Magicians
They are all MASTERS of Magic!!
It is my GOAL
for each of you to become
MASTERS of
FACTORING
Factoring Expressions
- Greatest Common Factor
(GCF)
- Difference of 2 Squares
Objectives
• I can factor expressions using
the Greatest Common Factor
Method (GCF)
• I can factor expressions using
the Difference of 2 Squares
Method
What is Factoring?
• Quick Write: Write down everything you
know about Factoring from Algebra-1 and
Geometry?
• You can use Bullets or give examples
• 2 Minutes
• Share with partner!
Factoring?
• Factoring is a method to find the basic
numbers and variables that made up a
product.
• (Factor) x (Factor) = Product
• Some numbers are Prime, meaning they are
only divisible by themselves and 1
Method 1
• Greatest Common Factor (GCF) –
the greatest factor shared by two or
more numbers, monomials, or
polynomials
• ALWAYS try this factoring method
1st before any other method
• Divide Out the Biggest common
number/variable from each of the
terms
Greatest Common Factors
aka GCF’s
Find the GCF for each set of following numbers.
Find means tell what the terms have in common.
Hint: list the factors and find the greatest match.
a) 2, 6
b) -25, -40
c) 6, 18
d) 16, 32
e) 3, 8
2
-5
6
16
1
No common factors?
GCF =1
Find the GCF for each set of following numbers.
Hint: list the factors and find the greatest match.
a) x, x2
b) x2, x3
c) xy, x2y
d) 2x3, 8x2
e) 3x3, 6x2
f) 4x2, 5y3
x
x2
xy
2x2
Greatest Common Factors
aka GCF’s
3x2
1 No common factors?
GCF =1
Factor out the GCF for each polynomial:
Factor out means you need the GCF times the
remaining parts.
a) 2x + 4y
b) 5a – 5b
c) 18x – 6y
d) 2m + 6mn
e) 5x2y – 10xy
2(x + 2y)
6(3x – y)
5(a – b)
5xy(x - 2)
2m(1 + 3n)
Greatest Common Factors
aka GCF’s
How can you check?
FACTORING by GCF
Take out the GCF EX:
15xy2 – 10x3y + 25xy3
How:
Find what is in common
in each term and put in
front. See what is left
over.
Check answer by
distributing out.
Solution:
5xy( )
3y – 2x2 + 5y2
FACTORING
Take out the GCF EX:
2x4 – 8x3 + 4x2 – 6x
How:
Find what is in common
in each term and put in
front. See what is left
over.
Check answer by
distributing out.
Solution:
2x(x3 – 4x2 + 2x – 3)
Ex 1
•15x2 – 5x
•GCF = 5x
•5x(3x - 1)
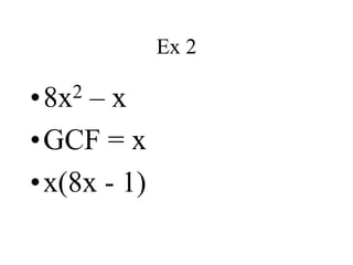
Ex 2
•8x2 – x
•GCF = x
•x(8x - 1)
Method #2
•Difference of Two
Squares
•a2 – b2 = (a + b)(a - b)
What is a Perfect Square
• Any term you can take the square root
evenly (No decimal)
• 25
• 36
• 1
• x2
• y4
5
6
1
x
2
y
Difference of
Perfect Squares
x2 – 4 =
the answer will look like this: ( )( )
take the square root of each part:
( x 2)(x 2)
Make 1 a plus and 1 a minus:
(x + 2)(x - 2 )
FACTORING
Difference of Perfect
Squares
EX:
x2 – 64
How:
Take the square root of
each part. One gets a +
and one gets a -.
Check answer by FOIL.
Solution:
(x – 8)(x + 8)
YOUR TURN!!
Using White Boards
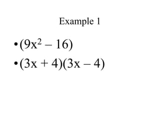
Example 1
•(9x2 – 16)
•(3x + 4)(3x – 4)
Example 2
•x2 – 16
•(x + 4)(x –4)
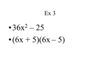
Ex 3
•36x2 – 25
•(6x + 5)(6x – 5)
More than ONE Method
• It is very possible to use more than one
factoring method in a problem
• Remember:
• ALWAYS use GCF first
Example 1
• 2b2x – 50x
• GCF = 2x
• 2x(b2 – 25)
• 2nd term is the diff of 2 squares
• 2x(b + 5)(b - 5)
Example 2
• 32x3 – 2x
• GCF = 2x
• 2x(16x2 – 1)
• 2nd term is the diff of 2 squares
• 2x(4x + 1)(4x - 1)
Exit Slip
• On a post it note write these 2
things: (with your name)
• 1. Define what factors are?
