losses than the traditional utility central generating plant with transmission and distribution wires. Other benefits that distributed generation could potentially provide, depending on the technology, include reduced emissions, utilization of waste heat, improved power quality and reliability and deferral f transmission or distribution upgrades. Distributed power generation or simply distributed - generation (DG), is in the focal point when it comes to providing possible solutions for a number of socio-economic energy problems that have taken on Considerable importance as we move into the new millennium. The enhanced efficiency, environmental friendliness, flexibility and scalability of the emerging technologies involved in distributed generation have put these systems at the forefront of solutions to provide power generation for the future. Moving away from the classical "standby" image of small generator sets and battery based UPS, the use of DG is expected to grow through a wide range of applications . In many parts of the world, where there is no power grid, DG can be the only source of power. On the other hand, in regions well provided with power supply networks, there are few who contemplate totally replacing connection to the grid by complete reliance on DG, and it is this aspect of integration of DG into the network that has led to a number of issues which need to be resolved. The issues involve, not only technical aspects of introducing DG as a
  • 44.
    JITENDRA SINGH BHADORIYA-SCHOOLOF INSTRUMENTATION,DEVI AHILYA UNIVERSITY INDORE(M.P.) INDIA 43 power source in the network, but also safety and financial concerns of the utility companies, and inherently, the costs of installing DG with connections to the grid. DGs are close to the end users, their capacity is small and can operate independently or Grid- connected. The application of DGs can improve the security and reliability of electricity supply. DGs are based on the development of power electronic, computer, communication and control technology. The traditional network topology will be changed by introducing a large number of power electronic devices, thus there will be uncertainty generating to network stability. DGs can generate power in time, and reduce the operate failure to improve the stability of the power system. With the appropriate layout and voltage regulation, DGs can mitigate the voltage dips and improve voltage regulation ability and reliability of the system . This is also the main reason for the rapid development of DGs in recent years. Till now, not all DG technologies and types are economic, clean or reliable. Some literature studies delineating the future growth of DGs are: a) The Public Services Electric and Gas Company (PSE&G), New Jersey, started to participate in fuel cells (FCs) and photovoltaic’s (PVs) from 1970 and micro- turbines (MTs) from 1995 till now. PSE&G becomes the distributor of Honeywell’s 75kW MTs in USA and Canada. Fuel cells are now available in units range 3–250kW size. b) The Electric Power Research Institutes (EPRI) study shows that by 2010, DGs will take nearly 25% of the new future electric generation, while a National Gas Foundation study indicated that it would be around 30%. Surveying DG concepts may include DG definitions, technologies, applications, sizes, locations, DG practical and operational limitations, and their impact on system operation and the existing power grid. This work focuses on surveying different DG types, technologies, definitions, their operational constraints, placement and sizing with new methodology particle swarm optimization. Furthermore, we aim to present a critical survey by proposing new DG in to conventional grid to make it smart grid.
  • 45.
    JITENDRA SINGH BHADORIYA-SCHOOLOF INSTRUMENTATION,DEVI AHILYA UNIVERSITY INDORE(M.P.) INDIA 44 3.2 Distributed Generation Technologies- There are different types of DGs from the constructional and technological points of view as shown in Fig. 1. These types of DGs must be compared to each other to help in taking the decision with regard to which kind is more suitable to be chosen in different situations. However, in our work we are concerned with the technologies and types of the new emerging DGs: micro-turbines and fuel cells. The different kinds of distributed generation Technologies are discussed below. Often the term distributed generation is used in combination with a certain generation technology category, e.g. renewable energy technology. According to our definition, however, the technology that can be used is not limited. DG technologies can meet the needs of a wide range of users, with applications in the residential, commercial, and industrial sectors. Decision makers at all levels need to be aware of the potential benefits DG can offer. In some instances, DG technologies can be more cost effective than conventional solutions.
  • 46.
    JITENDRA SINGH BHADORIYA-SCHOOLOF INSTRUMENTATION,DEVI AHILYA UNIVERSITY INDORE(M.P.) INDIA 45 Table 3. 1 Technologies for distributed generation Technology Typical available size per module Wind turbine 200 Watt–3 MW Micro-Turbines 35 kW–1 MW Combined cycle gas T. 35–400 MW Internal combustion engines 5 kW–10 MW Combustion turbine 1–250 MW Small hydro 1–100 MW Micro hydro 25 kW–1 MW Photovoltaic arrays 20 Watt–100 kW Solar thermal, central receive 1–10 MW Solar thermal, Lutz system 10–80 MW Biomass, e.g. based on gasification 100 kW–20 MW Fuel cells, phos acid 200 kW–2 MW Fuel cells, molten carbonate 250 kW–2 MW Fuel cells, proton exchange 1 kW–250 kW Fuel cells, solid oxide 250 kW–5 MW Geothermal 5–100 MW Ocean energy 100 kW–1 MW Stirling engine 2–10 kW Battery storage 500 kW–5 MW
  • 47.
    JITENDRA SINGH BHADORIYA-SCHOOLOF INSTRUMENTATION,DEVI AHILYA UNIVERSITY INDORE(M.P.) INDIA 46 3.2.1 Reciprocating Engines Reciprocating engines, developed more than 100 years ago, were the first of the fossil fuel- driven DG technologies. Both Otto (spark ignition) and Diesel cycle (compression ignition) engines have gained widespread acceptance in almost every sector of the economy and are in applications ranging from fractional horsepower units powering small hand-held tools to60 MW base load electric power plants. Reciprocating engines are ones in which pistons move back and forth in cylinders. Reciprocating engines are a subset of internal combustion engines which also include rotary engines. Smaller engines are primarily designed for transportation and can be converted to power generation with little modification. Larger engines are, in general, designed for power generation, mechanical drive, or marine propulsion. Reciprocating engines are currently available from many manufacturers in all DG size ranges. For DG applications, reciprocating engines offer low costs and good efficiency, but maintenance requirements are high, and diesel-fueled units have high emissions. 3.2.2 Micro-turbine (MT) Micro-turbine technologies are expected to have a bright future. They are small capacity combustion turbines, which can operate using natural gas, propane, and fuel oil. In a simple form, they consist of a compressor, combustor, recuperate small turbine, and generator. Sometimes, they have only one moving shaft, and use air or oil for lubrication. MTs are small scale of 0.4–1m3 in volume and 20–500kW in size. Unlike the traditional combustion turbines, MTs run at less temperature and pressure and faster speed (100,000 rpm), which sometimes require no gearbox. Some existing commercial examples have low costs, good reliability, fast speed with air foil bearings ratings range of 30–75kW are installed in North-eastern US and Eastern Canada and Argentina by Honeywell Company and 30–50kW for Capstone and Allison/GE companies, respectively . Another example is ABB MT: of size 100kW, which runs at maximum power with a speed of 70,000 rpm and has one shaft with no gearbox where the turbine, compressor, and a special designed high speed generator are on the same shaft.
  • 48.
    JITENDRA SINGH BHADORIYA-SCHOOLOF INSTRUMENTATION,DEVI AHILYA UNIVERSITY INDORE(M.P.) INDIA 47 Consist of LIKE Such as Fig.3.1 . Distributed generation types and technologies. Distributed Generation type and Technologies Non-traditional generatorsTraditional Generators Combustion Engines MICRO TURBINE MT Natural gas turbine Simple cycle Combined cycleRecuperated cycle Electrochemical device Storage device Renewable device Fuel cells Batterie s Flywheels (PV) Wind Turbine (WT)
  • 49.
    JITENDRA SINGH BHADORIYA-SCHOOLOF INSTRUMENTATION,DEVI AHILYA UNIVERSITY INDORE(M.P.) INDIA 48 3.2.3 Electrochemical devices: fuel cell (FC) The fuel cell is a device used to generate electric power and provide thermal energy from chemical energy through electrochemical processes. It can be considered as a battery supplying electric energy as long as its fuels are continued to supply. Unlike batteries, FC does not need to be charged for the consumed materials during the electrochemical process since these materials are continuously supplied. FC is a well-known technology from the early 1960s when they were used in the Modulated States Space Program and many automobile industry companies. Later in 1997, the US Department of Energy tested gasoline fuel for FC to study its availability for generating electric power. FC capacities vary from kW to MW for portable and stationary units, respectively. 3.2.4 The Internal Combustion Engine: The most important instrument of the DG systems around the world has been the Internal Combustion Engine. Hotels, tall buildings, hospitals, all over the world use diesels as a back-up. Though the diesel engine is efficient, starts up relatively quickly, it is not environment friendly and has high O & M costs. Consequently its use in the developed world is limited. In India, the diesel engine is used very widely on account of the immediate need for power, especially in rural areas, without much concern either for long- term economics or for environment. 3.2.5 Biomass Based on Gasification Biomass gasifier systems of up to 500 kW capacity based on fuel wood have been indigenously developed and being manufactured in the country. Technology for producing biomass briquettes from agricultural residues and forest litter at both household and industry levels has been developed. A total capacity of 51.3 MW has so far been installed, mainly for stand-alone applications. 3.2.6 Wind Turbine Systems Windmills have been used for many years to harness wind energy for mechanical work such as pumping water. Before the Rural Electrification Act in the 1920’s provided funds to extend electric power to outlying areas, farms were using windmills to produce electricity with electric generators. In the US alone, eight million mechanical windmills have been installed. Wind energy became a significant topic in the 1970s during the energy crisis in the U.S. and the resulting search for potential renewable energy sources. Wind
  • 50.
    JITENDRA SINGH BHADORIYA-SCHOOLOF INSTRUMENTATION,DEVI AHILYA UNIVERSITY INDORE(M.P.) INDIA 49 turbines, basically wind mills dedicated to producing electricity, were considered the most economically viable choice with in the renewable energy portfolio. During this time, subsidies in the form of tax credits and favorable Federal regulations were available for wind turbine projects to encourage the penetration of wind turbines and other renewable energy sources. Today, attention has remained]focused on this technology as an environmentally sound and convenient alternative. Wind turbines can produce electricity without requiring additional investments in infrastructure such as new transmission lines, and are thus commonly employed in remote locations. Most wind turbines currently being used are small units (less than 5 kW) designed for the residential sector or larger units installed by electric companies so they can sell green power to their customers. 3.2.7 Storage devices It consists of batteries, flywheels, and other devices, which are charged during low load demand and used when required. It is usually combined with other kinds of DG types to supply the required peak load demand. These batteries are called “deep cycle”. Unlike car batteries, “shallow cycle” which will be damaged if they have several times of deep discharging, deep cycle batteries can be charged and discharged a large number of times without any failure or damage. These batteries have a charging controller for protection from overcharge and over discharge as it disconnects the charging process when the batteries have full charge. The sizes of these batteries determine the battery discharge period. However, flywheels systems can charge and provide 700kW in 5 s. 3.2.8 Renewable devices Green power is a new clean energy from renewable resources like; sun, wind, and water. Its electricity price is still higher than that of power generated from conventional oil sources. 3.2.9 Gas Turbines: gas turbines are widely used for electricity generation thanks to the regulatory incentives induced to favor fuel diversification towards natural gas and thanks to their low emission levels. Conversely to reciprocating engines, gas turbines ordered over the period covered by the survey were widely used as continuous generators (58%), 18% were used as standby generators and 24% as peaking generators (DGTW, 2008). Gas turbines are Widely used in cogeneration;
  • 51.
