UNIT III DEEP LEARNING ALGORITHMS FOR AI
Artificial Neural Networks - Linear Associative Networks -
Perceptrons -The Backpropagation Algorithm - Hopfield Nets -
Boltzmann Machines - Deep RBMs - Variational Autoencoders -
Deep Backprop Networks- Autoencoders.
Artificial Neural Networks
Artificial Neural Networks contain artificial neurons which are called units . These
units are arranged in a series of layers that together constitute the whole Artificial
Neural Network in a system.
Types of Layers
Artificial Neural Network has an input layer, an output layer as well as
hidden layers.
• The input layer receives data from the outside world which the neural
network needs to analyze or learn about.
• This data passes through one or multiple hidden layers that transform the
input into data that is valuable for the output layer.
• Finally, the output layer provides an output in the form of a response of
the Artificial Neural Networks to input data provided.
Types of Artificial Neural Networks
Feedforward Neural Network
Convolutional Neural Network
Modular Neural Network
Radial basis function Neural Network
Recurrent Neural Network
Artificial Neural Networks Applications
.Image and Speech Recognition: Used for tasks like facial recognition and voice
assistants.
.Natural Language Processing: Powers language translation, sentiment analysis, and
chatbots.
.Medical Diagnosis: Helps predict diseases and assists in drug discovery.
.Finance: Used for stock prediction and fraud detection.
.Autonomous Vehicles: Key in self-driving car technology for navigation and
decision-making.
.Recommendation Systems: Powers product and content recommendations on
platforms like Amazon and Netflix.
.Gaming and AI Agents: Used for game strategies and intelligent non-playable
characters.
.Anomaly Detection: Detects abnormalities in manufacturing and cybersecurity.
.Predictive Maintenance: Predicts equipment failures to prevent downtime.
.Optimization: Helps optimize logistics, energy usage, and supply chain management.
Linear Associative Networks (LANs) Linear Associative Networks
(LANs) are a type of neural network used in deep learning that focus on
the ability to store and retrieve patterns based on the associations
between input patterns.
•Concept of Association in LANs
•Associative Memory: LANs are designed to store patterns and later
retrieve them based on partial or noisy inputs. If a pattern is partially
corrupted, the network can still retrieve the correct pattern by
associating the input with a stored output pattern.
•Linear Relationship: The relationship between the input and output
patterns can be represented using a linear function or transformation.
2. Working Principle:
•A Linear Associative Network typically consists of an input layer and an output
layer. The goal is to learn a mapping from input vectors to output vectors using
linear transformations.
•The network uses Hebbian learning or similar techniques to create weight
matrices that store associations between input and output vectors. These
weights are used to map inputs to outputs by performing matrix multiplication.
3. Mathematical Foundation:
•If the network is trained with a set of input-output pairs {(xi,yi)} the weight
matrix W is learned to approximate the relationship between inputs and outputs.
The network output y for an input x is given by:
y=W⋅x
•This is a simple linear function, where W is the learned weight matrix.
4. Learning Rule:
•Hebbian Learning: A common approach for training Linear Associative
Networks is through Hebbian learning, which is based on the principle that
"neurons that fire together, wire together." This means that the weights are
updated whenever the input and output are active together. The weight update
rule can be expressed as:
Wnew
=W+α⋅xi
where α is a learning rate, xi
is the input vector, and yi
is the desired output
vector.
5. Applications:
•Pattern Completion: LANs are useful for tasks where you need to complete or
reconstruct missing data, such as in denoising or pattern recognition tasks.
•Content-Addressable Memory: They serve as an example of
content-addressable memory, where the network can retrieve stored data
based on the content of the input rather than requiring the exact input.
•Neurocomputing and AI: While they are less common in modern deep
learning systems, LANs provide a foundational concept of memory storage
and retrieval that underpins some more complex architectures, like
associative memories in recurrent networks.
6. Limitations:
•Linear Relationships: A key limitation of Linear Associative Networks is that
they can only model linear relationships between input and output.
