Dep. Matemáticas. 
Matemáticas II Mércores, 14 de maio de 2014 
Cálculo integral. Páx. 1 
◌ Exercicios teóricos: 
1. Define primitiva e integral indefinida dunha función. 
2. Dunha función derivable f ( x ) sabemos que pasa polo punto (0, 1) que a súa derivada é 
f ¢ ( x ) = x e2x . Calcula f ( x ) e a recta tanxente á gráfica de f ( x ) no punto correspondente a 
x = 0 
3. Define integral indefinida dunha función. 
4. Enuncia o teorema fundamental do cálculo integral. Sabendo que ( ) 2 (1 ) 
x 
a 
ò f t dt = x + x con f 
unha función continua en todos os puntos da recta real, calcula f (2) . 
5. Enuncia e interpreta xeometricamente o teorema do valor medio do cálculo integral. 
6. Enuncia a regra de Barrow. 
◌ Solucións: 
1. • A función F (x ) é unha primitiva de f ( x ) se F¢ (x ) = f (x ) . 
• Chámase integral indefinida de f ( x ) ao conxunto de todas as primitivas de f ( x ) , que se 
diferencian, entre elas, nun valor constante (xa que, a derivada dunha constante é nula). 
• Represéntase por ò f ( x ) dx = F ( x ) + C . 
• O símbolo ò chámase integral, mentres que f ( x ) dx recibe o nome de integrando, F ( x ) é 
unha primitiva de f ( x ) e C é a constante de integración. ⦿ 
2. • A recta tanxente á gráfica de f ( x ) no punto correspondente a x = 0, pasa polo punto (0, 1) e 
ten por pendente m = f ¢ (0) = 0 . Polo tanto, a súa ecuación é: y = 1 . ⦿ 
u x du dx 
dv e dx v e 
= Þ = ìïí 
• f ¢ ( x ) = x e2x ⟹ ( ) f x = ò x e2x dx + C . Método por partes: 2 1 2 
x x 
2 
= Þ = ïî 
f x = x e x dx = x e x - e x dx = x e x - e x + C = e æç x - ö÷ + C 
⤷ ( ) 
2 
x 
2 1 2 1 2 1 2 1 2 1 
ò ò 
2 2 2 4 2 è 2 
ø • Xa que f ( x ) pasa polo punto (0, 1) , f (0) = 1 ⟹ ( ) 1 1 
f = æç - ö÷ + C = 
0 1 
2 2 
è ø 
⟹ 
5 
4 
C = 
e x f x = æç x - ö÷ + 
⤷ A función é: ( ) 
2 1 5 
2 2 4 
è ø 
. 
⦿ 
3. • Chámase integral indefinida de f ( x ) ao conxunto de todas as primitivas de f ( x ) . 
⤷ A función F ( x ) é unha primitiva de f ( x ) se F¢ ( x ) = f ( x ) . 
⤷ Dúas funcións primitivas de f ( x ) diferéncianse nun valor constante (xa que, a derivada dunha 
constante é nula). 
• Represéntase por ò f ( x ) dx = F ( x ) + C . 
• O símbolo ò chámase integral, mentres que f ( x ) dx recibe o nome de integrando, F ( x ) é 
unha primitiva de f ( x ) e C é a constante de integración. ⦿ 
4. • Teorema fundamental do cálculo integral: Se f ( x ) é unha función continua en [a , b] e 
( ) ( ) x 
F x = ò f t dt , entón F ( x ) é derivable en (a, b) e ademais F¢ ( x ) = f ( x ) , "x Î (a, b) . 
a
Páx. 2 Cálculo integral. 
x 
a 
F x = ò f t dt = x + x = x + x ⟹ f ( x ) = F¢ ( x ) = 2x + 3x2⟹ f (2) = 16 ⦿ 
• ( ) ( ) 2 (1 ) 2 3 
5. • Teorema do valor medio do cálculo integral: Se f ( x ) é unha 
función continua en [a , b], existe algún c Î (a , b) tal que 
( ) ( )( ) b 
a 
ò f x dx = f c b - a . 
