สารบัญ
หนา
กิตติกรรมประกาศ 1
บทสรุปสําหรับผูบริหาร 2
พันธกิจและเปาหมาย 4
ขอบเขตของธุรกิจ 5
สภาพตลาดของสินคา 6
โครงสรางอุตสาหกรรม 6
การวิเคราะหคูแขงขัน 10
จุดออนและจุดแข็งของธุรกิจ 14
การประเมินโอกาสและความเสี่ยงของธุรกิจ 14
กลยุทธองคกร 18
โครงสรางกลุมผูบริหาร 18
แผนการตลาด
แผนการทําวิจัยตลาด 21
ผลการทําวิจัยตลาด 22
การแบงสวนตลาด และการกําหนดกลุมเปาหมาย 27
การวางตําแหนงผลิตภัณฑ 30
แผนการตลาด 31
กลยุทธดานผลิตภัณฑ 31
กลยุทธดานราคา 32
กลยุทธดานชองทางการจัดจําหนาย 33
กลยุทธดานการสงเสริมการขาย 34
แผนการผลิต 39
การออกแบบและพัฒนาผลิตภัณฑ 39
แผนการผลิตและการดําเนินงาน 43
แผนการเงิน 46
ขอสมมติฐานของการพยากรณตัวแปรทางการเงิน 46
ประมาณการงบกําไรขาดทุน 52
ประมาณการงบดุล 53
ประมาณการงบกําไรสะสม 54
ประมาณการงบกระแสเงินสด 55
วิเคราะหจุดคุมทุน 57
อัตราสวนทางการเงิน 59
Sensitivity Analysis 61
การประเมินแผนธุรกิจ 62
แนวทางการประเมินความเปนไปไดของธุรกิจ 62
ปจจัยวิกฤตที่เปนเงื่อนไขแหงความสําเร็จ/ลมเหลวของธุรกิจ 63
การควบคุมและประเมินผล 64
แผนรับมือเหตุการณที่ไมเปนไปตามแผนการดําเนินงานปกติ 67
ภาคผนวก
แบบสอบถามพฤติกรรมการบริโภคไอศกรีม 69
แบบสอบถาม (Blind Test) พฤติกรรมการบริโภคไอศกรีม 72
ผลของแบบสอบถามพฤติกรรมการบริโภคไอศกรีม 74
ผลของแบบสอบถาม (Blind Test) พฤติกรรมการบริโภคไอศกรีม 81
การวิเคราะหทางการเงินเมื่อผลการดําเนินงานเปนไปตามคาดการณ 85
การวิเคราะหทางการเงินเมื่อยอดขายลดลง 10% กวาที่คาดการณ 100
การวิเคราะหทางการเงินเมื่อตนทุนเพิ่มขึ้น 15% กวาที่คาดการณ 115
สารบัญภาพ
หนา
ภาพที่ 1 แสดงสวนครองตลาดของระดับไอศกรีม 6
ภาพที่ 2 แสดงสวนครองตลาดของผูผลิตไอศกรีม 8
ภาพที่ 3 แสดงโครงสรางองคกร 19
ภาพที่ 4 แสดงการกําหนดกลุมเปาหมายสําหรับชองทางการขายปลีก 28
ภาพที่ 5 แสดงการกําหนดกลุมเปาหมายสําหรับชองทางการขายสง 29
ภาพที่ 6 รูปแบบจําลองของบรรจุภัณฑไอศกรีม 32
ภาพที่ 7 แบบจําลองแสดงลักษณะของคีออส (Kiosk) 33
ภาพที่ 8 แสดงกําหนดการพัฒนาผลิตภัณฑ 42
ภาพที่ 9 แสดงขั้นตอนการผลิตไอศกรีม 45
สารบัญตาราง
หนา
ตารางที่ 1 ประมาณการจํานวนคีออสในแตละเดือน 46
ตารางที่ 2 ประมาณการจํานวนคีออสในแตละเดือน 47
ตารางที่ 3 ประมาณการงบกําไรขาดทุนป 2002-2006 52
ตารางที่ 4 ประมาณการงบดุลป 2002-2006 53
ตารางที่ 5 ประมาณการงบกําไรสะสมป 2002-2006 54
ตารางที่ 6 ประมาณการงบกระแสเงินสดป 2002-2006 55
ตารางที่ 7 การวิเคราะหจุดคุมทุนของคีออส 57
ตารางที่ 8 การวิเคราะหจุดคุมทุนของชองทางการขายสง 58
ตารางที่ 9 อัตราสวนทางการเงิน 59
ตารางที่ 10 การวิเคราะหความคลาดเคลื่อน (Sensitivity Analysis) 61
ตารางที่ 11 การควบคุมทางการตลาด 65
กิตติกรรมประกาศ
คณะผูจัดทํา ขอกราบขอบพระคุณ อาจารย ศรายุทธ แสงจันทร ที่ปรึกษาการจัดทําแผนธุรกิจ ที่ได
ใหความอนุเคราะหโดยสละเวลา ใหคําวิจารณและแนะนําเพื่อการปรับปรุงแกไขแผนธุรกิจฉบับนี้ให
สมบูรณ จนสําเร็จลุลวงไดดวยดี
คณะผูจัดทํา
นายถาวร สุขศรีสราญจิตร
นายวิทยา จารุพงศโสภณ
นายสุวิทย ลีลานันทกิจ
นายฉัตรไชย เชี่ยวชาญพานิช
Herbies Ice Cream
• บทสรุปสําหรับผูบริหาร (Executive Summary)
บริษัท แอมโบรเชีย จํากัด (Ambrosia Co.,Ltd) จะเริ่มดําเนินธุรกิจในเดือนมกราคม 2545
โดยผลิตภัณฑของ Ambrosia คือ ไอศกรีมสมุนไพร ภายใตชื่อ “Herbies” ซึ่งตัวผลิตภัณฑนอกจากจะมี
ความแปลกใหมในดานรสชาติและมีประโยชนตอสุขภาพแลว ยังมีความแตกตางในดานบรรจุภัณฑ อีก
ดวยคือ จะมีการใสนํ้าแข็งแหงไวที่ถวยสําหรับการขายปลีกใหแกลูกคา นอกจากนั้นโคนที่ใสไอศกรีมก็จะมี
สวนผสมของฟงทองหรือเผือกอีกดวย สวนการขายสงจะมีบรรจุภัณฑที่พรอมบริการใหลูกคาไดทันที โดย
Ambrosia จะขายสินคาใหแกลูกคา 2 กลุม คือ ชองทางการขายปลีกผานคีออส (Kiosk) และชองทางการ
ขายสงผานรานอาหาร ซึ่ง แอมโบรเชีย จํากัด (Ambrosia Co.,Ltd) จะเปด คีออส (Kiosk) สําหรับขายปลีก
สาขาแรกที่สยามสแควรในเดือนมิถุนายน 2545 และจะทยอยเปด คีออส (Kiosk) ใหครบ 10 สาขาภายใน
ป 2545 โดย Ambrosia มีแผนที่จะเพิ่ม คีออส (Kiosk) อีก 5 สาขาในป 2546 และอีก 3 สาขาในป 2547
นอกจากนั้น แอมโบรเชีย จํากัด (Ambrosia Co.,Ltd) ยังมีแผนที่จะขายไอศกรีมในชองทางการขายสงให
แกรานอาหารตางๆ ใหครบ 40 รานในป 2545 และเพิ่มเปน 75 รานในป 2546
Ambrosia จะขายไอศกรีมในราคาลูกละ 29 บาท สําหรับการขายปลีก และลูกละ 13-15 บาท
สําหรับการขายสง โดย Ambrosia คาดวาจะมีคาใชจายในการทําสงเสริมการขายเปนจํานวนเงิน 20% ของ
ยอดขายสําหรับการขายปลีกและ 5% สําหรับการขายสง
แอมโบรเชีย จํากัด (Ambrosia Co.,Ltd) คาดวาจะมียอดขายในป 2545 ประมาณ 8,137,330
บาท และจะเติบโตขึ้นในป 2546 และ 2547 คือจะมียอดขาย 35,004,590 บาทและ 52,828,770 บาท ตาม
ลําดับ โดยบริษัทคาดวาจะมีกําไรขั้นตน 65% สําหรับการขายปลีกและ 35% สําหรับการขายสง ซึ่ง แอม
โบรเชีย จํากัด (Ambrosia Co.,Ltd) จะมีขาดทุนสุทธิในปแรก 1,707,741 บาท และจะมีกําไรสุทธิเปน
1,773,724 บาท และ 5,492,026 บาท ในป 2546 และ 2547 ตามลําดับ ซึ่งจะทําใหบริษัทสามารถคืนทุน
ไดในเวลา 3 ป และคาดวาโครงการนี้จะมี NPV 6,537,067 บาท และ IRR 46% นอกจากนั้นในระยะสั้น
(2545-2546) แอมโบรเชีย จํากัด (Ambrosia Co.,Ltd) มีเปาหมายที่จะมีสวนครองตลาด (Market Share)
3% ในตลาดไอศกรีม Premium และ 5% สําหรับการทําตลาดในระยะกลาง (2547-2549)
กลยุทธที่จะนํามาใชในการทําการตลาด คือ พยายามสราง Brand “Herbies” ใหเกิดขึ้นใหได ซึ่ง
แอมโบรเชีย จํากัด (Ambrosia Co.,Ltd) มีเปาหมายในการทําใหผูบริโภครับรูถึงความเปนผูนําในตลาด
ไอศกรีมสมุนไพร โดยจะมีการจัดทํา Menu ใหแกรานอาหาร เพื่อใหผูบริโภคจดจําตราสินคาของเราได นอก
จากนั้นจะมีการจัดทําที่คั่นหนังสือสําหรับการขายปลีกเพื่อเปนการใหความรูกับผูบริโภคใหรับรูถึงความ
แตกตางของไอศกรีม Herbies และไอศกรีมทั่ว ๆ ไป ซึ่งสิ่งที่ Ambrosia ตองการก็คือ การใชการบอกตอ
(Word of mouth marketing) จากความแตกตางของรสชาติ และบรรจุภัณฑ
ในระยะยาวการที่ แอมโบรเชีย จํากัด (Ambrosia Co.,Ltd) จะสามารถประสบความสําเร็จได
ปจจัยที่สําคัญที่สุด คือ รสชาติ ดังนั้น แอมโบรเชีย จํากัด (Ambrosia Co.,Ltd) จึงไดตั้งงบวิจัยและพัฒนา
(Research and Development) ไว 3% ของยอดขายในแตละป นอกจากนั้นบริษัทจะมีการเพิ่มชองทาง
การจัดจําหนายใหม ๆ เพื่อขยายตลาดในอนาคต รวมถึงการขายสิทธิบัตร (Franchise) แกผูสนใจใน
ประเทศ และมีการเพิ่มความหลากหลายในผลิตภัณฑเพื่อสุขภาพอีกดวย
• Mission and Goals
Mission
“มุงยกระดับคุณภาพชีวิต โดยการนําเสนอไอซกรีมและบริการ ที่มีคุณคาและเปนประโยชนตอสุขภาพ
เพื่อเปนผูนําตลาดของไอศกรีมสมุนไพร”
Goals
ระยะสั้น พ.ศ. 2545 – 2546
1. ขยายสาขาใหได 15 สาขาในบริเวณที่มีศักยภาพในเขตกรุงเทพมหานคร ทั้งในหางสรรพสินคา
และสถานศึกษา
2. กระจายไอศกรีมสูรานอาหารในเขตกรุงเทพมหานครและปริมณฑล ใหได 75 ราน
3. ครองสวนแบงตลาดของไอศกรีม Premium ใหได 3%
4. บริหารธุรกิจใหมีกําไรขั้นตน (Gross Margin) 65% สําหรับคีออส และ 35% สําหรับ ชองทาง
การขายสง
ระยะกลาง พ.ศ. 2547 – 2549
1. ขยายสาขาเพิ่มเติมใหครอบคลุมกรุงเทพมหานครและตามเมืองขนาดใหญใหได 20 สาขา
2. เพิ่มการขายไอศกรีมในรานอาหารใหครอบคลุมกรุงเทพมหานครและปริมณฑล ใหได 250
ราน
3. ครองสวนแบงตลาดของไอศกรีม Premium ใหได 5%
4. บริหารธุรกิจใหมีกําไรขั้นตน (Gross Margin) 65% สําหรับคีออส และ 35% สําหรับชองทาง
การขายสง
5. สงเสริมกิจกรรมเพื่อสังคม
6. กระตุนผูบริโภคใหทราบถึงคุณคาของสมุนไพรและผลไมตาง ๆ อยางตอเนื่องเพื่อใหเกิดการ
บริโภคมากขึ้น
ระยะกลาง พ.ศ. 2550 – 2555
1. เปดแฟรนไชสในประเทศไทย
2. ทําการรวมทุนกับนักลงทุนตางประเทศ เพื่อขยายตลาดไปยังตางประเทศ
3. เพิ่มรูปแบบชองทางการจัดจําหนายใหม ๆ
4. บริหารธุรกิจใหมีกําไรขั้นตน (Gross Margin) 70% สําหรับคีออส และ 35% สําหรับชองทาง
การขายสง
5. กระตุนผูบริโภคใหทราบถึงคุณคาของสมุนไพรและผลไมตาง ๆ อยางตอเนื่องเพื่อใหเกิดการ
บริโภคมากขึ้น
6. พัฒนาผลิตภัณฑใหสอดคลองกับความตองการของผูบริโภค
7. ขยายสวนแบงตลาดอยางตอเนื่อง
8. สงเสริมกิจกรรมเพื่อสังคม
• ขอบเขตของธุรกิจ
บริษัท แอมโบรเชีย จํากัด (Ambrosia Co.,Ltd) จะเริ่มดําเนินธุรกิจในเดือน มกราคม 2545
โดยผลิตภัณฑของ Ambrosia คือ ไอศกรีมสมุนไพร ภายใตชื่อ “Herbies” โดยไอศกรีมดังกลาวจะเปน
ไอศกรีมในระดับ Premium ที่นอกจากจะมีความแปลกใหมในดานรสชาติและมีประโยชนตอสุขภาพแลว
ยังมีความแตกตางในดานบรรจุภัณฑอีกดวย โดย Ambrosia จะขายสินคาใหแกลูกคา 2 กลุม คือ ชองทาง
การขายปลีกผานคีออส (ลูกคาทั่วๆ ไป) และชองทางการขายสงผานรานอาหาร โดยจะมีกลุมเปาหมายที่
เปนลูกคาในเขตกรุงเทพมหานครและปริมณฑล เปนหลัก
• สภาพตลาดของไอศกรีม (Market Situation)
ไอศกรีมเปนอาหารหวานที่ไดรับความนิยมอยางสูงและมีความเปนสากลประกอบกับใน
ปจจุบันปริมาณการบริโภคไอศกรีมตอคนของประชากรคนไทยยังอยูในระดับที่ตํ่ามาก เพียงประมาณ 1
ไพน (Pint) ตอปเทานั้น ซึ่งเมื่อเทียบกับประเทศอื่นๆ แลว ประเทศไทยยังมีศักยภาพที่จะขยายตลาดไดอีก
มากในอนาคตอันใกล ทําใหกลุมธุรกิจขนาดใหญตางใหความสนใจเขามาลงทุนในอุตสาหกรรมนี้ ซึ่งจาก
กิจกรรมกระตุนตลาดของกลุมบริษัทยักษใหญมีสวนชวยทําใหตลาดไอศกรีมในประเทศไทยมีการขยายตัว
อยางตอเนื่องในอัตราที่สูง โดยพบวากอนวิกฤตการณทางเศรษฐกิจตลาดไอศกรีมโดยภาพรวมมีการเติบโต
ในระดับปละ 15-20% ซึ่งจัดไดวาเปนอุตสาหกรรมที่มีอัตราการเติบโตที่นาสนใจตอการลงทุนเปนอยางยิ่ง
ไอศกรีมในประเทศไทยปจจุบันมีมูลคาประมาณ 5 พันลานบาท และอาจสูงถึง 8 พันลานบาท หากรวม
ไอศกรีม Home made ตางๆ (รวมรายเล็กๆ ของทองถิ่นและไอศกรีมโบราณ) โดยสามารถแบงตลาดออก
ไดเปน 3 ตลาดดังนี้
ภาพที่ 1 แสดงสวนครองตลาดของระดับไอศกรีม
ป 2543 : ที่มา ฐานเศรษฐกิจ
1. ไอศกรีมซุปเปอรพรีเมี่ยม (Super premium ice cream)
เปนไอศกรีมที่มีราคาสูงที่สุดในตลาด โดยมีสัดสวนตลาดที่คอนขางเล็กเพียง 2-3 % เทานั้น
โดยพบวามีผูทําตลาดเพียงรายเดียวคือไอศกรีม ฮาเกนดาส ซึ่งบริษัท เอชดี ดิสทริบิวเตอร จํากัด (ประเทศ
ไทย) ซึ่งเปนบริษัทในเครือ เอสแอนดพี เปนผูนําเขามาทําตลาด แตอัตราการเติบโตของตลาดนี้ไมสูงนัก
โดยเฉพาะในภาวะวิกฤตการณทางเศรษฐกิจที่ผานมา ชองทางการจําหนายในปจจุบันคือผานรานคาของ
เอสแอนดพี รานฮาเกนดาสซึ่งมีรูปแบบรานหลายรูปแบบไมวาจะเปนรานคาแบบเต็มรูปแบบ บริเวณ
อาคารมณียา หรือในลักษณะของคีออส (Kiosk) บริเวณหนาพระบรมมหาราชวัง เปนตน
2. ไอศกรีมพรีเมี่ยม (Premium ice cream)
เปนไอศกรีมระดับบนเชนกันแตมีราคาตํ่ากวาไอศกรีมซุปเปอรพรีเมี่ยม การแขงขันในตลาด
เปนไปอยางรุนแรง โดยไอศกรีมพรีเมี่ยมมีมูลคาตลาดประมาณ 17 % หรือประมาณ 900 ลานบาท โดยมีผู
ทําตลาดรายใหญ 3 รายดวยกันคือ
Market Share by Grade
(Included Local&Home made Ice cream)
Premium 12% >900 MB.
Medium Class 50 %>4,000
MB.
Home made&Local 38% >
3,000 MB.
Super Premium1% > 80
MB.
2.1 ไอศกรีมสเวนเซนส (Swensens ice cream) ซึ่งทําตลาดโดยบริษัทสเวนเซนส (ไทย)
จํากัด ซึ่งเปนบริษัทในเครือไมเนอรกรุป โดยมีสวนแบงการตลาดสูงสุดประมาณ 60 – 70 % ปจจุบัน
ไอศกรีมสเวนเซนสมีชองทางการจัดจําหนายที่หลากหลาย ไมวาจะเปนรานคาแบบเต็มรูปแบบ คีออส
ซุปเปอรมารเก็ต หรือแมแตในรานพิซซา รวมทั้งบริการจัดสง (Delivery) ดวย
2.2 ไอศกรีมบาสกิ้นรอบบิ้นส (Baskin Robbins ice cream) ทําตลาดโดยบริษัทบาสกิ้น
รอบบิ้นส (ประเทศไทย) จํากัด ซึ่งเปนบริษัทในเครือเซ็นทรัล มีสวนแบงตลาดประมาณ 20-30% โดยชอง
ทางการจําหนายหลักคือ รานคาแบบเต็มรูปแบบ (มีการขายแฟรนไชสดวย) รวมถึงรูปแบบคีออส และใน
ซุปเปอรมารเก็ตดวย
2.3 ไอศกรีมบัดส (Buds ice cream) ทําตลาดโดย บริษัทอเมริกันฟูดส จํากัด ซึ่งมีสวนแบง
ตลาดประมาณ 10%
นอกจาก 3 รายขางตนแลว ยังมีความพยายามจากผูนําตลาดไอศกรีมทั่วไปคือ ไอศกรีมวอลล ซึ่ง
เคยทดลองตลาดพรีเมี่ยมโดยการสงไอศกรีม คารที-ดอร มาทดลองตลาด แตไมประสบความสําเร็จมาก
นักจึงเลิกทําตลาดไป ในขณะที่ไอศกรีมเนสเลทเองก็ไดสงไอศกรีม เนสเลทครามีเลีย มาทําตลาด
ไอศกรีมพรีเมี่ยมดวยเชนเดียวกัน แตเนื่องจากยังอยูในชวงตนของการทําตลาดเทานั้น จึงยังไมอาจสรุปผล
การทําตลาดไดวาประสบความสําเร็จเพียงใด โดยกลยุทธหลักที่ใชคือกลยุทธราคา โดยเนนใหราคาตํ่ากวา
ผูนําตลาดอยางไอศกรีมสเวนเซนสประมาณ 25-30 บาท ตอควอท (Quart)
ไอศกรีมพรีเมี่ยมเปนตลาดที่มีอัตราการเติบโตที่สูงสุด โดยพบวาในชวงกอนวิกฤตการณทาง
เศรษฐกิจนั้นมีอัตราการเติบโตสูงถึง 30% ตอป หรือแมแตในชวงที่เศรษฐกิจซบเซา ตลาดนี้ยังคงมีอัตรา
การเติบโตสูงถึง 10% ตอป ในขณะที่ภาพรวมของตลาดไอศกรีมมีการหดตัวลง ทั้งนี้เนื่องจากการเปลี่ยน
แปลงพฤติกรรมการบริโภคของคนไทย โดยผูบริโภคตองการสินคาที่มีคุณภาพสูงขึ้นและยอมจายในราคาที่
สูงขึ้น โดยสวนแบงตลาดของแตละยี่หอเปนดังในภาพที่ 2
ภาพที่ 2 แสดงสวนครองตลาดของผูผลิตไอศกรีม
3. ไอศกรีมทั่วไป ตลาดกลางถึงลาง (Low to medium class ice cream)
เดิมในตลาดนี้มีผูทําตลาดหลายราย โดยเฉพาะนักลงทุนทองถิ่น แตเมื่อกลุมทุนขามชาติยักษ
ใหญเขามาทําตลาดในประเทศไทยและมีการแขงขันกันอยางรุนแรงทําใหกลุมทุนรายยอยในทองถิ่นไม
สามารถแขงขันไดเลย มีการลมสลายไปเปนจํานวนมาก ปจจุบันไอศกรีมทั่วไปมีมูลคาตลาด 4,000 ลาน
บาท หรือคิดเปน 80% ของมูลคาตลาดรวม (ที่มา ฐานเศรษฐกิจ) โดยกลุมผูนําตลาดในปจจุบันที่เปนราย
ใหญมีเพียง 3 รายเทานั้น ไดแก
3.1 ไอศกรีมวอลส (Wall’s ice cream) ซึ่งทําตลาดโดยบริษัทยูนิลีเวอร (ประเทศไทย)
จํากัด ซึ่งเนนสินคาที่ราคาไมสูง มีความหลากหลายของผลิตภัณฑ รวมทั้งจุดขายที่มากที่สุด และเปนผูนํา
ตลาดนี้ดวยสวนแบงตลาดมากกวา 70-80 %
3.2 ไอศกรีมเนสเลท (Nestle ice cream) ทําตลาดโดยบริษัทเนสเลทไอศกรีม โดยเนสเลท
เพิ่งเขามาทําตลาดในประเทศไทยไดไมนานนัก แตดวยความพรอมทางดานทุนและเทคโนโลยีแลว ทําใหมี
ความพรอมในการแขงขันในตลาดไอศกรีมคอนขางมาก ปจจุบันยังมีสวนแบงตลาดไมมากนัก
3.3 ไอศกรีมแมกโนเลีย ยูไนเต็ด (Magnolia united ice cream) ทําตลาดโดยบริษัทยูไน
เต็ดฟูด จํากัด ไอศกรีมยูไนเต็ดทําตลาดไอศกรีมในประเทศมาเปนเวลาคอนขางนาน โดยเริ่มจากการเปน
ไอศกรีมของกลุมทุนทองถิ่นและตอมาจึงไดมีการรวมทุนกับตางชาติ ปจจุบันไอศกรีมยูไนเต็ดมีสัดสวน
ตลาดไมมากนักเชนกัน
ตลาดไอศกรีมทั่วไปเปนตลาดที่มีการแขงขันที่รุนแรงมากที่สุด โดยผูอยูรอดในกลุมนี้จํา
Market Share of Premium and
Super Premium Ice Cream
Swensens
70%
Hagen Daaz
3%
Baskin Robbins
20%
Buds
7%
เปนที่จะตองมีความพรอมทางดานเงินทุนและเทคโนโลยีในระดับสูง อยางไรก็ดี ยังมีผูใหความสนใจที่จะ
เขามาทําตลาดนี้อีกในอนาคต เชน กลุมซีพีที่คาดวาจะรวมทุนกับเมจิของญี่ปุนเขามาทําตลาดไอศกรีมใน
อนาคตอันใกลนี้
ดังนั้นเมื่อพิจารณาสภาพตลาดไอศกรีมในภาพรวม จะพบวาตลาดไอศกรีมในประเทศไทยมีมูลคา
ตลาดอยูในระดับสูง ทั้งยังมีอัตราการเติบโตในระดับที่นาพอใจ กลาวคือ การเติบโตในระดับ 15 –20%
ตอป โดยในสวนของไอศกรีมพรีเมี่ยมมีอัตราการเติบโตสูงสุดกวา 30% ตอป ในขณะที่ไอศกรีมทั่วไปมี
อัตราการเติบโตประมาณ 10 – 15% ตอป โดยในชวงวิกฤตการณที่ผานมาพบวาตลาดไอศกรีมสวนใหญมี
การหดตัวเล็กนอยโดยไอศกรีมพรีเมี่ยมเปนเพียงตลาดไอศกรีมเดียวที่ยังคงมีการเติบโตอยางตอเนื่องโดย
ประมาณ 10% ตอป ในดานสัดสวนการครองตลาดพบวาตลาดไอศกรีมมีผูนําตลาดที่คอนขางชัดเจนและ
ทิ้งหางคูแขงคอนขางมากไมวาจะเปนในตลาดพรีเมี่ยมที่ไอศกรีมสเวนเซนสครองสวนแบงตลาดกวา 70%
หรือในตลาดทั่วไปที่ไอศกรีมวอลลส ครองสวนแบงตลาดประมาณ 80% แตอยางไรก็ตาม จากงานวิจัย
หลายๆ ชิ้นพบวาไอศกรีมแบบ Home-made ยังคงไดรับความนิยมอยูในระดับหนึ่งดวยเชนกัน เชน ผลการ
สํารวจของบริษัทศูนยวิจัยกสิกรไทย ในป 2540 พบวาคนกรุงเทพฯ กวา 14% นิยมรับประทานไอศกรีมจาก
รานที่ผลิตเองหรือไอศกรีม Home –made ดวยเหตุผลวาติดใจในรสชาติ สะดวกในการซื้อ รวมทั้งราคาไม
แพง ซึ่งเหตุผลเหลานี้เองที่นาจะเปนโอกาสที่ทําใหไอศกรีม Home-made ที่ไมคอยมีชื่อเสียงแตมีรสชาติดี
จะสามารถเขามาทําตลาดได
• การวิเคราะหคูแขง (Competitor Analysis)
ในตลาดไอศกรีมพรีเมี่ยมปจจุบันมีอยูหลายรูปแบบทั้งในรูปของไอศกรีมแบบตัก แบบที่บรรจุ
สําเร็จ และแบบ Take home ซึ่งไอศกรีม Premium แบบ Take home มีอยูหลายขนาดใหเลือก เชน ขนาด
ถวยเล็ก100 กรัม ขนาดไพนประมาณ 250-290 กรัม และขนาด Quart ประมาณ 500-600 กรัม รวมทั้ง
ขนาดที่ใหญขึ้นอีกเปนประมาณ 750-1,000 กรัม เปนตน รวมทั้งรูปแบบของไอศกรีมแบบแทงสําเร็จบรรจุ
ซองฟรอยด โดยระดับราคาจะเริ่มตั้งแตประมาณ 20 บาทขึ้นไป การแขงขันในปจจุบันมีคูแขงรายใหญ
จํานวนนอยราย และมีผูนําตลาดที่โดดเดนชัดเจน โดยการแขงขันเปนไปอยางรุนแรง และการแขงขันที่มาก
ก็เปนสวนหนึ่งที่ชวยใหตลาดไอศกรีมพรีเมี่ยมมีการเติบโตอยางตอเนื่อง
คูแขงทางตรงและทางออม (Direct and Indirect Competitor)
Herbies มีคูแขงทางตรงทั้งที่เปนไอศกรีมสมุนไพรโดยตรงและที่เปนไอศกรีมพรีเมียม ซึ่งประกอบ
ดวย ไอศกรีมแดรี่ปริ๊นเซส ไอศกรีมวินเนอร ไอศกรีมทัคคานินี่ ไอศกรีมสเวนเซนส ไอศกรีมบัดส
ไอศกรีมบาสกิ้นรอบบิ้น ไอศกรีมเจลาโต รวมทั้งไอศกรีมฮาเกนดาสดวย โดยในสวนของคูแขงทาง
ออมจะอยูในรูปของไอศกรีมระดับทั่วไปอื่นๆ เชน ไอศกรีมสําเร็จจากตูแชและแบบตัก ไดแก ไอศกรีมวอลล
ไอศกรีมเนสเลท ไอศกรีมยูไนเต็ดเม็กโนเลีย รวมทั้งไอศกรีมรายยอยอื่นๆ นอกจากนั้นของหวานตางๆ
ก็ถือไดวาเปนคูแขงทางออมของ Herbies เชนกัน
คูแขงทางตรง (Direct Competitor)
เนื่องจาก Herbies ไดรับการวางตําแหนงผลิตภัณฑในระดับไอศกรีมพรีเมี่ยม ซึ่งมีความสอดคลอง
กับไอศกรีมสมุนไพรยี่หออื่นๆ ที่วางตลาดในปจจุบัน ซึ่งในปจจุบันที่คอนขางมีชื่อเสียงแลวในระดับหนึ่ง มี
อยู 3 รายไดแก
1. ไอศกรีมของแดรี่ปริ๊นเซส ซึ่งมีวางขายอยูหลายจุดเชน หนามหาวิทยาลัยเกษตรศาสตร
หางเซ็นทรัลชิดลม World Trade Center และ Emporium เปนตน โดยไอศกรีมจะมีความหลากหลายใน
รสชาติคอนขางมาก แตในแตละจุดขายจะมีเพียง 12 –15 รสชาติเทานั้น ระดับราคาประมาณ 22-29
บาท ตอลูกสําหรับไอศกรีมแบบตัก ปจจุบันพบวาแดรี่ปริ๊นเซสไมไดมีการทํากิจกรรมสงเสริมการขายใน
ลักษณะของ Mass media แตมีการสงเสริมการขาย ณ จุดขาย เชน มีการแจกที่คั่นหนังสือ ทํา Price
Discrimination เปนตน
2. ไอศกรีมทัคคานินี่ ปจจุบันมีเพียงจุดขายเดียวที่ซอยทองหลอ ตรงขามโออิชิภัตตาคาร
ไอศกรีมเปนไอศกรีมแบบ Home-made ที่มีความหลากหลายมาก ซึ่งมีทั้งที่เปนไอศกรีมสมุนไพรและ
ไอศกรีมรสชาติทั่วไปเชน ชอคโกแลต มอคคาอัลมอนตฟดจ เปนตน ปจจุบันไอศกรีมทัคคานินี่กําลังเปนที่รู
จักในวงกวางมากยิ่งขึ้น โดยเฉพาะในสวนของสิ่งพิมพในฐานะรานไอศกรีมอรอย เชน รานไอศกรีมอรอย
อันดับ 1 จากการจัดอันดับของนิตยาสารอิมเมจ ฉบับ Summer Issue ประจําเดือนเมษายน 2544 เปนตน
ราคาของไอศกรีมทัคคานินี่อยูในระดับสูงประมาณ 35-40 บาทตอลูก ซึ่งจัดวามีราคาที่คอนขางสูงกวายี่หอ
อื่นๆ ในตลาด
3. ไอศกรีมของรานอาหารเวียดนามวินเนอร หรือ ไอศกรีมวินเนอร ไอศกรีมมีความหลาก
หลายดานรสชาติทั้งสวนของผัก สมุนไพร และผลไมตางๆ อาจเรียกไดวามีความหลากหลายมากที่สุด
ไอศกรีมวินเนอรคอนขางเปนที่รูจักดีโดยเฉพาะในกลุมคนที่รักษาสุขภาพ ปจจุบันมีจุดขายเดียวยานลาดพ
ราว ไอศกรีมวินเนอรมีความแตกตางจากไอศกรีมสองยี่หอขางตนคอนขางมาก กลาวคือมีการใชสวนผสม
ที่มีไขมันตํ่ากวาหรือมีสวนผสมของครีมนอยกวา ซึ่งมีจุดขายที่สุขภาพเปนหลัก การสงเสริมการตลาด
ปจจุบันอาศัยการบอกตอ (Word of Mouth) เปนหลัก อยางไรก็ตามเนื่องจากอยูในธุรกิจมาเปนเวลานาน
ทําใหมีรายการอาหารทางโทรทัศนหลายรายการมาถายทําเพื่อออกอากาศ รวมทั้งการสัมภาษณเพื่อลงใน
คอลัมนอาหารทางนิตยสารตางๆ หลายฉบับ นอกจากนั้นเจาของรานยังเปนวิทยากรสอนทําอาหารรับเชิญ
ของโครงการสงเสริมอาชีพของรายการบานเลขที่หาอีกดวย ซึ่งจากเหตุผลดังกลาวทําใหชื่อเสียงของ
ไอศกรีมวินเนอรเปนที่รูจักแพรหลายมากขึ้น
ไอศกรีมทั้งสามยี่หอขางตนลวนแตเกิดจากการที่เจาของมีความรักในการทําอาหารและ
ชอบรับประทานไอศกรีมเหมือนๆ กัน ทําใหแตละคนไดทําศึกษาอยางจริงจังเกี่ยวกับการทําไอศกรีม แลวจึง
ไดนํามาปรับปรุงเปนสูตรของตนเอง โดยกวาจะพัฒนามาเปนไอศกรีมสมุนไพรเชิงพาณิชยไดตองใชเวลา
พัฒนาตัวสินคาหลายป โดยจะเริ่มจากรานคาของตนเองกอนแลวจึงมีการขยายสาขาออกไปเมื่อมียอดขาย
สูงขึ้น รูปแบบการบริหารงานของทั้งสามรานยังคงเปนแบบครอบครัว
ในสวนของคูแขงทางตรงนั้น นอกจากไอศกรีมสมุนไพรแลวยังรวมสวนของไอศกรีม
พรีเมียมในตลาดของ Swensens Buds Baskin Robbins และ Hagen Dazs ดวย โดยในสวนของราย
ละเอียดแตละรายนั้นไดกลาวในสวนของการวิเคราะหตลาดแลว กลาวโดยยอคือปจจุบัน Swensens ครอง
สวนแบงตลาดมากกวา 60-70% ของตลาด ดวยจํานวนสาขามากที่สุดกวา 100 สาขาทั่วประเทศ ซึ่งอาศัย
ความไดเปรียบดานชองทางการจัดจําหนายที่มากกวา และการผลิตปริมาณมากทําใหมีความประหยัดตอ
ขนาด (Economy of Scale) มากกวาคูแขง รวมทั้งการมีแหลงวัตถุดิบในการผลิตนมดิบและครีมเปนโรง
งานของตนเองดวย ในขณะที่คูแขงรายอื่นก็มีผูผลิตและผูทําตลาดที่มีศักยภาพเชนกัน เชน ไอศกรีม
Baskin Robbins ที่มีกลุมในเครือเซ็นทรัลเปนผูรับสิทธิเพื่อทําการผลิตและจัดจําหนาย เปนตน อยางไรก็
ตาม Swensens ยังมีขอไดเปรียบเหนือคูแขงรายอื่นมาก ซึ่งดวยขอไดเปรียบตาง ๆ จะทําให Swensens
จะยังคงเปนผูนําในตลาด (Market leader) ไดอยางตอเนื่อง
คูแขงทางออม (Indirect Competitor)
นอกจากไอศกรีมในตลาดทั่วไปแลว พบวายังมีสินคาหลายอยางที่สามารถทดแทนการบริโภค
ไอศกรีมได เชน กลุมหวานเย็นหรือนํ้าแข็งไสตาง ๆ ไอศกรีมพื้นบานรวมทั้งกลุมของหวาน เครื่องดื่มตาง ๆ
ดวย ไมเพียงเทานั้นกลุมของวาง เชน ขนมตางๆ ก็สามารถทดแทนไอศกรีมไดทั้งสิ้น โดยขึ้นกับระดับความ
พึงพอใจในการบริโภคไอศกรีมรวมดวย ในการพิจารณาจะพบวาสินคาที่สามารถทดแทนไอศกรีมในการทํา
ตลาด เพราะในความงายที่จะถูกทดแทนดวยสินคาอื่นก็ซอนโอกาสในการเขาไปแยงชิงตลาดเพื่อขยาย
ตลาดไอศกรีมใหมีมูลคาตลาดที่มากขึ้นไดเชนกัน
ในสวนของของหวานตาง ๆ หากมองในสวนของชองทางการจําหนายผานรานอาหารแลว อาจ
พิจารณาเปนคูแขงทางออมไดเชนกัน ดังนั้นอาจมองไดวาไอศกรีมมีโอกาสเขาไปทดแทนมูลคาอาหาร
หวานไดไมนอย อันจะเปนสวนใหตลาดไอศกรีมมีฐานที่กวางยิ่งขึ้น และมีมูลคาตลาดที่สูงขึ้นในอนาคตอีก
ดวย
• SWOT ANALYSIS
การวิเคราะหสภาพแวดลอมภายใน
STRENGHT
1. เปนสินคาที่แปลกใหม มีคุณคา และสรรพคุณทางโภชนาการรวมถึงเปนผลิตภัณฑรักษาสุขภาพอีก
ดวย
2. มูลคาเพิ่มของตัวสินคามีสูง (High Value Added)
3. มีบรรจุภัณฑที่ตอบสนองการใชงานดานการบรรจุอาหารที่ตองการเก็บรักษาดวยความเย็นและเปน
นวัตกรรมที่แปลกใหมในการบรรจุ
4. เปน First Mover ในตลาดไอศกรีมสมุนไพรที่มีการทําการตลาดอยางจริงจัง
WEAKNESS
1. ผูกอตั้งกิจการไมมีประสบการณในธุรกิจอุตสาหกรรมไอศกรีม หรือแมแตในอุตสาหกรรมอาหารมา
กอน จึงตองใชเวลาเรียนรูและศึกษาถึงสภาพอุตสาหกรรมไอศกรีม ซึ่งอาจทําใหเสียเปรียบคูแขงที่
อยูในอุตสาหกรรมนี้มานาน
2. เงินทุนของผูกอการมีไมมาก ทําใหการขยายกิจการในชวงแรกเปนไปไดยาก
การวิเคราะหสภาพแวดลอมภายนอก
วิเคราะหสภาพการแขงขันดวย Five Force Model
1. Rivalry among competing sellers
หากมองจํากัดเฉพาะตลาดไอศกรีมสมุนไพรนั้นมีผูอยูในตลาดมากอนเปนเวลานาน แตมีจํานวน
รายไมมากนัก แตหากมองถึงภาพรวมของตลาดไอศกรีมแลวจะพบวามีคูแขงเปนจํานวนมาก ทั้ง
รายเล็กและรายใหญ ประกอบกับตลาดไอศกรีมมีอัตรากําไรขั้นตน (Gross Margin) ในระดับที่สูง
ถึง 50-80% รวมทั้งตลาดมีการขยายตัวอยางตอเนื่องและมีศักยภาพการเติบโตในอนาคตอีกมาก
เนื่องจากอัตราการบริโภคไอศกรีมของคนไทยในปจจุบันยังอยูในระดับตํ่าเมื่อเทียบกับประเทศอื่นๆ
โดยที่ตลาดมีการแขงขันที่รุนแรงมาก สินคาเดิมในตลาดที่ไมมีความแปลกใหมหรือความแตกตาง
มักตายไปจากตลาดเนื่องจากทนการแขงขันจากคูแขงรายใหญในตลาดไมได ในขณะเดียวกันสิน
คา Home-made หลายชนิดก็สามารถยืนหยัดอยูไดโดยอาศัยความแตกตางในสินคาของตนเปน
จุดขายสําคัญ
2. Potential entry
การเขาสูตลาดไอศกรีมนั้นเปนไปไดโดยงาย โดยเฉพาะในกลุมของไอศกรีม Home-made เนื่อง
จากมีเทคโนโลยีการผลิตที่ไมซับซอน ทําใหเกิดคูแขงรายใหมๆ เกิดขึ้นอยูตลอดเวลาไมวาจะเปน
ไอศกรีมในตลาดพรีเมี่ยม หรือ ตลาดทั่วไปก็ตาม แตธุรกิจไอศกรีมสมุนไพรก็มีลักษณะเหมือนกับ
ธุรกิจอาหารอื่นๆ คือตองเนนดานรสชาติ และการไดมาซึ่งวิธีการผลิตใหไดไอศกรีมสมุนไพรที่มีรส
ชาติดีนั้นตองอาศัยเทคนิคตาง ๆ ซึ่งตองเกิดจากการทดลองเปนเวลานาน ซึ่งอาจเลียนแบบไดไม
งายนัก และตองใชเวลาไมนอยในการทําสินคาเลียนแบบใหได คุณภาพทัดเทียมกัน
3. Substitute product
ไอศกรีมเปนสินคาที่มีสินคาทดแทนไดงาย ขึ้นอยูกับวาจะมองไอศกรีมเปนสินคาประเภทใด หาก
มองภาพรวมๆ วาเปนอาหารหวานชนิดหนึ่งแลว สินคาที่จะทดแทนไดก็คือกลุมอาหารหวานทั้ง
หมด ซึ่งมีเปนจํานวนมาก แตหากมองไอศกรีมแยกออกจากอาหารหวานทั่วๆ ไปแลว ไอศกรีม
สมุนไพรก็มีคูแขงเปนไอศกรีมทั่วไปๆ ที่มีอยูในตลาดนั่นเอง ซึ่งปจจุบันนี้ก็มีสินคาใหเลือกเปน
จํานวนมาก แตเนื่องจากภาพลักษณของไอศกรีมในปจจุบันยังไมคอยเปนมิตรกับ สุขภาพของผู
บริโภคเทาใดนัก การสรางทางเลือกในลักษณะของอาหารหวานที่ดีตอสุขภาพ
นั้นนาจะเปนทางเลือกที่นาสนใจแกผูบริโภค
4. Power of buyer
เนื่องจากการทําตลาดแบบ 2 สวนตลาดและแตละสวนก็มีความแตกตางของผูซื้อ คือกลุมราน
อาหารหรือขายสง กับ กลุมผูซื้อรายยอยหรือขายปลีก ในสวนของการขายสงนั้น ผูซื้อคือราน
อาหารซึ่งมีอํานาจตอรองที่คอนขางสูงในชวงตน เนื่องจากไอศกรีมสมุนไพรเปนสินคาที่คอนขาง
ใหมสําหรับคนทั่วไป ประกอบกับบริษัทเปนบริษัทใหมและยี่หอสินคายังไมเปนที่รูจักและยอมรับใน
ตลาด ทําใหรานคามีอํานานตอรองเหนือบริษัท ทั้งบริษัทจําเปนตองอาศัยรานคาและพนักงานใน
การผลักดันสินคาไปสูบริโภค อยางไรก็ตามเมื่อสินคาไดรับความนิยมมากขึ้นแลว จะมีสวนชวย
สรางอํานาจตอรองใหเพิ่มขึ้นได ในสวนของตลาดรายยอยนั้น หากมองอยางจํากัดเฉพาะไอศกรีม
สมนุไพรแลวพบวาการหาซื้อเปนไปไมงายนัก เนื่องจากเปนธุรกิจขนาดเล็กในลักษณะของไอศกรีม
Home-made และมีจํานวนผูประกอบการในตลาดไมมากนัก ผูซื้อที่ตองการบริโภคไอศกรีม
สมุนไพรแบบเจาะจงซื้อก็จะมีอํานาจการตอรองที่ไมมากนัก โดยเฉพาะในสวนลูกคาที่นิยมความ
แปลกใหมและตองการคุณคาทางโภชนาการดวยแลว อํานาจการตอรองก็จะนอยลง
5. Power of supplier
เนื่องจากวัตถุดิบการผลิตเปนสินคาพื้นฐานที่หาไดไมยาก เชน นมสด ครีม ไข พืชผักผลไม
สมุนไพร เปนตน ซึ่งเปนสินคาที่จัดหาไดงายและมีผูผลิตมากรายในตลาด ทําให Supplier มี
อํานาจการตอรองตํ่า โดยเฉพาะสินคาการเกษตรนั้น ตามปกติราคาจะตกตํ่าเมื่อถึงฤดูกาลเนื่อง
จากมีผลผลิตออกสูตลาดพรอมกันเปนจํานวนมาก อยางไรก็ตามเพื่อใหไดวัตถุดิบที่คุณภาพดี
บริษัทอาจเลือกทําสัญญารับวัตถุดิบคุณภาพดีจากผูผลิตบางราย เพื่อใหเกิดความสะดวกในการ
ควบคุมเรื่องคุณภาพวัตถุดิบ
จากการวิเคราะหขางตนพบวาธุรกิจไอศกรีมเปนอุตสาหกรรมที่มีแรงดึงดูดของตลาดสูง ทั้ง
จากตนทุนการผลิตตอหนวยที่ตํ่า (ทําใหมีอัตรากําไรขั้นตนที่สูง) การเขาสูตลาดก็ทําไดงายเนื่องจากไมมี
อุปสรรคในการเขาสูตลาด โดยเฉพาะในกลุมไอศกรีม Home-made ขนาดเล็ก และ Supplier ก็มีอํานาจ
การตอรองที่ตํ่า เนื่องจากวัตถุดิบที่ใชในการผลิตเปนสินคาที่หาซื้อไดทั่วไปและมีผูขายในตลาดมากอยูแลว
แตอยางไรก็ตามเนื่องจากไอศกรีมสมุนไพรมีสินคาที่ทดแทนไดงาย ดังนั้นการสรางการรับรูใหเกิดขึ้นกับผู
บริโภคถึงคุณประโยชนที่เหนือกวาของผลิตภัณฑจึงจําเปนที่จะตองสรางใหเกิดขึ้น เมื่อผูบริโภครับรูถึง
Core benefit ของไอศกรีมสมุนไพรแลวจะชวยกระตุนใหเกิดการซื้อซํ้าในอนาคต นอกจากนั้นการเปนราย
แรกที่จะพยายามทําตลาดอยางจริงจัง ทําใหในการรับรูของคนทั่วไปแลวบริษัทจะเปน First mover ที่มี
ภาพลักษณของการเปนสินคาของแท สามารถสราง Brand recognition ไดงายขึ้น รวมทั้งยังชวยลด
Bargaining power from buyers ไดอีกทางหนึ่งดวย อยางไรก็ตามคุณภาพและรสชาติของไอศกรีม
สมุนไพรเปนปจจัยที่มีความสําคัญสูงสุดตอการดําเนินธุรกิจในระยะยาว
OPPORTUNITY
1. ปจจุบันมีแนวโนมในการนิยมบริโภคอาหารที่ผลิตโดยใชวัตถุดิบจากพืช และสมุนไพรสูงขึ้น
2. ประเทศไทยเปนประเทศที่มีสภาพภูมิอากาศรอนเกือบตลอดทั้งป ทําใหการบริโภคไอศกรีมมีสูงเกือบ
ตลอดป ประกอบกับปริมาณการบริโภคไอศกรีมตอหัวของประเทศไทยยังอยูในระดับตํ่า ซึ่งหมายถึง
ศักยภาพการเติบโตในตลาดยังมีอยูอีกมาก
THREAT
1. สภาพเศรษฐกิจที่ยังไมฟนตัว และอาจเกิดภาวะเศรษฐกิจถดถอย ทําใหกําลังซื้อของผูบริโภคลดลง
และตลาดไอศกรีมหดตัว เพราะไมใชอาหารที่จําเปนตอการดํารงชีวิตประจําวัน
2. มีผูนําตลาดซึ่งเปนยักษใหญในอุตสาหกรรมไอศกรีม ทําใหการเติบโตคอนขางยาก
3. โดยปกติไอศกรีมจะเปนอาหารที่มีไขมันและแคลอรีสูง ทําใหผูบริโภคบางกลุมอาจตอตานภาพลักษณ
ที่ขัดแยงกันเองที่วา ไอศกรีมของเราเปนอาหารที่มีคุณคาทางโภชนาการ และมีสรรพคุณทางยา
• Management Team
ประกอบดวยตําแหนงตาง ๆ ดังตอไปนี้
1. นายฉัตรไชย เชี่ยวชาญพานิช อายุ 27 ป : Managing Director
การศึกษา
2535 – 2539 ปริญญาตรี จากจุฬาลงกรณมหาวิทยาลัย คณะพาณิชยศาสตรและการบัญชี
สาขาการบัญชี
2542 – 2544 ปริญญาโท จากมหาวิทยาลัยธรรมศาสตร คณะพาณิชยศาสตรและการบัญชี
สาขาบริหารธุรกิจ วิชาเอกธุรกิจระหวางประเทศ
ประสบการณการทํางาน
เม.ย./2539 – มิ.ย./2540 ตําแหนง Assistant Auditor บริษัท Ernst&Young
พ.ค./2540 CPA (Certified Public Accountant)
ก.ค./2540 – ปจจุบัน ตําแหนง Assistant Manager บริษัท สหมิตรเอ็นยิเนียริ่ง จํากัด
2. นายสุวิทย ลีลานันทกิจ อายุ 28 ป : Head of Manufacturing
การศึกษา
2534 – 2538 ปริญญาตรี จากจุฬาลงกรณมหาวิทยาลัย คณะวิศวกรรมศาสตร สาขาคอมพิวเตอร
2542 – 2544 ปริญญาโท จากมหาวิทยาลัยธรรมศาสตร คณะพาณิชยศาสตรและการบัญชี สาขา
บริหารธุรกิจ วิชาเอกธุรกิจระหวางประเทศ
ประสบการณทํางาน
เม.ย./2538 – ปจจุบัน ตําแหนงวิศวกรระบบ บริษัท อีเอสอารไอ (ประเทศไทย) จํากัด
3. นายถาวร สุขศรีสราญจิตร อายุ 29 ป : Head of Finance & Accounting
การศึกษา
2533 – 2537 ปริญญาตรี จากสถาบันเทคโนโลยีพระจอมเกลาพระนครเหนือ
คณะวิศวกรรมศาสตร สาขาวิศวกรรมไฟฟา
2542 – 2544 ปริญญาโท จากมหาวิทยาลัยธรรมศาสตร คณะพาณิชยศาสตรและการบัญชี
สาขาบริหารธุรกิจ วิชาเอกการเงิน
ประสบการณการทํางาน
เม.ย./2537 – ปจจุบัน ตําแหนงวิศวกรไฟฟา บริษัท โตโย-ไทยคอเปอรเรชั้น จํากัด
4. นายวิทยา จารุพงศโสภณ อายุ 26 ป : Head of Marketing & Sales
การศึกษา
2535 – 2539 ปริญญาตรี จากมหาวิทยาลัยเกษตรศาสตร คณะอุตสาหกรรมเกษตร
สาขาเทคโนโลยีการบรรจุ (เกียรตินิยม)
2542 – 2544 ปริญญาโท จากมหาวิทยาลัยธรรมศาสตร คณะพาณิชยศาสตรและการบัญชี
สาขาบริหารธุรกิจ วิชาเอกการตลาด และธุรกิจระหวางประเทศ
ประสบการณการทํางาน
พ.ค./2539 – ธ.ค./2544 ตําแหนง Technical Service Executive
บริษัท สยามคราฟทอุตสาหกรรม จํากัด (เครือซิเมนตไทย)
ม.ค./2544 – ปจจุบัน ตําแหนง Sale Executive บริษัท สยามคราฟทอุตสาหกรรม จํากัด
(เครือซิเมนตไทย)
Managing Director
ฉัตรไชย เชี่ยวชาญพานิช
Manufacturing Marketing and Sales Finance& Business
Accounting Development
สุวิทย ลีลานันทกิจ วิทยา จารุพงศโสภณ ถาวร สุขศรีสราญจิตร วิทยา จารุพงศโสภณ
ภาพที่ 3 แสดงโครงสรางองคกร
โดยจากรูปแบบของโครงสรางกลุมผูบริหารที่จัดตั้งขึ้น พบวายังขาดบุคลากรที่มีประสบการณใน
ดานธุรกิจอาหารและบริการเพื่อที่จะมาดํารงตําแหนง Business Development เพื่อทําหนาที่พัฒนาผลิต
ภัณฑและตลาดสําหรับอุตสาหกรรมไอศกรีม ซึ่งถาบริษัทไดบุคคลที่มีประสบการณดานอาหาร โดยเฉพาะ
ดานไอศกรีมก็จะชวยใหการดําเนินงานของบริษัทเปนไปไดอยางราบรื่นขึ้น แตอยางไรก็ตาม ในกลุมผู
บริหาร (วิทยา จารุพงศโสภณ) สําเร็จการศึกษาปริญญาตรีจากคณะอุตสาหกรรมเกษตร มหาวิทยาลัย
เกษตรศาสตร ซึ่งมีพื้นฐานกระบวนการผลิตของอุตสาหกรรมอาหารและมีความรูเกี่ยวกับบรรจุภัณฑ
อาหารเปนอยางดี จึงสามารถทําหนาที่ Business Development ไดเชนกัน
แผนการทําวิจัยตลาด
บริษัทจะทําการวิจัยตลาดในเขตกรุงเทพมหานคร โดยแบงเปน 2 ประเภทคือ จากการสังเกต ณ
สถานที่ขายจริง และจากแบบสอบถาม
1. การสังเกต ณ สถานที่ขายจริงในชวงเดือนสิงหาคมถึงกันยายน 2544 โดยคัดเลือกรานอาหารในเขต
กรุงเทพมหานครที่เปนตัวแทนของกลุมเปาหมายในแตละชองทางการจัดจําหนายดังนี้
ชองทางการขายสง
- รานอาหารจวนทอง
- รานอาหารบานกลางนํ้า
- รานอาหารชอนเงิน
- รานอาหารรถเสบียง
ชองทางการขายปลีก
- ไอวี่ คอนเนอร เซ็นทรัลพระราม 3
- แกรนดอิตาเลีย มาบุญครองเซ็นเตอร
2. แบบสอบถาม จะแบงเปน 2 ประเภทคือ
2.1 เพื่อศึกษาพฤติกรรมการบริโภคไอศกรีมในเขตกรุงเทพมหานคร โดยออกสํารวจในเดือน
ตุลาคม 2544
2.2 เพื่อศึกษาถึงการยอมรับในรสชาติของไอศกรีมเปรียบเทียบกับรสชาติไอศกรีมดั้งเดิม โดยใหผู
บริโภคทดลองชิมไอศกรีมสมุนไพร มะขาม เสาวรส นอยหนา กระเจี๊ยบ และงาดํา เปรียบ
เทียบกับรสชาติดั้งเดิมคือ สตอรเบอรรี่ วนิลาและสม โดยออกสํารวจในเดือนตุลาคม 2544
นอกจากนี้เมื่อมีการพัฒนาผลิตภัณฑใหมๆ จะตองมีการนําผลิตภัณฑใหมนั้นไปทําการ
ทดสอบตลาดเสมอกอนที่จะนําออกจําหนายจริง เพื่อตรวจสอบการยอมรับในตัวผลิตภัณฑ
ผลการทําวิจัยตลาด
จากผลการสอบถามพฤติกรรมผูบริโภคไอศกรีม พบวา ปจจัยที่มีผลตอการตัดสินใจซื้อไอศกรีม
มากที่สุดคือ รสชาติของไอศกรีม ประกอบกับการที่ใหผูบริโภคชิมรสชาติไอศกรีมสมุนไพร รสชาติงาดํา
มะขาม เสาวรส นอยหนา กระเจี๊ยบ พบวาผูบริโภคมีความพึงพอใจในรสชาติของไอศกรีมสมุนไพรมากกวา
รสชาติไอศกรีมที่เปนรสชาติดั้งเดิม คือ สตอเบอรรี่ วนิลา สม นอกจากนี้ยังพบวาผูรับประทานไอศกรีมจะ
ซื้อไอศกรีมสมุนไพรอีกหลังจากที่ไดชิมรสชาติ มีถึง 79% จะเห็นไดวารสชาติของไอศกรีมสมุนไพร การที่
เปนประโยชนตอสุขภาพ ประกอบกับความหลากหลายในรสชาติ จะสามารถนํามาเปนจุดขายของไอศกรีม
สมุนไพร Herbies ได
• พฤติกรรมการบริโภคไอศกรีม สําหรับชองทางการขายปลีก
การสํารวจพฤติกรรมการบริโภคไอศกรีมในรูปแบบของการสังเกต ณ คีออส (Kiosk)
ไอศกรีมดังนี้
1) ไอวี่ คอนเนอร อยูบริเวณชั้นจี เซ็นทรัล พระราม 3 ซึ่งเปนตัวแทนของกลุม
คีออสที่มีกลุมผูรับประทานไอศกรีมโดยสวนใหญเปนกลุมวัยรุน ซึ่งตรงกับคุณลักษณะของคีออส ที่เปน
กลุมเปาหมาย โดยทําการสังเกตในชวงเวลา 14.00-17.00 น. วันอังคารที่ 14 สิงหาคม 2544 ชวงเวลา
18.00-20.00 น. และวันเสารที่ 25 สิงหาคม 2544
2) แกรนดอิตาเลีย อยูบริเวณมาบุญครองเซ็นเตอร ชั้น 7 ซึ่งเปนตัวแทนของคีออส
ที่กลุมผูรับประทานไอศกรีมโดยสวนใหญเปนกลุมวัยรุน ซึ่งตรงกับคุณลักษณของรานอาหารที่เปนกลุมเปา
หมาย โดยทําการสังเกตในชวงเวลา 14.00-17.00 น. ของวันเสารที่ 18 สิงหาคม 2544 และชวงเวลา
18.00-20.00 น. ของวันศุกรที่ 31 สิงหาคม 2544
ผลการสํารวจทั้งในรูปแบบของแบบสอบถามและรูปแบบของการสังเกต ณ
สถานที่จําหนายไอศกรีม ไดพบประเด็นที่สําคัญ ๆ สามารถนํามาใชในการแบงสวนตลาด การกําหนดกลุม
เปาหมาย และการวางตําแหนงผลิตภัณฑ สําหรับชองทางการขายปลีก ดังนี้
- อายุของกลุมตัวอยาง พบวาอายุของประชากรมีความสัมพันธกับปริมาณ
การบริโภคไอศกรีม กลาวคือประชากรที่มีอายุมากขึ้นจะมีการลดการบริโภคไอศกรีมลงเนื่องจากมีความ
หวงใยในสุขภาพของตนเองมากขึ้น ในขณะที่กลุมอายุนอยมีแนวโนมที่จะบริโภคมากกวา ดังนั้นกลุมเปา
หมายสําหรับการบริโภคไอศกรีมจึงกําหนดอายุใหมีอายุอยูในชวง 15-30 ป
- รายไดตอครอบครัว เนื่องจากไอศกรีมเปนสินคาที่มีลักษณะเปนสินคา
ฟุมเฟอย กลาวคือไมใชสินคาที่จําเปนตอการดํารงชีพ รายไดตอครอบครัวที่มีระดับตํ่ากวา 20,000 บาท จะ
มีอัตราการบริโภคไอศกรีมลดนอยลงกวาปกติ อีกทั้งสินคาเองก็มีความหลากหลายในหลายระดับราคาเพื่อ
ตอบสนองความตองการของลูกคาที่มีความแตกตางกันไป จึงกลาวไดวาระดับรายไดของครัวเรือนจะมีผล
ตอการตัดสินใจเลือกไอศกรีม ดังนั้นจึงกําหนดกลุมเปาหมายที่มีระดับรายไดมากกวา 20,000 บาทตอ
ครอบครัว ขึ้นไป
- รูปแบบการดํารงชีวิต (Life style) ซึ่งจากการสํารวจพบวาพฤติกรรมของผู
บริโภคไอศกรีม สามารถแบงได 4 ประเภท ดังนี้
- ชอบความแปลกใหม กลาวคือเปนกลุมที่ชอบความแปลก ความแตกตางของ
รสชาติของไอศกรีม ที่ไมเหมือนรสชาติไอศกรีมทั่วไป
- คํานึงถึงรสชาติ กลาวคือ เปนกลุมที่ชื่นชอบในรสชาติของไอศกรีมและเปน
ปจจัยลําดับแรกในการพิจารณาเลือกซื้อไอศกรีมมารับประทาน
- รักสุขภาพ กลาวคือ เปนกลุมที่รับประทานอาหาร รวมทั้งการบริโภคไอศกรีม
ที่เนนที่ผลลัพธหลังจากรับประทาน ซึ่งถามีผลกระทบดานลบจะไมพิจารณา
ในการซื้อมารับประทาน เชน มีไขมันเปนสวนผสมอยูสูง และเพิ่มคอเลสเตอ
รอลในเลือด เปนตน
- นิยมตราสินคา กลาวคือ เปนกลุมที่เลือกซื้อบริโภคไอศกรีมตามความนิยม
ของคนทั่วไป และเปนตราสินคาที่มีภาพลักษณที่ดี
จากลักษณะของไอศกรีมสมุนไพร Herbies ที่มีความแปลกใหมของรสชาติ เปนประโยชน
ตอสุขภาพของผูรับประทาน และใชสวนผสมที่มาจากธรรมชาติ มีไขมันตํ่า กลุมเปาหมายที่สอดคลองกับ
ไอศกรีมสมุนไพร Herbies จึงเปนกลุมที่มีรูปแบบการดํารงชีวิตเปนกลุมที่ชอบความแปลกใหม และรักใน
สุขภาพเปนหลัก
- จากการสังเกตปริมาณการขายจากหนารานคีออส 2 รานขางตนและจากการสอบถาม
พนักงานขาย จึงไดประมาณการยอดขายไอศกรีม สําหรับชองทางการขายปลีกตอคี
ออส 150 ลูกตอวัน
• พฤติกรรมการบริโภคไอศกรีม สําหรับชองทางการขายสง
การสํารวจ ณ รานอาหารที่มีลักษณะกลุมผูรับประทานอาหารที่สอดคลองกับไอศกรีมสมุนไพร
Herbies มีดังนี้
1. รานอาหารจวนทอง ซึ่งเปนตัวแทนของกลุมรานอาหารขนาดใหญ (>50 โตะ) ที่มีกลุมผู
รับประทานอาหารโดยสวนใหญเปนครอบครัว ซึ่งตรงกับคุณลักษณะของรานอาหารที่เปนกลุมเปาหมาย
โดยการทําการสังเกตในชวงเวลา 18.00 – 21.00 น. วันอังคารที่ 14 สิงหาคม 2544 และวันเสารที่ 25
สิงหาคม 2544
2. รานอาหารบานกลางนํ้า ซึ่งเปนตัวแทนของรานอาหารขนาดใหญ (>50 โตะ) ที่กลุมผูรับ
ประทานอาหารโดยสวนใหญเปนกลุมคนทํางาน ซึ่งตรงกับคุณลักษณะของรานอาหารที่เปนกลุมเปาหมาย
โดนทําการสังเกตในชวงเวลา 18.00 – 21.00 น. วันพฤหัสบดีที่ 9 สิงหาคม 2544 และวันอังคารที่ 26
สิงหาคม 2544
3. รานอาหารชอนเงิน ซึ่งเปนตัวแทนของกลุมรานอาหารขนาดกลาง (20-50 โตะ) ที่มีกลุมผู
รับประทานอาหารโดยสวนใหญเปนคนทํางาน ซึ่งตรงกับคุณลักษณะของรานอาหารที่มีกลุมเปาหมาย โดย
ทําการสังเกตในชวงเวลา 18.00 – 21.00 น. วันเสารที่ 18 สิงหาคม 2544 และวันพุธที่ 22 สิงหาคม 2544
4. รานอาหารรถเสบียง ซึ่งเปนตัวแทนของรานอาหารขนาดกลาง (20-50 โตะ) ที่กลุมผูรับ
ประทานอาหารโดยสวนใหญเปนกลุมครอบครัว ซึ่งตรงกับคุณลักษณะของรานอาหารที่เปนกลุมเปาหมาย
โดยทําการสังเกตในชวงเวลา 18.00 – 21.00 น. วันศุกรที่ 31 สิงหาคม 2544 และวันจันทรที่ 10 กันยายน
2544
ผลการสํารวจทั้งในรูปแบบของแบบสอบถามและรูปแบบของการสังเกต ณ. รานอาหาร ไดพบ
ประเด็นที่สําคัญๆสามารถนํามาใชในการแบงสวนตลาด การกําหนดกลุมเปาหมายและการวางตําแหนง
ผลิตภัณฑ สําหรับชองการขายขายสงดังนี้
- ขนาดของรานอาหาร
จาการสังเกตพบวาผูรับประทานอาหารจะมีการสั่งไอศกรีมเปนอาหารหวานหลังจากรับประทาน
อาหารมื้อหลักแลว ในสัดสวน 1:5 กลาวคือ ผูบริโภค 5 คนจะมีการสั่งไอศกรีม 1 คน และสั่งโดยเฉลี่ย 2
กอนตอ 1 คน ในรานขนาดใหญจะมีการหมุนเวียนตลอดทั้งสัปดาหโดยเฉลี่ยตอวันประมาณ 50 โตะ และมี
จํานวนคนเฉลี่ยตอ 1 โตะ เทากับ 3 คน สวนรานขนาดกลางจะมีการหมุนเวียนตลอดทั้งสัปดาห โดยเฉลี่ย
ตอวัน 30 โตะ และมีจํานวนคนเฉลี่ยตอโตะ เทากับ 3 คน
ประมาณการสั่งซื้อสําหรับรานอาหารขนาดใหญ (จํานวนลูก)
= (1/5)*50*3*2
= 60 ลูกตอวัน
ประมาณการสั่งซื้อสําหรับรานอาหารขนาดกลาง(จํานวนลูก)
=(1/5)*30*3*2
= 36 ลูกตอวัน
เนื่องจากตัวผลิตภัณฑอยูในระดับไอศกรีมพรีเมี่ยมและเปนไอศกรีมที่มีรสชาติแปลกใหม แตกตาง
จากไอศกรีมในตลาดทั่วไปและมีความหลากหลายของผลิตภัณฑมาก ทําใหราคาอยูในระดับสูง ดังนั้นราน
อาหารที่นาจะเปนกลุมเปาหมายหลักควรจะมีขนาดใหญพอสมควร เพื่อใหคุมคากับการลงทุน ทําใหขนาด
ของรานอาหารที่เหมาะสมควรจะมีจํานวนโตะที่มีมากวา 20 โตะ ขึ้นไป
- กลุมลูกคา
เนื่องจากลุมผูบริโถคที่เปนคนทํางานหรือครอบครัวมักจะรับประทานอาหารไอศกรีมจากราน
อาหารมากวาที่จะบริโภคคีออส โดยรับประทานโอศกรีมหลังจากรับประทานอาหารหลัก ดังนั้น กลุมเปา
หมายหลักสําหรับชองทางการขายสงผานรานอาหาร จึงเปนคนทํางาน และ ครอบครัว
- รูปแบบการดํารงชีวิต (Lift Style) ซึ่งเปนการมองในเชิงพฤติกรรมของผูบริโภคโดยแบงไดเปน
- ชอบความแปลกใหม
- คํานึงถึงรสชาติ
- รักสุขภาพ
- นิยมตราสินคา
เชนเดียวกับพฤติกรรมของผูบริโภคสําหรับชองทางการขายปลีก และการกําหนดกลุมเปาหมาย
เปนกลุม ที่มีรูปแบบการดํารงชีวิตที่ชอบความแปลกใหม และรักสุขภาพ เหมือนกับชองทางการขายปลีก
• การแบงสวนตลาด การกําหนดกลุมเปาหมาย และการวางตําแหนงผลิตภัณฑ
การแบงสวนตลาด การกําหนดกลุมเปาหมาย
การแบงกลุมลูกคาและการกําหนดกลุมเปาหมายจะแบงแยกเปน 2 กลุม คือ
1) สําหรับชองทางการขายปลีก 2) สําหรับชองทางการขายสง
ชองทางการขายปลีกผานคีออส (Kiosk)
ตัวแปรที่ใชในการแบงกลุมลูกคาเปาหมายที่ซื้อไอศกรีมจาก kiosk เกิดจากการแบงกลุมทั้งในเชิง
ประชากรศาสตร และรูปแบบการดํารงชีวิตประกอบกัน โดยแตละปจจัยมีผลตอการตัดสินใจเลือกกลุม
เปาหมายดังนี้
1. อายุของกลุมตัวอยาง
2. รายไดตอครอบครัว
3. รูปแบบการดํารงชีวิต (Lift style) โดยแบงไดเปน
- ชอบความแปลกใหม
- คํานึงถึงรสชาติ
- รักสุขภาพ
- นิยมตราสินคา
สรุปกลุมลูกคาเปาหมายสําหรับ Kiosk คือกลุมที่มีอายุ 15 –30 ป มีรายไดตอครอบครัว
ตั้งแต 20,000 บาทขึ้นไป ซึ่งมีรูปแบบการดํารงชีวิตที่ชอบความแปลกใหมและรักสุขภาพ
Household income per month (Bath)
10 15 20 30 >30
ภาพที่ 4 แสดงการกําหนดกลุมเปาหมายสําหรับชองทางการขายปลีก
Life Style
ชอบความแปลกใหม
และรักสุขภาพ
>50,000
50,000
40,000
30,000
20,000
Age
ชองทางการขายสง (รานอาหาร)
ตัวแปรที่ใชในการแบงกลุมลูกคาเปาหมายที่มาซื้อจากรานอาหาร เกิดจากการแบงทั้งในเชิงประชา
กรศาสตร และรูปแบบการดํารงชีวิตประกอบกัน โดยแตละปจจัยมีผลตอการตัดสินใจเลือกกลุมเปาหมาย
ดังนี้
1. ขนาดของรานอาหาร
เนื่องจากตัวผลิตภัณฑอยูในระดับไอศกรีมพรีเมี่ยมและเปนไอศกรีมที่มีรสชาติแปลกใหมแตก
ตางจากไอศกรีมในตลาดทั่วไปและมีความสามารถหลากหลายของผลิตภัณฑมาก ทําใหราคาอยูในระดับ
สูง ดังนั้นรานอาหารที่นาจะเปนกลุมเปาหมายหลักควรจะมีขนาดใหญพอสมควร เพื่อใหคุมคาการลงทุน
ทําใหขนาดของรานอาหารที่เหมาะสมควรจะมีจํานวนโตะที่มีมากวา 2 โตะขึ้นไป
2. กลุมลูกคา
เนื่องจากมองเห็นวากลุมผูบริโภคที่เปนคนทํางานหรือครอบครัวมักจะรับประทานไอศกรีมจาก
รานอาหารมากวาที่จะบริโภคจากราน Kiosk โดยรับประทานไอศกรีมหลังจากรับประทานอาหารหลัก ดัง
นั้นกลุมเปาหมายหลักจึงเปนคนทํางานและครอบครัว
3. ในแงรูปแบบของการดํารงชีวิต (Lift style) ซึ่งเปนการมองในเชิงพฤติกรรมของผูบริโภค โดยแบง
เปน
- ชอบความแปลกใหม
- คํานึงถึงรสชาติ
- รักสุขภาพ
- นิยมตราสินคา
โดยกลุมลูกคาเปาหมายสําหรับชองทางการขายสงคือ รานอาหารที่มีขนาดตั้งแต 20 โตะขึ้นไปที่มี
กลุมลูกคาเปนคนทํางานและครอบครัว ซึ่งมีลักษณะการดํารงชีวิตที่ชอบความแปลกใหม และรักสุขภาพ
เล็ก กลาง ใหญ
20 โตะ 50 โตะ
ครอบครัว
คนทํางาน
วัยรุน
เด็ก
ขนาดรานอาหาร
ภาพที่ 5 แสดงการกําหนดกลุมเปาหมายสําหรับชองทางการขายสง
Life Style
ชอบความแปลกใหม
และรักสุขภาพ
การวางตําแหนงผลิตภัณฑ (POSITIONING)
จากการสํารวจตลาดพบวากลุมลูกคาของตลาดไอศกรีมคอนขางมีความหลากหลายมาก กระจาย
ไปในหลายกลุมอายุ ยกเวนในกลุมผูสูงอายุที่มีแนวโนมในการบริโภคไอศกรีมนอยลงดวยเหตุผลเรื่อง
สุขภาพ นอกจากนั้นความถี่ในการบริโภคยังเกิดขึ้นไดหลายกรณีทั้งที่เกิดจากความตั้งใจและความไมตั้งใจ
กลาวคือ ในสวนของการตั้งใจซื้อนั้นจะมีการกําหนดในเรื่องยี่หอ สถานที่ไวกอนแลวนั่นคือการมีความจงรัก
ภักดีในตราสินคาในระดับหนึ่ง ลักษณะพฤติกรรมแบบนี้เกิดขึ้นในชองทางการขายปลีกผานคีออส (Kiosk)
และรานคาไอศกรีมเต็มรูปแบบ ในขณะที่แบบไมตั้งใจ คือ การพบโดยบังเอิญ หรือบริโภคหลังจากที่รับ
ประทานอาหารหลักเรียบรอยแลว ซึ่งในกรณีนี้มักไมมี ความจงรักภักดีในตราสินคา ดังนั้นการอาศัยกล
ยุทธดานชองทางการจัดจําหนายเปนหลักสําหรับพฤติกรรมการบริโภคไอศกรีมแบบไมตั้งใจ ในปจจุบันเอง
พบวากระแสเรื่องสุขภาพคอนขางไดรับความสนใจในสังคมควบคูไปกับความนิยมในเรื่องการใชสมุนไพรใน
การรักษาสุภาพไดกอใหเกิดโอกาสทางการตลาดขึ้นมากมาย
จากแนวโนมขางตน บริษัทเล็งเห็นวาไอศกรีมสมุนไพรนั้นควรจะเนนจุดขายความเปนอาหารสุข
ภาพ (Health Foods) ประกอบกับผลการสํารวจจากแบบสอบถาม พบวาปจจัยสําคัญที่สุดที่ผูบริโภคใชใน
การตัดสินใจเลือกซื้อคือ รสชาติ และจากการใหผูบริโภคทดลองชิมไอศกรีมพบวาผูบริโภคมีความพึงพอใจ
ในรสชาติมากกวาไอศกรีมรสชาติดั้งเดิม ดังนั้น Slogan ของไอศกรีมภายใตตรายี่หอ “Herbies” คือ
“ ไดอรอย ไดสุขภาพดี” (More Healthy More Delicious)
โดยวางตําแหนงผลิตภัณฑเปนไอศกรีมระดับ Premium สําหรับผูรักสุขภาพ ดังนั้นกลุมเปาหมาย
หลักจึงเปนกลุมผูใหความสนใจในการดูแลรักษาสุขภาพของตนเอง โดยกลุมเปาหมายรองไดแกกลุมผูที่
ชอบสินคาแปลกใหม
• กลยุทธการตลาด
กลยุทธดานการผลิตภัณฑ (PRODUCT)
ผลิตภัณฑไอศกรีมสมุนไพรจะแบงผลิตภัณฑเปน 3 กลุม ไดแก
1. กลุมผลไม (Fruit) ไดแก นอยหนา มะขาม เสาวรส ผลไมรวม องุน มะปราง ลําไย ลิ้นจี่ และ
มังคุด
• นอยหนา (Custard Apple) • มะปราง (Marian Plum)
• มะขาม (Tamarind) • ลําไย (Longan)
• เสาวรส (Passion Fruit) • ลิ้นจี่ (Lychee)
• ผลไมรวม (Mixed Fruit) • มังคุด (Mangosteen)
• องุน (Grape)
2. กลุมสมุนไพร (Herbal) ไดแก งาดํา ชาใบหมอน มะกรูด ตะไคร โหระพา และขาวโพด
• งาดํา (Black Seasame) • ตะไคร (Lemon Grass)
• ชาใบหมอน (Mulberry Leaf) • โหระพา (Sweet Basil)
• มะกรูด (Kaffirlime) • ขาวโพด (Corn)
3. กลุมดอกไม (Flower) ไดแก กระเจี๊ยบ เกกฮวย ใบเตย และอัญชัน
• กระเจี๊ยบ (Lady’s Finger) • ใบเตย (Pandan)
• เกกฮวย (Chysan) • อัญชัน (Mussel-shell creeper)
ผลิตภัณฑไอศกรีมจะใชวัตถุดิบที่มีคุณภาพดีโดยจะใชผลไมและสมุนไพรจากโครงการหลวงดอย
คําซึ่งจะถือวาเปนจุดขายที่สําคัญ อีกทั้งสวนผสมที่ใชจะใชสวนผสมที่มีไขมันตํ่า เพื่อเปนการตอกยํ้าจุด
ขายวาเปนไอศกรีมเพื่อสุขภาพ นอกจากนี้จะใหคณะอุตสาหกรรมเกษตร มหาวิทยาลัยเกษตรศาสตร ทํา
การวิจัยเปรียบเทียบคุณคาทางโภชนาการกับไอศกรีมทั่วไป เพื่อเปนการนําเสนอคุณคาและจุดเดนของ
