Construction of Life-Tables
MA in Sustainable Development Practice (MA in SDP), TERI University, New Delhi
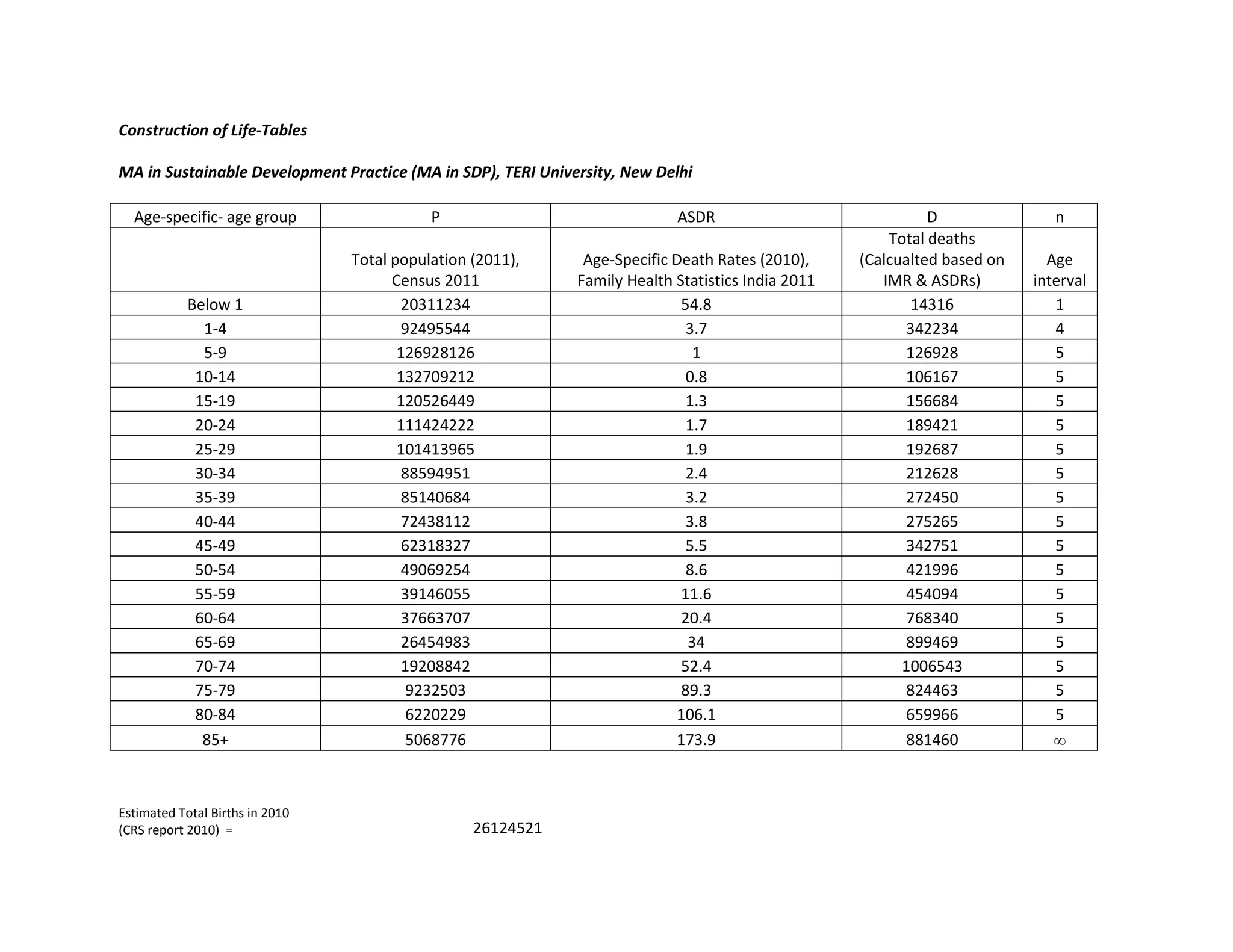
Age-specific- age group P ASDR D n
Total population (2011),
Census 2011
Age-Specific Death Rates (2010),
Family Health Statistics India 2011
Total deaths
(Calcualted based on
IMR & ASDRs)
Age
interval
Below 1 20311234 54.8 14316 1
1-4 92495544 3.7 342234 4
5-9 126928126 1 126928 5
10-14 132709212 0.8 106167 5
15-19 120526449 1.3 156684 5
20-24 111424222 1.7 189421 5
25-29 101413965 1.9 192687 5
30-34 88594951 2.4 212628 5
35-39 85140684 3.2 272450 5
40-44 72438112 3.8 275265 5
45-49 62318327 5.5 342751 5
50-54 49069254 8.6 421996 5
55-59 39146055 11.6 454094 5
60-64 37663707 20.4 768340 5
65-69 26454983 34 899469 5
70-74 19208842 52.4 1006543 5
75-79 9232503 89.3 824463 5
80-84 6220229 106.1 659966 5
85+ 5068776 173.9 881460 ∞
Estimated Total Births in 2010
(CRS report 2010) = 26124521
nMx nqx lx ndx nLx Tx ex
(Life table Mortality Rate)
(Probability
of dying)
(No. of Persons
living)
(No. of Persons
dying)
(Person-Years lived
between x to x+n)
Persons years
lived beyond
Age x (Tx) Life expectancy at age x
0.0007 0.000548 100000 55 99962 8076655 80.8
0.00093 0.003693168 99945 369 399043 7976693 79.8
0.0002 0.0009995 99576 100 497632 7577650 76.1
0.00016 0.00079968 99477 80 497184 7080019 71.2
0.00026 0.001299156 99397 129 496662 6582835 66.2
0.00034 0.001698556 99268 169 495918 6086173 61.3
0.00038 0.001898197 99099 188 495026 5590255 56.4
0.00048 0.002397123 98911 237 493963 5095229 51.5
0.00064 0.003194888 98674 315 492582 4601266 46.6
0.00076 0.003792794 98359 373 490861 4108684 41.8