• Interpretación xeométrica: A área encerrada pola gráfica de 
unha función continua nun intervalo pechado, o eixe OX e as rectas 
x = a , x = b é igual á área dun rectángulo de base (b - a) e altura f (c ) , sendo f (c ) o valor 
que toma a función nun punto intermedio c Î (a , b) . ⦿ 
6. • Regra de Barrow: Se f ( x ) é unha función continua nun intervalo [a , b] e F ( x ) é unha 
primitiva de f ( x ) en [a , b], entón ( ) ( ) ( ) b 
ò f x dx = F b - F a . 
a 
⦿ 
◌ Exercicios de cálculo integral: 
1. Calcula ò x2 cos x dx 
æ - ö ç ÷ 
è ø ò 
2. Calcula ( ) 
1 
1 
ln 
e 
x dx 
x 
3. Calcula ò x ln(1 + x2 ) dx 
ln5 
4. Calcula ( ) 
2 
0 1 
x 
x 
e dx 
+ e ò 
◌ Solucións: 
1. 
• Utilizando o método de integración por partes: 
2 2 
ì = Þ = 
í 
î = Þ = 
u x du x dx 
dv cos x dx v sen 
x 
⤷ ò x2 cos x dx = x2 sen x - ò2x sen x dx 
• Volvendo a utilizar o método de integración por partes: 
u x du dx 
= Þ = ìí 
î = Þ = - 
2 2 
sen cos 
dv x dx v x 
⤷ ò2x sen x dx = -2x cos x + ò2cos x dx = -2x cos x + 2sen x + C 
• Polo tanto, ò x2 cos x dx = x2 sen x + 2x cos x - 2sen x + C . ⦿ 
2. 
• ( ) ( ) ( ) ( ) 1 1 
ò æ ç - ln x ö ÷ 
dx = ò dx - ò ln x dx = ln x - ò ln x dx 
. 
è x ø x 
• Utilizando o método de integración por partes: 
( ) 1 
ì = Þ = ïíï 
î = Þ = 
u ln x du dx 
x 
dv dx v x 
⤷ ò ln( x ) dx = x ln ( x ) - ò1 dx = x ln (x ) - x + C = x (ln ( x ) - 1) + C 
e e 
ò æ 1 
ö ç - ÷ = é - ù ê ú = - = 0 
è ø ë û • Aplicando a regra de Barrow: ( x ) dx ( x ) x ( ( x 
) ) 
ln ln ln 1 1 1 
x 
1 1 
⦿
Dep. Matemáticas. 
Matemáticas II Mércores, 14 de maio de 2014 
Cálculo integral. Páx. 3 
3. 
• Utilizando o método de integración por partes: 
u x du x dx 
( 2 ) 
2 
2 
2 
ln 1 
1 
x 
dv x dx v x 
2 
ì = + Þ = ïï 
+ 
íï 
= Þ = ïî 
• ( ) ( ) 2 3 
x x dx x x x dx 
ò ln 1 + 2 = ln 1 
+ 2 
- 
ò . 
2 1 
+ x 
2 ⤷ Como o grao do polinomio do numerador é maior que o grao do denominador, facemos a 
división dos polinomios. 3 2 
x x 1 
x 3 
x x 
x 
+ 
- - 
- 
3 
x x x 
x x 
Þ = - 
1 + 2 1 + 
2 
⤷ ( ) ( ) 2 
x x dx x x x dx x dx 
ò 2 2 
ò ò 
+ 2 
1 2 
ln 1 ln 1 
2 2 1 
x 
+ = + - + 
• Polo tanto, ( ) ( ) ( ) 2 2 
ò x x 2 dx x x 2 x 1 ln 1 + = ln 1 + - + ln 1 
+ x 2 
+ C . ⦿ 
2 2 2 
4. 
x 
x x 
+ + ò 
e dx C 
e e 
• Como para g( x ) = 1 + ex , g¢ ( x ) = ex ⟹ ( )2 
1 
= - + 
1 1 
ln5 ln5 
x 
x x 
= é- ù = - + = - + = êë + úû + + + + + ò 1 
e dx 
e e e e 
• ( ) 
1 1 1 1 1 
2 ln5 0 
1 1 1 1 1 5 1 1 
0 0 
3 
⦿ 
◌ Exercicios áreas de rexións limitadas: 
1. Debuxa e calcula a área da rexión limitada pola parábola y = -x2 + 2x + 3 , a recta tanxente no 
punto onde a parábola ten un extremo e a tanxente á parábola no punto no que a tanxente é paralela á 
recta y = 4x . (Nota: para o debuxo da gráfica da parábola, indica os puntos de corte cos eixes, o vértice 
e a concavidade ou convexidade). 