ไอศกรีมใหผูบริโภคไดรับทราบดวย
ในการขายใหแกลูกคาจะขายเปนลูก (scoop) โดยจะใสเปนถวยหรือโคน โดยที่ถวยสําหรับบรรจุ
ไอศกรีมจะมีลักษณะพิเศษ คือ จะมีนํ้าแข็งแหงอยูขางลางถวย ในขณะรับประทานจะเกิดไอสีขาวจากการ
ระเหิดของนํ้าแข็งแหง ลอยอยูรอบถวย ซึ่งเปนลักษณะพิเศษบรรจุภัณฑสินคาไอศกรีม สวนโคนจะมีสวน
ผสมของผลิตภัณฑธรรมชาติ ไดแก ฟกทอง เผือก เพื่อตอกยํ้าความเปนผลิตภัณฑเพื่อสุขภาพและสราง
ความแตกตางของผลิตภัณฑกับคูแขง
สวนผลิตภัณฑที่จะขายในชองทางการขายสง ผานรานอาหารจะจําหนายเฉพาะรสชาติที่แปลก
ใหมและไดรับความนิยมซึ่งไมสามารถหารับประทานไดทั่วไป เชน เสาวรส งาดํา องุน กระเจี๊ยบ ใบเตย
นอยหนา มะขาม เนื่องจากพฤติกรรมการบริโภคไอศกรีมที่รานอาหารแบบไมตั้งใจ จึงตองใชไอศกรีมที่มี
ความแปลกใหมในการดึงดูดผูบริโภค โดยในอนาคตอาจจะเพิ่มรสชาติที่จะจําหนายไปยังชองทางการขาย
สง หลังจากที่ไอศกรีมไดรับความนิยมเพิ่มขึ้น
กลยุทธดานราคา (PRICE)
ชองทางการขายปลีก (RETAILING CHANNEL)
จะจําหนายเปนลูก(scoop) ลูกละ 29 บาท เนื่องจากไอศกรีมภายใตตรายี่หอ “Herbies” เปน
สินคาที่เหมาะสมกับคนที่รักสุขภาพ และชอบความแปลกใหม ซึ่งไมสามารถหารับประทานไดทั่วไป
ประกอบกับลักษณะของสินคามีมูลคาเพิ่ม (High value added) ในตัวผลิตภัณฑ ทําใหสามารถตั้งราคาได
สูงกวาปกติ นอกจากนั้นราคาดังกลาวยังเปนระดับเดียวกันหรือใกลเคียงกับคูแขง ซึ่งจะชวยทําใหสามารถ
แขงขันไดในตลาด
ชองทางการขายสง (WHOLESALE CHANNEL)
จะจําหนายในราคาถวยละ 13 – 15 บาททั้งนี้ขึ้นอยูกับปริมาณการสั่งซื้อ ซึ่งการตั้งราคาในระดับที่
ตํ่า เนื่องจากตองการดึงดูดรานอาหารในการจําหนายไอศกรีม
กลยุทธดานชองทางการจัดจําหนาย (PLACE)
ชองทางการขายปลีก (RETAILING CHANNEL)
- เนื่องจากกลุมเปาหมายสําหรับชองทางการขายปลีกมีอายุ 15 – 30 ปและมีรายไดตอ
ครอบครัวมากกวา 20,000 บาท ดังนั้นการตั้งคีออส (Kiosk) จะเลือกตั้งในสถานที่ที่มี
กลุมเปาหมายอยู เชน หางสรรพสินคา เนื่องจากผลการสํารวจพบวา ผูบริโภคนิยมรับ
ประทานไอศกรีมที่หางสรรพสินคา อยูสูงถึง 48% ดังนั้นจึงไดเลือกสถานที่ตั้งที่
สยามสแควร เซ็นทรัลลาดพราว Emporium ฯลฯ
- สําหรับสถานศึกษานั้น จากผลการสํารวจพบวาผูบริโภคนิยมไปรับประทานไอศกรีมมี
สัดสวน 9% และประกอบกับมหาวิทยาลัยเปนสถานที่ที่มีกลุมเปาหมายอยูมาก และ
พฤติกรรมการซื้อไอศกรีมโดยสวนใหญจะเปนแบบตั้งใจซื้อ ดังนั้นรูปแบบของคีออส
(Kiosk) จึงตองดึงดูดกลุมลูกคาเปาหมายใหมาซื้อและสอดคลองกับลักษณะของกลุม
เปาหมาย โดยจะขยายสาขาไปยังสถานศึกษาตางๆ เชน ABAC จุฬาฯ
มหาวิทยาลัยธรรมศาสตร ฯลฯ
ชองทางการขายสง (WHOLESALE CHANNEL)
จากลักษณะของไอศกรีมที่เปนประโยชนตอสุขภาพ รสชาติแปลกใหมและกลุมเปาหมายของผูรับ
ประทานเปนกลุมคนทํางาน ครอบครัว ที่รักสุขภาพ ชอบความแปลกใหม และจากการสํารวจโดยใชแบบ
สอบถาม พบวาผูบริโภคนิยมรับประทานไอศกรีมเปนอันดับสองมีถึง 19% รองจากหางสรรพสินคาที่มีสัด
สวน 48% ดังนั้นรานอาหารที่ใชเปนชองทางจําหนายจะตองมีกลุมผูรับประทานอาหารที่สอดคลองกับ
ลักษณะของไอศกรีม “Herbies” เชน ยกยอ บัว มังกรหลวง จวนทอง เปนตน
กลยุทธในการสงเสริมการขาย (PROMOTION)
ชองทางการขายปลีก (RETAILING CHANNEL)
- ซื้อ 1 ลูก แถม 1 ลูก ในชวงเดือนแรกที่เปดสาขาใหม
- โฆษณาผานสถานีวิทยุของสยามสแควร
- จัดไอศกรีมเปนชุด 3 ลูก โดยขายในราคาที่ถูกกวาซื้อเปนลูกๆ เพื่อเพิ่มปริมาณการบริโภค
ตอครั้ง เนื่องจากผลการสํารวจพบวาผูบริโภครับประทานไอศกรีมเฉลี่ยครั้งละ 2.64ลูก
- ขายราคาพิเศษในวันพุธ เนื่องจากเปนวันที่มียอดขายตํ่าสุดในรอบสัปดาห
- ออกงานแสดงสินคาที่เกี่ยวกับอาหาร งานรับปริญญา
- เมื่อมีไอศกรีมรสชาติใหมจะจัดสงเสริมการขาย แจกไอศกรีมฟรีเพื่อใหผูบริโภคเกิดการ
ทดลอง
- แจกที่คั่นหนังสือเพื่อใหความรูเกี่ยวกับประโยชนของสมุนไพร ผลไม และดอกไมที่ใชในการ
ทําไอศกรีม
ชองทางการขายสง (WHOLESALE CHANNEL)
- ให Incentive แกรานอาหารที่ใชเปนชองทางการจําหนาย ซึ่งรานอาหารจะจําหนายใน
ราคาขาย 29 บาท/ถวย แตราคาที่ขายใหแกรานอาหาร 13-15 บาท/ถวย ซึ่งเทากับราน
อาหารจะไดกําไรตอถวย 14-16 บาท/ถวย
- จัดทําเมนู ใหรานอาหารเพื่อเปนการสรางตราสินคา และเปนการใหความรูถึงประโยชนของ
สมุนไพรที่ใชเปนสวนผสมของไอศกรีม
- จัดทําการสงเสริมการขายรวมกับรานอาหารในการทดลองชิมฟรี (Point of Purchase) และ
จัดพนักงานในการใหความรูเกี่ยวกับสมุนไพรของไอศกรีมรสชาติตาง ๆ
• แผนการปฏิบัติ (ACTION PLAN)
กลยุทธดานผลิตภัณฑ (PRODUCT)
จัดจําหนายไอศกรีมรสชาติใหมทุก 2 เดือน
- เดือนกรกฎาคม 2545 ไอศกรีมแครอท
- เดือนกันยายน 2545 ไอศกรีมลูกบัว
- เดือนพฤศจิกายน 2545 ไอศกรีมกะเพรา
- เดือนมกราคม 2546 ไอศกรีมลูกเดือย
- เดือนมีนาคม 2546 ไอศกรีมขมิ้น
กลยุทธดานชองทางการจัดจําหนาย (PLASE)
พ.ศ. 2545
ชองทางการขายปลีก (RETAILING CHANNEL)
- เสารที่ 1 ของเดือนมิถุนายน เปด Kiosk สาขาแรกที่สยามสแควร
- กรกฎาคม เปดสาขาเซ็นทรัลลาดพราว
- สิงหาคม เปดสาขา Emporium และสาขามาบุญครอง
- กันยายน เปดสาขา เซ็นทรัลปนเกลา และสาขา World Trade Center
- ตุลาคม เปดสาขา เมเจอรรัชโยธิน และสาขา เซ็นทรัลชิดลม
- ธันวาคม เปดสาขา เซ็นทรัล Silom Complex และสาขา Seacon Square
ชองทางการขายสง (WHOLESALE CHANNEL)
- มิถุนายน มีไอศกรีมจําหนายในรานอาหาร 10 สาขา โดยเปนรานอาหารขนาดใหญ 3 สาขา
และรานอาหารขนาดกลาง 7 สาขา
- สิงหาคม เพิ่มจํานวนสาขาการขายผานรานอาหารเปน 20 สาขา โดยเปนรานอาหารขนาดใหญ
6 สาขา และรานอาหารขนาดกลาง 14 สาขา
- กันยายน – ธันวาคม เพิ่มชองทางการจัดจําหนายไปยังรานอาหารในเขตกรุงเทพและปริมณฑล
ใหครบ 40 ราน โดยเปนรานอาหารขนาดใหญ 14 รานและรานอาหารขนาดกลาง 26 ราน
พ.ศ. 2546
ชองทางการขายปลีก (RETAILNG CHANNEL)
- มกราคม เปดสาขาที่มหาวิทยาลัยอัสสัมชัญ มหาวิทยาลัยธรรมศาสตร
- มิถุนายน เปดสาขาที่จุฬาลงกรณมหาวิทยาลัย มหาวิทยาลัยกรุงเทพ มหาวิทยาลัยรังสิต
ชองทางการขายสง (WHOLESALE CHANNEL)
เพิ่มชองทางการจัดจําหนายไปยังรานอาหารในเขตกรุงเทพและปริมณฑลใหครบ 75 ราน
กลยุทธการสงเสริมการขาย (PROMOTION)
ชองทางการขายปลีก (RETAILING CHANNEL)
- ซื้อ 1 ลูก แถม 1 ลูก ในชวงเดือนแรกที่เปดสาขาใหม
สําหรับ Kiosk แรกที่สยามสแควร จะจัดใหมีการสงเสริมการขายซื้อ 1 ลูก แถม 1 ลูก ในเดือน
แรกที่เปดสาขา สวน Kiosk อื่น ๆ จะมีการสงเสริมการขายประเภทนี้เฉพาะสัปดาหแรกเทานั้น
- โฆษณาผานสถานีวิทยุของสยามสแควร
ในเดือนมิถุนายนและกรกฎาคมจะโฆษณาผานสถานีวิทยุของสยามสแควรเพื่อเปนการ
ประชาสัมพันธใหผูบริโภครับรูถึงประโยชนของไอศกรีมสมุนไพรและการสงเสริมการขายของทาง
ราน
- จัดไอศกรีมเปนชุด โดยจําหนายในราคาที่ถูกกวาซื้อเปนลูก เชน ชุด 3 ลูก 3 รส ราคา 70 บาท
เปนตน
- ขายราคาพิเศษในวันพุธ
ทุกวันพุธจะขายไอศกรีมในราคาลูกละ 20 บาท เนื่องจากวันพุธจะเปนวันที่มีจํานวนผูบริโภค
นอยที่สุด ดังนั้นการลดราคาจะชวยกระตุนใหผูบริโภคซื้อสินคามากขึ้น โดยจากขอมูลของบริษัท
ศูนยวิจัยไทยพาณิชย จํากัด ป 2543 พบวาการสงเสริมการขายสินคาที่สามารถเพิ่มการซื้อในวัย
รุนไดมากที่สุดคือ การลดราคาสินคาและบริการ ซึ่งการทําสงเสริมการขายโดยการลดราคาในวัน
พุธ จะสอดคลองกับขอมูลดังกลาว
- ออกงานแสดงสินคาที่เกี่ยวกับอาหาร
นําผลิตภัณฑไปออกงานตามแสดงสินคาตาง ๆ โดยงานแสดงสินคานั้นจะตองเปนงานที่ใหญ
และชวยสงเสริมใหภาพพจนของไอศกรีมดีขึ้น
- เมื่อมีไอศกรีมรสชาติใหม จะจัดสงเสริมการขาย เพื่อใหผูบริโภคเกิดการทดลองโดยการแจกฟรี
เมื่อออกไอศกรีมรสชาติใหมในสัปดาหแรก และสัปดาหถัดไปถึงสัปดาหที่สี่ จะขายในราคา 18
บาท เพื่อกระตุนใหผูบริโภคเกิดการทดลองรับประทาน
- แจกที่คั่นหนังสือเพื่อใหความรูเกี่ยวกับประโยชนของสมุนไพร ผลไม และดอกไมที่ใชในการทํา
ไอศกรีม
ทุกครั้งที่ลูกคามาซื้อไอศกรีมทางรานจะแจกที่คั่นหนังสือให ซึ่งที่คั่นหนังสือจะใหรายละเอียด
เกี่ยวกับตัวสมุนไพรที่เรานํามาใชไอศกรีม และจะเปนการชวยใหผูบริโภครับรูถึงความแตกตาง รวม
ถึงคุณประโยชนของผลิตภัณฑ โดยที่คั่นหนังสือจะเปลี่ยนทุก 1 เดือน นอกจากนั้นที่คั่นหนังสือ
อาจกลายเปนสิ่งของสะสมของผูบริโภคก็ได
ชองทางการขายสง (WHOLESALE CHANNEL)
- ให Incentive แกรานอาหาร
ในชวงสองสัปดาหแรกที่เริ่มจําหนายไอศกรีมของรานอาหาร จะให Incentive ที่สูงกวา
ไอศกรีมทั่วๆ ไปที่ทางรานอาหารจัดจําหนาย เชน ใหสวนลดพิเศษสําหรับการสั่งสินคาครั้งแรก
โดยจะขายในราคาถวยละ 10 บาท จากราคาปกติ 13-15 บาท และรานคาจะสามารถจําหนายได
ในราคา 29 บาท/ถวย
- จัดทําเมนู ใหรานอาหารเพื่อเปนการสรางตราสินคา และเปนการใหความรูถึงประโยชนของ
สมุนไพรที่ใชเปนสวนผสมของไอศกรีม โดยจัดทําเมนู ใหแกรานอาหารฟรี สําหรับรานอาหาร
ที่เปนชองทางการจัดจําหนาย
- จัดทําการสงเสริมการขาย รวมกับรานอาหาร
จะจัดทําการสงเสริมการขาย รวมกับรานอาหารตาง ๆ เปนชวงๆ เชนรับประทานอาหารครบ
400 บาท ไดรับไอศกรีมฟรีเทากับจํานวนผูรับประทานในโตะนั้น
- POP (Point of Purchase)
จัดพนักงานสงเสริมการขาย ทําการสงเสริมการขายใหความรูไอศกรีมรสชาติตางๆ ณ ราน
อาหารที่รวมโครงการ
• การออกแบบและพัฒนาผลิตภัณฑ
การพัฒนาผลิตภัณฑและออกสินคาใหม
การพัฒนาผลิตภัณฑและออกสินคาใหม บริษัทจะทําการวาจางใหคณะอุตสาหกรรมเกษตร
มหาวิทยาลัยเกษตรศาสตร ทํางานวิจัยและพัฒนาผลิตภัณฑพรอมทั้งกระบวนการผลิต โดยจะวาจางใน
ชวงเดือน มกราคม ถึง เดือนเมษายน ของป 2545 และผลิตภัณฑที่จะใหพัฒนาขึ้นมามีดังตอไปนี้
1. กลุมผลไม (Fruit) ไดแก นอยหนา มะขาม เสาวรส ผลไมรวม องุน มะปราง ลําไย ลิ้นจี่ และ
มังคุด
2. กลุมสมุนไพร (Herbal) ไดแก งาดํา ชาใบหมอน มะกรูด ตะไคร โหระพา และขาวโพด
3. กลุมดอกไม (Flower) ไดแก กระเจี๊ยบ เกกฮวย ใบเตย และ อัญชัน
โดยในอนาคตบริษัทยังคงจะรวมมือกับมหาวิทยาลัยเกษตรศาสตรเพื่อทําการวิจัยและพัฒนาผลิต
ภัณฑเพิ่มเติม โดยในอนาคตทางบริษัทคาดการณถึงรสชาติที่จะพัฒนาเพิ่มเติม ไดแก
- แครอท
- ลูกบัว
- กะเพรา
- ลูกเดือย
- ขมิ้น เปนตน
ซึ่งรสชาติที่จะทําการวิจัยและพัฒนาผลิตภัณฑเพิ่มเติมนั้น เมื่อไดสูตรของการผลิตมาแลวจะตอง
ทําการทดลองผลิตและนําไอศกรีมที่ไดมาทําการทดสอบตลาดกอนที่จะออกจําหนายจริง เพื่อที่จะไดทราบ
ถึงทัศนคติของผูบริโภคที่มีตอรสชาตินั้น ๆ ซึ่งถาผลการทดสอบแลวผูบริโภคไมตอบรับก็จะไมทําการผลิต
รสชาตินั้น ๆ แตถาเปนที่ยอมรับก็จะทําการผลิตเพื่อจัดจําหนายตอไป
โดยจุดขายของผลิตภัณฑใหมนอกเหนือจากที่จะตองพยายามพัฒนารสชาติใหอยูในความยอมรับ
ของผูบริโภคใหไดแลว คงจะเนนคุณคาทางโภชนาการ และคุณสมบัติทางตัวยาโดยเฉพาะสมุนไพรที่จะ
เปนประโยชนตอรางกาย
ลิขสิทธิ์และสิทธิบัตร
จะมีการจดลิขสิทธิ์ ในสวนของตราสินคา เพื่อเปนการคุมครองตราสินคาของบริษัท ซึ่งอาจจะมี
มูลคาสูงมากในอนาคต
ในสวนของบรรจุภัณฑจะจดสิทธิบัตรคุมครอง เพราะจากการตรวจสอบยังไมพบผูที่ออกแบบและ
ผลิตบรรจุภัณฑในลักษณะนี้มากอน ทําใหมีโอกาสที่จะสรางรายไดจากการขายบรรจุภัณฑ หรือสิทธิบัตร
เพื่อนําบรรจุภัณฑไปประยุกตใชกับสินคาชนิดอื่น เชน เครื่องดื่ม อาหารสด ผักสด ผลไม เปนตน
ขอบังคับทางกฎหมาย
เนื่องจากไอศกรีมเปนสินคาบริโภค ดังนั้นตามกฎหมายจะตองมีการขอเครื่องหมาย อย. กับสํานัก
งานคณะกรรมการอาหารและยา โดยสามารถขออนุญาติไดที่กองควบคุมอาหาร สํานักงานคณะกรรมการ
อาหารและยา ถนนติวานนท อําเภอเมือง จังหวัดนนทบุรี โดยขั้นตอนการขอ อย. จะมีเรื่องที่ตองพิจารณา
ดังตอไปนี้
- โรงงาน จะตองมีความสะอาดและมีเครื่องมือหรือเครื่องจักรตรงตามที่สํานักงานคณะ
กรรมการอาหารและยากําหนดไว โดยทางเจาหนาที่จะเขาตรวจสอบโรงงานเพื่อออกใบ
อนุญาตผลิตอาหารให
- ผลิตภัณฑ จะตองมีการระบุเลขที่ใบอนุญาตไวบนถังไอศกรีม
ยี่หอของผลิตภัณฑ จะตองติดตอขอจดทะเบียนชื่อการคากับกรมทรัพยสินทางปญญา จากนั้นจึงนําชื่อนั้น
มาขออนุญาตเพื่อติดบนถวยไอศกรีมกับทางสํานักงานคณะกรรมการอาหารและยาตอไป
สถานภาพการพัฒนาผลิตภัณฑในปจจุบัน
ไอศกรีม Herbies จะมีจุดเดนคือความแตกตางจากไอศกรีมยี่หออื่นที่มีจําหนายอยูในตลาดคือ รส
ชาติของไอศกรีม และสารปรุงแตงรสชาติที่ผสมในไอศกรีม เชน งาดํา เสาวรส ชาใบหมอน ซึ่งโดยปกติการ
ยอมรับในรสชาติจะมีนอยเนื่องจากไมเคยรับประทานมากอน และรสชาติที่เปนสวนผสมเองก็เปนที่ยอมรับ
ไดคอนขางยาก ดังนั้นในการปรุงแตงรสชาติใหมีความอรอยในระดับที่ยอมรับไดจึงมีความสําคัญอยางยิ่ง
เนื่องจากผูกอตั้งไมมีความชํานาญในการพัฒนาผลิตภัณฑไอศกรีม ทางบริษัทจึงวาจางใหคณะ
อุตสาหกรรมเกษตร มหาวิทยาลัยเกษตรศาสตร พัฒนาไอศกรีมสมุนไพรรสชาติ ดังกลาว
ผูที่จะมีสวนรับผิดชอบในการดําเนินการพัฒนาผลิตภัณฑไดแก
คุณสุวิทย ลีลานันทกิจ
นอกเหนือจากการออกแบบและพัฒนาตัวไอศกรีมเองแลว ทางคณะผูกอตั้งยังใหความสําคัญกับ
บรรจุภัณฑที่จะเปนตัวสรางจุดขายใหกับสินคาเนื่องจากวิเคราะหวาประเทศไทยอยูในแถบที่มีภูมิอากาศ
รอนเกือบตลอดทั้งป การที่บรรจุภัณฑไมสามารถเก็บรักษาความเย็นของไอศกรีมไวได ทําใหไอศกรีม
ละลายอยางรวดเร็ว ผลตามมาคือไอศกรีมจะไมอรอย และบางครั้งทําใหเลอะ เปรอะเปอนในขณะที่รับ
ประทาน ผูกอตั้งจึงคิดที่จะใชผลิตภัณฑที่สามารถรักษาสภาพไอศกรีมไวไดใหนานที่สุด โดยจะออกแบบให
มีชองเก็บนํ้าแข็งแหงบนตัวบรรจุภัณฑ ซึ่งนํ้าแข็งแหงนี้จะเปนตัวที่ใหความเย็นแกไอศกรีม และอยูไดนาน
กวากอนนํ้าแข็งในนํ้าหนักเทากัน แตขอควรระวังคืออันตรายที่อาจจะเกิดขึ้นหากผูบริโภคที่เปนเด็กเล็กนํา
ออกมาจากชองเก็บเพื่อนํามาเลน ดังนั้นจึงตองมีการออกแบบใหมีความปลอดภัยโดยไมใหสามารถแกะนํ้า
แข็งแหงออกมาได หรือนํ้าแข็งแหงมีจํานวนนอยจนไมกอใหเกิดอันตราย
กําหนดการเริ่มออกแบบและพัฒนาผลิตภัณฑเปนดังนี้
กําหนดการ ม.ค. 2545 ก.พ. 2545 มี.ค. 2545 เม.ย. 2545 พ.ค. 2545
มหาวิทยาลัย
เกษตรศาสตรทําการ
พัฒนาผลิตภัณฑ
ทดลองทําตามสูตร
ทดสอบการยอมรับใน
รสชาติ
ออกแบบและพัฒนา
บรรจุภัณฑ
ทดสอบการใชงาน
บรรจุภัณฑ
ภาพที่ 8 แสดงกําหนดการพัฒนาผลิตภัณฑ
แผนการผลิตและการดําเนินงาน
ที่ตั้งโรงงาน
ในชวงแรกกลุมลูกคาเปาหมายจะเนนในบริเวณกรุงเทพ ฯ เทานั้น โดยการตั้งคีออส (Kiosk) และ
สงไอศกรีมใหกับรานอาหารที่อยูในบริเวณกรุงเทพ ฯ ชั้นในเปนหลัก ดังนั้นเพื่อสะดวกตอการขนสงสินคา
และจัดหาวัตถุดิบ จึงไดเลือกตั้งโรงงานขนาดเล็กขึ้นในบริเวณกรุงเทพฯ โดยจะเปนลักษณะของการเชาตึก
แถว หรืออาคารพาณิชย เปนระยะเวลา 3-5 ป โดยทําเลที่เหมาะสมคือ บริเวณบรรทัดทอง ซึ่งมีอาคาร
พาณิชยหรือตึกแถวเหลืออยู โดยจากการสํารวจพบวามีอัตราคาเชาเฉลี่ยเดือนละ 12,500 บาทตอหนึ่ง
คูหา และเมื่อปริมาณลูกคามีมากขึ้นอาจจะตองมีการยายโรงงานไปบริเวณชานเมืองเพื่อรองรับกําลังการ
ผลิตที่มากขึ้น โดยในขั้นตนจะเชา 2 คูหา
เครื่องจักร
เครื่องจักรที่ตองใชในการผลิตไอศกรีมจะใชวิธีการเชาซื้อ ซึ่งจะประกอบไปดวย
- เครื่องปนไอศกรีม มีกําลังการผลิตสูงสุด 300 กิโลกรัม/วัน และสามารถผลิตได
40 กิโลกรัม/ Batch/ช.ม
- ตูแชหรือหองแชไอศกรีมที่ผลิตได
- เครื่องตมวัตถุดิบ
วัตถุดิบ
วัตถุดิบที่ใชในการผลิตสวนใหญจะเปนพืชผัก สมุนไพร และผลไมประเภทตาง ๆ ซึ่งจะติดตอกับ
Supplier โดยตรงใหมาสงที่โรงงาน และจะมีวัตถุดิบพื้นฐานที่ตองใชในการผลิตไอศกรีม มีดังนี้
- ไขไก
- นํ้าตาล
- นม
- สารแตงกลิ่น
- เกลือ
- Whipping Cream
ซึ่งการควบคุมวัตถุดิบจะใชหลักการของ MRP (Material Requirement Planning) เนื่องจากเรา
ทราบปริมาณการผลิตในแตละวันทําใหสามารถคาดการณปริมาณวัตถุดิบที่ตองการใชในแตละวันได จาก
นั้นก็จะจัดซื้อตามวันและเวลาที่ตองการ
สวนผักผลไมตามฤดูกาล อาจจะตองใชผลไมที่แปรรูปแลวเพื่อใหสามารถผลิตไอศกรีมรสชาตินั้นๆ
ไดตลอดทั้งป
คนงาน
ชวงการผลิตปกติ จะใชจํานวนคนงาน 5 คน โดยแบงเปนคนงานในโรงงาน 3 คน ทําหนาที่ในการ
ควบคุมเครื่องจักร และจัดเตรียมวัตถุดิบกอนการผลิต สวนพนักงานอีก 2 คน จะชวยในการขนสงสินคา
สวนในชวงหนารอนซึ่งจะมีการเพิ่มการผลิตใหมากขึ้น โดยจะใหพนักงานเพิ่มจํานวนชั่วโมงการทํางานและ
จายเปนคาตอบแทนเปนคาลวงเวลา
ขั้นตอนการผลิต
เนื่องจากการผลิตไอศกรีมแตละรสชาติจะมีขั้นตอนการผลิต และสวนผสมที่แตกตางกัน แต
สามารถสรุปขั้นตอนที่คลายคลึงกันไดดังนี้
1. จัดเตรียมผลไมหรือสมุนไพร โดยการปอก หรือ ลางใหสะอาด
2. นําผลไมและสวนผสม เชน นํ้าตาลเขาเครื่องตมเพื่อตมใหเดือด
3. ทิ้งไวใหเย็น แลวจึงนําสวนผสมที่เหลือ รวมทั้ง Whipping Cream มาใสในเครื่องปน และปน
จนกลายเปนไอศกรีม
4. นําบรรจุเขาบรรจุภัณฑ แลวนําเขาไปเก็บในหองแชไอศกรีมเพื่อเตรียมขนสงตอไป
การผลิตปกติจะทําการผลิตไอศกรีมวันละ 160 กิโลกรัมตอเครื่อง โดยจํานวนรสชาติหรือ
ปริมาณในแตละรสชาติจะขึ้นกับความตองการวาตลาดตองการรสชาติไหนบาง ก็จะผลิตตามสัดสวนที่
ตองการ ซึ่งการผลิตในแตละรอบการผลิต (Batch) จะใชเวลาประมาณ 1 ชั่วโมง และจะตองผลิตขั้นตํ่า 40
กิโลกรัมตอรอบ ทําใหหนึ่งวันสามารถผลิตไดอยางมากสุด 8 รสชาติ โดยไอศกรีมที่ผลิตไดจะใสถังขนาด 5
กิโลกรัม ซึ่งถือวาเปนถึงขนาดเล็กเพื่อใหไอศกรีมมีการหมุนเวียนอยูตลอดเวลา ซึ่งสงผลใหมีความสดใหม
อยูเสมอ จากนั้นจะมีการจัดสงให Kiosk สวนในชวงหนารอนที่มีความตองการการบริโภคไอศกรีมมากขึ้น
จะเพิ่มกําลังการผลิตใหไดวันละ 300 กิโลกรัมตอเครื่อง เพื่อใหเพียงพอกับความตองการของลูกคาที่เพิ่มสูง
ขึ้น
จัดเตรียมผลไม ทําความสะอาดและ
และสมุนไพร เตรียมวัตถุดิบ
ตมผลไมหรือสมุนไพร
กับนํ้าตาลใหเดือด
ปลอยไวใหเย็น ณ เตรียมสวนผสมหลักที่จะนําเขาสูเครื่องปน
อุณหภูมิหอง เชน Whipping Cream,ไขไก และนม
นําสวนผสมทั้งหมด
เขาเครื่องปนไอศกรีม
บรรจุเขาบรรจุภัณฑ
และเก็บในหองเย็น
ภาพที่ 9 แสดงขั้นตอนการผลิตไอศกรีม
• แผนการเงิน (Financial Plan)
สมมติฐานในการจัดทํางบการเงิน
1. รายไดจากการขาย
- การขายปลีกผานคีออส (Kiosk)
ราคาตอหนวย 29 บาท
จํานวนลูกที่ขาย 150 ลูกตอวัน
2002 2003 2004 2005 2006Year
Month 6 7 8 9 10 11 12 1-3 4-6 7-9 10-12 1-3 4-6 7-9 10-12 1-12 1-12
New Kiosk
per month 1 1 2 2 2 0 2 2 3 0 0 2 1 0 0 1 1
Accu. Kiosk
1 2 4 6 8 8 10 12 13 15 15 17 17 18 18 19 20
ตารางที่ 1 ประมาณการจํานวนคีออสในแตละเดือน
- ชองทางการขายสง
ราคาตอหนวย 14 บาท
จํานวนลูกที่ขายของรานอาหารขนาดใหญ 60 ลูกตอวัน
จํานวนลูกที่ขายของรานอาหารขนาดกลาง 35 ลูกตอวัน
Year 2002 2003 2004 2005 2006
Month 6 7 8 9 10 11 12 1-3 4-6 7-9 10-12 1-3 4-6 7-9 10-12 1-12 1-12
New Shop
per month
ใหญ
3 0 3 0 1 2 5 3 2 2 3 7 2 6 5 20 15
Accu. Shop
ใหญ 3 3 6 6 7 9 14 17 19 21 24 29 33 37 44 58 72
New Shop
per month
กลาง
7 0 7 3 3 3 3 8 6 2 8 15 10 15 10 40 30
Accu. Shop
กลาง 7 7 14 17 20 23 26 31 36 41 47 60 70 85 99 125 156
ตารางที่ 2 ประมาณการจํานวนคีออสในแตละเดือน
โดยในการประมาณการจะยึดหลักอนุรักษนิยม (Conservative) จึงสมมติใหไมมีการเติบโต
ของจํานวนไอศกรีมที่จําหนายตลอด 3 ป
2. ตนทุนขาย
ตนทุนเฉลี่ยตอไอศกรีม 1 กิโลกรัม 120 บาท
จํานวนลูกตอไอศกรีม 1 กิโลกรัม 25 ลูก
ตนทุนตอไอศกรีม 1 ลูก 4.8 บาท
บรรจุภัณฑ
- ขายปลีกผานคีออส (Kiosk) 3 บาท
- ขายสงผานรานอาหาร 2.8 บาท
3. คาใชจายในการขายและบริหาร
ชองทางการขายปลีกผานคีออส (Kiosk)
- เงินเดือนพนักงาน
จํานวนพนักงานตอคีออส (Kiosk) 2 คน
เงินเดือนพนักงานตอคน 5,000 บาท
- คาเชาคีออส (Kiosk)
คาเชาคีออส (Kiosk) ตอสาขาตอเดือน 35,000 บาท
- คาคอมมิชชั่นของพนักงาน
คาคอมมิชชั่นพนักงานที่คีออส (Kiosk) 3% ของยอดขาย
- คาใชจายในการทําที่คั่นหนังสือ
คาใชจายในการทําที่คั่นหนังสือ 1 บาทตอลูก
(โดยจัดทําที่คั่นหนังสือสิ้นสุด ณ ไตรมาส 2 ป 2546)
- คาใชจายในการโฆษณาประชาสัมพันธ
คาใชจายในการทําโฆษณาและประชาสัมพันธตอเดือนตอคีออส
(Kiosk) 5,000 บาท
- คาเครื่องแบบพนักงาน
เครื่องแบบพนักงานตอคนตอป 2 ชุด
ราคาเครื่องแบบพนักงานตอชุด 500 บาท
- คาสาธารณูปโภค
คาสาธารณูปโภคตอเดือนตอคีออส (Kiosk) 5,500 บาท
- คาใชจายเบ็ดเตล็ด
คาใชจายเบ็ดเตล็ดตอเดือนตอคีออส (Kiosk) 2,500 บาท
- คาใชจายในการสงเสริมการขาย
คาใชจายในการสงเสริมการขาย 20% ของยอดขาย
ชองทางการขายสงและสํานักงานกลาง
- เงินเดือนผูบริหาร
จํานวนผูบริหาร 5 คน
เงินเดือนผูบริหาร 20,000 บาท
(ในป 2004 ถึง 2006 จะขึ้นเงินเดือนผูบริหารปละ 20%)
- เงินเดือนพนักงาน
จํานวนพนักงาน 5 คน
เงินเดือนพนักงาน 5,000 บาท
(ในป 2003 ถึง 2006 จะมีการขึ้นเงินเดือนปละ 5%)
- คาเชาเครื่องถายเอกสาร
คาเชาเครื่องถายเอกสารตอเดือน 2,500 บาท
- คาเชาสํานักงาน
คาเชาสํานักงานตอเดือน 25,000 บาท
- คาเครื่องเขียน
คาเครื่องเขียนตอเดือน 500 บาท
- คาใชจายในการสงเสริมการขาย
คาใชจายในการสงเสริมการขาย 5% ของยอดขาย
- คานํ้ามันรถ
คานํ้ามันรถ 0.5% ของยอดขาย
- คาใชจายในการวิจัยและพัฒนา
คาใชจายในการทําวิจัยและพัฒนาในชวงเริ่มตน
(มกราคม-เมษายน 2002) 30,000 บาท
คาใชจายในการทําวิจัยและพัฒนาในชวงตอมา
(ตั้งแตเดือนพฤษภาคม 2002 เปนตนไป) 3% ของยอดขาย
- คาสาธารณูปโภค
คาสาธารณูปโภคตอเดือน 32,000 บาท
- คาใชจายเบ็ดเตล็ด
คาใชจายเบ็ดเตล็ดตอเดือน 5,000 บาท
- หนี้สงสัยจะสูญ
หนี้สงสัยจะสูญ 0.5% ของยอดขายสง
4. สินทรัพย
- หองเย็น
คาใชจายในการทําหองเย็น 415,000 บาท
(ในเดือนพฤษภาคม 2002)
- ยานพาหนะ
จํานวนยานพาหนะ 1 คัน
ยานพาหนะในการขนสงสินคาตอคัน 720,000 บาท
(จะเริ่มเชาซื้อในเดือนพฤษภาคม 2002)
- คอมพิวเตอรและซอฟทแวร
จํานวนคอมพิวเตอรและซอฟทแวร 3 ชุด
คาใชจายคอมพิวเตอรและซอฟทแวรตอชุด 24,300 บาท
- เครื่องพิมพ
จํานวนเครื่องพิมพ 2 เครื่อง
คาใชจายเครื่องพิมพตอเครื่อง 6,750 บาท
- เครื่องใชสํานักงาน
จํานวนเครื่องใชสํานักงาน 10 ชุด
คาใชจายเครื่องใชสํานักงานตอชุด 6,820 บาท
- คาตกแตงสํานักงาน
คาตกแตงสํานักงาน 130,000 บาท
- คาตกแตงรานคีออส (Kiosk)
คาตกแตงตอ 1 คีออส 150,000 บาท
- เครื่องจักรผลิตไอศกรีม
คาเชาซื้อเครื่องจักรผลิตไอศกรีมตอเครื่อง 430,000 บาท
(โดยทําการเชาซื้อในเดือนพฤษภาคมและพฤศจิกายน 2002)
- เครื่องเก็บเงิน (Cash Register)
คาใชจายเครื่องเก็บเงินตอ 1 คีออส 22,000 บาท
- ตูแชไอศกรีม
จํานวนตูแชตอ 1 คีออส 2 ตู
จํานวนตูแชตอ 1 รานอาหาร 1 ตู
คาใชจายตูแชไอศกรีมตอตู 12,000 บาท
5. นโยบายการบัญชี
- คาเสื่อมราคา
คาเสื่อมราคาจะใชนโยบายตัดคาเสื่อมราคาแบบเสนตรง 20% ตอป
- การเชาซื้อ
อัตราดอกเบี้ยในการเชาซื้อ 10% ตอป เปนระยะเวลา 3 ป
- อายุลูกหนี้เฉลี่ย
อายุลูกหนี้เฉลี่ย 30 วัน
- อายุเจาหนี้
อายุเจาหนี้เฉลี่ย 30 วัน
- สินคาคงเหลือ
สินคาคงเหลือมีอายุเฉลี่ย 15 วัน
- ภาษีเงินไดนิติบุคคล
อัตราภาษีเงินไดนิติบุคคล 30% ตอป
- นโยบายการจายเงินปนผล
การจายเงินปนผล 25% ของกําไรสะสมในแตละป
6. ตนทุนของแหลงเงินทุน (Cost of Capital)
- สัดสวนโครงสรางเงินทุนของบริษัท ทุนตอหนี้สิน 2:1
- ตนทุนของหนี้สิน 10 %
- ตนทุนของทุน 20 %
- ภาษีเงินไดนิติบุคคล 30 %
WACC = WeKe+ Wd Kd (1-t)
= 2/3*0.2+1/3*0.1*(1-0.3)
= 15.6%
ดังนั้นตนทุนของแหลงเงินทุน (Cost of Capital) ที่ใชในการคํานวณมูลคาปจจุบัน (NPV) จะใช
อัตรา 15%
ประมาณการงบกําไรขาดทุน 2002-2006
2002 2003 2004 2005 2006
ขาย
Kiosk 5,193,900 21,850,050 27,792,150 29,754,000 31,320,000
Wholesale 2,943,430 13,154,540 25,036,620 39,589,200 49,291,200
รายไดจากการขาย 8,137,330 35,004,590 52,828,770 69,343,200 80,611,200
หัก ตนทุนขาย 2,994,842 13,017,946 21,066,438 29,494,080 35,182,080
กําไรขั้นตน 5,142,488 21,986,644 31,762,332 39,849,120 45,429,120
คาใชจาย
คาใชจายในการขายและบริหาร 6,339,843 18,890,122 22,144,461 24,440,279 26,645,997
ดอกเบี้ยจาย 70,666 158,000 212,000 129,333 72,000
คาเสื่อมราคา 439,720 1,136,520 1,560,120 1,783,920 1,931,120
รวมคาใชจาย 6,850,229 20,184,642 23,916,581 26,353,532 28,649,117
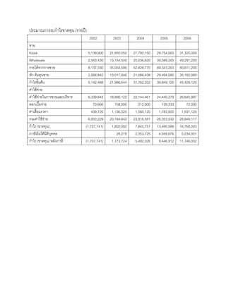
กําไร (ขาดทุน) (1,707,741) 1,802,002 7,845,751 13,495,588 16,780,003
ภาษีเงินไดนิติบุคคล 28,278 2,353,725 4,048,676 5,034,001
กําไร(ขาดทุน)หลังภาษี (1,707,741) 1,773,724 5,492,026 9,446,912 11,746,002
ตารางที่ 3 ประมาณการงบกําไรขาดทุนป 2002-2006
จากการประมาณการงบกําไรขาดทุนจะพบวา บริษัทจะขาดทุนในปแรกของการดําเนินงานเนื่อง
จากบริษัทอยูในชวงเริ่มตนของการดําเนินธุรกิจทําใหมีคาใชจายตางๆ เปนจํานวนมาก นอกจากนั้นบริษัท
ยังคงตองใชเวลาในการขยายชองทางการจัดจําหนายเพื่อใหสินคาไปถึงมือผูบริโภคในอนาคต จึงสงผลให
บริษัทขาดทุนในปแรก 1.7 ลานบาท หลังจากนั้นบริษัทจะมีกําไรเพิ่มขึ้นทุกป โดยจะพบวาคาใชจายที่
สําคัญของบริษัทไดแก คาเชา Kiosk และคาใชจายในการทํา Promotion ดังนั้นบริษัทตองพยายามควบคุม
คาใชจายทั้ง 2 รายการใหอยูในระดับที่เหมาะสมเพื่อใหกําไรของบริษัทเปนไปตามเปาหมาย
ประมาณการงบดุล (รายป)
2002 2003 2004 2005 2006
Assets
Current assets
Cash on hand and in bank 36,871 804,760 6,002,006 14,006,132 21,456,748
Accounts receivable 755,703 1,317,871 2,607,975 3,282,605 4,087,062
Inventory 387,500 628,605 1,034,356 1,228,920 1,465,920
Other current assets 5,000 5,000 5,000 5,000 5,000
Total current assets 1,185,074 2,756,236 9,649,337 18,522,656 27,014,730
Leased Assets 1,983,333 1,825,333 2,549,333 2,420,000 2,348,000
Minus Accumulated depreciation 151,333 378,333 749,333 1,120,333 1,491,333
Net Leased Assets 1,832,000 1,447,000 1,800,000 1,299,667 856,667
Plant, Properties & Equipment 3,139,600 4,491,600 5,943,600 6,619,600 7,355,600
Minus Accumulated depreciation 288,387 1,197,907 2,387,027 3,799,947 5,360,067
PPE-net 2,851,213 3,293,693 3,556,573 2,819,653 1,995,533
Other asset 38,750 38,754 38,758 38,759 38,760
Total assets 5,907,037 7,535,683 15,044,668 22,680,735 29,905,690
Liabilities & Shareholder equity
Current liabilities 5,000 5,000 5,000 5,000 5,000
Account payable 775,000 1,257,211 2,068,712 2,457,840 2,931,840
Accrued expenses 87,000 116,100 134,280 141,544 148,896
Corporate tax payable 0 28,278 2,353,725 4,048,676 5,034,001
Short-Term Loan 0 0 0 0 0
Total current liabilities 867,000 1,406,589 4,561,717 6,653,060 8,119,737
Long term Leasing contract 1,747,778 1,063,111 1,314,444 816,111 317,778
Total Liabilities 2,789,351 3,129,151 4,517,092 6,344,571 7,135,350
Shareholder equity
Issued Common stock
500,000 shares (parvalue of 10 Bath) 5,000,000 5,000,000 5,000,000 5,000,000 5,000,000
Retained earnings (1,707,741) 65,983 4,168,507 10,211,564 16,468,175
Total shareholder’s equity 3,292,259 5,065,983 9,168,507 15,211,564 21,468,175
Total liabilities Shareholder equity 5,907,037 7,535,683 15,044,668 22,680,735 29,905,690
ตารางที่ 4 ประมาณการงบดุลป 2002 - 2006
ประมาณการงบกําไรสะสม 2002-2006
2002 2003 2004 2005 2006
กําไรสะสมตนงวด 0 (1,707,741) 65,983 4,168,507 10,211,564
บวก กําไรสุทธิ (1,707,741) 1,773,724 5,492,026 9,446,912 11,746,002
(1,707,741) 65,983 5,558,009 13,615,418 21,957,566
หักเงินปนผล 0 0 (1,389,502) (3,403,855) (5,489,392)
กําไรสะสมยกไป (1,707,741) 65,983 4,168,507 10,211,564 16,468,175
ตารางที่ 5 ประมาณการงบกําไรสะสมป 2002-2006
บริษัทคาดวาจะสามารถจายเงินปนผลไดในป 2004 เนื่องจากบริษัทคาดวาในปดังกลาวบริษัทจะ
เริ่มมีกําไรและเงินทุนหมุนเวียนเพียงพอที่จะสามารถจายเงินปนผล โดยไมกระทบตอฐานะทางการเงินของ
บริษัท
ประมาณการงบกระแสเงินสด 2002-2006
2002 2003 2004 2005 2006
กระแสเงินสดจากกิจกรรมดําเนินงาน
(วิธีทางออม)
กําไรสุทธิ (1,707,741) 1,773,724 5,492,0269 9,446,912 11,746,002
รายการปรับกระทบยอดกําไรสุทธิเปนเงินสด
ไดจาก(ใชไปใน) การดําเนินงาน
คาเสื่อมราคา 439,720 1,136,520 1,560,120 1,783,920 1,931,120
การเปลี่ยนแปลงในสินทรัพยและหนี้สินจาก
การดําเนินงาน
(368,203) (321,063) (884,353) (480,066) (567,458)
เงินสดสุทธิไดจาก (ใชไปใน)กิจกรรม
ดําเนินงาน
(1,636,223) 2,589,181 6,167,793 10,750,766 13,109,665
กระแสเงินสดจากกิจกรรมลงทุน
เงินสดรับ
จากการกูยืม 0 0 0 0 0
จากการขายทรัพยสิน 0 0 0 0 0
เงินสดจาย
เพื่อซื้อสินทรัพย (5,166,683) (1,194,004) (1,194,004) (546,668) (664,001)
เงินสดสุทธิไดจาก (ใชไปใน)กิจกรรมลงทุน (5,166,683) (1,194,004) (1,194,004) (546,668) (664,001)
กระแสเงินสดจากกิจกรรมจัดหาเงิน
เงินสดรับ
จากการออกหุนทุน 5,000,000 0 0 0 0
จากการกอหนี้สิน 1,839,778 0 2,594,960 1,203,882 494,343
เงินสดจาย
เพื่อชําระหนี้ 0 (627,288) 0 0 0
จายเงินปนผล 0 0 (1,389,502) (3,403,855) (5,489,392)
เงินสดสุทธิไดจาก (ใชไปใน)กิจกรรมจัดหาเงิน 6,839,778 (627,288) 1,205,458 (2,199,973) (4,995,048)
เงินสดและรายการเทียบเทาเงินสดสุทธิเพิ่มขึ้น
(ลดลง)
36,871 767,888 5,197,247 8,004,125 7,450,616
บวกเงินสดและรายการเทียบเทาเงินสดตนงวด 0 36,871 804,760 6,002,006 14,006,132
เงินสดและรายการเทียบเทาเงินสดปลายงวด 36,871 804,760 6,002,006 14,006,132 21,456,748
ตารางที่ 6 ประมาณการงบกระแสเงินสดป 2002-2006
วิเคราะห Break even analysis ของการขายแบบ Wholesale
Price per Scoope 14.0
Variable Cost
Details of cost per units
COGS 7.8
Promotion gift 0
Marginal Cost 7.8
Gross Contribution per unit 6.2
commission per unit 0
promotion per unit 1
Marginal Contribution per unit 5.5
Fixed Cost
Fixed Expenses/month 185,000
Total fixed expenses per month 185,000
จํานวน Break-even unit per month 33,636 Scoops
ตารางที่ 8 การวิเคราะหจุดคุมทุนของชองทางการขายสง
จากการวิเคราะหจะพบวาบริษัทตองพยายามขายไอศกรีมใหกับรานอาหารตางๆ อยางนอยเดือน
ละ 33,636 ลูก หรือตองขายไอศกรีมใหแกรานอาหารขนาดใหญจํานวน 18 รานอาหารหรือรานอาหาร
ขนาดกลาง 32 ราน ซึ่งจากประมาณการของบริษัทพบวา ณ สิ้นปแรกของการดําเนินกิจการ บริษัทจะตอง
มีไอศกรีมเขาไปขายยังรานขนาดใหญ 14 ราน และรานขนาดกลางจํานวน 26 ราน ซึ่งทําใหคาดไดวา
บริษัทจะสามารถขายสินคาไดในปริมาณที่เปนจุดคุมทุนได
Financial Ratio
2002 2003 2004 2005 2006 Swensen
2000
Liquidity Ratio
Current ratio 1.37 1.96 2.12 2.78 3.33 0.72
Quick ratio 0.91 1.51 1.89 2.60 3.15 0.20
Receivable Turnover 3.89 12.69 12.75 13.44 13.38 66.95
Receivable Turnover (Days) 92.43 28.37 28.22 26.78 26.91 5.38
Inventory Turnover 7.73 25.62 25.34 26.06 26.11 9.11
Inventory Turnover (Days) 46.58 14.05 14.21 13.81 13.79 39.52
Profitability Ratio
ROI -034 0.35 1.10 1.89 2.35 0.38
ROA -0.29 0.26 0.49 0.50 0.45 0.08
EPS -3.42 3.55 10.98 18.89 23.49 37.96
Gross profit Margin
Kiosk + Wholesale 63.20% 62.81% 60.12% 57.47% 56.36% 62.92%
Kiosk 69.00% 69.00% 69.00% 69.00% 69.00%
Wholesale 37.00% 37.00% 37.00% 37.00% 37.00%
Net Profit Margin -20.99% 5.15% 14.85% 19.46% 20.82% 6.04%
Leverage Ratio
Debt to Equity 0.79 0.49 0.64 0.49 0.39 0.39
Debt to Total Assets 0.44 0.33 0.39 0.33 0.28 0.28
ตารางที่ 9 อัตราสวนทางการเงิน
จาก Liquidity Ratio จะพบวา บริษัทมีสภาพคลองในระดับที่คอนขางดีโดยมี Current Ratio สูง
กวา 1 และในดานอัตราสวน Inventory Turnover พบวาบริษัทมีความสามารถสูงในการเปลี่ยนสินคาเปน
เงินสดโดยเฉลี่ยมีคาสูงถึง 27 รอบใน 1 ป หรือสามารถแปลงเปนระยะเวลาการหมุนเวียนของสินคาโดย
เฉลี่ยเพียงแค 14 วัน นอกจากนี้บริษัทยังมีอัตราสวน Receivable Turnover เพียงแค 27 วันซึ่งแสดงวา
บริษัทมีประสิทธิภาพในการเก็บหนี้สูง
สวนความสามารถในการทํากําไรของบริษัทอยูในระดับที่คอนขางดี โดยบริษัทมี Gross Margin
อยูในระดับสูง ถึงแมวาจะมีสัดสวนดังกลาวลดลงเรื่อยๆ ทั้งนี้เนื่องมาจากบริษัทจะมีสัดสวนยอดขายจาก
Wholesale เพิ่มขึ้นเรื่อยๆ ในอนาคต โดยดาน Gross Profit Margin จะวิเคราะหจาก Profitability Ratio
พบวาบริษัทสามารถรักษาอัตรา Gross Profit Margin Retailing ที่ 65% และ Gross Profit Margin
Wholesale ที่ 35% ตามวัตถุประสงคที่วางไว
ดานอัตราสวนโครงสรางของเงินทุน (Leverage Ratios) ซึ่งเปนตัววัดความสามารถในการชําระ
หนี้สินระยะยาวซึ่งเปนเครื่องบงชี้วากิจการมีความสามารถที่จะจายชดใชหนี้สินที่มีตอเจาหนี้ระยะยาว
เพียงใด ซึ่งความสามารถในการชําระหนี้สินระยะยาวจะเกิดขึ้นเมื่อกิจการสามารถสรางรายไดจนเพียงพอ
สําหรับคาใชจายอื่นๆ และดอกเบี้ย จากคาอัตราสวน Debt to Equity และ Debt to Total Asset จะพบวา
มีอัตราสวนคอนขางตํ่า จึงคาดวาบริษัทจะไมมีปญหาเรื่องสภาพคลองหรือการจายชําระหนี้คืนในอนาคต
และจะเอื้อประโยชนตอบริษัท ถาบริษัทตองการกูเงินจากเจาหนี้ก็สามารถกูไดในอัตราดอกเบี้ยขั้นตํ่า แต
อยางไรก็ตามอัตราสวนดาน Leverage Ratio ก็ไมควรจะมีคาสูงจนเกินไป ในขณะที่บริษัทมีเงินกูอยูเพราะ
จะแสดงถึงคาเสียโอกาสที่บริษัทจะตองเสียตนทุนที่สูงกวาการนําสินทรัพยสวนเกินไปชําระหนี้สินแทน
Sensitivity Analysis
Payback Period Discount
Payback Period
NPV IRR
Normal 3 years 4 years 6,357,067 46%
Sale decrease 10% 4 years 4 years 3,734,190 34%
Cost increase 15% 4 years 5 years 2,347,952 27%
ตารางที่ 10 การวิเคราะหความคลาดเคลื่อน (Sensitivity Analysis)
จากการประเมินของทางบริษัทพบวาปจจัยที่สําคัญซึ่งอาจจะสงผลกระทบตอผลการดําเนินงาน
ของบริษัทอยางมีนัยสําคัญไดแก ยอดขาย และตนทุนขาย ดังนั้นทางบริษัทจึงทําการประเมินผลกระทบ
หากยอดขายของบริษัทลดลง 10% และตนทุนขายเพิ่มขึ้น 15% จะกระทบตอผลประกอบการของบริษัท
มากนอยเพียงใด
ซึ่งจากการทํา Sensitivity Analysis พบวาหากยอดขายลดลง 10% หรือตนทุนขายเพิ่มขึ้น 15%
จะทําใหระยะเวลาคืนทุนเพิ่มขึ้นเปน 4 ป อยางไรก็ตามจะเห็นไดวา NPV ยังคงมีคาเปนบวกและ IRR ก็ยัง
อยูในระดับที่คอนขางสูง
• แนวทางการประเมินความเปนไปไดของธุรกิจ
เนื่องจากประเทศไทยเปนประเทศที่อยูในภูมิภาคเขตรอนจะมีสภาพอากาศรอนเกือบทั้งป ทํา
ใหไอศกรีมเปนสินคาที่มีศักยภาพสามารถจําหนายไดตลอดทั้งป อีกทั้งคนในปจจุบันตองการรับประทาน
อาหารที่เปนประโยชนตอสุขภาพและคํานึงถึงความสะอาดเปนหลัก ไอศกรีมสมุนไพรจึงเปนทางเลือกที่
เหมาะสมทางหนึ่งของผูบริโภค ซึ่งสามารถตอบสนองความตองการทั้งทางดานรสชาติและเปนประโยชน
ตอสุขภาพ
นอกจากนั้นอัตราการบริโภคไอศกรีมของคนไทยยังอยูในระดับตํ่าทําใหเปนปจจัยที่สําคัญในการที่
บริษัทจะสามารถทําการขยายตลาดไดเพิ่มขึ้น นอกจากนี้ในแงของวัตถุดิบในการผลิตเชน ผลไม สมุนไพร
ตาง ๆ ในประเทศไทยมีอยูอยางมากมายทําใหตนทุนของวัตถุดิบคอนขางตํ่า สามารถเลือกซื้อวัตถุดิบใหมี
คุณภาพไดตามตองการและสามารถเลือกผูจําหนายวัตถุดิบไดโดยไมยาก
สวนในแงของบริษัท ผลิตภัณฑไอศกรีม Herbies เปนสินคาที่มีความแปลกใหม อีกทั้งยังมี
คุณคาทางโภชนาการเหมาะกับผูที่ชอบรับประทานไอศกรีมแตคํานึงถึงสุขภาพ นอกจากนี้บรรจุภัณฑที่มี
ความแปลกใหมจะเปนจุดขายที่สําคัญ นอกเหนือจากตัวไอศกรีม
จากปจจัยดังกลาวขางตนจะเห็นวาอุตสาหกรรมไอศกรีมสมุนไพรมีศักยภาพและมีความเปนไปได
ในธุรกิจคอนขางสูง เนื่องจากสามารถผลิตไดในตนทุนที่ตํ่า แตสามารถจําหนายในราคาที่สูง ขนาดของ
ตลาดมีแนวโนมขยายตัวอยางตอเนื่อง และคูแขงขันในผลิตภัณฑไอศกรีมสมุนไพรยังไมมีคูแขงขันรายใด
ทําการตลาดอยางจริงจังและเปนที่รูจักนิยมของคนทั่วไป อยางไรก็ตามการที่บริษัทจะประสบความสําเร็จ
ในธุรกิจนี้ไดจะตองใหความสําคัญตอ Key Success Factor และการดําเนินกลยุทธทางดานตลาดอยาง
ตอเนื่อง
• ปจจัยวิกฤตที่เปนเงื่อนไขแหงความสําเร็จของธุรกิจ (Key Success Factor)
ชองทางการขายสง (Wholesale)
1) การยอมรับในรสชาติไอศกรีมของผูบริโภค
เนื่องจากผลิตภัณฑของบริษัท คือ ไอศกรีมซึ่งเปนสินคาบริโภค ดังนั้นปจจัยที่จะสงผลกระทบ
ตอความสําเร็จของผลิตภัณฑเปนอยางมาก คือ รสชาติ เพราะแมวาสินคาจะราคาถูกเพียงไรก็ตาม หากแต
รสชาติไมเปนที่พึงพอใจของผูบริโภค ก็จะเปนการยากที่ผลิตภัณฑจะประสบความสําเร็จได ทั้งนี้ดูไดจาก
ขอมูลจากแบบสอบถามจะพบวา ปจจัยที่มีผลตอการตัดสินใจซื้อไอศกรีมของผูบริโภคมากที่สุดคือ รสชาติ
2) ชองทางการจัดจําหนาย
เนื่องจากการขายสงเปนปจจัยสําคัญที่จะชวยใหสินคาไปถึงมือผูบริโภคไดก็คือรานอาหาร
ตางๆ ดังนั้นจึงตองพยายามผลักดันสินคาใหสามารถเขาไปขายในรานอาหารใหได โดยจะให Incentive
ตางๆ แกรานอาหาร รวมไปถึงการที่ตองชี้ใหเห็นถึงความโดดเดนในผลิตภัณฑ การใชกลยุทธ Push
strategy ไปที่รานอาหารชวยในการผลักดันการจําหนายไอศกรีม จึงเปนปจจัยสําคัญในการประสบความ
สําเร็จ
ชองทางการขายปลีก (Retailing)
1) การยอมรับในรสชาติและบรรจุภัณฑของผูบริโภค
สําหรับชองทางการขายปลีก ปจจัยที่จะทําใหประสบความสําเร็จเชนเดียวกันกับชองทางการ
ขายสงคือ รสชาติของไอศกรีม และปจจัยนี้จะยิ่งทวีความสําคัญมากขึ้นในชองทางการขายปลีก เพราะถาผู
บริโภคยอมรับในตัวผลิตภัณฑก็จะทําใหเกิดการซื้อซํ้า ซึ่งนอกจากรสชาติแลว ความแปลกใหมในบรรจุ
ภัณฑ ก็สามารถชวยใหผลิตภัณฑมีโอกาสประสบความสําเร็จมากขึ้นอีกดวย
2) สถานที่จัดจําหนาย (Location)
การขายปลีก ปจจัยที่สําคัญที่จะชวยใหสินคาประสบความสําเร็จไดคือ สถานที่ตั้ง KIOSK
กลาวคือ ที่ตั้งของ KIOSK จะตองเขาถึงกลุมเปาหมาย รวมไปถึงจะตองเปนแหลงศูนยรวม (Traffic)
มากพอ ที่ลูกคาจะมีโอกาสและมีความสะดวกในการพบเห็น ซื้อมารับประทาน นอกจากนี้การตกแตงราน
KIOSK จะตองสอดคลองกับพฤติกรรมของกลุมเปาหมายที่เปนวัยรุนดวย
• การควบคุมและประเมินผล (Control and Evaluation)
การควบคุมและประเมินผลการปฏิบัติงานจะมีการทําตอเนื่องทั้งป โดยการออกสํารวจความ
นิยมของผูบริโภคที่มีตอตัวสินคา ตัวประเมินผลที่ใชคือ KPI (Key Performance Indicator) ที่เปนตัว
กําหนดผลลัพธของแตละผลิตภัณฑวาไดตามเกณฑที่กําหนดหรือไม เพื่อใชเปนขอมูลในการหาสาเหตุและ
ทางแกปญหาตาง ๆ ปจจัยที่ใชวัด ไดแก
1. ความถี่ในการซื้อ (Frequency of Purchase)
2. การยอมรับในตัวผลิตภัณฑ (Acceptancy) ทั้งในเรื่องรสชาติ คุณภาพและบรรจุภัณฑ
3. สวนแบงตลาด (Brand Share) ทั้งในเรื่องปริมาณและการจดจําตัวผลิตภัณฑของ
บริษัทฯ ได (Share of mind)
4. ปริมาณการขาย (Volume)
และนําผลลัพธที่ได กลับไปเปรียบเทียบกับเปาหมายของบริษัทพรอมทั้งดําเนินการควบคุม
ประเภทตาง ๆ เพื่อใหเปนไปตามเปาหมายที่กําหนดไว
ประเภทของการควบคุมทางการตลาด
ประเภทของการควบคุม ความมุงหมายในการควบคุม วิธีการตางๆ
1. การควบคุมโดยแผน
ประจําป
เพื่อตรวจสอบวาไดรับผลตอบ
แทน โดยตรวจสอบจากงบการ
เงิน และเปรียบเทียบกับเปา
หมายที่ทางบริษัทตั้งไวหรือไม
- การวิเคราะหยอดขาย
- การวิเคราะหสวนครองตลาด
- การวิเคราะหคาใชจายตอยอดขาย
เพื่อใหบริษัทสามารถมี Gross
Margin ประมาณ 65% สําหรับ
Kiosk และ 35% สําหรับ Wholesale
- การวิเคราะหทางการเงิน
- การวิเคราะหโดยใชความสามารถใน
การทํากําไร
2. การควบคุมความ
สามารถในการทํา
กําไร
เพื่อตรวจสอบวาบริษัททําเงินได
และเสียเงินที่ตรงไหน
- ผลิตภัณฑ, เขตขายลูกคา, ลูกคาสวน
ของตลาด,ชองทางการจําหนาย,ขนาด
คําสั่งซื้อ
3. การควบคุม
ประสิทธิภาพ
เพื่อประเมินและปรับปรุงประ
สิทธิภาพในการใชจายและอิทธิ
พลของคาใชจายทางการตลาด
- การโฆษณา การสงเสริมการขาย
- การจัดจําหนาย
4. การควบคุมทาง
กลยุทธ
เพื่อตรวจวาบริษัทมุงสูโอกาสที่
ดีที่สุดในแงของตลาด สินคา
และชองทางการจําหนาย
- เครื่องมือวัดความสัมฤทธิผลของการ
ตลาด
- การตรวจสอบการตลาด
- ทบทวนความดีเลิศทางการตลาด
- ทบทวนจริยธรรม และความรับผิดชอบ
ตอสังคมของบริษัท
ตารางที่ 11 การควบคุมทางการตลาด
• แผนรับมือเหตุการณที่ไมเปนไปตามแผนการดําเนินงานปกติ (Contingency Plan)
ในกรณีที่แผนการตลาดที่บริษัทนํามาใชประสบปญหาอุปสรรคหรือไมเปนไปตามที่คาดการณ
ไว เนื่องจากไดรับผลกระทบจากดานสภาพแวดลอมระดับมหภาค (Macro environment) และจากคู
แขงขัน บริษัทจําเปนตองมีการเตรียมแผนและกลยุทธเพื่อรับมือเหตุการณหรือความไมแนนอนที่อาจเกิด
ขึ้นดังนี้
1. รานอาหารไมยอมรับไอศกรีมเขาไปขาย
เนื่องจากถาไมสามารถเขาทางรานอาหารไดจะทําใหบริษัทมีปญหาในดานการขายสง ฉะนั้น
บริษัทจะตองเพิ่ม Incentive ใหกับรานอาหารใหมากขึ้นหรืออาจจะตองพิมพเมนูหรือใหสิ่งตาง ๆ
เพิ่มขึ้นเพื่อเปนแรงจูงใจแกรานอาหาร และนอกจากนั้นบริษัทจะตองมองหารานอาหารตางๆ ให
มากขึ้นดวย
2. คูแขงขันลดราคาไอศกรีม
ทางบริษัทจะเตรียมงบประมาณบางสวนประมาณ 5% ของยอดขายในการทําสงเสริมการขายดาน
อื่นที่ไมใชการลดราคาเพื่อตอบโตคูแขงขัน เนื่องจากการลดราคาเปนการสรางภาพลักษณที่ไมดีใน
สินคา และจะทําใหผูบริโภครูสึกถูกเอารัดเอาเปรียบโดยคิดวาราคาที่เคยบริโภคมาไมสมเหตุสมผล
3. ราคานํ้ามันเพิ่มขึ้น
ถาราคานํ้ามันเพิ่มขึ้นจะมีผลกระทบกับคาใชจายในการบริการดาน การขนสงสินคาและการขนสง
วัตถุดิบ ทางบริษัทควรดําเนินการโดยพิจารณาสภาพแวดลอมอื่น ดังนี้
- ตรวจสอบการปรับราคาของคูแขงขัน ทางบริษัทจะปรับขึ้นราคาเพื่อชดเชยกับตนทุนที่เพิ่มขึ้นได
ก็ตอเมื่อคูแขงขันไดปรับเพิ่มราคาขึ้น
- ทําการปรับเปลี่ยนราคาโดยทางออม เชนการใหของแถมเพิ่มเติม หรือการเพิ่มขนาดพรอมทั้งการ
ปรับเปลี่ยนราคาเพิ่มขึ้น
4. คูแขงเริ่มออกไอศกรีมสมุนไพรเลียนแบบ
บริษัทจะตองออก Campaign เพิ่มเติมเพื่อตอกยํ้าความเปนผูนําในตลาดไอศกรีมสมุนไพร
Appendix
แบบสอบถาม
พฤติกรรมการบริโภคไอศกรีม
โครงการปริญญาโท สาขาบริหารธุรกิจ ประจําปการศึกษา 2544
คณะพาณิชยศาสตรและการบัญชี มหาวิทยาลัยธรรมศาสตร
เรียนทานผูตอบแบบสอบถาม
แบบสอบถามนี้ถูกทําขึ้นเพื่อตองการสํารวจหา “พฤติกรรมการบริโภคไอศกรีม” ซึ่งโครงการวิจัยนี้เปน
สวนหนึ่งของ Business Project ดังนั้นคณะผูจัดทําการวิจัยจึงใครขอความรวมมือในการตอบแบบสอบถาม
อยางเที่ยงตรงและขอขอบพระคุณทุกทานในการรวมมือมาไว ณ โอกาสนี้
1. โปรดใหระดับความสําคัญของปจจัยที่มีผลตอการตัดสินใจซื้อไอศกรีมที่รานของทาน
(5) (4) (3) (2) (1)
มากที่สุด มาก ปานกลาง นอย นอยที่สุด
รสชาติไอศกรีม
ความสะดวกในการหาซื้อ
ราคา
บริการ
บรรยากาศในราน
การสงเสริมการขาย
2. ทานนิยมรับประทานไอศกรีม ในรูปแบบใดมากที่สุด
นั่งรับประทานที่รานไอศกรีม นั่งรับประทานที่ภัตตาคาร/รานอาหาร
ซื้อแลวเดินรับประทานจากราน ซื้อกลับไปรับประทานที่บาน
3. สถานที่ใดที่ทานนิยมไปรับประทานไอศกรีมมากที่สุด
หางสรรพสินคา สถาบันการศึกษา สถานที่ทํางาน
สถานที่ทองเที่ยว รานอาหาร
อื่น ๆ โปรดระบุ____________________
4. โดยสวนใหญทานไปรับประทานไอศกรีมกับใคร และโดยเฉลี่ยกี่ทาน
เพื่อน_______คน ครอบครัว________คน รับประทานคนเดียว
5. ความถี่ในการรับประทานไอศกรีม_________ครั้ง/เดือน
6. ทานรับประทานไอศกรีมเฉลี่ยครั้งละกี่กอน_________กอน
7. เหตุผลที่ทานไปรับประทานไอศกรีม
อยากรับประทาน เพื่อพบปะสังสรรค
คลายรอน รายการสงเสริมการขาย
อื่นๆ_______________________
8. ถามีไอศกรีมสมุนไพร ผลไม หรือดอกไมที่มีรสชาติใหม ๆ เชน มะขาม เสาวรส งาดํา นอยหนา กระเจี๊ยบ
ทานคิดวาจะทดลองซื้อรับประทานหรือไม
ซื้อ ไมซื้อ
9. ขอมูลทั่วไป
9.1 เพศ
ชาย หญิง
9.2 อายุ
ตํ่ากวา 19 ป 19 – 25 ป
26 – 35 ป มากกวา 35 ป
9.3 รายไดตอเดือน
ตํ่ากวา 10,000 บาท
10,000 – 20,000 บาท
20,001 – 30,000 บาท
30,001 – 40,000 บาท
40,001 – 50,000 บาท
มากกวา 50,000 บาท
9.4 สถานภาพสมรส
โสด สมรส
9.5 ระดับการศึกษา
ตํ่ากวาปริญญาตรี ปริญญาตรี
ปริญญาโท ปริญญาเอก
อื่น ๆ โปรดระบุ______________________________
9.6 อาชีพ
นักเรียน / นักศึกษา
พนักงานบริษัทเอกชน
ขาราชการ / รัฐวิสาหกิจ
เจาของกิจการ
อาชีพอิสระ
อื่น ๆ โปรดระบุ______________________________
แบบสอบถาม (Blind Test)
พฤติกรรมการบริโภคไอศกรีม
โครงการปริญญาโท สาขาบริหารธุรกิจ ประจําปการศึกษา 2544
คณะพาณิชยศาสตรและการบัญชี มหาวิทยาลัยธรรมศาสตร
เรียนทานผูตอบแบบสอบถาม
แบบสอบถามนี้ถูกทําขึ้นเพื่อตองการสํารวจหา “พฤติกรรมการบริโภคไอศกรีม” ซึ่งโครงการวิจัยนี้เปน
สวนหนึ่งของ Business Project ดังนั้นคณะผูจัดทําการวิจัยจึงใครขอความรวมมือในการตอบแบบสอบถาม
อยางเที่ยงตรงและขอขอบพระคุณทุกทานในการรวมมือมาไว ณ โอกาสนี้
1. เมื่อทานไดลองชิมไอศกรีมรสชาติตอไปนี้แลวทาน ใหคะแนนความชื่นชอบในรสชาติเทาใด
(5) (4) (3) (2) (1)
มากที่สุด มาก ปานกลาง นอย นอยที่สุด
งาดํา
มะขาม
สตอรเบอรรี่
เสาวรส
นอยหนา
วนิลา
กระเจี๊ยบ
สม
2. เมื่อทานไดรับทราบสรรพคุณและไดเห็นรูปลักษณของไอศกรีมตอไปนี้ ทานคิดวาทานจะซื้อไอศกรีมดังกลาว
หรือไม
งาดํา ซื้อ ไมซื้อ
มะขาม ซื้อ ไมซื้อ
เสาวรส ซื้อ ไมซื้อ
นอยหนา ซื้อ ไมซื้อ
กระเจี๊ยบ ซื้อ ไมซื้อ
3. ขอมูลทั่วไป
3.1 เพศ
ชาย หญิง
3.2 อายุ
ตํ่ากวา 19 ป 19 - 25 ป
26 – 35 ป มากกวา 35 ป
3.3 รายไดตอเดือน
ตํ่ากวา 10,000 บาท
10,000 – 20,000 บาท
20,001 – 30,000 บาท
30,001 – 40,000 บาท
40,001 – 50,000 บาท
มากกวา 50,000 บาท
3.4 สถานภาพสมรส
โสด สมรส
3.5 ระดับการศึกษา
ตํ่ากวาปริญญาตรี ปริญญาตรี
ปริญญาโท ปริญญาเอก
อื่น ๆ โปรดระบุ______________________________
3.6 อาชีพ
นักเรียน / นักศึกษา
พนักงานบริษัทเอกชน
ขาราชการ / รัฐวิสาหกิจ
เจาของกิจการ
อาชีพอิสระ
อื่น ๆ โปรดระบุ______________________________
ผลของแบบสอบถามพฤติกรรมการบริโภคไอศกรีม
ทางคณะผูจัดทําไดทําการเก็บตัวอยางจํานวน 90 ตัวอยางจากประชากรกลุมเปาหมายระหวางวัน
ที่ 20-22 ตุลาคม 2544 ณ. บริเวณมหาวิทยาลัยธรรมศาสตร,สยามสแควร,เซ็นทรัลพระราม 3 และ
เซ็นทรัลลาดพราว โดยสามารถสรุปขอมูลจากกลุมตัวอยางทั้งหมดไดดังนี้
กราฟที่ 1 ปจจัยที่มีผลตอการตัดสินใจซื้อไอศกรีมของผูบริโภค
จากกราฟจะพบวาปจจัยที่ผูบริโภคใหความสําคัญสูงสุดในการซื้อไอศกรีมไดแกรสชาติ,ความ
สะดวกในการหาซื้อ โดยปจจัยดานการสงเสริมการขายมีผลตอการตัดสินใจบริโภคตํ่าสุด
4
4.76
3.9 3.83 3.76
3.45
0
1
2
3
4
5
รสชาติไอศกรีม ความสะดวกในการหาซื้อ ราคา บริการ บรรยากาศในราน การสงเสริมการขาย
กราฟที่ 2 รูปแบบในการรับประทานไอศกรีม
จากกราฟจะพบวาผูบริโภคจะนิยมรับประทานไอศกรีมที่รานไอศกรีมเปนสัดสวนที่สูงสุด และรอง
ลงมาคือซื้อไอศกรีมแลวเดินรับประทาน
กราฟที่ 3 สถานที่ที่ผูบริโภคนิยมไปรับประทานไอศกรีม
จากกราฟจะพบวาหางสรรพสินคาเปนสถานที่ที่ผูบริโภคนิยมไปรับประทานไอศกรีมมากที่สุด โดย
การรับประทานไอศกรีมที่รานอาหารเปนที่นิยมรองลงมา
อื่น ๆ
9%
รานอาหาร
19%
สถานที่ทองเที่ยว
9% สถานที่ทํางาน
6%
สถาบันการศึกษา
