Green Nanotechnology
Its easier than you think
Dr. Saheli Pradhan Mitra
• Synthesis of nanoparticles using
biological samples
• Characterization of nanoparticles
(FTIR, SEM, TEM, Scanning
Tunneling Microscope, Atomic
Force Microscope, UV-Vis
Spectrophotometer).
Contents
What is Nanotechnology?
• Nanoscience is a branch of science that
comprises the study of properties of
matter at the nanoscale, and particularly
focuses on the unique, size-dependent
properties of solid-state materials
• Nanotechnology is the branch that
comprises the synthesis, engineering,
and utilization of materials whose size
ranges from 1 to 100 nm, known as
nanomaterials
The birth of nanoscience and nanotechnology
concepts is usually linked to the famous lecture of
Nobel laureate Richard Feynman at the 1959
meeting of the American Physical Society,
‘‘There’s Plenty of Room at the Bottom’’.
However, the use of nanotechnology and
nanomaterials goes back in history long before that.
History
• Long before the era of nanotechnology, people were unknowingly coming across various nanosized
objects and using nano-level processes.
• In ancient Egypt, dyeing hair in black was common and was for a long time believed to be based on
plant products such as henna. However, recent research on hair samples from ancient Egyptian burial
sites showed that hair was dyed with paste from lime, lead oxide, and water. In this dyeing process,
galenite (lead sulfide, PbS) nanoparticles are formed. The ancient Egyptians were able to make the
dyeing paste react with sulfur (part of hair keratin) and produce small PbS nanoparticles which provided
even and steady dyeing.
• Probably the most famous example for the ancient use of nanotechnology is the Lycurgus Cup (fourth
century CE). This ancient roman cup possesses unusual optical properties; it changes its color based on
the location of the light source. In natural light, the cup is green, but when it is illuminated from within
(with a candle), it becomes red. The recent analysis of this cup showed that it contains 50–100 nm Au
and Ag nanoparticles, which are responsible for the unusual coloring of the cup through the effects of
plasmon excitation of electrons.
Why
Nanoscale?
• A nanometer (nm) is one
thousand millionth of a
meter.
• People are interested in
the nanoscale because at
this scale physical and
chemical properties of
materials differ
significantly from those
at a larger scale.
Nanoparticles are small particles with sizes ranging from 1 to 100 nanometers. These materials
have gained importance and interest in recent years owing to their large number of applications,
because the matter at this scale presents a more compact arrangement of atoms and molecules,
generating phenomena and acquiring or enhancing mechanical, electrical, magnetic, optical,
catalytic, and antibacterial properties that are completely different from those of their
macroscopic counterparts.
Why nanomaterials are different?
• Today, due to their unique properties, nanomaterials are used in a wide range of applications, such as
catalysis, water treatment, energy storage, medicine, agriculture, etc. Two main factors cause
nanomaterials to behave significantly differently than the same materials at larger dimensions:
surface effects and quantum effects. These factors make nanomaterials exhibit enhanced or novel
mechanical, thermal, magnetic, electronic, optical, and catalytic properties.
• Nanomaterials have different surface effects compared to micromaterials or bulk materials, mainly
due to three reasons;
(a) dispersed nanomaterials have a very large surface area and high particle number per mass unit,
(b) the fraction of atoms at the surface in nanomaterials is increased, and
(c) the atoms situated at the surface in nanomaterials have fewer direct neighbors. Because of each of
these differences, the chemical and physical properties of nanomaterials change compared to their
larger-dimension counterparts.
• Larger surface areas and larger surface-to-volume ratios generally increases the reactivity of
nanomaterials due to the larger reaction surface, as well as resulting in significant effects of surface
properties on their structure.
• The dispersity of nanomaterials is a key factor for the surface effects. The strong attractive
interactions between particles can result in the agglomeration and aggregation of nanomaterials,
which negatively affects their surface area and their nanoscale properties. Agglomeration can be
prevented by increasing the zeta potential of nanomaterials (increasing the repulsive force),
optimizing the degree of hydrophilicity/hydrophobicity of the nanomaterial, or by optimizing the pH
and the ionic strength of the suspension medium
• Nanomaterials display distinct size-dependent properties in the 1–100 nm range where quantum
phenomena are involved.
• When the material radius approaches the asymptotic exciton Bohr radius (the separation distance
between the electron and hole), the influence of quantum confinement becomes apparent.
• In other words, by shrinking the size of the material, quantum effects become more pronounced, and
nanomaterials become quantum. Those quantum structures are physical structures where all the
charge carriers (electrons and holes) are confined within the physical dimensions. As a result of
quantum confinement effects, for instance, some non-magnetic materials in bulk such as palladium,
platinum, and gold become magnetic in the nanoscale.
• Quantum confinement can also result in significant changes in electron affinity or the ability to
accept or donate electrical charges, which is directly reflected on the catalytic properties of the
material. For example, the catalytic activity of cationic platinum clusters in N2O decomposition is
dictated by the number of atoms in the cluster. 6–9, 11, 12, 15, and 20 atom-containing clusters are
very reactive, while clusters with 10, 13, 14, and 19 atoms have low reactivity
Classification of Nanomaterials
• Zero-dimensional nanomaterials (0-D): the nanomaterials in this class have all their three
dimensions in the nanoscale range. Examples are quantum dots, fullerenes.
• One-dimensional nanomaterials (1-D): the nanomaterials in this class have one dimension
outside the nanoscale. Examples are nanotubes, nanofibers, nanorods, nanowires.
• Two-dimensional nanomaterials (2-D): the nanomaterials in this class have two dimensions
outside the nanoscale. Examples are nanosheets, nanofilms, and nanolayers.
• Three-dimensional nanomaterials (3-D) or bulk nanomaterials: in this class the materials are
not confined to the nanoscale in any dimension. This class contains bulk powders,
dispersions of nanoparticles, arrays of nanowires and nanotubes, etc.
Synthesis of
Nanomaterials
• Chemical reduction: This method involves the reduction of metal ions in solution using chemical
reagents such as sodium borohydride or sodium hydroxide to form nanoparticles.
• Coprecipitation: Synthesis involves mixing two or more solutions containing metal ions. When the
solutions are mixed, metal ions precipitate out of the solution and form nanoparticles.
• Sol-gel: The process requires mixing a metal salt with a solvent and gelling agent. The solvent is
evaporated leaving behind the gel. The gel is then heated, causing it to solidify and form nanoparticles.
• Microemulsion: This method needs surfactants, water-soluble compounds, and oil-soluble compounds.
The mixture forms small droplets that contain the metal ions. When droplets are heated, metal ions
precipitate out of the solution and form nanoparticles.
• Sonochemical/electrochemical synthesis: This process uses ultrasound or an electrical current to
break down metal salts into nanoparticles.
• Solvothermal/hydrothermal synthesis: This reaction involves heating a solution of metal ions in
water or an organic solvent under high pressure. High pressure and temperature cause metal ions to
precipitate out of the solution and form nanoparticles.
Environmental Limitations in Nanoparticle Synthesis
Traditional methods for synthesizing nanoparticles have several limitations.
• Using organic reagents can harm the environment, humans, and animals, causing illnesses,
such as liver damage.
• In addition, wastewater generated from nanoparticle synthesis can contain harmful chemicals.
The low yield is another disadvantage:
• Only a small percentage of the starting materials is converted into nanoparticles, generating
raw material waste.
• The high cost of the starting materials, equipment, labor required, long-time synthesis, and
the inability to control the size and shape can limit their applications.
Strategies to Overcome Barriers to Nanoparticle Synthesis
• Several strategies can be used to overcome the disadvantages of nanoparticle synthesis, such as the
use of environmentally friendly solvents, reagents, and processes. Using water, ionic liquids, and
supercritical fluids are examples of eco-friendly solvents or one can even perform solvent-free
synthesis, eliminating the need for hazardous chemicals and reducing the environmental impact of
nanoparticle synthesis.
• Many nanoparticle synthesis methods are not scalable, which limits their application. Therefore, it
is necessary to develop cost-effective and efficient processes to obtain large quantities of
nanoparticles.
• Multipurpose nanoparticles can be used to improve their performance in a variety of applications
and fields. For example, biocompatible nanoparticles are used in biomedicine or as stable
nanoparticles for long-term applications.
• The characterization of nanoparticles is important for understanding their size, shape, surface
properties, and chemical composition. This information can be used to understand how
nanoparticles interact with their environment and ensure they are safe.
Green Synthesis
of
Nanoparticles
• This involves minimizing or, if possible,
eliminating the pollution produced in the
synthesis processes, avoiding the consumption
and wastage of nonrenewable raw materials,
using hazardous or polluting materials in product
manufacturing, and reducing the synthesis time.
• Paul J. Anastas, considered the father of green
chemistry, defined it as “a work philosophy that
involves the use of alternative tools and
pathways to prevent pollution,” referring to
both the design of the synthetic strategy and the
treatment of possible secondary products
originating from that route.
Green synthesis aims to promote innovative chemical technologies to reduce or eliminate the use and
production of hazardous substances in the design, manufacture, and use of chemical products.
• The synthesis of nano-sized materials employing “green” processes is relatively cost-effective and does
not harm the surrounding environment, as non-toxic chemicals are employed throughout the entire
process. Therefore, the usage of stabilizers and reducing agents that possess a biological origin, such as
microbial entities, fauna and various other resources, is a sustainable way to produce nano-sized
materials.
• Although being cost-effective and environment-friendly are key factors motivating the green synthesis
of nano-sized materials, the “stability” of the produced material has attracted the attention of
researchers across the globe.
• Although the methods involved in green synthesis are relatively diverse, the living entities that are
involved in the synthesis usually simply react with different salts (metallic) and reduce them to nano-
sized materials, which can be utilized for different purposes only following appropriate
characterization.
• Both microbe- and plant-mediated approaches are employed to synthesize nano-sized materials.
Microbe-mediated construction products involve their inherently sophisticated biochemical machinery,
which leads to well-defined nanoparticles of different chemical compositions, shapes and sizes.
• Scaling up may, however, sometimes prove challenging with regard to microbial preparations. This
drawback can be easily overcome by using plant-based extracts, and the production rates can be
amplified as a consequence.
• Plant extracts are more efficient than microbes with regard to the production rate. They reduce
metal-ions faster than microbial entities and produce nano-sized materials, which are also very
stable.
• Plants contain various compounds (i.e., alkaloids, flavonoids, phenol, tannin, alcohol) with the
capability to reduce metallic ions to nanoparticles with decent stability.
Two approaches can be used to generate nanoparticles.
• “Top-down” approach: In which nanoparticles are produced using physical techniques such as
grinding or abrasion of a material.
• “Bottom-up” approach: Where nanoparticles are generated from “building blocks” of atoms or
molecules, resulting in more complex assemblies. Three alternatives are identified using this
approach.
