‫الطلبة‬ ‫أعداد‬::
1-‫محمد‬ ‫حسن‬ ‫أحمــد‬
2-‫هادي‬ ‫حسن‬ ‫حيدر‬
3-‫شفيق‬ ‫أيسر‬
4-‫أياد‬ ‫أحمد‬
5-‫قنبر‬ ‫علي‬ ‫هبة‬
6-‫جلوي‬ ‫نيلي‬ ‫رغد‬
‫بأشراف‬::‫د‬.‫ديوان‬ ‫علي‬ ‫عباس‬
Belts
The belts are used to transmit power from one shaft to
another by means of pulleys which rotate at the same
speed or at different speeds.
Introduction
1. The velocity of the belt.
2. The tension under which the belt is placed on the
pulleys.
3. The arc of contact between the belt and the smaller
pulley.
4. The conditions under which the belt is used.
The amount of power transmitted depends upon the
following factors:
Types of Belt Drives according to :
 shape
1. Light drives. These are used to transmit small
powers at belt speeds up to about 10 m/s
2. 2. Medium drives. These are used to transmit
medium power at belt speeds over 10 m/s but up to
22 m/s, as in machine tools.
3. Heavy drives. These are used to transmit large
powers at belt speeds above 22 m/s.
transmit powers
1. Open belt drive
Types of Flat Belt Drives
2. Crossed or twist belt drive.
3. Quarter turn belt drive
4. Belt drive with idler pulleys
5. Compound belt drive
It is the ratio between the velocities of the driver and
the follower or driven.
Velocity ratio,
N2
𝑁1
=
d1
d2
When the thickness of the belt (t) is considered, then
velocity ratio,
N2
𝑁1
=
d1+t
d2+t
Velocity Ratio of Belt Drive
that velocity ratio of pulleys 1 and 2
N2
𝑁1
=
d1
d2
Similarly, velocity ratio of pulleys 3 and 4
N4
𝑁3
=
d3
d4
Multiplying the above equations
N2
𝑁1
×
N4
𝑁3
=
d1
d2
×
d3
d4
Velocity Ratio of a Compound Belt
Drive
Length of an Open Belt Drive
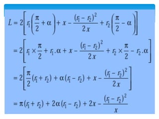
L = Arc GJE + EF + Arc FKH + HG = 2 (Arc JE + EF + Arc FK) ……….....(i)
 A V-belt is mostly used in factories and workshops where
a great amount of power is to be transmitted from one
pulley to another when the two pulleys are very near to
each other.
 The V-belts are made of fabric and cords moulded in
rubber and covered with fabric and rubber
 These belts are moulded to a trapezoidal shape and are
made endless.
 when the shafts are at a short distance apart.
 The included angle for the V-belt is usually from 30° – 40°.
V-Belt Drive
TIMING BELT OF AN AUTOMOBILES
 High power transmission capacity
 The functioning of the belt and the pulley is smooth
and quiet.
 The V-belt drive provides compactness due to the
small distance between the centers of the pulleys.
 Slip between the belt and the pulley is negligible.
 The axis can be horizontal, vertical or inclined.
 They can dampen vibration.
Advantages of V-belt drive
 The V-belt drive cannot be used for long distances
 They are not applicable to the synchronous machines
 The centrifugal tension prevents the use of belts at
speeds below 5 m/s and above 50 m/s.
 The construction of pulleys for v-belts is more
complicated than the flat belt.
Disadvantages of V-belt drive

Belt drive-1

  • 1.
    ‫الطلبة‬ ‫أعداد‬:: 1-‫محمد‬ ‫حسن‬‫أحمــد‬ 2-‫هادي‬ ‫حسن‬ ‫حيدر‬ 3-‫شفيق‬ ‫أيسر‬ 4-‫أياد‬ ‫أحمد‬ 5-‫قنبر‬ ‫علي‬ ‫هبة‬ 6-‫جلوي‬ ‫نيلي‬ ‫رغد‬ ‫بأشراف‬::‫د‬.‫ديوان‬ ‫علي‬ ‫عباس‬ Belts
  • 2.
    The belts areused to transmit power from one shaft to another by means of pulleys which rotate at the same speed or at different speeds. Introduction
  • 3.
    1. The velocityof the belt. 2. The tension under which the belt is placed on the pulleys. 3. The arc of contact between the belt and the smaller pulley. 4. The conditions under which the belt is used. The amount of power transmitted depends upon the following factors:
  • 4.
    Types of BeltDrives according to :  shape
  • 5.
    1. Light drives.These are used to transmit small powers at belt speeds up to about 10 m/s 2. 2. Medium drives. These are used to transmit medium power at belt speeds over 10 m/s but up to 22 m/s, as in machine tools. 3. Heavy drives. These are used to transmit large powers at belt speeds above 22 m/s. transmit powers
  • 6.
    1. Open beltdrive Types of Flat Belt Drives
  • 7.
    2. Crossed ortwist belt drive.
  • 8.
    3. Quarter turnbelt drive
  • 9.
    4. Belt drivewith idler pulleys
  • 10.
  • 11.
    It is theratio between the velocities of the driver and the follower or driven. Velocity ratio, N2 𝑁1 = d1 d2 When the thickness of the belt (t) is considered, then velocity ratio, N2 𝑁1 = d1+t d2+t Velocity Ratio of Belt Drive
  • 12.
    that velocity ratioof pulleys 1 and 2 N2 𝑁1 = d1 d2 Similarly, velocity ratio of pulleys 3 and 4 N4 𝑁3 = d3 d4 Multiplying the above equations N2 𝑁1 × N4 𝑁3 = d1 d2 × d3 d4 Velocity Ratio of a Compound Belt Drive
  • 13.
    Length of anOpen Belt Drive L = Arc GJE + EF + Arc FKH + HG = 2 (Arc JE + EF + Arc FK) ……….....(i)
  • 16.
     A V-beltis mostly used in factories and workshops where a great amount of power is to be transmitted from one pulley to another when the two pulleys are very near to each other.  The V-belts are made of fabric and cords moulded in rubber and covered with fabric and rubber  These belts are moulded to a trapezoidal shape and are made endless.  when the shafts are at a short distance apart.  The included angle for the V-belt is usually from 30° – 40°. V-Belt Drive
  • 19.
    TIMING BELT OFAN AUTOMOBILES
  • 20.
     High powertransmission capacity  The functioning of the belt and the pulley is smooth and quiet.  The V-belt drive provides compactness due to the small distance between the centers of the pulleys.  Slip between the belt and the pulley is negligible.  The axis can be horizontal, vertical or inclined.  They can dampen vibration. Advantages of V-belt drive
  • 21.
     The V-beltdrive cannot be used for long distances  They are not applicable to the synchronous machines  The centrifugal tension prevents the use of belts at speeds below 5 m/s and above 50 m/s.  The construction of pulleys for v-belts is more complicated than the flat belt. Disadvantages of V-belt drive