•Capacity: The capacity of a Linear Associative Network is limited to the
number of patterns it can store. If the network is trained on too many patterns, it
may start to have difficulty distinguishing between them.
7. Connection to Deep Learning: The basic idea of pattern association from
Linear Associative Networks forms a building block for understanding more
complex memory mechanisms in neural networks, such as in autoencoders or
memory-augmented neural networks (MANNs), where the ability to store
and retrieve patterns is crucial.
Perceptrons
The perceptron is introduced as the simplest neural network model. It
is a linear classifier and one of the earliest models used in machine
learning. The perceptron was first introduced by Frank Rosenblatt in
1958 and is used for binary classification tasks.
2. Components of the Perceptron:
Inputs (x): These are the features or data points that the model
receives.
Weights (w): Each input is multiplied by a weight, which indicates the
importance of the input.
Bias (b): An additional term that shifts the decision boundary.
Activation function: Typically, a step function that outputs either 0 or 1
depending on whether the weighted sum of inputs exceeds a
threshold.
3. Mathematical Representation:
The perceptron computes a weighted sum of inputs and passes it through
a step function (activation function). The equation for this process is:
4. Learning Algorithm (Training the Perceptron):
•The training process involves adjusting the weights so that the
perceptron correctly classifies the inputs.
•The learning rule is typically the Perceptron learning rule, which updates
the weights based on the error between the predicted output and the
actual target:
5. Limitations:
•Linearly separable data: A single perceptron can only solve linearly
separable problems (i.e., problems where the data can be separated by a
straight line or hyperplane). For non-linear problems, a perceptron will not
perform well.
•Binary classification: Perceptrons are limited to binary classification tasks.
7. Application of Perceptron:
•Classifying linearly separable datasets (like the famous XOR problem or
logical AND/OR problems).
•Visualizing decision boundaries: This helps in understanding how the
perceptron creates linear decision boundaries.
The Backpropagation Algorithm
•Backpropagation is a supervised learning algorithm that
helps neural networks learn from labeled data. The goal is to
adjust the weights of the network to minimize the error
•It works by calculating the gradient of the error with respect
to each weight in the network and then updating the weights
to minimize this error.
1. Structure of the Neural Network : The neural network consists of
input layers, hidden layers, and output layers. The neurons in each
layer are connected by weights that adjust during training.
Initially, these weights are typically set to random values.
2. Forward Pass (Feedforward)
•During the forward pass, the inputs are fed through the network to
generate the output. This is done by:
• Multiplying the inputs by the weights.
• Passing the weighted sum through an activation function (such as
Sigmoid, Tanh, or ReLU) to obtain the output of each neuron.
•The output is then compared with the actual target output using a loss
function to compute the error.
3. Calculating the Error
•Once the network has made a prediction, the error is calculated using a
loss function. A common choice is the Mean Squared Error (MSE):
4. Backpropagation Step (Backward Pass)
The core of backpropagation lies in the backward pass. In this step, the
error is propagated backward from the output layer through the hidden
layers, adjusting the weights accordingly.
Gradient Calculation: The algorithm uses the chain rule of calculus to
calculate the gradient of the error with respect to each weight. For a
weight in the hidden layers, the gradient is computed by:
Error Term for Output Layer: The error term for the output layer is
calculated as:
Error Term for Hidden Layers: For the hidden layers, the error term
is propagated back using the following formula:
5. Weight Update Rule
•Once the gradients of the error with respect to the weights are
computed, the weights are updated using a learning rate to reduce the
error:
7. Training Process
•The training process involves repeatedly performing the forward pass to
calculate the error, followed by the backward pass to compute the
gradients and adjust the weights.
•This process is repeated over multiple epochs, or iterations, until the
network’s weights converge to values that minimize the error.
