Download free for 30 days
Sign in
Upload
Language (EN)
Support
Business
Mobile
Social Media
Marketing
Technology
Art & Photos
Career
Design
Education
Presentations & Public Speaking
Government & Nonprofit
Healthcare
Internet
Law
Leadership & Management
Automotive
Engineering
Software
Recruiting & HR
Retail
Sales
Services
Science
Small Business & Entrepreneurship
Food
Environment
Economy & Finance
Data & Analytics
Investor Relations
Sports
Spiritual
News & Politics
Travel
Self Improvement
Real Estate
Entertainment & Humor
Health & Medicine
Devices & Hardware
Lifestyle
Change Language
Language
English
Español
Português
Français
Deutsche
Cancel
Save
EN
Uploaded by
niaagustinapolman
139 views
Bilangan kompleks
mtk bab 5
Education
◦
Read more
0
Save
Share
Embed
Embed presentation
Download
Download to read offline
1
/ 1
More Related Content
PDF
Im elemento de maquinas 2
by
jcu41
PDF
USING EXCEL 2010 CERTIFICATE
by
Ramez Boraie
PDF
Training All Slides Presentation Jun
by
ROBERTO BATAHOY GAMALE JR
PDF
evaluation unit 40
by
wwfc_Mitch98
PDF
TRANFORMASI LAPLACE
by
niaagustinapolman
PDF
Img 20161226 0001
by
fahmihid
PDF
Jpg2pdf
by
fahmihid
PDF
Mtk yossi bab 2
by
Zinoa
Im elemento de maquinas 2
by
jcu41
USING EXCEL 2010 CERTIFICATE
by
Ramez Boraie
Training All Slides Presentation Jun
by
ROBERTO BATAHOY GAMALE JR
evaluation unit 40
by
wwfc_Mitch98
TRANFORMASI LAPLACE
by
niaagustinapolman
Img 20161226 0001
by
fahmihid
Jpg2pdf
by
fahmihid
Mtk yossi bab 2
by
Zinoa
What's hot
PDF
Bilangan Kompleks
by
niaagustinapolman
PDF
Advanced Graphics, Geometry processing, & AR/VR technologies: Course Topics
by
Subhajit Sahu
PDF
Jpg2pdf(1)
by
fahmihid
PDF
Research in Information security: Course Topics
by
Subhajit Sahu
PDF
Abadgostaran Brushore.PDF
by
EcoSeeds Abad Gostaran Mehr Khuzestan
PDF
حکم مدیر امور قراردادهای شرکت مرام 88.09.09
by
Hamed Dadgostarnia
PDF
MTK BAB 2 PERSAMAAN DAN PERTIDAKSAMAAN KUADRAT
by
dela1311
PDF
Murali Emp cert3
by
Murali Krishna
PDF
Jpg2pdf
by
fahmihid
PDF
Img 20151029 0001
by
Nombre Apellidos
DOCX
Pratibaddata patra
by
Ress Bhattarai
PDF
persamaan diferensial
by
niaagustinapolman
PDF
Ihsc1an
by
Priya Madeshiya
PDF
Last section control
by
cairo university
PDF
Mtk faiz bab 1
by
Zinoa
PDF
Img 0001
by
restupolman
PDF
Img 0002
by
niaagustinapolman
PDF
Examen2
by
Orianny Liz
PDF
c
by
Ashu Mittal
PDF
Workshop Peningkatan Kemampuan Dosen Membuat Modul
by
StephanieLexyLouis1
Bilangan Kompleks
by
niaagustinapolman
Advanced Graphics, Geometry processing, & AR/VR technologies: Course Topics
by
Subhajit Sahu
Jpg2pdf(1)
by
fahmihid
Research in Information security: Course Topics
by
Subhajit Sahu
Abadgostaran Brushore.PDF
by
EcoSeeds Abad Gostaran Mehr Khuzestan
حکم مدیر امور قراردادهای شرکت مرام 88.09.09
by
Hamed Dadgostarnia
MTK BAB 2 PERSAMAAN DAN PERTIDAKSAMAAN KUADRAT
by
dela1311
Murali Emp cert3
by
Murali Krishna
Jpg2pdf
by
fahmihid
Img 20151029 0001
by
Nombre Apellidos
Pratibaddata patra
by
Ress Bhattarai
persamaan diferensial
by
niaagustinapolman
Ihsc1an
by
Priya Madeshiya
Last section control
by
cairo university
Mtk faiz bab 1
by
Zinoa
Img 0001
by
restupolman
Img 0002
by
niaagustinapolman
Examen2
by
Orianny Liz
c
by
Ashu Mittal
Workshop Peningkatan Kemampuan Dosen Membuat Modul
by
StephanieLexyLouis1
Viewers also liked
PPTX
Dekoder
by
PathurOzie Wafferz
PPT
Aritmatika biner
by
Perosotan Ayunan
PPSX
Better Ideas Product Photos
by
Better Ideas, Inc.
