1
แนวทางเวชปฏิบัติการป้องกันและรักษาโรคอ้วนในเด็ก
พ.ศ. 2557
ชมรมโภชนาการเด็กแห่งประเทศไทย
ราชวิทยาลัยกุมารแพทย์แห่งประเทศไทย
บรรณาธิการ
พญ. สุนทรี รัตนชูเอก
พญ. พัชราภา ทวีกุล
พญ. อรวรรณ เอี่ยมโอภาส
พญ. อุมาพร สุทัศน์วรวุฒิ
2
คณะกรรมการ
ชมรมโภชนาการเด็กแห่งประเทศไทย
พ.ศ.2557-2559
ประธาน รองศาสตราจารย์ นายแพทย์สังคม จงพิพัฒน์วณิชย์
ประธานแต่งตั้ง รองศาสตราจารย์ ดร. แพทย์หญิงนลินี จงวิริยะพันธุ์
เลขาธิการ อาจารย์ แพทย์หญิงสุภาพรรณ ตันตราชีวธร
ผู้ช่วยเลขาธิการ ผู้ช่วยศาสตราจารย์ แพทย์หญิงมณีรัตน์ ภูวนันท์
เหรัญญิก รองศาสตราจารย์ แพทย์หญิงสุนทรี รัตนชูเอก
ผู้ช่วยเหรัญญิก ผู้ช่วยศาสตราจารย์ แพทย์หญิงพัชราภา ทวีกุล
วิชาการและฝึกอบรม รองศาสตราจารย์ ดร. แพทย์หญิงนลินี จงวิริยะพันธุ์
พันเอก นายแพทย์เรืองวิทย์ ตันติแพทยางกูร
ผู้ช่วยศาสตราจารย์ ดร. แพทย์หญิงศิรินุช ชมโท
ทะเบียนและประชาสัมพันธ์ รองศาสตราจารย์ แพทย์หญิงนฤมล เด่นทรัพย์สุนทร
ผู้ช่วยทะเบียนและประชาสัมพันธ์ อาจารย์ แพทย์หญิงจีรพรรณ โพธิ์สุวัฒนากุล
ปฏิคม อาจารย์ นายแพทย์สุรณัฐ แก้วณิมีย์
ผู้ช่วยปฏิคม อาจารย์ แพทย์หญิงอรภา สุธีโรจน์ตระกูล
กรรมการกลาง ศาสตราจารย์คลินิกเกียรติคุณ ดร.นายแพทย์เพียรวิทย์ ตันติแพทยางกูร
รองศาสตราจารย์ พลตรีหญิงภาวดี กุญชรานุสสรณ์
รองศาสตราจารย์ แพทย์หญิงลัดดา เหมาะสุวรรณ
อาจารย์ นายแพทย์ไพบูลย์ เอกแสงศรี
รองศาสตราจารย์ แพทย์หญิงอุมาพร สุทัศน์วรวุฒิ
ศาสตราจารย์นาย แพทย์พิภพ จิรภิญโญ
ร รองศาสตราจารย์ นายแพทย์ชาญชัย พานทองวิริยะกุล
รองศาสตราจารย์ นายแพทย์สงวนศักดิ์ ฤกษ์ศุภผล
อาจารย์ แพทย์หญิงอรพร ดารงวงศ์ศิริ
อาจารย์ แพทย์หญิงอรวรรณ เอี่ยมโอภาส
อาจารย์ แพทย์หญิงชนกานต์ วิสูตรานุกูล
อาจารย์ แพทย์หญิงสุชาอร แสงนิพันธ์กูล
อาจารย์ แพทย์หญิงกุลนิภา กิตติศักดิ์มนตรี
อาจารย์ แพทย์หญิงนพร อึ้งอาภรณ์
แพทย์หญิงปาจรีย์ ลิ่มทองแท่ง
3
รายนามคณะทางานการจัดทา
(ร่าง)แนวทางเวชปฏิบัติการป้องกันและรักษาโรคอ้วนในเด็กพ.ศ. 2557
ศาสตราจารย์คลินิกเกียรติคุณนายแพทย์เพียรวิทย์ ตันติแพทยางกูร ที่ปรึกษา
รองศาสตราจารย์แพทย์หญิงอุมาพร สุทัศน์วรวุฒิ ประธาน
รองศาสตราจารย์แพทย์หญิงสุนทรี รัตนชูเอก รองประธาน
ศาสตราจารย์นายแพทย์พิภพ จิรภิญโญ คณะทางาน
รองศาสตราจารย์แพทย์หญิงลัดดา เหมาะสุวรรณ คณะทางาน
รองศาสตราจารย์นายแพทย์สังคม จงพิพัฒน์วณิชย์ คณะทางาน
รองศาสตราจารย์นายแพทย์ชาญชัย พานทองวิริยะกุล คณะทางาน
รองศาสตราจารย์แพทย์หญิงนลินี จงวิริยะพันธุ์ คณะทางาน
รองศาสตราจารย์นายแพทย์สงวนศักดิ์ ฤกษ์ศุภผล คณะทางาน
รองศาสตราจารย์แพทย์หญิงนฤมล เด่นทรัพย์สุนทร คณะทางาน
นายแพทย์ไพบูลย์ เอกแสงศรี คณะทางาน
พันเอกเรืองวิทย์ ตันติแพทยางกูร คณะทางาน
แพทย์หญิงสุภาพรรณ ตันตราชีวธร คณะทางาน
แพทย์หญิงศิรินุช ชมโท คณะทางาน
ผู้ช่วยศาสตราจารย์แพทย์หญิงมณีรัตน์ ภูวนันท์ คณะทางาน
แพทย์หญิงอรพร ดารงวงศ์ศิริ คณะทางาน
แพทย์หญิงชนกานต์ กังวานพรศิริ คณะทางาน
ผู้ช่วยศาสตราจารย์แพทย์หญิงพัชราภา ทวีกุล คณะทางานและเลขานุการ
แพทย์หญิงอรวรรณ เอี่ยมโอภาส คณะทางานและเลขานุการ
4
คานา
แนวทางเวชปฏิบัติ การป้องกันและรักษาโรคอ้วนในเด็ก พ.ศ. 2557 เล่มนี้ เป็นคู่มือสาหรับกุมาร
แพทย์ แพทย์เวชปฏิบัติทั่วไป บุคลากรด้านสุขภาพ และเจ้าหน้าที่สาธารณสุข ในการปูองกันและรักษาโรค
อ้วนในเด็ก โดยใช้ทรัพยากรที่มีอยู่อย่างมีประสิทธิภาพ และเพื่อเป็นแนวทางที่สามารถปฏิบัติได้จริง
โดยเฉพาะในระดับชุมชนก่อนการส่งต่อผู้ปุวยเด็กโรคอ้วนที่มีภาวะแทรกซ้อนไปพบแพทย์ผู้เชี่ยวชาญ แนวทาง
เวชปฏิบัตินี้ไม่ใช่ข้อบังคับของการปฏิบัติ ผู้ใช้สามารถปฏิบัติแตกต่างจากข้อแนะนานี้ได้ในสถานการณ์ที่
แตกต่าง หรือมีข้อจากัดของสถานพยาบาลและทรัพยากร หรือเหตุผลอื่นๆ โดยใช้วิจารณญาณซึ่งเป็นที่ยอมรับ
บนพื้นฐานของหลักวิชาการและจรรยาบรรณ คู่มือนี้เป็นเพียงแนวปฏิบัติไม่สามารถใช้อ้างอิงทางกฎหมายได้
แนวทางเวชปฏิบัตินี้จัดทาโดยกุมารแพทย์ผู้เชี่ยวชาญอนุสาขากุมารเวชศาสตร์โภชนาการ โดยการ
สนับสนุนของชมรมโภชนาการเด็กแห่งประเทศไทยและราชวิทยาลัยกุมารแพทย์แห่งประเทศไทย แนวทางเวช
ปฏิบัตินี้อาจมีการเปลี่ยนแปลงในอนาคต หากมีข้อมูลทางวิชาการใหม่ๆ มาสนับสนุน
คณะบรรณาธิการ
พ.ญ. สุนทรี รัตนชูเอก
พ.ญ. พัชราภา ทวีกุล
พ.ญ. อรวรรณ เอี่ยมโอภาส
พ.ญ. อุมาพร สุทัศน์วรวุฒิ
5
คุณภาพหรือน้าหนักของหลักฐานที่นามาใช้พิจารณา (Level of evidence)
ระดับ 1 หลักฐานที่ได้จากงานวิจัยที่เป็น randomized controlled trials หรือ systematic review ที่ดี
อย่างน้อย 1 งานวิจัย
ระดับ 2 หลักฐานที่ได้จากงานวิจัยที่เป็น non-randomized controlled trials, before and after
clinical trials, cohort studies, case-control studies หรือ descriptive, case report และ
case series
ระดับ 3 หลักฐานที่เป็น expert opinion หรือ ฉันทามติ (consensus) ของคณะผู้เชี่ยวชาญ
ระดับคาแนะนาสาหรับการปฏิบัติ (Grade of recommendation)
ระดับ A แนวทางปฏิบัตินี้ให้มีการนาไปใช้ (strongly recommended)
ระดับ B แนวทางปฏิบัตินี้ควรนาไปใช้ (recommended)
ระดับ C แนวทางปฏิบัตินี้เป็นทางเลือกหนึ่งในการนาไปใช้ (optional)
ระดับ D แนวทางปฎิบัตินี้ไม่แนะนาให้นาไปใช้ในกรณีทั่วไป (NOT recommended in normal
situation)
ระดับ E แนวทางปฏิบัตินี้ไม่แนะนาให้นาไปใช้ (NOT recommended in all situations)
6
คาย่อ
ALT alanine aminotransferase
BMI body mass index
BP blood pressure
BG blood glucose
FBG fasting blood glucose
GERD gastro-esophageal reflux disease
HDL-C high-density lipoprotein cholesterol
LDL-C low-density lipoprotein cholesterol
NAFLD non-alcoholic fatty liver disease
OGTT oral glucose tolerance test
OSA obstructive sleep apnea
PCOS polycystic ovarian syndrome
SD standard deviation
WH weight-for-height
7
สารบัญ
หน้า
1. ปัญหาโรคอ้วนในเด็ก
1.1 สถานการณ์ 8
1.2 สาเหตุของโรคอ้วนในเด็ก 8
1.3 ผลเสียของโรคอ้วนในเด็ก 8
2. การวินิจฉัยโรคอ้วนในเด็ก
2.1 หลักเกณฑ์การวินิจฉัย 10
2.2 การประเมินความรุนแรง 11
2.3 โรค/กลุ่มอาการที่มีภาวะอ้วนร่วมด้วย 12
3. แนวทางการดูแลรักษาโรคอ้วนในเด็ก
3.1 แผนภูมิแนวทางดูแลรักษาโรคอ้วน 13
3.2 การตรวจเพื่อหาภาวะแทรกซ้อน 14
3.3 เปูาหมายในการดูแลรักษา 15
4. แนวทางการปูองกันโรคอ้วนในเด็ก 16
เอกสารอ้างอิง 19
ภาคผนวก
ภาคผนวกที่ 1 เกณฑ์อ้างอิงน้าหนักตามเกณฑ์ส่วนสูง ส่วนสูงตามเกณฑ์อายุ
และค่าดัชนีมวลกายของเด็ก จาแนกตามเพศและอายุ 24
ภาคผนวกที่ 2 ค่าความดันเลือด systolic และ diastolic ที่เปอร์เซ็นไทล์ที่ 95
จาแนกตามเพศ อายุและเปอร์เซ็นไทล์ส่วนสูง 34
8
แนวทางเวชปฏิบัติ
การป้องกันและรักษาโรคอ้วนในเด็กพ.ศ. 2557
1. ปัญหาโรคอ้วนในเด็ก
1.1 สถานการณ์
การเปลี่ยนแปลงทางเศรษฐกิจและสังคมในประเทศต่างๆ ทั่วโลก มีผลให้การดาเนินชีวิตในเรื่องการบริโภคอาหาร
มากเกินความต้องการ และกิจกรรมการเคลื่อนไหวร่างกายลดลง นาไปสู่การเกิดโรคอ้วน (obesity) และโรคเรื้อรังที่ไม่ติดต่อ
ต่างๆ ทั้งในเด็กและผู้ใหญ่ ซึ่งมีอัตราเพิ่มขึ้นอย่างรวดเร็ว พ.ศ. 2540 องค์การอนามัยโลกได้ประกาศว่า “โรคอ้วนเป็นโรคไม่
ติดต่อเรื้อรังที่ระบาดในหลายประเทศทั่วโลก” ผู้ใหญ่จานวนมากกว่าครึ่งหนึ่งมีน้าหนักเกินและเป็นโรคอ้วน(1)
สถานการณ์โรค
อ้วนในประเทศไทยจากการสารวจสถานะสุขภาพประชากรไทย 2 ครั้งใน พ.ศ. 2534 และ พ.ศ. 2539-2540 โดยใช้เกณฑ์
อ้างอิงของกองโภชนาการ กรมอนามัย กระทรวงสาธารณสุข ปี พ .ศ. 2530 พบว่าจานวนเด็กปฐมวัย (อายุน้อยกว่า 5 ปี) ที่
อ้วนมีเพิ่มขึ้นประมาณ 3 เท่า(2)
การสารวจสุขภาพและพัฒนาการของเด็กไทย พ.ศ. 2539-2540 โดยใช้เกณฑ์อ้างอิงของกอง
โภชนาการปี พ.ศ. 2542 พบความชุกของโรคอ้วนในเด็กปฐมวัย (อายุ 2 ปี จนถึงน้อยกว่า 6 ปี) เท่ากับในเด็กวัยเรียน (อายุ 6
ปี จนถึงน้อยกว่า 13 ปี) คือ ร้อยละ 5.8(3)
การสารวจพัฒนาการของเด็กไทยทั่วประเทศในปีพ.ศ. 2544พบว่าความชุกของโรค
อ้วนในเด็กปฐมวัยและเด็กวัยเรียน เพิ่มขึ้นเป็นร้อยละ 7.9 และ 6.7 ตามลาดับ(4)
สถานการณ์ปัจจุบันจากการสารวจสุขภาพ
ประชาชนไทยครั้งที่ 4 พ.ศ. 2551-2552 พบว่าภาวะน้าหนักเกินและอ้วนในเด็กมีความชุกเพิ่มขึ้นโดยเด็กอายุ 1-5 ปี เท่ากับ
ร้อยละ 8.5 เด็กอายุ 6-11 ปีเท่ากับร้อยละ 8.7 และในเด็กอายุ 12-14 ปี เท่ากับร้อยละ 11.9 ซึ่งมีความชุกสูงที่สุดในทุกกลุ่ม
อายุ เด็ก ในกทม.มีความชุกของภาวะน้าหนักเกินและอ้วนสูงที่สุดเมื่อจาแนกตามภาค และพบว่าเด็กในเขตเทศบาลมีความชุก
ของปัญหาดังกล่าวมากกว่านอกเขตเทศบาล 1.6-1.8 เท่า(5)
สาเหตุของโรคอ้วนในเด็ก
โรคอ้วนเป็นผลลัพธ์จากการมีปฏิสัมพันธ์ที่ซับซ้อนระหว่างกรรมพันธุ์และสิ่งแวดล้อม โดยเฉพาะอย่างยิ่งการ
เปลี่ยนแปลงของเศรษฐกิจและสังคม ซึ่งมีผลต่อ การบริโภคและการเคลื่อนไหวร่างกาย ปัจจุบันมีการค้นพบยีนหลายกลุ่ม ที่
เกี่ยวข้องกับโรคอ้วน(6)
สิ่งแวดล้อมที่ส่งเสริมให้เกิดโรคอ้วน (obesogenic environment ) ได้แก่ ภาวะโภชนาการเกินของ
พ่อแม่(7,8)
การเปลี่ยนแปลงภาวะโภชนาการของทารกหลังเกิด(9)
การไม่ได้กินนมแม่และกินนมผงตั้งแต่หลังเกิด(10)
การศึกษา
ของพ่อแม่และเศรษฐานะของครอบครัว(8,11)
วิธีการเลี้ยงดูที่ส่งเสริมให้เด็กมีพฤติกรรมการกินที่ไม่มีขอบเขตหรือข้อจากัด ทา
ให้เด็กกินทั้งข้าว นม ขนมขบเคี้ยว และเครื่องดื่มในปริมาณมาก การอยู่อาศัยใกล้ร้านสะดวกซื้อ (12)
การมีวิถีชีวิตที่
สะดวกสบายขึ้น และการขาดการเคลื่อนไหวร่างกาย (8,13)
เด็กไทยใช้เวลาดูโทรทัศน์นานถึงหนึ่งในห้าของเวลาว่าง(4)
ทาให้มี
การใช้พลังงานลดน้อยลง ส่งผลให้เกิดความไม่สมดุลระหว่างพลังงานที่ได้รับจากการกินและพลังงานที่ร่างกายใช้ไป
1.3 ผลเสียของโรคอ้วนในเด็ก
หากเด็กโรคอ้วนไม่ได้รับการดูแลอย่างเหมาะสม จะมีผลกระทบต่อสุขภาพทั้งในระยะสั้นและระยะยาว คุณภาพชีวิต
ด้อยลง และสูญเสียค่าใช้จ่ายในการดูแลรักษา ส่งผลกระทบต่อเศรษฐกิจของชาติในอนาคต ปัญหาสุขภาพดังกล่าว ได้แก่
 ระบบกระดูกและข้อ เกิดจากน้าหนักตัวกดลงบนกระดูกข้อเข่าและข้อเท้า ทาอันตรายต่อแผ่นเยื่อเจริญกระดูกเข่าด้าน
ใน (proximal medial tibial growth plate) ทาให้เกิดขาโก่ง (Blount disease) สาหรับวัยรุ่นโรคอ้วนมักมีต้นขาใหญ่
9
ทาให้เกิดโรคหัวกระดูกสะโพกเลื่อน (slipped capital femoral epiphysis) ขาฉิ่ง (knock knee) และเกิดกระดูกหักได้
เวลาล้ม(14)
 ระบบหัวใจและหลอดเลือด เด็กโรคอ้วนมักมีความดันเลือดสูง โดยเฉพาะเด็กที่มีน้าหนักแรกเกิดน้อย(15)
และความดัน
เลือดสูงสัมพันธ์กับมวลไขมันอย่างมีนัยสาคัญ โดยที่ไม่มีอาการ อาจพบการทางานของหลอดเลือดผิดปกติ หลอดเลือด
แดงมีผนังหนาและอุดตัน(16)
กล้ามเนื้อหัวใจทางานผิดปกติและเกิดโรคหัวใจขาดเลือด(17)
เด็กที่เป็นโรคอ้วนรุนแรงอาจ
พบความดันหลอดเลือดในปอดสูง และหัวใจซีกขวาล้มเหลว (cor pulmonale) เกิดอันตรายรุนแรงหรือเสียชีวิตได้
 ระบบทางเดินหายใจ เด็กโรคอ้วนมีไขมันสะสมในร่างกายสูง และการทางานในการ หายใจเพิ่มขึ้น ทาให้มีสมรรถภาพ
ปอดลดลง(18)
อาจมีปัญหาของการหยุดหายใจขณะหลับ จากภาวะทางเดินหายใจอุดกั้น (obstructive sleep apnea,
OSA) โดยมักมีอาการนอนกรนเสียงดัง และมีอาการหยุดหายใจ ผวาตื่น ฝันร้าย หรือปัสสาวะรดที่นอนเวลากลางคืน
ปวดศีรษะและง่วงนอนเวลากลางวัน รวมทั้งผลการเรียนตกต่า ถ้ามีการวัดระดับความอิ่มตัวของออกซิเจนในเลือดจะ
พบว่าต่ากว่าร้อยละ 90 ตั้งแต่ 3 ช่วงเวลาของการนอนหลับอย่างน้อย 6 ชม.ขึ้นไป ในโรคอ้วนที่รุนแรงอาจพบการหายใจ
ไม่พอ มีภาวะคาร์บอนไดออกไซด์คั่งและขาดออกซิเจน เรียกกลุ่มอาการนี้ว่า Pickwickian syndrome ซึ่งหากไม่ได้รับ
การแก้ไข จะเกิดความดันหลอดเลือดในปอดสูง(19,20)
 ระบบทางเดินอาหารและโรคตับ อาจพบปัญหากรดไหลย้อน (gastroesophageal reflux disease, GERD) โรคนิ่วใน
ถุงน้าดี ภาวะไขมันสะสมที่ตับ (non-alcoholic fatty liver disease, NAFLD)(21)
ซึ่งสัมพันธ์กับกลุ่มอาการเมตาบอลิก
และระดับอินซูลินในเลือดสูง และยังเป็นปัจจัยเสี่ยงของโรคตับแข็งและมะเร็งตับ(22)
 ระบบต่อมไร้ท่อ และเมตาบอลิซึม พบระดับอินซูลินในเลือดสูง เกิดภาวะต่อต้านอินซูลิน (insulin resistance) โดยพบ
มากขึ้นตามความรุนแรงของโรคอ้วนและนาไปสู่โรคเบาหวานชนิดที่ 2 ในเด็กและวัยรุ่นมากขึ้น(23)
อาจพบระดับไขมันใน
เลือดผิดปกติเด็กโรคอ้วนส่วนใหญ่มีส่วนสูงมากกว่า แต่เข้าสู่วัยรุ่นเร็วกว่าเด็กวัยเดียวกัน จึงทาให้ส่วนสูงในวัยผู้ใหญ่ไม่
สูงกว่าศักยภาพทางกรรมพันธุ์ ในวัยรุ่นหญิงที่อ้วนอาจพบภาวะ polycystic ovary syndrome (PCOS) ซึ่ง
ประกอบด้วยอาการประจาเดือนขาดหรือมาผิดปกติ มีสิว ขนดก เสียงห้าว ผู้ใหญ่โรคอ้วนมีความเสี่ยงต่อการเกิดเนื้อ
งอกในมดลูก(24)
และมะเร็งรังไข่(25)
 กลุ่มอาการเมตาบอลิก (metabolic syndrome) เป็นกลุ่มอาการที่เป็นปัจจัยเสี่ยงต่อการเกิดโรคหัวใจและหลอดเลือด
และโรคเบาหวานชนิดที่ 2 เกณฑ์การวินิจฉัยกลุ่มอาการเมตาบอลิกของสมาพันธ์เบาหวานนานาชาติ (International
Diabetes Federation, IDF) ในเด็กอายุ 10 ปีขึ้นไป ใช้เส้นรอบเอวร่วมกับเกณฑ์อื่นอีก 2 ข้อขึ้นไป (ตารางที่ 1) (26)
10
ตารางที่1 เกณฑ์การวินิจฉัยกลุ่มอาการเมตาบอลิกในเด็ก
อายุ
(ปี)
เส้นรอบเอว ไตรกลีเซอไรด์
(มก./ ดล.)