• 2. What did you learn today about
factoring?
• Put them on the bookshelf on the
way out!

Factoring GCF difference of squares.ppt

  • 1.
    Magicians They are allMASTERS of Magic!!
  • 2.
    It is myGOAL for each of you to become MASTERS of FACTORING
  • 3.
    Factoring Expressions - GreatestCommon Factor (GCF) - Difference of 2 Squares
  • 4.
    Objectives • I canfactor expressions using the Greatest Common Factor Method (GCF) • I can factor expressions using the Difference of 2 Squares Method
  • 5.
    What is Factoring? •Quick Write: Write down everything you know about Factoring from Algebra-1 and Geometry? • You can use Bullets or give examples • 2 Minutes • Share with partner!
  • 6.
    Factoring? • Factoring isa method to find the basic numbers and variables that made up a product. • (Factor) x (Factor) = Product • Some numbers are Prime, meaning they are only divisible by themselves and 1
  • 7.
    Method 1 • GreatestCommon Factor (GCF) – the greatest factor shared by two or more numbers, monomials, or polynomials • ALWAYS try this factoring method 1st before any other method • Divide Out the Biggest common number/variable from each of the terms
  • 8.
    Greatest Common Factors akaGCF’s Find the GCF for each set of following numbers. Find means tell what the terms have in common. Hint: list the factors and find the greatest match. a) 2, 6 b) -25, -40 c) 6, 18 d) 16, 32 e) 3, 8 2 -5 6 16 1 No common factors? GCF =1
  • 9.
    Find the GCFfor each set of following numbers. Hint: list the factors and find the greatest match. a) x, x2 b) x2, x3 c) xy, x2y d) 2x3, 8x2 e) 3x3, 6x2 f) 4x2, 5y3 x x2 xy 2x2 Greatest Common Factors aka GCF’s 3x2 1 No common factors? GCF =1
  • 10.
    Factor out theGCF for each polynomial: Factor out means you need the GCF times the remaining parts. a) 2x + 4y b) 5a – 5b c) 18x – 6y d) 2m + 6mn e) 5x2y – 10xy 2(x + 2y) 6(3x – y) 5(a – b) 5xy(x - 2) 2m(1 + 3n) Greatest Common Factors aka GCF’s How can you check?
  • 11.
    FACTORING by GCF Takeout the GCF EX: 15xy2 – 10x3y + 25xy3 How: Find what is in common in each term and put in front. See what is left over. Check answer by distributing out. Solution: 5xy( ) 3y – 2x2 + 5y2
  • 12.
    FACTORING Take out theGCF EX: 2x4 – 8x3 + 4x2 – 6x How: Find what is in common in each term and put in front. See what is left over. Check answer by distributing out. Solution: 2x(x3 – 4x2 + 2x – 3)
  • 13.
    Ex 1 •15x2 –5x •GCF = 5x •5x(3x - 1)
  • 14.
    Ex 2 •8x2 –x •GCF = x •x(8x - 1)
  • 15.
    Method #2 •Difference ofTwo Squares •a2 – b2 = (a + b)(a - b)
  • 16.
    What is aPerfect Square • Any term you can take the square root evenly (No decimal) • 25 • 36 • 1 • x2 • y4 5 6 1 x 2 y
  • 17.
    Difference of Perfect Squares x2– 4 = the answer will look like this: ( )( ) take the square root of each part: ( x 2)(x 2) Make 1 a plus and 1 a minus: (x + 2)(x - 2 )
  • 18.
    FACTORING Difference of Perfect Squares EX: x2– 64 How: Take the square root of each part. One gets a + and one gets a -. Check answer by FOIL. Solution: (x – 8)(x + 8)
  • 19.
  • 20.
    Example 1 •(9x2 –16) •(3x + 4)(3x – 4)
  • 21.
    Example 2 •x2 –16 •(x + 4)(x –4)
  • 22.
    Ex 3 •36x2 –25 •(6x + 5)(6x – 5)
  • 23.
    More than ONEMethod • It is very possible to use more than one factoring method in a problem • Remember: • ALWAYS use GCF first
  • 24.
    Example 1 • 2b2x– 50x • GCF = 2x • 2x(b2 – 25) • 2nd term is the diff of 2 squares • 2x(b + 5)(b - 5)
  • 25.
    Example 2 • 32x3– 2x • GCF = 2x • 2x(16x2 – 1) • 2nd term is the diff of 2 squares • 2x(4x + 1)(4x - 1)
  • 26.
    Exit Slip • Ona post it note write these 2 things: (with your name) • 1. Define what factors are? • 2. What did you learn today about factoring? • Put them on the bookshelf on the way out!