Synthesis of Gephyrotoxin
            A Friday Evening Seminar



                                                      H

                                                                H
                                                      H N

                                                           H

                                                     HO


            Jonathan R. Scheerer

             8 November 2002

            Keywords: gephyrotoxin, alkaloid, total synthesis


01-geph title 11/8/02 9:30 AM
Alkaloids from Dendrobatidae Frogs
                                                                               H
                                   H                                                     H
                                                                                                   NMe
                                                                         HO                  O
                               N                             N                     O
                                                             H
                                                                                                         Me
                                                        OH
             Me
                                                                                                         OH
         gephyrotoxin-223AB                      histrionicotoxin                       batrachotoxin
         D. histrionicus                         D. histrionicus                        D. phyllobates
                                       Me
         neurotoxin                              neurotoxin                             toxic!



                                                                          Me                      Me
              Me                                              H
                                            Cl    N           N                                    OH
                   H                                                                              H
                                                                                             N
                               H
                                                                    HO
                   H N
                                       Me
                     H                                                             Me

                                                 epibatidine                            pumiliotoxin-A
        pumiliotoxin-C                           D. epipedobates              Me        D. pumilio
        D. pumilio                               analgesic                              cardiotonic



02-alkaloids 11/8/02 9:32 AM
(+)-Gephyrotoxin


                               H                                                                  H
                          6                                                     H 3C
                                   5a
                                                 H                                                          H
                              9a                              HH
                                                          H
                               H N                                                                H N
                                            3a
                                                     HO
                                                              N
                                        1

                                                          H   H
                              HO                                                                HO
                                                                                    perhydrogephyrotoxin

          Isolation/elucidation: (X-ray):                     Dendrobatidae alkaloids:
          Daly, J.W. Helv. Chim. Acta. 1977, 60, 1128.        Daly, J.W. Fortschr. Chem. Org. Naturst. 1982,
                                                                 41, 205-340.
          Total Syntheses:                                    Daly, J.W. J. Nat. Prod. 1998, 61, 162.
          Kishi, Y. J. Am. Chem. Soc. 1980, 102, 7154.
          Kishi, Y. Tet. Lett. 1981, 42, 4197.*               Formal Syntheses:
          Overman, L. J. Am. Chem. Soc. 1983, 105, 5373.      Ito, Y. and T. Saegusa. Tet. Lett. 1983, 24, 2881.
          Hart, D. J. Am. Chem. Soc. 1983, 105, 1255.         Pearson, W.H. J. Org. Chem. 2000, 65, 7158.
                                                              Hsung, R. Angew. Chem. Int. Ed. 2001, 40, 1516.*
          Perhydrogephyrotoxin Syntheses:
          Overman, L. J. Am. Chem. Soc. 1980, 102, 1454.      * = asymmetric
          Hart, D. J. Org. Chem. 1981, 46, 3576.
          Ibuka, T. Chem. Pharm. Bull. 1986, 34, 2380.


03-geph 11/8/02 9:33 AM
(+)-Gephyrotoxin


                               H
                          6                                                      N
                                   5a
                                                 H                               H
                              9a                              HH
                                                          H                Decahydroquinoline
                               H N
                                            3a
                          9                          HO
                                                              N
                                        1

                                                          H   H              N
                              HO
                                                                           Indolzidine

            Name:             Gephyra (Greek: meaning bridge)

            Isolation (1974): 15 mg from 3200 frogs (D. histrionicus)

            Pharmacology:
            mild K+ conductance disruptance (anticholinergic properties)
            potent muscarinic antagonist
            neurological disfunction


04-geph 11/8/02 9:34 AM
Kishi: Retrosynthesis


                                              OH
                                                                   RO2C
                                H
                                                                              H
                                                   H
                                          H
                                                                                          H
                                H N                            H                  N
                                                                              H
      (±)-gephyrotoxin                                 N
                                                   H
                                                                                      H
                                                           H         RO
                                              RO
                            HO



                                               O                          O
                                                                              H
                                      O
                          Bn                                   H                          H
                                N                      N                          N
                                                                              H
                           O                                                          H
                                                           H         RO
                                              HO




05-Kishiretro 11/6/02 3:26 PM
Kishi: Construction of Tricycle


            O                                          CO2Et                                                    CO2Et
                 1) EtO      MgCl;                             1) H2 (60psi), 10% Pd/C,
                    5% HCl                                        HClO4, MeOH
             N Bn
                                                Bn N                                                Cbz N
                 2) EtO      MgBr;                             2) BnOCOCl, pyr
            O       5% HCl
                         40%                                               88%
                                                       CO2Et                                                    CO2Et

                                                                                                  1) LiBH4
                                                                                                  2) KH; BnBr
                                                                                                  3) Ba(OH)2, H2O, ∆

                                                                                                             65%
                                                                                                                          HO
             O                                                     O       OH                           O

                                  1) MsCl, NEt3,
                              H   2) LiBr, DMF                                  H       PPTS                            HN
                     N                                                 N                                        OH
                                  3) H2 (1 atm), 10% Pd/C,                              80˚C
                                     HClO4, MeOH
                         H                                   BnO       H
          HO
                                          83%                                            85%                             BnO




                                                                                Kishi, Y. J. Am. Chem. Soc. 1980, 102, 7154.
06-kishi-a 11/6/02 11:38 PM
Kishi: Cis-fused Hydroquinoline

             O                                                         OH
                                                                         H                                   H

                                                                                   H                                         H
                              H         H2 (60 atm), 10% Pd/C,
                    N                   EtOAc                            H N                                 H N

                                                                             H                                       H
                       H                                          HO                                 HO
         HO
                                                                        51%, "one diastereomer"            19%

            O                                                          OH                                   OH
                                                                         H                                    H
                                   1) H2 (5 atm), 5% Pt/Al2O3
                                     EtOAc (anhydrous)                                                                           H
                           H                                                       H
                   N               2) Ac2O                                                                           N
                                                                         H N                                     H

                     H                                                         H                                         H
        HO                                                        AcO                                  AcO
                                                                                           12 : 1
                                                                                           61% (2 steps)
                           EtO2C
                                         H

                                                  H
                                             N        1) (COCl)2, DMSO, NEt3
                                         H
                   E:Z = 1:1                          2) EtO            MgBr; H+
                                              H
                                  AcO                            89%

                                                                                       Kishi, Y. J. Am. Chem. Soc. 1980, 102, 7154.
07-kishi-b 11/6/02 11:40 PM
Kishi: C(6) Stereochemistry
                                                                          OH                           OH
       EtO2C
                       H                                                        H                              H
                 6                         5% Rh/Al2O3, H2 (60 psi),
                                   H       EtOH                                              H                            H
                           N                                                         N                             N
                       H                                dr = 1 : 1              H                              H

                              H                                                      H                               H
             HO                                                           HO                           HO
                               E:Z = 1:1                                        OH                                       HO
        EtO2C
                       H                   1) TBDPSCl, imid, DMF
                                                                                         H
                   6                       2) 5% Rh/Al2O3                                                                           H H
                                   H         H2 (1 atm), n-C6H14, -20˚C                                                     H
                                                                                                      H        RO
                           N                                                                 N                                       N
                       H                                                                 H
                                                        dr = 10 : 1
                               H                                                                 H                            H     H
              HO                                                          TBDPSO                             R = TBDPS-

