Chiral anti-1,2-Diols from
α-Oxyaldehydes
Gayan Abeykoon, Shreyosree Chatterjee, Jason Chen*
Iowa State University
Abeykoon, G. A.; Chatterjee, S.; Chen, J. S. Org. Lett. 2014, 16, 3248 – 3251
1
Chiral-1,2-Diols
• Common in natural products like carbohydrates and polyketides
• Important as chiral ligands used in asymmetric catalysis.
• Our goal is to develop a methodology to generate chiral-1,2-diols with
stereoflexibility
2
Sharpless Asymmetric
Dihydroxylatation (SAD)
• SAD converts trans alkenes to chiral syn-1,2-diols with high
enantioselectivity.
• Modest enantioselectivities are observed when cis alkenes are converted
to anti-1,2-diols.
Sharpless et al. J. Org. Chem. 1992, 57, 2768 – 2771.
Sharpless et al. J. Am. Chem. Soc. 1992, 114, 7568 – 7570.
Sharpless et al. Chem. Rev. 1994, 94, 2483 − 2547.
3
Strategies to Construct anti-1,2-Diols
4
• Nucleophilic attack on an
aldehyde setting both stereo
centers same time
• Nucleophiles
- α-Oxycarbonyl compounds
- Functionalized allyl reagents
Nucleophilic attack on chiral
hydroxy epoxide
• Nucleophilc attack on chiral α-oxyaldehyde
• More appealing: broader substrate scope
Mukaiyama et al. Chem. Lett. 1984, 753 – 756.
Brown et al. J. Org. Chem. 1995, 60, 4686 – 4687.
Scolastico et al. Org. Chem. 1984, 49, 3784 − 3790.
Carreira et al. Org. Lett. 2001, 3, 3017 – 3020.
Jamison et al. Org. Lett. 2005, 7, 2937 – 2940.
Guiry et al. Med. Chem. 2007, 50, 5894 − 5902.
Enantioselective α-Oxygenation
• Addition to α-oxyaldehydes is appealing in diol synthesis because of
– broad range of nucleophiles
– substrate-controlled stereoinduction
• TBS ether for polar Felkin–Anh control
• Benzyl ether for chelation control
• Chiral α-oxyaldehydes often require multiple steps to prepare with
suitable protecting groups at alpha position to alter the selectivity
• Direct aldehyde α-oxygenation
– most convenient route
– organocatalytic methods via enamine catalysis
• Proline Catalysis
• Imidazolidinone Catalysis
5
α-Oxygenation
• Proline catalysis
• Imidazolidinone catalysis
Zhong, G. Angew. Chem., Int. Ed. 2003, 42, 4247 – 4250.
Macmillan et al. J. Am. Chem. Soc. 2003, 125, 10808 – 10809.
Hayshi et al. Tetrahedron Lett. 2003, 44, 8293 – 8296.
6
• not reproducible
• unstable α-oxyaldehydes
• reproducible
• stable α-oxyaldehydes
Sibi et al. J. Am. Chem. Soc. 2007, 129, 4124 – 4125.
MacMillan et al. Chem. Sci. 2012, 3, 58 – 61.
Chelation and Polar Felkin-Ahn Control
• Grignard addition: Chelation control
• Aldol reaction: Polar Felkin-Ahn control
• Stereochemical oddity
MacMillan et al. Chem. Sci. 2012, 3, 58 – 61.
7
Determination of Diol Configuration
8
Determination of Diol Configuration
• anti diol configuration was determined by
– Optical rotation
– 1H NMR
9
Optimizing the Diastereoselectivity
Entry M Solvent Temp. / °C dr Yield/ %
1 MgCl Et2O 0 4:1 60
2 MgCl THF 0 6:1 70
3 MgCl THF –78 10:1 86
4 Li THF –78 6:1 81
5 Li hexanes –78 12:1 84
10
Scope of Carbon Nucleophiles
Entry R dr Yielda / %
1 nBu 10:1 86
2 iPr 10:1 35
3 CH=CH2 >20:1 89 (78)b
4 C(Me)=CH2 >20:1 84 (79)b
5 Ph 14:1 77 (73)b
6 C≡CH 8:1 83 (67)b
a Isolated yield of a mixture of diastereomers.
b Isolated yield of a single diastereomer.