2. Debuxa e calcula a área da rexión limitada pola gráfica da parábola f ( x ) = x2 - 2x + 1 , a súa 
recta tanxente no punto (3,4) e o eixe OX. (Nota: para o debuxo da gráfica da parábola, indica os 
puntos de corte cos eixes, o vértice e a concavidade ou convexidade). 
3. Calcula a área do recinto limitado polo eixe OX e a parábola 
2 
4 
y = x - x . 
4. Calcula a área do recinto limitado pola gráfica de g( x ) = 2x3 - 3x2 e a recta y = 2x .
Páx. 4 Cálculo integral. 
◌ Solucións: 
1. • y = -x2 + 2x + 3 . Corte co eixe OY: (0, f (0)) = (0, 3) . 
• Cortes co eixe OX: x2 - 2x - 3 = 0; D = 4 + 12 = 16 
⤷ 
( ) 
( ) 
2 4 
1 1,0 
2 16 2 4 2 
2 2 2 4 
3 3, 0 
2 
x 
- 
= - Þ - 
± ± 
= = = 
+ 
= Þ 
• Vértice: 
x b 
= - ⟹ 
2 
a 
2 
x = = 1 
⟹ (1, f (1)) = (1, 4) 
2 
(punto onde a parábola ten un extremo). 
• O coeficiente a = -1 < 0 ⟹ A parábola é cóncava. 
• Pendente da recta y = 4x : m = 4. Derivada da parábola: y¢ = -2x + 2 
⤷ -2x + 2 = 4 ⟺ -2x = 2 ⟺ x = -1 ⟹ (-1, f (-1)) = (-1,0) é o punto de tanxencia. 
• Ecuación da recta tanxente á parábola con pendente m = 4: y = 4( x + 1) ⟺ y = 4x + 4 
• Punto de corte das dúas rectas: 
y 
y x 
ì = 4 
ù 
í úî = 4 + 4 
û 
⟺ ( x , y) = (0, 4) 
• ( ) ( ) 0 2 1 2 
= ò + + - - + ò + - - = 
( ) ( ) 
Área 4x 4 x 2x 3 dx 4 x 2x 3 dx 
- 
1 0 
0 2 1 2 é x 3 2 ù 0 é 3 ù 
1 x x dx x x dx x x x x 2 
x 
1 0 
= + + + - + = ê + + ú + ê - + ú = 
ë û ë û 
1 0 
2 1 2 1 
3 3 
- 
- 
ò ò 
æ - 1 ö æ 1 
= 0 - ç + 1 - 1 ÷ + ç - 1 + 1 ö ÷ - 0 
= 
3 3 
è ø è ø 
2 
3 
u2 . 
⦿ 
2. • f ( x ) = x2 - 2x + 1 . Corte co eixe OY: (0, f (0)) = (0, 1) . 
• Cortes co eixe OX: x2 - 2x + 1 = 0 ; D = 4 - 4 = 0 
2 
⤷ 
x = = 1 
⟹ (1, 0) é o punto de corte. 
2 
• Vértice: 
x b 
= - ⟹ 
2 
a 
2 
x = = 1 
⟹ (1, f (1)) = (1, 0) . 
2 
• O coeficiente a = 1 > 0 ⟹ A parábola é convexa. 
