110
Modyul 2: ANG DAIGDIG SA KLASIKAL AT TRANSISYUNAL NA
PANAHON
Panimula
“Change is inevitable”. Karaniwan nang naririnig ang ganitong
kasabihan. Lahat ng bagay sa mundo ay dumadaan sa prosesong ito. Kahit
ikaw, marami ka nang pinagdaanang pagbabago mula noon hanggang
ngayon. Kung iisipin, tao lang ba ang nagbabago o lahat ng bagay sa
daigdig? Paano ba narating ng mundo ang kalagayan nito sa kasalukuyan?
Marahil ay may mga pangyayari na nagdulot ng malaking pagbabago. Nais
mo ba itong malaman?
Sa Yunit na ito ay mauunawaan mo ang mga pangyayari sa
Kasaysayan ng Daigdig sa Klasikal at Transisyunal na Panahon.
Inaaasahang sa pagtatapos ng iyong paglalakbay panahong ito ay
masasagot mo ang katanungang: Paano nakaimpluwesiya ang mga
kontribusyon ng Klasikal at Transiyunal na Panahon sa paghubog ng
pagkakakilanlan ng mga bansa at rehiyon sa daigdig?
Mga Aralin At Sakop Ng Modyul
Aralin 1: Pag-usbong at Pag-unlad ng mga Klasikal na Lipunan sa Europe
Aralin 2: Pag-usbong at Pag-unlad ng mga Klasikal na Lipunan sa America,
Africa, at mga Pulo sa Pacific
Aralin 3: Ang Daigdig sa Panahon ng Transisyon
Sa modyul na ito ay inaasahang matututuhan mo ang sumusunod:
Aralin 1 Nasusuri ang kabihasnang Minoan at Mycenean
Nasusuri ang kabihasnang klasikal ng Greece
Naipaliliwanag ang mga mahahalagang pangyayari sa
kabihasnang klasikal ng Rome (mula sa sinaunang Rome
hanggang sa tugatog at pagbagsak ng Imperyong Roman)
Naipahahayag ang pagpapahalaga sa mga kontribusyon ng
kabihasnang klasikal ng Europe sa pag-unlad ng
pandaigdigang kamalayan
Aralin 2 Nasusuri ang mga kaganapan sa kabihasnang klasikal ng
America
Naipaliliwanag ang mga kaganapan sa mga klasikal na
kabihasnan sa Africa (Mali at Songhai)
111
Nasusuri ang kabihasnang klasikal ng pulo sa Pacific
Naipahahayag ang pagpapahalaga sa mga kontribusyon ng
kabihasnang klasikal ng America, Africa at mga Pulo sa
Pacific sa pag-unlad ng pandaigdigang kamalayan
Aralin 3 Nasusuri ang mga dahilan at bunga ng paglakas ng
Simbahang Katoliko bilang isang institusyon sa Panahong
Medieval
Nasusuri ang mga kaganapang nagbigay-daan sa
pagkakabuo ng “Holy Roman Empire”
Naipaliliwanag ang mga dahilan at bunga ng mga Krusada
sa Panahong Medieval
Nasusuri ang buhay sa Europe noong Panahong Medieval:
Manorialismo, Piyudalismo, ang pag-usbong ng mga
bagong bayan at lungsod
Natataya ang epekto at kontribusyon ng ilang
mahahalagang pangyayari sa Europe sa pagpapalaganap
ng pandaigdigang kamalayan
1.Alin sa sumusunod ang naglalawaran sa “polis” bilang isang lungsod-
estado?
A. Ang “polis” ay isang uri ng pamahalaan ng mga Greeks kung saan
binibigyang-diin ang demokrasya.
B. Ito ay binubuo ng isang lipunang malaya at nagsasarili at
nakasentro sa isang lungsod.
C. May iba’t ibang uring panlipunan ang isang “polis” at nahahati ito sa
iba’t ibang yunit ng pamahalaan
D. Ang bawat mamamayan ay may bahaging ginagampanan sa isang
“polis”.
2. Alin sa sumusunod ang tawag sa mga uring panlipunan ng sinaunang
Rome?
A. Censor at Praetor
B. Etruscan at Roman
C. Patrician at Plebeian
D. Maharlika at Alipin
Ngayon, subukang sagutin ang paunang pagsusulit na magtatakda kung ano na
ang iyong alam sa mga aralin. Bigyang-pansin ang mga katanungan na hindi mo
masasagutan nang wasto at alamin ang sagot sa mga aralin sa modyul na ito. Handa
ka na ba? Simulan mo na ang pagsagot.
PANIMULANG PAGSUSULIT
112
3. Nahahati sa tatlong malalaking pangkat ang mga pulo sa Pacific: ang
Polynesia, Micronesia at Melanesia. Ano ang kahulugan ng Micronesia?
A. maraming isla
B. maliit na mga isla
C. maitim na mga isla
D. maitim ang mga tao sa isla
4. Ang “Holy Roman Empire” ang sinasabing bumuhay sa Imperyong Roman.
Sino ang naging emperador ng imperyo noong 800 C.E.?
A. Charlemagne
B. Charles Martel
C. Clovis
D. Pepin the Short
5. Ang Krusada ay isang ekspedisyong militar na inilunsad ng Kristiyanong
European dahil sa panawagan ni Pope Urban II. Ano ang pangunahing
layunin ng Krusada?
A. mapalawak ang teritoryo ng mga Kristiyano
B. mabawi ang Jerusalem sa kamay ng mga Turkong Muslim
C. mapalawak ang kalakalan ng mga bansang Europeo
D. mapalawak pa ang kapangyarihan ng simbahang Katoliko
Para sa bilang 6, suriin ang kasunod na mapa
http://franceschini.cmswiki.wikispaces.net/Ancient+Greece
113
6. Umusbong ang Kabihasnang Minoan sa Isla ng Crete. Alin sa sumusunod
na pahayag ang nagpapakita ng ugnayan ng heograpikal na lokasyon sa pag-
unlad ng kabihasnan sa islang ito?
I. Nakatulong ang mga nakapalibot na anyong-tubig upang maging
ligtas ang isla sa mga mananakop
II. Nagsilbing daanan ng mga mangangalakal mula sa Europe, Africa,
at Asya ang isla ng Crete
III. Naitatag ng mga mamamayan ng Crete ang sariling kabihasnan
dahil nakahiwalay ito sa Europe
IV. Naimpluwensiyahan ng mga Sinaunang Kabihasnan ng Africa at
Asya ang Kabihasnang Minoan
A. I at II
B. II at III
C. II at IV
D. I, II, at III
Para sa bilang 7, suriin ang kasunod na larawan:
7. Makikita sa larawan ang mga patunay na mataas na kaalaman ng mga
Greek sa larangan ng Astronomiya. Anong kongklusyon ang maaaring
mabuo batay sa larawan?
A. Nagsilbing batayan ng kaalaman sa Astronomiya ng mga Greek ang
paniniwala sa iba’t ibang diyos
B. Nagmula sa mga Greek ang lahat ng kaalaman tungkol sa Astronomiya
C.Natutuhan ng mga Greek ang kaalaman sa Astronomiya mula sa mga
Roman
D. Naitatag ng mga Greek ang pundasyon ng kaalaman sa astronomiya
noong Panahong Hellenistic
114
Para sa bilang 8, suriin ang sumusunod na pahayag:
8. Ano ang ibig sabihin ng pahayag?
A. Nasusunod ang kagustuhan ng minorya sa pamahalaang Demokrasya
B. Nakasalalay sa kagustuhan ng nakararami ang ikauunlad ng bansa
C. Nakabatay sa batas at kapakanan ng nakararami ang pamahalaang
Demokrasya
D. Naipahahayag ng mga mamamayan ang kanilang saloobin laban sa
pamahalaan
Para sa bilang 9, suriin ang timeline tungkol sa mga Kabihasnan sa America
9. Alin sa mga kabihasnan ng America ang umusbong noong panahong Pre-
historic?
A. Kabihasnang Olmec
B. Kabihasnang Maya
C. Kabihasnang Aztec
D. Kabihasnang Inca
“ Our constitution is called a democracy because power is in the hands not of a
minority but of the whole people. When it is a question of settling private disputes,
everyone is equal before the law;…”
-
PERICLES
Funeral Oration
Mga Kabihasnan sa America
1200-
500 B.C.E.
Olmec Teotihuacan
200-700
C.E.
250-900
C.E.
Maya
900-1100
C.E.
Toltec Aztec
1200-1521 1300-1525
Inca
115
Para sa bilang 10, basahin at unawain ang comic strip
10. Ano ang ipinahihiwatig ng pahayag ng mga tinukoy na karakter sa comic
strip tungkol sa Piyudalismo?
A. Ito ay ugnayang panlipunan sa pagitan ng hari at ng kaniyang mga
nasasakupan
B. Ito ay sistemang sosyo-politikal na ang batayan ng kapangyarihan ay
pagmamay-ari ng lupa
C. Ito ay sistemang pang-ekonomiya na ipinatupad sa Europe noong
Panahong Medieval
D. Ito ay naglalarawan sa paraang ginamit ng mga hari sa Europe noong
Panahong Medieval upang mailigtas ang kaniyang teritoryo
Ako ang HARI,
pagmamay-ari ko ang
lahat ng lupain. Subalit
ibinigay ko ang iba sa
mga BARON.
Ako ang BARON, dapat akong maging
TAPAT sa HARI dahil ibinigay niya sa
akin ang ilan sa kaniyang lupain.Dapat na
handa akong ipaglaban siya at magsanay
ng mga KNIGHT. Ibinigay ko ang ilan
sa aking lupain sa aking mga KNIGHT.
Ako ang VILLEIN, ibinigay ng KNIGHT sa
akin ang ilan sa kaniyang lupain upang
mapagtamnan at paunlarin. Tungkulin kong
magbayad ng buwis at magkaloob sa kaniya
ng regalo. Hindi ako maaaring umalis sa
lupain na kaniyang nasasakupan nang walang
pahintulot ang KNIGHT.
116
Para sa bilang 11, suriin ang kasunod na larawan
11. Batay sa larawan, ano ang pangunahing kabuhayan sa loob ng isang
Manor?
A. Pakikipagkalakalan
B. Pagsasaka
C. Paglilingkod sa may-ari ng lupa
D. Paggawa ng iba’t ibang kasangkapan
Para sa bilang 12, suriin ang kasunod na graph:
10
5
20
15
30
25
35
45
40
0
20
0
40
0
60
0
80
0
1000 1200
Bilangngpopulasyonsamilyon
Taon – Common Era (C.E.)
117
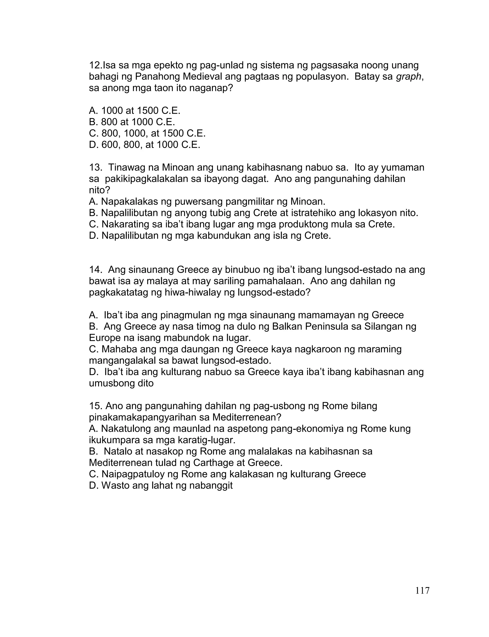
12.Isa sa mga epekto ng pag-unlad ng sistema ng pagsasaka noong unang
bahagi ng Panahong Medieval ang pagtaas ng populasyon. Batay sa graph,
sa anong mga taon ito naganap?
A. 1000 at 1500 C.E.
B. 800 at 1000 C.E.
C. 800, 1000, at 1500 C.E.
D. 600, 800, at 1000 C.E.
13. Tinawag na Minoan ang unang kabihasnang nabuo sa. Ito ay yumaman
sa pakikipagkalakalan sa ibayong dagat. Ano ang pangunahing dahilan
nito?
A. Napakalakas ng puwersang pangmilitar ng Minoan.
B. Napalilibutan ng anyong tubig ang Crete at istratehiko ang lokasyon nito.
C. Nakarating sa iba’t ibang lugar ang mga produktong mula sa Crete.
D. Napalilibutan ng mga kabundukan ang isla ng Crete.
14. Ang sinaunang Greece ay binubuo ng iba’t ibang lungsod-estado na ang
bawat isa ay malaya at may sariling pamahalaan. Ano ang dahilan ng
pagkakatatag ng hiwa-hiwalay ng lungsod-estado?
A. Iba’t iba ang pinagmulan ng mga sinaunang mamamayan ng Greece
B. Ang Greece ay nasa timog na dulo ng Balkan Peninsula sa Silangan ng
Europe na isang mabundok na lugar.
C. Mahaba ang mga daungan ng Greece kaya nagkaroon ng maraming
mangangalakal sa bawat lungsod-estado.
D. Iba’t iba ang kulturang nabuo sa Greece kaya iba’t ibang kabihasnan ang
umusbong dito
15. Ano ang pangunahing dahilan ng pag-usbong ng Rome bilang
pinakamakapangyarihan sa Mediterrenean?
A. Nakatulong ang maunlad na aspetong pang-ekonomiya ng Rome kung
ikukumpara sa mga karatig-lugar.
B. Natalo at nasakop ng Rome ang malalakas na kabihasnan sa
Mediterrenean tulad ng Carthage at Greece.
C. Naipagpatuloy ng Rome ang kalakasan ng kulturang Greece
D. Wasto ang lahat ng nabanggit
118
16. Paano nakatulong ang heograpikal na lokasyon ng mga kaharian ng Mali
at Songhai sa pag-unlad nito?
A. Napalilibutan ito ng mga anyong-tubig na nagbigay-daan sa pag-unlad ng
pagsasaka
B. Nagsilbi itong tagapamagitan ng kalakalan ng ginto, asin, at iba pang
produkto sa pagitan ng kaloob-loobang bahagi ng Africa at ng mga Arab sa
Sahara
C. Nakatulong ang kanilang lokasyon upang mapanatili ang kalayaan at
kaligtasan mula sa banta ng mga mananakop
D. Nagsilbing natural na proteksiyon ng imperyo ang malawak na disyerto ng
Sahara
17. Alin ang naglalarawan sa sinaunang kabuhayan ng mga tao sa mga Pulo
ng Pacific?
A. Ang pangunahing kabuhayan ng mga tao sa mga Pulo ng Pacific ay
pagsasaka at pangingisda.
B. Ang mga sinaunang mamamayan ng mga Pulo ng Pacific ay naniniwala
sa banal na kapangyarihan o “mana”.
C. Ang sinaunang relihiyon ng mga tao sa mga Pulo ng Pacific ay Animismo.
D. Ang mga sinaunang pamayanan sa mga isla ay matatagpuan sa mga lawa
o dagat-dagatan.
18. Sa panahon ng Piyudalismo, ang lipunan ay nahahati sa tatlong uri: Pari,
Kabalyero, at Serf. Alin sa sumusunod ang naglalarawan sa serf?
A. May karapatan at kalayaan silang bumuo ng sariling pamilya.
B. Malaya nilang mapauunlad ang kanilang pamumuhay at pamilya.
C. Sila ang bumubuo ng masa ng tao noong Panahong Medieval.
D. Itinuturing silang natatanging sektor sa lipunan
19. “Ang madalas na pagsalakay ng mga barbaro ay nagbigay ligalig sa mga
mamamayan ng Europe. Dahil dito, hinangad ng lahat ang proteksiyon kaya
naitatag ang sistemang Piyudalismo”. Ano ang ipinapahiwatig ng pahayag?
A. Magulo ang Europe dahil sa pagsalakay ng mga barbaro
B. Sa panahon ng kaguluhan, ang mga tao ay naghangad ng proteksyon
C. Mahina ang pamahalaan noon kaya dumami ang mga grupong barbaro
D. Ang sistemang Piyudalismo ay sagot sa kahirapan ng mga tao
119
20. Mahalagang pangyayari sa Panahong Medieval ang paglakas ng
Simbahang Katoliko. Isang bahagi nito ang paglakas ng kapangyarihan ng
Kapapahan (Papacy). Alin sa sumusunod ang higit na naglalarawan sa
Kapapahan o sa Papacy?
A. Ito ay tumutukoy sa tungkulin, panahon ng panunungkulan at
kapangyarihang panrelihiyon ng Papa bilang pinuno ng Simbahang Katoliko.
B. Tumutukoy din ito sa kapangyarihang politikal ng Papa bilang pinuno ng
estado ng Vatican.
C. Itinuturing ang Papa bilang Ama ng mga Kristiyano na siya pa ring tawag
hanggang sa kasalukuyan.
D. Simbolo ang Kapapahan ng malawak na kapangyarihan ng
Simbahang Katoliko noong Panahong Medieval
120
ARALIN 1: Pag-usbong at Pag-unlad ng mga Klasikal na Lipunan sa
Europe
Ang Olympics ay isang pampalakasang paligsahan na nilalahukan ng
mga atleta mula sa iba’t ibang bansa. Noong 2008, natuon ang pansin ng
lahat sa Asia dahil sa ginanap na Olymics sa Beijing, China. Saan at kailan
nga ba nagsimula ang paligsahang ito?
Naganap ang kauna-unahang Olympics noong 776 BC sa Olympia-
isang lungsod-estado ng sinaunang Greece. Kontribusyon ito ng Klasikal na
Kabihasnan sa Europe na kinabibilangan ng Kabihasnang Greece at Rome.
Sa bahaging ito ng modyul ay pag-aaralan ang mahahalagang
pangyayari tungkol sa pag-usbong, pag-unlad, at pagbagsak ng mga
Kabihasnang Greece at Rome. Masasagot din ang katanungang:paano
nakaimpluwensiya ang Panahong Klasikal sa Europe sa pag-unlad ng
pandaigdigang kamalayan?
121
ALAMIN
Gawain 1. Ano ang Gusto Ko?
Panuto: Suriin ang larawan at sagutin ang mga tanong tungkol dito.
Pamprosesong Tanong
1. Ano ang masasabi mo tungkol sa tipikal na anyo ng isang lungsod-estado
noong Panahong Klasikal? Ipaliwanag.
2. May pagkakatulad ba ang makikita sa larawan, sa karaniwang tagpo sa
mga lungsod sa kasalukuyang panahon? Patunayan
Umusbong ang mga sinaunang kabihasnan ng China, India,
Mesopotamia, at Egypt sa mga lambak-ilog. Ganito rin kaya ang mga
kabihasnang nabuo sa Europe partikular sa Greece at Rome? Alamin sa
araling ito ang kasagutan.
Pilosopo
Politiko Artist
Kababaihan
Mandirigma
Makikita sa
larawan ang isang
tipikal na tagpo sa isang
lungsod-estado sa
Europe noong
Panahong Klasikal.
Bawat isa ay may
tungkuling
ginagampanan. Kung
ikaw ay nabuhay nang
panahong iyon, alin sa
sumusunod na
tungkulin ang nais
mong gampanan?
Bakit?
Mangangalakal
122
Gawain 2. I-R-F CHART
Panuto:Basahing mabuti ang tanong. Pagkatapos ay isulat sa bahaging
“initial” ng diagram ang maiisip na sagot.
BINABATI KITA!
Sa puntong ito ay nagtatapos na ang bahagi
PAUNLARIN
Tiyak na nais mo pang mapalalim ang iyong kaalaman tungkol sa
mga kabihasnan noong Panahong Klasikal ng Europe. Sa
pagsasagawa ng iba’t ibang gawain sa modyul na ito, madaragdagan
ang iyong dating kaalaman at masasagot ang iyong mga tanong tungkol
sa paksa.
Paano
nakaimpluwensya
ang Panahong
Klasikal sa Europe
sa pag-unlad ng
pandaigdigang
kamalayan?
INITIAL
REVISED
FINAL
123
PAUNLARIN
Gawain 3. Mapa-Suri. Suriin ang mapa upang makita ang kaugnayan ng
lokasyon ng Greece sa pag-unlad ng kabihasnan nito.
Sa bahaging ito, inaasahang matututuhan mo ang mga kabihasnang
nabuo sa Panahong Klasikal ng Europe, kabilang ang mahahalagang
pangyayari sa bawat kabihasnan at ang mahahalagang kontribusyon ng mga
ito sa paghubog ng pandaigdigang kamalayan. Simulan mo na ang
paglalakbay tungo sa iyong pagkatuto.
Pamprosesong
Tanong
1. Ano ang mga
anyong tubig na
malapit sa Greece?
2. Saang direksyon
ng Greece makikita
ang Isla ng Crete?
3. Paano
nakaimpluwensiya ang
lokasyon ng Greece
sa pag-usbong ng
Kabihasnang Greek?
Mapa 1.1 Mapa ng Europe
124
Gawain 4. Magbasa at Matuto
Panuto: Bilang panimula, basahin at unawain ang sumusunod na teksto
tungkol sa Kabihasnang Minoan at Mycenaean.
Suriin ang timeline bilang gabay sa pagtalakay sa Kabihasnang Greece.
Naging sentro ng sinaunang Greece ang mabundok na bahagi ng tangway ng
Balkan sa timog at ilang mga pulo sa karagatan ng Aegean. Samantala, ang karagatan
ng Mediterranean ang naging tagapag-ugnay ng Greece sa iba pang panig ng mundo.
Sa mundo ng mga sinaunang Greek, ang karagatan ang pinakamainam na daanan sa
paglalakbay. Dahil dito karamihan sa mga pamayanan nila ay matatagpuan 60 kilometro lamang
mula sa baybay-dagat.
Ang lupain ng Greece ay mabato at bulubundukin. Ito ang pangunahing naging
sagabal sa mabilis na daloy ng komunikasyon sa mga pamayanan. Naging mabagal ang
paglago ng mga kaisipan at teknolohiya. Subalit ito rin ang naging dahilan upang ang bawat
lungsod-estado ay magkaroon ng kani-kanilang natatanging katangian na nagpayaman sa
kanilang kultura.
Ang mga mainam na daungan na nakapaligid sa Greece ay nagbigay-daan sa
maunlad na kalakalang pandagat na naging dahilan ng kanilang maunlad na kabuhayan. Ito rin
ang nagbigay daan upang magkaroon sila ng kaugnayan sa iba’t ibang uri ng tao na nakatulong
naman upang mapayaman nila ang kanilang kultura at maibahagi ang kanilang mga naging
tagumpay sa iba’t ibang larangan ng pamumuhay sa sandaigdigan.
Halaw sa “Project Ease Modyul 4: Pagsibol ng Sibilisasyong Griyego pp. 8-10
431 B.C. E
Nagsimula ang
Peloponnesian
War
460 B.C.E
Nagsimula
ang Golden
Age ng
Athens
404 B.C.E
Tinalo ng
Sparta ang
Athens
334-323 B.C. E
Pananakop ni
Alexander the
Great
700 B.C.E 600 B.C.E 500 B.C.E 200 B.C.E300 B.C.E400 B.C.E
700 B.C.E
Umusbong
ang mga
Lungsod-
estado ng
Greece
499 B.C.E
Nagsimula
ang Persian
War
Pigura 1.1 Timeline ng mga
pangyayari sa Kabihasnang
Greece.
125
Ang mga Minoans
Ayon sa mga arkeologo, ang kauna-
unahang sibilisasyong Aegean ay nagsimula
sa Crete mga 3100 B.C.E. o Before the
Common Era. Tinawag itong Kabihasnang
Minoan batay sa pangalan niHaring Minos,
ang maalamat na haring sinasabing
nagtatag nito. Kilala ang mga Minoan bilang
mahuhusay gumamit ng metal at iba pang
teknolohiya. Nakatira sila sa mga bahay na
yari sa laryo (bricks) at may sistema sila ng
pagsulat. Magagaling din silang
mandaragat.
Hindi nagtagal, kinilala ang Knossos
bilang isang makapangyarihang lungsod at
sinakop nito ang kabuuan ng Crete. Dito
matatagpuan ang isang napakatayog na
palasyo na nakatayo sa dalawang ektarya
ng lupa at napapaligiran ng mga bahay na
bato. Ang palasyo ay nasira ng sunud-sunod
na sunog at iba pang mga natural na
kalamidad.
Paglipas ng ilan pang taon na
tinataya 1600 hanggang 1100 B.C.E.,
narating ng Crete ang kanyang tugatog.
Umunlad nang husto ang kabuhayan dito
dulot na rin ng pakikipagkalakalan ng mga
Minoan sa Silangan at sa paligid ng Aegean.
Dumarami ang mga bayan at lungsod at ang
Knossos ang naging pinakamalaki.
Sa pamayanang Minoan ay may apat
na pangkat ng tao: ang mga maharlika, mga
mangangalakal, mga magsasaka, at ang
mga alipin. Sila ay masayahing mga tao at
mahiligin sa magagandang bagay at
kagamitan. Maging sa palakasan ay di
nagpahuli ang mga Minoan. Sila na siguro
ang unang nakagawa ng arena sa buong
daigdig kung saan nagsasagawa ng mga
labanan sa boksing.
Gabay na Tanong
Saan nagsimula ang Kabihasnang
Minoan?
____________________________
____________________________
Ano ang dahilan ng pag-unlad ng
kabuhayan ng mga Minoan?
____________________________
____________________________
Sino-sino ang mga pangkat ng tao
sa pamayanang Minoan?
____________________________
____________________________
Bakit nagwakas ang Kabihasnang
Minoan?
____________________________
____________________________
Ang kabihasnang Minoan ay
tumagal hanggang mga 1400 B.C.E.
Nagwakas ito nang salakayin ang
Knossos ng mga di nakikilalang mga
mananalakay na sumira at nagwasak
sa buong pamayanan. Tulad ng
inaasahan, ang iba pang mga
lungsod ng mga Minoan ay
bumagsak at isa-isang nawala.
126
http://en.wikipedia.org/wiki/File:Path3959-83.png
Ang mga Mycenaean
Bago pa man salakayin at sakupin ng mga
Mycenaean ang Crete, nasimulan na nilang
paunlarin ang ilang pangunahing kabihasnan sa
Timog Greece.
Ang Mycenaea na matatagpuan 16 kilometro
ang layo sa aplaya ng karagatang Aegean ang
naging sentro ng kabihasnang Mycenaean. Ang mga
lungsod dito aypinag-ugnay ng maayos na daanan
at mga tulay. Napapaligiran ng makapal na
paderang lungsod upang magsilbing pananggalang
sa mga maaring lumusob dito.Pagdating ng 1400
B.C.E., isa nang napakalakas na mandaragat ang
mgaMycenaean at ito ay nalubos ng masakop at
magupo nila ang Crete. Naiugnay nila ang Crete sa
lumalagong kabihasnan sa Greece. Maraming mga
salitang Minoan ang naidagdag sa wikang Greek.
Ang sining ng mga Greek ay naimpluwensiyahan ng
mga istilong Minoan. Ilan sa mga alamat ng Minoan
ay naisama sa mga kwento at alamat ng mga Greek.
Bagamat walang naiwang mga nakasulat na
kasaysayan, ang pagsasalin-salinng mga kwento ng
mga hari at bayaning Mycenaean ay lumaganap. Di
naglaon ang mga kuwentong ito ay nag-ugnay sa
mga tao at sa mga diyos-diyosan. Ito ang sinasabing
naging batayan ng mitolohiyang Greek.Sa bandang
huli, di nailigtas ng mga pader na kanilang ginawa
ang mga Mycenaean sa paglusob ng mga
mananalakay.
Noong 1100 B.C.E., isang pangkat ng tao
mula sa hilaga ang pumasok sa Greece at iginupo
ang mga Mycenaean. Sila ay kinilalang mga Dorian.
Samantala, isang pangkat naman ng tao na
mayroon dinkaugnayan sa mga Mycenaean ang
tumungo sa timog ng Greece sa may lupain sa Asia
Minor sa may hangganan ng karagatang Aegean.
Nagtatag sila ng kanilangpamayanan at tinawag
itong Ionia.Nakilala sila bilang mga Ionian.
Ang mga pangyayaring ito ay tinaguriang
dark ageo madilim na panahon natumagal din nang
halos 300 taon. Naging palasak ang digmaan ng
mga iba’t ibang kaharian. Nahinto ang kalakalan,
pagsasaka, at iba pang gawaing
pangkabuhayan.Maging ang paglago ng sining at
pagsulat nang unti-unti ay naudlot din.
Ano-anong impormasyon ang
mahahalaw mula a teksto?
1. _________________________
_________________________
2. _________________________
__________________________
3. __________________________
__________________________
4. __________________________
__________________________
5. __________________________
__________________________
Halaw sa “Project Ease Modyul 4: Pagsibol
ng Sibilisasyong Griyego pp 10-11
Mapa 1.2 Lokasyon ng Kabihasnang Mycenaea
127
Gawain 5. Daloy ng mga Pangyayari
Panuto: Batay sa binasang teksto, isulat ang limang mahahalagang
pangyayari sa kasaysayan ng sibilisasyong Minoan at Mycenean.
Pamprosesong Tanong
1. Batay sa mga tekstong binasa, ano ang katangian ng kabihasnang
Minoan at Mycenean?
2. Ano-ano ang mga nakita mong pagkakaiba at pagkakatulad ng
kabihasnang Minoan at Mycenean?
3. Sa iyong palagay, ano ang epekto ng nabanggit na mga kabihasnan
sa pag-usbong ng kabihasnang Greek?
Minoan
Mycenean
128
Sa bahaging ito, alamin mo ang mahahalagang pangyayaring
nagbigay-daan sa pag-usbong, pag-unlad at pagbagsak ng Klasikal na
kabihasnang Greece.
Gawain 6. Magbasa at Matuto
Panuto: Basahin at unawain ang mga tekstong ilalahad sa bahaging ito.
Sagutin din ang mga katanungan sa bawat kahon.
Mula sa labi ng madilim na panahon, unti-unting umusbong sa Ionia ang isang
bagong sibilisasyon na mabilis ding lumaganap sa kabuuan ng Greece. Ilang pamayanan
sa baybayin ng Greece na tinatawag ang kanilang sarili na Hellenes o Greeks ang
nagkaroon ng malaking bahagi sa sibilisasyong ito. Kinilala ito sa kasaysayan bilang
Kabihasnang Hellenic mula sa kanilang tawag sa Greece na Hellas.Ito ay tumagal mula
800 B.C.E. hanggang 400 B.C.E. at naging isa sa mga pinakadakilang sibilisasyong
naganap sa kasaysayan ng daigdig.
Ang mga Polis
Dahil sa mga digmaan bago pa ang Panahong
Hellenic, nagtayo ng mga kuta ang mga Greek sa mga
lugar sa may gilid ng mga burol at sa mga taluktok ng
bundok upang maprotektahan ang kanilang sarili sa
pagsalakay ng iba’t ibang pangkat. Ang mga pook na ito
ay naging pamayanan. Dito nagsimula ang mga lungsod-
estado o polis kung saan hango ang salitang may
kinalaman sa pamayanan tulad ng pulisya, politika at
politiko. May malalaki at maliliit na polis. Ang
pinakahuwarang bilang na dapat bumuo ng isang polis ay
5000 na kalalakihan dahil noon ay sila lamang ang
nailalagay sa opisyal na talaan ng populasyon ng
lungsod-estado. Karamihan sa mga polis ay may mga
pamayanang matatagpuan sa matataas na lugar na
tinawag na acropolis o mataas na lungsod. Sa panahon
ng digmaan, ito ang naging takbuhan ng mga Greek para
sa kanilang proteksyon. Sa acropolis matatagpuan ang
matatayog na palasyo at templo kung kaya’t ito ang
naging sentro ng politika at relihiyon ng mga Greek.
Samantala, ang ibabang bahagi naman ay tinawag na
agora o pamilihang bayan. Napapaligiran ng mga
pamilihan at iba pang mga gusali na nagbigay daan sa
malayang bilihan at kalakalan.
