BATCH
BASIC MATHS
FLUID
MECHANICS
1. Liquids and gases can flow and are therefore, called
fluids.
Introduction
2. An Ideal Fluid is one which is
a) Incompressible
b) Non - Viscous
Pressure
Pressure is a scalar quantity
Unit Of Pressure
Unit Of Volume
Q1)
•Pressure in Fluids
When an object is submerged
in a fluid at rest, the fluid
exerts a force on its surface.
This force is always normal to
the object’s surface
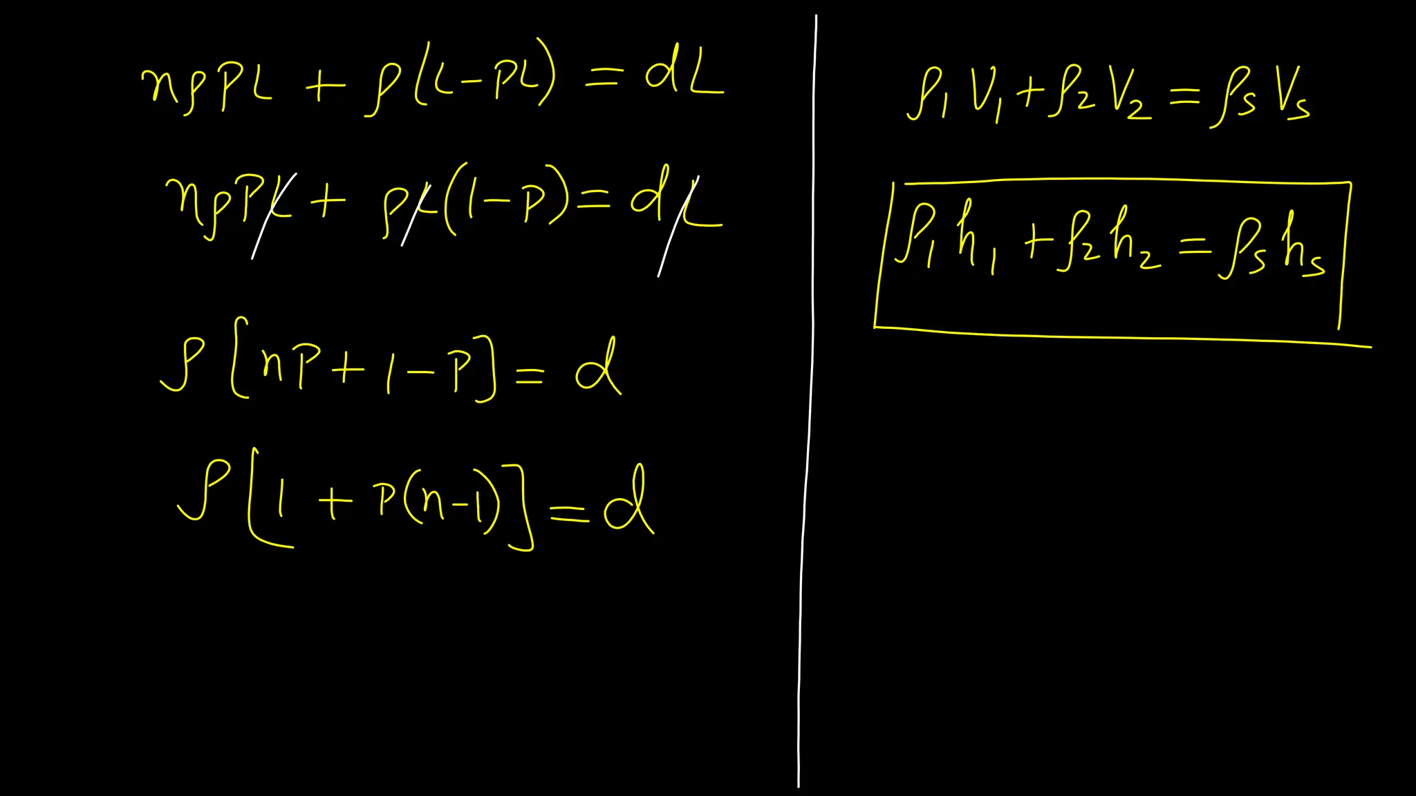
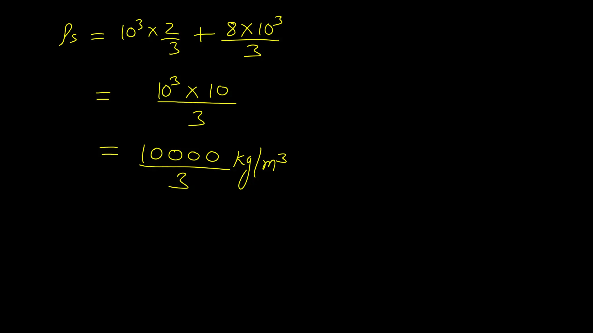
•Density of Fluids
•The relative density of a substance is the ratio of its
density to the density of water at 4oC.