9%
หางสรรพสินคา
48%
นั่งรับประทานที่ราน
อาหาร
6%
ซื้อกลับไปรับ
ประทานที่บาน
6%
ซื้อแลวเดินรับ
ประทานจากราน
23% นั่งรับประทานที่ราน
ไอศกรีม
65%
กราฟที่ 4 กลุมบุคคลที่ผูบริโภคนิยมไปรับประทานดวย
จากกราฟจะพบวาผูบริโภคนิยมไปรับประทานกับเพื่อนมากที่สุด รองลงมาคือการรับประทานคน
เดียว โดยผูบริโภคจะไปรับประทานกับเพื่อนเฉลี่ย 2.94 คนตอครั้ง และการไปรับประทานไอศกรีมของผู
บริโภคมีความถี่ในการรับประทานประมาณ 2.79 ครั้งตอเดือน โดยรับประทานไอศกรีมเฉลี่ยครั้งละ 2.64
กอน
กราฟที่ 5 เหตุผลในการรับประทานไอศกรีม
จากกราฟจะพบวาสาเหตุผูบริโภคไปรับประทานไอศกรีมเนื่องจากมีความตองการรับประทาน
ไอศกรีมเปนหลักและเหตุผลที่รองลงมาคือการพบปะสังสรรค
ครอบครัว
3%
รับประทานคน
เดียว
14%
เพื่อน
อยากรับ
ประทาน
69%
พบปะสังสรรค
16%
คลายรอน
11%
สงเสริมการขาย
4%
กราฟที่ 6 แสดงแนวโนมการยอมรับผลิตภัณฑ
จากกราฟจะพบวาผูบริโภคมีแนวโนมที่จะยอมรับไอศกรีมรสชาติใหมๆ เชน ไอศกรีม
สมุนไพร ดอกไมและผลไม ในสัดสวนคอนขางสูง
ขอมูลทั่วไปเกี่ยวกับผูตอบแบบสอบถาม
กราฟที่ 7 เพศ
ไมซื้อ
21%
ซื้อ
79%
ชาย
55%
หญิง
45%
กราฟที่ 8 อายุ
กราฟที่ 9 รายได
ตํ่ากวา 10,000 บาท
31%
30,000-40,000 บาท
7%
40,000-50,000 บาท
3%
20,000-30,000 บาท
7%
มากกวา 50,000
บาท
3%
10,000-20,000 บาท
49%
ตํ่ากวา 19 ป
10%
26-35 ป
28%
มากกวา 35 ป
7%
19-25 ป
55%
กราฟที่ 10 สถานะภาพ
กราฟที่ 11 การศึกษา
โสด
90%
สมรส
10%
ตํ่ากวาปริญญาตรี
59%
ปริญญาตรี
34%
ปริญญาโท
7%
กราฟที่ 12 อาชีพ
พนักงานบริษัท
เอกชน
80%
นักเรียน/นักศึกษา
10%
ขาราชการ/รัฐ
วิสาหกิจ
3%
เจาของกิจการ
7%
ผลของแบบสอบถาม Blind Test
ทางคณะผูจัดทําไดทําการเก็บตัวอยางจํานวน 15 ตัวอยางจากประชากรกลุมเปาหมาย ในวันที่ 27 ตุลาคม
2544 โดยสามารถสรุปขอมูลจากกลุมตัวอยางทั้งหมดไดดังนี้
กราฟที่ 13 กราฟแสดงความพึงพอใจของผูบริโภคตอไอศกรีมรสชาติตาง ๆ
จากกราฟจะพบวาผูบริโภคมีความพึงพอใจในตัวผลิตภัณฑของเราคอนขางสูงเมื่อเทียบ
กับรสชาติดั้งเดิม
กราฟที่ 14 กราฟแสดงแนวโนมการยอมรับของผูบริโภค
จากกราฟจะพบวาผูบริโภคมีแนวโนมการยอมรับในตัวผลิตภัณฑของเราคอนขางสูง โดย
เฉพาะรสมะขามและนอยหนา
4 3.9
4.2 4.6
3.8
4.3 4.5
4
0
1
2
3
4
5
งาดํา มะขาม สตอเบอรรี เสาวรส นอยหนา วนิลา กระเจี๊ยบ ส ม
73%
87%
73%
80%
60%
27%
13%
27%
20%
40%
0%
20%
40%
60%
80%
100%
งาดํา มะขาม เสาวรส นอยหนา กระเจี๊ยบ
ซื้อ
ไมซื้อ
ขอมูลทั่วไปเกี่ยวกับผูตอบแบบสอบถาม Blind Test
กราฟที่ 15 เพศ
กราฟที่ 16 อายุ
กราฟที่ 17 รายได
ชาย
62%
หญิง
38%
ตํ่ากวา 10,000 บาท
34%
30,001-40,000 บาท
13%
20,001-30,000 บาท
13%
มากกวา 50,000 บาท
7%40,001-50,000 บาท
13%
10,000-20,000 บาท
20%
ตํ่ากวา 19 ป
27%
19-25 ป
46%
26-35 ป
20%
มากกวา 35 ป
7%
กราฟที่ 18 สถานภาพ
กราฟที่ 19 การศึกษา
ปริญญาตรี
50%
ปริญญาโท
18% ตํ่ากวาปริญญาตรี
32%
โสด
67%
สมรส
33%
กราฟที่ 20 อาชีพ
นักเรียน/นักศึกษา
33%
พนักงานเอกชน
46%
ขาราชการ/รัฐวิสาหกิจ
7%
เจาของกิจการ
7%
อาชีพอิสระ
7%
ภาคผนวก
วิเคราะหทางการเงินเมื่อผลการดําเนินงานเปนไปตามคาดการณ
วิเคราะห Ratio Analysis
2002 2003 2004 2005 2006 Swensen 2000
Liquidity Ratio
Current ratio 1.37 1.96 2.12 2.78 3.33 0.72
Quick ratio 0.91 1.51 1.89 2.60 3.15 0.20
Receivable Turnover 3.89 12.69 12.75 13.44 13.38 66.95
Receivable Turnover (Days) 92.43 28.37 28.22 26.78 26.91 5.38
Inventory Turnover 7.73 25.62 25.34 26.06 26.11 9.11
Inventory Turnover (Days) 46.58 14.05 14.21 13.81 13.79 39.52
Profitability Ratio
ROI -0.34 0.35 1.10 1.89 2.35 0.38
ROA -0.29 0.26 0.49 0.50 0.45 0.08
EPS -3.42 3.55 10.98 18.89 23.49 37.96
Gross profit Margin
Kiosk+Wholesale 63.20% 62.81% 60.12% 57.47% 56.36% 62.92%
Kiosk 69.00% 69.00% 69.00% 69.00% 69.00%
Wholesale 37.00% 37.00% 37.00% 37.00% 37.00%
Net Profit Margin -20.99% 5.15% 14.85% 19.46% 20.82% 6.04%
Leverage Ratio
Debt to Equity 0.79 0.49 0.64 0.49 0.39 0.39
Debt to 0.44 0.33 0.39 0.33 0.28 0.28
วิเคราะห Break even analysis ของการขายแบบ Kiosk
Price per Scoope 29.0
Variable Cost
Details of cost per units
COGS 7.8
Promotion gift 1.0
Marginal Cost 8.8
Gross Contribution per unit 20.2
Commission per unit 0.9
Promotion per unit 5.8
Marginal Contribution per unit 13.5
Fixed Cost
Kiosk Fixed Expenses/month 50,500
Total fixed expenses per month 50,500
จํานวน Break-even unit per month 3,732 Scoops
วิเคราะห Break even analysis ของการขายแบบ Wholesale
Price per Scoope 14.0
Variable Cost
Details of cost per units
COGS 7.8
Promotion gift 0
Marginal Cost 7.8
Gross Contribution per unit 6.2
Commission per unit 0
Promotion per unit 1
Marginal Contribution per unit 5.5
Fixed Cost
Kiosk Fixed Expenses/month 185,500
Total fixed expenses per month 185,500
จํานวน Break-even unit per month 33,636 Scoops
ขอสมมุติในการประมาณงบการเงิน (1/2)
2001 2002 2003 2004 2005 2006
Selling Price per scoop Scoop per day CF - 5,000,000 36,871 767,888 5,197,247 8,004,125 7,450,616
Kiosk = 29 150 NI - 5,000,000 -1,707,741 1,773,724 5,492,026 9,446,912 11,746,002
Wholesales = 14 ใหญ = 60 Payback 3 years IRR 46%
กลาง = 35 Discount Payback Period 4 years NPV ฿6,357,067
Sales volume per month
2002 2003 2004 2005 2006
1 2 3 4 5 6 7 8 9 10 11 12 1-3 4-6 7-9 10-12 1-3 4-6 7-9 10-12 1-12 1-12
31 28 31 30 31 30 31 31 30 31 30 31 90 91 92 92 90 91 92 92 360 360
Scoop per kiosk - 4,200 4,650 4,500 4,650 4,500 4,650 4,650 4,500 4,650 4,500 4,650 13,500 13,650 13,800 13,800 13,500 13,650 13,800 13,800 54,000 54,000
Scoop per restaurant ใหญ - 1,680 1,860 1,800 1,860 1,800 1,860 1,860 1,800 1,860 1,800 1,860 5,400 5,460 5,520 5,520 5,400 5,460 5,520 5,520 21,600 21,600
Scoop per restaurant กลาง - 980 1,085 1,050 1,085 1,050 1,085 1,085 1,050 1,085 1,050 1,085 3,150 3,185 3,220 3,220 3,150 3,185 3,220 3,220 12,600 12,600
No. of point of sales
2002 2003 2004 2005 2006
1 2 3 4 5 6 7 8 9 10 11 12 1-3 4-6 7-9 10-12 1-3 4-6 7-9 10-12 1-12 1-12
New kiosk per month - - - - - - 1 2 2 2 - 2 2 3 - - 2 1 - - 1 1
Accu.Kiosk - - - - - 1 2 4 6 8 8 10 12 13 15 15 17 17 18 18 19 20
New shop. Per month ใหญ - - - - - 3 - 3 - 1 2 5 3 2 2 3 7 2 6 5 20 15
Accu. Shop ใหญ - - - - - 3 3 6 6 7 9 14 17 19 21 24 29 33 37 44 58 72
New shop.per month กลาง - - - - - 7 - 7 3 3 3 3 8 6 2 8 15 10 15 10 40 30
Accu. Shop กลาง - - - - - 7 7 14 17 20 23 26 31 36 41 47 60 70 85 99 125 156
Cost
Cost per kg. 120 Bath Miscellaneous expenses 2,500 bath/month
No. of scoop per Kg. 25 Commission on sales 3%
Cost per scoop 4.8 Bath Point of sales promotion 20%
Packaging & other VC. Per scoop Premium gift 1.0 bath/piece
At kiosk 3 Bath PR Cost 5,000 Bath/month
At. Restaurant 2.8 Bath
Kiosk Model
Rental cost per kiosk 35,000 Bath/month
No. of employee 2 person
Salary/month/empleyee 5,000 Bath/month
Uniform clothes subsidized 500 Bath/month
Facilities expenses 5,500 Bath/mont
ขอสมมุติในการประมาณงบการเงิน (2/2)
Depreciation Growth indicators 2003 2004 2005 2006
Accounting: Straight line 5 Yrs. Expenses growth rate 5% 5% 5% 5%
Asset Types Cost/unit No.of unit
หองเย็น 415,000 1 เงินเดือนผูบริหาร 5 Person 20000 Salary/month
ยานพาหนะ 720,000 1 เงินเดือนพนักงาน 5 Person 5000 Salary/month
ดอกเบี้ยรอการตัดจาย-ยานพาหนะ 216,000 คาเชาเครื่องถายเอกสาร 2500 Bath/month
คอมพิวเตอรและ Software 24,300 3 คาเชา office และโรงงาน 25000 Bath/month
Printer 6,750 2 คาเครื่องเขียน 500 Bath/month
เครื่องใชสํานักงาน 6,820 10 คาใชจายในการจัดตั้งบริษัท 15000 Bath
คาตกแตงสํานักงาน 130,000 1 คาใชจายในการจดลิขสิทธิ์ 10000 Bath
คาตกแตง Kiosk 150,000 1 คาใชจาย Promotion(wholesale) 5.0% % on sales
เครื่องจักร 430,000 1 คานํ้ามันรถ 0.5% % on sales
ดอกเบี้ยรอการตัดจาย-เครื่องจักร 129,000 Research & Development 3.0% % on sales
เครื่อง cash register 22,000 1 ดอกเบี้ยจาย Bath
ตูแช (Kiosk) 12,000 2 คา loyalty fee % on sales
ตูแช (รานอาหาร) 12,000 1 คาสาธารณูปโภค 32000 Bath/month
คาใชจายในการพัฒนาProduct เริ่มตน 300,000 1 หนี้สงสัยจะสูญ 0.5% % on sales
Accounting Policy คาใชจายเบ็ดเตล็ด 5000 Bath/month
Account receivable turnover 30 Days
Inventory 15 Days อัตราภาษีเงินไดนิติบุคคล 30.0%
Account payable 30 Days นโยบายตัดคาเสื่อมสินทรัพยแบบเสนตรง 20.0%
Dividend Policy 0.25of Retain Earning อัตราดอกเบี้ยการทํา Hire Purchase 3 ป 10.0%
อัตราดอกเบี้ยในการคิด Discount Rate NP 15.0%
ประมาณการงบกําไรขาดทุน (รายป)
2002 2003 2004 2005 2006
ขาย
Kiosk 5,139,900 21,850,050 27,792,150 29,754,000 31,320,000
Wholesale 2,943,430 13,154,540 25,036,620 39,589,200 49,291,200
รายไดจากการขาย 8,137,330 35,004,590 52,828,770 69,343,200 80,611,200
หัก ตนทุนขาย 2,994,842 13,017,946 21,066,438 29,494,080 35,182,080
กําไรขั้นตน 5,142,488 21,986,644 31,762,332 39,849,120 45,429,120
คาใชจาย
คาใชจายในการขายและบริหาร 6,339,843 18,890,122 22,144,461 24,440,279 26,645,997
ดอกเบี้ยจาย 70,666 158,000 212,000 129,333 72,000
คาเสื่อมราคา 439,720 1,136,520 1,560,120 1,783,920 1,931,120
รวมคาใชจาย 6,850,229 20,184,642 23,916,581 26,353,532 28,649,117
กําไร (ขาดทุน) (1,707,741) 1,802,002 7,845,751 13,495,588 16,780,003
ภาษีเงินไดนิติบุคคล 28,278 2,353,725 4,048,676 5,034,001
กําไร (ขาดทุน) หลังภาษี (1,707,741) 1,773,724 5,492,026 9,446,912 11,746,002
ประมาณการงบกําไรขาดทุน (รายป)
2002 2003 2004 2005 2006
ขาย
Kiosk 5,193,900 21,850,050 27,792,150 29,754,000 31,320,000
Wholesale 2,943,430 13,154,540 25,036,620 39,589,200 49,291,200
รายไดจากการขาย 8,137,330 35,004,590 52,828,770 69,343,200 80,611,200
หัก ตนทุนชาย 2,994,842 13,017,946 21,066,438 29,494,080 35,182,080
กําไรขั้นตน 5,142,488 21,986,644 31,762,332 39,849,120 45,429,120
คาใชจาย Head Office
เงินเดือนผูบริหาร 700,000 1,200,000 1,440,000 1,728,000 2,073,600
เงินเดือนพนักงาน 175,000 315,000 661,500 694,575 729,304
คาเชาเครื่องถายเอกสาร 17,500 30,000 30,000 30,000 30,000
คาเชา office และโรงงาน 175,000 300,000 300,000 300,000 300,000
คาเครื่องเขียน 4,500 6,000 6,000 6,000 6,000
คาใชจายในการจัดตั้งบริษัท 15,000
คาใชจายในการจดลิขสิทธิ์ 10,000
คาใชจาย Promotion (wholesale) 147,172 657,727 1,251,831 1,979,760 2,464,560
คานํ้ามันรถ 40,687 175,023 264,144 346,716 403,056
Research & Development 544,120 1,050,138 1,584,863 2,080,296 2,418,336
ดอกเบี้ยจาย 70,666 158,000 212,000 129,333 72,000
คาเสื่อมราคา 439,720 1,136,520 1,560,120 1,783,920 1,931,120
คาสาธารณูปโภค 251,000 403,200 423,360 444,528 466,754
หนี้สงสัยจะสูญ 14,717 65,773 125,183 197,946 246,456
คาใชจายเบ็ดเตล็ด 35,000 63,000 66,150 69,458 72,930
รวมคาใชจาย head office 2,640,082 5,560,380 7,925,151 9,790,232 11,214,117
คาใชจาย Kiosk
คาเชา 1,365,000 5,775,000 7,350,000 7,980,000 8,400,000
เงินเดือนพนักงาน 390,000 550,000 700,000 190,000 200,000
คาเครื่องแบบพนักงาน 10,000 5,000 3,000 1,000 1,000
คาสาธารณูปโภค 214,500 907,500 1,155,000 1,254,000 1,320,000
คาใชจายเบ็ดเตล็ด 97,500 137,500 175,000 47,500 50,000
เงิน incentive พนักงาน 155,817 655,502 833,765 892,620 939,600
คาใชจาย Promotion 1,038,780 4,370,010 4,724,666 5,058,180 5,324,400
คาใชจายในการโฆษณา 195,000 825,000 1,050,000 1,140,000 1,200,000
คาใชจายในการทําที่คั่นหนังสือ 743,550 1,398,750
รวมคาใชจาย kiosk 4,210,147 14,624,262 15,991,430 16,563,300 17,435,000
รวมคาใชจาย 6,850,229 20,184,642 23,916,581 26,353,532 28,649,117
กําไร (ขาดทุน) (1,707,741) 1,802,002 7,845,751 13,495,588 16,780,003
ภาษีเงินไดนิติบุคคล 28,278 2,353,725 4,048,676 5,034,001
กําไร(ขาดทุน) หลังภาษี (1,707,741) 1,773,724 5,492,026 9,446,912 11,746,002
ประมาณการงบกําไรขาดทุน (รายเดือนในป 2002,รายไตรมาสป 2003-2004,รายป 2005และ2006) 31,762,332
2002 2003 2004 2005 2006
ม.ค.45 ก.พ.45 มี.ค.45 เม.ย.45 พ.ค.45 มิ.ย.45 ก.ค.45 ส.ค.45 ก.ย.45 ต.ค.45 พ.ย.45 ธ.ค.45 Q4 46 Q1 47 Q2 47 Q3 47 Q4 47 48 49
ขาย
Kiosk 0 0 0 0 0 130,500 269,700 539,400 783,000 1,078,800 1,044,000 1,348,500 6,003,000 6,655,500 6,729,450 7,203,600 7,203,600 29,754,000 31,320,000
Wholesale 0 0 0 0 0 178,500 184,450 368,900 401,100 486,080 564,900 759,500 3,973,480 4,838,400 5,643,820 6,691,160 7,863,240 39,589,200 49,291,200
รายไดจากการขาย 0 0 0 0 0 309,000 454,150 908,300 1,184,100 1,564,880 1,608,900 2,108,000 9,976,480 11,493,900 12,373,270 13,894,760 15,066,840 69,343,200 80,611,200
หัก ตนทุนขาย 0 0 0 0 0 132,000 172,670 345,340 428,340 554,032 587,460 775,000 3,771,632 4,416,660 4,873,778 5,569,864 6,206,136 29,494,080 35,182,080
กําไรขั้นตน 0 0 0 0 0 177,000 281,480 562,960 755,760 1,010,848 1,021,440 1,333,000 6,204,848 7,077,240 7,499,492 8,324,896 8,860,704 39,849,120 45,429,120
คาใชจาย Head Office
เงินเดือนผูบริหาร 0 0 0 0 0 100,000 100,000 100,000 100,000 100,000 100,000 100,000 300,000 360,000 360,000 360,000 360,000 1,728,000 2,073,600
เงินเดือนพนักงาน 0 0 0 0 0 25,000 25,000 25,000 25,000 25,000 25,000 25,000 78,750 165,375 165,375 165,375 165,375 694,575 729,304
คาเชาเครื่องถายเอกสาร 0 0 0 0 0 2,500 2,500 2,500 2,500 2,500 2,500 2,500 7,500 7,500 7,500 7,500 7,500 30,000 30,000
คาเชา officeและโรงงาน 0 0 0 0 0 25,000 25,000 25,000 25,000 25,000 25,000 25,000 75,000 75,000 75,000 75,000 75,000 300,000 300,000
คาเครื่องเขียน 1,000 0 0 0 0 500 500 500 500 500 500 500 1,500 1,500 1,500 1,500 1,500 6,000 6,000
คาใชจายในการจัดตั้งบริษัท 15,000 0 0 0 0 0 0 0 0 0 0 0 0 0 0 0 0 0 0
คาใชจายในการจดลิขสิทธิ์ 0 0 0 0 10,000 0 0 0 0 0 0 0 0 0 0 0 0 0 0
คาใชจาย Promotion (wholesale) 0 0 0 0 0 8,925 9,223 18,445 20,555 24,304 28,245 37,975 198,674 241,920 282,191 334,588 393,162 1,979,460 2,464,560
คานํ้ามันรถ 0 0 0 0 0 1,545 2,271 4,542 5,921 7,824 8,045 10,540 49,882 57,470 61,866 69,474 75,334 346,716 403,056
Research&Development 100,000 0 0 200,000 0 9,270 13,625 27,249 35,523 46,946 48,267 63,240 299,294 344,817 371,198 416,843 452,005 2,080,269 2,418,336
ดอกเบี้ยจาย 0 0 0 0 0 9,583 9,583 9,583 9,583 9,583 9,583 13,167 39,500 39,500 57,500 57,500 57,500 129,333 72,000
คาเสื่อมราคา 4,743 4,743 4,743 4,743 30,827 36,093 39,360 47,893 55,027 62,360 70,527 78,660 303,580 369,980 378,380 399,580 412,180 1,783,920 1,931,120
คาสาธารณูปโภค 3,000 3,000 3,000 3,000 15,000 32,000 32,000 32,000 32,000 32,000 32,000 32,000 100,800 105,840 105,840 105,840 105,840 444,528 466,754
หนี้สงสัยจะสูญ 0 0 0 0 0 893 922 1,845 2,006 2,430 2,825 3,798 19,867 24,192 28,219 33,456 39,316 197,946 246,456
คาใชจายเบ็ดเตล็ด 0 0 0 0 0 5,000 5,000 5,000 5,000 5,000 5,000 5,000 15,750 16,538 16,538 16,538 16,538 69,458 72,930
รวมคาใชจาย head office 123,743 7,743 7,743 207,743 55,827 256,309 264,983 299,557 318,114 343,449 357,491 397,379 1,490,098 1,809,631 1,911,107 2,043,163 2,161,250 9,790,232 11,214,117
คาใชจาย Kiosk
คาเชา 0 0 0 0 0 35,000 70,000 140,000 210,000 280,000 280,000 350,000 1,575,000 1,785,000 1,785,000 1,890,000 1,890,000 7,980,000 8,400,000
เงินเดือนพนักงาน 0 0 0 0 0 10,000 20,000 40,000 60,000 80,000 80,000 100,000 150,000 170,000 170,000 180,000 180,000 190,000 200,000
คาเครื่องแบบพนักงาน 0 0 0 0 0 1,000 1,000 2,000 2,000 2,000 0 2,000 0 2,000 1,000 0 0 1,000 1,000
คาสาธารณูปโภค 0 0 0 0 0 5,500 11,000 22,000 33,000 44,000 44,000 55,000 247,500 280,500 280,500 297,000 297,000 1,254,000 1,320,000
คาใชจายเบ็ดเตล็ด 0 0 0 0 0 2,500 5,000 10,000 15,000 20,000 20,000 25,000 37,500 42,500 42,500 45,000 45,000 47,500 50,000
เงิน incentive พนักงาน 0 0 0 0 0 3,915 8,091 16,182 23,490 32,364 31,320 40,455 180,090 199,665 201,884 216,108 216,108 892,620 939,600
คาใชจาย Promotion 0 0 0 0 0 26,100 53,940 107,880 156,600 215,760 208,800 269,700 1,200,600 1,131,435 1,144,007 1,224,612 1,224,612 5,058,180 5,324,400
คาใชจายในการโฆษณา 0 0 0 0 0 5,000 10,000 20,000 30,000 40,000 40,000 50,000 225,000 255,000 255,000 270,000 270,000 1,140,000 1,200,000
คาใชจายในการทําที่คั่นหนังสือ 0 0 0 0 0 45,000 46,500 93,000 103,500 125,550 144,000 186,000 0 0 0 0 0 0 0
รวมคาใชจาย kiosk 0 0 0 0 0 134,015 225,531 451,062 633,590 839,674 848,120 1,078,155 3,615,690 3,866,100 3,879,890 4,122,720 4,122,720 16,563,300 17,435,000
รวมคาใชจาย 123,743 7,743 7,743 207,743 55,827 390,324 490,514 750,619 951,704 1,183,123 1,205,611 1,475,534 5,105,788 5,675,731 5,790,997 6,165,883 6,283,970 26,353,532 28,649,117
กําไร (ขาดทุน) (123,743) (7,743) (7,743) (207,743) (55,827) (213,324) (209,034) (187,659) (195,944) (172,275) (184,171) (142,534) 1,099,060 1,401,509 1,708,495 2,159,013 2,576,734 13,495,588 16,780,003
ภาษีเงินไดนิติบุคคล 0 0 0 0 0 0 0 0 0 0 0 0 28,278 420,453 512,548 647,704 773,020 4,048,676 5,034,001
กําไร (ขาดทุน) หลังภาษี (123,743) (7,743) (7,743) (207,743) (55,827) (213,324) (209,034) (187,659) (195,944) (172,275) (184,171) (142,534) 1,070,781 981,056 1,195,946 1,511,309 1,803,714 9,446,912 11,746,002
ประมาณการงบดุล (รายป)
2002 2003 2004 2005 2006
Assets
Current assets
Cash on hand and in bank 36,871 804,760 6,002,006 14,006,132 21,456,748
Accounts receivable 755,703 1,317,871 2,607,975 3,282,605 4,087,062
Inventory 387,500 628,605 1,034,356 1,228,920 1,465,920
Other current assets 5,000 5,000 5,000 5,000 5,000
Total current assets 1,185,074 2,756,236 9,649,337 18,522,656 27,014,730
Leased Assets 1,983,333 1,825,333 2,549,333 2,420,000 2,348,000
Minus Accumulated depreciation 151,333 378,333 749,333 1,120,333 1,491,333
Net Leased Assets 1,832,000 1,447,000 1,800,000 1,299,667 856,667
Plant, Properties & Equipment 3,139,600 4,491,600 5,943,600 6,619,600 7,355,600
Minus Accumulated depreciation 288,387 1,197,907 2,387,027 3,799,947 5,360,067
PPE-net 2,851,213 3,293,693 3,556,573 2,819,653 1,995,533
Other asset 38,750 38,754 38,758 38,759 38,760
Total assets 5,907,037 7,535,683 15,044,668 22,680,735 29,905,690
Liabilities & Shareholder equity
Current liabilities 5,000 5,000 5,000 5,000 5,000
Account payable 775,000 1,257,211 2,068,712 2,457,840 2,931,840
Accrued expenses 87,000 116,100 134,280 141,544 148,896
Corporate tax payable 0 28,278 2,353,725 4,048,676 5,034,001
Short-Term Loan 0 0 0 0 0
Total current liabilities 867,000 1,406,589 4,561,717 6,653,060 8,119,737
Long term Leasing contract 1,747,778 1,063,111 1,314,444 816,111 317,778
Total Liabilities 2,614,778 2,469,700 5,876,162 7,469,172 8,437,515
Shareholder equity
Issued Common stock
500,000 shares (parvalue of 10 Bath) 5,000,000 5,000,000 5,000,000 5,000,000 5,000,000
Retained earnings (1,707,741) 65,983 4,168,507 10,211,564 16,468,175
Total shareholder’s equity 3,292,259 5,065,983 9,168,507 15,211,564 21,468,175
Total liabilities Shareholder equity 5,907,037 7,535,683 15,044,668 22,680,735 29,905,690
ประมาณการงบดุล (รายเดือนในป 2002,รายไตรมาสป 2003-2004,รายป 2005 และ 2006)
2002 2003 2004 2005 2006
ม.ค 45 ก.พ 45 มี.ค 45 เม.ย 45 พ.ค 45 มิ.ย 45 ก.ค 45 ส.ค 45 ก.ย 45 ต.ค 45 พ.ย 45 ธ.ค 45 Q1 46 Q2 46 Q3 46 Q4 46 Q1 47 Q2 47 Q3 47 Q4 47 48 48
Assets
Current assets
Cash on hand and in bank 4,572,525 4,577,748 5,560,880 4,348,850 3,927,900 3,312,497 2,931,853 2,157,861 1,583,880 987,682 726,621 36,871 50,000 50,000 50,000 804,760 1,641,622 2,835,432 4,117,956 6,002,006 14,006,132 21,456,748
Account receivable 0 0 0 0 0 177,608 183,528 367,056 399,095 483,650 562,076 755,703 879,680 1,014,104 1,151,268 1,317,871 1,604,736 1,871,867 2,219,235 2,607,975 3,282,605 4,087,062
Inventory 0 0 0 0 0 66,000 86,335 172,670 214,170 277,016 293,730 387,500 450,570 507,325 583,157 628,605 736,110 812,296 928,311 1,034,356 1,228,920 1,465,920
Other current assets 5,000 5,000 5,000 5,000 5,000 5,000 5,000 5,000 5,000 5,000 5,000 5,000 5,000 5,000 5,000 5,000 5,000 5,000 5,000 5,000 5,000 5,000
Total current asset 4,577,525 4,582,748 4,565,880 4,353,850 3,932,900 3,561,105 3,206,716 2,702,586 2,202,144 1,753,347 1,587,427 1,185,047 1,385,250 1,576,429 1,789,425 2,756,236 3,987,468 5,524,595 7,270,501 9,649,337 18,522,656 27,014,730
Leased Assets 0 0 0 0 1,495,000 1,485,417 1,475,833 1,466,250 1,456,677 1,447,083 1,996,500 1,983,333 1,943,833 1,904,333 1,864,833 1,825,333 2,721,833 2,664,333 2,606,833 2,549,333 2,420,000 2,348,000
Minus Accumulated depreciation 0 0 0 0 18,917 37,833 56,750 75,667 94,583 113,500 132,417 151,333 208,083 264,833 321,583 378,333 471,083 563,833 656,583 749,333 1,120,333 1,491,333
Net Leased Assets 0 0 0 0 1,476,083 1,447,583 1,419,083 1,390,583 1,362,083 1,333,583 1,864,083 1,832,000 1,735,750 1,639,500 1,543,250 1,447,000 2,250,750 2,100,500 1,950,250 1,800,000 1,299,667 856,667
Plant, Properties & Equipment 284,600 284,600 284,6000 284,600 699,600 1,015,600 1,211,600 1,723,600 2,151,600 2,591,600 2,651,600 3,319,600 3,627,600 3,907,600 4,383,600 4,491,600 5,099,600 5,267,600 5,691,600 5,943,600 6,619,600 7,355,600
Minus Accumulated depreciation 4,743 9,487 14,230 18,973 30,883 48,060 68,503 97,480 133,590 177,033 228,643 288,387 492,017 709,647 951,077 1,197,907 1,475,137 1,760,767 2,067,597 2,387,027 3,799,947 5,360,067
PPE – net 279,857 275,113 270,370 265,627 668,717 967,540 1,143,097 1,626,120 2,018,010 2,414,567 2,422,957 2,851,213 3,135,583 3,197,953 3,432,523 3,293,693 3,624,463 3,506,833 3,624,003 3,556,573 2,819,653 1,995,533
Other asset 26,875 18,652 32,520 41,550 34,500 35,620 38,560 42,650 36,230 39,860 33,620 38,750 38,751 38,752 38,753 38,754 38,755 38,756 38,757 38,758 38,759 38,760
Total asset 4,884,257 4,876,513 4,868,770 4,661,027 6,122,200 3,011,848 5,807,456 5,761,940 5,618,468 5,541,357 5,908,087 5,907,037 6,295,334 6,452,634 6,803,952 7,535,683 9,901,437 11,170,685 12,883,511 15,044,668 22,680,735 29,905,690
Liabilities & Shareholder equity
Current liabilities 5,000 5,000 5,000 5,000 5,000 5,000 5,000 5,000 5,000 5,000 5,000 5,000 5,000 5,000 5,000 5,000 5,000 5,000 5,000 5,000 5,000 5,000
Account payable 0 0 0 0 0 132,000 172,670 345,340 428,340 554,032 587,460 775,000 901,140 1,014,650 1,166,315 1,257,211 1,472,220 1,624,593 1,856,621 2,068,712 2,457,840 2,931,840
Accrued expenses 3,000 3,000 3,000 3,000 15,000 37,500 43,000 54,000 65,000 76,000 76,000 87,000 99,600 105,100 116,100 116,100 128,780 128,780 134,280 134,280 141,544 148,896
Corporate tax payable 0 0 0 0 0 0 0 0 0 0 0 0 0 0 0 28,278 420,453 512,548 647,704 2,353,725 4,048,676 5,034,001
Short-Term Loan 0 0 0 0 0 0 0 574,700 847,275 287,057 0 0 0 0 0 0 0
Total current liabilities 8,000 8,000 8,000 8,000 20,000 174,500 220,670 404,340 498,340 635,032 668,460 867,000 1,580,440 1,972,025 1,574,472 1,406,589 2,026,453 2,270,921 2,643,605 4,561,717 6,653,060 8,119,737
Long term Leasing contract 0 0 0 0 1,495,000 1,453,472 1,411,944 1,370,417 1,328,889 1,287,361 1,804,833 1,747,778 1,576,611 1,405,444 1,234,278 1,063,111 1,827,944 1,656,778 1,485,611 1,314,444 816,111 317,778
Total Liabilities 8,000 8,000 8,000 8,000 1,515,000 1,627,972 1,632,614 1,774,757 1,827,229 1,922,393 2,473,293 2,614,778 3,157,021 3,377,469 2,808,749 2,469,700 3,854,397 3,927,699 4,129,216 5,876,162 7,469,172 8,437,515
Shareholder equity
Issued Common stock
500.000 shares@ 10 Bath 5,000,000 5,000,000 5,000,000 5,000,000 5,000,000 5,000,000 5,000,000 5,000,000 5,000,000 5,000,000 5,000,000 5,000,000 5,000,000 5,000,000 5,000,000 5,000,000 5,000,000 5,000,000 5,000,000 5,000,000 5,000,000 5,000,000
Ratained earning (123,743) (131,487) (139,230) (346,973) (402,800) (616,124) (825,159) (1,012,817) (1,208,761) (1,381,036) (1,565,206) (1,707,741) (1,861,718) (1,924,835) (1,004,798) 65,983 1,047,039 2,242,986 3,754,295 4,168,507 10,211,564 16,488,175
Total shareholder equity 4,876,257 4,868,513 4,860,770 4,653,027 4,597,200 4,383,876 4,174,842 3,987,183 3,791,239 3,618,964 3,434,794 3,292,259 3,138,282 3,075,165 3,665,202 5,065,983 6,047,039 7,242,986 8,754,295 9,168,507 15,211,564 21,468,175
Total liabilities Shareholder equity 4,884,257 4,876,513 4,868,770 4,661,027 6,122,200 3,011,848 5,807,456 5,761,940 5,618,468 5,541,357 5,908,087 5,907,037 6,295,334 6,452,634 6,803,952 7,535,683 9,901,437 11,170,685 12,883,511 15,044,668 22,680,735 29,905,690
ประมาณการงบกําไรสะสม (รายป)
2002 2003 2004 2005 2006
กําไรสะสมตนงวด 0 (1,707,741) 65,983 4,168,507 10,211,564
บวก กําไรสุทธิ (1,707,741) 1,773,724 5,492,026 9,446,912 11,746,002
(1,707,741) 65,983 5,558,009 13,615,418 21,957,566
หักเงินปนผล 0 0 (1,389,502) (3,403,855) (5,489,392)
กําไรสะสมยกไป (1,707,741) 65,983 4,168,507 10,211,564 16,468,175
ประมาณการงบกระแสเงินสด (รายป 2002-2006)
2002 2003 2004 2005 2006
กระแสเงินสดจากกิจกรรมดําเนินงาน
(วิธีทางออม)
กําไรสุทธิ (1,707,741) 1,773,724 5,492,026 9,446,912 11,746,002
รายการปรับกระทบยอดกําไรสุทธิเปนเงินสดได
จาก (ใชไปใน) การดําเนินงาน
คาเสื่อมราคา 439,720 1,136,520 1,560,120 1,783,920 1,931,120
การเปลี่ยนแปลงในสินทรัพยและ
หนี้สินจากการดําเนินงาน
(368,203) (321,063) (884,353) (480,066) (567,458)
เงินสดสุทธิไดจาก (ใชไปใน)กิจกรรมดําเนินงาน (1,636,223) 2,589,181 6,167,793 10,750,766 13,109,665
กระแสเงินสดจากกิจกรรมลงทุน
เงินสดรับ
จากการกูยืม 0 0 0 0 0
จากการขายทรัพยสิน 0 0 0 0 0
เงินสดจาย
เพื่อซื้อสินทรัพย (5,166,683) (1,194,004) (2,176,004) (546,668) (664,001)
เงินสดสุทธิไดจาก (ใชไปใน) กิจกรรมลงทุน (5,166,683) (1,194,004) (2,176,004) (546,668) (664,001)
กระแสเงินสดจากกิจกรรมจัดหาเงิน
เงินสดรับ
จากการออกหุนทุน 5,000,000 0 0 0 0
จากการกอหนี้สิน 1,839,778 0 2,594,960 1,203,882 494,343
เงินสดจาย
เพื่อชําระหนี้ 0 (627,288) 0 0 0
จายเงินปนผล 0 0 (1,389,502) (3,403,855) (5,489,392)
เงินสดสุทธิไดจาก (ใชไปใน) กิจกรรมจัดหาเงิน 6,839,778 (627,288) 1,205,458 (2,199,973) (4,995,048)
เงินสดและรายการเทียบเทาเงินสดสุทธิเพิ่มขึ้น
(ลดลง)
36,871 767,888 5,197,247 8,004,125 7,450,616
บวก เงินสดและรายการเทียบเทาเงินสดตนงวด 0 36,871 804,760 6,002,006 14,006,132
เงินสดและรายการเทียบเทาเงินสดปลายงวด 36,871 804,760 6,002,006 14,006,132 21,456,748
ขอสมมุติในการประมาณงบการเงิน (1/2)
2001 2002 2003 2004 2005 2006
Selling Price per scoop Scoop per day CF - 5,000,000 50,000 0 2,891,334 7,304,043 6,383,307
Kiosk = 29 135 NI - 5,000,000 -1,983,505 440,630 4,346,437 7,396,339 9,391,713
Wholesales = 14 ใหญ = 54 Payback 4 years IRR 34%
กลาง = 32 Discount Payback Period 4 years NPV ฿3,734,190
Sales volume per month
2002 2003 2004 2005 2006
1 2 3 4 5 6 7 8 9 10 11 12 1-3 4-6 7-9 10-12 1-3 4-6 7-9 10-12 1-12 1-12
31 28 31 30 31 30 31 31 30 31 30 31 90 91 92 92 90 91 92 92 360 360
Scoop per kiosk - 3,780 4,185 4,050 4,185 4,050 4,185 4,185 4,050 4,185 4,050 4,185 12,150 12,285 12,420 12,420 12,150 12,285 12,420 12,420 48,600 48,600
Scoop per restaurant ใหญ - 1,512 1,674 1,620 1,674 1,620 1,674 1,674 1,620 1,674 1,620 1,674 4,860 4,914 4,968 4,968 4,860 4,914 4,968 4,968 19,440 19,440
Scoop per restaurant กลาง - 882 977 945 977 945 977 977 945 977 945 977 2,835 2,867 2,898 2,898 2,835 2,867 2,898 2,898 11,340 11,340
No. of point of sales
2002 2003 2004 2005 2006
1 2 3 4 5 6 7 8 9 10 11 12 1-3 4-6 7-9 10-12 1-3 4-6 7-9 10-12 1-12 1-12
New kiosk per month - - - - - 1 1 2 2 2 - 2 2 3 - - 2 1 - - 1 1
Accu.Kiosk - - - - - 1 2 4 6 8 8 10 12 13 15 15 17 17 18 18 19 20
New shop. Per month ใหญ - - - - - 3 - 3 - 1 2 5 3 2 2 3 7 2 6 5 20 15
Accu. Shop ใหญ - - - - - 3 3 6 6 7 9 14 17 19 21 24 29 33 37 44 58 72
New shop.per month กลาง - - - - - 7 - 7 3 3 3 3 8 6 2 8 15 10 15 10 40 30
Accu. Shop กลาง - - - - - 7 7 14 17 20 23 26 31 36 41 47 60 70 85 99 125 156
Cost
Cost per kg. 120 Bath Miscellaneous expenses 2,500 bath/month
No. of scoop per Kg. 25 Commission on sales 3%
Cost per scoop 4.8 Bath Point of sales promotion 20%
Packaging & other VC. Per scoop Premium gift 1.0 bath/piece
At kiosk 3 Bath PR Cost 5,000 Bath/month
At. Restaurant 2.8 Bath
Kiosk Model
Rental cost per kiosk 35,000 Bath/month
No. of employee 2 person
Salary/month/empleyee 5,000 Bath/month
Uniform clothes subsidized 500 Bath/month
Facilities expenses 5,500 Bath/mont
สัดสวนผูถือหุน
No.share Amount percent
นายฉัตรไชย เชี่ยวชาญพาณิช 200,000 2,000,000 40%
นายถาวร สุขศรีสราญจิตร 75,000 750,000 15%
นายสุวิทย ลีลานันทกิจ 75,000 750,000 15%
นายวิทยา จารุพงศโสภณ 75,000 750,000 15%
Other shareholder* 75,000 750,000 15%
TOTAL 500,000 5,000,000 100%
* หุน 15% จัดสรรไวสําหรับบุคคลที่มีประสบการณดานรานอาหารและไอศกรีมซึ่งจะเขามาเปนผูถือหุนของ
บริษัท
ในกรณีที่บริษัทไมสามารถหาบุคคลดังกลาวได หุนจํานวนดังกลาวจะถูกจัดสรรไปให นายถาวร
นายสุวิทย และนายวิทยา คนละ 5%
ภาคผนวก
วิเคราะหทางการเงินเมื่อยอดขายลดลง 10% กวาที่คาดการณ
วิเคราะห Ratio Analysis
2002 2003 2004 2005 2006 Swensen2000
Liquidity Ratio
Current ratio 1.04 0.87 1.94 2.59 3.17 0.72
Quick ratio 0.70 0.60 1.65 2.39 2.98 0.20
Receivable Turnover 3.89 12.69 12.75 13.44 13.38 66.95
Receivable Turnover(Days) 92.43 28.37 28.22 26.78 26.91 5.38
Inventory Turnover 7.73 25.62 25.34 26.06 26.11 9.11
Inventory Turnover (Days) 46.58 14.05 14.21 13.81 13.79 39.52
Profitability Ratio
ROI -0.40 0.09 0.87 1.48 1.88 0.38
ROA -0.34 0.07 0.48 0.49 0.44 0.08
EPS -3.97 0.88 8.69 14.79 18.78 37.96
Gross profit Margin
Kiosk+Wholesale 63.20% 62.81% 60.12% 57.47% 56.36% 62.92%
Kiosk 69.00% 69.00% 69.00% 69.00% 69.00%
Wholesale 37.00% 37.00% 37.00% 37.00% 37.00%
Net Profit Margin -27.08% 1.40% 11.67% 16.93% 18.49% 6.04%
Leverage Ratio
Debt to Equity 0.92 0.91 0.64 0.52 0.41 0.39
Debt to Total Assets 0.48 0.48 0.39 0.34 0.29 0.28
วิเคราะห Break even analysis ของการขายแบบ Kiosk
Price per Scoope 29.0
Variable Cost
Details of cost per units
COGS 7.8
Promotion gift 1.0
Marginal Cost 8.8
Gross Contribution per unit 20.0
Commission per unit 0.9
Promotion per unit 5.8
Marginal Contribution per unit 13.5
Fixed Cost
Kiosk Fixed Expenses / month 50,500
Total fixed expenses per month 50,500
จํานวน Break-even unit per month 3,732 Scoops
วิเคราะห Break even analysis ของการขายแบบ Wholesale
Price per Scoope 147.0
Variable Cost
Details of cost per units
COGS 7.8
Promotion gift 0
Marginal Cost 7.8
Gross Contribution per unit 6.2
Commission per unit 0
Promotion per unit 1
Marginal Contribution per unit 5.5
Fixed Cost
Kiosk Fixed Expenses / month 185,500
Total fixed expenses per month 185,500
จํานวน Break-even unit per month 33,636 Scoops
ประมาณการงบกระแสเงินสด (รายเดือนในป 2002, รายไตรมาสป 2003-2004, รายป 2005และ 2006)
ม,ค 45 ก,พ 45 มี.ค 45 เม.ย 45 พ.ค 45 มิ.ย 45 ก.ค 45 ส.ค 45 ก.ย 45 ต.ค 45 พ.ย 45 ธ.ค 45 Q1 46 Q2 46 Q3 46 Q4 46 Q1 47 Q2 47 Q3 47 Q4 47 48.00 49.00
กระแสเงินสดจากกิจกรรมดําเนินงาน (วิธีทางออม)
กําไรสุทธิ (123,743) (7,743) (7,743) (207,743) (55,827) (213,324) (209,034 (187,659) (195,944) (172,275) (184,171) (142,534) (153,977) (63,117) 920,037 1,070,781 981,056 1,195,946 1,511,309 1,803,714 9,446,912 11,746,002
รายการปรับกระทบยอดกําไรสุทธิเปนเงินสดไดจาก
(ใชไปใน) การดําเนินงาน
คาเสื่อมราคา 4,743 4,743 4,743 4,743 30,827 36,093 39,360 47,893 55,027 62,360 70,527 78,660 260,380 274,380 298,180 303,580 369,980 378,380 399,580 412,180 1,783,920 1,931,120
การเปลี่ยนแปลงในสินทรัพยและหนี้สินจากการ
ดําเนินงาน
0 0 0 0 0 (111,608) 14,415 (97,193) 9,461 (21,709) (61,712) (99,857) (60,907) (77,670) (61,332) (121,155) (179,360) (190,945) (231,353) (282,695) (480,066) (567,458)
เงินสดสุทธิไดจาก (ใชไปใน) กิจกรรมดําเนินงาน (119,000) (3,000) (3,000) (203,000) (25,000) (288,838) (155,260) (236,958) (131,456) (131,624) (175,356) (163,731) 45,496 133,593 1,156,885 1,253,207 1,171,676 1,383,382 1,679,536 1,933,139 10,750,766 13,109,665
กระแสเงินสดจากกิจกรรมลงทุน
เงินสดรับ
จากการกูยืม 0 0 0 0 0 0 0 0 0 0 0 0 574,700 272,575 (560,218) (287,057) 0 0 0 0 0 0
จากการขายทรัพยสิน 0 0 0 0 0 0 0 0 0 0 0 0 0 0 0 0 0 0 0 0 0 0
เงินสดจาย (316,475) 8,223 (13,868) (9,030) (1,902,950) (307,537) (189,357) (506,507) (411,997) (434,047) (603,177) (479,963) (448,501) (240,501) (436,501) (68,501) (1,504,501) (110,501) (366,501) (194,501) (546,668) (664,001)
เพื่อซื้อสินทรัพย (316,475) 8,223 (13,868) (9,030) (1,902,950) (307,537) (189,357) (506,507) (411,997) (434,047) (603,177) (227,890) 358,500 301,313 (595,650) (696,790) (1,879,803) (548,649) (366,501) (194,501) (546,668) (664,001)
เงินสดสุทธิไดจาก (ใชไปใน)กิจกรรมลงทุน
กระแสเงินสดจากกิจกรรมจัดหาเงิน
เงินสดรับ
จากการออกหุนทุน 5,000,000 0 0 0 0 0 0 0 0 0 0 0 0 0 0 0 0 0 0 0 0 0
จากการกอหนี้สิน 8,000 0 0 0 1,507,000 0 0 0 0 0 517,472 0 0 0 0 0 1,169,688 0 0 1,534,855 1,203,882 494,343
เงินสดจาย
เพื่อชําระหนี้ 0 0 0 0 0 (19,028) (36,028) (30,526) (30,528) (30,528) 0 (46,056) (158,567) (165,667) (160,167) (142,888) 0 (79,071) (30,511) 0 0 0
จายเงินปนผล 0 0 0 0 0 0 0 0 0 0 0 0 0 0 0 0 0 0 0 (1,389,502) (3,403,855) (5,489,392)
เงินสดสุทธิไดจาก (ใชไปใน)กิจกรรมจัดหาเงิน 5,008,000 0 0 0 1,507,000 (19,028) (36,028) (30,528) (30,528) (30,528) 517,472 (46,056) (158,567) (165,667) (160,167) (142,888) 1,169,688 (79,071) (30,511) 145,352 (2,199,973) (4,995,048)
เงินสดและรายการเทียบเทาเงินสดสุทธิเพิ่มขึ้น
(ลดลง)
4,572,525 5,223 (16,868) (212,030) (420,950) (615,403) (380,644) (773,993) (573,981) (569,198) (261,060) (689,750) 13,128 1 (1) 754,760 836,862 1,193,810 1,282,524 1,884,051 8,004,125 7,450,616
บวก เงินสดและรายการเทียบเทาเงินสดตนงวด 0 4,572,525 5,77,748 4,560,880 4,348,850 3,927,900 3,312,497 2,931,853 2,157,861 1,583,880 987,682 726,621 36,871 50,000 50,000 50,000 804,760 1,641,622 2,835,432 4,117,956 6,002,006 14,006,132
เงินสดและรายการเทียบเทาเงินสดปลายงวด 4,572,525 4,577,748 4,560,880 4,348,850 3,927,300 3,312,497 2,931,853 2,157,861 1,583,880 987,682 726,621 36,871 50,000 50,000 50,000 804,760 1,641,622 2,835,432 4,117,956 6,002,006 14,006,132 21,456,748
ขอสมมุติในการประมาณงบการเงิน (2/2)
Depreciation Growth indicators 2003 2004 2005 2006
Accounting: Straight line 5 Yrs. Expenses growth rate 5% 5% 5% 5%
Asset Types Cost/unit No.of unit
หองเย็น 415,000 1 เงินเดือนผูบริหาร 5 Person 20000 Salary/month
ยานพาหนะ 720,000 1 เงินเดือนพนักงาน 5 Person 5000 Salary/month
ดอกเบี้ยรอการตัดจาย-ยานพาหนะ 216,000 คาเชาเครื่องถายเอกสาร 2500 Bath/month
คอมพิวเตอรและ Software 24,300 3 คาเชา office และโรงงาน 25000 Bath/month
Printer 6,750 2 คาเครื่องเขียน 500 Bath/month
เครื่องใชสํานักงาน 6,820 10 คาใชจายในการจัดตั้งบริษัท 15000 Bath
คาตกแตงสํานักงาน 130,000 1 คาใชจายในการจดลิขสิทธิ์ 10000 Bath
คาตกแตง Kiosk 150,000 1 คาใชจาย Promotion(wholesale) 5.0% % on sales
เครื่องจักร 430,000 1 คานํ้ามันรถ 0.5% % on sales
ดอกเบี้ยรอการตัดจาย-เครื่องจักร 129,000 Research & Development 3.0% % on sales
เครื่อง cash register 22,000 1 ดอกเบี้ยจาย Bath
ตูแช (Kiosk) 12,000 2 คา loyalty fee % on sales
ตูแช (รานอาหาร) 12,000 1 คาสาธารณูปโภค 32000 Bath/month
คาใชจายในการพัฒนาProduct เริ่มตน 300,000 1 หนี้สงสัยจะสูญ 0.5% % on sales
Accounting Policy คาใชจายเบ็ดเตล็ด 5000 Bath/month
Account receivable turnover 30 Days
Inventory 15 Days อัตราภาษีเงินไดนิติบุคคล 30.0%
Account payable 30 Days นโยบายตัดคาเสื่อมสินทรัพยแบบเสนตรง 20.0%
Dividend Policy 0.25of Retain Earning อัตราดอกเบี้ยการทํา Hire Purchase 3 ป 10.0%
อัตราดอกเบี้ยในการคิด Discount Rate NP 15.0%
ประมาณการงบกําไรขาดทุน (รายป)
2002 2003 2004 2005 2006
ขาย
Kiosk 4,674,510 19,665,045 25,012,935 26,778,600 28,188,000
Wholesale 2,649,087 11,839,086 22,532,958 35,630,280 44,362,080
รายไดจากการขาย 7,323,597 31,504,131 47,545,893 62,408,880 72,550,080
หัก ตนทุนขาย 2,695,358 11,716,151 18,959,794 26,544,672 31,663,872
กําไรขั้นตน 4,628,239 19,787,980 28,586,099 35,864,208 40,886,208
คาใชจาย
คาใชจายในการขายและบริหาร 6,101,358 18,052,830 21,266,016 23,384,757 25,466,356
ดอกเบี้ยจาย 70,666 158,000 212,000 129,333 72,000
คาเสื่อมราคา 439,720 1,136,520 1,560,120 1,783,920 1,931,120
รวมคาใชจาย 6,611,745 19,347,350 23,038,136 25,298,010 27,469,476
กําไร (ขาดทุน) (1,983,505) 440,630 5,547,963 10,566,198 13,416,732
ภาษีเงินไดนิติบุคคล 0 0 1,201,526 3,169,859 4,025,020
กําไร(ขาดทุน)หลังภาษี (1,983,505) 440,630 4,346,437 7,396,339 9,391,713
ประมาณการงบกําไรขาดทุน (รายป)
2002 2003 2004 2005 2006
ขาย
Kiosk 4,674,510 19,665,045 25,012,935 26,778,600 28,188,000
Wholesale 2,649,087 11,839,086 22,532,958 35,630,280 44,362,080
รายไดจากการขาย 7,323,597 31,504,131 47,545,893 62,408,880 72,550,080
หัก ตนทุนชาย 2,695,358 11,716,151 18,959,794 26,544,672 31,663,872
กําไรขั้นตน 4,628,239 19,787,980 28,586,099 35,864,208 40,886,208
คาใชจาย Head Office
เงินเดือนผูบริหาร 700,000 1,200,000 1,440,000 1,728,000 2,073,600
เงินเดือนพนักงาน 175,000 315,000 661,500 694,575 729,304
คาเชาเครื่องถายเอกสาร 17,500 30,000 30,000 30,000 30,000
คาเชา office และโรงงาน 175,000 300,000 300,000 300,000 300,000
คาเครื่องเขียน 4,500 6,000 6,000 6,000 6,000
คาใชจายในการจัดตั้งบริษัท 15,000 0 0 0 0
คาใชจายในการจดลิขสิทธิ์ 10,000 0 0 0 0
คาใชจาย Promotion (wholesale) 132,454 591,954 1,126,648 1,781,514 2,218,104
คานํ้ามันรถ 36,618 157,521 237,729 312,044 362,750
Research & Development 519,708 945,124 1,426,377 1,872,266 2,176,502
ดอกเบี้ยจาย 70,666 158,000 212,000 129,333 72,000
คาเสื่อมราคา 439,720 1,136,520 1,560,120 1,783,920 1,931,120
คาสาธารณูปโภค 251,000 403,200 423,360 444,528 466,754
หนี้สงสัยจะสูญ 13,245 59,195 112,665 178,151 221,810
คาใชจายเบ็ดเตล็ด 35,000 63,000 66,150 69,458 72,930
รวมคาใชจาย head office 2,595,412 5,365,514 7,602,549 9,329,790 10,660,876
คาใชจาย Kiosk
คาเชา 1,365,000 5,775,000 7,350,000 7,980,000 8,400,000
เงินเดือนพนักงาน 390,000 550,000 700,000 190,000 200,000
คาเครื่องแบบพนักงาน 10,000 5,000 3,000 1,000 1,000
คาสาธารณูปโภค 214,500 907,500 1,155,000 1,254,000 1,320,000
คาใชจายเบ็ดเตล็ด 97,500 137,500 175,000 47,500 50,000
เงิน incentive พนักงาน 140,235 589,951 750,388 803,358 845,640
คาใชจาย Promotion 934,902 3,933,009 4,252,199 4,552,362 4,791,960
คาใชจายในการโฆษณา 195,000 825,000 1,050,000 1,140,000 1,200,000
คาใชจายในการทําที่คั่นหนังสือ 669,195 1,258,875 0 0 0
รวมคาใชจาย kiosk 4,016,332 13,981,835 15,435,587 15,968,220 16,808,600
รวมคาใชจาย 6,611,744 19,347,350 23,038,136 25,298,010 27,469,476
กําไร (ขาดทุน) (1,983,505) 440,630 5,547,963 10,566,198 13,416,732
ภาษีเงินไดนิติบุคคล 0 0 1,201,526 3,169,859 4,025,020
กําไร(ขาดทุน) หลังภาษี (1,983,505) 440,630 4,346,437 7,396,339 9,391,713
ประมาณการงบกําไรขาดทุน (รายเดือนในป 2002,รายไตรมาสป 2003-2004,รายป 2005และ2006) หนา 107
2002 2003
ม.ค.45 ก.พ.45 มี.ค.45 เม.ย.45 พ.ค.45 มิ.ย.45 ก.ค.45 ส.ค.45 ก.ย.45 ต.ค.45 พ.ย.45 ธ.ค.45 Q4 46 Q1 47
ขาย
Kiosk 0 0 0 0 0 117,450 242,730 485,460 704,700 970,920 939,600 1,213,650 5,402,700 5,989,950
Wholesale 0 0 0 0 0 160,650 166,005 332,010 360,990 437,472 508,410 683,550 3,576,132 4,354,560
รายไดจากการขาย 0 0 0 0 0 278,100 408,735 817,470 1,065,690 1,408,392 1,448,010 1,897,200 8,978,832 10,344,510
หัก ตนทุนขาย 0 0 0 0 0 118,800 155,403 310,806 385,506 498,629 528,714 697,500 3,394,469 3,974,994
กําไรขั้นตน 0 0 0 0 0 159,300 253,332 506,664 680,184 909,763 919,296 1,199,700 5,584,363 6,369,516
คาใชจาย Head Office
เงินเดือนผูบริหาร 0 0 0 0 0 100,000 100,000 100,000 100,000 100,000 100,000 100,000 300,000 360,000
เงินเดือนพนักงาน 0 0 0 0 0 25,000 25,000 25,000 25,000 25,000 25,000 25,000 78,750 165,375
คาเชาเครื่องถายเอกสาร 0 0 0 0 0 2,500 2,500 2,500 2,500 2,500 2,500 2,500 7,500 7,500
คาเชา officeและโรงงาน 0 0 0 0 0 25,000 25,000 25,000 25,000 25,000 25,000 25,000 75,000 75,000
คาเครื่องเขียน 1,000 0 0 0 0 500 500 500 500 500 500 500 1,500 1,500
คาใชจายในการจัดตั้งบริษัท 15,000 0 0 0 0 0 0 0 0 0 0 0 0 0
คาใชจายในการจดลิขสิทธิ์ 0 0 0 0 10,000 0 0 0 0 0 0 0 0 0
คาใชจาย Promotion (wholesale) 0 0 0 0 0 8,033 8,300 16,601 18,050 21,874 25,421 34,178 178,807 217,728
คานํ้ามันรถ 0 0 0 0 0 1,391 2,044 4,087 5,328 7,042 7,240 9,486 44,894 51,723
Research&Development 100,000 0 0 200,000 0 8,343 12,262 24,524 31,971 42,252 43,440 56,916 269,365 310,335
ดอกเบี้ยจาย 0 0 0 0 0 9,583 9,583 9,583 9,583 9,583 9,583 13,167 39,500 39,500
คาเสื่อมราคา 4,743 4,743 4,743 4,743 30,827 36,093 39,360 47,893 55,027 62,360 70,527 78,660 303,580 369,980
คาสาธารณูปโภค 3,000 3,000 3,000 3,000 15,000 32,000 32,000 32,000 32,000 32,000 32,000 32,000 100,800 105,840
หนี้สงสัยจะสูญ 0 0 0 0 0 893 922 1,845 2,006 2,430 2,825 3,798 19,867 24,192
คาใชจายเบ็ดเตล็ด 0 0 0 0 0 5,000 5,000 5,000 5,000 5,000 5,000 5,000 15,750 16,538