Batay sa teksto, isulat
ang kahulugan ng mga
sumusunod na salita:
polis-______________
___________________
___________________
acropolis-___________
___________________
___________________
agora- _____________
___________________
___________________
129
Sparta, ang Pamayanan ng mga Mandirigma
Ang polis o lungsod-estado ng Sparta ay itinatag ng mga Dorian sa Peloponnesus
na nasa timog na bahagi ng tangway ng Greece. Sa lahat ng mga lungsod-estado, ang
Sparta lamang ang hindi umasa sa kalakalan. Ito ay may magandang klima, sapat na
patubig at matabang lupa na angkop sa pagsasaka.Pinalawak ng mga Spartan ang kanilang
lupain sa pamamagitan ng pananakop ng mga karatig na lupang sakahan at
pangangangamkam nito. Ang mga magsasaka mula sa nasakop na mga lugar ay dinala nila
sa Sparta upang maging mga helot o tagasaka sa malawak nilang lupang sakahan.
Samakatuwid, naging alipin ng mga Spartan ang mga helot. Maraming pagkakataon na nag-
alsa laban sa mga Spartan ang mga helot ngunit ni isa rito ay walang nagtagumpay. Dahilan
sa palagiang pag-aalsa ng mga helot, nagdesisyon ang mga Spartan na palakasin ang
kanilang hukbong militar at magtatag ng isang pamayanan ng mga mandirigma upang
maging laging handa sa kahit anong pag-aalsang gagawin ng mga helot.
Karagdagang babasahin:
Kasaysayan ng Daigdig, Batayang
Aklat sa Araling Panlipunan
Ikatlong Taon nina Mateo et. al.
pp. 114-116.
Sa mga lungsod-estado, naramdaman ng mga
Greek na sila ay bahagi ng pamayanan. Ito ang
dahilan kung bakit ipinagkaloob naman nila dito ang
kanilang katapatan at paglilingkod. Hindi lahat ng mga
nasa lungsod-estado ay mamamayan nito. Ang mga
lehitimong mamamayan ay binigyang karapatang
bomoto, magkaroon ng ari-arian, humawak ng
posisyon sa pamahalaan, at ipagtanggol ang sarili sa
mga korte.
Bilang kapalit, sila ay dapat na makilahok sa
pamahalaan at tumulong sa pagtatanggol sa mga
polis sa panahon ng digmaan. Ang lahat ng ito,
dagdag pa ang paglago ngkalakalan, ay nagbigay
daan sa pag-unlad ng mga lungsod-estado. Kasabay
nito ang mabilis na paglaki ng populasyon na naging
pangunahing dahilan naman kung bakit nangibang
lugar ang mga Greek. Ang iba ay napadpad sa paligid
ng mga karagatang Mediterranean at Iton. Bagamat
napunta sila at nanirahan sa malalayong lugar, di
nawala ang kanilang ugnayan sa pinagmulang
lungsod-estado o metropolis.
Mula sa pakikipagkalakalan sa iba’t ibang
panig ng daigdig, natutuhan ng mga Greek ang mga
bagong ideya at teknik. Mula sa mga Phoenician ay
nakuha nila ang ideya ng alpabeto na naging bahagi
naman ng kanilang sariling alpabeto. Ginamit din nila
ang mga teknik ng mga Phoenician sa paggawa ng
mas malalaki at mabibilis na barko. Sa mga Sumerian
naman ay namana nila ang sistema ng panukat. Mula
naman sa mga Lydian ay natutuhan nila ang paggamit
ng sinsilyo at barya sa pakikipagkalakalan.
Pamprosesong
Tanong
1. Ano-ano ang mga
karapatang
tinatamasa ng mga
lehitimong
mamamayan ng
isang lungsod-
estado?
2. Ano-ano ang
responsibilidad ng
isang mamamayan
sa lungsod-estado?
3. Bakit mahalaga ang
pakikipagkalakalan
para sa mga
Greek?
130
Ang naging pangunahing mithiin ng lungsod-estado ng
Sparta ay magkaroon ng mga kalalakihan at kababaihang
walang kinatatakutan at may malalakas na pangangatawan.
Ang mga bagong silang na sanggol ay sinusuri. Kapag
nakitang mukhang mahina at sakitin ang isang sanggol ay
dinadala sa paanan ng kabundukan at hinahayaang mamatay
doon. Samantala, ang malulusog na sanggol ay hinahayaang
lumaki at maglaro sa kani-kanilang bahay, hanggang sumapit
ang ikapitong taon nila. Pagsapit ng pitong taon, ang mga
batang lalaki ay dinadala na sa mga kampo-militar upang
sumailalim sa mahigpit na disiplina at sanayin sa serbisyo
militar. Malakas na pangangatawan, katatagan, kasanayan sa
pakikipaglaban, at katapatan ang ilan sa pangunahing layunin
ng pagsasanay. Tinitiis nila ang mga sakit at hirap nang walang
reklamo. Pinapayagan lamang sila na makita ang kanilang
pamilya sa panahon ng bakasyon. Sa gulang na 20, ang mga
kabataang lalaki ay magiging sundalong mamamayan at
ipinapadala na sa mga hangganan ng labanan. Sa edad na 30,
sila ay inaasahang mag-aasawa na ngunit dapat na kumain at
manirahan pa rin sa kampo, kung saan hahati na sila sa
gastos. Sa edad na 60, sila ay maaari nang magretiro sa
hukbo.
Sa lipunan ng mga Spartan, ang lahat ay nakikiisa
upang mapigilan ang mga pag-aalsa ng mga helot. Maging
ang mga kababaihan ay sinasanay na maging matatag. Di
tulad ng mga kababaihang Greek na limitado ang
ginagampanan sa lipunan, ang mga kababaihang Spartan ay
maraming tinatamasang karapatan. Sila ang mga nag-aasikaso
ng lupain ng kanilang mga asawa habang ang mga ito ay nasa
kampo militar. Nangunguna din sila sa mga palakasan at
malayang nakikipaghalubilo sa mga kaibigan ng kani-kanilang
mga asawa habang masaya silang nanonood ng mga palarong
tulad ng pagbubuno o wrestling, boksing, at karera.
Ang Sparta ang responsable sa pagkakaroon ng
pinakamahusay na sandatahang lakas sa buong daigdig. Sa
simula, labu-labo kung makipagdigma ang mga Greek. Oo
nga’t sama-samang nagmamartsa sa lugar ng digmaan, ang
mga sundalo ay isa-isang nakikipaglaban sa mga kaaway
hanggang sila ay manghina at mamatay. Nang lumaon ang
mga Griyego, lalo na ang mga Spartan, ay mas naging
maparaan sa kanilang pakikipagdigma. Sa halip na lumusob ng
isa-isa sa mga kalaban,sila ay nananatiling sama-sama sa
pagkakatayo pasulong man o paurong sa labanan,hawak ang
pananggalang sa kaliwang kamay at espada naman sa kanan.
Ang hukbong ito na tinaguriang phalanx ay karaniwang
binubuo ng hanggang 16 na hanay ng mga mandirigma. Kapag
namatay ang mga sundalo sa unang hanay, ito ay mabilis na
sinasalitan ng susunod pang hanay. Ang phalanx ay hindi mga
bayarang mandirigma, sila ay tagapagtanggol ng kanilang
polis.
Pamprosesong
Tanong:
1. Ano ang
pangunahing
katangian ng Sparta
bilang isang
lungsod-estado ng
Greece?
2. Paano sinasanay
ang mga Spartan
upang maging
malakas?
3. Paano nakabuti at
nakasama ang
paraan ng disiplina
ng mga Spartan?
Karagdagang babasahin:
Kasaysayan ng Daigdig, Batayang
Aklat sa Araling Panlipunan
Ikatlong Taon nina Mateo et. al.
pahina 117
131
Ang Athens at ang Pag-unlad Nito
Sa simula ng 600 B.C.E., ang Athens ay isa
lamang maliit na bayan sa gitnang tangway ng Greece
na tinatawag na Attica. Ang buong rehiyon ay hindi
angkop sa pagsasaka kaya karamihan sa mga
mamamayan nito ay nagtrabaho sa mga minahan,
gumawa ng mga ceramics, o naging mangangalakal o
mandaragat. Hindi nanakop ng mga kolonya ang
Athens.Sa halip, pinalawak nito ang kanilang teritoryo
na naging dahilan upang ang iba pang nayon sa Attica
ay sumali sa kanilang pamamahala.
Sa sinaunang kasaysayan, ang Athens ay
pinamunuan ng mga tyrant na noon ay
nangangahulugang mga pinunong nagsusulong ng
karapatan ng karaniwang tao at maayos na
pamahalaan. Bagamat karamihan sa kanila ay naging
mabubuting pinuno, may mangilan-ngilan din na
umabuso sa kanilang posisyon na nagbigay ng bagong
kahulugan sa katawagang tyrant bilang malupit na
pinuno sa ating panahon, sa kasalukuyan.
Sa simula, ang Athens ay pinamunuan ng hari
na inihalal ng asembleya ng mamamayan at
pinapayuhan ng mga mga konseho ng maharlika. Ang
asembleya ay binubuo naman ng mayayaman na may
malaking kapangyarihan. Ang mga pinuno nito ay
tinawag na Archon na pinapaburan naman ang mga
may kaya sa lipunan.
Di nagtagal, nagnais ng pagbabago ang mga
artisano at mga mangangalakal. Upang mapigil ang
lumalalang sitwasyon ng mga di nasisiyahang
karaniwang tao, nagpagawa ang mayayamang tao o
aristokrata ng nakasulat na batas kay Draco isang
tagapagbatas. Malupit ang mga batas ng Greek at
hindi ito binago ni Draco ngunit kahit na paano ang
kodigong ginawa niya ay nagbigay ng pagkakapantay-
pantaysa lipunan at binawasan ng mga karapatan ang
mga namumuno. Sa gitna ngpagbabagong ito
nanatiling di kontento ang mga mamamayan ng
Athens. Maraming Athenian ang nagpaalipin upang
makabayad ng malaking pagkakautang. Marami rin sa
kanila ang nagnais ng mas malaking bahagi sa
larangan ng politika.
Batay sa teksto, ano ang
kahulugan ng sumusunod?
tyrant-________________
_____________________
_____________________
Archon- _____________
_____________________
_____________________
https://encrypted-
tbn3.gstatic.com/images?q=tbn:A
Nd9GcReawl5Xp8agCB-
TODpqzMKAPIuktNE9yhizLwBds64
yykmPzc7kg
Larawan 1.1 Ang Parthenon ng Greece
132
http://en.wikipedia.org/wiki/Fil
e:Solon2.jpg
http://en.wikipedia.org/wiki/
Cleisthenes
Larawan 1.2 Si Solon, isang
mambabatas na Greek
Larawan 1.3 Si Pisistratus, isang
mahusay na pinunong Greek
Ang sumunod na pagbabago ay naganap noong
594 B.C.E. sa pangunguna ni Solon na mula sa mga
pangkat ng aristokrata na yumaman sa pamamagitan ng
pakikipagkalakalan. Kilala din siya sa pagiging matalino at
patas. Inalis niya ang mga pagkakautang ng mahihirap at
ginawang ilegal ang pagkaalipin nang dahil sa utang.
Gumawa rin siya ng sistemang legal kung saan lahat ng
malayang kalalakihang ipinanganak mula sa mga
magulang na Athenian ay maaaring maging hurado sa
mga korte. Ang mga repormang pampolitika na ginawa ni
Solon ay nagbigay ng kapangyarihan sa mga mahihirap at
karaniwang tao. Nagsagawa rin siya ng mga repormang
pangkabuhayan upang maisulong ang dayuhang
kalakalan at mapabuti ang pamumuhay ng mga
mahihirap. Nalutas ng repormang pangkabuhayan ang
mga ilang pangunahing suliranin ng Athens at napaunlad
ang kabuhayan nito. Sa gitna ng malawakang repormang
ginawa ni Solon, di nasiyahan ang mga aristokrata. Para
sa kanila, labis na pinaburan ni Solon ang mahihirap. Sa
kasalukuyan, ginagamit ang salitang Solon bilang tawag
sa mga kinatawan ng pambansang pamahalaan na
umuugit ng batas.
Noong mga 546 B.C.E., isang politikong
nagngangalang Pisistratus, ang namuno sa pamahalaan
ng Athens. Bagamat mayaman siya, nakuha niya ang
suporta at pagtitiwala ng karaniwang tao. Mas radikal ang
mga pagbabagong ipinatupad niya tulad ng pamamahagi
ng malalaking lupang sakahan sa walang lupang mga
magsasaka. Nagbigay siya ng pautang at nagbukas ng
malawakang trabaho sa malalaking proyektong
pampubliko. Pinagbuti niya ang sistema ng patubig sa
lungsod ng Athens, at nagpatayo ng magagandang
templo. Ipinakita rin niya ang kaniyang interes sa sining at
kultura sa pamamagitan ng pagbibigay suporta sa mga
pintor at sa mga nangunguna sa drama. Ang pagsulong
niya sa sining ang nagbigay-daan upang tanghalin ang
Athens na sentro ng kulturang Greek.
133
.
Noong 510 B.C.E., naganap muli ang pagbabago sa sistemang
politikal ng Athens sa pamumuno ni Cleisthenes. Hinati niya ang Athens
sa sampung distrito. Limampung kalalakihan ang magmumula sa bawat
distrito at maglilingkod sa konseho ng tagapayo upang magpasimula ng
batas sa Asembleya ang tagagawa ng mga pinaiiral na batas. Sa kauna-
unahang pagkakataon, nakaboto sa asembleya ang mga mamamayan,
may-ari man ng lupa o wala.
Upang mapanatili ang kalayaan ng mga mamamayan ipinatupad
ni Cleisthenes ang isang sistema kung saan bawat taon ay binibigyan ng
pagkakataon ang mga mamamayan na ituro ang taong nagsisilbing
panganib sa Athens. Kapag ang isang tao ay nakakuha ng mahigit 6,000
boto, siya ay palalayasin sa Athens ng 10 taon. Dahil sa ang pangalan ay
isinusulat sa pira-pirasong palayok na tinatawag na Ostrakon, ang
sistema ng pagpapatapon o pagtatakwil sa isang tao ay tinawag na
ostracism. Bagamat kaunti lamang ang naipatapon ng sistemang ito,
nabigyan ng mas malaking kapangyarihan ang mga mamamayan.
Sa pagsapit ng 500 B.C.E., dahil sa lahat ng mga repormang
naipatupad sa Athens, ang pinakamahalagang naganap ay ang pagsilang
ng demokrasya sa Athens, kung saan nagkaroon ng malaking bahagi ang
mga mamamayan sa pamamalakad ng kanilang pamahalaan.
Halaw sa Project EASE Modyul 4, Ang Pag-usbong ng
Sibilisasyong Griyego pahina 15-21.
Pamprosesong
Tanong:
1. Ano ang
pangunahing
katangian ng Athens
bilang iang lungsod-
estado ng Greece?
2. Para sa iyo, ano ang
pinakamahalagang
ambag ng Athens sa
daigdig?
3. Nakabuti ba sa
Greek ang
pagpapatupad ng
demoksrasya?
Patunayan.
Karagdagang babasahin:
Kasaysayan ng Daigdig,
Batayang Aklat sa Araling
Panlipunan Ikatlong Taon nina
Mateo et. al. pahina 116-117
134
Gawain 7. Paghahambing
Panuto:Sa tulong ng venn diagram, isulat ang pagkakatulad at
pagkakaiba ng Sparta at Athens bilang mga lungsod-estado ng
sinaunang Greece.
Pamprosesong Tanong
1. Paano nakaimpluwensiya ang lokasyon sa pamumuhay ng mga
Spartan at Athenian?
2. Bakit mahalaga ang mga lungsod-estado ng Sparta at Athens sa pag-
unlad ng Kabihasnang Greek?
3. Kung nabuhay ka noong panahong klasikal ng Greece, saan mo mas
pipiliiing tumira, sa Athens o sa Sparta? Ipaliwanag ang sagot.
Gawain 8. Magbasa at Matuto
Sparta Athens
Bagamat ang Greece ay binubuo ng iba’t ibang lungsod-estadong malaya sa
isa’t isa, iisa lamang ang wika at kultura ng mga Greek. Mataas ang tingin nila sa isa’t
isa, samantalang hindi edukado at mababa ang tingin nil sa mga hindi Greek.
Naranasan din ng Greece ang banta ng paglusob at pananakop ng mga kalapit
na kabihasnan. Matutunghayan mo sa bahaging ito ang mga digmaang kinasangkutan
ng Greece.
135
Halaw sa Kasaysayan ng Daigdig,
Batayang Aklat sa Araling
Panlipunan Ikatlong Taon nina
Mateo et. al. pp 117-118
Ang Banta ng Persia
Hangarin ng Persia na palawakin ang imperyo
nito sa kanluran. Noong 546 B.C.E., sinalakay ni cyrus
the Great ang Lydia sa Asia Minor. Ipinagpatuloy ni
Darius I, ang nagmana ng trono ni cyrus the Great, ang
hangaring ito. Noong 499 B.C.E., sinalakay niya ang
mga kalapit na kolonyang Greek. Nagpadala ng tulong
ang Athens ngunit natalo ang mga kolonyang Greek sa
labanang pandagat sa Miletus noong 494 B.C.E.
Bagamat natalo ang puwersa ng Athens, nais ni darius
na parusahan ang lungsod sa ginawang pagtulong at
gawin itong hakbang sa pagsakop a Greece. Bilang
paghahanda sa napipintong pananalakay ng Persia,
sinimulan ng Athens ang pagpapagawa ng isang plota
o fleet na pandigma.
Ang Digmaang Graeco- Persia (499-479 B.C.E.)
Ang unang pagsalakay ng Persia sa Greece ay
naganap noong 490 B.C.E. sa ilalim ni Darius. Tinawid
ng plota ng Persia ang Aegean Sea at bumaba sa
Marathon , isang kapatagan sa hilagang-silangan ng
Athens. Tinalo ng 10, 000 puwersa ng Athens ang
humigit-kumulang 25,000 puwersa ng Persia.
Ipinagpatuloy ni Xerxes, anak ni Darius ang
tangkang pagpapabagsak sa Athens. Noong B.C.E.,
isang madugong labanan ang naganap sa
Thermopylae, isang makipot na daanan sa gilid ng
bundok at ng silangang baybayin ng Central Greece.
Pitong libong Greek, tatlong daan sa mga ito ay taga-
Sparta sa ilalim ni Leonidas ang nakipaglaban sa
puwersa ni Xerxes. Noong una, inakala ni Xerxes na
madali niyang malulupig ang mga Greek. Hindi niya
inasahan ang katapangan at kahusayan ng mga taga-
Sparta sa pakikipagdigma. Sa loob ng tatlong araw,
dumanak ang dugo ng mga taga Persia. Subalit
ipinagkanulo ng isang Greek ang lihim na daanan
patungo sa kampo ng mga Greek. Pinayuhan ni
Leonidas ang mga Greek na lumikas habang
ipinagtatanggol ng kanyang puwersa ang
Thermopylae. Sa harap ng higit na maraming puwersa
ni Xerxes, namatay ang karamihan sa tropa ni
Leonidas.
Sinalakay at sinakop ni Xerxes ang Athens.
Subalit dinala ni Themistocles ang labanan sa
dalampasigan ng pulo ng Salamis kung saan ang
dagat ay lubhang makipot. Nahirapang iwasan ng
malaking barko ni Xerxes ang maliliit na barko ng
Athens na pilit na binabangga ang mga ito hanggang
sa mabutas. Isa-isang lumubog ang plota ng Persia.
Ang nalalabing hukbo ni Xerxes ay tinalo ng mga
alyansa ng mga lungsod-estado ng Greece sa
pamumuno ni Pausanias ng Sparta. Kabilang sa
alyansang ito ang Athens, Sparta, Corinth, at Megara.
Larawan 1.4. Paglalarawan ng
Digmaang Graeco-Persia
Ano ang dahilan ng
pagtatagumpay ng Greek
laban sa malaking puwersa
ng Persia? Ipaliwanag.
______________________
______________________
______________________
______________________
______________________
______________________.
http://althistory.wikia.com/wiki/Greek
_Glory?file=GRECO-PERSIAN-
WARS.gif
136
Mapa 1.3 Lokasyon ng Digmaang Peloponnesian
Digmaang Peloponnesian
Nais ni Pericles na manatili ang kapayapaan di
lamang sa Athens kundi maging sa mga kalapit nitong
mga lungsod-estado at maging sa Persia. Habang
umuunlad ang Athens, lumawak din ang kanilang
kapangyarihan sa kalakalan. Ito ang naging dahilan
kung bakit sa panahon ng Delian League ay naging
isang imperyo ang Athens.
Hindi lahat ng lungsod-estado ay sumang-ayon
sa ginawa ng Athens na pagkontrol sa Delian League
subalit wala silang nagawa upang umalis sa alyansa.
Kayat ang mga lungsod-estado na kasapi sa Delian
League tulad ng Sparta, Corinth at iba pa ay nagtatag
ng sarili nilang alyansa sa pamumuno ng Sparta at
tinawag itong Peloponnesian League.
Noong 431 B.C.E., nilusob ng Sparta ang mga
karatig pook ng Athens na naging simula ng Digmaang
Peloponnesian. Batid ni Pericles na mahusay na
mandirigma sa lupa ang mga Spartan kung kayat
iniutos niya ang pananatili ng mga Athenian sa
pinaderang lungsod. Samantala, inatasan niya ang
sandatahang lakas ng Athens na lusubin sa karagatan
ang mga Spartan. Ngunit sinawing-palad na may
lumaganap na sakit na ikinamatay ng libo-libong tao,
kasama na si Pericles, noong 429 B.C.E.
Lahat ng mga pumalit kay Pericles ay hindi
nagtagumpay dahilan sa mga mali nilang mga
desisyon. Isa na rito si Alcibiades. Matapos siyang
akusahan ng mga Athenian na lumalabag sa
paniniwalang panrelihiyon, tumakas siya patungong
Sparta upang iwasan ang pag-uusig sa kanya. Doon
siya ay naglingkod laban sa kanya mismong mga
kababayan. Di naglaon bumalik din si Alcibiades sa
Athens at siya ay pinatawad at binigyang-muli ng
pagkakataong pamunuan ang sandatahang lakas ng
Athens. Bagamat naipanalo niya ang ilang laban nila
sa Sparta, lubhang malakas ang mga Sparta at noong
404 B.C.E., sumuko ang mga Athenian. Bilang ganti,
ipinapatay ng mga Spartan si Alcibiades.
Ang dalawampu’t pitong taong Digmaan ng
Peloponnesian ay isang malaking trahedya para sa
Greece. Nagkaroon ng malawakang pagkawasak ng
ari-arian at pagkamatay ng mga tao. Lumala rin ang
suliranin sa kawalan ng hanapbuhay, pagtaas ng
presyo ng mga bilihin, at kakulangan sa pagkain.
Halaw sa Project EASE Modyul 4: Ang Pag-usbong ng
Sibilisasyong Greece pp. 31-32
Ano ang epekto sa Greece ng
hidwaan at digmaan sa pagitan ng
mga lungsod-estado nito? Ipaliwanag
______________________________
______________________________
______________________________
______________________________
_____________________________.
Karagdagang Babasahin:
Kasaysayan ng Daigdig, Batayang Aklat sa
Araling Panlipunan Ikatlong Taon nina Mateo
et.al. pp 119
http://en.wikipedia.org/wiki/Peloponnesian
_War
137
Gawain 9. A-K-B Chart
Panuto: Punan ang diagram ng kinakailangang impormasyon batay sa
binasang teksto.
Pamproseng Tanong
1. Ano ang pinakamahalagang kontribusyon ng mga Spartan at Athenian
sa daigdig?
2. Alin sa sumusunod na kontribusyon ang may kaugnayan sa
kasalukuyan? Patunayan.
Digmaang Kinasangkutan ng Sinaunang Greece
Aktor (Sino ang
magkalaban?)
Kaganapan
(Anu-ano ang
mga
mahahalagang
pangyayari?)
Bunga
(Ano ang
resulta ng
digmaan?)
138
Gawain 10. Magbasa at Matuto. Basahin at unawain ang teksto tungkol
Ginintuang Panahon ng Athens.
Ginintuang Panahon ng Athens
Noong 461 B.C.E., si Pericles, isang
strategos o heneral na inihalal ng mga
kalalakihang mamamayan ang namuno sa
Athens. Taon-taon ay nahahalal si Pericles
hanggang sa sumapit ang kaniyang kamatayan
noong 429 B.C.E.
Sa loob ng mahabang panahon ng
kaniyang panunungkulan, maraming pinairal
na mga programang pampubliko si Pericles.
Lahat ay naglalayong gawing
pinakamarangyang estado ang Athens.
Nais ni Pericles na lumawak pa ang
umiiral na demokrasya sa Athens kung kaya’t
dinagdagan niya ang bilang ng mga
manggagawa sa pamahalaan at sinuwelduhan
niya ang mga ito. Lahat ng mamamayan ay
nagkaroon pagkakataong makapagtrabaho sa
pamahalaan mayaman man o mahirap. Kaya di
nagtagal mga ikatlong bahagi (1/3) ng
populasyon ng Athens ay bahagi na ng mga
gawain ng pamahalaan.
Ngunit hindi lahat ay nasiyahan sa mga
repormang ipinatupad ni Pericles. Para sa
mayayaman ang ginawa niyang mga
pagbabago ay magdudulot ng pagkalugi sa
pamahalaan at maghihikayat ng katamaran sa
mga ordinaryong mamamayan. Ipinagtanggol
niya ang kanyang mga ginawang pagbabago
sa pamamagitan ng pagbibigay ng isang
pahayag na naitala naman ni Thucydides, na
isang historyador. Ayon kay Pericles “Ang ating
konstitusyon ay isang demokrasya sapagkat ito
ay nasa mga kamay ng nakararami at hindi ng
iilan.”
Mahalaga ang edukasyon para sa mga
Athenian. Ang mga lalaki ay pinag-aaral sa
mga pribadong paaralan kung saan sila ay
natuto ng pagbasa, matematika, musika,at mga
obra ni Homer na Iliad at Odyssey. Hinikayat
din silang talakayin ang sining, politika at iba
pang usapin. Ang palakasan ay bahagi rin ng
kanilang pag-aaral.
Sa edad na 18 taong gulang, ang mga
lalaki ay nagsasanay sa militar ng 2 taon at
pagkatapos ay maaari nang maging
mamamayan ng Athens at makibahagi sa
pamahalaan nito. Samantala, ang mga
kababaihan ay itinuring na mas mababa sa
mga kalalakihan. Hindi sila nabigyan ng
pagkamamamayan at hindi maaaring
makibahagi sa pamahalaan. Hindi rin sila
maaaring magmay-ari. Ang kanilang buhay ay
umiikot sa mga gawaing bahay at pag-aalaga
ng mga anak. Sa edad na 14-16 sila ay
ipinakakasal sa mga lalaking napili ng kanilang
mga magulang.
Pagsasaka ang karaniwang
ikinabubuhay ng mga Athenian. Ang mga ani
ay kanilang kinakain. Ang mga sobrang
produkto ay ipinapalit nila ng iba pang
kagamitang pambahay.
Bagamat marangya at magarbo ang
ang mga gusaling pampubliko, ang mga
tahanan naman ay simple lamang, maging ito
ay pag-aari ng mayayaman o karaniwang tao.
Sa kabuuan, simple lamang ang naging
pamumuhay sa sinaunang Greece.Ngunit mula
sa simpleng pamumuhay na ito ay lumitaw ang
pinakamahuhusay na artista, manunulat, at
mga pilosopo na tinitingala sa sandaigdigan
hanggang sa ating makabagong panahon.
Ang may-akda ng mga natatanging
pilosopong Greek sa larangan ng politika
ay kinilala sa mundo tulad ng The Republic ni
Plato at Politics ni Aristotle.
Maging sa larangan ng arkitektura ay
nakilala ang mga Greek. Kahangahanga ang
arkitektura ng mga templo. Ang ilan dito ay
matatagpuan sa Athens, Thebes, Corinth, at
iba pang siyudad. Ang tatlong natatanging
estilo na Ionian, Doric, at Corinthian ay
naperpekto nila nang husto.
139
Ang pinakamagandang halimbawa ay
ang Parthenon, isang marmol na templo sa
Acropolis sa Athens. Ito ay itinayo nina Ictinus
at Calicrates at inihandog kay Athena, ang
diyosa ng karunungan at patrona ng Athens.
Ilan sa mga labi ng iskulturang Greek ay
matatagpuan din sa mga templo ng Crete,
Mycenaea, at Tiryus. Ang pinakadakilang
Greek na iskultor ay si Phidias. Ang estatwa ni
Athena sa Parthenon at ni Zeus sa Olympia ay
ilan lamang sa mga obra maestra niya. Ilan
pang mga natatanging iskultura ay ang
Collossus of Rhodes ni Chares at Scopas ni
Praxiteles na parehong itinanghal na Seven
Wonders of the Ancient World.
Kinilala rin ang kontribusyon ni
Herodotus sa larangan ng kasaysayan. Ang
kanyang mga paglalakbay sa Asya at Sparta ay
nakatulong upang maging obra maestro niya
ang Kasaysayan ng Digmaang Persian.
Tinawag siyang Ama ng Kasaysayan.
Sinundan ito ng isa pang historyador, si
Thucydides. Ilan sa mga isinulat niya ay ang
Anabis, isang kuwento ng sikat na martsa ng
mga Greek mula sa Babylonia hanggang Black
Sea at Memorabilia na kalipunan ng mga
kuwento ng guro niyang si Socrates.
Nagkaroon din ng kaalaman sa
makabagong medisina sa sinaunang Greece.
Ang pinakadakilang Greek na manggagamot ay
si Hippocrates na kinilala bilang Ama ng
Medisina. Itinaas niya ang larangan ng
medisina bilang agham at hindi bunga ng
mahika.
Marami ring Greek ang kinilala at
dinakila dahil sa kanilang naging ambag sa
larangan ng agham at pilosopiya. Ang kauna-
unahang pilosopiya ay ipinakilala ni Thales ng
Militus. Ayon sa kaniya ang sandaigdigan ay
nagmula sa tubig, ang pangunahing elemento
ng kalikasan. Samantala si Pythagoras naman
ang nagpasikat ng doktrina ng mga numero
kung saan sinasabi niya na ang bilang na tatlo,
lima at pito ay maswerteng mga numero.
Ilang dekada matapos ang Digmaang
Persian, isang pangkat ng mga guro na
tinatawag na mga Sophist ang sumikat sa
Athens. Nagpakilala sila ng pagbabago sa mga
umiiral na pilosopiya. Ayon sa kanila maaaring
turuan ang mga tao na gumawa ng
magagandang batas,
makapagsalita, at makipagdebate sa mga
Asembleya. Maraming Athenian ang tumuligsa
sa mga pilosopiya ng mga Sophist. Isa na rito
ay si Socrates. Ayon sa kaniya mahalaga na
kilalanin mo ang iyong sarili (know thyself).
Ayon sa kaniya dapat na patuloy na magtanong
ang mga tao hinggil sa mga bagay-bagay
upang matiyak kung sila ay may mga
kasagutan sa mga katanungang ito.
Ang pamamaraang ito ay kinikilala
ngayon na Socratic Method. Di nagustuhan ng
mga Athenian ang ginawang pagtatanong ni
Socrates lalo na ang mga tungkol sa mga
diyos-diyosan at ilang patakaran ng Athens.
Dahilan dito siya ay nakulong at nahatulan ng
kamatayan. Ngunit bago pa siya naparusahan,
siya ay nagpakamatay sa pamamagitan ng
paglason sa sarili. Ang lahat ng mga ideya ni
Socrates ay hindi niya naisulat.
Si Plato, ang kaniyang pinakasikat na
mag-aaral, ang nagsumikap na maitala ang
lahat ng dayalogo sa pagitan ng dalawa o mas
higit pang tauhan. Ang pinakatanyag ay ang
Republic, isang talakayan tungkol sa katangi-
tanging polis at ang uri ng pamahalaan na
makapagbibigay ng kaligayahan sa mga
mamamayan nito.
Samantala, si Aristotle, ang
pinakamahusay na mag-aaral ni Plato, ay
nagpakadalubhasa sa pag-aaral ng halaman,
hayop, astronomiya, at pisika na pawang
nangangailangan ng masusing pagmamasid.
Ayon sa kaniya, ang alinmang teorya ay maaari
lamang tanggapin kung ito ay batay sa
masusing pagmamasid ng mga katotohanan.
Kinilala si Aristotle na Ama ng Biyolohiya. Ilan
sa mga tanyag niyang aklat ay ang Poetic,
isang pagsusuri sa mga iba’t ibang dula-
dulaan, ang Rhetoric na nagsasabi kung
paano dapat ayusin ng isang nagtatalumpati
ang kanyang talumpati, at ang Politics kung
saan tinalakay ng mga mamamayan ang iba’t
ibang uri ngpamahalaan.