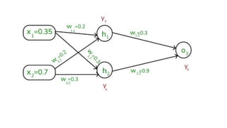
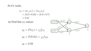
Example : Assume the neurons use the sigmoid activation
function for the forward and backward pass. The target output
is 0.5, and the learning rate is 1.
calculating the error
Hopfield Network
A Hopfield Network is a type of recurrent neural network (RNN)
Key Characteristics of Hopfield Networks:
1.Binary States: Neurons in a Hopfield network are binary, meaning each
neuron can have a value of either +1 or -1 (often represented as 1 or 0).
2.Recurrent Connections: Neurons are fully connected, meaning each
neuron is connected to every other neuron.
3.Energy Function: The network has an energy function that it tries to
minimize. The system stabilizes at a point where the energy function is at
a minimum, which corresponds to a stored pattern.
4.Attractors: The network has stable states, called attractors, which are
patterns the network can converge to when given an initial state. These
attractors represent memory states.
Working of Hopfield Networks:
•The network works by updating the neurons asynchronously or
synchronously, where each neuron updates its state based on the weighted
sum of its inputs.
•The update rule typically used is the sign function, where the state of a
neuron is updated depending on the input it receives from all other
neurons in the network.
Boltzmann Machines
A Boltzmann Machine (BM) is a type of stochastic recurrent neural
network, which is a probabilistic model. It is designed to solve optimization
problems and can be used for unsupervised learning.
The network is composed of units (or neurons) that represent binary
random variables, and the network learns to capture the underlying
distribution of the data.
Stochasticity: Unlike deterministic neural networks, the units in a
Boltzmann machine are stochastic, meaning their activation (output) is
probabilistic. Each unit i has a binary state (which can be 0 or 1), and its
activation is determined by a probability distribution.
The probability of a unit being in state 1 is given by:
Energy Function: A key feature of Boltzmann Machines is their energy
function, which defines how the network’s units interact with each
other. The energy E of a given configuration of states is computed based
on the weights between units and the states of the units:
Boltzmann Distribution: The probability distribution over states is
governed by the Boltzmann distribution, which describes the
likelihood of a configuration of the network's states based on its
energy. The probability of a particular state configuration is given by:
Applications of Boltzmann Machines:
•Dimensionality Reduction: Boltzmann Machines can be used for
unsupervised learning to reduce the dimensionality of data while capturing
important features.
•Collaborative Filtering: BMs can be used in recommendation systems
(e.g., for collaborative filtering).
•Feature Learning: Especially with Restricted Boltzmann Machines
(RBMs), these networks are often used to learn latent features in data.
•Energy-Based Models: They belong to the class of energy-based models,
which are useful for understanding various physical, probabilistic systems.
Challenges and Limitations:
•Training Difficulty: Boltzmann Machines can be difficult to train due
to the need for approximate sampling methods and the high
computational cost of calculating the partition function.
•Scalability: Training Boltzmann Machines is computationally
expensive and does not scale well for large datasets.
Deep Restricted Boltzmann Machines (Deep RBMs)
• It is a type of neural network that extend the basic concept of
Restricted Boltzmann Machines (RBMs) by stacking multiple layers
of RBMs to form a deep architecture.
• RBM is a type of generative stochastic neural network that consists of
two layers: a visible layer (input layer) and a hidden layer.
• The visible layer contains the observed data, and the hidden layer
captures dependencies between the visible variables.
• The connections between the layers are symmetric, and there are no
connections between units within a layer, hence the term "restricted."
• RBMs are typically used for unsupervised learning, feature extraction,
and dimensionality reduction.
Purpose: The goal is to learn a hierarchical feature representation of the
data, which can be useful for tasks like:
•Feature extraction
•Pretraining deep networks
•Dimensionality reduction
•Generative modeling
To learn the distribution of the data rather than simply learning a
direct mapping of input to output.
Variational Autoencoders
Autoencoders are neural networks designed for unsupervised
learning. They consist of two parts:
•Encoder: Maps the input to a latent space.