Chemical synthesis: The method of producing molecules or particles by the reaction of substances used
as raw materials.
Self-assembly: A technique in which atoms or molecules self-order through physical and/or chemical
interactions.
Positional assembly: The atoms, molecules, and aggregates are deliberately manipulated and positioned
individually. However, this method is extremely laborious and unsuitable for industrial applications.
The “bottom-up” approach is preferred over the “top-down” approach because specialized equipment is
not required and the time to obtain nanoparticles is shorter. Green synthesis is gaining relevance in
producing nanoparticles within the “bottom-up” approach.
The use of plant species, algae, or microorganisms such as bacteria or fungi is one of the most commonly
used resources for this procedure. Various compounds from plants or microorganisms, including
terpenes, polyphenols, alkaloids, carbohydrates, proteins, and genetic materials, play an important role in
the synthesis of nanoparticles by acting together.
In addition to the biological resources used to perform the synthesis, other factors influence the shape
and size of nanoparticles, such as the concentration of the metal ion, pH, reaction time, and temperature.
In general, the phases for the green
synthesis of nanoparticles include-
Initial phase: Obtaining the reaction
medium, which is the aqueous extract of
one or several parts of the plant species
or the culture media for the growth of
microorganisms, in addition to the
precursor salt, which is the source of
metal ions.
Activation phase: Chemical reduction
of metal ions and generation of
nucleation centers occur where
nanoparticles emerge and grow.
Growth phase: Small adjacent
nanoparticles spontaneously fuse into
larger particles, forming aggregates,
which are influenced by factors such as
temperature, concentration, and type of
compounds, pH, and reaction time.
Termination phase: The final shape of
the nanoparticles is determined, and the
compounds that participate in the
reaction help stabilize and enhance their
properties.
Biological Resources
for the Green Synthesis
of Nanoparticles
1. Bacteria
• Nanoparticle synthesis using bacteria is performed both extracellularly and intracellularly.
• Intracellular: The synthesis is carried out inside the living microorganism, using its growth
conditions to favor synthesis, known as “nanoparticle micro-factories.” To recover nanoparticles,
bacteria must be destroyed.
• Extracellular: The components released by the bacteria after lysis are used. The synthesis is
performed by adding a metal salt precursor to the medium in which these components are located.
Extracellular synthesis has the advantage of being faster because it does not require additional
steps to recover nanoparticles from microorganisms.
• Enzymes, such as reductases, which catalyze the reduction of metal ions into nanoparticles,
participate in the synthesis. Even components of the genetic material participate in this process.
2. Fungi
• Fungi contain active biomolecules, such
as proteins or enzymes, that participate
in nanoparticle synthesis, improving
their yields and stability.
• Some fungal species can synthesize
nanoparticles using extracellular amino
acids. For example, glutamic and
aspartic acids on the surface of yeast or
the reductase enzyme in the cytosol of
fungi reduce metal ions to form
nanoparticles. This is facilitated by the
presence of hydroxyl groups in the
mycelium, which donate electrons to the
metal ion and reduce it to form
nanoparticles. Aliphatic and aromatic
amines or some proteins act as coating
agents to stabilize them.
3. Algae
• Algae are used in nanotechnology
because of their low toxicity and their
ability to bioaccumulate and reduce
metals.
• Nanoparticle synthesis can be
intracellular, with the metal ion
entering the alga, or extracellular, and
involves compounds such as
polysaccharides, proteins, and
pigments that direct the reduction of
metal ions and coat the newly formed
nanoparticles. These particles are
subsequently released from the cell in
the form of colloids.
4. Plant Species
• The use of plants in nanoparticle synthesis is one of the most widely used methods because of its
environmentally friendly nature, as it avoids the use of toxic or harmful substances. It is also one of
the fastest and most economical methods because it involves fewer steps. This makes it highly
efficient in the nanoparticle production process compared to synthesis using microorganisms.
• Plants contain several compounds (terpenes, flavonoids, polyphenols, alkaloids, proteins, etc.) that
reduce metal ions and stabilize the resulting nanoparticles.
• This type of synthesis can be performed using intracellular, extracellular, and phytochemical-
mediated methods.
• Intracellular: The synthesis is carried out inside the plant cell, and the nanoparticles are recovered
by breaking down the structure, which is very similar to the intracellular method using
microorganisms. Control of the growth factors of plant species is required so that they do not
interfere with synthesis.
• Extracellular: This method is the most
commonly used because of its ease and
speed. The process begins by obtaining
a plant extract, which is generally water-
based, to which a metal salt precursor is
added. Owing to the action of the
different compounds present in the
extract, nanoparticles are generated and
stabilized in a single step.
• Phytochemically mediated: This is
based on the extracellular method, but
with the difference that isolated
phytochemical compounds are used and
other substances are added to stabilize
the nanoparticles. There is greater
control over the synthesis, but more
components and steps are involved.
Factors Involved in the Green Synthesis of Nanoparticles
Temperature: This is one of the most influential factors, as the shape (spherical, prismatic, flakes,
triangular, octahedral, etc.), size, and synthesis depend on temperature. As the temperature increases,
the reaction rate and the formation of nucleation centers increase, resulting in higher yields. Different
temperatures promote different interactions between the reactants, giving rise to various shapes; the
larger the temperature increase, the larger the size of the nanoparticles.
pH: This influences the nucleation centers, generating more centers at higher pH values. Another
important influence of pH is that some nanoparticles can only be synthesized in acidic or alkaline
media. For example, magnetic nanoparticles are synthesized at an alkaline pH, and metal oxide
nanoparticles are generally synthesized at an acidic or neutral pH.
Time: This parameter plays an important role in defining the size of the nanoparticles. It has been
observed that longer reaction times favor an increase in the size of the nanoparticles and higher
yields, owing to the prolonged interaction time between reactants
Mechanisms
Involved in the
Green Synthesis
of Nanoparticles
The plant extract or organism
used for the synthesis is an
important factor that influences
the morphology and size of
nanoparticles because different
concentrations of metabolites
or cellular components give
rise to differences in the
nanoparticles.
• Proteins and enzymes facilitate the formation of nanoparticles from metal ions. Because of their high
reducing activity, proteins and enzymes can attract metal ions to specific regions of a molecule
responsible for reduction, facilitating the formation of nanoparticles; however, their chelating activity
is not excessive.
• The amino acids of a protein can greatly influence the size, morphology, and quantity of nanoparticles
generated, thus playing a very important role in determining their shape and yield. Removing a proton
from amino acids or other molecules results in the formation of resonant structures capable of further
oxidation. This process is accompanied by the active reduction of metal ions followed by the
formation of nanoparticles.
• Flavonoids are a large group of polyphenolic compounds that can actively chelate and reduce metal
ions because they contain multiple functional groups capable of forming these structures. Structural
transformations of flavonoids also generate protons that reduce metal ions to form nanoparticles;
therefore, they are involved in the nucleation stage, their formation, and further aggregation.
Saccharides can also play a role in nanoparticle formation.
• Monosaccharides, such as glucose, can act as reducing agents, as the aldehyde group of the sugar is
oxidized to a carboxyl group through the addition of hydroxyl groups, which in turn leads to the
reduction of metal ions and the synthesis of nanoparticles.
• The mechanism of green synthesis of nanoparticles has been associated with the action of
polyphenols, which act as ligands. Metal ions form coordination compounds, in which the
fundamental structural unit is the central metal ion surrounded by coordinated groups arranged
spatially at the corners of a regular tetrahedron. The aromatic hydroxyl groups in polyphenols
bind to metal ions and form stable coordinated complexes. This system undergoes direct
decomposition at high temperatures, releasing nanoparticles from the complex system.
• Flavonoids, amino acids, proteins, terpenoids, tannins, and reducing sugars have hydroxyl groups
that surround the metal ions to form complexes. After this process, the hydroxyl ions are oxidized
to carbonyl groups, which stabilize the nanoparticles. Synthesis is favored if the participating
molecules have at least two hydroxyl groups at the ortho- and para-positions.
• Amino acids influence the size, morphology, and yield of nanoparticles generated, depending on
the specific amino acids present in the extract and their concentration, along with the reaction
conditions that give rise to nanoparticles with different shapes.
The 12 principles of
green synthesis are
fulfilled with the
biological approach to
produce nanoparticles.
In a Nutshell
• Nanoparticles have emerged as a versatile and promising class of materials with unique properties
that can be harnessed for various applications.
• The use of green synthesis utilizing natural resources and biologically active compounds to produce
nanoparticles is an area of continuous research to improve processes, reduce environmental damage,
and meet the increasing demand for the application of these nanostructures.
• Utilizing biological resources, the synthesis of nanoparticles is inexpensive, faster, and considered a
one-step synthesis while preserving or even improving the physical and chemical properties of the
nanoparticles.
• With the great potential of this method and the sustainable and efficient production of nanoparticles,
different sizes and shapes can be obtained, which makes it a very attractive option not only for the
synthesis of nanostructures, but also for the application of this technique in the synthesis of other
compounds.
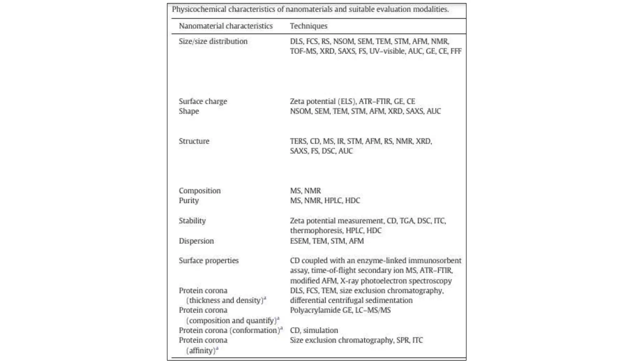
Characterization of Nanoparticles
• Typically, engineered materials with dimensions in the nanometer scale are intermediates between
isolated small molecules and bulk materials. Nanomaterials, which are similar to biological
moieties in scale, can be used as diagnostic and therapeutic nanomedicines.
• Compared to their bulk material counterparts, the distinct physicochemical properties of the
nanomaterials, such as size, surface properties, shape, composition, molecular weight, identity,
purity, stability and solubility, are critically relevant to physiological interactions. These
physiological interactions may provide benefits in medical applications, including improvements
in efficacy, reduction of side effects, prevention and treatment.
• Impact of nanomaterials on their physiological behaviors will influence the therapeutic efficacy
and/or diagnostic accuracy of nanomedicines. In this context, it is important to understand how the
different physicochemical characteristics of nanomaterials affect their in vivo distribution and
behavior. This demands reliable and robust techniques for studying the different physicochemical
characteristics of nanomaterials in general and nanomedicines in particular
Size of the Nanoparticles
• In engineered nanomaterials, size is a crucial factor that regulates the circulation and navigation of
nanomaterials in the bloodstream, penetration across the physiological drug barriers, site- and cell-
specific localization and even induction of cellular responses.