        EtO2C                                                             OH

                       H
                  6                         1) Li, NH3                          H
                                   H        2) TBDPSCl, imid, DMF
                                            3) LiAlH4                                        H
                           N
                       H                                     1 : 35                  N
                                                                                H
                               H
             AcO                                                                         H
                                                                       TBDPSO                        Kishi, Y. J. Am. Chem. Soc. 1980, 102, 7154.
08-kishi-c 11/6/02 11:51 PM
Kishi: Completion of Gephyrotoxin (enyne installation)

               OH


                      H                                                              H
                                      1) PCC           +      –       CHO
                                                      P Ph3Br
                                      2) NaOEt,
                                  H                                                              H
                          N                   EtO     H                                  N
                      H                                                              H
                                      3) TsOH, H2O, acetone                                  H
                              H                                        TBDPSO
       TBDPSO                            0˚ C
                                                                                     1) ClCH2P+Ph3Cl–, BuLi
                                                                                     2) MeLi; TMSCl
                                                                                     3) TBAF, DMF

                                                                                         (45% 6 steps)

                                                                                     H

                                                                                                 H
                                                                                         N
                                                                                     H
                                                                  (±)-gephyrotoxin


                                                                                   HO


                                                                            Kishi, Y. J. Am. Chem. Soc. 1980, 102, 7154.
09-kishi-d 11/6/02 11:54 PM
Kishi: Toward Asymmetric Gephyrotoxin
                                                                                                     O
                   O                                    O                          S
                                                                                                              CO2Et
                                                                                                Me
              HN                                    HN           P2S5, pyr     HN                        Br

               H                4 steps                          80˚C                           NaHCO3
                   CO2H
                                                            CN                         CN
           L-pyroglutamic acid

                                                   CO2Et                           CO2Et                                   CO2Et
                                                                                                                 Ac
                   1) PhOCOCl, pyr                           H2 (1 atm)                        0.1N KOH
                   2) LiBH4                                  5% Pt/C, HClO4                    EtOH
                                              HN                              HN                                      HN
                   3) KH                                     MeOH                              60˚C

                                                   CN                              CN                                      CN

                                          cis/trans = 2.3 : 1                                  mixture of olefin
                                                                         HO                    isomers

              O                           1) Dibal-H, -105˚C
                        H
                                          2) NaBH4,
          O        N                                                    HN
               H                          3) KH; BnBr
                                          4) Ba(OH)2, H2O, ∆                  Intermediate from racemic
                   CN                                                         synthesis

                                                                        BnO

                                                                                        Tet. Lett. 1981, 42, 4197.
10-kishi-asym 11/7/02 2:06 PM
Kishi: Absolute Configuration Questioned

                  HO

                                                            H                   Original stereoconfiguration assigned
                                                                                by X-ray from HBr salt of gephyrotoxin
                                                                        H       (anomalous scattering of Br–)
                HN
                                                                N
                                                            H
                                 Kishi et al.
                                 12 steps

                 BnO                                                 (+)-gephyrotoxin
                                                          HO


                                                       Synthetic                   α
                                                                                  [α]D = +50.0˚
                                                       (c =1.0, EtOH)


                                   H                  Natural                      α
                                                                                  [α]D = –51.5˚
                                                      (c =1.0, EtOH)
                                                H
                                       N              Kishi suggests structural reassignment based on
                                   H
                                                      optical rotation.


                                            natural (–)-gephyrotoxin (?)    Insufficient natural supply to confirm
                                 HO                                         reassignment

                                                                                        Tet. Lett. 1981, 42, 4197.
12-Kishi-asym2 11/7/02 3:16 PM
Eschenmoser Contraction:                                                                                                    CO2Et
       Formation of Vinylogous Amides                                              S                     O         O
                                                                                                                             Ac
       and Urethanes
                                                                                  HN                Me                 OEt
                                                                                                                              HN
                                                                                                              Br
                                                                                                    NaHCO3, R3P
                                                                                           CN                                      CN


                                                          O        O

                                 H                   Me                OEt             H
                                 N          S                                          N        S
                                                              Br                                         Ac
                    NC                                                       NC
                                                                                                    H CO2Et

                                                                                           B–


                                 H              Ac                                               H       S
                                 N                            R3P = thiophile                    N             Ac
                    NC                              CO2Et                         NC
                                                                                                              CO2Et


    • Thioamides usually prepared with Lawesson's
    reagent: MeO
                                                S
                                        S
                                            P
                                    P
                                        S
                                S
                                                                                                Eschenmoser, Helv. Chim. Acta. 1971, 54, 710.
                                                            OMe                                 Tet. Lett. 1981, 42, 4197.
13-kishi-enschenmoser 11/7/02 2:55 PM
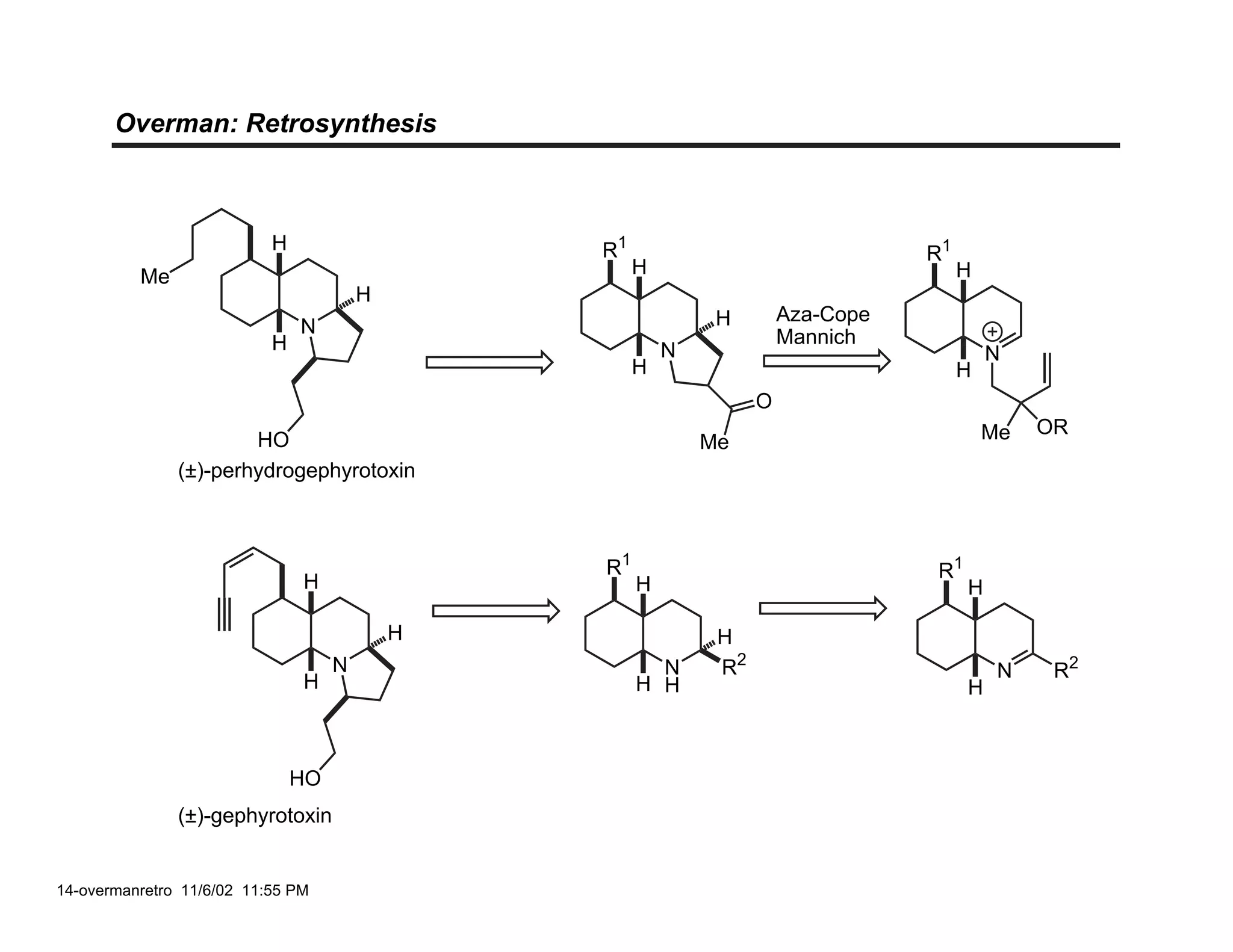
Overman: Retrosynthesis