Halaw sa Project EASE Modyul 4, Ang Pag-usbong
ng Sibilisasyong Griyego.
140
Gawain 11. Talahanayan, Punan Mo.
Panuto: Mula sa binasang teksto tungkol sa ginintuang panahon ng Athens,
buuin ang talahanayan ng mga ambag ng Greece sa iba’t ibang larangan.
Larangan Ambag Kahalagahan
Pamprosesong Tanong
1. Ano ang epekto ng kabihasnang Greece sa kasalukuyang panahon?
2. Alin sa mga nabanggit na kontribusyon ang may pinakamalawak na
epekto sa pamumuhay ng mga Pilipino? Patunayan.
141
Gawain 12. Magbasa at Matuto
Panuto: Basahin at unawain ang nilalaman ng sumusunod na teksto
tungkol sa paglakas ng Imperyong Macedonia at pagbagsak ng mga
lungsod-estado ng Greece.
.
Imperyong Macedonian
Hinangad ni Philip, hari ng
Macedonia , na pag-isahin ang mga
lungsod-estado sa Greece sa ilalim ng
kanyang pamamahala. Upang matupad
ang kaniyang hangarin, bumuo siya ng
isang hukbo at sinanay sa pinakamabisang
paraan ng pakikipagdigma. Bilang
pagtatanggol ng kanilang kalayaan,
sinalakay ng magkasanib na puwersa ng
Athens at ng Thebes ang Macedonia noong
338 B.C.E. Madaling tinalo ni Philip ang
hukbo ng dalawang lungsod-estado.Ang
pagkatalo ng Athens at Thebes ay hudyat
ng pagtatapos ng kapangyarihan ng mga
lungsod-estado. Ang buong Greece,
maliban sa Sparta, ay napasailalim sa
kapangyarihan ng Macedonia.
Naging tanyag na pinuno ng
Macedonia ang anak ni Philip na si
Alexander the Great. Noong siya ay bata
pa lamang, naging guro niya si Aristotle na
nagturo sa kaniya ng pagmamahal sa
kultura at karunungan. Habang lumalaki,
natutuhan niya ang kagalingan sa
pakikipagdigma. Siya ay 21 taong gulang
nang mamatay ang kanyang ama at naging
hari ng Macedonia at Greece. Matalino,
malakas ang loob at magaling na pinuno si
Alexander. Sinalakay niya ang Persia at
Egypt at pagkatapos ay tumungo sa
silangan at sinakop ang Afghanistan at
hilagang India. Nagtatag siya ng imperyo
na sumakop sa kabuuan ng kanlurang
Asya, Egypt, at India. Pinalaganap niya
ang kaisipang Greek sa silangan.
Noong 323 B.C.E., sa gulang na 32
taon namatay si Alexander sa Babylon sa
hindi matiyak na karamdaman.
Gabay na Tanong
1. Ano ang dahilan ng paghina
ng mga lungsod-estado ng
Greece?
2. Ano ang nagbigay-daan sa
paglakas ng Macedonia?
3. Ano ang maituturing na
kontribusyon ng Imperyong
Macedonia sa mundo?
Halaw mula sa Kasaysayan ng Daigdig,
Batayang Aklat sa Araling Panlipunan,
Ikatlong Taon nina Mateo et. al. pahina
119-120
http://upload.wikimedia.org/wikipedia/comm
ons/a/ac/BattleofIssus333BC-mosaic-
detail1.jpg
Larawan 1.5 Paglalarawan kay Alexander
the Great
142
GAWAIN 13: GREECE…SA ISANG TINGIN
Panuto: Punan ang word map ng maikling pagpapaliwanag tungkol sa bawat
konseptong tumutukoy sa Kabihasnang Greece. Matapos punan
ang word map ay sagutin ang tanong sa kahon.
Sinaunang Kabihasnang Greece
Heograpiya
Politika
Ekonomiya
Pilosopiya Sining at
Arkitektura
Agham at
Teknolohiya
Bakit itinuturing na isang Kabihasnang Klasikal ang Kabihasnang Greek?
___________________________________________________________________
___________________________________________________________________
___________________________________________________________________
___________________________________________________________________
___________________________________________________________________
___________________________________________________________________
___________________________________________________________________
___________________________________________________________________
___________________________________________________________________
___________________________________________________________________
___________________________________________________________________
143
Suriin ang timeline ng kasaysayan ng Imperyong Roman. Magagamit
itong gabay sa mga susunod na pagtalakay.
Sa pagkamatay ni Alexander the Great, unti-unting humina ang malawak
na imperyong kanyang naitatag. Sa kabilang dako naman ng kanlurang Europe,
isang pamayanan ang unti-unting namumukadkad. Ito ay ang Rome. Kung ang
Greece ay kilala sa taguring “the glory that was Greece” makikilala ang Rome sa
taguring “the grandeur that was Rome”. Ano kaya ang kahulugan nito? Halina’t
iyong tuklasin.
27 B.C.E
Nagsimula
ang Pax
Romana sa
pamumuno
ni Augustus
450 B.C.E
Naging
pundasyon
ng batas ng
mga
Romans
ang Twelve
Tables
264 B.C.E.
Sumiklab
ang Punic
War
202 B.C.E.
Natalo ng
mga
Romans si
Hannibal
45 B.C.E
Naging
diktador ng
Rome si
Julius
Caezar
180 C.E.
Nagtapos
ang Pax
Romana
306 C.E.
Naging
emperador ng
imperyo si
Constantine
750 B.C.E 500 B.C.E 250 B.C.E 500 A.D.250 C.E1 C.E.
509 B.C.E.
Itinatag
ang
Roman
Republic
284 C.E.
Hinati ni
Diocletian
ang
imperyong
Rome
476 C.E.
Nagtapos
ang
imperyong
Romano sa
Kanluran
Pigura 1.2 Timeline ng mga pangyayari sa
Imperyong Rome.
144
Gawain 14. Magbasa at Matuto.
Panuto: Basahin at unawain ang teksto tungkol sa Kabihasnan ng Rome.
.
Ang Italy ay isang bansang
matatagpuan sa kanlurang Europe.
Ito ay isang peninsula na nakausli
sa Mediterranean Sea. Katulad ng
Greece, ang Italy ay binubuo ng
maraming kabundukan at ilang mga
kapatagan. Isang mahalagang
kapatagan ang Latium. Ang Ilog
Tiber ay dumadaloy sa kapatagang
ito. May ilang bakas ng sinaunang
kabihasnan sa kapatagan ng Latium
at sinasabing dito umusbong ang
dakilang lungsod ng Rome.
Masasabing istratehiko ang
lokasyon ng Rome dahil sa Ilog
Tiber na nag-uugnay dito at sa
Mediterranean Sea. Ang lokasyong
ito ay nagbigay-daan sa
pakikipagkalakalan ng Rome sa
mga bansang nakapalibot sa
Mediterranean Sea. Ang saganang
kapatagan at maunlad na
agrikultura ay kayang suportahan
ang pagkakaroon ng malaking
populasyon.
Ano ang kaugnayan ng heograpiya sa
pag-usbong ng Rome bilang isang
matatag na lungsod?
__________________________________
__________________________________
__________________________________
__________________________________
__________________________________
Mapa 1.4. Lokasyon ng Kabihasnang Rome
145
Ang Rome ay itinatag sa
kalagitnaan ng ikawalong siglo
B.C.E. ng mga unang Roman na
nagsasalita ng Latin, isang sangay
ng wikang nabibilang sa Indo-
Europeo. Sila ay lumipat sa gitnang
Italy at nagtayo ng sakahang
pamayanan sa Latium Plain.
Ayon sa isang
matandang alamat ang
Rome ay itinatag ng
kambal na sina Romulus at
Remus. Habang mga
sanggol pa lamang,
inilagay sila sa isang
basket at ipinaanod sa
Tiber River ng kanilang
amain sa takot na angkinin
ng kambal ang kaniyang
trono.
Ang kambal ay
sinagip at inaruga ng isang
babaing lobo. Nang lumaki
ang dalawa at nalaman
ang kanilang pinagmulan,
inangkin nila ang trono at
itinatag ang Rome sa
pampang ng Tiber River
noong 753 B.C.E.
Ang mga Roman ay tinalo
ng mga Etruscan, ang kalapit na
tribo sa hilaga ng Rome. Sila ay
magagaling sa sining, musika, at
sayaw. Dalubhasa rin sila sa
arkitektura, gawaing metal, at
kalakalan . Tinuruan nila ang mga
Roman sa pagpapatayo ng mga
gusaling may arko, mga aqueduct,
mga barko, paggamit ng tanso,
paggawa ng mga sandata sa
pakikipagdigma, pagtatanim ng
ubas, at paggawa ng alak.
Paano nagsimula ang Rome?
__________________________________
__________________________________
__________________________________
__________________________________
__________________________________
__________________________________
__________________________________
__________________________________
__________________________________
Halaw sa Kasaysayan ng Daigdig,
Batayang Aklat sa Araling Panlipunan,
Ikatlong Taon nina Mateo et. al. pahina
126-127
http://upload.wikime
dia.org/wikipedia/co
mmons/6/6a/She-
wolf_suckles_Romul
us_and_Remus.jpg
Ang Simula ng Rome
1
3
2
4
146
Ang Republikang Romano
Sang-ayon sa tradisyon, pinaalis ng
mga Roman ang punong Etruscan at
nagtayo ng Republika, isang pamahalaang
walang hari.
Noong 509 B.C.E, namuno si Lucius
Junius Brutus at nagtagumpay sa pagtataboy
sa mga Etruscan. Pagkatapos maitaboy ang
huling haring Etruscan na si Tarquinius
Superbus, itinatag ni Lucius Junius Brutus
ang isang Republika. Tumagal ito mula 509
hanggang 31 B.C.E.
Sa halip na pumili ng hari, naghalal
ang mga Roman ng dalawang konsul na may
kapangyarihang tulad ng hari at nanungkulan
sa loob lamang ng isang taon. Bawat isa ay
may kapangyarihang pigilin ang pasya ng
isa. Dahil sa pagkakahati ng kapangyarihan
ng mga konsul, humina ang sangay
tagapagpaganap. Sa oras ng kagipitan,
kinakailangang pumili ng diktador na
manunungkulan sa loob lamang ng anim na
buwan. Nagtatamasa ang diktador ng higit
na kapangyarihan kaysa mga konsul.
Republika lamang sa pangalan ang
mga pamahalaan dahil laan lamang ito sa
mga maharlika o patrician. Pawang mga
patrician ang dalawang konsul, ang diktador
at ang lahat ng kasapi ng senado. Mga
kapos sa kabuhayan ang plebeian at kasapi
ng Assembly na binubuo ng mga
mandirigmang mamamayan. Walang
kapangyarihan ang plebeian at hindi rin
makapag-aasawa ng patrician.
Halaw sa Kasaysayan ng Daigdig,
Batayang Aklat sa Araling Panlipunan, Ikatlong
Taon nina Vivar et. al. pahina 92.
Batay sa binasang teksto,
ilarawan ang mga
sumusunod na bahagi ng
Republikang Romano.
konsul- _________________
_______________________
_______________________
diktador- ________________
_______________________
_______________________
Patrician- _______________
_______________________
_______________________
Plebeian- ______________
_______________________
_______________________
Para sa karagdagang kaalaman,
basahin ang Kasaysayan ng
Daigdig, Batayang Aklat sa Araling
Panlipunan, Ikatlong Taon nina
Mateo et. al. pahina 127
147
Tagumpay ng Plebeian Laban sa
Patrician.
Ayon sa kasaysayan, nagsimulang
maghimagsik ang mga plebeian noong 494
B.C.E. upang magkamit ng pantay na
karapatan. Nagmartsa sila sa buong Rome
at lumikas sa kalapit na lugar na tinaguriang
Banal na Bundok. Doon sila nagbalak
magtayo ng sariling lungsod. Sa takot ng
mga patrician na mawalan ng mga
manggagawa, sinuyo nila ang mga plebeian
upang itigil ang kanilang balak sa
pamamagitan ng pagpapatawad sa dati
nilang utang; pagpapalaya sa mga naging
alipin nangg dahil sa pagkakautang; at ang
paghahalal ng mga plebeian ng dalawang
mahistrado o tribune na magtatanggol ng
kanilang karapatan.
May karapatan ang tribune o
mahistrado na humadlang sa mga hakbang
ng senado na magkasama sa mga plebeian.
Kapag nais hadlangan ng isang tribune ang
isang panukalang-batas, dapat lamang
niyang isigaw ang salitang Latin na veto!
(Tutol Ako!). Sa loob ng isang siglo at
kalahati, nagkaroon ng higit na maraming
karapatan ang plebeian. Noong 451 B.C.E,
dahil sa mabisang kahilingan ng mga
plebeian, nasulat ang mga bataas sa 12
lapidang tanso at inilagay sa rostra ng forum
upang mabasa ng lahat. Ang 12Tables ang
kauna-unahang nasusulat na batas sa Rome
at naging ugat ng Batas Roman. Sa
pamamagitan nito, nabawasan ang
panlilinlang sa mga plebeian at
napagkalooban sila ng karapatang makapg-
asawa ng patrician, mahalal na konsul, at
maging ksapi ng Senado.
Halaw sa Kasaysayan ng Daigdig,
Batayang Aklat sa Araling Panlipunan, Ikatlong
Taon nina Vivar et. al. pahina 92.
Para sa karagdagang kaalaamn, basahin
ang Kasaysayan ng Daigdig, Batayang
Aklat sa Araling Panlipunan, Ikatlong
Taon nina Mateo et. al. pahina 127-128
Ano ang kahalagahan ng
pagkakaroon ng nakasulat na
batas para sa mga plebeian?
_________________________
_________________________
_________________________
_______________________
Magbigay ng halimbawa ng
pangyayari sa kasalukuyang
panahon na maihahalintulad sa
tinahak ng mga plebeian upang
matamo ang kanilang
karapatan. Ipaliwanag
_________________________
_________________________
_________________________
_______________________
Sa kasalukuyan, nabibigyan din
ba ng kahalagahan ang
kapakanan ng mga karaniwang
tao? Patunayan
_________________________
_________________________
_________________________
_______________________
148
Paglaganap ng Kapangyarihan ng
Rome
Lumaganap ang kapangyarihan ng
Rome sa buong Italy matapos ang sunud-
sunod na digmaan mula pa noong 490
B.C.E. Nasakop ang mga Latino, mga
Etruscan at iba pang pangkat tulad ng
Hernici, Volscian, Sabine at Samnite.
Matapos masakop ang gitnang Italy, isinunod
ang lungsod-estado ng Greece sa timog.
Naganap ang unang sagupaan ng Rome at
Greece sa Heraclea, Italy noong 280 B.C.E.
Nagwagi Ang Greece dahil tinulungan si
Haring Pyrrhus ng Espirus ng kaniyang
pinsang si Alexander the Great at dahil din
sa paggamit ng mga elepanteng
kinatatakutan ng mga mandirigmang
Romano. Bagamat nagtagumpay si Haring
Pyrrus, marami sa kaniyang tauhan ang
nalipol, kung kaya sa ngayon, ang isang
napakamahal na tagumpay ay tinaguriang
Pyrric Victory. Hindi nagtagal, nagapi si
Haring Pyrrhus noong 275 B.C.E sa
Beneventum, Italy. Rome ang naging reyna
ng peninsula ng Italy.
Ang tagumpay ng isang labanan ay
hindi lamang nangangahulugan ng panalo ng
Roman at pagtatamo ng kabantugang militar.
Kadalasan, naging kaanib ng Rome ang
nagaping kaaway at magiging kolonya ng
Rome ang nasakop na teritoryo. Ang mga
hukbong nagapi ay nagiging karagdagang
mandirigma para sa hukbong Roman. Sa
ganitong sistema unti-unting lumaganap ang
kapangyarihan ng Rome magmula sa ilog
Tiber hanggang sa kabuuan ng Italy.
Sumasakop ang teritoryong Roman mula sa
Ariminium at Pisa sa hilaga hanggang sa
Kipot ng Messina sa timog. Sa kabila ng 16
na kilometrong kipot na ito, nakaharap ng
mga Roman sa Sicily ang naging
pinakamabigat na kaaway nito- ang mga
Carthagenian.
Halaw sa Kasaysayan ng Daigdig,
Batayang Aklat sa Araling Panlipunan, Ikatlong
Taon nina Vivar et. al. pahina 93
Mula sa binasang teksto,
isa-isahin ang pangyayaring
nagbigay-daan sa paglaganap ng
Kapangyarihan ng Rome.
___________________________
___________________________
___________________________
___________________________
___________________________
___________________________
___________________________
___________________________
___________________________
___________________________
___________________________
___________________________
___________________________
___________________________
___________________________
___________________________
___________________________
___________________________
___________________________
___________________________
Para sa karagdagang kaalaman, basahin
ang Kasaysayan ng Daigdig, Batayang
Aklat sa Araling Panlipunan, Ikatlong
Taon nina Mateo et. al. pahina 128.
149
Digmaang Punic
Nagdulot ng suliranin sa Carthage ang
pananakop ng Rome sa bahaging timog ng Italy.
Nagisismula pa lamang ang Carthage noon na
maging makapangyarihan sa kanlurang bahagi ng
Mediterranean. Itinatag ang Carthage (Tunis
ngayon) ng mga Phoenician mula sa Tyre noong
814 B.C.E. Nang sakupin ng Persia ang Tyre,
naging malaya ang Carthage at nagtatag ito ng
imperyong komersyal na nasasakop ng hilagang
Africa, silangang bahagi ng Spain, pulo ng Corsica,
Sardinia at Sicily.
Nasubok ang
kapangyarihan ng Rome at
Carthage sa tatlong Digmaang
Punic- salitang Latin na nagmula sa
pangalang Phoenicia. Sa
digmaang ito napagpasyahan kung
sino ang mamumuno sa
Mediterranean. Sa simula
makapangyarihan ang Carthage sa
dagat bagaman pawang upahan
ang mga mandirigma nito dahil sa
maliit na populasyon. Ang mga
Roman naman sa simula ay walang
hukbong pandagat ni karanasan sa
digmaang pandagat.
Sa simula
makapangyarihan ang
Carthage sa dagat
bagaman pawang upahan
ang mga mandirigma nito
dahil sa maliit na
populasyon. Ang mga
Roman naman sa simula ay
walang hukbong pandagat
ni karanasan sa digmaang
pandagat.
http://upload.wikimedia.org/
wikipedia/commons/7/79/First_Punic
_War_264_BC.png
Halaw sa Kasaysayan ng Daigdig,
Batayang Aklat sa Araling
Panlipunan, Ikatlong Taon nina
Vivar et. al. pahina 94
2
3
1Mapa 1.5 Lokasyon ng Digmaang Punic
150
Digmaang
Punic
Mahahalagang Pangyayari Kinahinatnan
Unang
Digmaang
Punic (264-
241 B.C.E)
 Bagamat walang malakas
na plota, dinaig ng Rome
ang Carthage noong 241
B.C.E.
 Nagpagawa ang Rome ng
plota at sinanay ang mga
sundalo nito na maging
magagaling na
tagapagsagwan.
 Bilang tanda ng
pagkakapanalo ng Rome,
sinakop nito ang Sicily,
Sardinia at Corsica
 Nanalo ang Rome
laban sa Carthage.
Ikalawanag
Digmaang
Punic (218-
202 B.C.E)
 Nagsimula ito noong 218
B.C.E. nang salakayin ni
Hannibal, ang heneral ng
Carthage, ang lungsod ng
Saguntum sa Spain na
kaalyado ng Rome.
 Mula Spain, tinawid ni
Hannibal ang timog Frane
kasama ng mahigit na 40,
000 sundalo.
 Tinawid din nila ang
bundok ng Alps upang
makarating sa Italy.
 Tinalo ni Hannibal ang
isang malaking hukbo ng
Rome saCannae noong
216 B.C.E. subalit hindi
naghangad si Hannibal na
salakayin ang Rome nang
hindi pa dumarating ang
inaasahang puwersa na
manggagaling sa
Carthage.
 Sa ilalim ng pamumuno ni
Scipio Africanus, sinalakay
ng mga Roman ang
hilagang Africa upang
 Natalo si Hannibal
sa labanan sa
Zama noong 202
B.C.E.
 Sa isang
kasunduang
pangkapayapaan
noong 201 B.C.E,
pumayag ang
Carthage na siraon
ang plota nito,
isuko ang Spain, at
magbayad ng
buwis taon-taon sa
Rome
151
pilitin si Hannibal na iwan
ang Italy at tumungo sa
Carthage upang sagipin
ang kaniyang mga
kababayan.
Ikatlong
Digmaang
Punic (149-
146 B.C.E)
 Matapos ang 50 taon,
naganap ang Ikatlong
Digmaang Punic.
 Mahalaga ang papel ni
Marcus Porcius Cato,
isang pinuno at manunulat
na Roman, sa pagsiklab ng
digmaan. Sa kanyang
pagbisita sa Carthage,
nakita niya ang
kasaganahan at luho ng
pamumuhay rito. Batid
niyang malakas ang
Carthage at nananatili
itong banta sa seguridad
ng Rome. Pagbalik sa
Rome, itinanim niya sa
isipan ng Senate at publiko
na dapat wasakin ang
Carthage.
 Nang salakayin ng
Carthage ang isang
kaalyado ng Rome,
sinalakay ng Rome ang
Carthage. Sinunog nito
ang lungsod at ipinagbili
ang mga mamamayan
bilang alipin.
 Muling natalo ang
Carthage sa
digmaan.
 Kinuha ng Rome
ang lahat ng pag-
aari ng Carthage
sa Hilagang Africa
Bakit mahalaga par
pagkontrol sa Mediterra
Ano ang dahilan ng p
naganap na Digmaang
Paano nakabuti sa R
laban sa Carthage?
Tagumpay sa
Pagkatap
pumunta sa sila
Macedonia ay n
ang Corinth at
pangangasiwa n
Mula 13
lupain. Sa pags
ay nasakop ng n
ang Mediterrane
Halaw sa Kasaysa
nina Mateo et. a
Kabihasnang Roman
Sa pagsakop ng Rome sa mga
lungsod-estado ng Greece, libo-libong
Greek ang tumungo sa Italy. Tinangay
din ng mga heneral ng Rome ang mga
gawang sining at aklat ng Greece sa
pagbabalik nila sa Rome. Kumalat ang
kabihasnang Greece sa Rome at
maraming Roman ang tumungo sa
Athens para mag-aral.
Naimpluwensiyahan ng Greece ang
kabihasnang nabuo sa Rome.
Gayunpaman, may sariling
katangian ang kabihasnang Roman.
Pangunahin na rito ang kaalaman sa
152
http://ancientworld2009.wikispaces.com/file/view
/coliseum.jpg/92540006/coliseum.jpg
Inhenyeriya
Ipinakita ng mga
Roman ang kanilang galing
sa inhenyeriya. Nagtayo sila
ng mga daan at tulay upang
pag-ugnayin ang buong
imperyo kabilang ang
malalayong lugar. Marami sa
mga daan na ginawa nila
noon ay ginagamit pa
hanggang ngayon. Isang
halimbawa ang Appian Way
na nag-uugnay sa Rome at
timog Italy. Gumawa rin sila
ng mga aqueduct upang
dalhin ang tubig sa lungsod.
Arkitektura
Ang mga Roman ang
tumuklas ng semento.
marunong na rin silang
gumamit ng stucco, isang
plaster na pampahid at
pantakip sa labas ng pader.
Umaangkat sila ng marmol
mula sa Greece. Ang arch na
natutuhan ng mga Roman
mula sa mga Etruscan ay
ginagamit sa mga temple,
aqueduct, at iba pang mga
gusali. Ang gusali na
ipinakilala ng mga Roman ay
ang basilica, isang bulwagan
ng nagsisilbing korte at
pinagpupulungan ng
Pananamit
Dalawa ang kasuotan
ng mga lalaking Roman. Ang
tunic ay kasuotang
pambahay na hanggang
tuhod. Ang toga ay isinusuot
sa ibabaw ng tunic kung sila
ay lumalabas ng bahay.
Ang mga babaeng
Roman ay dalawa rin ang
kasuotan. Ang stola ay
Kabihasnang
Roman
Batas
Ang mga Roman ay kinikilala
bilang pinakadakilang mambabatas ng
sinaunang panahon. Ang kahalagahan
ng Twelve Tables ay ang katotohanan
na wala itong tinatanging uri ng
lipunan. Ito ay batas para sa lahat,
patrician o plebeian man. Ito ang
ginamit upang alamin ang mga krimen
at tantiyahin ang kaukulang parusa.
Nakasaad dito ang mga karapatan ng
mga mamamayan at ang pamamaraan
ayon sa batas.
Panitikan
Ang panitikan ng Rome ay nagsimula
noong kalagitnaan ng ikatlong siglo B.C.E.
Subalit ang mga ito ay salin lamang ng mga
tula at dula ng Greece. Ang halimbawa ay si
Livius Andronicus na nagsalin ng Odyssey
sa Latin. Si Marcus Palutus at Terence ay
ang mga unang manunulat ng comedy. Ang
iba pang manunulat ay sina Lucretius at
Catullus. Si Cicero naman ay isang
manunulat at orador na nagpahalaga sa
batas. Ayon sa kanya, ang batas ay hindi
dapat maimpluwensiyahan ng kapangyarihan
o sirain ng pera kailanman.
Larawan 1.6 Ang labi ng Colloseum sa Rome.
153
Gawain 15. Lagumin Mo.
Panuto: Batay sa tekstong binasa, punan ng angkop na impormasyon ang
talahanayan.
Pangyayaring Nagdulot ng
Paglakas ng Rome
Patunay/ Paliwanag
154
Pamprosesong Tanong
1. Ano ang kaugnayan ng heograpiya sa pag-unlad ng
Kabihasnang Rome?
2. Bakit mahalaga sa Rome ang pagkakapanalo sa Digmaang
Punic?
3. Sa kabuuan, ilarawan ang pag-unlad at paglakas ng kabihasnang
Rome.
Mga Pagbabagong Dulot ng Paglawak
ng Kapangyarihang Roman
Habang patuloy ang pagkakasangkot
ng Rome sa mga usaping panlabas,
dinagdagan ng Senate ang kapangyarihan at
katanyagan nito sa pamamagitan ng
pangangasiwa ng mga kasunduan.
Bagama’t ang pagpapatibay ng mga tratado
at deklarasyon ng digmaan ay dapat na
isinasangguni sa Assembly, ang lupong ito
ay nagsisilbing tagapagpatibay lamang ng
nais ng Senate. Ang monopoly ng
kapangyarihan ng Senate ang nagpalala sa
katiwalian sa pamahalaan. Madalas na
gamitin ng mga opisyal na ipinapadala sa
mga lalawigan ang kanilang katungkulan
upang magpayaman. Ang mga pagkakataon
sa katiwalian ay lumalaki dulot ng mga
kapaki-pakinabang na kontrata para sa
kagamitan ng hukbo.
Masama naman ang naging epekto
ng mga digmaan sa pagsasaka. Ang timog
na bahagi ng Italy ay lubos na nasira dahil sa
pamiminsala na ginawa ng hukbo ni
Hannibal. Nilisan ng maraming magsasaka
ang kanilang bukirin. Hindi sila nakahanap
ng trabaho sa malalaking lupain ng
mayayaman sapagkat ang nagsasaka ay
mga alipin o bihag ng digmaan. Tumungo
ang mga magsasaka ng Rome upang
maghanap ng trabaho ngunit wala namang
malaking industriya ang Rome na
magbibigay ng kanilang trabaho.
Ang yaman na pumasok sa Rome
Batay sa tekstong binasa,
ano-ano ang mga suliraning
kinaharap ng Rome bunsod ng
paglawak ng kapangyarihan nito?
___________________________
___________________________
___________________________
___________________________
___________________________
___________________________
___________________________
___________________________
________________________
Paano nakaapekto ang mga
nabanggit na suliranin sa
Republikang Roman?
___________________________
___________________________
___________________________
___________________________
___________________________
Maihahalintulad ba ang mga
pangyayaring isinasaad sa teksto
sa kalagayan ng kasalukuyang
lipunan? Sa paanong paraan?
155
Gawain 16. Magbasa at Matuto
Panuto: Basahin at unawain ang sumusunod na teksto tungkol sa mga
pangyayaring nagdulot ng pagbagsak ng Republika ng Rome tungo
sa pagtatag ng Imperyong Roman.
Pinuno/Taon Pangyayari Epekto
Tiberius
133 B.C.E
Nagpanukala ng batas sa
pagsasaka kung saan ang mga
lupang nakamit sa
pamamagitan ng digmaan ay
ipamamahagi upang
magkaroon ng bukirin ang
mahihirap.
Nais niyang limitahan ang dami
ng lupa na maaring ariin ng
mayayaman upang pigilin ang
Upang hadlangan si Tiberius
at takutin ang iba pang
nagnanais ng pagbabago,
ipinapatay siya ng isang
grupo ng mayayaman.
Ang Banta ng Digmaang Sibil
Itinuturing ng magkapatid na Tiberius at Gaius Gracchus, kapwa
tribune, ang lumalaking agwat sa pagitan ng mayayaman at mahihirap bilang
panganib sa katatagan ng Republic. May mga nagtangkang magpatupad ng
pagbabago katulad ng mga sumusunod:
156
Tunghayan mo sa mga sumusunod na teksto ang ilan sa mga
mahahalagang pangyayari sa Rome.
mga ito sa pagkamkam ng higit
pang maraming lupa.
Gaius Gracchus
123 B.C.E
Sinundan ni Gaius Gracchus
ang hakbang tungo sa
pagbabago na sinimulan ng
kanyang nakakatandang
kapatid, subalit, ang mga
mayayaman ay hindi rin sang-
ayon sa kanyang mga
panukala.
Sinalakay si Gaius at ang
kanyang 3,000 na tagasunod
ng isang pangkat ng mga
senador kasama ang
inupahang hukbo at alipin.
Ipinapatay ng Senate ang
mga tagasunod ni Gaius
Gracchus. Siya naman ay
nagpatiwakal.
Si Julius Caesar Bilang Diktador
Sa unang siglo ng B.C.E., matindi ang agawan
sa kapangyarihan ng mga heneral at pinunong militar
sa Rome. Karaniwang nauuwi sa digmaang sibil.
Noong 60 B.C.E., binuo ni Julius Causa,
Pompey, at Marcus Licinius Crassus ang First
Triumvirate, isang union ng tatlong makapangyarihang
tao na nangasiwa ng pamahalaan. Hinawakan nila ang
kapangyarihang politikal at militar. Si Crassus ang
pinakamayamang tao sa Rome na nanguna sa
pagpapakalma sa isang rebelyon ng mga alipin.
Samantala, si Pompey ay kinilala bilang isang bayani
dahil sa kanyang tagumpay na masakop ang Spain. Si
Caesar ay isang gobernador ng Gaul kung saan
matagumpay niyang napalawak ang mga hangganan
ng Rome hanggang France at Belgium. Bagama’t
nagkasundo silang pamunuan ang Rome, may
namagitang inggit at kompetisyon sa bawat isa.
Batay sa bahaging ito ng
teksto, ano ang kahulugan
ng Triumvirate?
_____________________
_____________________
_____________________
_____________________
_____________________
_____________________
_____________________
_____________________
_____________________
Gabay na Tanong:
Ano ang dahilan ng mga kaguluhang naganap sa Rome?
Ano ang ipinapahiwatig ng mga nabanggit na kaguluhan sa relasyon ng mga
patrician at plebeian? Ipaliwanag
Sa ating bansa sa kasalukuyan, mayroon bang katulad na sitwasyon?
Ipaliwanag.
Nilinaw ng kamatayan ng magkapatid na Gracchus ang mainit na
tunggalian ng mga patrician sa Senate at ng mga plebeian at alipin.
Sumiklab ang mga serye ng rebelyon na nauwi sa digmaang sibil noong 105
B.C.E. Bumalik ang kaayusan sa Rome nang maging diktador si Sulla
noong 82 B.C.E.
Halaw sa Kasaysayan ng Daigdig, Batayang Aklat sa Araling Panlipunan,
Ikatlong Taon nina Mateo et. al. pahina 133.