HDL-C
(มก./ดล.)
ความดันเลือด
(มม.ปรอท)
FBG
(มก./ดล.)
10-16 > เปอร์เซ็นไทล์ที่ 90 ตาม
อายุและเพศหรือมากเกิน
เกณฑ์อ้วนลงพุงของผู้ใหญ่
> 150 < 40 > 130/ 85 > 100 หรือเป็น
โรคเบาหวาน ชนิดที่ 2
>16 หญิง > 80 ซม.
ชาย > 90 ซม.
> 150 ชาย < 40
หญิง < 50
> 130/ 85 > 100 หรือเป็น
โรคเบาหวาน ชนิดที่ 2
HDL-C, high-density lipoprotein cholesterol; FBG, fasting blood glucose
 ความผิดปกติทางผิวหนัง มักพบ acanthosis nigricans คือ ผิวหนังมีลักษณะเป็นผื่นสีน้าตาลดานูนหนา ไม่คัน พบที่
บริเวณลาคอ รักแร้ ข้อพับ และขาหนีบ ทั้ง 2 ข้าง ซึ่งพบร่วมกับโรคเบาหวานชนิดที่ 2 เกิดจากการกระตุ้น insulin-like
growth factor receptor ที่ผิวหนัง และกระตุ้นการทางานของ keratinocyte พบในคนผิวดามากกว่าคนผิวขาว(27)
อาจ
พบรอยแตก (striae) ในโรคอ้วนที่รุนแรงและมีน้าหนักเพิ่มขึ้นเร็ว อาจพบลักษณะผื่นแดงบริเวณข้อพับ (intertrigo) เกิด
จากการเสียดสี และความอับชื้น มักพบการติดเชื้อราแทรกซ้อน และติดเชื้อแบคทีเรียในบริเวณที่มีขน(28)
 ด้านจิตใจและสังคม พบว่าเด็กอ้วนมีการขาดความภาคภูมิใจในตนเอง มองว่าตนเองไม่เก่ง ไม่มีความสามารถ ทาให้มีผล
ต่ออารมณ์ การพัฒนาความคิด ความรู้สึกมีคุณค่าในตนเอง และภาพลักษณ์ต่อร่างกายของวัยรุ่น เกิดปัญหาในการเข้า
สังคม รู้สึกโดดเดี่ยว เหงา ซึมเศร้า วิตกกังวล มีอาการแสดงทางร่างกาย เด็กมักใช้การกินเพื่อระบายความอึดอัดคับข้อง
ใจ(29)
 ความเสี่ยงต่อการเติบโตเป็นผู้ใหญ่โรคอ้วน การศึกษาในเด็กไทยพบว่า เด็กวัยเรียนที่อ้วนมีโอกาสเสี่ยงต่อการเป็นวัยรุ่น
ที่อ้วน 3.1-12.5 เท่า(30)
ในระดับมัธยมศึกษาพบว่าเด็กชายและหญิงที่อ้วนเสี่ยงต่อการเป็นโรคอ้วนหลังจบการศึกษา 1.4
และ 4.6 เท่า(31)
เด็กอ้วนมีโอกาสเสี่ยงที่จะกลายเป็นวัยรุ่นที่อ้วนถึง 8.2 และ 20 เท่าในเด็กชายและหญิง ตามลาดับ(32)
เด็กโรคอ้วนเมื่อเติบโตขึ้นจะมีความเสี่ยงต่อการเป็นโรคอ้วนในผู้ใหญ่(33)
การศึกษาที่ติดตามเด็กโรคอ้วนในระยะยาว
พบว่า ร้อยละ 69 ของเด็กอายุ 6-9 ปี และร้อยละ 83 ของวัยรุ่นอายุ 10-14 ปี จะกลายเป็นผู้ใหญ่โรคอ้วนต่อไป(34)
 ความเสี่ยงต่อการเกิดโรคมะเร็ง พบว่าโรคอ้วนในผู้ใหญ่มีความสัมพันธ์กับการเกิดโรคมะเร็งหลายตาแหน่ง ได้แก่ มะเร็ง
หลอดอาหาร ต่อมไทรอยด์ ไต ผิวหนัง ลาไส้และไส้ตรงในเพศชาย มะเร็งเยื่อบุโพรงมดลูก หลอดอาหาร ถุงน้าดี ไต ตับ
อ่อน ต่อมไทรอยด์ มะเร็งเต้านมในวัยหลังหมดประจาเดือน และมะเร็งลาไส้ในเพศหญิง (24)
นอกจากนี้ยังพบว่าผู้ใหญ่โรค
อ้วนมีอัตราตายจากโรคมะเร็งมากกว่าคนน้าหนักตัวปกติอีกด้วย(35)
2. การวินิจฉัยโรคอ้วนในเด็ก
2.1 หลักเกณฑ์การวินิจฉัย
โรคอ้วน (obesity) เป็นภาวะที่มีไขมันสะสมในร่างกายมากกว่าปกติจนเกิดผลเสียต่อสุขภาพ โดยมีหลักเกณฑ์การ
วินิจฉัยทางเวชปฏิบัติตามคาแนะนาขององค์การอนามัยโลก (3 A)(1)
(ตารางที่ 2) ดังนี้
11
1. น้าหนักตัวของเด็กสูงกว่าค่ามัธยฐานของน้าหนักตามเกณฑ์ส่วนสูงของเด็ก (median of weight-for-height)
เกิน 3 เท่าของค่าเบี่ยงเบนมาตรฐาน (standard deviation, SD) โดยใช้เกณฑ์อ้างอิงของกระทรวงสาธารณสุข(36)
(ภาคผนวกที่ 1)
2. ดัชนีมวลกาย (body mass index, BMI) สูงกว่าค่ามัธยฐานมากกว่าหรือเท่ากับ 2 เท่าของ SD โดยใช้เกณฑ์
อ้างอิงขององค์การอนามัยโลก(37)
(ภาคผนวกที่ 1) คานวณค่าดัชนีมวลกาย ดังนี้
BMI = น้าหนักตัว (กิโลกรัม)
ส่วนสูง (เมตร)2
ภาวะน้าหนักเกิน หรือ เริ่มอ้วน (overweight) เป็นภาวะที่มีความผิดปกติน้อยกว่าเกณฑ์โรคอ้วน โดยมีหลักเกณฑ์
การวินิจฉัยทางเวชปฏิบัติตามคาแนะนาขององค์การอนามัยโลก (3 A)(1)
ดังนี้
1. น้าหนักตัวของเด็กสูงกว่าค่ามัธยฐานของน้าหนักตามเกณฑ์ส่วนสูงของเด็ก (median of weight-for-height)
เกิน 2 เท่า จนถึง 3 เท่าของค่าเบี่ยงเบนมาตรฐาน (standard deviation, SD) โดยใช้เกณฑ์อ้างอิงของกระทรวงสาธารณสุข
(36)
(ภาคผนวกที่ 1)
2. ดัชนีมวลกาย (body mass index, BMI) สูงกว่าค่ามัธยฐานมากกว่าหรือเท่ากับ 1 เท่า แต่น้อยกว่า 2 เท่าของ
ของ SD โดยใช้เกณฑ์อ้างอิงขององค์การอนามัยโลก(37)
(ภาคผนวกที่ 1)
ตารางที่ 2 เกณฑ์การวินิจฉัยโรคอ้วนและภาวะน้าหนักเกิน
เกณฑ์วินิจฉัย ปกติ น้าหนักเกิน หรือ เริ่มอ้วน โรคอ้วน
น้าหนักตามเกณฑ์ส่วนสูง > median -2 SD และ
< median + 2 SD
> median + 2 SD และ
< median + 3 SD
> median + 3 SD
ดัชนีมวลกาย > median -1 SD และ
< median + 1 SD
> median + 1 SD และ
< median + 2 SD
> median + 2 SD
2.2 การประเมินความรุนแรง (3 B)
การแบ่งความรุนแรงของโรคอ้วนในเวชปฏิบัติ ใช้ค่าร้อยละของน้าหนัก อ้างอิงตามเกณฑ์ส่วนสูง (% weight-for-
height, % WH) (ตารางที่ 3)
ตารางที่ 3 เกณฑ์การแบ่งความรุนแรงของโรคอ้วนในเด็ก
ระดับความรุนแรง
ตาม % WH*
> 110 – 120 > 120 – 140 > 140 – 160 > 160 – 200 > 200
เกณฑ์เดิม น้าหนักเกิน
(overweight)
อ้วนเล็กน้อย
(mild obesity)
อ้วนปานกลาง
(moderate
obesity)
อ้วนมาก
(severe obesity)
อ้วนรุนแรง
(morbid obesity)
แนวทางเวชปฏิบัติปัจจุบัน ** เริ่มอ้วน
(overweight)
โรคอ้วน
(obesity)
โรคอ้วนรุนแรง
(morbid obesity)
* % WH = น้าหนักตัว (กิโลกรัม) x 100
น้าหนักอ้างอิงตามเกณฑ์ส่วนสูง จาแนกตามเพศ และเชื้อชาติ
12
** จากการเปรียบเทียบกับเกณฑ์อ้างอิงการเจริญเติบโตของเด็กไทย กระทรวงสาธารณสุข พ.ศ. 2542 พบว่า เด็กที่ได้รับการ
วินิจฉัยว่าเป็น “โรคอ้วน” คือ น้าหนักตามเกณฑ์ส่วนสูงมากกว่าค่ามัธยฐานเกิน +3 SD จะมีน้าหนักคิดเป็นร้อยละ 135-153
ของค่ามัธยฐาน และเด็กที่ได้รับการวินิจฉัย “ภาวะน้าหนักเกิน” คือ น้าหนักตามเกณฑ์ส่วนสูงมากกว่าค่ามัธยฐานเกิน +2 SD
จนถึง +3 SD จะมีน้าหนักคิดเป็นร้อยละ 122-135 ของค่ามัธยฐาน ดังนั้นถ้าใช้เกณฑ์วินิจฉัยว่าอ้วนเมื่อน้าหนักตามเกณฑ์
ส่วนสูงมากกว่าร้อยละ 120 ของค่ามัธยฐาน จะทาให้วินิจฉัยเด็กโรคอ้วนเกินความเป็นจริง (overdiagnosis) ทางชมรม
โภชนาการเด็กแห่งประเทศไทยเห็นสมควรใช้เกณฑ์ %WH > 140 และเกณฑ์ %WH > 200 เป็นเกณฑ์วินิจฉัยโรคอ้วน และ
โรคอ้วนรุนแรง ซึ่งควรตรวจหาภาวะแทรกซ้อนที่อาจพบร่วมด้วย
2.3 โรค/กลุ่มอาการที่มีภาวะอ้วนร่วมด้วย
เด็กโรคอ้วนที่มีส่วนสูงตามเกณฑ์อายุต่ากว่าค่ามัธยฐาน (เปอร์เซ็นไทล์ที่ 50) หรือมีอัตราการเพิ่มของส่วนสูงน้อย
กว่าปกติ จาเป็นต้องส่งตรวจเพื่อวินิจฉัยแยกโรคที่มีภาวะอ้วนร่วมด้วย เช่น โรค/กลุ่มอาการทางพันธุกรรม และโรคของระบบ
ต่อมไร้ท่อ (3 A)(38)
(ตารางที่ 4)
ตารางที่ 4 โรค/กลุ่มอาการทางพันธุกรรมและโรคของระบบต่อมไร้ท่อที่มีภาวะอ้วนร่วมด้วย(38,39)
กลุ่มอาการ อาการและอาการแสดง
โรค/กลุ่มอาการทางพันธุกรรม
Prader-Willi syndrome ลักษณะหน้าตาผิดปกติ มือเท้าขนาดเล็ก hypogonadism สติปัญญาและ
พัฒนาการช้า มีปัญหาการกิน เลี้ยงไม่โต และ hypotonia ในวัยทารก
Laurence–Moon-Biedl
syndrome
Truncal obesity สติปัญญาและพัฒนาการช้า นิ้วผิดปกติ (syndactyly หรือ
polydactyly), nephropathy, retinopathy, hypogenitalism
Bardet-Biedl syndrome จอประสาทตาเสื่อม นิ้วผิดปกติ (syndactyly หรือ polydactyly), สติปัญญา
ช้า
Alström syndrome จอประสาทตาเสื่อม หูหนวก เบาหวาน hypogonadism
โรคของระบบต่อมไร้ท่อ
Cushing’s syndrome Truncal obesity, hirsutism, moon facies, buffalo hump, violaceous
striae, ความดันโลหิตสูง เบาหวาน
Hypothyroidism ตัวเตี้ย ผิวแห้งหยาบ ผมหยาบ ซึม เสียงแหบ เบื่ออาหาร ลิ้นใหญ่ ไม่แสดง
ความรู้สึก พัฒนาการทางเพศช้า
Growth hormone deficiency ตัวเตี้ย อ้วนน้อยถึงปานกลาง
Pseudohypoparathyroidism ตัวเตี้ย หน้ากลม มือเท้าสั้น ต้อกระจก ผิวแห้งหยาบ เล็บและผมแตกหักง่าย
สติปัญญาและพัฒนาการช้า hypocalcemia, hyperphosphatemia,
subcutaneous calcification
Hypothalamic dysfunction ปวดศีรษะ ตามัว เบาจืด ชัก papilledema, hypothyroidism, adrenal
insufficiency, temperature dysregulation, coma
3. แนวทางการดูแลรักษาโรคอ้วนในเด็ก
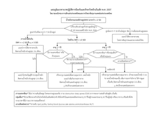
13
ใช่
แผนภูมิแนวทางเวชปฏิบัติการป้องกันและรักษาโรคอ้วนในเด็ก พ.ศ. 2557
โดย ชมรมโภชนาการเด็กแห่งประเทศไทยและราชวิทยาลัยกุมารแพทย์แห่งประเทศไทย
น้าหนักตามเกณฑ์ส่วนสูง(WH) มากกว่า + 2 SD
เปรียบเทียบส่วนสูงกับส่วนสูงมัธยฐาน
(P 50) ของเกณฑ์อ้างอิงฯ พ.ศ. 2542
แนะนาให้ตรวจหาสาเหตุ
โรคทางพันธุกรรมและระบบต่อมไร้ท่อ
สูงเท่ากับหรือมากกว่า P 50(อ้วนสูง)
อายุ < 7 ปี
โรคอ้วน (WH > +3 SD)
อายุ > 7 ปี
ภาวะน้าหนักเกิน
(WH > + 2 SD ถึง < + 3 SD)
แนะนาการให้อาหารตามวัย
ติดตามน้าหนัก-ส่วนสูงทุก 3-6 เดือน
ไม่ใช่
ใช่
แนะนาโภชนบัญญัติ ควบคุมน้าหนัก
ติดตามน้าหนัก-ส่วนสูงทุก 2-6 เดือน
ปรึกษากุมารแพทย์เพื่อควบคุมอาหาร ลดน้าหนัก
แนะนาเพิ่มกิจกรรมทางกาย
ติดตามน้าหนักและส่วนสูงทุก 2-6 เดือน
+ ส่งปรึกษาแพทย์เฉพาะทาง
ภาวะแทรกซ้อน* ได้แก่ ความดันเลือดสูง โรคของกระดูกและข้อ ภาวะ obstructive sleep apnea (OSA) อาการของภาวะต่อต้านอินซูลิน เป็นต้น
กลุ่มเสี่ยง**มีประวัติครอบครัวเป็นโรคไขมันในเลือดผิดปกติ หรือโรคหัวใจและหลอดเลือดก่อนอายุ 55 ปีในผู้ชายและก่อนอายุ 65 ปีในผู้หญิง หรือเบาหวาน หรือเด็กที่เกิด
จากมารดาที่มีภาวะเบาหวานขณะตั้งครรภ์
เจาะเลือดส่งตรวจ***หาระดับ lipid profile, fasting blood glucose และ alanine aminotransferase (ALT)
มีภาวะแทรกซ้อน* หรือกลุ่มเสี่ยง**
หรืออ้วนรุนแรง
ปรึกษากุมารแพทย์เพื่อควบคุมอาหาร เปูาหมายลดน้าหนัก 5-10
% ของน้าหนักขณะนั้น เพิ่มการออกกาลังกาย ให้การดูแล
เบื้องต้น ติดตามน้าหนักและส่วนสูงทุก 2-6 เดือน
+ ส่งปรึกษาแพทย์เฉพาะทาง
มีภาวะแทรกซ้อน* หรือ
อ้วนรุนแรง
v
สูงน้อยกว่า P 50(อ้วนไม่สูง)/ อัตราการเพิ่มของส่วนสูงลดลง
ไม่ใช่
พิจารณาเจาะเลือดส่งตรวจ***
ตามความเหมาะสม
เจาะเลือดส่งตรวจ***
ผลผิดปกติผลปกติ
14
เนื่องจากโรคอ้วนมีสาเหตุจากหลายปัจจัยที่สัมพันธ์กัน ดังนั้นการรักษาจาเป็นต้องอาศัยวิธีการต่างๆ เพื่อให้ได้
ผลลัพธ์ที่ดีและมีประสิทธิภาพ นอกจากนั้น ควรให้การดูแลรักษาโรคอ้วนตั้งแต่เริ่มแรก เพื่อลดความรุนแรงของโรคอ้วนและ
ภาวะแทรกซ้อนต่างๆ ที่อาจตามมา
3.1 แผนภูมิแนวทางดูแลรักษาเด็กโรคอ้วน
การดูแลรักษาเด็กโรคอ้วนตามแผนภูมิแนวทางดูแลรักษาเด็กโรคอ้วน สาหรับแพทย์เวชปฏิบัติทั่วไปและกุมารแพทย์
ใช้เป็นแนวทางในการดูแลเด็กที่มีภาวะน้าหนักเกินและโรคอ้วนเบื้องต้น เพื่อให้เด็กมีการเจริญเติบโตปกติ ความรุนแรงของโรค
และภาวะแทรกซ้อนลดลง ก่อนการส่งต่อแพทย์เฉพาะทางหากมีภาวะแทรกซ้อนที่รุนแรง เช่น OSA, DM เป็นต้น
3.2 การตรวจเพื่อหาภาวะแทรกซ้อน
แนะนาให้ตรวจเลือดในเด็กโรคอ้วนอายุ 7 ปี ขึ้นไปที่มีภาวะแทรกซ้อน ได้แก่ ความดันเลือดสูง โรคของกระดูกและ
ข้อ ภาวะ OSA อาการของภาวะต่อต้านอินซูลิน เป็นต้น หรือเป็นกลุ่มเสี่ยงต่อภาวะไขมันในเลือดผิดปกติและเบาหวาน คือ มี
ประวัติครอบครัวเป็นโรคไขมันในเลือดผิดปกติ หรือโรคหัวใจและหลอดเลือดก่อนอายุ 55 ปี ในผู้ชาย และก่อนอายุ 65 ปี ใน
ผู้หญิง(40)
มีพี่น้อง บิดา มารดา ปูุ ย่า ตา หรือยายเป็นเบาหวาน หรือเด็กที่เกิดจากมารดาที่มีภาวะเบาหวานขณะตั้งครรภ์(41)
หรืออ้วนรุนแรง (morbid obesity) (3 A) โดยให้งดอาหาร 10-12 ชั่วโมงและส่งตรวจระดับไขมัน เอนไซม์ alanine
aminotransferase (ALT หรือ serum glutamic pyruvic transaminase, SGPT) และระดับน้าตาลหลังงดอาหาร (FBG)(38)
ส่วนเด็กอายุ 7 ปีขึ้นไปที่ไม่มีภาวะแทรกซ้อน ไม่เป็นกลุ่มเสี่ยง หรือไม่ได้อ้วนรุนแรง และในเด็กอายุน้อยกว่า 7 ปี ที่มี
ภาวะแทรกซ้อน หรืออ้วนรุนแรงพิจารณาตรวจเลือดตามความเหมาะสมในแต่ละราย(3 B)
การทา oral glucose tolerance test (OGTT) โดยการตรวจ FBG แล้วให้กินน้าตาลขนาด 1.75 กรัม/กก.ของ
น้าหนักอ้างอิงตามเกณฑ์ส่วนสูง (ไม่เกิน 75 กรัม) กินภายใน 5 นาที แล้วเจาะน้าตาลในเลือดหลังกินน้าตาลนาน 2 ชั่วโมง นา
ผลเลือดที่ได้มาประเมินความผิดปกติในตารางที่ 5 การทา OGTT พิจารณาทาในกรณีที่มีค่า FBG มากกว่าหรือเท่ากับ 100
