LET’S FACTOR!
Factoring
Polynomials
1 – The Greatest Common Factor
2 – Factoring Trinomials of the Form x2 + bx +
c
3 – Factoring Trinomials of the Form ax2 + bx +
c
4 – Factoring Trinomials of the Form x2 + bx + c
by Grouping
5
– Factoring Perfect Square Trinomials and Diff
erence of Two Squares
6 – Solving Quadratic Equations by Factoring
7 – Quadratic Equations and Problem Solving
SECTIONS
The Greatest Common Factor
FACTORS
Factors (either numbers or polynomials)
When an integer is written as a product of integers, each
of the integers in the product is a factor of the original
number.
When a polynomial is written as a product of
polynomials, each of the polynomials in the product is a
factor of the original polynomial.
Factoring – writing a polynomial as a
product of polynomials.
GREATEST COMMON FACTOR
Greatest common factor – largest quantity
that is a factor of all the integers or
polynomials involved.
Finding the GCF of a List of Integers or Terms
1) Prime factor the numbers.
2) Identify common prime factors.
3) Take the product of all common prime factors.
• If there are no common prime factors, GCF is 1.
Find the GCF of each list of numbers.
1) 12 and 8
12 = 2 · 2 · 3 1 x12, 2x6, 3x4
8 = 2 · 2 · 2, 4x2 1x8
So the GCF is 2 · 2 = 4.
2) 7 and 20
7 = 1 · 7
20 = 2 · 2 · 5
There are no common prime factors so the
GCF is 1.
Example
Find the GCF of each list of numbers.
1) 6, 8 and 46
6 = 2 · 3
8 = 2 · 2 · 2
46 = 2 · 23
So the GCF is 2.
2) 144, 256 and 300
144 = 2 · 2 · 2 · 3 · 3
256 = 2 · 2 · 2 · 2 · 2 · 2 · 2 · 2
300 = 2 · 2 · 3 · 5 · 5
So the GCF is 2 · 2 = 4.
Greatest Common Factor
Example
1) x3
and x7
x3
= x · x · x
x7
= x · x · x · x · x · x · x
So the GCF is x · x · x = x3
2) 6x5
and 4x3
6x5
= 2 · 3 · x · x · x
4x3
= 2 · 2 · x · x · x
So the GCF is 2 · x · x · x = 2x3
Find the GCF of each list of terms.
Example
Find the GCF of the following list of terms.
a3
b2
, a2
b5
and a4
b7
a3
b2
= a · a · a · b · b
a2
b5
= a · a · b · b · b · b · b
a4
b7
= a · a · a · a · b · b · b · b · b · b · b
So the GCF is a · a · b · b = a2
b2
Notice that the GCF of terms containing variables will use the smallest
exponent found amongst the individual terms for each variable.
Example
The first step in factoring a polynomial
is to find the GCF of all its terms.
Then we write the polynomial as a
product by factoring out the GCF from
all the terms.
The remaining factors in each term will
form a polynomial.
Factoring Polynomials
Factor out the GCF in each of the following
polynomials.
1) 6x3
– 9x2
+ 12x =3 · x · 2 · x2
– 3 · x · 3 · x + 3 · x · 4
=3x(2x2
– 3x + 4)
6; 1x6, 3x2 =3x(2x^2- 3x+4)
9; 1x9, 3x3
12; 1x12, 2x6, 3x4
2) 14x3
y + 7x2
y – 7xy =7 · x · y · 2 · x2
+ 7 · x · y · x – 7 · x · y · 1
=7xy(2x2
+ x – 1)
Factoring out the GCF
Example
Factor out the GCF in each of the following
polynomials.
1) 6x3
– 9x2
+ 12x =3 · x · 2 · x2
– 3 · x · 3 · x + 3 · x · 4
=3x(2x2
– 3x + 4)
2) 14x3
y + 7x2
y – 7xy =7 · x · y · 2 · x2
+ 7 · x · y · x – 7 · x · y · 1
=7xy(2x2
+ x – 1)
14: 14x1, 2x7
7: 7x1 =7xy(2x^2+ x - 1)
7: 7x1
Factoring out the GCF
Example
Factor out the GCF in each of the following
polynomials.
1) 6x3
– 9x2
+ 12x =3 · x · 2 · x2
– 3 · x · 3 · x + 3 · x · 4
=3x(2x2
– 3x + 4)
2) 14x3
y + 7x2
y – 7xy =7 · x · y · 2 · x2
+ 7 · x · y · x – 7 · x · y · 1
=7xy(2x2
+ x – 1)
14: 14x1, 2x7
7: 7x1 =7xy(2x^2+ x - 1)
7: 7x1
Factoring out the GCF
Example
Factor out the GCF in each of the following
polynomials.
x^2+7x+12
x^2- First Term : (x)(x)
7x- second term ADDITION : 1+6,2+5,3+4,
12- Third Term or Constant MULTIPLICATION : 3 and 4
(x + 3 )(x +4 )
Factoring out the GCF
Example
Factor out the GCF in each of the following
polynomials.
x^2+7x+12
x^2- First Term : (x)(x)
7x- second term ADDITION : 1+6,2+5,3+4,
12- Third Term or Constant MULTIPLICATION : 3 and 4
(x + 3 )(x +4 )
Factoring out the GCF
Example
Factor out the GCF in each of the following
polynomials.
x^2+3x-28
x: (x)(x)
3: 4-1, 5-2, 6-3, 7-4,
-28: (7)(-4)
(x +7)(x - 4)
Factoring out the GCF
Example
Factor out the GCF in each of the following
polynomials.
1. x^2 - 6x+9 2. x^2+2x-24
=(x-3)(x-3) =
Factoring out the GCF
Example
Factor out the GCF in each of the following
polynomials.
Factoring out the GCF
Example
Factoring out the GCF
Factoring out the GCF
x^4+3x^2-18
3x^2 = Addition/Addition
18= multiply
3 p^2 − 2 p − 5
(3p^2-5p)+(3p-5)
-15
-2
-5 3
Factoring out the GCF
2x^7-128x
ax^2 +bx+c a^2+b^2
2x(x^6-64)
2x(x^2-4)(x^4-4+16)
2x(x-2)(x+2)(x^4-4+16)
Remember that factoring out the GCF from the
terms of a polynomial should always be the first
step in factoring a polynomial.
This will usually be followed by additional steps
in the process.
Factor
25k^3+40k^2+35k+56
(25k^3+40k^2)+(35k+56)
25k^3+40k^2
=5k^2(5k+8)
25k^3= (5k)(5k^2), (25k^2)(k)
40k^2= (4k^2)(10k), (40k^2)(k), (8k)(5k^2)
Example
Remember that factoring out the GCF from the
terms of a polynomial should always be the first
step in factoring a polynomial.
This will usually be followed by additional steps
in the process.
Factor
25k^3+40k^2+35k+56
(25k^3+40k^2)+(35k+56)
35k+56
7(5k+8)
Example
Remember that factoring out the GCF from the
terms of a polynomial should always be the first
step in factoring a polynomial.
This will usually be followed by additional steps
in the process.
Factor
25k^3+40k^2+35k+56
=5k^2(5k+8)+7(5k+8)
(5k^2+7)(5k+8)
Example
Remember that factoring out the GCF from the
terms of a polynomial should always be the first
step in factoring a polynomial.
This will usually be followed by additional steps
in the process.
Factor
98n^5+70n^4-245n^3-175n^2
98 :2x49, 7x14,
70 : 7x10, 70x1
-245 ; 7x-35, 5x-49,
-175: 5x-35, 7x-25
Example
Remember that factoring out the GCF from the
terms of a polynomial should always be the first
step in factoring a polynomial.
This will usually be followed by additional steps
in the process.
Factor
98n^5+70n^4-245n^3-175n^2
=7n^2(14n^3+10n^2-35n-25)
Example
Remember that factoring out the GCF from the
terms of a polynomial should always be the first
step in factoring a polynomial.
This will usually be followed by additional steps
in the process.
