XI RELATIONS AND FUNCTIONS (M)
STHITPRAGYA SCIENCE CLASSES, GANDHIDHAM
ADVANCED MATHEMATICS FOR JEE | BITSAT | GUJCET | OLYMPIADS | IX, X, XI, XII, XII +
MISHAL CHAUHAN (M.Tech, IIT Delhi)
Address 1: Near Gayatri Mandir, Opp. PGVCL Office, Shaktinagar Address 2: Sec-5, G.H.B, Gandhidham
Contact: 9879639888 Email:sthitpragyaclasses@gmail.com
Q. 1 If A = {4, 8} and B = {p, q, r}, then A × B is equal to
(1) {(4, p), (8, q), (4, q)} (2) {(4, p), (4, r), (8, p), (8, r)}
(3) {(4p, 8q), (4r, 8q)} (4) {(4, p), (4, q), (4, r), (8, p), (8, q), (8, r)}
Q. 2 If A = {2, 3, 7, 9} and n(A × B) = 12, then the number of elements in set B is
(1) 4 (2) 3 (3) 2 (4) 8
Q. 3 If A = {5, 7, 8} and B = {9, 11}, then
(1) (9, 5) A × B (2) (7, 8) A × B (3) (5, 11) A × B (4) (9, 11) A × B
Q. 4 If A and B are any two sets, then
(1) A × B = B × A (2) A × B B × A (3) B × A A × B (4) n(A × B) = n(B × A)
Q. 5
Q. 6
Q. 7
Q. 8
Q. 9
Q. 10
Q. 11 If A = {x1, y1, z1} and B = {x2, y2}, then the number of relations from A to B is
(1) 8 (2) 16 (3) 32 (4) 64
Q. 12 Let X be any non-empty set containing n elements, then the number of relations on X is
XI RELATIONS AND FUNCTIONS (M)
STHITPRAGYA SCIENCE CLASSES, GANDHIDHAM
ADVANCED MATHEMATICS FOR JEE | BITSAT | GUJCET | OLYMPIADS | IX, X, XI, XII, XII +
MISHAL CHAUHAN (M.Tech, IIT Delhi)
Address 1: Near Gayatri Mandir, Opp. PGVCL Office, Shaktinagar Address 2: Sec-5, G.H.B, Gandhidham
Contact: 9879639888 Email:sthitpragyaclasses@gmail.com
Q. 13
Q. 14
Q. 15
Q. 16 Let R be the relation defined on the set W of whole numbers by the rule xRy iff 4x + 5y = 20,
then domain of R is
(1) {4, 5} (2) {0, 5} (3) {0, 4} (4) {0, 2}
Q. 17 Let R be a relation defined on set A = {1, 2, 3, 4, 5, 6, 7, 8} such that R = {(2, 3) (4, 5) (7, 8)}.
If the domain of R is set B and range is set C, then B C is
(1)   (2) {2, 4, 7} (3) {3, 5, 8} (4) {3}
Q. 18
Q. 19
Q. 20
Q.21
XI RELATIONS AND FUNCTIONS (M)
STHITPRAGYA SCIENCE CLASSES, GANDHIDHAM
ADVANCED MATHEMATICS FOR JEE | BITSAT | GUJCET | OLYMPIADS | IX, X, XI, XII, XII +
MISHAL CHAUHAN (M.Tech, IIT Delhi)
Address 1: Near Gayatri Mandir, Opp. PGVCL Office, Shaktinagar Address 2: Sec-5, G.H.B, Gandhidham
Contact: 9879639888 Email:sthitpragyaclasses@gmail.com
Q. 22
Q. 23 Let n(A) = m and n(B) = n. The total number of non-empty relations that can be defined from A
to B is
Q. 24 If f(x) = ax + b, where a and b are integers, f(–1) = –5 and f(3) = 3, then a and b are respectively
(1) a = –3, –b = –1 (2) a = 2, b = 3 (3) a = 2, b = –3 (4) a = 0, b = 2