มก./ดล.(3 A)(26)
กรณีสงสัยภาวะซึมเศร้า อาจประเมินเบื้องต้นโดยใช้แบบคัดกรองภาวะซึมเศร้าในเด็ก(Children’s Depression
Inventory; CDI) ฉบับภาษาไทย(42)
เพื่อประเมินความคิดและความรู้สึกซึมเศร้าของเด็กเอง และพิจารณาส่งปรึกษาจิตแพทย์
ต่อไป
ตารางที่ 5 การตรวจเพื่อประเมินภาวะแทรกซ้อนของเด็กโรคอ้วน
ภาวะแทรกซ้อน เกณฑ์การวินิจฉัย
Prediabetes: Impaired fasting glucose FBG > 100 mg/dL
Impaired glucose tolerance BG (OGTT at 2 hr) >140-199 mg/dL
Diabetes mellitus (DM)
FBG > 126 mg/dL
BG (OGTT at 2 hr) > 200 mg/dL
Dyslipidemia: (fasting 12-14 hr)
Triglyceride > 150 mg/dL
LDL-C > 130 mg/dL
Total cholesterol > 200 mg/dL
HDL-C < 40 mg/dL
15
Hypertension ค่าความดันเลือด > เปอร์เซ็นไทล์ที่ 95 ตามเพศ อายุ และเปอร์เซ็นไทล์ส่วนสูง (43)
(ภาคผนวกที่ 2)
Non-alcoholic fatty
liver
disease (NAFLD)
ค่า alanine aminotransferase (ALT) สูง > 2 เท่าของค่าปกติ หรือการตรวจ
ultrasound ตับผิดปกติ
Obstructive sleep
apnea (OSA)
ประวัตินอนกรนดัง หยุดหายใจ และหายใจลาบาก ร่วมกับค่า %O2 saturation ที่วัด
ขณะหลับลดต่ากว่าร้อยละ 90 อย่างน้อย 3 ช่วงเวลาของการนอนหลับตั้งแต่ 6 ชม.ขึ้น
ไป
FBG, fasting blood glucose; BG, blood glucose; OGTT, oral glucose tolerance test; LDL-C, low-density
lipoprotein cholesterol; HDL-C, high-density lipoprotein cholesterol
3.3 เป้าหมายในการดูแลรักษา
จากผลการศึกษาที่ผ่านมาพบว่า การควบคุมอาหาร การเพิ่มการเคลื่อนไหวร่างกาย การออกกาลังกาย และการปรับ
พฤติกรรมบนพื้นฐานของครอบครัว ที่มีผู้ปกครองเป็นแบบอย่างของการมีสุขนิสัยที่ดี และช่วยสนับสนุนในการดูแลเด็กโรค
อ้วน เป็นโปรแกรมการรักษาที่ได้ผลจริงในการควบคุมน้าหนักระยะยาว (1 A)(38,44)
ดีกว่าการรักษาด้วยการควบคุมอาหารหรือ
การออกกาลังกายอย่างเดียว
การกาหนดเปูาหมายเบื้องต้นในการดูแลรักษา 3 ด้าน คือ
 ด้านน้าหนัก
การดูแลน้าหนักตัวมีวัตถุประสงค์เพื่อควบคุมน้าหนักตัวให้คงเดิมหรือลดลงโดยมีส่วนสูงเพิ่มขึ้นตามปกติ รักษามวล
กล้ามเนื้อไม่ให้ลดลง และปูองกันภาวะแทรกซ้อน รวมทั้งปัญหาด้านจิตใจ โดยแบ่งตามอายุของผู้ปุวยและความรุนแรง
ของโรคอ้วน (3 A)(45)
ดังนี้
 เด็กที่มีภาวะน้าหนักเกิน หรือเด็กโรคอ้วนอายุน้อยกว่า 7 ปี ที่ไม่ถึงเกณฑ์อ้วนรุนแรงและไม่มีภาวะแทรกซ้อน
ควรดูแลให้น้าหนักตัวคงเดิม โดยบริโภคอาหารตามความต้องการของเด็กที่มีน้าหนักปกติตามเกณฑ์ส่วนสูง
และติดตามการเจริญเติบโตด้านน้าหนักและส่วนสูงเป็นระยะ ทุก 2-6 เดือน (3 B)(46)
 เด็กโรคอ้วนอายุน้อยกว่า 7 ปี ที่มีภาวะแทรกซ้อน หรืออ้วนรุนแรง และเด็กโรคอ้วนอายุ 7 ปี ขึ้นไปที่แม้ว่าไม่มี
ภาวะแทรกซ้อน ไม่เป็นกลุ่มเสี่ยง หรือไม่ถึงเกณฑ์อ้วนรุนแรง ควรควบคุมอาหารและเพิ่มกิจกรรมทางกายเพื่อ
ลดน้าหนัก และติดตามการเจริญเติบโตด้านน้าหนักและส่วนสูงเป็นระยะทุก 2-6 เดือน (3 B)(46)
 เด็กโรคอ้วนอายุ 7 ปีขึ้นไปที่มีภาวะแทรกซ้อน เป็นกลุ่มเสี่ยง อ้วนรุนแรง หรือมีผลเจาะเลือดผิดปกติ ควร
ควบคุมอาหารและเพิ่มกิจกรรมทางกาย โดยพบว่าหากมีน้าหนักตัวลดลง ร้อยละ 5-10 ของน้าหนักเดิม จะ
สามารถลดความรุนแรงของโรคอ้วนและภาวะแทรกซ้อนได้ (1 A)(47)
ทั้งนี้ในเด็กที่มีความดันโลหิตสูงหรือ
เบาหวานควรลดน้าหนักตามเปูาหมายดังกล่าวภายใน 1 ปี หรือลดลงรวดเร็วกว่านั้นหากมีภาวะแทรกซ้อนที่
รุนแรงมากขึ้น (3 A)(48)
โดยลดพลังงานลง 500-1,000 กิโลแคลอรีต่อวัน จะทาให้น้าหนักตัวลดลง 0.5-1
กิโลกรัมต่อสัปดาห์ ร่วมกับการเพิ่มการเคลื่อนไหวร่างกายเป็นประจา ติดตามการเจริญเติบโตด้านน้าหนักและ
ส่วนสูงเป็นระยะ ทุก 2-6 เดือน (3 B) และอาจต้องส่งปรึกษาแพทย์เฉพาะทางกรณีมีภาวะแทรกซ้อน
 ด้านพฤติกรรมสร้างเสริมสุขภาพ โดยการปรับเปลี่ยนพฤติกรรม มีเปูาหมายอยู่ที่การบริ โภคอาหารลดลงและเพิ่มการ
เคลื่อนไหวร่างกาย (1 A)(44)
มีหลากหลายรูปแบบ ได้แก่ การสร้างพฤติกรรมใหม่ ปรับพฤติกรรมเดิมให้เหมาะสม และ
16
การกาจัดพฤติกรรมที่ไม่เหมาะสม โดยการให้ความรู้เพื่อให้เกิดความตระหนักอยากเปลี่ยนแปลง การฝึกให้เกิดความเคย
ชินและมีประพฤติต่อเนื่องเป็นเวลานานอย่างน้อย 6 เดือน การทากลุ่มบาบัด การตรวจสอบตนเอง โดยบันทึกการบริโภค
อาหาร เพื่อประเมินพฤติกรรมการบริโภคอาหาร (1 B)(49)
การวางแผนและเรียนรู้วิธีการหลีกเลี่ยง เพื่อพัฒนาทักษะใน
การแก้ปัญหา (2 B)(50)
การเสริมแรงด้านบวกสาหรับพฤติกรรมที่พึงประสงค์ การจัดสิ่งแวดล้อมในบ้าน (3 B)(51)
และการ
ให้ผู้ปกครองมีส่วนร่วม มีความสาคัญมาก โดยผู้ปกครองเป็นแบบอย่างที่ดีและช่วยประคับประคองให้การรักษาประสบ
ความสาเร็จได้ในเบื้องต้น และต่อเนื่องในระยะยาว (1 A)(52,53)
 ด้านการดูแลรักษาภาวะแทรกซ้อน จาเป็นต้องส่งปรึกษาแพทย์ผู้เชี่ยวชาญในสาขาที่เกี่ยวข้องกับภาวะแทรกซ้อนที่พบ
ได้แก่ ศัลยกรรมกระดูกและข้อ เวชศาสตร์ฟื้นฟู ระบบหัวใจและหลอดเลือด ระบบทางเดินหายใจ และจิตวิทยา เป็นการ
รักษาแบบสหวิชาชีพ (multi-disciplinary) ในบางรายแพทย์ผู้เชี่ยวชาญจาเป็นต้องพิจารณารับไว้รักษาในโรงพยาบาล
เพื่อปูองกันอันตรายจากการควบคุมอาหารที่ไม่เหมาะสมและเกิดการขาดสารอาหาร และรักษาภาวะแทรกซ้อนที่รุนแรง
รวมทั้งติดตามการเจริญเติบโตของเด็ก และภาวะแทรกซ้อนเป็นระยะๆ ตามความเหมาะสม(3 A)
4. แนวทางการป้องกันโรคอ้วนในเด็ก
แพทย์เวชปฎิบัติทั่วไปและกุมารแพทย์ ควรตรวจค้นหาเด็กที่มีความเสี่ยงต่อโรคอ้วน (3 C)(54)
ได้แก่ เด็กที่น้าหนัก
แรกเกิดน้อยกว่า 2,500 กรัมหรือมากกว่า 4,000 กรัม เด็กที่คลอดจากมารดาที่เป็นโรคเบาหวานขณะตั้งครรภ์ เด็กที่มีพ่อแม่
อ้วนและมีฐานะดีพอสมควร ครอบครัวมีประวัติของโรคไม่ติดต่อเรื้อรัง ได้แก่ โรคหัวใจและหลอดเลือดที่อายุน้อย ความดัน
เลือดสูง ไขมันในเลือดผิดปกติ โรคเบาหวาน และโรคอ้วน กลุ่มเด็กที่อายุน้อยกว่า 5-7 ปี ที่มีไขมันสะสมกลับขึ้นมาใหม่
(adiposity rebound) เร็ว รวมทั้งวัยรุ่นที่มีความเป็นตัวของตัวเองสูง และมีพฤติกรรมการกินที่ไม่เหมาะสม โดยติดตามการ
เจริญเติบโตทางน้าหนักและส่วนสูงทุกปี (3 C)(55)
แพทย์เวชปฎิบัติทั่วไปและกุมารแพทย์ มีบทบาทหน้าที่ในการปูองกันโรคอ้วนในเด็ก โดยการให้ความรู้ในการบริโภค
อาหารสุขภาพและเพิ่มการเคลื่อนไหวร่างกายแก่ผู้มารับบริการในสถานพยาบาล (1 B)(54,56,57)
และชุมชน (3 C)(38,54)
พ่อแม่
และผู้ปกครองของเด็กที่มีภาวะน้าหนักเกินควรได้รับคาแนะนาเรื่องอาหารและนมตามวัย การเคลื่อนไหวร่างกาย และการ
ปรับเปลี่ยนพฤติกรรมให้เหมาะสมตามวัย เพื่อเป็นแนวทางในการดูแลเด็กเหล่านี้อย่างเหมาะสม และมีสุขภาพดีต่อไป
 คาแนะนาในการบริโภคอาหาร ควรแนะนาการให้อาหารทารกและเด็กเล็กตามข้อปฏิบัติการให้อาหารเพื่อสุขภาพที่ดี
(Food-based Dietary Guidelines: FBDG) ของทารกและเด็กเล็ก (ตารางที่ 6) แนะนาการบริโภคอาหารในเด็กโตและ
วัยรุ่นตามโภชนบัญญัติ 9 ประการ (ตารางที่ 7) และธงโภชนาการ (รูปที่ 1)
คาแนะนาในการบริโภคอาหารที่มีหลักฐานเชิงประจักษ์สนับสนุนแนวทางการบริโภคอาหารเพื่อปูองกันโรค
อ้วนในเด็ก มีดังนี้
1. สนับสนุนให้มารดาเลี้ยงลูกด้วยนมแม่อย่างเดียวถึงอายุ 6 เดือน หลังจากนั้นให้นมแม่ร่วมกับอาหารตามวัย
จนถึงอายุ 2 ปี หรือนานกว่านั้น หลังอายุ 1 ปี เด็กควรได้รับอาหารมื้อหลัก 3 มื้อและนมรสจืดวันละ 2-3 ครั้ง (1
A)(56,58)
รวมทั้งการเลิกดูดขวดนมหลังอายุ 1 ปี (อย่างช้าไม่เกิน 18 เดือน) (3 A) (59,60)
ไม่ควรงดอาหารมื้อเช้า (1
B)(61)
ควรให้กินอาหารเป็นเวลา ปริมาณพอเหมาะสอดคล้องกับพัฒนาการของเด็ก และสร้างวินัยในการกิน
2. ควบคุมปริมาณพลังงานที่ได้รับจากอาหาร โดยควบคุมปริมาณที่บริโภค (3 B)(56,62,63)
ในเด็กที่อายุมากกว่า 2 ปี
ลดการบริโภคไขมันอิ่มตัว เช่น ไขมันจากสัตว์ เนย กะทิ น้ามันมะพร้าว น้ามันปาล์ม เป็นต้น อาจให้นมจืดที่มีไขมันต่า
17
(3 A)(64)
ลดการบริโภคน้าตาล เพื่อลด glycemic load (1 B)(54,65)
เพิ่มการบริโภคใยอาหารจากผัก ผลไม้สด และธัญพืช
ที่ไม่ผ่านการขัดสี (whole grain cereals)
3. ควรหลีกเลี่ยงการกินอาหารที่มีพลังงานสูง แต่สารอาหารต่า เช่น น้าอัดลม น้าหวาน (1 A)(56,62)
รวมทั้งขนมขบ
เคี้ยว (3 B)(66)
4. ควรหลีกเลี่ยงการกินอาหารนอกบ้าน และอาหารจานด่วน (fast food) (2 B)(67)
5. ไม่ควรสะสมอาหารและขนมในบ้าน ไม่ให้อาหารและขนมแก่เด็กเป็นรางวัล (3 C)(56,63)
ตารางที่ 6 ข้อปฏิบัติการให้อาหารเพื่อสุขภาพที่ดีของทารกและเด็กเล็ก(68)
ทารก (อายุ 0-12 เดือน) เด็กเล็ก (อายุ 1- 5 ปี)
1.ให้นมแม่อย่างเดียวตั้งแต่แรกเกิดถึง 6 เดือน ไม่ต้องให้
อาหารอื่นแม้แต่น้า
1. ให้อาหารมื้อหลัก 3 มื้อ และอาหารว่างไม่เกิน 2 มื้อต่อ
วัน
2. เริ่มให้อาหารตามวัยเมื่ออายุ 6 เดือน ควบคู่ไปกับนมแม่* 2. ให้อาหารครบ 5 หมู่ แต่ละหมู่ให้หลากหลาย เป็น
ประจาทุกวัน
3. เพิ่มจานวนมื้ออาหารตามวัยเมื่ออายุลูกเพิ่มขึ้น จนครบ 3
มื้อเมื่อลูกอายุ 10-12 เดือน
3. ให้นมแม่ต่อเนื่องถึงอายุ 2 ปี เสริมนมรสจืดวันละ 2-3
แก้ว
4. ให้อาหารตามวัยที่มีคุณภาพและครบ 5 หมู่ ทุกวัน 4. ฝึกให้กินผัก ผลไม้สดจนเป็นนิสัย
5. ค่อย ๆ เพิ่มปริมาณ และความหยาบของอาหารขึ้น ตาม
อายุ
5. ให้อาหารว่างที่มีคุณภาพ
6. ให้อาหารรสธรรมชาติ หลีกเลี่ยงการปรุงแต่งรส 6. ฝึกให้กินอาหารรสธรรมชาติ ไม่หวานจัด มันจัด และ
เค็มจัด
7. ให้อาหารสะอาดและปลอดภัย 7. ให้อาหารสะอาดและปลอดภัย
8. ให้ดื่มน้าสะอาด งดเครื่องดื่มรสหวานและน้าอัดลม 8. ให้ดื่มน้าสะอาด หลีกเลี่ยงเครื่องดื่มปรุงแต่งรสหวาน
และน้าอัดลม
9. ฝึกวิธีดื่มกินให้สอดคล้องกับพัฒนาการตามวัย 9. ฝึกวินัยการกินอย่างเหมาะสมตามวัยจนเป็นนิสัย
10. เล่นกับลูก สร้างความผูกพัน หมั่นติดตามการ
เจริญเติบโตและพัฒนาการ
10. เล่นกับลูก สร้างความผูกพัน หมั่นติดตามการ
เจริญเติบโตและพัฒนาการ
* ถ้าการเจริญเติบโตมีแนวโน้มลดลง หรือไม่สามารถให้นมแม่ได้อย่างเต็มที่ อาจเริ่มให้ก่อนได้แต่ไม่ก่อนอายุครบ4 เดือน
18
ตารางที่ 7 โภชนบัญญัติ 9 ประการ(69)
ข้อปฏิบัติการกินอาหารเพื่อสุขภาพที่ดีของคนไทย
1. รับประทานอาหารครบ 5 หมู่ แต่ละหมู่ให้หลากหลายและหมั่นดูแลน้าหนักตัว
2. รับประทานข้าวเป็นอาหารหลัก สลับกับอาหารประเภทแปูงเป็นบางมื้อ
3. รับประทานพืชผักให้มาก และรับประทานผลไม้สดเป็นประจา
4. รับประทานปลา เนื้อสัตว์ไม่ติดมันไข่ และถั่วเมล็ดแห้งเป็นประจา
5. ดื่มนมให้เหมาะสมตามวัย
6. รับประทานอาหารที่มีไขมันแต่พอสมควร
7. หลีกเลี่ยงการรับประทานอาหารรสหวานจัด
8. รับประทานอาหารที่สะอาด ปราศจากการปนเปื้อน
9. งดหรือลดเครื่องดื่มที่มีแอลกอฮอล์
รูปที่ 1 ธงโภชนาการ(69)
 คาแนะนาให้เพิ่มการเคลื่อนไหวร่างกาย (Physical activity) โดยการลดพฤติกรรมที่อยู่นิ่งๆ เช่น การดูโทรทัศน์และ
เล่นเกมคอมพิวเตอร์ (1 A)(70)
พบว่ามีความสาคัญมากกว่าการเพิ่มการเคลื่อนไหวร่างกาย (1 B)(38,54)
มีข้อแนะนาให้เด็ก
อายุตั้งแต่ 2 ปี ขึ้นไปดูโทรทัศน์และเล่นเกมคอมพิวเตอร์ ไม่เกินวันละ 2 ชั่วโมง (3 A)(71)
ควรเพิ่มการเคลื่อนไหวระดับ
ปานกลางถึงระดับหนัก นาน 60 นาที และ30 นาที ตามลาดับ (3 B)(38,51)
และควรสนับสนุนให้มีกิจกรรมเคลื่อนไหว
ร่างกายทั้งครอบครัว (3 B)(51,54)
สร้างนิสัยการออกกาลังกายในชีวิตประจาวัน เช่น การทางานบ้าน การเดินและขี่
จักรยานแทนการนั่งรถ เป็นต้น การเล่นกีฬาในเด็กวัยเรียน เพื่อให้เด็กได้เรียนรู้กฎกติกาและการอยู่ร่วมกับผู้อื่น
 การปรับเปลี่ยนพฤติกรรม การดูแลสนับสนุนให้เด็กมีสุขนิสัยที่ดี ควรมีผู้ปกครองเป็นแบบอย่างที่ดีให้แก่เด็ก (1 A)(52,53)
นอกจากนี้วิธีที่สามารถนามาใช้ในการเปลี่ยนแปลงพฤติกรรม ได้แ ก่ การติดตามประเมินตนเอง (self-monitoring)(49)
การแก้ปัญหา (problem-solving)(50)
และการเลือกอาหารตามสีไฟจราจร (traffic light diet)(52)
รวมทั้งการจัด
สิ่งแวดล้อม เพื่อให้มีพฤติกรรมที่เหมาะสม (3 B)(51)
19
เอกสารอ้างอิง
1. Obesity: preventing and managing the global epidemic. Report of a WHO consultation. World
Health Organ Tech Rep Ser 2000; 894: i-xii, 1-253.