PPTX
Operasi aritmatika
by
Mohamad Dani
DOC
Sistem bilangan dan aritmatika
by
Dicky Alejandro
PPTX
Perkalian matrik elementer
by
Tulus Setyawan
PPT
Bab 2 sistem-bilangan
by
rangga rahadian
PPTX
KONVERSI BILANGAN BINER, OCTAL, DECIMAL, AND HEKSADECIMAL
by
University OxFord
PPT
Sistem bilangan
by
Rangga Ananto
PDF
2. Sistem Bilangan
by
Haddad Sammir
PPTX
Aritmatika penjumlahan dan pengurangan bilangan biner presentasi
by
taki92
PPTX
Prosesor kELOMPOK 2
by
Ferry Skada
PDF
1sistem bilangan-dhbo
by
Cak Anang Anang
PDF
Operasi Aritmatika
by
Gita Silviani
PPT
Pt 2 matriks1-rev
by
lecturer
PPTX
Aritmatika Biner - Pertemuan 3
by
ahmad haidaroh
PPTX
Determinan Matriks dan Invers Matriks
by
Rizki Safari Rakhmat
PPT
Pertemuan 2 - Sistem Bilangan - Ahmad
by
ahmad haidaroh
PPTX
Pengantar dasar matematika (FUNGSI)
by
taufiq99
DOCX
Aplikasi matriks
by
Neneng Khairani
Dekoder
by
PathurOzie Wafferz
Aritmatika biner
by
Perosotan Ayunan
Better Ideas Product Photos
by
Better Ideas, Inc.
Operasi aritmatika
by
Mohamad Dani
Sistem bilangan dan aritmatika
by
Dicky Alejandro
Perkalian matrik elementer
by
Tulus Setyawan
Bab 2 sistem-bilangan
by
rangga rahadian
KONVERSI BILANGAN BINER, OCTAL, DECIMAL, AND HEKSADECIMAL
by
University OxFord
Sistem bilangan
by
Rangga Ananto
2. Sistem Bilangan
by
Haddad Sammir
Aritmatika penjumlahan dan pengurangan bilangan biner presentasi
by
taki92
Prosesor kELOMPOK 2
by
Ferry Skada
1sistem bilangan-dhbo
by
Cak Anang Anang
Operasi Aritmatika
by
Gita Silviani
Pt 2 matriks1-rev
by
lecturer
Aritmatika Biner - Pertemuan 3
by
ahmad haidaroh
Determinan Matriks dan Invers Matriks
by
Rizki Safari Rakhmat
Pertemuan 2 - Sistem Bilangan - Ahmad
by
ahmad haidaroh
Pengantar dasar matematika (FUNGSI)
by
taufiq99
Aplikasi matriks
by
Neneng Khairani
More from niaagustinapolman
PDF
TRANFORMASI LAPLACE
by
niaagustinapolman
PDF
TRANFORMASI LAPLACE
by
niaagustinapolman
PDF
TRANFORMASI LAPLACE
by
niaagustinapolman
PDF
TRANFORMASI LAPLACE
by
niaagustinapolman
PDF
aplikasi persamaan diferensial
by
niaagustinapolman
PDF
aplikasi persamaan diferensial
by
niaagustinapolman
PDF
aplikasi persamaan diferensial
by
niaagustinapolman
PDF