รวมคาใชจาย head office 123,743 7,743 7,743 207,743 55,827 256,309 264,983 299,557 318,114 343,449 357,491 397,379 1,490,098 1,809,631
คาใชจาย Kiosk
คาเชา 0 0 0 0 0 35,000 70,000 140,000 210,000 280,000 280,000 350,000 1,575,000 1,785,000
เงินเดือนพนักงาน 0 0 0 0 0 10,000 20,000 40,000 60,000 80,000 80,000 100,000 150,000 170,000
คาเครื่องแบบพนักงาน 0 0 0 0 0 1,000 1,000 2,000 2,000 2,000 0 2,000 0 2,000
คาสาธารณูปโภค 0 0 0 0 0 5,500 11,000 22,000 33,000 44,000 44,000 55,000 247,500 280,500
คาใชจายเบ็ดเตล็ด 0 0 0 0 0 2,500 5,000 10,000 15,000 20,000 20,000 25,000 37,500 42,500
เงิน incentive พนักงาน 0 0 0 0 0 3,524 7,282 14,564 21,141 29,128 28,188 36,410 162,081 179,699
คาใชจาย Promotion 0 0 0 0 0 23,490 48,546 97,092 140,940 194,184 187,920 242,730 1,080,540 1,018,292
คาใชจายในการโฆษณา 0 0 0 0 0 5,000 10,000 20,000 30,000 40,000 40,000 50,000 225,000 255,000
คาใชจายในการทําที่คั่นหนังสือ 0 0 0 0 0 40,000 41,500 83,700 93,150 112,995 129,600 167,400 0 0
รวมคาใชจาย kiosk 0 0 0 0 0 126,514 214,678 429,356 605,231 802,307 809,708 1,028,540 3,477,621 3,732,990
รวมคาใชจาย 123,743 7,743 7,743 207,743 55,827 380,759 477,057 723,704 916,995 1,137,605 1,158,461 1,414,363 4,910,947 5,475,781
กําไร (ขาดทุน) (123,743) (7,743) (7,743) (207,743) (55,827) (221,459) (223,725) (217,040) (236,811) (227,841) (239,165) (214,663) 673,416 893,735
ภาษีเงินไดนิติบุคคล 0 0 0 0 0 0 0 0 0 0 0 0 28,278 420,453
กําไร (ขาดทุน) หลังภาษี (123,743) (7,743) (7,743) (207,743) (55,827) (221,459) (223,725) (217,040) (236,811) (227,841) (239,165) (214,663) 673,416 893,735
ประมาณการงบดุล (รายป)
2002 2003 2004 2005 2006
Assets
Current assets
Cash on hand and in bank 50,000 50,000 2,941,334 10,245,377 16,628,683
Accounts receivable 680,132 1,186,084 2,347,177 2,954,344 3,678,356
Inventory 387,500 628,605 1,034,356 1,228,920 1,465,920
Other current assets 5,000 5,000 5,000 5,000 5,000
Total current assets 1,083,882 1,806,829 6,224,431 14,310,749 21,631,367
Leased Assets 1,983,333 1,825,333 2,549,333 2,420,000 2,348,000
Minus Accumulated depreciation 151,333 378,333 749,333 1,120,333 1,491,333
Net Leased Assets 1,832,000 1,447,000 1,800,000 1,299,667 856,667
Plant, Properties & Equipment 3,139,600 4,491,600 5,943,600 6,619,600 7,355,600
Minus Accumulated depreciation 288,387 1,197,907 2,387,027 3,799,947 5,360,067
PPE-net 2,851,213 3,293,693 3,556,573 2,819,653 1,995,533
Other asset 38,750 38,754 38,758 38,759 38,760
Total assets 5,805,846 6,586,276 11,619,763 18,468,828 24,522,327
Liabilities & Shareholder equity
Current liabilities 5,000 5,000 5,000 5,000 5,000
Account payable 697,500 1,131,490 1,861,841 2,212,056 2,638,656
Accrued expenses 87,000 116,100 134,280 141,544 148,896
Corporate tax payable 0 0 1,201,526 3,169,859 4,025,020
Short-Term Loan 252,073 813,450 0 0 0
Total current liabilities 1,041,573 2,066,040 3,202,647 5,528,459 6,817,572
Long term Leasing contract 1,747,778 1,063,111 1,314,444 816,111 317,778
Total Liabilities 2,789,351 3,129,151 4,517,092 6,344,571 7,135,350
Shareholder equity
Issued Common stock
500,000 shares (parvalue of 10 Bath) 5,000,000 5,000,000 5,000,000 5,000,000 5,000,000
Retained earnings (1,983,505) (1,542,875) 2,102,671 7,124,257 12,386,977
Total shareholder’s equity 3,016,495 3,457,125 7,102,671 12,124,257 17,386,977
Total liabilities Shareholder equity 5,805,846 6,586,276 11,619,763 18,468,828 24,522,327
ประมาณการงบดุล (รายเดือนในป 2002,รายไตรมาสป 2003-2004,รายป 2005 และ 2006) หนา 109
2002 2003 2004 2005 2006
ม.ค 45 ก.พ 45 มี.ค 45 เม.ย 45 พ.ค 45 มิ.ย 45 ก.ค 45 ส.ค 45 ก.ย 45 ต.ค 45 พ.ย 45 ธ.ค 45 Q1 46 Q2 46 Q3 46 Q4 46 Q1 47 Q2 47 Q3 47 Q4 47 48 49
Assets
Current assets
Cash on hand and in bank 4,572,525 4,577,748 4,560,880 4,348,850 3,927,900 3,315,523 2,918,746 2,125,091 1,509,298 859,704 549,821 50,000 50,000 50,000 50,000 50,000 50,000 704,197 1,763,917 2,941,334 10,245,377 16,628,683
Account receivable 0 0 0 0 0 159,847 165,175 330,350 359,185 435,285 505,868 680,132 791,712 912,694 1,036,141 1,186,084 1,444,262 1,684,680 1,997,311 2,347,177 2,954,344 3,678,356
Inventory 0 0 0 0 0 59,400 77,702 155,403 192,753 249,314 264,357 348,750 450,513 456,593 524,842 565,745 662,499 731,067 835,480 930,920 1,106,028 1,319,328
Other current assets 5,000 5,000 5,000 5,000 5,000 5,000 5,000 5,000 5,000 5,000 5,000 5,000 5,000 5,000 5,000 5,000 5,000 5,000 5,000 5,000 5,000 5,000
Total current asset 4,577,525 4,582,748 4,565,880 4,353,850 3,932,900 3,539,769 3,166,623 2,615,844 2,066,236 1,549,303 1,325,046 1,083,882 1,252,225 1,424,286 1,615,983 1,806,829 2,161,761 3,124,944 4,601,708 6,224,431 14,310,759 21,631,367
Leased Assets 0 0 0 0 1,495,000 1,485,417 1,475,833 1,466,250 1,456,677 1,447,083 1,996,500 1,983,333 1,943,833 1,904,333 1,864,833 1,825,333 2,721,833 2,664,333 2,606,833 2,549,333 2,420,000 2,348,000
Minus Accumulated depreciation 0 0 0 0 18,917 37,833 56,750 75,667 94,583 113,500 132,417 151,333 208,083 264,833 321,583 378,333 471,083 563,833 656,583 749,333 1,120,333 1,491,333
Net Leased Assets 0 0 0 0 1,476,083 1,447,583 1,419,083 1,390,583 1,362,083 1,333,583 1,864,083 1,832,000 1,735,750 1,639,500 1,543,250 1,447,000 2,250,750 2,100,500 1,950,250 1,800,000 1,299,667 856,667
Plant, Properties & Equipment 284,600 284,600 284,600 284,600 699,600 1,015,600 1,211,600 1,723,600 2,151,600 2,591,600 2,651,600 3,139,600 3,627,600 3,907,600 4,383,600 4,491,600 5,099,600 5,267,600 5,691,600 5,943,600 6,619,600 7,355,600
Minus Accumulated depreciation 4,743 9,487 14,230 18,973 30,883 48,060 68,503 97,480 133,590 177,033 228,643 288,387 492,017 709,647 951,077 1,197,907 1,475,137 1,760,767 2,067,597 2,387,027 3,799,947 5,360,067
PPE – net 279,857 275,113 270,370 265,627 668,717 967,540 1,143,097 1,626,120 2,018,010 2,414,567 2,422,957 2,851,213 3,135,583 3,197,953 3,432,523 3,293,693 3,624,463 3,506,833 3,624,003 3,556,573 2,819,653 1,995,533
Asset on Leasing contract
Loyalty –net 0 0 0 0 0 0 0 0 0 0 0 0 0 0 0 0 0 0 0 0 0 0
Other asset 26,875 18,652 32,520 41,550 34,500 35,620 38,560 42,650 36,230 39,860 33,620 38,750 38,751 38,752 38,753 38,754 38,755 38,756 38,757 38,758 38,759 38,760
Total asset 4,884,257 4,876,513 4,868,770 4,661,027 6,122,200 5,990,513 5,767,363 5,675,198 5,485,559 5,337,313 5,645,706 5,805,846 6,162,309 6,300,491 6,630,509 6,586,276 8,075,730 8,771,033 10,214,718 11,619,763 18,468,828 24,522,327
Liabilities & Shareholder equity
Current liabilities 5,000 5,000 5,000 5,000 5,000 5,000 5,000 5,000 5,000 5,000 5,000 5,000 5,000 5,000 5,000 5,000 5,000 5,000 5,000 5,000 5,000 5,000
Account payable 0 0 0 0 0 118,000 155,403 310,806 385,506 498,629 528,714 697,500 811,026 913,185 1,049,683 1,131,490 1,324,998 1,462,133 1,670,959 1,861,841 2,212,056 2,638,656
Accrued expenses 3,000 3,000 3,000 3,000 15,000 37,500 43,000 54,000 65,000 76,000 76,000 87,000 99,600 105,100 116,100 116,100 128,780 128,780 134,280 134,280 141,544 148,896
Corporate tax payable 0 0 0 0 0 0 0 0 0 0 0 0 0 0 0 0 0 155,503 466,809 1,201,526 3,169,859 4,025,020
Short-Term Loan 0 0 0 0 0 0 0 0 252,073 1,059,074 1,600,888 1,441,739 813,450 438,148 0 0 0 0 0
Total current liabilities 8,000 8,000 8,000 8,000 20,000 161,300 203,403 369,806 455,506 579,629 609,714 1,041,573 1,974,700 2,624,173 2,612,522 2,066,040 1,896,926 1,751,416 2,277,084 3,202,647 5,528,459 6,817,572
Long term Leasing contract 0 0 0 0 1,495,000 1,453,472 1,411,944 1,370,417 1,328,889 1,287,361 1,804,833 1,747,778 1,576,611 1,405,444 1,234,278 1,063,111 1,827,944 1,656,778 1,485,611 1,314,444 816,111 317,778
Total Liabilities 8,000 8,000 8,000 8,000 1,515,000 1,614,772 1,615,347 1,740,223 1,784,395 1,866,990 2,414,547 2,789,351 3,551,311 4,029,617 3,846,800 3,129,151 3,724,870 3,408,194 3,762,659 4,517,092 6,344,571 7,135,350
Shareholder equity
Issued Common stock
500.000 shares@ 10 Bath 5,000,000 5,000,000 5,000,000 5,000,000 5,000,000 5,000,000 5,000,000 5,000,000 5,000,000 5,000,000 5,000,000 5,000,000 5,000,000 5,000,000 5,000,000 5,000,000 5,000,000 5,000,000 5,000,000 5,000,000 5,000,000 5,000,000
Ratained earning (123,743) (131,487) (139,230) (346,973) (402,800) (624,259) (847,985) (1,065,025) (1,301,836) (1,529,677) (1,768842) (1,983,506) (2,359,002) (2,729,126) (2,216,291) (1,542,875) (549,140) 362,839 1,452,059 2,102,671 7,124,257 12,386,977
Total shareholder equity 4,876,257 4,868,513 4,860,770 4,653,027 4,597,200 4,375,741 4,152,015 3,934,975 3,698,164 3,470,323 3,231158 3,016,495 2,610,998 2,270,874 2,783,709 3,457,125 4,350,860 5,362,839 6,452,059 7,102,671 12,124,257 17,386,977
Total liabilities Shareholder equity 4,884,257 4,876,513 4,868,770 4,661,027 6,122,200 5,990,513 5,767,363 5,675,198 5,482,559 5,337,313 5,645,706 5,805,846 6,162,309 6,300,492 6,630,509 6,586,276 8,075,730 8,771,033 10,214,718 11,619,763 18,468,828 24,522,327
ประมาณการงบกําไรสะสม (รายป)
2002 2003 2004 2005 2006
กําไรสะสมตนงวด 0 (1,983,505) (1,542,875) 2,102,671 7,124,257
บวก กําไรสุทธิ (1,983,505) 440,630 4,346,437 7,396,339 9,391,713
(1,983,505) (1,542,875) 2,803,561 9,499,010 16,515,970
หักเงินปนผล 0 0 (700,890) (2,374,752) (4,128,992)
กําไรสะสมยกไป (1,983,505) (1,542,875) 2,102,671 7,124,257 12,386,977
ประมาณการงบกระแสเงินสด (รายป 2002-2006)
2002 2003 2004 2005 2006
กระแสเงินสดจากกิจกรรมดําเนินงาน (วิธีทางออม)
กําไรสุทธิ (1,983,505) 440,630 4,346,437 7,396,339 9,391,713
รายการปรับกระทบยอดกําไรสุทธิเปนเงินสดไดจาก (ใชไป
ใน) การดําเนินงาน
คาเสื่อมราคา 439,720 1,136,520 1,560,120 1,783,920 1,931,120
การเปลี่ยนแปลงในสินทรัพยและ
หนี้สินจากการดําเนินงาน
(331,382) (288,957) (795,918) (432,059) (510,712)
เงินสดสุทธิไดจาก (ใชไปใน)กิจกรรมดําเนินงาน (1,636,223) 2,589,181 6,167,793 10,750,766 13,109,665
กระแสเงินสดจากกิจกรรมลงทุน
เงินสดรับ
จากการกูยืม 252,073 561,377 0 0 0
จากการขายทรัพยสิน 0 0 0 0 0
เงินสดจาย
เพื่อชําระเงินกู 0 0 (813,450) 0 0
เพื่อซื้อสินทรัพย (5,166,683) (1,194,004) (2,176,004) (546,668) (664,001)
เงินสดสุทธิไดจาก (ใชไปใน) กิจกรรมลงทุน (4,914,610) (632,627) (2,989,454) (546,668) (664,001)
กระแสเงินสดจากกิจกรรมจัดหาเงิน
เงินสดรับ
จากการออกหุนทุน 5,000,000 0 0 0 0
จากการกอหนี้สิน 1,839,778 0 1,471,040 1,477,264 364,179
เงินสดจาย
เพื่อชําระหนี้ 0 (655,567) 0 0 0
จายเงินปนผล 0 0 (700,890) (2,374,752) (4,128,992)
เงินสดสุทธิไดจาก (ใชไปใน) กิจกรรมจัดหาเงิน 6,839,778 (655,567) 770,149 (897,489) (3,764,813)
เงินสดและรายการเทียบเทาเงินสดสุทธิเพิ่มขึ้น(ลดลง) 50,000 (0) 2,891,334 7,304,043 6,383,307
บวก เงินสดและรายการเทียบเทาเงินสดตนงวด 0 50,000 50,000 2,941,334 10,245,377
เงินสดและรายการเทียบเทาเงินสดปลายงวด 50,000 50,000 2,941,334 10,245,377 16,628,683
ประมาณการงบกระแสเงินสด (รายเดือนในป 2002,รายไตรมาสป 2003-2004,รายป 2005 และ 2006)
2002 2003 2004 2005 2006
ม,ค, 45 ก.พ 45 มี.ค 45 เม.ย 45 พ.ค 45 มิ.ย 45 ก.ค 45 ส.ค 45 ก.ย 45 ต,ค 45 พ.ย 45 ธ.ค 45 Q1 46 Q2 46 Q3 46 Q4 46 Q1 47 Q2 47 Q3 47 Q4 47 48.00
กระแสเงินสดจากกิจกรรมดําเนินงาน(วิธีทางออม)
กําไรสุทธิ (123,743) (7.743) (7.743) (207,743) (56,827) (221,459) (223,725) (217,040) (236,811) (227,841) (239,165) (214,663) (405,497) (340,124) 512,835 673,416 893,735 1,011,980 1,089,220 1,351,502 7,396, 339
รายการปรับกระทบยอดกําไรสุทธิเปนเงินสดไดจาก
(ใชไปใน)การดําเนินงาน
คาเสื่อมราคา 4,743 4,743 4,743 4,743 30,827 36,093 39,360 47,893 55,027 62,360 70,527 78,660 260,380 274,380 298,180 303,580 369,980 378,380 399,580 412,180 1,783,290
การเปลี่ยนแปลงในสินทรัพยและหนี้สินจาก
การดําเนินงาน
0 0 0 0 0 (100,447) 12,973 (87,473) 8,515 (19,538) (55,514) (89,871) (54,816) (69,903) (55,199) (109,036) (161,424) (171,850) (208,218) (254,425) (432,059)
เงินสดสุทธิไดจาก (ใชไปใน) กิจกรรมดําเนินงาน (119,000) (3,000) (3,000) (203,000) (25,000) (285,813) (171,392) (256,621) (173,269) (185,020) (224,170) (225,875) (199,934) (135,646) 755,816 867,956 1,102,290 1,218,509 1,280,582 1,509,257 8,748,199
กระแสเงินสดจากกิจกรรมลงทุน
เงินสดรับ
จากการกูยืม 0 0 0 0 0 0 0 0 0 0 0 252,073 807,001 541,814 (159,149) (628,289) -375,302 -438,148 0 0 0
จากการขายทรัพยสิน 0 0 0 0 0 0 0 0 0 0 0 0 0 0 0 0 0 0 0 0 0
เงินสดจาย
เพื่อซื้อสินทรัพย (316,475) 8,223 (13,868) (9,030) (1,902,950) (307,537) (189,357) (506,507) (411,997) (434,047) (603,177) (479,963) (448,501) (240,501) (436,501) (68,501) (1,504,501) (110,501) (366,501) (194,501) (546,668)
เงินสดสุทธิไดจาก (ใชไปใน) กิจกรรมลงทุน (316,475) 8,223 (13,868) (9,030) (1,902,950) (307,537) (189,357) (506,507) (411,997) (434,047) (603,177) (227,890) 358,500 301,313 (595,650) (696,790) (1,879,803) (548,649) (366,501) (194,501) (546,668)
กระแสเงินสดจากกิจกรรมจัดหาเงิน
เงิดสดรับ
จากการออกหุนทุน 5,000,000 0 0 0 0 0 0 0 0 0 0 0 0 0 0 0 0 0 0 0 0
จากการกอหนี้สิน 8,000 0 0 0 1,507,000 0 0 0 0 0 517,472 0 0 0 0 0 777,513 0 0 563,551 1,477,264
เงินสดจาย
เพื่อชําระหนี้ 0 0 0 0 0 (19,028) (36,028) (30,526) (30,528) (30,528) 0 (46,056) (150,567) (165,667) (160,167) (171,167) 0 (15,664) 145,639 0 0
จายเงินปนผล 0 0 0 0 0 0 0 0 0 0 0 0 0 0 0 0 0 0 0 (700,890) (2,374,752)
เงินสดสุทธิไดจาก (ใชไปใน) กิจกรรมจัดหาเงิน 5,008,000 0 0 0 1,507,000 (19,028) (36,028) (30,528) (30,528) (30,528) 517,472 (46,056) (150,567) (165,667) (160,167) (171,167) 777,513 (15,664) 145,639 -137,339 (897,489)
เงินสดและรายการเทียบเทาเงินสดสุทธิเพิ่มขึ้น
(ลดลง)
4,572,525 5,223 (16,868) (212,030) (420,950) (612,377) (396,776) (793,655) (615,793) (695,594) (309,883) (499,821) (0) (0) (0) 1 654,196 1,059,720 1,177,471 7,304,043
บวก เงินสดและรายการเทียบเทาเงินสดตนงวด 0 4,572,525 5,77,748 4,560,880 4,348,850 3,927,300 3,315,523 2,918,746 2,125,091 1,509,298 859,704 549,821 50,000 50,000 50,000 50,000 50,000 50,000 704,197 1,763,917 2,941,334
เงินสดและรายการเทียบเทาเงินสดปลายงวด 4,572,525 4,577,748 4,560,880 4,348,850 3,927,300 3,315,523 2,918,746 2,125,091 1,509,298 859,704 549,821 50,000 50,000 50,000 50,000 50,000 50,000 704,197 1,763,917 2,941,334 10,245,377
สัดสวนผูถือหุน
No.share Amount percent
นายฉัตรไชย เชี่ยวชาญพาณิช 200,000 2,000,000 40%
นายถาวร สุขศรีสราญจิตร 75,000 750,000 15%
นายสุวิทย ลีลานันทกิจ 75,000 750,000 15%
นายวิทยา จารุพงศโสภณ 75,000 750,000 15%
Other shareholder* 75,000 750,000 15%
TOTAL 500,000 5,000,000 100%
* หุน 15% จัดสรรไวสําหรับบุคคลที่มีประสบการณดานรานอาหารและไอศกรีมซึ่งจะเขามาเปนผูถือหุนของ
บริษัท
ในกรณีที่บริษัทไมสามารถหาบุคคลดังกลาวได หุนจํานวนดังกลาวจะถูกจัดสรรไปให นายถาวร
นายสุวิทย และนายวิทยา คนละ 5%
วิเคราะหทางการเงินเมื่อตนทุนเพิ่มขึ้น 15% กวาที่คาดการณ
วิเคราะห Ratio Analysis
2002 2003 2004 2005 2006 Swensen2000
Liquidity Ratio
Current ratio 0.91 0.67 1.67 2.29 2.83 0.72
Quick ratio 0.58 0.44 1.30 2.04 2.58 0.20
Receivable Turnover 3.89 12.69 12.75 13.44 13.38 66.95
Receivable Turnover(Days) 92.43 28.37 28.22 26.78 26.91 5.38
Inventory Turnover 7.73 25.62 25.34 26.06 26.11 9.11
Inventory Turnover (Days) 46.58 14.05 14.21 13.81 13.79 39.52
Profitability Ratio
ROI -0.43 -0.03 0.79 1.27 1.61 0.38
ROA -0.36 -0.02 0.45 0.45 0.40 0.08
EPS -4.31 -0.30 7.94 12.70 16.10 37.96
Gross profit Margin
Kiosk+Wholesale 57.68% 57.23% 54.14% 51.09% 49.81% 62.92%
Kiosk 69.00% 69.00% 69.00% 69.00% 69.00%
Wholesale 37.00% 37.00% 37.00% 37.00% 37.00%
Net Profit Margin -26.51% -0.43% 8.87% 13.08% 14.27% 6.04%
Leverage Ratio
Debt to Equity 1.10 1.55 0.73 0.61 0.48 0.39
Debt to Total Assets 0.52 0.61 0.42 0.38 0.32 0.28
วิเคราะห Break even analysis ของการขายแบบ Kiosk
Price per Scoope 29.0
Variable Cost
Details of cost per units
COGS 9.0
Promotion gift 1.0
Marginal Cost 10.0
Gross Contribution per unit 19.0
Commission per unit 0.9
Promotion per unit 5.8
Marginal Contribution per unit 12.4
Fixed Cost
Kiosk Fixed Expenses / month 50,500
Total fixed expenses per month 50,500
จํานวน Break-even unit per month 4,086 Scoops
วิเคราะห Break even analysis ของการขายแบบ Wholesale
Price per Scoope 14.0
Variable Cost
Details of cost per units
COGS 9.0
Promotion gift 0
Marginal Cost 9.0
Gross Contribution per unit 5.0
Commission per unit 0
Promotion per unit 1
Marginal Contribution per unit 4.3
Fixed Cost
Kiosk Fixed Expenses / month 185,500
Total fixed expenses per month 185,500
จํานวน Break-even unit per month 42,725 Scoops
ขอสมมุติในการประมาณงบการเงิน (1/2)
2001 2002 2003 2004 2005 2006
Selling Price per scoop Scoop per day CF - 5,000,000 50,000 - 1,546,884 6,753,702 5,587,780
Kiosk = 29 150 NI - 5,000,000 - 2,156,967 - 150,690 3,972,347 6,350,033 8,501,884
Wholesales = 14 ใหญ = 60 Payback 4 years IRR 27%
กลาง = 35 Discount Payback Period 5 years NPV ฿2,347,952
Sales volume per month
2002 2003 2004 2005 2006
1 2 3 4 5 6 7 8 9 10 11 12 1-3 4-6 7-9 10-12 1-3 4-6 7-9 10-12 1-12 1-12
31 28 31 30 31 30 31 31 30 31 30 31 90 91 92 92 90 91 92 92 360 360
Scoop per kiosk - 4,200 4,650 4,500 4,650 4,500 4,650 4,650 4,500 4,650 4,500 4,650 13,500 13,650 13,800 13,800 13,500 13,650 13,800 13,800 54,000 54,000
Scoop per restaurant ใหญ - 1,680 1,860 1,800 1,860 1,800 1,860 1,860 1,800 1,860 1,800 1,860 5,400 5,460 5,520 5,520 5,400 5,460 5,520 5,520 21,600 21,600
Scoop per restaurant กลาง - 980 1,085 1,050 1,085 1,050 1,085 1,085 1,050 1,085 1,050 1,085 3,150 3,185 3,220 3,220 3,150 3,185 3,220 3,220 12,600 12,600
No. of point of sales
2002 2003 2004 2005 2006
1 2 3 4 5 6 7 8 9 10 11 12 1-3 4-6 7-9 10-12 1-3 4-6 7-9 10-12 1-12 1-12
New kiosk per month - - - - - 1 1 2 2 2 - 2 2 3 - - 2 1 - - 1 1
Accu.Kiosk - - - - - 1 2 4 6 8 8 10 12 13 15 15 17 17 18 18 19 20
New shop. Per month ใหญ - - - - - 3 - 3 - 1 2 5 3 2 2 3 7 2 6 5 20 15
Accu. Shop ใหญ - - - - - 3 3 6 6 7 9 14 17 19 21 24 29 33 37 44 58 72
New shop.per month กลาง - - - - - 7 - 7 3 3 3 3 8 6 2 8 15 10 15 10 40 30
Accu. Shop กลาง - - - - - 7 7 14 17 20 23 26 31 36 41 47 60 70 85 99 125 156
Cost
Cost per kg. 138 Bath Miscellaneous expenses 2,500 bath/month
No. of scoop per Kg. 25 Commission on sales 3%
Cost per scoop 5.52 Bath Point of sales promotion 20%
Packaging & other VC. Per scoop Premium gift 1.0 bath/piece
At kiosk 3.45 Bath PR Cost 5,000 Bath/month
At. Restaurant 3.22 Bath หนา 118
Kiosk Model
Rental cost per kiosk 35,000 Bath/month
No. of employee 2 person
Salary/month/empleyee 5,000 Bath/month
Uniform clothes subsidized 500 Bath/month
Facilities expenses 5,500 Bath/mont
ขอสมมุติในการประมาณงบการเงิน (2/2)
Depreciation Growth indicators 2003 2004 2005 2006
Accounting: Straight line 5 Yrs. Expenses growth rate 5% 5% 5% 5%
Asset Types Cost/unit No.of unit
หองเย็น 415,000 1 เงินเดือนผูบริหาร 5 Person 20000 Salary/month
ยานพาหนะ 720,000 1 เงินเดือนพนักงาน 5 Person 5000 Salary/month
ดอกเบี้ยรอการตัดจาย-ยานพาหนะ 216,000 คาเชาเครื่องถายเอกสาร 2500 Bath/month
คอมพิวเตอรและ Software 24,300 3 คาเชา office และโรงงาน 25000 Bath/month
Printer 6,750 2 คาเครื่องเขียน 500 Bath/month
เครื่องใชสํานักงาน 6,820 10 คาใชจายในการจัดตั้งบริษัท 15000 Bath
คาตกแตงสํานักงาน 130,000 1 คาใชจายในการจดลิขสิทธิ์ 10000 Bath
คาตกแตง Kiosk 150,000 1 คาใชจาย Promotion(wholesale) 5.0% % on sales
เครื่องจักร 430,000 1 คานํ้ามันรถ 0.5% % on sales
ดอกเบี้ยรอการตัดจาย-เครื่องจักร 129,000 Research & Development 3.0% % on sales
เครื่อง cash register 22,000 1 ดอกเบี้ยจาย Bath
ตูแช (Kiosk) 12,000 2 คา loyalty fee % on sales
ตูแช (รานอาหาร) 12,000 1 คาสาธารณูปโภค 32000 Bath/month
คาใชจายในการพัฒนาProduct เริ่มตน 300,000 1 หนี้สงสัยจะสูญ 0.5% % on sales
Accounting Policy คาใชจายเบ็ดเตล็ด 5000 Bath/month
Account receivable turnover 30 Days
Inventory 15 Days อัตราภาษีเงินไดนิติบุคคล 30.0%
Account payable 30 Days นโยบายตัดคาเสื่อมสินทรัพยแบบเสนตรง 20.0%
Dividend Policy 0.25of Retain Earning อัตราดอกเบี้ยการทํา Hire Purchase 3 ป 10.0%
อัตราดอกเบี้ยในการคิด Discount Rate NP 15.0%
ประมาณการงบกําไรขาดทุน (รายป)
2002 2003 2004 2005 2006
ขาย
Kiosk 5,193,900 21,850,050 27,792,150 29,754,000 31,320,000
Wholesale 2,943,430 13,154,540 25,036,620 39,589,200 49,291,200
รายไดจากการขาย 8,137,330 35,004,590 52,828,770 69,343,200 80,611,200
หัก ตนทุนขาย 3,444,068 14,970,638 24,226,404 33,918,192 40,459,392
กําไรขั้นตน 4,693,262 20,033,952 28,602,366 35,425,008 40,151,808
คาใชจาย
คาใชจายในการขายและบริหาร 6,339,843 18,890,122 22,144,461 24,440,279 26,645,997
ดอกเบี้ยจาย 70,666 158,000 212,000 129,333 72,000
คาเสื่อมราคา 439,720 1,136,520 1,560,120 1,783,920 1,931,120
รวมคาใชจาย 6,850,229 20,184,642 23,916,581 26,353,532 28,649,117
กําไร (ขาดทุน) (2,156,967) (150,690) 4,685,785 9,071,476 11,502,691
ภาษีเงินไดนิติบุคคล 0 0 713,438 2,721,443 3,450,807
กําไร(ขาดทุน)หลังภาษี (2,156,967) (150,690) 3,972,347 6,350,033 8,051,884
ประมาณการงบกําไรขาดทุน (รายป)
2002 2003 2004 2005 2006
ขาย
Kiosk 5,193,900 21,850,050 27,792,150 29,754,000 31,320,000
Wholesale 2,943,430 13,154,540 25,036,620 39,589,200 49,291,200
รายไดจากการขาย 8,137,330 35,004,590 52,828,770 69,343,200 80,611,200
หัก ตนทุนชาย 3,444,068 14,970,638 24,226,404 33,918,192 40,459,392
กําไรขั้นตน 4,693,262 20,033,952 28,602,366 35,425,008 40,151,808
คาใชจาย Head Office
เงินเดือนผูบริหาร 700,000 1,200,000 1,440,000 1,728,000 2,073,600
เงินเดือนพนักงาน 175,000 315,000 661,500 694,575 729,304
คาเชาเครื่องถายเอกสาร 17,500 30,000 30,000 30,000 30,000
คาเชา office และโรงงาน 175,000 300,000 300,000 300,000 300,000
คาเครื่องเขียน 4,500 6,000 6,000 6,000 6,000
คาใชจายในการจัดตั้งบริษัท 15,000 0 0 0 0
คาใชจายในการจดลิขสิทธิ์ 10,000 0 0 0 0
คาใชจาย Promotion (wholesale) 147,172 657,727 1,251,831 1,979,760 2,464,560
คานํ้ามันรถ 40,687 175,023 264,144 346,716 403,056
Research & Development 544,120 1,050,138 1,584,863 2,080,296 2,418,336
ดอกเบี้ยจาย 70,666 158,000 212,000 129,333 72,000
คาเสื่อมราคา 439,720 1,136,520 1,560,120 1,783,920 1,931,120
คาสาธารณูปโภค 251,000 403,200 423,360 444,528 466,754
หนี้สงสัยจะสูญ 14,717 65,773 125,183 197,946 246,456
คาใชจายเบ็ดเตล็ด 35,000 63,000 66,150 69,458 72,930
รวมคาใชจาย head office 2,640,082 5,560,380 7,925,151 9,790,232 11,214,117
คาใชจาย Kiosk
คาเชา 1,365,000 5,775,000 7,350,000 7,980,000 8,400,000
เงินเดือนพนักงาน 390,000 550,000 700,000 190,000 200,000
คาเครื่องแบบพนักงาน 10,000 5,000 3,000 1,000 1,000
คาสาธารณูปโภค 214,500 907,500 1,155,000 1,254,000 1,320,000
คาใชจายเบ็ดเตล็ด 97,500 137,500 175,000 47,500 50,000
เงิน incentive พนักงาน 155,817 655,502 833,765 892,620 939,600
คาใชจาย Promotion 1,038,780 4,370,010 4,724,666 5,058,180 5,324,400
คาใชจายในการโฆษณา 195,000 825,000 1,050,000 1,140,000 1,200,000
คาใชจายในการทําที่คั่นหนังสือ 743,550 1,398,750 0 0 0
รวมคาใชจาย kiosk 4,210,147 14,624,262 15,991,430 16,563,300 17,435,000
รวมคาใชจาย 6,850,229 20,184,642 23,916,581 26,353,532 28,649,117
กําไร (ขาดทุน) (2,156,967) (150,690) 4,685,785 9,071,476 11,502,691
ภาษีเงินไดนิติบุคคล 0 0 713,439 2,721,443 3,450,807
กําไร(ขาดทุน) หลังภาษี (2,156,967) (150,690) 3,972,347 6,350,333 8,051,884
ประมาณการงบกําไรขาดทุน (รายเดือนในป 2002,รายไตรมาสป 2003-2004,รายป 2005และ2006)
2002 2003
ม.ค.45 ก.พ.45 มี.ค.45 เม.ย.45 พ.ค.45 มิ.ย.45 ก.ค.45 ส.ค.45 ก.ย.45 ต.ค.45 พ.ย.45 ธ.ค.45 Q4 46 Q1 47
ขาย
Kiosk 0 0 0 0 0 130,500 269,700 539,400 783,000 1,078,800 1,044,000 1,348,500 6,003,000 6,655,500
Wholesale 0 0 0 0 0 178,500 184,450 368,990 401,100 486,080 564,900 759,500 3,973,480 4,838,400
รายไดจากการขาย 0 0 0 0 0 309,000 454,150 908,300 1,184,100 1,564,880 1,608,900 2,108,000 9,916,480 11,493,900
หัก ตนทุนขาย 0 0 0 0 0 151,800 198,571 397,141 492,591 637,137 675,579 891,250 4,337,377 5,079,159
กําไรขั้นตน 0 0 0 0 0 157,200 255,580 511,159 691,509 927,743 933,321 1,216,750 5,639,103 6,414,741
คาใชจาย Head Office
เงินเดือนผูบริหาร 0 0 0 0 0 100,000 100,000 100,000 100,000 100,000 100,000 100,000 300,000 360,000
เงินเดือนพนักงาน 0 0 0 0 0 25,000 25,000 25,000 25,000 25,000 25,000 25,000 78,750 165,375
คาเชาเครื่องถายเอกสาร 0 0 0 0 0 2,500 2,500 2,500 2,500 2,500 2,500 2,500 7,500 7,500
คาเชา officeและโรงงาน 0 0 0 0 0 25,000 25,000 25,000 25,000 25,000 25,000 25,000 75,000 75,000
คาเครื่องเขียน 1,000 0 0 0 0 500 500 500 500 500 500 500 1,500 1,500
คาใชจายในการจัดตั้งบริษัท 15,000 0 0 0 0 0 0 0 0 0 0 0 0 0
คาใชจายในการจดลิขสิทธิ์ 0 0 0 0 10,000 0 0 0 0 0 0 0 0 0
คาใชจาย Promotion (wholesale) 0 0 0 0 0 8,925 9,223 18,445 20,055 24,304 28,245 37,975 198,674 241,920
คานํ้ามันรถ 0 0 0 0 0 1,545 2,271 4,542 5,921 7,824 8,045 10,540 49,882 57,470
Research&Development 100,000 0 0 200,000 0 9,270 13,625 27,249 35,523 46,946 48,267 63,240 299,294 344,817
ดอกเบี้ยจาย 0 0 0 0 0 9,583 9,583 9,583 9,583 9,583 9,583 13,167 39,500 39,500
คาเสื่อมราคา 4,743 4,743 4,743 4,743 30,827 36,093 39,360 47,893 55,027 62,360 70,527 78,660 303,580 369,980
คาสาธารณูปโภค 3,000 3,000 3,000 3,000 15,000 32,000 32,000 32,000 32,000 32,000 32,000 32,000 100,800 105,840
หนี้สงสัยจะสูญ 0 0 0 0 0 893 922 1,845 2,006 2,430 2,825 3,798 19,867 24,192
คาใชจายเบ็ดเตล็ด 0 0 0 0 0 5,000 5,000 5,000 5,000 5,000 5,000 5,000 15,750 16,538
รวมคาใชจาย head office 123,743 7,743 7,743 207,743 55,827 256,309 264,983 299,557 318,114 343,449 357,491 397,379 1,490,098 1,809,631
คาใชจาย Kiosk
คาเชา 0 0 0 0 0 35,000 70,000 140,000 210,000 280,000 280,000 350,000 1,575,000 1,785,000
เงินเดือนพนักงาน 0 0 0 0 0 10,000 20,000 40,000 60,000 80,000 80,000 100,000 150,000 170,000
คาเครื่องแบบพนักงาน 0 0 0 0 0 1,000 1,000 2,000 2,000 2,000 0 2,000 0 2,000
คาสาธารณูปโภค 0 0 0 0 0 5,500 11,000 22,000 33,000 44,000 44,000 55,000 247,500 280,500
คาใชจายเบ็ดเตล็ด 0 0 0 0 0 2,500 5,000 10,000 15,000 20,000 20,000 25,000 37,500 42,500
เงิน incentive พนักงาน 0 0 0 0 0 3,915 8,091 16,182 23,490 32,364 31,320 40,455 180,090 199,665
คาใชจาย Promotion 0 0 0 0 0 26,100 53,940 107,880 156,600 215,760 208,800 269,700 1,200,600 1,131,435
คาใชจายในการโฆษณา 0 0 0 0 0 5,000 10,000 20,000 30,000 40,000 40,000 50,000 225,000 255,000
คาใชจายในการทําที่คั่นหนังสือ 0 0 0 0 0 45,000 46,500 93,000 103,500 125,550 144,000 186,000 0 0
รวมคาใชจาย kiosk 0 0 0 0 0 134,015 225,531 451,062 633,590 839,674 848,120 1,078,155 3,615,690 3,866,100
รวมคาใชจาย 123,743 7,743 7,743 207,743 55,827 390,324 490,514 750,619 951,704 1,183,123 1,205,611 1,475,534 5,105,788 5,675,731
กําไร (ขาดทุน) (123,743) (7,743) (7,743) (207,743) (55,827) (233,124) (234,935) (239,460) (260,195) (255,379) (272,290) (258,784) 533,315 739,010
ภาษีเงินไดนิติบุคคล 0 0 0 0 0 0 0 0 0 0 0 0 0 0
กําไร (ขาดทุน) หลังภาษี (123,743) (7,743) (7,743) (207,743) (55,827) (221,459) (234,935) (239,460) (260,195) (255,379) (272,290) (258,784) 533,315 739,010
ประมาณการงบดุล (รายป)
2002 2003 2004 2005 2006
Assets
Current assets
Cash on hand and in bank 50,000 50,000 1,596,884 8,350,586 13,938,365
Accounts receivable 755,703 1,317,871 2,607,975 3,282,605 4,087,062
Inventory 445,625 722,896 1,189,509 1,413,258 1,685,808
Other current assets 5,000 5,000 5,000 5,000 5,000
Total current assets 1,256,328 2,095,767 5,399,368 13,051,448 19,716,235
Leased Assets 1,983,333 1,825,333 2,549,333 2,420,000 2,348,000
Minus Accumulated depreciation 151,333 378,333 749,333 1,120,333 1,491,333
Net Leased Assets 1,832,000 1,447,000 1,800,000 1,299,667 856,667
Plant, Properties & Equipment 3,139,600 4,491,600 5,943,600 6,619,600 7,355,600
Minus Accumulated depreciation 288,387 1,197,907 2,387,027 3,799,947 5,360,067
PPE-net 2,851,213 3,293,693 3,556,573 2,819,653 1,995,533
Other asset 38,750 38,754 38,758 38,759 38,760
Total assets 5,978,291 6,875,214 10,794,699 17,209,527 22,607,195
Liabilities & Shareholder equity
Current liabilities 5,000 5,000 5,000 5,000 5,000
Account payable 891,250 1,445,792 2,379,019 2,826,516 3,371,616
Accrued expenses 87,000 116,100 134,280 141,544 148,896
Corporate tax payable 0 0 713,439 2,721,443 3,450,807
Short-Term Loan 404,230 1,552,868 0 0 0
Total current liabilities 1,387,480 3,119,760 3,231,737 5,694,503 6,976,320
Long term Leasing contract 1,747,778 1,063,111 1,314,444 816,111 317,778
Total Liabilities 3,135,258 4,182,871 4,546,182 6,510,614 7,294,097
Shareholder equity
Issued Common stock
500,000 shares (parvalue of 10 Bath) 5,000,000 5,000,000 5,000,000 5,000,000 5,000,000
Retained earnings (2,156,967) (2,307,657) 1,248,518 5,698,913 10,313,098
Total shareholder’s equity 2,843,033 2,692,343 6,248,518 10,698,913 15,313,098
Total liabilities Shareholder equity 5,978,291 6,875,215 10,794,699 17,209,527 22,607,195
ประมาณการงบดุล (รายเดือนในป 2002,รายไตรมาสป 2003-2004,รายป 2005 และ 2006)
2002 2003 2004 2005 2006
ม.ค 45 ก.พ 45 มี.ค 45 เม.ย 45 พ.ค 45 มิ.ย 45 ก.ค 45 ส.ค 45 ก.ย 45 ต.ค 45 พ.ย 45 ธ.ค 45 Q1 46 Q2 46 Q3 46 Q4 46 Q1 47 Q2 47 Q3 47 Q4 47 48 49
Assets
Current assets
Cash on hand and in bank 4,572,525 4,577,748 4,560,880 4,348,850 3,927,900 3,302,597 2,899,103 2,066,260 1,454,253 784,377 437,705 50,000 50,000 50,000 50,000 50,000 50,000 50,000 587,518 1,596,884 8,350,586 13,938,365
Account receivable 0 0 0 0 0 177,608 183,528 367,056 399,095 483,650 562,076 755,703 879,680 1,014,104 1,151,268 1,317,871 1,604,736 1,871,867 2,219,235 2,607,975 3,282,605 4,087,062
Inventory 0 0 0 0 0 75,900 99,285 198,571 246,296 318,568 337,790 445,625 518,156 583,424 570,631 722,896 846,527 931,141 1,067,557 1,189,509 1,413,258 1,685,808
Other current assets 5,000 5,000 5,000 5,000 5,000 5,000 5,000 5,000 5,000 5,000 5,000 5,000 5,000 5,000 5,000 5,000 5,000 5,000 5,000 5,000 5,000 5,000
Total current asset 4,577,525 4,582,748 4,565,880 4,353,850 3,932,900 3,561,105 3,186,916 2,656,889 2,104,643 1,591,595 1,342,570 1,256,328 1,452,835 1,652,528 1,876,899 2,095,767 2,506,263 2,861,008 3,879,310 5,399,368 13,051,448 19,716,235
Leased Assets 0 0 0 0 1,495,000 1,485,417 1,475,833 1,466,250 1,456,667 1,447,083 1,996,500 1,983,333 1,943,833 1,904,333 1,864,833 1,825,333 2,721,833 2,664,333 2,606,833 2,549,333 2,420,000 2,348,000
Minus Accumulated depreciation 0 0 0 0 18,917 37,833 56,750 75,667 94,583 113,500 132,417 151,333 208,083 264,833 321,583 378,333 471,083 563,833 656,583 749,333 1,120,333 1,491,333
Net Leased Assets 0 0 0 0 1,476,083 1,447,583 1,419,083 1,390,583 1,362,083 1,333,583 1,864,083 1,832,000 1,735,750 1,639,500 1,543,250 1,447,000 2,250,750 2,100,500 1,950,250 1,800,000 1,299,667 856,667
Plant, Properties & Equipment 284,600 284,600 284,600 284,600 699,600 1,015,600 1,211,600 1,723,600 2,151,600 2,591,600 2,651,600 3,139,600 3,627,600 3,907,600 4,383,600 4,491,600 5,099,600 5,267,600 5,691,600 5,943,600 6,619,600 7,355,600
Minus Accumulated depreciation 4,743 9,487 14,230 18,973 30,883 48,060 68,503 97,480 133,590 177,033 228,643 288,387 492,017 709,647 951,077 1,197,907 1,475,137 1,760,767 2,067,597 2,387,027 3,799,947 5,360,067
PPE – net 279,857 275,113 270,370 265,627 668,717 967,540 1,143,097 1,626,120 2,018,010 2,414,567 2,422,957 2,851,213 3,135,583 3,197,953 3,432,523 3,293,693 3,624,463 3,506,833 3,624,003 3,556,573 2,819,653 1,995,533
Asset on Leasing contract
Loyalty –net 0 0 0 0 0 0 0 0 0 0 0 0 0 0 0 0 0 0 0 0 0 0
Other asset 26,875 18,652 32,520 41,550 34,500 35,620 38,560 42,650 36,230 39,860 33,620 38,750 38,751 38,752 38,753 38,754 38,755 38,756 38,757 38,758 38,759 38,760
Total asset 4,884,257 4,876,513 4,868,770 4,661,027 6,122,200 6,001,200 5,787,656 5,716,239 5,520,966 5,379,605 5,663,230 5,978,291 6,362,919 6,528,733 6,891,425 6,875,214 8,420,231 8,507,097 9,492,321 10,794,699 17,209,527 22,607,195
Liabilities & Shareholder equity
Current liabilities 5,000 5,000 5,000 5,000 5,000 5,000 5,000 5,000 5,000 5,000 5,000 5,000 5,000 5,000 5,000 5,000 5,000 5,000 5,000 5,000 5,000 5,000
Account payable 0 0 0 0 0 151,800 198,571 397,141 492,591 637,137 675,579 891,250 1,036,311 1,166,848 1,341,262 1,445,792 1,693,053 1,868,282 2,135,115 2,379,019 2,826,516 3,371,616
Accrued expenses 3,000 3,000 3,000 3,000 15,000 37,500 43,000 54,000 65,000 76,000 76,000 87,000 99,600 105,100 116,100 116,100 128,780 128,780 134,280 134,280 141,544 148,896
Corporate tax payable 0 0 0 0 0 0 0 0 0 0 0 0 0 0 0 0 0 0 219,695 713,439 2,721,443 3,450,807
Short-Term Loan 0 0 0 0 0 0 0 0 0 0 0 404,230 1,361,854 2,082,508 2,035,757 1,552,868 1,334,100 439,476 0 0 0 0
Total current liabilities 8,000 8,000 8,000 8,000 20,000 194,300 248,571 456,141 562,591 718,137 756,579 1,387,480 2,502,765 3,359,456 3,498,119 3,119,760 3,160,933 2,441,538 2,494,089 3,231,737 5,964,503 6,976,320
Long term Leasing contract 0 0 0 0 1,495,000 1,453,472 1,411,944 1,370,417 1,328,889 1,287,361 1,804,833 1,747,778 1,576,611 1,405,444 1,234,278 1,063,111 1,827,944 1,656,778 1,485,611 1,314,444 816,111 317,778
Total Liabilities 8,000 8,000 8,000 8,000 1,515,000 1,647,772 1,658,515 1,826,558 1,891,480 2,005,498 2,561,412 3,135,258 4,079,376 4,764,900 4,732,397 4,182,871 4,988,877 4,098,315 3,979,700 4,546,182 6,510,614 7,294,097
Shareholder equity
Issued Common stock
500.000 shares@ 10 Bath 5,000,000 5,000,000 5,000,000 5,000,000 5,000,000 5,000,000 5,000,000 5,000,000 5,000,000 5,000,000 5,000,000 5,000,000 5,000,000 5,000,000 5,000,000 5,000,000 5,000,000 5,000,000 5,000,000 5,000,000 5,000,000 5,000,000
Ratained earning (123,743) (131,487) (139,230) (346,973) (402,800) (535,924) (870,859) (1,110,319) (1,370,514) (1,625,393) (1,898,183) (2,155,967) (2,716,457) (3,236,157) (2,840,972) (2,307,667) (1,568,647) (591,218) 512,621 1,248,518 5,698,913 10,313,098
Total shareholder equity 4,876,257 4,868,513 4,860,770 4,653,027 4,597,200 4,364,076 4,129,141 3,889,681 3,629,486 3,374,107 3,101,817 2,843,033 2,283,543 1,763,833 2,159,028 2,692,343 3,431,353 4,408,782 5,512,621 6,248,518 10,698,913 15,313,098
Total liabilities Shareholder equity 4,884,257 4,876,513 4,868,770 4,661,027 6,122,200 6,011,848 5,787,656 5,716,239 5,520,966 5,379,605 5,663,230 5,978,291 6,362,919 6,528,733 6,891,425 6,875,215 8,420,231 8,507,097 9,492,321 10,749,699 17,209,527 22,607,195
ประมาณการงบกําไรสะสม (รายป)
2002 2003 2004 2005 2006
กําไรสะสมตนงวด 0 (2,156,967) (2,307,657) 1,248,518 5,698,913
บวก กําไรสุทธิ (2,156,967) (150,690) 3,972,347 6,350,033 8,051,884
(2,156,967) (2,307,657) 1,664,690 7,598,551 13,750,797
หักเงินปนผล 0 0 (416,173) (1,899,638) (3,437,699)
กําไรสะสมยกไป (2,156,967) (2,307,657) 1,248,518 5,698,913 10,313,098
ประมาณการงบกระแสเงินสด (รายป 2002-2006)
2002 2003 2004 2005 2006
กระแสเงินสดจากกิจกรรมดําเนินงาน (วิธีทาง
ออม)
กําไรสุทธิ (2,156,967) (150,690) 3,972,347 6,350,033 8,051,884
รายการปรับกระทบยอดกําไรสุทธิเปนเงินสดได
จาก (ใชไปใน) การดําเนินงาน
คาเสื่อมราคา 439,720 1,136,520 1,560,120 1,783,920 1,931,120
การเปลี่ยนแปลงในสินทรัพยและ
หนี้สินจากการดําเนินงาน
(310,078) (284,897) (823,490) (450,881) (531,908)
เงินสดสุทธิไดจาก (ใชไปใน)กิจกรรมดําเนินงาน (2,027,324) 700,933 4,708,976 7,683,072 9,451,097
กระแสเงินสดจากกิจกรรมลงทุน
เงินสดรับ
จากการกูยืม 404,230 1,148,638 0 0 0
จากการขายทรัพยสิน 0 0 0 0 0
เงินสดจาย
เพื่อชําระเงินกู 0 0 (1,552,868) 0 0
เพื่อซื้อสินทรัพย (5,166,683) (1,194,004) (2,176,004) (546,668) (664,001)
เงินสดสุทธิไดจาก (ใชไปใน) กิจกรรมลงทุน (4,762,453) (45,366) (3,728,872) (546,668) (664,001)
กระแสเงินสดจากกิจกรรมจัดหาเงิน
เงินสดรับ
จากการออกหุนทุน 5,000,000 0 0 0 0
จากการกอหนี้สิน 1,839,778 0 982,952 1,516,935 238,383
เงินสดจาย
เพื่อชําระหนี้ 0 (655,567) 0 0 0
จายเงินปนผล 0 0 (416,173) (1,899,638) (3,437,699)
เงินสดสุทธิไดจาก (ใชไปใน) กิจกรรมจัดหาเงิน 6,839,778 (655,567) 566,779 (382,703) (3,199,316)
เงินสดและรายการเทียบเทาเงินสดสุทธิเพิ่มขึ้น
(ลดลง)
50,000 1,546,884 6,753,702 5,587,780
บวก เงินสดและรายการเทียบเทาเงินสดตนงวด 0 50,000 50,000 1,596,884 8,350,585
เงินสดและรายการเทียบเทาเงินสดปลายงวด 50,000 50,000 1,596,884 8,350,585 13,938,365
ประมาณการงบกระแสเงินสด (รายเดือนในป 2002,รายไตรมาสป 2003-2004,รายป 2005 และ 2006
2002 2003 2004 2005 2006
ม,ค, 45 ก.พ 45 มี.ค 45 เม.ย 45 พ.ค 45 มิ.ย 45 ก.ค 45 ส.ค 45 ก.ย 45 ต,ค 45 พ.ย 45 ธ.ค 45 Q1 46 Q2 46 Q3 46 Q4 46 Q1 47 Q2 47 Q3 47 Q4 47 48.00
กระแสเงินสดจากกิจกรรมดําเนินงาน(วิธีทางออม)
กําไรสุทธิ (123,743) (7.743) (7.743) (207,743) (55,827) (233,124) (234,935) (239,460) (260,195) (255,379) (272,290) (258,784) (559,490) (519,710) 395,195 533,315 739,010 977,428 1,103,839 1,152,069 6,350,033
รายการปรับกระทบยอดกําไรสุทธิเปนเงินสดไดจาก
(ใชไปใน)การดําเนินงาน
คาเสื่อมราคา 4,743 4,743 4,743 4,743 30,827 36,093 39,360 47,893 55,027 62,360 70,527 78,660 260,380 274,380 298,180 303,580 369,980 378,380 399,580 412,180 1,783,290
การเปลี่ยนแปลงในสินทรัพยและหนี้สินจาก
การดําเนินงาน
0 0 0 0 0 (101,708) 17,465 (84,243) 15,686 (12,282) (59,205) (85,792) (51,447) (69,156) (49,957) (114,338) (163,235) (179,517) (213,951) (266,788) (450,881)
เงินสดสุทธิไดจาก (ใชไปใน) กิจกรรมดําเนินงาน (119,000) (3,000) (3,000) (203,000) (25,000) (298,736) (178,110) (275,809) (189,482) (205,302) (260,968) (265,916) (350,577) (314,486) 643,418 722,557 945,755 1,176,292 1,289,468 1,297,462 7,683,072
กระแสเงินสดจากกิจกรรมลงทุน
เงินสดรับ
จากการกูยืม 0 0 0 0 0 0 0 0 0 0 0 404,230 957,624 720,654 (46,751) (482,889) -218,768 -894,624 -439,476 0 0
จากการขายทรัพยสิน 0 0 0 0 0 0 0 0 0 0 0 0 0 0 0 0 0 0 0 0 0
เงินสดจาย
เพื่อซื้อสินทรัพย (316,475) 8,223 (13,868) (9,030) (1,902,950) (307,537) (189,357) (506,507) (411,997) (434,047) (603,177) (479,963) (448,501) (240,501) (436,501) (68,501) (1,504,501) (110,501) (366,501) (194,501) (546,668)
เงินสดสุทธิไดจาก (ใชไปใน) กิจกรรมลงทุน (316,475) 8,223 (13,868) (9,030) (1,902,950) (307,537) (189,357) (506,507) (411,997) (434,047) (603,177) (75,733) 509,123 480,153 (463,252) (551,390) (1,723,269) (1,055,125) (805,977) (194,501) (546,668)
กระแสเงินสดจากกิจกรรมจัดหาเงิน
เงิดสดรับ
จากการออกหุนทุน 5,000,000 0 0 0 0 0 0 0 0 0 0 0 0 0 0 0 0 0 0 0 0
จากการกอหนี้สิน 8,000 0 0 0 1,507,000 0 0 0 0 0 517,472 0 0 0 0 0 777,513 0 0 322,577 1,516,935
เงินสดจาย
เพื่อชําระหนี้ 0 0 0 0 0 (19,028) (36,028) (30,526) (30,528) (30,528) 0 (46,056) (158,567) (165,667) (160,167) (171,167) 0 (171,167) 54.028 0 0
จายเงินปนผล 0 0 0 0 0 0 0 0 0 0 0 0 0 0 0 0 0 0 0 (416,173) (1,899,638)
เงินสดสุทธิไดจาก (ใชไปใน) กิจกรรมจัดหาเงิน 5,008,000 0 0 0 1,507,000 (19,028) (36,028) (30,528) (30,528) (30,528) 517,472 (46,056) (158,567) (165,667) (160,167) (171,167) 777,513 (171,167) 54,028 -93,595 (382,703)
เงินสดและรายการเทียบเทาเงินสดสุทธิเพิ่มขึ้น
(ลดลง)
4,572,525 5,223 (16,868) (212,030) (420,950) (625,303) (403,494) (812,843) (632,007) (669,876) (346,672) (387,705) (0) (1) 1 (0) (0) 537,519 1,009,366 6,753,702
บวก เงินสดและรายการเทียบเทาเงินสดตนงวด 0 4,572,525 5,77,748 4,560,880 4,348,850 3,927,300 3,302,597 2,899,103 2,086,260 1,454,253 784,377 437,705 50,000 50,000 50,000 50,000 50,000 50,000 50,000 587,518 1,596,884
เงินสดและรายการเทียบเทาเงินสดปลายงวด 4,572,525 4,577,748 4,560,880 4,348,850 3,927,300 3,302,597 2,899,103 2,086,260 1,454,253 784,377 437,705 50,000 50,000 50,000 50,000 50,000 50,000 50,000 587,518 1,596,884 8,350,586
สัดสวนผูถือหุน
No.share Amount percent
นายฉัตรไชย เชี่ยวชาญพาณิช 200,000 2,000,000 40%
นายถาวร สุขศรีสราญจิตร 75,000 750,000 15%
นายสุวิทย ลีลานันทกิจ 75,000 750,000 15%
นายวิทยา จารุพงศโสภณ 75,000 750,000 15%
Other shareholder* 75,000 750,000 15%
TOTAL 500,000 5,000,000 100%
* หุน 15% จัดสรรไวสําหรับบุคคลที่มีประสบการณดานรานอาหารและไอศกรีมซึ่งจะเขามาเปนผูถือหุนของ
บริษัท
ในกรณีที่บริษัทไมสามารถหาบุคคลดังกลาวได หุนจํานวนดังกลาวจะถูกจัดสรรไปให นายถาวร
นายสุวิทย และนายวิทยา คนละ 5%

ตัวอย่างแผนธุรกิจการทำHerbiesicecream

  • 1.
