Download free for 30 days
Sign in
Upload
Language (EN)
Support
Business
Mobile
Social Media
Marketing
Technology
Art & Photos
Career
Design
Education
Presentations & Public Speaking
Government & Nonprofit
Healthcare
Internet
Law
Leadership & Management
Automotive
Engineering
Software
Recruiting & HR
Retail
Sales
Services
Science
Small Business & Entrepreneurship
Food
Environment
Economy & Finance
Data & Analytics
Investor Relations
Sports
Spiritual
News & Politics
Travel
Self Improvement
Real Estate
Entertainment & Humor
Health & Medicine
Devices & Hardware
Lifestyle
Change Language
Language
English
Español
Português
Français
Deutsche
Cancel
Save
Submit search
EN
Uploaded by
A Jorge Garcia
563 views
Calculus 205 Continuity and Differentiability
Education
◦
Read more
1
Save
Share
Embed
Embed presentation
Download
Download to read offline
1
/ 8
2
/ 8
3
/ 8
4
/ 8
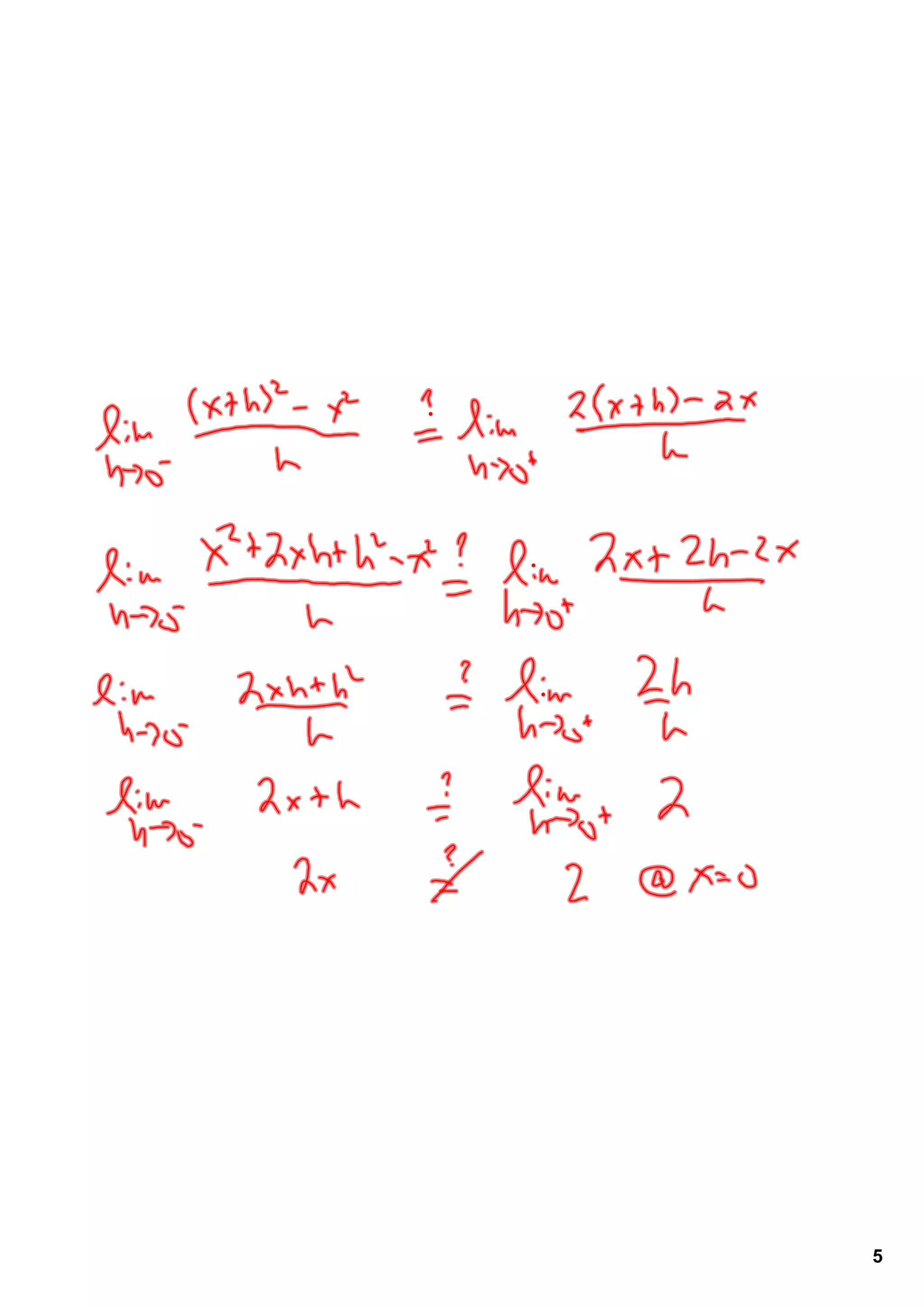
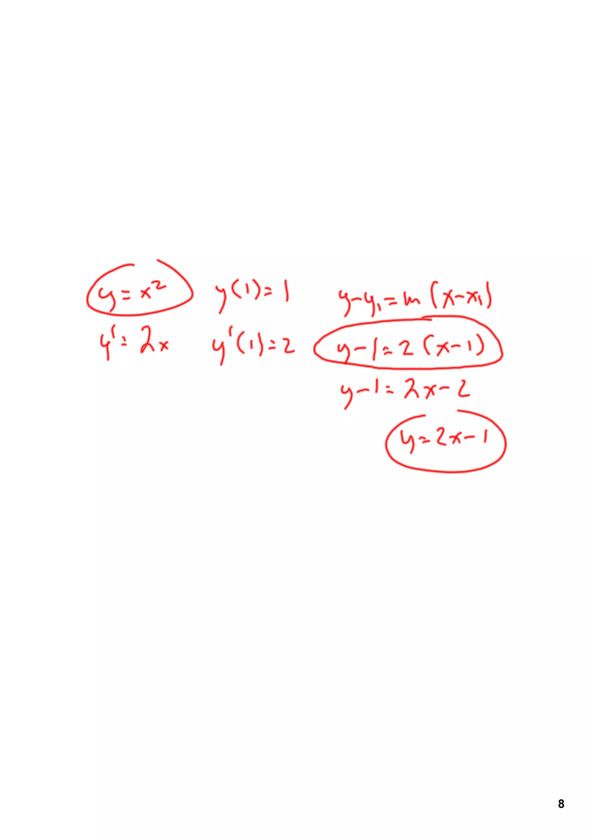
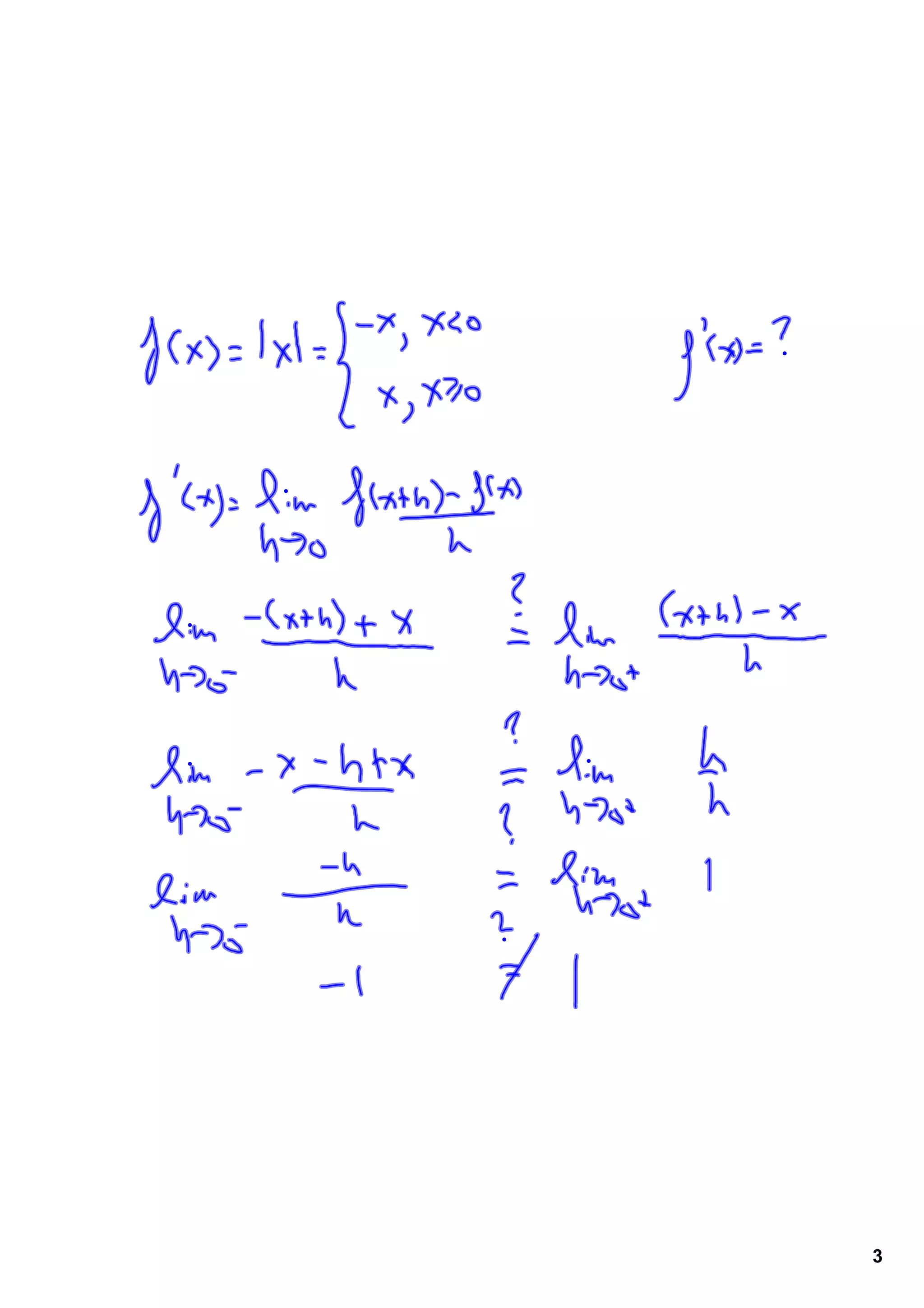
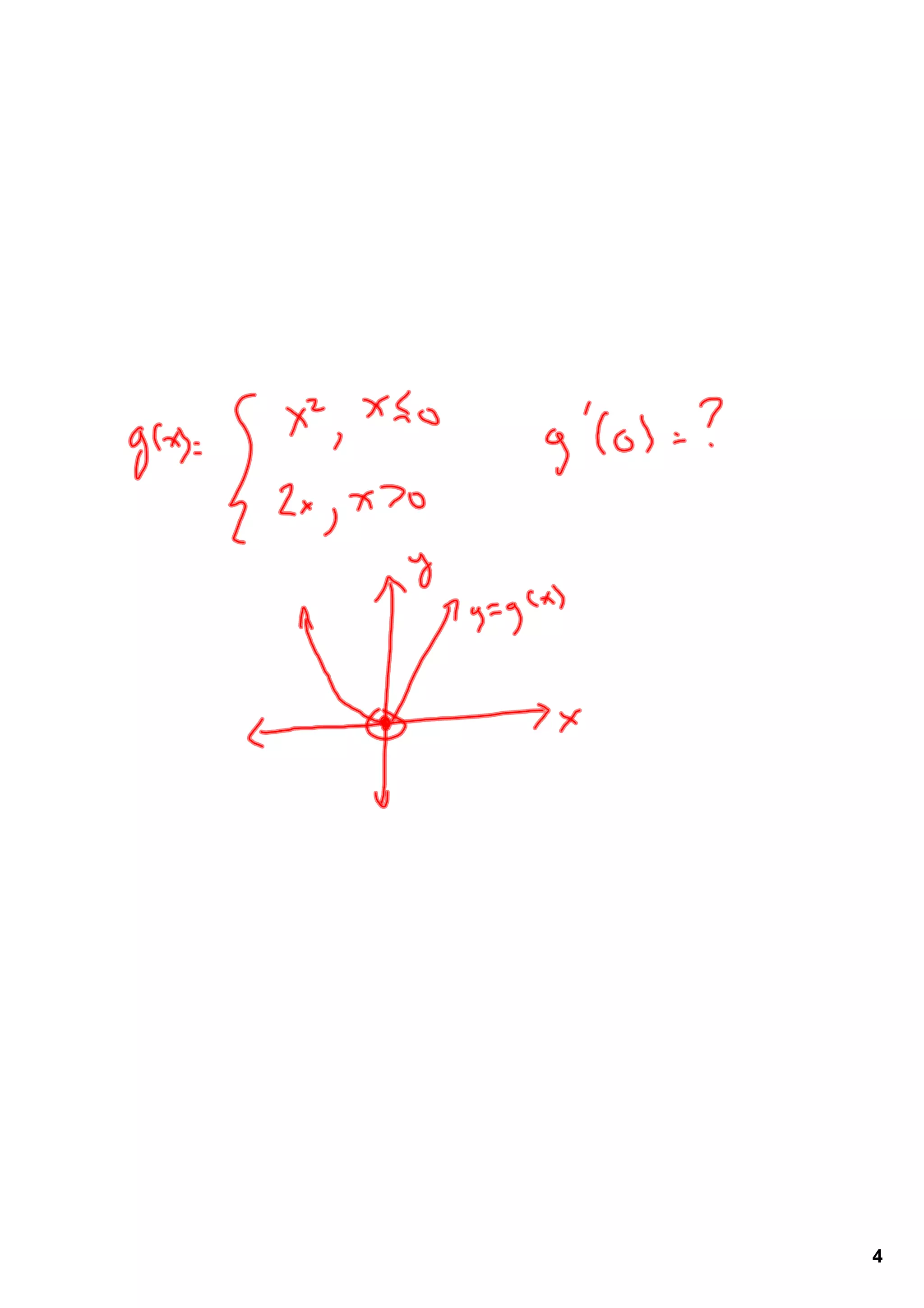
5
/ 8
6
/ 8
7
/ 8
8
/ 8
More Related Content
PPTX
Continuity and differentiability
by
Seyid Kadher
PPT
Continuity and Discontinuity of Functions
by
Phil Saraspe
PPTX
Continuity equation1
by
Wajid Siyal
PPT
11X1 T08 08 implicit differentiation
by
Nigel Simmons
PPTX
Limits
by
superflyychikka