• The relationship of size and/or shape to nanoparticle toxicity or nanomedicine efficacy has to be
investigated on a case-by-case basis, because of the wide differences in the behavior of different
nanomaterials.
Surface Properties of the Nanoparticles
• Many characteristics of nanomaterial interfaces are functions of atomic or
molecular compositions of the surfaces and the physical surface structures that
respond to the interactions of the nanomaterial with surrounding species.
• From the aspect of nanomedicine, these characteristics are considered the
elements of surface properties in the environment of biological fluid. Among the
different surface properties, surface composition, surface energy, wettability,
surface charge and species absorbance or adhesion are commonly considered
important parameters.
• Surface composition is intrinsically relevant to the superficial layers but not to
the bulk materials.
• Surface energy is relevant to the dissolution, aggregation and accumulation of
nanomaterial.
• Surface charge, with potential effect on receptor binding and physiological barrier penetration, governs
the dispersion stability or aggregation of nanomaterials and is generally estimated by zeta potential.
• Species absorbance or adhesion potentially alters the surface of nanomaterial as well as the
conformation and the activity of the attached species.
Shape of the Nanoparticles
• Efficiency of drug delivery
carriers was highly influenced by
controlling the shapes of the
carriers, while phagocytosis of
drug delivery carriers through
macrophages was also dependent
on carrier shape.
• Furthermore, flow and adhesion of
drug delivery carriers throughout
the circulatory system and the in
vivo circulation time of the
nanomedicine can be controlled
by modulating the shapes of drug-
loaded nanomaterials
• In addition to size and surface properties, the shape of nanomaterial can play an important role in drug
delivery, degradation, transport, targeting and internalization.
• The shape of nanomaterial affects cellular uptake, biocompatibility and retention in tissues and organs.
• Additionally, the disposition and translocation of nanomaterials in the organism may be influenced by
their shape, accompanying size and state of agglomeration. One example is an in vitro study of silica
NPs demonstrating shape-driven agglomeration as a potential trigger in the pulmonary pathogenesis.
Composition and Purity of the Nanoparticles
• A broad variety of nanomaterials are utilized in the production of approved or potential
nanomedicines. These nanomaterials can be categorized by their structural types, such as NP and its
derivatives, liposome, micelle, dendrimer/fleximer, virosome, emulsion, quantum dot, fullerene,
carbon nanotube and hydrogel, and each type may consist of polymers, metals and metal oxides,
lipids, proteins, DNA or other organic compounds.
• Composition of a nanomaterial affects transport, delivery and biodistribution. In biomedical
applications of nanomaterials, there may be a need to combine two or more types of nanomaterials to
form a complex such as a chelate, a conjugant or a capsule.
• Consequently, chemical composition analysis of the nanomaterial complex is more complicated than
that for a single entity.
Composition and Purity of the Nanoparticles
• A broad variety of nanomaterials are utilized in the production of approved or potential
nanomedicines. These nanomaterials can be categorized by their structural types, such as NP and its
derivatives, liposome, micelle, dendrimer/fleximer, virosome, emulsion, quantum dot, fullerene,
carbon nanotube and hydrogel, and each type may consist of polymers, metals and metal oxides,
lipids, proteins, DNA or other organic compounds.
• Composition of a nanomaterial affects transport, delivery and biodistribution. In biomedical
applications of nanomaterials, there may be a need to combine two or more types of nanomaterials to
form a complex such as a chelate, a conjugant or a capsule.
• Consequently, chemical composition analysis of the nanomaterial complex is more complicated than
that for a single entity.
Stability of the Nanoparticles
• Pharmaceutical stability refers to
retaining the same properties for a period
of time after the pharmaceutical is
manufactured.
• Similar to conventional single-molecule
pharmaceuticals, the stability of
nanomedicines may be affected by one
or more factors, such as temperature,
moisture, solvents, pH,
particle/molecular size, exposure to
different types of ionizing and non-
ionizing radiation, enzymatic
degradation and even the presence of
other excipients and impurities.
Interaction between Nanomaterials and Biological
Environment
• When nanomaterials are introduced into biological environments or integrated in biomaterials, many
undesirable effects such as aggregation, coagulation and non-specific absorption can occur. These may
be due to a variety of intermolecular interactions occurring at the interfaces of nanomaterials with
biomolecules and interaction-mediating fluids.
• While the surface properties of nanomaterials in a given medium are characterized by their
physicochemical properties, including chemical composition, shape, surface geometry and crystallinity,
porosity, heterogeneity and hydrolytic stability, other properties, such as surface charge, dissolution,
hydration, size distribution, dispersion stability, agglomeration and aggregation of nanomaterial, are
mainly governed by ionic strength, pH, temperature and the presence of biological or organic
macromolecules. Thus, appropriate physicochemical characterization of nanomaterials should be
profiled based on different physical states of the nanomaterials, such as solution, suspension or dry
powder, as well as before and after exposure to the in vitro or in vivo test environment.
• Techniques for determining the shelf life of nanomaterial formulations are essential before considering
the manufacture and use of nanomedicines.
Scanning Electron Microscopy (SEM)
Biological Sample
Preparation for SEM
• In contrast to optical microscopy, which uses light sources and glass lenses to illuminate specimens to
produce magnified images, electron microscopy (EM) uses beams of accelerated electrons and
electrostatic or electromagnetic lenses to generate images of much higher resolution, based on the
much shorter wavelengths of electrons than visible light photons.
• Scanning Electron Microscope (SEM) is a surface imaging method in which the incident electron
beam scans across the sample surface and interacts with the sample to generate signals reflecting
the atomic composition and topographic detail of the specimen surface.
• The incident electrons cause emissions of elastic scattering of electrons, referring to
backscattered electrons, inelastic scattering of electrons named low-energy secondary electrons,
and characteristic X-ray light called cathodoluminescence from the atoms on the sample surface
or near-surface material. Among these emissions, detection of the secondary electrons is the most
common mode in SEM and can achieve resolution smaller than 1 nm.
• The size, size distribution and shape of nanomaterials can be directly acquired from SEM; however,
the process of drying and contrasting samples may cause shrinkage of the specimen and alter the
characteristics of the nanomaterials.
• In addition, while scanned by an electron beam, many biomolecule samples that are nonconductive
specimens tend to acquire charge and insufficiently deflect the electron beam, leading to imaging faults
or artifacts.
• Coating an ultrathin layer of electrically conducting material onto the biomolecules is often required
for this sample preparation procedure. Because a cryogenic freezing method is often required in EM to
image surface groups attached to NPs, the size of nanomaterial cannot be investigated in physiological
conditions.
• An exception is environmental SEM (ESEM), through which samples can be imaged in their natural
state without modification or preparation. Because the sample chamber of ESEM is operated in a low-
pressure gaseous environment of 10–50 Torr and high humidity, the charging artifacts can be
eliminated, and coating samples with a conductive material is no longer necessary.
• Still, most of the EM techniques, including SEM, possess the disadvantage of a destructive sample
preparation, prohibiting its analysis by other modalities. In addition, biased statistics of size-
distribution of heterogeneous samples is unavoidable in SEM due to the small number of sample
particles in the scanning region.
Principle of SEM
The scanning electron Microscope uses
emitted electrons. The Scanning electron
microscope works on the principle of
applying kinetic energy to produce signals
on the interaction of the electrons. These
electrons are secondary electrons,
backscattered electrons, and diffracted
backscattered electrons which are used to
view crystallized elements and photons.
Secondary and backscattered electrons are
used to produce an image. The secondary
electrons are emitted from the specimen play
the primary role of detecting the morphology
and topography of the specimen while the
backscattered electrons show contrast in the
composition of the elements of the specimen.
• The source of the electrons and the electromagnetic lenses are from tungsten filament lamps that are
placed at the top of the column, and it is similar to those of the transmission electron Microscope.
• The electrons are emitted after thermal energy is applied to the electron source and allowed to move in
a fast motion to the anode, which has a positive charge.
• The beam of electrons activates the emission of primary scattered (Primary) electrons at high energy
levels and secondary electrons at low-energy levels from the specimen surface. The beam of electrons
interacts with the specimen to produce signals that give information about the surface topography and
composition of the specimen.
• The specimen does not need special treatment for visualization under the SEM, even air-dried samples
can be examined directly. However, microbial specimens need fixation, dehydration, and drying in
order to maintain the structural features of the cells and to prevent collapsing of the cells when
exposed to the high vacuum of the microscope.
• The samples are mounted and coated with thin layer of heavy metal elements to allow spatial
scattering of electric charges on the surface of the specimen allowing better image production, with
high clarity.
• Scanning by this microscope is attained by tapering a beam of electrons back and forth over a thin
section of the microscope. When the electrons reach the specimen, the surface releases a tiny staw of
electrons known as secondary electrons which are then trapped by a special detector apparatus.
• When the secondary electrons reach and enter the detector, they strike a scintillator (a luminescence
material that fluoresces when struck by a charged particle or high-energy photon). This emits flashes
of light which get converted into an electric current by a photomultiplier, sending a signal to the
cathode ray tube. This produces an image that looks like a television picture that can be viewed and
photographed.
• The quantity of secondary electrons that enter the detector is highly defined by the nature of the
specimen i.e., raised surfaces to receive high quantities of electrons, entering the detector while
depressed surfaces have fewer electrons reaching the surface and hence fewer electrons enter the
detector.
• Therefore, raised surfaces will appear brighter on the screen while depressed surfaces appear darker.
Transmission Electron Microscopy
(TEM)
• TEM provides direct images and chemical information of nanomaterials at a spatial resolution down
to the level of atomic dimensions.
• In the conventional TEM mode, an incident electron beam is transmitted through a very thin foil
specimen, during which the incident electrons interacting with specimen are transformed to un-
scattered electrons, elastically scattered electrons or inelastically scattered electrons.
• The magnification of TEM is mainly determined by the ratio of the distance between objective lens
and the specimen and the distance between objective lens and its image plane.
• The scattered or un-scattered electrons are focused by a series of electromagnetic lenses and then
projected on a screen to generate an electron diffraction, amplitude-contrast image, a phase-contrast
image or a shadow image of varying darkness according to the density of un-scattered electrons .
• TEM has advantages over SEM in providing better spatial resolution and capability for additional
analytical measurements.
• There are certain drawbacks accompanying the advantages of TEM. A significant tradeoff is that a
high vacuum and thin sample section are required for electron-beam penetration in TEM
measurement. Sample destruction and measurement in unnatural/non-physiological conditions are
common to all EM techniques. In general, high resolution EM imaging enables examination of a
minute part of the specimen over a certain period of time and results in poor statistical sampling.