2. จิตติวัฒน์ สุประสงค์สิน. โครงการวิเคราะห์เอกสารและผลการวิจัยภาวะโภชนาการเกิน.โรคอ้วนในเด็ก: สถานการณ์
ปัจจุบัน. เครือข่ายวิจัยสุขภาพ สกว.โดยมูลนิธิสาธารณสุขแห่งชาติ 2544.
3. นิตยา คชภักดี, นิชรา เรืองดารกานนท์, ชัยยศ คุณานุสนธิ์. สุขภาพและพัฒนาการของเด็กไทย พ.ศ. 2539-2540.
4. ลัดดา เหมาะสุวรรณ, ศิริกุล อิศรานุรักษ์, นิชรา เรืองดารกานนท์, สุธรรม นันทมงคลชัย, ภัทรา สง่า, กัลยา นิติเรือง
จรัส, และคณะ. เด็กไทยวันนี้ เป็นอยู่อย่างไร. หาดใหญ่: ลิมบราเดอร์สการพิมพ์จากัด. 2547.
5. ลัดดา เหมาะสุวรรณ . ใน: วิชัย เอกพลากร (บรรณาธิการ).รายงานสารวจสุขภาพประชาชนไทยโดยการตรวจ
ร่างกายครั้งที่ 4 พ.ศ.2551-2: สุขภาพเด็ก. สานักงานสารวจสุขภาพประชาชนไทย สถาบันวิจัยระบบสาธารณสุข. นนทบุรี:
บริษัทเดอะกราฟิโก ซิสเต็มส์ จากัด. 2554;.
6. Ichihara S, Yamada Y. Genetic factors for human obesity. Cell Mol Life Sci2008;65:1086-98.
7. Warden NA, Warden CH. Biological influences on obesity. Pediatr Clin North Am2001;48:879-91.
8. Mo-suwan L, Geater AF. Risk factors for childhood obesity in a transitional society in Thailand. Int
J Obes Relat Metab Disord1996;20:697-703.
9. Monteiro PO, Victora CG. Rapid growth in infancy and childhood and obesity in later life--a
systematic review. Obes Rev2005;6:143-54.
10. Arenz S, Ruckerl R, Koletzko B, von Kries R. Breast-feeding and childhood obesity--a systematic
review. Int J Obes Relat Metab Disord2004;28:1247-56.
11. Dubois L, Girard M. Early determinants of overweight at 4.5 years in a population-based
longitudinal study. Int J Obes (Lond)2006;30:610-7.
12. Galvez MP, Hong L, Choi E, Liao L, Godbold J, Brenner B. Childhood obesity and neighborhood
food-store availability in an inner-city community. Acad Pediatr2009;9:339-43.
13. Tremblay MS, Willms JD. Is the Canadian childhood obesity epidemic related to physical
inactivity? Int J Obes Relat Metab Disord2003;27:1100-5.
14. Gettys FK, Jackson JB, Frick SL. Obesity in pediatric orthopaedics. Orthop Clin North
Am2011;42:95-105, vii.
15. Lurbe E, Carvajal E, Torro I, Aguilar F, Alvarez J, Redon J. Influence of concurrent obesity and low
birth weight on blood pressure phenotype in youth. Hypertension2009;53:912-7.
16. Woo KS, Chook P, Yu CW, Sung RY, Qiao M, Leung SS, et al. Overweight in children is associated
with arterial endothelial dysfunction and intima-media thickening. Int J Obes Relat Metab
Disord2004;28:852-7.
17. l'Allemand-Jander D. Clinical diagnosis of metabolic and cardiovascular risks in overweight
children: early development of chronic diseases in the obese child. Int J Obes (Lond)2010;34 Suppl 2:S32-
6.
18. Li AM, Chan D, Wong E, Yin J, Nelson EA, Fok TF. The effects of obesity on pulmonary function.
Arch Dis Child2003;88:361-3.
20
19. Chan J, Edman JC, Koltai PJ. Obstructive sleep apnea in children. Am Fam Physician2004;69:1147-
54.
20. Verhulst SL, Schrauwen N, Haentjens D, Suys B, Rooman RP, Van Gaal L, et al. Sleep-disordered
breathing in overweight and obese children and adolescents: prevalence, characteristics and the role of
fat distribution. Arch Dis Child2007;92:205-8.
21. Baker S, Barlow S, Cochran W, Fuchs G, Klish W, Krebs N, et al. Overweight children and
adolescents: a clinical report of the North American Society for Pediatric Gastroenterology, Hepatology
and Nutrition. J Pediatr Gastroenterol Nutr2005;40:533-43.
22. Mencin AA, Lavine JE. Nonalcoholic fatty liver disease in children. Curr Opin Clin Nutr Metab
Care2011;14:151-7.
23. Likitmaskul S, Kiattisathavee P, Chaichanwatanakul K, Punnakanta L, Angsusingha K, Tuchinda C.
Increasing prevalence of type 2 diabetes mellitus in Thai children and adolescents associated with
increasing prevalence of obesity. J Pediatr Endocrinol Metab2003;16:71-7.
24. Renehan AG, Tyson M, Egger M, Heller RF, Zwahlen M. Body-mass index and incidence of cancer:
a systematic review and meta-analysis of prospective observational studies. Lancet2008;371:569-78.
25. Essah PA, Wickham EP, Nestler JE. The metabolic syndrome in polycystic ovary syndrome. Clin
Obstet Gynecol2007;50:205-25.
26. Zimmet P, Alberti KG, Kaufman F, Tajima N, Silink M, Arslanian S, et al. The metabolic syndrome
in children and adolescents - an IDF consensus report. Pediatr Diabetes2007;8:299-306.
27. Hermanns-Le T, Scheen A, Pierard GE. Acanthosis nigricans associated with insulin resistance :
pathophysiology and management. Am J Clin Dermatol2004;5:199-203.
28. Yosipovitch G, DeVore A, Dawn A. Obesity and the skin: skin physiology and skin manifestations of
obesity. J Am Acad Dermatol2007;56:901-16; quiz 17-20.
29. Puder JJ, Munsch S. Psychological correlates of childhood obesity. Int J Obes (Lond)2010;34
Suppl 2:S37-43.
30. Jirapinyo P, Densupsoontorn N, Kongtragoolpitak S, Wong-Arn R, Thamonsiri N. Increasing risks of
becoming obese after 6 years in primary school: comparing the relative risks among some schools in
Bangkok, Saraburi and Sakolnakorn. J Med Assoc Thai2005;88:829-32.
31. Jirapinyo P, Densupsoontorn N, Chinrungrueng D, Wongarn R, Thamonsiri N. Relative risks of
becoming overweight and obese in children after 6 years in secondary school. J Med Assoc
Thai2005;88:651-4.
32. Mo-suwan L, Tongkumchum P, Puetpaiboon A. Determinants of overweight tracking from
childhood to adolescence: a 5 y follow-up study of Hat Yai schoolchildren. Int J Obes Relat Metab
Disord2000;24:1642-7.
33. Vanhala M, Vanhala P, Kumpusalo E, Halonen P, Takala J. Relation between obesity from
childhood to adulthood and the metabolic syndrome: population based study. BMJ1998;317:319.
21
34. Whitaker RC, Wright JA, Pepe MS, Seidel KD, Dietz WH. Predicting obesity in young adulthood from
childhood and parental obesity. N Engl J Med1997;337:869-73.
35. Parr CL, Batty GD, Lam TH, Barzi F, Fang X, Ho SC, et al. Body-mass index and cancer mortality in
the Asia-Pacific Cohort Studies Collaboration: pooled analyses of 424,519 participants. Lancet
Oncol2010;11:741-52.
36. กรมอนามัย. เกณฑ์อ้างอิง น้าหนัก ส่วนสูง และเครื่องชี้วัดภาวะโภชนาการของประชาชนไทย อายุ 1 วัน - 19 ปี.
37. WHO Child Growth Standards based on length/height, weight and age. Acta Paediatr
Suppl2006;450:76-85.
38. August GP, Caprio S, Fennoy I, Freemark M, Kaufman FR, Lustig RH, et al. Prevention and
treatment of pediatric obesity: an endocrine society clinical practice guideline based on expert opinion. J
Clin Endocrinol Metab2008;93:4576-99.
39. Skelton JA, Rudolph CC. Overweight and obesity. In: Kliegman RM, Behrman RE, Jenson HB,
Stanton BF, editors. Nelson Textbook of Pediatrics. 18th
ed. Philadelphia: Saunders; 2007. p. 232-42.
40. Daniels SR, Greer FR. Lipid screening and cardiovascular health in childhood.
Pediatrics2008;122:198-208.
41. Standards of medical care in diabetes--2012. Diabetes Care2012;35 Suppl 1:S11-63.
42. อุมาพรตรังสมบัติ. แบบคัดกรองภาวะซึมเศร้าในเด็ก (Children’s Depression Inventory: CDI) ฉบับภาษาไทย
โครงการจัดทาโปรแกรมสาเร็จรูปในการสารวจสุขภาพจิตในพื้นที่ปี พ.ศ.2545 กรมสุขภาพจิต กระทรวงสาธารณสุข
Available from: http://www.dmh.go.th/test/download/files/cdi.pdf.
43. The fourth report on the diagnosis, evaluation, and treatment of high blood pressure in children
and adolescents. Pediatrics2004;114:555-76.
44. Oude Luttikhuis H, Baur L, Jansen H, Shrewsbury VA, O'Malley C, Stolk RP, et al. Interventions for
treating obesity in children. Cochrane Database Syst Rev2009:CD001872.
45. Barlow SE, Dietz WH. Obesity evaluation and treatment: Expert Committee recommendations.
The Maternal and Child Health Bureau, Health Resources and Services Administration and the Department
of Health and Human Services. Pediatrics1998;102:E29.
46. Barlow SE. Expert committee recommendations regarding the prevention, assessment, and
treatment of child and adolescent overweight and obesity: summary report. Pediatrics2007;120 Suppl
4:S164-92.
47. Van Gaal LF, Wauters MA, De Leeuw IH. The beneficial effects of modest weight loss on
cardiovascular risk factors. Int J Obes Relat Metab Disord1997;21 Suppl 1:S5-9.
48. Pediatric obesity. In: Kleinman RE, editor. Pediatric Nutrition Handbook. 6th ed. IL: American
Academy of Pediatrics; 2009. p. 733-82.
49. Wrotniak BH, Epstein LH, Paluch RA, Roemmich JN. The relationship between parent and child
self-reported adherence and weight loss. Obes Res2005;13:1089-96.
50. Turk MW, Yang K, Hravnak M, Sereika SM, Ewing LJ, Burke LE. Randomized clinical trials of weight
loss maintenance: a review. J Cardiovasc Nurs2009;24:58-80.
22
51. Spear BA, Barlow SE, Ervin C, Ludwig DS, Saelens BE, Schetzina KE, et al. Recommendations for
treatment of child and adolescent overweight and obesity. Pediatrics2007;120 Suppl 4:S254-88.
52. Epstein LH, Valoski A, Wing RR, McCurley J. Ten-year follow-up of behavioral, family-based
treatment for obese children. JAMA1990;264:2519-23.
53. Golan M, Crow S. Targeting parents exclusively in the treatment of childhood obesity: long-term
results. Obes Res2004;12:357-61.
54. Plourde G. Preventing and managing pediatric obesity. Recommendations for family physicians.
Can Fam Physician2006;52:322-8.
55. Epstein LH, Roemmich JN, Raynor HA. Behavioral therapy in the treatment of pediatric obesity.
Pediatr Clin North Am2001;48:981-93.
56. Dennison BA, Boyer PS. Risk evaluation in pediatric practice aids in prevention of childhood
overweight. Pediatr Ann2004;33:25-30.
57. Waters E, de Silva-Sanigorski A, Hall BJ, Brown T, Campbell KJ, Gao Y, et al. Interventions for
preventing obesity in children. Cochrane Database Syst Rev2011:CD001871.
58. Grummer-Strawn LM, Mei Z. Does breastfeeding protect against pediatric overweight? Analysis of
longitudinal data from the Centers for Disease Control and Prevention Pediatric Nutrition Surveillance
System. Pediatrics2004;113:e81-6.
59. Gartner LM, Morton J, Lawrence RA, Naylor AJ, O'Hare D, Schanler RJ, et al. Breastfeeding and the
use of human milk. Pediatrics2005;115:496-506.
60. สุนทรี รัตนชูเอก. การดูดขวดนม ปัญหาของเด็กโรคอ้วนจริงหรือ? กุมารเวชสาร 2553; 17: 174-8. .
61. Szajewska H, Ruszczynski M. Systematic review demonstrating that breakfast consumption
influences body weight outcomes in children and adolescents in Europe. Crit Rev Food Sci
Nutr2010;50:113-9.
62. Gidding SS, Dennison BA, Birch LL, Daniels SR, Gillman MW, Lichtenstein AH, et al. Dietary
recommendations for children and adolescents: a guide for practitioners. Pediatrics2006;117:544-59.
63. Eissa MA, Gunner KB. Evaluation and management of obesity in children and adolescents. J
Pediatr Health Care2004;18:35-8.
64. Gidding SS, Lichtenstein AH, Faith MS, Karpyn A, Mennella JA, Popkin B, et al. Implementing
American Heart Association pediatric and adult nutrition guidelines: a scientific statement from the
American Heart Association Nutrition Committee of the Council on Nutrition, Physical Activity and
Metabolism, Council on Cardiovascular Disease in the Young, Council on Arteriosclerosis, Thrombosis and
Vascular Biology, Council on Cardiovascular Nursing, Council on Epidemiology and Prevention, and Council
for High Blood Pressure Research. Circulation2009;119:1161-75.
65. Ebbeling CB, Leidig MM, Sinclair KB, Hangen JP, Ludwig DS. A reduced-glycemic load diet in the
treatment of adolescent obesity. Arch Pediatr Adolesc Med2003;157:773-9.
66. Gregori D, Foltran F, Ghidina M, Berchialla P. Understanding the influence of the snack definition
on the association between snacking and obesity: a review. Int J Food Sci Nutr2011;62:270-5.
23
67. Bezerra IN, Sichieri R. Eating out of home and obesity: a Brazilian nationwide survey. Public Health
Nutr2009;12:2037-43.
68. อุมาพร สุทัศน์วรวุฒิ, สุภาพรรณ ตันตราชีวธร, สมโชค คุณสนอง บรรณาธิการ . คู่มืออาหารตามวัยสาหรับทารก
และเด็กเล็ก. โครงการ การจัดทาข้อปฏิบัติการให้อาหารเพื่อสุขภาพที่ดีของทารกและเด็กวัยก่อนเรียน . กรุงเทพฯ: บียอนด์
เอ็นเทอร์ไพรซ์; 2552.
69. กระทรวงสาธารณสุข, กองโภชนาการ. คู่มือ กินพอดีสุขีทั่วไทย . กรุงเทพมหานคร: โรงพิมพ์องค์การสงเคราะห์
ทหารผ่านศึก. 2542.
70. Robinson TN. Reducing children's television viewing to prevent obesity: a randomized controlled
trial. JAMA1999;282:1561-7.
71. American Academy of Pediatrics: Children, adolescents, and television. Pediatrics2001;107:423-6.
24
ภาคผนวกที่ 1 เกณฑ์อ้างอิงน้าหนักตามเกณฑ์ส่วนสูงและส่วนสูงตามเกณฑ์อายุของเด็ก จาแนกตามเพศและอายุ
รูปที่ 1 กราฟแสดงเกณฑ์อ้างอิงน้าหนักตามเกณฑ์ความยาวของเด็กชาย อายุ 0-2 ปี รูปที่ 2 กราฟแสดงเกณฑ์อ้างอิงความยาวตามเกณฑ์อายุของเด็กชายอายุ 0-2 ปี
25
รูปที่ 3 กราฟแสดงเกณฑ์อ้างอิงน้าหนักตามเกณฑ์ความยาวของเด็กหญิง อายุ 0-2 ปี รูปที่ 4 กราฟแสดงเกณฑ์อ้างอิงความยาวตามเกณฑ์อายุของเด็กหญิงอายุ 0-2 ปี
26
รูปที่ 5 กราฟแสดงเกณฑ์อ้างอิงน้าหนักตามเกณฑ์ส่วนสูงของเด็กชาย อายุ 2-7 ปี รูปที่ 6 กราฟแสดงเกณฑ์อ้างอิงส่วนสูงตามเกณฑ์อายุของเด็กชายอายุ 2-7 ปี
27
รูปที่ 7 กราฟแสดงเกณฑ์อ้างอิงน้าหนักตามเกณฑ์ส่วนสูงของเด็กหญิง อายุ 2-7 ปี รูปที่ 8 กราฟแสดงเกณฑ์อ้างอิงส่วนสูงตามเกณฑ์อายุของเด็กหญิงอายุ 2-7 ปี
28
รูปที่ 9 กราฟแสดงเกณฑ์อ้างอิงน้าหนักตามเกณฑ์ส่วนสูงของเด็กชาย อายุ 5-18 ปี รูปที่ 10 กราฟแสดงเกณฑ์อ้างอิงส่วนสูงตามเกณฑ์อายุของเด็กชายอายุ 5-18 ปี
29
รูปที่ 11 กราฟแสดงเกณฑ์อ้างอิงน้าหนักตามเกณฑ์ส่วนสูงของเด็กหญิง อายุ 5-18 ปี รูปที่ 12 กราฟแสดงเกณฑ์อ้างอิงส่วนสูงตามเกณฑ์อายุของเด็กหญิงอายุ 5-18 ปี
30
รูปที่ 13 กราฟแสดงเกณฑ์อ้างอิงดัชนีมวลกายของเด็กชายอายุ 0-5 ปี
31
รูปที่ 14 กราฟแสดงเกณฑ์อ้างอิงดัชนีมวลกายของเด็กหญิงอายุ 0-5 ปี
32
รูปที่ 15 กราฟแสดงเกณฑ์อ้างอิงดัชนีมวลกายของเด็กชายอายุ 5-19 ปี
33
รูปที่ 16 กราฟแสดงเกณฑ์อ้างอิงดัชนีมวลกายของเด็กหญิงอายุ 5-19 ปี
34
ภาคผนวกที่ 2 ค่าความดันเลือด systolic และ diastolic ที่เปอร์เซ็นไทล์ที่ 95 จาแนกตามเพศ อายุและเปอร์เซ็นไทล์ส่วนสูง
อายุ
(ปี)
เด็กชาย เด็กหญิง
เปอร์เซนไทล์ของส่วนสูง เปอร์เซนไทล์ของส่วนสูง
BP 5th 10th
25th
50th 75th 90th 95th 5th 10th 25th 50th 75th 90th
95th
1 SBP 98 99 101 103 104 106 106 100 101 102 104 105 106 107
DBP 54 54 55 56 57 58 58 56 57 57 58 59 59 60
2 SBP 101 102 104 106 108 109 110 102 103 104 105 107 108 109
DBP 59 59 60 61 62 63 63 61 62 62 63 64 65 65
3 SBP 104 105 107 109 110 112 113 104 104 105 107 108 109 110
DBP 63 63 64 65 66 67 67 65 66 66 67 68 68 69
4 SBP 106 107 109 111 112 114 115 105 106 107 108 110 111 112
DBP 66 67 68 69 70 71 71 68 68 69 70 71 71 72
5 SBP 108 109 110 112 114 115 116 107 107 108 110 111 112 113
DBP 69 70 71 72 73 74 74 70 71 71 72 73 73 74
6 SBP 109 110 112 114 115 117 117 108 109 110 111 113 114 115
DBP 72 72 73 74 75 76 76 72 72 73 74 74 75 76
7 SBP 110 111 113 115 117 118 119 110 111 112 113 115 116 116
DBP 74 74 75 76 77 78 78 73 74 74 75 76 76 77
8 SBP 111 112 114 116 118 119 120 112 112 114 115 116 118 118
DBP 75 76 77 78 79 79 80 75 75 75 76 77 78 78
9 SBP 113 114 116 118 119 121 121 114 114 115 117 118 119 120
DBP 76 77 78 79 80 81 81 76 76 76 77 78 79 79
10 SBP 115 116 117 119 121 122 123 116 116 117 119 120 121 122
DBP 77 78 79 80 81 81 82 77 77 77 78 79 80 80
11 SBP 117 118 119 121 123 124 125 118 118 119 121 122 123 124
DBP 78 78 79 80 81 82 82 78 78 78 79 80 81 81
12 SBP 119 120 122 123 125 127 127 119 120 121 123 124 125 126
DBP 78 79 80 81 82 82 83 79 79 79 80 81 82 82
13 SBP 121 122 124 126 128 129 130 121 122 123 124 126 127 128
DBP 79 79 80 81 82 83 83 80 80 80 81 82 83 83
14 SBP 124 125 127 128 130 132 132 123 123 125 126 127 129 129
DBP 80 80 81 82 83 84 84 81 81 81 82 83 84 84
15 SBP 126 127 129 131 133 134 135 124 125 126 127 129 130 131
DBP 81 81 82 83 84 85 85 82 82 82 83 84 85 85
16 SBP 129 130 132 134 135 137 137 125 126 127 128 130 131 132
DBP 82 83 83 84 85 86 87 82 82 83 84 85 85 86
17 SBP 131 132 134 136 138 139 140 125 126 127 129 130 131 132
DBP 84 85 86 87 87 88 89 82 83 83 84 85 85 86
SBP, systolic blood pressure; DBP, diastolic blood pressure
ดัดแปลงมาจาก The fourth report on the diagnosis, evaluation, and treatment of high blood pressure in children
and adolescents. Pediatrics2004 Aug;114(2 Suppl 4th Report):555-76.