    สารบัญ หนา กิตติกรรมประกาศ 1 บทสรุปสําหรับผูบริหาร 2 พันธกิจและเปาหมาย4 ขอบเขตของธุรกิจ 5 สภาพตลาดของสินคา 6 โครงสรางอุตสาหกรรม 6 การวิเคราะหคูแขงขัน 10 จุดออนและจุดแข็งของธุรกิจ 14 การประเมินโอกาสและความเสี่ยงของธุรกิจ 14 กลยุทธองคกร 18 โครงสรางกลุมผูบริหาร 18 แผนการตลาด แผนการทําวิจัยตลาด 21 ผลการทําวิจัยตลาด 22 การแบงสวนตลาด และการกําหนดกลุมเปาหมาย 27 การวางตําแหนงผลิตภัณฑ 30 แผนการตลาด 31 กลยุทธดานผลิตภัณฑ 31 กลยุทธดานราคา 32 กลยุทธดานชองทางการจัดจําหนาย 33 กลยุทธดานการสงเสริมการขาย 34 แผนการผลิต 39 การออกแบบและพัฒนาผลิตภัณฑ 39 แผนการผลิตและการดําเนินงาน 43
  • 2.
    แผนการเงิน 46 ขอสมมติฐานของการพยากรณตัวแปรทางการเงิน 46 ประมาณการงบกําไรขาดทุน52 ประมาณการงบดุล 53 ประมาณการงบกําไรสะสม 54 ประมาณการงบกระแสเงินสด 55 วิเคราะหจุดคุมทุน 57 อัตราสวนทางการเงิน 59 Sensitivity Analysis 61 การประเมินแผนธุรกิจ 62 แนวทางการประเมินความเปนไปไดของธุรกิจ 62 ปจจัยวิกฤตที่เปนเงื่อนไขแหงความสําเร็จ/ลมเหลวของธุรกิจ 63 การควบคุมและประเมินผล 64 แผนรับมือเหตุการณที่ไมเปนไปตามแผนการดําเนินงานปกติ 67 ภาคผนวก แบบสอบถามพฤติกรรมการบริโภคไอศกรีม 69 แบบสอบถาม (Blind Test) พฤติกรรมการบริโภคไอศกรีม 72 ผลของแบบสอบถามพฤติกรรมการบริโภคไอศกรีม 74 ผลของแบบสอบถาม (Blind Test) พฤติกรรมการบริโภคไอศกรีม 81 การวิเคราะหทางการเงินเมื่อผลการดําเนินงานเปนไปตามคาดการณ 85 การวิเคราะหทางการเงินเมื่อยอดขายลดลง 10% กวาที่คาดการณ 100 การวิเคราะหทางการเงินเมื่อตนทุนเพิ่มขึ้น 15% กวาที่คาดการณ 115
  • 3.
    สารบัญภาพ หนา ภาพที่ 1 แสดงสวนครองตลาดของระดับไอศกรีม6 ภาพที่ 2 แสดงสวนครองตลาดของผูผลิตไอศกรีม 8 ภาพที่ 3 แสดงโครงสรางองคกร 19 ภาพที่ 4 แสดงการกําหนดกลุมเปาหมายสําหรับชองทางการขายปลีก 28 ภาพที่ 5 แสดงการกําหนดกลุมเปาหมายสําหรับชองทางการขายสง 29 ภาพที่ 6 รูปแบบจําลองของบรรจุภัณฑไอศกรีม 32 ภาพที่ 7 แบบจําลองแสดงลักษณะของคีออส (Kiosk) 33 ภาพที่ 8 แสดงกําหนดการพัฒนาผลิตภัณฑ 42 ภาพที่ 9 แสดงขั้นตอนการผลิตไอศกรีม 45
  • 4.
    สารบัญตาราง หนา ตารางที่ 1 ประมาณการจํานวนคีออสในแตละเดือน46 ตารางที่ 2 ประมาณการจํานวนคีออสในแตละเดือน 47 ตารางที่ 3 ประมาณการงบกําไรขาดทุนป 2002-2006 52 ตารางที่ 4 ประมาณการงบดุลป 2002-2006 53 ตารางที่ 5 ประมาณการงบกําไรสะสมป 2002-2006 54 ตารางที่ 6 ประมาณการงบกระแสเงินสดป 2002-2006 55 ตารางที่ 7 การวิเคราะหจุดคุมทุนของคีออส 57 ตารางที่ 8 การวิเคราะหจุดคุมทุนของชองทางการขายสง 58 ตารางที่ 9 อัตราสวนทางการเงิน 59 ตารางที่ 10 การวิเคราะหความคลาดเคลื่อน (Sensitivity Analysis) 61 ตารางที่ 11 การควบคุมทางการตลาด 65
  • 5.
    กิตติกรรมประกาศ คณะผูจัดทํา ขอกราบขอบพระคุณ อาจารยศรายุทธ แสงจันทร ที่ปรึกษาการจัดทําแผนธุรกิจ ที่ได ใหความอนุเคราะหโดยสละเวลา ใหคําวิจารณและแนะนําเพื่อการปรับปรุงแกไขแผนธุรกิจฉบับนี้ให สมบูรณ จนสําเร็จลุลวงไดดวยดี คณะผูจัดทํา นายถาวร สุขศรีสราญจิตร นายวิทยา จารุพงศโสภณ นายสุวิทย ลีลานันทกิจ นายฉัตรไชย เชี่ยวชาญพานิช
  • 6.
    Herbies Ice Cream •บทสรุปสําหรับผูบริหาร (Executive Summary) บริษัท แอมโบรเชีย จํากัด (Ambrosia Co.,Ltd) จะเริ่มดําเนินธุรกิจในเดือนมกราคม 2545 โดยผลิตภัณฑของ Ambrosia คือ ไอศกรีมสมุนไพร ภายใตชื่อ “Herbies” ซึ่งตัวผลิตภัณฑนอกจากจะมี ความแปลกใหมในดานรสชาติและมีประโยชนตอสุขภาพแลว ยังมีความแตกตางในดานบรรจุภัณฑ อีก ดวยคือ จะมีการใสนํ้าแข็งแหงไวที่ถวยสําหรับการขายปลีกใหแกลูกคา นอกจากนั้นโคนที่ใสไอศกรีมก็จะมี สวนผสมของฟงทองหรือเผือกอีกดวย สวนการขายสงจะมีบรรจุภัณฑที่พรอมบริการใหลูกคาไดทันที โดย Ambrosia จะขายสินคาใหแกลูกคา 2 กลุม คือ ชองทางการขายปลีกผานคีออส (Kiosk) และชองทางการ ขายสงผานรานอาหาร ซึ่ง แอมโบรเชีย จํากัด (Ambrosia Co.,Ltd) จะเปด คีออส (Kiosk) สําหรับขายปลีก สาขาแรกที่สยามสแควรในเดือนมิถุนายน 2545 และจะทยอยเปด คีออส (Kiosk) ใหครบ 10 สาขาภายใน ป 2545 โดย Ambrosia มีแผนที่จะเพิ่ม คีออส (Kiosk) อีก 5 สาขาในป 2546 และอีก 3 สาขาในป 2547 นอกจากนั้น แอมโบรเชีย จํากัด (Ambrosia Co.,Ltd) ยังมีแผนที่จะขายไอศกรีมในชองทางการขายสงให แกรานอาหารตางๆ ใหครบ 40 รานในป 2545 และเพิ่มเปน 75 รานในป 2546 Ambrosia จะขายไอศกรีมในราคาลูกละ 29 บาท สําหรับการขายปลีก และลูกละ 13-15 บาท สําหรับการขายสง โดย Ambrosia คาดวาจะมีคาใชจายในการทําสงเสริมการขายเปนจํานวนเงิน 20% ของ ยอดขายสําหรับการขายปลีกและ 5% สําหรับการขายสง แอมโบรเชีย จํากัด (Ambrosia Co.,Ltd) คาดวาจะมียอดขายในป 2545 ประมาณ 8,137,330 บาท และจะเติบโตขึ้นในป 2546 และ 2547 คือจะมียอดขาย 35,004,590 บาทและ 52,828,770 บาท ตาม ลําดับ โดยบริษัทคาดวาจะมีกําไรขั้นตน 65% สําหรับการขายปลีกและ 35% สําหรับการขายสง ซึ่ง แอม โบรเชีย จํากัด (Ambrosia Co.,Ltd) จะมีขาดทุนสุทธิในปแรก 1,707,741 บาท และจะมีกําไรสุทธิเปน 1,773,724 บาท และ 5,492,026 บาท ในป 2546 และ 2547 ตามลําดับ ซึ่งจะทําใหบริษัทสามารถคืนทุน ไดในเวลา 3 ป และคาดวาโครงการนี้จะมี NPV 6,537,067 บาท และ IRR 46% นอกจากนั้นในระยะสั้น (2545-2546) แอมโบรเชีย จํากัด (Ambrosia Co.,Ltd) มีเปาหมายที่จะมีสวนครองตลาด (Market Share) 3% ในตลาดไอศกรีม Premium และ 5% สําหรับการทําตลาดในระยะกลาง (2547-2549) กลยุทธที่จะนํามาใชในการทําการตลาด คือ พยายามสราง Brand “Herbies” ใหเกิดขึ้นใหได ซึ่ง แอมโบรเชีย จํากัด (Ambrosia Co.,Ltd) มีเปาหมายในการทําใหผูบริโภครับรูถึงความเปนผูนําในตลาด ไอศกรีมสมุนไพร โดยจะมีการจัดทํา Menu ใหแกรานอาหาร เพื่อใหผูบริโภคจดจําตราสินคาของเราได นอก จากนั้นจะมีการจัดทําที่คั่นหนังสือสําหรับการขายปลีกเพื่อเปนการใหความรูกับผูบริโภคใหรับรูถึงความ
  • 7.
    แตกตางของไอศกรีม Herbies และไอศกรีมทั่วๆ ไป ซึ่งสิ่งที่ Ambrosia ตองการก็คือ การใชการบอกตอ (Word of mouth marketing) จากความแตกตางของรสชาติ และบรรจุภัณฑ ในระยะยาวการที่ แอมโบรเชีย จํากัด (Ambrosia Co.,Ltd) จะสามารถประสบความสําเร็จได ปจจัยที่สําคัญที่สุด คือ รสชาติ ดังนั้น แอมโบรเชีย จํากัด (Ambrosia Co.,Ltd) จึงไดตั้งงบวิจัยและพัฒนา (Research and Development) ไว 3% ของยอดขายในแตละป นอกจากนั้นบริษัทจะมีการเพิ่มชองทาง การจัดจําหนายใหม ๆ เพื่อขยายตลาดในอนาคต รวมถึงการขายสิทธิบัตร (Franchise) แกผูสนใจใน ประเทศ และมีการเพิ่มความหลากหลายในผลิตภัณฑเพื่อสุขภาพอีกดวย • Mission and Goals Mission “มุงยกระดับคุณภาพชีวิต โดยการนําเสนอไอซกรีมและบริการ ที่มีคุณคาและเปนประโยชนตอสุขภาพ เพื่อเปนผูนําตลาดของไอศกรีมสมุนไพร” Goals ระยะสั้น พ.ศ. 2545 – 2546 1. ขยายสาขาใหได 15 สาขาในบริเวณที่มีศักยภาพในเขตกรุงเทพมหานคร ทั้งในหางสรรพสินคา และสถานศึกษา 2. กระจายไอศกรีมสูรานอาหารในเขตกรุงเทพมหานครและปริมณฑล ใหได 75 ราน 3. ครองสวนแบงตลาดของไอศกรีม Premium ใหได 3% 4. บริหารธุรกิจใหมีกําไรขั้นตน (Gross Margin) 65% สําหรับคีออส และ 35% สําหรับ ชองทาง การขายสง ระยะกลาง พ.ศ. 2547 – 2549 1. ขยายสาขาเพิ่มเติมใหครอบคลุมกรุงเทพมหานครและตามเมืองขนาดใหญใหได 20 สาขา 2. เพิ่มการขายไอศกรีมในรานอาหารใหครอบคลุมกรุงเทพมหานครและปริมณฑล ใหได 250 ราน 3. ครองสวนแบงตลาดของไอศกรีม Premium ใหได 5% 4. บริหารธุรกิจใหมีกําไรขั้นตน (Gross Margin) 65% สําหรับคีออส และ 35% สําหรับชองทาง การขายสง 5. สงเสริมกิจกรรมเพื่อสังคม
  • 8.
    6. กระตุนผูบริโภคใหทราบถึงคุณคาของสมุนไพรและผลไมตาง ๆอยางตอเนื่องเพื่อใหเกิดการ บริโภคมากขึ้น ระยะกลาง พ.ศ. 2550 – 2555 1. เปดแฟรนไชสในประเทศไทย 2. ทําการรวมทุนกับนักลงทุนตางประเทศ เพื่อขยายตลาดไปยังตางประเทศ 3. เพิ่มรูปแบบชองทางการจัดจําหนายใหม ๆ 4. บริหารธุรกิจใหมีกําไรขั้นตน (Gross Margin) 70% สําหรับคีออส และ 35% สําหรับชองทาง การขายสง 5. กระตุนผูบริโภคใหทราบถึงคุณคาของสมุนไพรและผลไมตาง ๆ อยางตอเนื่องเพื่อใหเกิดการ บริโภคมากขึ้น 6. พัฒนาผลิตภัณฑใหสอดคลองกับความตองการของผูบริโภค 7. ขยายสวนแบงตลาดอยางตอเนื่อง 8. สงเสริมกิจกรรมเพื่อสังคม • ขอบเขตของธุรกิจ บริษัท แอมโบรเชีย จํากัด (Ambrosia Co.,Ltd) จะเริ่มดําเนินธุรกิจในเดือน มกราคม 2545 โดยผลิตภัณฑของ Ambrosia คือ ไอศกรีมสมุนไพร ภายใตชื่อ “Herbies” โดยไอศกรีมดังกลาวจะเปน ไอศกรีมในระดับ Premium ที่นอกจากจะมีความแปลกใหมในดานรสชาติและมีประโยชนตอสุขภาพแลว ยังมีความแตกตางในดานบรรจุภัณฑอีกดวย โดย Ambrosia จะขายสินคาใหแกลูกคา 2 กลุม คือ ชองทาง การขายปลีกผานคีออส (ลูกคาทั่วๆ ไป) และชองทางการขายสงผานรานอาหาร โดยจะมีกลุมเปาหมายที่ เปนลูกคาในเขตกรุงเทพมหานครและปริมณฑล เปนหลัก • สภาพตลาดของไอศกรีม (Market Situation) ไอศกรีมเปนอาหารหวานที่ไดรับความนิยมอยางสูงและมีความเปนสากลประกอบกับใน ปจจุบันปริมาณการบริโภคไอศกรีมตอคนของประชากรคนไทยยังอยูในระดับที่ตํ่ามาก เพียงประมาณ 1 ไพน (Pint) ตอปเทานั้น ซึ่งเมื่อเทียบกับประเทศอื่นๆ แลว ประเทศไทยยังมีศักยภาพที่จะขยายตลาดไดอีก มากในอนาคตอันใกล ทําใหกลุมธุรกิจขนาดใหญตางใหความสนใจเขามาลงทุนในอุตสาหกรรมนี้ ซึ่งจาก กิจกรรมกระตุนตลาดของกลุมบริษัทยักษใหญมีสวนชวยทําใหตลาดไอศกรีมในประเทศไทยมีการขยายตัว อยางตอเนื่องในอัตราที่สูง โดยพบวากอนวิกฤตการณทางเศรษฐกิจตลาดไอศกรีมโดยภาพรวมมีการเติบโต ในระดับปละ 15-20% ซึ่งจัดไดวาเปนอุตสาหกรรมที่มีอัตราการเติบโตที่นาสนใจตอการลงทุนเปนอยางยิ่ง
  • 9.
    ไอศกรีมในประเทศไทยปจจุบันมีมูลคาประมาณ 5 พันลานบาทและอาจสูงถึง 8 พันลานบาท หากรวม ไอศกรีม Home made ตางๆ (รวมรายเล็กๆ ของทองถิ่นและไอศกรีมโบราณ) โดยสามารถแบงตลาดออก ไดเปน 3 ตลาดดังนี้ ภาพที่ 1 แสดงสวนครองตลาดของระดับไอศกรีม ป 2543 : ที่มา ฐานเศรษฐกิจ 1. ไอศกรีมซุปเปอรพรีเมี่ยม (Super premium ice cream) เปนไอศกรีมที่มีราคาสูงที่สุดในตลาด โดยมีสัดสวนตลาดที่คอนขางเล็กเพียง 2-3 % เทานั้น โดยพบวามีผูทําตลาดเพียงรายเดียวคือไอศกรีม ฮาเกนดาส ซึ่งบริษัท เอชดี ดิสทริบิวเตอร จํากัด (ประเทศ ไทย) ซึ่งเปนบริษัทในเครือ เอสแอนดพี เปนผูนําเขามาทําตลาด แตอัตราการเติบโตของตลาดนี้ไมสูงนัก โดยเฉพาะในภาวะวิกฤตการณทางเศรษฐกิจที่ผานมา ชองทางการจําหนายในปจจุบันคือผานรานคาของ เอสแอนดพี รานฮาเกนดาสซึ่งมีรูปแบบรานหลายรูปแบบไมวาจะเปนรานคาแบบเต็มรูปแบบ บริเวณ อาคารมณียา หรือในลักษณะของคีออส (Kiosk) บริเวณหนาพระบรมมหาราชวัง เปนตน 2. ไอศกรีมพรีเมี่ยม (Premium ice cream) เปนไอศกรีมระดับบนเชนกันแตมีราคาตํ่ากวาไอศกรีมซุปเปอรพรีเมี่ยม การแขงขันในตลาด เปนไปอยางรุนแรง โดยไอศกรีมพรีเมี่ยมมีมูลคาตลาดประมาณ 17 % หรือประมาณ 900 ลานบาท โดยมีผู ทําตลาดรายใหญ 3 รายดวยกันคือ Market Share by Grade (Included Local&Home made Ice cream) Premium 12% >900 MB. Medium Class 50 %>4,000 MB. Home made&Local 38% > 3,000 MB. Super Premium1% > 80 MB.
  • 10.
    2.1 ไอศกรีมสเวนเซนส (Swensensice cream) ซึ่งทําตลาดโดยบริษัทสเวนเซนส (ไทย) จํากัด ซึ่งเปนบริษัทในเครือไมเนอรกรุป โดยมีสวนแบงการตลาดสูงสุดประมาณ 60 – 70 % ปจจุบัน ไอศกรีมสเวนเซนสมีชองทางการจัดจําหนายที่หลากหลาย ไมวาจะเปนรานคาแบบเต็มรูปแบบ คีออส ซุปเปอรมารเก็ต หรือแมแตในรานพิซซา รวมทั้งบริการจัดสง (Delivery) ดวย 2.2 ไอศกรีมบาสกิ้นรอบบิ้นส (Baskin Robbins ice cream) ทําตลาดโดยบริษัทบาสกิ้น รอบบิ้นส (ประเทศไทย) จํากัด ซึ่งเปนบริษัทในเครือเซ็นทรัล มีสวนแบงตลาดประมาณ 20-30% โดยชอง ทางการจําหนายหลักคือ รานคาแบบเต็มรูปแบบ (มีการขายแฟรนไชสดวย) รวมถึงรูปแบบคีออส และใน ซุปเปอรมารเก็ตดวย 2.3 ไอศกรีมบัดส (Buds ice cream) ทําตลาดโดย บริษัทอเมริกันฟูดส จํากัด ซึ่งมีสวนแบง ตลาดประมาณ 10% นอกจาก 3 รายขางตนแลว ยังมีความพยายามจากผูนําตลาดไอศกรีมทั่วไปคือ ไอศกรีมวอลล ซึ่ง เคยทดลองตลาดพรีเมี่ยมโดยการสงไอศกรีม คารที-ดอร มาทดลองตลาด แตไมประสบความสําเร็จมาก นักจึงเลิกทําตลาดไป ในขณะที่ไอศกรีมเนสเลทเองก็ไดสงไอศกรีม เนสเลทครามีเลีย มาทําตลาด ไอศกรีมพรีเมี่ยมดวยเชนเดียวกัน แตเนื่องจากยังอยูในชวงตนของการทําตลาดเทานั้น จึงยังไมอาจสรุปผล การทําตลาดไดวาประสบความสําเร็จเพียงใด โดยกลยุทธหลักที่ใชคือกลยุทธราคา โดยเนนใหราคาตํ่ากวา ผูนําตลาดอยางไอศกรีมสเวนเซนสประมาณ 25-30 บาท ตอควอท (Quart) ไอศกรีมพรีเมี่ยมเปนตลาดที่มีอัตราการเติบโตที่สูงสุด โดยพบวาในชวงกอนวิกฤตการณทาง เศรษฐกิจนั้นมีอัตราการเติบโตสูงถึง 30% ตอป หรือแมแตในชวงที่เศรษฐกิจซบเซา ตลาดนี้ยังคงมีอัตรา การเติบโตสูงถึง 10% ตอป ในขณะที่ภาพรวมของตลาดไอศกรีมมีการหดตัวลง ทั้งนี้เนื่องจากการเปลี่ยน แปลงพฤติกรรมการบริโภคของคนไทย โดยผูบริโภคตองการสินคาที่มีคุณภาพสูงขึ้นและยอมจายในราคาที่ สูงขึ้น โดยสวนแบงตลาดของแตละยี่หอเปนดังในภาพที่ 2
  • 11.
    ภาพที่ 2 แสดงสวนครองตลาดของผูผลิตไอศกรีม 3.ไอศกรีมทั่วไป ตลาดกลางถึงลาง (Low to medium class ice cream) เดิมในตลาดนี้มีผูทําตลาดหลายราย โดยเฉพาะนักลงทุนทองถิ่น แตเมื่อกลุมทุนขามชาติยักษ ใหญเขามาทําตลาดในประเทศไทยและมีการแขงขันกันอยางรุนแรงทําใหกลุมทุนรายยอยในทองถิ่นไม สามารถแขงขันไดเลย มีการลมสลายไปเปนจํานวนมาก ปจจุบันไอศกรีมทั่วไปมีมูลคาตลาด 4,000 ลาน บาท หรือคิดเปน 80% ของมูลคาตลาดรวม (ที่มา ฐานเศรษฐกิจ) โดยกลุมผูนําตลาดในปจจุบันที่เปนราย ใหญมีเพียง 3 รายเทานั้น ไดแก 3.1 ไอศกรีมวอลส (Wall’s ice cream) ซึ่งทําตลาดโดยบริษัทยูนิลีเวอร (ประเทศไทย) จํากัด ซึ่งเนนสินคาที่ราคาไมสูง มีความหลากหลายของผลิตภัณฑ รวมทั้งจุดขายที่มากที่สุด และเปนผูนํา ตลาดนี้ดวยสวนแบงตลาดมากกวา 70-80 % 3.2 ไอศกรีมเนสเลท (Nestle ice cream) ทําตลาดโดยบริษัทเนสเลทไอศกรีม โดยเนสเลท เพิ่งเขามาทําตลาดในประเทศไทยไดไมนานนัก แตดวยความพรอมทางดานทุนและเทคโนโลยีแลว ทําใหมี ความพรอมในการแขงขันในตลาดไอศกรีมคอนขางมาก ปจจุบันยังมีสวนแบงตลาดไมมากนัก 3.3 ไอศกรีมแมกโนเลีย ยูไนเต็ด (Magnolia united ice cream) ทําตลาดโดยบริษัทยูไน เต็ดฟูด จํากัด ไอศกรีมยูไนเต็ดทําตลาดไอศกรีมในประเทศมาเปนเวลาคอนขางนาน โดยเริ่มจากการเปน ไอศกรีมของกลุมทุนทองถิ่นและตอมาจึงไดมีการรวมทุนกับตางชาติ ปจจุบันไอศกรีมยูไนเต็ดมีสัดสวน ตลาดไมมากนักเชนกัน ตลาดไอศกรีมทั่วไปเปนตลาดที่มีการแขงขันที่รุนแรงมากที่สุด โดยผูอยูรอดในกลุมนี้จํา Market Share of Premium and Super Premium Ice Cream Swensens 70% Hagen Daaz 3% Baskin Robbins 20% Buds 7%
  • 12.
    เปนที่จะตองมีความพรอมทางดานเงินทุนและเทคโนโลยีในระดับสูง อยางไรก็ดี ยังมีผูใหความสนใจที่จะ เขามาทําตลาดนี้อีกในอนาคตเชน กลุมซีพีที่คาดวาจะรวมทุนกับเมจิของญี่ปุนเขามาทําตลาดไอศกรีมใน อนาคตอันใกลนี้ ดังนั้นเมื่อพิจารณาสภาพตลาดไอศกรีมในภาพรวม จะพบวาตลาดไอศกรีมในประเทศไทยมีมูลคา ตลาดอยูในระดับสูง ทั้งยังมีอัตราการเติบโตในระดับที่นาพอใจ กลาวคือ การเติบโตในระดับ 15 –20% ตอป โดยในสวนของไอศกรีมพรีเมี่ยมมีอัตราการเติบโตสูงสุดกวา 30% ตอป ในขณะที่ไอศกรีมทั่วไปมี อัตราการเติบโตประมาณ 10 – 15% ตอป โดยในชวงวิกฤตการณที่ผานมาพบวาตลาดไอศกรีมสวนใหญมี การหดตัวเล็กนอยโดยไอศกรีมพรีเมี่ยมเปนเพียงตลาดไอศกรีมเดียวที่ยังคงมีการเติบโตอยางตอเนื่องโดย ประมาณ 10% ตอป ในดานสัดสวนการครองตลาดพบวาตลาดไอศกรีมมีผูนําตลาดที่คอนขางชัดเจนและ ทิ้งหางคูแขงคอนขางมากไมวาจะเปนในตลาดพรีเมี่ยมที่ไอศกรีมสเวนเซนสครองสวนแบงตลาดกวา 70% หรือในตลาดทั่วไปที่ไอศกรีมวอลลส ครองสวนแบงตลาดประมาณ 80% แตอยางไรก็ตาม จากงานวิจัย หลายๆ ชิ้นพบวาไอศกรีมแบบ Home-made ยังคงไดรับความนิยมอยูในระดับหนึ่งดวยเชนกัน เชน ผลการ สํารวจของบริษัทศูนยวิจัยกสิกรไทย ในป 2540 พบวาคนกรุงเทพฯ กวา 14% นิยมรับประทานไอศกรีมจาก รานที่ผลิตเองหรือไอศกรีม Home –made ดวยเหตุผลวาติดใจในรสชาติ สะดวกในการซื้อ รวมทั้งราคาไม แพง ซึ่งเหตุผลเหลานี้เองที่นาจะเปนโอกาสที่ทําใหไอศกรีม Home-made ที่ไมคอยมีชื่อเสียงแตมีรสชาติดี จะสามารถเขามาทําตลาดได • การวิเคราะหคูแขง (Competitor Analysis) ในตลาดไอศกรีมพรีเมี่ยมปจจุบันมีอยูหลายรูปแบบทั้งในรูปของไอศกรีมแบบตัก แบบที่บรรจุ สําเร็จ และแบบ Take home ซึ่งไอศกรีม Premium แบบ Take home มีอยูหลายขนาดใหเลือก เชน ขนาด ถวยเล็ก100 กรัม ขนาดไพนประมาณ 250-290 กรัม และขนาด Quart ประมาณ 500-600 กรัม รวมทั้ง ขนาดที่ใหญขึ้นอีกเปนประมาณ 750-1,000 กรัม เปนตน รวมทั้งรูปแบบของไอศกรีมแบบแทงสําเร็จบรรจุ ซองฟรอยด โดยระดับราคาจะเริ่มตั้งแตประมาณ 20 บาทขึ้นไป การแขงขันในปจจุบันมีคูแขงรายใหญ จํานวนนอยราย และมีผูนําตลาดที่โดดเดนชัดเจน โดยการแขงขันเปนไปอยางรุนแรง และการแขงขันที่มาก ก็เปนสวนหนึ่งที่ชวยใหตลาดไอศกรีมพรีเมี่ยมมีการเติบโตอยางตอเนื่อง คูแขงทางตรงและทางออม (Direct and Indirect Competitor)
  • 13.
    Herbies มีคูแขงทางตรงทั้งที่เปนไอศกรีมสมุนไพรโดยตรงและที่เปนไอศกรีมพรีเมียม ซึ่งประกอบ ดวยไอศกรีมแดรี่ปริ๊นเซส ไอศกรีมวินเนอร ไอศกรีมทัคคานินี่ ไอศกรีมสเวนเซนส ไอศกรีมบัดส ไอศกรีมบาสกิ้นรอบบิ้น ไอศกรีมเจลาโต รวมทั้งไอศกรีมฮาเกนดาสดวย โดยในสวนของคูแขงทาง ออมจะอยูในรูปของไอศกรีมระดับทั่วไปอื่นๆ เชน ไอศกรีมสําเร็จจากตูแชและแบบตัก ไดแก ไอศกรีมวอลล ไอศกรีมเนสเลท ไอศกรีมยูไนเต็ดเม็กโนเลีย รวมทั้งไอศกรีมรายยอยอื่นๆ นอกจากนั้นของหวานตางๆ ก็ถือไดวาเปนคูแขงทางออมของ Herbies เชนกัน คูแขงทางตรง (Direct Competitor) เนื่องจาก Herbies ไดรับการวางตําแหนงผลิตภัณฑในระดับไอศกรีมพรีเมี่ยม ซึ่งมีความสอดคลอง กับไอศกรีมสมุนไพรยี่หออื่นๆ ที่วางตลาดในปจจุบัน ซึ่งในปจจุบันที่คอนขางมีชื่อเสียงแลวในระดับหนึ่ง มี อยู 3 รายไดแก 1. ไอศกรีมของแดรี่ปริ๊นเซส ซึ่งมีวางขายอยูหลายจุดเชน หนามหาวิทยาลัยเกษตรศาสตร หางเซ็นทรัลชิดลม World Trade Center และ Emporium เปนตน โดยไอศกรีมจะมีความหลากหลายใน รสชาติคอนขางมาก แตในแตละจุดขายจะมีเพียง 12 –15 รสชาติเทานั้น ระดับราคาประมาณ 22-29 บาท ตอลูกสําหรับไอศกรีมแบบตัก ปจจุบันพบวาแดรี่ปริ๊นเซสไมไดมีการทํากิจกรรมสงเสริมการขายใน ลักษณะของ Mass media แตมีการสงเสริมการขาย ณ จุดขาย เชน มีการแจกที่คั่นหนังสือ ทํา Price Discrimination เปนตน 2. ไอศกรีมทัคคานินี่ ปจจุบันมีเพียงจุดขายเดียวที่ซอยทองหลอ ตรงขามโออิชิภัตตาคาร ไอศกรีมเปนไอศกรีมแบบ Home-made ที่มีความหลากหลายมาก ซึ่งมีทั้งที่เปนไอศกรีมสมุนไพรและ ไอศกรีมรสชาติทั่วไปเชน ชอคโกแลต มอคคาอัลมอนตฟดจ เปนตน ปจจุบันไอศกรีมทัคคานินี่กําลังเปนที่รู จักในวงกวางมากยิ่งขึ้น โดยเฉพาะในสวนของสิ่งพิมพในฐานะรานไอศกรีมอรอย เชน รานไอศกรีมอรอย อันดับ 1 จากการจัดอันดับของนิตยาสารอิมเมจ ฉบับ Summer Issue ประจําเดือนเมษายน 2544 เปนตน ราคาของไอศกรีมทัคคานินี่อยูในระดับสูงประมาณ 35-40 บาทตอลูก ซึ่งจัดวามีราคาที่คอนขางสูงกวายี่หอ อื่นๆ ในตลาด 3. ไอศกรีมของรานอาหารเวียดนามวินเนอร หรือ ไอศกรีมวินเนอร ไอศกรีมมีความหลาก หลายดานรสชาติทั้งสวนของผัก สมุนไพร และผลไมตางๆ อาจเรียกไดวามีความหลากหลายมากที่สุด ไอศกรีมวินเนอรคอนขางเปนที่รูจักดีโดยเฉพาะในกลุมคนที่รักษาสุขภาพ ปจจุบันมีจุดขายเดียวยานลาดพ ราว ไอศกรีมวินเนอรมีความแตกตางจากไอศกรีมสองยี่หอขางตนคอนขางมาก กลาวคือมีการใชสวนผสม ที่มีไขมันตํ่ากวาหรือมีสวนผสมของครีมนอยกวา ซึ่งมีจุดขายที่สุขภาพเปนหลัก การสงเสริมการตลาด
  • 14.
    ปจจุบันอาศัยการบอกตอ (Word ofMouth) เปนหลัก อยางไรก็ตามเนื่องจากอยูในธุรกิจมาเปนเวลานาน ทําใหมีรายการอาหารทางโทรทัศนหลายรายการมาถายทําเพื่อออกอากาศ รวมทั้งการสัมภาษณเพื่อลงใน คอลัมนอาหารทางนิตยสารตางๆ หลายฉบับ นอกจากนั้นเจาของรานยังเปนวิทยากรสอนทําอาหารรับเชิญ ของโครงการสงเสริมอาชีพของรายการบานเลขที่หาอีกดวย ซึ่งจากเหตุผลดังกลาวทําใหชื่อเสียงของ ไอศกรีมวินเนอรเปนที่รูจักแพรหลายมากขึ้น ไอศกรีมทั้งสามยี่หอขางตนลวนแตเกิดจากการที่เจาของมีความรักในการทําอาหารและ ชอบรับประทานไอศกรีมเหมือนๆ กัน ทําใหแตละคนไดทําศึกษาอยางจริงจังเกี่ยวกับการทําไอศกรีม แลวจึง ไดนํามาปรับปรุงเปนสูตรของตนเอง โดยกวาจะพัฒนามาเปนไอศกรีมสมุนไพรเชิงพาณิชยไดตองใชเวลา พัฒนาตัวสินคาหลายป โดยจะเริ่มจากรานคาของตนเองกอนแลวจึงมีการขยายสาขาออกไปเมื่อมียอดขาย สูงขึ้น รูปแบบการบริหารงานของทั้งสามรานยังคงเปนแบบครอบครัว ในสวนของคูแขงทางตรงนั้น นอกจากไอศกรีมสมุนไพรแลวยังรวมสวนของไอศกรีม พรีเมียมในตลาดของ Swensens Buds Baskin Robbins และ Hagen Dazs ดวย โดยในสวนของราย ละเอียดแตละรายนั้นไดกลาวในสวนของการวิเคราะหตลาดแลว กลาวโดยยอคือปจจุบัน Swensens ครอง สวนแบงตลาดมากกวา 60-70% ของตลาด ดวยจํานวนสาขามากที่สุดกวา 100 สาขาทั่วประเทศ ซึ่งอาศัย ความไดเปรียบดานชองทางการจัดจําหนายที่มากกวา และการผลิตปริมาณมากทําใหมีความประหยัดตอ ขนาด (Economy of Scale) มากกวาคูแขง รวมทั้งการมีแหลงวัตถุดิบในการผลิตนมดิบและครีมเปนโรง งานของตนเองดวย ในขณะที่คูแขงรายอื่นก็มีผูผลิตและผูทําตลาดที่มีศักยภาพเชนกัน เชน ไอศกรีม Baskin Robbins ที่มีกลุมในเครือเซ็นทรัลเปนผูรับสิทธิเพื่อทําการผลิตและจัดจําหนาย เปนตน อยางไรก็ ตาม Swensens ยังมีขอไดเปรียบเหนือคูแขงรายอื่นมาก ซึ่งดวยขอไดเปรียบตาง ๆ จะทําให Swensens จะยังคงเปนผูนําในตลาด (Market leader) ไดอยางตอเนื่อง คูแขงทางออม (Indirect Competitor) นอกจากไอศกรีมในตลาดทั่วไปแลว พบวายังมีสินคาหลายอยางที่สามารถทดแทนการบริโภค ไอศกรีมได เชน กลุมหวานเย็นหรือนํ้าแข็งไสตาง ๆ ไอศกรีมพื้นบานรวมทั้งกลุมของหวาน เครื่องดื่มตาง ๆ ดวย ไมเพียงเทานั้นกลุมของวาง เชน ขนมตางๆ ก็สามารถทดแทนไอศกรีมไดทั้งสิ้น โดยขึ้นกับระดับความ พึงพอใจในการบริโภคไอศกรีมรวมดวย ในการพิจารณาจะพบวาสินคาที่สามารถทดแทนไอศกรีมในการทํา ตลาด เพราะในความงายที่จะถูกทดแทนดวยสินคาอื่นก็ซอนโอกาสในการเขาไปแยงชิงตลาดเพื่อขยาย ตลาดไอศกรีมใหมีมูลคาตลาดที่มากขึ้นไดเชนกัน ในสวนของของหวานตาง ๆ หากมองในสวนของชองทางการจําหนายผานรานอาหารแลว อาจ พิจารณาเปนคูแขงทางออมไดเชนกัน ดังนั้นอาจมองไดวาไอศกรีมมีโอกาสเขาไปทดแทนมูลคาอาหาร
  • 15.
    หวานไดไมนอย อันจะเปนสวนใหตลาดไอศกรีมมีฐานที่กวางยิ่งขึ้น และมีมูลคาตลาดที่สูงขึ้นในอนาคตอีก ดวย •SWOT ANALYSIS การวิเคราะหสภาพแวดลอมภายใน STRENGHT 1. เปนสินคาที่แปลกใหม มีคุณคา และสรรพคุณทางโภชนาการรวมถึงเปนผลิตภัณฑรักษาสุขภาพอีก ดวย 2. มูลคาเพิ่มของตัวสินคามีสูง (High Value Added) 3. มีบรรจุภัณฑที่ตอบสนองการใชงานดานการบรรจุอาหารที่ตองการเก็บรักษาดวยความเย็นและเปน นวัตกรรมที่แปลกใหมในการบรรจุ 4. เปน First Mover ในตลาดไอศกรีมสมุนไพรที่มีการทําการตลาดอยางจริงจัง WEAKNESS 1. ผูกอตั้งกิจการไมมีประสบการณในธุรกิจอุตสาหกรรมไอศกรีม หรือแมแตในอุตสาหกรรมอาหารมา กอน จึงตองใชเวลาเรียนรูและศึกษาถึงสภาพอุตสาหกรรมไอศกรีม ซึ่งอาจทําใหเสียเปรียบคูแขงที่ อยูในอุตสาหกรรมนี้มานาน 2. เงินทุนของผูกอการมีไมมาก ทําใหการขยายกิจการในชวงแรกเปนไปไดยาก การวิเคราะหสภาพแวดลอมภายนอก วิเคราะหสภาพการแขงขันดวย Five Force Model 1. Rivalry among competing sellers หากมองจํากัดเฉพาะตลาดไอศกรีมสมุนไพรนั้นมีผูอยูในตลาดมากอนเปนเวลานาน แตมีจํานวน รายไมมากนัก แตหากมองถึงภาพรวมของตลาดไอศกรีมแลวจะพบวามีคูแขงเปนจํานวนมาก ทั้ง รายเล็กและรายใหญ ประกอบกับตลาดไอศกรีมมีอัตรากําไรขั้นตน (Gross Margin) ในระดับที่สูง ถึง 50-80% รวมทั้งตลาดมีการขยายตัวอยางตอเนื่องและมีศักยภาพการเติบโตในอนาคตอีกมาก เนื่องจากอัตราการบริโภคไอศกรีมของคนไทยในปจจุบันยังอยูในระดับตํ่าเมื่อเทียบกับประเทศอื่นๆ โดยที่ตลาดมีการแขงขันที่รุนแรงมาก สินคาเดิมในตลาดที่ไมมีความแปลกใหมหรือความแตกตาง มักตายไปจากตลาดเนื่องจากทนการแขงขันจากคูแขงรายใหญในตลาดไมได ในขณะเดียวกันสิน
  • 16.
    คา Home-made หลายชนิดก็สามารถยืนหยัดอยูไดโดยอาศัยความแตกตางในสินคาของตนเปน จุดขายสําคัญ 2.Potential entry การเขาสูตลาดไอศกรีมนั้นเปนไปไดโดยงาย โดยเฉพาะในกลุมของไอศกรีม Home-made เนื่อง จากมีเทคโนโลยีการผลิตที่ไมซับซอน ทําใหเกิดคูแขงรายใหมๆ เกิดขึ้นอยูตลอดเวลาไมวาจะเปน ไอศกรีมในตลาดพรีเมี่ยม หรือ ตลาดทั่วไปก็ตาม แตธุรกิจไอศกรีมสมุนไพรก็มีลักษณะเหมือนกับ ธุรกิจอาหารอื่นๆ คือตองเนนดานรสชาติ และการไดมาซึ่งวิธีการผลิตใหไดไอศกรีมสมุนไพรที่มีรส ชาติดีนั้นตองอาศัยเทคนิคตาง ๆ ซึ่งตองเกิดจากการทดลองเปนเวลานาน ซึ่งอาจเลียนแบบไดไม งายนัก และตองใชเวลาไมนอยในการทําสินคาเลียนแบบใหได คุณภาพทัดเทียมกัน 3. Substitute product ไอศกรีมเปนสินคาที่มีสินคาทดแทนไดงาย ขึ้นอยูกับวาจะมองไอศกรีมเปนสินคาประเภทใด หาก มองภาพรวมๆ วาเปนอาหารหวานชนิดหนึ่งแลว สินคาที่จะทดแทนไดก็คือกลุมอาหารหวานทั้ง หมด ซึ่งมีเปนจํานวนมาก แตหากมองไอศกรีมแยกออกจากอาหารหวานทั่วๆ ไปแลว ไอศกรีม สมุนไพรก็มีคูแขงเปนไอศกรีมทั่วไปๆ ที่มีอยูในตลาดนั่นเอง ซึ่งปจจุบันนี้ก็มีสินคาใหเลือกเปน จํานวนมาก แตเนื่องจากภาพลักษณของไอศกรีมในปจจุบันยังไมคอยเปนมิตรกับ สุขภาพของผู บริโภคเทาใดนัก การสรางทางเลือกในลักษณะของอาหารหวานที่ดีตอสุขภาพ นั้นนาจะเปนทางเลือกที่นาสนใจแกผูบริโภค 4. Power of buyer เนื่องจากการทําตลาดแบบ 2 สวนตลาดและแตละสวนก็มีความแตกตางของผูซื้อ คือกลุมราน อาหารหรือขายสง กับ กลุมผูซื้อรายยอยหรือขายปลีก ในสวนของการขายสงนั้น ผูซื้อคือราน อาหารซึ่งมีอํานาจตอรองที่คอนขางสูงในชวงตน เนื่องจากไอศกรีมสมุนไพรเปนสินคาที่คอนขาง ใหมสําหรับคนทั่วไป ประกอบกับบริษัทเปนบริษัทใหมและยี่หอสินคายังไมเปนที่รูจักและยอมรับใน ตลาด ทําใหรานคามีอํานานตอรองเหนือบริษัท ทั้งบริษัทจําเปนตองอาศัยรานคาและพนักงานใน การผลักดันสินคาไปสูบริโภค อยางไรก็ตามเมื่อสินคาไดรับความนิยมมากขึ้นแลว จะมีสวนชวย สรางอํานาจตอรองใหเพิ่มขึ้นได ในสวนของตลาดรายยอยนั้น หากมองอยางจํากัดเฉพาะไอศกรีม สมนุไพรแลวพบวาการหาซื้อเปนไปไมงายนัก เนื่องจากเปนธุรกิจขนาดเล็กในลักษณะของไอศกรีม Home-made และมีจํานวนผูประกอบการในตลาดไมมากนัก ผูซื้อที่ตองการบริโภคไอศกรีม สมุนไพรแบบเจาะจงซื้อก็จะมีอํานาจการตอรองที่ไมมากนัก โดยเฉพาะในสวนลูกคาที่นิยมความ แปลกใหมและตองการคุณคาทางโภชนาการดวยแลว อํานาจการตอรองก็จะนอยลง
  • 17.
    5. Power ofsupplier เนื่องจากวัตถุดิบการผลิตเปนสินคาพื้นฐานที่หาไดไมยาก เชน นมสด ครีม ไข พืชผักผลไม สมุนไพร เปนตน ซึ่งเปนสินคาที่จัดหาไดงายและมีผูผลิตมากรายในตลาด ทําให Supplier มี อํานาจการตอรองตํ่า โดยเฉพาะสินคาการเกษตรนั้น ตามปกติราคาจะตกตํ่าเมื่อถึงฤดูกาลเนื่อง จากมีผลผลิตออกสูตลาดพรอมกันเปนจํานวนมาก อยางไรก็ตามเพื่อใหไดวัตถุดิบที่คุณภาพดี บริษัทอาจเลือกทําสัญญารับวัตถุดิบคุณภาพดีจากผูผลิตบางราย เพื่อใหเกิดความสะดวกในการ ควบคุมเรื่องคุณภาพวัตถุดิบ จากการวิเคราะหขางตนพบวาธุรกิจไอศกรีมเปนอุตสาหกรรมที่มีแรงดึงดูดของตลาดสูง ทั้ง จากตนทุนการผลิตตอหนวยที่ตํ่า (ทําใหมีอัตรากําไรขั้นตนที่สูง) การเขาสูตลาดก็ทําไดงายเนื่องจากไมมี อุปสรรคในการเขาสูตลาด โดยเฉพาะในกลุมไอศกรีม Home-made ขนาดเล็ก และ Supplier ก็มีอํานาจ การตอรองที่ตํ่า เนื่องจากวัตถุดิบที่ใชในการผลิตเปนสินคาที่หาซื้อไดทั่วไปและมีผูขายในตลาดมากอยูแลว แตอยางไรก็ตามเนื่องจากไอศกรีมสมุนไพรมีสินคาที่ทดแทนไดงาย ดังนั้นการสรางการรับรูใหเกิดขึ้นกับผู บริโภคถึงคุณประโยชนที่เหนือกวาของผลิตภัณฑจึงจําเปนที่จะตองสรางใหเกิดขึ้น เมื่อผูบริโภครับรูถึง Core benefit ของไอศกรีมสมุนไพรแลวจะชวยกระตุนใหเกิดการซื้อซํ้าในอนาคต นอกจากนั้นการเปนราย แรกที่จะพยายามทําตลาดอยางจริงจัง ทําใหในการรับรูของคนทั่วไปแลวบริษัทจะเปน First mover ที่มี ภาพลักษณของการเปนสินคาของแท สามารถสราง Brand recognition ไดงายขึ้น รวมทั้งยังชวยลด Bargaining power from buyers ไดอีกทางหนึ่งดวย อยางไรก็ตามคุณภาพและรสชาติของไอศกรีม สมุนไพรเปนปจจัยที่มีความสําคัญสูงสุดตอการดําเนินธุรกิจในระยะยาว OPPORTUNITY 1. ปจจุบันมีแนวโนมในการนิยมบริโภคอาหารที่ผลิตโดยใชวัตถุดิบจากพืช และสมุนไพรสูงขึ้น 2. ประเทศไทยเปนประเทศที่มีสภาพภูมิอากาศรอนเกือบตลอดทั้งป ทําใหการบริโภคไอศกรีมมีสูงเกือบ ตลอดป ประกอบกับปริมาณการบริโภคไอศกรีมตอหัวของประเทศไทยยังอยูในระดับตํ่า ซึ่งหมายถึง ศักยภาพการเติบโตในตลาดยังมีอยูอีกมาก
  • 18.
    THREAT 1. สภาพเศรษฐกิจที่ยังไมฟนตัว และอาจเกิดภาวะเศรษฐกิจถดถอยทําใหกําลังซื้อของผูบริโภคลดลง และตลาดไอศกรีมหดตัว เพราะไมใชอาหารที่จําเปนตอการดํารงชีวิตประจําวัน 2. มีผูนําตลาดซึ่งเปนยักษใหญในอุตสาหกรรมไอศกรีม ทําใหการเติบโตคอนขางยาก 3. โดยปกติไอศกรีมจะเปนอาหารที่มีไขมันและแคลอรีสูง ทําใหผูบริโภคบางกลุมอาจตอตานภาพลักษณ ที่ขัดแยงกันเองที่วา ไอศกรีมของเราเปนอาหารที่มีคุณคาทางโภชนาการ และมีสรรพคุณทางยา • Management Team ประกอบดวยตําแหนงตาง ๆ ดังตอไปนี้ 1. นายฉัตรไชย เชี่ยวชาญพานิช อายุ 27 ป : Managing Director การศึกษา 2535 – 2539 ปริญญาตรี จากจุฬาลงกรณมหาวิทยาลัย คณะพาณิชยศาสตรและการบัญชี สาขาการบัญชี 2542 – 2544 ปริญญาโท จากมหาวิทยาลัยธรรมศาสตร คณะพาณิชยศาสตรและการบัญชี สาขาบริหารธุรกิจ วิชาเอกธุรกิจระหวางประเทศ ประสบการณการทํางาน เม.ย./2539 – มิ.ย./2540 ตําแหนง Assistant Auditor บริษัท Ernst&Young พ.ค./2540 CPA (Certified Public Accountant) ก.ค./2540 – ปจจุบัน ตําแหนง Assistant Manager บริษัท สหมิตรเอ็นยิเนียริ่ง จํากัด 2. นายสุวิทย ลีลานันทกิจ อายุ 28 ป : Head of Manufacturing การศึกษา 2534 – 2538 ปริญญาตรี จากจุฬาลงกรณมหาวิทยาลัย คณะวิศวกรรมศาสตร สาขาคอมพิวเตอร 2542 – 2544 ปริญญาโท จากมหาวิทยาลัยธรรมศาสตร คณะพาณิชยศาสตรและการบัญชี สาขา บริหารธุรกิจ วิชาเอกธุรกิจระหวางประเทศ ประสบการณทํางาน เม.ย./2538 – ปจจุบัน ตําแหนงวิศวกรระบบ บริษัท อีเอสอารไอ (ประเทศไทย) จํากัด
  • 19.
    3. นายถาวร สุขศรีสราญจิตรอายุ 29 ป : Head of Finance & Accounting การศึกษา 2533 – 2537 ปริญญาตรี จากสถาบันเทคโนโลยีพระจอมเกลาพระนครเหนือ คณะวิศวกรรมศาสตร สาขาวิศวกรรมไฟฟา 2542 – 2544 ปริญญาโท จากมหาวิทยาลัยธรรมศาสตร คณะพาณิชยศาสตรและการบัญชี สาขาบริหารธุรกิจ วิชาเอกการเงิน ประสบการณการทํางาน เม.ย./2537 – ปจจุบัน ตําแหนงวิศวกรไฟฟา บริษัท โตโย-ไทยคอเปอรเรชั้น จํากัด 4. นายวิทยา จารุพงศโสภณ อายุ 26 ป : Head of Marketing & Sales การศึกษา 2535 – 2539 ปริญญาตรี จากมหาวิทยาลัยเกษตรศาสตร คณะอุตสาหกรรมเกษตร สาขาเทคโนโลยีการบรรจุ (เกียรตินิยม) 2542 – 2544 ปริญญาโท จากมหาวิทยาลัยธรรมศาสตร คณะพาณิชยศาสตรและการบัญชี สาขาบริหารธุรกิจ วิชาเอกการตลาด และธุรกิจระหวางประเทศ ประสบการณการทํางาน พ.ค./2539 – ธ.ค./2544 ตําแหนง Technical Service Executive บริษัท สยามคราฟทอุตสาหกรรม จํากัด (เครือซิเมนตไทย) ม.ค./2544 – ปจจุบัน ตําแหนง Sale Executive บริษัท สยามคราฟทอุตสาหกรรม จํากัด (เครือซิเมนตไทย) Managing Director ฉัตรไชย เชี่ยวชาญพานิช Manufacturing Marketing and Sales Finance& Business Accounting Development สุวิทย ลีลานันทกิจ วิทยา จารุพงศโสภณ ถาวร สุขศรีสราญจิตร วิทยา จารุพงศโสภณ ภาพที่ 3 แสดงโครงสรางองคกร
  • 20.
    โดยจากรูปแบบของโครงสรางกลุมผูบริหารที่จัดตั้งขึ้น พบวายังขาดบุคลากรที่มีประสบการณใน ดานธุรกิจอาหารและบริการเพื่อที่จะมาดํารงตําแหนง BusinessDevelopment เพื่อทําหนาที่พัฒนาผลิต ภัณฑและตลาดสําหรับอุตสาหกรรมไอศกรีม ซึ่งถาบริษัทไดบุคคลที่มีประสบการณดานอาหาร โดยเฉพาะ ดานไอศกรีมก็จะชวยใหการดําเนินงานของบริษัทเปนไปไดอยางราบรื่นขึ้น แตอยางไรก็ตาม ในกลุมผู บริหาร (วิทยา จารุพงศโสภณ) สําเร็จการศึกษาปริญญาตรีจากคณะอุตสาหกรรมเกษตร มหาวิทยาลัย เกษตรศาสตร ซึ่งมีพื้นฐานกระบวนการผลิตของอุตสาหกรรมอาหารและมีความรูเกี่ยวกับบรรจุภัณฑ อาหารเปนอยางดี จึงสามารถทําหนาที่ Business Development ไดเชนกัน แผนการทําวิจัยตลาด บริษัทจะทําการวิจัยตลาดในเขตกรุงเทพมหานคร โดยแบงเปน 2 ประเภทคือ จากการสังเกต ณ สถานที่ขายจริง และจากแบบสอบถาม 1. การสังเกต ณ สถานที่ขายจริงในชวงเดือนสิงหาคมถึงกันยายน 2544 โดยคัดเลือกรานอาหารในเขต กรุงเทพมหานครที่เปนตัวแทนของกลุมเปาหมายในแตละชองทางการจัดจําหนายดังนี้ ชองทางการขายสง - รานอาหารจวนทอง - รานอาหารบานกลางนํ้า - รานอาหารชอนเงิน - รานอาหารรถเสบียง ชองทางการขายปลีก - ไอวี่ คอนเนอร เซ็นทรัลพระราม 3 - แกรนดอิตาเลีย มาบุญครองเซ็นเตอร 2. แบบสอบถาม จะแบงเปน 2 ประเภทคือ 2.1 เพื่อศึกษาพฤติกรรมการบริโภคไอศกรีมในเขตกรุงเทพมหานคร โดยออกสํารวจในเดือน ตุลาคม 2544 2.2 เพื่อศึกษาถึงการยอมรับในรสชาติของไอศกรีมเปรียบเทียบกับรสชาติไอศกรีมดั้งเดิม โดยใหผู บริโภคทดลองชิมไอศกรีมสมุนไพร มะขาม เสาวรส นอยหนา กระเจี๊ยบ และงาดํา เปรียบ เทียบกับรสชาติดั้งเดิมคือ สตอรเบอรรี่ วนิลาและสม โดยออกสํารวจในเดือนตุลาคม 2544
  • 21.
    นอกจากนี้เมื่อมีการพัฒนาผลิตภัณฑใหมๆ จะตองมีการนําผลิตภัณฑใหมนั้นไปทําการ ทดสอบตลาดเสมอกอนที่จะนําออกจําหนายจริง เพื่อตรวจสอบการยอมรับในตัวผลิตภัณฑ ผลการทําวิจัยตลาด จากผลการสอบถามพฤติกรรมผูบริโภคไอศกรีมพบวา ปจจัยที่มีผลตอการตัดสินใจซื้อไอศกรีม มากที่สุดคือ รสชาติของไอศกรีม ประกอบกับการที่ใหผูบริโภคชิมรสชาติไอศกรีมสมุนไพร รสชาติงาดํา มะขาม เสาวรส นอยหนา กระเจี๊ยบ พบวาผูบริโภคมีความพึงพอใจในรสชาติของไอศกรีมสมุนไพรมากกวา รสชาติไอศกรีมที่เปนรสชาติดั้งเดิม คือ สตอเบอรรี่ วนิลา สม นอกจากนี้ยังพบวาผูรับประทานไอศกรีมจะ ซื้อไอศกรีมสมุนไพรอีกหลังจากที่ไดชิมรสชาติ มีถึง 79% จะเห็นไดวารสชาติของไอศกรีมสมุนไพร การที่ เปนประโยชนตอสุขภาพ ประกอบกับความหลากหลายในรสชาติ จะสามารถนํามาเปนจุดขายของไอศกรีม สมุนไพร Herbies ได • พฤติกรรมการบริโภคไอศกรีม สําหรับชองทางการขายปลีก การสํารวจพฤติกรรมการบริโภคไอศกรีมในรูปแบบของการสังเกต ณ คีออส (Kiosk) ไอศกรีมดังนี้ 1) ไอวี่ คอนเนอร อยูบริเวณชั้นจี เซ็นทรัล พระราม 3 ซึ่งเปนตัวแทนของกลุม คีออสที่มีกลุมผูรับประทานไอศกรีมโดยสวนใหญเปนกลุมวัยรุน ซึ่งตรงกับคุณลักษณะของคีออส ที่เปน กลุมเปาหมาย โดยทําการสังเกตในชวงเวลา 14.00-17.00 น. วันอังคารที่ 14 สิงหาคม 2544 ชวงเวลา 18.00-20.00 น. และวันเสารที่ 25 สิงหาคม 2544 2) แกรนดอิตาเลีย อยูบริเวณมาบุญครองเซ็นเตอร ชั้น 7 ซึ่งเปนตัวแทนของคีออส ที่กลุมผูรับประทานไอศกรีมโดยสวนใหญเปนกลุมวัยรุน ซึ่งตรงกับคุณลักษณของรานอาหารที่เปนกลุมเปา หมาย โดยทําการสังเกตในชวงเวลา 14.00-17.00 น. ของวันเสารที่ 18 สิงหาคม 2544 และชวงเวลา 18.00-20.00 น. ของวันศุกรที่ 31 สิงหาคม 2544
  • 22.
    ผลการสํารวจทั้งในรูปแบบของแบบสอบถามและรูปแบบของการสังเกต ณ สถานที่จําหนายไอศกรีม ไดพบประเด็นที่สําคัญๆ สามารถนํามาใชในการแบงสวนตลาด การกําหนดกลุม เปาหมาย และการวางตําแหนงผลิตภัณฑ สําหรับชองทางการขายปลีก ดังนี้ - อายุของกลุมตัวอยาง พบวาอายุของประชากรมีความสัมพันธกับปริมาณ การบริโภคไอศกรีม กลาวคือประชากรที่มีอายุมากขึ้นจะมีการลดการบริโภคไอศกรีมลงเนื่องจากมีความ หวงใยในสุขภาพของตนเองมากขึ้น ในขณะที่กลุมอายุนอยมีแนวโนมที่จะบริโภคมากกวา ดังนั้นกลุมเปา หมายสําหรับการบริโภคไอศกรีมจึงกําหนดอายุใหมีอายุอยูในชวง 15-30 ป - รายไดตอครอบครัว เนื่องจากไอศกรีมเปนสินคาที่มีลักษณะเปนสินคา ฟุมเฟอย กลาวคือไมใชสินคาที่จําเปนตอการดํารงชีพ รายไดตอครอบครัวที่มีระดับตํ่ากวา 20,000 บาท จะ มีอัตราการบริโภคไอศกรีมลดนอยลงกวาปกติ อีกทั้งสินคาเองก็มีความหลากหลายในหลายระดับราคาเพื่อ ตอบสนองความตองการของลูกคาที่มีความแตกตางกันไป จึงกลาวไดวาระดับรายไดของครัวเรือนจะมีผล ตอการตัดสินใจเลือกไอศกรีม ดังนั้นจึงกําหนดกลุมเปาหมายที่มีระดับรายไดมากกวา 20,000 บาทตอ ครอบครัว ขึ้นไป - รูปแบบการดํารงชีวิต (Life style) ซึ่งจากการสํารวจพบวาพฤติกรรมของผู บริโภคไอศกรีม สามารถแบงได 4 ประเภท ดังนี้ - ชอบความแปลกใหม กลาวคือเปนกลุมที่ชอบความแปลก ความแตกตางของ รสชาติของไอศกรีม ที่ไมเหมือนรสชาติไอศกรีมทั่วไป - คํานึงถึงรสชาติ กลาวคือ เปนกลุมที่ชื่นชอบในรสชาติของไอศกรีมและเปน ปจจัยลําดับแรกในการพิจารณาเลือกซื้อไอศกรีมมารับประทาน - รักสุขภาพ กลาวคือ เปนกลุมที่รับประทานอาหาร รวมทั้งการบริโภคไอศกรีม ที่เนนที่ผลลัพธหลังจากรับประทาน ซึ่งถามีผลกระทบดานลบจะไมพิจารณา ในการซื้อมารับประทาน เชน มีไขมันเปนสวนผสมอยูสูง และเพิ่มคอเลสเตอ รอลในเลือด เปนตน - นิยมตราสินคา กลาวคือ เปนกลุมที่เลือกซื้อบริโภคไอศกรีมตามความนิยม ของคนทั่วไป และเปนตราสินคาที่มีภาพลักษณที่ดี จากลักษณะของไอศกรีมสมุนไพร Herbies ที่มีความแปลกใหมของรสชาติ เปนประโยชน ตอสุขภาพของผูรับประทาน และใชสวนผสมที่มาจากธรรมชาติ มีไขมันตํ่า กลุมเปาหมายที่สอดคลองกับ ไอศกรีมสมุนไพร Herbies จึงเปนกลุมที่มีรูปแบบการดํารงชีวิตเปนกลุมที่ชอบความแปลกใหม และรักใน สุขภาพเปนหลัก
  • 23.
    - จากการสังเกตปริมาณการขายจากหนารานคีออส 2รานขางตนและจากการสอบถาม พนักงานขาย จึงไดประมาณการยอดขายไอศกรีม สําหรับชองทางการขายปลีกตอคี ออส 150 ลูกตอวัน • พฤติกรรมการบริโภคไอศกรีม สําหรับชองทางการขายสง การสํารวจ ณ รานอาหารที่มีลักษณะกลุมผูรับประทานอาหารที่สอดคลองกับไอศกรีมสมุนไพร Herbies มีดังนี้ 1. รานอาหารจวนทอง ซึ่งเปนตัวแทนของกลุมรานอาหารขนาดใหญ (>50 โตะ) ที่มีกลุมผู รับประทานอาหารโดยสวนใหญเปนครอบครัว ซึ่งตรงกับคุณลักษณะของรานอาหารที่เปนกลุมเปาหมาย โดยการทําการสังเกตในชวงเวลา 18.00 – 21.00 น. วันอังคารที่ 14 สิงหาคม 2544 และวันเสารที่ 25 สิงหาคม 2544 2. รานอาหารบานกลางนํ้า ซึ่งเปนตัวแทนของรานอาหารขนาดใหญ (>50 โตะ) ที่กลุมผูรับ ประทานอาหารโดยสวนใหญเปนกลุมคนทํางาน ซึ่งตรงกับคุณลักษณะของรานอาหารที่เปนกลุมเปาหมาย โดนทําการสังเกตในชวงเวลา 18.00 – 21.00 น. วันพฤหัสบดีที่ 9 สิงหาคม 2544 และวันอังคารที่ 26 สิงหาคม 2544 3. รานอาหารชอนเงิน ซึ่งเปนตัวแทนของกลุมรานอาหารขนาดกลาง (20-50 โตะ) ที่มีกลุมผู รับประทานอาหารโดยสวนใหญเปนคนทํางาน ซึ่งตรงกับคุณลักษณะของรานอาหารที่มีกลุมเปาหมาย โดย ทําการสังเกตในชวงเวลา 18.00 – 21.00 น. วันเสารที่ 18 สิงหาคม 2544 และวันพุธที่ 22 สิงหาคม 2544 4. รานอาหารรถเสบียง ซึ่งเปนตัวแทนของรานอาหารขนาดกลาง (20-50 โตะ) ที่กลุมผูรับ ประทานอาหารโดยสวนใหญเปนกลุมครอบครัว ซึ่งตรงกับคุณลักษณะของรานอาหารที่เปนกลุมเปาหมาย โดยทําการสังเกตในชวงเวลา 18.00 – 21.00 น. วันศุกรที่ 31 สิงหาคม 2544 และวันจันทรที่ 10 กันยายน 2544 ผลการสํารวจทั้งในรูปแบบของแบบสอบถามและรูปแบบของการสังเกต ณ. รานอาหาร ไดพบ ประเด็นที่สําคัญๆสามารถนํามาใชในการแบงสวนตลาด การกําหนดกลุมเปาหมายและการวางตําแหนง ผลิตภัณฑ สําหรับชองการขายขายสงดังนี้ - ขนาดของรานอาหาร จาการสังเกตพบวาผูรับประทานอาหารจะมีการสั่งไอศกรีมเปนอาหารหวานหลังจากรับประทาน อาหารมื้อหลักแลว ในสัดสวน 1:5 กลาวคือ ผูบริโภค 5 คนจะมีการสั่งไอศกรีม 1 คน และสั่งโดยเฉลี่ย 2 กอนตอ 1 คน ในรานขนาดใหญจะมีการหมุนเวียนตลอดทั้งสัปดาหโดยเฉลี่ยตอวันประมาณ 50 โตะ และมี
  • 24.