0.0011 0.005484916 97986 537 488585 3617822 36.9
0.00172 0.008563178 97448 834 485155 3129237 32.1
0.00232 0.011533108 96614 1114 480284 2644082 27.4
0.00408 0.020194021 95500 1929 472677 2163798 22.7
0.0068 0.033431662 93571 3128 460035 1691122 18.1
0.01048 0.051062171 90443 4618 440669 1231087 13.6
0.01786 0.085483176 85825 7337 410782 790418 9.2
0.02122 0.10075495 78488 7908 372670 379637 4.8
0.1739 1 70580 70580 405865 6967 0.1
Notes:
Calculation of total deaths (D):
i) 0-1 age group= (IMR*total births)/100000
ii) 1-85+ age-groups= ASDR*P/1000
Calculation of age-interval:
count the number of each single
age, included in the group
Calculation of nMx from ASDR=
Total deaths d/ (Age-interval n*
Population P)
Calcualtion of nqx fromnMx =
i) 0-1 age group= (D/P)
ii) 1-84 age-groups=
(2*n*nMx)/(2+(n*nMx)), n=age
interval, nMx= life table death rates
Note: there are multiple procedures to convert
nMx to nqx, we here are following the formula
of Acturial Method, which assumes, Population
and Death are linearly distributed within a
particular age-group.
iii) 85+=
1 (since all of them will die
eventually)
Calculation of ndx
ndx = nqx *nlx
Calculation of lx
i) At age 0 (radix of life table)= 100000
ii) 1-85+ age-groups= lx+n= lx-ndx
Calculation of nLx
i) 0-1 age group= 0.3*l0 + 0.7*l1
ii) 1-84 age-groups= (n * (lx+lx+n))/2
iii) 85+= ndx /nMx
Calculation of nTx
i) T85+= T85/l85
ii) Rest of the age-group Tx+n + nLx
where,Tx+n is from the next group and
nLx is from the earlier age group
Construction of life table TERI University, New Delhi

Construction of life table TERI University, New Delhi

  • 1.