PDF
Limits and Continuity - Intuitive Approach part 1
by
FellowBuddy.com
PDF
limits and continuity
by
Elias Dinsa
PPT
Application of derivative
by
Amiraj College Of Engineering And Technology
Continuity and differentiability
by
Seyid Kadher
Continuity and Discontinuity of Functions
by
Phil Saraspe
Continuity equation1
by
Wajid Siyal
11X1 T08 08 implicit differentiation
by
Nigel Simmons
Limits
by
superflyychikka
Limits and Continuity - Intuitive Approach part 1
by
FellowBuddy.com
limits and continuity
by
Elias Dinsa
Application of derivative
by
Amiraj College Of Engineering And Technology
Viewers also liked
DOCX
Application of derivatives
by
indu thakur
PPTX
Application Of Derivative In Real Life.
by
Afnanul Hassan
PPTX
Project application of derivatives ppt.docx
by
TaraRocheleDaugherty
PPTX
Practical applications of limits
by
michael ocampo
PPTX
Limits and their applications
by
Haroun Elmir
PPT
Limits And Derivative
by
Ashams kurian
PPT
Calculus Ppt
by
guest5d26f0c
PPTX
Limits and continuity powerpoint
by
canalculus
PPT
The Application of Derivatives
by
divaprincess09
PPTX
Application of calculus in everyday life
by
Mohamed Ibrahim
PPTX
Applications of Derivatives
by
Iram Khan
PPTX
Calculus in real life
by
Samiul Ehsan
Application of derivatives
by
indu thakur
Application Of Derivative In Real Life.
