FLUID MECHANICS
Jaspal Singh
CHAPTER-2
FLUID PRESSURE AND ITS MEASUREMENT
• Pressure is defined as normal force exerted by a fluid per unit area.
Units:
(i) N/m2 or Pa
(ii) MPa or N/mm2
(iii) Bar = 105 N/m2 = 0.1N/mm2
(iv) Atm = 101325 Pa = 101.325 kPa = 1.01325 bar = 14.7 Psi
(v) kg(f)/cm2 = 9.81 N/cm2 = 9.81× 104 N/m2
(vi) Psi (pound force per square inch)
NOTE: 1Psi = 6888.1 N/m2
1 atm = 14.7 Psi
Q. Which of the following is equivalent to one kilo- Pascal?
a) 1000 N/m2.
b) 1000 N/mm2
c) 1000 N/cm2
d) 100 N/m2
[SSC: 2017]
Q. Which of the following pressure units represents the least pressure?
a) Millibar.
b) mm of mercury
c) N/mm2
d) kgf/cm2
[SSC: 2004]
ATMOSPHERIC PRESSURE
• It is the pressure exerted by atmosphere.
• Atmospheric pressure at mean sea level (MSL) is termed as “Standard
Atmospheric Pressure”.
• Atmospheric pressure at any other location is termed as “Local Atmospheric
Pressure”.
• Its value at MSL is 1 atm = 1.01325 bar.
• It is measured with the help of “Barometer”.
NOTE: Pressure head in terms of water =
P
γw
(at MSL, hw =10.3m)
Pressure head in terms of mercury =
P
γHg
(at MSL, hHg = 76cm)
ABSOLUTE PRESSURE
• Pressure measured w.r.t. absolute zero or complete vacuum pressure is called
“absolute pressure”.
• It is also termed as “actual pressure” at a given location.
• For example, at MSL, absolute pressure is 1atm = 1.013 bar.
• It is measured with the help of “Aneroid Barometer”.
GAUGE PRESSURE
• It is pressure measured w.r.t. local atmospheric pressure.
• It may be positive or negative.
• Negative gauge pressure is also termed as “Vacuum pressure”.
• Hence, gauge pressure can be termed as pressure above local atmospheric pressure
and vacuum pressure may be termed as pressure below local atmospheric pressure.
Pgauge = Pabsolute – Patm
Pvacuum = Patm – Pabsolute
• It is measured with the help of Manometer or Bourdon Gauge.
Q. The standard atmospheric pressure is 101.32 kPa. The local atmospheric pressure
is 91.52 kPa. If a pressure at a flow path is recorded as 22.48 kPa (gauge), it is
equivalent to-
a) 69.04 kPa (abs)
b) 88.84 kPa (abs)
c) 114.0 kPa (abs).
d) 123.0 kPa (abs)
[IES: 2014]
Q. In gauge pressure, the atmospheric pressure on the scale is marked as:
a) 10
b) 1
c) 0.
d) 100
[SSC: 2018]
PRESSURE AT A POINT AND ITS VARIATION
WITH DEPTH
• Pressure at a point in static fluid is same in all the directions.
• It will always act normal to the surface in contact.
• It is a scalar quantity, i.e. it has magnitude but does not have definite direction.
𝛛𝐏
𝛛𝐳
= 𝛄
Pressure gradient w.r.t. depth is constant, provided unit weight (γ) of fluid is
constant.
Pgauge = 𝛄z
Pabs = 𝛄z + Patm
• Hence, pressure increases with increase in depth from top and decreases
with increase in depth from bottom.
• Also
𝜕P
𝜕x
= 0
Hence, pressure doesn’t vary in horizontal plane.
NOTE: Pressure at a point in a fluid at rest is independent of the shape and
cross- section of the container in which it is kept and it changes with vertical
distance only and remains constant in other directions.
• If the points are located at same horizontal level and we can move from one point
to another point while moving through same liquid, pressure at all these points is
same.
NOTE: For small to moderate change in elevation in gases, the variation in pressure
is negligible as their density is comparatively very low.