    JITENDRA SINGH BHADORIYA-SCHOOLOF INSTRUMENTATION,DEVI AHILYA UNIVERSITY INDORE(M.P.) INDIA 50 DG capacities are not restrictedly defined as they depend on the user type (utility or customer) and/or the used applications. These levels of capacities vary widely from one unit to a large number of units connected in a modular form. Table 3.2 Comparison between common energy types for power and time duration Power supplied period DG type Remarks Long period supply Gas turbine and FC stations Provide P and Q except FC provides P only. Used as base load provider. Unsteady supply Renewable energy systems; PV arrays, WT Depend on weather conditions. Provide P only and need a source of Q in the network. Used in remote places. Need control on their operation in some applications. Short period supply FC storage units, batteries, PV cells Used for supply continuity. Store energy to use it in need times for a short period. 3.3 Distributed Generation Applications Distributed generation (DG) is currently being used by some customers to provide some or all of their electricity needs. There are many different potential applications for DG technologies. For example, some customers use DG to reduce demand charges imposed by their electric utility, while others use it to provide premium power or reduce environmental emissions. DG can also be used by electric utilities to enhance their distribution systems.
  • 52.
    JITENDRA SINGH BHADORIYA-SCHOOLOF INSTRUMENTATION,DEVI AHILYA UNIVERSITY INDORE(M.P.) INDIA 51 Many other applications for DG solutions exist. The following is a list of those of potential interest to electric utilities and their customers. Continuous Power - In this application, the DG technology is operated at least 6,000 hours a year to allow a facility to generate some or all of its power on a relatively continuous basis. Important DG characteristics for continuous power include: · High electric efficiency, · Low variable maintenance costs, and · Low emissions. Currently, DG is being utilized most often in a continuous power capacity for industrial Application such as food manufacturing, plastics, rubber, metals and chemical production. Commercial sector usage, while a fraction of total industrial usage, includes sectors such as grocery stores and hospitals. Combined Heat and Power (CHP) - Also referred to as Cooling, Heating, and Power or Cogeneration, this DG technology is operated at least 6,000 hours per year to allow a facility to generate some or all of its power. A portion of the DG waste heat is used for water heating, space heating, steam generation or other thermal needs. In some instances this thermal energy can also be used to operate special cooling equipment. Important DG characteristics for combined heat and power include: · High useable thermal output (leading to high overall efficiency), · Low variable maintenance costs, and · Low emissions. CHP characteristics are similar to those of Continuous Power, and thus the two applications have almost identical customer profiles, though the high thermal demand necessary here is not a requisite for Continuous Power applications. As with Continuous Power, CHP is most commonly used by industry clients, with a small portion of overall installations in the commercial sector. Peaking Power - In a peaking power application, DG is operated between 200-3000 hours per year to reduce overall electricity costs. Units can be operated to reduce the utility’s demand charges, to defer buying electricity during high-price periods, or to allow for lower rates from power providers by smoothing site demand. Important DG characteristics for peaking power include:
  • 53.
    JITENDRA SINGH BHADORIYA-SCHOOLOF INSTRUMENTATION,DEVI AHILYA UNIVERSITY INDORE(M.P.) INDIA 52 · Low installed cost, · Quick startup, and · Low fixed maintenance costs. Peaking power applications can be offered by energy companies to clients who want to reduce the cost of buying electricity during high-price periods. Currently DG peaking units are being used mostly in the commercial sector, as load factors in the industrial sector are relatively flat. The most common applications are in educational facilities, lodging, miscellaneous retail sites and some industrial facilities with peaky load profiles. Green Power - DG units can be operated by a facility to reduce environmental emissions from generating its power supply. Important DG characteristics for green power applications include: · Low emissions, · High efficiency, and · Low variable maintenance costs. Green power could also be used by energy companies to supply customers who want to purchase power generated with low emissions. Premium Power - DG is used to provide electricity service at a higher level of reliability and/or power quality than typically available from the grid. The growing premium power market presents utilities with an opportunity to provide a value-added service to their clients. Customers typically demand uninterrupted power for a variety of applications, and for this reason, premium power is broken down into three further categories: Emergency Power System - This is an independent system that automatically provide electricity within a specified time frame to replace the normal source if it fails. The system is used to power critical devices whose failure would result in property damage and/or threatened health and safety. Customers include apartment, office and commercial buildings, hotels, schools, and a wide range of public gathering places. Standby Power System - This independent system provides electricity to replace the normal source if it fails and thus allows the customer’s entire facility to continue to operate satisfactorily. Such a system is critical for clients like airports, fire and police stations, military bases, prisons, water supply and sewage treatment plants, natural gas transmission and distribution systems and dairy farms.
  • 54.
    JITENDRA SINGH BHADORIYA-SCHOOLOF INSTRUMENTATION,DEVI AHILYA UNIVERSITY INDORE(M.P.) INDIA 53 True Premium Power System - Clients who demand uninterrupted power, free of all power quality problems such as frequency variations, voltage transients, dips, and surges, use this system. Power of this quality is not available directly from the grid – it requires both auxiliary power conditioning equipment and either emergency or standby power. Alternatively, a DG technology can be used as the primary power source and the grid can be used as a backup. This technology is used by mission critical systems like airlines, banks, insurance companies, communications stations, hospitals and nursing homes. Important DG characteristics for premium power (emergency and standby) include: • Quick startup, • Low installed cost, and • Low fixed maintenance costs. Transmission and Distribution Deferral - In some cases, placing DG units in strategic locations can help delay the purchase of new transmission or distribution systems and equipment such as distribution lines and substations. A thorough analysis of the life-cycle costs of the various alternatives is critical and contractual issues relating to equipment deferrals must also be examined closely. Important DG characteristics for transmission and distribution deferral (when used as a “peak deferral”) include: · Low installed cost, and · Low fixed maintenance costs. Transmission and distribution DG applications in the U.S. are rare and are not discussed in the main sections of this report. Ancillary Service Power - DG is used by an electric utility to provide ancillary services (interconnected operations necessary to effect the transfer of electricity between purchaser and seller) at the transmission or distribution level. The market for ancillary services is still unfolding in the U.S., but in markets where the electric industry has been deregulated and ancillary services unbundled (in the United Kingdom, for example), DG applications offer advantages over currently employed technologies. Ancillary services include spinning reserves (unloaded generation, which is synchronized and ready to serve additional demand) and non-spinning, or supplemental, reserves (operating reserve is not connected to the system but is capable of serving demand within a specific time or interruptible demand that can be removed from the system within a specified time). Other potential services range from transmission market reactive supply and voltage control, which uses generating facilities to maintain a proper transmission line voltage, to distribution level local area
  • 55.
    JITENDRA SINGH BHADORIYA-SCHOOLOF INSTRUMENTATION,DEVI AHILYA UNIVERSITY INDORE(M.P.) INDIA 54 security, which provides back up power to end users in the case of a system fault. The characteristics that may influence the adoption of DG technologies for ancillary service applications will vary according to the service performed and the ultimate shape of the ancillary service market. Ancillary service DG applications in the India. Distributed power technologies are typically installed for one or more of the following purposes: (i) Overall load reduction – Use of energy efficiency and other energy saving measures for reducing total consumption of electricity, sometimes with supplemental power generation. (ii) Independence from the grid – Power is generated locally to meet all local energy needs by ensuring reliable and quality power under two different models. a. Grid Connected – Grid power is used only as a back up during failure of maintenance of the onsite generator. b. Off grid – This is in the nature of stand-alone power generation. In order to attain self-sufficiency it usually includes energy saving approaches and an energy storage device for back-up power. This includes most village power applications in developing countries. (iii) Supplemental Power- Under this model, power generated by the grid is augmented with distributed generation for the following reasons: - a. Standby Power- Under this arrangement power availability is assured during grid outages. b. Peak shaving – Under this model the power that is locally generated is used for reducing the demand for grid electricity during the peak periods to avoid the peak demand charges imposed on big electricity users. (iv) Net energy sales – Individual homeowners and entrepreneurs can generate more electricity than they need and sell their surplus to the grid. Co-generation could fall into this category.
  • 56.
    JITENDRA SINGH BHADORIYA-SCHOOLOF INSTRUMENTATION,DEVI AHILYA UNIVERSITY INDORE(M.P.) INDIA 55 (v) Combined heat and power - Under this model waste heat from a power generator is captured and used in manufacturing process for space heating, water heating etc. in order to enhance the efficiency of fuel utilization. (vi) Grid support – Power companies resort to distributed generation for a wide variety of reasons. The emphasis is on meeting higher peak loads without having to invest in infrastructure (line and sub-station upgrades). 3.4 The Benefits of Distributed Power. DG is a competitive power generation in the future electricity market. Application of DG brings the following advantages to electric power system operation . 1) DG is a useful addition for a large power grid: as the implementation of networking, the emergence of AC/ DC hybrid transmission system and electricity market reforms, the loss of accident caused by major power system blackouts has a great relationship with a reasonable and feasible "Black Start" program. In DG the hydro and gas turbine with easy start and fast recovery characteristics, can be used as black start power supply. 2) DG can be used for military and humanitarian tasks: electrical safety is an important component of national security. Large power grids are vulnerable to the destruction of war or terrorism or catastrophe, it will seriously endanger national security. Such as the Kosovo War and the Gulf war. after "911 event", many experts proposed developing DG is an effective means to solve these electrical safety issues, such as from the support of Isolated small villages to the support of entire large operational plan can take advantage of DG. 3) DG can make up the deficiency of large power grids stability: When electric power system is failure, it can provide emergency power support, making use of local DG technology which can launch to gradual recovery important load of local power grid in a short time, then it will ensure electricity supply of important users, but also will prevent system accident to expand. It not only increases power grid flexibility, and improves power quality, increases reliability. 4) Need not build power transformer and distribution station: With the development of social, Load fluctuations is increasing, for short-term peak load, the investment of building power plants is large and economically inefficient, but a great deal of nearby supply power reduces transmission and distribution investment,
  • 57.
    JITENDRA SINGH BHADORIYA-SCHOOLOF INSTRUMENTATION,DEVI AHILYA UNIVERSITY INDORE(M.P.) INDIA 56 and line losses is small. Reduction of transmission and distribution lines can reduce outlet corridor, reduce electromagnetic pollution of high voltage transmission lines. 5) High efficiency and environmental protection: DG's environmental protection performance is excellent, it has high energy efficiency up to 65% to 95%. DG also makes study of using clean energy and renewable energy to generate electricity possible. Fuel cells, solar photovoltaic, Solar thermal collectors power, wind power will be effectively applied. 6) can break the power monopoly: In recent years, China has continuously carried the electricity market reform, the intent is to introduce competition, lower costs of power production and supply, optimize resource allocation. DG can contribute to the realization of these purposes. Because DG investment is small, construction time of installation is short,so it is conducive to investment of independent power producers, which can realize the power industry market 7) can promote the sustainable development of China's economy: In order to support sustainable development of China's economic growth, China need to increase power capacity, expand power production. If using the traditional power generation mode, it will pose a great threat to energy supply in China. Another constraint can not be ignored is serious environmental pollution caused by the large number of fossil energy consumption and large amounts of greenhouse gas emissions. Active using renewable energy and developing DG can ensure sustainable economic development. 8) can achieve load power demand in remote areas: Remote area load is too far away from the existing power system, it is too much investment to built transmission and distribution systems; and because of natural conditions are too harsh, from the existing power system to user's transmission line is fully impossible to set up or after the completion it will often fail. Using DG mode such as small hydropower, wind power, solar photovoltaic and biomass power generation is an effective method to solve users electricity in remote areas . Energy consumers, power providers and all other state holders are benefited in their own ways by the adoption of distributed power. The most important benefit of distributed power stems from its flexibility, it can provide power where it is needed and when it is needed. The major benefits of distributed power to the various stakeholders are as follows:
  • 58.