•Decoder: Maps the latent space representation back to the input
space to reconstruct the original input.
latent space : lower-dimensional representation of the data. It is
typically a continuous space where each point corresponds to a
compressed version of the input data.
In VAEs, this space is defined by a probabilistic distribution, and
the idea is to capture the essential features of the data in this space.
A Variational Autoencoder extends the autoencoder framework by
incorporating probabilistic modeling. Instead of learning a deterministic
mapping, VAEs learn to model the distribution of the data.
Probabilistic Interpretation
to learn the parameters of this distribution so that the data can be generated
by sampling from it.
Variational Autoencoders
Objective Function:
VAE objective function is based on maximizing the variational
lower bound.
The overall objective function has two parts:
•Reconstruction loss: Measures how well the decoder can reconstruct
the input from the latent variable.
•KL divergence: A regularize that forces the learned latent distribution
to be close to a prior distribution, typically a standard Gaussian
distribution. This ensures that the latent space is structured and
continuous, which is key for generating new samples.
Mathematically, the VAE objective is:
Sampling:
The encoder outputs parameters (mean and variance) of the distribution in
the latent space, and the latent variable is sampled from this distribution.
Training:
During training, VAEs learn to both minimize the reconstruction error and
regularize the latent space by minimizing the KL divergence between the
approximate posterior and the prior.
Applications
•Generative Modeling: VAEs are particularly useful for generating
new data. After training, you can sample from the latent space and
pass it through the decoder to generate new instances of the data.
•Semi-supervised Learning: VAEs can be used in scenarios
where you have a small amount of labeled data and a large
amount of unlabeled data.
•Representation Learning: The latent variables in VAEs can learn
compact, structured representations of the data.
Deep Backprop Networks
•Deep Neural Networks (DNNs), are neural networks with multiple
layers of nodes, where each layer consists of neurons that are
connected to the neurons in the next layer. The core mechanism that
enables the training of these networks is backpropagation, which is
used to adjust the weights of the network during the training process.

Deep learning unit 3 artificial neural network

  • 1.
    UNIT III DEEPLEARNING ALGORITHMS FOR AI Artificial Neural Networks - Linear Associative Networks - Perceptrons -The Backpropagation Algorithm - Hopfield Nets - Boltzmann Machines - Deep RBMs - Variational Autoencoders - Deep Backprop Networks- Autoencoders.
  • 2.
    Artificial Neural Networks ArtificialNeural Networks contain artificial neurons which are called units . These units are arranged in a series of layers that together constitute the whole Artificial Neural Network in a system. Types of Layers Artificial Neural Network has an input layer, an output layer as well as hidden layers. • The input layer receives data from the outside world which the neural network needs to analyze or learn about. • This data passes through one or multiple hidden layers that transform the input into data that is valuable for the output layer. • Finally, the output layer provides an output in the form of a response of the Artificial Neural Networks to input data provided.
  • 5.
    Types of ArtificialNeural Networks Feedforward Neural Network Convolutional Neural Network Modular Neural Network Radial basis function Neural Network Recurrent Neural Network
  • 6.
    Artificial Neural NetworksApplications .Image and Speech Recognition: Used for tasks like facial recognition and voice assistants. .Natural Language Processing: Powers language translation, sentiment analysis, and chatbots. .Medical Diagnosis: Helps predict diseases and assists in drug discovery. .Finance: Used for stock prediction and fraud detection. .Autonomous Vehicles: Key in self-driving car technology for navigation and decision-making. .Recommendation Systems: Powers product and content recommendations on platforms like Amazon and Netflix. .Gaming and AI Agents: Used for game strategies and intelligent non-playable characters. .Anomaly Detection: Detects abnormalities in manufacturing and cybersecurity. .Predictive Maintenance: Predicts equipment failures to prevent downtime. .Optimization: Helps optimize logistics, energy usage, and supply chain management.
  • 7.