• f ( x ) = x2 - 2x + 1 ⟹ f ¢ ( x ) = 2x - 2 ⟹ f ¢ (3) = 4 
⤷ Ecuación da recta tanxente no punto (3,4) : y = 4( x - 3) + 4 ⟺ y = 4x - 8 
• ( ) ( ) 2 2 3 2 
Área = ò x - 2x + 1 dx + ò x - 2x + 1 - 4x + 8 dx = 
1 2 
2 2 3 2 é x 3 2 ù 2 é 3 ù 
3 x x dx x x dx x x x x 2 
x 
1 2 
⤷ ( ) ( ) 
= - 2 + 1 + - 6 + 9 = ê - + ú + ê - 3 + 9 
ú = 
3 3 
ë û ë û 
1 2 
ò ò 
⤷ ( ) 8 1 8 1 1 
= æ - 4 + 2 ö - æ ö æ ö ç 3 ÷ ç - 1 + 1 ÷ + 9 - 27 + 27 - ç - 12 + 18 
÷ 
= + = è ø è 3 ø è 3 ø 
3 3 
2 
3 
u2 . 
⦿ 
3. 
• 
2 
4 
y = x - x . Corte co eixe OY: (0, f (0)) = (0, 0) .
Dep. Matemáticas. 
Matemáticas II Mércores, 14 de maio de 2014 
Cálculo integral. Páx. 5 
• Cortes co eixe OX: x2 - 4x = 0 ⟺ x ( x - 4)= 0 
⤷ 
( ) 
( ) 
0 0, 0 
4 0 4, 0 
x 
x 
= Þ ùú 
- = Þ û 
son os dous puntos de corte co eixe OX. 
• Vértice: 
x b 
= - ⟹ x = 2 ⟹ (2, f (2)) = (2, -1) 
2 
a 
• O coeficiente a = 1 4 > 0 ⟹ A parábola é convexa. 
• 
4 2 3 2 4 3 2 
æ ö é ù æ ö 
= - çç - ÷÷ = - ê - ú = - çç - ÷÷ + = - + = è ø ë û è ø ò 
Área x x dx x x 
0 0 
4 4 16 
0 8 
4 12 2 12 2 3 
8 
3 
u2 . 
⦿ 
4. • g( x ) = 2x3 - 3x2 . Corte co eixe OY: (0, g(0)) = (0, 0) . 
• Cortes co eixe OX: 2x3 - 3x2 = 0 ⟺ x2 (2x - 3)= 0 
⤷ 
( ) 
( ) 
úû 
ùú 
= 0 Þ 0, 0 
- = Þ x 
x 
2 3 0 3 , 0 2 
son os puntos de corte co eixe OX. 
• Extremos relativos: Primeiro determínanse os puntos críticos. 
⤷ ( ) ( ) g¢ x = 6x2 - 6x = 6x x - 1 . ( ) ( ) 0 
= ¢ = 0 Û 6 - 1 
Û ì í î 
= 1 
x 
g x x x 
x 
. 
⤷ Para saber se son máximo ou mínimo vese o signo da segunda derivada nos puntos singulares. 
⤷ g¢¢ ( x ) = 12x - 6 = 6(2x - 1) ⟹ g¢¢ (0) = -6 < 0; g¢¢ (1) = 12 - 6 > 0. 
⤷ Polo tanto: g( x ) ten un máximo relativo en (0 , 0) e un mínimo relativo en (1 , -1) 
• Puntos de inflexión: g¢¢ ( x ) = 0 Û 6(2x - 1) = 0 Û x = 1 2 
⤷ g¢¢¢ ( x ) = 12 ⟹ g¢¢¢ (1 2) = 12 ¹ 0 ⟹ g( x ) ten un punto de inflexión en 
1 1 
, 
2 2 
æ - ö ç ÷ 
è ø 
• Puntos de corte da gráfica de g(x ) = 2x3 - 3x2 e a recta y = 2x : 
2x = 2x3 - 3x2 ⟺ 0 = 2x3 - 3x2 - 2x 
⤷ ( ) 0 = x 2x2 - 3x - 2 ⟹ 
( ) 
x 
x x 
= Þ 
0 0 , 0 
2 2 
- 3 - 2 = 
0 
⤷ D = 9 + 16 = 25 ⟹ 
3 5 1 1 
, 1 
3 25 3 5 4 2 2 
( ) 
4 4 3 5 
2 2, 4 
4 
x 
- æ ö = - Þ ç - - ÷ ± ± è ø = = = 
+ 
= Þ 
• ( ) ( ) 0 3 2 2 3 2 
= ò - - + ò - + = 
Área 2x 3x 2x dx 2x 2x 3x dx 
- 
1 2 0 
é ù é ù = ê - - ú + ê - + ú = - æ ö ç + - ÷ + ( - + ) 
= 
ë û ë û è ø 
4 0 4 2 
x x x x x x 
3 2 2 3 
1 2 0 
1 1 1 
0 4 8 8 
2 2 32 8 4 
- 
3 131 
= 4 + = = 4,09375 
u2 . 