    JITENDRA SINGH BHADORIYA-SCHOOLOF INSTRUMENTATION,DEVI AHILYA UNIVERSITY INDORE(M.P.) INDIA 57 3.4.1 Major Potential Benefits of Distributed Generation Consumer-Side Benefits: Better power reliability and quality, lower energy cost, wider choice in energy supply options, better energy and load management and faster response to new power demands are among the major potential benefits that can accrue to the consumers. Grid –Side Benefits: The grid benefits by way of reduced transmission and distribution losses, reduction in upstream congestion on transmission lines, optimal use of existing grid assets, higher energy conversion efficiency than in central generation and improved grid reliability. Capacity additions and reductions can be made in small increments closely matching the demands instead of constructing Central Power Plants which are sized to meet a estimated future rather than current demand under distributed generation. Energy Shortage –States likes California and New York that experienced energy shortages decided to encourage businesses and homeowners to install their own generating capacity and take less power from the grid. The California Public Utilities Commission for instance approved a programme of 125 US million $ incentives programme to encourage businesses and homeowners to install their own generating capacity and take less power from the grid. In the long run the factors enumerated below would play a significant part in the development of distributed generation. Digital Economy –Though the power industry in the USA met more than 99% of the power requirements of the computer based industries, these industries found that even a momentary fluctuation in power supply can cause computer crashes. The industries, which used computer, based manufacturing processes shifted to their own back-up systems for power generation. Continued Deregulation of Electricity Markets – The progressive deregulation of the electricity markets in the USA led to violent price fluctuations because the power generators, who were not allowed to enter into long-term wholesale contracts, had to pass on whatever loss they suffered only on the spot markets. In a situation like that in California where prices can fluctuate by the hour, flexibility to switch onto and off the grid
  • 59.
    JITENDRA SINGH BHADORIYA-SCHOOLOF INSTRUMENTATION,DEVI AHILYA UNIVERSITY INDORE(M.P.) INDIA 58 alone gives the buyer the strength to negotiate with the power supplier on a strong footing. Distributed generation in fact is regarded as the best means of ensuring competition in the power sector. Both in the USA and UK the process of de-regulation did not make smooth progress on account of the difficulties created by the regulated structure of the power market and a monopoly enjoyed the dominant utilities. In fact, the current situation in the United States in the power sector is compared to the situation that arose in the Telecom Sector on account of the breakup of AT&T Corporation’s monopoly 20 years ago. In other words distributed generation is a revolution that is caused by profound regulatory change as well as profound technical change. 3.5 The main characteristics of distributed generation As seen in the chapter-1, distributed generation is The main drivers behind the revival of distributed generation has been historically used in several ways to complement centralized generation. The reason behind the recent revival of distributed generation is two-fold: The liberalization of the electricity markets and concerns over greenhouse gas emissions. The electricity and gas deregulation process started in Europe following the application of two directives aimed at providing a free flow of gas and electricity across the continent. These directives and the subsequent legislation created a new framework making it possible for distributed generators to increase their share in the total electricity generation mix. The effect of deregulation is two-fold (IEA, 2002): • Thanks to the reduction of barriers to entry and clearer prices signals, distributed generators were able to move in niche markets and exploit failures of centralized generation. These new applications took the form of standby capacity generators, peaking generators (i.e. producing electricity only in case of high price and consumption periods), generators improving reliability and power capacities, generators providing a cheaper alternative to network use or expansion, provision of grid support (i.e. provision of ancillary services permitting better and safer operation of the network and/or shortening the recovery time) • As distributed generators tend to be of smaller size and quicker to build, they have been able to benefit from price premiums. Geographical and operational flexibility made it possible to set up distributed generators in Congested areas or use it only during consumption peaks. Besides, for small excess demand, it is often
  • 60.
    JITENDRA SINGH BHADORIYA-SCHOOLOF INSTRUMENTATION,DEVI AHILYA UNIVERSITY INDORE(M.P.) INDIA 59 uneconomical to build an additional centralized generation plant whereas with lower CAPEX and capacities, distributed generation might come in handy (IEA, 2002). The second driver behind the rebirth of distributed generation is to be related to environmental constraints. Environmental and economic constraints led to look for cleaner and more efficient use of energy. Distributed generation has been able to achieve this target. The current model for electricity generation and distribution in the United States is dominated by centralized power plants. The power at these plants is typically combustion (coal, oil, and natural) or nuclear generated. Centralized power models, like this, require distribution from the center to outlying consumers. Current substations can be anywhere from 10s to 100s of miles away from the actual users of the power generated. This requires transmission across the distance. This system of centralized power plants has many disadvantages. In addition to the transmission distance issues, these systems contribute to greenhouse gas emission, the production of nuclear waste, inefficiencies and power loss over the lengthy transmission lines, environmental distribution where the power lines are constructed, and security related issues. Many of these issues can be mediated through distributed energies. By locating, the source near or at the end-user location the transmission line issues are rendered obsolete. Distributed generation (DG) is often produced by small modular energy conversion units like solar panels. As has been demonstrated by solar panel use in the United States, these units can be stand-alone or integrated into the existing energy grid. Frequently, consumers who have installed solar panels will contribute more to the grid than they take out resulting in a win-win situation for both the power grid and the end-user.
  • 61.
    JITENDRA SINGH BHADORIYA-SCHOOLOF INSTRUMENTATION,DEVI AHILYA UNIVERSITY INDORE(M.P.) INDIA 60 Summary Introduction of Distributed Generation is given along-with the definition of DG according to different research organizations. Different DG technologies are presented depending on the situation, and duration of services. All types of DG are considered for the insertion in grid like micro-turbine (MT), PV, wind-turbine etc. Several advantages & application of distributed power are introduced over the convention electricity paradigm such as green power, continuous power , net reduction in overall load etc., also major potential benefits of DG described taking considering to digital economy, grid-consumer side benefits and energy shortage. In the last characteristics of DG have discussed converting centralized electricity paradigm in to continuous deregulation of electricity system.
  • 62.
    JITENDRA SINGH BHADORIYA-SCHOOLOF INSTRUMENTATION,DEVI AHILYA UNIVERSITY INDORE(M.P.) INDIA 61 Chapter-4 Particle Swarm Optimization (PSO) Background of Artificially Intelligence PSO as A Optimization Tool Algorithm of PSO Superiority of PSO Summary
  • 63.
    JITENDRA SINGH BHADORIYA-SCHOOLOF INSTRUMENTATION,DEVI AHILYA UNIVERSITY INDORE(M.P.) INDIA 62 4.1 Background of Artificially Intelligence The term artificial intelligence denotes behavior of a machine which, if a human behaves in the same way, is considered intelligent. The term "Artificial Intelligence" (AI) is used to describe research into human-made systems that possess some of the essential properties of life. AI includes two-folded research topic. •AI studies how computational techniques can help when studying biological phenomena • AI studies how biological techniques can help out with computational problems. Christopher Langton (1988) has defined artificial life as “the study of man-made systems that exhibit behaviors characteristic of natural living systems.” In the same paper, he states, “Life is a property of form, not matter . . .” If we accept Langton’s premise, then we would have to admit that the similarity between an artificial-life program and life itself may be somewhat stronger than the usual kind of analogy. We will avoid declaring that computer programs live that it is unsettlingly difficult sometimes to draw the line between a phenomenon and a simulation of that phenomenon. A fact that computers actually cannot differentiate between representations of numbers and representations of symbols and therefore have the capability to do symbol processing as easily as they do number processing. In its most common form, this type of system is called an expert system (ES). The ES originated in laboratories conducting research into ways in which digital machines might be made to mimic intelligent human behavior. The nature of the research involved caused the term artificial intelligence (AI) to be applied to it and to all of the technology developed from it. In spite of the wide use of the resultant technology, it is not always clear what the specific meaning of the term is, or how problems can be identified as candidates for application of the methodology. A new class of computer systems has emerged which makes extensive use of the fact that computers operate equally well in processing either numbers or symbols. The best known of the systems which exploit this capability are the expert systems coming into wide use in industry. The research from which these systems are derived is called artificial Intelligence. In spite of the popularity of systems based on this technology, there is still confusion about the meaning of the terms, and how the technology can be effectively used.
  • 64.
    JITENDRA SINGH BHADORIYA-SCHOOLOF INSTRUMENTATION,DEVI AHILYA UNIVERSITY INDORE(M.P.) INDIA 63 The various methodologies in use and their respective strengths are existing. Important factors to be considered in selecting a problem are mentioned, followed by a discussion of the hardware and software tools available. The inclusion of tools includes an evaluation of the kinds of systems for which they seem to be best suited. It is intended that the potential user of AI get sufficient information from this review not only to identify the utility of the AI approach to his specific problems, but also to be able to define reasonable limits for his expectations. It must be emphasized at the beginning that the tools of AI provide a means by which human expertise may be captured in a machine, thus allowing it to solve problems previously solved only by the human. They do not allow solutions of problems which have never been solved before, or for which the solution procedures are not implied by successful human behavior. This is the foundation for the proposed definition of artificial intelligence. AI technology does provide a set of tools which allow some aspects of human behavior to be easily transferred to a machine, and the techniques used encourage a new kind of thought about the nature of such behaviors, because they focus attention on the type of knowledge involved, as well as a plausible representation of it. They provide a framework for implementation of a known, but inexact, method of solving a problem. They do not provide the solution itself. The capability provided therefore resembles most closely a new form of calculus, which may or may not be applicable to the problem at hand. It is still necessary for the user to choose a specific technique, based on his understanding of the behavior involved and the structure of the problem. The user must supply all the information, knowledge structures, and operations needed. It is therefore better to refer to the new type of endeavor as knowledge engineering, and the systems created as knowledge-based systems. The resulting system will always be limited to the subset of human knowledge embedded in it. The focus of this research work is on the second topic. Actually, there are already lots of computational techniques inspired by biological systems. For example, artificial neural network is a simplified model of human brain; genetic algorithm is inspired by the human evolution. Here we discuss another type of biological system - social system, more specifically, the collective behaviors of simple individuals interacting with their environment and each other. Someone called it as swarm intelligence. All of the simulations utilized local processes, such as those modeled by cellular automata, and might underlie the unpredictable group dynamics of social behavior. Some popular examples are bees and birds. Both of the simulations were created to interpret the movement of organisms in a bird flock or fish
  • 65.