Factor
=7n^2(14n^3+10n^2-35n-25)
(14n^3+10n^2)+(-35n-25)
14n^3+10n^2 -35n-25
2n^2(7n+5) -5(7n+5)
(2n^2-5)(7n+5)
=7n^2(2n^2-5)(7n+5)
Example
Remember that factoring out the GCF from the
terms of a polynomial should always be the first
step in factoring a polynomial.
This will usually be followed by additional steps
in the process.
Factor
280m^4+160m^3+56m^2+32m
Example
Factor
3k^2+7k+2
(3)(2)=6+1
=3k^2+6k+1k+2
(3k^2+6k)+(1k+2)
3k(k+2)+1(k+2)
(3k+1)(k+2)
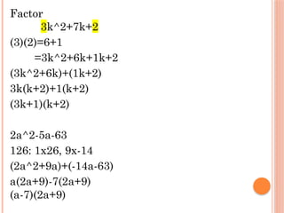
2a^2-5a-63
126: 1x26, 9x-14
(2a^2+9a)+(-14a-63)
a(2a+9)-7(2a+9)
(a-7)(2a+9)
Factor
9b^2+16b-4
9b^2+18b-2b-4
(9b^2+18b)+(-2b-4)
9b(b+2) -2(b+2)
(9b-2)(b+2)
Factor
20m^6+23m^4+6m^2
120: 15 x 8
(20m^6+15m^4)+(8m^4+6m^2)
5m^4(4m^2+3)+2m^2(4m^2+3)
(5m^4+2m^2)(4m^2+3)
=m^2(5m^2+2)(4m^2+3)
Factor
(40a^5+38a^3-12a)
-480: 240x2, 40 x -12, 48 x -10
(40a^5+48a^3)+(-10a^3-12a)
8a^3(5a^2+6)-2a(5a^2+6)
(8a^3-2a)(5a^2+6)
(2a-1)(2a+1)(2a)
(2a)(5a^2+6)(2q-1)(2a+1)
Factor TEST 2
1.) 12p^3-60p^2+2p-10
(12p^3-60p^2)+(2p-10)
12p^2(p-5)+2(p-5)
(12p^2+2)(p-5)
=2(6p^2+1)(p-5)
2.) 175x^3+70x^2-105x-42
(175x^3+70x^2)+(-105x-42)
35x^2(5x+2)-21(5x+2)
(35x^2-21)(5x+2)
7(5x^2-3)(5x+2)
Factor TEST 2
3.) (5r^3+25r^2)+(-r-5)
5r^2(r+5)-1(r+5)
(5r^2-1)(r+5)
4.) 2p^3-8p^2
2p^2(p-4)
5.) 2a^2+18a+40
80: 10x8
(2a^2+10a)+(8a+40)
2a(a+5)+8(a+5)
(2a+8)(a+5)
2(a+4)(a+5)
Factor TEST 2
6.) 2v^2-14v-16
(2v^2-16v)+(2v-16)
2v(v-8)+2(v-8)
(2v+2)(v-8)
2(v+1)(v-8)
7.) 8b^2-112b+360
2880: (-72)+(-40)
=(8b^2-72b)+(-40b+360)
=8b(b-9)-40(b-9)
(8b-40)(b-9)
8(b-5)(b-9)
8.) m^2-16m^2
(m-4)(m+4)
9.) 25m^2-1n^2
(5m-n)(5m+n)
10.) x^3+216
Factor TEST 2
Factor TEST 2
10.) x^3+216 (a^3+b^3) = (a+b)(a^2-ab+b^2)
(x+6)(x+6)(x+6) (a+b)(a^2-ab+b^2)
a b (x+6)(x^2-(x)(6)+6^2
=(x+6)(x^2-6x+36)
Factor TEST 2
EXAMPLE:CUBIC FACTORING
8x^3+27
=(2x+3)(2x+3)(2x+3) 2x2x2=8 3x3x3=27
a b (a+b)(a^2-ab+b^2)
(2x+3)(2x^2-(2x)(3)+3^2)
(2x+3)(4x^2-6x+9)
11.) 27+125u^3 (a+b)(a^2-ab+b^2)
(3+5u)(3+5u)(3+5u) (3+5u)(3^2-(3)(5u)+5u^2)
a b (3+5u)(9-15u+25u^2)
Factor TEST 2
12.) (5x-3) (a+b)(a^2-ab+b^2)
a b
(5x+(-3))(5x^2-(5x)(-3)+(-3)^2
(5x-3)(25x^2+15x+9)
13.)54-2x^3
2(27-x^3)
2(3-x)(3-x)(3-x)
2(3-x)( 9+3x+x^2)
14.) 500-108a^3
4(125-27a^3)
4(5-3a)(5-3a)(5-3a)
a b
Factor TEST 2
15.) 250u^3-128
2(125u^3-64)
2(5u-4)(5u-4)(5u-4)
(5u+(-4))(5u^2-(5u)(4)+4^2)
FACTORING TRINOMIALS
OF THE FORM X2
+ BX + C
Let’s factor! 
Recall by using the FOIL method that
F O I L
(x + 2)(x + 4) = x2
+ 4x + 2x + 8
= x2
+ 6x + 8
To factor x2
+ bx + c into (x + one #)(x + another
#), note that b is the sum of the two numbers and
c is the product of the two numbers.
So we’ll be looking for 2 numbers whose product
is c and whose sum is b.
Note: there are fewer choices for the product, so
that’s why we start there first.
FACTORING
POLYNOMIALS
Factor the polynomial x2
+ 13x + 30.
Since our two numbers must have a product of
30 and a sum of 13, the two numbers must both
be positive.
Positive factors of 30 Sum of Factors
1, 30 31
2, 15 17
3, 10 13
Note, there are other factors, but once we
find a pair that works, we do not have to
continue searching.
So x2
+ 13x + 30 = (x + 3)(x + 10).
Factoring Polynomials
Example
Factor the polynomial x2
– 11x + 24.
Since our two numbers must have a product of 24
and a sum of -11, the two numbers must both be
negative.
Negative factors of 24 Sum of Factors
– 1, – 24 – 25
– 2, – 12 – 14
– 3, – 8 – 11
So x2
– 11x + 24 = (x – 3)(x – 8).
Example
Factor the polynomial x2
– 2x – 35.
Since our two numbers must have a product of – 35
and a sum of – 2, the two numbers will have to
have different signs.
Factors of – 35 Sum of Factors
– 1, 35 34
1, – 35 – 34
– 5, 7 2
5, – 7 – 2
So x2
– 2x – 35 = (x + 5)(x – 7).
Example
Factor the polynomial x2
– 6x + 10.
Since our two numbers must have a product of 10
and a sum of – 6, the two numbers will have to
both be negative.
Negative factors of 10 Sum of Factors
– 1, – 10 – 11
– 2, – 5 – 7
Since there is not a factor pair whose sum is – 6,
x2
– 6x +10 is not factorable and we call it a
prime polynomial.
Example
You should always check your factoring results by
multiplying the factored polynomial to verify that it
is equal to the original polynomial.
Many times you can detect computational errors or
errors in the signs of your numbers by checking your
results.
Check Your Result!
FACTORING TRINOMIALS OF
THE FORM AX2
+ BX + C
Let’s factor it! 
FACTORING TRINOMIALS
Returning to the FOIL method,
F O I L
(3x + 2)(x + 4) = 3x2
+ 12x + 2x + 8
= 3x2
+ 14x + 8
To factor ax2
+ bx + c into (#1·x + #2)(#3·x + #4),
note that a is the product of the two first
coefficients, c is the product of the two last
coefficients and b is the sum of the products of
the outside coefficients and inside coefficients.
Note that b is the sum of 2 products, not just 2
numbers, as in the last section.
Factor the polynomial 25x2
+ 20x + 4.
Possible factors of 25x2
are {x, 25x} or {5x, 5x}.
Possible factors of 4 are {1, 4} or {2, 2}.
We need to methodically try each pair of factors until
we find a combination that works, or exhaust all of
our possible pairs of factors.
Keep in mind that, because some of our pairs are not
identical factors, we may have to exchange some
pairs of factors and make 2 attempts before we can
definitely decide a particular pair of factors will not
work.