    จํานวนคนเฉลี่ยตอ 1 โตะเทากับ 3 คน สวนรานขนาดกลางจะมีการหมุนเวียนตลอดทั้งสัปดาห โดยเฉลี่ย ตอวัน 30 โตะ และมีจํานวนคนเฉลี่ยตอโตะ เทากับ 3 คน ประมาณการสั่งซื้อสําหรับรานอาหารขนาดใหญ (จํานวนลูก) = (1/5)*50*3*2 = 60 ลูกตอวัน ประมาณการสั่งซื้อสําหรับรานอาหารขนาดกลาง(จํานวนลูก) =(1/5)*30*3*2 = 36 ลูกตอวัน เนื่องจากตัวผลิตภัณฑอยูในระดับไอศกรีมพรีเมี่ยมและเปนไอศกรีมที่มีรสชาติแปลกใหม แตกตาง จากไอศกรีมในตลาดทั่วไปและมีความหลากหลายของผลิตภัณฑมาก ทําใหราคาอยูในระดับสูง ดังนั้นราน อาหารที่นาจะเปนกลุมเปาหมายหลักควรจะมีขนาดใหญพอสมควร เพื่อใหคุมคากับการลงทุน ทําใหขนาด ของรานอาหารที่เหมาะสมควรจะมีจํานวนโตะที่มีมากวา 20 โตะ ขึ้นไป - กลุมลูกคา เนื่องจากลุมผูบริโถคที่เปนคนทํางานหรือครอบครัวมักจะรับประทานอาหารไอศกรีมจากราน อาหารมากวาที่จะบริโภคคีออส โดยรับประทานโอศกรีมหลังจากรับประทานอาหารหลัก ดังนั้น กลุมเปา หมายหลักสําหรับชองทางการขายสงผานรานอาหาร จึงเปนคนทํางาน และ ครอบครัว - รูปแบบการดํารงชีวิต (Lift Style) ซึ่งเปนการมองในเชิงพฤติกรรมของผูบริโภคโดยแบงไดเปน - ชอบความแปลกใหม - คํานึงถึงรสชาติ - รักสุขภาพ - นิยมตราสินคา เชนเดียวกับพฤติกรรมของผูบริโภคสําหรับชองทางการขายปลีก และการกําหนดกลุมเปาหมาย เปนกลุม ที่มีรูปแบบการดํารงชีวิตที่ชอบความแปลกใหม และรักสุขภาพ เหมือนกับชองทางการขายปลีก
  • 25.
    • การแบงสวนตลาด การกําหนดกลุมเปาหมายและการวางตําแหนงผลิตภัณฑ การแบงสวนตลาด การกําหนดกลุมเปาหมาย การแบงกลุมลูกคาและการกําหนดกลุมเปาหมายจะแบงแยกเปน 2 กลุม คือ 1) สําหรับชองทางการขายปลีก 2) สําหรับชองทางการขายสง ชองทางการขายปลีกผานคีออส (Kiosk) ตัวแปรที่ใชในการแบงกลุมลูกคาเปาหมายที่ซื้อไอศกรีมจาก kiosk เกิดจากการแบงกลุมทั้งในเชิง ประชากรศาสตร และรูปแบบการดํารงชีวิตประกอบกัน โดยแตละปจจัยมีผลตอการตัดสินใจเลือกกลุม เปาหมายดังนี้ 1. อายุของกลุมตัวอยาง 2. รายไดตอครอบครัว 3. รูปแบบการดํารงชีวิต (Lift style) โดยแบงไดเปน - ชอบความแปลกใหม - คํานึงถึงรสชาติ - รักสุขภาพ - นิยมตราสินคา สรุปกลุมลูกคาเปาหมายสําหรับ Kiosk คือกลุมที่มีอายุ 15 –30 ป มีรายไดตอครอบครัว ตั้งแต 20,000 บาทขึ้นไป ซึ่งมีรูปแบบการดํารงชีวิตที่ชอบความแปลกใหมและรักสุขภาพ Household income per month (Bath) 10 15 20 30 >30 ภาพที่ 4 แสดงการกําหนดกลุมเปาหมายสําหรับชองทางการขายปลีก Life Style ชอบความแปลกใหม และรักสุขภาพ >50,000 50,000 40,000 30,000 20,000 Age
  • 26.
    ชองทางการขายสง (รานอาหาร) ตัวแปรที่ใชในการแบงกลุมลูกคาเปาหมายที่มาซื้อจากรานอาหาร เกิดจากการแบงทั้งในเชิงประชา กรศาสตรและรูปแบบการดํารงชีวิตประกอบกัน โดยแตละปจจัยมีผลตอการตัดสินใจเลือกกลุมเปาหมาย ดังนี้ 1. ขนาดของรานอาหาร เนื่องจากตัวผลิตภัณฑอยูในระดับไอศกรีมพรีเมี่ยมและเปนไอศกรีมที่มีรสชาติแปลกใหมแตก ตางจากไอศกรีมในตลาดทั่วไปและมีความสามารถหลากหลายของผลิตภัณฑมาก ทําใหราคาอยูในระดับ สูง ดังนั้นรานอาหารที่นาจะเปนกลุมเปาหมายหลักควรจะมีขนาดใหญพอสมควร เพื่อใหคุมคาการลงทุน ทําใหขนาดของรานอาหารที่เหมาะสมควรจะมีจํานวนโตะที่มีมากวา 2 โตะขึ้นไป 2. กลุมลูกคา เนื่องจากมองเห็นวากลุมผูบริโภคที่เปนคนทํางานหรือครอบครัวมักจะรับประทานไอศกรีมจาก รานอาหารมากวาที่จะบริโภคจากราน Kiosk โดยรับประทานไอศกรีมหลังจากรับประทานอาหารหลัก ดัง นั้นกลุมเปาหมายหลักจึงเปนคนทํางานและครอบครัว 3. ในแงรูปแบบของการดํารงชีวิต (Lift style) ซึ่งเปนการมองในเชิงพฤติกรรมของผูบริโภค โดยแบง เปน - ชอบความแปลกใหม - คํานึงถึงรสชาติ - รักสุขภาพ - นิยมตราสินคา โดยกลุมลูกคาเปาหมายสําหรับชองทางการขายสงคือ รานอาหารที่มีขนาดตั้งแต 20 โตะขึ้นไปที่มี กลุมลูกคาเปนคนทํางานและครอบครัว ซึ่งมีลักษณะการดํารงชีวิตที่ชอบความแปลกใหม และรักสุขภาพ เล็ก กลาง ใหญ 20 โตะ 50 โตะ ครอบครัว คนทํางาน วัยรุน เด็ก ขนาดรานอาหาร ภาพที่ 5 แสดงการกําหนดกลุมเปาหมายสําหรับชองทางการขายสง Life Style ชอบความแปลกใหม และรักสุขภาพ
  • 27.
    การวางตําแหนงผลิตภัณฑ (POSITIONING) จากการสํารวจตลาดพบวากลุมลูกคาของตลาดไอศกรีมคอนขางมีความหลากหลายมาก กระจาย ไปในหลายกลุมอายุยกเวนในกลุมผูสูงอายุที่มีแนวโนมในการบริโภคไอศกรีมนอยลงดวยเหตุผลเรื่อง สุขภาพ นอกจากนั้นความถี่ในการบริโภคยังเกิดขึ้นไดหลายกรณีทั้งที่เกิดจากความตั้งใจและความไมตั้งใจ กลาวคือ ในสวนของการตั้งใจซื้อนั้นจะมีการกําหนดในเรื่องยี่หอ สถานที่ไวกอนแลวนั่นคือการมีความจงรัก ภักดีในตราสินคาในระดับหนึ่ง ลักษณะพฤติกรรมแบบนี้เกิดขึ้นในชองทางการขายปลีกผานคีออส (Kiosk) และรานคาไอศกรีมเต็มรูปแบบ ในขณะที่แบบไมตั้งใจ คือ การพบโดยบังเอิญ หรือบริโภคหลังจากที่รับ ประทานอาหารหลักเรียบรอยแลว ซึ่งในกรณีนี้มักไมมี ความจงรักภักดีในตราสินคา ดังนั้นการอาศัยกล ยุทธดานชองทางการจัดจําหนายเปนหลักสําหรับพฤติกรรมการบริโภคไอศกรีมแบบไมตั้งใจ ในปจจุบันเอง พบวากระแสเรื่องสุขภาพคอนขางไดรับความสนใจในสังคมควบคูไปกับความนิยมในเรื่องการใชสมุนไพรใน การรักษาสุภาพไดกอใหเกิดโอกาสทางการตลาดขึ้นมากมาย จากแนวโนมขางตน บริษัทเล็งเห็นวาไอศกรีมสมุนไพรนั้นควรจะเนนจุดขายความเปนอาหารสุข ภาพ (Health Foods) ประกอบกับผลการสํารวจจากแบบสอบถาม พบวาปจจัยสําคัญที่สุดที่ผูบริโภคใชใน การตัดสินใจเลือกซื้อคือ รสชาติ และจากการใหผูบริโภคทดลองชิมไอศกรีมพบวาผูบริโภคมีความพึงพอใจ ในรสชาติมากกวาไอศกรีมรสชาติดั้งเดิม ดังนั้น Slogan ของไอศกรีมภายใตตรายี่หอ “Herbies” คือ “ ไดอรอย ไดสุขภาพดี” (More Healthy More Delicious) โดยวางตําแหนงผลิตภัณฑเปนไอศกรีมระดับ Premium สําหรับผูรักสุขภาพ ดังนั้นกลุมเปาหมาย หลักจึงเปนกลุมผูใหความสนใจในการดูแลรักษาสุขภาพของตนเอง โดยกลุมเปาหมายรองไดแกกลุมผูที่ ชอบสินคาแปลกใหม
  • 28.
    • กลยุทธการตลาด กลยุทธดานการผลิตภัณฑ (PRODUCT) ผลิตภัณฑไอศกรีมสมุนไพรจะแบงผลิตภัณฑเปน3 กลุม ไดแก 1. กลุมผลไม (Fruit) ไดแก นอยหนา มะขาม เสาวรส ผลไมรวม องุน มะปราง ลําไย ลิ้นจี่ และ มังคุด • นอยหนา (Custard Apple) • มะปราง (Marian Plum) • มะขาม (Tamarind) • ลําไย (Longan) • เสาวรส (Passion Fruit) • ลิ้นจี่ (Lychee) • ผลไมรวม (Mixed Fruit) • มังคุด (Mangosteen) • องุน (Grape) 2. กลุมสมุนไพร (Herbal) ไดแก งาดํา ชาใบหมอน มะกรูด ตะไคร โหระพา และขาวโพด • งาดํา (Black Seasame) • ตะไคร (Lemon Grass) • ชาใบหมอน (Mulberry Leaf) • โหระพา (Sweet Basil) • มะกรูด (Kaffirlime) • ขาวโพด (Corn) 3. กลุมดอกไม (Flower) ไดแก กระเจี๊ยบ เกกฮวย ใบเตย และอัญชัน • กระเจี๊ยบ (Lady’s Finger) • ใบเตย (Pandan) • เกกฮวย (Chysan) • อัญชัน (Mussel-shell creeper) ผลิตภัณฑไอศกรีมจะใชวัตถุดิบที่มีคุณภาพดีโดยจะใชผลไมและสมุนไพรจากโครงการหลวงดอย คําซึ่งจะถือวาเปนจุดขายที่สําคัญ อีกทั้งสวนผสมที่ใชจะใชสวนผสมที่มีไขมันตํ่า เพื่อเปนการตอกยํ้าจุด ขายวาเปนไอศกรีมเพื่อสุขภาพ นอกจากนี้จะใหคณะอุตสาหกรรมเกษตร มหาวิทยาลัยเกษตรศาสตร ทํา การวิจัยเปรียบเทียบคุณคาทางโภชนาการกับไอศกรีมทั่วไป เพื่อเปนการนําเสนอคุณคาและจุดเดนของ ไอศกรีมใหผูบริโภคไดรับทราบดวย ในการขายใหแกลูกคาจะขายเปนลูก (scoop) โดยจะใสเปนถวยหรือโคน โดยที่ถวยสําหรับบรรจุ ไอศกรีมจะมีลักษณะพิเศษ คือ จะมีนํ้าแข็งแหงอยูขางลางถวย ในขณะรับประทานจะเกิดไอสีขาวจากการ ระเหิดของนํ้าแข็งแหง ลอยอยูรอบถวย ซึ่งเปนลักษณะพิเศษบรรจุภัณฑสินคาไอศกรีม สวนโคนจะมีสวน
  • 29.
    ผสมของผลิตภัณฑธรรมชาติ ไดแก ฟกทองเผือก เพื่อตอกยํ้าความเปนผลิตภัณฑเพื่อสุขภาพและสราง ความแตกตางของผลิตภัณฑกับคูแขง สวนผลิตภัณฑที่จะขายในชองทางการขายสง ผานรานอาหารจะจําหนายเฉพาะรสชาติที่แปลก ใหมและไดรับความนิยมซึ่งไมสามารถหารับประทานไดทั่วไป เชน เสาวรส งาดํา องุน กระเจี๊ยบ ใบเตย นอยหนา มะขาม เนื่องจากพฤติกรรมการบริโภคไอศกรีมที่รานอาหารแบบไมตั้งใจ จึงตองใชไอศกรีมที่มี ความแปลกใหมในการดึงดูดผูบริโภค โดยในอนาคตอาจจะเพิ่มรสชาติที่จะจําหนายไปยังชองทางการขาย สง หลังจากที่ไอศกรีมไดรับความนิยมเพิ่มขึ้น กลยุทธดานราคา (PRICE) ชองทางการขายปลีก (RETAILING CHANNEL) จะจําหนายเปนลูก(scoop) ลูกละ 29 บาท เนื่องจากไอศกรีมภายใตตรายี่หอ “Herbies” เปน สินคาที่เหมาะสมกับคนที่รักสุขภาพ และชอบความแปลกใหม ซึ่งไมสามารถหารับประทานไดทั่วไป ประกอบกับลักษณะของสินคามีมูลคาเพิ่ม (High value added) ในตัวผลิตภัณฑ ทําใหสามารถตั้งราคาได สูงกวาปกติ นอกจากนั้นราคาดังกลาวยังเปนระดับเดียวกันหรือใกลเคียงกับคูแขง ซึ่งจะชวยทําใหสามารถ แขงขันไดในตลาด ชองทางการขายสง (WHOLESALE CHANNEL) จะจําหนายในราคาถวยละ 13 – 15 บาททั้งนี้ขึ้นอยูกับปริมาณการสั่งซื้อ ซึ่งการตั้งราคาในระดับที่ ตํ่า เนื่องจากตองการดึงดูดรานอาหารในการจําหนายไอศกรีม กลยุทธดานชองทางการจัดจําหนาย (PLACE) ชองทางการขายปลีก (RETAILING CHANNEL) - เนื่องจากกลุมเปาหมายสําหรับชองทางการขายปลีกมีอายุ 15 – 30 ปและมีรายไดตอ ครอบครัวมากกวา 20,000 บาท ดังนั้นการตั้งคีออส (Kiosk) จะเลือกตั้งในสถานที่ที่มี กลุมเปาหมายอยู เชน หางสรรพสินคา เนื่องจากผลการสํารวจพบวา ผูบริโภคนิยมรับ ประทานไอศกรีมที่หางสรรพสินคา อยูสูงถึง 48% ดังนั้นจึงไดเลือกสถานที่ตั้งที่ สยามสแควร เซ็นทรัลลาดพราว Emporium ฯลฯ - สําหรับสถานศึกษานั้น จากผลการสํารวจพบวาผูบริโภคนิยมไปรับประทานไอศกรีมมี สัดสวน 9% และประกอบกับมหาวิทยาลัยเปนสถานที่ที่มีกลุมเปาหมายอยูมาก และ พฤติกรรมการซื้อไอศกรีมโดยสวนใหญจะเปนแบบตั้งใจซื้อ ดังนั้นรูปแบบของคีออส (Kiosk) จึงตองดึงดูดกลุมลูกคาเปาหมายใหมาซื้อและสอดคลองกับลักษณะของกลุม
  • 30.
    เปาหมาย โดยจะขยายสาขาไปยังสถานศึกษาตางๆ เชนABAC จุฬาฯ มหาวิทยาลัยธรรมศาสตร ฯลฯ ชองทางการขายสง (WHOLESALE CHANNEL) จากลักษณะของไอศกรีมที่เปนประโยชนตอสุขภาพ รสชาติแปลกใหมและกลุมเปาหมายของผูรับ ประทานเปนกลุมคนทํางาน ครอบครัว ที่รักสุขภาพ ชอบความแปลกใหม และจากการสํารวจโดยใชแบบ สอบถาม พบวาผูบริโภคนิยมรับประทานไอศกรีมเปนอันดับสองมีถึง 19% รองจากหางสรรพสินคาที่มีสัด สวน 48% ดังนั้นรานอาหารที่ใชเปนชองทางจําหนายจะตองมีกลุมผูรับประทานอาหารที่สอดคลองกับ ลักษณะของไอศกรีม “Herbies” เชน ยกยอ บัว มังกรหลวง จวนทอง เปนตน กลยุทธในการสงเสริมการขาย (PROMOTION) ชองทางการขายปลีก (RETAILING CHANNEL) - ซื้อ 1 ลูก แถม 1 ลูก ในชวงเดือนแรกที่เปดสาขาใหม - โฆษณาผานสถานีวิทยุของสยามสแควร - จัดไอศกรีมเปนชุด 3 ลูก โดยขายในราคาที่ถูกกวาซื้อเปนลูกๆ เพื่อเพิ่มปริมาณการบริโภค ตอครั้ง เนื่องจากผลการสํารวจพบวาผูบริโภครับประทานไอศกรีมเฉลี่ยครั้งละ 2.64ลูก - ขายราคาพิเศษในวันพุธ เนื่องจากเปนวันที่มียอดขายตํ่าสุดในรอบสัปดาห - ออกงานแสดงสินคาที่เกี่ยวกับอาหาร งานรับปริญญา - เมื่อมีไอศกรีมรสชาติใหมจะจัดสงเสริมการขาย แจกไอศกรีมฟรีเพื่อใหผูบริโภคเกิดการ ทดลอง - แจกที่คั่นหนังสือเพื่อใหความรูเกี่ยวกับประโยชนของสมุนไพร ผลไม และดอกไมที่ใชในการ ทําไอศกรีม ชองทางการขายสง (WHOLESALE CHANNEL) - ให Incentive แกรานอาหารที่ใชเปนชองทางการจําหนาย ซึ่งรานอาหารจะจําหนายใน ราคาขาย 29 บาท/ถวย แตราคาที่ขายใหแกรานอาหาร 13-15 บาท/ถวย ซึ่งเทากับราน อาหารจะไดกําไรตอถวย 14-16 บาท/ถวย - จัดทําเมนู ใหรานอาหารเพื่อเปนการสรางตราสินคา และเปนการใหความรูถึงประโยชนของ สมุนไพรที่ใชเปนสวนผสมของไอศกรีม - จัดทําการสงเสริมการขายรวมกับรานอาหารในการทดลองชิมฟรี (Point of Purchase) และ จัดพนักงานในการใหความรูเกี่ยวกับสมุนไพรของไอศกรีมรสชาติตาง ๆ
  • 31.
    • แผนการปฏิบัติ (ACTIONPLAN) กลยุทธดานผลิตภัณฑ (PRODUCT) จัดจําหนายไอศกรีมรสชาติใหมทุก 2 เดือน - เดือนกรกฎาคม 2545 ไอศกรีมแครอท - เดือนกันยายน 2545 ไอศกรีมลูกบัว - เดือนพฤศจิกายน 2545 ไอศกรีมกะเพรา - เดือนมกราคม 2546 ไอศกรีมลูกเดือย - เดือนมีนาคม 2546 ไอศกรีมขมิ้น กลยุทธดานชองทางการจัดจําหนาย (PLASE) พ.ศ. 2545 ชองทางการขายปลีก (RETAILING CHANNEL) - เสารที่ 1 ของเดือนมิถุนายน เปด Kiosk สาขาแรกที่สยามสแควร - กรกฎาคม เปดสาขาเซ็นทรัลลาดพราว - สิงหาคม เปดสาขา Emporium และสาขามาบุญครอง - กันยายน เปดสาขา เซ็นทรัลปนเกลา และสาขา World Trade Center - ตุลาคม เปดสาขา เมเจอรรัชโยธิน และสาขา เซ็นทรัลชิดลม - ธันวาคม เปดสาขา เซ็นทรัล Silom Complex และสาขา Seacon Square ชองทางการขายสง (WHOLESALE CHANNEL) - มิถุนายน มีไอศกรีมจําหนายในรานอาหาร 10 สาขา โดยเปนรานอาหารขนาดใหญ 3 สาขา และรานอาหารขนาดกลาง 7 สาขา - สิงหาคม เพิ่มจํานวนสาขาการขายผานรานอาหารเปน 20 สาขา โดยเปนรานอาหารขนาดใหญ 6 สาขา และรานอาหารขนาดกลาง 14 สาขา - กันยายน – ธันวาคม เพิ่มชองทางการจัดจําหนายไปยังรานอาหารในเขตกรุงเทพและปริมณฑล ใหครบ 40 ราน โดยเปนรานอาหารขนาดใหญ 14 รานและรานอาหารขนาดกลาง 26 ราน
  • 32.
    พ.ศ. 2546 ชองทางการขายปลีก (RETAILNGCHANNEL) - มกราคม เปดสาขาที่มหาวิทยาลัยอัสสัมชัญ มหาวิทยาลัยธรรมศาสตร - มิถุนายน เปดสาขาที่จุฬาลงกรณมหาวิทยาลัย มหาวิทยาลัยกรุงเทพ มหาวิทยาลัยรังสิต ชองทางการขายสง (WHOLESALE CHANNEL) เพิ่มชองทางการจัดจําหนายไปยังรานอาหารในเขตกรุงเทพและปริมณฑลใหครบ 75 ราน กลยุทธการสงเสริมการขาย (PROMOTION) ชองทางการขายปลีก (RETAILING CHANNEL) - ซื้อ 1 ลูก แถม 1 ลูก ในชวงเดือนแรกที่เปดสาขาใหม สําหรับ Kiosk แรกที่สยามสแควร จะจัดใหมีการสงเสริมการขายซื้อ 1 ลูก แถม 1 ลูก ในเดือน แรกที่เปดสาขา สวน Kiosk อื่น ๆ จะมีการสงเสริมการขายประเภทนี้เฉพาะสัปดาหแรกเทานั้น - โฆษณาผานสถานีวิทยุของสยามสแควร ในเดือนมิถุนายนและกรกฎาคมจะโฆษณาผานสถานีวิทยุของสยามสแควรเพื่อเปนการ ประชาสัมพันธใหผูบริโภครับรูถึงประโยชนของไอศกรีมสมุนไพรและการสงเสริมการขายของทาง ราน - จัดไอศกรีมเปนชุด โดยจําหนายในราคาที่ถูกกวาซื้อเปนลูก เชน ชุด 3 ลูก 3 รส ราคา 70 บาท เปนตน - ขายราคาพิเศษในวันพุธ ทุกวันพุธจะขายไอศกรีมในราคาลูกละ 20 บาท เนื่องจากวันพุธจะเปนวันที่มีจํานวนผูบริโภค นอยที่สุด ดังนั้นการลดราคาจะชวยกระตุนใหผูบริโภคซื้อสินคามากขึ้น โดยจากขอมูลของบริษัท ศูนยวิจัยไทยพาณิชย จํากัด ป 2543 พบวาการสงเสริมการขายสินคาที่สามารถเพิ่มการซื้อในวัย รุนไดมากที่สุดคือ การลดราคาสินคาและบริการ ซึ่งการทําสงเสริมการขายโดยการลดราคาในวัน พุธ จะสอดคลองกับขอมูลดังกลาว
  • 33.
    - ออกงานแสดงสินคาที่เกี่ยวกับอาหาร นําผลิตภัณฑไปออกงานตามแสดงสินคาตาง ๆโดยงานแสดงสินคานั้นจะตองเปนงานที่ใหญ และชวยสงเสริมใหภาพพจนของไอศกรีมดีขึ้น - เมื่อมีไอศกรีมรสชาติใหม จะจัดสงเสริมการขาย เพื่อใหผูบริโภคเกิดการทดลองโดยการแจกฟรี เมื่อออกไอศกรีมรสชาติใหมในสัปดาหแรก และสัปดาหถัดไปถึงสัปดาหที่สี่ จะขายในราคา 18 บาท เพื่อกระตุนใหผูบริโภคเกิดการทดลองรับประทาน - แจกที่คั่นหนังสือเพื่อใหความรูเกี่ยวกับประโยชนของสมุนไพร ผลไม และดอกไมที่ใชในการทํา ไอศกรีม ทุกครั้งที่ลูกคามาซื้อไอศกรีมทางรานจะแจกที่คั่นหนังสือให ซึ่งที่คั่นหนังสือจะใหรายละเอียด เกี่ยวกับตัวสมุนไพรที่เรานํามาใชไอศกรีม และจะเปนการชวยใหผูบริโภครับรูถึงความแตกตาง รวม ถึงคุณประโยชนของผลิตภัณฑ โดยที่คั่นหนังสือจะเปลี่ยนทุก 1 เดือน นอกจากนั้นที่คั่นหนังสือ อาจกลายเปนสิ่งของสะสมของผูบริโภคก็ได ชองทางการขายสง (WHOLESALE CHANNEL) - ให Incentive แกรานอาหาร ในชวงสองสัปดาหแรกที่เริ่มจําหนายไอศกรีมของรานอาหาร จะให Incentive ที่สูงกวา ไอศกรีมทั่วๆ ไปที่ทางรานอาหารจัดจําหนาย เชน ใหสวนลดพิเศษสําหรับการสั่งสินคาครั้งแรก โดยจะขายในราคาถวยละ 10 บาท จากราคาปกติ 13-15 บาท และรานคาจะสามารถจําหนายได ในราคา 29 บาท/ถวย - จัดทําเมนู ใหรานอาหารเพื่อเปนการสรางตราสินคา และเปนการใหความรูถึงประโยชนของ สมุนไพรที่ใชเปนสวนผสมของไอศกรีม โดยจัดทําเมนู ใหแกรานอาหารฟรี สําหรับรานอาหาร ที่เปนชองทางการจัดจําหนาย - จัดทําการสงเสริมการขาย รวมกับรานอาหาร จะจัดทําการสงเสริมการขาย รวมกับรานอาหารตาง ๆ เปนชวงๆ เชนรับประทานอาหารครบ 400 บาท ไดรับไอศกรีมฟรีเทากับจํานวนผูรับประทานในโตะนั้น
  • 34.
    - POP (Pointof Purchase) จัดพนักงานสงเสริมการขาย ทําการสงเสริมการขายใหความรูไอศกรีมรสชาติตางๆ ณ ราน อาหารที่รวมโครงการ • การออกแบบและพัฒนาผลิตภัณฑ การพัฒนาผลิตภัณฑและออกสินคาใหม การพัฒนาผลิตภัณฑและออกสินคาใหม บริษัทจะทําการวาจางใหคณะอุตสาหกรรมเกษตร มหาวิทยาลัยเกษตรศาสตร ทํางานวิจัยและพัฒนาผลิตภัณฑพรอมทั้งกระบวนการผลิต โดยจะวาจางใน ชวงเดือน มกราคม ถึง เดือนเมษายน ของป 2545 และผลิตภัณฑที่จะใหพัฒนาขึ้นมามีดังตอไปนี้ 1. กลุมผลไม (Fruit) ไดแก นอยหนา มะขาม เสาวรส ผลไมรวม องุน มะปราง ลําไย ลิ้นจี่ และ มังคุด 2. กลุมสมุนไพร (Herbal) ไดแก งาดํา ชาใบหมอน มะกรูด ตะไคร โหระพา และขาวโพด 3. กลุมดอกไม (Flower) ไดแก กระเจี๊ยบ เกกฮวย ใบเตย และ อัญชัน โดยในอนาคตบริษัทยังคงจะรวมมือกับมหาวิทยาลัยเกษตรศาสตรเพื่อทําการวิจัยและพัฒนาผลิต ภัณฑเพิ่มเติม โดยในอนาคตทางบริษัทคาดการณถึงรสชาติที่จะพัฒนาเพิ่มเติม ไดแก - แครอท - ลูกบัว - กะเพรา - ลูกเดือย - ขมิ้น เปนตน ซึ่งรสชาติที่จะทําการวิจัยและพัฒนาผลิตภัณฑเพิ่มเติมนั้น เมื่อไดสูตรของการผลิตมาแลวจะตอง ทําการทดลองผลิตและนําไอศกรีมที่ไดมาทําการทดสอบตลาดกอนที่จะออกจําหนายจริง เพื่อที่จะไดทราบ ถึงทัศนคติของผูบริโภคที่มีตอรสชาตินั้น ๆ ซึ่งถาผลการทดสอบแลวผูบริโภคไมตอบรับก็จะไมทําการผลิต รสชาตินั้น ๆ แตถาเปนที่ยอมรับก็จะทําการผลิตเพื่อจัดจําหนายตอไป โดยจุดขายของผลิตภัณฑใหมนอกเหนือจากที่จะตองพยายามพัฒนารสชาติใหอยูในความยอมรับ ของผูบริโภคใหไดแลว คงจะเนนคุณคาทางโภชนาการ และคุณสมบัติทางตัวยาโดยเฉพาะสมุนไพรที่จะ เปนประโยชนตอรางกาย
  • 35.
    ลิขสิทธิ์และสิทธิบัตร จะมีการจดลิขสิทธิ์ ในสวนของตราสินคา เพื่อเปนการคุมครองตราสินคาของบริษัทซึ่งอาจจะมี มูลคาสูงมากในอนาคต ในสวนของบรรจุภัณฑจะจดสิทธิบัตรคุมครอง เพราะจากการตรวจสอบยังไมพบผูที่ออกแบบและ ผลิตบรรจุภัณฑในลักษณะนี้มากอน ทําใหมีโอกาสที่จะสรางรายไดจากการขายบรรจุภัณฑ หรือสิทธิบัตร เพื่อนําบรรจุภัณฑไปประยุกตใชกับสินคาชนิดอื่น เชน เครื่องดื่ม อาหารสด ผักสด ผลไม เปนตน ขอบังคับทางกฎหมาย เนื่องจากไอศกรีมเปนสินคาบริโภค ดังนั้นตามกฎหมายจะตองมีการขอเครื่องหมาย อย. กับสํานัก งานคณะกรรมการอาหารและยา โดยสามารถขออนุญาติไดที่กองควบคุมอาหาร สํานักงานคณะกรรมการ อาหารและยา ถนนติวานนท อําเภอเมือง จังหวัดนนทบุรี โดยขั้นตอนการขอ อย. จะมีเรื่องที่ตองพิจารณา ดังตอไปนี้ - โรงงาน จะตองมีความสะอาดและมีเครื่องมือหรือเครื่องจักรตรงตามที่สํานักงานคณะ กรรมการอาหารและยากําหนดไว โดยทางเจาหนาที่จะเขาตรวจสอบโรงงานเพื่อออกใบ อนุญาตผลิตอาหารให - ผลิตภัณฑ จะตองมีการระบุเลขที่ใบอนุญาตไวบนถังไอศกรีม ยี่หอของผลิตภัณฑ จะตองติดตอขอจดทะเบียนชื่อการคากับกรมทรัพยสินทางปญญา จากนั้นจึงนําชื่อนั้น มาขออนุญาตเพื่อติดบนถวยไอศกรีมกับทางสํานักงานคณะกรรมการอาหารและยาตอไป สถานภาพการพัฒนาผลิตภัณฑในปจจุบัน ไอศกรีม Herbies จะมีจุดเดนคือความแตกตางจากไอศกรีมยี่หออื่นที่มีจําหนายอยูในตลาดคือ รส ชาติของไอศกรีม และสารปรุงแตงรสชาติที่ผสมในไอศกรีม เชน งาดํา เสาวรส ชาใบหมอน ซึ่งโดยปกติการ ยอมรับในรสชาติจะมีนอยเนื่องจากไมเคยรับประทานมากอน และรสชาติที่เปนสวนผสมเองก็เปนที่ยอมรับ ไดคอนขางยาก ดังนั้นในการปรุงแตงรสชาติใหมีความอรอยในระดับที่ยอมรับไดจึงมีความสําคัญอยางยิ่ง เนื่องจากผูกอตั้งไมมีความชํานาญในการพัฒนาผลิตภัณฑไอศกรีม ทางบริษัทจึงวาจางใหคณะ อุตสาหกรรมเกษตร มหาวิทยาลัยเกษตรศาสตร พัฒนาไอศกรีมสมุนไพรรสชาติ ดังกลาว
  • 36.
    ผูที่จะมีสวนรับผิดชอบในการดําเนินการพัฒนาผลิตภัณฑไดแก คุณสุวิทย ลีลานันทกิจ นอกเหนือจากการออกแบบและพัฒนาตัวไอศกรีมเองแลว ทางคณะผูกอตั้งยังใหความสําคัญกับ บรรจุภัณฑที่จะเปนตัวสรางจุดขายใหกับสินคาเนื่องจากวิเคราะหวาประเทศไทยอยูในแถบที่มีภูมิอากาศ รอนเกือบตลอดทั้งปการที่บรรจุภัณฑไมสามารถเก็บรักษาความเย็นของไอศกรีมไวได ทําใหไอศกรีม ละลายอยางรวดเร็ว ผลตามมาคือไอศกรีมจะไมอรอย และบางครั้งทําใหเลอะ เปรอะเปอนในขณะที่รับ ประทาน ผูกอตั้งจึงคิดที่จะใชผลิตภัณฑที่สามารถรักษาสภาพไอศกรีมไวไดใหนานที่สุด โดยจะออกแบบให มีชองเก็บนํ้าแข็งแหงบนตัวบรรจุภัณฑ ซึ่งนํ้าแข็งแหงนี้จะเปนตัวที่ใหความเย็นแกไอศกรีม และอยูไดนาน กวากอนนํ้าแข็งในนํ้าหนักเทากัน แตขอควรระวังคืออันตรายที่อาจจะเกิดขึ้นหากผูบริโภคที่เปนเด็กเล็กนํา ออกมาจากชองเก็บเพื่อนํามาเลน ดังนั้นจึงตองมีการออกแบบใหมีความปลอดภัยโดยไมใหสามารถแกะนํ้า แข็งแหงออกมาได หรือนํ้าแข็งแหงมีจํานวนนอยจนไมกอใหเกิดอันตราย กําหนดการเริ่มออกแบบและพัฒนาผลิตภัณฑเปนดังนี้ กําหนดการ ม.ค. 2545 ก.พ. 2545 มี.ค. 2545 เม.ย. 2545 พ.ค. 2545 มหาวิทยาลัย เกษตรศาสตรทําการ พัฒนาผลิตภัณฑ ทดลองทําตามสูตร ทดสอบการยอมรับใน รสชาติ ออกแบบและพัฒนา บรรจุภัณฑ ทดสอบการใชงาน บรรจุภัณฑ ภาพที่ 8 แสดงกําหนดการพัฒนาผลิตภัณฑ
  • 37.
    แผนการผลิตและการดําเนินงาน ที่ตั้งโรงงาน ในชวงแรกกลุมลูกคาเปาหมายจะเนนในบริเวณกรุงเทพ ฯ เทานั้นโดยการตั้งคีออส (Kiosk) และ สงไอศกรีมใหกับรานอาหารที่อยูในบริเวณกรุงเทพ ฯ ชั้นในเปนหลัก ดังนั้นเพื่อสะดวกตอการขนสงสินคา และจัดหาวัตถุดิบ จึงไดเลือกตั้งโรงงานขนาดเล็กขึ้นในบริเวณกรุงเทพฯ โดยจะเปนลักษณะของการเชาตึก แถว หรืออาคารพาณิชย เปนระยะเวลา 3-5 ป โดยทําเลที่เหมาะสมคือ บริเวณบรรทัดทอง ซึ่งมีอาคาร พาณิชยหรือตึกแถวเหลืออยู โดยจากการสํารวจพบวามีอัตราคาเชาเฉลี่ยเดือนละ 12,500 บาทตอหนึ่ง คูหา และเมื่อปริมาณลูกคามีมากขึ้นอาจจะตองมีการยายโรงงานไปบริเวณชานเมืองเพื่อรองรับกําลังการ ผลิตที่มากขึ้น โดยในขั้นตนจะเชา 2 คูหา เครื่องจักร เครื่องจักรที่ตองใชในการผลิตไอศกรีมจะใชวิธีการเชาซื้อ ซึ่งจะประกอบไปดวย - เครื่องปนไอศกรีม มีกําลังการผลิตสูงสุด 300 กิโลกรัม/วัน และสามารถผลิตได 40 กิโลกรัม/ Batch/ช.ม - ตูแชหรือหองแชไอศกรีมที่ผลิตได - เครื่องตมวัตถุดิบ วัตถุดิบ วัตถุดิบที่ใชในการผลิตสวนใหญจะเปนพืชผัก สมุนไพร และผลไมประเภทตาง ๆ ซึ่งจะติดตอกับ Supplier โดยตรงใหมาสงที่โรงงาน และจะมีวัตถุดิบพื้นฐานที่ตองใชในการผลิตไอศกรีม มีดังนี้ - ไขไก - นํ้าตาล - นม - สารแตงกลิ่น - เกลือ - Whipping Cream ซึ่งการควบคุมวัตถุดิบจะใชหลักการของ MRP (Material Requirement Planning) เนื่องจากเรา ทราบปริมาณการผลิตในแตละวันทําใหสามารถคาดการณปริมาณวัตถุดิบที่ตองการใชในแตละวันได จาก นั้นก็จะจัดซื้อตามวันและเวลาที่ตองการ
  • 38.
    สวนผักผลไมตามฤดูกาล อาจจะตองใชผลไมที่แปรรูปแลวเพื่อใหสามารถผลิตไอศกรีมรสชาตินั้นๆ ไดตลอดทั้งป คนงาน ชวงการผลิตปกติ จะใชจํานวนคนงาน5 คน โดยแบงเปนคนงานในโรงงาน 3 คน ทําหนาที่ในการ ควบคุมเครื่องจักร และจัดเตรียมวัตถุดิบกอนการผลิต สวนพนักงานอีก 2 คน จะชวยในการขนสงสินคา สวนในชวงหนารอนซึ่งจะมีการเพิ่มการผลิตใหมากขึ้น โดยจะใหพนักงานเพิ่มจํานวนชั่วโมงการทํางานและ จายเปนคาตอบแทนเปนคาลวงเวลา ขั้นตอนการผลิต เนื่องจากการผลิตไอศกรีมแตละรสชาติจะมีขั้นตอนการผลิต และสวนผสมที่แตกตางกัน แต สามารถสรุปขั้นตอนที่คลายคลึงกันไดดังนี้ 1. จัดเตรียมผลไมหรือสมุนไพร โดยการปอก หรือ ลางใหสะอาด 2. นําผลไมและสวนผสม เชน นํ้าตาลเขาเครื่องตมเพื่อตมใหเดือด 3. ทิ้งไวใหเย็น แลวจึงนําสวนผสมที่เหลือ รวมทั้ง Whipping Cream มาใสในเครื่องปน และปน จนกลายเปนไอศกรีม 4. นําบรรจุเขาบรรจุภัณฑ แลวนําเขาไปเก็บในหองแชไอศกรีมเพื่อเตรียมขนสงตอไป การผลิตปกติจะทําการผลิตไอศกรีมวันละ 160 กิโลกรัมตอเครื่อง โดยจํานวนรสชาติหรือ ปริมาณในแตละรสชาติจะขึ้นกับความตองการวาตลาดตองการรสชาติไหนบาง ก็จะผลิตตามสัดสวนที่ ตองการ ซึ่งการผลิตในแตละรอบการผลิต (Batch) จะใชเวลาประมาณ 1 ชั่วโมง และจะตองผลิตขั้นตํ่า 40 กิโลกรัมตอรอบ ทําใหหนึ่งวันสามารถผลิตไดอยางมากสุด 8 รสชาติ โดยไอศกรีมที่ผลิตไดจะใสถังขนาด 5 กิโลกรัม ซึ่งถือวาเปนถึงขนาดเล็กเพื่อใหไอศกรีมมีการหมุนเวียนอยูตลอดเวลา ซึ่งสงผลใหมีความสดใหม อยูเสมอ จากนั้นจะมีการจัดสงให Kiosk สวนในชวงหนารอนที่มีความตองการการบริโภคไอศกรีมมากขึ้น จะเพิ่มกําลังการผลิตใหไดวันละ 300 กิโลกรัมตอเครื่อง เพื่อใหเพียงพอกับความตองการของลูกคาที่เพิ่มสูง ขึ้น
  • 39.
    จัดเตรียมผลไม ทําความสะอาดและ และสมุนไพร เตรียมวัตถุดิบ ตมผลไมหรือสมุนไพร กับนํ้าตาลใหเดือด ปลอยไวใหเย็นณ เตรียมสวนผสมหลักที่จะนําเขาสูเครื่องปน อุณหภูมิหอง เชน Whipping Cream,ไขไก และนม นําสวนผสมทั้งหมด เขาเครื่องปนไอศกรีม บรรจุเขาบรรจุภัณฑ และเก็บในหองเย็น ภาพที่ 9 แสดงขั้นตอนการผลิตไอศกรีม
  • 40.
    • แผนการเงิน (FinancialPlan) สมมติฐานในการจัดทํางบการเงิน 1. รายไดจากการขาย - การขายปลีกผานคีออส (Kiosk) ราคาตอหนวย 29 บาท จํานวนลูกที่ขาย 150 ลูกตอวัน 2002 2003 2004 2005 2006Year Month 6 7 8 9 10 11 12 1-3 4-6 7-9 10-12 1-3 4-6 7-9 10-12 1-12 1-12 New Kiosk per month 1 1 2 2 2 0 2 2 3 0 0 2 1 0 0 1 1 Accu. Kiosk 1 2 4 6 8 8 10 12 13 15 15 17 17 18 18 19 20 ตารางที่ 1 ประมาณการจํานวนคีออสในแตละเดือน - ชองทางการขายสง ราคาตอหนวย 14 บาท จํานวนลูกที่ขายของรานอาหารขนาดใหญ 60 ลูกตอวัน จํานวนลูกที่ขายของรานอาหารขนาดกลาง 35 ลูกตอวัน
  • 41.
    Year 2002 20032004 2005 2006 Month 6 7 8 9 10 11 12 1-3 4-6 7-9 10-12 1-3 4-6 7-9 10-12 1-12 1-12 New Shop per month ใหญ 3 0 3 0 1 2 5 3 2 2 3 7 2 6 5 20 15 Accu. Shop ใหญ 3 3 6 6 7 9 14 17 19 21 24 29 33 37 44 58 72 New Shop per month กลาง 7 0 7 3 3 3 3 8 6 2 8 15 10 15 10 40 30 Accu. Shop กลาง 7 7 14 17 20 23 26 31 36 41 47 60 70 85 99 125 156 ตารางที่ 2 ประมาณการจํานวนคีออสในแตละเดือน โดยในการประมาณการจะยึดหลักอนุรักษนิยม (Conservative) จึงสมมติใหไมมีการเติบโต ของจํานวนไอศกรีมที่จําหนายตลอด 3 ป 2. ตนทุนขาย ตนทุนเฉลี่ยตอไอศกรีม 1 กิโลกรัม 120 บาท จํานวนลูกตอไอศกรีม 1 กิโลกรัม 25 ลูก ตนทุนตอไอศกรีม 1 ลูก 4.8 บาท บรรจุภัณฑ - ขายปลีกผานคีออส (Kiosk) 3 บาท - ขายสงผานรานอาหาร 2.8 บาท 3. คาใชจายในการขายและบริหาร ชองทางการขายปลีกผานคีออส (Kiosk) - เงินเดือนพนักงาน จํานวนพนักงานตอคีออส (Kiosk) 2 คน เงินเดือนพนักงานตอคน 5,000 บาท - คาเชาคีออส (Kiosk) คาเชาคีออส (Kiosk) ตอสาขาตอเดือน 35,000 บาท
  • 42.
    - คาคอมมิชชั่นของพนักงาน คาคอมมิชชั่นพนักงานที่คีออส (Kiosk)3% ของยอดขาย - คาใชจายในการทําที่คั่นหนังสือ คาใชจายในการทําที่คั่นหนังสือ 1 บาทตอลูก (โดยจัดทําที่คั่นหนังสือสิ้นสุด ณ ไตรมาส 2 ป 2546) - คาใชจายในการโฆษณาประชาสัมพันธ คาใชจายในการทําโฆษณาและประชาสัมพันธตอเดือนตอคีออส (Kiosk) 5,000 บาท - คาเครื่องแบบพนักงาน เครื่องแบบพนักงานตอคนตอป 2 ชุด ราคาเครื่องแบบพนักงานตอชุด 500 บาท - คาสาธารณูปโภค คาสาธารณูปโภคตอเดือนตอคีออส (Kiosk) 5,500 บาท - คาใชจายเบ็ดเตล็ด คาใชจายเบ็ดเตล็ดตอเดือนตอคีออส (Kiosk) 2,500 บาท - คาใชจายในการสงเสริมการขาย คาใชจายในการสงเสริมการขาย 20% ของยอดขาย ชองทางการขายสงและสํานักงานกลาง - เงินเดือนผูบริหาร จํานวนผูบริหาร 5 คน เงินเดือนผูบริหาร 20,000 บาท (ในป 2004 ถึง 2006 จะขึ้นเงินเดือนผูบริหารปละ 20%) - เงินเดือนพนักงาน จํานวนพนักงาน 5 คน เงินเดือนพนักงาน 5,000 บาท (ในป 2003 ถึง 2006 จะมีการขึ้นเงินเดือนปละ 5%) - คาเชาเครื่องถายเอกสาร คาเชาเครื่องถายเอกสารตอเดือน 2,500 บาท
  • 43.
    - คาเชาสํานักงาน คาเชาสํานักงานตอเดือน 25,000บาท - คาเครื่องเขียน คาเครื่องเขียนตอเดือน 500 บาท - คาใชจายในการสงเสริมการขาย คาใชจายในการสงเสริมการขาย 5% ของยอดขาย - คานํ้ามันรถ คานํ้ามันรถ 0.5% ของยอดขาย - คาใชจายในการวิจัยและพัฒนา คาใชจายในการทําวิจัยและพัฒนาในชวงเริ่มตน (มกราคม-เมษายน 2002) 30,000 บาท คาใชจายในการทําวิจัยและพัฒนาในชวงตอมา (ตั้งแตเดือนพฤษภาคม 2002 เปนตนไป) 3% ของยอดขาย - คาสาธารณูปโภค คาสาธารณูปโภคตอเดือน 32,000 บาท - คาใชจายเบ็ดเตล็ด คาใชจายเบ็ดเตล็ดตอเดือน 5,000 บาท - หนี้สงสัยจะสูญ หนี้สงสัยจะสูญ 0.5% ของยอดขายสง 4. สินทรัพย - หองเย็น คาใชจายในการทําหองเย็น 415,000 บาท (ในเดือนพฤษภาคม 2002) - ยานพาหนะ จํานวนยานพาหนะ 1 คัน ยานพาหนะในการขนสงสินคาตอคัน 720,000 บาท (จะเริ่มเชาซื้อในเดือนพฤษภาคม 2002)
  • 44.
    - คอมพิวเตอรและซอฟทแวร จํานวนคอมพิวเตอรและซอฟทแวร 3ชุด คาใชจายคอมพิวเตอรและซอฟทแวรตอชุด 24,300 บาท - เครื่องพิมพ จํานวนเครื่องพิมพ 2 เครื่อง คาใชจายเครื่องพิมพตอเครื่อง 6,750 บาท - เครื่องใชสํานักงาน จํานวนเครื่องใชสํานักงาน 10 ชุด คาใชจายเครื่องใชสํานักงานตอชุด 6,820 บาท - คาตกแตงสํานักงาน คาตกแตงสํานักงาน 130,000 บาท - คาตกแตงรานคีออส (Kiosk) คาตกแตงตอ 1 คีออส 150,000 บาท - เครื่องจักรผลิตไอศกรีม คาเชาซื้อเครื่องจักรผลิตไอศกรีมตอเครื่อง 430,000 บาท (โดยทําการเชาซื้อในเดือนพฤษภาคมและพฤศจิกายน 2002) - เครื่องเก็บเงิน (Cash Register) คาใชจายเครื่องเก็บเงินตอ 1 คีออส 22,000 บาท - ตูแชไอศกรีม จํานวนตูแชตอ 1 คีออส 2 ตู จํานวนตูแชตอ 1 รานอาหาร 1 ตู คาใชจายตูแชไอศกรีมตอตู 12,000 บาท 5. นโยบายการบัญชี - คาเสื่อมราคา คาเสื่อมราคาจะใชนโยบายตัดคาเสื่อมราคาแบบเสนตรง 20% ตอป - การเชาซื้อ อัตราดอกเบี้ยในการเชาซื้อ 10% ตอป เปนระยะเวลา 3 ป - อายุลูกหนี้เฉลี่ย อายุลูกหนี้เฉลี่ย 30 วัน
  • 45.
    - อายุเจาหนี้ อายุเจาหนี้เฉลี่ย 30วัน - สินคาคงเหลือ สินคาคงเหลือมีอายุเฉลี่ย 15 วัน - ภาษีเงินไดนิติบุคคล อัตราภาษีเงินไดนิติบุคคล 30% ตอป - นโยบายการจายเงินปนผล การจายเงินปนผล 25% ของกําไรสะสมในแตละป 6. ตนทุนของแหลงเงินทุน (Cost of Capital) - สัดสวนโครงสรางเงินทุนของบริษัท ทุนตอหนี้สิน 2:1 - ตนทุนของหนี้สิน 10 % - ตนทุนของทุน 20 % - ภาษีเงินไดนิติบุคคล 30 % WACC = WeKe+ Wd Kd (1-t) = 2/3*0.2+1/3*0.1*(1-0.3) = 15.6% ดังนั้นตนทุนของแหลงเงินทุน (Cost of Capital) ที่ใชในการคํานวณมูลคาปจจุบัน (NPV) จะใช อัตรา 15%
  • 46.
    ประมาณการงบกําไรขาดทุน 2002-2006 2002 20032004 2005 2006 ขาย Kiosk 5,193,900 21,850,050 27,792,150 29,754,000 31,320,000 Wholesale 2,943,430 13,154,540 25,036,620 39,589,200 49,291,200 รายไดจากการขาย 8,137,330 35,004,590 52,828,770 69,343,200 80,611,200 หัก ตนทุนขาย 2,994,842 13,017,946 21,066,438 29,494,080 35,182,080 กําไรขั้นตน 5,142,488 21,986,644 31,762,332 39,849,120 45,429,120 คาใชจาย คาใชจายในการขายและบริหาร 6,339,843 18,890,122 22,144,461 24,440,279 26,645,997 ดอกเบี้ยจาย 70,666 158,000 212,000 129,333 72,000 คาเสื่อมราคา 439,720 1,136,520 1,560,120 1,783,920 1,931,120 รวมคาใชจาย 6,850,229 20,184,642 23,916,581 26,353,532 28,649,117 กําไร (ขาดทุน) (1,707,741) 1,802,002 7,845,751 13,495,588 16,780,003 ภาษีเงินไดนิติบุคคล 28,278 2,353,725 4,048,676 5,034,001 กําไร(ขาดทุน)หลังภาษี (1,707,741) 1,773,724 5,492,026 9,446,912 11,746,002 ตารางที่ 3 ประมาณการงบกําไรขาดทุนป 2002-2006 จากการประมาณการงบกําไรขาดทุนจะพบวา บริษัทจะขาดทุนในปแรกของการดําเนินงานเนื่อง จากบริษัทอยูในชวงเริ่มตนของการดําเนินธุรกิจทําใหมีคาใชจายตางๆ เปนจํานวนมาก นอกจากนั้นบริษัท ยังคงตองใชเวลาในการขยายชองทางการจัดจําหนายเพื่อใหสินคาไปถึงมือผูบริโภคในอนาคต จึงสงผลให บริษัทขาดทุนในปแรก 1.7 ลานบาท หลังจากนั้นบริษัทจะมีกําไรเพิ่มขึ้นทุกป โดยจะพบวาคาใชจายที่ สําคัญของบริษัทไดแก คาเชา Kiosk และคาใชจายในการทํา Promotion ดังนั้นบริษัทตองพยายามควบคุม คาใชจายทั้ง 2 รายการใหอยูในระดับที่เหมาะสมเพื่อใหกําไรของบริษัทเปนไปตามเปาหมาย
  • 47.
    ประมาณการงบดุล (รายป) 2002 20032004 2005 2006 Assets Current assets Cash on hand and in bank 36,871 804,760 6,002,006 14,006,132 21,456,748 Accounts receivable 755,703 1,317,871 2,607,975 3,282,605 4,087,062 Inventory 387,500 628,605 1,034,356 1,228,920 1,465,920 Other current assets 5,000 5,000 5,000 5,000 5,000 Total current assets 1,185,074 2,756,236 9,649,337 18,522,656 27,014,730 Leased Assets 1,983,333 1,825,333 2,549,333 2,420,000 2,348,000 Minus Accumulated depreciation 151,333 378,333 749,333 1,120,333 1,491,333 Net Leased Assets 1,832,000 1,447,000 1,800,000 1,299,667 856,667 Plant, Properties & Equipment 3,139,600 4,491,600 5,943,600 6,619,600 7,355,600 Minus Accumulated depreciation 288,387 1,197,907 2,387,027 3,799,947 5,360,067 PPE-net 2,851,213 3,293,693 3,556,573 2,819,653 1,995,533 Other asset 38,750 38,754 38,758 38,759 38,760 Total assets 5,907,037 7,535,683 15,044,668 22,680,735 29,905,690 Liabilities & Shareholder equity Current liabilities 5,000 5,000 5,000 5,000 5,000 Account payable 775,000 1,257,211 2,068,712 2,457,840 2,931,840 Accrued expenses 87,000 116,100 134,280 141,544 148,896 Corporate tax payable 0 28,278 2,353,725 4,048,676 5,034,001 Short-Term Loan 0 0 0 0 0 Total current liabilities 867,000 1,406,589 4,561,717 6,653,060 8,119,737 Long term Leasing contract 1,747,778 1,063,111 1,314,444 816,111 317,778 Total Liabilities 2,789,351 3,129,151 4,517,092 6,344,571 7,135,350 Shareholder equity Issued Common stock 500,000 shares (parvalue of 10 Bath) 5,000,000 5,000,000 5,000,000 5,000,000 5,000,000 Retained earnings (1,707,741) 65,983 4,168,507 10,211,564 16,468,175 Total shareholder’s equity 3,292,259 5,065,983 9,168,507 15,211,564 21,468,175 Total liabilities Shareholder equity 5,907,037 7,535,683 15,044,668 22,680,735 29,905,690 ตารางที่ 4 ประมาณการงบดุลป 2002 - 2006
  • 48.
    ประมาณการงบกําไรสะสม 2002-2006 2002 20032004 2005 2006 กําไรสะสมตนงวด 0 (1,707,741) 65,983 4,168,507 10,211,564 บวก กําไรสุทธิ (1,707,741) 1,773,724 5,492,026 9,446,912 11,746,002 (1,707,741) 65,983 5,558,009 13,615,418 21,957,566 หักเงินปนผล 0 0 (1,389,502) (3,403,855) (5,489,392) กําไรสะสมยกไป (1,707,741) 65,983 4,168,507 10,211,564 16,468,175 ตารางที่ 5 ประมาณการงบกําไรสะสมป 2002-2006 บริษัทคาดวาจะสามารถจายเงินปนผลไดในป 2004 เนื่องจากบริษัทคาดวาในปดังกลาวบริษัทจะ เริ่มมีกําไรและเงินทุนหมุนเวียนเพียงพอที่จะสามารถจายเงินปนผล โดยไมกระทบตอฐานะทางการเงินของ บริษัท
  • 49.
    ประมาณการงบกระแสเงินสด 2002-2006 2002 20032004 2005 2006 กระแสเงินสดจากกิจกรรมดําเนินงาน (วิธีทางออม) กําไรสุทธิ (1,707,741) 1,773,724 5,492,0269 9,446,912 11,746,002 รายการปรับกระทบยอดกําไรสุทธิเปนเงินสด ไดจาก(ใชไปใน) การดําเนินงาน คาเสื่อมราคา 439,720 1,136,520 1,560,120 1,783,920 1,931,120 การเปลี่ยนแปลงในสินทรัพยและหนี้สินจาก การดําเนินงาน (368,203) (321,063) (884,353) (480,066) (567,458) เงินสดสุทธิไดจาก (ใชไปใน)กิจกรรม ดําเนินงาน (1,636,223) 2,589,181 6,167,793 10,750,766 13,109,665 กระแสเงินสดจากกิจกรรมลงทุน เงินสดรับ จากการกูยืม 0 0 0 0 0 จากการขายทรัพยสิน 0 0 0 0 0 เงินสดจาย เพื่อซื้อสินทรัพย (5,166,683) (1,194,004) (1,194,004) (546,668) (664,001) เงินสดสุทธิไดจาก (ใชไปใน)กิจกรรมลงทุน (5,166,683) (1,194,004) (1,194,004) (546,668) (664,001) กระแสเงินสดจากกิจกรรมจัดหาเงิน เงินสดรับ จากการออกหุนทุน 5,000,000 0 0 0 0 จากการกอหนี้สิน 1,839,778 0 2,594,960 1,203,882 494,343 เงินสดจาย เพื่อชําระหนี้ 0 (627,288) 0 0 0 จายเงินปนผล 0 0 (1,389,502) (3,403,855) (5,489,392) เงินสดสุทธิไดจาก (ใชไปใน)กิจกรรมจัดหาเงิน 6,839,778 (627,288) 1,205,458 (2,199,973) (4,995,048) เงินสดและรายการเทียบเทาเงินสดสุทธิเพิ่มขึ้น (ลดลง) 36,871 767,888 5,197,247 8,004,125 7,450,616 บวกเงินสดและรายการเทียบเทาเงินสดตนงวด 0 36,871 804,760 6,002,006 14,006,132 เงินสดและรายการเทียบเทาเงินสดปลายงวด 36,871 804,760 6,002,006 14,006,132 21,456,748 ตารางที่ 6 ประมาณการงบกระแสเงินสดป 2002-2006
  • 50.
    วิเคราะห Break evenanalysis ของการขายแบบ Wholesale Price per Scoope 14.0 Variable Cost Details of cost per units COGS 7.8 Promotion gift 0 Marginal Cost 7.8 Gross Contribution per unit 6.2 commission per unit 0 promotion per unit 1 Marginal Contribution per unit 5.5 Fixed Cost Fixed Expenses/month 185,000 Total fixed expenses per month 185,000 จํานวน Break-even unit per month 33,636 Scoops ตารางที่ 8 การวิเคราะหจุดคุมทุนของชองทางการขายสง จากการวิเคราะหจะพบวาบริษัทตองพยายามขายไอศกรีมใหกับรานอาหารตางๆ อยางนอยเดือน ละ 33,636 ลูก หรือตองขายไอศกรีมใหแกรานอาหารขนาดใหญจํานวน 18 รานอาหารหรือรานอาหาร ขนาดกลาง 32 ราน ซึ่งจากประมาณการของบริษัทพบวา ณ สิ้นปแรกของการดําเนินกิจการ บริษัทจะตอง มีไอศกรีมเขาไปขายยังรานขนาดใหญ 14 ราน และรานขนาดกลางจํานวน 26 ราน ซึ่งทําใหคาดไดวา บริษัทจะสามารถขายสินคาไดในปริมาณที่เปนจุดคุมทุนได
  • 51.
    Financial Ratio 2002 20032004 2005 2006 Swensen 2000 Liquidity Ratio Current ratio 1.37 1.96 2.12 2.78 3.33 0.72 Quick ratio 0.91 1.51 1.89 2.60 3.15 0.20 Receivable Turnover 3.89 12.69 12.75 13.44 13.38 66.95 Receivable Turnover (Days) 92.43 28.37 28.22 26.78 26.91 5.38 Inventory Turnover 7.73 25.62 25.34 26.06 26.11 9.11 Inventory Turnover (Days) 46.58 14.05 14.21 13.81 13.79 39.52 Profitability Ratio ROI -034 0.35 1.10 1.89 2.35 0.38 ROA -0.29 0.26 0.49 0.50 0.45 0.08 EPS -3.42 3.55 10.98 18.89 23.49 37.96 Gross profit Margin Kiosk + Wholesale 63.20% 62.81% 60.12% 57.47% 56.36% 62.92% Kiosk 69.00% 69.00% 69.00% 69.00% 69.00% Wholesale 37.00% 37.00% 37.00% 37.00% 37.00% Net Profit Margin -20.99% 5.15% 14.85% 19.46% 20.82% 6.04% Leverage Ratio Debt to Equity 0.79 0.49 0.64 0.49 0.39 0.39 Debt to Total Assets 0.44 0.33 0.39 0.33 0.28 0.28 ตารางที่ 9 อัตราสวนทางการเงิน จาก Liquidity Ratio จะพบวา บริษัทมีสภาพคลองในระดับที่คอนขางดีโดยมี Current Ratio สูง กวา 1 และในดานอัตราสวน Inventory Turnover พบวาบริษัทมีความสามารถสูงในการเปลี่ยนสินคาเปน เงินสดโดยเฉลี่ยมีคาสูงถึง 27 รอบใน 1 ป หรือสามารถแปลงเปนระยะเวลาการหมุนเวียนของสินคาโดย เฉลี่ยเพียงแค 14 วัน นอกจากนี้บริษัทยังมีอัตราสวน Receivable Turnover เพียงแค 27 วันซึ่งแสดงวา บริษัทมีประสิทธิภาพในการเก็บหนี้สูง
  • 52.
    สวนความสามารถในการทํากําไรของบริษัทอยูในระดับที่คอนขางดี โดยบริษัทมี GrossMargin อยูในระดับสูง ถึงแมวาจะมีสัดสวนดังกลาวลดลงเรื่อยๆ ทั้งนี้เนื่องมาจากบริษัทจะมีสัดสวนยอดขายจาก Wholesale เพิ่มขึ้นเรื่อยๆ ในอนาคต โดยดาน Gross Profit Margin จะวิเคราะหจาก Profitability Ratio พบวาบริษัทสามารถรักษาอัตรา Gross Profit Margin Retailing ที่ 65% และ Gross Profit Margin Wholesale ที่ 35% ตามวัตถุประสงคที่วางไว ดานอัตราสวนโครงสรางของเงินทุน (Leverage Ratios) ซึ่งเปนตัววัดความสามารถในการชําระ หนี้สินระยะยาวซึ่งเปนเครื่องบงชี้วากิจการมีความสามารถที่จะจายชดใชหนี้สินที่มีตอเจาหนี้ระยะยาว เพียงใด ซึ่งความสามารถในการชําระหนี้สินระยะยาวจะเกิดขึ้นเมื่อกิจการสามารถสรางรายไดจนเพียงพอ สําหรับคาใชจายอื่นๆ และดอกเบี้ย จากคาอัตราสวน Debt to Equity และ Debt to Total Asset จะพบวา มีอัตราสวนคอนขางตํ่า จึงคาดวาบริษัทจะไมมีปญหาเรื่องสภาพคลองหรือการจายชําระหนี้คืนในอนาคต และจะเอื้อประโยชนตอบริษัท ถาบริษัทตองการกูเงินจากเจาหนี้ก็สามารถกูไดในอัตราดอกเบี้ยขั้นตํ่า แต อยางไรก็ตามอัตราสวนดาน Leverage Ratio ก็ไมควรจะมีคาสูงจนเกินไป ในขณะที่บริษัทมีเงินกูอยูเพราะ จะแสดงถึงคาเสียโอกาสที่บริษัทจะตองเสียตนทุนที่สูงกวาการนําสินทรัพยสวนเกินไปชําระหนี้สินแทน Sensitivity Analysis Payback Period Discount Payback Period NPV IRR Normal 3 years 4 years 6,357,067 46% Sale decrease 10% 4 years 4 years 3,734,190 34% Cost increase 15% 4 years 5 years 2,347,952 27% ตารางที่ 10 การวิเคราะหความคลาดเคลื่อน (Sensitivity Analysis) จากการประเมินของทางบริษัทพบวาปจจัยที่สําคัญซึ่งอาจจะสงผลกระทบตอผลการดําเนินงาน ของบริษัทอยางมีนัยสําคัญไดแก ยอดขาย และตนทุนขาย ดังนั้นทางบริษัทจึงทําการประเมินผลกระทบ หากยอดขายของบริษัทลดลง 10% และตนทุนขายเพิ่มขึ้น 15% จะกระทบตอผลประกอบการของบริษัท มากนอยเพียงใด ซึ่งจากการทํา Sensitivity Analysis พบวาหากยอดขายลดลง 10% หรือตนทุนขายเพิ่มขึ้น 15% จะทําใหระยะเวลาคืนทุนเพิ่มขึ้นเปน 4 ป อยางไรก็ตามจะเห็นไดวา NPV ยังคงมีคาเปนบวกและ IRR ก็ยัง อยูในระดับที่คอนขางสูง
  • 53.
    • แนวทางการประเมินความเปนไปไดของธุรกิจ เนื่องจากประเทศไทยเปนประเทศที่อยูในภูมิภาคเขตรอนจะมีสภาพอากาศรอนเกือบทั้งป ทํา ใหไอศกรีมเปนสินคาที่มีศักยภาพสามารถจําหนายไดตลอดทั้งปอีกทั้งคนในปจจุบันตองการรับประทาน อาหารที่เปนประโยชนตอสุขภาพและคํานึงถึงความสะอาดเปนหลัก ไอศกรีมสมุนไพรจึงเปนทางเลือกที่ เหมาะสมทางหนึ่งของผูบริโภค ซึ่งสามารถตอบสนองความตองการทั้งทางดานรสชาติและเปนประโยชน ตอสุขภาพ นอกจากนั้นอัตราการบริโภคไอศกรีมของคนไทยยังอยูในระดับตํ่าทําใหเปนปจจัยที่สําคัญในการที่ บริษัทจะสามารถทําการขยายตลาดไดเพิ่มขึ้น นอกจากนี้ในแงของวัตถุดิบในการผลิตเชน ผลไม สมุนไพร ตาง ๆ ในประเทศไทยมีอยูอยางมากมายทําใหตนทุนของวัตถุดิบคอนขางตํ่า สามารถเลือกซื้อวัตถุดิบใหมี คุณภาพไดตามตองการและสามารถเลือกผูจําหนายวัตถุดิบไดโดยไมยาก สวนในแงของบริษัท ผลิตภัณฑไอศกรีม Herbies เปนสินคาที่มีความแปลกใหม อีกทั้งยังมี คุณคาทางโภชนาการเหมาะกับผูที่ชอบรับประทานไอศกรีมแตคํานึงถึงสุขภาพ นอกจากนี้บรรจุภัณฑที่มี ความแปลกใหมจะเปนจุดขายที่สําคัญ นอกเหนือจากตัวไอศกรีม จากปจจัยดังกลาวขางตนจะเห็นวาอุตสาหกรรมไอศกรีมสมุนไพรมีศักยภาพและมีความเปนไปได ในธุรกิจคอนขางสูง เนื่องจากสามารถผลิตไดในตนทุนที่ตํ่า แตสามารถจําหนายในราคาที่สูง ขนาดของ ตลาดมีแนวโนมขยายตัวอยางตอเนื่อง และคูแขงขันในผลิตภัณฑไอศกรีมสมุนไพรยังไมมีคูแขงขันรายใด ทําการตลาดอยางจริงจังและเปนที่รูจักนิยมของคนทั่วไป อยางไรก็ตามการที่บริษัทจะประสบความสําเร็จ ในธุรกิจนี้ไดจะตองใหความสําคัญตอ Key Success Factor และการดําเนินกลยุทธทางดานตลาดอยาง ตอเนื่อง • ปจจัยวิกฤตที่เปนเงื่อนไขแหงความสําเร็จของธุรกิจ (Key Success Factor) ชองทางการขายสง (Wholesale) 1) การยอมรับในรสชาติไอศกรีมของผูบริโภค เนื่องจากผลิตภัณฑของบริษัท คือ ไอศกรีมซึ่งเปนสินคาบริโภค ดังนั้นปจจัยที่จะสงผลกระทบ ตอความสําเร็จของผลิตภัณฑเปนอยางมาก คือ รสชาติ เพราะแมวาสินคาจะราคาถูกเพียงไรก็ตาม หากแต รสชาติไมเปนที่พึงพอใจของผูบริโภค ก็จะเปนการยากที่ผลิตภัณฑจะประสบความสําเร็จได ทั้งนี้ดูไดจาก ขอมูลจากแบบสอบถามจะพบวา ปจจัยที่มีผลตอการตัดสินใจซื้อไอศกรีมของผูบริโภคมากที่สุดคือ รสชาติ 2) ชองทางการจัดจําหนาย เนื่องจากการขายสงเปนปจจัยสําคัญที่จะชวยใหสินคาไปถึงมือผูบริโภคไดก็คือรานอาหาร
  • 54.