    JITENDRA SINGH BHADORIYA-SCHOOLOF INSTRUMENTATION,DEVI AHILYA UNIVERSITY INDORE(M.P.) INDIA 64 school. These simulations are normally used in computer animation or computer aided design. There are two popular swarm inspired methods in computational intelligence areas: Ant colony optimization (ACO) and particle swarm optimization (PSO). ACO was inspired by the behaviors of ants and has many successful applications in discrete optimization problems. Particle swarm optimization has been used for approaches that can be used across a wide range of applications, as well as for specific applications focused on a specific requirement. The particle swarm concept originated as a simulation of simplified social system. The original intent was to graphically simulate the choreography of bird of a bird block or fish school. However, it was found that particle swarm model could be used as an optimizer. 4.2 PSO as a Optimization Tool Particle swarm optimization (PSO) is an evolutionary computation technique developed by Kennedy and Eberhart in 1995 (Kennedy and Eberhart 1995; Eberhart and Kennedy, 1995; Eberhart, Simpson, and Dobbins 1996). Particle Swarm Optimization (PSO) is a computational intelligence method for solving global optimization problems. It was originally proposed by J. Kennedy as an emulation of the behavior of birds’ swarms and fish school while searching for food. It was introduced as an optimization method. Through cooperation and competition among the population, population-based optimization approaches often can find very good solutions efficiently and effectively. Most of the population based search approaches are motivated by evolution as seen in nature. Four well- known examples are genetic algorithms, evolutionary programming, evolutionary strategies and genetic programming. Particle swarm optimization (PSO), on the other hand, is motivated from the simulation of social behavior. Nevertheless, they all work in the same way that is, updating the population of individuals by applying some kinds of operators according to the fitness information obtained from the environment so that the individuals of the population can be expected to move towards better solution areas. Particle swarm optimization has roots in two main component methodologies. Perhaps more obvious are its ties to artificial life (A-life) in general, and to bird flocking, fish schooling, and swarming theory in particular. It is also related, however, to evolutionary
  • 66.
    JITENDRA SINGH BHADORIYA-SCHOOLOF INSTRUMENTATION,DEVI AHILYA UNIVERSITY INDORE(M.P.) INDIA 65 Computation, and has ties to both genetic algorithms and evolution strategies. Particle swarm optimization comprises a very simple concept, and paradigms are implemented in a few lines of computer code. It requires only primitive mathematical operators, and is computationally inexpensive in terms of both memory requirements and speed. Early testing has found the implementation to be effective with several kinds of problems. Many areas in power systems require solving one or more nonlinear optimization problems. While analytical methods might suffer from slow convergence and the curse of dimensionality, heuristics-based swarm intelligence can be an efficient alternative. Particle swarm optimization (PSO), part of the swarm intelligence family, is known to effectively solve large-scale nonlinear optimization problems. PSO is based on two fundamental disciplines: social science and computer science. In addition, PSO uses the swarm intelligence concept, which is the property of a system, whereby the collective behaviors of unsophisticated agents that are interacting locally with their environment create coherent global functional patterns. Therefore, the cornerstones of PSO can be described as follows. 1) Social Concepts: It is known that “human intelligence results from social interaction.” Evaluation, comparison, and imitation of others, as well as learning from experience allow humans to adapt to the environment and determine optimal patterns of behavior, attitudes, and suchlike. In addition, a second fundamental social concept indicates that “culture and cognition are inseparable consequences of human sociality.” Culture is generated when individuals become more similar due to mutual social learning. The sweep of culture allows individuals to move towards more adaptive patterns of behavior.
  • 67.
    JITENDRA SINGH BHADORIYA-SCHOOLOF INSTRUMENTATION,DEVI AHILYA UNIVERSITY INDORE(M.P.) INDIA 66 2) Swarm Intelligence Principles: Swarm Intelligence can be described by considering five fundamental principles. 1) Proximity Principle: the population should be able to carry out simple space and time computations. 2) Quality Principle: the population should be able to respond to quality factors in the environment. 3) Diverse Response Principle: the population should not commit its activity along excessively narrow channels. 4) Stability Principle: the population should not change its mode of behavior every time the environment changes. 5) Adaptability Principle: the population should be able to change its behavior mode when it is worth the computational price. In PSO, the term “particles” refers to population members which are mass-less and volume- less (or with an arbitrarily small mass or volume) and are subject to velocities and accelerations towards a better mode of behavior. 3) Computational Characteristics: Swarm intelligence provides a useful paradigm for implementing adaptive systems. It is an extension of evolutionary computation and includes the softening parameterization of logical operators like AND, OR, and NOT. In particular, PSO is an extension, and a potentially important incarnation of cellular automata (CA). The particle swarm can be conceptualized as cells in CA, whose states change in many dimensions simultaneously. Both PSO and CA share the following computational attributes. 1) Individual particles (cells) are updated in parallel. 2) Each new value depends only on the previous value of the particle (cell) and its neighbors. 3) All updates are performed according to the same rules.
  • 68.
    JITENDRA SINGH BHADORIYA-SCHOOLOF INSTRUMENTATION,DEVI AHILYA UNIVERSITY INDORE(M.P.) INDIA 67 Other algorithms also exist that are based on swarm intelligence. The ant colony optimization (ACO) algorithm was introduced by Dorigo in 1992.It is a probabilistic technique for solving computational problems, which can be reduced to finding good paths through graphs. It is inspired by the behavior of ants in finding paths from the colony to the food. In the real world, ants initially wander randomly, and upon finding food, they return to their colony while laying down pheromone trails. If other ants find such a path, they are likely not to keep traveling at random, but rather follow the trail, returning and reinforcing it if they eventually find food. However, the pheromone trail starts to evaporate over time, therefore reducing its attractive strength. The more time it takes for an ant to travel down the path and back again, the longer it takes for the pheromones to evaporate. A short path, by comparison, gets marched over faster, and thus the pheromone density remains high as it is laid on the path as fast as it can evaporate. Pheromone evaporation also has the advantage of avoiding the convergence to a locally optimal solution. If there were no evaporation at all, the paths chosen by the first ants would tend to be excessively attractive to the following ones. In that case, the exploration of the solution space would be constrained. Thus, when one ant finds a short path from the colony to a food source (i.e., a good solution), other ants are more likely to follow that path, and positive feedback eventually leaves all the ants following a single path. The idea of the ant colony algorithm is to mimic this behavior with “simulated ants” walking around the graph representing the problem to solve. ACO algorithms have an advantage over simulated annealing (SA) and GA approaches when the graph may change dynamically, since the ant colony algorithm can be run continuously and adapt to changes in real time. In addition to the above techniques, efforts have been made in the past few years to develop new models for swarm intelligence systems, such as a honey bee colony and bacteria foraging. The honey bee colony is considered as an intelligent system that is composed of a large number of simplified units (particles). Working together, the particles give the system some intelligent behavior. Recently, research has been conducted on using the honey bee model to solve optimization problems. This can be viewed as modeling the bee foraging, in which the amount of honey has to be maximized within a minimal time and smaller number of scouts. Bacteria foraging emulates the social foraging behavior of bacteria by models that are based on the foraging principles theory. In this case, foraging is considered as an optimization process in which a bacterium (particle) seeks to maximize the collected energy per unit foraging time. Bacteria foraging provides a link between the evolutionary computation in a
  • 69.
    JITENDRA SINGH BHADORIYA-SCHOOLOF INSTRUMENTATION,DEVI AHILYA UNIVERSITY INDORE(M.P.) INDIA 68 social foraging environment and the distributed non gradient optimization algorithms that could be useful for global optimization over noisy conditions. This algorithm has been recently applied to power systems as well as adaptive control applications. 4.3 Algorithm of PSO The language used to discuss the PSO follows from the analogy of particles in a swarm, much like the analogy presented above. Table I shows some of the key terminology. Table 4.1 SOME KEY TERMS USED TO DESCRIBE PSO Particle/Agent One Single Individual in the Swarm Location/Position An Agent’s N-dimension coordinates which represents a Solution to the problem Swarm The entire collection of agents Fitness A single number representing the goodness of a given solution (represented by a Location in search space) Pbest The Location in Parameter Space of the best fitness returned for a specified agent gbest The Location in Parameter Space of the best fitness returned for the Specified agent VMAX The maximum allowed velocity in a given direction 1) Particle or Agent: Each individual in the swarm (bees in the analogy above) is referred to as a particle or agent. All the particles in the swarm act individually under the same governing principle: accelerate toward the best personal and best overall location while constantly checking the value of its current location.
  • 70.
    JITENDRA SINGH BHADORIYA-SCHOOLOF INSTRUMENTATION,DEVI AHILYA UNIVERSITY INDORE(M.P.) INDIA 69 2) Position/Location :In the analogy above position referred to a bee’s place in the field. This is represented by coordinates on the x-y plane. In general, however, we can extend this idea into any N-dimensional space according the problem at hand. This - dimensional space is the solution space for the problem being optimized, where any set of coordinates represents a solution to the problem. In the analogy above the solution is a physical location on the x-y plane, but this could just as easily represent amplitude and phase of element excitation in a phased array. In general these can be any values needed to be optimized. Reducing the optimization problem to a set of values that could represent a position in solution space is an essential step in utilizing the PSO. 3) Fitness: As in all evolutionary computation techniques there must be some function or method to evaluate the goodness of a position. The fitness function must take the position in the solution space and return a single number representing the value of that position. In the analogy above the fitness function would simply be the density of flowers: the higher the density, the better the location. In general this could be antenna gain, weight, peak cross-polarization, or some kind of weighted sum of all these factors. The fitness function provides the interface between the physical problem and the optimization algorithm. 4) pbest: In the analogy above each bee remembers the location where it personally encountered the most flowers. This location with the highest fitness value personally discovered by a bee is known as the personal best or pbest. Each bee has its own pbest determined by the path that it has flown. At each point along its path the bee compares the fitness value of its current location to that of pbest. If the current location has a higher fitness value, pbest is replaced with its current location. 5) gbest: Each bee also had some way of knowing the highest concentration of flowers discovered by the entire swarm. This location of highest fitness encountered is known as the global best or gbest. For the entire swarm there is one gbest to which each bee is attracted. At each point along their path every bee compares the fitness of their
  • 71.
    JITENDRA SINGH BHADORIYA-SCHOOLOF INSTRUMENTATION,DEVI AHILYA UNIVERSITY INDORE(M.P.) INDIA 70 current location to that of gbest. If any bee is at a location of higher fitness, gbest is replaced by that bee’s current position.
  • 72.
    JITENDRA SINGH BHADORIYA-SCHOOLOF INSTRUMENTATION,DEVI AHILYA UNIVERSITY INDORE(M.P.) INDIA 71 SK : current searching point, SK+1 : modified searching point, VK : current velocity, VK+1 : modified velocity, Vpbest: velocity based on pbest, Vgbest : velocity based on gbest Figure4.1 Concept of a searching point by PSO
  • 73.
    JITENDRA SINGH BHADORIYA-SCHOOLOF INSTRUMENTATION,DEVI AHILYA UNIVERSITY INDORE(M.P.) INDIA 72 Figure 4.2 Searching concepts with agents in a solution space by PSO Fig. 4.1 shows a concept of modification of a searching point by PSO and Fig.4.2 shows a searching concept with agents in a two dimensional solution space. This concept can be then extended to an N-dimensional solution space. PSO in its simplest form has been applied in many fields concerning optimization, and many research studies have attempted to improve the simple PSO performance by improving its variants., adaptive control strategies were developed for the inertia weight and acceleration coefficients for faster convergence speed. In a comprehensive learning particle swarm optimizer which applied a learning strategy using all other particles’ historical best information, was used to update a particle’s velocity. The showed an improved performance compared to many other PSO variants.small neighborhoods were used to enable the particles to have more diverse exemplars to learn from to achieve better results on multi-modal problems. The velocity update rule used in considered all the neighbors of a particle to update its velocity instead of just the best one. In general, all the improvements to PSO aimed to achieve faster convergence speed while solving the problem of premature convergence especially in a multi-peak, high-dimensional function.
  • 74.