PASCAL’S LAW
• It states that “if pressure is applied to a confined fluid, it increases the pressure
throughout, by the same amount”.
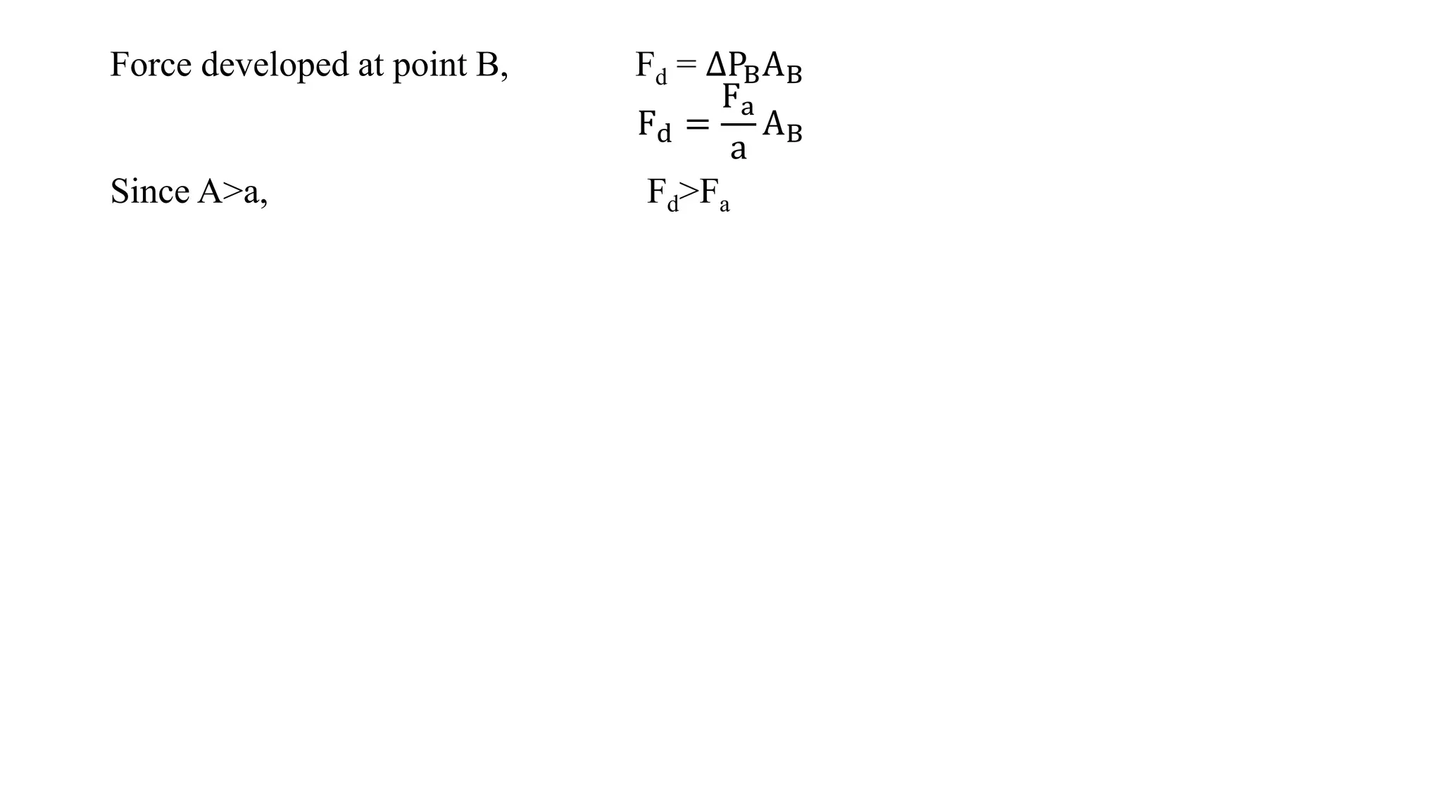
• If force ‘Fa’ is applied over plunger, then increase in pressure is:
∆PA=
Fa
a
Since PA = PB, ∆PB=
Fa
a
Force developed at point B, Fd = ∆PBAB
Fd =
Fa
a
AB
Since A>a, Fd>Fa
Q. “The intensity of pressure at any point in the liquid at rest is same in all the
directions”. This statement is given by-
a) Law of conservation of energy
b) Law of conservation of mass
c) Newton’s law
d) Pascal’s law.