11
Effect of Chelation
12
Determination of Diastereoselectivity
Using NMR
• Chemical shift of hydroxyl proton of masked 1,2-diols in CDCl3,
– ca. 2 ppm anti-diastereomer (major)
– ca. 7 ppm syn-diastereomer (minor)
• This is general and holds for most of the NMR solvents
Major
Minor
13
Oxylipins from Dracontium loretense
• Oxylipin 2 has shown immunostimulatory effect.
• Absolute configuration of chiral centers were not assigned.
• Four total synthesis of oxylipins has been reported.
Pizza et al. J. Nat. Prod. 2009, 72, 813 – 817.
Sharma et al. Tetrahedron: Asymmetry. 2011, 22, 367 – 372.
Narsaiah et al. Tetrahedron Lett.2012, 53, 3955 – 3958.
Barua et al. Tetrahedron 2013, 69, 2157− 2166.
Reddy et al. Helv. Chim. Acta 2014, 97, 546−555.
14
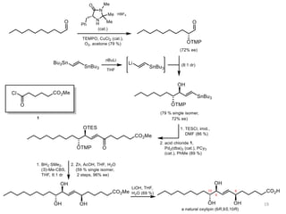
Application in the Synthesis of
Oxylipins
15
Application in the Synthesis of
Oxylipins
16
Conclusions
• Developed a method to
– access anti-1,2-diols with high diastereoselectivity.
– with differential protection.
• Built-in stereochemical probe using 1HNMR to determine the diastereomeric
ratio of masked syn and anti-1,2-diols.
• Currently, we are working on optimizing the Grignard addition to α-
oxyaldehydes to get syn-1,2-diols.
17
Acknowledgment
• Department of Chemistry, Iowa state University
• Prof. Jason Chen
• Chen group members
18
19

FINAL

  • 1.
    Chiral anti-1,2-Diols from α-Oxyaldehydes GayanAbeykoon, Shreyosree Chatterjee, Jason Chen* Iowa State University Abeykoon, G. A.; Chatterjee, S.; Chen, J. S. Org. Lett. 2014, 16, 3248 – 3251 1
  • 2.
    Chiral-1,2-Diols • Common innatural products like carbohydrates and polyketides • Important as chiral ligands used in asymmetric catalysis. • Our goal is to develop a methodology to generate chiral-1,2-diols with stereoflexibility 2
  • 3.
    Sharpless Asymmetric Dihydroxylatation (SAD) •SAD converts trans alkenes to chiral syn-1,2-diols with high enantioselectivity. • Modest enantioselectivities are observed when cis alkenes are converted to anti-1,2-diols. Sharpless et al. J. Org. Chem. 1992, 57, 2768 – 2771. Sharpless et al. J. Am. Chem. Soc. 1992, 114, 7568 – 7570. Sharpless et al. Chem. Rev. 1994, 94, 2483 − 2547. 3
  • 4.
    Strategies to Constructanti-1,2-Diols 4 • Nucleophilic attack on an aldehyde setting both stereo centers same time • Nucleophiles - α-Oxycarbonyl compounds - Functionalized allyl reagents Nucleophilic attack on chiral hydroxy epoxide • Nucleophilc attack on chiral α-oxyaldehyde • More appealing: broader substrate scope Mukaiyama et al. Chem. Lett. 1984, 753 – 756. Brown et al. J. Org. Chem. 1995, 60, 4686 – 4687. Scolastico et al. Org. Chem. 1984, 49, 3784 − 3790. Carreira et al. Org. Lett. 2001, 3, 3017 – 3020. Jamison et al. Org. Lett. 2005, 7, 2937 – 2940. Guiry et al. Med. Chem. 2007, 50, 5894 − 5902.
  • 5.