                           H                    R1                                R1
          Me                                         H                                 H
                                        H
                                                              H        Aza-Cope
                               N                                       Mannich
                           H                             N                                 N
                                                     H                                 H
                                                                   O
                                                                                           Me   OR
                       HO                                    Me
               (±)-perhydrogephyrotoxin



                                                R1                                R1
                               H                     H                                 H

                                            H                 H
                                    N                  N      R2                            N    R2
                               H                     H H                               H



                               HO
               (±)-gephyrotoxin


14-overmanretro 11/6/02 11:55 PM
Overman: (±)-Gephyrotoxin, Hydroquinoline Formation

                                                   Cbz                                           OMOM
                                             CHO         NH

                30% (4 steps)                                         110˚C, 1.5 h                   H
                from 3-butynol                                                                           CHO
                                                                      endo/exo = 9:1
                            MOMO                                      81%                                    Cbz
                                                                                                       N
                                                                                                     H H
              OMOM
                                                                    O     O
                                                              (MeO)2P                    O
                                  O
                     H
                                             O                LiHMDS, –70˚ C         O

                                Cbz      O                              93%
                       N
                     H H
                                                                                     OMOM
                                             OMOM

                                                              O                              H
                                                   H
                           H2, Pd/C                               R      NaOH                                      O
                                                                                                 N
                           TFA / EtOAc                 NH3                                   H
                                                                           94%                                O
                                                   H
                                             R = -CH2CH2CH(OR)2



                                                                                     J. Am. Chem. Soc. 1983, 105, 5373-5379.
15-overman-a 11/7/02 12:50 PM
Overman: Contrasteric Iminium Reduction

                         OMOM                                                               OMOM


                                 H                                                             H
                                                                 LiAlH4
                                9a
                                                                                                          H
                                                          O                                                            O
                                     N                           Et2O, -19˚C                       N
                                 H                                                             H
                                                      O                   85%                      H               O

                                                                                                        dr = 9:1 to 16:1

                                                                                                                  Nu
                                                                                                    R1 R H              R2
                                                                                                     H
                                                                                      Nu                  N
                MOMO
                                      HH                             R1       HH
                                H                                     H
                                         N                                        N
                                     R                  R2                    R        R2
                                                                                                    R1      HH
                                                                                                     H
                                                                                      Nu                      N
                                                                                                          R                R2
             Additional examples of contrasteric additions to iminium ions:                                       Nu
             Stevens, R. J. Am. Chem. Soc. 1979, 101, 7032.
             Stevens, R. Acc. Chem. Res. 1984, 17, 289.
             Hart, D. Tet. 1995, 51, 5757.




                                                                                              J. Am. Chem. Soc. 1983, 105, 5373-5379.
16-overman-b 11/6/02 8:50 PM
Overman: C-ring and Endgame

        OMOM                                                          OMOM

                                                                                      CHO
               H                             1) TrocCl, penta-              H                      1) MeOH, PPTS
                                               methylpiperidine                                    2) KOH, IPA, H2O
                           H                 2) 10% HClO4, THF                        H               ∆ 48h
                                       O
                   N                                                          N
               H                             3) Ph3PCHCHO                   H Troc
                   H               O                                                                          96%
                                                  64% (3 steps)
                                                                  OMOM                                            OMOM
      OHC
                   H                                                    H                                                 H
                                 1) TBDPSCl, NEt3, DMAP                                   1) 1N HCl, THF
                               H 2) 24% HBr, DME, 50˚                             H       2) NaOMe, MeOH
                                                                                                                                    H
                                 3) (COCl)2, DMSO, NEt3                                   3) NaBH4
                       N                                                    N                                               N
                   H                                                    H                                                 H H
                                            71%                                                  56%


         TBDPSO                                                                                                   (MeO)2HC
                                                                       HO
                        TIPS                                 H
                       1)                  TIPS
                          Li                                           H
                       -78˚–> rt   55%                            N
                                                             H
                       2) TBAF
                                                                            (±)-gephyrotoxin
                           Z/E = 90:10
                           88% isolated
                                                            HO
                                                                                          J. Am. Chem. Soc. 1983, 105, 5373-5379.
17-overman-c 11/7/02 1:05 PM
Overman: (±)-Perhydrogephyrotoxin, Hydroquinoline Formation

                                   Cbz
                            CHO            NH                            BnO
                                                                                  H
                                                                                       CHO          1) Ph3PCHCHO
                                                      110˚C, 1.5 h                                  2) PPTS, MeOH
                    OBn                                                                 Cbz
                                                          81%                       N                        47%
                                                                                  H H
                                                                      endo/exo = 10 : 1

                  BnO                                                                               BnO
                                           OMe                                                                            OMe
                             H                                   1) 3 equiv H2, Pd/C                         H
                                                                 2) NaBH3CN, Me                                                OMe
                                            OMe                                      OMe
                                                                           OHC                                       Cbz
                               N                                                                               N
                             H H                                                                             H H
                                   Me OMe                                 91%
                                                                                                 BnO
         TsOH, PhH
         80˚C                                                        R                                      H
                                                                         H
                                            H                                                                          H
                                   R             Me                               H
                                                                                                                 N
                                       H     N                               N                              H
                                                                         H
                                                         [3,3]                                                                 O
                                           MeO    H                       Me                  79%
                                                                                                                     Me
                                                                                 OMe                                           3:2 mix of acyl
                                                                                                                               diastereomers