157
Noong 53 B.C.E., napatay sa isang labanan si
Crassus. Tanging si Caesar at Pompey na lamang ang
naiwang maghahati ng kapangyarihan. Sa pananaw
ng mga nasa Senate, higit na may pag-asa silang
makitungo kay Pompey kumpara kay Caesar. Hindi
lingid sa kanila ang tagumpay at galing ni Caesar.
Isang matagumpay na heneral si Caesar. Popular din
siya dahil sa mga reporma niya sa mga lalawigan tulad
ng pagbaba ng buwis at pagkakaloob ng lupa sa mga
beterano ng hukbo. Inutusan ng Senate si Caesar na
bumalik sa Rome nang hindi kasama ang kaniyang
hukbo. Subalit sinalungat ni Caesar ang utos ng
Senate at bumalik sa Rome na kasama ang kaniyang
hukbo. Sa takot nila sa kapangyarihan ni Caesar,
tumakas papuntang Greece ang karamihan sa mga
kasapi ng Senate, kabilang si Pompey. Hinabol sila ni
Caesar at natalo nito ang puwersa ni Pompey.
Ginawang diktador si Caesar sa kaniyang pagbalik sa
Rome sapagkat kontrolado na niya ang buong
kapangyarihan. Bilang diktador, binawasan niya ang
kapangyarihan ng Senate ngunit dinagdagan naman
niya ang bilang nito, mula 600 naging 900 ang kasapi
nito. Binigyan ng Roman citizenship ang lahat ng
naninirahan sa Italy. Sa mga lalawigan, ang
pagbabayad ng buwis ay inayos habang ang
pamahalaan ay pinagbuti.
Bakit naging tanyag si
Julius Caesar?
Bakit siya tinawag na
diktador sa kanyang
pagbalik saRome?
Anu-ano ang mga
pagbabagong ipinatupad
niya sa Rome?
Nangamba ang Senate na maaring ideklara
ni Caesar ang sarili bilang hari at magwakas ang
Republika. Binuo ang isang sabwatan upang
patayin si Caesar. Isa sa mga sumali sa sabwatan
ay si Marcus Brutus, matalik na kaibigan ni Caesar.
Noong March 15, 44 B.C.E., isinakatuparan ang
pagpatay kay Caesar. Habang nagpupulong ang
Senate, sinaksak si Caesar ng unang grupo ng
senador sa pangunguna nina Brutus at Gaius
Cassius.
Ano ang ipinapahiwatig ng
kamatayan ni Julius
Caesar?
158
Augustus: Unang Roman Emperor
Bago mamatay si Caesar, ginawa niyang
tagapagmana ang kanyang apo sa pamangkin na si
Octavian. Noong 43 B.C.E, kasama sina Mark Antony
at Marcus Lepidus, binuo ni Octavian ang Second
Triumvirate upang ibalik ang kaayusan sa Rome. Ito
ay dahil binalot ng kaguluhan ang Rome mula nang
mamatay si Caesar. Sa pagkakabuo ng Second
Triumvirate, tinalo nila ang hukbo nina Brutus at
Cassius.
Sa loob ng sampung taon, naghati sa
kapangyrihan sina Octavian at Mark Antony.
Pinamunuan ni Octavian ang Rome at ang kanlurang
bahagi ng imperyo, samantalang pinamunuan ni
Antony ang Egypt at ang mga lugar sa silangan na
kinilala bilang lalawigang sakop ng Rome. Si Lepidus
ang namahala sa Gaul at Spain.
Habang nasa Egypt, napamahal kay Antony si
Cleopatra, reyna ng Egypt. Nang dumating sa Rome
ang balita na binigyan ni Antony ng lupa si Cleopatra at
balak salakayin ang Rome, bumuo ng malaking hukbo
at plota si Octavian upang labanan si Antony.
Naganap ang malaking labanan sa pagitan ng
dalawang puwersa sa Actium noong 31 B.C.E.
Matapos matalo sa Actium, iniwan ni Antony ang
kanyang hukbo at sinundan si Cleopatra sa Egypt.
Nang sumunod na taon, nagpakamatay si Antony dahil
sa maling pag-aakala na nagpakamatay si Cleopatra.
Samantala, dahil nagpakamatay na ang minamahal na
si Antony at sa harap ng pagkatalo kay Octavian,
nagpakamatay na rin si Cleopatra.
Si Lepidus ay pinagkaitan ng kapangyarihan.
Nawala sa kanya ang pamamahala sa Gaul at Spain.
Noong 36 B.C.E., hinikayat niya ang rebelyon sa Sicily
laban kay Octavian subalit tinalikuran siya ng kaniyang
mga sundalo. Ipinatapon ni Octavian si Lepidus sa
Circeii, Italy.
Nang bumalik si Octavian sa Rome, nangako
siyang bubuhayin muli ang Republic bagama’t hawak
niya ang lahat ng kapangyarihan. Bilang pinuno ng
hukbo, si Octavian ay tinawag na imperator. Noong 27
B.C.E., iginawad ng Senate kay Octavian ang titulong
Augustus. Ang katagang Augsutus ay karaniwang
ginagamit patungkol sa isang banal na lugar o banal na
akto. Samakatuwid, ang titulong Augustus ay
nagpapahiwatig ng pagiging banal o hindi
Sinu-sino ang bumuo sa
Second Triumvirate?
Bakit mahalaga ang
pagkapanalo ni Octavian
sa labanan sa Actium?
Bakit tinawag na Augustus
si Octavian?
Mula noon, si
Octavian ay nakilala sa
pangalan na ito. Sa
wakas, pagkatapos ng
halos isang siglong puno
ng digmaang sibil, ang
Rome ay napagbuklod
sa ilalim ng isang
pinuno. Inihatid ng
pamamahala ni
Augustus ang panahon
n g Imperyong Roman.
159
o
Limang Siglo ng Imperyo
Si Augustus ay tagapagmana ng isang malawak na
imperyo. Ang hangganan nito ay ang Euphrates River sa
silangan; ang Atlantic Ocean sa kanluran; ang mga ilog ng
Rhine at Danube sa hilaga; at ang Sahara desert sa
timog. Sa pagsapit ng Ikalawang siglo C.E., ang
populasyon ng imperyo ay umabot sa 100 milyon na
binubuo ng iba’t ibang lahi, pananampalataya, at
kaugalian.
Gaano kalawak ang sakop
ng Imperyong Roman?
Sa pangkalahatan, tahimik at masagana ang
unang dalawa at kalahating siglo ng imperyo. Ang
panahong ito ay mula sa 27 B.C.E. hanggang 180 C.E.
Kadalasang tinatawag ang panahong ito bilang Pax
Romana o Kapayapaang Roman. Umunlad ang
kalakalan sa loob ng imperyo. Ang mga daan at
karagatan ay ligtas sa mga tulisan at mga pirate.
Sagana ang imperyo sa lahat ng uri ng pagkain na
nanggagaling sa Egypt, Hilagang Africa, at Sicily. Ang
kahoy na gamit sa paggawa ng bahay at iba pang
produktong agrikultural ay nagmumula sa Gaul at
Gitnang Europe; ginto, pilak, at tingga sa Spain; tin sa
Britain; tanso sa Cyprus; at bakal at ginto sa Balkan.
Sa labas ng imperyo, isang masaganang
kalakalan ang nag-uugnay sa Rome sa iba’t ibang
bahagi ng Asya. Mula sa India at China, dumarating sa
Rome ang seda, mga pampalasa o rekado, pabango,
mamahaling bato, at iba pang luho.
Ano ang Pax Romana?
Umunlad din ang panitikan sa panahon ng Pax Romana.
Ang mga makatang sina Virgil, Horace, at Ovid ay
nabuhay sa panahong ito. Sinulat ni Virgil ang Aineid,
ang ulat ng paglalakbay ni Aeneas pagkatapos ng
pagbagsak ng Troy. Samantalang binigyang-buhay ni
Ovid ang mga mitong Greek at Roman sa akda niyang
Metamorphoses. Sinulat ni Pliny the Elder ang Natural
History, isang tangkang pag-isahin ang lahat ng
nalalaman tungkol sa kalikasan. Sinulat ni Tacitus ang
Histories at Annals na tungkol sa imperyo sa ilalim ng
pamamahala ng mga Julian at Flavian Caesar. Sinulat ni
Livy simula 27-26 B.C.E ang From the Founding of the
City, ang kasaysayan ng Rome.
Ano ang kahalagahan ng
pag-unlad ng panitikan sa
kasaysayan ng Rome?
160
Mula sa Dinastiyang Julio-Claudian
Pinuno Nagawa
Tiberius (14-37 C.E.) Magaling na administrador si Tiberius bagama’t isang
diktador.
Caligula (37-41 C.E.) Nilustay niya ang pera ng imperyo sa maluluhong
kasayahan at palabas tulad ng labanan ng mga
gladiator. May sakit sa isip si Caligula at iniisip niyang
siya ay isang gladiator.
Claudius (41-54 C.E.) Nilikha niya ang isang burukrasya na binubuo ng mga
batikang administrador.
Nero( 54-68 C.E.) Ipinapatay niya ang lahat ng hindi niya kinatutuwaan,
kabilang ang kanyang sariling ina at asawa.
Inakusahan siya ng panununog sa Rome at natutuwa
pa siya diumano habang ginagawa ito.
Mula sa Dinastiyang Flavian
Pinuno Nagawa
Vespasian
(69-79 C.E.)
Kinilala ang dinastiyang Flavian sa maayos na patakarang
pananalapi at pagtatayo ng imprastrukturang tulad ng
Mga Emperador Pagkatapos ni Augustus
Namatay si Augustus noong 14 C.E. Ang Titulong imperator o emperador ay
iginawad ng Senate kay Tiberius napinili ni Augustus na humalili sa kanya. Mula sa
pag-upo ni Tiberius bilang emperador hanggang sa katapusan ng imperyo noong
476 C.E., ang Rome ay nagkaroon ng iba’tibang uri ng emperador.
161
pampublikong paliguan at amphitheater para sa mga labanan ng
mga gladiator.
Ang Limang Mahuhusay na Emperador
Pinuno Nagawa
Nerva (96-98 C.E.) Nagkaloob ng pautang sa bukirin si Nerva at ang
kinitang interes ay inilaan niya para tustusan ang mga
ulila.
Trajan (98-117
C.E.)
Sa panahon ng pamumuno ni Trajan, narating ng
imperyo ang pinakamalawak nitong hangganan.
Hadrian( 117-138
C.E.)
Patakaran ni Hadrian na palakasin ang mga
hangganan at lalawigan ng imperyo.
Antoninus Pius
(138-161 C.E.)
Ipinagbawal ni Antoninus Pius ang pagpapahirap sa
mga Kristiyano.
Marcus Aurelius
(161-180 C.E.)
Siya ay isang iskolar at manunulat. Itinaguyod niya ang
pilosopiyang stoic. Binibigyang-diin ng pilosopiyang ito
ang paghahanap ng kaligayahan sa pamamagitan ng
pamumuhay ayon sa banal na kalooban (divine will).
Hango ang teksto sa Kasaysayan ng Daigdig, Batayang Aklat sa Araling Panlipunan, Ikatlong
Taon nina Mateo et. al. pahina 134-137.
Ano ang kahalagahan ng isang mabuting pinuno sa pagpapanatili ng isang
imperyo?
162
Gawain 17. Rome… Sa Isang Tingin
Panuto: Ibuod ang mga pangyayari kaugnay ng paglakas at paghina ng
hirap sa pamamagitan ng pagpupuno ng impormasyon sa chart.
Sanhi Bunga
Naging malakas na imperyo
ang Rome sa Mediterranean.
Humina at unti-unting
bumagsak ang imperyong
Roman.
Bakit maituturing na Kabihasnang Klasikal ang Kabihasnan ng mga Roman ?
______________________________________________________________________
______________________________________________________________________
______________________________________________________________________
______________________________________________________________________
______________________________________________________________________
______________________________________________________________________
______________________________________________________________________
______________________________________________________________________
_____________________________________
163
Gawain 18. Pagsulat ng Sanaysay. Sumulat ng sanaysay tungkol sa
pagkakaiba at pagkakatulad ng Kabihasnang Greece at Rome. Suriin din
ang impluwensiya ng dalawang kabihasnang ito sa daigdig.
Gawain 19: I-R-F CHART
Panuto: Isulat sa bahaging “revised” ang sagot sa tanong na nasa loob ng
kahon.
BINABATI KITA!
Ngayon ay natapos mo na ang bahagi ng Paunlarin para sa Aralin 1.
Paano
nakaimpluwensiya
ang Panahong
Klasikal sa Europe
sa pag-unlad ng
pandaigdigang
kamalayan?
Upang mapalalim pang lalo ang iyong kaalaman tungkol sa
Panahong Klasikal sa Europe, maaari ka nang magpatuloy sa susunod na
bahagi ng modyul na ito.
INITIAL
REVISED
FINAL
164
PAGNILAYAN AT UNAWAIN
Gawain 20. E-Postcard
Panuto: Pumili ng isang mahalagang kontribusyon ng mga Klasikal na
Kabihasnan sa Europe. Lumikha ng E-postcard tungkol dito.
Sundin ang format. I-upload sa napiling social networking site ang
nagawang E-postcard.
Gawain 21. I-R-F Chart
Panuto: Muling sagutin ang tanong sa kahon. Isulat sa bahaging “final” ang
iyong sagot.
Sa bahaging ito, inaasahang higit mong mapalalalim ang iyong kaalaman sa
paksa sa pamamagitan ng kritikal na pagsusuri sa mga impluwensiya ng
Kabihasnang Klasikal sa Europe tungo sa pagbuo ng pandaigdigang kamalayan.
Larawan
Impormasyon
Kahalagahan sa
kasalukuyan.
165
BINABATI KITA!
Mahusay mong nagampanan ang gawain sa bahagi ng
Pagnilayan at Unawain sa araling ito.
p
Paano
nakaimpluwensiya
ang Panahong
Klasikal sa Europe
sa pag-unlad ng
pandaigdigang
kamalayan?
Ngayon ay mayroon ka nang sapat na pag-unawa
tungkol sa mga pangyayari na nagbigay-daan pagsibol, pag-
unlad at pagbagsak ng mga klasikal na Kabihasnan sa
Europe. Ang mga aral na iyong natutunan mula sa araling ito
ay magagamit mo upang maunawaan ang mga susunod na
aralin at sa kabuuan ay pag-unawa sa mga pangyayari sa
Kasaysayan ng Daigdig at ang kahalagahan ng mga ito sa
kasalukuyan.
Magagamit mo ang mga aral ng kasaysayan ng mga
Klasikal na Kabihasnang European sa susunod na aralin.
Magsisilbi rin itong gabay upang maunawaan mo at masuri
ang kahalagahan ng kasaysayan ng daigdig sa kasalukuyan.
INITIAL
REVISED
FINAL
166
167
ARALIN2: Pag-usbong at Pag-unlad ng mga Klasikal na Lipunan sa
America, Africa, at mga Pulo sa Pacific
Ano-ano ang naiisip mo kapag nababanggit ang mga salitang America,
Ang Africa? At ang mga Pulo sa Pacific? Ano-ano na ang alam mo tungkol
sa mga lugar na ito?
Masasalamin sa kasalukuyang kalagayan nit at sa pamumuhay ng
kanilang mamamayan ang impluwensiya ng mga sinaunang kabihasnang
naitatag sa mga kontinenteng ito.
Mapag-aaralan mo sa araling ito ang pag-usbong at pag-unlad ng mga
imperyo sa America, Africa, at mga Pulo sa Pacific. Masusuri mo rin kung
paano nakaimpluwensiya ang mga pangyayari at mga tugon sa hamon
ng mga sinaunang mamamayan sa mga nabanggit na kontinente tungo
sa pagbuo ng sariling pagkakakilanlan.
168
ALAMIN
Gawain 1. ImbestigaSaysayan
Panuto: Palatandaan ng isang maunlad na kabihasnan ang matatag na
arkitektura na ipinatayo bunga ng magkakaibang dahilan. Bilang isang
imbestigador, suriin ang sumusunod na arkitektura sa pamamagitan ng
pagsagot sa mga gabay na tanong.
Natutuhan mo sa nakaraang aralin tungkol sa pagkakatatag at mga
kontribusyon ng Kabihasnang Greek at Roman sa mundo.
Tatalakayin naman sa susunod na aralin ang pagkakatatag ng mga
kabihasnan at imperyo sa America, Africa, at mga Pulo sa Pacific.
Bilang panimula, sagutin ang mga gawain sa bahaging Alamin.
Ilarawan ang
disenyo
http://en.wikipedia.org/wiki/File:Chichen_Itza_3.jpg
http://hopemarin.files.wordpress.com/2008/05/timbuktu2.jpg
Bakit
ipinagawa?
1
2
Ano ang
iyong
masasabi sa
kakayahan
ng mga
gumawa?
3
Ilarawan ang
disenyo
1
Ano ang
iyong
masasabi sa
kakayahan
ng mga
gumawa?
3
Bakit
ipinagawa?
2
169
Gawain 2.Ang Aking Paglalakbay.Simulan mo ang iyong paglalakbay sa
araling ito sa pamamagitan ng pagsagot sa tanong na nasa loob ng kahon.
Isulat mo sa bahaging “Simula” ang iyong sagot. Samantala, ang bahagi ng
“Kalagitnaan” at “Katapusan” ay sasagutan mo sa iba pang bahagi ng araling
ito.
BINABATI KITA!
Sa puntong ito ay nagtatapos na ang bahagi ng Alamin.
Paano
nakaimpluwensiya
ang mga
pangyayari at mga
tugon sa hamon
ng mga sinaunang
mamamayan sa
mga nabanggit na
kontinente tungo
sa pagbuo ng
sariling
pagkakakilanlan?
Simula
Kalagitnaan
Katapusan
Sa pamamagitan ng pagtutupad sa iba’t ibang
gawain sa modyul na ito, higit na madaragdagan ang dati
mo nang kaalaman tungkol sa paksa.
170
PAUNLARIN
Gawain 3.Sulyap sa Nakaraan.Suriin ang timeline tungkol sa pagkakatatag
ng iba’t ibang kabihasnan sa daigdig mula 3000 B.C.E. hanggang 500 C.E.
Pagkatapos na masuri, sagutin ang mga tanong sa ibaba.
Sa bahaging ito, inaasahang maiisa-isa mo ang mga kontribusyon at
impluwensiya ng kabihasnang Klasikal ng America, Africa, at mga Pulo sa
Pacific sa daigdig. Inaasahan ring masusuri mo ang kahalagahan ng mga
kontribusyong ito sa kasalukuyang panahon. Sikaping suriin ang nilalaman
ng bahaging ito ng aralin at sagutin ang mga gawain upang lalo pang
mapagyaman ang iyong kaalaman sa paksa. Simulan na!
Kung ito ang nagaganap sa mga nabanggit na bansa at kontinente, paano naman
kaya namuhay ang mga tao sa kontinente ng Africa, America, at mga Pulo sa Pacific?
Ang mga pangyayari na makikita sa timeline ay natalakay na sa mga nakaraaang
aralin.
Makikita dito ang pag-unlad ng kabihasnan sa iba’t ibang lugar sa daigdig mula 3000 B.C.E.
hanggang 500 C.E.
Gabay na tanong:
1. Kailan umusbong ang mga kabihasnan sa Mesopotamia, Africa, China at India?
2. Anong mga lungsod ang naitatag sa Kanlurang Asya noong 3000 B.C.E.?
3. Batay sa timeline, alin ang mas naunang umunlad, ang kabihasnan sa Mediterranean o
sa America? Ipaliwanag.
4. Anong kongklusyon ang iyong mabubuo tungkol sa pag-usbong ng mga kabihasnan sa
daigdig?
171
Mesopotamia at
Persia
Egypt Africa Mediterranean
Lands of Europe
Northern
Europe
Western Asia India China America
3000
B.C.E.
- Pag-unlad ng
agrikultura
- Pag-usbong
ng Sumer
- Naimbento
ang Cuneiform
at paggamit ng
gulong
- Pag-unlad ng
agrikultura
Paggawa ng
palayok
- Naimbento
ang
Hieroglyphics
OLD
KINGDOM
Mga guhit sa
bato sa
gitnang
Sahara na
nagpapakita
ng tao
Pagtayo ng mga
batong monument
sa Malta
SINAUNANG
PANAHON NG
MINOAN sa
Crete
Pagtayo
ng mga
batong
monu-
mento sa
hilaga at
timog
Europe
Mga unang
magsasaka.
Mga unang
siyudad ng
Jericho at Catal
Huyuk
Pag-usbong ng
kabihasnang Indus
Mga unang
magsasaka
Pagtatanim
ng Maize
2500
B.C.E.
Pamumuno ni
Sargon g
Akkad
Pagtatayo ng
mga pyramid
Pagdating ng mga
Assyrian upang
makipagkalakalan
Pagtatag sa siyudad
ng Mohenjo-Daro
at Harappa
2000
B.C.E.
- Pag-usbong
ng Babylon
- Pamumuno ni
Haring
Hammurabi
- Pag-usbong
ng Assyria
- MIDDLE
KINGDOM
- Pananakop
ng Nubia
- Pananakop
ng Hyksos
GITNANG
PANAHON NG
MINOAN
HULING
PANAHON NG
MINOAN
Paglakas ng
Mycenean
Pagtatag
ng Stone-
henge
Paggawa
ng
kagami-
tang
bronze
Pagdating ng mga
Hittites sa
Anatolia
Pagbasak ng
kabihasnan sa
Indus
Pagdating ng mga
dayuhang Aryan
1500
B.C.E.
Ang pamumuno
ng Mitanni sa
hilagang
Mesopotamia
- NEW
KINGDOM
- Pamumuno
ng mga
warrior-
pharaoh
- Queen
Hatshepsut
Pagbagsak ng
Crete
Pagwasak sa
Knossos
Paglakas ng
Imperyong
HITTITE
- Pag-unlad ng
Sistemang Caste
- Pag-unlad ng
relihiyong
Hinduismo
SHANG
DYNASTY
Naimbento
ang sistema
ng pagsulat
Pigura 2.1. Timeline ng Ilang Mahahalagang Pangyayari sa Daigdig (3000 B.C.E. – 500 C.E.)
172
-Tutankhamun
1000
B.C.E. Pag-usbong at
pagbagsak ng
Imperyong
Assyria
Unti-unting
pagbagsak ng
kabihasnan
Pananakop ng
Assyrian at
Kushite
Pagsimula ng
Kaharian ng
Kush
Pagtatag ng
Carthage
- Pagbagsak ng
Mycenean
-Pagdating ng
mga Dorian sa
Greece
- DARK AGES sa
Greece
- Ang mga
Etruscan sa
Hilagang Italy
- Ang pagtatag ng
- Rome 753
B.C.E.
- Pag-unlad ng
mga lungsod-
estado sa Greece
Pandara-
yuhan ng
mga
Celts sa
iba’t ibang
bahagi ng
Europe
Pagdating ng mga
Israelite sa
Canaan
Pamumuno nina
Haring David at
Haring Solomon
sa Israel
Pananakop ni
Alexander the
Great sa Eastern
Mediterranean
- Pagsulat ng
Vedas (religious
writings)
- Isinilang si
Gautama (Buddha)
DINASITI-
YANG
CHOU
Isinilang si
Confucius
Ang pag-
usbong ng
mga Olmec
sa Mexico
500
B.C.E.
Ang PERSIAN
EMPIRE sa
kaniyang
kalakasan
Pananakop ni
Alexander the
Great kung
saan naisama
ang sa kaniyang
teritoryo ang
Persian Empire
- Pananakop
ng Imperyong
Persia,
pananakop ni
Alexander the
Great
- Pamumuno
ng mga
Ptolemies
- Pamumuno
ni Cleopatra
- Pananakop
ng Imperyong
Roman
Digmaang
Punic sa
Pagitan ng
Carthage at
Rome
Natalo at
nasakop ng
Carthage ang
teritoryo ng
Imperyong
Rome sa
Hilagang
Africa
- Digmaang
Persian sa pagitan
ng Greeks a
Persians
- Pagiging
makapangyarihan
ng lungsod-estado
ng
Athens
- Digmaang
Peloponnesian
- Pamumuno ni
Alexander the
Great
Pag-usbong ng
Rome
Panana-
kop ng
mga
Roman sa
malaking
bahagi ng
Hilagang
Europe
Pananakop ng
mga Roman
Paglunsad ng
tangkang
pananakop ni
Alexander sa India
- Panahon
ng warring
states
- Pag-iisa ng
China sa
ilalim ni
Shih
Huang Ti
- Itinayo ang
Great Wall
- CHI’IN
DYNASTY
- HAN
DYNASTY
Naimbento
ang papel
Pag-usbong
ng mga
Maya
173
Gawain 4.Magbasa at Matuto.Basahin at unawain ang teksto tungkol sa
Kabihasnang Maya.
Mga Kabihasnan sa Mesoamerica
Kabihasnang Maya (250 C.E. – 900 C.E.)
Namayani ang Kabihasnang Maya sa Yucatan Peninsula, ang rehiyon sa
Timog Mexico hanggang Guatemala. Nabuo rito ang mga pamayanang lungsod ng
Maya tulad ng Uaxactun, Tikal, El Mirador, at Copan. Nakamit ng Maya ang rurok ng
kaniyang kabihasnan sa pagitan ng 300 C.E. at 700 C.E.
Habang umuunlad at nagiging makapangyarihan ang mga Sinaunang
Kabihasnan sa Mesopotamia, India, at China, nagsisimula naman ang mga
mamamayan sa Mesoamerica na magsaka. Ang maliliit na pamayanang agrikultural
na ito ay nabuo sa Gitna at Timog na bahagi ng Mesoamerica. Nang lumaon, naging
makapangyarihan ang ibang pamayanan at nakapagtatag ng lungsod-estado. Ang
mga bumuo ng lungsod-estado ay nakapagtatag ng sarili nilang kabihasnan. Ilan dito
ay ang kabihasnang Olmec at Zapotec na tinalakay sa nakaraang Modyul.
Sumunod na nakilala sa Mesoamerica ang Kabihasnang Maya at Aztec.
Naging maunlad rin ang Kabihasnang Inca sa Timog America. Katulad ng
kabihasnang Greece, at Rome, ang pagiging maunlad at makapangyarihan ay
nagtulak sa mga kabihasnan sa Mesoamerica at Timog America na manakop ng
lupain at magtayo ng imperyo. Malawak ang naging impluwensiya ng mga Maya,
Aztec, at Inca kung kaya’t itinuturing ang mga ito na Kabihasnang Klasikal sa
America.
174
Nang lumaon, nabuo rito ang mga
lungsod-estado. Sila ay nagtataglay ng
ganap na kapangyarihan. Naiugnay ng
malalawak at maayos na kalsada at
rutang pantubig ang mga lungsod-estado
ng Maya. Banaag sa kaayusan ng
lungsod ang pagkakahati-hati ng mga tao
sa lipunan. Hiwalay ang tirahan ng
mahihirap at nakaririwasa. Ang sentro ng
bawat lungsod ay isang pyramid na ang
itaas na bahagi ay dambana para sa mga
diyos. May mga templo at palasyo sa
tabi ng pyramid.
.
Mapa. 2.1 Lokasyon ng
Kabihasnang Maya
1. Ano-anong lungsod ang makikita sa
timog na bahagi ng Yucatan Peninsula?
2. Paano nakipagkalakalan ang mga
Maya sa iba pang bahagi ng
Mesoamerica?
Sa larangan ng ekonomiya,
kabilang sa mga produktong
pangkalakal ay mais, asin, tapa,
pinatuyong isda, pulot-pukyutan, kahoy,
at balat ng hayop. Nagtatanim sila sa
pamamagitan ng pagkakaingin. Ang
pangunahing pananim nila ay mais,
patani, kalabasa, abokado, sili, pinya,
papaya, at cacao. Dahil sa
kahalagahan ng agrikultura sa buhay ng
mga Maya, ang sinamba nilang diyos ay
may kaugnayan sa pagtatanim tulad ng
mais gayundin ang tungkol sa ulan.
Sa lipunang Maya,
katuwang ng mga pinuno ang
mga kaparian sa
pamamahala. Pinalawig ng
mga pinunong tinatatawag na
halach uinic o “tunay na
lalaki” ang mga pamayanang
urban na sentro rin ng
kanilang pagsamba sa
kanilang mga diyos.
175
Nakamit ng Maya ang tugatog ng kabihasnan matapos ang 600 C.E. Subalit sa
pagtatapos ng ikawalong siglo C.E., ang ilang mga sentro ay nilisan, ang paggamit ng
kalendaryo ay itinigil, at ang mga estrukturang panrelihiyon at estado ay bumagsak.
Sa pagitan ng 850 C.E. at 950 C.E., ang karamihan sa mga sentrong Maya ay
tuluyang inabandona o iniwan. Wala pang lubusang makapagpaliwanag sa
pagbagsak ng Kabihasnang Mayan. Ayon sa ilang dalubhasa, maaaring ang
pagkasira ng kalikasan, paglaki ng populasyon, at patuloy na digmaan ay ilan lamang
sa mga dahilan ng paghina nito. Maaari rin na sanhi ng panghihina nito ang
pagbagsak sa produksiyon ng pagkain batay sa mga nahukay na labi ng tao na
nagpapakita ng kakulangan sa sapat na nutrisyon. Ang mga labi ay natuklasang hindi
gaanong kataasan samantalang mas manipis ang mga buto nito.
Gayunpaman, ang ilang lungsod sa hilagang kapatagan ng Yucatan ay nanatili
nang ilan pang siglo, tulad ng Chichen Itza, Uxmal, Edzna, at Copan. Sa paghina ng
Chichen at Uxmal, namayani ang lungsod ng Mayapan sa buong Yucatan hanggang
sa maganap ang isang pag-aalsa noong 1450.
Kasingtulad ng pyramid ang
estrukturang ito. Subalit,
mapapansin, na ang itaas na
bahagi nito ay patag. Sa loob
nito ay may altar kung saan
isinasagawa ang pag-aalay.
Ipinagawa ang templo
upang pagdausan ng
mga seremonyang
panrelihiyon. Ito ay
parangal para kay
Kukulcan, ang
tinaguriang “God of
the Feathered Serpent”
Gawa ang pyramid
mula sa malalaking
bato. Mayroon itong
apat na panig na may
mahabang hagdan.
Ang pyramid na ito ay
patunay ng mataas na
kaalaman ng mga
Mayan sa arkitektura,
inhenyeriya, at
matematika.
Larawan 2.1 ang Pyramid of Kukulcan
176
Isang maunlad na kabihasnan ang nabuo ng mga Mayan. Makikita sa
diyagram ang mga sanhi ng kanilang paglakas at pagbagsak.
Pamahalaan
at Relihiyon
Tapat ang mga
nasasakupan sa pinuno.
Siya ay namumuno sa
pamahalaan at relihiyon.
Napag-isa ang mga
mamamayan dahil sa iisang
paniniwala.
Paglakas
Paghina
Palagiang
nakikipagdigma ang mga
pinuno at kaniyang
nasasakupan upang
makahuli ng mga alipin
na iaalay sa kanilang
mga diyos. Nagbunga
ito ng pagkaubos ng
yaman ng mga lungsod-
estado.
May mahusay na sistema
ng pagtatanim na nagdulot
ng sobrang produkto.
Paglakas
Paghina
Pagkawala ng sustansya
ng lupa. Ang paglaki ng
populasyon ay nagdulot
ng suliranin sa suplay ng
pagkain.
Ekonomiya
at
Kabuhayan
Mayaman at maunlad ang
mga lungsod-estado ng
Maya.
Paglakas
Paghina
Nagdulot ng kaguluhan
at kahirapan ang
madalas na digmaan sa
pagitan ng mga lungsod-
estado.
Mga
Lungsod-
Estado
Pigura. 2.2 Paglakas at Paghina ng Imperyong Mayan. Ipinakikita sa diyagram ang mga sanhi at bunga ng paglakas
at paghina ng Kabihasnang Mayan.
Gabay na Tanong
1. Paano nakabuti at nakasama sa mga Mayan ang kanilang mahusay na sistema ng pagtatanim?
177
Gawain 5.Ipaliwanag Mo.Patunayang may mataas na kabihasnan ang mga
Mayan. Punan ng impormasyon ang dayagram.
Gawain 6.Exit Card.Dugtungan ang sumusunod na pahayag.