32 32 
⦿

Cálculo integral

  • 1.
    Dep. Matemáticas. MatemáticasII Mércores, 14 de maio de 2014 Cálculo integral. Páx. 1 ◌ Exercicios teóricos: 1. Define primitiva e integral indefinida dunha función. 2. Dunha función derivable f ( x ) sabemos que pasa polo punto (0, 1) que a súa derivada é f ¢ ( x ) = x e2x . Calcula f ( x ) e a recta tanxente á gráfica de f ( x ) no punto correspondente a x = 0 3. Define integral indefinida dunha función. 4. Enuncia o teorema fundamental do cálculo integral. Sabendo que ( ) 2 (1 ) x a ò f t dt = x + x con f unha función continua en todos os puntos da recta real, calcula f (2) . 5. Enuncia e interpreta xeometricamente o teorema do valor medio do cálculo integral. 6. Enuncia a regra de Barrow. ◌ Solucións: 1. • A función F (x ) é unha primitiva de f ( x ) se F¢ (x ) = f (x ) . • Chámase integral indefinida de f ( x ) ao conxunto de todas as primitivas de f ( x ) , que se diferencian, entre elas, nun valor constante (xa que, a derivada dunha constante é nula). • Represéntase por ò f ( x ) dx = F ( x ) + C . • O símbolo ò chámase integral, mentres que f ( x ) dx recibe o nome de integrando, F ( x ) é unha primitiva de f ( x ) e C é a constante de integración. ⦿ 2. • A recta tanxente á gráfica de f ( x ) no punto correspondente a x = 0, pasa polo punto (0, 1) e ten por pendente m = f ¢ (0) = 0 . Polo tanto, a súa ecuación é: y = 1 . ⦿ u x du dx dv e dx v e = Þ = ìïí • f ¢ ( x ) = x e2x ⟹ ( ) f x = ò x e2x dx + C . Método por partes: 2 1 2 x x 2 = Þ = ïî f x = x e x dx = x e x - e x dx = x e x - e x + C = e æç x - ö÷ + C ⤷ ( ) 2 x 2 1 2 1 2 1 2 1 2 1 ò ò 2 2 2 4 2 è 2 ø • Xa que f ( x ) pasa polo punto (0, 1) , f (0) = 1 ⟹ ( ) 1 1 f = æç - ö÷ + C = 0 1 2 2 è ø ⟹ 5 4 C = e x f x = æç x - ö÷ + ⤷ A función é: ( ) 2 1 5 2 2 4 è ø . ⦿ 3. • Chámase integral indefinida de f ( x ) ao conxunto de todas as primitivas de f ( x ) . ⤷ A función F ( x ) é unha primitiva de f ( x ) se F¢ ( x ) = f ( x ) . ⤷ Dúas funcións primitivas de f ( x ) diferéncianse nun valor constante (xa que, a derivada dunha constante é nula). • Represéntase por ò f ( x ) dx = F ( x ) + C . • O símbolo ò chámase integral, mentres que f ( x ) dx recibe o nome de integrando, F ( x ) é unha primitiva de f ( x ) e C é a constante de integración. ⦿ 4. • Teorema fundamental do cálculo integral: Se f ( x ) é unha función continua en [a , b] e ( ) ( ) x F x = ò f t dt , entón F ( x ) é derivable en (a, b) e ademais F¢ ( x ) = f ( x ) , "x Î (a, b) . a
  • 2.