[SSC: 2017]
Q. The pressure intensity is same in all directions at a point in a fluid-
a) Only when fluid is frictionless and incompressible
b) Only when fluid is frictionless and is at rest
c) Only when fluid is frictionless
d) When there is no relative motion of one fluid layer relative to other.
[SSC: 2016]
PRESSURE MEASUREMENT DEVICES
Measurement of pressure can be done by any of the following devices:
Barometer
Aneroid Barometer
Manometer
Mechanical gauges
BAROMETER
• It is used to measure atmospheric pressure.
PA = PB = Patm
PA = γHgh + (PHg)vapors
PA = γHgh
Patm = PA = PB = 𝛄𝐇𝐠𝐡
• In this apparatus, mercury filled tube is inverted into the mercury container, that is
open to the atmosphere.
• Here, mercury is used because it possess low vapor pressure and high density.
• If at point ‘D’, a small hole is made in the tube, pressure at point ‘C’ would be
atmospheric, thus all mercury (Hg) in the tube will fall down into the container.
PA = PC + γHgh = Patm + γHgh
PB = Patm
PA = PB
Patm + γHgh = Patm
h=0
Q. The rise of mercury in barometer is indicated as 80mm. What is the atmospheric
pressure (kN/m2) at that point?
a) 80
b) 500
c) 10696.
d) 15434
[SSC: 2017]
Q. Which of the following is measured with the help of barometer?
a) Velocity
b) Discharge intensity
c) Pressure.
d) Surface tension
[SSC: 2017]
Q. Barometer is used to measure-
a) Pressure in pipes, channel, etc
b) Atmospheric pressure.
c) Very low pressure
d) Difference of pressure between two points
[SSC: 2016]
ANEROID BAROMETER
• It is used to measure “absolute pressure”.
• As Torricelli barometer consist of mercury, which is poisonous, it is not safe to use
it for day- to- day purposes.
• In this barometer, as the pressure rise or fall, box either compress or expand and
this motion of the box is calibrated with pressure.
MANOMETER
• These are based on the principle of balancing a column of fluid by the same or
other column of fluid.
• These are further classified as:
a) Simple manometer
b) Differential manometer
SIMPLE MANOMETER
• These are used to measure the pressure at given point.
• These are further classified as:
I. PIEZOMETER:
PA = PB
PB = γh
PA = γh = Gγwh
This piezometer cannot be used for:
➢Measurement of negative pressure.
➢Large pressure measurement (as long column of piezometer would be required).
➢Gas pressure measurement (as no free surface will be formed).
Q. The pressure of a liquid measured with the help of a piezometer tube is-
a) Atmospheric pressure
b) Gauge pressure.
c) Absolute pressure
d) Vacuum pressure
[SSC: 2011]
II. U-TUBE MANOMETER
• For large pressure measurement, for measuring gas pressure at a point and for
measuring negative pressure, U- tube manometers are used.
• Normally, U- tube manometer contains liquid of specific gravity more than that for
liquid whose pressure is to be measured.
• The liquid used should be immiscible with other liquid and should have low
thermal sensitivity and vapor pressure.
Case-(i) Measurement of large pressure
PA = PB
PC = PB + G1γwx
PC = PD
PD = G2γwh
Or, 0 + G2γwh - G1γwx = PA
PA = 𝛄𝐰 (G2h – G1x)
Case-(ii) Measurement of gas pressure
0 + G2γwh - G1γwx = PA
PA = G2γwh
Case-(iii) Measurement of negative pressure
0 - G2γwh - G1γwx = PA
PA = - G2γwh
NOTE: If small pressure is to be measured and manometric liquid is heavier, then
differential height in U- tube manometer will be small and difficult to read, hence in
such cases:
a) Lighter manometric liquid can be used
b) One leg of manometer is made inclined such that the reading to be measured
becomes larger.