• Interestingly, wet TEM can be used for determining the particle size, dispersion,
aggregation/agglomeration and dynamic displacement of nanomaterials in an aqueous environment.
Principle of TEM
• A heated tungsten filament in the electron gun produces
electrons that get focus on the specimen by the condenser
lenses.
• Magnetic lenses are used to focus the beam of electrons of the
specimen. By the assistance offered by the column tube of the
condenser lens into the vacuum creating a clear image, the
vacuum allows electrons to produce a clear image without
collision with any air molecules which may deflect them.
• On reaching the specimen, the specimen scatters the electrons
focusing them on the magnetic lenses forming a large clear
image, and if it passes through a fluorescent screen, it forms a
polychromatic image.
• The denser the specimen, the more the electrons are scattered
forming a darker image because fewer electron reaches the
screen for visualization while thinner, more transparent
specimens appear brighter.
Preparation of Specimen for Visualization by TEM
• Electrons are easily absorbed and easily scattered on solid elements, showing poor visualization for
thick specimens. And therefore, very thin specimens are used for accurate and clear visualization
forming a clear image as well. The specimen should be about 20-100nm thin and 0.025-0.1nm
diameter, as small as that of a bacterial cell. Thin specimens allow interaction with electrons in a
vacuumed space, are able to maintain their innate structure.
• To get thin slice specimens, the specimen is first fixed on a plastic material with glutaraldehyde or
osmium tetraoxide. These chemical agents stabilize the structure of the cell and maintain its
originality. The addition of an organic solvent like alcohol such as ethanol will dehydrate the cell
completely for embedding the specimen to the plastics.
• The specimen is then permeated by adding an unpolymerized liquid epoxy plastic making it
hardened like a solid block. This is where thin sections are cut from using a glass knife with a piece
of special equipment known as an ultramicrotome.
• The specimen is then stained appropriately (with the appropriate stain) for the uniform scattering of
electrons.
• The thin sections are then soaked in heavy metallic elements such as lead citrate and uranyl acetate
allowing the lean and aluminum ions to bind to the cell structures. This forms an opaque layer against
the electrons on the cell structures to increase contrast.
• The stained thin sections are then mounted on copper grids for viewing.
Freeze-itching Treatment:
• To reduce the possible dangers of artifacts, freeze-itching is used especially for the treatment of
microbial cells, unlike chemical fixation, dehydration, and embedding, where most specimens get
contaminated.
• Microbial cell organelles undergo special treatment known as Freeze-itching whereby the specimens are
prepared with liquid nitrogen and then warmed at -100°C in a vacuum chamber.
• The sections are then cut with a precooled knife in liquid nitrogen at -196°C. After warming up the
sectioned specimen in a high vacuum for about 2 minutes, it can then be coated with platinum and
carbon layer forming replicas.
• These are then be viewed under the TEM displaying more detailed internal structures of the cell in 3D.
This step of treatment with Liquid nitrogen is known as freeze-itching.
Scanning Tunneling
Microscopy (STM)
• STM uses quantum tunneling current to
generate electron density images for
conductive or semiconductive surfaces and
biomolecules attached on conductive
substrates at the atomic scale.
• Adapting the generic principle for all SPM
techniques, i.e. bringing a susceptible probe in
close proximity to the surface of an object
measured to monitor the reactions of the
probe, the essential components of an STM
include a sharp scanning tip, an xyz-piezo
scanner controlling the lateral and vertical
movement of the tip, a coarse control unit
positioning the tip close to the sample within
the tunneling range, a vibration isolation stage
and feedback regulation electronics.
• As the tip–sample separation is maintained
in the range of 4–7 Å, a small voltage
applied between the scanning tip and the
surface causes tunneling of electrons by
which variation of the responding current
can be recorded while the tip moves across
the sample in the x–y plane to generate a
map of charge density.
• Alternatively, keeping the responding
current unchanged by adjusting the tip
height through the use of feedback
electronics can generate an image of tip
topography across the sample.
• As for characterization of biomolecules using STM or EM techniques, the samples are usually
embedded into a matrix to preserve their original conformations, followed by coating the samples with
a thin metallic layer, such as gold, before acquiring images.
• It is impossible to image these biomolecules in their native conditions using conventional EM
techniques that usually accompany a time-consuming sample preparation procedure. STM, on the other
hand, can not only diminish the disadvantages of the EM techniques but also provide an image with
atomic scale resolution by, for example, using a Pt–Ir tip with a very sharp end.
• Although the high spatial resolution of STM should benefit the characterization of nanoscale
biomaterials such as size, shape, structure, and states of dispersion and aggregation, only few studies
using gold or carbon as substrates have been reported.
• The practical obstacles are mainly due to requirements of the conductive surface of the sample and
detection of the surface electronic structure.
• Unfortunately, most biomaterials are insulating, and a simple connection of the sample's surface
electronic structure with its surface topography may not necessarily exist. Still, STM is a preferred tool
for investigating conductive atomic structures of, for example, carbon nanotubes, fullerenes and
graphene.
Atomic Force Microscopy (AFM)
• Unlike STM, AFM does not require oxide-free, electrically conductive surfaces for measurement and
is a SPM imaging tool consisting of a micro-machined cantilever (typically made of silicon or silicon
nitride) with a sharp tip at one end to detect the deflection of the cantilever tip caused by electrostatic
and van der Waals repulsion, as well as attraction between atoms at the tip and on the measured
surface.
• The oscillating cantilever then scans over the surface of specimen to generate an image with a vertical
resolution of around 0.5 nm.
• Like SEM and TEM techniques, AFM can be used for investigating the size, shape, structure,
sorption, dispersion and aggregation of nanomaterials — the different scanning modes employed in
AFM studies include noncontact mode (also called static mode), contact mode and intermittent
sample contact mode (also called dynamic mode and tapping mode).
• In addition to probing the sizes and shapes of nanomaterials under physiological conditions, AFM is
capable of characterizing dynamics between nanomaterials in biological situations, such as observing
the interaction of nanomaterials with supported lipid bilayers in real time, which is not achievable
with current EM techniques.
• AFM is gaining importance due to its capability for imaging biomaterials without causing
appreciable damage to many types of native surfaces.
• The main strength of AFM is its capability to image a variety of biomaterials at the sub-nanometer
scale in aqueous fluids.
• However, a major drawback is that the size of the cantilever tip is generally larger than the
dimensions of the nanomaterials examined, leading to unfavorable overestimation of the lateral
dimensions of the samples.
• Unlike fluorescence techniques, AFM lacks the capability of detecting or locating specific
molecules; however, this disadvantage has been eliminated by recent progress in single-molecule
force spectroscopy with an AFM cantilever tip carrying a ligand, a cell adhesion molecule or
chemical groups, which can probe or detect single functional molecules on cell surfaces.
• AFM microscopes operate on the principle of surface
sensing using an extremely sharp tip on a micromachined
silicon probe.
• This tip is used to image a sample by raster scanning across
the surface line by line, although the method varies
dramatically between distinct operating modes.
• The two primary groups of operating modes are widely
defined as contact mode and dynamic, or tapping, mode.
• The underlying principle of AFM is that this nanoscale tip
is attached to a small cantilever which forms a spring. As
the tip contacts the surface, the cantilever bends, and the
bending is detected using a laser diode and a split
photodetector.
Principle of AFM
• This bending is indicative of the tip-sample interaction
force. In contact mode, the tip is pressed into the surface
and an electronic feedback loop monitors the tip-sample
interaction force to keep the deflection constant throughout
raster scanning.
• Tapping mode limits the contact between the sample
surface and the tip to protect both from damage. In this
mode, the cantilever is caused to vibrate near its resonance
frequency. The tip subsequently moves up and down in
what is described as a sinusoidal motion. This motion is
reduced by attractive or repulsive interactions as it comes
near the sample. A feedback loop is used in a similar
fashion to contact mode, except it keeps the amplitude of
this tapping motion constant rather than the quasistatic
deflection. By doing so, the topography of the sample is
traced line by line.
Principle of AFM
Fourier Transform Infra-red (FTIR) Spectroscopy
• The electromagnetic spectrum consists of different regions corresponding to different energy (E),
frequency (ѵ), and wavelength (λ) ranges. The unit for near-, mid-, and far-infrared, the
wavenumber (cm-1), is derived from the inverse relationship between wavelength and frequency.
• FTIR spectroscopy takes advantage of how IR light changes the dipole moments in molecules that
correspond to a specific vibrational energy.
• Vibrational energy corresponds to two variables: reduced mass (μ) and bond spring constant (k).
• For k constant, we can look at C-C, C=C, and C≡C showing an increase of 800 cm-1 across the
series.
• Substituting atoms in a C-C bond with nitrogen and oxygen causes a shift of 100 cm-1.
• By looking at the two series, it can be seen that bond strength alters the wavenumbers more than
mass.
• For nanomaterial applications, Fourier transform infrared (FTIR) spectroscopy is commonly employed
to use the expression of characteristic spectral bands to reveal nanomaterial–biomolecule conjugation,
e.g. proteins bound to NP surfaces, and to illustrate the conformational states of the bound proteins.
• A recently developed technique called attenuated total reflection (ATR)–FTIR spectroscopy uses the
property of total internal reflection in conjunction with IR spectroscopy to probe the structure of
adsorbed/deposited species at a solid/air or solid/liquid interface, while avoiding the drawbacks of
sample preparation complexity and spectral irreproducibility in conventional IR.
• In an ATR–FTIR system, the total internal reflectance, occurring within the equipped internal
reflection element (IRE) crystal, which has a high refractive index at certain angles, forms evanescent
waves that extend from the IRE crystal–sample interface into the sample with penetration depth of
micrometers (0.5–5 μm), and the intensity of the evanescent waves decays exponentially from the
interface.
• ATR–FTIR can provide IR absorption spectra to investigate, for example, changes in surface
properties as well as identification of chemical properties on the polymer surface when sample on the
IRE–sample interface absorbs the evanescent IR waves with frequencies matching the vibrational
modes of the sample.
• Although ATR–FTIR spectroscopy can be implemented to study the surface features of nanomaterials,
it is not a very sensitive surface-analysis method at nanometer scale because the penetration depth of
ATR–FTIR has the same order of magnitude as the incident IR wavelength.
UV-Vis
Spectrophotometer
The UV-visible absorbance spectrum is highly dependent on nanoparticle geometry. The
shapes of the two spectra are quite different despite the two types of nanoparticles having
similar dimensions and being composed of the same material.
UV-visible absorbance spectra of 50 nm diameter gold nanospheres (A) and 25 nm diameter, 60 nm
length gold nanorods (B).
Using UV-Visible Spectroscopy to Determine Nanoparticle Aggregation States
The UV-visible absorbance spectrum is also dependent on the aggregation state of the nanoparticles.