Q. 25
Q. 27
Q. 28
Q.29 Let A and B are two sets such that A × B consists of 6 elements. If three elements of A × B = (1,
2), (2, 3), (4, 3) then the remaining order pairs of A × B are
(1) (1, 3), (2, 2), (4, 2) (2) (3, 1), (2, 2), (4, 2)
(3) (3, 1), (2, 4), (2, 2) (4) (1, 3), (2, 2), (2, 4)
Q. 30
Q. 31
XI RELATIONS AND FUNCTIONS (M)
STHITPRAGYA SCIENCE CLASSES, GANDHIDHAM
ADVANCED MATHEMATICS FOR JEE | BITSAT | GUJCET | OLYMPIADS | IX, X, XI, XII, XII +
MISHAL CHAUHAN (M.Tech, IIT Delhi)
Address 1: Near Gayatri Mandir, Opp. PGVCL Office, Shaktinagar Address 2: Sec-5, G.H.B, Gandhidham
Contact: 9879639888 Email:sthitpragyaclasses@gmail.com
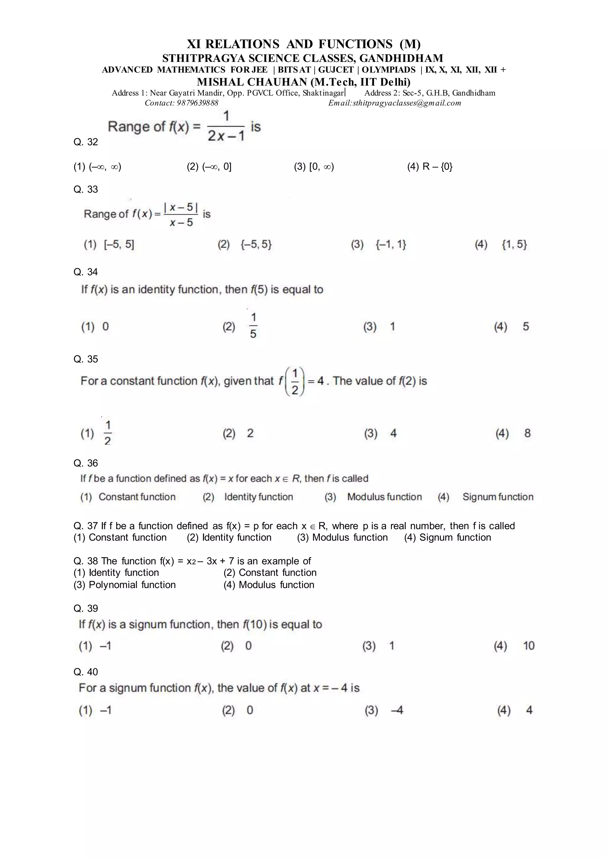
Q. 32
(1) (–, ) (2) (–, 0] (3) [0, ) (4) R – {0}
Q. 33
Q. 34
Q. 35
Q. 36
Q. 37 If f be a function defined as f(x) = p for each x R, where p is a real number, then f is called
(1) Constant function (2) Identity function (3) Modulus function (4) Signum function
Q. 38 The function f(x) = x2 – 3x + 7 is an example of
(1) Identity function (2) Constant function
(3) Polynomial function (4) Modulus function
Q. 39
Q. 40
XI RELATIONS AND FUNCTIONS (M)
STHITPRAGYA SCIENCE CLASSES, GANDHIDHAM
ADVANCED MATHEMATICS FOR JEE | BITSAT | GUJCET | OLYMPIADS | IX, X, XI, XII, XII +
MISHAL CHAUHAN (M.Tech, IIT Delhi)
Address 1: Near Gayatri Mandir, Opp. PGVCL Office, Shaktinagar Address 2: Sec-5, G.H.B, Gandhidham
Contact: 9879639888 Email:sthitpragyaclasses@gmail.com
Q. 41
Q. 42
Q. 43
Q. 44
Q. 45
Q. 46
Q. 47
Q. 48 If domain of y = f(x) is [–4, 3], then domain of g(x) = f(|[x]|) is, where [.] denotes greatest integer
function
(1) (–3, 4) (2) [–3, 4) (3) [–5, 3] (4) [–4, 3]
XI RELATIONS AND FUNCTIONS (M)
STHITPRAGYA SCIENCE CLASSES, GANDHIDHAM
ADVANCED MATHEMATICS FOR JEE | BITSAT | GUJCET | OLYMPIADS | IX, X, XI, XII, XII +
MISHAL CHAUHAN (M.Tech, IIT Delhi)
Address 1: Near Gayatri Mandir, Opp. PGVCL Office, Shaktinagar Address 2: Sec-5, G.H.B, Gandhidham
Contact: 9879639888 Email:sthitpragyaclasses@gmail.com
Q.49
Q. 50
(1) R (2) [5, ) (3) [4, ) (4) [0, )
Q. 51
Q. 52
Q. 53
Q.54
Q. 55
Q. 56
Q. 57
(1) 51 (2) 52 (3) 53 (4) 54
XI RELATIONS AND FUNCTIONS (M)
STHITPRAGYA SCIENCE CLASSES, GANDHIDHAM
ADVANCED MATHEMATICS FOR JEE | BITSAT | GUJCET | OLYMPIADS | IX, X, XI, XII, XII +
MISHAL CHAUHAN (M.Tech, IIT Delhi)
Address 1: Near Gayatri Mandir, Opp. PGVCL Office, Shaktinagar Address 2: Sec-5, G.H.B, Gandhidham
Contact: 9879639888 Email:sthitpragyaclasses@gmail.com
Q. 58

CLASS XI RELATION & FUNCTION M WORKSHEET

  • 1.