Q. Multi U- tube manometres with different fluids are used to measure
a) Low pressures
b) Medium pressures
c) High pressures.
d) Very low pressures
[IES: 2006]
III. SINGLE COLUMN MANOMETER
In this case, only one reading is required to be taken (as against two readings on two
limbs in case of U- tube manometer).
From initial condition, PC = PF
𝐺1𝛾𝑤𝑦1 = 𝐺2𝛾𝑤ℎ1
G1y1 = G2h1……..(i)
From mass/ volume conservation, ∆𝑦𝐴 = ℎ2𝑎…..(ii)
0 + G2γw h2 + h1 + ∆y − G1γw y1 + ∆y = PA
PA = G2γwh2 + G2γwh1 + G2γw
h2a
A
− G1γwy1 − G1γw
h2a
A
PA = h2γw G2 +
a
A
G2 − G1
Since A>>>a,
a
A
is very small
Hence,
a
A
G2 − G1 <<<G1
PA = 𝐆𝟐𝛄𝐰𝐡𝟐
Here, only one reading ‘h2’ is required for measurement of the pressure at a point.
DIFFERENTIAL MANOMETER
• It is used to measure pressure difference between two points in a pipe or between
two different pipes.
PA + G1γw h + a − G2γwh − G1γwa = PB
𝐏𝐀 − 𝐏𝐁 = (𝐆𝟐 − 𝐆𝟏)𝛄𝐰𝐡
• For measurement of small pressure difference, inverted differential manometer can
be used.
PA − G1γw h + a + G2γwh + G1γwa = PB
𝐏𝐀 − 𝐏𝐁 = (𝐆𝟏 − 𝐆𝟐)𝛄𝐰𝐡
If (G1 – G2) is small, large value of ‘h’ is obtained, which increases its sensitivity.
NOTE: Sensitivity can also be increased by inclining one limb of manometer (this
reading is increased by
1
sinθ
).
NOTE: For the measurement of very small pressure difference or for the
measurement of pressure difference with high precision, “micromanometer” is
used.
From mass or volume conservation, A∆y = a
x
2
………….(i)
PA + G3γw y1 + ∆y + G2γw y2 − ∆y +
x
2
− G1γwx − G2γw y2 −
x
2
+ ∆y
− G3γw y1 − ∆y = PB
𝐏𝐀 − 𝐏𝐁 = (𝐆𝟏 − 𝐆𝟐)𝛄𝐰𝐱
G1 > G2 > G3
Q. In a differential manometer, the use of mercury is advantageous when the
pressure difference is:
a) Large.
b) Small
c) Either large or small
d) None of the above
[SSC: 2005]
MECHANICAL GAUGES
For pressure measurement, following types of mechanical gauges are available:
I. Bourdon Gauge
When the tube is open to the atmosphere, the tube is undeflected and needle on dial
is calibrated to read zero.
When fluid in the tube is pressurized, the tube stretches and moves the needle in
proportion to the applied pressure.
II. Strain Gauge Transducer
A strain gauge type transducer converts physical quantity such as load, pressure or
displacement into mechanical strain, which is converted into electrical output using
strain gauge mounted on the body.
IV. Piezometric Transducer
Piezometric material exhibit the property of piezoelectricity, according to which on
the application of any type of mechanical stress or strain leads to the generation of
an electric voltage proportional to applied stress.
For eg- quartz, Rochell salt, topaz, etc.
Q. A mercury water manometer has a gauge difference of 0.8m. The difference in
pressure measured in metres of water is-
a) 0.8
b) 1.06
c) 10.05.
d) 8.02
[IES: 2015]
Q. Which one of the following expresses the difference in the pressure at the floors
of the tank shown in the figure?