    Páx. 2 Cálculointegral. x a F x = ò f t dt = x + x = x + x ⟹ f ( x ) = F¢ ( x ) = 2x + 3x2⟹ f (2) = 16 ⦿ • ( ) ( ) 2 (1 ) 2 3 5. • Teorema do valor medio do cálculo integral: Se f ( x ) é unha función continua en [a , b], existe algún c Î (a , b) tal que ( ) ( )( ) b a ò f x dx = f c b - a . • Interpretación xeométrica: A área encerrada pola gráfica de unha función continua nun intervalo pechado, o eixe OX e as rectas x = a , x = b é igual á área dun rectángulo de base (b - a) e altura f (c ) , sendo f (c ) o valor que toma a función nun punto intermedio c Î (a , b) . ⦿ 6. • Regra de Barrow: Se f ( x ) é unha función continua nun intervalo [a , b] e F ( x ) é unha primitiva de f ( x ) en [a , b], entón ( ) ( ) ( ) b ò f x dx = F b - F a . a ⦿ ◌ Exercicios de cálculo integral: 1. Calcula ò x2 cos x dx æ - ö ç ÷ è ø ò 2. Calcula ( ) 1 1 ln e x dx x 3. Calcula ò x ln(1 + x2 ) dx ln5 4. Calcula ( ) 2 0 1 x x e dx + e ò ◌ Solucións: 1. • Utilizando o método de integración por partes: 2 2 ì = Þ = í î = Þ = u x du x dx dv cos x dx v sen x ⤷ ò x2 cos x dx = x2 sen x - ò2x sen x dx • Volvendo a utilizar o método de integración por partes: u x du dx = Þ = ìí î = Þ = - 2 2 sen cos dv x dx v x ⤷ ò2x sen x dx = -2x cos x + ò2cos x dx = -2x cos x + 2sen x + C • Polo tanto, ò x2 cos x dx = x2 sen x + 2x cos x - 2sen x + C . ⦿ 2. • ( ) ( ) ( ) ( ) 1 1 ò æ ç - ln x ö ÷ dx = ò dx - ò ln x dx = ln x - ò ln x dx . è x ø x • Utilizando o método de integración por partes: ( ) 1 ì = Þ = ïíï î = Þ = u ln x du dx x dv dx v x ⤷ ò ln( x ) dx = x ln ( x ) - ò1 dx = x ln (x ) - x + C = x (ln ( x ) - 1) + C e e ò æ 1 ö ç - ÷ = é - ù ê ú = - = 0 è ø ë û • Aplicando a regra de Barrow: ( x ) dx ( x ) x ( ( x ) ) ln ln ln 1 1 1 x 1 1 ⦿
  • 3.
    Dep. Matemáticas. MatemáticasII Mércores, 14 de maio de 2014 Cálculo integral. Páx. 3 3. • Utilizando o método de integración por partes: u x du x dx ( 2 ) 2 2 2 ln 1 1 x dv x dx v x 2 ì = + Þ = ïï + íï = Þ = ïî • ( ) ( ) 2 3 x x dx x x x dx ò ln 1 + 2 = ln 1 + 2 - ò . 2 1 + x 2 ⤷ Como o grao do polinomio do numerador é maior que o grao do denominador, facemos a división dos polinomios. 3 2 x x 1 x 3 x x x + - - - 3 x x x x x Þ = - 1 + 2 1 + 2 ⤷ ( ) ( ) 2 x x dx x x x dx x dx ò 2 2 ò ò + 2 1 2 ln 1 ln 1 2 2 1 x + = + - + • Polo tanto, ( ) ( ) ( ) 2 2 ò x x 2 dx x x 2 x 1 ln 1 + = ln 1 + - + ln 1 + x 2 + C . ⦿ 2 2 2 4. x x x + + ò e dx C e e • Como para g( x ) = 1 + ex , g¢ ( x ) = ex ⟹ ( )2 1 = - + 1 1 ln5 ln5 x x x = é- ù = - + = - + = êë + úû + + + + + ò 1 e dx e e e e • ( ) 1 1 1 1 1 2 ln5 0 1 1 1 1 1 5 1 1 0 0 3 ⦿ ◌ Exercicios áreas de rexións limitadas: 1. Debuxa e calcula a área da rexión limitada pola parábola y = -x2 + 2x + 3 , a recta tanxente no punto onde a parábola ten un extremo e a tanxente á parábola no punto no que a tanxente é paralela á recta y = 4x . (Nota: para o debuxo da gráfica da parábola, indica os puntos de corte cos eixes, o vértice e a concavidade ou convexidade). 2. Debuxa e calcula a área da rexión limitada pola gráfica da parábola f ( x ) = x2 - 2x + 1 , a súa recta tanxente no punto (3,4) e o eixe OX. (Nota: para o debuxo da gráfica da parábola, indica os puntos de corte cos eixes, o vértice e a concavidade ou convexidade). 3. Calcula a área do recinto limitado polo eixe OX e a parábola 2 4 y = x - x . 4. Calcula a área do recinto limitado pola gráfica de g( x ) = 2x3 - 3x2 e a recta y = 2x .