    XI RELATIONS ANDFUNCTIONS (M) STHITPRAGYA SCIENCE CLASSES, GANDHIDHAM ADVANCED MATHEMATICS FOR JEE | BITSAT | GUJCET | OLYMPIADS | IX, X, XI, XII, XII + MISHAL CHAUHAN (M.Tech, IIT Delhi) Address 1: Near Gayatri Mandir, Opp. PGVCL Office, Shaktinagar Address 2: Sec-5, G.H.B, Gandhidham Contact: 9879639888 Email:sthitpragyaclasses@gmail.com Q. 1 If A = {4, 8} and B = {p, q, r}, then A × B is equal to (1) {(4, p), (8, q), (4, q)} (2) {(4, p), (4, r), (8, p), (8, r)} (3) {(4p, 8q), (4r, 8q)} (4) {(4, p), (4, q), (4, r), (8, p), (8, q), (8, r)} Q. 2 If A = {2, 3, 7, 9} and n(A × B) = 12, then the number of elements in set B is (1) 4 (2) 3 (3) 2 (4) 8 Q. 3 If A = {5, 7, 8} and B = {9, 11}, then (1) (9, 5) A × B (2) (7, 8) A × B (3) (5, 11) A × B (4) (9, 11) A × B Q. 4 If A and B are any two sets, then (1) A × B = B × A (2) A × B B × A (3) B × A A × B (4) n(A × B) = n(B × A) Q. 5 Q. 6 Q. 7 Q. 8 Q. 9 Q. 10 Q. 11 If A = {x1, y1, z1} and B = {x2, y2}, then the number of relations from A to B is (1) 8 (2) 16 (3) 32 (4) 64 Q. 12 Let X be any non-empty set containing n elements, then the number of relations on X is
  • 2.
    XI RELATIONS ANDFUNCTIONS (M) STHITPRAGYA SCIENCE CLASSES, GANDHIDHAM ADVANCED MATHEMATICS FOR JEE | BITSAT | GUJCET | OLYMPIADS | IX, X, XI, XII, XII + MISHAL CHAUHAN (M.Tech, IIT Delhi) Address 1: Near Gayatri Mandir, Opp. PGVCL Office, Shaktinagar Address 2: Sec-5, G.H.B, Gandhidham Contact: 9879639888 Email:sthitpragyaclasses@gmail.com Q. 13 Q. 14 Q. 15 Q. 16 Let R be the relation defined on the set W of whole numbers by the rule xRy iff 4x + 5y = 20, then domain of R is (1) {4, 5} (2) {0, 5} (3) {0, 4} (4) {0, 2} Q. 17 Let R be a relation defined on set A = {1, 2, 3, 4, 5, 6, 7, 8} such that R = {(2, 3) (4, 5) (7, 8)}. If the domain of R is set B and range is set C, then B C is (1)   (2) {2, 4, 7} (3) {3, 5, 8} (4) {3} Q. 18 Q. 19 Q. 20 Q.21
  • 3.