Diag
a) ρ2 − ρ1 gH2
b) ρ2 − ρ1 gH1
c) ρ1gH1 + ρ3gH2- ρ2gH2- ρ2gH2
d) ρ1gH1 + ρ3g H2 − H1 − ρ2gH2.
[IES: 2006]
Q. If a hole is made in the Torricelli’s vacuum portion of a barometer, then the
mercury
a) Level will fall in the stem and the mercury will collect in the reservoir.
b) Level will oscillate between reservoir level and the original level of the mercury
in the stem
c) Will spill through the hole made
d) Level in the stem will remain at the same level indicating atmospheric pressure
[IES: 1995]
Q. In a static fluid, the pressure at a point is-
a) Equal to the weight of the fluid above
b) Equal in all directions.
c) Equal in all directions, only if its viscosity is zero
d) Always directed downwards
[GATE: 1996]
Q. A pressure gauge fitted on the side of a tank filled with liquid reads 50kPa and
100kPa at heights of 10m and 5m. What is approximate density of the liquid (in
kg/m3)? (Take g=10m/s2)
a) 10
b) 5000
c) 1000.
d) 100
[SSC: 2018]
Q. Alcohol is used in manometer, because
a) Its vapor pressure is low
b) It provides suitable meniscus for the inclined tube
c) Its density is less
d) All options are correct.
[SSC: 2017]
Q. The atmospheric pressure with rise in altitude decreases
a) Linearly
b) First slow then steeply.
c) First steeply and then gradually
d) Unpredictable
[SSC: 2016]
Q. Measurement of pressure difference between two points is generally done by
using-
a) Venturimeter
b) Pitot tube
c) Differential manometer.
d) Manometer
[SSC: 2014]
FM chapter-2.pdf
FM chapter-2.pdf
FM chapter-2.pdf
FM chapter-2.pdf
FM chapter-2.pdf

FM chapter-2.pdf

  • 2.
  • 3.
    CHAPTER-2 FLUID PRESSURE ANDITS MEASUREMENT • Pressure is defined as normal force exerted by a fluid per unit area. Units: (i) N/m2 or Pa (ii) MPa or N/mm2 (iii) Bar = 105 N/m2 = 0.1N/mm2 (iv) Atm = 101325 Pa = 101.325 kPa = 1.01325 bar = 14.7 Psi (v) kg(f)/cm2 = 9.81 N/cm2 = 9.81× 104 N/m2 (vi) Psi (pound force per square inch) NOTE: 1Psi = 6888.1 N/m2 1 atm = 14.7 Psi
  • 4.
    Q. Which ofthe following is equivalent to one kilo- Pascal? a) 1000 N/m2. b) 1000 N/mm2 c) 1000 N/cm2 d) 100 N/m2 [SSC: 2017]
  • 5.
    Q. Which ofthe following pressure units represents the least pressure? a) Millibar. b) mm of mercury c) N/mm2 d) kgf/cm2 [SSC: 2004]
  • 6.
    ATMOSPHERIC PRESSURE • Itis the pressure exerted by atmosphere. • Atmospheric pressure at mean sea level (MSL) is termed as “Standard Atmospheric Pressure”. • Atmospheric pressure at any other location is termed as “Local Atmospheric Pressure”. • Its value at MSL is 1 atm = 1.01325 bar. • It is measured with the help of “Barometer”.
  • 7.
    NOTE: Pressure headin terms of water = P γw (at MSL, hw =10.3m) Pressure head in terms of mercury = P γHg (at MSL, hHg = 76cm)
  • 8.
    ABSOLUTE PRESSURE • Pressuremeasured w.r.t. absolute zero or complete vacuum pressure is called “absolute pressure”. • It is also termed as “actual pressure” at a given location. • For example, at MSL, absolute pressure is 1atm = 1.013 bar. • It is measured with the help of “Aneroid Barometer”.
  • 9.
    GAUGE PRESSURE • Itis pressure measured w.r.t. local atmospheric pressure. • It may be positive or negative. • Negative gauge pressure is also termed as “Vacuum pressure”. • Hence, gauge pressure can be termed as pressure above local atmospheric pressure and vacuum pressure may be termed as pressure below local atmospheric pressure.