    JITENDRA SINGH BHADORIYA-SCHOOLOF INSTRUMENTATION,DEVI AHILYA UNIVERSITY INDORE(M.P.) INDIA 73 DEVELOPMENT OF THE PSO ALGORITHM Understanding the conceptual basis of the PSO, the task then becomes to develop the algorithmic tools needed to implement the optimization. The algorithm, described below, is shown pictorially in Fig. 4.1. 1) Define the Solution Space: The first step toward implementation of the PSO is to pick the parameters that need to be optimized and give them a reasonable range in which to search for the optimal solution. This requires specification of a minimum and maximum value for each dimension in an N-dimensional optimization. This is referred to as Xmin and Xmax respectively, where ranges from 1 to N. 2) Define a Fitness Function: This important step provides the link between the optimization algorithm and the physical world. It is critical that a good function be chosen that accurately represents, in a single number, the goodness of the solution. The fitness function should exhibit a functional dependence that is relative to the importance of each characteristic being optimized. The fitness function and the solution space must be specifically developed for each optimization; the rest of the implementation, however, is independent of the physical system being optimized. 3) Initialize Random Swarm Location and Velocities: To begin searching for the optimal position in the solution space, each particle begins at its own random location with a velocity that is random both in its direction and magnitude. Since its initial position is the only location encountered by each particle at the run’s start, this position becomes each particle’s respective pbest. The first gbest is then selected from among these initial positions. 4) Systematically Fly the Particles through the Solution Space: Each particle must then be moved through the solution space as if it were a bee in a swarm. The algorithm acts on each particle one by one, moving it by a small amount and cycling through the entire swarm. The following steps are enacted on each particle individually Fig. 3.
  • 75.
    JITENDRA SINGH BHADORIYA-SCHOOLOF INSTRUMENTATION,DEVI AHILYA UNIVERSITY INDORE(M.P.) INDIA 74 Figure 4.3 Flow Chart Of PSO a) Evaluate the Particle’s Fitness, Compare to gbest, pbest:The fitness function, using the coordinates of the particle in solution space, returns a fitness value to be assigned to the current location. If that value is greater than the value at the respective pbest for that particle, or the global gbest, then the appropriate locations are replaced with the current location.
  • 76.
    JITENDRA SINGH BHADORIYA-SCHOOLOF INSTRUMENTATION,DEVI AHILYA UNIVERSITY INDORE(M.P.) INDIA 75 b) Update the Particle’s Velocity: The manipulation of a particle’s velocity is the core element of the entire optimization. Careful understanding of the equation used to determine the velocity is the key to understanding the optimization as a whole. The velocity of the particle is changed according to the relative locations of pbest and gbest. It is accelerated in the directions of these locations of greatest fitness according to the following equation: = w* +C1*r1*(PBEST- ) + C2*r2*(PBEST- )………4.1
  • 77.
    JITENDRA SINGH BHADORIYA-SCHOOLOF INSTRUMENTATION,DEVI AHILYA UNIVERSITY INDORE(M.P.) INDIA 76 This calculation is done for each of the dimensions in an -dimensional optimization. Apparent from this equation, the new velocity is simply the old velocity scaled by and increased in the direction of g best and p best for that particular dimension. and are scaling factors that determine the relative “pull” of g best and g best . These are sometimes referred to as the cognitive and social rates, respectively. is a factor determining how much the particle is influenced by the memory of his best location, and is a factor determining how much the particle is influenced by the rest of the swarm. Increasing encourages exploration of the solution space as each particle moves toward its own pbest; increasing encourages exploitation of the supposed global maximum. The random number function rand() returns a number between 0.0 and 1.0. It is generally the case that the two appearances of the rand() function in (1) represent two separate calls to the function. Most implementations use two independent random numbers to stochastically vary the relative pull of gbest and pbest. This introduction of a random element into the optimization is intended to simulate the slight unpredictable component of natural swarm behavior. is known as the “inertial weight,” and this number (chosen to be between 0.0 and 1.0) determines to what extent the particle remains along its original course unaffected by the pull of gbest and pbest. This too is a way to balance the exploration and exploitation. motion of the particle can be traced based on (1). The particles furthest from gbest or pbest feel the greatest “pull” from the respective locations, and therefore move toward them more rapidly than a particle that is closer. The particle continues to gain speed in the direction of the locations of greatest fitness until they pass over them. At that point they begin to be pulled back in the opposite direction. It is this “overflying” of the local and global maxima that many believe is one secret to the PSOs success. c) Move the Particle: Once the velocity has been determined it is simple to move the particle to its next location. The velocity is applied for a given time-step usually chosen to be one and new coordinate is computed for each of the dimensions according the following equation: = + ………………………………..4.2
  • 78.
    JITENDRA SINGH BHADORIYA-SCHOOLOF INSTRUMENTATION,DEVI AHILYA UNIVERSITY INDORE(M.P.) INDIA 77 The particle is then moved to the location calculated by (2). The composite nature of this algorithm composed of several independent agents makes it especially conducive to implementation on parallel processors. 6) Repeat: After this process is carried out for each particle in the swarm, the process is repeated starting at Step 4). In this way the particles move for discrete time intervals before being evaluated. It is as though a snapshot is taken of the entire swarm every second. At that time the positions of all the particles are evaluated, and corrections are made to the positions of pbest, and gbest before letting the particles fly around for another second. Repetition of this cycle is continued until the termination criteria are met. In this thesis work PSO is implemented in to IEEE-38 bus system to find out the optimal place and sizing of DG including different load models . Table 4.2 Solution Procedure Step 1 Input basic data of 38-bus distribution system Step 2 Calculate the original losses , load ability and impact indices Step 3 Initialize a particle population Step 4 Calculate the objective value (IMO) Step 5 Record real power loss , loadability and impact indices data to PBEST & GBEST Step 6 Update velocity and position of particle according to equation 4.1& 4.2 Step 7 Check the stop criterion Step 8 After DG is set calculate real power loss ,loadability and impact indices again Step 9 Select the compromised solution by busing particle swarm optimization
  • 79.
    JITENDRA SINGH BHADORIYA-SCHOOLOF INSTRUMENTATION,DEVI AHILYA UNIVERSITY INDORE(M.P.) INDIA 78 NO Yes Figure 4.2 Solution procedure Algorithm Start Input Basic Data (IEEE 38-BUS Distribution Test System) Calculate the Original Loss and Load- ability & different Impact Indices Initialize a Particle Population Calculate the Objective Value (IMO) Record Pbest , Gbest Update Velocity, Particle Check the Stop Criterion Select Compromised Solution by PSO Print Out Location and Size of DG Calculate the Loss and load-ability END
  • 80.
    JITENDRA SINGH BHADORIYA-SCHOOLOF INSTRUMENTATION,DEVI AHILYA UNIVERSITY INDORE(M.P.) INDIA 79 4.4 Superiority of PSO The electric power grid is the largest man-made machine in the world. It consists of synchronous generators, transformers, transmission lines, switches and relays, active/reactive compensators, and controllers. Various control objectives, operation actions, and/or design decisions in such a system require an optimization problem to be solved. For such a nonlinear non stationary system with possible noise and uncertainties, as well as various design/operational constraints, the solution to the optimization problem is by no means trivial. Moreover, the following issues need attention: 1) The optimization technique selected must be appropriate and must suit the nature of the problem. 2) All the various aspects of the problem have to be taken into account. 3) All the system constraints should be correctly addressed. 4) A comprehensive yet not too complicated objective function should be defined. Many areas in power systems require solving on or more nonlinear optimization problems. While analytical methods might suffer from slow convergence and the curse of dimensionality, heuristics-based swarm intelligence can be an efficient alternative. Particle swarm optimization (PSO), part of the swarm intelligence family, is known to effectively solve large-scale nonlinear optimization problems. Particle swarm optimization (PSO) is one of the modern heuristic algorithms, which can be used to solve nonlinear and non-continuous optimization problems. It is a population-based search algorithm and searches in parallel using a group of particles similar to other AI-based heuristic optimization techniques. A PSO is considered as one of the most powerful methods for resolving the non-smooth global optimization problems and has many key advantages as follows: PSO is a derivative-free technique just like as other heuristic optimization techniques. PSO is easy in its concept and coding implementation compared to other heuristic. optimization techniques. PSO is less sensitivity to the nature of the objective function compared to the conventional mathematical approaches and other heuristic methods. PSO has limited number of parameters including only inertia weight factor and two acceleration coefficients in comparison with other competing heuristic optimization
  • 81.
    JITENDRA SINGH BHADORIYA-SCHOOLOF INSTRUMENTATION,DEVI AHILYA UNIVERSITY INDORE(M.P.) INDIA 80 methods. Also, the impact of parameters to the solutions is considered to be less sensitive compared to other heuristic algorithms. PSO seems to be somewhat less dependent of a set of initial points compared to other evolutionary methods, implying that convergence algorithm is robust. PSO techniques can generate high-quality solutions within shorter calculation time and stable convergence characteristics than other stochastic methods. PSO is a population-based evolutionary technique that has many key advantages over other optimization techniques like: PSO has the flexibility to be integrated with other optimization techniques to form hybrid tools. PSO is less sensitive to the nature of the objective function i.e., convexity or continuity. PSO has less parameters to adjust unlike many other competing evolutionary techniques. PSO has the ability to escape local minima. PSO is easy to implement and program with basic mathematical and logic operations. PSO can handle objective functions with stochastic nature, like in the case of representing one of the optimization variables as random. PSO does not require a good initial solution to start its iteration process. Electric power system optimization problems are fairly diverse and they can be categorized in terms of the objective function characteristics and/or type of constraints. They are commonly referred to as linear, nonlinear, integer, and mixed integer constrained optimization problems. Traditionally, a derivative-based optimization technique is utilized to tackle a specific problem based on its formulation which requires differentiability among many other things. However, the PSO technique can be easily adapted to suit various categories of optimization problems with minor modifications. This key attribute makes the PSO a general purpose optimizer that solves a wide range of optimization problems. PSO applications in electric power systems are similar to those in different research fields once a common formulation is established. However, PSO parameter tuning might be different from one application to another.
  • 82.
    JITENDRA SINGH BHADORIYA-SCHOOLOF INSTRUMENTATION,DEVI AHILYA UNIVERSITY INDORE(M.P.) INDIA 81 Summary PSO is optimization technique emerged out from artificial intelligence background. It is based on the intelligence swarm for searching the best solution from search space like bird flocking and fish schooling. Fitness is computed by the comparison of particles or agents in a group. Flow-chart of standard pso is given with describing some key terms of pso. Implementation of objective problem(IMO) is merged with pso to formulate the solution procedure hence new algorithm is presented .Steps of solution is given step by step , in last advantages of pso is discussed over other evolutionary computation optimization methodologies concerning electrical power system problems
  • 83.
    JITENDRA SINGH BHADORIYA-SCHOOLOF INSTRUMENTATION,DEVI AHILYA UNIVERSITY INDORE(M.P.) INDIA 82 Chapter 5 Simulation and results analysis Load Modeling Matlab/Psat Research tool Modeling of IEEE-38 BUS Radial System Result Analysis
  • 84.