•Relative Density /specific gravity
Q2)
•Variation of Fluid Pressure with depth
a) P=Po +𝝆g(1)
b) P=Po +𝝆g(2)
c) P=Po +𝝆g(
𝟏
𝟐
)
d) P=Po
Q3)
•Graph between P and h
•Gauge Pressure and Absolute Pressure
Q4)
Q5)
a) 5km
b) 8km
c) 11km
d) 13km
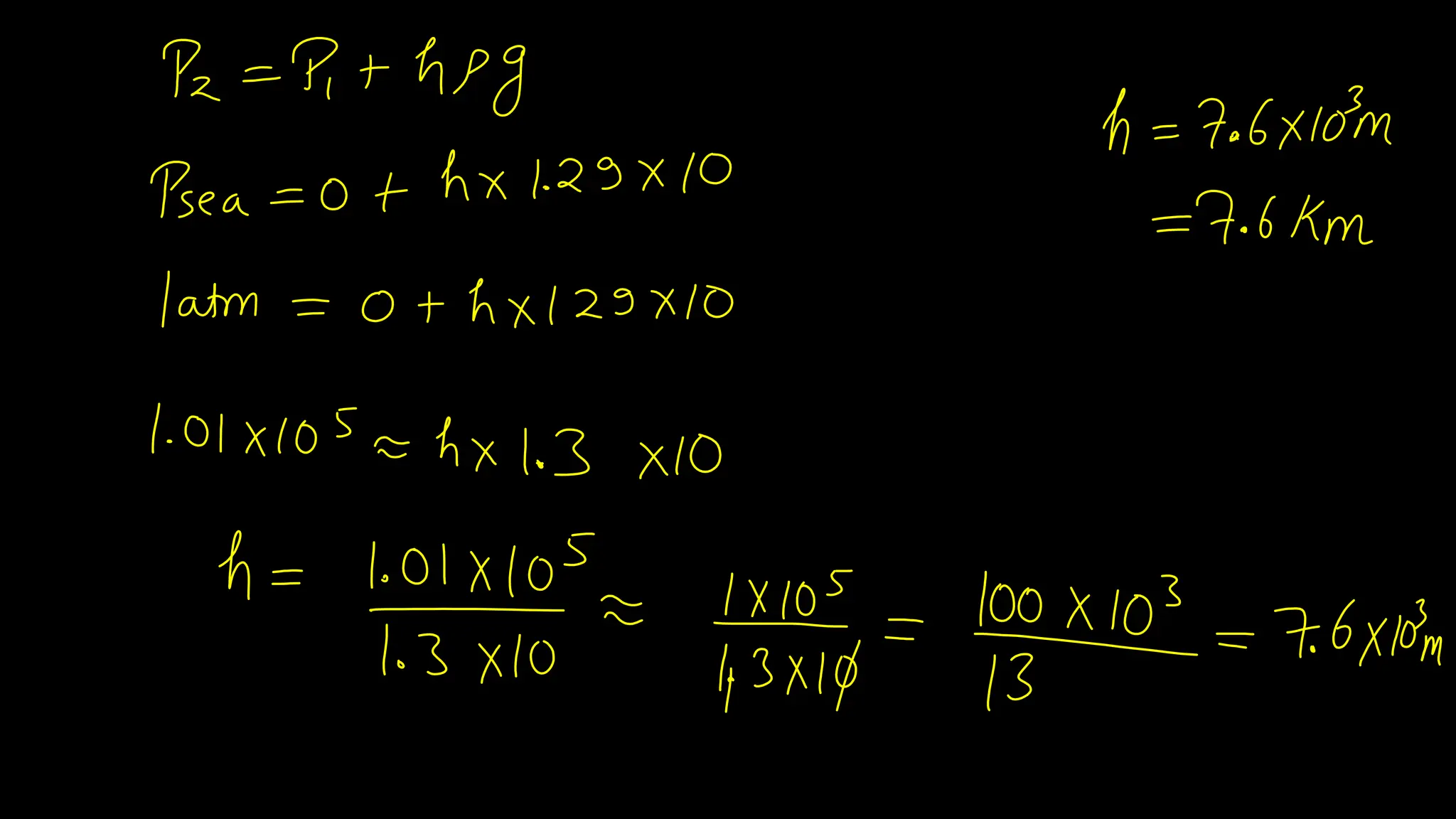
Q6)The density of the atmosphere at sea level is 1.29 kg/m3
. Assume that it does not change with altitude. Then how
high would the atmosphere extend?
h
Q7)
a) maximum in vessel A
b) maximum in vessel B
c) maximum in vessel C
d) equal in all vessels
Q8)The three vessels shown in the following figure have
same base area. Equal volumes of a liquid are poured in. The
force on the base will be
Q9)
a) 5x105 N
b) 25x105 N
c) 5x106 N
d) 2.5x106 N
Q10)The force acting on a window of area 50 cm x 50 cm of a
submarine at a depth of 2000 m in an ocean, the interior of
which is maintained at sea level atmospheric pressure is
(Density of sea water= 103kg m-3 , g=10 m/s2)
•Variation of Fluid Pressure along the same
Horizontal Level
For a liquid in equilibrium the pressure
is same at all points in a horizontal
plane. Suppose the pressure were not
equal in different parts of the fluid, then
there would be a flow as the fluid will
have some net force acting on it. Hence
in the absence of flow the pressure in
the fluid must be same everywhere in a
horizontal plane.
Q11)
•U – tube problems
Q12)
Q13)
Q14)
Q15)Find x , so
that fluid remains
in equilibrium
a) 1 cm
b) 2cm
c) 3cm
d) 4cm
9
cm
9
cm
 = 1g/cm3
 = 2g/cm3
Sliding boundary

x
x
9
cm
9
cm
 = 1g/cm3
 = 2g/cm3
Sliding boundary

x
x
Q16)
•Variation of Pressure in vertically
accelerating Fluid –
•Variation of Pressure in horizontally
accelerating Fluid –
Q17)
i. Maximum at (ii) minimum at
(a) (i) B (ii)D
(b) (i)C (ii)D
(c) (i)B (ii)C
(d) (i)B (ii)A
Q18)A closed rectangular tank is completely filled with water
and is accelerated horizontally with an acceleration towards
right. Pressure is
Shape of Liquid Surface due to horizontal
acceleration
Q19)
• Torricelli devised a method for
measuring atmospheric pressure.
• A long glass tube closed at one
end and filled with mercury is
inverted into a trough of mercury
• This device is known as ‘mercury
barometer’.