  • 10.
    Pgauge = Pabsolute– Patm Pvacuum = Patm – Pabsolute • It is measured with the help of Manometer or Bourdon Gauge.
  • 11.
    Q. The standardatmospheric pressure is 101.32 kPa. The local atmospheric pressure is 91.52 kPa. If a pressure at a flow path is recorded as 22.48 kPa (gauge), it is equivalent to- a) 69.04 kPa (abs) b) 88.84 kPa (abs) c) 114.0 kPa (abs). d) 123.0 kPa (abs) [IES: 2014]
  • 12.
    Q. In gaugepressure, the atmospheric pressure on the scale is marked as: a) 10 b) 1 c) 0. d) 100 [SSC: 2018]
  • 13.
    PRESSURE AT APOINT AND ITS VARIATION WITH DEPTH • Pressure at a point in static fluid is same in all the directions. • It will always act normal to the surface in contact. • It is a scalar quantity, i.e. it has magnitude but does not have definite direction.
  • 14.
    𝛛𝐏 𝛛𝐳 = 𝛄 Pressure gradientw.r.t. depth is constant, provided unit weight (γ) of fluid is constant. Pgauge = 𝛄z Pabs = 𝛄z + Patm • Hence, pressure increases with increase in depth from top and decreases with increase in depth from bottom. • Also 𝜕P 𝜕x = 0 Hence, pressure doesn’t vary in horizontal plane. NOTE: Pressure at a point in a fluid at rest is independent of the shape and cross- section of the container in which it is kept and it changes with vertical distance only and remains constant in other directions.
  • 15.
    • If thepoints are located at same horizontal level and we can move from one point to another point while moving through same liquid, pressure at all these points is same.
  • 16.
    NOTE: For smallto moderate change in elevation in gases, the variation in pressure is negligible as their density is comparatively very low.
  • 17.
    PASCAL’S LAW • Itstates that “if pressure is applied to a confined fluid, it increases the pressure throughout, by the same amount”. • If force ‘Fa’ is applied over plunger, then increase in pressure is: ∆PA= Fa a Since PA = PB, ∆PB= Fa a
  • 18.
    Force developed atpoint B, Fd = ∆PBAB Fd = Fa a AB Since A>a, Fd>Fa
  • 19.
    Q. “The intensityof pressure at any point in the liquid at rest is same in all the directions”. This statement is given by- a) Law of conservation of energy b) Law of conservation of mass c) Newton’s law d) Pascal’s law. [SSC: 2017]
  • 20.
    Q. The pressureintensity is same in all directions at a point in a fluid- a) Only when fluid is frictionless and incompressible b) Only when fluid is frictionless and is at rest c) Only when fluid is frictionless d) When there is no relative motion of one fluid layer relative to other. [SSC: 2016]
  • 21.
    PRESSURE MEASUREMENT DEVICES Measurementof pressure can be done by any of the following devices: Barometer Aneroid Barometer Manometer Mechanical gauges
  • 22.
    BAROMETER • It isused to measure atmospheric pressure. PA = PB = Patm PA = γHgh + (PHg)vapors PA = γHgh Patm = PA = PB = 𝛄𝐇𝐠𝐡
  • 24.
    • In thisapparatus, mercury filled tube is inverted into the mercury container, that is open to the atmosphere. • Here, mercury is used because it possess low vapor pressure and high density. • If at point ‘D’, a small hole is made in the tube, pressure at point ‘C’ would be atmospheric, thus all mercury (Hg) in the tube will fall down into the container. PA = PC + γHgh = Patm + γHgh PB = Patm PA = PB Patm + γHgh = Patm h=0
  • 25.
    Q. The riseof mercury in barometer is indicated as 80mm. What is the atmospheric pressure (kN/m2) at that point? a) 80 b) 500 c) 10696. d) 15434 [SSC: 2017]
  • 26.