    JITENDRA SINGH BHADORIYA-SCHOOLOF INSTRUMENTATION,DEVI AHILYA UNIVERSITY INDORE(M.P.) INDIA 83 5.1 Load Modelling 5.1.1 Physical vs. black box models A model based on fundamental engineering knowledge about the physical phenomena that affect the system is called physical model. A basic model based on elementary laws will provide accurate results when simulating, but in case of a high complexity system, the high difficulty in obtaining all the physical laws affecting the system and the specific parameters will make it necessary to develop the model based on empirical laws. When a model is based on the empirical relations between input and output signals, it is called a black box or empirical model. Black-box models are thus applied when there is not enough knowledge to create a physical model, or the functioning of the system is very complex, but there is available data to establish a mathematical relation between the input and output measurements of the system. A physical model, which will be described further in the thesis, has been chosen for the realization of this work. The model complexity is able to describe the load dynamics of interest. 5.1.2 Data for Load Modeling The load class mix data describes which is the percentage of each of several load classes such as industrial, residential, commercial, to the load consumption at a specific bus of the system. The load composition data describes the percentage of each load component, such as electric heating, air conditioner, induction motors to the active consumption of a particular load class, and the load characteristic data is related to the physical characteristics of each one of those load components. For line load data of 38 bus system we have used data from the table 7.1.
  • 85.
    JITENDRA SINGH BHADORIYA-SCHOOLOF INSTRUMENTATION,DEVI AHILYA UNIVERSITY INDORE(M.P.) INDIA 84 Table 5.1 Load Data for 38-bus system F T RP.U. XP.U. L SL P Q LT 1 2 0.000574 0.000293 1 4.6 0.1 0.06 R 2 3 0.00307 0.001564 6 4.1 0.09 0.04 I 3 4 0.002279 0.001161 11 2.9 0.12 0.08 C 4 5 0.002373 0.001209 12 2.9 0.06 0.03 R 5 6 0.0051 0.004402 13 2.9 0.06 0.02 I 6 7 0.001166 0.003853 22 1.5 0.2 0.1 C 7 8 0.00443 0.001464 23 1.05 0.2 0.1 C 8 9 0.006413 0.004608 25 1.05 0.06 0.02 I 9 10 0.006501 0.004608 27 1.05 0.06 0.02 C 10 11 0.001224 0.000405 28 1.05 0.045 0.03 C 11 12 0.002331 0.000771 29 1.05 0.06 0.035 R 12 13 0.009141 0.007192 31 0.5 0.06 0.035 C 13 14 0.003372 0.004439 32 0.45 0.12 0.08 R 14 15 0.00368 0.003275 33 0.3 0.06 0.01 C 15 16 0.004647 0.003394 34 0.25 0.06 0.02 I 16 17 0.008026 0.010716 35 0.25 0.06 0.02 C 17 18 0.004558 0.003574 36 0.1 0.09 0.04 I 2 19 0.001021 0.000974 2 0.5 0.09 0.04 R
  • 86.
    JITENDRA SINGH BHADORIYA-SCHOOLOF INSTRUMENTATION,DEVI AHILYA UNIVERSITY INDORE(M.P.) INDIA 85 19 20 0.009366 0.00844 3 0.5 0.09 0.04 C 20 21 0.00255 0.002979 4 0.21 0.09 0.04 I 21 22 0.004414 0.005836 5 0.11 0.09 0.04 R 3 23 0.002809 0.00192 7 1.05 0.9 0.05 C 23 24 0.005592 0.004415 8 1.05 0.42 0.2 C 24 25 0.005579 0.004366 9 0.5 0.42 0.2 C 6 26 0.001264 0.000644 14 1.5 0.06 0.025 C 26 27 0.00177 0.000901 15 1.5 0.06 0.025 I 27 28 0.006594 0.005814 16 1.5 0.06 0.02 C 28 29 0.005007 0.004362 17 1.5 0.12 0.07 C 29 30 0.00316 0.00161 18 1.5 0.2 0.6 C 30 31 0.006067 0.005996 19 0.5 0.15 0.07 R 31 32 0.001933 0.002253 20 0.5 0.21 0.1 R 32 33 0.002123 0.003301 21 0.1 0.06 0.04 C 8 34 0.012453 0.012453 24 0.5 0 0 9 35 0.012453 0.012453 26 0.5 0 0 12 36 0.012453 0.012453 30 0.5 0 0 18 37 0.003113 0.003113 37 0.5 0 0 25 38 0.003113 0.003113 10 0.1 0 0
  • 87.
    JITENDRA SINGH BHADORIYA-SCHOOLOF INSTRUMENTATION,DEVI AHILYA UNIVERSITY INDORE(M.P.) INDIA 86 5.1.2 Standard Load Models As mentioned earlier in this chapter a model is a set of equations to describe the relationship between the input and output of a system. In the case of load modeling this mathematical representation is related to the measured voltage and/or frequency at a bus, and the power consumed by the load, active and reactive. Due to the high diversity and distribution of power system loads it has been difficult to model it, and several alternatives have been proposed troughout the time for its representation, depending on its main purpose. The main classification is in static and dynamic models. A static load model is not dependent on time, and therefore it describes the relation of the active and reactive power at any time with the voltage and/or frequency at the same instant of time. On the hand, a dynamic load model expresses this relation at any instant of time, as a function of the voltage and/or frequency at past instant of time, including normally the present moment. The static load models have been used for a long time for both purposes, to represent static load components, such as resistive and lighting loads, but also to approximate dynamic components. This approximation may be sufficient in some of the cases, but the fact that the load representation has critical effects in voltage stability studies is more and more replacing the traditional static load models with dynamic ones. 5.1.3 Static Load Models Common static load models for active and reactive power are expressed in a polynomial or an exponential form.The static characteristics of the load can be classified into constant power, constant current and constant impedance load, depending on the power relation to the voltage. For a constant impedance load, the power dependence on voltage is quadratic, for a constant current it is linear, and for a constant power the power it is independent of changes in voltage. The P=PO [a1 ( )2 +a2 ( )+a3 ]…………………...…5.1 Q=QO[a4 ( )2 +a5 ( )+a6 ]……………………..5.2 equations (5.1) and (5.2), is a polynomial model that represents the sum of these three categories: Vo ,Po and Qo are the values at the initial conditions of the system for the study, and the coefficients a1 to a6 are the parameters of the model.
  • 88.
    JITENDRA SINGH BHADORIYA-SCHOOLOF INSTRUMENTATION,DEVI AHILYA UNIVERSITY INDORE(M.P.) INDIA 87 Exponential Load Model Equations (3.3) and (3.4) express the power dependence with the voltage, as an exponential function. P=PO ……………………………………………………………………..7.3 Q=QO ………………………………………………………………….7.4 The parameters of this model are np, nq, and the values of the active and reactive power of Po and Qo, at the initial conditions. Common values for the exponents of the model [T ylor, 1994], [Le Dous, 1999], for different load components are included in Table 5.2 : Common values for the exponent’s np and nq, for different load components. Load Component np(α) nq(β) Air Conditioner 0.50 2.50 Resistance Space Heater 2.00 0.00 Fluorescent Lighting 1.00 3.00 Pump, fans other motors 0.08 1.60 Large industrial motors 0.05 0.50 Small industrial motors 0.10 0.60 For the special case, where np(α) or nq(β)are equal to 0, 1 and 2, the load model will represent a constant power, constant current or constant impedance model respectively.
  • 89.
    JITENDRA SINGH BHADORIYA-SCHOOLOF INSTRUMENTATION,DEVI AHILYA UNIVERSITY INDORE(M.P.) INDIA 88 5.2 PSAT PSAT is a comparatively newer software (developed in about 2004-2005) employing the excellent matrix-oriented computation techniques of MATLAB. This toolbox (MATLAB) or software-package is designed for electric power system analysis and control. The group of the Mat-lab toolboxes used in the power system analysis includes a set of application functions, which collect their inputs and provide their outputs in a form to be processed for proper presentation to user. Fig:5.1 General Configuration of the MATLAB Toolbox for Power System Analysis Mat-lab toolbox for Power System Simulation ON-LINE Network Editor Applications Continuous Power Flow Optimal Power Flow Analysis Small-Signal Stability Analysis Transient Stability Analysis Data Analysis
  • 90.
    JITENDRA SINGH BHADORIYA-SCHOOLOF INSTRUMENTATION,DEVI AHILYA UNIVERSITY INDORE(M.P.) INDIA 89 The features of several Matlab toolboxes used in power system analysis, such as Mat Power Toolbox (MPT), Power System Analysis Toolbox (PSAT) and Voltage Stability Toolbox (VST). Table:5.3 Matlab Toolboxes for Power System Analysis Toolbox PF CPF OPF SSA TDA MPT * * PSAT * * * * * VST * * * * Power System Analysis Toolbox (PSAT) is a Mat-lab toolbox for electric power system analysis and control. Besides basic power flow analysis, PSAT offers several other static/dynamic analyses like CPF (Continuation Power Flow), OPF (Optimal Power Flow), Small-signal stability analysis, Time-domain simulations etc. Only the power flow feature is explored for the simulation purpose of this work. Newton-Raphson (NR) method, Fast decoupled methods (both BX and XB), Runge-Kutta method, Simple robust method are the available algorithmic options provided by PSAT to conduct power flow analysis. Both
  • 91.
    JITENDRA SINGH BHADORIYA-SCHOOLOF INSTRUMENTATION,DEVI AHILYA UNIVERSITY INDORE(M.P.) INDIA 90 theoretically and practically NR algorithm converges faster to the solutions than the others, which is why we applied it to our system. 5.3 Modelling of IEEE-38 BUS Radial Distribution System The proposed PSO-based algorithm was applied to the 38-bus test system to determine the optimal size and location of DG units such that the multi-objective function (IMO) is minimized. The system line data and load data are given in table 5.1 for this test system, three DG units were optimally sized and placed. The proposed system was applied to different load models. The size and location of each DG unit under different load models are given in Table 5.5. The multi-objective function optimally minimized under different load models is shown in Fig5.5 to Fig5.9. After many trials it was found that, for this optimization problem and this system, the best parameters to be used for PSO in all cases were a population size of 15 and a maximum iteration number of 25. As shown in Figure 5.5 to Figure 5.9, the objective function reached a near-global minimum and stayed there till the end of the iterations. The minimum objective function was attained with a computation time of about All the evaluations were carried out with self-developed codes in MATLAB. The value of the MOF and the impact of optimal placement and sizing of DG units on the active and reactive power losses of the system and the total MVA intake from the grid are given in Table 5. It is shown that the optimal placement of DG units in the system caused a reduction in both power losses and MVA intake from the grid. The reduction in real power loss was in the range 54–67%. The reduction in reactive power loss was in the range 58–67%. The reduction in the total MVA intake was about 30%. The effect of inserting DG units in the system on the voltage profile, line flow, and the short circuit level is shown in Figs5.15, 5.16, 5.17 respectively. Fig. 5.16 and fig. 5.17 shows the improvement in voltage profile under different load models. As shown in Fig. 5.5 to Fig 5.9 the voltage at all buses before inserting DG units in the system is higher than 0.95 pu, except at buses 18 and 37, in the case of the constant load model. Due to the insertion of DG units, the voltage profile significantly improved for all load models studied. As shown in Fig.5.5- 5.9 the voltage at bus 18 during the constant load was raised to 0.99 pu Fig. 5.10 to Fig. 5.14 shows the line loading of the system with and without DG. It is clear that for most of the lines
  • 92.