•Barometer
• In the experiment it is found that the mercury column in the
barometer has a height of about 76 cm at sea level
• A pressure equivalent of 1 mm is called a torr
(after Torricelli). 1 torr = 133 Pa.
•Manometer
•Pascal’s Law
“ Whenever external pressure is applied
on any part of a fluid contained in a
vessel, it is transmitted undiminished
and equally in all directions”
•Hydraulic Lift
Q20)Two pistons of a hydraulic machine have diameters 20 cm and
2 cm. Find the force exerted on the larger piston when 50 kg wt is
placed on the smaller piston. When the smaller piston moves
through 50 cm, by what distance the other piston moves out?
•Upthrust / Buoyancy
When a body is immersed wholly or
partially in a fluid, it is lifted up by a
force equal to the weight of fluid
displaced by the body.
•Archimede’s Principle
a) 300N
b) 100 N
c) 75N
d) 10N
Q21) A Stone of density 3000 kg/m3 is submerged in
water.If the mass of stone is 30kg , find upthrust.
a) 50N
b) 80N
c) 40N
d) 10N
Q22)An iron cube of mass 5kg and side 10 cm is
suspended by a thread in water. Find the tension in
thread.
Q23)
•Apparent Weight Of a Body
When a body is wholly immersed in a fluid,
it’s effective weight decreases.
•Apparent Weight formulae
a) 1200 N
b) 1000 N
c) 850 N
d) 812 N
Q24)A stone of density 3000 kg/m3 is lying submerged in
water of density 1000 kg/m. If the mass of stone in air is 150
kg, calculate the force required to lift the stone.
Q25)
•Condition for floatation & sinking
•Law Of Floatation
•For Cylindrical or cubical body
Q26)
Q27)
Q28)
Q29)
REMEMBER
Q30)
Q31)
Fluid Dynamics
Steady Flow / Streamlined Flow / Laminar Flow
At different points,
➢ velocities of fluid particles
can be different.
➢ But velocity at a given
point is constant with time
• The flow of the fluid is said to be steady if at any given
point, the velocity of each passing fluid particle remains
constant in time
• This does not mean that the velocity at different points
is same. The velocity of a particular particle may change
as it moves from one point to another.
• That is, at some other point the particle may have a
different velocity, but every other particle which passes
through same point behaves exactly as the previous