aplikasi persamaan diferensial
by
niaagustinapolman
PDF
persamaan diferensial
by
niaagustinapolman
PDF
persamaan diferensial
by
niaagustinapolman
PDF
persamaan diferensial
by
niaagustinapolman
PDF
persamaan diferensial
by
niaagustinapolman
PDF
persamaan diferesial
by
niaagustinapolman
PDF
persamaan diferensial
by
niaagustinapolman
PDF
persamaan diferensial
by
niaagustinapolman
PDF
persamaan diferensial
by
niaagustinapolman
PDF
Img
by
niaagustinapolman
PDF
Img 0002
by
niaagustinapolman
PDF
Img 0001
by
niaagustinapolman
PDF
Img 0001
by
niaagustinapolman
TRANFORMASI LAPLACE
by
niaagustinapolman
TRANFORMASI LAPLACE
by
niaagustinapolman
TRANFORMASI LAPLACE
by
niaagustinapolman
TRANFORMASI LAPLACE
by
niaagustinapolman
aplikasi persamaan diferensial
by
niaagustinapolman
aplikasi persamaan diferensial
by
niaagustinapolman
aplikasi persamaan diferensial
by
niaagustinapolman
aplikasi persamaan diferensial
by
niaagustinapolman
persamaan diferensial
by
niaagustinapolman
persamaan diferensial
by
niaagustinapolman
persamaan diferensial
by
niaagustinapolman
persamaan diferensial
by
niaagustinapolman
persamaan diferesial
by
niaagustinapolman
persamaan diferensial
by
niaagustinapolman
persamaan diferensial
by
niaagustinapolman
persamaan diferensial
by
niaagustinapolman
Img
by
niaagustinapolman
Img 0002
by
niaagustinapolman
Img 0001
by
niaagustinapolman
Img 0001
by
niaagustinapolman
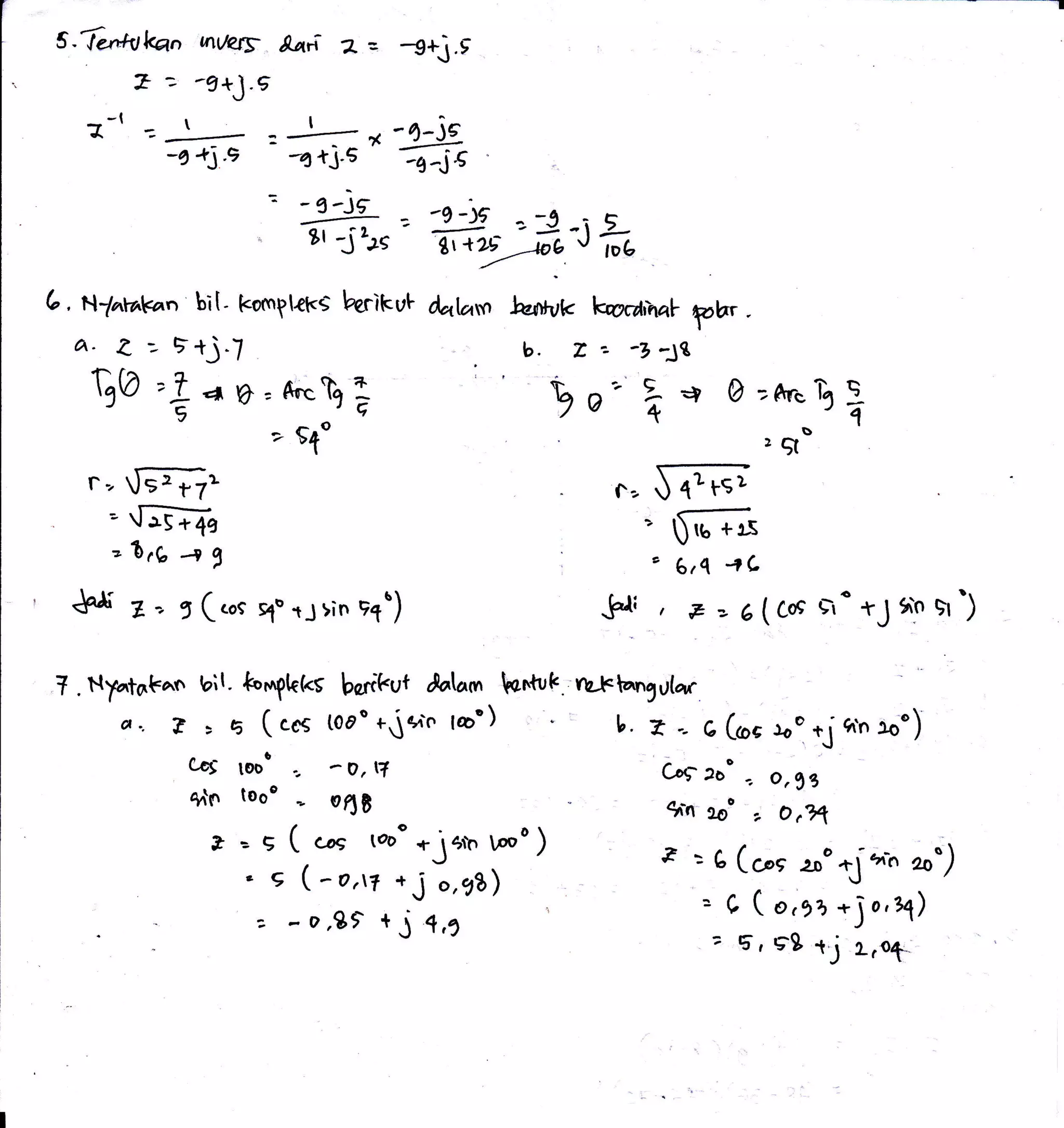
Bilangan kompleks
1.
S.fe*ttca" nr/erS: gvtn
Z e | = -g+J.g -7-l t t -0 +i.q -4 ri.s ' - 3-J€ . gr jrr, G , AlauVan bit- komglacs beritcuh !b ,L o 0, AocT9 i- 9 =sto r., {'!lrri_r N rS +49 =i& a g &li / z 9 (cos lo.tJ:in V1t) 7 . N7-tokr.n at-. r {+j.}- -q4s<--q-J$ -- -y_,-3-iL Sr +2b -Job v ro6 -at' d^t^u', fuil*lk @a;qq! wW . I b. /z -7:Jg ,i, t-- 7 e 0rA*B20 1-' v ,qo q 1 t-- w'[ms " 619, -tC t ft , 6lcoc el' *J rlo sr ") Jafl tait. hu?kks bcnkut datam kr.tu{. > q (.os toao t1+io lo') C,ct- tooc -- - o, V qn'o tooe - 068 t -- g ( .* tooo r i+rr' Ur"" ) c g, (-o,rt.j'.,gg) t -o,$l *J 1,g i . .' rAF ta,ng r,r(ar b. v -- G (ac r"l *j a'n d) Crt ro" . o,gg 9.'n 9oo , OrV E = 6 ( cns ,notoh ,o") : C (o,gt*j0,4) 2 5', 99 t.j ,-ro+-
Download