    JITENDRA SINGH BHADORIYA-SCHOOLOF INSTRUMENTATION,DEVI AHILYA UNIVERSITY INDORE(M.P.) INDIA 91 the loading decreased, while for some lines it remained the same or increased, but still within line loading limits. As a result of the placement of DG units in the system, the short circuit level at most of the system buses was increased. Fig. 5.15 shows the difference between the short circuit level at each bus of the system with and without DG as a percentage of the value of the short circuit level before the placement of DG units in the system. As shown in Fig. 6, the maximum increase is very low: a maximum difference of 3.92% occurred in the case of the industrial load model and it happened at bus 37. Running the continuation power flow using the PSAT for the system with and without DG units and recording the P–V curve at the weakest buses of the system, bus 18 and bus 37, showed a great improvement in the maximum loading and hence in the voltage stability margin for both buses. Fig. 5.16,5.17 shows how the maximum loading and in consequence the voltage stability margin at buses 18 and 37 in the case of the constant load model have been improved by moving the breakdown point far to the right (higher loading parameter λ).
  • 93.
    JITENDRA SINGH BHADORIYA-SCHOOLOF INSTRUMENTATION,DEVI AHILYA UNIVERSITY INDORE(M.P.) INDIA 92 17 15 14 13 38 25 18 16 12 24 11 10 23 9 1 2 3 4 5 6 7 8 19 26 20 33 27 34 21 32 28 31 30 22 29 FIG 5.2 IEEE 38 BUS SYSTEMS
  • 94.
    JITENDRA SINGH BHADORIYA-SCHOOLOF INSTRUMENTATION,DEVI AHILYA UNIVERSITY INDORE(M.P.) INDIA 93 Line1 Line Bus_3 Bus_2Bus_1 Bus 9 Bus 8 Bus 7Bus 6 Bus 5 Bus 4 Bus 38 Bus 37 Bus 36 Bus 35 Bus 34 Bus 33 Bus 32 Bus 31 Bus 30 Bus 29 Bus 28 Bus 27 Bus 26 Bus 25 Bus 24 Bus 23 Bus 22 Bus 21 Bus 20 Bus 19 Bus 18 Bus 17 Bus 16 Bus 15 Bus 14 Bus 13 Bus 12 Bus 11 Bus 10 Figure 5.3 Simulation model of 38 bus system
  • 95.
    JITENDRA SINGH BHADORIYA-SCHOOLOF INSTRUMENTATION,DEVI AHILYA UNIVERSITY INDORE(M.P.) INDIA 94 DG DG DG Bus 38 Bus 37 Bus 36 Bus 35 Bus 34 Bus 33 Bus 32 Bus 31 Bus 30 Bus 29 Bus 28 Bus 27 Bus 26 Bus 25 Bus 24 Bus 23 Bus 22 Bus 21 Bus 20 Bus 19 Bus 18 Bus 17 Bus 16 Bus 15 Bus 14 Bus 13 Bus 12 Bus 11 Bus 10 Bus 09 Bus 08 Bus 07Bus 06 Bus 05 Bus 04Bus 03 Bus 02Bus 01 9 8 7 6 5 4 37 36 35 34 33 32 31 30 3 29 28 27 26 25 242322 21 20 2 19 18 17 16 15 14 13 12 11 10 1 Figure 5.4 Simulation model of 38 bus system with DG
  • 96.
    JITENDRA SINGH BHADORIYA-SCHOOLOF INSTRUMENTATION,DEVI AHILYA UNIVERSITY INDORE(M.P.) INDIA 95 The implementation of PSO starts by random generation of an initial population of possible solutions. For each solution, size–location pairs of the DG units introduced to the system are chosen within technical limits of locations and sizes of the DG units. Each solution must satisfy the operational constraints explained in chapter 1.If one of these constraints is violated, such a solution is rejected. After generating a population of solutions satisfying the pre-specified constraints, the objective function of each solution (individual) is evaluated. Once the population cycle is initialized, the position of each individual in the solution space is modified using the PSO parameters, e.g., pbest, gbest, and the agent velocity, to generate the new population. If the DG size and/or location exceed the limit, they are adjusted back within the specified limits (the boundaries). The operational constraints are then checked. If any of them is violated the new solution is rejected and another one is generated and checked until a solution that satisfies the specified limits is found. The algorithm stops when the maximum number of generations is reached. According to PSO theory, the optimal solution is the best solution ever found throughout the generations (gbest). To validate the proposed method, it is applied to the 38-bus system of under the same load conditions and using the same objective function (IMO) and same values of index weights used in to optimally place one DG unit in the system. The results of applying the proposed PSO to the system under different load conditions and the results given in [Table 5.6]. It must be noted that the run time of the PSO algorithm ranged from 10 to 20 s, which is relatively a very short time. As shown in Table 5.4, for all load models, all the indices are much reduced when using PSO for the problem except the IC index. From the values of the IC index, it can be concluded that the line loading with the resulting size–location pairs was higher than that of but still within rated limits. However, the overall objective function (IMO) was reduced as well. From the previous results, it can be concluded that the proposed PSO method is an efficient method to deal with the problem introduced in this research work.
  • 97.
    JITENDRA SINGH BHADORIYA-SCHOOLOF INSTRUMENTATION,DEVI AHILYA UNIVERSITY INDORE(M.P.) INDIA 96 5.4 results Analysis The proposed algorithm is tested using both a 38-bus radial test system . The base values used are 100 MVA and 23 kV. A DG size is considered in a range of 0–0.63 pu. In this study, it is considered that the DG is operated at an unspecified power factor, unlike the situation that has commonly been used in literature. The first bus is considered as the feeder of electric power from the generation/transmission network. The remaining buses of the distribution system except the voltage-controlled buses are considered for the placement of a DG of given size from the range considered. The real and reactive loads were modelled as being voltage dependent. Figure 5.5 Voltage Profile under Constant Load
  • 98.
    JITENDRA SINGH BHADORIYA-SCHOOLOF INSTRUMENTATION,DEVI AHILYA UNIVERSITY INDORE(M.P.) INDIA 97 Figure 5.6 Voltage Profile under Industrial Load Figure 5.7 Voltage Profile under Residential Load
  • 99.
    JITENDRA SINGH BHADORIYA-SCHOOLOF INSTRUMENTATION,DEVI AHILYA UNIVERSITY INDORE(M.P.) INDIA 98 Figure 5.8 Voltage Profile under Commercial Load Figure 5.9 Voltage Profile under Mixed Load
  • 100.
    JITENDRA SINGH BHADORIYA-SCHOOLOF INSTRUMENTATION,DEVI AHILYA UNIVERSITY INDORE(M.P.) INDIA 99 Figure 5.10 Line loading under Constant Load Figure 5.11 Line loading under Industrial Load
  • 101.
    JITENDRA SINGH BHADORIYA-SCHOOLOF INSTRUMENTATION,DEVI AHILYA UNIVERSITY INDORE(M.P.) INDIA 100 Figure 5.12 Line loading under Residential Load Figure 5.13 Line loading under Commercial Load
  • 102.
    JITENDRA SINGH BHADORIYA-SCHOOLOF INSTRUMENTATION,DEVI AHILYA UNIVERSITY INDORE(M.P.) INDIA 101 Figure 5.14 Line loading under Mixed Load Table5.4 Impact indices for penetration of a DG unit in the 38 bus system with load models using PSO. Impact Indices Constant load Industrial Load Residential Load Commercial Load Mixed Load ILP 0.45 0.5025 0.4852 0.4783 0.4824 ILQ 0.4572 0.511 0.4928 0.4853 0.4898 IC 0.9944 0.765 0.9856 0.9931 0.9745 IVD 0.059 0.0594 0.0575 0.0574 0.0575 Min IMO 0.5289 0.5281 0.5278 0.5277 0.5285 Optimal size-location 0.63-30 0.63-30 0.63-30 0.63-30 0.63-30
  • 103.
    JITENDRA SINGH BHADORIYA-SCHOOLOF INSTRUMENTATION,DEVI AHILYA UNIVERSITY INDORE(M.P.) INDIA 102 Figure 5.15 Short Circuit Level Difference of the System under different Load Models
  • 104.
    JITENDRA SINGH BHADORIYA-SCHOOLOF INSTRUMENTATION,DEVI AHILYA UNIVERSITY INDORE(M.P.) INDIA 103 Table 5.5 Size and Location of DG unit in the 38 bus radial system Load type DG1 DG2 DG3 Size Loc atio n Size Locat ion Size Locat ion P(pu) Q(pu) P(pu) Q(pu) P(pu) Q(pu) Constant 0.6299 0.6289 30 0.2585 0.507 13 0.1957 -0.1853 11 Industrial 0.3038 1.0659 30 0.3802 -0.2334 10 0.3845 0.1522 16 Residential 0.0647 0.6281 31 0.5107 -0.0663 32 0.4076 0.4022 13 Commercial 0.2892 -0.2916 35 0.2862 1.0677 29 0.4575 0.2103 15 Mixed 0.4758 -0.8928 29 0.1307 0.7862 12 0.4582 1.1254 30 Figure 5.16 PV curve at (weakest bus of the system) bus 18
  • 105.
    JITENDRA SINGH BHADORIYA-SCHOOLOF INSTRUMENTATION,DEVI AHILYA UNIVERSITY INDORE(M.P.) INDIA 104 Figure 5.17 PV curve at (weakest bus of the system) 37 bus
  • 106.
    JITENDRA SINGH BHADORIYA-SCHOOLOF INSTRUMENTATION,DEVI AHILYA UNIVERSITY INDORE(M.P.) INDIA 105 Figure 5.18 The Multi Objective Function (MOF) is minimized under Different Load Models
  • 107.
    JITENDRA SINGH BHADORIYA-SCHOOLOF INSTRUMENTATION,DEVI AHILYA UNIVERSITY INDORE(M.P.) INDIA 106 Table 5.6 System power losses and MVA intake for different load models in the 38-bus radial system, and the value of MOF. Load Models PL PLDG QL QLDG MVASYS MVASYSDG Value of MOF Constant 16.516 5.3986 11.006 3.5976 438.57 300.2462 3.252718 Industrial 14.627 5.8781 9.713 3.9236 425.35 304.4423 3.297935 Residential 15.113 5.6135 10.046 3.6998 428.67 311.0265 3.305198 Commercial 15.294 6.3262 10.169 4.2428 429.93 308.0879 3.335645 Mixed 15.207 6.9399 10.109 4.7914 429.47 305.5652 3.310678
  • 108.
    JITENDRA SINGH BHADORIYA-SCHOOLOF INSTRUMENTATION,DEVI AHILYA UNIVERSITY INDORE(M.P.) INDIA 107 Chapter-6 Conclusion Multi-objective optimization analysis, including load models, for size–location planning of distributed generation in distribution systems has been presented. The proposed optimization algorithm was applied to a 38-bus radial test system. The results showed that the proposed algorithm is capable of optimal and fast placement of DG units. The results clarified the efficiency of this algorithm for improvement of the voltage profile, reduction of power losses, reduction of MVA flows and MVA intake from the grid, and also for increasing the voltage stability margin and maximum loading. The exhaustive analysis, including load models, for size-location planning of distributed generation in multi-objective optimization in distribution systems is presented. The multi-objective criteria based on system performance indices of ILP and ILQ, related to real and reactive power losses, and IC and IVD, related to system MVA capacity enhancement and voltage profile improvement, is utilized in the present work. It is observed that the significant difference exists in both size and location of DG when load models are considered. The overall value of multi-objective index (IMO) is also found to be significantly different with different load models. The effect of load models on individual performance indices is also shown and it is established that the load models play a decisive role in deciding the size-location pair of DG in any practical distribution system. This thesis presents an efficient method for choosing the suitable placement and size of Distributed Generation (DG) to achieve the third objective which is the minimization of multi-objective function hence lowest real power loss, the maximum increasable of loading factor. PSO is used to determine the best location and size of DG to achieve these objectives. The simulation system is IEEE 38-bus radial distribution
  • 109.