                                                                                          J. Am. Chem. Soc. 1980, 102, 1453.
18-overman-pera 11/6/02 11:59 PM
Overman: Perhydrogephyrotoxin, C-Ring
    BnO                                       BnO                                                BnO
               H                                      H                                                      H
                                                                                                                        Me
                                                                                                                                   CO2Et
                           H                                    H                                                          H
                                  1) BnBr, 70˚C                                 HC(OEt)3, H+
                   N                                    N                                                      N
               H                                      H Bn                                                   H Bn
                                2) NaBH4                                  OH 130˚ C
                               O
                                     70%                                              79%
                        Me                                           Me                                              1) EtSH, BF3•OEt2
                                                                                                      60%            2) TsCl, NEt3
                                                                                                                     3) LiCu(n-Bu)2
       H11C5                                                        H11C5                                            4) TrocCl
               H                                                            H
                                              1) O3; NaBH4                            Me
                           H                  2) LiOH                                   H
                   N                          3) NaH; CH2N2                      N                       CO2Et
               H                                                            H
                                                                                 Troc
               O       O              CO2Me                                                      H11C5
                                                                                                         H
                                                  H11C5
                                                          H
                                                                                                                       H
                       1) n-BuLi; PhSeCl                        H      1) cat. NaOMe
                                                                                                             N
                       2) H2O2                                         2) LiAlH4                         H       1
                                                            N
                                                          H H
                       3) Zn, AcOH, 95˚C                                        50%
                           70%(6 steps)                                         8 : 1 at C1
                                                                                                       HO
                                                     MeO2C                                                   (±)-perhydrogephyrotoxin

                                                                                              J. Am. Chem. Soc. 1980, 102, 1453.
19-overman-perb 11/6/02 8:39 PM
Hart: Retrosynthesis




                                H
                                            R                 R
                                                H                 H
                                        H
                                    N                   H
                                H
                                                    N                 N
                                                H                 H
                                                O                 O
                           HO
                   (±)-gephyrotoxin                         N-acyliminium ion




20-Hart-retro 11/7/02 1:08 PM
Hart: N-Acyliminium Ion Cyclization


                                            H
              H                                                                    1) PPh3, DEAD, succinimide
                                                                      H
                         LiAlH4                                                    2) O3; NaBH4                                         O
          H                                     O                 H
                                                                                   3) Bu3P, o-nitrophenyl-                         N
                  O       92%                       –                     OH
                                                [H]                                   selenocyanate
      Wenkert. et .al.                                                             4) H2O2                                     O
                                                dr (-70˚C) = 8 : 1                           38%


                      H
                                                        Nu                               O                                      O
      Nu                                    O
                    N                                             HCO2H                                Dibal-H
       H                                                                                     N                          H           N
                                        H         N
                         O                              H                                        OH       80%                               O

              A(1,3)
                             Nu = –OCHO
                                                                              OCHO
                                                                          H                  1) NaOH, MeOH                  H
                                                    OCHO                                     2) NaH, S2C, imid.
                                                                                     H          MeI, 60˚C                               H
                                    H       N
                                                                               N                                                   N
                                                    H                     H                  3) Bu3SnH, 110˚C               H
                                            O
                                                            79%           O                        65%                         O


                                                                                       Wenkert. Synth. Commun. 1979, 9, 391.
                                                                                       J. Am. Chem. Soc. 1983, 105, 1255.
21-Hart-a 11/7/02 1:13 PM
Hart: C(1) Reduction

                                                                                                                 OR

               H                                                H               1) (sia)2BH;
                                1) Lawesson's                                                                            H
                                2) ethyl bromoacetate;                             H2O2, NaOH
                            H      Et3N, Ph3P                               H   2) TBDPSCl, imid.                                    H
                     N                                              N
               H                                                H                                                            N
                                       80%                                                   73%                         H
                 O
                                                                    CO2Et
                                                                                              R = H- or TBDPS-               CO2Et




                                                                        OR                           OR

                                                                                                                             [H]–
                                                                                H                           H
       R=                conditions           yield   dr
       TBDPS             50 psi, Pt/Al2O3     96      96 : 4                                H                            H
       H                   ''                 84      32 : 68                        N                          N
       TBDPS                                  92      65 : 35                   H                           H
                         NaCNBH3, pH 4
       H                                      90      67 : 33
                           ''
                                                                                    CO2Et                       CO2Et




                                                                                    J. Am. Chem. Soc. 1983, 105, 1255.
22-hart-b 11/7/02 1:20 PM
Hart: Unsaturated Sidechain

              OTBDPS


                     H               1) TBAF                          H
                                     2) (COCl)2, DMSO, NEt3                              E/Z =9:1
                                 H                                                H
                                     3) TBS
                            N                                 TMS         N
                     H                               TMS              H
                                         Li

                         CO2Et           22% (3 steps)                    CO2Et

                                                                      1) Dibal-H
                                                                      2) TBAF
                                                                              94%

                                                                      H

                                                                                  H
                                                                          N
                                                                      H


                                                                                    (±)-gephyrotoxin
                                                                    HO




                                                                    J. Am. Chem. Soc. 1983, 105, 1255.
23-hart-c 11/7/02 1:24 PM
Ibuka: Perhydrogephyrotoxin Retrosynthesis



                                H                 H11C5
                                                          H               H11C5
             Me                                                                   H
                                           H
                                                                 H
                                    N
                                H                           N
                                                          H R                       N     O
                                                                                  H R

                            HO                          MeO2C
              (±)-perhydrogephyrotoxin




                       H11C5                          H11C5               H11C5
                                                              CO2Et

                                CO2Et
                                               TMSO           OTMS    O           HN      O
            TMSO                    OTMS                                              R




24-ibukaretro 11/7/02 1:26 PM
Ibuka: Hydroquinoline Formation

                H11C5                                          H11C5                                             H11C5
                                                                       CO2Et                                              CO2Et
                                                                                   TsOH, (HOCH2)2,
                        CO2Et     175˚C, 48 h                                      PhH, 80˚C       O
                                                      TMSO             OTMS
     TMSO                OTMS         95%                                                    84%                 O

                                                                                                                       1) Dibal-H
                                                                                                                       2) BuLi, TsCl
          H11C5                                                                              H11C5                     3) CuCH2CN
                                                  H
                  H                           R                                                                        4) H2O2, KOH
                                                                1) 5% HCl, acetone
                                  O                                                      O                                 68%
                                                      H
      O                    O                                    2) NaOMe, MeOH                       H2N         O
                  H NH                        H2N          O                                  O
                                                                           61%
                   "one isomer"


                                                                                                   H11C5
                                  H11C5
                                                                                                           H
                                          H                            O
              1) (HSCH2)2
              2) Raney Ni                                   1) Br                CO2Me
                                                                                                                           CO2Me
                                                          S 2) PhP(CH CH NMe )                             H N
              3) Lawesson's               H N
                                            H                        2  2   2 2                              H
                      92%                                              81%                                       O



                                                                                              Chem. Comm. 1984, 597.
25-ibuka-a 11/7/02 1:33 PM
Ibuka: C(3a) Stereochemistry

      H11C5                                            H11C5                                      H11C5
              H                          NaBH3CN               H             NEt3, MeOH                       H
                                         pH 4, MeOH                          65˚C
                                                                         H                                              H

              H N
                                 CO2Me      99%                H N                   3:1                      H N
                                                                                                                H
                H                                                H
                     O                                               O                                              O