by
Afnanul Hassan
Project application of derivatives ppt.docx
by
TaraRocheleDaugherty
Practical applications of limits
by
michael ocampo
Limits and their applications
by
Haroun Elmir
Limits And Derivative
by
Ashams kurian
Calculus Ppt
by
guest5d26f0c
Limits and continuity powerpoint
by
canalculus
The Application of Derivatives
by
divaprincess09
Application of calculus in everyday life
by
Mohamed Ibrahim
Applications of Derivatives
by
Iram Khan
Calculus in real life
by
Samiul Ehsan
More from A Jorge Garcia
PDF
LIMACON 2023 Brochure
by
A Jorge Garcia
PDF
2022-RESUME-NEW
by
A Jorge Garcia
PDF
MAT122 DAY508 MEETING 44 of 45 2021.1217 FRIDAY
by
A Jorge Garcia
PDF
MAT122 DAY507 MEETING 43 of 45 2021.1216 THURSDAY
by
A Jorge Garcia
PDF
MAT122 DAY506 MEETING 42 of 45 2021.1215 WEDNESDAY
by
A Jorge Garcia
PDF
MAT122 DAY308 Lesson 26 of 45
by
A Jorge Garcia
PDF
MAT122 DAY307 Lesson 25 of 45
by
A Jorge Garcia
PDF
MAT122 DAY306 Lesson 24 of 45
by
A Jorge Garcia
PDF
MAT122 DAY305 Lesson 23 of 45
by
A Jorge Garcia
PDF
MAT122 DAY304 Lesson 22 of 45
by
A Jorge Garcia
PDF
MAT122 DAY303 Lesson 21 of 45
by
A Jorge Garcia
PDF
MAT122 DAY302 Lesson 20 of 45
by
A Jorge Garcia
PDF
MAT122 DAY301 Lesson 19 of 45
by
A Jorge Garcia
PDF
MAT122 DAY205
by
A Jorge Garcia
PDF
MAT122 DAY204
by
A Jorge Garcia
PDF
MAT122 DAY203
by
A Jorge Garcia
PDF
MAT122 DAY202
by
A Jorge Garcia
PDF
MAT122 DAY201
by
A Jorge Garcia
PDF
MAT122 DAY06
by
A Jorge Garcia
PDF
MAT122 DAY05
by
A Jorge Garcia
LIMACON 2023 Brochure
by
A Jorge Garcia
2022-RESUME-NEW
by
A Jorge Garcia
MAT122 DAY508 MEETING 44 of 45 2021.1217 FRIDAY
by
A Jorge Garcia
MAT122 DAY507 MEETING 43 of 45 2021.1216 THURSDAY
by
A Jorge Garcia
MAT122 DAY506 MEETING 42 of 45 2021.1215 WEDNESDAY
by
A Jorge Garcia
MAT122 DAY308 Lesson 26 of 45
by
A Jorge Garcia
MAT122 DAY307 Lesson 25 of 45
by
A Jorge Garcia
MAT122 DAY306 Lesson 24 of 45
by
A Jorge Garcia
MAT122 DAY305 Lesson 23 of 45
by
A Jorge Garcia
MAT122 DAY304 Lesson 22 of 45
by
A Jorge Garcia
MAT122 DAY303 Lesson 21 of 45
by
A Jorge Garcia
MAT122 DAY302 Lesson 20 of 45
by
A Jorge Garcia
MAT122 DAY301 Lesson 19 of 45
by
A Jorge Garcia
MAT122 DAY205
by
A Jorge Garcia
MAT122 DAY204
by
A Jorge Garcia
MAT122 DAY203
by
A Jorge Garcia
MAT122 DAY202
by
A Jorge Garcia
MAT122 DAY201
by
A Jorge Garcia
MAT122 DAY06
by
A Jorge Garcia
MAT122 DAY05
by
A Jorge Garcia
Recently uploaded
PDF
M.Sc. Nonchordates Complete Syllabus PPT | All Important Topics Covered
by
KNIPSS SULTANPUR
PPTX
How to Manage Package Reservation in Odoo 18 Inventory
by
Celine George
PPTX
Steve Hale - Developing Elite Young Goalkeepers 2024.pptx
by
pjmfd
PPTX
Partial Correlation of Coefficient - Values of r₁₂.₃, r₂₃.₁ & r₁₃.₂
by
Sundar B N
PDF
Micro Economics for class 12 and class 11
by
surajbajaj4116
PDF
Types of eggs and Egg membranes (Developmental Zoology)
by
SudhandraKarthi
PDF
The Tale of Melon City poem ppt by Sahasra
by
bitrasahasra
PPTX
How to Create Lead_Opportunity From Odoo 18 Website
by
Celine George
PPTX
10-12-2025 Francois Staring How can Researchers and Initial Teacher Educators...