Factoring Polynomials
Example
Continued.
We will be looking for a combination that gives the
sum of the products of the outside terms and the inside
terms equal to 20x.
{x, 25x} {1, 4} (x + 1)(25x + 4) 4x 25x 29x
(x + 4)(25x + 1) x 100x 101x
{x, 25x} {2, 2} (x + 2)(25x + 2) 2x 50x 52x
Factors
of 25x2
Resulting
Binomials
Product of
Outside Terms
Product of
Inside Terms
Sum of
Products
Factors
of 4
{5x, 5x} {2, 2} (5x + 2)(5x + 2) 10x 10x 20x
Example Continued
Continued.
Check the resulting factorization using the FOIL
method.
(5x + 2)(5x + 2) =
= 25x2
+ 10x + 10x + 4
5x(5x)
F
+ 5x(2)
O
+ 2(5x)
I
+ 2(2)
L
= 25x2
+ 20x + 4
So our final answer when asked to factor 25x2
+
20x + 4 will be (5x + 2)(5x + 2) or (5x + 2)2
.
Example Continued
Factor the polynomial 21x2
– 41x + 10.
Possible factors of 21x2
are {x, 21x} or {3x, 7x}.
Since the middle term is negative, possible
factors of 10 must both be negative: {-1, -10} or
{-2, -5}.
We need to methodically try each pair of factors
until we find a combination that works, or
exhaust all of our possible pairs of factors.
Example
Continued.
We will be looking for a combination that gives the
sum of the products of the outside terms and the
inside terms equal to 41x.
Factors
of 21x2
Resulting
Binomials
Product of
Outside Terms
Product of
Inside Terms
Sum of
Products
Factors
of 10
{x, 21x} {1, 10} (x – 1)(21x – 10) –10x 21x – 31x
(x – 10)(21x – 1) –x 210x – 211x
{x, 21x} {2, 5} (x – 2)(21x – 5) –5x 42x – 47x
(x – 5)(21x – 2) –2x 105x – 107x
Example Continued
Continued.
Factors
of 21x2
Resulting
Binomials
Product of
Outside Terms
Product of
Inside Terms
Sum of
Products
Factors
of 10
(3x – 5)(7x – 2) 6x 35x 41x
{3x, 7x} {1, 10} (3x – 1)(7x – 10) 30x 7x 37x
(3x – 10)(7x – 1) 3x 70x 73x
{3x, 7x} {2, 5} (3x – 2)(7x – 5) 15x 14x 29x
Example Continued
Continued.
Check the resulting factorization using the FOIL
method.
(3x – 5)(7x – 2) =
= 21x2
– 6x – 35x + 10
3x(7x)
F
+ 3x(-2)
O
- 5(7x)
I
- 5(-2)
L
= 21x2
– 41x + 10
So our final answer when asked to factor
21x2
– 41x + 10 will be (3x – 5)(7x – 2).
Example Continued
Factor the polynomial 3x2
– 7x + 6.
The only possible factors for 3 are 1 and 3, so we know that, if factorable,
the polynomial will have to look like (3x )(x ) in factored form, so
that the product of the first two terms in the binomials will be 3x2
.
Since the middle term is negative, possible factors of 6 must both be
negative: {1,  6} or { 2,  3}.
We need to methodically try each pair of factors until we find a
combination that works, or exhaust all of our possible pairs of factors.
Example
Continued.
We will be looking for a combination that gives the sum
of the products of the outside terms and the inside
terms equal to 7x.
{1, 6} (3x – 1)(x – 6) 18x x 19x
(3x – 6)(x – 1) Common factor so no need to test.
{2, 3} (3x – 2)(x – 3) 9x 2x 11x
(3x – 3)(x – 2) Common factor so no need to test.
Factors
of 6
Resulting
Binomials
Product of
Outside Terms
Product of
Inside Terms
Sum of
Products
Example Continued
Continued.
Now we have a problem, because we have
exhausted all possible choices for the
factors, but have not found a pair where
the sum of the products of the outside
terms and the inside terms is –7.
So 3x2
– 7x + 6 is a prime polynomial and
will not factor.
Example Continued
Factor the polynomial 6x2
y2
– 2xy2
– 60y2
.
Remember that the larger the coefficient, the
greater the probability of having multiple pairs of
factors to check. So it is important that you
attempt to factor out any common factors first.
6x2
y2
– 2xy2
– 60y2
= 2y2
(3x2
– x – 30)
The only possible factors for 3 are 1 and 3, so we
know that, if we can factor the polynomial further,
it will have to look like 2y2
(3x )(x ) in
factored form.
Example
Continued.
Since the product of the last two terms of the
binomials will have to be –30, we know that
they must be different signs.
Possible factors of –30 are {–1, 30}, {1, –30}, {–2,
15}, {2, –15}, {–3, 10}, {3, –10}, {–5, 6} or {5, –6}.
We will be looking for a combination that gives
the sum of the products of the outside terms and
the inside terms equal to –x.
Example Continued
Continued.
Factors
of -30
Resulting
Binomials
Product of
Outside Terms
Product of
Inside Terms
Sum of
Products
{-1, 30} (3x – 1)(x + 30) 90x -x 89x
(3x + 30)(x – 1) Common factor so no need to test.
{1, -30} (3x + 1)(x – 30) -90x x -89x
(3x – 30)(x + 1) Common factor so no need to test.
{-2, 15} (3x – 2)(x + 15) 45x -2x 43x
(3x + 15)(x – 2) Common factor so no need to test.
{2, -15} (3x + 2)(x – 15) -45x 2x -43x
(3x – 15)(x + 2) Common factor so no need to test.
Example Continued
Continued.
Factors
of –30
Resulting
Binomials
Product of
Outside Terms
Product of
Inside Terms
Sum of
Products
{–3, 10} (3x – 3)(x + 10) Common factor so no need to test.
(3x + 10)(x – 3) –9x 10x x
{3, –10} (3x + 3)(x – 10) Common factor so no need to test.
(3x – 10)(x + 3) 9x –10x –x
Example Continued
Continued.
Check the resulting factorization using the FOIL
method.
(3x – 10)(x + 3) =
= 3x2
+ 9x – 10x – 30
3x(x)
F
+ 3x(3)
O
– 10(x)
I
– 10(3)
L
= 3x2
– x – 30
So our final answer when asked to factor
the polynomial 6x2
y2
– 2xy2
– 60y2
will be
2y2
(3x – 10)(x + 3).
Example Continued
Factoring Trinomials of the
Form x2
+ bx + c by Grouping
Factoring polynomials often involves
additional techniques after initially factoring
out the GCF.
One technique is factoring by grouping.
Factor xy + y + 2x + 2 by grouping.
Notice that, although 1 is the GCF for all four
terms of the polynomial, the first 2 terms
have a GCF of y and the last 2 terms have a
GCF of 2.
xy + y + 2x + 2 = x · y + 1 · y + 2 · x + 2 · 1 =
y(x + 1) + 2(x + 1) = (x + 1)(y + 2)
Factoring by Grouping
Example
Factoring a Four-Term Polynomial by Grouping
1) Arrange the terms so that the first two terms have a
common factor and the last two terms have a common
factor.
2) For each pair of terms, use the distributive property to
factor out the pair’s greatest common factor.
3) If there is now a common binomial factor, factor it out.
4) If there is no common binomial factor in step 3, begin
again, rearranging the terms differently.
• If no rearrangement leads to a common binomial
factor, the polynomial cannot be factored.
1) x3
+ 4x + x2
+ 4 = x · x2
+ x · 4 + 1 · x2
+ 1 · 4
= x(x2
+ 4) + 1(x2
+ 4)
= (x2
+ 4)(x + 1)
2) 2x3
– x2
– 10x + 5 = x2
· 2x – x2
· 1 – 5 · 2x – 5 · (– 1)
= x2
(2x – 1) – 5(2x – 1)
= (2x – 1)(x2
– 5)
Factor each of the following polynomials by
grouping.
Example
Factor 2x – 9y + 18 – xy by grouping.
Neither pair has a common factor (other than 1).