                                                                   MeO2C                                          MeO2C
                                           H11C5
                                                                                      H
                                                   H                         R
                                                         H                       L     N
            1) TsOH, PhH, 80˚C                                                        B O                           NaBH4
                                                   H N
                                                     H                                L
            2) ClCO2Ph, pyr, DMAP                                                                 CO2Me
                                                      HO H           CO2Me                 [H]–

                             H11C5                             Li                    H11C5
                                     H                  1) i-PrNChx
                                                                                             H
                                                         THF-HMPT; PhSeCl
                                            H           2) LiOH                                           H
             99%                  H N H                 3) CH2N2                             H
                                                                                                  N
                                                                                                              H
                                PhO2C                   4) H2O2, pyr
                                                O                                            O        O              CO2Me
                                                                   65%
                                                O

                                                                                      Chem. Comm. 1984, 597.
26-ibuka-b 11/7/02 9:37 PM
Ibuka: Cuprate Reduction
                  H11C5                                                            H11C5
                             H                                                              H
                                                       LiBu2Cu (2.3 equiv.)
                                         H             THF, -73˚C                                       H
                                 N                                                            N                        CO2Me
                             H               H                quant                         H H
                             O       O           CO2Me

       Later Studies Reveal . . .
                     CO2Et                                CO2Et                                      CO2Et
                                     Bu2CuLi                       BuCu•BF3

                                     reduction                     substitution
                                                   X                                        Bu
            1,4-Addition with cuprates is
            exceedingly rare with γ−leaving        x   1,4-addition
            groups X: acetoxy, acetonide,
            carbamoyloxy, ethers, etc.
                                                                                  Ibuka et al. Synlett. 1992, 769.


        Mechanism Involves β-organocuprate:
             O                   O                                    OLi                                        OLi

                         Bu2CuLi                                                         Red. elim.
                                                  CuBu2Li
                                                                              CuBu2        (RDS)                       Bu
                                                            S = solvent       S                    Singleton JACS. 2000, 3289.


                                                                                                  Chem. Comm. 1984, 597.
27-ibuka-c 11/7/02 7:41 PM
Ibuka: Homestrech




           H11C5                             H11C5
                   H                                 H                                       H
                                                                             Me
                              H   1% NaOMe                   H   Dibal-H                             H
                     N                                   N                                       N
                   H H                               H                                       H
                                    51%                             98%
                                                          H
                                                         CO2Me
                MeO2C
                                                                                           HO
                                                dr = 85 : 15
                                                                               (±)-perhydrogephyrotoxin




                                                                           Chem. Comm. 1984, 597.
28-ibuka-d 11/6/02 10:29 PM
Ito and Saegusa: Intramolecular Hetero-Diels-Alder


          OMe                                                    OMe                                             OMe

                        NMe2 1) n-BuLi, TMSCl, DMAP                       N+Me3 Br– CsF

                 NH          2) MeBr                                   NTMS         65˚C                               N

    HO                                                    TMSO
                                                                                                      TMSO
         3 steps (69%)



                                    O                                                OMe                          OMe
            H
                                                            H2 (70 atm), Rh/Al2O3
                         H                          H                                                 H                            H
                N                           N               EtOH, 70˚C                        N                            N
            H
                                                                    70%
                    H                           H                                                 H                            H

          HO                          HO                                               HO                          HO
                                                                                                  dr = 5 : 1
            (10%)                                                                                 71% (3 steps)
                                           Kishi et al.


                                  (±)-gephyrotoxin
                                                                                    Tet. Lett. 1983, 24, 2881.
29-ito-saegusa 11/6/02 10:46 PM
Hsung: Intramolecular Formal [3+3]

                             O
                                                  O       O                                             O
           OH
                                                                               +
                       1) i.       OH                                              NH2–OAc
                          ii. MnO2
                                                          NH                                                     N
        H2N
                       2) TBDPSCl, imid.                               PhMe 150˚ C 1-2 h
          H
                                 40%                          H

         HO                                   TBDPSO                                               TBDPSO
     48% (4 steps) via Noyori
     asymmetric hydrogenation                                                                                   1) H2, Pd/C
                                                                                                                2) TBAF
                                                                  O                                O

                                 H
                                                                                    H                                H
                                          H                                N                                N
                                 H N          Kishi et. al.
                                                                                        60 : 40

                                                                                        60%
                                                                      HO                               HO
                              HO
                       (+)-gephyrotoxin                           extremely temperature sensitive:
                                                                  high selectivity for undesired at 100˚ C
                                                                                        Hsung, R. Angew. Chem. Int. Ed. 2001, 40, 1516.
30-Hsung1 11/6/02 11:04 PM
Pearson: (±)-Gephyrotoxin via the Schmidt Reaction

              OMe                                  OMe                                 OMe

                                5 - 7 steps                           TfOH
                                                             N3
                                                                                                   N N N
                        O                                         R
                                                                                                        R



            OMe                       OMe                 OMe                    OMe                      OMe


                            H                                           [H–]
                                                   H
                                                                  N                                              N
                    N                         N                                          N
                                                            H
                 R H                      R H                R H                       R H                     R H
                 1                        2                 3


          R / hydride reagent                     Yield    1 : 2: 3

          CH2CH2Br / NaBH4                        72%      39: 39: 22
                   / Dibal-H                      60%      52: 26: 22
                   / L-selectride                 55%      82: – : 18
          CH2CH2OMOM                               –        –
                                                  86%      16: 35: 49
          CH2CH=CH2
                                                                               J. Org. Chem. 2000, 65, 7158.
31-pearson-a 11/8/02 9:15 AM
Pearson: Intersection with Ito Intermediate



                       OMe                        OMe                                  O

                                     1) Bu4NOAc                 Ito et. al.
                                 H                          H                                       H
                             N       2) LiAlH4          N                                   N


                  Br
                                                  HO                                   HO


                                                                       Kishi et. al.




                                                                                  (±)-gephyrotoxin




                                                                          J. Org. Chem. 2000, 65, 7158.
32-pearson-b 11/6/02 10:56 PM
Synthesis of (±)-Gephyrotoxin: A Comparison

                                                                R2                                     R2                     Steps:      Total Yield (%):
                                                                  H                                      H
       Overman (1983)                                                                    [H]–                                 15          6.5
                                                                                                                     H
             Reduction to concave face
                                                                           N    R1                          N        R1
                                              O                        H             O                     HH
                                                                                         H
                                                           H                                       H
       Kishi (1981)                                                                                                            24         2.8
                                                   N                                     HN
             Distal directed hydrogentation

                                         HO            H       R                HO            H
                                                                   H                                   R
                                                                                                           H
       Hart (1983)                                                                                                  H          22         1.8
             N-acyliminium ion cyclization                             N                                       N
                                                                   H                                       H
                                       OMe                             O                                   O
                                                                                OMe
       Ito (1983)                                 N+Me3 Br-                                                          7 + 12* = 19         7.4
             Intramolecular [4+2]
                                                                                             H
                                                 NTMS                                    N
                                             R                 O           O                       O
                                                                                     R

       Hsung (2001)                                                                                                H 5 + 12* = 17         1.5
             Formal [3+3]                                                  NH                              N