When nanoparticles are in close proximity to each other, their plasmons couple, which affects their
LSPR and thus their absorption of light. Dimerization of nanospheres causes a “red shift,” a shift to
longer wavelengths, in the UV-visible absorbance spectrum as well as a slight increase in absorption at
higher wavelengths. Unlike dimerization, aggregation of nanoparticles causes a decrease in the intensity
of the peak absorbance without shifting the wavelength at which the peak occurs (λmax).
UV-visible absorbance spectrum of 50 nm gold nanosphere dimers with a reference spectrum of single
gold nanospheres (A) and UV-visible absorbance spectrum of 50 nm gold nanospheres exposed to various
concentrations of NaCl (B).
Thank You

Green Nanobiotechnology : Synthesis and Application

  • 1.
    Green Nanotechnology Its easierthan you think Dr. Saheli Pradhan Mitra
  • 2.
    • Synthesis ofnanoparticles using biological samples • Characterization of nanoparticles (FTIR, SEM, TEM, Scanning Tunneling Microscope, Atomic Force Microscope, UV-Vis Spectrophotometer). Contents
  • 3.
    What is Nanotechnology? •Nanoscience is a branch of science that comprises the study of properties of matter at the nanoscale, and particularly focuses on the unique, size-dependent properties of solid-state materials • Nanotechnology is the branch that comprises the synthesis, engineering, and utilization of materials whose size ranges from 1 to 100 nm, known as nanomaterials
  • 4.
    The birth ofnanoscience and nanotechnology concepts is usually linked to the famous lecture of Nobel laureate Richard Feynman at the 1959 meeting of the American Physical Society, ‘‘There’s Plenty of Room at the Bottom’’. However, the use of nanotechnology and nanomaterials goes back in history long before that.
  • 5.
    History • Long beforethe era of nanotechnology, people were unknowingly coming across various nanosized objects and using nano-level processes. • In ancient Egypt, dyeing hair in black was common and was for a long time believed to be based on plant products such as henna. However, recent research on hair samples from ancient Egyptian burial sites showed that hair was dyed with paste from lime, lead oxide, and water. In this dyeing process, galenite (lead sulfide, PbS) nanoparticles are formed. The ancient Egyptians were able to make the dyeing paste react with sulfur (part of hair keratin) and produce small PbS nanoparticles which provided even and steady dyeing. • Probably the most famous example for the ancient use of nanotechnology is the Lycurgus Cup (fourth century CE). This ancient roman cup possesses unusual optical properties; it changes its color based on the location of the light source. In natural light, the cup is green, but when it is illuminated from within (with a candle), it becomes red. The recent analysis of this cup showed that it contains 50–100 nm Au and Ag nanoparticles, which are responsible for the unusual coloring of the cup through the effects of plasmon excitation of electrons.
  • 7.
    Why Nanoscale? • A nanometer(nm) is one thousand millionth of a meter. • People are interested in the nanoscale because at this scale physical and chemical properties of materials differ significantly from those at a larger scale.
  • 9.
    Nanoparticles are smallparticles with sizes ranging from 1 to 100 nanometers. These materials have gained importance and interest in recent years owing to their large number of applications, because the matter at this scale presents a more compact arrangement of atoms and molecules, generating phenomena and acquiring or enhancing mechanical, electrical, magnetic, optical, catalytic, and antibacterial properties that are completely different from those of their macroscopic counterparts.
  • 10.
    Why nanomaterials aredifferent? • Today, due to their unique properties, nanomaterials are used in a wide range of applications, such as catalysis, water treatment, energy storage, medicine, agriculture, etc. Two main factors cause nanomaterials to behave significantly differently than the same materials at larger dimensions: surface effects and quantum effects. These factors make nanomaterials exhibit enhanced or novel mechanical, thermal, magnetic, electronic, optical, and catalytic properties. • Nanomaterials have different surface effects compared to micromaterials or bulk materials, mainly due to three reasons; (a) dispersed nanomaterials have a very large surface area and high particle number per mass unit, (b) the fraction of atoms at the surface in nanomaterials is increased, and (c) the atoms situated at the surface in nanomaterials have fewer direct neighbors. Because of each of these differences, the chemical and physical properties of nanomaterials change compared to their larger-dimension counterparts. • Larger surface areas and larger surface-to-volume ratios generally increases the reactivity of nanomaterials due to the larger reaction surface, as well as resulting in significant effects of surface properties on their structure.
  • 11.
    • The dispersityof nanomaterials is a key factor for the surface effects. The strong attractive interactions between particles can result in the agglomeration and aggregation of nanomaterials, which negatively affects their surface area and their nanoscale properties. Agglomeration can be prevented by increasing the zeta potential of nanomaterials (increasing the repulsive force), optimizing the degree of hydrophilicity/hydrophobicity of the nanomaterial, or by optimizing the pH and the ionic strength of the suspension medium
  • 12.
    • Nanomaterials displaydistinct size-dependent properties in the 1–100 nm range where quantum phenomena are involved. • When the material radius approaches the asymptotic exciton Bohr radius (the separation distance between the electron and hole), the influence of quantum confinement becomes apparent. • In other words, by shrinking the size of the material, quantum effects become more pronounced, and nanomaterials become quantum. Those quantum structures are physical structures where all the charge carriers (electrons and holes) are confined within the physical dimensions. As a result of quantum confinement effects, for instance, some non-magnetic materials in bulk such as palladium, platinum, and gold become magnetic in the nanoscale. • Quantum confinement can also result in significant changes in electron affinity or the ability to accept or donate electrical charges, which is directly reflected on the catalytic properties of the material. For example, the catalytic activity of cationic platinum clusters in N2O decomposition is dictated by the number of atoms in the cluster. 6–9, 11, 12, 15, and 20 atom-containing clusters are very reactive, while clusters with 10, 13, 14, and 19 atoms have low reactivity
  • 15.
    Classification of Nanomaterials •Zero-dimensional nanomaterials (0-D): the nanomaterials in this class have all their three dimensions in the nanoscale range. Examples are quantum dots, fullerenes. • One-dimensional nanomaterials (1-D): the nanomaterials in this class have one dimension outside the nanoscale. Examples are nanotubes, nanofibers, nanorods, nanowires. • Two-dimensional nanomaterials (2-D): the nanomaterials in this class have two dimensions outside the nanoscale. Examples are nanosheets, nanofilms, and nanolayers. • Three-dimensional nanomaterials (3-D) or bulk nanomaterials: in this class the materials are not confined to the nanoscale in any dimension. This class contains bulk powders, dispersions of nanoparticles, arrays of nanowires and nanotubes, etc.
  • 17.
  • 19.
    • Chemical reduction:This method involves the reduction of metal ions in solution using chemical reagents such as sodium borohydride or sodium hydroxide to form nanoparticles. • Coprecipitation: Synthesis involves mixing two or more solutions containing metal ions. When the solutions are mixed, metal ions precipitate out of the solution and form nanoparticles. • Sol-gel: The process requires mixing a metal salt with a solvent and gelling agent. The solvent is evaporated leaving behind the gel. The gel is then heated, causing it to solidify and form nanoparticles. • Microemulsion: This method needs surfactants, water-soluble compounds, and oil-soluble compounds. The mixture forms small droplets that contain the metal ions. When droplets are heated, metal ions precipitate out of the solution and form nanoparticles. • Sonochemical/electrochemical synthesis: This process uses ultrasound or an electrical current to break down metal salts into nanoparticles. • Solvothermal/hydrothermal synthesis: This reaction involves heating a solution of metal ions in water or an organic solvent under high pressure. High pressure and temperature cause metal ions to precipitate out of the solution and form nanoparticles.
  • 20.
    Environmental Limitations inNanoparticle Synthesis Traditional methods for synthesizing nanoparticles have several limitations. • Using organic reagents can harm the environment, humans, and animals, causing illnesses, such as liver damage. • In addition, wastewater generated from nanoparticle synthesis can contain harmful chemicals. The low yield is another disadvantage: • Only a small percentage of the starting materials is converted into nanoparticles, generating raw material waste. • The high cost of the starting materials, equipment, labor required, long-time synthesis, and the inability to control the size and shape can limit their applications.
  • 21.
    Strategies to OvercomeBarriers to Nanoparticle Synthesis • Several strategies can be used to overcome the disadvantages of nanoparticle synthesis, such as the use of environmentally friendly solvents, reagents, and processes. Using water, ionic liquids, and supercritical fluids are examples of eco-friendly solvents or one can even perform solvent-free synthesis, eliminating the need for hazardous chemicals and reducing the environmental impact of nanoparticle synthesis. • Many nanoparticle synthesis methods are not scalable, which limits their application. Therefore, it is necessary to develop cost-effective and efficient processes to obtain large quantities of nanoparticles. • Multipurpose nanoparticles can be used to improve their performance in a variety of applications and fields. For example, biocompatible nanoparticles are used in biomedicine or as stable nanoparticles for long-term applications. • The characterization of nanoparticles is important for understanding their size, shape, surface properties, and chemical composition. This information can be used to understand how nanoparticles interact with their environment and ensure they are safe.
  • 22.
  • 27.
    • This involvesminimizing or, if possible, eliminating the pollution produced in the synthesis processes, avoiding the consumption and wastage of nonrenewable raw materials, using hazardous or polluting materials in product manufacturing, and reducing the synthesis time. • Paul J. Anastas, considered the father of green chemistry, defined it as “a work philosophy that involves the use of alternative tools and pathways to prevent pollution,” referring to both the design of the synthetic strategy and the treatment of possible secondary products originating from that route. Green synthesis aims to promote innovative chemical technologies to reduce or eliminate the use and production of hazardous substances in the design, manufacture, and use of chemical products.
  • 28.
    • The synthesisof nano-sized materials employing “green” processes is relatively cost-effective and does not harm the surrounding environment, as non-toxic chemicals are employed throughout the entire process. Therefore, the usage of stabilizers and reducing agents that possess a biological origin, such as microbial entities, fauna and various other resources, is a sustainable way to produce nano-sized materials. • Although being cost-effective and environment-friendly are key factors motivating the green synthesis of nano-sized materials, the “stability” of the produced material has attracted the attention of researchers across the globe. • Although the methods involved in green synthesis are relatively diverse, the living entities that are involved in the synthesis usually simply react with different salts (metallic) and reduce them to nano- sized materials, which can be utilized for different purposes only following appropriate characterization. • Both microbe- and plant-mediated approaches are employed to synthesize nano-sized materials. Microbe-mediated construction products involve their inherently sophisticated biochemical machinery, which leads to well-defined nanoparticles of different chemical compositions, shapes and sizes.
  • 29.