Cpg obesity in children

  • 1.
  • 2.
    2 คณะกรรมการ ชมรมโภชนาการเด็กแห่งประเทศไทย พ.ศ.2557-2559 ประธาน รองศาสตราจารย์ นายแพทย์สังคมจงพิพัฒน์วณิชย์ ประธานแต่งตั้ง รองศาสตราจารย์ ดร. แพทย์หญิงนลินี จงวิริยะพันธุ์ เลขาธิการ อาจารย์ แพทย์หญิงสุภาพรรณ ตันตราชีวธร ผู้ช่วยเลขาธิการ ผู้ช่วยศาสตราจารย์ แพทย์หญิงมณีรัตน์ ภูวนันท์ เหรัญญิก รองศาสตราจารย์ แพทย์หญิงสุนทรี รัตนชูเอก ผู้ช่วยเหรัญญิก ผู้ช่วยศาสตราจารย์ แพทย์หญิงพัชราภา ทวีกุล วิชาการและฝึกอบรม รองศาสตราจารย์ ดร. แพทย์หญิงนลินี จงวิริยะพันธุ์ พันเอก นายแพทย์เรืองวิทย์ ตันติแพทยางกูร ผู้ช่วยศาสตราจารย์ ดร. แพทย์หญิงศิรินุช ชมโท ทะเบียนและประชาสัมพันธ์ รองศาสตราจารย์ แพทย์หญิงนฤมล เด่นทรัพย์สุนทร ผู้ช่วยทะเบียนและประชาสัมพันธ์ อาจารย์ แพทย์หญิงจีรพรรณ โพธิ์สุวัฒนากุล ปฏิคม อาจารย์ นายแพทย์สุรณัฐ แก้วณิมีย์ ผู้ช่วยปฏิคม อาจารย์ แพทย์หญิงอรภา สุธีโรจน์ตระกูล กรรมการกลาง ศาสตราจารย์คลินิกเกียรติคุณ ดร.นายแพทย์เพียรวิทย์ ตันติแพทยางกูร รองศาสตราจารย์ พลตรีหญิงภาวดี กุญชรานุสสรณ์ รองศาสตราจารย์ แพทย์หญิงลัดดา เหมาะสุวรรณ อาจารย์ นายแพทย์ไพบูลย์ เอกแสงศรี รองศาสตราจารย์ แพทย์หญิงอุมาพร สุทัศน์วรวุฒิ ศาสตราจารย์นาย แพทย์พิภพ จิรภิญโญ ร รองศาสตราจารย์ นายแพทย์ชาญชัย พานทองวิริยะกุล รองศาสตราจารย์ นายแพทย์สงวนศักดิ์ ฤกษ์ศุภผล อาจารย์ แพทย์หญิงอรพร ดารงวงศ์ศิริ อาจารย์ แพทย์หญิงอรวรรณ เอี่ยมโอภาส อาจารย์ แพทย์หญิงชนกานต์ วิสูตรานุกูล อาจารย์ แพทย์หญิงสุชาอร แสงนิพันธ์กูล อาจารย์ แพทย์หญิงกุลนิภา กิตติศักดิ์มนตรี อาจารย์ แพทย์หญิงนพร อึ้งอาภรณ์ แพทย์หญิงปาจรีย์ ลิ่มทองแท่ง
  • 3.
    3 รายนามคณะทางานการจัดทา (ร่าง)แนวทางเวชปฏิบัติการป้องกันและรักษาโรคอ้วนในเด็กพ.ศ. 2557 ศาสตราจารย์คลินิกเกียรติคุณนายแพทย์เพียรวิทย์ ตันติแพทยางกูรที่ปรึกษา รองศาสตราจารย์แพทย์หญิงอุมาพร สุทัศน์วรวุฒิ ประธาน รองศาสตราจารย์แพทย์หญิงสุนทรี รัตนชูเอก รองประธาน ศาสตราจารย์นายแพทย์พิภพ จิรภิญโญ คณะทางาน รองศาสตราจารย์แพทย์หญิงลัดดา เหมาะสุวรรณ คณะทางาน รองศาสตราจารย์นายแพทย์สังคม จงพิพัฒน์วณิชย์ คณะทางาน รองศาสตราจารย์นายแพทย์ชาญชัย พานทองวิริยะกุล คณะทางาน รองศาสตราจารย์แพทย์หญิงนลินี จงวิริยะพันธุ์ คณะทางาน รองศาสตราจารย์นายแพทย์สงวนศักดิ์ ฤกษ์ศุภผล คณะทางาน รองศาสตราจารย์แพทย์หญิงนฤมล เด่นทรัพย์สุนทร คณะทางาน นายแพทย์ไพบูลย์ เอกแสงศรี คณะทางาน พันเอกเรืองวิทย์ ตันติแพทยางกูร คณะทางาน แพทย์หญิงสุภาพรรณ ตันตราชีวธร คณะทางาน แพทย์หญิงศิรินุช ชมโท คณะทางาน ผู้ช่วยศาสตราจารย์แพทย์หญิงมณีรัตน์ ภูวนันท์ คณะทางาน แพทย์หญิงอรพร ดารงวงศ์ศิริ คณะทางาน แพทย์หญิงชนกานต์ กังวานพรศิริ คณะทางาน ผู้ช่วยศาสตราจารย์แพทย์หญิงพัชราภา ทวีกุล คณะทางานและเลขานุการ แพทย์หญิงอรวรรณ เอี่ยมโอภาส คณะทางานและเลขานุการ
  • 4.
    4 คานา แนวทางเวชปฏิบัติ การป้องกันและรักษาโรคอ้วนในเด็ก พ.ศ.2557 เล่มนี้ เป็นคู่มือสาหรับกุมาร แพทย์ แพทย์เวชปฏิบัติทั่วไป บุคลากรด้านสุขภาพ และเจ้าหน้าที่สาธารณสุข ในการปูองกันและรักษาโรค อ้วนในเด็ก โดยใช้ทรัพยากรที่มีอยู่อย่างมีประสิทธิภาพ และเพื่อเป็นแนวทางที่สามารถปฏิบัติได้จริง โดยเฉพาะในระดับชุมชนก่อนการส่งต่อผู้ปุวยเด็กโรคอ้วนที่มีภาวะแทรกซ้อนไปพบแพทย์ผู้เชี่ยวชาญ แนวทาง เวชปฏิบัตินี้ไม่ใช่ข้อบังคับของการปฏิบัติ ผู้ใช้สามารถปฏิบัติแตกต่างจากข้อแนะนานี้ได้ในสถานการณ์ที่ แตกต่าง หรือมีข้อจากัดของสถานพยาบาลและทรัพยากร หรือเหตุผลอื่นๆ โดยใช้วิจารณญาณซึ่งเป็นที่ยอมรับ บนพื้นฐานของหลักวิชาการและจรรยาบรรณ คู่มือนี้เป็นเพียงแนวปฏิบัติไม่สามารถใช้อ้างอิงทางกฎหมายได้ แนวทางเวชปฏิบัตินี้จัดทาโดยกุมารแพทย์ผู้เชี่ยวชาญอนุสาขากุมารเวชศาสตร์โภชนาการ โดยการ สนับสนุนของชมรมโภชนาการเด็กแห่งประเทศไทยและราชวิทยาลัยกุมารแพทย์แห่งประเทศไทย แนวทางเวช ปฏิบัตินี้อาจมีการเปลี่ยนแปลงในอนาคต หากมีข้อมูลทางวิชาการใหม่ๆ มาสนับสนุน คณะบรรณาธิการ พ.ญ. สุนทรี รัตนชูเอก พ.ญ. พัชราภา ทวีกุล พ.ญ. อรวรรณ เอี่ยมโอภาส พ.ญ. อุมาพร สุทัศน์วรวุฒิ
  • 5.
    5 คุณภาพหรือน้าหนักของหลักฐานที่นามาใช้พิจารณา (Level ofevidence) ระดับ 1 หลักฐานที่ได้จากงานวิจัยที่เป็น randomized controlled trials หรือ systematic review ที่ดี อย่างน้อย 1 งานวิจัย ระดับ 2 หลักฐานที่ได้จากงานวิจัยที่เป็น non-randomized controlled trials, before and after clinical trials, cohort studies, case-control studies หรือ descriptive, case report และ case series ระดับ 3 หลักฐานที่เป็น expert opinion หรือ ฉันทามติ (consensus) ของคณะผู้เชี่ยวชาญ ระดับคาแนะนาสาหรับการปฏิบัติ (Grade of recommendation) ระดับ A แนวทางปฏิบัตินี้ให้มีการนาไปใช้ (strongly recommended) ระดับ B แนวทางปฏิบัตินี้ควรนาไปใช้ (recommended) ระดับ C แนวทางปฏิบัตินี้เป็นทางเลือกหนึ่งในการนาไปใช้ (optional) ระดับ D แนวทางปฎิบัตินี้ไม่แนะนาให้นาไปใช้ในกรณีทั่วไป (NOT recommended in normal situation) ระดับ E แนวทางปฏิบัตินี้ไม่แนะนาให้นาไปใช้ (NOT recommended in all situations)
  • 6.
    6 คาย่อ ALT alanine aminotransferase BMIbody mass index BP blood pressure BG blood glucose FBG fasting blood glucose GERD gastro-esophageal reflux disease HDL-C high-density lipoprotein cholesterol LDL-C low-density lipoprotein cholesterol NAFLD non-alcoholic fatty liver disease OGTT oral glucose tolerance test OSA obstructive sleep apnea PCOS polycystic ovarian syndrome SD standard deviation WH weight-for-height
  • 7.
    7 สารบัญ หน้า 1. ปัญหาโรคอ้วนในเด็ก 1.1 สถานการณ์8 1.2 สาเหตุของโรคอ้วนในเด็ก 8 1.3 ผลเสียของโรคอ้วนในเด็ก 8 2. การวินิจฉัยโรคอ้วนในเด็ก 2.1 หลักเกณฑ์การวินิจฉัย 10 2.2 การประเมินความรุนแรง 11 2.3 โรค/กลุ่มอาการที่มีภาวะอ้วนร่วมด้วย 12 3. แนวทางการดูแลรักษาโรคอ้วนในเด็ก 3.1 แผนภูมิแนวทางดูแลรักษาโรคอ้วน 13 3.2 การตรวจเพื่อหาภาวะแทรกซ้อน 14 3.3 เปูาหมายในการดูแลรักษา 15 4. แนวทางการปูองกันโรคอ้วนในเด็ก 16 เอกสารอ้างอิง 19 ภาคผนวก ภาคผนวกที่ 1 เกณฑ์อ้างอิงน้าหนักตามเกณฑ์ส่วนสูง ส่วนสูงตามเกณฑ์อายุ และค่าดัชนีมวลกายของเด็ก จาแนกตามเพศและอายุ 24 ภาคผนวกที่ 2 ค่าความดันเลือด systolic และ diastolic ที่เปอร์เซ็นไทล์ที่ 95 จาแนกตามเพศ อายุและเปอร์เซ็นไทล์ส่วนสูง 34
  • 8.
    8 แนวทางเวชปฏิบัติ การป้องกันและรักษาโรคอ้วนในเด็กพ.ศ. 2557 1. ปัญหาโรคอ้วนในเด็ก 1.1สถานการณ์ การเปลี่ยนแปลงทางเศรษฐกิจและสังคมในประเทศต่างๆ ทั่วโลก มีผลให้การดาเนินชีวิตในเรื่องการบริโภคอาหาร มากเกินความต้องการ และกิจกรรมการเคลื่อนไหวร่างกายลดลง นาไปสู่การเกิดโรคอ้วน (obesity) และโรคเรื้อรังที่ไม่ติดต่อ ต่างๆ ทั้งในเด็กและผู้ใหญ่ ซึ่งมีอัตราเพิ่มขึ้นอย่างรวดเร็ว พ.ศ. 2540 องค์การอนามัยโลกได้ประกาศว่า “โรคอ้วนเป็นโรคไม่ ติดต่อเรื้อรังที่ระบาดในหลายประเทศทั่วโลก” ผู้ใหญ่จานวนมากกว่าครึ่งหนึ่งมีน้าหนักเกินและเป็นโรคอ้วน(1) สถานการณ์โรค อ้วนในประเทศไทยจากการสารวจสถานะสุขภาพประชากรไทย 2 ครั้งใน พ.ศ. 2534 และ พ.ศ. 2539-2540 โดยใช้เกณฑ์ อ้างอิงของกองโภชนาการ กรมอนามัย กระทรวงสาธารณสุข ปี พ .ศ. 2530 พบว่าจานวนเด็กปฐมวัย (อายุน้อยกว่า 5 ปี) ที่ อ้วนมีเพิ่มขึ้นประมาณ 3 เท่า(2) การสารวจสุขภาพและพัฒนาการของเด็กไทย พ.ศ. 2539-2540 โดยใช้เกณฑ์อ้างอิงของกอง โภชนาการปี พ.ศ. 2542 พบความชุกของโรคอ้วนในเด็กปฐมวัย (อายุ 2 ปี จนถึงน้อยกว่า 6 ปี) เท่ากับในเด็กวัยเรียน (อายุ 6 ปี จนถึงน้อยกว่า 13 ปี) คือ ร้อยละ 5.8(3) การสารวจพัฒนาการของเด็กไทยทั่วประเทศในปีพ.ศ. 2544พบว่าความชุกของโรค อ้วนในเด็กปฐมวัยและเด็กวัยเรียน เพิ่มขึ้นเป็นร้อยละ 7.9 และ 6.7 ตามลาดับ(4) สถานการณ์ปัจจุบันจากการสารวจสุขภาพ ประชาชนไทยครั้งที่ 4 พ.ศ. 2551-2552 พบว่าภาวะน้าหนักเกินและอ้วนในเด็กมีความชุกเพิ่มขึ้นโดยเด็กอายุ 1-5 ปี เท่ากับ ร้อยละ 8.5 เด็กอายุ 6-11 ปีเท่ากับร้อยละ 8.7 และในเด็กอายุ 12-14 ปี เท่ากับร้อยละ 11.9 ซึ่งมีความชุกสูงที่สุดในทุกกลุ่ม อายุ เด็ก ในกทม.มีความชุกของภาวะน้าหนักเกินและอ้วนสูงที่สุดเมื่อจาแนกตามภาค และพบว่าเด็กในเขตเทศบาลมีความชุก ของปัญหาดังกล่าวมากกว่านอกเขตเทศบาล 1.6-1.8 เท่า(5) สาเหตุของโรคอ้วนในเด็ก โรคอ้วนเป็นผลลัพธ์จากการมีปฏิสัมพันธ์ที่ซับซ้อนระหว่างกรรมพันธุ์และสิ่งแวดล้อม โดยเฉพาะอย่างยิ่งการ เปลี่ยนแปลงของเศรษฐกิจและสังคม ซึ่งมีผลต่อ การบริโภคและการเคลื่อนไหวร่างกาย ปัจจุบันมีการค้นพบยีนหลายกลุ่ม ที่ เกี่ยวข้องกับโรคอ้วน(6) สิ่งแวดล้อมที่ส่งเสริมให้เกิดโรคอ้วน (obesogenic environment ) ได้แก่ ภาวะโภชนาการเกินของ พ่อแม่(7,8) การเปลี่ยนแปลงภาวะโภชนาการของทารกหลังเกิด(9) การไม่ได้กินนมแม่และกินนมผงตั้งแต่หลังเกิด(10) การศึกษา ของพ่อแม่และเศรษฐานะของครอบครัว(8,11) วิธีการเลี้ยงดูที่ส่งเสริมให้เด็กมีพฤติกรรมการกินที่ไม่มีขอบเขตหรือข้อจากัด ทา ให้เด็กกินทั้งข้าว นม ขนมขบเคี้ยว และเครื่องดื่มในปริมาณมาก การอยู่อาศัยใกล้ร้านสะดวกซื้อ (12) การมีวิถีชีวิตที่ สะดวกสบายขึ้น และการขาดการเคลื่อนไหวร่างกาย (8,13) เด็กไทยใช้เวลาดูโทรทัศน์นานถึงหนึ่งในห้าของเวลาว่าง(4) ทาให้มี การใช้พลังงานลดน้อยลง ส่งผลให้เกิดความไม่สมดุลระหว่างพลังงานที่ได้รับจากการกินและพลังงานที่ร่างกายใช้ไป 1.3 ผลเสียของโรคอ้วนในเด็ก หากเด็กโรคอ้วนไม่ได้รับการดูแลอย่างเหมาะสม จะมีผลกระทบต่อสุขภาพทั้งในระยะสั้นและระยะยาว คุณภาพชีวิต ด้อยลง และสูญเสียค่าใช้จ่ายในการดูแลรักษา ส่งผลกระทบต่อเศรษฐกิจของชาติในอนาคต ปัญหาสุขภาพดังกล่าว ได้แก่  ระบบกระดูกและข้อ เกิดจากน้าหนักตัวกดลงบนกระดูกข้อเข่าและข้อเท้า ทาอันตรายต่อแผ่นเยื่อเจริญกระดูกเข่าด้าน ใน (proximal medial tibial growth plate) ทาให้เกิดขาโก่ง (Blount disease) สาหรับวัยรุ่นโรคอ้วนมักมีต้นขาใหญ่
  • 9.
    9 ทาให้เกิดโรคหัวกระดูกสะโพกเลื่อน (slipped capitalfemoral epiphysis) ขาฉิ่ง (knock knee) และเกิดกระดูกหักได้ เวลาล้ม(14)  ระบบหัวใจและหลอดเลือด เด็กโรคอ้วนมักมีความดันเลือดสูง โดยเฉพาะเด็กที่มีน้าหนักแรกเกิดน้อย(15) และความดัน เลือดสูงสัมพันธ์กับมวลไขมันอย่างมีนัยสาคัญ โดยที่ไม่มีอาการ อาจพบการทางานของหลอดเลือดผิดปกติ หลอดเลือด แดงมีผนังหนาและอุดตัน(16) กล้ามเนื้อหัวใจทางานผิดปกติและเกิดโรคหัวใจขาดเลือด(17) เด็กที่เป็นโรคอ้วนรุนแรงอาจ พบความดันหลอดเลือดในปอดสูง และหัวใจซีกขวาล้มเหลว (cor pulmonale) เกิดอันตรายรุนแรงหรือเสียชีวิตได้  ระบบทางเดินหายใจ เด็กโรคอ้วนมีไขมันสะสมในร่างกายสูง และการทางานในการ หายใจเพิ่มขึ้น ทาให้มีสมรรถภาพ ปอดลดลง(18) อาจมีปัญหาของการหยุดหายใจขณะหลับ จากภาวะทางเดินหายใจอุดกั้น (obstructive sleep apnea, OSA) โดยมักมีอาการนอนกรนเสียงดัง และมีอาการหยุดหายใจ ผวาตื่น ฝันร้าย หรือปัสสาวะรดที่นอนเวลากลางคืน ปวดศีรษะและง่วงนอนเวลากลางวัน รวมทั้งผลการเรียนตกต่า ถ้ามีการวัดระดับความอิ่มตัวของออกซิเจนในเลือดจะ พบว่าต่ากว่าร้อยละ 90 ตั้งแต่ 3 ช่วงเวลาของการนอนหลับอย่างน้อย 6 ชม.ขึ้นไป ในโรคอ้วนที่รุนแรงอาจพบการหายใจ ไม่พอ มีภาวะคาร์บอนไดออกไซด์คั่งและขาดออกซิเจน เรียกกลุ่มอาการนี้ว่า Pickwickian syndrome ซึ่งหากไม่ได้รับ การแก้ไข จะเกิดความดันหลอดเลือดในปอดสูง(19,20)  ระบบทางเดินอาหารและโรคตับ อาจพบปัญหากรดไหลย้อน (gastroesophageal reflux disease, GERD) โรคนิ่วใน ถุงน้าดี ภาวะไขมันสะสมที่ตับ (non-alcoholic fatty liver disease, NAFLD)(21) ซึ่งสัมพันธ์กับกลุ่มอาการเมตาบอลิก และระดับอินซูลินในเลือดสูง และยังเป็นปัจจัยเสี่ยงของโรคตับแข็งและมะเร็งตับ(22)  ระบบต่อมไร้ท่อ และเมตาบอลิซึม พบระดับอินซูลินในเลือดสูง เกิดภาวะต่อต้านอินซูลิน (insulin resistance) โดยพบ มากขึ้นตามความรุนแรงของโรคอ้วนและนาไปสู่โรคเบาหวานชนิดที่ 2 ในเด็กและวัยรุ่นมากขึ้น(23) อาจพบระดับไขมันใน เลือดผิดปกติเด็กโรคอ้วนส่วนใหญ่มีส่วนสูงมากกว่า แต่เข้าสู่วัยรุ่นเร็วกว่าเด็กวัยเดียวกัน จึงทาให้ส่วนสูงในวัยผู้ใหญ่ไม่ สูงกว่าศักยภาพทางกรรมพันธุ์ ในวัยรุ่นหญิงที่อ้วนอาจพบภาวะ polycystic ovary syndrome (PCOS) ซึ่ง ประกอบด้วยอาการประจาเดือนขาดหรือมาผิดปกติ มีสิว ขนดก เสียงห้าว ผู้ใหญ่โรคอ้วนมีความเสี่ยงต่อการเกิดเนื้อ งอกในมดลูก(24) และมะเร็งรังไข่(25)  กลุ่มอาการเมตาบอลิก (metabolic syndrome) เป็นกลุ่มอาการที่เป็นปัจจัยเสี่ยงต่อการเกิดโรคหัวใจและหลอดเลือด และโรคเบาหวานชนิดที่ 2 เกณฑ์การวินิจฉัยกลุ่มอาการเมตาบอลิกของสมาพันธ์เบาหวานนานาชาติ (International Diabetes Federation, IDF) ในเด็กอายุ 10 ปีขึ้นไป ใช้เส้นรอบเอวร่วมกับเกณฑ์อื่นอีก 2 ข้อขึ้นไป (ตารางที่ 1) (26)
  • 10.