    Linear Associative Networks(LANs) Linear Associative Networks (LANs) are a type of neural network used in deep learning that focus on the ability to store and retrieve patterns based on the associations between input patterns. •Concept of Association in LANs •Associative Memory: LANs are designed to store patterns and later retrieve them based on partial or noisy inputs. If a pattern is partially corrupted, the network can still retrieve the correct pattern by associating the input with a stored output pattern. •Linear Relationship: The relationship between the input and output patterns can be represented using a linear function or transformation.
  • 9.
    2. Working Principle: •ALinear Associative Network typically consists of an input layer and an output layer. The goal is to learn a mapping from input vectors to output vectors using linear transformations. •The network uses Hebbian learning or similar techniques to create weight matrices that store associations between input and output vectors. These weights are used to map inputs to outputs by performing matrix multiplication. 3. Mathematical Foundation: •If the network is trained with a set of input-output pairs {(xi,yi)} the weight matrix W is learned to approximate the relationship between inputs and outputs. The network output y for an input x is given by: y=W⋅x •This is a simple linear function, where W is the learned weight matrix.
  • 10.
    4. Learning Rule: •HebbianLearning: A common approach for training Linear Associative Networks is through Hebbian learning, which is based on the principle that "neurons that fire together, wire together." This means that the weights are updated whenever the input and output are active together. The weight update rule can be expressed as: Wnew =W+α⋅xi where α is a learning rate, xi is the input vector, and yi is the desired output vector. 5. Applications: •Pattern Completion: LANs are useful for tasks where you need to complete or reconstruct missing data, such as in denoising or pattern recognition tasks.
  • 11.
    •Content-Addressable Memory: Theyserve as an example of content-addressable memory, where the network can retrieve stored data based on the content of the input rather than requiring the exact input. •Neurocomputing and AI: While they are less common in modern deep learning systems, LANs provide a foundational concept of memory storage and retrieval that underpins some more complex architectures, like associative memories in recurrent networks.
  • 12.
    6. Limitations: •Linear Relationships:A key limitation of Linear Associative Networks is that they can only model linear relationships between input and output. •Capacity: The capacity of a Linear Associative Network is limited to the number of patterns it can store. If the network is trained on too many patterns, it may start to have difficulty distinguishing between them. 7. Connection to Deep Learning: The basic idea of pattern association from Linear Associative Networks forms a building block for understanding more complex memory mechanisms in neural networks, such as in autoencoders or memory-augmented neural networks (MANNs), where the ability to store and retrieve patterns is crucial.
  • 14.
    Perceptrons The perceptron isintroduced as the simplest neural network model. It is a linear classifier and one of the earliest models used in machine learning. The perceptron was first introduced by Frank Rosenblatt in 1958 and is used for binary classification tasks. 2. Components of the Perceptron: Inputs (x): These are the features or data points that the model receives. Weights (w): Each input is multiplied by a weight, which indicates the importance of the input. Bias (b): An additional term that shifts the decision boundary. Activation function: Typically, a step function that outputs either 0 or 1 depending on whether the weighted sum of inputs exceeds a threshold.
  • 15.
    3. Mathematical Representation: Theperceptron computes a weighted sum of inputs and passes it through a step function (activation function). The equation for this process is:
  • 16.
    4. Learning Algorithm(Training the Perceptron): •The training process involves adjusting the weights so that the perceptron correctly classifies the inputs. •The learning rule is typically the Perceptron learning rule, which updates the weights based on the error between the predicted output and the actual target:
  • 17.
    5. Limitations: •Linearly separabledata: A single perceptron can only solve linearly separable problems (i.e., problems where the data can be separated by a straight line or hyperplane). For non-linear problems, a perceptron will not perform well. •Binary classification: Perceptrons are limited to binary classification tasks.
  • 18.
    7. Application ofPerceptron: •Classifying linearly separable datasets (like the famous XOR problem or logical AND/OR problems). •Visualizing decision boundaries: This helps in understanding how the perceptron creates linear decision boundaries.