  • 4.
    Páx. 4 Cálculointegral. ◌ Solucións: 1. • y = -x2 + 2x + 3 . Corte co eixe OY: (0, f (0)) = (0, 3) . • Cortes co eixe OX: x2 - 2x - 3 = 0; D = 4 + 12 = 16 ⤷ ( ) ( ) 2 4 1 1,0 2 16 2 4 2 2 2 2 4 3 3, 0 2 x - = - Þ - ± ± = = = + = Þ • Vértice: x b = - ⟹ 2 a 2 x = = 1 ⟹ (1, f (1)) = (1, 4) 2 (punto onde a parábola ten un extremo). • O coeficiente a = -1 < 0 ⟹ A parábola é cóncava. • Pendente da recta y = 4x : m = 4. Derivada da parábola: y¢ = -2x + 2 ⤷ -2x + 2 = 4 ⟺ -2x = 2 ⟺ x = -1 ⟹ (-1, f (-1)) = (-1,0) é o punto de tanxencia. • Ecuación da recta tanxente á parábola con pendente m = 4: y = 4( x + 1) ⟺ y = 4x + 4 • Punto de corte das dúas rectas: y y x ì = 4 ù í úî = 4 + 4 û ⟺ ( x , y) = (0, 4) • ( ) ( ) 0 2 1 2 = ò + + - - + ò + - - = ( ) ( ) Área 4x 4 x 2x 3 dx 4 x 2x 3 dx - 1 0 0 2 1 2 é x 3 2 ù 0 é 3 ù 1 x x dx x x dx x x x x 2 x 1 0 = + + + - + = ê + + ú + ê - + ú = ë û ë û 1 0 2 1 2 1 3 3 - - ò ò æ - 1 ö æ 1 = 0 - ç + 1 - 1 ÷ + ç - 1 + 1 ö ÷ - 0 = 3 3 è ø è ø 2 3 u2 . ⦿ 2. • f ( x ) = x2 - 2x + 1 . Corte co eixe OY: (0, f (0)) = (0, 1) . • Cortes co eixe OX: x2 - 2x + 1 = 0 ; D = 4 - 4 = 0 2 ⤷ x = = 1 ⟹ (1, 0) é o punto de corte. 2 • Vértice: x b = - ⟹ 2 a 2 x = = 1 ⟹ (1, f (1)) = (1, 0) . 2 • O coeficiente a = 1 > 0 ⟹ A parábola é convexa. • f ( x ) = x2 - 2x + 1 ⟹ f ¢ ( x ) = 2x - 2 ⟹ f ¢ (3) = 4 ⤷ Ecuación da recta tanxente no punto (3,4) : y = 4( x - 3) + 4 ⟺ y = 4x - 8 • ( ) ( ) 2 2 3 2 Área = ò x - 2x + 1 dx + ò x - 2x + 1 - 4x + 8 dx = 1 2 2 2 3 2 é x 3 2 ù 2 é 3 ù 3 x x dx x x dx x x x x 2 x 1 2 ⤷ ( ) ( ) = - 2 + 1 + - 6 + 9 = ê - + ú + ê - 3 + 9 ú = 3 3 ë û ë û 1 2 ò ò ⤷ ( ) 8 1 8 1 1 = æ - 4 + 2 ö - æ ö æ ö ç 3 ÷ ç - 1 + 1 ÷ + 9 - 27 + 27 - ç - 12 + 18 ÷ = + = è ø è 3 ø è 3 ø 3 3 2 3 u2 . ⦿ 3. • 2 4 y = x - x . Corte co eixe OY: (0, f (0)) = (0, 0) .