                                                                       R             OMe               R
                                                 OMe

       Pearson (2000)                                                                                                8 + 12* = 20         3.5
             Schmidt
                                                           N3                                N
                                                                   R
                                                                                             R H                           *from Kishi intermediate

33-geph-comp 11/4/02 4:03 PM

Gephyrotoxin

  • 1.
    Synthesis of Gephyrotoxin A Friday Evening Seminar H H H N H HO Jonathan R. Scheerer 8 November 2002 Keywords: gephyrotoxin, alkaloid, total synthesis 01-geph title 11/8/02 9:30 AM
  • 2.
    Alkaloids from DendrobatidaeFrogs H H H NMe HO O N N O H Me OH Me OH gephyrotoxin-223AB histrionicotoxin batrachotoxin D. histrionicus D. histrionicus D. phyllobates Me neurotoxin neurotoxin toxic! Me Me Me H Cl N N OH H H N H HO H N Me H Me epibatidine pumiliotoxin-A pumiliotoxin-C D. epipedobates Me D. pumilio D. pumilio analgesic cardiotonic 02-alkaloids 11/8/02 9:32 AM
  • 3.
    (+)-Gephyrotoxin H H 6 H 3C 5a H H 9a HH H H N H N 3a HO N 1 H H HO HO perhydrogephyrotoxin Isolation/elucidation: (X-ray): Dendrobatidae alkaloids: Daly, J.W. Helv. Chim. Acta. 1977, 60, 1128. Daly, J.W. Fortschr. Chem. Org. Naturst. 1982, 41, 205-340. Total Syntheses: Daly, J.W. J. Nat. Prod. 1998, 61, 162. Kishi, Y. J. Am. Chem. Soc. 1980, 102, 7154. Kishi, Y. Tet. Lett. 1981, 42, 4197.* Formal Syntheses: Overman, L. J. Am. Chem. Soc. 1983, 105, 5373. Ito, Y. and T. Saegusa. Tet. Lett. 1983, 24, 2881. Hart, D. J. Am. Chem. Soc. 1983, 105, 1255. Pearson, W.H. J. Org. Chem. 2000, 65, 7158. Hsung, R. Angew. Chem. Int. Ed. 2001, 40, 1516.* Perhydrogephyrotoxin Syntheses: Overman, L. J. Am. Chem. Soc. 1980, 102, 1454. * = asymmetric Hart, D. J. Org. Chem. 1981, 46, 3576. Ibuka, T. Chem. Pharm. Bull. 1986, 34, 2380. 03-geph 11/8/02 9:33 AM
  • 4.
    (+)-Gephyrotoxin H 6 N 5a H H 9a HH H Decahydroquinoline H N 3a 9 HO N 1 H H N HO Indolzidine Name: Gephyra (Greek: meaning bridge) Isolation (1974): 15 mg from 3200 frogs (D. histrionicus) Pharmacology: mild K+ conductance disruptance (anticholinergic properties) potent muscarinic antagonist neurological disfunction 04-geph 11/8/02 9:34 AM
  • 5.
    Kishi: Retrosynthesis OH RO2C H H H H H H N H N H (±)-gephyrotoxin N H H H RO RO HO O O H O Bn H H N N N H O H H RO HO 05-Kishiretro 11/6/02 3:26 PM
  • 6.
    Kishi: Construction ofTricycle O CO2Et CO2Et 1) EtO MgCl; 1) H2 (60psi), 10% Pd/C, 5% HCl HClO4, MeOH N Bn Bn N Cbz N 2) EtO MgBr; 2) BnOCOCl, pyr O 5% HCl 40% 88% CO2Et CO2Et 1) LiBH4 2) KH; BnBr 3) Ba(OH)2, H2O, ∆ 65% HO O O OH O 1) MsCl, NEt3, H 2) LiBr, DMF H PPTS HN N N OH 3) H2 (1 atm), 10% Pd/C, 80˚C HClO4, MeOH H BnO H HO 83% 85% BnO Kishi, Y. J. Am. Chem. Soc. 1980, 102, 7154. 06-kishi-a 11/6/02 11:38 PM
  • 7.
    Kishi: Cis-fused Hydroquinoline O OH H H H H H H2 (60 atm), 10% Pd/C, N EtOAc H N H N H H H HO HO HO 51%, "one diastereomer" 19% O OH OH H H 1) H2 (5 atm), 5% Pt/Al2O3 EtOAc (anhydrous) H H H N 2) Ac2O N H N H H H H HO AcO AcO 12 : 1 61% (2 steps) EtO2C H H N 1) (COCl)2, DMSO, NEt3 H E:Z = 1:1 2) EtO MgBr; H+ H AcO 89% Kishi, Y. J. Am. Chem. Soc. 1980, 102, 7154. 07-kishi-b 11/6/02 11:40 PM
  • 8.
    Kishi: C(6) Stereochemistry OH OH EtO2C H H H 6 5% Rh/Al2O3, H2 (60 psi), H EtOH H H N N N H dr = 1 : 1 H H H H H HO HO HO E:Z = 1:1 OH HO EtO2C H 1) TBDPSCl, imid, DMF H 6 2) 5% Rh/Al2O3 H H H H2 (1 atm), n-C6H14, -20˚C H H RO N N N H H dr = 10 : 1 H H H H HO TBDPSO R = TBDPS- EtO2C OH H 6 1) Li, NH3 H H 2) TBDPSCl, imid, DMF 3) LiAlH4 H N H 1 : 35 N H H AcO H TBDPSO Kishi, Y. J. Am. Chem. Soc. 1980, 102, 7154. 08-kishi-c 11/6/02 11:51 PM
  • 9.
    Kishi: Completion ofGephyrotoxin (enyne installation) OH H H 1) PCC + – CHO P Ph3Br 2) NaOEt, H H N EtO H N H H 3) TsOH, H2O, acetone H H TBDPSO TBDPSO 0˚ C 1) ClCH2P+Ph3Cl–, BuLi 2) MeLi; TMSCl 3) TBAF, DMF (45% 6 steps) H H N H (±)-gephyrotoxin HO Kishi, Y. J. Am. Chem. Soc. 1980, 102, 7154. 09-kishi-d 11/6/02 11:54 PM
  • 10.