  • 19.
    The Backpropagation Algorithm •Backpropagationis a supervised learning algorithm that helps neural networks learn from labeled data. The goal is to adjust the weights of the network to minimize the error •It works by calculating the gradient of the error with respect to each weight in the network and then updating the weights to minimize this error.
  • 21.
    1. Structure ofthe Neural Network : The neural network consists of input layers, hidden layers, and output layers. The neurons in each layer are connected by weights that adjust during training. Initially, these weights are typically set to random values.
  • 22.
    2. Forward Pass(Feedforward) •During the forward pass, the inputs are fed through the network to generate the output. This is done by: • Multiplying the inputs by the weights. • Passing the weighted sum through an activation function (such as Sigmoid, Tanh, or ReLU) to obtain the output of each neuron. •The output is then compared with the actual target output using a loss function to compute the error.
  • 23.
    3. Calculating theError •Once the network has made a prediction, the error is calculated using a loss function. A common choice is the Mean Squared Error (MSE):
  • 24.
    4. Backpropagation Step(Backward Pass) The core of backpropagation lies in the backward pass. In this step, the error is propagated backward from the output layer through the hidden layers, adjusting the weights accordingly. Gradient Calculation: The algorithm uses the chain rule of calculus to calculate the gradient of the error with respect to each weight. For a weight in the hidden layers, the gradient is computed by:
  • 25.
    Error Term forOutput Layer: The error term for the output layer is calculated as: Error Term for Hidden Layers: For the hidden layers, the error term is propagated back using the following formula:
  • 26.
    5. Weight UpdateRule •Once the gradients of the error with respect to the weights are computed, the weights are updated using a learning rate to reduce the error:
  • 27.
    7. Training Process •Thetraining process involves repeatedly performing the forward pass to calculate the error, followed by the backward pass to compute the gradients and adjust the weights. •This process is repeated over multiple epochs, or iterations, until the network’s weights converge to values that minimize the error.
  • 29.
    Example : Assumethe neurons use the sigmoid activation function for the forward and backward pass. The target output is 0.5, and the learning rate is 1.
  • 39.
  • 40.
    Hopfield Network A HopfieldNetwork is a type of recurrent neural network (RNN) Key Characteristics of Hopfield Networks: 1.Binary States: Neurons in a Hopfield network are binary, meaning each neuron can have a value of either +1 or -1 (often represented as 1 or 0). 2.Recurrent Connections: Neurons are fully connected, meaning each neuron is connected to every other neuron. 3.Energy Function: The network has an energy function that it tries to minimize. The system stabilizes at a point where the energy function is at a minimum, which corresponds to a stored pattern. 4.Attractors: The network has stable states, called attractors, which are patterns the network can converge to when given an initial state. These attractors represent memory states.
  • 41.
    Working of HopfieldNetworks: •The network works by updating the neurons asynchronously or synchronously, where each neuron updates its state based on the weighted sum of its inputs. •The update rule typically used is the sign function, where the state of a neuron is updated depending on the input it receives from all other neurons in the network.
  • 43.
    Boltzmann Machines A BoltzmannMachine (BM) is a type of stochastic recurrent neural network, which is a probabilistic model. It is designed to solve optimization problems and can be used for unsupervised learning. The network is composed of units (or neurons) that represent binary random variables, and the network learns to capture the underlying distribution of the data.
  • 45.
    Stochasticity: Unlike deterministicneural networks, the units in a Boltzmann machine are stochastic, meaning their activation (output) is probabilistic. Each unit i has a binary state (which can be 0 or 1), and its activation is determined by a probability distribution. The probability of a unit being in state 1 is given by:
  • 46.
    Energy Function: Akey feature of Boltzmann Machines is their energy function, which defines how the network’s units interact with each other. The energy E of a given configuration of states is computed based on the weights between units and the states of the units:
  • 47.