So, rearrange the order of the factors.
2x + 18 – 9y – xy = 2 · x + 2 · 9 – 9 · y – x · y
= 2(x + 9) – y(9 + x)
= 2(x + 9) – y(x +
9) = (x + 9)(2 –
y)
(make sure the factors are identical)
Example
Factoring Perfect Square
Trinomials and the Difference of
Two Squares
Recall that in our very first example in
Section 4.3 we attempted to factor the
polynomial 25x2
+ 20x + 4.
The result was (5x + 2)2
, an example of a
binomial squared.
Any trinomial that factors into a single
binomial squared is called a perfect
square trinomial.
Perfect Square Trinomials
In the last lesson we learned a shortcut for
squaring a binomial
(a + b)2
= a2
+ 2ab + b2
(a – b)2
= a2
– 2ab + b2
So if the first and last terms of our polynomial to
be factored are can be written as expressions
squared, and the middle term of our polynomial
is twice the product of those two expressions,
then we can use these two previous equations to
easily factor the polynomial.
a2
+ 2ab + b2
= (a + b)2
a2
– 2ab + b2
= (a – b)2
Factor the polynomial 16x2
– 8xy + y2
.
Since the first term, 16x2
, can be written as
(4x)2
, and the last term, y2
is obviously a
square, we check the middle term.
8xy = 2(4x)(y) (twice the product of the
expressions that are squared to get the first
and last terms of the polynomial)
Therefore 16x2
– 8xy + y2
= (4x – y)2
.
Note: You can use FOIL method to verify that
the factorization for the polynomial is accurate.
Example
DIFFERENCE OF TWO SQUARES
Another shortcut for factoring a trinomial is when we
want to factor the difference of two squares.
a2
– b2
= (a + b)(a – b)
A binomial is the difference of two square if
1.both terms are squares and
2.the signs of the terms are different.
9x2
– 25y2
– c4
+ d4
Example
Factor the polynomial x2
– 9.
The first term is a square and the last term, 9,
can be written as 32
. The signs of each term
are different, so we have the difference of two
squares
Therefore x2
– 9 = (x – 3)(x + 3).
Note: You can use FOIL method to verify that
the factorization for the polynomial is accurate.
Solving Quadratic Equations
by Factoring
ZERO FACTOR THEOREM
Quadratic Equations
• Can be written in the form ax2
+ bx + c = 0.
• a, b and c are real numbers and a  0.
• This is referred to as standard form.
Zero Factor Theorem
• If a and b are real numbers and ab = 0, then a = 0 or b =
0.
• This theorem is very useful in solving quadratic
equations.
SOLVING QUADRATIC EQUATIONS
Steps for Solving a Quadratic Equation by
Factoring
1) Write the equation in standard form.
2) Factor the quadratic completely.
3) Set each factor containing a variable equal to 0.
4) Solve the resulting equations.
5) Check each solution in the original equation.
Solve x2
– 5x = 24.
• First write the quadratic equation in standard form.
x2
– 5x – 24 = 0
• Now we factor the quadratic using techniques from the
previous sections.
x2
– 5x – 24 = (x – 8)(x + 3) = 0
• We set each factor equal to 0.
x – 8 = 0 or x + 3 = 0, which will simplify to
x = 8 or x = – 3
Example
Continued.
• Check both possible answers in the original equation.
82
– 5(8) = 64 – 40 = 24 true
(–3)2
– 5(–3) = 9 – (–15) = 24 true
• So our solutions for x are 8 or –3.
Example Continued
Solve 4x(8x + 9) = 5
• First write the quadratic equation in standard form.
32x2
+ 36x = 5
32x2
+ 36x – 5 = 0
• Now we factor the quadratic using techniques from
the previous sections.
32x2
+ 36x – 5 = (8x – 1)(4x + 5) = 0
• We set each factor equal to 0.
8x – 1 = 0 or 4x + 5 = 0
Example
Continued.
8x = 1 or 4x = – 5, which simplifies to x = or
5
.
4

1
8
• Check both possible answers in the original equation.
   
      
1 1 1
4 8 9 4 1 9 4 (10) (10) 5
8
1
8
1
8 8 2
      true
   
      
5 5
4 8 9 4 10 9 4 ( 1) ( 5)( 1) 5
4
5 5
4 4
4
          
 
 true
• So our solutions for x are or .
8
1
4
5

Example Continued
FINDING X-INTERCEPTS
Recall that in Chapter 3, we found the x-intercept of
linear equations by letting y = 0 and solving for x.
The same method works for x-intercepts in
quadratic equations.
Note: When the quadratic equation is written in
standard form, the graph is a parabola opening up
(when a > 0) or down (when a < 0), where a is the
coefficient of the x2
term.
The intercepts will be where the parabola crosses
the x-axis.
Find the x-intercepts of the graph of
y = 4x2
+ 11x + 6.
The equation is already written in standard form, so we let y
= 0, then factor the quadratic in x.
0 = 4x2
+ 11x + 6 = (4x + 3)(x + 2)
We set each factor equal to 0 and solve for x.
4x + 3 = 0 or x + 2 = 0
4x = –3 or x = –2
x = –¾ or x = –2
So the x-intercepts are the points (–¾, 0) and (–2, 0).
Example
Quadratic Equations
and Problem Solving
STRATEGY FOR PROBLEM SOLVING
General Strategy for Problem Solving
1) Understand the problem
• Read and reread the problem
• Choose a variable to represent the
unknown
• Construct a drawing, whenever possible
• Propose a solution and check
2) Translate the problem into an equation
3) Solve the equation
4) Interpret the result
• Check proposed solution in problem
• State your conclusion
The product of two consecutive positive integers is 132. Find the two integers.
1.) Understand
Read and reread the problem. If we let
x = one of the unknown positive integers, then
x + 1 = the next consecutive positive integer.
Finding an Unknown Number
Example
Continued
Example continued
2.) Translate
Continued
two consecutive positive
integers
x (x + 1)
is
=
132
132
•
The product of
Example continued
3.) Solve
Continued
x(x + 1) = 132
x2
+ x = 132 (Distributive property)
x2
+ x – 132 = 0 (Write quadratic in standard form)
(x + 12)(x – 11) = 0 (Factor quadratic polynomial)
x + 12 = 0 or x – 11 = 0 (Set factors equal to 0)
x = –12 or x = 11 (Solve each factor for x)
Example continued
4.) Interpret
Check: Remember that x is suppose to represent a positive integer. So,
although x = -12 satisfies our equation, it cannot be a solution for the
problem we were presented.
If we let x = 11, then x + 1 = 12. The product of the two numbers is 11 · 12
= 132, our desired result.
State: The two positive integers are 11 and 12.
Pythagorean Theorem
In a right triangle, the sum of the squares of
the lengths of the two legs is equal to the
square of the length of the hypotenuse.
(leg a)2
+ (leg b)2
= (hypotenuse)2
leg a
hypotenuse
leg b
The Pythagorean Theorem
Find the length of the shorter leg of a right triangle if the longer leg is 10
miles more than the shorter leg and the hypotenuse is 10 miles less than twice
the shorter leg.
Example
Continued
1.) Understand
Read and reread the problem. If we let
x = the length of the shorter leg, then
x + 10 = the length of the longer leg and
2x – 10 = the length of the hypotenuse.
x
+ 10
2 - 10
x
x
Example continued
2.) Translate
Continued
By the Pythagorean Theorem,
(leg a)2
+ (leg b)2
= (hypotenuse)2
x2
+ (x + 10)2
= (2x – 10)2
3.) Solve
x2
+ (x + 10)2
= (2x – 10)2
x2
+ x2
+ 20x + 100 = 4x2
– 40x + 100 (multiply the binomials)
2x2
+ 20x + 100 = 4x2
– 40x + 100 (simplify left side)
x = 0 or x = 30 (set each factor = 0 and solve)
0 = 2x(x – 30) (factor right side)
0 = 2x2
– 60x (subtract 2x2
+ 20x + 100 from both sides)
Example continued
4.) Interpret
Check: Remember that x is suppose to represent the length of the shorter
side. So, although x = 0 satisfies our equation, it cannot be a solution for
the problem we were presented.