    • Scaling upmay, however, sometimes prove challenging with regard to microbial preparations. This drawback can be easily overcome by using plant-based extracts, and the production rates can be amplified as a consequence. • Plant extracts are more efficient than microbes with regard to the production rate. They reduce metal-ions faster than microbial entities and produce nano-sized materials, which are also very stable. • Plants contain various compounds (i.e., alkaloids, flavonoids, phenol, tannin, alcohol) with the capability to reduce metallic ions to nanoparticles with decent stability. Two approaches can be used to generate nanoparticles. • “Top-down” approach: In which nanoparticles are produced using physical techniques such as grinding or abrasion of a material. • “Bottom-up” approach: Where nanoparticles are generated from “building blocks” of atoms or molecules, resulting in more complex assemblies. Three alternatives are identified using this approach.
  • 30.
    Chemical synthesis: Themethod of producing molecules or particles by the reaction of substances used as raw materials. Self-assembly: A technique in which atoms or molecules self-order through physical and/or chemical interactions. Positional assembly: The atoms, molecules, and aggregates are deliberately manipulated and positioned individually. However, this method is extremely laborious and unsuitable for industrial applications. The “bottom-up” approach is preferred over the “top-down” approach because specialized equipment is not required and the time to obtain nanoparticles is shorter. Green synthesis is gaining relevance in producing nanoparticles within the “bottom-up” approach. The use of plant species, algae, or microorganisms such as bacteria or fungi is one of the most commonly used resources for this procedure. Various compounds from plants or microorganisms, including terpenes, polyphenols, alkaloids, carbohydrates, proteins, and genetic materials, play an important role in the synthesis of nanoparticles by acting together. In addition to the biological resources used to perform the synthesis, other factors influence the shape and size of nanoparticles, such as the concentration of the metal ion, pH, reaction time, and temperature.
  • 31.
    In general, thephases for the green synthesis of nanoparticles include- Initial phase: Obtaining the reaction medium, which is the aqueous extract of one or several parts of the plant species or the culture media for the growth of microorganisms, in addition to the precursor salt, which is the source of metal ions. Activation phase: Chemical reduction of metal ions and generation of nucleation centers occur where nanoparticles emerge and grow.
  • 32.
    Growth phase: Smalladjacent nanoparticles spontaneously fuse into larger particles, forming aggregates, which are influenced by factors such as temperature, concentration, and type of compounds, pH, and reaction time. Termination phase: The final shape of the nanoparticles is determined, and the compounds that participate in the reaction help stabilize and enhance their properties.
  • 33.
    Biological Resources for theGreen Synthesis of Nanoparticles
  • 34.
    1. Bacteria • Nanoparticlesynthesis using bacteria is performed both extracellularly and intracellularly. • Intracellular: The synthesis is carried out inside the living microorganism, using its growth conditions to favor synthesis, known as “nanoparticle micro-factories.” To recover nanoparticles, bacteria must be destroyed. • Extracellular: The components released by the bacteria after lysis are used. The synthesis is performed by adding a metal salt precursor to the medium in which these components are located. Extracellular synthesis has the advantage of being faster because it does not require additional steps to recover nanoparticles from microorganisms. • Enzymes, such as reductases, which catalyze the reduction of metal ions into nanoparticles, participate in the synthesis. Even components of the genetic material participate in this process.
  • 35.
    2. Fungi • Fungicontain active biomolecules, such as proteins or enzymes, that participate in nanoparticle synthesis, improving their yields and stability. • Some fungal species can synthesize nanoparticles using extracellular amino acids. For example, glutamic and aspartic acids on the surface of yeast or the reductase enzyme in the cytosol of fungi reduce metal ions to form nanoparticles. This is facilitated by the presence of hydroxyl groups in the mycelium, which donate electrons to the metal ion and reduce it to form nanoparticles. Aliphatic and aromatic amines or some proteins act as coating agents to stabilize them.
  • 36.
    3. Algae • Algaeare used in nanotechnology because of their low toxicity and their ability to bioaccumulate and reduce metals. • Nanoparticle synthesis can be intracellular, with the metal ion entering the alga, or extracellular, and involves compounds such as polysaccharides, proteins, and pigments that direct the reduction of metal ions and coat the newly formed nanoparticles. These particles are subsequently released from the cell in the form of colloids.
  • 37.
    4. Plant Species •The use of plants in nanoparticle synthesis is one of the most widely used methods because of its environmentally friendly nature, as it avoids the use of toxic or harmful substances. It is also one of the fastest and most economical methods because it involves fewer steps. This makes it highly efficient in the nanoparticle production process compared to synthesis using microorganisms. • Plants contain several compounds (terpenes, flavonoids, polyphenols, alkaloids, proteins, etc.) that reduce metal ions and stabilize the resulting nanoparticles. • This type of synthesis can be performed using intracellular, extracellular, and phytochemical- mediated methods. • Intracellular: The synthesis is carried out inside the plant cell, and the nanoparticles are recovered by breaking down the structure, which is very similar to the intracellular method using microorganisms. Control of the growth factors of plant species is required so that they do not interfere with synthesis.
  • 38.
    • Extracellular: Thismethod is the most commonly used because of its ease and speed. The process begins by obtaining a plant extract, which is generally water- based, to which a metal salt precursor is added. Owing to the action of the different compounds present in the extract, nanoparticles are generated and stabilized in a single step. • Phytochemically mediated: This is based on the extracellular method, but with the difference that isolated phytochemical compounds are used and other substances are added to stabilize the nanoparticles. There is greater control over the synthesis, but more components and steps are involved.
  • 39.
    Factors Involved inthe Green Synthesis of Nanoparticles Temperature: This is one of the most influential factors, as the shape (spherical, prismatic, flakes, triangular, octahedral, etc.), size, and synthesis depend on temperature. As the temperature increases, the reaction rate and the formation of nucleation centers increase, resulting in higher yields. Different temperatures promote different interactions between the reactants, giving rise to various shapes; the larger the temperature increase, the larger the size of the nanoparticles. pH: This influences the nucleation centers, generating more centers at higher pH values. Another important influence of pH is that some nanoparticles can only be synthesized in acidic or alkaline media. For example, magnetic nanoparticles are synthesized at an alkaline pH, and metal oxide nanoparticles are generally synthesized at an acidic or neutral pH. Time: This parameter plays an important role in defining the size of the nanoparticles. It has been observed that longer reaction times favor an increase in the size of the nanoparticles and higher yields, owing to the prolonged interaction time between reactants
  • 40.
    Mechanisms Involved in the GreenSynthesis of Nanoparticles The plant extract or organism used for the synthesis is an important factor that influences the morphology and size of nanoparticles because different concentrations of metabolites or cellular components give rise to differences in the nanoparticles.
  • 41.
    • Proteins andenzymes facilitate the formation of nanoparticles from metal ions. Because of their high reducing activity, proteins and enzymes can attract metal ions to specific regions of a molecule responsible for reduction, facilitating the formation of nanoparticles; however, their chelating activity is not excessive. • The amino acids of a protein can greatly influence the size, morphology, and quantity of nanoparticles generated, thus playing a very important role in determining their shape and yield. Removing a proton from amino acids or other molecules results in the formation of resonant structures capable of further oxidation. This process is accompanied by the active reduction of metal ions followed by the formation of nanoparticles. • Flavonoids are a large group of polyphenolic compounds that can actively chelate and reduce metal ions because they contain multiple functional groups capable of forming these structures. Structural transformations of flavonoids also generate protons that reduce metal ions to form nanoparticles; therefore, they are involved in the nucleation stage, their formation, and further aggregation. Saccharides can also play a role in nanoparticle formation. • Monosaccharides, such as glucose, can act as reducing agents, as the aldehyde group of the sugar is oxidized to a carboxyl group through the addition of hydroxyl groups, which in turn leads to the reduction of metal ions and the synthesis of nanoparticles.
  • 42.
    • The mechanismof green synthesis of nanoparticles has been associated with the action of polyphenols, which act as ligands. Metal ions form coordination compounds, in which the fundamental structural unit is the central metal ion surrounded by coordinated groups arranged spatially at the corners of a regular tetrahedron. The aromatic hydroxyl groups in polyphenols bind to metal ions and form stable coordinated complexes. This system undergoes direct decomposition at high temperatures, releasing nanoparticles from the complex system. • Flavonoids, amino acids, proteins, terpenoids, tannins, and reducing sugars have hydroxyl groups that surround the metal ions to form complexes. After this process, the hydroxyl ions are oxidized to carbonyl groups, which stabilize the nanoparticles. Synthesis is favored if the participating molecules have at least two hydroxyl groups at the ortho- and para-positions. • Amino acids influence the size, morphology, and yield of nanoparticles generated, depending on the specific amino acids present in the extract and their concentration, along with the reaction conditions that give rise to nanoparticles with different shapes.
  • 43.
    The 12 principlesof green synthesis are fulfilled with the biological approach to produce nanoparticles.
  • 46.
    In a Nutshell •Nanoparticles have emerged as a versatile and promising class of materials with unique properties that can be harnessed for various applications. • The use of green synthesis utilizing natural resources and biologically active compounds to produce nanoparticles is an area of continuous research to improve processes, reduce environmental damage, and meet the increasing demand for the application of these nanostructures. • Utilizing biological resources, the synthesis of nanoparticles is inexpensive, faster, and considered a one-step synthesis while preserving or even improving the physical and chemical properties of the nanoparticles. • With the great potential of this method and the sustainable and efficient production of nanoparticles, different sizes and shapes can be obtained, which makes it a very attractive option not only for the synthesis of nanostructures, but also for the application of this technique in the synthesis of other compounds.
  • 47.
  • 48.
    • Typically, engineeredmaterials with dimensions in the nanometer scale are intermediates between isolated small molecules and bulk materials. Nanomaterials, which are similar to biological moieties in scale, can be used as diagnostic and therapeutic nanomedicines. • Compared to their bulk material counterparts, the distinct physicochemical properties of the nanomaterials, such as size, surface properties, shape, composition, molecular weight, identity, purity, stability and solubility, are critically relevant to physiological interactions. These physiological interactions may provide benefits in medical applications, including improvements in efficacy, reduction of side effects, prevention and treatment. • Impact of nanomaterials on their physiological behaviors will influence the therapeutic efficacy and/or diagnostic accuracy of nanomedicines. In this context, it is important to understand how the different physicochemical characteristics of nanomaterials affect their in vivo distribution and behavior. This demands reliable and robust techniques for studying the different physicochemical characteristics of nanomaterials in general and nanomedicines in particular
  • 49.
    Size of theNanoparticles • In engineered nanomaterials, size is a crucial factor that regulates the circulation and navigation of nanomaterials in the bloodstream, penetration across the physiological drug barriers, site- and cell- specific localization and even induction of cellular responses. • The relationship of size and/or shape to nanoparticle toxicity or nanomedicine efficacy has to be investigated on a case-by-case basis, because of the wide differences in the behavior of different nanomaterials.