    Boltzmann Distribution: Theprobability distribution over states is governed by the Boltzmann distribution, which describes the likelihood of a configuration of the network's states based on its energy. The probability of a particular state configuration is given by:
  • 48.
    Applications of BoltzmannMachines: •Dimensionality Reduction: Boltzmann Machines can be used for unsupervised learning to reduce the dimensionality of data while capturing important features. •Collaborative Filtering: BMs can be used in recommendation systems (e.g., for collaborative filtering). •Feature Learning: Especially with Restricted Boltzmann Machines (RBMs), these networks are often used to learn latent features in data. •Energy-Based Models: They belong to the class of energy-based models, which are useful for understanding various physical, probabilistic systems.
  • 49.
    Challenges and Limitations: •TrainingDifficulty: Boltzmann Machines can be difficult to train due to the need for approximate sampling methods and the high computational cost of calculating the partition function. •Scalability: Training Boltzmann Machines is computationally expensive and does not scale well for large datasets.
  • 50.
    Deep Restricted BoltzmannMachines (Deep RBMs) • It is a type of neural network that extend the basic concept of Restricted Boltzmann Machines (RBMs) by stacking multiple layers of RBMs to form a deep architecture. • RBM is a type of generative stochastic neural network that consists of two layers: a visible layer (input layer) and a hidden layer. • The visible layer contains the observed data, and the hidden layer captures dependencies between the visible variables. • The connections between the layers are symmetric, and there are no connections between units within a layer, hence the term "restricted." • RBMs are typically used for unsupervised learning, feature extraction, and dimensionality reduction.
  • 52.
    Purpose: The goalis to learn a hierarchical feature representation of the data, which can be useful for tasks like: •Feature extraction •Pretraining deep networks •Dimensionality reduction •Generative modeling
  • 53.
    To learn thedistribution of the data rather than simply learning a direct mapping of input to output. Variational Autoencoders Autoencoders are neural networks designed for unsupervised learning. They consist of two parts: •Encoder: Maps the input to a latent space. •Decoder: Maps the latent space representation back to the input space to reconstruct the original input. latent space : lower-dimensional representation of the data. It is typically a continuous space where each point corresponds to a compressed version of the input data. In VAEs, this space is defined by a probabilistic distribution, and the idea is to capture the essential features of the data in this space.
  • 56.
    A Variational Autoencoderextends the autoencoder framework by incorporating probabilistic modeling. Instead of learning a deterministic mapping, VAEs learn to model the distribution of the data. Probabilistic Interpretation to learn the parameters of this distribution so that the data can be generated by sampling from it. Variational Autoencoders
  • 58.
    Objective Function: VAE objectivefunction is based on maximizing the variational lower bound. The overall objective function has two parts: •Reconstruction loss: Measures how well the decoder can reconstruct the input from the latent variable. •KL divergence: A regularize that forces the learned latent distribution to be close to a prior distribution, typically a standard Gaussian distribution. This ensures that the latent space is structured and continuous, which is key for generating new samples. Mathematically, the VAE objective is:
  • 60.
    Sampling: The encoder outputsparameters (mean and variance) of the distribution in the latent space, and the latent variable is sampled from this distribution. Training: During training, VAEs learn to both minimize the reconstruction error and regularize the latent space by minimizing the KL divergence between the approximate posterior and the prior.
  • 61.
    Applications •Generative Modeling: VAEsare particularly useful for generating new data. After training, you can sample from the latent space and pass it through the decoder to generate new instances of the data. •Semi-supervised Learning: VAEs can be used in scenarios where you have a small amount of labeled data and a large amount of unlabeled data. •Representation Learning: The latent variables in VAEs can learn compact, structured representations of the data.
  • 62.
    Deep Backprop Networks •DeepNeural Networks (DNNs), are neural networks with multiple layers of nodes, where each layer consists of neurons that are connected to the neurons in the next layer. The core mechanism that enables the training of these networks is backpropagation, which is used to adjust the weights of the network during the training process.