particle that has just passed that point.
Properties Of Streamline Flow
(iv)
(i)
(ii)
Turbulent Flow
Reynolds Number →dimensionless number
Equation Of Continuity
Volume Rate of Flow
Q32)
Q33)
Q34)
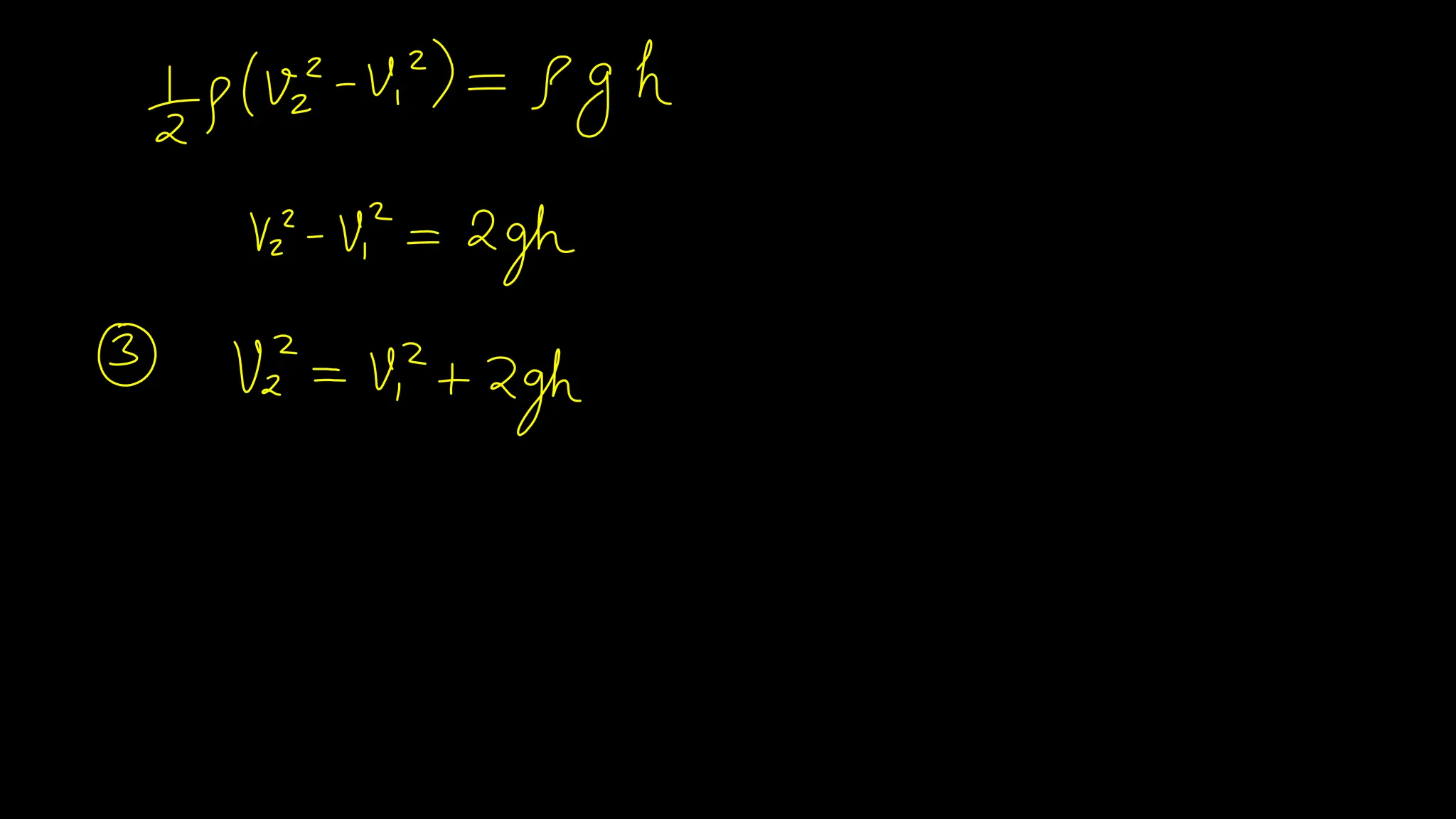
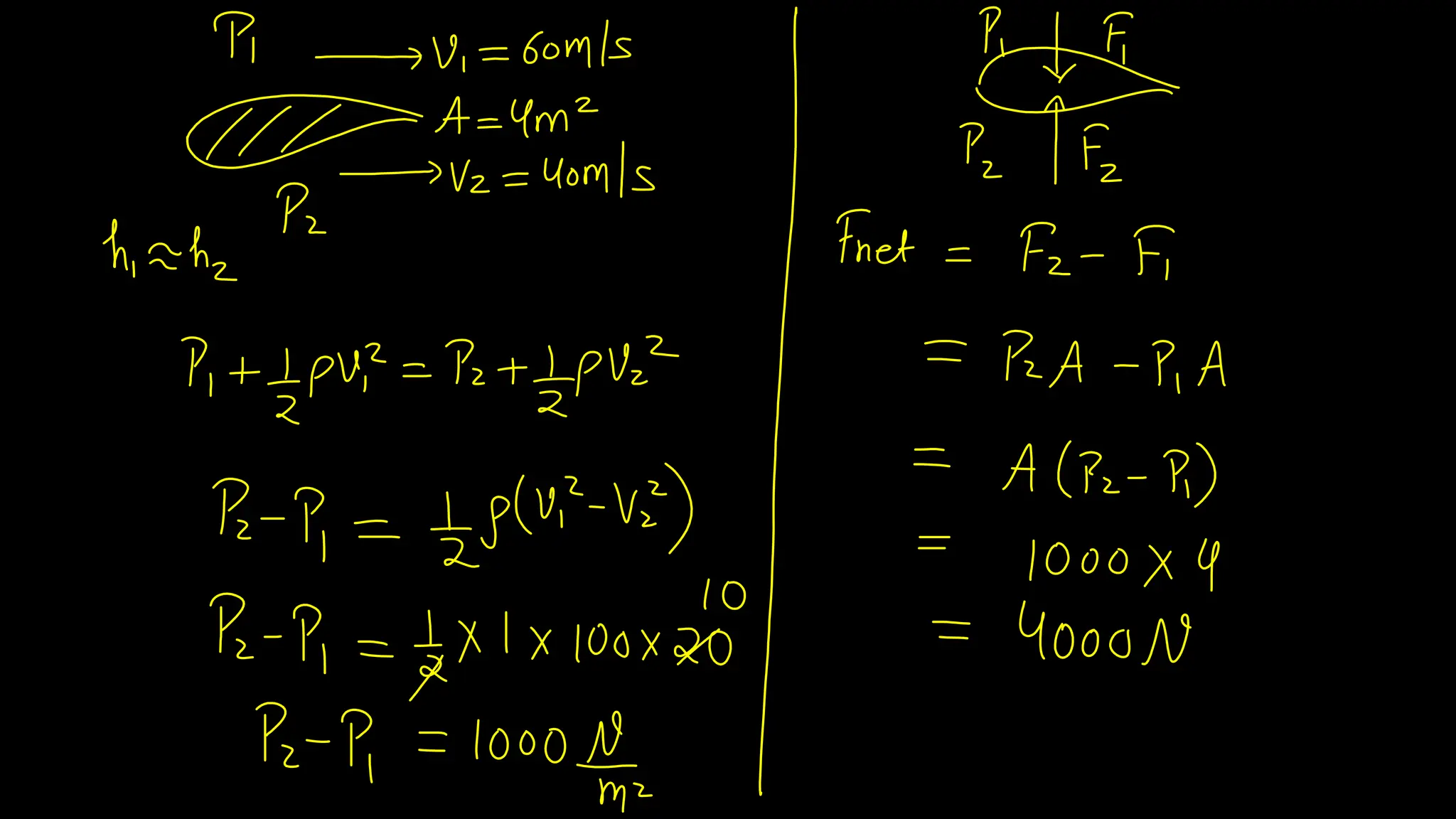
BERNOULLI’S PRINCIPLE
We now suppose that an incompressible ,
Non – Viscous and Irrotational fluid is
flowing through the pipe in a steady flow
Different Heads
For Fluid at Rest
In a Horizontal Pipe
Q35)
Q36)
Q37)
MENTOZ METHOD
Q38)
Q39)
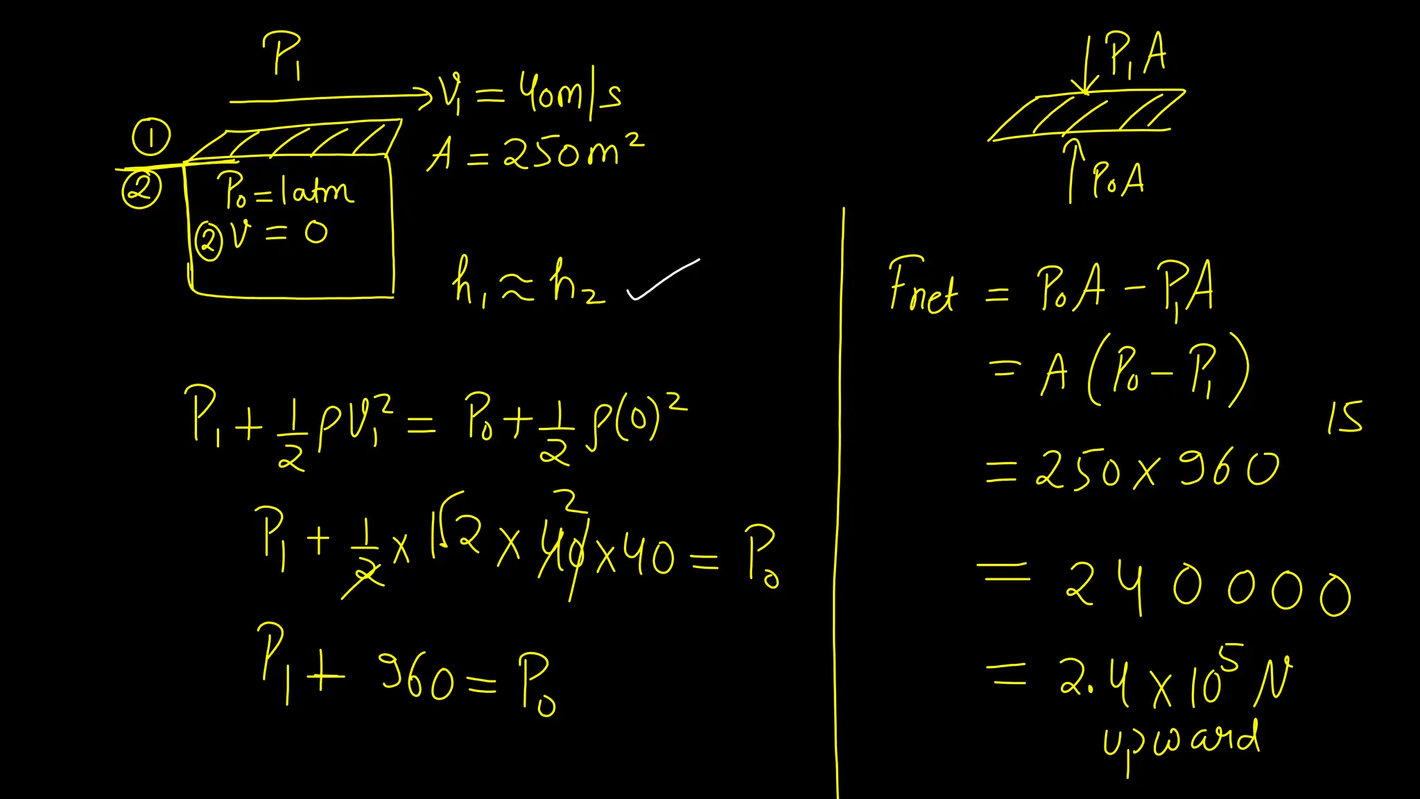
(density of air = 1kg/m3)
Q40)
Q41)
Venturimeter The Venturi-meter is a device to measure the
flow speed of incompressible fluid.
Q42) The speed of Water at X is 30cm/s . Find the speed of
water at Y , if difference in heights of two coloumns of
water is 2 cm.
a) 70 cm/s
b) 65 cm/s
c) 80 cm/s
d) 100 cm/s
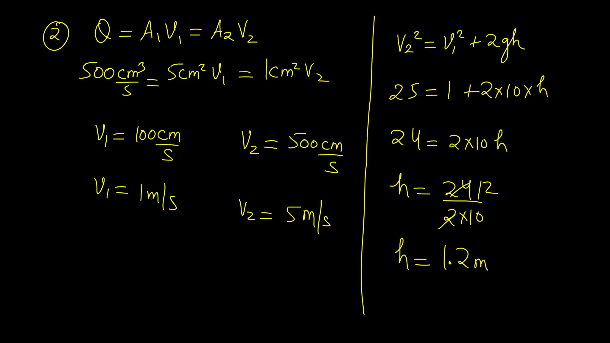
Q43)The Area of cross section of wide and narrow
portions of the tube are 5cm2 and 1cm2 respectively. The
rate of flow of water through the tube is 500 cm3/s. Find
the difference in heights of two coloumn.