    Enantioselective α-Oxygenation • Additionto α-oxyaldehydes is appealing in diol synthesis because of – broad range of nucleophiles – substrate-controlled stereoinduction • TBS ether for polar Felkin–Anh control • Benzyl ether for chelation control • Chiral α-oxyaldehydes often require multiple steps to prepare with suitable protecting groups at alpha position to alter the selectivity • Direct aldehyde α-oxygenation – most convenient route – organocatalytic methods via enamine catalysis • Proline Catalysis • Imidazolidinone Catalysis 5
  • 6.
    α-Oxygenation • Proline catalysis •Imidazolidinone catalysis Zhong, G. Angew. Chem., Int. Ed. 2003, 42, 4247 – 4250. Macmillan et al. J. Am. Chem. Soc. 2003, 125, 10808 – 10809. Hayshi et al. Tetrahedron Lett. 2003, 44, 8293 – 8296. 6 • not reproducible • unstable α-oxyaldehydes • reproducible • stable α-oxyaldehydes Sibi et al. J. Am. Chem. Soc. 2007, 129, 4124 – 4125. MacMillan et al. Chem. Sci. 2012, 3, 58 – 61.
  • 7.
    Chelation and PolarFelkin-Ahn Control • Grignard addition: Chelation control • Aldol reaction: Polar Felkin-Ahn control • Stereochemical oddity MacMillan et al. Chem. Sci. 2012, 3, 58 – 61. 7
  • 8.
    Determination of DiolConfiguration 8
  • 9.
    Determination of DiolConfiguration • anti diol configuration was determined by – Optical rotation – 1H NMR 9
  • 10.
    Optimizing the Diastereoselectivity EntryM Solvent Temp. / °C dr Yield/ % 1 MgCl Et2O 0 4:1 60 2 MgCl THF 0 6:1 70 3 MgCl THF –78 10:1 86 4 Li THF –78 6:1 81 5 Li hexanes –78 12:1 84 10
  • 11.
    Scope of CarbonNucleophiles Entry R dr Yielda / % 1 nBu 10:1 86 2 iPr 10:1 35 3 CH=CH2 >20:1 89 (78)b 4 C(Me)=CH2 >20:1 84 (79)b 5 Ph 14:1 77 (73)b 6 C≡CH 8:1 83 (67)b a Isolated yield of a mixture of diastereomers. b Isolated yield of a single diastereomer. 11
  • 12.
  • 13.
    Determination of Diastereoselectivity UsingNMR • Chemical shift of hydroxyl proton of masked 1,2-diols in CDCl3, – ca. 2 ppm anti-diastereomer (major) – ca. 7 ppm syn-diastereomer (minor) • This is general and holds for most of the NMR solvents Major Minor 13
  • 14.
    Oxylipins from Dracontiumloretense • Oxylipin 2 has shown immunostimulatory effect. • Absolute configuration of chiral centers were not assigned. • Four total synthesis of oxylipins has been reported. Pizza et al. J. Nat. Prod. 2009, 72, 813 – 817. Sharma et al. Tetrahedron: Asymmetry. 2011, 22, 367 – 372. Narsaiah et al. Tetrahedron Lett.2012, 53, 3955 – 3958. Barua et al. Tetrahedron 2013, 69, 2157− 2166. Reddy et al. Helv. Chim. Acta 2014, 97, 546−555. 14
  • 15.
    Application in theSynthesis of Oxylipins 15
  • 16.
    Application in theSynthesis of Oxylipins 16
  • 17.
    Conclusions • Developed amethod to – access anti-1,2-diols with high diastereoselectivity. – with differential protection. • Built-in stereochemical probe using 1HNMR to determine the diastereomeric ratio of masked syn and anti-1,2-diols. • Currently, we are working on optimizing the Grignard addition to α- oxyaldehydes to get syn-1,2-diols. 17
  • 18.
    Acknowledgment • Department ofChemistry, Iowa state University • Prof. Jason Chen • Chen group members 18
  • 19.

Editor's Notes