    Construction of Life-Tables MAin Sustainable Development Practice (MA in SDP), TERI University, New Delhi Age-specific- age group P ASDR D n Total population (2011), Census 2011 Age-Specific Death Rates (2010), Family Health Statistics India 2011 Total deaths (Calcualted based on IMR & ASDRs) Age interval Below 1 20311234 54.8 14316 1 1-4 92495544 3.7 342234 4 5-9 126928126 1 126928 5 10-14 132709212 0.8 106167 5 15-19 120526449 1.3 156684 5 20-24 111424222 1.7 189421 5 25-29 101413965 1.9 192687 5 30-34 88594951 2.4 212628 5 35-39 85140684 3.2 272450 5 40-44 72438112 3.8 275265 5 45-49 62318327 5.5 342751 5 50-54 49069254 8.6 421996 5 55-59 39146055 11.6 454094 5 60-64 37663707 20.4 768340 5 65-69 26454983 34 899469 5 70-74 19208842 52.4 1006543 5 75-79 9232503 89.3 824463 5 80-84 6220229 106.1 659966 5 85+ 5068776 173.9 881460 ∞ Estimated Total Births in 2010 (CRS report 2010) = 26124521
  • 2.
    nMx nqx lxndx nLx Tx ex (Life table Mortality Rate) (Probability of dying) (No. of Persons living) (No. of Persons dying) (Person-Years lived between x to x+n) Persons years lived beyond Age x (Tx) Life expectancy at age x 0.0007 0.000548 100000 55 99962 8076655 80.8 0.00093 0.003693168 99945 369 399043 7976693 79.8 0.0002 0.0009995 99576 100 497632 7577650 76.1 0.00016 0.00079968 99477 80 497184 7080019 71.2 0.00026 0.001299156 99397 129 496662 6582835 66.2 0.00034 0.001698556 99268 169 495918 6086173 61.3 0.00038 0.001898197 99099 188 495026 5590255 56.4 0.00048 0.002397123 98911 237 493963 5095229 51.5 0.00064 0.003194888 98674 315 492582 4601266 46.6 0.00076 0.003792794 98359 373 490861 4108684 41.8 0.0011 0.005484916 97986 537 488585 3617822 36.9 0.00172 0.008563178 97448 834 485155 3129237 32.1 0.00232 0.011533108 96614 1114 480284 2644082 27.4 0.00408 0.020194021 95500 1929 472677 2163798 22.7 0.0068 0.033431662 93571 3128 460035 1691122 18.1 0.01048 0.051062171 90443 4618 440669 1231087 13.6 0.01786 0.085483176 85825 7337 410782 790418 9.2 0.02122 0.10075495 78488 7908 372670 379637 4.8 0.1739 1 70580 70580 405865 6967 0.1
  • 3.
    Notes: Calculation of totaldeaths (D): i) 0-1 age group= (IMR*total births)/100000 ii) 1-85+ age-groups= ASDR*P/1000 Calculation of age-interval: count the number of each single age, included in the group Calculation of nMx from ASDR= Total deaths d/ (Age-interval n* Population P) Calcualtion of nqx fromnMx = i) 0-1 age group= (D/P) ii) 1-84 age-groups= (2*n*nMx)/(2+(n*nMx)), n=age interval, nMx= life table death rates Note: there are multiple procedures to convert nMx to nqx, we here are following the formula of Acturial Method, which assumes, Population and Death are linearly distributed within a particular age-group. iii) 85+= 1 (since all of them will die eventually) Calculation of ndx ndx = nqx *nlx
  • 4.
    Calculation of lx i)At age 0 (radix of life table)= 100000 ii) 1-85+ age-groups= lx+n= lx-ndx Calculation of nLx i) 0-1 age group= 0.3*l0 + 0.7*l1 ii) 1-84 age-groups= (n * (lx+lx+n))/2 iii) 85+= ndx /nMx Calculation of nTx i) T85+= T85/l85 ii) Rest of the age-group Tx+n + nLx where,Tx+n is from the next group and nLx is from the earlier age group