    Q. Which ofthe following is measured with the help of barometer? a) Velocity b) Discharge intensity c) Pressure. d) Surface tension [SSC: 2017]
  • 27.
    Q. Barometer isused to measure- a) Pressure in pipes, channel, etc b) Atmospheric pressure. c) Very low pressure d) Difference of pressure between two points [SSC: 2016]
  • 28.
    ANEROID BAROMETER • Itis used to measure “absolute pressure”. • As Torricelli barometer consist of mercury, which is poisonous, it is not safe to use it for day- to- day purposes. • In this barometer, as the pressure rise or fall, box either compress or expand and this motion of the box is calibrated with pressure.
  • 30.
    MANOMETER • These arebased on the principle of balancing a column of fluid by the same or other column of fluid. • These are further classified as: a) Simple manometer b) Differential manometer SIMPLE MANOMETER • These are used to measure the pressure at given point. • These are further classified as:
  • 31.
    I. PIEZOMETER: PA =PB PB = γh PA = γh = Gγwh This piezometer cannot be used for: ➢Measurement of negative pressure. ➢Large pressure measurement (as long column of piezometer would be required). ➢Gas pressure measurement (as no free surface will be formed).
  • 32.
    Q. The pressureof a liquid measured with the help of a piezometer tube is- a) Atmospheric pressure b) Gauge pressure. c) Absolute pressure d) Vacuum pressure [SSC: 2011]
  • 33.
    II. U-TUBE MANOMETER •For large pressure measurement, for measuring gas pressure at a point and for measuring negative pressure, U- tube manometers are used. • Normally, U- tube manometer contains liquid of specific gravity more than that for liquid whose pressure is to be measured. • The liquid used should be immiscible with other liquid and should have low thermal sensitivity and vapor pressure. Case-(i) Measurement of large pressure
  • 34.
    PA = PB PC= PB + G1γwx PC = PD PD = G2γwh Or, 0 + G2γwh - G1γwx = PA PA = 𝛄𝐰 (G2h – G1x) Case-(ii) Measurement of gas pressure 0 + G2γwh - G1γwx = PA PA = G2γwh
  • 35.
    Case-(iii) Measurement ofnegative pressure 0 - G2γwh - G1γwx = PA PA = - G2γwh
  • 36.
    NOTE: If smallpressure is to be measured and manometric liquid is heavier, then differential height in U- tube manometer will be small and difficult to read, hence in such cases: a) Lighter manometric liquid can be used b) One leg of manometer is made inclined such that the reading to be measured becomes larger.
  • 37.
    Q. Multi U-tube manometres with different fluids are used to measure a) Low pressures b) Medium pressures c) High pressures. d) Very low pressures [IES: 2006]
  • 38.
    III. SINGLE COLUMNMANOMETER In this case, only one reading is required to be taken (as against two readings on two limbs in case of U- tube manometer). From initial condition, PC = PF 𝐺1𝛾𝑤𝑦1 = 𝐺2𝛾𝑤ℎ1 G1y1 = G2h1……..(i) From mass/ volume conservation, ∆𝑦𝐴 = ℎ2𝑎…..(ii)
  • 39.
    0 + G2γwh2 + h1 + ∆y − G1γw y1 + ∆y = PA PA = G2γwh2 + G2γwh1 + G2γw h2a A − G1γwy1 − G1γw h2a A PA = h2γw G2 + a A G2 − G1 Since A>>>a, a A is very small Hence, a A G2 − G1 <<<G1 PA = 𝐆𝟐𝛄𝐰𝐡𝟐 Here, only one reading ‘h2’ is required for measurement of the pressure at a point.
  • 40.
    DIFFERENTIAL MANOMETER • Itis used to measure pressure difference between two points in a pipe or between two different pipes. PA + G1γw h + a − G2γwh − G1γwa = PB 𝐏𝐀 − 𝐏𝐁 = (𝐆𝟐 − 𝐆𝟏)𝛄𝐰𝐡
  • 41.