    Kishi: Toward AsymmetricGephyrotoxin O O O S CO2Et Me HN HN P2S5, pyr HN Br H 4 steps 80˚C NaHCO3 CO2H CN CN L-pyroglutamic acid CO2Et CO2Et CO2Et Ac 1) PhOCOCl, pyr H2 (1 atm) 0.1N KOH 2) LiBH4 5% Pt/C, HClO4 EtOH HN HN HN 3) KH MeOH 60˚C CN CN CN cis/trans = 2.3 : 1 mixture of olefin HO isomers O 1) Dibal-H, -105˚C H 2) NaBH4, O N HN H 3) KH; BnBr 4) Ba(OH)2, H2O, ∆ Intermediate from racemic CN synthesis BnO Tet. Lett. 1981, 42, 4197. 10-kishi-asym 11/7/02 2:06 PM
  • 11.
    Kishi: Absolute ConfigurationQuestioned HO H Original stereoconfiguration assigned by X-ray from HBr salt of gephyrotoxin H (anomalous scattering of Br–) HN N H Kishi et al. 12 steps BnO (+)-gephyrotoxin HO Synthetic α [α]D = +50.0˚ (c =1.0, EtOH) H Natural α [α]D = –51.5˚ (c =1.0, EtOH) H N Kishi suggests structural reassignment based on H optical rotation. natural (–)-gephyrotoxin (?) Insufficient natural supply to confirm HO reassignment Tet. Lett. 1981, 42, 4197. 12-Kishi-asym2 11/7/02 3:16 PM
  • 12.
    Eschenmoser Contraction: CO2Et Formation of Vinylogous Amides S O O Ac and Urethanes HN Me OEt HN Br NaHCO3, R3P CN CN O O H Me OEt H N S N S Br Ac NC NC H CO2Et B– H Ac H S N R3P = thiophile N Ac NC CO2Et NC CO2Et • Thioamides usually prepared with Lawesson's reagent: MeO S S P P S S Eschenmoser, Helv. Chim. Acta. 1971, 54, 710. OMe Tet. Lett. 1981, 42, 4197. 13-kishi-enschenmoser 11/7/02 2:55 PM
  • 13.
    Overman: Retrosynthesis H R1 R1 Me H H H H Aza-Cope N Mannich H N N H H O Me OR HO Me (±)-perhydrogephyrotoxin R1 R1 H H H H H N N R2 N R2 H H H H HO (±)-gephyrotoxin 14-overmanretro 11/6/02 11:55 PM
  • 14.
    Overman: (±)-Gephyrotoxin, HydroquinolineFormation Cbz OMOM CHO NH 30% (4 steps) 110˚C, 1.5 h H from 3-butynol CHO endo/exo = 9:1 MOMO 81% Cbz N H H OMOM O O (MeO)2P O O H O LiHMDS, –70˚ C O Cbz O 93% N H H OMOM OMOM O H H H2, Pd/C R NaOH O N TFA / EtOAc NH3 H 94% O H R = -CH2CH2CH(OR)2 J. Am. Chem. Soc. 1983, 105, 5373-5379. 15-overman-a 11/7/02 12:50 PM
  • 15.
    Overman: Contrasteric IminiumReduction OMOM OMOM H H LiAlH4 9a H O O N Et2O, -19˚C N H H O 85% H O dr = 9:1 to 16:1 Nu R1 R H R2 H Nu N MOMO HH R1 HH H H N N R R2 R R2 R1 HH H Nu N R R2 Additional examples of contrasteric additions to iminium ions: Nu Stevens, R. J. Am. Chem. Soc. 1979, 101, 7032. Stevens, R. Acc. Chem. Res. 1984, 17, 289. Hart, D. Tet. 1995, 51, 5757. J. Am. Chem. Soc. 1983, 105, 5373-5379. 16-overman-b 11/6/02 8:50 PM
  • 16.
    Overman: C-ring andEndgame OMOM OMOM CHO H 1) TrocCl, penta- H 1) MeOH, PPTS methylpiperidine 2) KOH, IPA, H2O H 2) 10% HClO4, THF H ∆ 48h O N N H 3) Ph3PCHCHO H Troc H O 96% 64% (3 steps) OMOM OMOM OHC H H H 1) TBDPSCl, NEt3, DMAP 1) 1N HCl, THF H 2) 24% HBr, DME, 50˚ H 2) NaOMe, MeOH H 3) (COCl)2, DMSO, NEt3 3) NaBH4 N N N H H H H 71% 56% TBDPSO (MeO)2HC HO TIPS H 1) TIPS Li H -78˚–> rt 55% N H 2) TBAF (±)-gephyrotoxin Z/E = 90:10 88% isolated HO J. Am. Chem. Soc. 1983, 105, 5373-5379. 17-overman-c 11/7/02 1:05 PM
  • 17.
    Overman: (±)-Perhydrogephyrotoxin, HydroquinolineFormation Cbz CHO NH BnO H CHO 1) Ph3PCHCHO 110˚C, 1.5 h 2) PPTS, MeOH OBn Cbz 81% N 47% H H endo/exo = 10 : 1 BnO BnO OMe OMe H 1) 3 equiv H2, Pd/C H 2) NaBH3CN, Me OMe OMe OMe OHC Cbz N N H H H H Me OMe 91% BnO TsOH, PhH 80˚C R H H H H R Me H N H N N H H [3,3] O MeO H Me 79% Me OMe 3:2 mix of acyl diastereomers J. Am. Chem. Soc. 1980, 102, 1453. 18-overman-pera 11/6/02 11:59 PM
  • 18.
    Overman: Perhydrogephyrotoxin, C-Ring BnO BnO BnO H H H Me CO2Et H H H 1) BnBr, 70˚C HC(OEt)3, H+ N N N H H Bn H Bn 2) NaBH4 OH 130˚ C O 70% 79% Me Me 1) EtSH, BF3•OEt2 60% 2) TsCl, NEt3 3) LiCu(n-Bu)2 H11C5 H11C5 4) TrocCl H H 1) O3; NaBH4 Me H 2) LiOH H N 3) NaH; CH2N2 N CO2Et H H Troc O O CO2Me H11C5 H H11C5 H H 1) n-BuLi; PhSeCl H 1) cat. NaOMe N 2) H2O2 2) LiAlH4 H 1 N H H 3) Zn, AcOH, 95˚C 50% 70%(6 steps) 8 : 1 at C1 HO MeO2C (±)-perhydrogephyrotoxin J. Am. Chem. Soc. 1980, 102, 1453. 19-overman-perb 11/6/02 8:39 PM
  • 19.
    Hart: Retrosynthesis H R R H H H N H H N N H H O O HO (±)-gephyrotoxin N-acyliminium ion 20-Hart-retro 11/7/02 1:08 PM
  • 20.
    Hart: N-Acyliminium IonCyclization H H 1) PPh3, DEAD, succinimide H LiAlH4 2) O3; NaBH4 O H O H 3) Bu3P, o-nitrophenyl- N O 92% – OH [H] selenocyanate Wenkert. et .al. 4) H2O2 O dr (-70˚C) = 8 : 1 38% H Nu O O Nu O N HCO2H Dibal-H H N H N H N O H OH 80% O A(1,3) Nu = –OCHO OCHO H 1) NaOH, MeOH H OCHO 2) NaH, S2C, imid. H MeI, 60˚C H H N N N H H 3) Bu3SnH, 110˚C H O 79% O 65% O Wenkert. Synth. Commun. 1979, 9, 391. J. Am. Chem. Soc. 1983, 105, 1255. 21-Hart-a 11/7/02 1:13 PM
  • 21.