If we let x = 30, then x + 10 = 40 and 2x – 10 = 50. Since 302 + 402 = 900 +
1600 = 2500 = 502, the Pythagorean Theorem checks out.
State: The length of the shorter leg is 30 miles. (Remember that is all we
were asked for in this problem.)

3factoringpolynomials-121028023233-phpapp01.pptx

  • 1.
  • 2.
    1 – TheGreatest Common Factor 2 – Factoring Trinomials of the Form x2 + bx + c 3 – Factoring Trinomials of the Form ax2 + bx + c 4 – Factoring Trinomials of the Form x2 + bx + c by Grouping 5 – Factoring Perfect Square Trinomials and Diff erence of Two Squares 6 – Solving Quadratic Equations by Factoring 7 – Quadratic Equations and Problem Solving SECTIONS
  • 3.
  • 4.
    FACTORS Factors (either numbersor polynomials) When an integer is written as a product of integers, each of the integers in the product is a factor of the original number. When a polynomial is written as a product of polynomials, each of the polynomials in the product is a factor of the original polynomial. Factoring – writing a polynomial as a product of polynomials.
  • 5.
    GREATEST COMMON FACTOR Greatestcommon factor – largest quantity that is a factor of all the integers or polynomials involved. Finding the GCF of a List of Integers or Terms 1) Prime factor the numbers. 2) Identify common prime factors. 3) Take the product of all common prime factors. • If there are no common prime factors, GCF is 1.
  • 6.
    Find the GCFof each list of numbers. 1) 12 and 8 12 = 2 · 2 · 3 1 x12, 2x6, 3x4 8 = 2 · 2 · 2, 4x2 1x8 So the GCF is 2 · 2 = 4. 2) 7 and 20 7 = 1 · 7 20 = 2 · 2 · 5 There are no common prime factors so the GCF is 1. Example
  • 7.
    Find the GCFof each list of numbers. 1) 6, 8 and 46 6 = 2 · 3 8 = 2 · 2 · 2 46 = 2 · 23 So the GCF is 2. 2) 144, 256 and 300 144 = 2 · 2 · 2 · 3 · 3 256 = 2 · 2 · 2 · 2 · 2 · 2 · 2 · 2 300 = 2 · 2 · 3 · 5 · 5 So the GCF is 2 · 2 = 4. Greatest Common Factor Example
  • 8.
    1) x3 and x7 x3 =x · x · x x7 = x · x · x · x · x · x · x So the GCF is x · x · x = x3 2) 6x5 and 4x3 6x5 = 2 · 3 · x · x · x 4x3 = 2 · 2 · x · x · x So the GCF is 2 · x · x · x = 2x3 Find the GCF of each list of terms. Example
  • 9.
    Find the GCFof the following list of terms. a3 b2 , a2 b5 and a4 b7 a3 b2 = a · a · a · b · b a2 b5 = a · a · b · b · b · b · b a4 b7 = a · a · a · a · b · b · b · b · b · b · b So the GCF is a · a · b · b = a2 b2 Notice that the GCF of terms containing variables will use the smallest exponent found amongst the individual terms for each variable. Example
  • 10.
    The first stepin factoring a polynomial is to find the GCF of all its terms. Then we write the polynomial as a product by factoring out the GCF from all the terms. The remaining factors in each term will form a polynomial. Factoring Polynomials
  • 11.
    Factor out theGCF in each of the following polynomials. 1) 6x3 – 9x2 + 12x =3 · x · 2 · x2 – 3 · x · 3 · x + 3 · x · 4 =3x(2x2 – 3x + 4) 6; 1x6, 3x2 =3x(2x^2- 3x+4) 9; 1x9, 3x3 12; 1x12, 2x6, 3x4 2) 14x3 y + 7x2 y – 7xy =7 · x · y · 2 · x2 + 7 · x · y · x – 7 · x · y · 1 =7xy(2x2 + x – 1) Factoring out the GCF Example
  • 12.
    Factor out theGCF in each of the following polynomials. 1) 6x3 – 9x2 + 12x =3 · x · 2 · x2 – 3 · x · 3 · x + 3 · x · 4 =3x(2x2 – 3x + 4) 2) 14x3 y + 7x2 y – 7xy =7 · x · y · 2 · x2 + 7 · x · y · x – 7 · x · y · 1 =7xy(2x2 + x – 1) 14: 14x1, 2x7 7: 7x1 =7xy(2x^2+ x - 1) 7: 7x1 Factoring out the GCF Example
  • 13.
    Factor out theGCF in each of the following polynomials. 1) 6x3 – 9x2 + 12x =3 · x · 2 · x2 – 3 · x · 3 · x + 3 · x · 4 =3x(2x2 – 3x + 4) 2) 14x3 y + 7x2 y – 7xy =7 · x · y · 2 · x2 + 7 · x · y · x – 7 · x · y · 1 =7xy(2x2 + x – 1) 14: 14x1, 2x7 7: 7x1 =7xy(2x^2+ x - 1) 7: 7x1 Factoring out the GCF Example
  • 14.
    Factor out theGCF in each of the following polynomials. x^2+7x+12 x^2- First Term : (x)(x) 7x- second term ADDITION : 1+6,2+5,3+4, 12- Third Term or Constant MULTIPLICATION : 3 and 4 (x + 3 )(x +4 ) Factoring out the GCF Example
  • 15.
    Factor out theGCF in each of the following polynomials. x^2+7x+12 x^2- First Term : (x)(x) 7x- second term ADDITION : 1+6,2+5,3+4, 12- Third Term or Constant MULTIPLICATION : 3 and 4 (x + 3 )(x +4 ) Factoring out the GCF Example
  • 16.
    Factor out theGCF in each of the following polynomials. x^2+3x-28 x: (x)(x) 3: 4-1, 5-2, 6-3, 7-4, -28: (7)(-4) (x +7)(x - 4) Factoring out the GCF Example
  • 17.
    Factor out theGCF in each of the following polynomials. 1. x^2 - 6x+9 2. x^2+2x-24 =(x-3)(x-3) = Factoring out the GCF Example
  • 18.
    Factor out theGCF in each of the following polynomials. Factoring out the GCF Example
  • 19.
  • 20.
    Factoring out theGCF x^4+3x^2-18 3x^2 = Addition/Addition 18= multiply 3 p^2 − 2 p − 5 (3p^2-5p)+(3p-5) -15 -2 -5 3
  • 21.
    Factoring out theGCF 2x^7-128x ax^2 +bx+c a^2+b^2 2x(x^6-64) 2x(x^2-4)(x^4-4+16) 2x(x-2)(x+2)(x^4-4+16)
  • 22.
    Remember that factoringout the GCF from the terms of a polynomial should always be the first step in factoring a polynomial. This will usually be followed by additional steps in the process. Factor 25k^3+40k^2+35k+56 (25k^3+40k^2)+(35k+56) 25k^3+40k^2 =5k^2(5k+8) 25k^3= (5k)(5k^2), (25k^2)(k) 40k^2= (4k^2)(10k), (40k^2)(k), (8k)(5k^2) Example
  • 23.
    Remember that factoringout the GCF from the terms of a polynomial should always be the first step in factoring a polynomial. This will usually be followed by additional steps in the process. Factor 25k^3+40k^2+35k+56 (25k^3+40k^2)+(35k+56) 35k+56 7(5k+8) Example
  • 24.
    Remember that factoringout the GCF from the terms of a polynomial should always be the first step in factoring a polynomial. This will usually be followed by additional steps in the process. Factor 25k^3+40k^2+35k+56 =5k^2(5k+8)+7(5k+8) (5k^2+7)(5k+8) Example
  • 25.
    Remember that factoringout the GCF from the terms of a polynomial should always be the first step in factoring a polynomial. This will usually be followed by additional steps in the process. Factor 98n^5+70n^4-245n^3-175n^2 98 :2x49, 7x14, 70 : 7x10, 70x1 -245 ; 7x-35, 5x-49, -175: 5x-35, 7x-25 Example
  • 26.