    10 ตารางที่1 เกณฑ์การวินิจฉัยกลุ่มอาการเมตาบอลิกในเด็ก อายุ (ปี) เส้นรอบเอว ไตรกลีเซอไรด์ (มก./ดล.) HDL-C (มก./ดล.) ความดันเลือด (มม.ปรอท) FBG (มก./ดล.) 10-16 > เปอร์เซ็นไทล์ที่ 90 ตาม อายุและเพศหรือมากเกิน เกณฑ์อ้วนลงพุงของผู้ใหญ่ > 150 < 40 > 130/ 85 > 100 หรือเป็น โรคเบาหวาน ชนิดที่ 2 >16 หญิง > 80 ซม. ชาย > 90 ซม. > 150 ชาย < 40 หญิง < 50 > 130/ 85 > 100 หรือเป็น โรคเบาหวาน ชนิดที่ 2 HDL-C, high-density lipoprotein cholesterol; FBG, fasting blood glucose  ความผิดปกติทางผิวหนัง มักพบ acanthosis nigricans คือ ผิวหนังมีลักษณะเป็นผื่นสีน้าตาลดานูนหนา ไม่คัน พบที่ บริเวณลาคอ รักแร้ ข้อพับ และขาหนีบ ทั้ง 2 ข้าง ซึ่งพบร่วมกับโรคเบาหวานชนิดที่ 2 เกิดจากการกระตุ้น insulin-like growth factor receptor ที่ผิวหนัง และกระตุ้นการทางานของ keratinocyte พบในคนผิวดามากกว่าคนผิวขาว(27) อาจ พบรอยแตก (striae) ในโรคอ้วนที่รุนแรงและมีน้าหนักเพิ่มขึ้นเร็ว อาจพบลักษณะผื่นแดงบริเวณข้อพับ (intertrigo) เกิด จากการเสียดสี และความอับชื้น มักพบการติดเชื้อราแทรกซ้อน และติดเชื้อแบคทีเรียในบริเวณที่มีขน(28)  ด้านจิตใจและสังคม พบว่าเด็กอ้วนมีการขาดความภาคภูมิใจในตนเอง มองว่าตนเองไม่เก่ง ไม่มีความสามารถ ทาให้มีผล ต่ออารมณ์ การพัฒนาความคิด ความรู้สึกมีคุณค่าในตนเอง และภาพลักษณ์ต่อร่างกายของวัยรุ่น เกิดปัญหาในการเข้า สังคม รู้สึกโดดเดี่ยว เหงา ซึมเศร้า วิตกกังวล มีอาการแสดงทางร่างกาย เด็กมักใช้การกินเพื่อระบายความอึดอัดคับข้อง ใจ(29)  ความเสี่ยงต่อการเติบโตเป็นผู้ใหญ่โรคอ้วน การศึกษาในเด็กไทยพบว่า เด็กวัยเรียนที่อ้วนมีโอกาสเสี่ยงต่อการเป็นวัยรุ่น ที่อ้วน 3.1-12.5 เท่า(30) ในระดับมัธยมศึกษาพบว่าเด็กชายและหญิงที่อ้วนเสี่ยงต่อการเป็นโรคอ้วนหลังจบการศึกษา 1.4 และ 4.6 เท่า(31) เด็กอ้วนมีโอกาสเสี่ยงที่จะกลายเป็นวัยรุ่นที่อ้วนถึง 8.2 และ 20 เท่าในเด็กชายและหญิง ตามลาดับ(32) เด็กโรคอ้วนเมื่อเติบโตขึ้นจะมีความเสี่ยงต่อการเป็นโรคอ้วนในผู้ใหญ่(33) การศึกษาที่ติดตามเด็กโรคอ้วนในระยะยาว พบว่า ร้อยละ 69 ของเด็กอายุ 6-9 ปี และร้อยละ 83 ของวัยรุ่นอายุ 10-14 ปี จะกลายเป็นผู้ใหญ่โรคอ้วนต่อไป(34)  ความเสี่ยงต่อการเกิดโรคมะเร็ง พบว่าโรคอ้วนในผู้ใหญ่มีความสัมพันธ์กับการเกิดโรคมะเร็งหลายตาแหน่ง ได้แก่ มะเร็ง หลอดอาหาร ต่อมไทรอยด์ ไต ผิวหนัง ลาไส้และไส้ตรงในเพศชาย มะเร็งเยื่อบุโพรงมดลูก หลอดอาหาร ถุงน้าดี ไต ตับ อ่อน ต่อมไทรอยด์ มะเร็งเต้านมในวัยหลังหมดประจาเดือน และมะเร็งลาไส้ในเพศหญิง (24) นอกจากนี้ยังพบว่าผู้ใหญ่โรค อ้วนมีอัตราตายจากโรคมะเร็งมากกว่าคนน้าหนักตัวปกติอีกด้วย(35) 2. การวินิจฉัยโรคอ้วนในเด็ก 2.1 หลักเกณฑ์การวินิจฉัย โรคอ้วน (obesity) เป็นภาวะที่มีไขมันสะสมในร่างกายมากกว่าปกติจนเกิดผลเสียต่อสุขภาพ โดยมีหลักเกณฑ์การ วินิจฉัยทางเวชปฏิบัติตามคาแนะนาขององค์การอนามัยโลก (3 A)(1) (ตารางที่ 2) ดังนี้
  • 11.
    11 1. น้าหนักตัวของเด็กสูงกว่าค่ามัธยฐานของน้าหนักตามเกณฑ์ส่วนสูงของเด็ก (medianof weight-for-height) เกิน 3 เท่าของค่าเบี่ยงเบนมาตรฐาน (standard deviation, SD) โดยใช้เกณฑ์อ้างอิงของกระทรวงสาธารณสุข(36) (ภาคผนวกที่ 1) 2. ดัชนีมวลกาย (body mass index, BMI) สูงกว่าค่ามัธยฐานมากกว่าหรือเท่ากับ 2 เท่าของ SD โดยใช้เกณฑ์ อ้างอิงขององค์การอนามัยโลก(37) (ภาคผนวกที่ 1) คานวณค่าดัชนีมวลกาย ดังนี้ BMI = น้าหนักตัว (กิโลกรัม) ส่วนสูง (เมตร)2 ภาวะน้าหนักเกิน หรือ เริ่มอ้วน (overweight) เป็นภาวะที่มีความผิดปกติน้อยกว่าเกณฑ์โรคอ้วน โดยมีหลักเกณฑ์ การวินิจฉัยทางเวชปฏิบัติตามคาแนะนาขององค์การอนามัยโลก (3 A)(1) ดังนี้ 1. น้าหนักตัวของเด็กสูงกว่าค่ามัธยฐานของน้าหนักตามเกณฑ์ส่วนสูงของเด็ก (median of weight-for-height) เกิน 2 เท่า จนถึง 3 เท่าของค่าเบี่ยงเบนมาตรฐาน (standard deviation, SD) โดยใช้เกณฑ์อ้างอิงของกระทรวงสาธารณสุข (36) (ภาคผนวกที่ 1) 2. ดัชนีมวลกาย (body mass index, BMI) สูงกว่าค่ามัธยฐานมากกว่าหรือเท่ากับ 1 เท่า แต่น้อยกว่า 2 เท่าของ ของ SD โดยใช้เกณฑ์อ้างอิงขององค์การอนามัยโลก(37) (ภาคผนวกที่ 1) ตารางที่ 2 เกณฑ์การวินิจฉัยโรคอ้วนและภาวะน้าหนักเกิน เกณฑ์วินิจฉัย ปกติ น้าหนักเกิน หรือ เริ่มอ้วน โรคอ้วน น้าหนักตามเกณฑ์ส่วนสูง > median -2 SD และ < median + 2 SD > median + 2 SD และ < median + 3 SD > median + 3 SD ดัชนีมวลกาย > median -1 SD และ < median + 1 SD > median + 1 SD และ < median + 2 SD > median + 2 SD 2.2 การประเมินความรุนแรง (3 B) การแบ่งความรุนแรงของโรคอ้วนในเวชปฏิบัติ ใช้ค่าร้อยละของน้าหนัก อ้างอิงตามเกณฑ์ส่วนสูง (% weight-for- height, % WH) (ตารางที่ 3) ตารางที่ 3 เกณฑ์การแบ่งความรุนแรงของโรคอ้วนในเด็ก ระดับความรุนแรง ตาม % WH* > 110 – 120 > 120 – 140 > 140 – 160 > 160 – 200 > 200 เกณฑ์เดิม น้าหนักเกิน (overweight) อ้วนเล็กน้อย (mild obesity) อ้วนปานกลาง (moderate obesity) อ้วนมาก (severe obesity) อ้วนรุนแรง (morbid obesity) แนวทางเวชปฏิบัติปัจจุบัน ** เริ่มอ้วน (overweight) โรคอ้วน (obesity) โรคอ้วนรุนแรง (morbid obesity) * % WH = น้าหนักตัว (กิโลกรัม) x 100 น้าหนักอ้างอิงตามเกณฑ์ส่วนสูง จาแนกตามเพศ และเชื้อชาติ
  • 12.
    12 ** จากการเปรียบเทียบกับเกณฑ์อ้างอิงการเจริญเติบโตของเด็กไทย กระทรวงสาธารณสุขพ.ศ. 2542 พบว่า เด็กที่ได้รับการ วินิจฉัยว่าเป็น “โรคอ้วน” คือ น้าหนักตามเกณฑ์ส่วนสูงมากกว่าค่ามัธยฐานเกิน +3 SD จะมีน้าหนักคิดเป็นร้อยละ 135-153 ของค่ามัธยฐาน และเด็กที่ได้รับการวินิจฉัย “ภาวะน้าหนักเกิน” คือ น้าหนักตามเกณฑ์ส่วนสูงมากกว่าค่ามัธยฐานเกิน +2 SD จนถึง +3 SD จะมีน้าหนักคิดเป็นร้อยละ 122-135 ของค่ามัธยฐาน ดังนั้นถ้าใช้เกณฑ์วินิจฉัยว่าอ้วนเมื่อน้าหนักตามเกณฑ์ ส่วนสูงมากกว่าร้อยละ 120 ของค่ามัธยฐาน จะทาให้วินิจฉัยเด็กโรคอ้วนเกินความเป็นจริง (overdiagnosis) ทางชมรม โภชนาการเด็กแห่งประเทศไทยเห็นสมควรใช้เกณฑ์ %WH > 140 และเกณฑ์ %WH > 200 เป็นเกณฑ์วินิจฉัยโรคอ้วน และ โรคอ้วนรุนแรง ซึ่งควรตรวจหาภาวะแทรกซ้อนที่อาจพบร่วมด้วย 2.3 โรค/กลุ่มอาการที่มีภาวะอ้วนร่วมด้วย เด็กโรคอ้วนที่มีส่วนสูงตามเกณฑ์อายุต่ากว่าค่ามัธยฐาน (เปอร์เซ็นไทล์ที่ 50) หรือมีอัตราการเพิ่มของส่วนสูงน้อย กว่าปกติ จาเป็นต้องส่งตรวจเพื่อวินิจฉัยแยกโรคที่มีภาวะอ้วนร่วมด้วย เช่น โรค/กลุ่มอาการทางพันธุกรรม และโรคของระบบ ต่อมไร้ท่อ (3 A)(38) (ตารางที่ 4) ตารางที่ 4 โรค/กลุ่มอาการทางพันธุกรรมและโรคของระบบต่อมไร้ท่อที่มีภาวะอ้วนร่วมด้วย(38,39) กลุ่มอาการ อาการและอาการแสดง โรค/กลุ่มอาการทางพันธุกรรม Prader-Willi syndrome ลักษณะหน้าตาผิดปกติ มือเท้าขนาดเล็ก hypogonadism สติปัญญาและ พัฒนาการช้า มีปัญหาการกิน เลี้ยงไม่โต และ hypotonia ในวัยทารก Laurence–Moon-Biedl syndrome Truncal obesity สติปัญญาและพัฒนาการช้า นิ้วผิดปกติ (syndactyly หรือ polydactyly), nephropathy, retinopathy, hypogenitalism Bardet-Biedl syndrome จอประสาทตาเสื่อม นิ้วผิดปกติ (syndactyly หรือ polydactyly), สติปัญญา ช้า Alström syndrome จอประสาทตาเสื่อม หูหนวก เบาหวาน hypogonadism โรคของระบบต่อมไร้ท่อ Cushing’s syndrome Truncal obesity, hirsutism, moon facies, buffalo hump, violaceous striae, ความดันโลหิตสูง เบาหวาน Hypothyroidism ตัวเตี้ย ผิวแห้งหยาบ ผมหยาบ ซึม เสียงแหบ เบื่ออาหาร ลิ้นใหญ่ ไม่แสดง ความรู้สึก พัฒนาการทางเพศช้า Growth hormone deficiency ตัวเตี้ย อ้วนน้อยถึงปานกลาง Pseudohypoparathyroidism ตัวเตี้ย หน้ากลม มือเท้าสั้น ต้อกระจก ผิวแห้งหยาบ เล็บและผมแตกหักง่าย สติปัญญาและพัฒนาการช้า hypocalcemia, hyperphosphatemia, subcutaneous calcification Hypothalamic dysfunction ปวดศีรษะ ตามัว เบาจืด ชัก papilledema, hypothyroidism, adrenal insufficiency, temperature dysregulation, coma 3. แนวทางการดูแลรักษาโรคอ้วนในเด็ก
  • 13.
    13 ใช่ แผนภูมิแนวทางเวชปฏิบัติการป้องกันและรักษาโรคอ้วนในเด็ก พ.ศ. 2557 โดยชมรมโภชนาการเด็กแห่งประเทศไทยและราชวิทยาลัยกุมารแพทย์แห่งประเทศไทย น้าหนักตามเกณฑ์ส่วนสูง(WH) มากกว่า + 2 SD เปรียบเทียบส่วนสูงกับส่วนสูงมัธยฐาน (P 50) ของเกณฑ์อ้างอิงฯ พ.ศ. 2542 แนะนาให้ตรวจหาสาเหตุ โรคทางพันธุกรรมและระบบต่อมไร้ท่อ สูงเท่ากับหรือมากกว่า P 50(อ้วนสูง) อายุ < 7 ปี โรคอ้วน (WH > +3 SD) อายุ > 7 ปี ภาวะน้าหนักเกิน (WH > + 2 SD ถึง < + 3 SD) แนะนาการให้อาหารตามวัย ติดตามน้าหนัก-ส่วนสูงทุก 3-6 เดือน ไม่ใช่ ใช่ แนะนาโภชนบัญญัติ ควบคุมน้าหนัก ติดตามน้าหนัก-ส่วนสูงทุก 2-6 เดือน ปรึกษากุมารแพทย์เพื่อควบคุมอาหาร ลดน้าหนัก แนะนาเพิ่มกิจกรรมทางกาย ติดตามน้าหนักและส่วนสูงทุก 2-6 เดือน + ส่งปรึกษาแพทย์เฉพาะทาง ภาวะแทรกซ้อน* ได้แก่ ความดันเลือดสูง โรคของกระดูกและข้อ ภาวะ obstructive sleep apnea (OSA) อาการของภาวะต่อต้านอินซูลิน เป็นต้น กลุ่มเสี่ยง**มีประวัติครอบครัวเป็นโรคไขมันในเลือดผิดปกติ หรือโรคหัวใจและหลอดเลือดก่อนอายุ 55 ปีในผู้ชายและก่อนอายุ 65 ปีในผู้หญิง หรือเบาหวาน หรือเด็กที่เกิด จากมารดาที่มีภาวะเบาหวานขณะตั้งครรภ์ เจาะเลือดส่งตรวจ***หาระดับ lipid profile, fasting blood glucose และ alanine aminotransferase (ALT) มีภาวะแทรกซ้อน* หรือกลุ่มเสี่ยง** หรืออ้วนรุนแรง ปรึกษากุมารแพทย์เพื่อควบคุมอาหาร เปูาหมายลดน้าหนัก 5-10 % ของน้าหนักขณะนั้น เพิ่มการออกกาลังกาย ให้การดูแล เบื้องต้น ติดตามน้าหนักและส่วนสูงทุก 2-6 เดือน + ส่งปรึกษาแพทย์เฉพาะทาง มีภาวะแทรกซ้อน* หรือ อ้วนรุนแรง v สูงน้อยกว่า P 50(อ้วนไม่สูง)/ อัตราการเพิ่มของส่วนสูงลดลง ไม่ใช่ พิจารณาเจาะเลือดส่งตรวจ*** ตามความเหมาะสม เจาะเลือดส่งตรวจ*** ผลผิดปกติผลปกติ
  • 14.
    14 เนื่องจากโรคอ้วนมีสาเหตุจากหลายปัจจัยที่สัมพันธ์กัน ดังนั้นการรักษาจาเป็นต้องอาศัยวิธีการต่างๆ เพื่อให้ได้ ผลลัพธ์ที่ดีและมีประสิทธิภาพนอกจากนั้น ควรให้การดูแลรักษาโรคอ้วนตั้งแต่เริ่มแรก เพื่อลดความรุนแรงของโรคอ้วนและ ภาวะแทรกซ้อนต่างๆ ที่อาจตามมา 3.1 แผนภูมิแนวทางดูแลรักษาเด็กโรคอ้วน การดูแลรักษาเด็กโรคอ้วนตามแผนภูมิแนวทางดูแลรักษาเด็กโรคอ้วน สาหรับแพทย์เวชปฏิบัติทั่วไปและกุมารแพทย์ ใช้เป็นแนวทางในการดูแลเด็กที่มีภาวะน้าหนักเกินและโรคอ้วนเบื้องต้น เพื่อให้เด็กมีการเจริญเติบโตปกติ ความรุนแรงของโรค และภาวะแทรกซ้อนลดลง ก่อนการส่งต่อแพทย์เฉพาะทางหากมีภาวะแทรกซ้อนที่รุนแรง เช่น OSA, DM เป็นต้น 3.2 การตรวจเพื่อหาภาวะแทรกซ้อน แนะนาให้ตรวจเลือดในเด็กโรคอ้วนอายุ 7 ปี ขึ้นไปที่มีภาวะแทรกซ้อน ได้แก่ ความดันเลือดสูง โรคของกระดูกและ ข้อ ภาวะ OSA อาการของภาวะต่อต้านอินซูลิน เป็นต้น หรือเป็นกลุ่มเสี่ยงต่อภาวะไขมันในเลือดผิดปกติและเบาหวาน คือ มี ประวัติครอบครัวเป็นโรคไขมันในเลือดผิดปกติ หรือโรคหัวใจและหลอดเลือดก่อนอายุ 55 ปี ในผู้ชาย และก่อนอายุ 65 ปี ใน ผู้หญิง(40) มีพี่น้อง บิดา มารดา ปูุ ย่า ตา หรือยายเป็นเบาหวาน หรือเด็กที่เกิดจากมารดาที่มีภาวะเบาหวานขณะตั้งครรภ์(41) หรืออ้วนรุนแรง (morbid obesity) (3 A) โดยให้งดอาหาร 10-12 ชั่วโมงและส่งตรวจระดับไขมัน เอนไซม์ alanine aminotransferase (ALT หรือ serum glutamic pyruvic transaminase, SGPT) และระดับน้าตาลหลังงดอาหาร (FBG)(38) ส่วนเด็กอายุ 7 ปีขึ้นไปที่ไม่มีภาวะแทรกซ้อน ไม่เป็นกลุ่มเสี่ยง หรือไม่ได้อ้วนรุนแรง และในเด็กอายุน้อยกว่า 7 ปี ที่มี ภาวะแทรกซ้อน หรืออ้วนรุนแรงพิจารณาตรวจเลือดตามความเหมาะสมในแต่ละราย(3 B) การทา oral glucose tolerance test (OGTT) โดยการตรวจ FBG แล้วให้กินน้าตาลขนาด 1.75 กรัม/กก.ของ น้าหนักอ้างอิงตามเกณฑ์ส่วนสูง (ไม่เกิน 75 กรัม) กินภายใน 5 นาที แล้วเจาะน้าตาลในเลือดหลังกินน้าตาลนาน 2 ชั่วโมง นา ผลเลือดที่ได้มาประเมินความผิดปกติในตารางที่ 5 การทา OGTT พิจารณาทาในกรณีที่มีค่า FBG มากกว่าหรือเท่ากับ 100 มก./ดล.(3 A)(26) กรณีสงสัยภาวะซึมเศร้า อาจประเมินเบื้องต้นโดยใช้แบบคัดกรองภาวะซึมเศร้าในเด็ก(Children’s Depression Inventory; CDI) ฉบับภาษาไทย(42) เพื่อประเมินความคิดและความรู้สึกซึมเศร้าของเด็กเอง และพิจารณาส่งปรึกษาจิตแพทย์ ต่อไป ตารางที่ 5 การตรวจเพื่อประเมินภาวะแทรกซ้อนของเด็กโรคอ้วน ภาวะแทรกซ้อน เกณฑ์การวินิจฉัย Prediabetes: Impaired fasting glucose FBG > 100 mg/dL Impaired glucose tolerance BG (OGTT at 2 hr) >140-199 mg/dL Diabetes mellitus (DM) FBG > 126 mg/dL BG (OGTT at 2 hr) > 200 mg/dL Dyslipidemia: (fasting 12-14 hr) Triglyceride > 150 mg/dL LDL-C > 130 mg/dL Total cholesterol > 200 mg/dL HDL-C < 40 mg/dL
  • 15.