a) 0.1 m
b) 0.6m
c) 0.9m
d) 1.2m
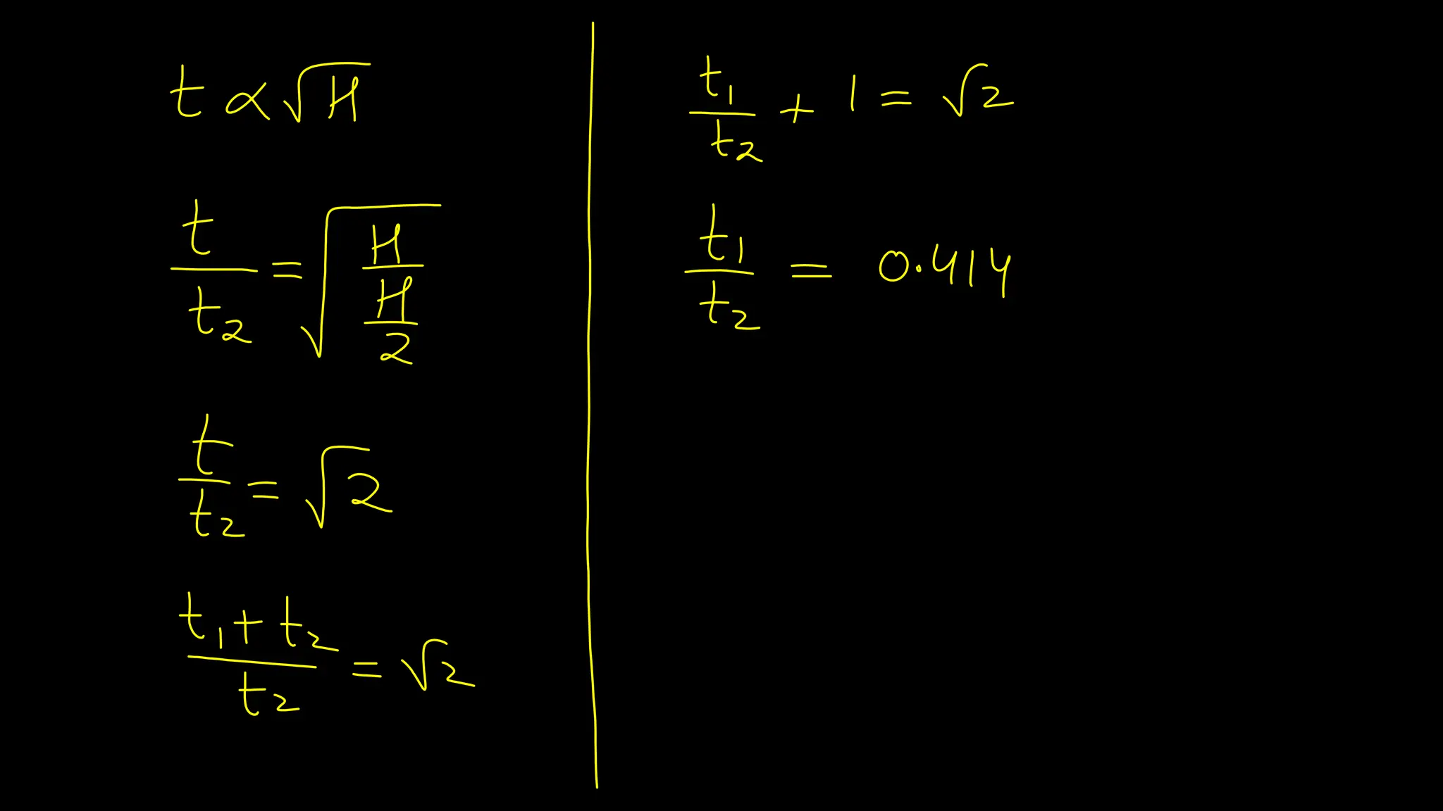
Speed of Efflux: Torricelli’s Law
OPEN TANK / VESSEL
Very small hole
Rate of Flow
Q44)
Q45)
Q46)
Q47)
Range
a) 10 cm
b) 8 cm
c) 9.8 cm
d) 980 cm
Q48)Figure shows two holes in a wide tank containing a liquid in
common. The water streams coming out of these holes strike
the ground at the same point. The height of liquid column in
tank is
Maximum Range
Time taken to empty the tank
a) 9 min
b) 7 min
c) 5 min
d) 3 min
Q49)A rectangular vessel when full of water, takes 10 min to be
emptied through an orifice in its bottom. How much time will
it take to be emptied when half filled with water?
Q50)
Velocity of Efflux in closed container
Viscosity
Viscous Force -
1)Viscosity is internal friction in a fluid
motion
2)It occurs due to relative motion
between layers of liquid
3)The internal friction force in fluids is
called Viscous Force.
4)Viscous Force depends on relative
motion between layers (velocity
gradient) , Area of contact between
two layers and type of fluid.
Velocity profiles of fluids-
1) A layer of liquid sandwiched
between two parallel glass plates,
in which the lower plate is fixed
and the upper one is moving to
the right with velocity v
For any layer of liquid, its upper layer pulls it forward
while lower layer pulls it backward. This results in force
between the layers. This type of flow is known as
laminar.
Coeffecient of Viscosity
The viscosity of liquids decreases with temperature, while it
increases in the case of gases.
2) velocity distribution for viscous flow in a pipe
Q51)
Stoke’s Law
When an object moves
through a fluid , it
experiences a viscous force
It is seen that the viscous force
is proportional to the velocity
of the object and is opposite to
the direction of motion.
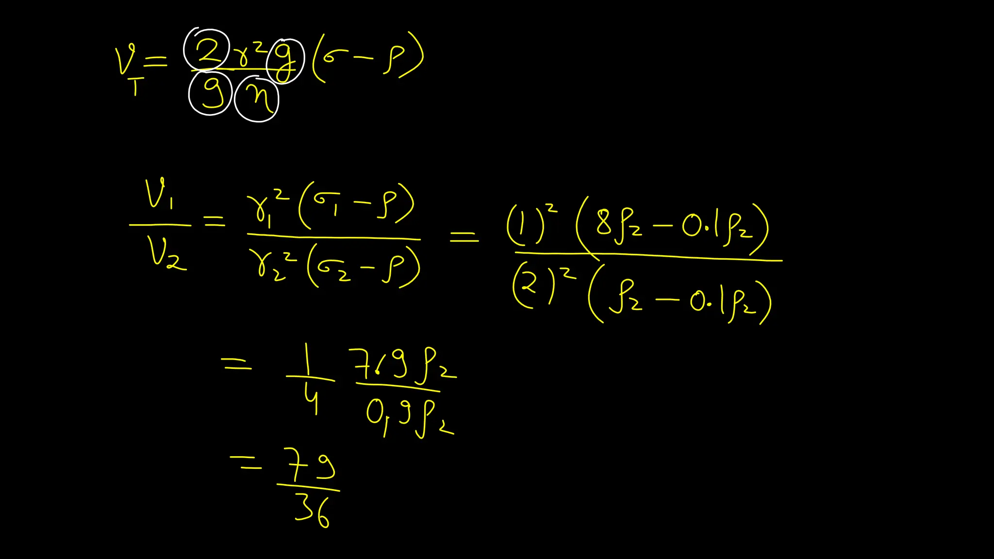
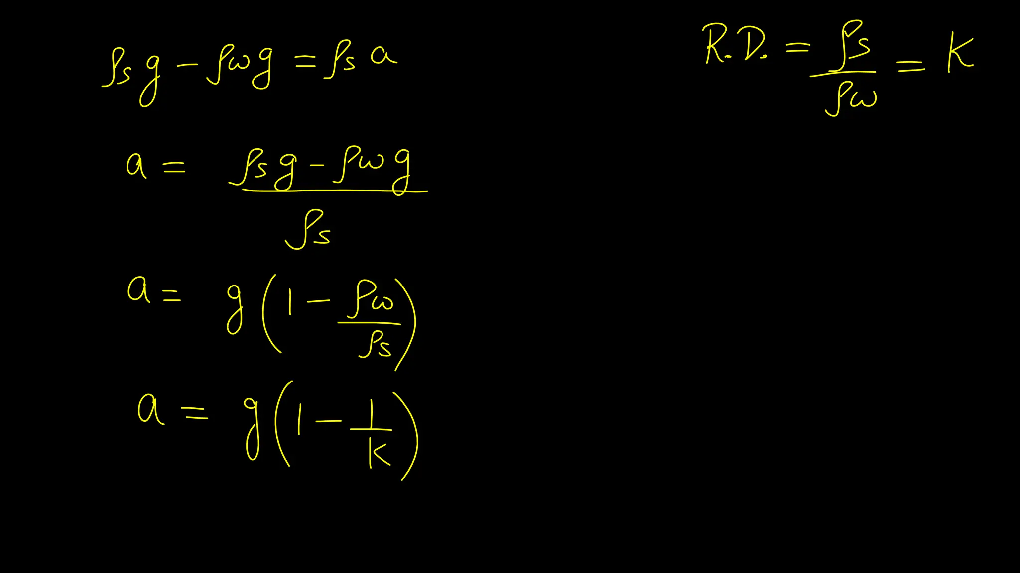
Terminal velocity
Terminal velocity VS radius and time
If density of sphere is less than that of fluid
We consider a raindrop in air. It
accelerates initially due to gravity. As
the velocity increases, the retarding
force also increases. Finally, when
viscous force plus buoyant force
becomes equal to the force due to
gravity, the net force becomes zero
and so does the acceleration. The
sphere (raindrop) then descends with
a constant velocity
Rain drops
Q52)
Q53)
Q54)
Q55)
Q56)
Q57)

Fluid mechanics by physics wala for neet

  • 1.
  • 2.
    1. Liquids andgases can flow and are therefore, called fluids. Introduction 2. An Ideal Fluid is one which is a) Incompressible b) Non - Viscous
  • 3.
    Pressure Pressure is ascalar quantity
  • 4.
  • 5.
  • 6.