    JITENDRA SINGH BHADORIYA-SCHOOLOF INSTRUMENTATION,DEVI AHILYA UNIVERSITY INDORE(M.P.) INDIA 108 system. The appropriated size and position of DG are selected by PSO methodology. From the results obtained show that the proper size and site of DG can improve system performance by reducing the loss, and adding the increasable of system load.
  • 110.
    JITENDRA SINGH BHADORIYA-SCHOOLOF INSTRUMENTATION,DEVI AHILYA UNIVERSITY INDORE(M.P.) INDIA 109 Publications:- Journal (proceeding) 1. THE INSTRUMENTATION TECHNOLOGIES IN TO SMART GRID in international journal of advanced research in electrical, electronics & instrumentation engineering (accepted for volume 2 issue 6 June 2013). 2. MODIFICATIONS OF PARTICLE SWARM OPTIMIZATION PARAMETER AND PERFORMANCES in Journal of Emerging Trends in Computing and Information Sciences(accepted for volume 4 no.6 June 2013). CONFERENCES (Published) 1. Jitendra Singh Bhadoriya, Dr. Ganga Agnihotri , Aashish Bohre, “The Benefits of Distributed Generation in Smart-Grid Environment- A Case Study” . 2013 in National Conference on Modeling and Simulation of Electrical Systems (MSES- feb. 2013). 2. Jitendra Singh Bhadoriya, Aashish Bohre , Dr. Ganga Agnihotri “MODIFICATIONS OF PARTICLE SWARM OPTIMIZATIONPARAMETER AND PERFORMANCES” in Recent trends in manufacturing & information system (RTMIS- may2013). WORKSHOPS:- 1. SHORT TERM COURSE ON MATLAB UNDER TEQIP-II 7-11 JAN IN MANIT BHOPAL. 2. WORKSHOP ON FUEL CELLS AND IEC 61850 IMPLEMENTATION 3- 4 JAN 2013 IN MANIT BHOPAL. 3. TECHNICAL INNOVATION AND REFORMS IN ENERGY SECTOR 30th NOV.- 1st DEC IN MANIT BHOPAL. 4. WORKSHOP ON SMART GRID 27-28 SEP.2013 IN MANIT BHOPAL.
  • 111.
    JITENDRA SINGH BHADORIYA-SCHOOLOF INSTRUMENTATION,DEVI AHILYA UNIVERSITY INDORE(M.P.) INDIA 110 References- [1] V.V. Thong, J. Driesen, R. Belmans, Transmission system operation concerns with high penetration level of distributed generation, in: Proc. of Inter. Universities Power Engineering Conference, Brighton, 2007, pp. 867–871. [2] D. Zhu, R.P. Broadwater, K. Tam, R. Seguin, H. Asgeirsson, Impact of DG placement on reliability and efficiency with time-varying loads, IEEE Transactions on Power Systems 21 (1) (2006) 419–427. [3] A.M. El-Zonkoly, "Optimal placement of multi-distributed generation units including different load models using particle swarm optimization," Swarm and Evolutionary Computation Elsevier, vol. 1, pp. 50–59, 2011. [4] A. Keane, M. O’Malley, Optimal distributed generation plant mix with novel loss adjustment factors, in: IEEE Power Eng. Society General Meeting, 2006. [5] Y.A. Katsigiannis, P.S. Georgilakis, Optimal sizing of small isolated hybrid power systems using tabu search, Journal of Optoelectronics and Advanced Materials 10 (5) (2008) 1241–1245. [6] M.F. AlHajri, M.R. AlRashidi, M.E. El-Hawary, Hybrid particle swarm optimization approach for optimal distribution generation sizing and allocation in distribution systems, in: Proc. of Canadian Conference on Electrical and Computer Engineering, Vancouver, Canada, 2007, pp. 1290–1293. [7] L.Y. Wong, S.R. Abdul Rahim, M.H. Sulaiman, O. Aliman, Distributed generation installation using particle swarm optimization, in: Proc. of Inter. Power Engineering and Optimization Conf., PEOCO2010, Shah Alam, Selangor, Malaysia, 2010, pp. 159–163. [8] M.P. Lalitha, V.C.V. Reddy, V. Usha, Optimal DG placement for minimum real power loss in radial distribution systems using PSO, Journal of Theoretical and Applied Information Technology (2010) 107–116. [9] W. El-Khattam, Y.G. Hegazy, M.M.A. Salama, An integrated distributed generation optimization model for distribution system planning, IEEE Transactions on Power Systems 20 (2) (2005) 1158–1165. [10] M. Mardaneh, G.B. Gharehpetian, Siting and sizing of DG units using GA and OPF based technique, in: IEEE Region 10 Conference, vol. 3, 2004, pp. 331–334. [11] H. lyer, S. Ray, R. Ramakumar, Voltage profile improvement with distributed generation, in: IEEE Power Eng. Society General Meeting, vol. 3, 2005, pp. 2977–2984.
  • 112.
    JITENDRA SINGH BHADORIYA-SCHOOLOF INSTRUMENTATION,DEVI AHILYA UNIVERSITY INDORE(M.P.) INDIA 111 [12] M.A. Kashem, D.T. Le, M. Negnevitsky, G. Ledwich, Distributed generation for minimization of power losses in distribution systems, in: IEEE Power Eng. Society General Meeting, 2006. [13] Mithulananthan N, Oo T. Distributed Generator Placement to Maximize the Loadability of Distribution System. Direct. [14] IEEE task force on load representation for dynamic performance, load representation for dynamic performance analysis, IEEE Transactions on Power Systems 8 (2) (1993) 472–482. [15] T. Gozel, M.H. Hocaoglu, An analytical method for the sizing and siting of distributed generators in radial systems, International Journal of Electric Power Systems Research 79 (2009) 912–918. [16] M.M. Elnashar, R. El-Shatshat, M.A. Salama, Optimum siting and sizing of a large distributed generators in a mesh connected system, International Journal of Electric Power Systems Research 80 (2010) 690–697. [17] L.F. Ochoa, A. Padilha-Feltrin, G.P. Harrison, Evaluating distributed generation impacts with a multi objective index, IEEE Transactions on Power Delivery 21 (3) (2006) 1452– 1458. [18] R.K. Singh, S.K. Goswami, Optimum allocation of distributed generations based on nodal pricing for profit, loss reduction and voltage improvement including voltage rise issue, International Journal of Electrical Power and Energy Systems 32 (2010) 637–644. [19] H. Hedayati, S.A. Nabaviniaki, A. Akbarimajd, A method for placement of DG units in distribution networks, IEEE Transactions on Power Delivery 23 (3) (2008) 1620–1628. [20] G. Celli, E. Ghiani, S. Mocci, F. Pilo, A multiobjective evolutionary algorithm for the sizing and siting of distributed generation, IEEE Transactions on Power Systems 20 (2) (2005) 750–757. [22] W. Prommee, W. Ongsakul, Optimal multi-distributed generation placement by adaptive weight particle swarm optimization, in: Proc. of Inter. Conference on Control, Automation and Systems, Seoul, Korea, 2008, pp. 1663–1668. [23] A. Safari, R. Jahani, H.A. Shayanfar, J. Olamaei, Optimal DG allocation in distribution network, International Journal of Electrical and Electronics Engineering 4 (8) (2010) 550– 553. [24] Wichit Krueasuk, Weerakorn Ongsakul, Optimal placement of distributed generation using particle swarm optimization, in: The Proc. of Australian Universities Power Engineering Conf., 2006, pp. 1–6.
  • 113.
    JITENDRA SINGH BHADORIYA-SCHOOLOF INSTRUMENTATION,DEVI AHILYA UNIVERSITY INDORE(M.P.) INDIA 112 [25] M. AlHajri, Sizing and placement of distributed generation in electrical distribution systems using conventional and heuristic optimization methods, Ph.D. Thesis, Dalhousie University, Halifax, Nova Scotia, 2009. [27] J. Kennedy, R. Eberhart, Particle swarm optimization, in: Proc. IEEE Int. Conf. Neural Networks, Perth, Australia, vol. IV, 1995, pp. 1942–1948. [28] Y. Shi, R. Eberhart, A modified particle swarm optimizer, in: Proc. IEEE Int. Conf. Evolutionary Computation ., Anchorage, UK, 1998, pp. 69–73. [29] H. Yoshida, K. Kawata, Y. Fukuyama, A particle swarm optimization for reactive power and voltage control considering voltage security assessment, IEEE Transactions on Power Systems 15 (2000) 1232–1239. [30] N. Deeb, S. Shahidehpour, Cross decomposition for multi-area optimal reactive power planning, IEEE Transactions on Power Systems PWRS-8 (1993) 1539–1544. [31] Power System Analysis Toolbox, PSAT. Available online: http://www.power.uwaterloo.ca/~fmilano/psat.htm. [32] J. Kennedy, R. Eberhart, Particle swarm optimization, in: Proc. of IEEE Inter. Conf. on Neural Networks, ICNN, 1995, pp. 1942–1948. [37] Y. Shi, R.C. Eberhart, Fuzzy adaptive particle swarm optimization, in: Proc. Of the 2001 Congress on Evolutionary Computation, 2001, pp. 101–106. [38] J.J. Liang, A.K. Qin, P.N. Suganthan, S. Baskar, Comprehensive learning particle swarm optimizer for global optimization of multimodal functions, IEEE Transactions on Evolutionary Computation 10 (3) (2006) 281–295. [39 ]D. Singh, D. Singh, K.S. Verma, Multiobjective optimization for DG planning with load models, IEEE Transactions on Power Systems 24 (1) (2009) 427–436. [40] Mithulananthan N, Than Oo and Le Van Phu, ‘Distributed generator placement in power distribution system using genetic algorithm to reduce losses’, TIJSAT, 9(3) (2004), 55–62. [41] Ackermann, T., Andersson, G., S.oder, L., (2001). “Distributed generation: a definition”. Electric Power Systems Research 57, pp. 195–204. [42] J. Martin, "Distributed vs. centralized electricity generation: are we witnessing a change of paradigm? An introduction to distributed generation," (HEC Paris), May 2009. [43] El-Kattam,W., Salama, M.M.A, (2004). “Distributed Generation Technologies: definitions and benefits”. Electric Power Research, 71, pp. 119-128. [44] McDonald, J., (2008). “Adaptive intelligent power systems: active distribution networks”. Energy Policy 36, pp. 4346–4351.
  • 114.
    JITENDRA SINGH BHADORIYA-SCHOOLOF INSTRUMENTATION,DEVI AHILYA UNIVERSITY INDORE(M.P.) INDIA 113 [45] Pehnt, M., Schneider, L., (2006). “Embedding Micro Cogeneration in the Energy Supply System”, in Pehnt, M., Cames, M., Fischer, C., Praetorius, B., Shneider, L., Schumacher, K., Voss, J.P. Micro cogeneration towards decentralized energy systems, Berlin: Springer, pp. 197-218. [46] F. Milano, An open source power system analysis toolbox. Power Engineering Society General Meeting, 2006. IEEE, Montreal, Que, 2006.
  • 115.
    JITENDRA SINGH BHADORIYA-SCHOOLOF INSTRUMENTATION,DEVI AHILYA UNIVERSITY INDORE(M.P.) INDIA 114