    • For measurementof small pressure difference, inverted differential manometer can be used. PA − G1γw h + a + G2γwh + G1γwa = PB 𝐏𝐀 − 𝐏𝐁 = (𝐆𝟏 − 𝐆𝟐)𝛄𝐰𝐡 If (G1 – G2) is small, large value of ‘h’ is obtained, which increases its sensitivity.
  • 42.
    NOTE: Sensitivity canalso be increased by inclining one limb of manometer (this reading is increased by 1 sinθ ). NOTE: For the measurement of very small pressure difference or for the measurement of pressure difference with high precision, “micromanometer” is used. From mass or volume conservation, A∆y = a x 2 ………….(i) PA + G3γw y1 + ∆y + G2γw y2 − ∆y + x 2 − G1γwx − G2γw y2 − x 2 + ∆y − G3γw y1 − ∆y = PB
  • 43.
    𝐏𝐀 − 𝐏𝐁= (𝐆𝟏 − 𝐆𝟐)𝛄𝐰𝐱 G1 > G2 > G3
  • 44.
    Q. In adifferential manometer, the use of mercury is advantageous when the pressure difference is: a) Large. b) Small c) Either large or small d) None of the above [SSC: 2005]
  • 45.
    MECHANICAL GAUGES For pressuremeasurement, following types of mechanical gauges are available: I. Bourdon Gauge When the tube is open to the atmosphere, the tube is undeflected and needle on dial is calibrated to read zero. When fluid in the tube is pressurized, the tube stretches and moves the needle in proportion to the applied pressure.
  • 46.
    II. Strain GaugeTransducer A strain gauge type transducer converts physical quantity such as load, pressure or displacement into mechanical strain, which is converted into electrical output using strain gauge mounted on the body. IV. Piezometric Transducer Piezometric material exhibit the property of piezoelectricity, according to which on the application of any type of mechanical stress or strain leads to the generation of an electric voltage proportional to applied stress. For eg- quartz, Rochell salt, topaz, etc.
  • 47.
    Q. A mercurywater manometer has a gauge difference of 0.8m. The difference in pressure measured in metres of water is- a) 0.8 b) 1.06 c) 10.05. d) 8.02 [IES: 2015]
  • 48.
    Q. Which oneof the following expresses the difference in the pressure at the floors of the tank shown in the figure? Diag a) ρ2 − ρ1 gH2 b) ρ2 − ρ1 gH1 c) ρ1gH1 + ρ3gH2- ρ2gH2- ρ2gH2 d) ρ1gH1 + ρ3g H2 − H1 − ρ2gH2. [IES: 2006]
  • 49.
    Q. If ahole is made in the Torricelli’s vacuum portion of a barometer, then the mercury a) Level will fall in the stem and the mercury will collect in the reservoir. b) Level will oscillate between reservoir level and the original level of the mercury in the stem c) Will spill through the hole made d) Level in the stem will remain at the same level indicating atmospheric pressure [IES: 1995]
  • 50.
    Q. In astatic fluid, the pressure at a point is- a) Equal to the weight of the fluid above b) Equal in all directions. c) Equal in all directions, only if its viscosity is zero d) Always directed downwards [GATE: 1996]
  • 51.
    Q. A pressuregauge fitted on the side of a tank filled with liquid reads 50kPa and 100kPa at heights of 10m and 5m. What is approximate density of the liquid (in kg/m3)? (Take g=10m/s2) a) 10 b) 5000 c) 1000. d) 100 [SSC: 2018]
  • 52.
    Q. Alcohol isused in manometer, because a) Its vapor pressure is low b) It provides suitable meniscus for the inclined tube c) Its density is less d) All options are correct. [SSC: 2017]
  • 53.
    Q. The atmosphericpressure with rise in altitude decreases a) Linearly b) First slow then steeply. c) First steeply and then gradually d) Unpredictable [SSC: 2016]
  • 54.
    Q. Measurement ofpressure difference between two points is generally done by using- a) Venturimeter b) Pitot tube c) Differential manometer. d) Manometer [SSC: 2014]