    Remember that factoringout the GCF from the terms of a polynomial should always be the first step in factoring a polynomial. This will usually be followed by additional steps in the process. Factor 98n^5+70n^4-245n^3-175n^2 =7n^2(14n^3+10n^2-35n-25) Example
  • 27.
    Remember that factoringout the GCF from the terms of a polynomial should always be the first step in factoring a polynomial. This will usually be followed by additional steps in the process. Factor =7n^2(14n^3+10n^2-35n-25) (14n^3+10n^2)+(-35n-25) 14n^3+10n^2 -35n-25 2n^2(7n+5) -5(7n+5) (2n^2-5)(7n+5) =7n^2(2n^2-5)(7n+5) Example
  • 28.
    Remember that factoringout the GCF from the terms of a polynomial should always be the first step in factoring a polynomial. This will usually be followed by additional steps in the process. Factor 280m^4+160m^3+56m^2+32m Example
  • 29.
  • 30.
  • 31.
    Factor 20m^6+23m^4+6m^2 120: 15 x8 (20m^6+15m^4)+(8m^4+6m^2) 5m^4(4m^2+3)+2m^2(4m^2+3) (5m^4+2m^2)(4m^2+3) =m^2(5m^2+2)(4m^2+3)
  • 32.
    Factor (40a^5+38a^3-12a) -480: 240x2, 40x -12, 48 x -10 (40a^5+48a^3)+(-10a^3-12a) 8a^3(5a^2+6)-2a(5a^2+6) (8a^3-2a)(5a^2+6) (2a-1)(2a+1)(2a) (2a)(5a^2+6)(2q-1)(2a+1)
  • 33.
    Factor TEST 2 1.)12p^3-60p^2+2p-10 (12p^3-60p^2)+(2p-10) 12p^2(p-5)+2(p-5) (12p^2+2)(p-5) =2(6p^2+1)(p-5) 2.) 175x^3+70x^2-105x-42 (175x^3+70x^2)+(-105x-42) 35x^2(5x+2)-21(5x+2) (35x^2-21)(5x+2) 7(5x^2-3)(5x+2)
  • 34.
    Factor TEST 2 3.)(5r^3+25r^2)+(-r-5) 5r^2(r+5)-1(r+5) (5r^2-1)(r+5) 4.) 2p^3-8p^2 2p^2(p-4) 5.) 2a^2+18a+40 80: 10x8 (2a^2+10a)+(8a+40) 2a(a+5)+8(a+5) (2a+8)(a+5) 2(a+4)(a+5)
  • 35.
    Factor TEST 2 6.)2v^2-14v-16 (2v^2-16v)+(2v-16) 2v(v-8)+2(v-8) (2v+2)(v-8) 2(v+1)(v-8) 7.) 8b^2-112b+360 2880: (-72)+(-40) =(8b^2-72b)+(-40b+360) =8b(b-9)-40(b-9) (8b-40)(b-9) 8(b-5)(b-9) 8.) m^2-16m^2 (m-4)(m+4) 9.) 25m^2-1n^2 (5m-n)(5m+n) 10.) x^3+216
  • 36.
  • 37.
    Factor TEST 2 10.)x^3+216 (a^3+b^3) = (a+b)(a^2-ab+b^2) (x+6)(x+6)(x+6) (a+b)(a^2-ab+b^2) a b (x+6)(x^2-(x)(6)+6^2 =(x+6)(x^2-6x+36)
  • 38.
    Factor TEST 2 EXAMPLE:CUBICFACTORING 8x^3+27 =(2x+3)(2x+3)(2x+3) 2x2x2=8 3x3x3=27 a b (a+b)(a^2-ab+b^2) (2x+3)(2x^2-(2x)(3)+3^2) (2x+3)(4x^2-6x+9) 11.) 27+125u^3 (a+b)(a^2-ab+b^2) (3+5u)(3+5u)(3+5u) (3+5u)(3^2-(3)(5u)+5u^2) a b (3+5u)(9-15u+25u^2)
  • 39.
    Factor TEST 2 12.)(5x-3) (a+b)(a^2-ab+b^2) a b (5x+(-3))(5x^2-(5x)(-3)+(-3)^2 (5x-3)(25x^2+15x+9) 13.)54-2x^3 2(27-x^3) 2(3-x)(3-x)(3-x) 2(3-x)( 9+3x+x^2) 14.) 500-108a^3 4(125-27a^3) 4(5-3a)(5-3a)(5-3a) a b
  • 40.
    Factor TEST 2 15.)250u^3-128 2(125u^3-64) 2(5u-4)(5u-4)(5u-4) (5u+(-4))(5u^2-(5u)(4)+4^2)
  • 41.
    FACTORING TRINOMIALS OF THEFORM X2 + BX + C Let’s factor! 
  • 42.
    Recall by usingthe FOIL method that F O I L (x + 2)(x + 4) = x2 + 4x + 2x + 8 = x2 + 6x + 8 To factor x2 + bx + c into (x + one #)(x + another #), note that b is the sum of the two numbers and c is the product of the two numbers. So we’ll be looking for 2 numbers whose product is c and whose sum is b. Note: there are fewer choices for the product, so that’s why we start there first. FACTORING POLYNOMIALS
  • 43.
    Factor the polynomialx2 + 13x + 30. Since our two numbers must have a product of 30 and a sum of 13, the two numbers must both be positive. Positive factors of 30 Sum of Factors 1, 30 31 2, 15 17 3, 10 13 Note, there are other factors, but once we find a pair that works, we do not have to continue searching. So x2 + 13x + 30 = (x + 3)(x + 10). Factoring Polynomials Example
  • 44.
    Factor the polynomialx2 – 11x + 24. Since our two numbers must have a product of 24 and a sum of -11, the two numbers must both be negative. Negative factors of 24 Sum of Factors – 1, – 24 – 25 – 2, – 12 – 14 – 3, – 8 – 11 So x2 – 11x + 24 = (x – 3)(x – 8). Example
  • 45.
    Factor the polynomialx2 – 2x – 35. Since our two numbers must have a product of – 35 and a sum of – 2, the two numbers will have to have different signs. Factors of – 35 Sum of Factors – 1, 35 34 1, – 35 – 34 – 5, 7 2 5, – 7 – 2 So x2 – 2x – 35 = (x + 5)(x – 7). Example
  • 46.
    Factor the polynomialx2 – 6x + 10. Since our two numbers must have a product of 10 and a sum of – 6, the two numbers will have to both be negative. Negative factors of 10 Sum of Factors – 1, – 10 – 11 – 2, – 5 – 7 Since there is not a factor pair whose sum is – 6, x2 – 6x +10 is not factorable and we call it a prime polynomial. Example
  • 47.
    You should alwayscheck your factoring results by multiplying the factored polynomial to verify that it is equal to the original polynomial. Many times you can detect computational errors or errors in the signs of your numbers by checking your results. Check Your Result!
  • 48.
    FACTORING TRINOMIALS OF THEFORM AX2 + BX + C Let’s factor it! 
  • 49.
    FACTORING TRINOMIALS Returning tothe FOIL method, F O I L (3x + 2)(x + 4) = 3x2 + 12x + 2x + 8 = 3x2 + 14x + 8 To factor ax2 + bx + c into (#1·x + #2)(#3·x + #4), note that a is the product of the two first coefficients, c is the product of the two last coefficients and b is the sum of the products of the outside coefficients and inside coefficients. Note that b is the sum of 2 products, not just 2 numbers, as in the last section.
  • 50.
    Factor the polynomial25x2 + 20x + 4. Possible factors of 25x2 are {x, 25x} or {5x, 5x}. Possible factors of 4 are {1, 4} or {2, 2}. We need to methodically try each pair of factors until we find a combination that works, or exhaust all of our possible pairs of factors. Keep in mind that, because some of our pairs are not identical factors, we may have to exchange some pairs of factors and make 2 attempts before we can definitely decide a particular pair of factors will not work. Factoring Polynomials Example Continued.
  • 51.