    •Pressure in Fluids Whenan object is submerged in a fluid at rest, the fluid exerts a force on its surface. This force is always normal to the object’s surface
  • 7.
  • 8.
    •The relative densityof a substance is the ratio of its density to the density of water at 4oC. •Relative Density /specific gravity
  • 10.
  • 11.
    •Variation of FluidPressure with depth
  • 12.
    a) P=Po +𝝆g(1) b)P=Po +𝝆g(2) c) P=Po +𝝆g( 𝟏 𝟐 ) d) P=Po Q3)
  • 13.
  • 14.
    •Gauge Pressure andAbsolute Pressure
  • 15.
  • 16.
  • 17.
    a) 5km b) 8km c)11km d) 13km Q6)The density of the atmosphere at sea level is 1.29 kg/m3 . Assume that it does not change with altitude. Then how high would the atmosphere extend? h
  • 19.
  • 20.
    a) maximum invessel A b) maximum in vessel B c) maximum in vessel C d) equal in all vessels Q8)The three vessels shown in the following figure have same base area. Equal volumes of a liquid are poured in. The force on the base will be
  • 21.
  • 23.
    a) 5x105 N b)25x105 N c) 5x106 N d) 2.5x106 N Q10)The force acting on a window of area 50 cm x 50 cm of a submarine at a depth of 2000 m in an ocean, the interior of which is maintained at sea level atmospheric pressure is (Density of sea water= 103kg m-3 , g=10 m/s2)
  • 25.
    •Variation of FluidPressure along the same Horizontal Level For a liquid in equilibrium the pressure is same at all points in a horizontal plane. Suppose the pressure were not equal in different parts of the fluid, then there would be a flow as the fluid will have some net force acting on it. Hence in the absence of flow the pressure in the fluid must be same everywhere in a horizontal plane.
  • 26.
  • 27.
    •U – tubeproblems
  • 28.
  • 30.
  • 31.
  • 33.
    Q15)Find x ,so that fluid remains in equilibrium a) 1 cm b) 2cm c) 3cm d) 4cm 9 cm 9 cm  = 1g/cm3  = 2g/cm3 Sliding boundary  x x
  • 34.
    9 cm 9 cm  = 1g/cm3 = 2g/cm3 Sliding boundary  x x
  • 35.
  • 36.
    •Variation of Pressurein vertically accelerating Fluid –
  • 38.
    •Variation of Pressurein horizontally accelerating Fluid –
  • 39.
  • 40.
    i. Maximum at(ii) minimum at (a) (i) B (ii)D (b) (i)C (ii)D (c) (i)B (ii)C (d) (i)B (ii)A Q18)A closed rectangular tank is completely filled with water and is accelerated horizontally with an acceleration towards right. Pressure is
  • 41.
    Shape of LiquidSurface due to horizontal acceleration
  • 43.
  • 44.
    • Torricelli deviseda method for measuring atmospheric pressure. • A long glass tube closed at one end and filled with mercury is inverted into a trough of mercury • This device is known as ‘mercury barometer’. •Barometer
  • 45.