    ตางๆ ดังนั้นจึงตองพยายามผลักดันสินคาใหสามารถเขาไปขายในรานอาหารใหได โดยจะใหIncentive ตางๆ แกรานอาหาร รวมไปถึงการที่ตองชี้ใหเห็นถึงความโดดเดนในผลิตภัณฑ การใชกลยุทธ Push strategy ไปที่รานอาหารชวยในการผลักดันการจําหนายไอศกรีม จึงเปนปจจัยสําคัญในการประสบความ สําเร็จ ชองทางการขายปลีก (Retailing) 1) การยอมรับในรสชาติและบรรจุภัณฑของผูบริโภค สําหรับชองทางการขายปลีก ปจจัยที่จะทําใหประสบความสําเร็จเชนเดียวกันกับชองทางการ ขายสงคือ รสชาติของไอศกรีม และปจจัยนี้จะยิ่งทวีความสําคัญมากขึ้นในชองทางการขายปลีก เพราะถาผู บริโภคยอมรับในตัวผลิตภัณฑก็จะทําใหเกิดการซื้อซํ้า ซึ่งนอกจากรสชาติแลว ความแปลกใหมในบรรจุ ภัณฑ ก็สามารถชวยใหผลิตภัณฑมีโอกาสประสบความสําเร็จมากขึ้นอีกดวย 2) สถานที่จัดจําหนาย (Location) การขายปลีก ปจจัยที่สําคัญที่จะชวยใหสินคาประสบความสําเร็จไดคือ สถานที่ตั้ง KIOSK กลาวคือ ที่ตั้งของ KIOSK จะตองเขาถึงกลุมเปาหมาย รวมไปถึงจะตองเปนแหลงศูนยรวม (Traffic) มากพอ ที่ลูกคาจะมีโอกาสและมีความสะดวกในการพบเห็น ซื้อมารับประทาน นอกจากนี้การตกแตงราน KIOSK จะตองสอดคลองกับพฤติกรรมของกลุมเปาหมายที่เปนวัยรุนดวย • การควบคุมและประเมินผล (Control and Evaluation) การควบคุมและประเมินผลการปฏิบัติงานจะมีการทําตอเนื่องทั้งป โดยการออกสํารวจความ นิยมของผูบริโภคที่มีตอตัวสินคา ตัวประเมินผลที่ใชคือ KPI (Key Performance Indicator) ที่เปนตัว กําหนดผลลัพธของแตละผลิตภัณฑวาไดตามเกณฑที่กําหนดหรือไม เพื่อใชเปนขอมูลในการหาสาเหตุและ ทางแกปญหาตาง ๆ ปจจัยที่ใชวัด ไดแก 1. ความถี่ในการซื้อ (Frequency of Purchase) 2. การยอมรับในตัวผลิตภัณฑ (Acceptancy) ทั้งในเรื่องรสชาติ คุณภาพและบรรจุภัณฑ 3. สวนแบงตลาด (Brand Share) ทั้งในเรื่องปริมาณและการจดจําตัวผลิตภัณฑของ บริษัทฯ ได (Share of mind) 4. ปริมาณการขาย (Volume) และนําผลลัพธที่ได กลับไปเปรียบเทียบกับเปาหมายของบริษัทพรอมทั้งดําเนินการควบคุม ประเภทตาง ๆ เพื่อใหเปนไปตามเปาหมายที่กําหนดไว
  • 55.
    ประเภทของการควบคุมทางการตลาด ประเภทของการควบคุม ความมุงหมายในการควบคุม วิธีการตางๆ 1.การควบคุมโดยแผน ประจําป เพื่อตรวจสอบวาไดรับผลตอบ แทน โดยตรวจสอบจากงบการ เงิน และเปรียบเทียบกับเปา หมายที่ทางบริษัทตั้งไวหรือไม - การวิเคราะหยอดขาย - การวิเคราะหสวนครองตลาด - การวิเคราะหคาใชจายตอยอดขาย เพื่อใหบริษัทสามารถมี Gross Margin ประมาณ 65% สําหรับ Kiosk และ 35% สําหรับ Wholesale - การวิเคราะหทางการเงิน - การวิเคราะหโดยใชความสามารถใน การทํากําไร 2. การควบคุมความ สามารถในการทํา กําไร เพื่อตรวจสอบวาบริษัททําเงินได และเสียเงินที่ตรงไหน - ผลิตภัณฑ, เขตขายลูกคา, ลูกคาสวน ของตลาด,ชองทางการจําหนาย,ขนาด คําสั่งซื้อ 3. การควบคุม ประสิทธิภาพ เพื่อประเมินและปรับปรุงประ สิทธิภาพในการใชจายและอิทธิ พลของคาใชจายทางการตลาด - การโฆษณา การสงเสริมการขาย - การจัดจําหนาย 4. การควบคุมทาง กลยุทธ เพื่อตรวจวาบริษัทมุงสูโอกาสที่ ดีที่สุดในแงของตลาด สินคา และชองทางการจําหนาย - เครื่องมือวัดความสัมฤทธิผลของการ ตลาด - การตรวจสอบการตลาด - ทบทวนความดีเลิศทางการตลาด - ทบทวนจริยธรรม และความรับผิดชอบ ตอสังคมของบริษัท ตารางที่ 11 การควบคุมทางการตลาด
  • 56.
    • แผนรับมือเหตุการณที่ไมเปนไปตามแผนการดําเนินงานปกติ (ContingencyPlan) ในกรณีที่แผนการตลาดที่บริษัทนํามาใชประสบปญหาอุปสรรคหรือไมเปนไปตามที่คาดการณ ไว เนื่องจากไดรับผลกระทบจากดานสภาพแวดลอมระดับมหภาค (Macro environment) และจากคู แขงขัน บริษัทจําเปนตองมีการเตรียมแผนและกลยุทธเพื่อรับมือเหตุการณหรือความไมแนนอนที่อาจเกิด ขึ้นดังนี้ 1. รานอาหารไมยอมรับไอศกรีมเขาไปขาย เนื่องจากถาไมสามารถเขาทางรานอาหารไดจะทําใหบริษัทมีปญหาในดานการขายสง ฉะนั้น บริษัทจะตองเพิ่ม Incentive ใหกับรานอาหารใหมากขึ้นหรืออาจจะตองพิมพเมนูหรือใหสิ่งตาง ๆ เพิ่มขึ้นเพื่อเปนแรงจูงใจแกรานอาหาร และนอกจากนั้นบริษัทจะตองมองหารานอาหารตางๆ ให มากขึ้นดวย 2. คูแขงขันลดราคาไอศกรีม ทางบริษัทจะเตรียมงบประมาณบางสวนประมาณ 5% ของยอดขายในการทําสงเสริมการขายดาน อื่นที่ไมใชการลดราคาเพื่อตอบโตคูแขงขัน เนื่องจากการลดราคาเปนการสรางภาพลักษณที่ไมดีใน สินคา และจะทําใหผูบริโภครูสึกถูกเอารัดเอาเปรียบโดยคิดวาราคาที่เคยบริโภคมาไมสมเหตุสมผล 3. ราคานํ้ามันเพิ่มขึ้น ถาราคานํ้ามันเพิ่มขึ้นจะมีผลกระทบกับคาใชจายในการบริการดาน การขนสงสินคาและการขนสง วัตถุดิบ ทางบริษัทควรดําเนินการโดยพิจารณาสภาพแวดลอมอื่น ดังนี้ - ตรวจสอบการปรับราคาของคูแขงขัน ทางบริษัทจะปรับขึ้นราคาเพื่อชดเชยกับตนทุนที่เพิ่มขึ้นได ก็ตอเมื่อคูแขงขันไดปรับเพิ่มราคาขึ้น - ทําการปรับเปลี่ยนราคาโดยทางออม เชนการใหของแถมเพิ่มเติม หรือการเพิ่มขนาดพรอมทั้งการ ปรับเปลี่ยนราคาเพิ่มขึ้น 4. คูแขงเริ่มออกไอศกรีมสมุนไพรเลียนแบบ บริษัทจะตองออก Campaign เพิ่มเติมเพื่อตอกยํ้าความเปนผูนําในตลาดไอศกรีมสมุนไพร
  • 57.
    Appendix แบบสอบถาม พฤติกรรมการบริโภคไอศกรีม โครงการปริญญาโท สาขาบริหารธุรกิจ ประจําปการศึกษา2544 คณะพาณิชยศาสตรและการบัญชี มหาวิทยาลัยธรรมศาสตร เรียนทานผูตอบแบบสอบถาม แบบสอบถามนี้ถูกทําขึ้นเพื่อตองการสํารวจหา “พฤติกรรมการบริโภคไอศกรีม” ซึ่งโครงการวิจัยนี้เปน สวนหนึ่งของ Business Project ดังนั้นคณะผูจัดทําการวิจัยจึงใครขอความรวมมือในการตอบแบบสอบถาม อยางเที่ยงตรงและขอขอบพระคุณทุกทานในการรวมมือมาไว ณ โอกาสนี้ 1. โปรดใหระดับความสําคัญของปจจัยที่มีผลตอการตัดสินใจซื้อไอศกรีมที่รานของทาน (5) (4) (3) (2) (1) มากที่สุด มาก ปานกลาง นอย นอยที่สุด รสชาติไอศกรีม ความสะดวกในการหาซื้อ ราคา บริการ บรรยากาศในราน การสงเสริมการขาย 2. ทานนิยมรับประทานไอศกรีม ในรูปแบบใดมากที่สุด นั่งรับประทานที่รานไอศกรีม นั่งรับประทานที่ภัตตาคาร/รานอาหาร ซื้อแลวเดินรับประทานจากราน ซื้อกลับไปรับประทานที่บาน 3. สถานที่ใดที่ทานนิยมไปรับประทานไอศกรีมมากที่สุด หางสรรพสินคา สถาบันการศึกษา สถานที่ทํางาน สถานที่ทองเที่ยว รานอาหาร อื่น ๆ โปรดระบุ____________________
  • 58.
    4. โดยสวนใหญทานไปรับประทานไอศกรีมกับใคร และโดยเฉลี่ยกี่ทาน เพื่อน_______คนครอบครัว________คน รับประทานคนเดียว 5. ความถี่ในการรับประทานไอศกรีม_________ครั้ง/เดือน 6. ทานรับประทานไอศกรีมเฉลี่ยครั้งละกี่กอน_________กอน 7. เหตุผลที่ทานไปรับประทานไอศกรีม อยากรับประทาน เพื่อพบปะสังสรรค คลายรอน รายการสงเสริมการขาย อื่นๆ_______________________ 8. ถามีไอศกรีมสมุนไพร ผลไม หรือดอกไมที่มีรสชาติใหม ๆ เชน มะขาม เสาวรส งาดํา นอยหนา กระเจี๊ยบ ทานคิดวาจะทดลองซื้อรับประทานหรือไม ซื้อ ไมซื้อ 9. ขอมูลทั่วไป 9.1 เพศ ชาย หญิง 9.2 อายุ ตํ่ากวา 19 ป 19 – 25 ป 26 – 35 ป มากกวา 35 ป 9.3 รายไดตอเดือน ตํ่ากวา 10,000 บาท 10,000 – 20,000 บาท 20,001 – 30,000 บาท 30,001 – 40,000 บาท 40,001 – 50,000 บาท มากกวา 50,000 บาท 9.4 สถานภาพสมรส โสด สมรส
  • 59.
    9.5 ระดับการศึกษา ตํ่ากวาปริญญาตรี ปริญญาตรี ปริญญาโทปริญญาเอก อื่น ๆ โปรดระบุ______________________________ 9.6 อาชีพ นักเรียน / นักศึกษา พนักงานบริษัทเอกชน ขาราชการ / รัฐวิสาหกิจ เจาของกิจการ อาชีพอิสระ อื่น ๆ โปรดระบุ______________________________
  • 60.
    แบบสอบถาม (Blind Test) พฤติกรรมการบริโภคไอศกรีม โครงการปริญญาโทสาขาบริหารธุรกิจ ประจําปการศึกษา 2544 คณะพาณิชยศาสตรและการบัญชี มหาวิทยาลัยธรรมศาสตร เรียนทานผูตอบแบบสอบถาม แบบสอบถามนี้ถูกทําขึ้นเพื่อตองการสํารวจหา “พฤติกรรมการบริโภคไอศกรีม” ซึ่งโครงการวิจัยนี้เปน สวนหนึ่งของ Business Project ดังนั้นคณะผูจัดทําการวิจัยจึงใครขอความรวมมือในการตอบแบบสอบถาม อยางเที่ยงตรงและขอขอบพระคุณทุกทานในการรวมมือมาไว ณ โอกาสนี้ 1. เมื่อทานไดลองชิมไอศกรีมรสชาติตอไปนี้แลวทาน ใหคะแนนความชื่นชอบในรสชาติเทาใด (5) (4) (3) (2) (1) มากที่สุด มาก ปานกลาง นอย นอยที่สุด งาดํา มะขาม สตอรเบอรรี่ เสาวรส นอยหนา วนิลา กระเจี๊ยบ สม 2. เมื่อทานไดรับทราบสรรพคุณและไดเห็นรูปลักษณของไอศกรีมตอไปนี้ ทานคิดวาทานจะซื้อไอศกรีมดังกลาว หรือไม งาดํา ซื้อ ไมซื้อ มะขาม ซื้อ ไมซื้อ เสาวรส ซื้อ ไมซื้อ นอยหนา ซื้อ ไมซื้อ กระเจี๊ยบ ซื้อ ไมซื้อ
  • 61.
    3. ขอมูลทั่วไป 3.1 เพศ ชายหญิง 3.2 อายุ ตํ่ากวา 19 ป 19 - 25 ป 26 – 35 ป มากกวา 35 ป 3.3 รายไดตอเดือน ตํ่ากวา 10,000 บาท 10,000 – 20,000 บาท 20,001 – 30,000 บาท 30,001 – 40,000 บาท 40,001 – 50,000 บาท มากกวา 50,000 บาท 3.4 สถานภาพสมรส โสด สมรส 3.5 ระดับการศึกษา ตํ่ากวาปริญญาตรี ปริญญาตรี ปริญญาโท ปริญญาเอก อื่น ๆ โปรดระบุ______________________________ 3.6 อาชีพ นักเรียน / นักศึกษา พนักงานบริษัทเอกชน ขาราชการ / รัฐวิสาหกิจ เจาของกิจการ อาชีพอิสระ อื่น ๆ โปรดระบุ______________________________
  • 62.
    ผลของแบบสอบถามพฤติกรรมการบริโภคไอศกรีม ทางคณะผูจัดทําไดทําการเก็บตัวอยางจํานวน 90 ตัวอยางจากประชากรกลุมเปาหมายระหวางวัน ที่20-22 ตุลาคม 2544 ณ. บริเวณมหาวิทยาลัยธรรมศาสตร,สยามสแควร,เซ็นทรัลพระราม 3 และ เซ็นทรัลลาดพราว โดยสามารถสรุปขอมูลจากกลุมตัวอยางทั้งหมดไดดังนี้ กราฟที่ 1 ปจจัยที่มีผลตอการตัดสินใจซื้อไอศกรีมของผูบริโภค จากกราฟจะพบวาปจจัยที่ผูบริโภคใหความสําคัญสูงสุดในการซื้อไอศกรีมไดแกรสชาติ,ความ สะดวกในการหาซื้อ โดยปจจัยดานการสงเสริมการขายมีผลตอการตัดสินใจบริโภคตํ่าสุด 4 4.76 3.9 3.83 3.76 3.45 0 1 2 3 4 5 รสชาติไอศกรีม ความสะดวกในการหาซื้อ ราคา บริการ บรรยากาศในราน การสงเสริมการขาย
  • 63.
    กราฟที่ 2 รูปแบบในการรับประทานไอศกรีม จากกราฟจะพบวาผูบริโภคจะนิยมรับประทานไอศกรีมที่รานไอศกรีมเปนสัดสวนที่สูงสุดและรอง ลงมาคือซื้อไอศกรีมแลวเดินรับประทาน กราฟที่ 3 สถานที่ที่ผูบริโภคนิยมไปรับประทานไอศกรีม จากกราฟจะพบวาหางสรรพสินคาเปนสถานที่ที่ผูบริโภคนิยมไปรับประทานไอศกรีมมากที่สุด โดย การรับประทานไอศกรีมที่รานอาหารเปนที่นิยมรองลงมา อื่น ๆ 9% รานอาหาร 19% สถานที่ทองเที่ยว 9% สถานที่ทํางาน 6% สถาบันการศึกษา 9% หางสรรพสินคา 48% นั่งรับประทานที่ราน อาหาร 6% ซื้อกลับไปรับ ประทานที่บาน 6% ซื้อแลวเดินรับ ประทานจากราน 23% นั่งรับประทานที่ราน ไอศกรีม 65%
  • 64.
    กราฟที่ 4 กลุมบุคคลที่ผูบริโภคนิยมไปรับประทานดวย จากกราฟจะพบวาผูบริโภคนิยมไปรับประทานกับเพื่อนมากที่สุดรองลงมาคือการรับประทานคน เดียว โดยผูบริโภคจะไปรับประทานกับเพื่อนเฉลี่ย 2.94 คนตอครั้ง และการไปรับประทานไอศกรีมของผู บริโภคมีความถี่ในการรับประทานประมาณ 2.79 ครั้งตอเดือน โดยรับประทานไอศกรีมเฉลี่ยครั้งละ 2.64 กอน กราฟที่ 5 เหตุผลในการรับประทานไอศกรีม จากกราฟจะพบวาสาเหตุผูบริโภคไปรับประทานไอศกรีมเนื่องจากมีความตองการรับประทาน ไอศกรีมเปนหลักและเหตุผลที่รองลงมาคือการพบปะสังสรรค ครอบครัว 3% รับประทานคน เดียว 14% เพื่อน อยากรับ ประทาน 69% พบปะสังสรรค 16% คลายรอน 11% สงเสริมการขาย 4%
  • 65.
    กราฟที่ 6 แสดงแนวโนมการยอมรับผลิตภัณฑ จากกราฟจะพบวาผูบริโภคมีแนวโนมที่จะยอมรับไอศกรีมรสชาติใหมๆเชน ไอศกรีม สมุนไพร ดอกไมและผลไม ในสัดสวนคอนขางสูง ขอมูลทั่วไปเกี่ยวกับผูตอบแบบสอบถาม กราฟที่ 7 เพศ ไมซื้อ 21% ซื้อ 79% ชาย 55% หญิง 45%
  • 66.
    กราฟที่ 8 อายุ กราฟที่9 รายได ตํ่ากวา 10,000 บาท 31% 30,000-40,000 บาท 7% 40,000-50,000 บาท 3% 20,000-30,000 บาท 7% มากกวา 50,000 บาท 3% 10,000-20,000 บาท 49% ตํ่ากวา 19 ป 10% 26-35 ป 28% มากกวา 35 ป 7% 19-25 ป 55%
  • 67.
    กราฟที่ 10 สถานะภาพ กราฟที่11 การศึกษา โสด 90% สมรส 10% ตํ่ากวาปริญญาตรี 59% ปริญญาตรี 34% ปริญญาโท 7%
  • 68.
  • 69.
    ผลของแบบสอบถาม Blind Test ทางคณะผูจัดทําไดทําการเก็บตัวอยางจํานวน15 ตัวอยางจากประชากรกลุมเปาหมาย ในวันที่ 27 ตุลาคม 2544 โดยสามารถสรุปขอมูลจากกลุมตัวอยางทั้งหมดไดดังนี้ กราฟที่ 13 กราฟแสดงความพึงพอใจของผูบริโภคตอไอศกรีมรสชาติตาง ๆ จากกราฟจะพบวาผูบริโภคมีความพึงพอใจในตัวผลิตภัณฑของเราคอนขางสูงเมื่อเทียบ กับรสชาติดั้งเดิม กราฟที่ 14 กราฟแสดงแนวโนมการยอมรับของผูบริโภค จากกราฟจะพบวาผูบริโภคมีแนวโนมการยอมรับในตัวผลิตภัณฑของเราคอนขางสูง โดย เฉพาะรสมะขามและนอยหนา 4 3.9 4.2 4.6 3.8 4.3 4.5 4 0 1 2 3 4 5 งาดํา มะขาม สตอเบอรรี เสาวรส นอยหนา วนิลา กระเจี๊ยบ ส ม 73% 87% 73% 80% 60% 27% 13% 27% 20% 40% 0% 20% 40% 60% 80% 100% งาดํา มะขาม เสาวรส นอยหนา กระเจี๊ยบ ซื้อ ไมซื้อ
  • 70.
    ขอมูลทั่วไปเกี่ยวกับผูตอบแบบสอบถาม Blind Test กราฟที่15 เพศ กราฟที่ 16 อายุ กราฟที่ 17 รายได ชาย 62% หญิง 38% ตํ่ากวา 10,000 บาท 34% 30,001-40,000 บาท 13% 20,001-30,000 บาท 13% มากกวา 50,000 บาท 7%40,001-50,000 บาท 13% 10,000-20,000 บาท 20% ตํ่ากวา 19 ป 27% 19-25 ป 46% 26-35 ป 20% มากกวา 35 ป 7%
  • 71.
    กราฟที่ 18 สถานภาพ กราฟที่19 การศึกษา ปริญญาตรี 50% ปริญญาโท 18% ตํ่ากวาปริญญาตรี 32% โสด 67% สมรส 33%
  • 72.
  • 73.
  • 74.
    วิเคราะห Ratio Analysis 20022003 2004 2005 2006 Swensen 2000 Liquidity Ratio Current ratio 1.37 1.96 2.12 2.78 3.33 0.72 Quick ratio 0.91 1.51 1.89 2.60 3.15 0.20 Receivable Turnover 3.89 12.69 12.75 13.44 13.38 66.95 Receivable Turnover (Days) 92.43 28.37 28.22 26.78 26.91 5.38 Inventory Turnover 7.73 25.62 25.34 26.06 26.11 9.11 Inventory Turnover (Days) 46.58 14.05 14.21 13.81 13.79 39.52 Profitability Ratio ROI -0.34 0.35 1.10 1.89 2.35 0.38 ROA -0.29 0.26 0.49 0.50 0.45 0.08 EPS -3.42 3.55 10.98 18.89 23.49 37.96 Gross profit Margin Kiosk+Wholesale 63.20% 62.81% 60.12% 57.47% 56.36% 62.92% Kiosk 69.00% 69.00% 69.00% 69.00% 69.00% Wholesale 37.00% 37.00% 37.00% 37.00% 37.00% Net Profit Margin -20.99% 5.15% 14.85% 19.46% 20.82% 6.04% Leverage Ratio Debt to Equity 0.79 0.49 0.64 0.49 0.39 0.39 Debt to 0.44 0.33 0.39 0.33 0.28 0.28
  • 75.
    วิเคราะห Break evenanalysis ของการขายแบบ Kiosk Price per Scoope 29.0 Variable Cost Details of cost per units COGS 7.8 Promotion gift 1.0 Marginal Cost 8.8 Gross Contribution per unit 20.2 Commission per unit 0.9 Promotion per unit 5.8 Marginal Contribution per unit 13.5 Fixed Cost Kiosk Fixed Expenses/month 50,500 Total fixed expenses per month 50,500 จํานวน Break-even unit per month 3,732 Scoops วิเคราะห Break even analysis ของการขายแบบ Wholesale Price per Scoope 14.0 Variable Cost Details of cost per units COGS 7.8 Promotion gift 0 Marginal Cost 7.8 Gross Contribution per unit 6.2 Commission per unit 0 Promotion per unit 1 Marginal Contribution per unit 5.5 Fixed Cost Kiosk Fixed Expenses/month 185,500 Total fixed expenses per month 185,500 จํานวน Break-even unit per month 33,636 Scoops
  • 76.
    ขอสมมุติในการประมาณงบการเงิน (1/2) 2001 20022003 2004 2005 2006 Selling Price per scoop Scoop per day CF - 5,000,000 36,871 767,888 5,197,247 8,004,125 7,450,616 Kiosk = 29 150 NI - 5,000,000 -1,707,741 1,773,724 5,492,026 9,446,912 11,746,002 Wholesales = 14 ใหญ = 60 Payback 3 years IRR 46% กลาง = 35 Discount Payback Period 4 years NPV ฿6,357,067 Sales volume per month 2002 2003 2004 2005 2006 1 2 3 4 5 6 7 8 9 10 11 12 1-3 4-6 7-9 10-12 1-3 4-6 7-9 10-12 1-12 1-12 31 28 31 30 31 30 31 31 30 31 30 31 90 91 92 92 90 91 92 92 360 360 Scoop per kiosk - 4,200 4,650 4,500 4,650 4,500 4,650 4,650 4,500 4,650 4,500 4,650 13,500 13,650 13,800 13,800 13,500 13,650 13,800 13,800 54,000 54,000 Scoop per restaurant ใหญ - 1,680 1,860 1,800 1,860 1,800 1,860 1,860 1,800 1,860 1,800 1,860 5,400 5,460 5,520 5,520 5,400 5,460 5,520 5,520 21,600 21,600 Scoop per restaurant กลาง - 980 1,085 1,050 1,085 1,050 1,085 1,085 1,050 1,085 1,050 1,085 3,150 3,185 3,220 3,220 3,150 3,185 3,220 3,220 12,600 12,600 No. of point of sales 2002 2003 2004 2005 2006 1 2 3 4 5 6 7 8 9 10 11 12 1-3 4-6 7-9 10-12 1-3 4-6 7-9 10-12 1-12 1-12 New kiosk per month - - - - - - 1 2 2 2 - 2 2 3 - - 2 1 - - 1 1 Accu.Kiosk - - - - - 1 2 4 6 8 8 10 12 13 15 15 17 17 18 18 19 20 New shop. Per month ใหญ - - - - - 3 - 3 - 1 2 5 3 2 2 3 7 2 6 5 20 15 Accu. Shop ใหญ - - - - - 3 3 6 6 7 9 14 17 19 21 24 29 33 37 44 58 72 New shop.per month กลาง - - - - - 7 - 7 3 3 3 3 8 6 2 8 15 10 15 10 40 30 Accu. Shop กลาง - - - - - 7 7 14 17 20 23 26 31 36 41 47 60 70 85 99 125 156 Cost Cost per kg. 120 Bath Miscellaneous expenses 2,500 bath/month No. of scoop per Kg. 25 Commission on sales 3% Cost per scoop 4.8 Bath Point of sales promotion 20% Packaging & other VC. Per scoop Premium gift 1.0 bath/piece At kiosk 3 Bath PR Cost 5,000 Bath/month At. Restaurant 2.8 Bath Kiosk Model Rental cost per kiosk 35,000 Bath/month No. of employee 2 person Salary/month/empleyee 5,000 Bath/month Uniform clothes subsidized 500 Bath/month Facilities expenses 5,500 Bath/mont
  • 77.
    ขอสมมุติในการประมาณงบการเงิน (2/2) Depreciation Growthindicators 2003 2004 2005 2006 Accounting: Straight line 5 Yrs. Expenses growth rate 5% 5% 5% 5% Asset Types Cost/unit No.of unit หองเย็น 415,000 1 เงินเดือนผูบริหาร 5 Person 20000 Salary/month ยานพาหนะ 720,000 1 เงินเดือนพนักงาน 5 Person 5000 Salary/month ดอกเบี้ยรอการตัดจาย-ยานพาหนะ 216,000 คาเชาเครื่องถายเอกสาร 2500 Bath/month คอมพิวเตอรและ Software 24,300 3 คาเชา office และโรงงาน 25000 Bath/month Printer 6,750 2 คาเครื่องเขียน 500 Bath/month เครื่องใชสํานักงาน 6,820 10 คาใชจายในการจัดตั้งบริษัท 15000 Bath คาตกแตงสํานักงาน 130,000 1 คาใชจายในการจดลิขสิทธิ์ 10000 Bath คาตกแตง Kiosk 150,000 1 คาใชจาย Promotion(wholesale) 5.0% % on sales เครื่องจักร 430,000 1 คานํ้ามันรถ 0.5% % on sales ดอกเบี้ยรอการตัดจาย-เครื่องจักร 129,000 Research & Development 3.0% % on sales เครื่อง cash register 22,000 1 ดอกเบี้ยจาย Bath ตูแช (Kiosk) 12,000 2 คา loyalty fee % on sales ตูแช (รานอาหาร) 12,000 1 คาสาธารณูปโภค 32000 Bath/month คาใชจายในการพัฒนาProduct เริ่มตน 300,000 1 หนี้สงสัยจะสูญ 0.5% % on sales Accounting Policy คาใชจายเบ็ดเตล็ด 5000 Bath/month Account receivable turnover 30 Days Inventory 15 Days อัตราภาษีเงินไดนิติบุคคล 30.0% Account payable 30 Days นโยบายตัดคาเสื่อมสินทรัพยแบบเสนตรง 20.0% Dividend Policy 0.25of Retain Earning อัตราดอกเบี้ยการทํา Hire Purchase 3 ป 10.0% อัตราดอกเบี้ยในการคิด Discount Rate NP 15.0%
  • 78.
    ประมาณการงบกําไรขาดทุน (รายป) 2002 20032004 2005 2006 ขาย Kiosk 5,139,900 21,850,050 27,792,150 29,754,000 31,320,000 Wholesale 2,943,430 13,154,540 25,036,620 39,589,200 49,291,200 รายไดจากการขาย 8,137,330 35,004,590 52,828,770 69,343,200 80,611,200 หัก ตนทุนขาย 2,994,842 13,017,946 21,066,438 29,494,080 35,182,080 กําไรขั้นตน 5,142,488 21,986,644 31,762,332 39,849,120 45,429,120 คาใชจาย คาใชจายในการขายและบริหาร 6,339,843 18,890,122 22,144,461 24,440,279 26,645,997 ดอกเบี้ยจาย 70,666 158,000 212,000 129,333 72,000 คาเสื่อมราคา 439,720 1,136,520 1,560,120 1,783,920 1,931,120 รวมคาใชจาย 6,850,229 20,184,642 23,916,581 26,353,532 28,649,117 กําไร (ขาดทุน) (1,707,741) 1,802,002 7,845,751 13,495,588 16,780,003 ภาษีเงินไดนิติบุคคล 28,278 2,353,725 4,048,676 5,034,001 กําไร (ขาดทุน) หลังภาษี (1,707,741) 1,773,724 5,492,026 9,446,912 11,746,002
  • 79.
    ประมาณการงบกําไรขาดทุน (รายป) 2002 20032004 2005 2006 ขาย Kiosk 5,193,900 21,850,050 27,792,150 29,754,000 31,320,000 Wholesale 2,943,430 13,154,540 25,036,620 39,589,200 49,291,200 รายไดจากการขาย 8,137,330 35,004,590 52,828,770 69,343,200 80,611,200 หัก ตนทุนชาย 2,994,842 13,017,946 21,066,438 29,494,080 35,182,080 กําไรขั้นตน 5,142,488 21,986,644 31,762,332 39,849,120 45,429,120 คาใชจาย Head Office เงินเดือนผูบริหาร 700,000 1,200,000 1,440,000 1,728,000 2,073,600 เงินเดือนพนักงาน 175,000 315,000 661,500 694,575 729,304 คาเชาเครื่องถายเอกสาร 17,500 30,000 30,000 30,000 30,000 คาเชา office และโรงงาน 175,000 300,000 300,000 300,000 300,000 คาเครื่องเขียน 4,500 6,000 6,000 6,000 6,000 คาใชจายในการจัดตั้งบริษัท 15,000 คาใชจายในการจดลิขสิทธิ์ 10,000 คาใชจาย Promotion (wholesale) 147,172 657,727 1,251,831 1,979,760 2,464,560 คานํ้ามันรถ 40,687 175,023 264,144 346,716 403,056 Research & Development 544,120 1,050,138 1,584,863 2,080,296 2,418,336 ดอกเบี้ยจาย 70,666 158,000 212,000 129,333 72,000 คาเสื่อมราคา 439,720 1,136,520 1,560,120 1,783,920 1,931,120 คาสาธารณูปโภค 251,000 403,200 423,360 444,528 466,754 หนี้สงสัยจะสูญ 14,717 65,773 125,183 197,946 246,456 คาใชจายเบ็ดเตล็ด 35,000 63,000 66,150 69,458 72,930 รวมคาใชจาย head office 2,640,082 5,560,380 7,925,151 9,790,232 11,214,117 คาใชจาย Kiosk คาเชา 1,365,000 5,775,000 7,350,000 7,980,000 8,400,000 เงินเดือนพนักงาน 390,000 550,000 700,000 190,000 200,000 คาเครื่องแบบพนักงาน 10,000 5,000 3,000 1,000 1,000 คาสาธารณูปโภค 214,500 907,500 1,155,000 1,254,000 1,320,000 คาใชจายเบ็ดเตล็ด 97,500 137,500 175,000 47,500 50,000 เงิน incentive พนักงาน 155,817 655,502 833,765 892,620 939,600 คาใชจาย Promotion 1,038,780 4,370,010 4,724,666 5,058,180 5,324,400 คาใชจายในการโฆษณา 195,000 825,000 1,050,000 1,140,000 1,200,000 คาใชจายในการทําที่คั่นหนังสือ 743,550 1,398,750 รวมคาใชจาย kiosk 4,210,147 14,624,262 15,991,430 16,563,300 17,435,000 รวมคาใชจาย 6,850,229 20,184,642 23,916,581 26,353,532 28,649,117 กําไร (ขาดทุน) (1,707,741) 1,802,002 7,845,751 13,495,588 16,780,003 ภาษีเงินไดนิติบุคคล 28,278 2,353,725 4,048,676 5,034,001 กําไร(ขาดทุน) หลังภาษี (1,707,741) 1,773,724 5,492,026 9,446,912 11,746,002
  • 80.
    ประมาณการงบกําไรขาดทุน (รายเดือนในป 2002,รายไตรมาสป2003-2004,รายป 2005และ2006) 31,762,332 2002 2003 2004 2005 2006 ม.ค.45 ก.พ.45 มี.ค.45 เม.ย.45 พ.ค.45 มิ.ย.45 ก.ค.45 ส.ค.45 ก.ย.45 ต.ค.45 พ.ย.45 ธ.ค.45 Q4 46 Q1 47 Q2 47 Q3 47 Q4 47 48 49 ขาย Kiosk 0 0 0 0 0 130,500 269,700 539,400 783,000 1,078,800 1,044,000 1,348,500 6,003,000 6,655,500 6,729,450 7,203,600 7,203,600 29,754,000 31,320,000 Wholesale 0 0 0 0 0 178,500 184,450 368,900 401,100 486,080 564,900 759,500 3,973,480 4,838,400 5,643,820 6,691,160 7,863,240 39,589,200 49,291,200 รายไดจากการขาย 0 0 0 0 0 309,000 454,150 908,300 1,184,100 1,564,880 1,608,900 2,108,000 9,976,480 11,493,900 12,373,270 13,894,760 15,066,840 69,343,200 80,611,200 หัก ตนทุนขาย 0 0 0 0 0 132,000 172,670 345,340 428,340 554,032 587,460 775,000 3,771,632 4,416,660 4,873,778 5,569,864 6,206,136 29,494,080 35,182,080 กําไรขั้นตน 0 0 0 0 0 177,000 281,480 562,960 755,760 1,010,848 1,021,440 1,333,000 6,204,848 7,077,240 7,499,492 8,324,896 8,860,704 39,849,120 45,429,120 คาใชจาย Head Office เงินเดือนผูบริหาร 0 0 0 0 0 100,000 100,000 100,000 100,000 100,000 100,000 100,000 300,000 360,000 360,000 360,000 360,000 1,728,000 2,073,600 เงินเดือนพนักงาน 0 0 0 0 0 25,000 25,000 25,000 25,000 25,000 25,000 25,000 78,750 165,375 165,375 165,375 165,375 694,575 729,304 คาเชาเครื่องถายเอกสาร 0 0 0 0 0 2,500 2,500 2,500 2,500 2,500 2,500 2,500 7,500 7,500 7,500 7,500 7,500 30,000 30,000 คาเชา officeและโรงงาน 0 0 0 0 0 25,000 25,000 25,000 25,000 25,000 25,000 25,000 75,000 75,000 75,000 75,000 75,000 300,000 300,000 คาเครื่องเขียน 1,000 0 0 0 0 500 500 500 500 500 500 500 1,500 1,500 1,500 1,500 1,500 6,000 6,000 คาใชจายในการจัดตั้งบริษัท 15,000 0 0 0 0 0 0 0 0 0 0 0 0 0 0 0 0 0 0 คาใชจายในการจดลิขสิทธิ์ 0 0 0 0 10,000 0 0 0 0 0 0 0 0 0 0 0 0 0 0 คาใชจาย Promotion (wholesale) 0 0 0 0 0 8,925 9,223 18,445 20,555 24,304 28,245 37,975 198,674 241,920 282,191 334,588 393,162 1,979,460 2,464,560 คานํ้ามันรถ 0 0 0 0 0 1,545 2,271 4,542 5,921 7,824 8,045 10,540 49,882 57,470 61,866 69,474 75,334 346,716 403,056 Research&Development 100,000 0 0 200,000 0 9,270 13,625 27,249 35,523 46,946 48,267 63,240 299,294 344,817 371,198 416,843 452,005 2,080,269 2,418,336 ดอกเบี้ยจาย 0 0 0 0 0 9,583 9,583 9,583 9,583 9,583 9,583 13,167 39,500 39,500 57,500 57,500 57,500 129,333 72,000 คาเสื่อมราคา 4,743 4,743 4,743 4,743 30,827 36,093 39,360 47,893 55,027 62,360 70,527 78,660 303,580 369,980 378,380 399,580 412,180 1,783,920 1,931,120 คาสาธารณูปโภค 3,000 3,000 3,000 3,000 15,000 32,000 32,000 32,000 32,000 32,000 32,000 32,000 100,800 105,840 105,840 105,840 105,840 444,528 466,754 หนี้สงสัยจะสูญ 0 0 0 0 0 893 922 1,845 2,006 2,430 2,825 3,798 19,867 24,192 28,219 33,456 39,316 197,946 246,456 คาใชจายเบ็ดเตล็ด 0 0 0 0 0 5,000 5,000 5,000 5,000 5,000 5,000 5,000 15,750 16,538 16,538 16,538 16,538 69,458 72,930 รวมคาใชจาย head office 123,743 7,743 7,743 207,743 55,827 256,309 264,983 299,557 318,114 343,449 357,491 397,379 1,490,098 1,809,631 1,911,107 2,043,163 2,161,250 9,790,232 11,214,117 คาใชจาย Kiosk คาเชา 0 0 0 0 0 35,000 70,000 140,000 210,000 280,000 280,000 350,000 1,575,000 1,785,000 1,785,000 1,890,000 1,890,000 7,980,000 8,400,000 เงินเดือนพนักงาน 0 0 0 0 0 10,000 20,000 40,000 60,000 80,000 80,000 100,000 150,000 170,000 170,000 180,000 180,000 190,000 200,000 คาเครื่องแบบพนักงาน 0 0 0 0 0 1,000 1,000 2,000 2,000 2,000 0 2,000 0 2,000 1,000 0 0 1,000 1,000 คาสาธารณูปโภค 0 0 0 0 0 5,500 11,000 22,000 33,000 44,000 44,000 55,000 247,500 280,500 280,500 297,000 297,000 1,254,000 1,320,000 คาใชจายเบ็ดเตล็ด 0 0 0 0 0 2,500 5,000 10,000 15,000 20,000 20,000 25,000 37,500 42,500 42,500 45,000 45,000 47,500 50,000 เงิน incentive พนักงาน 0 0 0 0 0 3,915 8,091 16,182 23,490 32,364 31,320 40,455 180,090 199,665 201,884 216,108 216,108 892,620 939,600 คาใชจาย Promotion 0 0 0 0 0 26,100 53,940 107,880 156,600 215,760 208,800 269,700 1,200,600 1,131,435 1,144,007 1,224,612 1,224,612 5,058,180 5,324,400 คาใชจายในการโฆษณา 0 0 0 0 0 5,000 10,000 20,000 30,000 40,000 40,000 50,000 225,000 255,000 255,000 270,000 270,000 1,140,000 1,200,000 คาใชจายในการทําที่คั่นหนังสือ 0 0 0 0 0 45,000 46,500 93,000 103,500 125,550 144,000 186,000 0 0 0 0 0 0 0 รวมคาใชจาย kiosk 0 0 0 0 0 134,015 225,531 451,062 633,590 839,674 848,120 1,078,155 3,615,690 3,866,100 3,879,890 4,122,720 4,122,720 16,563,300 17,435,000 รวมคาใชจาย 123,743 7,743 7,743 207,743 55,827 390,324 490,514 750,619 951,704 1,183,123 1,205,611 1,475,534 5,105,788 5,675,731 5,790,997 6,165,883 6,283,970 26,353,532 28,649,117 กําไร (ขาดทุน) (123,743) (7,743) (7,743) (207,743) (55,827) (213,324) (209,034) (187,659) (195,944) (172,275) (184,171) (142,534) 1,099,060 1,401,509 1,708,495 2,159,013 2,576,734 13,495,588 16,780,003 ภาษีเงินไดนิติบุคคล 0 0 0 0 0 0 0 0 0 0 0 0 28,278 420,453 512,548 647,704 773,020 4,048,676 5,034,001 กําไร (ขาดทุน) หลังภาษี (123,743) (7,743) (7,743) (207,743) (55,827) (213,324) (209,034) (187,659) (195,944) (172,275) (184,171) (142,534) 1,070,781 981,056 1,195,946 1,511,309 1,803,714 9,446,912 11,746,002
  • 81.
    ประมาณการงบดุล (รายป) 2002 20032004 2005 2006 Assets Current assets Cash on hand and in bank 36,871 804,760 6,002,006 14,006,132 21,456,748 Accounts receivable 755,703 1,317,871 2,607,975 3,282,605 4,087,062 Inventory 387,500 628,605 1,034,356 1,228,920 1,465,920 Other current assets 5,000 5,000 5,000 5,000 5,000 Total current assets 1,185,074 2,756,236 9,649,337 18,522,656 27,014,730 Leased Assets 1,983,333 1,825,333 2,549,333 2,420,000 2,348,000 Minus Accumulated depreciation 151,333 378,333 749,333 1,120,333 1,491,333 Net Leased Assets 1,832,000 1,447,000 1,800,000 1,299,667 856,667 Plant, Properties & Equipment 3,139,600 4,491,600 5,943,600 6,619,600 7,355,600 Minus Accumulated depreciation 288,387 1,197,907 2,387,027 3,799,947 5,360,067 PPE-net 2,851,213 3,293,693 3,556,573 2,819,653 1,995,533 Other asset 38,750 38,754 38,758 38,759 38,760 Total assets 5,907,037 7,535,683 15,044,668 22,680,735 29,905,690 Liabilities & Shareholder equity Current liabilities 5,000 5,000 5,000 5,000 5,000 Account payable 775,000 1,257,211 2,068,712 2,457,840 2,931,840 Accrued expenses 87,000 116,100 134,280 141,544 148,896 Corporate tax payable 0 28,278 2,353,725 4,048,676 5,034,001 Short-Term Loan 0 0 0 0 0 Total current liabilities 867,000 1,406,589 4,561,717 6,653,060 8,119,737 Long term Leasing contract 1,747,778 1,063,111 1,314,444 816,111 317,778 Total Liabilities 2,614,778 2,469,700 5,876,162 7,469,172 8,437,515 Shareholder equity Issued Common stock 500,000 shares (parvalue of 10 Bath) 5,000,000 5,000,000 5,000,000 5,000,000 5,000,000 Retained earnings (1,707,741) 65,983 4,168,507 10,211,564 16,468,175 Total shareholder’s equity 3,292,259 5,065,983 9,168,507 15,211,564 21,468,175 Total liabilities Shareholder equity 5,907,037 7,535,683 15,044,668 22,680,735 29,905,690
  • 82.
    ประมาณการงบดุล (รายเดือนในป 2002,รายไตรมาสป2003-2004,รายป 2005 และ 2006) 2002 2003 2004 2005 2006 ม.ค 45 ก.พ 45 มี.ค 45 เม.ย 45 พ.ค 45 มิ.ย 45 ก.ค 45 ส.ค 45 ก.ย 45 ต.ค 45 พ.ย 45 ธ.ค 45 Q1 46 Q2 46 Q3 46 Q4 46 Q1 47 Q2 47 Q3 47 Q4 47 48 48 Assets Current assets Cash on hand and in bank 4,572,525 4,577,748 5,560,880 4,348,850 3,927,900 3,312,497 2,931,853 2,157,861 1,583,880 987,682 726,621 36,871 50,000 50,000 50,000 804,760 1,641,622 2,835,432 4,117,956 6,002,006 14,006,132 21,456,748 Account receivable 0 0 0 0 0 177,608 183,528 367,056 399,095 483,650 562,076 755,703 879,680 1,014,104 1,151,268 1,317,871 1,604,736 1,871,867 2,219,235 2,607,975 3,282,605 4,087,062 Inventory 0 0 0 0 0 66,000 86,335 172,670 214,170 277,016 293,730 387,500 450,570 507,325 583,157 628,605 736,110 812,296 928,311 1,034,356 1,228,920 1,465,920 Other current assets 5,000 5,000 5,000 5,000 5,000 5,000 5,000 5,000 5,000 5,000 5,000 5,000 5,000 5,000 5,000 5,000 5,000 5,000 5,000 5,000 5,000 5,000 Total current asset 4,577,525 4,582,748 4,565,880 4,353,850 3,932,900 3,561,105 3,206,716 2,702,586 2,202,144 1,753,347 1,587,427 1,185,047 1,385,250 1,576,429 1,789,425 2,756,236 3,987,468 5,524,595 7,270,501 9,649,337 18,522,656 27,014,730 Leased Assets 0 0 0 0 1,495,000 1,485,417 1,475,833 1,466,250 1,456,677 1,447,083 1,996,500 1,983,333 1,943,833 1,904,333 1,864,833 1,825,333 2,721,833 2,664,333 2,606,833 2,549,333 2,420,000 2,348,000 Minus Accumulated depreciation 0 0 0 0 18,917 37,833 56,750 75,667 94,583 113,500 132,417 151,333 208,083 264,833 321,583 378,333 471,083 563,833 656,583 749,333 1,120,333 1,491,333 Net Leased Assets 0 0 0 0 1,476,083 1,447,583 1,419,083 1,390,583 1,362,083 1,333,583 1,864,083 1,832,000 1,735,750 1,639,500 1,543,250 1,447,000 2,250,750 2,100,500 1,950,250 1,800,000 1,299,667 856,667 Plant, Properties & Equipment 284,600 284,600 284,6000 284,600 699,600 1,015,600 1,211,600 1,723,600 2,151,600 2,591,600 2,651,600 3,319,600 3,627,600 3,907,600 4,383,600 4,491,600 5,099,600 5,267,600 5,691,600 5,943,600 6,619,600 7,355,600 Minus Accumulated depreciation 4,743 9,487 14,230 18,973 30,883 48,060 68,503 97,480 133,590 177,033 228,643 288,387 492,017 709,647 951,077 1,197,907 1,475,137 1,760,767 2,067,597 2,387,027 3,799,947 5,360,067 PPE – net 279,857 275,113 270,370 265,627 668,717 967,540 1,143,097 1,626,120 2,018,010 2,414,567 2,422,957 2,851,213 3,135,583 3,197,953 3,432,523 3,293,693 3,624,463 3,506,833 3,624,003 3,556,573 2,819,653 1,995,533 Other asset 26,875 18,652 32,520 41,550 34,500 35,620 38,560 42,650 36,230 39,860 33,620 38,750 38,751 38,752 38,753 38,754 38,755 38,756 38,757 38,758 38,759 38,760 Total asset 4,884,257 4,876,513 4,868,770 4,661,027 6,122,200 3,011,848 5,807,456 5,761,940 5,618,468 5,541,357 5,908,087 5,907,037 6,295,334 6,452,634 6,803,952 7,535,683 9,901,437 11,170,685 12,883,511 15,044,668 22,680,735 29,905,690 Liabilities & Shareholder equity Current liabilities 5,000 5,000 5,000 5,000 5,000 5,000 5,000 5,000 5,000 5,000 5,000 5,000 5,000 5,000 5,000 5,000 5,000 5,000 5,000 5,000 5,000 5,000 Account payable 0 0 0 0 0 132,000 172,670 345,340 428,340 554,032 587,460 775,000 901,140 1,014,650 1,166,315 1,257,211 1,472,220 1,624,593 1,856,621 2,068,712 2,457,840 2,931,840 Accrued expenses 3,000 3,000 3,000 3,000 15,000 37,500 43,000 54,000 65,000 76,000 76,000 87,000 99,600 105,100 116,100 116,100 128,780 128,780 134,280 134,280 141,544 148,896 Corporate tax payable 0 0 0 0 0 0 0 0 0 0 0 0 0 0 0 28,278 420,453 512,548 647,704 2,353,725 4,048,676 5,034,001 Short-Term Loan 0 0 0 0 0 0 0 574,700 847,275 287,057 0 0 0 0 0 0 0 Total current liabilities 8,000 8,000 8,000 8,000 20,000 174,500 220,670 404,340 498,340 635,032 668,460 867,000 1,580,440 1,972,025 1,574,472 1,406,589 2,026,453 2,270,921 2,643,605 4,561,717 6,653,060 8,119,737 Long term Leasing contract 0 0 0 0 1,495,000 1,453,472 1,411,944 1,370,417 1,328,889 1,287,361 1,804,833 1,747,778 1,576,611 1,405,444 1,234,278 1,063,111 1,827,944 1,656,778 1,485,611 1,314,444 816,111 317,778 Total Liabilities 8,000 8,000 8,000 8,000 1,515,000 1,627,972 1,632,614 1,774,757 1,827,229 1,922,393 2,473,293 2,614,778 3,157,021 3,377,469 2,808,749 2,469,700 3,854,397 3,927,699 4,129,216 5,876,162 7,469,172 8,437,515 Shareholder equity Issued Common stock 500.000 shares@ 10 Bath 5,000,000 5,000,000 5,000,000 5,000,000 5,000,000 5,000,000 5,000,000 5,000,000 5,000,000 5,000,000 5,000,000 5,000,000 5,000,000 5,000,000 5,000,000 5,000,000 5,000,000 5,000,000 5,000,000 5,000,000 5,000,000 5,000,000 Ratained earning (123,743) (131,487) (139,230) (346,973) (402,800) (616,124) (825,159) (1,012,817) (1,208,761) (1,381,036) (1,565,206) (1,707,741) (1,861,718) (1,924,835) (1,004,798) 65,983 1,047,039 2,242,986 3,754,295 4,168,507 10,211,564 16,488,175 Total shareholder equity 4,876,257 4,868,513 4,860,770 4,653,027 4,597,200 4,383,876 4,174,842 3,987,183 3,791,239 3,618,964 3,434,794 3,292,259 3,138,282 3,075,165 3,665,202 5,065,983 6,047,039 7,242,986 8,754,295 9,168,507 15,211,564 21,468,175 Total liabilities Shareholder equity 4,884,257 4,876,513 4,868,770 4,661,027 6,122,200 3,011,848 5,807,456 5,761,940 5,618,468 5,541,357 5,908,087 5,907,037 6,295,334 6,452,634 6,803,952 7,535,683 9,901,437 11,170,685 12,883,511 15,044,668 22,680,735 29,905,690
  • 83.
    ประมาณการงบกําไรสะสม (รายป) 2002 20032004 2005 2006 กําไรสะสมตนงวด 0 (1,707,741) 65,983 4,168,507 10,211,564 บวก กําไรสุทธิ (1,707,741) 1,773,724 5,492,026 9,446,912 11,746,002 (1,707,741) 65,983 5,558,009 13,615,418 21,957,566 หักเงินปนผล 0 0 (1,389,502) (3,403,855) (5,489,392) กําไรสะสมยกไป (1,707,741) 65,983 4,168,507 10,211,564 16,468,175
  • 84.
    ประมาณการงบกระแสเงินสด (รายป 2002-2006) 20022003 2004 2005 2006 กระแสเงินสดจากกิจกรรมดําเนินงาน (วิธีทางออม) กําไรสุทธิ (1,707,741) 1,773,724 5,492,026 9,446,912 11,746,002 รายการปรับกระทบยอดกําไรสุทธิเปนเงินสดได จาก (ใชไปใน) การดําเนินงาน คาเสื่อมราคา 439,720 1,136,520 1,560,120 1,783,920 1,931,120 การเปลี่ยนแปลงในสินทรัพยและ หนี้สินจากการดําเนินงาน (368,203) (321,063) (884,353) (480,066) (567,458) เงินสดสุทธิไดจาก (ใชไปใน)กิจกรรมดําเนินงาน (1,636,223) 2,589,181 6,167,793 10,750,766 13,109,665 กระแสเงินสดจากกิจกรรมลงทุน เงินสดรับ จากการกูยืม 0 0 0 0 0 จากการขายทรัพยสิน 0 0 0 0 0 เงินสดจาย เพื่อซื้อสินทรัพย (5,166,683) (1,194,004) (2,176,004) (546,668) (664,001) เงินสดสุทธิไดจาก (ใชไปใน) กิจกรรมลงทุน (5,166,683) (1,194,004) (2,176,004) (546,668) (664,001) กระแสเงินสดจากกิจกรรมจัดหาเงิน เงินสดรับ จากการออกหุนทุน 5,000,000 0 0 0 0 จากการกอหนี้สิน 1,839,778 0 2,594,960 1,203,882 494,343 เงินสดจาย เพื่อชําระหนี้ 0 (627,288) 0 0 0 จายเงินปนผล 0 0 (1,389,502) (3,403,855) (5,489,392) เงินสดสุทธิไดจาก (ใชไปใน) กิจกรรมจัดหาเงิน 6,839,778 (627,288) 1,205,458 (2,199,973) (4,995,048) เงินสดและรายการเทียบเทาเงินสดสุทธิเพิ่มขึ้น (ลดลง) 36,871 767,888 5,197,247 8,004,125 7,450,616 บวก เงินสดและรายการเทียบเทาเงินสดตนงวด 0 36,871 804,760 6,002,006 14,006,132 เงินสดและรายการเทียบเทาเงินสดปลายงวด 36,871 804,760 6,002,006 14,006,132 21,456,748
  • 85.
    ขอสมมุติในการประมาณงบการเงิน (1/2) 2001 20022003 2004 2005 2006 Selling Price per scoop Scoop per day CF - 5,000,000 50,000 0 2,891,334 7,304,043 6,383,307 Kiosk = 29 135 NI - 5,000,000 -1,983,505 440,630 4,346,437 7,396,339 9,391,713 Wholesales = 14 ใหญ = 54 Payback 4 years IRR 34% กลาง = 32 Discount Payback Period 4 years NPV ฿3,734,190 Sales volume per month 2002 2003 2004 2005 2006 1 2 3 4 5 6 7 8 9 10 11 12 1-3 4-6 7-9 10-12 1-3 4-6 7-9 10-12 1-12 1-12 31 28 31 30 31 30 31 31 30 31 30 31 90 91 92 92 90 91 92 92 360 360 Scoop per kiosk - 3,780 4,185 4,050 4,185 4,050 4,185 4,185 4,050 4,185 4,050 4,185 12,150 12,285 12,420 12,420 12,150 12,285 12,420 12,420 48,600 48,600 Scoop per restaurant ใหญ - 1,512 1,674 1,620 1,674 1,620 1,674 1,674 1,620 1,674 1,620 1,674 4,860 4,914 4,968 4,968 4,860 4,914 4,968 4,968 19,440 19,440 Scoop per restaurant กลาง - 882 977 945 977 945 977 977 945 977 945 977 2,835 2,867 2,898 2,898 2,835 2,867 2,898 2,898 11,340 11,340 No. of point of sales 2002 2003 2004 2005 2006 1 2 3 4 5 6 7 8 9 10 11 12 1-3 4-6 7-9 10-12 1-3 4-6 7-9 10-12 1-12 1-12 New kiosk per month - - - - - 1 1 2 2 2 - 2 2 3 - - 2 1 - - 1 1 Accu.Kiosk - - - - - 1 2 4 6 8 8 10 12 13 15 15 17 17 18 18 19 20 New shop. Per month ใหญ - - - - - 3 - 3 - 1 2 5 3 2 2 3 7 2 6 5 20 15 Accu. Shop ใหญ - - - - - 3 3 6 6 7 9 14 17 19 21 24 29 33 37 44 58 72 New shop.per month กลาง - - - - - 7 - 7 3 3 3 3 8 6 2 8 15 10 15 10 40 30 Accu. Shop กลาง - - - - - 7 7 14 17 20 23 26 31 36 41 47 60 70 85 99 125 156 Cost Cost per kg. 120 Bath Miscellaneous expenses 2,500 bath/month No. of scoop per Kg. 25 Commission on sales 3% Cost per scoop 4.8 Bath Point of sales promotion 20% Packaging & other VC. Per scoop Premium gift 1.0 bath/piece At kiosk 3 Bath PR Cost 5,000 Bath/month At. Restaurant 2.8 Bath Kiosk Model Rental cost per kiosk 35,000 Bath/month No. of employee 2 person Salary/month/empleyee 5,000 Bath/month Uniform clothes subsidized 500 Bath/month Facilities expenses 5,500 Bath/mont
  • 87.
    สัดสวนผูถือหุน No.share Amount percent นายฉัตรไชยเชี่ยวชาญพาณิช 200,000 2,000,000 40% นายถาวร สุขศรีสราญจิตร 75,000 750,000 15% นายสุวิทย ลีลานันทกิจ 75,000 750,000 15% นายวิทยา จารุพงศโสภณ 75,000 750,000 15% Other shareholder* 75,000 750,000 15% TOTAL 500,000 5,000,000 100% * หุน 15% จัดสรรไวสําหรับบุคคลที่มีประสบการณดานรานอาหารและไอศกรีมซึ่งจะเขามาเปนผูถือหุนของ บริษัท ในกรณีที่บริษัทไมสามารถหาบุคคลดังกลาวได หุนจํานวนดังกลาวจะถูกจัดสรรไปให นายถาวร นายสุวิทย และนายวิทยา คนละ 5%
  • 88.
  • 89.
    วิเคราะห Ratio Analysis 20022003 2004 2005 2006 Swensen2000 Liquidity Ratio Current ratio 1.04 0.87 1.94 2.59 3.17 0.72 Quick ratio 0.70 0.60 1.65 2.39 2.98 0.20 Receivable Turnover 3.89 12.69 12.75 13.44 13.38 66.95 Receivable Turnover(Days) 92.43 28.37 28.22 26.78 26.91 5.38 Inventory Turnover 7.73 25.62 25.34 26.06 26.11 9.11 Inventory Turnover (Days) 46.58 14.05 14.21 13.81 13.79 39.52 Profitability Ratio ROI -0.40 0.09 0.87 1.48 1.88 0.38 ROA -0.34 0.07 0.48 0.49 0.44 0.08 EPS -3.97 0.88 8.69 14.79 18.78 37.96 Gross profit Margin Kiosk+Wholesale 63.20% 62.81% 60.12% 57.47% 56.36% 62.92% Kiosk 69.00% 69.00% 69.00% 69.00% 69.00% Wholesale 37.00% 37.00% 37.00% 37.00% 37.00% Net Profit Margin -27.08% 1.40% 11.67% 16.93% 18.49% 6.04% Leverage Ratio Debt to Equity 0.92 0.91 0.64 0.52 0.41 0.39 Debt to Total Assets 0.48 0.48 0.39 0.34 0.29 0.28
  • 90.
    วิเคราะห Break evenanalysis ของการขายแบบ Kiosk Price per Scoope 29.0 Variable Cost Details of cost per units COGS 7.8 Promotion gift 1.0 Marginal Cost 8.8 Gross Contribution per unit 20.0 Commission per unit 0.9 Promotion per unit 5.8 Marginal Contribution per unit 13.5 Fixed Cost Kiosk Fixed Expenses / month 50,500 Total fixed expenses per month 50,500 จํานวน Break-even unit per month 3,732 Scoops วิเคราะห Break even analysis ของการขายแบบ Wholesale Price per Scoope 147.0 Variable Cost Details of cost per units COGS 7.8 Promotion gift 0 Marginal Cost 7.8 Gross Contribution per unit 6.2 Commission per unit 0 Promotion per unit 1 Marginal Contribution per unit 5.5 Fixed Cost Kiosk Fixed Expenses / month 185,500 Total fixed expenses per month 185,500 จํานวน Break-even unit per month 33,636 Scoops
  • 91.
    ประมาณการงบกระแสเงินสด (รายเดือนในป 2002,รายไตรมาสป 2003-2004, รายป 2005และ 2006) ม,ค 45 ก,พ 45 มี.ค 45 เม.ย 45 พ.ค 45 มิ.ย 45 ก.ค 45 ส.ค 45 ก.ย 45 ต.ค 45 พ.ย 45 ธ.ค 45 Q1 46 Q2 46 Q3 46 Q4 46 Q1 47 Q2 47 Q3 47 Q4 47 48.00 49.00 กระแสเงินสดจากกิจกรรมดําเนินงาน (วิธีทางออม) กําไรสุทธิ (123,743) (7,743) (7,743) (207,743) (55,827) (213,324) (209,034 (187,659) (195,944) (172,275) (184,171) (142,534) (153,977) (63,117) 920,037 1,070,781 981,056 1,195,946 1,511,309 1,803,714 9,446,912 11,746,002 รายการปรับกระทบยอดกําไรสุทธิเปนเงินสดไดจาก (ใชไปใน) การดําเนินงาน คาเสื่อมราคา 4,743 4,743 4,743 4,743 30,827 36,093 39,360 47,893 55,027 62,360 70,527 78,660 260,380 274,380 298,180 303,580 369,980 378,380 399,580 412,180 1,783,920 1,931,120 การเปลี่ยนแปลงในสินทรัพยและหนี้สินจากการ ดําเนินงาน 0 0 0 0 0 (111,608) 14,415 (97,193) 9,461 (21,709) (61,712) (99,857) (60,907) (77,670) (61,332) (121,155) (179,360) (190,945) (231,353) (282,695) (480,066) (567,458) เงินสดสุทธิไดจาก (ใชไปใน) กิจกรรมดําเนินงาน (119,000) (3,000) (3,000) (203,000) (25,000) (288,838) (155,260) (236,958) (131,456) (131,624) (175,356) (163,731) 45,496 133,593 1,156,885 1,253,207 1,171,676 1,383,382 1,679,536 1,933,139 10,750,766 13,109,665 กระแสเงินสดจากกิจกรรมลงทุน เงินสดรับ จากการกูยืม 0 0 0 0 0 0 0 0 0 0 0 0 574,700 272,575 (560,218) (287,057) 0 0 0 0 0 0 จากการขายทรัพยสิน 0 0 0 0 0 0 0 0 0 0 0 0 0 0 0 0 0 0 0 0 0 0 เงินสดจาย (316,475) 8,223 (13,868) (9,030) (1,902,950) (307,537) (189,357) (506,507) (411,997) (434,047) (603,177) (479,963) (448,501) (240,501) (436,501) (68,501) (1,504,501) (110,501) (366,501) (194,501) (546,668) (664,001) เพื่อซื้อสินทรัพย (316,475) 8,223 (13,868) (9,030) (1,902,950) (307,537) (189,357) (506,507) (411,997) (434,047) (603,177) (227,890) 358,500 301,313 (595,650) (696,790) (1,879,803) (548,649) (366,501) (194,501) (546,668) (664,001) เงินสดสุทธิไดจาก (ใชไปใน)กิจกรรมลงทุน กระแสเงินสดจากกิจกรรมจัดหาเงิน เงินสดรับ จากการออกหุนทุน 5,000,000 0 0 0 0 0 0 0 0 0 0 0 0 0 0 0 0 0 0 0 0 0 จากการกอหนี้สิน 8,000 0 0 0 1,507,000 0 0 0 0 0 517,472 0 0 0 0 0 1,169,688 0 0 1,534,855 1,203,882 494,343 เงินสดจาย เพื่อชําระหนี้ 0 0 0 0 0 (19,028) (36,028) (30,526) (30,528) (30,528) 0 (46,056) (158,567) (165,667) (160,167) (142,888) 0 (79,071) (30,511) 0 0 0 จายเงินปนผล 0 0 0 0 0 0 0 0 0 0 0 0 0 0 0 0 0 0 0 (1,389,502) (3,403,855) (5,489,392) เงินสดสุทธิไดจาก (ใชไปใน)กิจกรรมจัดหาเงิน 5,008,000 0 0 0 1,507,000 (19,028) (36,028) (30,528) (30,528) (30,528) 517,472 (46,056) (158,567) (165,667) (160,167) (142,888) 1,169,688 (79,071) (30,511) 145,352 (2,199,973) (4,995,048) เงินสดและรายการเทียบเทาเงินสดสุทธิเพิ่มขึ้น (ลดลง) 4,572,525 5,223 (16,868) (212,030) (420,950) (615,403) (380,644) (773,993) (573,981) (569,198) (261,060) (689,750) 13,128 1 (1) 754,760 836,862 1,193,810 1,282,524 1,884,051 8,004,125 7,450,616 บวก เงินสดและรายการเทียบเทาเงินสดตนงวด 0 4,572,525 5,77,748 4,560,880 4,348,850 3,927,900 3,312,497 2,931,853 2,157,861 1,583,880 987,682 726,621 36,871 50,000 50,000 50,000 804,760 1,641,622 2,835,432 4,117,956 6,002,006 14,006,132 เงินสดและรายการเทียบเทาเงินสดปลายงวด 4,572,525 4,577,748 4,560,880 4,348,850 3,927,300 3,312,497 2,931,853 2,157,861 1,583,880 987,682 726,621 36,871 50,000 50,000 50,000 804,760 1,641,622 2,835,432 4,117,956 6,002,006 14,006,132 21,456,748
  • 92.
    ขอสมมุติในการประมาณงบการเงิน (2/2) Depreciation Growthindicators 2003 2004 2005 2006 Accounting: Straight line 5 Yrs. Expenses growth rate 5% 5% 5% 5% Asset Types Cost/unit No.of unit หองเย็น 415,000 1 เงินเดือนผูบริหาร 5 Person 20000 Salary/month ยานพาหนะ 720,000 1 เงินเดือนพนักงาน 5 Person 5000 Salary/month ดอกเบี้ยรอการตัดจาย-ยานพาหนะ 216,000 คาเชาเครื่องถายเอกสาร 2500 Bath/month คอมพิวเตอรและ Software 24,300 3 คาเชา office และโรงงาน 25000 Bath/month Printer 6,750 2 คาเครื่องเขียน 500 Bath/month เครื่องใชสํานักงาน 6,820 10 คาใชจายในการจัดตั้งบริษัท 15000 Bath คาตกแตงสํานักงาน 130,000 1 คาใชจายในการจดลิขสิทธิ์ 10000 Bath คาตกแตง Kiosk 150,000 1 คาใชจาย Promotion(wholesale) 5.0% % on sales เครื่องจักร 430,000 1 คานํ้ามันรถ 0.5% % on sales ดอกเบี้ยรอการตัดจาย-เครื่องจักร 129,000 Research & Development 3.0% % on sales เครื่อง cash register 22,000 1 ดอกเบี้ยจาย Bath ตูแช (Kiosk) 12,000 2 คา loyalty fee % on sales ตูแช (รานอาหาร) 12,000 1 คาสาธารณูปโภค 32000 Bath/month คาใชจายในการพัฒนาProduct เริ่มตน 300,000 1 หนี้สงสัยจะสูญ 0.5% % on sales Accounting Policy คาใชจายเบ็ดเตล็ด 5000 Bath/month Account receivable turnover 30 Days Inventory 15 Days อัตราภาษีเงินไดนิติบุคคล 30.0% Account payable 30 Days นโยบายตัดคาเสื่อมสินทรัพยแบบเสนตรง 20.0% Dividend Policy 0.25of Retain Earning อัตราดอกเบี้ยการทํา Hire Purchase 3 ป 10.0% อัตราดอกเบี้ยในการคิด Discount Rate NP 15.0%
  • 93.