    We will belooking for a combination that gives the sum of the products of the outside terms and the inside terms equal to 20x. {x, 25x} {1, 4} (x + 1)(25x + 4) 4x 25x 29x (x + 4)(25x + 1) x 100x 101x {x, 25x} {2, 2} (x + 2)(25x + 2) 2x 50x 52x Factors of 25x2 Resulting Binomials Product of Outside Terms Product of Inside Terms Sum of Products Factors of 4 {5x, 5x} {2, 2} (5x + 2)(5x + 2) 10x 10x 20x Example Continued Continued.
  • 52.
    Check the resultingfactorization using the FOIL method. (5x + 2)(5x + 2) = = 25x2 + 10x + 10x + 4 5x(5x) F + 5x(2) O + 2(5x) I + 2(2) L = 25x2 + 20x + 4 So our final answer when asked to factor 25x2 + 20x + 4 will be (5x + 2)(5x + 2) or (5x + 2)2 . Example Continued
  • 53.
    Factor the polynomial21x2 – 41x + 10. Possible factors of 21x2 are {x, 21x} or {3x, 7x}. Since the middle term is negative, possible factors of 10 must both be negative: {-1, -10} or {-2, -5}. We need to methodically try each pair of factors until we find a combination that works, or exhaust all of our possible pairs of factors. Example Continued.
  • 54.
    We will belooking for a combination that gives the sum of the products of the outside terms and the inside terms equal to 41x. Factors of 21x2 Resulting Binomials Product of Outside Terms Product of Inside Terms Sum of Products Factors of 10 {x, 21x} {1, 10} (x – 1)(21x – 10) –10x 21x – 31x (x – 10)(21x – 1) –x 210x – 211x {x, 21x} {2, 5} (x – 2)(21x – 5) –5x 42x – 47x (x – 5)(21x – 2) –2x 105x – 107x Example Continued Continued.
  • 55.
    Factors of 21x2 Resulting Binomials Product of OutsideTerms Product of Inside Terms Sum of Products Factors of 10 (3x – 5)(7x – 2) 6x 35x 41x {3x, 7x} {1, 10} (3x – 1)(7x – 10) 30x 7x 37x (3x – 10)(7x – 1) 3x 70x 73x {3x, 7x} {2, 5} (3x – 2)(7x – 5) 15x 14x 29x Example Continued Continued.
  • 56.
    Check the resultingfactorization using the FOIL method. (3x – 5)(7x – 2) = = 21x2 – 6x – 35x + 10 3x(7x) F + 3x(-2) O - 5(7x) I - 5(-2) L = 21x2 – 41x + 10 So our final answer when asked to factor 21x2 – 41x + 10 will be (3x – 5)(7x – 2). Example Continued
  • 57.
    Factor the polynomial3x2 – 7x + 6. The only possible factors for 3 are 1 and 3, so we know that, if factorable, the polynomial will have to look like (3x )(x ) in factored form, so that the product of the first two terms in the binomials will be 3x2 . Since the middle term is negative, possible factors of 6 must both be negative: {1,  6} or { 2,  3}. We need to methodically try each pair of factors until we find a combination that works, or exhaust all of our possible pairs of factors. Example Continued.
  • 58.
    We will belooking for a combination that gives the sum of the products of the outside terms and the inside terms equal to 7x. {1, 6} (3x – 1)(x – 6) 18x x 19x (3x – 6)(x – 1) Common factor so no need to test. {2, 3} (3x – 2)(x – 3) 9x 2x 11x (3x – 3)(x – 2) Common factor so no need to test. Factors of 6 Resulting Binomials Product of Outside Terms Product of Inside Terms Sum of Products Example Continued Continued.
  • 59.
    Now we havea problem, because we have exhausted all possible choices for the factors, but have not found a pair where the sum of the products of the outside terms and the inside terms is –7. So 3x2 – 7x + 6 is a prime polynomial and will not factor. Example Continued
  • 60.
    Factor the polynomial6x2 y2 – 2xy2 – 60y2 . Remember that the larger the coefficient, the greater the probability of having multiple pairs of factors to check. So it is important that you attempt to factor out any common factors first. 6x2 y2 – 2xy2 – 60y2 = 2y2 (3x2 – x – 30) The only possible factors for 3 are 1 and 3, so we know that, if we can factor the polynomial further, it will have to look like 2y2 (3x )(x ) in factored form. Example Continued.
  • 61.
    Since the productof the last two terms of the binomials will have to be –30, we know that they must be different signs. Possible factors of –30 are {–1, 30}, {1, –30}, {–2, 15}, {2, –15}, {–3, 10}, {3, –10}, {–5, 6} or {5, –6}. We will be looking for a combination that gives the sum of the products of the outside terms and the inside terms equal to –x. Example Continued Continued.
  • 62.
    Factors of -30 Resulting Binomials Product of OutsideTerms Product of Inside Terms Sum of Products {-1, 30} (3x – 1)(x + 30) 90x -x 89x (3x + 30)(x – 1) Common factor so no need to test. {1, -30} (3x + 1)(x – 30) -90x x -89x (3x – 30)(x + 1) Common factor so no need to test. {-2, 15} (3x – 2)(x + 15) 45x -2x 43x (3x + 15)(x – 2) Common factor so no need to test. {2, -15} (3x + 2)(x – 15) -45x 2x -43x (3x – 15)(x + 2) Common factor so no need to test. Example Continued Continued.
  • 63.
    Factors of –30 Resulting Binomials Product of OutsideTerms Product of Inside Terms Sum of Products {–3, 10} (3x – 3)(x + 10) Common factor so no need to test. (3x + 10)(x – 3) –9x 10x x {3, –10} (3x + 3)(x – 10) Common factor so no need to test. (3x – 10)(x + 3) 9x –10x –x Example Continued Continued.
  • 64.
    Check the resultingfactorization using the FOIL method. (3x – 10)(x + 3) = = 3x2 + 9x – 10x – 30 3x(x) F + 3x(3) O – 10(x) I – 10(3) L = 3x2 – x – 30 So our final answer when asked to factor the polynomial 6x2 y2 – 2xy2 – 60y2 will be 2y2 (3x – 10)(x + 3). Example Continued
  • 65.
    Factoring Trinomials ofthe Form x2 + bx + c by Grouping
  • 66.
    Factoring polynomials ofteninvolves additional techniques after initially factoring out the GCF. One technique is factoring by grouping. Factor xy + y + 2x + 2 by grouping. Notice that, although 1 is the GCF for all four terms of the polynomial, the first 2 terms have a GCF of y and the last 2 terms have a GCF of 2. xy + y + 2x + 2 = x · y + 1 · y + 2 · x + 2 · 1 = y(x + 1) + 2(x + 1) = (x + 1)(y + 2) Factoring by Grouping Example
  • 67.
    Factoring a Four-TermPolynomial by Grouping 1) Arrange the terms so that the first two terms have a common factor and the last two terms have a common factor. 2) For each pair of terms, use the distributive property to factor out the pair’s greatest common factor. 3) If there is now a common binomial factor, factor it out. 4) If there is no common binomial factor in step 3, begin again, rearranging the terms differently. • If no rearrangement leads to a common binomial factor, the polynomial cannot be factored.
  • 68.
    1) x3 + 4x+ x2 + 4 = x · x2 + x · 4 + 1 · x2 + 1 · 4 = x(x2 + 4) + 1(x2 + 4) = (x2 + 4)(x + 1) 2) 2x3 – x2 – 10x + 5 = x2 · 2x – x2 · 1 – 5 · 2x – 5 · (– 1) = x2 (2x – 1) – 5(2x – 1) = (2x – 1)(x2 – 5) Factor each of the following polynomials by grouping. Example
  • 69.
    Factor 2x –9y + 18 – xy by grouping. Neither pair has a common factor (other than 1). So, rearrange the order of the factors. 2x + 18 – 9y – xy = 2 · x + 2 · 9 – 9 · y – x · y = 2(x + 9) – y(9 + x) = 2(x + 9) – y(x + 9) = (x + 9)(2 – y) (make sure the factors are identical) Example
  • 70.
    Factoring Perfect Square Trinomialsand the Difference of Two Squares
  • 71.