GAWAIN 7.INFOCOLLAGE.Paunlarin ang iyong kaalaman at pag-unawa
tungkol sa Kabihasnang Aztec sa pamamagitan ng pagsusuri sa sumusunod
na impormasyon.
Ang mga Mayan ay may mataas na antas ng kabihasnan
Pamahalaan
Ekonomiya
Relihiyon
Arkitektura
Napatunayan ko na may mataas na kabihasnan ang mga Mayan dahil
________________________________________________________________________
________________________________________________________________________
________________________________________________________________________
________________________________________________________________________
_______________________________________________________________________.
Naunawaan ko sa nakaraang aralin na ______________________________
_______________________________________________________________________
______________________________________________________________________.
Ang mga bahagi ng aralin na hindi ko gaanong naintidihan ay _______________
_______________________________________________________________________
______________________________________________________________________
Ilan sa aking tanong ay: _____________________________________________
______________________________________________________________________.
Ang pagbagsak ng mga lungsod-estado ng Kabihasnang Maya ay nagdulot ng
paglaho ng kanilang kapangyarihan sa timog na bahagi ng Mesoamerica. Sa panahong ito,
nagsimulang umunlad ang maliliit na pamayanan sa Mexico Valley. Ang mga mamamayan
rito ang nagtatag ng isa sa unang imperyo sa Mesoamerica – ang Imperyong Aztec.
178
Gawain 7.Magbasa at Matuto. Basahin at unawain ang mga teksto tungkol
sa Kabihasnang Aztec.
Kabihasnang Aztec (1200 – 1521)
Mapa 2.2 Sakop ng Kabihasnang Aztec
Gabay na Tanong:
1. Anong katangiang-heograpikal ng Tenochtitlan ang nagbigay-daan upang
ito ay maging sentrong pangkalakalan sa Mesoamerica noong sinaunang
panahon?
Kung ang mga Maya ay nagtatag ng kanilang Kabihasnan sa timog na bahagi ng
Mesoamerica, ang mga Aztec naman ay naging makapangyarihan sa gitnang bahagi nito.
Matatandaan na sa bahagi ring ito umusbong ang sinaunang Kabihasnang Olmec. Bunga
nito, ang pamumuhay at paniniwala ng mga Aztec ay may impluwensiya ng mga Olmec.
Subalit, hindi tulad ng mga Olmec, ang mga Aztec ay nagpalawak ng kanilang teritoryo.
Mula sa dating maliliit na pamayanang agrikultural sa Valley of Mexico, pinaunlad ng mga
Aztec ang kanilang kabihasnan at nagtatag ng sariling imperyo. Kinontrol nila ang mga
karatig lupain sa gitnang bahagi ng Mesoamerica.
Noong 1325, itinatag nila ang
pamayanan ng Tenochtitlan,
isang maliit na isla sa gitna
ng lawa ng Texcoco. Ang
Texcoco ay nasa sentro ng
Mexico Valley. Nang
lumaon, ang lungsod ay
naging mahalagang sentrong
pangkalakalan.
Ang mga Aztec ay mga
nomadikong tribo na ang
orihinal na pinagmulan ay
hindi tukoy. Unti-unti silang
tumungo sa Lambak ng
Mexico sa pagsapit ng ika-12
siglo C.E. Ang salitang Aztec
ay nangangahulugang “isang
nagmula sa Aztlan,”isang
mitikong lugar sa Hilagang
Mexico.
179
Ang lupa sa paligid ng mga lawa ay mataba subalit hindi lubos na malawak. Upang
madagdagan ang lupang tinataniman, tinabunan ng lupa ng mga Aztec ang mga sapa at lumikha ng
mga chinampas, mga artipisyal na pulo na kung tawagin ay mga floating garden.
1
Wala silang kasangkapang pambungkal
ng lupa o hayop na pantrabaho.
Nagtatanim sila sa malambot na lupa na
ang gamit lamang ay matulis na kahoy.
Mais ang kanilang pangunahing tanim. Ang iba pa
nilang tanim ay patani, kalabasa, abokado, sili, at
kamatis. Nag-alaga rin sila ng mga pabo, aso, pato, at
gansa.
2 3
Angkop ang Tenoctitlan sa pagtatanim na siyang pangunahing ikinabubuhay ng mga
Aztec dahil mayroon itong matabang lupa. Sa kabila nito, hindi sapat ang lawak ng lupain
upang matugunan ang pangangailangan ng mga mamamayan. Ang hamong ito ay
matagumpay na natugunan ng mga Aztec.
Dahil sila ay mga magsasaka, ang mga Aztec ay taimtim na umaasa sa mga puwersa ng kalikasan
at sinasamba ang mga ito bilang mga diyos. Ang pinakamahalagang diyos nila ay si Huitzilopochtli,
ang diyos ng araw. Mahalaga ang sikat ng araw sa pananim ng mga magsasaka kaya sinusuyo at
hinahandugan ang naturang diyos. Mahalaga rin sina Tlaloc, ang diyos ng ulan at si Quetzalcoatl.
Naniniwala ang mga Aztec na kailangang laging malakas ang mga diyos na ito upang mahadlangan
ng mga ito ang masasamang diyos sa pagsira ng daigdig. Dahil dito, ang mga Aztec ay nag-alay ng
tao. Ang mga iniaalay nila ay kadalasang bihag sa digmaan bagama’t may mga mandirigmang
Aztec na nagkukusang-loob ialay ang sarili.
4
180
Sa pagsapit ng ika-15 siglo, nagsimula ang malawakang
kampanyang militar at ekonomiko ng mga Aztec. Ang isa sa mga
nagbigay-daan sa mgapagbabagong ito ay si Tlacaelel, isang tagapayo at
heneral. Itinaguyod niya ang pagsamba kay Huitzilopochtli. Kinailangan
din nilang manakop upang maihandog nila ang mga bihag kay
Huitzilopochtli. Ang paninindak at pagsasakripisyo ng mga tao ay ilan sa
mga naging kaparaanan upang makontrol at mapasunod ang iba pang
mga karatig-lugar na ito. Ang mga nasakop na lungsod ay kinailangan
ding magbigay ng tribute o buwis. Dahil sa mga tribute at mga nagaping
estado, ang Tenochtitlan ay naging sentrong pangkabuhayan at politikal
sa Mesoamerica mula sa Pacific Ocean haggang Gulf of Mexico at mula
sa hilagang Mexico hanggang sa Guatemala.
Ang mga Aztec ay mahuhusay na inhenyero at tagapagtayo ng
mga estruktura tulad ng mga kanal o aqueduct, mga dam, gayundin ng
sistema ng irigasyon, liwasan, at mga pamilihan.
Bunga ng masaganang ani at sobrang produkto, nagkaroon ng pagkakataon ang mga
Aztec na makipagkalakalan sa mga kalapit na lugar na nagbigay-daan upang sila ay maging
maunlad. Ang kaunlarang ito ng mga Aztec ay isa sa mga dahilan upang kilalanin ang
kanilang kapangyarihan ng iba pang lungsod-estado. Nakipagkasundo sila sa mga lungsod-
estado ng Texcoco at Tlacopan. Ang nabuong alyansa ang siyang sumakop at kumontrol sa
iba pang maliliit na pamayanan sa Gitnang Mexico.
181
Sa pagdating ni Hernando Cortes at mga Espanyol sa Mexico noong 1519,
natigil ang pamamayani ng mga Aztec sa Mesoamerica. Si Cortes ang namuno sa
ekspedisyong Espanyol na nanakop sa Mexico. Inakala ni Montezuma II, pinuno ng
mga Aztec, na ang pagdating ng mga Espanyol ay ang sinasabing pagbabalik ng
kanilang diyos na si Quetzalcoatl dahil sa mapuputingkaanyuan ng mga ito.Noong
1521, tuluyang bumagsak ang Tenochtitlan.
DaangLibo
1
2
3
4
5
6
7
8
9
1
1.1
1.2
1.3
1.4
1.5
MgaMilyon
1520
Populasyon
1500 15601540 16001580 16201640 1660 1680 1700
Taon
Makikita sa pahinang ito
anggraph ng populasyon ng
mga Aztec. Ang biglaang
pagbaba ng populasyon ay
dulot ng epidemya ng
bulutong, pang-aalipin,
digmaan, labis na paggawa,
at pagsasamantala. SSa
kabuuan, tinatayang
naubos ang mula 85
hanggang 95 bahagdan ng
kabuuang katutubong
populasyon ng
Mesoamerica sa loob
lamang ng 160 taon.
Pigura 2.3. Graph ng Populasyon ng mga Aztec
182
Gawain 8.Daloy ng mga Pangyayari. Ipakita sa pamamagitan ng flowchart
ang pag-unlad at pagbagsak ng Imperyong Aztec.
Pamprosesong Tanong
1. Ano-ano ang salik na nagbigay-daan sa paglakas ng Imperyong Aztec?
2. Paano napakinabangan ng mga Aztec ang mga lupain na kanilang
sinakop?
3. Bakit madaling nakontrol ng mga Aztec ang iba pang karatig na lungsod-
estado?
Gawain 9.Pagsulat ng Sanaysay.Sumulat ng sanaysay tungkol sa
kahalagahan ng mga kontribusyon ng mga Kabihasnang Klasikal sa
Mesoamerica. Gamiting gabay ang sumusunod:
1. Ano ang kaugnayan ng heograpiya ng Mesoamerica sa pag-usbong ng
mga Kabihasnang Maya at Aztec?
2. Paano nagkakatulad at nagkakaiba ang dalawang kabihasnan?
3. Ano-ano ang kanilang mga kontribusyon at bakit ito mahalaga?
183
4. Magbigay ng kongklusyong magpapatunay na ang nabanggit na
kabihasnan ay maituturing na Kabihasnang Klasikal.
Gawain 10.Pagsusuri sa Aking Natutuhan. Punan ng angkop na
impormasyon ang kasunod na chart batay sa paksang tinalakay.
Ang aking mga natutuhan sa araling ito
ay ______________________________
_________________________________
_________________________________
_________________________________
_________________________________
_________________________________
_________________________________
Ang aking mga tanong sa araling ito ay
_________________________________
_________________________________
_________________________________
_________________________________
_________________________________
_________________________________
_________________________________
Madali kong naisakatuparan ang mga
gawain tulad ng ______________________
___________________________________
___________________________________
___________________________________
___________________________________
___________________________________
___________________________________
Nahirapan ako na mapagtagumpayan ang
mga gawain tulad ng _________________
___________________________________
___________________________________
___________________________________
___________________________________
___________________________________
___________________________________
Naunawaan mo sa bahaging ito ang mga pangyayari, hamon, tugon, at katangian
ng mga Kabihasnang Maya at Aztec. Nakabatay ang kaunlaran at kapangyarihan ng
dalawang kabihasnan sa agrikultura at pananakop ng lupain partikular na ang Aztec. Isa
pang maunlad at higit na malawak na imperyo ang naging makapangyarihan sa America.
Ito ang Kabihasnang Inca na lumaganap sa South America.
184
Gawain 11. Magbasa at Matuto.Basahin at unawain ang teksto tungkol sa
Kabihasnang Inca.
HEOGRAPIYA NG SOUTH AMERICA
May magkakaibang klima at
heograpiya ang South America kung
ihahambing sa Mesoamerica.
Matatagpuan sa hilaga ng Amazon River
na dumadaloy sa mayayabong na
kagubatan. Pawang ang mga prairie at
steppe naman ang matatagpuan sa Andes
Mountains sa timog na bahagi.
Samantala, tuyot na mga disyerto ang
nasa kanlurang gulod ng mga bundok na
kahilera ng Pacific Ocean.
Dahil sa higit na kaaya-aya ang
topograpiya ng Andes, dito nabuo ang
mga unang pamayanan. May mga
indikasyon ng pagsasaka gamit ang
patubig sa hilagang gilid ng Andes noong
2000 B.C.E.
Sa pagsapit ng ika-11 siglo B.C.E,
maraming pamayanan sa gitnang Andes
ang naging sentrong panrelihiyon. Ang
mga pamayanang ito ay umusbong sa
kasalukuyang Peru, Bolivia, at Ecuador.
Nang lumaon, nagawang masakop ng
ilang malalaking estado ang kanilang mga
karatig-lugar. Subalit sa kabila nito, wala
ni isa man ang nangibabaw sa lupain
hanggang sa pagsapit ng ika-15 siglo.
Mapa. 2.3 Sakop ng Kabihasnang Inca.
Gabay na Tanong
1. Anong anyong tubig ang matatagpuan sa silangan
ng Imperyong Inca?
2. Paano nakatulong ang mahabang kalsada na
ipinatayo ng mga Inca upang mapatatag ang
kanilang imperyo?
3. Sa kasalukuyan, bakit mahalaga ang maayos na
sistema ng transportasyon?
185
Makikita sa talahanayan ang pagkakatulad ng mga Aztec at Inca.
BATAYAN AZTEC INCA PATUNAY
Pinagmulan
- nagmula sa maliliit na pamayanang
agrikultural
Parehas na umunlad ang dalawang imperyo
mula sa matagumpay na pagtatanim.
Paniniwala
- pagsamba sa araw bilang diyos
Huitzilopochtli – diyos ng araw ng mga Aztec
Inti – diyos ng araw ng mga Incan
Inhinyera
- mahusay sa paggawa ng kalsada,
templo, at iba pang gusali
Pyramid of the Sun – ginawa ng mga Aztec
Mahaba at batong kalsada – ginawa ng mga
Incan
Kabihasnang Inca (1200-1521)
Noong ika-12 siglo, isang pangkat ng mga taong
naninirahan sa hilagang-kanlurang bahagi ng Lake Titicaca sa
matabang lupain ng Lambak ng Cuzco. Sa pamumuno ni Manco
Capac, bumuo sila ng maliliit na lungsod-estado.
Ang salitang Inca ay nagangahulugang “imperyo.” Hango
ito sa pangalan ng pamilyang namuno sa isang pangkat ng tao na
nanirahan sa Andes. Unti-unting pinalawig ng mga Inca ang
kanilang teritoryo hanggang sa masakop nito ang 3,220 kilometro
kuwadrado sa kahabaan ng baybayin ng Pacific. Saklaw ng
imperyong ito ang kasalukuyang lupain ng Peru, Ecuador, Bolivia,
at Argentina.
Noong 1438, pinatatag ni Cusi Inca Yupagqui o Pachakuti
ang lipunang Inca sa pamamagitan ng pagkakaroon ng isang
sentralisadong estado. Sa ilalim ni Topa Yupanqui (1471-1493),
pinalawig niya ang imperyo hanggang hilagang Argentina, bahagi
ng Bolivia, at Chile. Napasailalim din sa kaniyang kapangyarihan
ang estado ng Chimor o Chimu na pinakamatinding katunggali ng
mga Inca sa baybayin ng Peru. Sa ilalim naman ni Huayna Capac,
nasakop ng imperyo ang Ecuador.
Gabay na
Tanong
1. Ano ang ibig
sabihin ng Inca?
2. Sino si
Pachakuti?
186
Sa pagdating ni Francisco Pizarro, ang Espanyol na mananakop ng Inca noong
1532, ang lupain ng Imperyong Inca ay sumasaklaw mula sa hilaga sa kasalukuyang
Colombia hanggang sa katimugan sa bahagi ng Chile at Argentina. Subalit dahil sa
mga tunggalian tungkol sa pamumuno at kawalang kapanatagan sa mga nasakop na
bagong teritoryo, unti-unting humina ang imperyo. Dagdag pa rito ang tila
napakalaking saklaw ng Imeryong Inca na naging malayo mula sa sentrong
pangangasiwa sa Cuzco. Nariyan din ang malaking pagkakaiba ng mga pangkat ng
tao sa ilalim ng kanilang kapangyarihan.
Samakatuwid, ang imperyo ay nasa kaguluhang politikal na pinalubha pa ng
epidemya ng bulutong na dala ng mga sinaunang dumating na conquistador o
mananakop na Espanyol. Sa katunayan, si Huayna Capac, isa sa mga pinuno ng Inca,
ay namatay sa isang epidemya noong 1525. Ang pagpanaw na ito ay nagdulot ng
tunggalian sa kaniyang mga anak na sina Atahuallpa at Huascar. Sa huli, nanaig si
Atahuallpa. Nakilala niya si Pizarro habang naglalakbay ito patungong Cuzco. Nang
lumaon, binihag ni Pizarro ang Atahuallpa at pinatubos ng pagkarami-raming ginto.
Noong 1533, pinapatay si Atahuallpa at makalipas ang isang taon, sinakop ng mga
Espanyol ang Cuzco gamit lamang ang maliit na hukbo.
Sa kabila ng katapangan ng mga Inca, hindi nila nagawang manaig sa bagong
teknolohiyang dala ng mga dayuhan, tulad ng mga baril at kanyon. Ang ilan sa mga
Inca ay nagtungo sa kabundukan ng Vilcabamba at nanatili rito nang halos 30 taon.
Hindi nagtagal, ang huling pinuno ng mga Inca na si Tupac Amaru ay pinugutan ng ulo
noong 1572. Dito tuluyang nagwakas ang pinakadakilang imperyo sa Andes.
Siya ang namuno sa mga Espanyolsa pananakop sa
Imperyong Inca.
Gabay na Tanong
1.May pagkakatulad ba ang mga Pilipino at mga Inca?
Patunayan.
2. Paano siya natutulad kay Miguel Lopez de Legazpi sa
kasaysayan ng Pilipinas?
187
Gawain 12.Sino Sila?Tukuyin ang mga nagawa ng sumusunod napinuno ng
Kabihasnang Inca.
GAWAIN 13.Puno ng Kaalaman.Isulat sa loob ng dahon ang mga dahilan ng
pagbagsak ng Imperyong Inca.
Mga Dahilan ng Pagbagsak
ng Imperyong Inca
Ano ang
nagawa?
Kahalagahan ng
nagawa:
Pachakuti
Ano ang
nagawa?
Kahalagahan ng
nagawa:
Topa
Yupanqui
Ano ang
nagawa?
Kahalagahan ng
nagawa:
Huayna
Capac
188
Gawain 14.MAPAsuri.Suriin ang mapa ng Mesoamerica at South America.
Pagkatapos, sagutin ang mga kaugnay na tanong.
Gawain 15.KKK (Kaugnayan ng Kabihasnan sa Kasalukuyan).Punan ng
tamang sagot ang chart. Pagkatapos, isulat ang iyong paliwanag tungkol sa
pamamagitan ng pagdudugtong ng impormasyon sa pahayag na nasa ibaba.
PAMAHALAAN EKONOMIYA RELIHIYON KONTRIBUSYON
MAYA
AZTEC
INCA
Maituturing na Kabihasnang Klasikal ang naitatag ng mga
Maya, Aztec, at Inca dahil _______________________________
____________________________________________________
____________________________________________________
____________________________________________________
____________________________________________________.
1. Saang bansa sa kasalukuyan makikita
ang mga Kabihasnang Klasikal sa
Mesoamerica at South America?
2. Ano-ano ang anyong-tubig na nasa
paligid ng mga nabanggit na rehiyon?
3. Paano nakaapekto ang heograpiya sa
pagtatag ng mga Kabihasnang Klasikal ng
Aztec, Inca, at Maya?
4. Sa iyong palagay, alin sa dalawang
salik ang higit na nakaimpluwensiya sa
pag-usbong ng mga kabihasnan sa
Mesoamerica at South America, ang mga
tao ba o ang heograpiya? Ipaliwanag.
Mapa 2.4 Ang Mesoamerica at South America
189
Gawain 16.Magbasa at Matuto. Basahin at unawain ang teksto tungkol sa
mga Kaharian at Imperyong naitatag sa Africa.
Mga Kaharian at Imperyo sa Africa
Sa kasalukuyan, makikita pa rin ang mga pamana ng mga Kabihasnang
Klasikal na Maya, Aztec, at Inca. Ang mga estruktura tulad ng Pyramid of
Kukulcan, Pyramid of the Sun, at ang lungsod ng Machu Picchu ay
hinahangaan at dinarayo ng mga turista dahil sa ganda at kakaibang katangian
nito. Nananatili itong paalala ng mataas na kabihasnang nabuo ng mga
sinaunang mamamayan sa America.
Sa kasalukuyan, higit ang iyong kaalaman sa kontinente ng America subalit
limitado lamang ang mga Pulo sa Pacific. Samantala, kadalasan ay hindi maganda
ang iyong impresyon sa kontinente ng Africa. Maging sa sinaunang kasaysayan ng
daigdig, karaniwang hindi nabibigyan ng tuon ang Africa at mga pulo sa Pacific.
Maliban sa kaharian ng Egypt, hindi na natatalakay pa ang ibang sentro ng
kabihasnan sa Africa. Samantala, halos walang pagbanggit naman sa mga pulo sa
Pacific. Tunghayan sa araling ito ang mga kaganapan sa dalawang rehiyong ito
noong sinaunang panahon.
Heograpiya ng Africa
Mahalaga ang papel ng heorapiya kung bakit
ang Africa ang huling pinasok at huling nahati-hati ng
mga Kanluraning bansa. Tinawag ito ng mga
Kanluranin na dark continent dahil hindi nila ito
nagalugad kaagad. Nanatiling limitado ang kaalaman
ng mga bansang Kanluranin tungkol sa kontinenteng
ito hanggang noong ika-19 na siglo.
Gabay na
Tanong
Bakit tinawag na
dark continent
ang Africa?
190
Gabay na Tanong
1. Ano-anong uri ng vegetation at anyong-lupa ang
makikita sa kontinente ng Africa?
2. Bakit mahirap mamuhay sa rehiyon ng Sahara?
3. Paano nakatulong ang heograpiya sa pag-usbong ng
mga Imperyong Ghana, Mali, at Songhai.
Ang pinakamainit at pinakamaulang
bahagi ng Africa ay yaong malapit sa
equator. Matatagpuan dito ang
rainforest o isang uri ng kagubatan
kung saan sagana ang ulan at ang
mga puno ay malalaki, matataas, at
may mayayabong na dahon. Sa
hangganan ng rainforest ay ang
savanna, isang bukas at malawak na
grassland o damuhan na may mga
puno. Sa grassland sa hilaga ng
equator matatagpuan ang rehiyon ng
Sudan. Sa bandang hilaga naman ng
rehiyon ng Sudan makikita ang
Sahara, ang pinakamalaki at
pinakamalawak na disyerto sa
daigdig. Ang Sahara na malaki pa sa
Europe ay hindi natitirhan maliban sa
mga oasis nito. Ang oasis ay lugar sa
disyerto kung saan may matabang
lupa at tubig na kayang bumuhay ng
halaman at hayop. Tanging sa oasis
lamang may mga maliliit na
pamayanan sa Sahara. Hiwa-hiwalay
at kalat-kalat ang mga kultura at
kabihasnang sumibol at namayani sa
malawak na kontinente ng Africa.
Mapa 2.5 Katangiang Heograpikal ng Africa
191
Isa sa mga umunlad na kultura sa Africa ay ang rehiyon na malapit sa Sahara.
Nakatulong sa kanilang pamumuhay ang pakikipagkalakalan. Tinawag itong Kalakalang
Trans-Sahara. Bunga nito, nakarating sa Europe at iba pang bahagi ng Asya ang mga
produktong African.
Ang Kalakalang Trans-Sahara
Noong 3000 B.C.E., isang masaganang kalakalan ang umunlad sa
pagitan ng Hilagang Africa at Kanlurang Sudan, ang rehiyon sa timog ng Sahara.
Tinawag na Trans-Sahara ang kalakalang naganap dito. Ang kalakalang Trans-
Sahara ay tumagal hanggang ika-16 na siglo. Tinawag itong kalakalang Trans-
Sahara dahil tinawid ng mga nomadikong mangangalakal ang Sahara sa
pamamagitan ng caravan, dala-dala ang iba’t ibang uri ng kalakal. Kamelyo ang
kadalasang gamit sa mga caravan. Ang caravan ay pangkat ng mga taong
magkakasamang naglalakbay.
Ang mga mangangalakal mula sa Carthage ay pumupunta sa Sahara upang
mamili ng mga hayop tulad ng unggoy, leon, elepante, at mga mamahaling hiyas.
Sinasabi na ang mga elepante na ginamit ni Hannibal sa Digmaang Punic laban sa
Rome ay nanggaling sa Kanlurang Africa. Iba’t ibang grupo ng mga tao ang
nagtayo ng mga pamayanan sa mga lugar na dinaraanan ng kalakalan.
Mapa 2.6 Ruta ng Kalakalang Trans-Sahara
Gabay na Tanong
1. Saang bahagi ng Africa makikita ang lupain ng mga Carthage?
2. Ano ang ibig sabihin ng caravan?
3. Paano nakarating sa Europe ang mga produkto mula sa Africa?
4. Bakit tinawag na Trans-Sahara ang kalakalan sa Hilagang Africa?
http://northafrica
nhistory.wikispac
es.com/file/view/
timbuktu.jpg/112
619921/timbuktu
.jpg
192
Ang Pagpasok ng Islam sa
Kanlurang Africa
Nang makapagtatag ng mga
pamayanang Muslim sa Morocco, ang
Islam ay unti-unting nakilala at
kalaunan ay namayani sa mga kultura
at kabihasnang nananahan sa
Kanlurang Africa. Ang Islam ay
pinalaganap ng mga Berber, mga
mangangalakal sa Hilagang Africa.
Pumupunta sila sa Kanlurang Africa
upang bumili ng ginto kapalit ng mga
aklat, tanso, espada, seda, kaldero, at
iba pa.
Morocco
Berber
Sudan at
Hilagang Africa
Pigura 2.4 Kalakalan ng mga Berber at African
Gabay na Tanong
1. Sino ang nagdala ng relihiyong Islam sa Hilagang Africa?
2. Bukod sa pag-unlad ng kabuhayan, anong aspeto ng
pamumuhay ng mga African ang naimpluwensiyahan ng
mga Berber?
193
Gawain 17.MAPAghanap. Sumulat ng maikling paglalarawan tungkol sa
mga anyong-lupa, anyong tubig, at vegetation sa Africa. Tukuyin kung saang
bahagi ng Africa matatagpuan ang mga ito sa pamamagitan ng pagguhit ng
linya sa tiyak na lugar.
Pamprosesong Tanong
1. Alin sa mga nabanggit navegetation ang may pinakamalawak na saklaw?
2. Bakit tinawag na Trans-Sahara ang kalakalan sa pagitan ng Carthage at
Sudan?
3. Saang mga lugar maaaring umusbong ang kabihasnan o imperyo? Bakit?
Rainforest
Savanna
Disyerto
Oasis
194
Gawain 18.Magbasa at Matuto.Basahin at unawain ang teksto tungkol iba
pang Kabihasnan sa Africa.
Mga Kabihasnan sa Africa
Matatandaan na ang Egypt ang isa sa mga pinakaunang lunduyan ng
kabihasnan sa daigdig. Maliban sa Egypt, ang Axum ang kasalukuyang Ethiopia
sa Silangang Africa ay napatanyag din dahil sa naging sentro ito ng kalakalan.
Binibisita ito ng mga mangangalakal mula sa Persia at Arabia. Umusbong din ang
mga estado sa rehiyon ng Sudan kung saan ang kanilang yaman ay dulot ng
kanilang kapangyarihan sa kalakalang tumatawid sa Sahara. Kapwa nasa
Silangang Africa ang dalawang kabihasnang ito.
Ang Kanlurang Africa ay naging tahanan din ng mga unang kabihasnan.
Dito umusbong ang mga imperyo ng Ghana, Mali, at Songhai.
Pigura 2.5. Timeline ng mga Kabihasnang umusbong sa Africa.
350 C.E. Namayani ang Kaharian ng Axum sa Silangang Africa
700
dantaon
Naging makapangyarihan ang Imperyo ng Ghana sa
Kanlurang Africa
1240 Naitatag ang Imperyong Mali nang matalo ang
Imperyong Ghana
1335 Nagsimulang mamuno ang dinastiyang Sunni na siyang
nagpalawak sa teritoryo ng Imperyong Songhai
195
Ang Axum Bilang Sentro ng Kalakalan
Ang kaharian ng Axum ay sentro ng
kalakalan noong 350 C.E. Malawak ang
pakikipagkalakalan nito at sa katunayan,
ito ay may pormal na kasunduan ng
kalakalan sa mga Greek. Mga elepante,
ivory (ngipin at pangil ng elepante), sungay
ng rhinoceros, pabango, at pampalasa o
rekado ang karaniwang kinakalakal sa
Mediterranean at Indian Ocean. Kapalit
nito, umaangkat ang Axum ng mga tela,
salamin, tanso, bakal, at iba pa.
Isang resulta ng malawakang
kalakalan ng Axum ay ang pagtanggap nito
ng Kristiyanismo. Naging opisyal na
relihiyon ng kaharian ang Kristiyanismo
noong 395 C.E.
Mapa Bilang 2.7. Ruta ng Kalakalang Axum
Gabay na Tanong
1. Anong mga anyong-tubig ang dinaanan ng mga
Axum sa pakikipagkalakalan?
2. Saang mga kontinte nakipagkalakalan ang mga
Axum?
3. Paano ito natutulad at naiiba sa kalakalang Trans-
Sahara?
Kung ang kahariang Axum ay naging tanyag sa Silangang Africa, nakilala
naman sa Kanlurang Africa ang tatlong imperyo na siyang naging makapangyarihan
dulot rin ng pakikipagkalakalan sa mga mamamayan sa labas ng Africa. Ito ay ang
mga imperyo ng Ghana, Mali, at Songhai.
196
Ang Imperyong Ghana
Ang Ghana ang unang estadong naitatag sa Kanlurang Africa. Sumibol ang
isang malakas na estado sa rehiyong ito dulot ng lokasyon nito sa timog na dulo ng
kalakalang Trans-Sahara. Nagkaroon sa Ghana ng malaking pamilihan ng iba’t
ibang produkto tulad ng ivory, ostrich, feather, ebony, at ginto. Ang mga ito ay
ipinagpalit ng mga katutubo sa asin, tanso, figs, dates, sandatang yari sa bakal,
katad, at iba pang produktong wala sila.
Malayang nakapagtatanim ang mga tao dulot ng matabang lupa sa malawak
na kapatagan ng rehiyon. Ang pagkakaroon ng sapat na pagkain ay isang dahilan
kung bakit lumaki ang populasyon dito. Sagana rin ang tubig upang punan ang
pangangailangan sa mga kabahayan at sa irigasyon.
Mahalagang salik
sa paglakas ng
Ghana
Naging maunlad
dahil naging sentro
ng kalakalan sa
Kanlurang Africa
Bumili ng mga
kagamitang
pandigma na yari sa
bakal at mga kabayo
Ginamit ang mga
sandatang gawa sa
bakal upang
makapagtatag ng
kapangyarihan sa mga
grupong mahina ang
mga sandata.
Ang mga kabayo ay
nagbibigay ng ligtas at
mabilis na paraan ng
transportasyon para
sa mga mandirigma
nito
Gabay na Tanong
1. Ano ang naging batayan ng pag-unlad ng Imperyong Ghana?
2. Paano nakatulong ang heograpiya ng Ghana upang umunlad ang
kanilang pamumuhay?
197
ANG IMPERYONG MALI
Ang Mali ang tagapagmana ng Ghana. Nagsimula
ang Mali sa estado ng Kangaba, isa sa mahalagang outpost
ng Imperyong Ghana. Ang pag-akyat ng Mali sa
kapangyarihan ay sinimulan ni Sundiata Keita. Noong 1240,
sinalakay niya at winakasan ang kapangyarihan ng
Imperyong Ghana. Sa pamamagitan ng patuloy na
pananalakay, ang Imperyong Mali ay lumawak pakanluran
patungong lambak ng Senegal River at Gambia River,
pasilangan patungong Timbuktu, at pahilaga patungong
Sahara Desert. Hawak nito ang mga ruta ng kalakalan.
Noong mamatay si Sundiata noong 1255, ang Imperyong
Mali ang pinakamalaki at pinakamapangyarihan sa buong
Kanlurang Sudan.
Katulad ng Ghana, ang Imperyong Mali ay yumaman
sa pamamagitan ng kalakalan. Nang mamuno si Mansa
Musa noong 1312, higit pa niyang pinalawak ang teritoryo ng
imperyo. Sa pagsapit ng 1325, ang malalaking lungsod
pangkalakalan tulad ng Walata, Djenne, Timbuktu, at Gao ay
naging bahagi ng Imperyong Mali.