    ประมาณการงบกําไรขาดทุน (รายป) 2002 20032004 2005 2006 ขาย Kiosk 4,674,510 19,665,045 25,012,935 26,778,600 28,188,000 Wholesale 2,649,087 11,839,086 22,532,958 35,630,280 44,362,080 รายไดจากการขาย 7,323,597 31,504,131 47,545,893 62,408,880 72,550,080 หัก ตนทุนขาย 2,695,358 11,716,151 18,959,794 26,544,672 31,663,872 กําไรขั้นตน 4,628,239 19,787,980 28,586,099 35,864,208 40,886,208 คาใชจาย คาใชจายในการขายและบริหาร 6,101,358 18,052,830 21,266,016 23,384,757 25,466,356 ดอกเบี้ยจาย 70,666 158,000 212,000 129,333 72,000 คาเสื่อมราคา 439,720 1,136,520 1,560,120 1,783,920 1,931,120 รวมคาใชจาย 6,611,745 19,347,350 23,038,136 25,298,010 27,469,476 กําไร (ขาดทุน) (1,983,505) 440,630 5,547,963 10,566,198 13,416,732 ภาษีเงินไดนิติบุคคล 0 0 1,201,526 3,169,859 4,025,020 กําไร(ขาดทุน)หลังภาษี (1,983,505) 440,630 4,346,437 7,396,339 9,391,713
  • 94.
    ประมาณการงบกําไรขาดทุน (รายป) 2002 20032004 2005 2006 ขาย Kiosk 4,674,510 19,665,045 25,012,935 26,778,600 28,188,000 Wholesale 2,649,087 11,839,086 22,532,958 35,630,280 44,362,080 รายไดจากการขาย 7,323,597 31,504,131 47,545,893 62,408,880 72,550,080 หัก ตนทุนชาย 2,695,358 11,716,151 18,959,794 26,544,672 31,663,872 กําไรขั้นตน 4,628,239 19,787,980 28,586,099 35,864,208 40,886,208 คาใชจาย Head Office เงินเดือนผูบริหาร 700,000 1,200,000 1,440,000 1,728,000 2,073,600 เงินเดือนพนักงาน 175,000 315,000 661,500 694,575 729,304 คาเชาเครื่องถายเอกสาร 17,500 30,000 30,000 30,000 30,000 คาเชา office และโรงงาน 175,000 300,000 300,000 300,000 300,000 คาเครื่องเขียน 4,500 6,000 6,000 6,000 6,000 คาใชจายในการจัดตั้งบริษัท 15,000 0 0 0 0 คาใชจายในการจดลิขสิทธิ์ 10,000 0 0 0 0 คาใชจาย Promotion (wholesale) 132,454 591,954 1,126,648 1,781,514 2,218,104 คานํ้ามันรถ 36,618 157,521 237,729 312,044 362,750 Research & Development 519,708 945,124 1,426,377 1,872,266 2,176,502 ดอกเบี้ยจาย 70,666 158,000 212,000 129,333 72,000 คาเสื่อมราคา 439,720 1,136,520 1,560,120 1,783,920 1,931,120 คาสาธารณูปโภค 251,000 403,200 423,360 444,528 466,754 หนี้สงสัยจะสูญ 13,245 59,195 112,665 178,151 221,810 คาใชจายเบ็ดเตล็ด 35,000 63,000 66,150 69,458 72,930 รวมคาใชจาย head office 2,595,412 5,365,514 7,602,549 9,329,790 10,660,876 คาใชจาย Kiosk คาเชา 1,365,000 5,775,000 7,350,000 7,980,000 8,400,000 เงินเดือนพนักงาน 390,000 550,000 700,000 190,000 200,000 คาเครื่องแบบพนักงาน 10,000 5,000 3,000 1,000 1,000 คาสาธารณูปโภค 214,500 907,500 1,155,000 1,254,000 1,320,000 คาใชจายเบ็ดเตล็ด 97,500 137,500 175,000 47,500 50,000 เงิน incentive พนักงาน 140,235 589,951 750,388 803,358 845,640 คาใชจาย Promotion 934,902 3,933,009 4,252,199 4,552,362 4,791,960 คาใชจายในการโฆษณา 195,000 825,000 1,050,000 1,140,000 1,200,000 คาใชจายในการทําที่คั่นหนังสือ 669,195 1,258,875 0 0 0 รวมคาใชจาย kiosk 4,016,332 13,981,835 15,435,587 15,968,220 16,808,600 รวมคาใชจาย 6,611,744 19,347,350 23,038,136 25,298,010 27,469,476 กําไร (ขาดทุน) (1,983,505) 440,630 5,547,963 10,566,198 13,416,732 ภาษีเงินไดนิติบุคคล 0 0 1,201,526 3,169,859 4,025,020 กําไร(ขาดทุน) หลังภาษี (1,983,505) 440,630 4,346,437 7,396,339 9,391,713
  • 95.
    ประมาณการงบกําไรขาดทุน (รายเดือนในป 2002,รายไตรมาสป2003-2004,รายป 2005และ2006) หนา 107 2002 2003 ม.ค.45 ก.พ.45 มี.ค.45 เม.ย.45 พ.ค.45 มิ.ย.45 ก.ค.45 ส.ค.45 ก.ย.45 ต.ค.45 พ.ย.45 ธ.ค.45 Q4 46 Q1 47 ขาย Kiosk 0 0 0 0 0 117,450 242,730 485,460 704,700 970,920 939,600 1,213,650 5,402,700 5,989,950 Wholesale 0 0 0 0 0 160,650 166,005 332,010 360,990 437,472 508,410 683,550 3,576,132 4,354,560 รายไดจากการขาย 0 0 0 0 0 278,100 408,735 817,470 1,065,690 1,408,392 1,448,010 1,897,200 8,978,832 10,344,510 หัก ตนทุนขาย 0 0 0 0 0 118,800 155,403 310,806 385,506 498,629 528,714 697,500 3,394,469 3,974,994 กําไรขั้นตน 0 0 0 0 0 159,300 253,332 506,664 680,184 909,763 919,296 1,199,700 5,584,363 6,369,516 คาใชจาย Head Office เงินเดือนผูบริหาร 0 0 0 0 0 100,000 100,000 100,000 100,000 100,000 100,000 100,000 300,000 360,000 เงินเดือนพนักงาน 0 0 0 0 0 25,000 25,000 25,000 25,000 25,000 25,000 25,000 78,750 165,375 คาเชาเครื่องถายเอกสาร 0 0 0 0 0 2,500 2,500 2,500 2,500 2,500 2,500 2,500 7,500 7,500 คาเชา officeและโรงงาน 0 0 0 0 0 25,000 25,000 25,000 25,000 25,000 25,000 25,000 75,000 75,000 คาเครื่องเขียน 1,000 0 0 0 0 500 500 500 500 500 500 500 1,500 1,500 คาใชจายในการจัดตั้งบริษัท 15,000 0 0 0 0 0 0 0 0 0 0 0 0 0 คาใชจายในการจดลิขสิทธิ์ 0 0 0 0 10,000 0 0 0 0 0 0 0 0 0 คาใชจาย Promotion (wholesale) 0 0 0 0 0 8,033 8,300 16,601 18,050 21,874 25,421 34,178 178,807 217,728 คานํ้ามันรถ 0 0 0 0 0 1,391 2,044 4,087 5,328 7,042 7,240 9,486 44,894 51,723 Research&Development 100,000 0 0 200,000 0 8,343 12,262 24,524 31,971 42,252 43,440 56,916 269,365 310,335 ดอกเบี้ยจาย 0 0 0 0 0 9,583 9,583 9,583 9,583 9,583 9,583 13,167 39,500 39,500 คาเสื่อมราคา 4,743 4,743 4,743 4,743 30,827 36,093 39,360 47,893 55,027 62,360 70,527 78,660 303,580 369,980 คาสาธารณูปโภค 3,000 3,000 3,000 3,000 15,000 32,000 32,000 32,000 32,000 32,000 32,000 32,000 100,800 105,840 หนี้สงสัยจะสูญ 0 0 0 0 0 893 922 1,845 2,006 2,430 2,825 3,798 19,867 24,192 คาใชจายเบ็ดเตล็ด 0 0 0 0 0 5,000 5,000 5,000 5,000 5,000 5,000 5,000 15,750 16,538 รวมคาใชจาย head office 123,743 7,743 7,743 207,743 55,827 256,309 264,983 299,557 318,114 343,449 357,491 397,379 1,490,098 1,809,631 คาใชจาย Kiosk คาเชา 0 0 0 0 0 35,000 70,000 140,000 210,000 280,000 280,000 350,000 1,575,000 1,785,000 เงินเดือนพนักงาน 0 0 0 0 0 10,000 20,000 40,000 60,000 80,000 80,000 100,000 150,000 170,000 คาเครื่องแบบพนักงาน 0 0 0 0 0 1,000 1,000 2,000 2,000 2,000 0 2,000 0 2,000 คาสาธารณูปโภค 0 0 0 0 0 5,500 11,000 22,000 33,000 44,000 44,000 55,000 247,500 280,500 คาใชจายเบ็ดเตล็ด 0 0 0 0 0 2,500 5,000 10,000 15,000 20,000 20,000 25,000 37,500 42,500 เงิน incentive พนักงาน 0 0 0 0 0 3,524 7,282 14,564 21,141 29,128 28,188 36,410 162,081 179,699 คาใชจาย Promotion 0 0 0 0 0 23,490 48,546 97,092 140,940 194,184 187,920 242,730 1,080,540 1,018,292 คาใชจายในการโฆษณา 0 0 0 0 0 5,000 10,000 20,000 30,000 40,000 40,000 50,000 225,000 255,000 คาใชจายในการทําที่คั่นหนังสือ 0 0 0 0 0 40,000 41,500 83,700 93,150 112,995 129,600 167,400 0 0 รวมคาใชจาย kiosk 0 0 0 0 0 126,514 214,678 429,356 605,231 802,307 809,708 1,028,540 3,477,621 3,732,990 รวมคาใชจาย 123,743 7,743 7,743 207,743 55,827 380,759 477,057 723,704 916,995 1,137,605 1,158,461 1,414,363 4,910,947 5,475,781 กําไร (ขาดทุน) (123,743) (7,743) (7,743) (207,743) (55,827) (221,459) (223,725) (217,040) (236,811) (227,841) (239,165) (214,663) 673,416 893,735 ภาษีเงินไดนิติบุคคล 0 0 0 0 0 0 0 0 0 0 0 0 28,278 420,453 กําไร (ขาดทุน) หลังภาษี (123,743) (7,743) (7,743) (207,743) (55,827) (221,459) (223,725) (217,040) (236,811) (227,841) (239,165) (214,663) 673,416 893,735
  • 96.
    ประมาณการงบดุล (รายป) 2002 20032004 2005 2006 Assets Current assets Cash on hand and in bank 50,000 50,000 2,941,334 10,245,377 16,628,683 Accounts receivable 680,132 1,186,084 2,347,177 2,954,344 3,678,356 Inventory 387,500 628,605 1,034,356 1,228,920 1,465,920 Other current assets 5,000 5,000 5,000 5,000 5,000 Total current assets 1,083,882 1,806,829 6,224,431 14,310,749 21,631,367 Leased Assets 1,983,333 1,825,333 2,549,333 2,420,000 2,348,000 Minus Accumulated depreciation 151,333 378,333 749,333 1,120,333 1,491,333 Net Leased Assets 1,832,000 1,447,000 1,800,000 1,299,667 856,667 Plant, Properties & Equipment 3,139,600 4,491,600 5,943,600 6,619,600 7,355,600 Minus Accumulated depreciation 288,387 1,197,907 2,387,027 3,799,947 5,360,067 PPE-net 2,851,213 3,293,693 3,556,573 2,819,653 1,995,533 Other asset 38,750 38,754 38,758 38,759 38,760 Total assets 5,805,846 6,586,276 11,619,763 18,468,828 24,522,327 Liabilities & Shareholder equity Current liabilities 5,000 5,000 5,000 5,000 5,000 Account payable 697,500 1,131,490 1,861,841 2,212,056 2,638,656 Accrued expenses 87,000 116,100 134,280 141,544 148,896 Corporate tax payable 0 0 1,201,526 3,169,859 4,025,020 Short-Term Loan 252,073 813,450 0 0 0 Total current liabilities 1,041,573 2,066,040 3,202,647 5,528,459 6,817,572 Long term Leasing contract 1,747,778 1,063,111 1,314,444 816,111 317,778 Total Liabilities 2,789,351 3,129,151 4,517,092 6,344,571 7,135,350 Shareholder equity Issued Common stock 500,000 shares (parvalue of 10 Bath) 5,000,000 5,000,000 5,000,000 5,000,000 5,000,000 Retained earnings (1,983,505) (1,542,875) 2,102,671 7,124,257 12,386,977 Total shareholder’s equity 3,016,495 3,457,125 7,102,671 12,124,257 17,386,977 Total liabilities Shareholder equity 5,805,846 6,586,276 11,619,763 18,468,828 24,522,327
  • 97.
    ประมาณการงบดุล (รายเดือนในป 2002,รายไตรมาสป2003-2004,รายป 2005 และ 2006) หนา 109 2002 2003 2004 2005 2006 ม.ค 45 ก.พ 45 มี.ค 45 เม.ย 45 พ.ค 45 มิ.ย 45 ก.ค 45 ส.ค 45 ก.ย 45 ต.ค 45 พ.ย 45 ธ.ค 45 Q1 46 Q2 46 Q3 46 Q4 46 Q1 47 Q2 47 Q3 47 Q4 47 48 49 Assets Current assets Cash on hand and in bank 4,572,525 4,577,748 4,560,880 4,348,850 3,927,900 3,315,523 2,918,746 2,125,091 1,509,298 859,704 549,821 50,000 50,000 50,000 50,000 50,000 50,000 704,197 1,763,917 2,941,334 10,245,377 16,628,683 Account receivable 0 0 0 0 0 159,847 165,175 330,350 359,185 435,285 505,868 680,132 791,712 912,694 1,036,141 1,186,084 1,444,262 1,684,680 1,997,311 2,347,177 2,954,344 3,678,356 Inventory 0 0 0 0 0 59,400 77,702 155,403 192,753 249,314 264,357 348,750 450,513 456,593 524,842 565,745 662,499 731,067 835,480 930,920 1,106,028 1,319,328 Other current assets 5,000 5,000 5,000 5,000 5,000 5,000 5,000 5,000 5,000 5,000 5,000 5,000 5,000 5,000 5,000 5,000 5,000 5,000 5,000 5,000 5,000 5,000 Total current asset 4,577,525 4,582,748 4,565,880 4,353,850 3,932,900 3,539,769 3,166,623 2,615,844 2,066,236 1,549,303 1,325,046 1,083,882 1,252,225 1,424,286 1,615,983 1,806,829 2,161,761 3,124,944 4,601,708 6,224,431 14,310,759 21,631,367 Leased Assets 0 0 0 0 1,495,000 1,485,417 1,475,833 1,466,250 1,456,677 1,447,083 1,996,500 1,983,333 1,943,833 1,904,333 1,864,833 1,825,333 2,721,833 2,664,333 2,606,833 2,549,333 2,420,000 2,348,000 Minus Accumulated depreciation 0 0 0 0 18,917 37,833 56,750 75,667 94,583 113,500 132,417 151,333 208,083 264,833 321,583 378,333 471,083 563,833 656,583 749,333 1,120,333 1,491,333 Net Leased Assets 0 0 0 0 1,476,083 1,447,583 1,419,083 1,390,583 1,362,083 1,333,583 1,864,083 1,832,000 1,735,750 1,639,500 1,543,250 1,447,000 2,250,750 2,100,500 1,950,250 1,800,000 1,299,667 856,667 Plant, Properties & Equipment 284,600 284,600 284,600 284,600 699,600 1,015,600 1,211,600 1,723,600 2,151,600 2,591,600 2,651,600 3,139,600 3,627,600 3,907,600 4,383,600 4,491,600 5,099,600 5,267,600 5,691,600 5,943,600 6,619,600 7,355,600 Minus Accumulated depreciation 4,743 9,487 14,230 18,973 30,883 48,060 68,503 97,480 133,590 177,033 228,643 288,387 492,017 709,647 951,077 1,197,907 1,475,137 1,760,767 2,067,597 2,387,027 3,799,947 5,360,067 PPE – net 279,857 275,113 270,370 265,627 668,717 967,540 1,143,097 1,626,120 2,018,010 2,414,567 2,422,957 2,851,213 3,135,583 3,197,953 3,432,523 3,293,693 3,624,463 3,506,833 3,624,003 3,556,573 2,819,653 1,995,533 Asset on Leasing contract Loyalty –net 0 0 0 0 0 0 0 0 0 0 0 0 0 0 0 0 0 0 0 0 0 0 Other asset 26,875 18,652 32,520 41,550 34,500 35,620 38,560 42,650 36,230 39,860 33,620 38,750 38,751 38,752 38,753 38,754 38,755 38,756 38,757 38,758 38,759 38,760 Total asset 4,884,257 4,876,513 4,868,770 4,661,027 6,122,200 5,990,513 5,767,363 5,675,198 5,485,559 5,337,313 5,645,706 5,805,846 6,162,309 6,300,491 6,630,509 6,586,276 8,075,730 8,771,033 10,214,718 11,619,763 18,468,828 24,522,327 Liabilities & Shareholder equity Current liabilities 5,000 5,000 5,000 5,000 5,000 5,000 5,000 5,000 5,000 5,000 5,000 5,000 5,000 5,000 5,000 5,000 5,000 5,000 5,000 5,000 5,000 5,000 Account payable 0 0 0 0 0 118,000 155,403 310,806 385,506 498,629 528,714 697,500 811,026 913,185 1,049,683 1,131,490 1,324,998 1,462,133 1,670,959 1,861,841 2,212,056 2,638,656 Accrued expenses 3,000 3,000 3,000 3,000 15,000 37,500 43,000 54,000 65,000 76,000 76,000 87,000 99,600 105,100 116,100 116,100 128,780 128,780 134,280 134,280 141,544 148,896 Corporate tax payable 0 0 0 0 0 0 0 0 0 0 0 0 0 0 0 0 0 155,503 466,809 1,201,526 3,169,859 4,025,020 Short-Term Loan 0 0 0 0 0 0 0 0 252,073 1,059,074 1,600,888 1,441,739 813,450 438,148 0 0 0 0 0 Total current liabilities 8,000 8,000 8,000 8,000 20,000 161,300 203,403 369,806 455,506 579,629 609,714 1,041,573 1,974,700 2,624,173 2,612,522 2,066,040 1,896,926 1,751,416 2,277,084 3,202,647 5,528,459 6,817,572 Long term Leasing contract 0 0 0 0 1,495,000 1,453,472 1,411,944 1,370,417 1,328,889 1,287,361 1,804,833 1,747,778 1,576,611 1,405,444 1,234,278 1,063,111 1,827,944 1,656,778 1,485,611 1,314,444 816,111 317,778 Total Liabilities 8,000 8,000 8,000 8,000 1,515,000 1,614,772 1,615,347 1,740,223 1,784,395 1,866,990 2,414,547 2,789,351 3,551,311 4,029,617 3,846,800 3,129,151 3,724,870 3,408,194 3,762,659 4,517,092 6,344,571 7,135,350 Shareholder equity Issued Common stock 500.000 shares@ 10 Bath 5,000,000 5,000,000 5,000,000 5,000,000 5,000,000 5,000,000 5,000,000 5,000,000 5,000,000 5,000,000 5,000,000 5,000,000 5,000,000 5,000,000 5,000,000 5,000,000 5,000,000 5,000,000 5,000,000 5,000,000 5,000,000 5,000,000 Ratained earning (123,743) (131,487) (139,230) (346,973) (402,800) (624,259) (847,985) (1,065,025) (1,301,836) (1,529,677) (1,768842) (1,983,506) (2,359,002) (2,729,126) (2,216,291) (1,542,875) (549,140) 362,839 1,452,059 2,102,671 7,124,257 12,386,977 Total shareholder equity 4,876,257 4,868,513 4,860,770 4,653,027 4,597,200 4,375,741 4,152,015 3,934,975 3,698,164 3,470,323 3,231158 3,016,495 2,610,998 2,270,874 2,783,709 3,457,125 4,350,860 5,362,839 6,452,059 7,102,671 12,124,257 17,386,977 Total liabilities Shareholder equity 4,884,257 4,876,513 4,868,770 4,661,027 6,122,200 5,990,513 5,767,363 5,675,198 5,482,559 5,337,313 5,645,706 5,805,846 6,162,309 6,300,492 6,630,509 6,586,276 8,075,730 8,771,033 10,214,718 11,619,763 18,468,828 24,522,327
  • 98.
    ประมาณการงบกําไรสะสม (รายป) 2002 20032004 2005 2006 กําไรสะสมตนงวด 0 (1,983,505) (1,542,875) 2,102,671 7,124,257 บวก กําไรสุทธิ (1,983,505) 440,630 4,346,437 7,396,339 9,391,713 (1,983,505) (1,542,875) 2,803,561 9,499,010 16,515,970 หักเงินปนผล 0 0 (700,890) (2,374,752) (4,128,992) กําไรสะสมยกไป (1,983,505) (1,542,875) 2,102,671 7,124,257 12,386,977
  • 99.
    ประมาณการงบกระแสเงินสด (รายป 2002-2006) 20022003 2004 2005 2006 กระแสเงินสดจากกิจกรรมดําเนินงาน (วิธีทางออม) กําไรสุทธิ (1,983,505) 440,630 4,346,437 7,396,339 9,391,713 รายการปรับกระทบยอดกําไรสุทธิเปนเงินสดไดจาก (ใชไป ใน) การดําเนินงาน คาเสื่อมราคา 439,720 1,136,520 1,560,120 1,783,920 1,931,120 การเปลี่ยนแปลงในสินทรัพยและ หนี้สินจากการดําเนินงาน (331,382) (288,957) (795,918) (432,059) (510,712) เงินสดสุทธิไดจาก (ใชไปใน)กิจกรรมดําเนินงาน (1,636,223) 2,589,181 6,167,793 10,750,766 13,109,665 กระแสเงินสดจากกิจกรรมลงทุน เงินสดรับ จากการกูยืม 252,073 561,377 0 0 0 จากการขายทรัพยสิน 0 0 0 0 0 เงินสดจาย เพื่อชําระเงินกู 0 0 (813,450) 0 0 เพื่อซื้อสินทรัพย (5,166,683) (1,194,004) (2,176,004) (546,668) (664,001) เงินสดสุทธิไดจาก (ใชไปใน) กิจกรรมลงทุน (4,914,610) (632,627) (2,989,454) (546,668) (664,001) กระแสเงินสดจากกิจกรรมจัดหาเงิน เงินสดรับ จากการออกหุนทุน 5,000,000 0 0 0 0 จากการกอหนี้สิน 1,839,778 0 1,471,040 1,477,264 364,179 เงินสดจาย เพื่อชําระหนี้ 0 (655,567) 0 0 0 จายเงินปนผล 0 0 (700,890) (2,374,752) (4,128,992) เงินสดสุทธิไดจาก (ใชไปใน) กิจกรรมจัดหาเงิน 6,839,778 (655,567) 770,149 (897,489) (3,764,813) เงินสดและรายการเทียบเทาเงินสดสุทธิเพิ่มขึ้น(ลดลง) 50,000 (0) 2,891,334 7,304,043 6,383,307 บวก เงินสดและรายการเทียบเทาเงินสดตนงวด 0 50,000 50,000 2,941,334 10,245,377 เงินสดและรายการเทียบเทาเงินสดปลายงวด 50,000 50,000 2,941,334 10,245,377 16,628,683
  • 100.
    ประมาณการงบกระแสเงินสด (รายเดือนในป 2002,รายไตรมาสป2003-2004,รายป 2005 และ 2006) 2002 2003 2004 2005 2006 ม,ค, 45 ก.พ 45 มี.ค 45 เม.ย 45 พ.ค 45 มิ.ย 45 ก.ค 45 ส.ค 45 ก.ย 45 ต,ค 45 พ.ย 45 ธ.ค 45 Q1 46 Q2 46 Q3 46 Q4 46 Q1 47 Q2 47 Q3 47 Q4 47 48.00 กระแสเงินสดจากกิจกรรมดําเนินงาน(วิธีทางออม) กําไรสุทธิ (123,743) (7.743) (7.743) (207,743) (56,827) (221,459) (223,725) (217,040) (236,811) (227,841) (239,165) (214,663) (405,497) (340,124) 512,835 673,416 893,735 1,011,980 1,089,220 1,351,502 7,396, 339 รายการปรับกระทบยอดกําไรสุทธิเปนเงินสดไดจาก (ใชไปใน)การดําเนินงาน คาเสื่อมราคา 4,743 4,743 4,743 4,743 30,827 36,093 39,360 47,893 55,027 62,360 70,527 78,660 260,380 274,380 298,180 303,580 369,980 378,380 399,580 412,180 1,783,290 การเปลี่ยนแปลงในสินทรัพยและหนี้สินจาก การดําเนินงาน 0 0 0 0 0 (100,447) 12,973 (87,473) 8,515 (19,538) (55,514) (89,871) (54,816) (69,903) (55,199) (109,036) (161,424) (171,850) (208,218) (254,425) (432,059) เงินสดสุทธิไดจาก (ใชไปใน) กิจกรรมดําเนินงาน (119,000) (3,000) (3,000) (203,000) (25,000) (285,813) (171,392) (256,621) (173,269) (185,020) (224,170) (225,875) (199,934) (135,646) 755,816 867,956 1,102,290 1,218,509 1,280,582 1,509,257 8,748,199 กระแสเงินสดจากกิจกรรมลงทุน เงินสดรับ จากการกูยืม 0 0 0 0 0 0 0 0 0 0 0 252,073 807,001 541,814 (159,149) (628,289) -375,302 -438,148 0 0 0 จากการขายทรัพยสิน 0 0 0 0 0 0 0 0 0 0 0 0 0 0 0 0 0 0 0 0 0 เงินสดจาย เพื่อซื้อสินทรัพย (316,475) 8,223 (13,868) (9,030) (1,902,950) (307,537) (189,357) (506,507) (411,997) (434,047) (603,177) (479,963) (448,501) (240,501) (436,501) (68,501) (1,504,501) (110,501) (366,501) (194,501) (546,668) เงินสดสุทธิไดจาก (ใชไปใน) กิจกรรมลงทุน (316,475) 8,223 (13,868) (9,030) (1,902,950) (307,537) (189,357) (506,507) (411,997) (434,047) (603,177) (227,890) 358,500 301,313 (595,650) (696,790) (1,879,803) (548,649) (366,501) (194,501) (546,668) กระแสเงินสดจากกิจกรรมจัดหาเงิน เงิดสดรับ จากการออกหุนทุน 5,000,000 0 0 0 0 0 0 0 0 0 0 0 0 0 0 0 0 0 0 0 0 จากการกอหนี้สิน 8,000 0 0 0 1,507,000 0 0 0 0 0 517,472 0 0 0 0 0 777,513 0 0 563,551 1,477,264 เงินสดจาย เพื่อชําระหนี้ 0 0 0 0 0 (19,028) (36,028) (30,526) (30,528) (30,528) 0 (46,056) (150,567) (165,667) (160,167) (171,167) 0 (15,664) 145,639 0 0 จายเงินปนผล 0 0 0 0 0 0 0 0 0 0 0 0 0 0 0 0 0 0 0 (700,890) (2,374,752) เงินสดสุทธิไดจาก (ใชไปใน) กิจกรรมจัดหาเงิน 5,008,000 0 0 0 1,507,000 (19,028) (36,028) (30,528) (30,528) (30,528) 517,472 (46,056) (150,567) (165,667) (160,167) (171,167) 777,513 (15,664) 145,639 -137,339 (897,489) เงินสดและรายการเทียบเทาเงินสดสุทธิเพิ่มขึ้น (ลดลง) 4,572,525 5,223 (16,868) (212,030) (420,950) (612,377) (396,776) (793,655) (615,793) (695,594) (309,883) (499,821) (0) (0) (0) 1 654,196 1,059,720 1,177,471 7,304,043 บวก เงินสดและรายการเทียบเทาเงินสดตนงวด 0 4,572,525 5,77,748 4,560,880 4,348,850 3,927,300 3,315,523 2,918,746 2,125,091 1,509,298 859,704 549,821 50,000 50,000 50,000 50,000 50,000 50,000 704,197 1,763,917 2,941,334 เงินสดและรายการเทียบเทาเงินสดปลายงวด 4,572,525 4,577,748 4,560,880 4,348,850 3,927,300 3,315,523 2,918,746 2,125,091 1,509,298 859,704 549,821 50,000 50,000 50,000 50,000 50,000 50,000 704,197 1,763,917 2,941,334 10,245,377
  • 104.
    สัดสวนผูถือหุน No.share Amount percent นายฉัตรไชยเชี่ยวชาญพาณิช 200,000 2,000,000 40% นายถาวร สุขศรีสราญจิตร 75,000 750,000 15% นายสุวิทย ลีลานันทกิจ 75,000 750,000 15% นายวิทยา จารุพงศโสภณ 75,000 750,000 15% Other shareholder* 75,000 750,000 15% TOTAL 500,000 5,000,000 100% * หุน 15% จัดสรรไวสําหรับบุคคลที่มีประสบการณดานรานอาหารและไอศกรีมซึ่งจะเขามาเปนผูถือหุนของ บริษัท ในกรณีที่บริษัทไมสามารถหาบุคคลดังกลาวได หุนจํานวนดังกลาวจะถูกจัดสรรไปให นายถาวร นายสุวิทย และนายวิทยา คนละ 5%
  • 105.
  • 106.
    วิเคราะห Ratio Analysis 20022003 2004 2005 2006 Swensen2000 Liquidity Ratio Current ratio 0.91 0.67 1.67 2.29 2.83 0.72 Quick ratio 0.58 0.44 1.30 2.04 2.58 0.20 Receivable Turnover 3.89 12.69 12.75 13.44 13.38 66.95 Receivable Turnover(Days) 92.43 28.37 28.22 26.78 26.91 5.38 Inventory Turnover 7.73 25.62 25.34 26.06 26.11 9.11 Inventory Turnover (Days) 46.58 14.05 14.21 13.81 13.79 39.52 Profitability Ratio ROI -0.43 -0.03 0.79 1.27 1.61 0.38 ROA -0.36 -0.02 0.45 0.45 0.40 0.08 EPS -4.31 -0.30 7.94 12.70 16.10 37.96 Gross profit Margin Kiosk+Wholesale 57.68% 57.23% 54.14% 51.09% 49.81% 62.92% Kiosk 69.00% 69.00% 69.00% 69.00% 69.00% Wholesale 37.00% 37.00% 37.00% 37.00% 37.00% Net Profit Margin -26.51% -0.43% 8.87% 13.08% 14.27% 6.04% Leverage Ratio Debt to Equity 1.10 1.55 0.73 0.61 0.48 0.39 Debt to Total Assets 0.52 0.61 0.42 0.38 0.32 0.28
  • 107.
    วิเคราะห Break evenanalysis ของการขายแบบ Kiosk Price per Scoope 29.0 Variable Cost Details of cost per units COGS 9.0 Promotion gift 1.0 Marginal Cost 10.0 Gross Contribution per unit 19.0 Commission per unit 0.9 Promotion per unit 5.8 Marginal Contribution per unit 12.4 Fixed Cost Kiosk Fixed Expenses / month 50,500 Total fixed expenses per month 50,500 จํานวน Break-even unit per month 4,086 Scoops วิเคราะห Break even analysis ของการขายแบบ Wholesale Price per Scoope 14.0 Variable Cost Details of cost per units COGS 9.0 Promotion gift 0 Marginal Cost 9.0 Gross Contribution per unit 5.0 Commission per unit 0 Promotion per unit 1 Marginal Contribution per unit 4.3 Fixed Cost Kiosk Fixed Expenses / month 185,500 Total fixed expenses per month 185,500 จํานวน Break-even unit per month 42,725 Scoops
  • 108.
    ขอสมมุติในการประมาณงบการเงิน (1/2) 2001 20022003 2004 2005 2006 Selling Price per scoop Scoop per day CF - 5,000,000 50,000 - 1,546,884 6,753,702 5,587,780 Kiosk = 29 150 NI - 5,000,000 - 2,156,967 - 150,690 3,972,347 6,350,033 8,501,884 Wholesales = 14 ใหญ = 60 Payback 4 years IRR 27% กลาง = 35 Discount Payback Period 5 years NPV ฿2,347,952 Sales volume per month 2002 2003 2004 2005 2006 1 2 3 4 5 6 7 8 9 10 11 12 1-3 4-6 7-9 10-12 1-3 4-6 7-9 10-12 1-12 1-12 31 28 31 30 31 30 31 31 30 31 30 31 90 91 92 92 90 91 92 92 360 360 Scoop per kiosk - 4,200 4,650 4,500 4,650 4,500 4,650 4,650 4,500 4,650 4,500 4,650 13,500 13,650 13,800 13,800 13,500 13,650 13,800 13,800 54,000 54,000 Scoop per restaurant ใหญ - 1,680 1,860 1,800 1,860 1,800 1,860 1,860 1,800 1,860 1,800 1,860 5,400 5,460 5,520 5,520 5,400 5,460 5,520 5,520 21,600 21,600 Scoop per restaurant กลาง - 980 1,085 1,050 1,085 1,050 1,085 1,085 1,050 1,085 1,050 1,085 3,150 3,185 3,220 3,220 3,150 3,185 3,220 3,220 12,600 12,600 No. of point of sales 2002 2003 2004 2005 2006 1 2 3 4 5 6 7 8 9 10 11 12 1-3 4-6 7-9 10-12 1-3 4-6 7-9 10-12 1-12 1-12 New kiosk per month - - - - - 1 1 2 2 2 - 2 2 3 - - 2 1 - - 1 1 Accu.Kiosk - - - - - 1 2 4 6 8 8 10 12 13 15 15 17 17 18 18 19 20 New shop. Per month ใหญ - - - - - 3 - 3 - 1 2 5 3 2 2 3 7 2 6 5 20 15 Accu. Shop ใหญ - - - - - 3 3 6 6 7 9 14 17 19 21 24 29 33 37 44 58 72 New shop.per month กลาง - - - - - 7 - 7 3 3 3 3 8 6 2 8 15 10 15 10 40 30 Accu. Shop กลาง - - - - - 7 7 14 17 20 23 26 31 36 41 47 60 70 85 99 125 156 Cost Cost per kg. 138 Bath Miscellaneous expenses 2,500 bath/month No. of scoop per Kg. 25 Commission on sales 3% Cost per scoop 5.52 Bath Point of sales promotion 20% Packaging & other VC. Per scoop Premium gift 1.0 bath/piece At kiosk 3.45 Bath PR Cost 5,000 Bath/month At. Restaurant 3.22 Bath หนา 118 Kiosk Model Rental cost per kiosk 35,000 Bath/month No. of employee 2 person Salary/month/empleyee 5,000 Bath/month Uniform clothes subsidized 500 Bath/month Facilities expenses 5,500 Bath/mont
  • 109.
    ขอสมมุติในการประมาณงบการเงิน (2/2) Depreciation Growthindicators 2003 2004 2005 2006 Accounting: Straight line 5 Yrs. Expenses growth rate 5% 5% 5% 5% Asset Types Cost/unit No.of unit หองเย็น 415,000 1 เงินเดือนผูบริหาร 5 Person 20000 Salary/month ยานพาหนะ 720,000 1 เงินเดือนพนักงาน 5 Person 5000 Salary/month ดอกเบี้ยรอการตัดจาย-ยานพาหนะ 216,000 คาเชาเครื่องถายเอกสาร 2500 Bath/month คอมพิวเตอรและ Software 24,300 3 คาเชา office และโรงงาน 25000 Bath/month Printer 6,750 2 คาเครื่องเขียน 500 Bath/month เครื่องใชสํานักงาน 6,820 10 คาใชจายในการจัดตั้งบริษัท 15000 Bath คาตกแตงสํานักงาน 130,000 1 คาใชจายในการจดลิขสิทธิ์ 10000 Bath คาตกแตง Kiosk 150,000 1 คาใชจาย Promotion(wholesale) 5.0% % on sales เครื่องจักร 430,000 1 คานํ้ามันรถ 0.5% % on sales ดอกเบี้ยรอการตัดจาย-เครื่องจักร 129,000 Research & Development 3.0% % on sales เครื่อง cash register 22,000 1 ดอกเบี้ยจาย Bath ตูแช (Kiosk) 12,000 2 คา loyalty fee % on sales ตูแช (รานอาหาร) 12,000 1 คาสาธารณูปโภค 32000 Bath/month คาใชจายในการพัฒนาProduct เริ่มตน 300,000 1 หนี้สงสัยจะสูญ 0.5% % on sales Accounting Policy คาใชจายเบ็ดเตล็ด 5000 Bath/month Account receivable turnover 30 Days Inventory 15 Days อัตราภาษีเงินไดนิติบุคคล 30.0% Account payable 30 Days นโยบายตัดคาเสื่อมสินทรัพยแบบเสนตรง 20.0% Dividend Policy 0.25of Retain Earning อัตราดอกเบี้ยการทํา Hire Purchase 3 ป 10.0% อัตราดอกเบี้ยในการคิด Discount Rate NP 15.0%
  • 110.
    ประมาณการงบกําไรขาดทุน (รายป) 2002 20032004 2005 2006 ขาย Kiosk 5,193,900 21,850,050 27,792,150 29,754,000 31,320,000 Wholesale 2,943,430 13,154,540 25,036,620 39,589,200 49,291,200 รายไดจากการขาย 8,137,330 35,004,590 52,828,770 69,343,200 80,611,200 หัก ตนทุนขาย 3,444,068 14,970,638 24,226,404 33,918,192 40,459,392 กําไรขั้นตน 4,693,262 20,033,952 28,602,366 35,425,008 40,151,808 คาใชจาย คาใชจายในการขายและบริหาร 6,339,843 18,890,122 22,144,461 24,440,279 26,645,997 ดอกเบี้ยจาย 70,666 158,000 212,000 129,333 72,000 คาเสื่อมราคา 439,720 1,136,520 1,560,120 1,783,920 1,931,120 รวมคาใชจาย 6,850,229 20,184,642 23,916,581 26,353,532 28,649,117 กําไร (ขาดทุน) (2,156,967) (150,690) 4,685,785 9,071,476 11,502,691 ภาษีเงินไดนิติบุคคล 0 0 713,438 2,721,443 3,450,807 กําไร(ขาดทุน)หลังภาษี (2,156,967) (150,690) 3,972,347 6,350,033 8,051,884
  • 111.
    ประมาณการงบกําไรขาดทุน (รายป) 2002 20032004 2005 2006 ขาย Kiosk 5,193,900 21,850,050 27,792,150 29,754,000 31,320,000 Wholesale 2,943,430 13,154,540 25,036,620 39,589,200 49,291,200 รายไดจากการขาย 8,137,330 35,004,590 52,828,770 69,343,200 80,611,200 หัก ตนทุนชาย 3,444,068 14,970,638 24,226,404 33,918,192 40,459,392 กําไรขั้นตน 4,693,262 20,033,952 28,602,366 35,425,008 40,151,808 คาใชจาย Head Office เงินเดือนผูบริหาร 700,000 1,200,000 1,440,000 1,728,000 2,073,600 เงินเดือนพนักงาน 175,000 315,000 661,500 694,575 729,304 คาเชาเครื่องถายเอกสาร 17,500 30,000 30,000 30,000 30,000 คาเชา office และโรงงาน 175,000 300,000 300,000 300,000 300,000 คาเครื่องเขียน 4,500 6,000 6,000 6,000 6,000 คาใชจายในการจัดตั้งบริษัท 15,000 0 0 0 0 คาใชจายในการจดลิขสิทธิ์ 10,000 0 0 0 0 คาใชจาย Promotion (wholesale) 147,172 657,727 1,251,831 1,979,760 2,464,560 คานํ้ามันรถ 40,687 175,023 264,144 346,716 403,056 Research & Development 544,120 1,050,138 1,584,863 2,080,296 2,418,336 ดอกเบี้ยจาย 70,666 158,000 212,000 129,333 72,000 คาเสื่อมราคา 439,720 1,136,520 1,560,120 1,783,920 1,931,120 คาสาธารณูปโภค 251,000 403,200 423,360 444,528 466,754 หนี้สงสัยจะสูญ 14,717 65,773 125,183 197,946 246,456 คาใชจายเบ็ดเตล็ด 35,000 63,000 66,150 69,458 72,930 รวมคาใชจาย head office 2,640,082 5,560,380 7,925,151 9,790,232 11,214,117 คาใชจาย Kiosk คาเชา 1,365,000 5,775,000 7,350,000 7,980,000 8,400,000 เงินเดือนพนักงาน 390,000 550,000 700,000 190,000 200,000 คาเครื่องแบบพนักงาน 10,000 5,000 3,000 1,000 1,000 คาสาธารณูปโภค 214,500 907,500 1,155,000 1,254,000 1,320,000 คาใชจายเบ็ดเตล็ด 97,500 137,500 175,000 47,500 50,000 เงิน incentive พนักงาน 155,817 655,502 833,765 892,620 939,600 คาใชจาย Promotion 1,038,780 4,370,010 4,724,666 5,058,180 5,324,400 คาใชจายในการโฆษณา 195,000 825,000 1,050,000 1,140,000 1,200,000 คาใชจายในการทําที่คั่นหนังสือ 743,550 1,398,750 0 0 0 รวมคาใชจาย kiosk 4,210,147 14,624,262 15,991,430 16,563,300 17,435,000 รวมคาใชจาย 6,850,229 20,184,642 23,916,581 26,353,532 28,649,117 กําไร (ขาดทุน) (2,156,967) (150,690) 4,685,785 9,071,476 11,502,691 ภาษีเงินไดนิติบุคคล 0 0 713,439 2,721,443 3,450,807 กําไร(ขาดทุน) หลังภาษี (2,156,967) (150,690) 3,972,347 6,350,333 8,051,884
  • 112.
    ประมาณการงบกําไรขาดทุน (รายเดือนในป 2002,รายไตรมาสป2003-2004,รายป 2005และ2006) 2002 2003 ม.ค.45 ก.พ.45 มี.ค.45 เม.ย.45 พ.ค.45 มิ.ย.45 ก.ค.45 ส.ค.45 ก.ย.45 ต.ค.45 พ.ย.45 ธ.ค.45 Q4 46 Q1 47 ขาย Kiosk 0 0 0 0 0 130,500 269,700 539,400 783,000 1,078,800 1,044,000 1,348,500 6,003,000 6,655,500 Wholesale 0 0 0 0 0 178,500 184,450 368,990 401,100 486,080 564,900 759,500 3,973,480 4,838,400 รายไดจากการขาย 0 0 0 0 0 309,000 454,150 908,300 1,184,100 1,564,880 1,608,900 2,108,000 9,916,480 11,493,900 หัก ตนทุนขาย 0 0 0 0 0 151,800 198,571 397,141 492,591 637,137 675,579 891,250 4,337,377 5,079,159 กําไรขั้นตน 0 0 0 0 0 157,200 255,580 511,159 691,509 927,743 933,321 1,216,750 5,639,103 6,414,741 คาใชจาย Head Office เงินเดือนผูบริหาร 0 0 0 0 0 100,000 100,000 100,000 100,000 100,000 100,000 100,000 300,000 360,000 เงินเดือนพนักงาน 0 0 0 0 0 25,000 25,000 25,000 25,000 25,000 25,000 25,000 78,750 165,375 คาเชาเครื่องถายเอกสาร 0 0 0 0 0 2,500 2,500 2,500 2,500 2,500 2,500 2,500 7,500 7,500 คาเชา officeและโรงงาน 0 0 0 0 0 25,000 25,000 25,000 25,000 25,000 25,000 25,000 75,000 75,000 คาเครื่องเขียน 1,000 0 0 0 0 500 500 500 500 500 500 500 1,500 1,500 คาใชจายในการจัดตั้งบริษัท 15,000 0 0 0 0 0 0 0 0 0 0 0 0 0 คาใชจายในการจดลิขสิทธิ์ 0 0 0 0 10,000 0 0 0 0 0 0 0 0 0 คาใชจาย Promotion (wholesale) 0 0 0 0 0 8,925 9,223 18,445 20,055 24,304 28,245 37,975 198,674 241,920 คานํ้ามันรถ 0 0 0 0 0 1,545 2,271 4,542 5,921 7,824 8,045 10,540 49,882 57,470 Research&Development 100,000 0 0 200,000 0 9,270 13,625 27,249 35,523 46,946 48,267 63,240 299,294 344,817 ดอกเบี้ยจาย 0 0 0 0 0 9,583 9,583 9,583 9,583 9,583 9,583 13,167 39,500 39,500 คาเสื่อมราคา 4,743 4,743 4,743 4,743 30,827 36,093 39,360 47,893 55,027 62,360 70,527 78,660 303,580 369,980 คาสาธารณูปโภค 3,000 3,000 3,000 3,000 15,000 32,000 32,000 32,000 32,000 32,000 32,000 32,000 100,800 105,840 หนี้สงสัยจะสูญ 0 0 0 0 0 893 922 1,845 2,006 2,430 2,825 3,798 19,867 24,192 คาใชจายเบ็ดเตล็ด 0 0 0 0 0 5,000 5,000 5,000 5,000 5,000 5,000 5,000 15,750 16,538 รวมคาใชจาย head office 123,743 7,743 7,743 207,743 55,827 256,309 264,983 299,557 318,114 343,449 357,491 397,379 1,490,098 1,809,631 คาใชจาย Kiosk คาเชา 0 0 0 0 0 35,000 70,000 140,000 210,000 280,000 280,000 350,000 1,575,000 1,785,000 เงินเดือนพนักงาน 0 0 0 0 0 10,000 20,000 40,000 60,000 80,000 80,000 100,000 150,000 170,000 คาเครื่องแบบพนักงาน 0 0 0 0 0 1,000 1,000 2,000 2,000 2,000 0 2,000 0 2,000 คาสาธารณูปโภค 0 0 0 0 0 5,500 11,000 22,000 33,000 44,000 44,000 55,000 247,500 280,500 คาใชจายเบ็ดเตล็ด 0 0 0 0 0 2,500 5,000 10,000 15,000 20,000 20,000 25,000 37,500 42,500 เงิน incentive พนักงาน 0 0 0 0 0 3,915 8,091 16,182 23,490 32,364 31,320 40,455 180,090 199,665 คาใชจาย Promotion 0 0 0 0 0 26,100 53,940 107,880 156,600 215,760 208,800 269,700 1,200,600 1,131,435 คาใชจายในการโฆษณา 0 0 0 0 0 5,000 10,000 20,000 30,000 40,000 40,000 50,000 225,000 255,000 คาใชจายในการทําที่คั่นหนังสือ 0 0 0 0 0 45,000 46,500 93,000 103,500 125,550 144,000 186,000 0 0 รวมคาใชจาย kiosk 0 0 0 0 0 134,015 225,531 451,062 633,590 839,674 848,120 1,078,155 3,615,690 3,866,100 รวมคาใชจาย 123,743 7,743 7,743 207,743 55,827 390,324 490,514 750,619 951,704 1,183,123 1,205,611 1,475,534 5,105,788 5,675,731 กําไร (ขาดทุน) (123,743) (7,743) (7,743) (207,743) (55,827) (233,124) (234,935) (239,460) (260,195) (255,379) (272,290) (258,784) 533,315 739,010 ภาษีเงินไดนิติบุคคล 0 0 0 0 0 0 0 0 0 0 0 0 0 0 กําไร (ขาดทุน) หลังภาษี (123,743) (7,743) (7,743) (207,743) (55,827) (221,459) (234,935) (239,460) (260,195) (255,379) (272,290) (258,784) 533,315 739,010
  • 113.
    ประมาณการงบดุล (รายป) 2002 20032004 2005 2006 Assets Current assets Cash on hand and in bank 50,000 50,000 1,596,884 8,350,586 13,938,365 Accounts receivable 755,703 1,317,871 2,607,975 3,282,605 4,087,062 Inventory 445,625 722,896 1,189,509 1,413,258 1,685,808 Other current assets 5,000 5,000 5,000 5,000 5,000 Total current assets 1,256,328 2,095,767 5,399,368 13,051,448 19,716,235 Leased Assets 1,983,333 1,825,333 2,549,333 2,420,000 2,348,000 Minus Accumulated depreciation 151,333 378,333 749,333 1,120,333 1,491,333 Net Leased Assets 1,832,000 1,447,000 1,800,000 1,299,667 856,667 Plant, Properties & Equipment 3,139,600 4,491,600 5,943,600 6,619,600 7,355,600 Minus Accumulated depreciation 288,387 1,197,907 2,387,027 3,799,947 5,360,067 PPE-net 2,851,213 3,293,693 3,556,573 2,819,653 1,995,533 Other asset 38,750 38,754 38,758 38,759 38,760 Total assets 5,978,291 6,875,214 10,794,699 17,209,527 22,607,195 Liabilities & Shareholder equity Current liabilities 5,000 5,000 5,000 5,000 5,000 Account payable 891,250 1,445,792 2,379,019 2,826,516 3,371,616 Accrued expenses 87,000 116,100 134,280 141,544 148,896 Corporate tax payable 0 0 713,439 2,721,443 3,450,807 Short-Term Loan 404,230 1,552,868 0 0 0 Total current liabilities 1,387,480 3,119,760 3,231,737 5,694,503 6,976,320 Long term Leasing contract 1,747,778 1,063,111 1,314,444 816,111 317,778 Total Liabilities 3,135,258 4,182,871 4,546,182 6,510,614 7,294,097 Shareholder equity Issued Common stock 500,000 shares (parvalue of 10 Bath) 5,000,000 5,000,000 5,000,000 5,000,000 5,000,000 Retained earnings (2,156,967) (2,307,657) 1,248,518 5,698,913 10,313,098 Total shareholder’s equity 2,843,033 2,692,343 6,248,518 10,698,913 15,313,098 Total liabilities Shareholder equity 5,978,291 6,875,215 10,794,699 17,209,527 22,607,195
  • 114.
    ประมาณการงบดุล (รายเดือนในป 2002,รายไตรมาสป2003-2004,รายป 2005 และ 2006) 2002 2003 2004 2005 2006 ม.ค 45 ก.พ 45 มี.ค 45 เม.ย 45 พ.ค 45 มิ.ย 45 ก.ค 45 ส.ค 45 ก.ย 45 ต.ค 45 พ.ย 45 ธ.ค 45 Q1 46 Q2 46 Q3 46 Q4 46 Q1 47 Q2 47 Q3 47 Q4 47 48 49 Assets Current assets Cash on hand and in bank 4,572,525 4,577,748 4,560,880 4,348,850 3,927,900 3,302,597 2,899,103 2,066,260 1,454,253 784,377 437,705 50,000 50,000 50,000 50,000 50,000 50,000 50,000 587,518 1,596,884 8,350,586 13,938,365 Account receivable 0 0 0 0 0 177,608 183,528 367,056 399,095 483,650 562,076 755,703 879,680 1,014,104 1,151,268 1,317,871 1,604,736 1,871,867 2,219,235 2,607,975 3,282,605 4,087,062 Inventory 0 0 0 0 0 75,900 99,285 198,571 246,296 318,568 337,790 445,625 518,156 583,424 570,631 722,896 846,527 931,141 1,067,557 1,189,509 1,413,258 1,685,808 Other current assets 5,000 5,000 5,000 5,000 5,000 5,000 5,000 5,000 5,000 5,000 5,000 5,000 5,000 5,000 5,000 5,000 5,000 5,000 5,000 5,000 5,000 5,000 Total current asset 4,577,525 4,582,748 4,565,880 4,353,850 3,932,900 3,561,105 3,186,916 2,656,889 2,104,643 1,591,595 1,342,570 1,256,328 1,452,835 1,652,528 1,876,899 2,095,767 2,506,263 2,861,008 3,879,310 5,399,368 13,051,448 19,716,235 Leased Assets 0 0 0 0 1,495,000 1,485,417 1,475,833 1,466,250 1,456,667 1,447,083 1,996,500 1,983,333 1,943,833 1,904,333 1,864,833 1,825,333 2,721,833 2,664,333 2,606,833 2,549,333 2,420,000 2,348,000 Minus Accumulated depreciation 0 0 0 0 18,917 37,833 56,750 75,667 94,583 113,500 132,417 151,333 208,083 264,833 321,583 378,333 471,083 563,833 656,583 749,333 1,120,333 1,491,333 Net Leased Assets 0 0 0 0 1,476,083 1,447,583 1,419,083 1,390,583 1,362,083 1,333,583 1,864,083 1,832,000 1,735,750 1,639,500 1,543,250 1,447,000 2,250,750 2,100,500 1,950,250 1,800,000 1,299,667 856,667 Plant, Properties & Equipment 284,600 284,600 284,600 284,600 699,600 1,015,600 1,211,600 1,723,600 2,151,600 2,591,600 2,651,600 3,139,600 3,627,600 3,907,600 4,383,600 4,491,600 5,099,600 5,267,600 5,691,600 5,943,600 6,619,600 7,355,600 Minus Accumulated depreciation 4,743 9,487 14,230 18,973 30,883 48,060 68,503 97,480 133,590 177,033 228,643 288,387 492,017 709,647 951,077 1,197,907 1,475,137 1,760,767 2,067,597 2,387,027 3,799,947 5,360,067 PPE – net 279,857 275,113 270,370 265,627 668,717 967,540 1,143,097 1,626,120 2,018,010 2,414,567 2,422,957 2,851,213 3,135,583 3,197,953 3,432,523 3,293,693 3,624,463 3,506,833 3,624,003 3,556,573 2,819,653 1,995,533 Asset on Leasing contract Loyalty –net 0 0 0 0 0 0 0 0 0 0 0 0 0 0 0 0 0 0 0 0 0 0 Other asset 26,875 18,652 32,520 41,550 34,500 35,620 38,560 42,650 36,230 39,860 33,620 38,750 38,751 38,752 38,753 38,754 38,755 38,756 38,757 38,758 38,759 38,760 Total asset 4,884,257 4,876,513 4,868,770 4,661,027 6,122,200 6,001,200 5,787,656 5,716,239 5,520,966 5,379,605 5,663,230 5,978,291 6,362,919 6,528,733 6,891,425 6,875,214 8,420,231 8,507,097 9,492,321 10,794,699 17,209,527 22,607,195 Liabilities & Shareholder equity Current liabilities 5,000 5,000 5,000 5,000 5,000 5,000 5,000 5,000 5,000 5,000 5,000 5,000 5,000 5,000 5,000 5,000 5,000 5,000 5,000 5,000 5,000 5,000 Account payable 0 0 0 0 0 151,800 198,571 397,141 492,591 637,137 675,579 891,250 1,036,311 1,166,848 1,341,262 1,445,792 1,693,053 1,868,282 2,135,115 2,379,019 2,826,516 3,371,616 Accrued expenses 3,000 3,000 3,000 3,000 15,000 37,500 43,000 54,000 65,000 76,000 76,000 87,000 99,600 105,100 116,100 116,100 128,780 128,780 134,280 134,280 141,544 148,896 Corporate tax payable 0 0 0 0 0 0 0 0 0 0 0 0 0 0 0 0 0 0 219,695 713,439 2,721,443 3,450,807 Short-Term Loan 0 0 0 0 0 0 0 0 0 0 0 404,230 1,361,854 2,082,508 2,035,757 1,552,868 1,334,100 439,476 0 0 0 0 Total current liabilities 8,000 8,000 8,000 8,000 20,000 194,300 248,571 456,141 562,591 718,137 756,579 1,387,480 2,502,765 3,359,456 3,498,119 3,119,760 3,160,933 2,441,538 2,494,089 3,231,737 5,964,503 6,976,320 Long term Leasing contract 0 0 0 0 1,495,000 1,453,472 1,411,944 1,370,417 1,328,889 1,287,361 1,804,833 1,747,778 1,576,611 1,405,444 1,234,278 1,063,111 1,827,944 1,656,778 1,485,611 1,314,444 816,111 317,778 Total Liabilities 8,000 8,000 8,000 8,000 1,515,000 1,647,772 1,658,515 1,826,558 1,891,480 2,005,498 2,561,412 3,135,258 4,079,376 4,764,900 4,732,397 4,182,871 4,988,877 4,098,315 3,979,700 4,546,182 6,510,614 7,294,097 Shareholder equity Issued Common stock 500.000 shares@ 10 Bath 5,000,000 5,000,000 5,000,000 5,000,000 5,000,000 5,000,000 5,000,000 5,000,000 5,000,000 5,000,000 5,000,000 5,000,000 5,000,000 5,000,000 5,000,000 5,000,000 5,000,000 5,000,000 5,000,000 5,000,000 5,000,000 5,000,000 Ratained earning (123,743) (131,487) (139,230) (346,973) (402,800) (535,924) (870,859) (1,110,319) (1,370,514) (1,625,393) (1,898,183) (2,155,967) (2,716,457) (3,236,157) (2,840,972) (2,307,667) (1,568,647) (591,218) 512,621 1,248,518 5,698,913 10,313,098 Total shareholder equity 4,876,257 4,868,513 4,860,770 4,653,027 4,597,200 4,364,076 4,129,141 3,889,681 3,629,486 3,374,107 3,101,817 2,843,033 2,283,543 1,763,833 2,159,028 2,692,343 3,431,353 4,408,782 5,512,621 6,248,518 10,698,913 15,313,098 Total liabilities Shareholder equity 4,884,257 4,876,513 4,868,770 4,661,027 6,122,200 6,011,848 5,787,656 5,716,239 5,520,966 5,379,605 5,663,230 5,978,291 6,362,919 6,528,733 6,891,425 6,875,215 8,420,231 8,507,097 9,492,321 10,749,699 17,209,527 22,607,195
  • 115.
    ประมาณการงบกําไรสะสม (รายป) 2002 20032004 2005 2006 กําไรสะสมตนงวด 0 (2,156,967) (2,307,657) 1,248,518 5,698,913 บวก กําไรสุทธิ (2,156,967) (150,690) 3,972,347 6,350,033 8,051,884 (2,156,967) (2,307,657) 1,664,690 7,598,551 13,750,797 หักเงินปนผล 0 0 (416,173) (1,899,638) (3,437,699) กําไรสะสมยกไป (2,156,967) (2,307,657) 1,248,518 5,698,913 10,313,098
  • 116.
    ประมาณการงบกระแสเงินสด (รายป 2002-2006) 20022003 2004 2005 2006 กระแสเงินสดจากกิจกรรมดําเนินงาน (วิธีทาง ออม) กําไรสุทธิ (2,156,967) (150,690) 3,972,347 6,350,033 8,051,884 รายการปรับกระทบยอดกําไรสุทธิเปนเงินสดได จาก (ใชไปใน) การดําเนินงาน คาเสื่อมราคา 439,720 1,136,520 1,560,120 1,783,920 1,931,120 การเปลี่ยนแปลงในสินทรัพยและ หนี้สินจากการดําเนินงาน (310,078) (284,897) (823,490) (450,881) (531,908) เงินสดสุทธิไดจาก (ใชไปใน)กิจกรรมดําเนินงาน (2,027,324) 700,933 4,708,976 7,683,072 9,451,097 กระแสเงินสดจากกิจกรรมลงทุน เงินสดรับ จากการกูยืม 404,230 1,148,638 0 0 0 จากการขายทรัพยสิน 0 0 0 0 0 เงินสดจาย เพื่อชําระเงินกู 0 0 (1,552,868) 0 0 เพื่อซื้อสินทรัพย (5,166,683) (1,194,004) (2,176,004) (546,668) (664,001) เงินสดสุทธิไดจาก (ใชไปใน) กิจกรรมลงทุน (4,762,453) (45,366) (3,728,872) (546,668) (664,001) กระแสเงินสดจากกิจกรรมจัดหาเงิน เงินสดรับ จากการออกหุนทุน 5,000,000 0 0 0 0 จากการกอหนี้สิน 1,839,778 0 982,952 1,516,935 238,383 เงินสดจาย เพื่อชําระหนี้ 0 (655,567) 0 0 0 จายเงินปนผล 0 0 (416,173) (1,899,638) (3,437,699) เงินสดสุทธิไดจาก (ใชไปใน) กิจกรรมจัดหาเงิน 6,839,778 (655,567) 566,779 (382,703) (3,199,316) เงินสดและรายการเทียบเทาเงินสดสุทธิเพิ่มขึ้น (ลดลง) 50,000 1,546,884 6,753,702 5,587,780 บวก เงินสดและรายการเทียบเทาเงินสดตนงวด 0 50,000 50,000 1,596,884 8,350,585 เงินสดและรายการเทียบเทาเงินสดปลายงวด 50,000 50,000 1,596,884 8,350,585 13,938,365
  • 118.
    ประมาณการงบกระแสเงินสด (รายเดือนในป 2002,รายไตรมาสป2003-2004,รายป 2005 และ 2006 2002 2003 2004 2005 2006 ม,ค, 45 ก.พ 45 มี.ค 45 เม.ย 45 พ.ค 45 มิ.ย 45 ก.ค 45 ส.ค 45 ก.ย 45 ต,ค 45 พ.ย 45 ธ.ค 45 Q1 46 Q2 46 Q3 46 Q4 46 Q1 47 Q2 47 Q3 47 Q4 47 48.00 กระแสเงินสดจากกิจกรรมดําเนินงาน(วิธีทางออม) กําไรสุทธิ (123,743) (7.743) (7.743) (207,743) (55,827) (233,124) (234,935) (239,460) (260,195) (255,379) (272,290) (258,784) (559,490) (519,710) 395,195 533,315 739,010 977,428 1,103,839 1,152,069 6,350,033 รายการปรับกระทบยอดกําไรสุทธิเปนเงินสดไดจาก (ใชไปใน)การดําเนินงาน คาเสื่อมราคา 4,743 4,743 4,743 4,743 30,827 36,093 39,360 47,893 55,027 62,360 70,527 78,660 260,380 274,380 298,180 303,580 369,980 378,380 399,580 412,180 1,783,290 การเปลี่ยนแปลงในสินทรัพยและหนี้สินจาก การดําเนินงาน 0 0 0 0 0 (101,708) 17,465 (84,243) 15,686 (12,282) (59,205) (85,792) (51,447) (69,156) (49,957) (114,338) (163,235) (179,517) (213,951) (266,788) (450,881) เงินสดสุทธิไดจาก (ใชไปใน) กิจกรรมดําเนินงาน (119,000) (3,000) (3,000) (203,000) (25,000) (298,736) (178,110) (275,809) (189,482) (205,302) (260,968) (265,916) (350,577) (314,486) 643,418 722,557 945,755 1,176,292 1,289,468 1,297,462 7,683,072 กระแสเงินสดจากกิจกรรมลงทุน เงินสดรับ จากการกูยืม 0 0 0 0 0 0 0 0 0 0 0 404,230 957,624 720,654 (46,751) (482,889) -218,768 -894,624 -439,476 0 0 จากการขายทรัพยสิน 0 0 0 0 0 0 0 0 0 0 0 0 0 0 0 0 0 0 0 0 0 เงินสดจาย เพื่อซื้อสินทรัพย (316,475) 8,223 (13,868) (9,030) (1,902,950) (307,537) (189,357) (506,507) (411,997) (434,047) (603,177) (479,963) (448,501) (240,501) (436,501) (68,501) (1,504,501) (110,501) (366,501) (194,501) (546,668) เงินสดสุทธิไดจาก (ใชไปใน) กิจกรรมลงทุน (316,475) 8,223 (13,868) (9,030) (1,902,950) (307,537) (189,357) (506,507) (411,997) (434,047) (603,177) (75,733) 509,123 480,153 (463,252) (551,390) (1,723,269) (1,055,125) (805,977) (194,501) (546,668) กระแสเงินสดจากกิจกรรมจัดหาเงิน เงิดสดรับ จากการออกหุนทุน 5,000,000 0 0 0 0 0 0 0 0 0 0 0 0 0 0 0 0 0 0 0 0 จากการกอหนี้สิน 8,000 0 0 0 1,507,000 0 0 0 0 0 517,472 0 0 0 0 0 777,513 0 0 322,577 1,516,935 เงินสดจาย เพื่อชําระหนี้ 0 0 0 0 0 (19,028) (36,028) (30,526) (30,528) (30,528) 0 (46,056) (158,567) (165,667) (160,167) (171,167) 0 (171,167) 54.028 0 0 จายเงินปนผล 0 0 0 0 0 0 0 0 0 0 0 0 0 0 0 0 0 0 0 (416,173) (1,899,638) เงินสดสุทธิไดจาก (ใชไปใน) กิจกรรมจัดหาเงิน 5,008,000 0 0 0 1,507,000 (19,028) (36,028) (30,528) (30,528) (30,528) 517,472 (46,056) (158,567) (165,667) (160,167) (171,167) 777,513 (171,167) 54,028 -93,595 (382,703) เงินสดและรายการเทียบเทาเงินสดสุทธิเพิ่มขึ้น (ลดลง) 4,572,525 5,223 (16,868) (212,030) (420,950) (625,303) (403,494) (812,843) (632,007) (669,876) (346,672) (387,705) (0) (1) 1 (0) (0) 537,519 1,009,366 6,753,702 บวก เงินสดและรายการเทียบเทาเงินสดตนงวด 0 4,572,525 5,77,748 4,560,880 4,348,850 3,927,300 3,302,597 2,899,103 2,086,260 1,454,253 784,377 437,705 50,000 50,000 50,000 50,000 50,000 50,000 50,000 587,518 1,596,884 เงินสดและรายการเทียบเทาเงินสดปลายงวด 4,572,525 4,577,748 4,560,880 4,348,850 3,927,300 3,302,597 2,899,103 2,086,260 1,454,253 784,377 437,705 50,000 50,000 50,000 50,000 50,000 50,000 50,000 587,518 1,596,884 8,350,586
  • 120.
    สัดสวนผูถือหุน No.share Amount percent นายฉัตรไชยเชี่ยวชาญพาณิช 200,000 2,000,000 40% นายถาวร สุขศรีสราญจิตร 75,000 750,000 15% นายสุวิทย ลีลานันทกิจ 75,000 750,000 15% นายวิทยา จารุพงศโสภณ 75,000 750,000 15% Other shareholder* 75,000 750,000 15% TOTAL 500,000 5,000,000 100% * หุน 15% จัดสรรไวสําหรับบุคคลที่มีประสบการณดานรานอาหารและไอศกรีมซึ่งจะเขามาเปนผูถือหุนของ บริษัท ในกรณีที่บริษัทไมสามารถหาบุคคลดังกลาวได หุนจํานวนดังกลาวจะถูกจัดสรรไปให นายถาวร นายสุวิทย และนายวิทยา คนละ 5%