    Recall that inour very first example in Section 4.3 we attempted to factor the polynomial 25x2 + 20x + 4. The result was (5x + 2)2 , an example of a binomial squared. Any trinomial that factors into a single binomial squared is called a perfect square trinomial. Perfect Square Trinomials
  • 72.
    In the lastlesson we learned a shortcut for squaring a binomial (a + b)2 = a2 + 2ab + b2 (a – b)2 = a2 – 2ab + b2 So if the first and last terms of our polynomial to be factored are can be written as expressions squared, and the middle term of our polynomial is twice the product of those two expressions, then we can use these two previous equations to easily factor the polynomial. a2 + 2ab + b2 = (a + b)2 a2 – 2ab + b2 = (a – b)2
  • 73.
    Factor the polynomial16x2 – 8xy + y2 . Since the first term, 16x2 , can be written as (4x)2 , and the last term, y2 is obviously a square, we check the middle term. 8xy = 2(4x)(y) (twice the product of the expressions that are squared to get the first and last terms of the polynomial) Therefore 16x2 – 8xy + y2 = (4x – y)2 . Note: You can use FOIL method to verify that the factorization for the polynomial is accurate. Example
  • 74.
    DIFFERENCE OF TWOSQUARES Another shortcut for factoring a trinomial is when we want to factor the difference of two squares. a2 – b2 = (a + b)(a – b) A binomial is the difference of two square if 1.both terms are squares and 2.the signs of the terms are different. 9x2 – 25y2 – c4 + d4
  • 75.
    Example Factor the polynomialx2 – 9. The first term is a square and the last term, 9, can be written as 32 . The signs of each term are different, so we have the difference of two squares Therefore x2 – 9 = (x – 3)(x + 3). Note: You can use FOIL method to verify that the factorization for the polynomial is accurate.
  • 76.
  • 77.
    ZERO FACTOR THEOREM QuadraticEquations • Can be written in the form ax2 + bx + c = 0. • a, b and c are real numbers and a  0. • This is referred to as standard form. Zero Factor Theorem • If a and b are real numbers and ab = 0, then a = 0 or b = 0. • This theorem is very useful in solving quadratic equations.
  • 78.
    SOLVING QUADRATIC EQUATIONS Stepsfor Solving a Quadratic Equation by Factoring 1) Write the equation in standard form. 2) Factor the quadratic completely. 3) Set each factor containing a variable equal to 0. 4) Solve the resulting equations. 5) Check each solution in the original equation.
  • 79.
    Solve x2 – 5x= 24. • First write the quadratic equation in standard form. x2 – 5x – 24 = 0 • Now we factor the quadratic using techniques from the previous sections. x2 – 5x – 24 = (x – 8)(x + 3) = 0 • We set each factor equal to 0. x – 8 = 0 or x + 3 = 0, which will simplify to x = 8 or x = – 3 Example Continued.
  • 80.
    • Check bothpossible answers in the original equation. 82 – 5(8) = 64 – 40 = 24 true (–3)2 – 5(–3) = 9 – (–15) = 24 true • So our solutions for x are 8 or –3. Example Continued
  • 81.
    Solve 4x(8x +9) = 5 • First write the quadratic equation in standard form. 32x2 + 36x = 5 32x2 + 36x – 5 = 0 • Now we factor the quadratic using techniques from the previous sections. 32x2 + 36x – 5 = (8x – 1)(4x + 5) = 0 • We set each factor equal to 0. 8x – 1 = 0 or 4x + 5 = 0 Example Continued. 8x = 1 or 4x = – 5, which simplifies to x = or 5 . 4  1 8
  • 82.
    • Check bothpossible answers in the original equation.            1 1 1 4 8 9 4 1 9 4 (10) (10) 5 8 1 8 1 8 8 2       true            5 5 4 8 9 4 10 9 4 ( 1) ( 5)( 1) 5 4 5 5 4 4 4               true • So our solutions for x are or . 8 1 4 5  Example Continued
  • 83.
    FINDING X-INTERCEPTS Recall thatin Chapter 3, we found the x-intercept of linear equations by letting y = 0 and solving for x. The same method works for x-intercepts in quadratic equations. Note: When the quadratic equation is written in standard form, the graph is a parabola opening up (when a > 0) or down (when a < 0), where a is the coefficient of the x2 term. The intercepts will be where the parabola crosses the x-axis.
  • 84.
    Find the x-interceptsof the graph of y = 4x2 + 11x + 6. The equation is already written in standard form, so we let y = 0, then factor the quadratic in x. 0 = 4x2 + 11x + 6 = (4x + 3)(x + 2) We set each factor equal to 0 and solve for x. 4x + 3 = 0 or x + 2 = 0 4x = –3 or x = –2 x = –¾ or x = –2 So the x-intercepts are the points (–¾, 0) and (–2, 0). Example
  • 85.
  • 86.
    STRATEGY FOR PROBLEMSOLVING General Strategy for Problem Solving 1) Understand the problem • Read and reread the problem • Choose a variable to represent the unknown • Construct a drawing, whenever possible • Propose a solution and check 2) Translate the problem into an equation 3) Solve the equation 4) Interpret the result • Check proposed solution in problem • State your conclusion
  • 87.
    The product oftwo consecutive positive integers is 132. Find the two integers. 1.) Understand Read and reread the problem. If we let x = one of the unknown positive integers, then x + 1 = the next consecutive positive integer. Finding an Unknown Number Example Continued
  • 88.
    Example continued 2.) Translate Continued twoconsecutive positive integers x (x + 1) is = 132 132 • The product of
  • 89.
    Example continued 3.) Solve Continued x(x+ 1) = 132 x2 + x = 132 (Distributive property) x2 + x – 132 = 0 (Write quadratic in standard form) (x + 12)(x – 11) = 0 (Factor quadratic polynomial) x + 12 = 0 or x – 11 = 0 (Set factors equal to 0) x = –12 or x = 11 (Solve each factor for x)
  • 90.
    Example continued 4.) Interpret Check:Remember that x is suppose to represent a positive integer. So, although x = -12 satisfies our equation, it cannot be a solution for the problem we were presented. If we let x = 11, then x + 1 = 12. The product of the two numbers is 11 · 12 = 132, our desired result. State: The two positive integers are 11 and 12.
  • 91.
    Pythagorean Theorem In aright triangle, the sum of the squares of the lengths of the two legs is equal to the square of the length of the hypotenuse. (leg a)2 + (leg b)2 = (hypotenuse)2 leg a hypotenuse leg b The Pythagorean Theorem
  • 92.
    Find the lengthof the shorter leg of a right triangle if the longer leg is 10 miles more than the shorter leg and the hypotenuse is 10 miles less than twice the shorter leg. Example Continued 1.) Understand Read and reread the problem. If we let x = the length of the shorter leg, then x + 10 = the length of the longer leg and 2x – 10 = the length of the hypotenuse. x + 10 2 - 10 x x
  • 93.
    Example continued 2.) Translate Continued Bythe Pythagorean Theorem, (leg a)2 + (leg b)2 = (hypotenuse)2 x2 + (x + 10)2 = (2x – 10)2 3.) Solve x2 + (x + 10)2 = (2x – 10)2 x2 + x2 + 20x + 100 = 4x2 – 40x + 100 (multiply the binomials) 2x2 + 20x + 100 = 4x2 – 40x + 100 (simplify left side) x = 0 or x = 30 (set each factor = 0 and solve) 0 = 2x(x – 30) (factor right side) 0 = 2x2 – 60x (subtract 2x2 + 20x + 100 from both sides)
  • 94.
    Example continued 4.) Interpret Check:Remember that x is suppose to represent the length of the shorter side. So, although x = 0 satisfies our equation, it cannot be a solution for the problem we were presented. If we let x = 30, then x + 10 = 40 and 2x – 10 = 50. Since 302 + 402 = 900 + 1600 = 2500 = 502, the Pythagorean Theorem checks out. State: The length of the shorter leg is 30 miles. (Remember that is all we were asked for in this problem.)

Editor's Notes

  • #2 Chapter 13 Outline