    • In theexperiment it is found that the mercury column in the barometer has a height of about 76 cm at sea level • A pressure equivalent of 1 mm is called a torr (after Torricelli). 1 torr = 133 Pa.
  • 46.
  • 47.
    •Pascal’s Law “ Wheneverexternal pressure is applied on any part of a fluid contained in a vessel, it is transmitted undiminished and equally in all directions”
  • 48.
  • 49.
    Q20)Two pistons ofa hydraulic machine have diameters 20 cm and 2 cm. Find the force exerted on the larger piston when 50 kg wt is placed on the smaller piston. When the smaller piston moves through 50 cm, by what distance the other piston moves out?
  • 51.
  • 52.
    When a bodyis immersed wholly or partially in a fluid, it is lifted up by a force equal to the weight of fluid displaced by the body. •Archimede’s Principle
  • 53.
    a) 300N b) 100N c) 75N d) 10N Q21) A Stone of density 3000 kg/m3 is submerged in water.If the mass of stone is 30kg , find upthrust.
  • 54.
    a) 50N b) 80N c)40N d) 10N Q22)An iron cube of mass 5kg and side 10 cm is suspended by a thread in water. Find the tension in thread.
  • 55.
  • 57.
    •Apparent Weight Ofa Body When a body is wholly immersed in a fluid, it’s effective weight decreases.
  • 58.
  • 59.
    a) 1200 N b)1000 N c) 850 N d) 812 N Q24)A stone of density 3000 kg/m3 is lying submerged in water of density 1000 kg/m. If the mass of stone in air is 150 kg, calculate the force required to lift the stone.
  • 61.
  • 63.
  • 64.
  • 65.
  • 66.
  • 67.
  • 69.
  • 71.
  • 74.
  • 75.
  • 77.
  • 79.
  • 80.
    Steady Flow /Streamlined Flow / Laminar Flow At different points, ➢ velocities of fluid particles can be different. ➢ But velocity at a given point is constant with time
  • 81.
    • The flowof the fluid is said to be steady if at any given point, the velocity of each passing fluid particle remains constant in time • This does not mean that the velocity at different points is same. The velocity of a particular particle may change as it moves from one point to another. • That is, at some other point the particle may have a different velocity, but every other particle which passes through same point behaves exactly as the previous particle that has just passed that point.
  • 82.
  • 83.
  • 84.
  • 86.
  • 87.
  • 89.
  • 90.
  • 91.
  • 93.
  • 95.
    BERNOULLI’S PRINCIPLE We nowsuppose that an incompressible , Non – Viscous and Irrotational fluid is flowing through the pipe in a steady flow
  • 97.
  • 98.
  • 99.
  • 100.
  • 101.
  • 103.
  • 105.
  • 106.
  • 108.
  • 109.
    (density of air= 1kg/m3) Q40)
  • 111.
  • 113.
    Venturimeter The Venturi-meteris a device to measure the flow speed of incompressible fluid.
  • 116.
    Q42) The speedof Water at X is 30cm/s . Find the speed of water at Y , if difference in heights of two coloumns of water is 2 cm. a) 70 cm/s b) 65 cm/s c) 80 cm/s d) 100 cm/s
  • 117.
    Q43)The Area ofcross section of wide and narrow portions of the tube are 5cm2 and 1cm2 respectively. The rate of flow of water through the tube is 500 cm3/s. Find the difference in heights of two coloumn. a) 0.1 m b) 0.6m c) 0.9m d) 1.2m
  • 119.
    Speed of Efflux:Torricelli’s Law OPEN TANK / VESSEL Very small hole
  • 120.
  • 121.
  • 122.
  • 124.
  • 125.
  • 126.
  • 127.
    a) 10 cm b)8 cm c) 9.8 cm d) 980 cm Q48)Figure shows two holes in a wide tank containing a liquid in common. The water streams coming out of these holes strike the ground at the same point. The height of liquid column in tank is
  • 129.
  • 130.
    Time taken toempty the tank
  • 131.
    a) 9 min b)7 min c) 5 min d) 3 min Q49)A rectangular vessel when full of water, takes 10 min to be emptied through an orifice in its bottom. How much time will it take to be emptied when half filled with water?
  • 132.
  • 134.
    Velocity of Effluxin closed container
  • 136.
  • 137.
    Viscous Force - 1)Viscosityis internal friction in a fluid motion 2)It occurs due to relative motion between layers of liquid 3)The internal friction force in fluids is called Viscous Force. 4)Viscous Force depends on relative motion between layers (velocity gradient) , Area of contact between two layers and type of fluid.
  • 138.
    Velocity profiles offluids- 1) A layer of liquid sandwiched between two parallel glass plates, in which the lower plate is fixed and the upper one is moving to the right with velocity v
  • 139.
    For any layerof liquid, its upper layer pulls it forward while lower layer pulls it backward. This results in force between the layers. This type of flow is known as laminar.
  • 140.
    Coeffecient of Viscosity Theviscosity of liquids decreases with temperature, while it increases in the case of gases.
  • 141.
    2) velocity distributionfor viscous flow in a pipe
  • 142.
  • 144.
    Stoke’s Law When anobject moves through a fluid , it experiences a viscous force It is seen that the viscous force is proportional to the velocity of the object and is opposite to the direction of motion.
  • 145.
  • 147.
    Terminal velocity VSradius and time
  • 148.
    If density ofsphere is less than that of fluid
  • 149.
    We consider araindrop in air. It accelerates initially due to gravity. As the velocity increases, the retarding force also increases. Finally, when viscous force plus buoyant force becomes equal to the force due to gravity, the net force becomes zero and so does the acceleration. The sphere (raindrop) then descends with a constant velocity Rain drops
  • 150.
  • 151.
  • 153.
  • 155.
  • 156.
  • 158.