  • 50.
    Surface Properties ofthe Nanoparticles • Many characteristics of nanomaterial interfaces are functions of atomic or molecular compositions of the surfaces and the physical surface structures that respond to the interactions of the nanomaterial with surrounding species. • From the aspect of nanomedicine, these characteristics are considered the elements of surface properties in the environment of biological fluid. Among the different surface properties, surface composition, surface energy, wettability, surface charge and species absorbance or adhesion are commonly considered important parameters. • Surface composition is intrinsically relevant to the superficial layers but not to the bulk materials. • Surface energy is relevant to the dissolution, aggregation and accumulation of nanomaterial.
  • 51.
    • Surface charge,with potential effect on receptor binding and physiological barrier penetration, governs the dispersion stability or aggregation of nanomaterials and is generally estimated by zeta potential. • Species absorbance or adhesion potentially alters the surface of nanomaterial as well as the conformation and the activity of the attached species.
  • 52.
    Shape of theNanoparticles • Efficiency of drug delivery carriers was highly influenced by controlling the shapes of the carriers, while phagocytosis of drug delivery carriers through macrophages was also dependent on carrier shape. • Furthermore, flow and adhesion of drug delivery carriers throughout the circulatory system and the in vivo circulation time of the nanomedicine can be controlled by modulating the shapes of drug- loaded nanomaterials • In addition to size and surface properties, the shape of nanomaterial can play an important role in drug delivery, degradation, transport, targeting and internalization.
  • 53.
    • The shapeof nanomaterial affects cellular uptake, biocompatibility and retention in tissues and organs. • Additionally, the disposition and translocation of nanomaterials in the organism may be influenced by their shape, accompanying size and state of agglomeration. One example is an in vitro study of silica NPs demonstrating shape-driven agglomeration as a potential trigger in the pulmonary pathogenesis.
  • 54.
    Composition and Purityof the Nanoparticles • A broad variety of nanomaterials are utilized in the production of approved or potential nanomedicines. These nanomaterials can be categorized by their structural types, such as NP and its derivatives, liposome, micelle, dendrimer/fleximer, virosome, emulsion, quantum dot, fullerene, carbon nanotube and hydrogel, and each type may consist of polymers, metals and metal oxides, lipids, proteins, DNA or other organic compounds. • Composition of a nanomaterial affects transport, delivery and biodistribution. In biomedical applications of nanomaterials, there may be a need to combine two or more types of nanomaterials to form a complex such as a chelate, a conjugant or a capsule. • Consequently, chemical composition analysis of the nanomaterial complex is more complicated than that for a single entity.
  • 55.
    Composition and Purityof the Nanoparticles • A broad variety of nanomaterials are utilized in the production of approved or potential nanomedicines. These nanomaterials can be categorized by their structural types, such as NP and its derivatives, liposome, micelle, dendrimer/fleximer, virosome, emulsion, quantum dot, fullerene, carbon nanotube and hydrogel, and each type may consist of polymers, metals and metal oxides, lipids, proteins, DNA or other organic compounds. • Composition of a nanomaterial affects transport, delivery and biodistribution. In biomedical applications of nanomaterials, there may be a need to combine two or more types of nanomaterials to form a complex such as a chelate, a conjugant or a capsule. • Consequently, chemical composition analysis of the nanomaterial complex is more complicated than that for a single entity.
  • 56.
    Stability of theNanoparticles • Pharmaceutical stability refers to retaining the same properties for a period of time after the pharmaceutical is manufactured. • Similar to conventional single-molecule pharmaceuticals, the stability of nanomedicines may be affected by one or more factors, such as temperature, moisture, solvents, pH, particle/molecular size, exposure to different types of ionizing and non- ionizing radiation, enzymatic degradation and even the presence of other excipients and impurities.
  • 57.
    Interaction between Nanomaterialsand Biological Environment • When nanomaterials are introduced into biological environments or integrated in biomaterials, many undesirable effects such as aggregation, coagulation and non-specific absorption can occur. These may be due to a variety of intermolecular interactions occurring at the interfaces of nanomaterials with biomolecules and interaction-mediating fluids. • While the surface properties of nanomaterials in a given medium are characterized by their physicochemical properties, including chemical composition, shape, surface geometry and crystallinity, porosity, heterogeneity and hydrolytic stability, other properties, such as surface charge, dissolution, hydration, size distribution, dispersion stability, agglomeration and aggregation of nanomaterial, are mainly governed by ionic strength, pH, temperature and the presence of biological or organic macromolecules. Thus, appropriate physicochemical characterization of nanomaterials should be profiled based on different physical states of the nanomaterials, such as solution, suspension or dry powder, as well as before and after exposure to the in vitro or in vivo test environment. • Techniques for determining the shelf life of nanomaterial formulations are essential before considering the manufacture and use of nanomedicines.
  • 62.
  • 63.
  • 64.
    • In contrastto optical microscopy, which uses light sources and glass lenses to illuminate specimens to produce magnified images, electron microscopy (EM) uses beams of accelerated electrons and electrostatic or electromagnetic lenses to generate images of much higher resolution, based on the much shorter wavelengths of electrons than visible light photons. • Scanning Electron Microscope (SEM) is a surface imaging method in which the incident electron beam scans across the sample surface and interacts with the sample to generate signals reflecting the atomic composition and topographic detail of the specimen surface. • The incident electrons cause emissions of elastic scattering of electrons, referring to backscattered electrons, inelastic scattering of electrons named low-energy secondary electrons, and characteristic X-ray light called cathodoluminescence from the atoms on the sample surface or near-surface material. Among these emissions, detection of the secondary electrons is the most common mode in SEM and can achieve resolution smaller than 1 nm. • The size, size distribution and shape of nanomaterials can be directly acquired from SEM; however, the process of drying and contrasting samples may cause shrinkage of the specimen and alter the characteristics of the nanomaterials.
  • 65.
    • In addition,while scanned by an electron beam, many biomolecule samples that are nonconductive specimens tend to acquire charge and insufficiently deflect the electron beam, leading to imaging faults or artifacts. • Coating an ultrathin layer of electrically conducting material onto the biomolecules is often required for this sample preparation procedure. Because a cryogenic freezing method is often required in EM to image surface groups attached to NPs, the size of nanomaterial cannot be investigated in physiological conditions. • An exception is environmental SEM (ESEM), through which samples can be imaged in their natural state without modification or preparation. Because the sample chamber of ESEM is operated in a low- pressure gaseous environment of 10–50 Torr and high humidity, the charging artifacts can be eliminated, and coating samples with a conductive material is no longer necessary. • Still, most of the EM techniques, including SEM, possess the disadvantage of a destructive sample preparation, prohibiting its analysis by other modalities. In addition, biased statistics of size- distribution of heterogeneous samples is unavoidable in SEM due to the small number of sample particles in the scanning region.
  • 66.
    Principle of SEM Thescanning electron Microscope uses emitted electrons. The Scanning electron microscope works on the principle of applying kinetic energy to produce signals on the interaction of the electrons. These electrons are secondary electrons, backscattered electrons, and diffracted backscattered electrons which are used to view crystallized elements and photons. Secondary and backscattered electrons are used to produce an image. The secondary electrons are emitted from the specimen play the primary role of detecting the morphology and topography of the specimen while the backscattered electrons show contrast in the composition of the elements of the specimen.
  • 67.
    • The sourceof the electrons and the electromagnetic lenses are from tungsten filament lamps that are placed at the top of the column, and it is similar to those of the transmission electron Microscope. • The electrons are emitted after thermal energy is applied to the electron source and allowed to move in a fast motion to the anode, which has a positive charge. • The beam of electrons activates the emission of primary scattered (Primary) electrons at high energy levels and secondary electrons at low-energy levels from the specimen surface. The beam of electrons interacts with the specimen to produce signals that give information about the surface topography and composition of the specimen. • The specimen does not need special treatment for visualization under the SEM, even air-dried samples can be examined directly. However, microbial specimens need fixation, dehydration, and drying in order to maintain the structural features of the cells and to prevent collapsing of the cells when exposed to the high vacuum of the microscope. • The samples are mounted and coated with thin layer of heavy metal elements to allow spatial scattering of electric charges on the surface of the specimen allowing better image production, with high clarity.
  • 68.
    • Scanning bythis microscope is attained by tapering a beam of electrons back and forth over a thin section of the microscope. When the electrons reach the specimen, the surface releases a tiny staw of electrons known as secondary electrons which are then trapped by a special detector apparatus. • When the secondary electrons reach and enter the detector, they strike a scintillator (a luminescence material that fluoresces when struck by a charged particle or high-energy photon). This emits flashes of light which get converted into an electric current by a photomultiplier, sending a signal to the cathode ray tube. This produces an image that looks like a television picture that can be viewed and photographed. • The quantity of secondary electrons that enter the detector is highly defined by the nature of the specimen i.e., raised surfaces to receive high quantities of electrons, entering the detector while depressed surfaces have fewer electrons reaching the surface and hence fewer electrons enter the detector. • Therefore, raised surfaces will appear brighter on the screen while depressed surfaces appear darker.
  • 69.
  • 70.
    • TEM providesdirect images and chemical information of nanomaterials at a spatial resolution down to the level of atomic dimensions. • In the conventional TEM mode, an incident electron beam is transmitted through a very thin foil specimen, during which the incident electrons interacting with specimen are transformed to un- scattered electrons, elastically scattered electrons or inelastically scattered electrons. • The magnification of TEM is mainly determined by the ratio of the distance between objective lens and the specimen and the distance between objective lens and its image plane. • The scattered or un-scattered electrons are focused by a series of electromagnetic lenses and then projected on a screen to generate an electron diffraction, amplitude-contrast image, a phase-contrast image or a shadow image of varying darkness according to the density of un-scattered electrons .
  • 71.
    • TEM hasadvantages over SEM in providing better spatial resolution and capability for additional analytical measurements. • There are certain drawbacks accompanying the advantages of TEM. A significant tradeoff is that a high vacuum and thin sample section are required for electron-beam penetration in TEM measurement. Sample destruction and measurement in unnatural/non-physiological conditions are common to all EM techniques. In general, high resolution EM imaging enables examination of a minute part of the specimen over a certain period of time and results in poor statistical sampling. • Interestingly, wet TEM can be used for determining the particle size, dispersion, aggregation/agglomeration and dynamic displacement of nanomaterials in an aqueous environment.
  • 72.