Maliban sa pagpapalawak ng imperyo, naging bantog
din si Mansa Musa sa pagpapahalagang ibinigay niya sa
karunungan. Nagpatayo siya ng mga mosque o pook-
dasalan ng mga Muslim sa mga lungsod ng imperyo.
Hinikayat niya ang mga iskolar na pumunta sa Mali. Sa
panahon ng kaniyang paghahari, ang Gao, Timbuktu, at
Djenne ay naging sentro ng karunungan at
pananampalataya.
Mga Namuno sa
Imperyong Mali
Sundiata Keita
Mansa Musa
Gabay na
Tanong
1. Paano nakamit
ng Imperyong
Mali ang
kapangyarihan
mula sa
Imperyong
Ghana?
2. Bakit naging
tanyag si Mansa
Musa?
198
Ang Imperyong Songhai
Simula pa noong ikawalong siglo, ang Songhai ay
nakikipagkalakalan na sa mga Berber na taon-taon ay dumarating sa mga
ruta ng kalakalan sa Niger River. Maliban sa kalakalan, dala rin ng mga
Berber ang pananampalatayang Islam. Sa pagsapit ng 1010, tinanggap
ni Dia Kossoi, hari ng mga Songhai, ang Islam. Bagama’t hinikayat niya
ang mga Songhai na tanggapin ang Islam, hindi niya pinilit ang mga ito.
Sa pamamagitan ng Gao at ng Timbuktu, nakipagkalakalan ang
Songhai sa Algeria. Dahil dito, nakapagtatag ng ugnayan ang Songhai sa
iba pang bahagi ng Imperyong Islam.
Noong 1325, ang Songhai ay sinalakay at binihag ng Imperyong
Mali. Subalit hindi ito nagtagal sa pagiging bihag ng Mali. Noong 1335,
lumitaw ang bagong dinastiya, ang Sunni, na matagumpay na binawi ang
kalayaan ng Songhai mula sa Mali. Mula 1461 hanggang 1492, sa ilalim
ni Haring Sunni Ali, ang Songhai ay naging isang malaking imperyo. Sa
panahon ng kaniyang paghahari, pinawalak niya ang Imperyong Songhai
mula sa mga hangganan ng kasalukuyang Nigeria hanggang sa Djenne.
Hindi niya tinanggap ang Islam sapagkat naniniwala siyang sapat na ang
kaniyang kapangyarihan at ang suporta sa kaniya ng mga katutubong
mangingisda at magsasaka. Gayunpaman, iginalang at pinahalagahan
pa rin niya ang mga mangangalakal at iskolar na Muslim na nananahan
sa loob ng kaniyang imperyo. Sa katunayan, hinirang niya ang ilan sa
mga Muslim bilang mga kawani sa pamahalaan.
199
Pigura 2.6 Infographic tungkol sa Imperyong Ghana, Mali at Songhai
Ghana
Ipinag-utos ni haring Al-
Bakri na ibigay sa kaniya
ang mga butil ng ginto at
tanging mga gold dust
ang pinayagang ipagbili
sa kalakalan. Sa ganitong
paraan, napanatili ang
mataas na halaga ng
ginto.
ginto
asin
Ghana, Mali at Songhai
Ang mga imperyong ito ay
naging makapangyarihan
dahil sa kalakalan.
Pangunahing produkto
nila ang ginto. Nagsilbi
silang tagapamagitan ng
mga African na mayaman
sa ginto at ng mga African
na mayaman sa asin.
Pag-isipan!
Iugnay angLaw of Supply
and Demand sa
ipinalabas na kautusan ni
haring Al-Bakri.
asin ginto
Sa panahong ito,ginagamit
ng mga African ang ginto
upang ipambili ng asin.
Ginagamit ng mga African
ang asin upang mapreserba
ang kanilang mga pagkain.
Mali
Nagsilbing sentro ng kalakalan ang Timbuktu.
Bukod dito, lumaganap rin ang relihiyong Islam
at tumaas ang antas ng kaalaman dulot ng
impluwensiya ng mga iskolar na Muslim. Ang
Sankore Mosque ay ipinagawa ni Mansa Musa
noong 1325.
Gabay na Tanong
1. Ano ang naging batayan ng kapangyarihan ng Imperyong
Ghana, Mali, at Songhai?
2. Bakit mahalaga ang asin para sa mga African?
200
Gawain 19.History Makers.Punan ng tamang sagot ang chart batay sa iyong
mga napag-aralan tungkol sa mga pinuno ng mga Kabihasnan sa Africa.
PINUNO IMPERYONG PINAMUNUAN MAHALAGANG NAGAWA
Al-Bakri
SundiataKeita
Mansa Musa
Dia Kossoi
Sunni Ali
GAWAIN 20.Triple Venn Diagram. Isa-isahin ang pagkakatulad at
pagkakaiba ng Imperyong Ghana, Mali, at Songhai. Isulat sa Venn Diagram
ang sagot.
GAWAIN 21.KKK (Kaugnayan ng Kabihasnan sa Kasalukuyan).
Punan ng tamang sagot ang talahanayan.Isulat ito sa loob ng angkop na
kolum. Dugtungan ang kasunod na pangungusap na nasa loob ng kahon.
IMPERYO KONTRIBUSYON KAHALAGAHAN
GHANA
MALI
SONGHAI
Ghana
SonghaiMali
Maituturing na Kabihasnang Klasikal ang naitatag ng mga
Imperyong Ghana, Mali, at Songhai dahil __________________
____________________________________________________
____________________________________________________
____________________________________________________
____________________________________________________.
201
Gawain 22: Magbasa at Matuto. Basahin at unawain ang teksto tungkol sa
mga kabihasnan sa Pulo ng Pacific
MIGRASYONG AUSTRONESIAN
Magkaugnay ang sinaunang kasaysayan at kultura ng mga pulo ng Pacific at
Timog-Silangang Asya. Ito ay dahil ang nandayuhan at nanahan sa dalawang
rehiyong ito ay mga Austonesian. Ang Austronesian ay tumutukoy sa mga taong
nagsasalita ng mga wikang nabibilang sa Austronesian o Malayo-Polynesian. Ito ang
pinakamalaking pamilya ng wika sa daigdig.
Bunga ng pagkakatatag ng mga sinaunang kabihasnan at imperyo, nabuo
ang pagkakilanlan ng kasalukuyang kontinente ng America at Africa. Samantala,
sa mga Pulo ng Pacific, nagsimula na ring makilala ang mga Austronesean.
Tunghayan sa susunod na bahagi ng aralin ang kanilang nabuong kabihasnan.
Ayon sa teorya ng iskolar na si Peter Bellwood, nagmula sa timog China ang mga
Austronesian. Sa hangaring makahanap ng mga bagong teritoryo na masasaka, umalis sila
ng China at nandayuhan simula noong 4000 B.C.E. Tumungo sila sa mga lugar na kilala
ngayon bilang Taiwan, Pilipinas, Malaysia, Brunei, at Indonesia. Noong 2000 B.C.E., may
mga Austronesian na tumungo pakanluran hanggang makarating sa Madagascar sa Africa.
Samantala, may mga tumungo pasilangan at tinawid ang Pacific Ocean at nanahan sa mga
pulo ng Pacific.
Mapa 2.8. Migrasyon ng
mga Austronesian.
Gabay na Tanong
1. Magbigay ng ilang sa
kasalukuyan na
pinanirahan ng mga
Austronesian.
2.Bakit nandayuhan
ang mga Austronesian
sa mga pulo sa Pacific.
http://en.wikipedia.org/wiki/Austronesian_peoples
202
.
Unang narating ng mga Austronesian ang New Guinea, Australia, at
Tasmania. Noong 1,000 B.C.E., nanahan ang mga Austronesian sa Vanuatu, Fiji, at
Tahiti.
Narating din nila ang Tonga, Samoa, at Marquesas. Tinatayang nasa mga
pulo ng Hawaii sila noong 100 B.C.E. Pinakamalayo nilang naabot ang Easter
Island, isang pulo sa Pacific na bahagi na ng South America.
Sa pag-aaral ng kabihasnan ng mga pulo sa Pacific, mahalagang tunghayan
ang lipunan ng mga tao rito bago dumating ang mga Kanluranin. Ang lipunan at
kulturang ito ay Austronesian.
http://en.wikipedia.org/wiki/File:Pacific_Culture_Areas.jpg
Ang mga Pulo sa Pacific
Ang mga pulo sa Pacific o Pacific Islandsay nahahati sa tatlong malalaking
pangkat – ang Polynesia, Micronesia, at Melanesia. Ang mga katawagang ito ay
iginawad ng mga Kanluranin matapos nilang makita ang kaayusan ng mga pulo at ang
anyo ng mga katutubo nito.
POLYNESIA –
maraming isla
poly – marami
nesia - isla
MICRONESIA –
maliliit na mga
isla
micro – maliit
nesia - isla
MELANESIA –
maiitim ang mga
tao dito
mela– maitim
nesia - isla
Mapa 2.9
Ang mga isla na
bumubuo sa
Pacifi.
203
Polynesia
Ang Polynesia ay matatagpuan sa gitna at timog na bahagi ng Pacific
Ocean na nasa silangan ng Melanasia at Micronesia. Ang Polynesia ay higit na
malaki kaysa pinagsamang lupain ng Melanasia at Micronesia.
Ang Polynesia ay binubuo ng New Zealand, Easter Island, Hawaii,
Tuvalu, Wallis at Futuna, Tonga, Tokelau, Samoa, American Samoa, Niue,
Cook Islands, French Polynesia, Austral Islands, Society Islands, Tuamotu,
Marquesas, at Pitcairn.
Batay sa dami ng pinagkukunan ng pagkain ang laki ng pamayanan sa
Polynesia. Umabot hanggang 30 pamilya ang bawat pamayanan dito. Ang
sentro ng pamayanan ay ang tohua na kadalasang nasa gilid ng mga bundok.
Ito ay tanghalan ng mga ritwal at pagpupulong. Nakapaligid satohua ang
tirahan ng mga pari at mga banal na estruktura.
Ang pangunahing kabuhayan ng mga Polynesian ay pagsasaka at
pangingisda.Ang karaniwang tanim nila ay taro o gabi, yam o ube, breadfruit,
saging, tubo, at niyog.Sa pangingisda naman nakakakuha ng tuna, hipon,
octopus, at iba pa. Nanghuhuli rin sila ng pating.
Sa larangan ng pananampalataya, naniniwala sila sa banal na
kapangyarihan o mana. Ang katagang mana ay nangangahulugang “bisa” o
“lakas.”Sa mga sinaunang Polynesian, ang mana ay maaaring nasa gusali,
bato, bangka, at iba pang bagay.
Gabay na Tanong
1. Ano ang pangunahing ikinabubuhay ng mga mamamayan sa Polynesia?
2. Ano ang ibig sabihin ng mana?
204
May mga batas na sinusunod upang hindi mawala o
mabawasan ang mana. Halimbawa, bawal pumasok sa isang
banal na lugar ang pangkaraniwang tao. Ang sinaunang
kababaihan sa Marquesas ay hindi maaaring sumakay sa
bangka sapagkat malalapastangan niya ang bangka na may
angking mana. Gayundin, ang mga lalaking naghahanda sa
pakikipaglaban o para sa isang mapanganib na gawain ay
dapat nakabukod. Bawal silang makihalubilo sa babae at pili
lang ang dapat nilang kainin upang hindi mawala ang
kanilangmana. Ang tawag sa mga pagbabawal o
prohibisyong ito ay tapu. Kamatayan ang pinakamabigat na
parusang igagawad sa matinding paglabag sa tapu.
Micronesia
Ang maliliit na pulo at atoll ng Micronesia ay matatagpuan sa hilaga ng
Melanesia at sa silangan ng Asya. Ang Micronesia ay binubuo ng Caroline
Islands, Marianas Islands, Marshall Islands, Gilbert Islands (ngayon ay Kiribati), at
Nauru.
Ang mga sinaunang pamayanan dito ay matatagpuan malapit sa mga lawa
o dagat-dagatan. Ito ay upang madali para sa mga tao ang lumabas at maglayag
sa karagatan. Itinatag nila ang kanilang mga pamayanan sa bahaging hindi
gaanong tinatamaan ng bagyo o malalakas na ihip ng hangin.
Pagsasaka ang pangunahing kabuhayan ng mga Micronesian.Nagtatanim
sila ng taro, breadfruit, niyog, at pandan. Sagana ang mga ito sa asukal at starch
na maaaring gawing harina. Pangingisda ang isa pang ikinabubuhay ng mga
Micronesian. May kaalaman din sa paggawa ng simpleng palayok ang mga
lipunan ng Marianas, Palau, at Yap.
Gabay na
Tanong
Ano-ano ang mga
paraan upang
mapangalagaan
ang mana?
205
Melanesia
Ang Melanesia ay matatagpuan sa hilaga at silangang baybay-dagat ng
Australia. Ito ay kasalukyang binubuo ng New Guinea, Bismarck Archipelago,
Papua New Guinea, Solomon Islands, Vanuatu (dating New Hebrides), New
Caledonia, at Fiji Islands.
Ang mga sinaunang pamayanan dito ay maaaring nasa baybaying-dagat o
sa dakong loob pa. Pinamumunuan ito ng mga mandirigma. Tagumpay sa
digmaan ang pangkaraniwang batayan ng pagpili sa pinuno. Sa maraming grupong
Papuan, ang kultura ay hinubog ng mga alituntunin ng mga mandirigma tulad ng
katapangan, karahasan, paghihiganti, at karangalan.
Malimit din ang kalakalan ng magkakaratig-pulo. Sa Palau at Yap, bato at
shell ang ginagamit bilang paraan ng palitan. Gumagamit din ang Palau ng batong
ginawang pera (stone money). Sa iba pang mga pulo, nagpapalitan ng kalakal ang
matataas (high-lying islands) at mabababang pulo (low-lying coral atolls).
Ipinagpapalit ng mga high-lying island ang turmericna ginagamit bilang gamot at
pampaganda. Samantala, ang mga low-lying coral atoll ay nakipagpalitan ng mga
shellbead, banig na yari sa dahon ng pandan, at magaspang na tela na galing sa
saging at gumamela. Bilang tela, ginagawa itong palda ng kababaihan at bahag
ng kalalakihan.
Animismo rin ang sinaunang relihiyon ng mga Micronesian. Ang mga
rituwal para sa mga makapangyarihang diyos ay kinapapalooban ng pag-aalay ng
unang ani.
206
Gawain 23.Pagsagot saChart.Punan ng impormasyon ang talahanayan.
Isla Kahulugan ng
Pangalan
Kabuhayan Relihiyon
Polynesia
Micronesia
Melanesia
Gawain 24.Anong Konek?Makibahagi sa iyong pangkat. Magsaliksik tungkol
sa kultura ng mga taga-Pacific Islands at ihambing ito sa kulturang Pilipino.
Iulat ang inyong nasaliksik sa klase.
Taro at yam ang pangunahing sinasaka sa Melanesia. Nagtatanim din dito
ng pandan at sago palm na pinagkukunan ng sago. Pangingisda, pag-aalaga ng
baboy, at pangangaso ng mga marsupial at ibon ang iba pang kabuhayan dito. May
kalakalan din sa pagitan ng mga pulo. Karaniwang produktong kinakalakal ng mga
Melanesian ay mga palayok, kahoy, yam, baboy, asin, apog, gayundin ang mga
gawa nilang bangka.
Naniniwala rin sa animism ang mga sinaunang Melanesian. Ipinababatid ng
diyos ng kalikasan ang mga kaganapan tulad ng tagumpay sa labanan, sakuna,
kamatayan, o pag-unlad ng kabuhayan. Laganap din sa Solomon Islands at
Vanuatu ang paniniwala sa mana.
May sariling katangian at kakanyahan ang mga isla sa
Pacific. Nakabatay ang kanilang pamumuhay sa
pakikipagkalakalan sa iba’t ibang isla at kontinente.
Bagama’t hindi ito kasing-unlad, kasing-tanyag at kasing-
yaman ng mga kabihasnan at imperyo sa America at Africa,
nakaimpluwensiya rin ito sa mga mamamayang naninirahan sa
mga isla sa Pacific at sa mga karatig bansa nito sa Timog-
silangang Asya sa kasalukuyan.
207
Gawain 25. Ang AkingPaglalakbay.Sa pagkakataong ito, isulat mo ang
iyong sagot sa bahagi ng “Kalagitnaan”.
BINABATI KITA!
Ngayon ay natapos mo na ang bahagi ng Paunlarin para sa Aralin 2.
Ngayong may sapat ka nang kaalaman tungkol sa mga salik na
nagbigay-daan sa pag-usbong ng mga kabihasnang klasikal sa mga
Pulo sa Pacific, maaari ka nang tumungo sa susunod na bahagi ng
modyul na ito.
Paano
nakaimpluwensiya
ang mga
pangyayari at mga
tugon sa hamon
ng mga sinaunang
mamamayan sa
mga nabanggit na
kontinente tungo
sa pagbuo ng
sariling
pagkakakilanlan?
Simula
Kalagitnaan
Katapusan
208
PAGNILAYAN AT UNAWAIN
Gawain 26.AdBakit?Makibahagi sa iyong pangkat. Pumili ng isang
kontribusyon ng Kabihasnang Klasikal na nakatalaga sa iyong pangkat.
Gumawa ng dalawang pahinang pamphlet na nagsusulong ng adbokasiya
upang mapangalagaan ang mga kontribusyon nito sa kasalukuyan. Sundin
ang formatsa ibaba.
Tinalakay sa nakaraang aralin ang tungkol sa Panahong Klasikal sa
Europe, America, at mga Pulo sa Pacific. Nagkaroon ka rin ng malawak na
kaalaman tungkol sa iba’t ibang kontribusyon ng mga nabanggit na kabihasnan
sa daigdig.
Ngayon naman ay kritikal mong masusuri ang impluwensiya ng mga
nabanggit na kabihasnan sa daigdig.
.
Front Page
Larawan ng Kontribusyon
First Page
Ipaliwanag ang kahalagahan
ng kontribusyon sa
kasalukuyang panahon sa:
Daigdig
Pilipinas
Second Page
Sumulat ng maikling pahayag
na naglalaman ng inyong
adbokasiya upang
mapangalagaan ang
kontribusyon na inyong napili
209
Gawain27.Ang Aking Paglalakbay. Sa pagkakataong ito, isulat mo ang iyong
sagot sa bahagi ng “Katapusan”.
BINABATI KITA!
Mahusay mong nagampanan ang gawain sa bahagi ng Pagnilayan at
Unawain para sa Aralin 2.
Paano
nakaimpluwensiya
ang mga
pangyayari at mga
tugon sa hamon
ng mga sinaunang
mamamayan sa
mga nabanggit na
kontinente tungo
sa pagbuo ng
sariling
pagkakakilanlan?
Simula
Kalagitnaan
Katapusan
Ngayon ay mayroon ka nang sapat na pag-unawa tungkol sa
mga kontribusyon at impluwensiya ng mga Kabihasnang
Klasikal sa America at Africa at sa kultura ng mga
mamamayan sa Pacific Islands. Handa ka na para sa
susunod na aralin.
210
ARALIN 3: Ang Daigdig sa Panahon ng Transisyon
-Mga Pangyayaring Nagbigay-daan sa
Pag-usbong ng Europe sa Panahong
Medieval
Isinulat ni Jeanette Winterson ang mga katagang: “In the space
between chaos and shape there was another chance.” Nangangahulugan ito
na ang bawat kaguluhan at pagbagsak ay may kaagapay na panibagong
pagkakataon. Marahil pagkakataon para bumangon, pagkakataon para
muling umunlad.Sa pagitan ng pagbagsak at pagbangon ay isang
mahalagang pangyayaring maaaring ituring na transisyon. Ikaw, sa buhay
mo, ano ang maituturing mong mahalagang transisyon?
Pagtutuunan sa Modyul na ito ang mga pangyayari sa Transisyunal
na Panahon.Sa pagitan ng sinauna at makabagong panahon, ano nga ba ang
naganap sa kasaysayan ng mundo partikular na sa Europe? Ano ang
epekto ng mga pangyayaring ito sa paggpapalaganap ng pandaigdigang
kamalayan? Paano nakaapekto ang mga pangyayari sa Transisyunal na
Panahon sa paghubog at pagbuo ng pagkakakilanlan ng bansa at
rehiyon sa daigdig?Halina’t iyo itong tuklasin.
ALAMIN
Matapos talakayin ang mga kabihasnang klasikal na nabuo sa daigdig,
bibigyan naman ng tuon sa bahaging ito ng Modyul ang kalagayan ng mundo
sa Panahon ng Transisyon. Pagtutuunan sa araling ito ang mga kaganapan sa
kasaysayan na nakasentro sa Europe- mga pangyayari na nagbigay-daan sa
pag-usbong ng Europe sa Panahong Medieval. Ano nga ba ang epekto ng
mga pangyayaring ito sa pagpapalaganap ng pandaigdigang kaalaman?
Subalit, bago mo tuluyang alamin ito, gawin mo muna ang sumusunod upang
malaman ang lawak ng iyong kaalaman tungkol sa paksa. Handa ka na ba?
211
Gawain 1.Photo-Suri
Panuto: Suriin ang larawan sa ibaba. Sagutin ang mga tanong matapos
masuri ang larawan.
Pamprosesong Tanong
Sagutin ang sumusunod na tanong.
1. Ano ang ipinahihiwatig ng larawan?
2. Sa iyong palagay, anong panahon sa kasaysayan makikita ang mga
tagpong nasa larawan?
3. Sa kasalukuyan, mayroon pa kayang mga tagpong tulad ng iyong nakikita
sa larawan? Patunayan.
Gawain 2.A-R Guide (Anticipation-Reaction Guide)
Panuto: Marahil ay nasasabik ka nang pag-aralan ang susunod na aralin.
Upang mataya ang dati mong kaalaman sa paksa, isagawa ang susunod na
gawain.
Alamin kung gaano na ang iyong kaalaman sa paksang
taalakayin. Isulat sa unang kolum ang SA kung ikaw ay sang-ayon
sa pahayag at HSA namn kung hindi.
212
Bago ang
Talakayan
PAHAYAG Matapos ang
Talakayan
1. Sa pagbagsak ng Imperyong Romano
at pananalasa ng iba’t ibang pangkat ng
mga barbaro ay natapos ang Sinaunang
Panahon at pumasok ang pagsisimula ng
Panahong Medieval.
2. Si Charlemagne o “Charles the Great”
ang itinuturing na isa sa pinakamahusay
na hari ng Panahong Medieval.
Pinamunuan niya ang “Holy Roman
Empire” na sinasabing muling bumuhay
sa Imperyong Roman.
3. Sa panahon ng kaguluhan bunsod ng
pagbagsak ng imperyong Roman at
pananalakay ng mga tribung barbaro,
naging kanlungan ng mga tao ang
simbahan. Naging mahalaga ang papel
ng “Kapapahan” o ang tungkulin,
panahon ng panunungkulan at
kapangyrihang panrelihiyon ng Papa
bilang pinuno ng simbahang Katoliko.
4. Pangunahing layunin ng paglulunsad
ng mga Krusada ang pagpapalaganap ng
relihiyong Kristiyanismo sa iba pang
panig ng daigdig.
5. Ang Piyudalismo ay isang matibay na
sistemang naitatag noong Panahong
Medieval. Itinuturing itong sistemang
politikal, sosyo-ekonomiko at militar na
sagot sa pangangailangan sa
tagapanguna sa panahon ng kaguluhan.
6. Ang pang-ekonomiyang aspeto ng
Piyudalismo ay tinatawag na
Manoryalismo. Ito ay ang sistemang
gumagabay sa pamumuno ng mga hari
sa kanilang nasasakupan.
7. Bunsod ng pagtaas ng populasyon at
pag-unlad ng kalakalan ay ang pag-unlad
ng mga bayan. Ang paglago ng bayan ay
nakatulong sa paglago ng kalakalan at
ang paglago ng kalakalan ay nakatulong
din sa paglago ng mga bayan.
213
BINABATI KITA!
Sa puntong ito ay natapos mo na ang bahagi ng Alamin.
PAUNLARIN
8. Maaaring umangat ang isang tao sa
lipunan dahil hindi nakabatay sa
kapanganakan ang antas sa buhay kundi
sa kayamanan ng isang tao.
9. Naging maunlad ang mga manor dahil
sa pakikipagkalakalan sa ibang bayan.
10. Ang mga pangyayaring nagbigay-
daan sa pag-usbong ng Europe ay
nakatulong sa pagkakabuo ng
pandaigdigang kamalayan sa
kasalukuyang panahon.
Natititiyak kong nais mong malaman kung tama ang iyong mga
sagot sa talahanayan. Masasagot ito sa susunod na bahagi ng Modyul.
Sa iyong pagtupad sa iba’t ibang gawain, suriin kung tumutugma
ba ang iyong mga dating kaalaman sa mga bagong kaaalaman na iyong
matututuhan sa Modyul na ito.
Sa bahaging ito ay inaasahan na matututuhan mo ang mga pangyayaring
nagbigay-daan sa pag-usbong ng Europe sa Panahong Medieval. Sagutin
ang mga gawain upang lalo pang mapagyaman ang iyong kaalaman tungkol
sa paksa. Handa ka na ba?
214
GAWAIN 3. Daloy Ng Kasaysayan
Pamprosesong Tanong
1. Mula sa mga nabanggit na salik sa diagram, ano sa tingin mo ang
pangunahing dahilan ng pagbagsak ng Imperyong Roman? Bigyang
katuwiran ang iyong sagot.
2. Sa iyong palagay, ano ang magiging epekto ng pagbagsak ng
Imperyong Roman sa kabuuan ng Europe?
Tinalakay sa Aralin 1 ng Modyul 2 ang pagkakatatag ng mga Klasikal na Kabihasnan
sa Europe. Sa pagdaan ng panahon, ang dating matayog at makapangyarihang imperyong
Romano ay unti-unting humina at tuluyang bumagsak. Makikita sa diagram ang mga salik ng
pagbagsak ng Imperyong Romano.
Panuto: Suriin ang diagram at sagutin ang kasunod na mga tanong.
PAGBAGSAKNGIMPERYONGROMANO
Halaw mula sa Kasaysayan ng Daigdig (Batayang Aklat Para sa
Ikatlong Taon) nina Vivar et.al, pahina 137-139
Diagram Blg. 3.1. Mga Salik sa Pagbagsak ng Imperyong Roman.
Kakulangan
ng mga
Tapat at
may
Kakayahan
g Pinuno
Paglubha
ng Krisis
Pangka-
buhayan
Paghina
ng
Hukbong
Romano
Pagkawala
ng
Katuturan
ng
Pagkamama
-mayang
Romano
Pagbaba
ng
Moralidad
ng mga
Romano
Pagsalakay
ng mga
Barbaro
215
Suriin ang diagram tungkol sa pag-usbong ng Europe sa Panahong Medieval
http://mrgrayhistory.wikispaces.com/file/view/L_Middle_Ages_-_Pope_Apology.jpg/244152229/293x372/L_Middle_Ages_-_Pope_Apology.jpg
http://images2.wikia.nocookie.net/__cb20101006230145/deadliestfiction/images/b/b1/Charlemagne.jpg
http://ts2.mm.bing.net/th?id=H.4513801360115517&pid=15.1
http://crabberworldhistory.wikispaces.com/file/view/high_middle_agesjpg/180280913/high_middle_ages.jpg
Ang Paglakas ng
Simbahang Katoliko
Bilang Isang Institusyon
sa Gitnang Panahon
Ang Holy Roman
Empire
Ang Paglunsad ng
mga Krusada
Ang Buhay sa Europe
Noong Gitnang
Panahon (Piyudalismo,
Manorialismo, Pag-
usbong ng mga Bayan
at Lungsod)
Mga Pangyayaring Nagbigay-daan sa Pag-
usbong ng Europe sa Panahong Medieval
Sa mga susunod na aralin, subukang suriin ang mga
dahilan at bunga ng paglakas ng Simbahang Katoliko
bilang institusyon noong Panahong Medieval.
Diagram Blg. 3.2 Mga Mahahalagang Pangyayari sa Panahong Medieval sa Europe
216
Gawain 4.Magbasa at Matuto
Panuto: Bilang panimula sa pagtalakay ng paksa, basahin at unawain ang
teksto tungkol sa mga salik sa paglakas ng kapangyarihan ng Pope sa
Europe.
Mga Salik na Nakatulong sa Paglawak ng Kapangyarihan ng Kapapahan
Apat ang pangunahing salik na nagbigay-daan sa paglakas ng kapangyarihan ng Papa
sa Rome. Pangunahin na rito ang pagbagsak ng Imperyong Romano na siyang
nagbunsod sa kapangyarihan ng kapapahan.
Pagbagsak ng Imperyong
Roman.Marami ang dahilan ng
paglakas ng kapangyarihan ng
Simbahang Katoliko at ng kapapahan.
Isa na rito ang pagbagsak ng
imperyong Romano noong 476 C.E.,
na naghari sa kanluran at silangang
Europe sa Gitnang Silangan at sa
hilagang Africa sa loob ng halos 600
taon.
Tinukoy ni Silvian, isang pari,
na kalooban ng mga Roman ang
bunga ng kanilang mga kasamaan.
Ang mga kayamanang umagos
papasok sa Rome ang naging sanhi
ng palasak na kabulukan sa
pamahalaan ng imperyo. Sa walang
tigil na pagsasamantala sa tungkulin
ng mga umuugit ng pamahalaan,
nahati ang lipunan sa dalawang
panig- ang pinakamaliit na bahagi ng
lipunan na binubuo ng mayayaman at
malalakas na pinuno sa pamahalaan
at mga nakararaming maliliit na
mamamayan.
Lubhang nakapagpahina ang
kabulukan sa pamahalaan at ang
kahabag-habag na kalagayan ng
pamumuhay ng mga pangkaraniwang
tao sa katayuan ng Imperyong Rome.
Noong 476 C.E., tuluyan itong
bumagsak sa kamay ng mga barbaro
na dati ng nakatira sa loob ng imperyo
mula pa noong ikatlong siglo ng
Kristiyanismo.
Sa kabutihang-palad, ang
simbahang Kristiyano, na tanging
institusyong hindi pinakialaman ng
mga barbaro, ang nangalaga sa mga
pangangailangan ng mga tao. Sa
kawalan ng pag-asang maibalik ang
dating lakas-militar at kasaganaang
materyal ng imperyo, bumaling ang
mamamayan sa simbahang Katoliko
sa pamumuno at kaligtasan.
Binigyang-diin nila ang kalagayan ng
kaluluwa sa ikalawang buhay ayon sa
pangako ng Simbahan para sa mga
nailigtas sa pamamagitan ni Kristo.
Sa kabilang dako, nahikayat
naman ang mga barbaro sa
kapangyarihan ng Simbahan.
Pumayag sila na binyagan sa pagka-
Kristiyano at naging matapat na mga
kaanib ng pari.
Halaw sa Kasaysayan ng Daigdig,
Batayang AKlat para sa Ikatlong Taon nina
Vivar et. al. pahina 141-144
Ano-ano ang mga dahilan ng pagbagsak ng
Imperyong Romano?
________________________________________
________________________________________
Mula sa binasa, paano nakaimpluwensiya ang
Simbahan sa panahon ng pagbagsak ng
Imperyong Romano?
________________________________________
________________________________________
217
Matatag at Mabisang
Organisasyon ng Simbahan.
Noong mga unang taon ng
Kristiyanismo, karaniwang tao lamang
ang mga pinuno ng Simbahan na
nakilala bilang mga presbyter na pinili
ng mga mamamayan. Mula sa mga
ordinaryong taong ito lumitaw ang mga
pari at mga hirarkiya.
Isang diyosesis ang
kongregasyon ng mga Kristiyano sa
bawat lungsod na pinamunuan ng
Obispo. Nasa ilalim ng Obispo ang
maraming pari sa iba’t ibang parokya
sa lungsod. Nang lumaganap ang
Kristiyanismo mula sa lungsod patungo
sa mga lalawigan, sumangguni sa mga
Obispo ang mga pari sa kanilang
pamumuno. Sa ilalim ng pamumuno at
pamamahala ng Obispo, hindi lamang
mga gawaing espiritwal ang
pinangalagaan ng mga pari, kundi
pinangasiwaan din nila ang gawaing
pangkabuhayan, pang-edukasyon at
pagkawanggawa ng Simbahan. Bukod
dito, ang Obispo rin ang namamahala
sa pagpapanatili ng kaayusan at
katarungan sa lungsod at sa iba pang
mga nasasakupan.