    15 Hypertension ค่าความดันเลือด >เปอร์เซ็นไทล์ที่ 95 ตามเพศ อายุ และเปอร์เซ็นไทล์ส่วนสูง (43) (ภาคผนวกที่ 2) Non-alcoholic fatty liver disease (NAFLD) ค่า alanine aminotransferase (ALT) สูง > 2 เท่าของค่าปกติ หรือการตรวจ ultrasound ตับผิดปกติ Obstructive sleep apnea (OSA) ประวัตินอนกรนดัง หยุดหายใจ และหายใจลาบาก ร่วมกับค่า %O2 saturation ที่วัด ขณะหลับลดต่ากว่าร้อยละ 90 อย่างน้อย 3 ช่วงเวลาของการนอนหลับตั้งแต่ 6 ชม.ขึ้น ไป FBG, fasting blood glucose; BG, blood glucose; OGTT, oral glucose tolerance test; LDL-C, low-density lipoprotein cholesterol; HDL-C, high-density lipoprotein cholesterol 3.3 เป้าหมายในการดูแลรักษา จากผลการศึกษาที่ผ่านมาพบว่า การควบคุมอาหาร การเพิ่มการเคลื่อนไหวร่างกาย การออกกาลังกาย และการปรับ พฤติกรรมบนพื้นฐานของครอบครัว ที่มีผู้ปกครองเป็นแบบอย่างของการมีสุขนิสัยที่ดี และช่วยสนับสนุนในการดูแลเด็กโรค อ้วน เป็นโปรแกรมการรักษาที่ได้ผลจริงในการควบคุมน้าหนักระยะยาว (1 A)(38,44) ดีกว่าการรักษาด้วยการควบคุมอาหารหรือ การออกกาลังกายอย่างเดียว การกาหนดเปูาหมายเบื้องต้นในการดูแลรักษา 3 ด้าน คือ  ด้านน้าหนัก การดูแลน้าหนักตัวมีวัตถุประสงค์เพื่อควบคุมน้าหนักตัวให้คงเดิมหรือลดลงโดยมีส่วนสูงเพิ่มขึ้นตามปกติ รักษามวล กล้ามเนื้อไม่ให้ลดลง และปูองกันภาวะแทรกซ้อน รวมทั้งปัญหาด้านจิตใจ โดยแบ่งตามอายุของผู้ปุวยและความรุนแรง ของโรคอ้วน (3 A)(45) ดังนี้  เด็กที่มีภาวะน้าหนักเกิน หรือเด็กโรคอ้วนอายุน้อยกว่า 7 ปี ที่ไม่ถึงเกณฑ์อ้วนรุนแรงและไม่มีภาวะแทรกซ้อน ควรดูแลให้น้าหนักตัวคงเดิม โดยบริโภคอาหารตามความต้องการของเด็กที่มีน้าหนักปกติตามเกณฑ์ส่วนสูง และติดตามการเจริญเติบโตด้านน้าหนักและส่วนสูงเป็นระยะ ทุก 2-6 เดือน (3 B)(46)  เด็กโรคอ้วนอายุน้อยกว่า 7 ปี ที่มีภาวะแทรกซ้อน หรืออ้วนรุนแรง และเด็กโรคอ้วนอายุ 7 ปี ขึ้นไปที่แม้ว่าไม่มี ภาวะแทรกซ้อน ไม่เป็นกลุ่มเสี่ยง หรือไม่ถึงเกณฑ์อ้วนรุนแรง ควรควบคุมอาหารและเพิ่มกิจกรรมทางกายเพื่อ ลดน้าหนัก และติดตามการเจริญเติบโตด้านน้าหนักและส่วนสูงเป็นระยะทุก 2-6 เดือน (3 B)(46)  เด็กโรคอ้วนอายุ 7 ปีขึ้นไปที่มีภาวะแทรกซ้อน เป็นกลุ่มเสี่ยง อ้วนรุนแรง หรือมีผลเจาะเลือดผิดปกติ ควร ควบคุมอาหารและเพิ่มกิจกรรมทางกาย โดยพบว่าหากมีน้าหนักตัวลดลง ร้อยละ 5-10 ของน้าหนักเดิม จะ สามารถลดความรุนแรงของโรคอ้วนและภาวะแทรกซ้อนได้ (1 A)(47) ทั้งนี้ในเด็กที่มีความดันโลหิตสูงหรือ เบาหวานควรลดน้าหนักตามเปูาหมายดังกล่าวภายใน 1 ปี หรือลดลงรวดเร็วกว่านั้นหากมีภาวะแทรกซ้อนที่ รุนแรงมากขึ้น (3 A)(48) โดยลดพลังงานลง 500-1,000 กิโลแคลอรีต่อวัน จะทาให้น้าหนักตัวลดลง 0.5-1 กิโลกรัมต่อสัปดาห์ ร่วมกับการเพิ่มการเคลื่อนไหวร่างกายเป็นประจา ติดตามการเจริญเติบโตด้านน้าหนักและ ส่วนสูงเป็นระยะ ทุก 2-6 เดือน (3 B) และอาจต้องส่งปรึกษาแพทย์เฉพาะทางกรณีมีภาวะแทรกซ้อน  ด้านพฤติกรรมสร้างเสริมสุขภาพ โดยการปรับเปลี่ยนพฤติกรรม มีเปูาหมายอยู่ที่การบริ โภคอาหารลดลงและเพิ่มการ เคลื่อนไหวร่างกาย (1 A)(44) มีหลากหลายรูปแบบ ได้แก่ การสร้างพฤติกรรมใหม่ ปรับพฤติกรรมเดิมให้เหมาะสม และ
  • 16.
    16 การกาจัดพฤติกรรมที่ไม่เหมาะสม โดยการให้ความรู้เพื่อให้เกิดความตระหนักอยากเปลี่ยนแปลง การฝึกให้เกิดความเคย ชินและมีประพฤติต่อเนื่องเป็นเวลานานอย่างน้อย6 เดือน การทากลุ่มบาบัด การตรวจสอบตนเอง โดยบันทึกการบริโภค อาหาร เพื่อประเมินพฤติกรรมการบริโภคอาหาร (1 B)(49) การวางแผนและเรียนรู้วิธีการหลีกเลี่ยง เพื่อพัฒนาทักษะใน การแก้ปัญหา (2 B)(50) การเสริมแรงด้านบวกสาหรับพฤติกรรมที่พึงประสงค์ การจัดสิ่งแวดล้อมในบ้าน (3 B)(51) และการ ให้ผู้ปกครองมีส่วนร่วม มีความสาคัญมาก โดยผู้ปกครองเป็นแบบอย่างที่ดีและช่วยประคับประคองให้การรักษาประสบ ความสาเร็จได้ในเบื้องต้น และต่อเนื่องในระยะยาว (1 A)(52,53)  ด้านการดูแลรักษาภาวะแทรกซ้อน จาเป็นต้องส่งปรึกษาแพทย์ผู้เชี่ยวชาญในสาขาที่เกี่ยวข้องกับภาวะแทรกซ้อนที่พบ ได้แก่ ศัลยกรรมกระดูกและข้อ เวชศาสตร์ฟื้นฟู ระบบหัวใจและหลอดเลือด ระบบทางเดินหายใจ และจิตวิทยา เป็นการ รักษาแบบสหวิชาชีพ (multi-disciplinary) ในบางรายแพทย์ผู้เชี่ยวชาญจาเป็นต้องพิจารณารับไว้รักษาในโรงพยาบาล เพื่อปูองกันอันตรายจากการควบคุมอาหารที่ไม่เหมาะสมและเกิดการขาดสารอาหาร และรักษาภาวะแทรกซ้อนที่รุนแรง รวมทั้งติดตามการเจริญเติบโตของเด็ก และภาวะแทรกซ้อนเป็นระยะๆ ตามความเหมาะสม(3 A) 4. แนวทางการป้องกันโรคอ้วนในเด็ก แพทย์เวชปฎิบัติทั่วไปและกุมารแพทย์ ควรตรวจค้นหาเด็กที่มีความเสี่ยงต่อโรคอ้วน (3 C)(54) ได้แก่ เด็กที่น้าหนัก แรกเกิดน้อยกว่า 2,500 กรัมหรือมากกว่า 4,000 กรัม เด็กที่คลอดจากมารดาที่เป็นโรคเบาหวานขณะตั้งครรภ์ เด็กที่มีพ่อแม่ อ้วนและมีฐานะดีพอสมควร ครอบครัวมีประวัติของโรคไม่ติดต่อเรื้อรัง ได้แก่ โรคหัวใจและหลอดเลือดที่อายุน้อย ความดัน เลือดสูง ไขมันในเลือดผิดปกติ โรคเบาหวาน และโรคอ้วน กลุ่มเด็กที่อายุน้อยกว่า 5-7 ปี ที่มีไขมันสะสมกลับขึ้นมาใหม่ (adiposity rebound) เร็ว รวมทั้งวัยรุ่นที่มีความเป็นตัวของตัวเองสูง และมีพฤติกรรมการกินที่ไม่เหมาะสม โดยติดตามการ เจริญเติบโตทางน้าหนักและส่วนสูงทุกปี (3 C)(55) แพทย์เวชปฎิบัติทั่วไปและกุมารแพทย์ มีบทบาทหน้าที่ในการปูองกันโรคอ้วนในเด็ก โดยการให้ความรู้ในการบริโภค อาหารสุขภาพและเพิ่มการเคลื่อนไหวร่างกายแก่ผู้มารับบริการในสถานพยาบาล (1 B)(54,56,57) และชุมชน (3 C)(38,54) พ่อแม่ และผู้ปกครองของเด็กที่มีภาวะน้าหนักเกินควรได้รับคาแนะนาเรื่องอาหารและนมตามวัย การเคลื่อนไหวร่างกาย และการ ปรับเปลี่ยนพฤติกรรมให้เหมาะสมตามวัย เพื่อเป็นแนวทางในการดูแลเด็กเหล่านี้อย่างเหมาะสม และมีสุขภาพดีต่อไป  คาแนะนาในการบริโภคอาหาร ควรแนะนาการให้อาหารทารกและเด็กเล็กตามข้อปฏิบัติการให้อาหารเพื่อสุขภาพที่ดี (Food-based Dietary Guidelines: FBDG) ของทารกและเด็กเล็ก (ตารางที่ 6) แนะนาการบริโภคอาหารในเด็กโตและ วัยรุ่นตามโภชนบัญญัติ 9 ประการ (ตารางที่ 7) และธงโภชนาการ (รูปที่ 1) คาแนะนาในการบริโภคอาหารที่มีหลักฐานเชิงประจักษ์สนับสนุนแนวทางการบริโภคอาหารเพื่อปูองกันโรค อ้วนในเด็ก มีดังนี้ 1. สนับสนุนให้มารดาเลี้ยงลูกด้วยนมแม่อย่างเดียวถึงอายุ 6 เดือน หลังจากนั้นให้นมแม่ร่วมกับอาหารตามวัย จนถึงอายุ 2 ปี หรือนานกว่านั้น หลังอายุ 1 ปี เด็กควรได้รับอาหารมื้อหลัก 3 มื้อและนมรสจืดวันละ 2-3 ครั้ง (1 A)(56,58) รวมทั้งการเลิกดูดขวดนมหลังอายุ 1 ปี (อย่างช้าไม่เกิน 18 เดือน) (3 A) (59,60) ไม่ควรงดอาหารมื้อเช้า (1 B)(61) ควรให้กินอาหารเป็นเวลา ปริมาณพอเหมาะสอดคล้องกับพัฒนาการของเด็ก และสร้างวินัยในการกิน 2. ควบคุมปริมาณพลังงานที่ได้รับจากอาหาร โดยควบคุมปริมาณที่บริโภค (3 B)(56,62,63) ในเด็กที่อายุมากกว่า 2 ปี ลดการบริโภคไขมันอิ่มตัว เช่น ไขมันจากสัตว์ เนย กะทิ น้ามันมะพร้าว น้ามันปาล์ม เป็นต้น อาจให้นมจืดที่มีไขมันต่า
  • 17.
    17 (3 A)(64) ลดการบริโภคน้าตาล เพื่อลดglycemic load (1 B)(54,65) เพิ่มการบริโภคใยอาหารจากผัก ผลไม้สด และธัญพืช ที่ไม่ผ่านการขัดสี (whole grain cereals) 3. ควรหลีกเลี่ยงการกินอาหารที่มีพลังงานสูง แต่สารอาหารต่า เช่น น้าอัดลม น้าหวาน (1 A)(56,62) รวมทั้งขนมขบ เคี้ยว (3 B)(66) 4. ควรหลีกเลี่ยงการกินอาหารนอกบ้าน และอาหารจานด่วน (fast food) (2 B)(67) 5. ไม่ควรสะสมอาหารและขนมในบ้าน ไม่ให้อาหารและขนมแก่เด็กเป็นรางวัล (3 C)(56,63) ตารางที่ 6 ข้อปฏิบัติการให้อาหารเพื่อสุขภาพที่ดีของทารกและเด็กเล็ก(68) ทารก (อายุ 0-12 เดือน) เด็กเล็ก (อายุ 1- 5 ปี) 1.ให้นมแม่อย่างเดียวตั้งแต่แรกเกิดถึง 6 เดือน ไม่ต้องให้ อาหารอื่นแม้แต่น้า 1. ให้อาหารมื้อหลัก 3 มื้อ และอาหารว่างไม่เกิน 2 มื้อต่อ วัน 2. เริ่มให้อาหารตามวัยเมื่ออายุ 6 เดือน ควบคู่ไปกับนมแม่* 2. ให้อาหารครบ 5 หมู่ แต่ละหมู่ให้หลากหลาย เป็น ประจาทุกวัน 3. เพิ่มจานวนมื้ออาหารตามวัยเมื่ออายุลูกเพิ่มขึ้น จนครบ 3 มื้อเมื่อลูกอายุ 10-12 เดือน 3. ให้นมแม่ต่อเนื่องถึงอายุ 2 ปี เสริมนมรสจืดวันละ 2-3 แก้ว 4. ให้อาหารตามวัยที่มีคุณภาพและครบ 5 หมู่ ทุกวัน 4. ฝึกให้กินผัก ผลไม้สดจนเป็นนิสัย 5. ค่อย ๆ เพิ่มปริมาณ และความหยาบของอาหารขึ้น ตาม อายุ 5. ให้อาหารว่างที่มีคุณภาพ 6. ให้อาหารรสธรรมชาติ หลีกเลี่ยงการปรุงแต่งรส 6. ฝึกให้กินอาหารรสธรรมชาติ ไม่หวานจัด มันจัด และ เค็มจัด 7. ให้อาหารสะอาดและปลอดภัย 7. ให้อาหารสะอาดและปลอดภัย 8. ให้ดื่มน้าสะอาด งดเครื่องดื่มรสหวานและน้าอัดลม 8. ให้ดื่มน้าสะอาด หลีกเลี่ยงเครื่องดื่มปรุงแต่งรสหวาน และน้าอัดลม 9. ฝึกวิธีดื่มกินให้สอดคล้องกับพัฒนาการตามวัย 9. ฝึกวินัยการกินอย่างเหมาะสมตามวัยจนเป็นนิสัย 10. เล่นกับลูก สร้างความผูกพัน หมั่นติดตามการ เจริญเติบโตและพัฒนาการ 10. เล่นกับลูก สร้างความผูกพัน หมั่นติดตามการ เจริญเติบโตและพัฒนาการ * ถ้าการเจริญเติบโตมีแนวโน้มลดลง หรือไม่สามารถให้นมแม่ได้อย่างเต็มที่ อาจเริ่มให้ก่อนได้แต่ไม่ก่อนอายุครบ4 เดือน
  • 18.
    18 ตารางที่ 7 โภชนบัญญัติ9 ประการ(69) ข้อปฏิบัติการกินอาหารเพื่อสุขภาพที่ดีของคนไทย 1. รับประทานอาหารครบ 5 หมู่ แต่ละหมู่ให้หลากหลายและหมั่นดูแลน้าหนักตัว 2. รับประทานข้าวเป็นอาหารหลัก สลับกับอาหารประเภทแปูงเป็นบางมื้อ 3. รับประทานพืชผักให้มาก และรับประทานผลไม้สดเป็นประจา 4. รับประทานปลา เนื้อสัตว์ไม่ติดมันไข่ และถั่วเมล็ดแห้งเป็นประจา 5. ดื่มนมให้เหมาะสมตามวัย 6. รับประทานอาหารที่มีไขมันแต่พอสมควร 7. หลีกเลี่ยงการรับประทานอาหารรสหวานจัด 8. รับประทานอาหารที่สะอาด ปราศจากการปนเปื้อน 9. งดหรือลดเครื่องดื่มที่มีแอลกอฮอล์ รูปที่ 1 ธงโภชนาการ(69)  คาแนะนาให้เพิ่มการเคลื่อนไหวร่างกาย (Physical activity) โดยการลดพฤติกรรมที่อยู่นิ่งๆ เช่น การดูโทรทัศน์และ เล่นเกมคอมพิวเตอร์ (1 A)(70) พบว่ามีความสาคัญมากกว่าการเพิ่มการเคลื่อนไหวร่างกาย (1 B)(38,54) มีข้อแนะนาให้เด็ก อายุตั้งแต่ 2 ปี ขึ้นไปดูโทรทัศน์และเล่นเกมคอมพิวเตอร์ ไม่เกินวันละ 2 ชั่วโมง (3 A)(71) ควรเพิ่มการเคลื่อนไหวระดับ ปานกลางถึงระดับหนัก นาน 60 นาที และ30 นาที ตามลาดับ (3 B)(38,51) และควรสนับสนุนให้มีกิจกรรมเคลื่อนไหว ร่างกายทั้งครอบครัว (3 B)(51,54) สร้างนิสัยการออกกาลังกายในชีวิตประจาวัน เช่น การทางานบ้าน การเดินและขี่ จักรยานแทนการนั่งรถ เป็นต้น การเล่นกีฬาในเด็กวัยเรียน เพื่อให้เด็กได้เรียนรู้กฎกติกาและการอยู่ร่วมกับผู้อื่น  การปรับเปลี่ยนพฤติกรรม การดูแลสนับสนุนให้เด็กมีสุขนิสัยที่ดี ควรมีผู้ปกครองเป็นแบบอย่างที่ดีให้แก่เด็ก (1 A)(52,53) นอกจากนี้วิธีที่สามารถนามาใช้ในการเปลี่ยนแปลงพฤติกรรม ได้แ ก่ การติดตามประเมินตนเอง (self-monitoring)(49) การแก้ปัญหา (problem-solving)(50) และการเลือกอาหารตามสีไฟจราจร (traffic light diet)(52) รวมทั้งการจัด สิ่งแวดล้อม เพื่อให้มีพฤติกรรมที่เหมาะสม (3 B)(51)
  • 19.