    Principle of TEM •A heated tungsten filament in the electron gun produces electrons that get focus on the specimen by the condenser lenses. • Magnetic lenses are used to focus the beam of electrons of the specimen. By the assistance offered by the column tube of the condenser lens into the vacuum creating a clear image, the vacuum allows electrons to produce a clear image without collision with any air molecules which may deflect them. • On reaching the specimen, the specimen scatters the electrons focusing them on the magnetic lenses forming a large clear image, and if it passes through a fluorescent screen, it forms a polychromatic image. • The denser the specimen, the more the electrons are scattered forming a darker image because fewer electron reaches the screen for visualization while thinner, more transparent specimens appear brighter.
  • 73.
    Preparation of Specimenfor Visualization by TEM • Electrons are easily absorbed and easily scattered on solid elements, showing poor visualization for thick specimens. And therefore, very thin specimens are used for accurate and clear visualization forming a clear image as well. The specimen should be about 20-100nm thin and 0.025-0.1nm diameter, as small as that of a bacterial cell. Thin specimens allow interaction with electrons in a vacuumed space, are able to maintain their innate structure. • To get thin slice specimens, the specimen is first fixed on a plastic material with glutaraldehyde or osmium tetraoxide. These chemical agents stabilize the structure of the cell and maintain its originality. The addition of an organic solvent like alcohol such as ethanol will dehydrate the cell completely for embedding the specimen to the plastics. • The specimen is then permeated by adding an unpolymerized liquid epoxy plastic making it hardened like a solid block. This is where thin sections are cut from using a glass knife with a piece of special equipment known as an ultramicrotome. • The specimen is then stained appropriately (with the appropriate stain) for the uniform scattering of electrons.
  • 74.
    • The thinsections are then soaked in heavy metallic elements such as lead citrate and uranyl acetate allowing the lean and aluminum ions to bind to the cell structures. This forms an opaque layer against the electrons on the cell structures to increase contrast. • The stained thin sections are then mounted on copper grids for viewing. Freeze-itching Treatment: • To reduce the possible dangers of artifacts, freeze-itching is used especially for the treatment of microbial cells, unlike chemical fixation, dehydration, and embedding, where most specimens get contaminated. • Microbial cell organelles undergo special treatment known as Freeze-itching whereby the specimens are prepared with liquid nitrogen and then warmed at -100°C in a vacuum chamber. • The sections are then cut with a precooled knife in liquid nitrogen at -196°C. After warming up the sectioned specimen in a high vacuum for about 2 minutes, it can then be coated with platinum and carbon layer forming replicas. • These are then be viewed under the TEM displaying more detailed internal structures of the cell in 3D. This step of treatment with Liquid nitrogen is known as freeze-itching.
  • 75.
  • 77.
    • STM usesquantum tunneling current to generate electron density images for conductive or semiconductive surfaces and biomolecules attached on conductive substrates at the atomic scale. • Adapting the generic principle for all SPM techniques, i.e. bringing a susceptible probe in close proximity to the surface of an object measured to monitor the reactions of the probe, the essential components of an STM include a sharp scanning tip, an xyz-piezo scanner controlling the lateral and vertical movement of the tip, a coarse control unit positioning the tip close to the sample within the tunneling range, a vibration isolation stage and feedback regulation electronics.
  • 78.
    • As thetip–sample separation is maintained in the range of 4–7 Å, a small voltage applied between the scanning tip and the surface causes tunneling of electrons by which variation of the responding current can be recorded while the tip moves across the sample in the x–y plane to generate a map of charge density. • Alternatively, keeping the responding current unchanged by adjusting the tip height through the use of feedback electronics can generate an image of tip topography across the sample.
  • 82.
    • As forcharacterization of biomolecules using STM or EM techniques, the samples are usually embedded into a matrix to preserve their original conformations, followed by coating the samples with a thin metallic layer, such as gold, before acquiring images. • It is impossible to image these biomolecules in their native conditions using conventional EM techniques that usually accompany a time-consuming sample preparation procedure. STM, on the other hand, can not only diminish the disadvantages of the EM techniques but also provide an image with atomic scale resolution by, for example, using a Pt–Ir tip with a very sharp end. • Although the high spatial resolution of STM should benefit the characterization of nanoscale biomaterials such as size, shape, structure, and states of dispersion and aggregation, only few studies using gold or carbon as substrates have been reported. • The practical obstacles are mainly due to requirements of the conductive surface of the sample and detection of the surface electronic structure. • Unfortunately, most biomaterials are insulating, and a simple connection of the sample's surface electronic structure with its surface topography may not necessarily exist. Still, STM is a preferred tool for investigating conductive atomic structures of, for example, carbon nanotubes, fullerenes and graphene.
  • 83.
  • 84.
    • Unlike STM,AFM does not require oxide-free, electrically conductive surfaces for measurement and is a SPM imaging tool consisting of a micro-machined cantilever (typically made of silicon or silicon nitride) with a sharp tip at one end to detect the deflection of the cantilever tip caused by electrostatic and van der Waals repulsion, as well as attraction between atoms at the tip and on the measured surface. • The oscillating cantilever then scans over the surface of specimen to generate an image with a vertical resolution of around 0.5 nm. • Like SEM and TEM techniques, AFM can be used for investigating the size, shape, structure, sorption, dispersion and aggregation of nanomaterials — the different scanning modes employed in AFM studies include noncontact mode (also called static mode), contact mode and intermittent sample contact mode (also called dynamic mode and tapping mode). • In addition to probing the sizes and shapes of nanomaterials under physiological conditions, AFM is capable of characterizing dynamics between nanomaterials in biological situations, such as observing the interaction of nanomaterials with supported lipid bilayers in real time, which is not achievable with current EM techniques.
  • 85.
    • AFM isgaining importance due to its capability for imaging biomaterials without causing appreciable damage to many types of native surfaces. • The main strength of AFM is its capability to image a variety of biomaterials at the sub-nanometer scale in aqueous fluids. • However, a major drawback is that the size of the cantilever tip is generally larger than the dimensions of the nanomaterials examined, leading to unfavorable overestimation of the lateral dimensions of the samples. • Unlike fluorescence techniques, AFM lacks the capability of detecting or locating specific molecules; however, this disadvantage has been eliminated by recent progress in single-molecule force spectroscopy with an AFM cantilever tip carrying a ligand, a cell adhesion molecule or chemical groups, which can probe or detect single functional molecules on cell surfaces.
  • 86.
    • AFM microscopesoperate on the principle of surface sensing using an extremely sharp tip on a micromachined silicon probe. • This tip is used to image a sample by raster scanning across the surface line by line, although the method varies dramatically between distinct operating modes. • The two primary groups of operating modes are widely defined as contact mode and dynamic, or tapping, mode. • The underlying principle of AFM is that this nanoscale tip is attached to a small cantilever which forms a spring. As the tip contacts the surface, the cantilever bends, and the bending is detected using a laser diode and a split photodetector. Principle of AFM
  • 87.
    • This bendingis indicative of the tip-sample interaction force. In contact mode, the tip is pressed into the surface and an electronic feedback loop monitors the tip-sample interaction force to keep the deflection constant throughout raster scanning. • Tapping mode limits the contact between the sample surface and the tip to protect both from damage. In this mode, the cantilever is caused to vibrate near its resonance frequency. The tip subsequently moves up and down in what is described as a sinusoidal motion. This motion is reduced by attractive or repulsive interactions as it comes near the sample. A feedback loop is used in a similar fashion to contact mode, except it keeps the amplitude of this tapping motion constant rather than the quasistatic deflection. By doing so, the topography of the sample is traced line by line. Principle of AFM
  • 88.
    Fourier Transform Infra-red(FTIR) Spectroscopy
  • 89.
    • The electromagneticspectrum consists of different regions corresponding to different energy (E), frequency (ѵ), and wavelength (λ) ranges. The unit for near-, mid-, and far-infrared, the wavenumber (cm-1), is derived from the inverse relationship between wavelength and frequency. • FTIR spectroscopy takes advantage of how IR light changes the dipole moments in molecules that correspond to a specific vibrational energy. • Vibrational energy corresponds to two variables: reduced mass (μ) and bond spring constant (k). • For k constant, we can look at C-C, C=C, and C≡C showing an increase of 800 cm-1 across the series. • Substituting atoms in a C-C bond with nitrogen and oxygen causes a shift of 100 cm-1. • By looking at the two series, it can be seen that bond strength alters the wavenumbers more than mass.
  • 91.
    • For nanomaterialapplications, Fourier transform infrared (FTIR) spectroscopy is commonly employed to use the expression of characteristic spectral bands to reveal nanomaterial–biomolecule conjugation, e.g. proteins bound to NP surfaces, and to illustrate the conformational states of the bound proteins.
  • 92.
    • A recentlydeveloped technique called attenuated total reflection (ATR)–FTIR spectroscopy uses the property of total internal reflection in conjunction with IR spectroscopy to probe the structure of adsorbed/deposited species at a solid/air or solid/liquid interface, while avoiding the drawbacks of sample preparation complexity and spectral irreproducibility in conventional IR. • In an ATR–FTIR system, the total internal reflectance, occurring within the equipped internal reflection element (IRE) crystal, which has a high refractive index at certain angles, forms evanescent waves that extend from the IRE crystal–sample interface into the sample with penetration depth of micrometers (0.5–5 μm), and the intensity of the evanescent waves decays exponentially from the interface. • ATR–FTIR can provide IR absorption spectra to investigate, for example, changes in surface properties as well as identification of chemical properties on the polymer surface when sample on the IRE–sample interface absorbs the evanescent IR waves with frequencies matching the vibrational modes of the sample. • Although ATR–FTIR spectroscopy can be implemented to study the surface features of nanomaterials, it is not a very sensitive surface-analysis method at nanometer scale because the penetration depth of ATR–FTIR has the same order of magnitude as the incident IR wavelength.
  • 93.
  • 94.
    The UV-visible absorbancespectrum is highly dependent on nanoparticle geometry. The shapes of the two spectra are quite different despite the two types of nanoparticles having similar dimensions and being composed of the same material. UV-visible absorbance spectra of 50 nm diameter gold nanospheres (A) and 25 nm diameter, 60 nm length gold nanorods (B).
  • 95.
    Using UV-Visible Spectroscopyto Determine Nanoparticle Aggregation States The UV-visible absorbance spectrum is also dependent on the aggregation state of the nanoparticles. When nanoparticles are in close proximity to each other, their plasmons couple, which affects their LSPR and thus their absorption of light. Dimerization of nanospheres causes a “red shift,” a shift to longer wavelengths, in the UV-visible absorbance spectrum as well as a slight increase in absorption at higher wavelengths. Unlike dimerization, aggregation of nanoparticles causes a decrease in the intensity of the peak absorbance without shifting the wavelength at which the peak occurs (λmax). UV-visible absorbance spectrum of 50 nm gold nanosphere dimers with a reference spectrum of single gold nanospheres (A) and UV-visible absorbance spectrum of 50 nm gold nanospheres exposed to various concentrations of NaCl (B).
  • 96.