Tinawag na mga Arsobispo ang
mga Obispo na nakatira sa malalaking
lungsod na naging unang sentro ng
Kristiyanismo. Bukod sa panrelihiyong
pamamahala ng kanilang sariling
lungsod, may kapangyarihan ang isang
Arsobispo sa mga Obispo ng ilang
karatig na maliit na lungsod. Ang
Obispo ng Rome, na tinawag bilang
Papa, ang kinikilalang katas-taasang
pinuno ng Simbahang Katoliko sa
kanlurang Europe. Kabilang siya sa
mga Arsobispo, Obispo at mga Pari ng
mga parokya.
Mula noong kalagitnaan ng ika-11
siglo, pinipili ang mga Papa ng Kolehiyo
ng mga Kardinal sa pamamagitan ng
palakpakan lamang, depende kung sino
ang gusto ng matatandang kardinal. Sa
Konseho ng Lateran noong 1719,
pinagpasyahan ng mayorya ang
paghalal ng Papa.
Ang kapapahan (Papa) ay
tumutukoy sa tungkulin, panahon, ng
panunungkulan at kapangyarihang
panrelihiyon ng Papa bilang pinuno ng
Simbahang Katoliko, gayundin ang
kapangyarihang pampulitika bilang pinuno
ng estado ng Vatican.
Ang salitang “Pope” ay
ngangangahulugang AMA na nagmula sa
salitang Latin na “Papa”. Noong unang
panahon itinuturing ng mga kristyano ang
“Papa” bilang ama ng mga Kristiyano, na
siya pa ring tawag sa kanya sa
kasalukuyang panahon.
Ilarawan ang tungkulin ng sumusunod:
Pari- _____________________________
_________________________________
_________________________________
Obispo- __________________________
_________________________________
_________________________________
Arsobispo- ________________________
_________________________________
_________________________________
218
Uri ng Pamumuno sa Simbahan
Maraming mga naging pinuno ng Simbahan ang nakatulong sa pagpapalakas
ng pundasyon ng Simbahang Katoliko Romano at Kapapahan. Ilan lamang sa
mahahalagang tao ng Simbahan at ang kanilang mga nagawa ang makikita sa
talahanayan.
Pinuno/ Papa Paraan ng Pamumuno
Constantine the
Great
 Pinagbuklod-buklod niya ang lahat ng mga Kristiyano sa
buong imperyo ng Rome at ang Konseho ng Nicea na
kaniyang tinawag.
 Pinalakas ni Constantine ang kapapahan sa pamamagitan
ng Konseho ng Constantinople. Sa kapulungang ito, pinag-
uri-uri ng mga Obispo ang iba’t ibang malalaking lungsod
sa buong imperyo. Gayundin, pinili ang Rome bilang
pangunahing diyosesis at dahil dito, kinilala ang Obispo ng
Rome bilang pinakamataas na pinuno ng Simbahang
Katoliko Romano.
Papa Leo the
Great (440-461)
 Binigyang-diin niya ang Petrine Doctrine, ang doktrinang
nagsasabing ang Obispo ng Rome, bilang tagapagmana ni
San Pedro, ang tunay na pinuno ng Kristiyanismo. Sa
kaniyang mungkahi, ang emperador sa kanlurang Europe
ang nag-utos na kilalanin ang kapangyarihan ng Obispo ng
Rome bilang pinakamataas na pinuno ng Simbahan.
Makalipas ang ilang daang taon, ibinigay ang pangalang
Papa sa Obispo ng Rome. Mula noong kapanahunan ni
Papa Leo, kinilala ang kapangyarihan ng Papa sa lahat ng
mga Kristiyano sa kanlurang Europe. Tumanggi naman
ang Simbahang Katoliko sa silangang Europe na kilalanin
ang Papa bilang pinakamataas na pinuno ng Kristiyanismo
hanggang sa panahong ito.http://upload.wikimedi
a.org/wikipedia/comm
ons/5/5b/Pope_St._L
eo_IV.jpg
219
Papa Gregory I  Iniukol niya ang kaniyang buong kakayahan at pagsisikap
sa paglilingkod bilang pinuno ng lungsod at patnubay ng
Simbahan sa buong kanlurang Europe.
 Natamo ni Papa Gregory I ang sukdulan ng tagumpay nang
magawa niyang sumampalataya ang iba’t ibang mga
barbarong tribo at lumaganap ang Kristiyanismo sa
malalayong lugar sa kanlurang Europe. Dahil dito,
nagpadala siya ng mga misyonero sa iba’t ibang bansa na
hindi pa sumasampalatay sa Simbahang Katoliko. Buong
tagumpay na nagpalaganap ng kapangyarihan ng Papa
ang mga misyonerong ito nang sumampalataya sa
Kristiyanismo ang England, Ireland, Scotland, at Germany.
 Sa kaniyang pamumuno naganap ang labanan ng
kapangyarihang sekular at eklesyastikal ukol sa power of
investiture o sa karapatang magkaloob ng tungkulin sa mga
tauhan ng Simbahan noong kapanahunan ni Haring Henry
IV ng Germany. Itiniwalag kaagad niya sa simbahan si
Haring Henry IV na gumanti naman nang ipag-utos niya
ang pagpapatalsik kay Papa Gregory VII. Ngunit nang
maramdaman ni Henry IV na kaanib ni Papa Gregory VII
ang mga Maharlika sa Germany, sumuko siya sa Papa at
humingi ng kapatawaran. Binawi ng Papa ang
kaparusahang pagtitiwalag sa Simbahan pagkatapos ng
lubhang paghihirap sa pagtawid sa Alps at napahamak
pagkaraan nang malaon at masidhing pag-aaregluhan.
Papa Gregory VII
Ang investiture ay isang
seremonya kung saan ang isang
pinunong sekular katulad ng hari ay
pinagkakalooban ng mga simbolo sa
pamumuno katulad ng singsing sa
Obispong kaniyang hinihirang bilang
maging pinuno ng simbahan.
Sa pamumuno ni Papa Gregory
sa Simbahan, tinanggal niya ang
karapatan ng mga pinunong sekular na
magkaloob ng kapangyarihan sa pinuno
ng simbahan.
Ano ang kahalagahan ng pagkakaroon ng
mahusay na pinuno sa pagtatag ng isang
organisasyon? Ipaliwanag
_________________________________
_________________________________
_________________________________
_________________________________
_______________________
http://upload.wikimedi
a.org/wikipedia/comm
ons/9/97/Francisco_d
e_Zurbar%C3%A1n_
040.jpg
http://hist2615.wikispa
ces.com/file/view/Gre
gory_VII-
1.jpg/251843136/174
x220/Gregory_VII-
1.jpg
220
Halaw sa “Kasaysayan ng Daigdig, Batayang Aklat para sa Ikatlong
Taon nina Vivar et. al, pahina 141-144
Pamumuno ng mga Monghe
Binubuo ang mga monghe ng isang
pangkat ng mga pari na tumalikod sa
makamundong pamumuhay at nanirahan
sa mga monasteryo upang mamuhay sa
panalangin at sariling disiplina. Sila ang
mga regular na kasapi ng mga pari at
itinuturing na higit na matapat kaysa mga
paring sekular. Tuwirang nasa ilalim
lamang ng kontrol at pangangasiwa ng
Abbot at Papa ang mga monghe.
Namumuhay ang mga monghe sa
ilalim ng mahigpit na mga alituntunin ng
monasteryo. Dahil dito, malaki ang
kanilangimpluwensya sa pamumuhay ng
tao noong Panahong Medieval. Dahil sa
kanilang paniniwalang “Ang pagtatrabaho
at pagdarasal,” nagsikap sila sa paglinang
at pagtanim sa mga lupain na nakapaligid
sa kanilang mga monasteryo. Dahil dito,
hindi lamang kapaki-pakinabang ang
kanilang pagsisikap sa mga monasteryo,
kundi higit pang nakaimpluwensya ito sa
pag-unlad ng agrikultura sa buong Europe
noong Panahong Medieval.
Mga Gawain ng mga Monghe.
Nagtiyaga ang mga monghe sa pag-iingat
ng mga karunungang klasikal ng mga
sinaunang Griyego at Romano. Dahil sa
hindi pa natutuklasan ang palimbagan at
ang paggawa ng papel, ang lahat ng mga
libro na kanilang iniingatan sa mga aklatan
sa monasteryo ang kanilang matiyagang
isinusulat muli sa mga sadyang yaring
balat ng hayop. Dahil sa ginawang
pagsisikap ng mga monghe, ang mga
kaalaman tungkol sa sinauna at
panggitnang panahon ay napangalagaan
sa kasalukuyan.
Ang makatarungang pamumuno ng
mga monghe sa kanlurang Europe ay
nakatulong din sa lawak ng katanyagan at
kapangyarihan ng Simbahan sa ilalim ng
pamumuno ng Papa. Nagpakain ang mga
monasteryo sa mahihirap, nangalaga sa
mga maysakit at kumupkop sa mga taong
nais makaligtas sa kanilang mga kaaway.
Bumalangkas ang Simbahan ng isang
sistema ng mga batas at nagtatag ng mga
sariling hukuman sa paglilitis ng mga
pagkakasala na kinasasangkutan ng mga
pari at mga pangkaraniwang tao. Dahil
walang sinumanang nagsasagawa ng
ganitong paglilingkod pagkatapos
bumagsak ang imperyo ng Rome,
nahikayat ang mga tao sa Simbahan para
sa kaayusan, pamumuno at tulong.
Pinakamahalaga sa mga
ginampanang tungkulin ng mga monghe
ang pagpapalaganap ng Kristiyanismo sa
utos ng Papa sa iba’tibang dako ng
kanlurang Europe. Napag-alaman na
natin kung paano napasampalataya sa
Kristiyanismo ang mga Visigoth sa Spain;
ang mga Anglo-Saxon sa England, Ireland
at Scotland; at ang mga German sa ilalim
ng direksiyon ni Papa Gregory I.
Gayundin, naging martir si St. Francis
Xavier, ang tinaguriang Apostol ng Asia
para sa simulain ng pagpapalaganap ng
Kristiyanismo, sa utos ng Papa sa Rome.
Paano nakatulong ang mga monghe sa
paglakas ng simbahan at
pagpapalaganap ng Kristiyanismo?
________________________________
________________________________
________________________________
________________________________
________________________________
221
Gawain 5.Diagram ng Aking Natutuhan
Panuto: Batay sa binasang teksto, isa-isahin ang mga salik na nakatulong
sa paglakas ng kapangyarihan ng Papa sa Europe. Ipaliwanag ang sagot.
Pamprosesong Tanong
1. Batay sa teksto, ano ang pangunahing papel na ginampanam ng
simbahan noong Gitnang Panahon? Patunayan.
2. Bakit madaling nahikayat ng simbahan ang mga grupong barbaro na
yakapin ang Katolisismo?
3. Paano nagkakatulad ang papel na ginampanan ng simbahan sa
kasalukuyan sa gampanin nito noong Panahong Medieval?
Ipaliwanag.
Salik sa
Paglakas ng
Kapangyarihan
ng Papa
222
Gawain 6.3-2-1 Chart
Panuto:Punan ang chart ng hinihinging impormasyon ayon sa
natutuhan mo sa binasang teksto.
Konspeto o Kaalaman na Aking Natutuhan
1. __________________________________________
__________________________________________
2. _________________________________________
_________________________________________
3. _________________________________________
_________________________________________
Konsepto o Kaalaman na hindi ko gaanong naunawaan
1. __________________________________________
_________________________________________
2. _________________________________________
_________________________________________
Tanong na nais ko pang mabigyan ng linaw
1. _________________________________________
_________________________________________
3
1
2
223
Gawain 7: Sa Madaling Salita
Panuto: Mula sa naging pagtalakay, sagutin ang tanong sa loob ng kahon.
Bukod sa paglakas ng impluwensiya ng simbahang
Katoliko, isa sa mahalagang kaganapan sa Europe sa
Panahong Medieval ay ang pagkakatatag ng “Holy Roman
Empire”. Sino nga ba si Charlemagne? Bakit tinawag na
Holy Roman Empire ang imperyo? Ano ang kontribusyon ng
imperyong ito sa pagpapalaganap ng pandaigdigang
kamalayan?
Mga Pangyayaring Nagbigay-daan sa Pag-
usbong ng Europe sa Panahong Medieval
Paano nakatulong ang
paglakas ng simbahang
Katoliko sa pag-usbong ng
Europe sa Panahong
Medieval?
224
Gawain 8.Magbasa at Matuto
Panuto: Basahin at suriing mabuti ang teksto tungkol sa mga kaganapang
nagbigay- daan sa pagkakabuo ng “Holy Roman Empire”.
Ang Holy Roman Empire
Isa sa mga mayor ng palasyo si Charles Martel, ang
nagsikap na pag-isahin ang France. Tinalo niya ang mga
mananalakay na Muslim. Mula noon, hindi na nagtangkang sakupin
ang Kanlurang Europe.
Si Pepin the Short ang unang hinirang na hari ng France.
Noong 768, humalili kay Pepin ang anak na si Charlemagne o
Charles the Great, isa sa pinakamahusay na hari sa Medieval
Period. Sa gulang na 40, kinuha niya si Alcuin, pinakamahusay na
iskolar ng panahon upang magpaturo ng iba’t ibang wika.
Inanyayahan din niya ang iba’t ibang iskolar sa Europe upang
turuan at sanayin ang mga pari at opisyal ng pamahalaan. Sinakop
niya ang Lombard, Muslim, Bavarian at Saxon at ginawang mga
Kristiyano.
Noong kapaskuhan ng taong 800, kinoronahan siyang
emperador ng Banal na Imperyong Romano (Holy Roman Empire).
Marami ang nagsabi na ang imperyo ang bumuhay na muli sa
imperyong Romano. Sa panahon ng imperyo, ang mga iskolar ang
naging tagapangalaga ng kulturang Graeco-Romano. Ang
pagsasama-sama ng elementong Kristiyano, German, at Roman
ang namayani sa kabihasnang Medieval.
Nang namatay si Charlemagne noong 814, humalili si Louis
the Religious. Hindi nagtagumpay ang pagsisikap nitong mapanatili
ang imperyo dahil sa paglaban ng mga maharlika. Nang mamatay
siya, hinati ng kaniyang tatlong anak ang imperyo sa pamamagitan
ng Kasunduan ng Verdun noong 841. Napunta kay Charles the
Bald ang France; kay Louis the German ang Germany; atang Italy
kay Lothair.Sa pagkakawatak-watak ng imperyo, nawalan ng
kapangyarihan ang mga haring Carolingian sa mga maharlika at
nagsimula na naman ang paglusob ng mga Viking, Magyar at
Muslim. Namayani sa Europe ang mga maharlika at humina ang
mga hari. Nagsimula ang isang sistematikong sosyo-ekonomiko,
politiko at militari- ang piyudalismo.
Kasaysayan ng Daigdig (Batayang Aklat para sa Ikatlong Taon)nina
Vivar et. al. pahina 140-141
481- Pinag-isani
Clovis ang iba’t
ibang tribung Franks
at sinalakay ang
mga Romano
496- Naging
Kristiyano si Clovis
at ang kaniyang
buong sandatahan
511- Namatay si
Clovis at hinati ang
kaniyang kaharian
sa kanyang mga
anak
687- Pinamunuan ni
Pepin II ang tribung
Franks
717- Humalili kay
Pepin II ang
kaniyang anak na si
Charles Martel
751- Ang anak ni
Charles Martel na si
Pepin the Short ay
hinirang bilang Hari
ng mga Franks sa
halip na Mayor ng
Palasyo
Si Pope Leo
III ang humirang kay
Charlemagne bilang
“Emperor of the Holy
Roman Empire”.
Ayon sa ilang aklat,
nangangahulugan ito
na ang ideya ng mga
Romano ng isang
sentralisadong
pamahalaan ay hindi
naglaho.Para sa karagdagang kaalaman basahin ang
“Kasaysayan ng Daigdig, Batayang Aklat sa
Araling Panlipunan, Ikatlong Taon nina Mateo
et. al. pahina 173-175
225
Gawain 9: Paggawa ng Timeline
Panuto: Batay sa binasang teksto, punan ang timeline ng mahahalagang
pangyayaring nagbigay-daan sa pagkakabuo ng Holy Roman Empire.
481 500 600 700 800
Pamprosesong Tanong
1. Sa iyong palagay, sinong personalidad ang pinakamahalaga sa
pagtatatag ng Holy Roman Empire?
2. Bakit kaya Holy Roman Empire ang ibinansag sa imperyo ni
Charlemagne?
3. Ano ang kahalagahan ng Simbahang Katoliko sa “Holy Roman
Empire”?
4. Sa kasalukyan, masasabi pa bang may matibay na ugnayan ang
pamahalaan at simbahan? Patunayan.
Pinag-isa ni
Clovis ang
mga tribong
Franks at
sinalakay
ang mga
Romano.
226
Gawain 10.Sa Madaling Salita
Panuto: Mula sa naging pagtalakay, sagutin ang tanong sa ikalawang
kahon.
Sa Panahong Medieval, unti-unting namayagpag ang
Simbahang Katoliko. Nagsimulang maging Kristiyano ang
mga tao sa Europa, subalit nang bumagsak ang “Holy Roman
Empire”, nawalan ng malakas na pinuno ang imperyo. Sa
kabilang dako ay nagpapalawak din ng imperyo ang mga
Muslim. Nakuha ng mga Muslim ang Jerusalem.Bunsod nito,
nanawagan ang Papa ng paglulunsad ng mga Krusada.
Alamin sa susunod na aralin ang mga sanhi at bunga ng
paglulunsad ng mga Krusada.
Mga Pangyayaring Nagbigay-daan sa Pag-usbong ng
Europe sa Panahong Medieval
Paano nakatulong ang paglakas
ng simbahang Katoliko sa pag-
usbong ng Europe sa Panahong
Medieval?
Paano nakatulong ang
pagkakatatag ng “Holy Roman
Empire”sa pag-usbong ng Europe
sa Panahong Medieval?
227
Gawain 11.Magbasa at Matuto.
Panuto:Basahin at unawain ang teksto tungkol sa paglulunsad ng Krusada sa
Europe.
ANG KRUSADA
Ang Krusada ay isang
ekspedisyong militar na inilunsad ng
Kristiyanong Europeo dahil sa
panawagan ni Pope Urban II noong 1095.
Ito ay isang banal na labanan ng mga
relihiyosong Europeo laban sa mga
Turkong Muslim na sumakop sa banal na
pook sa Jerusalem. Mula Jerusalem
balak salakayin ng mga Turkong Muslim
ang Imperyong Byzantine kaya humingi
ng tulong ang Emperador ng Byzantine
sa Papa sa Rome lalo pa at sa
pagsalakay na ito ay mapalaganap ang
relihiyong Islam. Sa panawagan ni Papa
Urban, hinimok niya ang mga kabalyero
(knights) na maging krusador at
pinangakuan niya ang mga ito na
papatawarin sila sa kanilang mga
kasalanan; kalayaan sa mga pagkautang;
at kalayaang pumili ng “fief” mula sa lupa
na kanilang masakop.
Unang Krusada
Ang unang Krusada ay binuo ng
mga 3000 kabalyero at 12000 na
mandirigma sa pamumuno ng Prinsipe at
mga Pranses na nabibilang sa “nobility”.
Matagumpay na nabawi ng grupong ito
ang Jerusalem noong 1099 at nagtatag
sila ng Estadong Krusador malapit sa
Mediterranean. Sa pagsalakay nila sa
Jerusalem, maraming Muslim ang
napatay, pati na ang mga Hudyo at
Kristyano. Nanatili sila ng mga limampung
taon sa Jerusalem ngunit sinalakay din
sila ng mga Muslim.
Ikalawang Krusada
Sa paghihikayat ni St Bernard ng
Clairvaux, sinamahan siya nina Haring
Luis VIIng France at Emperor Conrad III
ng Germany. Maraming balakid na
naranasan anggrupong ito sa pagpunta
sa Silangan at ang pinakatagumpay nila
ay ang pagsakop ngDamascus.
Hindi pa man sila nakalayo sa
pinanggalingang Europe ay nalunod na si
Frederick at si Philip naman ay bumalik sa
France dahil nag-away sila ni Richard.
Nagpatuloy si Richard hanggang sa
nagkasagupaan sila ni Saladin, ang pinuno
ng mga Turko. Sa kahulihulihan
nagkasundo silang itigil ang labanan. Sa
loob ng tatlong taon ang mga Kristiyano ay
malayang nakapaglakbay sa Jerusalem.
Binigyan pa sila ng maliit na lupain malapit
sa baybayin.
Krusada ng mga Bata
Noong 1212 isang labin dalawang
taong French na ang pangalan ay
Stephenay naniwala na siya ay tinawag ni
Kristo na mamuno ng krusada. Libong mga
bata angsumunod sa kaniya ngunit
karamihan sa kanila ay nagkasakit, nasawi
sa karagatan at ang iba ay ipinagbili bilang
alipin sa Alexandria.
Ikaapat na Krusada
Ang ikaapat na Krusada na
inulunsad noong 1202 ay naging isang
iskandalo. Ang mga krusador ay ibinuyo ng
mga mangangalakal ng Venetra na
Kristiyanong bayan ng Zara. Nagalit ang
Papa sa ginawa nilang ito kaya sila ay
idineklarang “excomunicado”. Nagpatuloy
sa pagdarambong ang mga krusador
hanggang sa Constantinople kungsaan
nagtayo sila ng sariling pamahalaan.
Noong 1261 sila ay napatalsik sa
Constantinople at naibalik ang imperyong
Byzantine. Ang huling kuta ng mga
Kristiyano sa Arce ay napasakamay ng
mga Muslim at ito ay naging simula ng
paghina ng Krusada.
228
.
Resulta ng Krusada
Kung mayroon mang magandang
naidulot ang Krusada, ito ay sa larangan ng
kalakalan. Napalaganap ang komersyo at
ito ay nagsilbing salik sa pag-unlad ng mga
lungsod at malalaking daungan. Ang
kulturang Kristiyano ay napayaman din.
Sa kabilang panig, ang krusada ay
naglantad ng tunay na mga layunin ng mga
sumama sa gawaing ito. Hindi
pagmamalasakit sasimbahan ang naging
dahilan sapagsama sa banal na laban na
ito kundi ang pagkakataong
makapaglakbay at mangalakal.
Halaw mula sa Project EASE Araling Panlipunan, Module
8 (“Ang Simbahang Katoliko: Isang Makapangyarihang
Institusyon sa Gitnang Panahon)
Para sa karagdagang
impormasyon, basahin
ang “Kasaysayan ng
Daigdig, Batayang
Aklat Para sa Ikatlong
Taon nina Vivar et. al,
pahina 145-147
Ang salitang “Crusade”
ay nagmula sa salitang
Latin na “crux” na
nangangahulugang
“cross”. Ang mga
Krusador ay taglay ang
simbolo ng Krus sa
kanilang kasuotan.
Iba pang Krusada
Nagkaroon ng iba
pang Krusada noong 1219,
1224, 1228 ngunit lahat ng
mga ito ay naging bigo sa
pagbawi muli sa Holy
Land.Sa kabuuan, ang
mga Krusada ay pawang
bigo, maliban sa una na
nahawakan nila ang
Jerusalem sa loob ng
isang daang taon at
pagkatapos nito ay
nanumbalik na
naman sa kamay ng mga
Turkong Muslim ang
lupain.
Mapa 3.1 Ruta ng ilan sa mga Krusada
229
Gawain 12.History Frame
Panuto: Matapos mabasa ang teksto, bumuo ng History frame tungkol sa
paksang napatakda s pangkat.
Unang Pangkat; Pangyayari at Mga Tauhan
Ikalawang Pangkat: Suliranin o Layunin
Ikatlong Pangkat: Konteksto (Saan at Kailan)
Ikaapat na Pangkat: Mahahalagang Pangyayari
Ikalimang Pangkat: Kinalabasan/ Resulta
History Frame:
Pagkatapos ng talakayan sa pangkat, ibahagi ang inyong output sa klase.
Pamprosesong Tanong:
1. Ano ang kahalagahan ng Krusada sa kasaysayan ng daigdig?
2. Sa kasalukuyan, anong pangayayari ang maikukumpara sa naganap na
Krusada noong Panahong Medieval? Ipaliwanag
3. Anong aral ang natutuhan mo? Paano mo ito maiuugnay sa iyong
pangaraw-araw na buhay? Ipaliwanag.
Pangyayari: Mga Pangunahing Tauhan:
Konteksto:Suliranin/ Layunin ng Pangyayari:
Mahahalagang Pangyayari:
Kinahinatnan/ Resulta:
Aral na Natutunan:
230
Gawain 13.Lesson Closure
Panuto: Ibuod ang mga pangyayaring nagbunsod sa paglulunsad ng mga
Krusada. Punan ng impormasyon ang mga patlang upang mabuo ang talata.
Ang Krusada ay isang ____________________ na
inilunsad ng mga Europeo sa panawagan ni ______________.
Layunin nito na ______________________________________
__________________________________________________.
Sa kasaysayan, maraming Krusada ang naganap. Ilan sa mga ito ay ang
______________________________________________________________
______________________________________________________________
.
Sa kabuuan, masasabi na hindi nagtagumpay ang mga nailunsad na
Krusada dahil
_________________________________________________________
______________________________________________________________
______________________________________________________________
231
Gawain 14: Sa Madaling Salita
Panuto: Mula sa naging talakayan tungkol sa paksa, sagutin ang tanong sa
ikatlong kahon.
Tatalakayin naman sa bahaging ito ang tungkol sa
Piyudalismo, Manorialismo, at ang Pag-usbong ng
mga Bayan at Lungsod sa Europe noong Panahong
Medieval.
Mga Pangyayaring Nagbigay-daan sa Pag-
usbong ng Europe sa Panahong Medieval
Paano nakatulong ang
pagkakatatag ng “Holy
Roman Empire”sa pag-
usbong ng Europe sa
Panahong Medieval?
Paano nakatulong
ang paglakas ng
simbahang Katoliko
sa pag-usbong ng
Europe sa
Panahong
Medieval?
Paano nakatulong ang
paglulunsad ng mga
Krusada sa pag-
usbong ng Europe sa
Panahong Medieval?
232
Gawain 15.Comic-Suri
Panuto:Suriin ang “comic strip” at sagutin ang tanong sa loob ng kahon.
Sa iyong palagay, anong Sistema ang umiiral na ipinahihiwatig ng “comic
strip”? Ipaliwanag.
_____________________________________________________________
_____________________________________________________________
_____________________________________________________________
Ano-anong mga uring panlipunan
ang makikita sa “Comic Strip”?
__________________________
__________________________
__________________________
__________________________
__________________________
_____
Ano ang salitang nababanggit sa
lahat ng bahagi ng “Comic Strip”?
Ano ang ipinapahiwatig nito?
__________________________
__________________________
__________________________
__________________________
__________________________
______
Ako ang HARI,
pagmamay-ari ko ang
lahat ng lupain. Subalit
ibinigay ko ang iba sa
mga BARON.
Ako ang BARON, dapat akong maging
TAPAT sa HARI dahil ibinigay niya sa
akin ang ilan sa kaniyang lupain. Dapat
maging handa akong ipaglaban siya at
magsanay ng mga KNIGHT. Ibinigay
ko ang ilan sa aking lupain sa aking mga
KNIGHT.
Ako ang VILLEIN, ibinigay ng KNIGHT sa
akin ang ilan sa kaniyang lupain upang
mapagtaniman at paunlarin. Tungkulin kong
magbayad ng buwis at pagkalooban siya ng
regalo. Hindi ako maaaring umalis sa lupain
na kaniyang nasasakupan nang walang
pahintulot ng KNIGHT.
233
GAWAIN 16: Magbasa at Matuto
Panuto: Basahin at suriin ang sumusunod na teksto. Sagutin ang mga
tanong sa kahon kaugnay ng tekstong binasa.

Ang Piyudalismo
Mula sa ikasiyam hanggang
ika-14 na siglo, ang
pinakamahalagang anyo ng
kayamanan sa Europe ay lupa.
Kinakailangang pangalagaan ang
pagmamay-ari ng lupa.Pangunahing
nagmamay-ari ng lupa ang hari.
Dahil sa hindi niya kayang
ipagtanggol ang lahat ng kaniyang
lupain, ibinabahagi ng hari ang lupa
sa mga nobility o dugong bughaw.
Ang mga dugong bughaw na ito ay
nagiging vassal ng hari. Ang hari ay
isang lord o panginoong may lupa.
Ang iba pang katawagan sa lord ay
liege o suzerain. Samantala, ang
lupang ipinagkakaloob sa vassal ay
tinatawag na fief.Ang vassal ay isa
ring lord dahil siya ay may-ari ng
lupa. Ang kaniyang vassal ay
maaaring isa ring dugong bughaw.
Ang homage ay isang
seremonya kung saan inilalagay ng
vassal ang kanyang kamay sa
pagitan ng mga kamay ng lord at
nangangako rito na siya ay magiging
tapat na tauhan nito. Bilang
pagtanggap ng lord sa vassal,
isinasagawa ang investiture o
seremonya kung saan binibigyan ng
lord ang vassal ng fief. Kadalasang
isang tingkal ng lupa ang ibinibigay
ng lord sa vassal bilang sagisag ng
ipinagkaloob na fief. Ang tawag sa
sumpang ito ay oath of fealty.
Kapag naisagawa na ng lord
at vassal ang oath of fealty sa isa’t
isa, gagampanan na nila ang mga
tungkuling nakapaloob sa
kasunduan. Tungkulin ng lord na
suportahan ang pangangailangan
Ano ang ibig sabihin ng Piyudalismo?
_______________________________
_______________________________
_______________________________
_______________________________
Paano mo mailalarawan ang ugnayan
o relasyon ng lord at vassal?
_______________________________
_______________________________
_______________________________
_______________________________
ng vassal sa pamamagitan ng
pagkakaloob ng fief. Tungkulin din niya
na ipagtanggol ang vassal laban sa mga
mananalakay o masasamang-loob at
maglapat ng nararapat na katarungan sa
lahat ng mga alitan. Bilang kapalit, ang
pangunahing tungkulin ng vassal ay
magkaloob ng serbisyong pangmilitar .
Tungkulin din ng vassal na magbigay ng
ilang kaukulang pagbabayad tulad ng
ransom o pantubos kung mabihag ang
lord sa digmaan. Kailangan din niyang
tumulong sa paghahanap ng sapat na
salapi para sa dowry ng panganay na
dalaga ng lord at para sa gastusin ng
seremonya ng pagiging knight ng
panganay na lalaki ng lord. Ang knight ay
isang mandirigmang nakasakay sa
kabayo at nanumpa ng katapatan sa
kaniyang lord.
Halaw sa Kasaysayan ng Daigdig,
Batayang Aklat sa Araling Panlipunan
nina Mateo et.al. pahina 192-193
234
Ang Pagtatag ng Piyudalismo
Ang Piyudalismo sa Gitnang
Panahon ay nag-ugat sa paghahati-hati
ng Banal na Imperyo ni Charlemagne
batay sa kasunduan sa Verdum.
Mahihinang tagapamahala ang mga
tagapagmana ni Charlemagne kaya
ang mga opisyal ng pamahalaan at
mga may-ari ng lupain ay humiwalay sa
pamumuno ng hari. Naibangon muli
ang mga lokal na pamahalaan na
ngayon ay pinatatakbo ng mga
maharlikha katulad ng mga konde at
duke.
Sa sitwasyong ito pumasok ang
mga barbarong Viking, Magyar, at
Muslim. Sinalakay nila ang iba’t ibang
panig ng Europa lalo na sa bandang
France. Ang mga Viking na kilala rin sa
tawag na Normans ay nabigyan ng
lupain sa bandang France kapalit ng
pagtanggap nila ng Kristiyanismo. Ang
lupaing napasakanila ay kilala ngayon
sa tawag na Normandy.
Ang madalas na pagsalakay na
ito ng mga barbaro ay nagbigay ligalig
sa mga mamamayan ng Europe. Dahil
dito, hinangad ng lahat ang
pagkakaroon ng proteksiyon kaya
naitatag ang sistemang Piyudalismo.
Ano ang kinahinatnan ng
mahinang uri ng pamumuno,
batay sa tekstong binasa?
___________________________
___________________________
___________________________
___________________________
___________________________
Bakit itinatag ang sistemang
Piyudalismo?