    19 เอกสารอ้างอิง 1. Obesity: preventingand managing the global epidemic. Report of a WHO consultation. World Health Organ Tech Rep Ser 2000; 894: i-xii, 1-253. 2. จิตติวัฒน์ สุประสงค์สิน. โครงการวิเคราะห์เอกสารและผลการวิจัยภาวะโภชนาการเกิน.โรคอ้วนในเด็ก: สถานการณ์ ปัจจุบัน. เครือข่ายวิจัยสุขภาพ สกว.โดยมูลนิธิสาธารณสุขแห่งชาติ 2544. 3. นิตยา คชภักดี, นิชรา เรืองดารกานนท์, ชัยยศ คุณานุสนธิ์. สุขภาพและพัฒนาการของเด็กไทย พ.ศ. 2539-2540. 4. ลัดดา เหมาะสุวรรณ, ศิริกุล อิศรานุรักษ์, นิชรา เรืองดารกานนท์, สุธรรม นันทมงคลชัย, ภัทรา สง่า, กัลยา นิติเรือง จรัส, และคณะ. เด็กไทยวันนี้ เป็นอยู่อย่างไร. หาดใหญ่: ลิมบราเดอร์สการพิมพ์จากัด. 2547. 5. ลัดดา เหมาะสุวรรณ . ใน: วิชัย เอกพลากร (บรรณาธิการ).รายงานสารวจสุขภาพประชาชนไทยโดยการตรวจ ร่างกายครั้งที่ 4 พ.ศ.2551-2: สุขภาพเด็ก. สานักงานสารวจสุขภาพประชาชนไทย สถาบันวิจัยระบบสาธารณสุข. นนทบุรี: บริษัทเดอะกราฟิโก ซิสเต็มส์ จากัด. 2554;. 6. Ichihara S, Yamada Y. Genetic factors for human obesity. Cell Mol Life Sci2008;65:1086-98. 7. Warden NA, Warden CH. Biological influences on obesity. Pediatr Clin North Am2001;48:879-91. 8. Mo-suwan L, Geater AF. Risk factors for childhood obesity in a transitional society in Thailand. Int J Obes Relat Metab Disord1996;20:697-703. 9. Monteiro PO, Victora CG. Rapid growth in infancy and childhood and obesity in later life--a systematic review. Obes Rev2005;6:143-54. 10. Arenz S, Ruckerl R, Koletzko B, von Kries R. Breast-feeding and childhood obesity--a systematic review. Int J Obes Relat Metab Disord2004;28:1247-56. 11. Dubois L, Girard M. Early determinants of overweight at 4.5 years in a population-based longitudinal study. Int J Obes (Lond)2006;30:610-7. 12. Galvez MP, Hong L, Choi E, Liao L, Godbold J, Brenner B. Childhood obesity and neighborhood food-store availability in an inner-city community. Acad Pediatr2009;9:339-43. 13. Tremblay MS, Willms JD. Is the Canadian childhood obesity epidemic related to physical inactivity? Int J Obes Relat Metab Disord2003;27:1100-5. 14. Gettys FK, Jackson JB, Frick SL. Obesity in pediatric orthopaedics. Orthop Clin North Am2011;42:95-105, vii. 15. Lurbe E, Carvajal E, Torro I, Aguilar F, Alvarez J, Redon J. Influence of concurrent obesity and low birth weight on blood pressure phenotype in youth. Hypertension2009;53:912-7. 16. Woo KS, Chook P, Yu CW, Sung RY, Qiao M, Leung SS, et al. Overweight in children is associated with arterial endothelial dysfunction and intima-media thickening. Int J Obes Relat Metab Disord2004;28:852-7. 17. l'Allemand-Jander D. Clinical diagnosis of metabolic and cardiovascular risks in overweight children: early development of chronic diseases in the obese child. Int J Obes (Lond)2010;34 Suppl 2:S32- 6. 18. Li AM, Chan D, Wong E, Yin J, Nelson EA, Fok TF. The effects of obesity on pulmonary function. Arch Dis Child2003;88:361-3.
  • 20.
    20 19. Chan J,Edman JC, Koltai PJ. Obstructive sleep apnea in children. Am Fam Physician2004;69:1147- 54. 20. Verhulst SL, Schrauwen N, Haentjens D, Suys B, Rooman RP, Van Gaal L, et al. Sleep-disordered breathing in overweight and obese children and adolescents: prevalence, characteristics and the role of fat distribution. Arch Dis Child2007;92:205-8. 21. Baker S, Barlow S, Cochran W, Fuchs G, Klish W, Krebs N, et al. Overweight children and adolescents: a clinical report of the North American Society for Pediatric Gastroenterology, Hepatology and Nutrition. J Pediatr Gastroenterol Nutr2005;40:533-43. 22. Mencin AA, Lavine JE. Nonalcoholic fatty liver disease in children. Curr Opin Clin Nutr Metab Care2011;14:151-7. 23. Likitmaskul S, Kiattisathavee P, Chaichanwatanakul K, Punnakanta L, Angsusingha K, Tuchinda C. Increasing prevalence of type 2 diabetes mellitus in Thai children and adolescents associated with increasing prevalence of obesity. J Pediatr Endocrinol Metab2003;16:71-7. 24. Renehan AG, Tyson M, Egger M, Heller RF, Zwahlen M. Body-mass index and incidence of cancer: a systematic review and meta-analysis of prospective observational studies. Lancet2008;371:569-78. 25. Essah PA, Wickham EP, Nestler JE. The metabolic syndrome in polycystic ovary syndrome. Clin Obstet Gynecol2007;50:205-25. 26. Zimmet P, Alberti KG, Kaufman F, Tajima N, Silink M, Arslanian S, et al. The metabolic syndrome in children and adolescents - an IDF consensus report. Pediatr Diabetes2007;8:299-306. 27. Hermanns-Le T, Scheen A, Pierard GE. Acanthosis nigricans associated with insulin resistance : pathophysiology and management. Am J Clin Dermatol2004;5:199-203. 28. Yosipovitch G, DeVore A, Dawn A. Obesity and the skin: skin physiology and skin manifestations of obesity. J Am Acad Dermatol2007;56:901-16; quiz 17-20. 29. Puder JJ, Munsch S. Psychological correlates of childhood obesity. Int J Obes (Lond)2010;34 Suppl 2:S37-43. 30. Jirapinyo P, Densupsoontorn N, Kongtragoolpitak S, Wong-Arn R, Thamonsiri N. Increasing risks of becoming obese after 6 years in primary school: comparing the relative risks among some schools in Bangkok, Saraburi and Sakolnakorn. J Med Assoc Thai2005;88:829-32. 31. Jirapinyo P, Densupsoontorn N, Chinrungrueng D, Wongarn R, Thamonsiri N. Relative risks of becoming overweight and obese in children after 6 years in secondary school. J Med Assoc Thai2005;88:651-4. 32. Mo-suwan L, Tongkumchum P, Puetpaiboon A. Determinants of overweight tracking from childhood to adolescence: a 5 y follow-up study of Hat Yai schoolchildren. Int J Obes Relat Metab Disord2000;24:1642-7. 33. Vanhala M, Vanhala P, Kumpusalo E, Halonen P, Takala J. Relation between obesity from childhood to adulthood and the metabolic syndrome: population based study. BMJ1998;317:319.
  • 21.
    21 34. Whitaker RC,Wright JA, Pepe MS, Seidel KD, Dietz WH. Predicting obesity in young adulthood from childhood and parental obesity. N Engl J Med1997;337:869-73. 35. Parr CL, Batty GD, Lam TH, Barzi F, Fang X, Ho SC, et al. Body-mass index and cancer mortality in the Asia-Pacific Cohort Studies Collaboration: pooled analyses of 424,519 participants. Lancet Oncol2010;11:741-52. 36. กรมอนามัย. เกณฑ์อ้างอิง น้าหนัก ส่วนสูง และเครื่องชี้วัดภาวะโภชนาการของประชาชนไทย อายุ 1 วัน - 19 ปี. 37. WHO Child Growth Standards based on length/height, weight and age. Acta Paediatr Suppl2006;450:76-85. 38. August GP, Caprio S, Fennoy I, Freemark M, Kaufman FR, Lustig RH, et al. Prevention and treatment of pediatric obesity: an endocrine society clinical practice guideline based on expert opinion. J Clin Endocrinol Metab2008;93:4576-99. 39. Skelton JA, Rudolph CC. Overweight and obesity. In: Kliegman RM, Behrman RE, Jenson HB, Stanton BF, editors. Nelson Textbook of Pediatrics. 18th ed. Philadelphia: Saunders; 2007. p. 232-42. 40. Daniels SR, Greer FR. Lipid screening and cardiovascular health in childhood. Pediatrics2008;122:198-208. 41. Standards of medical care in diabetes--2012. Diabetes Care2012;35 Suppl 1:S11-63. 42. อุมาพรตรังสมบัติ. แบบคัดกรองภาวะซึมเศร้าในเด็ก (Children’s Depression Inventory: CDI) ฉบับภาษาไทย โครงการจัดทาโปรแกรมสาเร็จรูปในการสารวจสุขภาพจิตในพื้นที่ปี พ.ศ.2545 กรมสุขภาพจิต กระทรวงสาธารณสุข Available from: http://www.dmh.go.th/test/download/files/cdi.pdf. 43. The fourth report on the diagnosis, evaluation, and treatment of high blood pressure in children and adolescents. Pediatrics2004;114:555-76. 44. Oude Luttikhuis H, Baur L, Jansen H, Shrewsbury VA, O'Malley C, Stolk RP, et al. Interventions for treating obesity in children. Cochrane Database Syst Rev2009:CD001872. 45. Barlow SE, Dietz WH. Obesity evaluation and treatment: Expert Committee recommendations. The Maternal and Child Health Bureau, Health Resources and Services Administration and the Department of Health and Human Services. Pediatrics1998;102:E29. 46. Barlow SE. Expert committee recommendations regarding the prevention, assessment, and treatment of child and adolescent overweight and obesity: summary report. Pediatrics2007;120 Suppl 4:S164-92. 47. Van Gaal LF, Wauters MA, De Leeuw IH. The beneficial effects of modest weight loss on cardiovascular risk factors. Int J Obes Relat Metab Disord1997;21 Suppl 1:S5-9. 48. Pediatric obesity. In: Kleinman RE, editor. Pediatric Nutrition Handbook. 6th ed. IL: American Academy of Pediatrics; 2009. p. 733-82. 49. Wrotniak BH, Epstein LH, Paluch RA, Roemmich JN. The relationship between parent and child self-reported adherence and weight loss. Obes Res2005;13:1089-96. 50. Turk MW, Yang K, Hravnak M, Sereika SM, Ewing LJ, Burke LE. Randomized clinical trials of weight loss maintenance: a review. J Cardiovasc Nurs2009;24:58-80.
  • 22.
    22 51. Spear BA,Barlow SE, Ervin C, Ludwig DS, Saelens BE, Schetzina KE, et al. Recommendations for treatment of child and adolescent overweight and obesity. Pediatrics2007;120 Suppl 4:S254-88. 52. Epstein LH, Valoski A, Wing RR, McCurley J. Ten-year follow-up of behavioral, family-based treatment for obese children. JAMA1990;264:2519-23. 53. Golan M, Crow S. Targeting parents exclusively in the treatment of childhood obesity: long-term results. Obes Res2004;12:357-61. 54. Plourde G. Preventing and managing pediatric obesity. Recommendations for family physicians. Can Fam Physician2006;52:322-8. 55. Epstein LH, Roemmich JN, Raynor HA. Behavioral therapy in the treatment of pediatric obesity. Pediatr Clin North Am2001;48:981-93. 56. Dennison BA, Boyer PS. Risk evaluation in pediatric practice aids in prevention of childhood overweight. Pediatr Ann2004;33:25-30. 57. Waters E, de Silva-Sanigorski A, Hall BJ, Brown T, Campbell KJ, Gao Y, et al. Interventions for preventing obesity in children. Cochrane Database Syst Rev2011:CD001871. 58. Grummer-Strawn LM, Mei Z. Does breastfeeding protect against pediatric overweight? Analysis of longitudinal data from the Centers for Disease Control and Prevention Pediatric Nutrition Surveillance System. Pediatrics2004;113:e81-6. 59. Gartner LM, Morton J, Lawrence RA, Naylor AJ, O'Hare D, Schanler RJ, et al. Breastfeeding and the use of human milk. Pediatrics2005;115:496-506. 60. สุนทรี รัตนชูเอก. การดูดขวดนม ปัญหาของเด็กโรคอ้วนจริงหรือ? กุมารเวชสาร 2553; 17: 174-8. . 61. Szajewska H, Ruszczynski M. Systematic review demonstrating that breakfast consumption influences body weight outcomes in children and adolescents in Europe. Crit Rev Food Sci Nutr2010;50:113-9. 62. Gidding SS, Dennison BA, Birch LL, Daniels SR, Gillman MW, Lichtenstein AH, et al. Dietary recommendations for children and adolescents: a guide for practitioners. Pediatrics2006;117:544-59. 63. Eissa MA, Gunner KB. Evaluation and management of obesity in children and adolescents. J Pediatr Health Care2004;18:35-8. 64. Gidding SS, Lichtenstein AH, Faith MS, Karpyn A, Mennella JA, Popkin B, et al. Implementing American Heart Association pediatric and adult nutrition guidelines: a scientific statement from the American Heart Association Nutrition Committee of the Council on Nutrition, Physical Activity and Metabolism, Council on Cardiovascular Disease in the Young, Council on Arteriosclerosis, Thrombosis and Vascular Biology, Council on Cardiovascular Nursing, Council on Epidemiology and Prevention, and Council for High Blood Pressure Research. Circulation2009;119:1161-75. 65. Ebbeling CB, Leidig MM, Sinclair KB, Hangen JP, Ludwig DS. A reduced-glycemic load diet in the treatment of adolescent obesity. Arch Pediatr Adolesc Med2003;157:773-9. 66. Gregori D, Foltran F, Ghidina M, Berchialla P. Understanding the influence of the snack definition on the association between snacking and obesity: a review. Int J Food Sci Nutr2011;62:270-5.
  • 23.
    23 67. Bezerra IN,Sichieri R. Eating out of home and obesity: a Brazilian nationwide survey. Public Health Nutr2009;12:2037-43. 68. อุมาพร สุทัศน์วรวุฒิ, สุภาพรรณ ตันตราชีวธร, สมโชค คุณสนอง บรรณาธิการ . คู่มืออาหารตามวัยสาหรับทารก และเด็กเล็ก. โครงการ การจัดทาข้อปฏิบัติการให้อาหารเพื่อสุขภาพที่ดีของทารกและเด็กวัยก่อนเรียน . กรุงเทพฯ: บียอนด์ เอ็นเทอร์ไพรซ์; 2552. 69. กระทรวงสาธารณสุข, กองโภชนาการ. คู่มือ กินพอดีสุขีทั่วไทย . กรุงเทพมหานคร: โรงพิมพ์องค์การสงเคราะห์ ทหารผ่านศึก. 2542. 70. Robinson TN. Reducing children's television viewing to prevent obesity: a randomized controlled trial. JAMA1999;282:1561-7. 71. American Academy of Pediatrics: Children, adolescents, and television. Pediatrics2001;107:423-6.
  • 24.
    24 ภาคผนวกที่ 1 เกณฑ์อ้างอิงน้าหนักตามเกณฑ์ส่วนสูงและส่วนสูงตามเกณฑ์อายุของเด็กจาแนกตามเพศและอายุ รูปที่ 1 กราฟแสดงเกณฑ์อ้างอิงน้าหนักตามเกณฑ์ความยาวของเด็กชาย อายุ 0-2 ปี รูปที่ 2 กราฟแสดงเกณฑ์อ้างอิงความยาวตามเกณฑ์อายุของเด็กชายอายุ 0-2 ปี
  • 25.
    25 รูปที่ 3 กราฟแสดงเกณฑ์อ้างอิงน้าหนักตามเกณฑ์ความยาวของเด็กหญิงอายุ 0-2 ปี รูปที่ 4 กราฟแสดงเกณฑ์อ้างอิงความยาวตามเกณฑ์อายุของเด็กหญิงอายุ 0-2 ปี
  • 26.
    26 รูปที่ 5 กราฟแสดงเกณฑ์อ้างอิงน้าหนักตามเกณฑ์ส่วนสูงของเด็กชายอายุ 2-7 ปี รูปที่ 6 กราฟแสดงเกณฑ์อ้างอิงส่วนสูงตามเกณฑ์อายุของเด็กชายอายุ 2-7 ปี
  • 27.
    27 รูปที่ 7 กราฟแสดงเกณฑ์อ้างอิงน้าหนักตามเกณฑ์ส่วนสูงของเด็กหญิงอายุ 2-7 ปี รูปที่ 8 กราฟแสดงเกณฑ์อ้างอิงส่วนสูงตามเกณฑ์อายุของเด็กหญิงอายุ 2-7 ปี
  • 28.
    28 รูปที่ 9 กราฟแสดงเกณฑ์อ้างอิงน้าหนักตามเกณฑ์ส่วนสูงของเด็กชายอายุ 5-18 ปี รูปที่ 10 กราฟแสดงเกณฑ์อ้างอิงส่วนสูงตามเกณฑ์อายุของเด็กชายอายุ 5-18 ปี
  • 29.
    29 รูปที่ 11 กราฟแสดงเกณฑ์อ้างอิงน้าหนักตามเกณฑ์ส่วนสูงของเด็กหญิงอายุ 5-18 ปี รูปที่ 12 กราฟแสดงเกณฑ์อ้างอิงส่วนสูงตามเกณฑ์อายุของเด็กหญิงอายุ 5-18 ปี
  • 30.
  • 31.
  • 32.
  • 33.
  • 34.
    34 ภาคผนวกที่ 2 ค่าความดันเลือดsystolic และ diastolic ที่เปอร์เซ็นไทล์ที่ 95 จาแนกตามเพศ อายุและเปอร์เซ็นไทล์ส่วนสูง อายุ (ปี) เด็กชาย เด็กหญิง เปอร์เซนไทล์ของส่วนสูง เปอร์เซนไทล์ของส่วนสูง BP 5th 10th 25th 50th 75th 90th 95th 5th 10th 25th 50th 75th 90th 95th 1 SBP 98 99 101 103 104 106 106 100 101 102 104 105 106 107 DBP 54 54 55 56 57 58 58 56 57 57 58 59 59 60 2 SBP 101 102 104 106 108 109 110 102 103 104 105 107 108 109 DBP 59 59 60 61 62 63 63 61 62 62 63 64 65 65 3 SBP 104 105 107 109 110 112 113 104 104 105 107 108 109 110 DBP 63 63 64 65 66 67 67 65 66 66 67 68 68 69 4 SBP 106 107 109 111 112 114 115 105 106 107 108 110 111 112 DBP 66 67 68 69 70 71 71 68 68 69 70 71 71 72 5 SBP 108 109 110 112 114 115 116 107 107 108 110 111 112 113 DBP 69 70 71 72 73 74 74 70 71 71 72 73 73 74 6 SBP 109 110 112 114 115 117 117 108 109 110 111 113 114 115 DBP 72 72 73 74 75 76 76 72 72 73 74 74 75 76 7 SBP 110 111 113 115 117 118 119 110 111 112 113 115 116 116 DBP 74 74 75 76 77 78 78 73 74 74 75 76 76 77 8 SBP 111 112 114 116 118 119 120 112 112 114 115 116 118 118 DBP 75 76 77 78 79 79 80 75 75 75 76 77 78 78 9 SBP 113 114 116 118 119 121 121 114 114 115 117 118 119 120 DBP 76 77 78 79 80 81 81 76 76 76 77 78 79 79 10 SBP 115 116 117 119 121 122 123 116 116 117 119 120 121 122 DBP 77 78 79 80 81 81 82 77 77 77 78 79 80 80 11 SBP 117 118 119 121 123 124 125 118 118 119 121 122 123 124 DBP 78 78 79 80 81 82 82 78 78 78 79 80 81 81 12 SBP 119 120 122 123 125 127 127 119 120 121 123 124 125 126 DBP 78 79 80 81 82 82 83 79 79 79 80 81 82 82 13 SBP 121 122 124 126 128 129 130 121 122 123 124 126 127 128 DBP 79 79 80 81 82 83 83 80 80 80 81 82 83 83 14 SBP 124 125 127 128 130 132 132 123 123 125 126 127 129 129 DBP 80 80 81 82 83 84 84 81 81 81 82 83 84 84 15 SBP 126 127 129 131 133 134 135 124 125 126 127 129 130 131 DBP 81 81 82 83 84 85 85 82 82 82 83 84 85 85 16 SBP 129 130 132 134 135 137 137 125 126 127 128 130 131 132 DBP 82 83 83 84 85 86 87 82 82 83 84 85 85 86 17 SBP 131 132 134 136 138 139 140 125 126 127 129 130 131 132 DBP 84 85 86 87 87 88 89 82 83 83 84 85 85 86 SBP, systolic blood pressure; DBP, diastolic blood pressure ดัดแปลงมาจาก The fourth report on the diagnosis, evaluation, and treatment of high blood pressure in children and adolescents. Pediatrics2004 Aug;114(2 Suppl 4th Report):555-76.