by
EduSkills OECD
PPTX
AN EXTREMELY BORING GENERAL QUIZ FOR UG.pptx
by
SriramG47
PPTX
4 G8_Q3_L4 (Evaluating opinion editorials for textual evidence and quality).pptx
by
NorafeSahagun
PDF
Biology Practical Class 12th 2025 PDF(2)-2-52.pdf
by
SCPRPWomenCollegeChi
PDF
International Men's Day Event: Breaking the Silence: Embracing Vulnerability ...
by
Association for Project Management
PDF
Risk management in Moroccan public hospitals_ a literature review
by
Man_Ebook
PPTX
How to Track a Link Using Odoo 18 SMS Marketing
by
Celine George
PPTX
Pig- piggy bank in Big Data Analytics.ppt.pptx
by
Varshini M
PPTX
Access partner report in Odoo 18.2 _ Odoo 19
by
Celine George
PDF
Cultivating Greatness Pune's Best Preschools and Schools.pdf
by
Wellington College
PPTX
Nursing Unit Management, patient care unit, physical layout of nursing unit,t...
by
yellow4878
PPTX
Planning Assessment for Outcome-based Education
by
Adri Jovin
M.Sc. Nonchordates Complete Syllabus PPT | All Important Topics Covered
by
KNIPSS SULTANPUR
How to Manage Package Reservation in Odoo 18 Inventory
by
Celine George
Steve Hale - Developing Elite Young Goalkeepers 2024.pptx
by
pjmfd
Partial Correlation of Coefficient - Values of r₁₂.₃, r₂₃.₁ & r₁₃.₂
by
Sundar B N
Micro Economics for class 12 and class 11
by
surajbajaj4116
Types of eggs and Egg membranes (Developmental Zoology)
by
SudhandraKarthi
The Tale of Melon City poem ppt by Sahasra
by
bitrasahasra
How to Create Lead_Opportunity From Odoo 18 Website
by
Celine George
10-12-2025 Francois Staring How can Researchers and Initial Teacher Educators...
by
EduSkills OECD
AN EXTREMELY BORING GENERAL QUIZ FOR UG.pptx
by
SriramG47
4 G8_Q3_L4 (Evaluating opinion editorials for textual evidence and quality).pptx
by
NorafeSahagun
Biology Practical Class 12th 2025 PDF(2)-2-52.pdf
by
SCPRPWomenCollegeChi
International Men's Day Event: Breaking the Silence: Embracing Vulnerability ...
by
Association for Project Management
Risk management in Moroccan public hospitals_ a literature review
by
Man_Ebook
How to Track a Link Using Odoo 18 SMS Marketing
by
Celine George
Pig- piggy bank in Big Data Analytics.ppt.pptx
by
Varshini M
Access partner report in Odoo 18.2 _ Odoo 19
by
Celine George
Cultivating Greatness Pune's Best Preschools and Schools.pdf
by
Wellington College
Nursing Unit Management, patient care unit, physical layout of nursing unit,t...
by
yellow4878
Planning Assessment for Outcome-based Education
by
Adri Jovin
Calculus 205 Continuity and Differentiability
1.
1
2.
2
3.
3
4.
4
5.
5
6.
6
7.
7
8.
8
Download