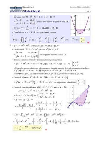
  • 5.
    Dep. Matemáticas. MatemáticasII Mércores, 14 de maio de 2014 Cálculo integral. Páx. 5 • Cortes co eixe OX: x2 - 4x = 0 ⟺ x ( x - 4)= 0 ⤷ ( ) ( ) 0 0, 0 4 0 4, 0 x x = Þ ùú - = Þ û son os dous puntos de corte co eixe OX. • Vértice: x b = - ⟹ x = 2 ⟹ (2, f (2)) = (2, -1) 2 a • O coeficiente a = 1 4 > 0 ⟹ A parábola é convexa. • 4 2 3 2 4 3 2 æ ö é ù æ ö = - çç - ÷÷ = - ê - ú = - çç - ÷÷ + = - + = è ø ë û è ø ò Área x x dx x x 0 0 4 4 16 0 8 4 12 2 12 2 3 8 3 u2 . ⦿ 4. • g( x ) = 2x3 - 3x2 . Corte co eixe OY: (0, g(0)) = (0, 0) . • Cortes co eixe OX: 2x3 - 3x2 = 0 ⟺ x2 (2x - 3)= 0 ⤷ ( ) ( ) úû ùú = 0 Þ 0, 0 - = Þ x x 2 3 0 3 , 0 2 son os puntos de corte co eixe OX. • Extremos relativos: Primeiro determínanse os puntos críticos. ⤷ ( ) ( ) g¢ x = 6x2 - 6x = 6x x - 1 . ( ) ( ) 0 = ¢ = 0 Û 6 - 1 Û ì í î = 1 x g x x x x . ⤷ Para saber se son máximo ou mínimo vese o signo da segunda derivada nos puntos singulares. ⤷ g¢¢ ( x ) = 12x - 6 = 6(2x - 1) ⟹ g¢¢ (0) = -6 < 0; g¢¢ (1) = 12 - 6 > 0. ⤷ Polo tanto: g( x ) ten un máximo relativo en (0 , 0) e un mínimo relativo en (1 , -1) • Puntos de inflexión: g¢¢ ( x ) = 0 Û 6(2x - 1) = 0 Û x = 1 2 ⤷ g¢¢¢ ( x ) = 12 ⟹ g¢¢¢ (1 2) = 12 ¹ 0 ⟹ g( x ) ten un punto de inflexión en 1 1 , 2 2 æ - ö ç ÷ è ø • Puntos de corte da gráfica de g(x ) = 2x3 - 3x2 e a recta y = 2x : 2x = 2x3 - 3x2 ⟺ 0 = 2x3 - 3x2 - 2x ⤷ ( ) 0 = x 2x2 - 3x - 2 ⟹ ( ) x x x = Þ 0 0 , 0 2 2 - 3 - 2 = 0 ⤷ D = 9 + 16 = 25 ⟹ 3 5 1 1 , 1 3 25 3 5 4 2 2 ( ) 4 4 3 5 2 2, 4 4 x - æ ö = - Þ ç - - ÷ ± ± è ø = = = + = Þ • ( ) ( ) 0 3 2 2 3 2 = ò - - + ò - + = Área 2x 3x 2x dx 2x 2x 3x dx - 1 2 0 é ù é ù = ê - - ú + ê - + ú = - æ ö ç + - ÷ + ( - + ) = ë û ë û è ø 4 0 4 2 x x x x x x 3 2 2 3 1 2 0 1 1 1 0 4 8 8 2 2 32 8 4 - 3 131 = 4 + = = 4,09375 u2 . 32 32 ⦿