    Hart: C(1) Reduction OR H H 1) (sia)2BH; 1) Lawesson's H 2) ethyl bromoacetate; H2O2, NaOH H Et3N, Ph3P H 2) TBDPSCl, imid. H N N H H N 80% 73% H O CO2Et R = H- or TBDPS- CO2Et OR OR [H]– H H R= conditions yield dr TBDPS 50 psi, Pt/Al2O3 96 96 : 4 H H H '' 84 32 : 68 N N TBDPS 92 65 : 35 H H NaCNBH3, pH 4 H 90 67 : 33 '' CO2Et CO2Et J. Am. Chem. Soc. 1983, 105, 1255. 22-hart-b 11/7/02 1:20 PM
  • 22.
    Hart: Unsaturated Sidechain OTBDPS H 1) TBAF H 2) (COCl)2, DMSO, NEt3 E/Z =9:1 H H 3) TBS N TMS N H TMS H Li CO2Et 22% (3 steps) CO2Et 1) Dibal-H 2) TBAF 94% H H N H (±)-gephyrotoxin HO J. Am. Chem. Soc. 1983, 105, 1255. 23-hart-c 11/7/02 1:24 PM
  • 23.
    Ibuka: Perhydrogephyrotoxin Retrosynthesis H H11C5 H H11C5 Me H H H N H N H R N O H R HO MeO2C (±)-perhydrogephyrotoxin H11C5 H11C5 H11C5 CO2Et CO2Et TMSO OTMS O HN O TMSO OTMS R 24-ibukaretro 11/7/02 1:26 PM
  • 24.
    Ibuka: Hydroquinoline Formation H11C5 H11C5 H11C5 CO2Et CO2Et TsOH, (HOCH2)2, CO2Et 175˚C, 48 h PhH, 80˚C O TMSO OTMS TMSO OTMS 95% 84% O 1) Dibal-H 2) BuLi, TsCl H11C5 H11C5 3) CuCH2CN H H R 4) H2O2, KOH 1) 5% HCl, acetone O O 68% H O O 2) NaOMe, MeOH H2N O H NH H2N O O 61% "one isomer" H11C5 H11C5 H H O 1) (HSCH2)2 2) Raney Ni 1) Br CO2Me CO2Me S 2) PhP(CH CH NMe ) H N 3) Lawesson's H N H 2 2 2 2 H 92% 81% O Chem. Comm. 1984, 597. 25-ibuka-a 11/7/02 1:33 PM
  • 25.
    Ibuka: C(3a) Stereochemistry H11C5 H11C5 H11C5 H NaBH3CN H NEt3, MeOH H pH 4, MeOH 65˚C H H H N CO2Me 99% H N 3:1 H N H H H O O O MeO2C MeO2C H11C5 H H R H L N 1) TsOH, PhH, 80˚C B O NaBH4 H N H L 2) ClCO2Ph, pyr, DMAP CO2Me HO H CO2Me [H]– H11C5 Li H11C5 H 1) i-PrNChx H THF-HMPT; PhSeCl H 2) LiOH H 99% H N H 3) CH2N2 H N H PhO2C 4) H2O2, pyr O O O CO2Me 65% O Chem. Comm. 1984, 597. 26-ibuka-b 11/7/02 9:37 PM
  • 26.
    Ibuka: Cuprate Reduction H11C5 H11C5 H H LiBu2Cu (2.3 equiv.) H THF, -73˚C H N N CO2Me H H quant H H O O CO2Me Later Studies Reveal . . . CO2Et CO2Et CO2Et Bu2CuLi BuCu•BF3 reduction substitution X Bu 1,4-Addition with cuprates is exceedingly rare with γ−leaving x 1,4-addition groups X: acetoxy, acetonide, carbamoyloxy, ethers, etc. Ibuka et al. Synlett. 1992, 769. Mechanism Involves β-organocuprate: O O OLi OLi Bu2CuLi Red. elim. CuBu2Li CuBu2 (RDS) Bu S = solvent S Singleton JACS. 2000, 3289. Chem. Comm. 1984, 597. 27-ibuka-c 11/7/02 7:41 PM
  • 27.
    Ibuka: Homestrech H11C5 H11C5 H H H Me H 1% NaOMe H Dibal-H H N N N H H H H 51% 98% H CO2Me MeO2C HO dr = 85 : 15 (±)-perhydrogephyrotoxin Chem. Comm. 1984, 597. 28-ibuka-d 11/6/02 10:29 PM
  • 28.
    Ito and Saegusa:Intramolecular Hetero-Diels-Alder OMe OMe OMe NMe2 1) n-BuLi, TMSCl, DMAP N+Me3 Br– CsF NH 2) MeBr NTMS 65˚C N HO TMSO TMSO 3 steps (69%) O OMe OMe H H2 (70 atm), Rh/Al2O3 H H H H N N EtOH, 70˚C N N H 70% H H H H HO HO HO HO dr = 5 : 1 (10%) 71% (3 steps) Kishi et al. (±)-gephyrotoxin Tet. Lett. 1983, 24, 2881. 29-ito-saegusa 11/6/02 10:46 PM
  • 29.
    Hsung: Intramolecular Formal[3+3] O O O O OH + 1) i. OH NH2–OAc ii. MnO2 NH N H2N 2) TBDPSCl, imid. PhMe 150˚ C 1-2 h H 40% H HO TBDPSO TBDPSO 48% (4 steps) via Noyori asymmetric hydrogenation 1) H2, Pd/C 2) TBAF O O H H H H N N H N Kishi et. al. 60 : 40 60% HO HO HO (+)-gephyrotoxin extremely temperature sensitive: high selectivity for undesired at 100˚ C Hsung, R. Angew. Chem. Int. Ed. 2001, 40, 1516. 30-Hsung1 11/6/02 11:04 PM
  • 30.
    Pearson: (±)-Gephyrotoxin viathe Schmidt Reaction OMe OMe OMe 5 - 7 steps TfOH N3 N N N O R R OMe OMe OMe OMe OMe H [H–] H N N N N N H R H R H R H R H R H 1 2 3 R / hydride reagent Yield 1 : 2: 3 CH2CH2Br / NaBH4 72% 39: 39: 22 / Dibal-H 60% 52: 26: 22 / L-selectride 55% 82: – : 18 CH2CH2OMOM – – 86% 16: 35: 49 CH2CH=CH2 J. Org. Chem. 2000, 65, 7158. 31-pearson-a 11/8/02 9:15 AM
  • 31.
    Pearson: Intersection withIto Intermediate OMe OMe O 1) Bu4NOAc Ito et. al. H H H N 2) LiAlH4 N N Br HO HO Kishi et. al. (±)-gephyrotoxin J. Org. Chem. 2000, 65, 7158. 32-pearson-b 11/6/02 10:56 PM
  • 32.
    Synthesis of (±)-Gephyrotoxin:A Comparison R2 R2 Steps: Total Yield (%): H H Overman (1983) [H]– 15 6.5 H Reduction to concave face N R1 N R1 O H O HH H H H Kishi (1981) 24 2.8 N HN Distal directed hydrogentation HO H R HO H H R H Hart (1983) H 22 1.8 N-acyliminium ion cyclization N N H H OMe O O OMe Ito (1983) N+Me3 Br- 7 + 12* = 19 7.4 Intramolecular [4+2] H NTMS N R O O O R Hsung (2001) H 5 + 12* = 17 1.5 Formal [3+3] NH N R OMe R OMe Pearson (2000) 8 + 12* = 20 3.5 Schmidt N3 N R R H *from Kishi intermediate 33-geph-comp 11/4/02 4:03 PM