    XI RELATIONS ANDFUNCTIONS (M) STHITPRAGYA SCIENCE CLASSES, GANDHIDHAM ADVANCED MATHEMATICS FOR JEE | BITSAT | GUJCET | OLYMPIADS | IX, X, XI, XII, XII + MISHAL CHAUHAN (M.Tech, IIT Delhi) Address 1: Near Gayatri Mandir, Opp. PGVCL Office, Shaktinagar Address 2: Sec-5, G.H.B, Gandhidham Contact: 9879639888 Email:sthitpragyaclasses@gmail.com Q. 22 Q. 23 Let n(A) = m and n(B) = n. The total number of non-empty relations that can be defined from A to B is Q. 24 If f(x) = ax + b, where a and b are integers, f(–1) = –5 and f(3) = 3, then a and b are respectively (1) a = –3, –b = –1 (2) a = 2, b = 3 (3) a = 2, b = –3 (4) a = 0, b = 2 Q. 25 Q. 27 Q. 28 Q.29 Let A and B are two sets such that A × B consists of 6 elements. If three elements of A × B = (1, 2), (2, 3), (4, 3) then the remaining order pairs of A × B are (1) (1, 3), (2, 2), (4, 2) (2) (3, 1), (2, 2), (4, 2) (3) (3, 1), (2, 4), (2, 2) (4) (1, 3), (2, 2), (2, 4) Q. 30 Q. 31
  • 4.
    XI RELATIONS ANDFUNCTIONS (M) STHITPRAGYA SCIENCE CLASSES, GANDHIDHAM ADVANCED MATHEMATICS FOR JEE | BITSAT | GUJCET | OLYMPIADS | IX, X, XI, XII, XII + MISHAL CHAUHAN (M.Tech, IIT Delhi) Address 1: Near Gayatri Mandir, Opp. PGVCL Office, Shaktinagar Address 2: Sec-5, G.H.B, Gandhidham Contact: 9879639888 Email:sthitpragyaclasses@gmail.com Q. 32 (1) (–, ) (2) (–, 0] (3) [0, ) (4) R – {0} Q. 33 Q. 34 Q. 35 Q. 36 Q. 37 If f be a function defined as f(x) = p for each x R, where p is a real number, then f is called (1) Constant function (2) Identity function (3) Modulus function (4) Signum function Q. 38 The function f(x) = x2 – 3x + 7 is an example of (1) Identity function (2) Constant function (3) Polynomial function (4) Modulus function Q. 39 Q. 40
  • 5.
    XI RELATIONS ANDFUNCTIONS (M) STHITPRAGYA SCIENCE CLASSES, GANDHIDHAM ADVANCED MATHEMATICS FOR JEE | BITSAT | GUJCET | OLYMPIADS | IX, X, XI, XII, XII + MISHAL CHAUHAN (M.Tech, IIT Delhi) Address 1: Near Gayatri Mandir, Opp. PGVCL Office, Shaktinagar Address 2: Sec-5, G.H.B, Gandhidham Contact: 9879639888 Email:sthitpragyaclasses@gmail.com Q. 41 Q. 42 Q. 43 Q. 44 Q. 45 Q. 46 Q. 47 Q. 48 If domain of y = f(x) is [–4, 3], then domain of g(x) = f(|[x]|) is, where [.] denotes greatest integer function (1) (–3, 4) (2) [–3, 4) (3) [–5, 3] (4) [–4, 3]
  • 6.
    XI RELATIONS ANDFUNCTIONS (M) STHITPRAGYA SCIENCE CLASSES, GANDHIDHAM ADVANCED MATHEMATICS FOR JEE | BITSAT | GUJCET | OLYMPIADS | IX, X, XI, XII, XII + MISHAL CHAUHAN (M.Tech, IIT Delhi) Address 1: Near Gayatri Mandir, Opp. PGVCL Office, Shaktinagar Address 2: Sec-5, G.H.B, Gandhidham Contact: 9879639888 Email:sthitpragyaclasses@gmail.com Q.49 Q. 50 (1) R (2) [5, ) (3) [4, ) (4) [0, ) Q. 51 Q. 52 Q. 53 Q.54 Q. 55 Q. 56 Q. 57 (1) 51 (2) 52 (3) 53 (4) 54
  • 7.
    XI RELATIONS ANDFUNCTIONS (M) STHITPRAGYA SCIENCE CLASSES, GANDHIDHAM ADVANCED MATHEMATICS FOR JEE | BITSAT | GUJCET | OLYMPIADS | IX, X, XI, XII, XII + MISHAL CHAUHAN (M.Tech, IIT Delhi) Address 1: Near Gayatri Mandir, Opp. PGVCL Office, Shaktinagar Address 2: Sec-5, G.H.B, Gandhidham Contact: 9879639888 Email:sthitpragyaclasses@gmail.com Q. 58