___________________________
___________________________
___________________________
___________________________
___________________________
_
Halaw mula sa Project EASE Araling Panlipunan,
Module 9 (“Sistemang Pyudal sa Gitnang Panahon
sa Europa)
Isang magandang alaala ng Piyudalismo ang
sistemang kabalyero (knighthood). Kinapapalooban ang
kodigo ng kagandahang asal ng mga kabalyero (chivalry) ng
katapangan, kahinahunan, pagiging marangal at maginoo
lalo na sa kaibigan. Nagpapalaganap din ng mga saloobing
Kristiyano ang sistemang kabalyero tulad ng pagtatanggol
sa mga naaapi at paggalang sa kababaihan.
Banal at isang propesyon na pinagpala ng simbahan
ang pagiging kabalyero. Kalakip nito ang tungkuling
ipagtanggol at itaguyod ang Kristiyanismo.
Halaw sa Kasaysayan ng Daigdig Batayang Aklat para sa
Ikatlong Taon nina Vivar et. al pahina 150
Para sa karagdagang
kaalaman, basahin
ang “Kasaysayan ng
Daigdig, Batayang
Aklat sa Araling
Panlipunan Ikatlong
Taon nina Mateo et.
al. pahina 192-195 at
Kasaysayan ng
Daigdig Batayang
Aklat para sa Ikatlong
Taon nina Vivar et. al
pahina 148-150
235
Lipunan sa Panahong Piyudalismo
Nahahati sa tatlong pangkat ang
lipunang Europeo sa panahong
Piyudalismo- ang mga pari, kabalyero o
maharlikang sundalo at mga alipin (serf)
Mga Pari. Hindi itinuturing ang mga
pari na natatanging sektor ng lipunan
sapagkat hindi namamana ang kanilang
posisyon dahil hindi sila maaaring mag-
asawa. Maaaring manggaling ang mga pari
sa hanay ng maharlika, manggagawa at
mga alipin.
Mga Kabalyero. Noong panahon ng
kaguluhan kasunod ng pagkamatay ni
Charlemagne, may matatapang at
malalakas na kalalakihan na nagkusang
loob na maglingkod sa mga hari at sa mga
may-ari ng lupa upang iligtas ang mga ito sa
mga mananakop. Dahil sa hindi umiiral ang
paggamit ng salapi, ang magigiting na
sundalo o kabalyero ang pinagkalooban ng
mga kapirasong lupa bilang kapalit ng
kanilang paglilingkod. Ang mga kabalyero
ang unang uri ng mga maharlika, tulad ng
mga panginoon ng lupa, na maaaring
magpamana ng kanilang lupain.
Mga Serf. Ito ang bumubuo ng
masa ng tao noong Medieval Period.
Nanatili silang nakatali sa lupang kanilang
sinasaka. Kaawa-awa ang buhay ng mga
serf. Nakatira sila sa maliit at maruming silid
na maaaring tirahan lamang ng hayop sa
ngayon. Napilitan silang magtrabaho sa
bukid ng kanilang panginoon nang walang
bayad. Wala silang pagkakataon na
umangat sa susunod na antas ng lipunan
tulad ng maharlika at malayang
tao.Makapag-aasawa lamang ang isang
serfsa pahintulot ng kaniyang panginoon.
Lahat ng kaniyang gamit, pati na ang
kaniyang mga anak, ay itinuturing na pag-
aari ng panginoon. Wala silang maaaring
gawin na hindi nalalaman ng kanilang
panginoon.
Halaw sa Kasaysayan ng Daigdig Batayang
Aklat para sa Ikatlong Taon nina Vivar et. al
pahina 148-149
Ano-ano ang uring panlipunan noong
panahon ng piyudalismo? Ilarawan ang
bawat isa.
236
Pamprosesong Tanong
1. Ano ang ipinapahiwatig ng pagkakaroon uring lipunan sa Sistemang
Piyudalismo?
2. Bakit mahalaga ang lupa sa Sistemang Piyudalismo? Ipaliwanag.
3. Sa kasalukuyan, umiiral pa ba ang Sistemang Piyudalismo?
Pangatwiranan
Gawain 17.Alam Ko Na
Panuto: Upang mataya at mapagtibay ang iyong kaalaman mula sa
binasang teksto, sagutin ang sumusunod na tanong.
1. Ano ang Piyudalismo?
_________________________________________________________
_________________________________________________________
__________.
2. Ano-anong uring panlipunan mayroon ang Piyudalismo?
_________________________________________________________
_________________________________________________________
_________________________________________________________
_________________________________________________________
_______________.
3. Ano ang kahalagahan ng lupa sa sistemang Piyudal?
_________________________________________________________
_________________________________________________________
_________________________________________________________
___________________________________________________.
237
Gawain 18.Magbasa at Matuto
Panuto: Sa bahaging ito ng modyul, pag-aaralan mo naman ang
Manoryalismo. Basahin at unawain ang teksto tungkol sa paksa.
Pagasasaka: Batayan ng Sistemang
Manor
Ang Sistemang Manor ang sentro ng
lipunan at ekonomiya ng mga tao na nakatira
dito. Ang isang fief ay binubuo ng maraming
manor na nakahiwalay sa isa’t isa. Ito ay
maaaring maihalintulad sa isang pamayanan
(village) kung saan angmga naninirahan dito ay
umaasa ng kanilang ikabubuhay sa pagsasaka
sa manor. Sakabilang dako ang kanilang
panginoon ay dito rin umaasa sa kita ng
pagsasaka samanor na kaniyang magiging
kayamanan.
Ang kastilyo ng panginoong piyudal ang
pinakapusod ng isang manor. Maaari ringang
bahay sa manor ay isang malaking
nababakurang gusali o kaya ay palasyo. Ang
lupain sa loob ng manor ay nahahati ayon sa
paggagamitan nito. Kumpleto sa mga
kakailanganin ng magsasaka ang mga gamit sa
manor. Para sa mga naninirahan doon,ang mga
pangangailangan nila ay napapaloob na sa
manor. Nandiyan ang kamalig, kiskisan,
panaderya, at kuwadra ng panginoon. Mayroon
ding simbahan, pandayan, at pastulan. Kung
maibigan ng panginoon, ang mga kaparangan at
kagubatan ay kaniyang hinahati ngunit nag-
iiwan siya ng pastulan na maaaring gamitin ng
lahat.
Halaw mula sa Project EASE Araling Panlipunan,
Module 9 (“Sistemang Pyudal sa Gitnang Panahon
sa Europa)
Ang manor ay isang
malaking lupang
sinasaka. Ang malaking
bahagi ng lupain na
umaabot ng 1/3
hanggang ½ ng kabuuang
lupang sakahan ng manor
ay pag-aari ng lord at ilan
lamang sa mga
magsasaka ang
nagmamay-ari ng lupa.
Halaw mula sa “Kasaysayan ng
Daigdig (Batayang Aklat sa Araling
Panlipunan, Ikatlong Taon) nina
Mateo, et.al pahina 195)
238
Gawain 19. Photo-suri
Panuto: Suriin ang larawan at sagutin ang mga tanong sa kahon.
Pamprosesong Tanong
1.Batay sa teksto, anong uri ng relasyon mayroon ang lord at mga
magbubukid?
2. Sa iyong palagay, naipagkakaloob ba sa isang manor ang mga
pangangailangan ng mga mamamayan nito? Patunayan.
3. May gampanin ba ang mga kababaihan sa sistemang Manoryalismo?
Ipaliwanag.
Halaw mula sa Project EASE Araling Panlipunan, Module 9 (“Sistemang
Pyudal sa Gitnang Panahon sa Europa)
Ano ang
ipinapahiwatig ng
kastilyo sa gitna ng
manor? Ipaliwanag.
__________________
__________________
__________________
__________________
__________________
__________________
__
Ano ang pangunahing
ikinabubuhay sa isang
manor?.
__________________
__________________
__________________
__________________
________________
Ano ang kahalagahan
ng mga magbubukid
sa manor?
__________________
__________________
__________________
____________
239
GAWAIN 20: Magbasa at Matuto
Panuto: Kasama ng iyong pangkat, basahin at suriin ang sumusunod na
teksto.
Paglago ng mga Bayan
Ang paglakas ng kalakalan ay naging malaking tulong sa paglago ng mga bayan.
Nagkaroon ng pagbabago sa agrikultura bunsod ng pagtuklas ng mga bagong teknolohiya at
mga bagong pamamaraan sa pagtatanim. Bunga nito, tumaas ang ani kaya nagkaroon ng
magandang uri ng pamumuhay ang mga tao. Nakatulong din nang malaki ang pagsasaayos ng
mga kalsada upang mapadali ang pagdala at pagbili ng mga produktong agrikultural. Marami
ang nanirahan sa mga lugar na malapit sa pangunahing daan.
Paggamit ng Salapi
Sa unang mga taon ng Gitnang Panahon, ang sistema
ng kalakalan ay palitan ng produkto o barter. Dinadala ng
mga magbubukid o kaya ng “serf” ang mga produktong bukid
o produktong gawa sa bahay sa mga lokal na pamilihan. Dito
nagpapalitan ng produkto ang mga tao. Ang lokal na
pamilihan ay nagaganap lamang bawat linggo sa malalawak
na lugar malapit sa palasyo o simbahan.
Sa paglawak ng kalakalan kung saan maraming lugar
na ang sumali, naisip ng panginoong piyudal na magtatag ng
taunang perya. Dito sa peryang ito nagkatagpo-tagpo ang
mga mangangalakal. Sa peryang ito kumikita ang panginoong
piyudal dahil siya ay naniningil ng buwis at multa dito.
Dito sa peryang ito nakita ang paggamit ng salapi
ngunit iba-iba ang kanilang salaping barya. Dahil dito,
nagsulputan ang mga namamalit ng salapi (money changer),
na sa maliit na halaga ay namamalit ng iba’t ibang barya.
Sa pagpapalit ng salaping ito nasabing nagsimula ang
pagbabangko.
Natuklasan ng ilang mangangalakal na hindi delikado
ang mag-iwan ng malalakinghalaga sa mga namamalit ng
salapi. Ang salaping ito ay ipinauutang din nang may tubo.
Ang isang mangangalakal ay maaari ring magdeposito ng
salapi sa isang lungsod at bibigyan siya ng resibo. Itong
dineposito niya ay maaari niyang kolektahin sa ibanglungsod.
Sa ganitong paraan naging ligtas ang paglipat ng salapi.
Ang sistemang ito ng pagpapautang at pagbabangko
ay nalinang sa hilagangItalya. Ang paggamit ng pera ay
nakatulong sa paglalapit ng mga tao buhat sa iba’tibang lugar.
Ano-ano ang mga
mahahalagang
impormasyong
makukuha mula sa
teksto?
Unang Talata
________________
________________
_______________
Ikalawang Talata
________________
________________
_______________
Ikatlong Talata
________________
________________
_______________
Ikaapat na Talata
________________
________________
________________
Ikalimang Talata
________________
________________
________________
240
Ang Paglitaw ng Burgis
Sa pag-unlad ng kalakalan at industriya at
paglawak ng mga bayan, isangmakapangyarihang uri
ng tao ang lumitaw. Sila ay tinatawag na burgis (men
of burg o burgers o bourgeoisie). Ang interes ng
grupong ito ay nasa kalakalan. Ang mataas na uri ng
bourgeoisie ay ang mauunlad na negosyante at mga
bangkero. Ang kanilang mga anak ay nag-aaral sa
magagaling na unibersidad. Ang mgabourgeoisie ay
ang nagiging gitnang uri at mababa ang pagtingin sa
kanila ng panginoong piyudal dahil sa sila ay mga
bagong yaman lamang.
Ang mga burgis ay patuloy na umiral at sila
ang nagtaguyod ng sining at nakalinang ng sariling uri
ng pagkamaharlika. Mababa rin ang pagtingin nila sa
mgadalubhasang manggagawa kaya nagkaroon ng
pag-uuri ng tao sa lipunan batay sa yaman at hindi na
sa angkan.
Ano-ano ang
mahahalagang
impormasyong
makukuha mula sa
teksto?
Unang Talata
_______________
_______________
_______________
______
Ikalawang Talata
_______________
_______________
_______________
______
Ang bayan sa panahong ito ay tinatawag
na burgh. Ang mga taong nagtayo ng kanilang
tirahan dito ay karaniwang tinatawag naburgher.
Sa France, ang mga burgher ay kolektibong
tinatawag na bourgeoisie.
Ang mga burgher ay kakaiba sa
tradisyunal na paghahati ng lipunan batay sa
kanilang ginagawa. Hindi sila lordna may ari ng
lupa at nakikidigma. Iba rin sila sa pari na
nagdarasal at sa magbubukid na nagtatanim.
Ang mga naninirahan sa bayan ay nagkakaloob
ng produkto at serbisyo na ikinakalakal. Habang
dumarami ang kalakal nila, yumayaman sila at
umuunlad ang kanilang pamumuhay. Ang mga
mangangalakal at artisan na ito ay bumuo ng
bagong pangkat sa lipunan, ang gitnang uri o
“middle class”.
Sa bayan maaaring umangat ang
pangkaraniwang tao sa lipunan. Yaman at hindi
kapanganakan ang batayan ng pagkakakilanlan.
Kadalasan, higit na mayaman pa ang mga
mangangalakal kaysa mga dugong bughaw.
Ano-ano ang mahahalagang
impormasyong makukuha
mula sa teksto?
Unang Talata
______________________
______________________
_______
Ikalawang Talata
______________________
______________________
_______
Ikatlong Talata
______________________
____
______________________
____
Halaw sa Kasaysayan ng Daigdig, Batayang
Aklat sa Araling Panlipunan Ikatlong taon, nina
Mateo et. al pahina 202-203
241
Halaw sa Project EASE Araling Panlipunan, Module9 (“Sistemang Piyudal sa
Gitnang Panahon sa Europa)
Para sa karagdagang impormasyon, basahin an sumusunod:
Kasaysayan ng Daigdig, Batayang Aklat Para sa Ikatlong Taon nina Vivar et.al
pahina152-156
Kasaysayan ng Daigdig, Batayang Aklat Para sa Ikatlong Taon nina Mateo et.
al pahina 200-205
Ang Guild System
Marami sa mga naninirahan sa
bayan ay sumali sa guild. Ang guild sa
samahan ng mga taong nagtatrabaho sa
magkatulad na hanapbuhay.
Ang Merchant Guild
Ang mga unang guild ay
binalangkas ng mga mangangalakal.
Nagpatayo sila ng mga bulwagang
pinagdarausan ng pulong tungkol sa mga
detalyeng kanilang negosyo. Kontrolado ng
guild ng mga mangangalakal ang lahat ng
kalakalan sa bayan. Maaari rin nilang
hadlangan ang mga dayong mangangalakal
sa pagnenegosyo sa kanilang bayan.
Dahil sa kanilang yaman, lubhang
naging mahalaga ang mga merchant guild o
guild ng mga mangangalakal sa
pamahalaang bayan. Hinikayat ng mga
merchant guild ang pagkakaroon ng
sistema ng kalinisan at pagpapagawa ng
mga kanal para sa dumi. Sinikap nila na
magkaroon ng iisang batayan ng timbang at
panukat na maaaring gamitin ng lahat.
Minsan, ginagampanan nila ang papel
bilang mga pulis na naglalaan ng
proteksyon. Maaari rin nilang
impluwensiyahan ang mga lord na alisin
ang toll o bayad ng mga daan sa mga
lupain nito.
Ang Craft Guild
Nang lumaki ang mga bayan, ang
mga artisan ay nagtatag ng sariling guild.
Ang bawat craft o kasanayan ay may
sariling guild. Halimbawa, ang mga
karpintero, barbero, panadero, sastre, at
iba pang hanapbuhay ay may sariling
guild. Ang sinumang hindi kasapi sa
isang guild ay hindi maaaring gumawa ng
produkto na ginagawa ng nasabing guild.
Halaw saKasaysayan ng Daigdig, Batayang Aklat
Para sa Ikatlong Taon nina Mateo et. al pahina
204-205
Bigyang kahulugan ang sumusunod
na konsepto:
Ang Merchant Guild
_____________________________
_____________________________
_____________________________
Ang Craft Guild
_____________________________
_____________________________
_____________________________
_____________________________
242
Gawain 21.Dahilan-Epekto
Panuto: Batay sa mga binasang teksto, punan ang talahanayan ng wastong
sagot.
Dahilan Pangyayari Epekto
Pag-unlad ng kalakalan
Paglitaw ng mga
Bourgeoisie
Ang paggamit ng Salapi
Pagkakaroon ng sistemang
Guild
Pamprosesong Tanong
1. Batay sa mga teksto, ano-anong pangyayari ang nagbigay-daan sa
pag-usbong ng mga bayan at lungsod?
2. Sa iyong palagay, ano ang naging epekto ng paglakas ng mga
burgis sa lipunan? Ipaliwanag.
3. Paano mo maiuugnay sa kasalukuyang panahon ang mga
pangyayaring nabasa mo sa mga teksto? Ipaliwanag.
243
Gawain 22.Sa Madaling Salita
Panuto: Mula sa naging pagtalakay, sagutin ang tanong sa ikaapat na
kahon.
GAWAIN 23: A-R Guide (Anticipation-Reaction Guide)
Sagutin ang ang pangatlong kolum sa pamamagitan ng
pagsulat ng salitang sumasang-ayon o SA kung ikaw ay sumasang-
ayon sa pahayag at hindi sumasang-ayono HSA kung ikaw ay di-
sumasang-ayon sa pahayag.
Mga Pangyayaring Nagbigay-daan sa Pag-
usbong ng Europe sa Panahong Medieval
Paano nakatulong ang
pagkakatatag ng “Holy
Roman Empire”sa pag-
usbong ng Europe sa
Panahong Medieval?
Paano nakatulong ang
paglakas ng simbahang
Katoliko sa pag-usbong
ng Europe sa
Panahong Medieval?
Paano nakatulong ang
paglulunsad ng mga
Krusada sa pag-
usbong ng Europe sa
Panahong Medieval?
Paano nakatulong ang
pag-usbong ng mga bayan
at lungsod sa pag-usbong
ng Europe sa Panahong
Medieval?
244
Bago ang
Talakayan
PAHAYAG Matapos ang
Talakayan
1. Sa pagbagsak ng Imperyong Roman
at pananalasa ng iba’t ibang pangkat ng
mga barbaro ay natapos ang Sinaunang
Panahon at pumasok ang pagsisimula ng
Panahong Medieval.
2. Si Charlemagne o “Charles the Great”
ang itinuturing na isa sa pinakamahusay
na hari ng Panahong Medieval.
Pinamunuan niya ang “Holy Roman
Empire” na sinasabing muling bumuhay
sa Imperyong Roman.
3. Sa panahon ng kaguluhan bunsod ng
pagbagsak ng imperyong Roman at
pananalakay ng mga tribung barbaro,
naging kanlungan ng mga tao ang
simbahan. Naging mahalaga ang papel
ng “papacy” o ang tungkulin, panahon ng
panunungkulan at kapangyrihang
panrelihiyon ng Papa bilang pinuno ng
simbahang Katoliko.
4. Pangunahing layunin ng paglulunsad
ng mga Krusada ang pagpapalaganap ng
relihiyong Kristiyanismo sa iba pang
panig ng daigdig.
5. Ang Piyudalismo ay isang matibay na
sistemang naitatag noong Panahong
Medieval. Itinuturing itong sistemang
politikal, sosyo-ekonomiko at militar na
sagot sa pangangailangan sa
tagapanguna sa panahon ng kaguluhan.
6. Ang pang-ekonomiyang aspeto ng
Piyudalismo ay tinatawag na
Manoryalismo. Ito ay ang sistemang
gumagabay sa pamumuno ng mga hari
sa kanilang nasasakupan.
7. Bunsod ng pagtaas ng populasyon at
pag-unlad ng kalakalan ay ang pag-unlad
ng mga bayan. Ang paglago ng bayan
ay nakatulong sa paglago ng kalakalan at
ang paglago ng kalakalan ay nakatulong
din sa paglago ng mga bayan.
245
Pamprosesong Tanong
1. Magkatulad ba ang iyong kasagutan sa una at ikatlong kolum?
2. Paano mo ilalarawan ang iyong kaalaman sa paksa batay sa gawain?
Ipaliwanag.
BINABATI KITA!
Ngayon ay natapos mo na ang bahagi ng Paunlarin para sa Aralin 3
PAGNILAYAN AT UNAWAIN
Sa bahaging ito pagtitibayin mo ang mga nabuong pag-unawa
tungkol sa paksang pinag-aralan. Inaasahan din na sa pagkakataong ito ay
kritikal mong masusuri ang mga epekto at kontribusyon ng ilang
mahahalagang pangyayari sa Europe sa pagpapalaganap ng
pandaigdigang kamalayan.
8. Maaaring umangat ang isang tao sa
lipunan dahil hindi nakabatay sa
kapanganakan ang antas sa buhay kundi
sa kayamanan ng isang tao.
9. Naging maunlad ang mga manor dahil
sa pakikipagkalakalan sa ibang bayan.
10. Ang mga pangyayaring nagbigay-
daan sa pag-usbong ng Europe ay
nakatulong sa pagkakabuo ng
pandaigdigang kamalayan sa
kasalukuyang panahon.
Pagkatapos tuparin ang mga inihandang gawain sa bahaging
Paunlarin ng aralin, tiyak na sapat na ang iyong kaalaman sa mga
pangyayaring nagbigay-daan sa pag-usbong ng Europe sa
Panahong Medieval. Maituturing ang mga pangyayaring ito na
bahagi ng transisyon sa daigdig. Dahil sa iyong mga natutuhan,
maaari mo ng gampanan ang mga inihandang gawain upang
mapalalim pa ang iyong pag-unawa sa paksang ito.
246
Gawain 24.Bumuo at Matuto
Batay sa mga naganap na talakayan at pagtupad sa bawat gawaing inihanda,
ano-ano ang kontribusyon ng sumsunod na pangyayari sa pag-usbong ng
Europe sa Panahong Medieval?
Panuto: Sumali sa pangkat at punan ang talahanayan ng mga kontribusyon
ngmga nabanggit na pangyayari na nagbigay-daan sa pag-usbong ng
Europe sa Panahong Medieval. Bawat pangkat ay gagawa ng
powerpoint presentation at ilalahad ito sa klase.
Mga Pangyayaring Nagbigay-
daan sa Pag-usbong ng Europe
sa Panahong Medieval
Kontribusyon
Ang Holy
Roman
Empire
Kontribusyon
Ang Paglakas ng
Simbahang
Katoliko Bilang
Isang Institusyon
sa Gitnang
Panahon
Kontribusyon
Ang
Paglunsad ng
mga Krusada
Kontribusyon
Ang Buhay sa
Europe Noong
Gitnang
Panahon
Patunay Patunay Patunay Patunay
247
Pamprosesong Tanong
1. Ano ang kahalagahan ng mga pangyayari sa pag-usbong ng Europe
noong Panahong Medieval sa kasalukuyan?
2. Paano nakatulong ang mga pangyayaring ito upang mapalaganap ang
pandaigdigang kamalayan? Ipaliwanag
Gawain 25.Makasaysayang Paglalakbay
Panuto: Punan ang graphic organizer ng angkop na impormasyon batay sa
iyong mga naunawaan sa mga nakaraang aralin.
BINABATI KITA!
Mahusay mong nagampanan ang gawain sa bahagi ng
Pagnilayan at Unawain.
Ngayon ay mayroon ka nang sapat na pag-unawa
tungkol sa mga pangyayari na nagbigay-daan sa pag-usbong
ng Europe sa Panahong Medieval. Tiyak na handa ka na
para sa susunod na gawain.
Ano ang kontribusyon ng iba’t ibang panahon na tinalakay sa modyul
na ito sa pag-unlad ng Pandaigdigang Kamalayan?
Kabihasnang Klasikal
sa Europe
Kabihasnang Klasikal sa
America, Africa, at mga Pulo
sa Pacific
Mga Mahahalgang
Pangyayari sa Panahong
Medieval
Pag-unlad n
Pangdaigdigang
Kamalayan
248
ILIPAT/ISABUHAY
GAWAIN 25: Video-Kasaysayan
Panuto: Bumuo ng isang pangkat na may tatlo hangang apat na miyembro.
Bawat grupo ay gagawa ng isang video tungkol sa pagmamalaki at
pagpapahalaga sa isang pamanang Klasikal at Transiyunal na
Panahon.
Goal Makagagawa ng isang video na nagpapakita ng pagmamalaki at
pagpapahalaga sa isang pamanang Klasikal at Transisyunal na
Panahon
Bigyang-tuon ang mga sumusunod sa paggawang video:
a. Komprehensibong pagpapakila sa isang pamana ng Klasikal
at Transisyunal na Panahon
b. Pangangatwiran ng pangangalaga sa nasabing pamana
c. Kahalagahan ng napiling pamana sa iyong henerasyon
Role Miyembro ng isang organisasyong pang-mag-aaral na may
adbokasiyang ipaalam sa mga kapwa mag-aaral ang kahalagahan ng
mga pamanang Klasikal at Transisyunal na Panahon
Audience Mga kapwa mag-aaral
Situation Magdaraos ng isang seminar tungkol sa pagpapahalaga sa mga
pamanang Klasikal at Transisyunal na Panahon.
Product/Performance Video
Standards Ang video-kasaysayan ay mamarkahan batay sa sumusunod na
pamantayan
:
Natitiyak kong lubos na ang iyong kaalaman tungkol sa mga pangyayari sa
daigdig sa mga Klasikal at Transisyunal na Panahon. Sa bahaging ito ng Modyul,
ilalapat mo ang iyong mga natutuhan sa kasalukuyan. Ano nga ba ang kahalagahan ng
mga paksang iyong pinag-aralan sa iyong buhay bilang isang indibidwal at bilang isang
bahagi ng daigdig na iyong ginagalawan? Isagawa ang sumusunod na gawain.
249
PAMANTAYAN 4 3 2 1
NAPAKAHUSAY MAHUSAY NALILINANG NAGSISIMULA
Pagsusuri sa Pag-
unlad ng
Pandaigdigang
Kamalayan
Komprehensibo at mahusay ang
pagsusuri sa pag-unlad ng
Pandaigdigang Kamalayan sa
pamamagitan ng paguugnay-ugnay
ng mga salik at epekto ng iba’t
ibang pangyayari.
Naipakita ang mahusay na
pagsusuri sa pag-unlad ng
Pandaigdigang Kamalayan sa
pamamagitan ng paguugnay-
ugnay ng mga salik at epekto ng
iba’t ibang pangyayari.
Hindi gaanong naipakita ang
mahusay na pagsusuri sa pag-
unlad ng Pandaigdigang
Kamalayan sa pamamagitan
ng paguugnay-ugnay ng mga
salik at epekto ng iba’t ibang
pangyayari.
Hindi naipakita ang mahusay
na pagsusuri sa pag-unlad ng
Pandaigdigang Kamalayan sa
pamamagitan ng paguugnay-
ugnay ng mga salik at epekto
ng iba’t ibang pangyayari.
Pinaghalawan ng
Datos
Ibinatay sa iba’t ibang saligan
ang mga kaalaman tulad ng
mga aklat, pahayagan, video
clips, interview, radio at iba
pa.
Ibinatay sa iba’t ibang
saligan ang mga
impormasyon ngunit
limitado lamang.
Ibinatay lamang ang
saligan ng impormasyon
sa batayang aklat.
Walang batayang
pinagkunan. Ang mga
impormasyon ay gawa-
gawa lamang.
Kaalaman sa
Paksa
Higit na nauunawaan ang
mga paksa. Ang mga
panguhaning kaalaman ay
nailahad at naibigay ang
kahalagahan. Wasto at
magkaka-ugnay ang mga
impormasyon sa kabuuan.
Naunawaan ang paksa. Ang
mga pangunahing
kaalaman ay nailahad
ngunit di-wasto ang ilan.
May impormasyon na hindi
maliwanag ang
pagkakalahad.
Hindi gaanong
naunawaan ang paksa.
Hindi lahat ng
pangunahing kaalaman
ay nailahad. May mga
maling impormasyon at
hindi naiugnay ang mga
ito sa kabuuang paksa.
Hindi naunawaan ang
paksa. Ang mga
pangunahing kaalaman
ay hindi nailahad at
natalakay. Walang
kaugnayan ang mga
pangunahing
impormasyon sa
kabuuang gawain.
Organisasyon Organisado ang mga
impormasyon. Ang
presentasyon ng gawain ay
malinaw na naipapahayag at
natatalakay gamit ang
makabuluhang powerpoint
presentation.
Organisado ang mga paksa
sa kabuuan at may maayos
na presentasyon ngunit di
masyado nagamit nang
maayos ang powerpoint
presentation.
Walang interaksyon at
ugnayan sa mga kasapi.
Walang malinaw na
presentasyon ng mga
paksa. May powerpoint
presentation ngunit hindi
nagamit at nagsilbi
lamang na palamuti sa
Di organisado ang
paksa. Malinaw na
walang preparasyon ang
paksa.
250
pisara
Pagkamalikhain
Malikhain ang nagawang
video. Bukod sa props at
costume ay gumamit ng iba’t
ibang teknolohiya tulad ng
sound effects, digital at visual
effects upang maging
makatotohanan ang senaryo.
Malikhain ang nabuong
video. Gumamit ng mga
props at costume ang mga
nagsipagganap.
Hindi gaanong malikhain
ang video. Gumamit ng
mga props at costume
subalit hindi gaanong
angkop sa kanilang
ginawa.
Hindi malikhain ang
ipinakitang video.
Kulang sa mga props at
costume upang maging
makatotohanan ang
senaryo.
Transisyon sa susunod na modyul
Binigyang-tuon sa Modyul na ito ang pagtalakay sa mga pangyayari sa
daigdig sa Klasikal at Transisyunal na Panahon. Nakasentro ang pagtalakay
sa mga kontribusyon ng bawat kabihasnan at pangyayari sa pagbuo ng
pandaigdigang kamalayan.
Mahalagang ikintal sa isip ang mga bagay na iyong natutuhan dahil
makatutulong ito sa lalo mo pang pag-unawa sa kasaysayan ng mundong
iyong ginagalawan. Mahalaga rin ang mga natalakay upang mapag-ugnay
ang susunod na pangyayari sa kasaysayan patungo sa kasalukuyang
panahon.
251
GLOSARYO
Acropolis- ang burol at pinakamataas na lugar sa gitna ng lungsod-estado
ng Athens at iba pang lungsod-estado ng Greece
Agora- ang gitna ng lungsod-estado ng isang bukas na lugar kung saan
maaring magtinda o magtipon-tipon ang mga tao sa Greece
Barter- pakikipagpalitan ng produkto
Bourgeoise- mga mangangalakal at banker na bagaman may salapi ay hindi
nabibilang sa mga lipi ng maharlika at kaparian
Guild- samahan ng mga taong nagtatrabaho sa magkatulad na hanapbuhay
Fief- lupang ipinagkakaloob ng lord sa vassal
Hellenes- tawag ng mga Greek sa kanilang sarili na hango sa salitang
Hellas, isang lugar sa hilagang-kanluran ng Greece
Helot- mga bihag ng digmaan ng lungsod-estado ng Sparta na ginagawa
nilang tagapagsaka ng kanilang malalawak na lupain
Kapapahan- tungkulin, panahon ng panunungkulan at kapangyarihang
panrelihiyon ng Papa bilang pinuno ng simbahang Katoliko, gayundin sa
kapangyarihang pampulitika bilang pinuno ng Estado ng Vatican
Krusada- ekspedisyong militar na inilunsad ng mga Kristiyanong Europeo
laban sa mga Turkong Muslim upang mabawi ang Jerusalem sa kamay ng
mga ito
Lay Investiture- isang seremonya kung saan binibigyan ng mga hari ang
Obispo ng singsing at tauhan para sa kanyang opisina
Manor- sentrong pangkabuhayan na pinamumunuan ng panginoong nakatira
sa kastilyo
Mesoamerica- nangangahulugan ang katagang meso ng “gitna”, ang
Mesoamerica ay rehiyon mula sa gitnang Mexico hanggang Gitnang America.
252
Obsidian- isang maitim at kristal na bato na nabuo mula sa tumigas na lava
na ginamit sa Teotihuacan sa paggawa ng kagamitan, salamin, at talim ng
kutsilyo
Olmec- kauna-unahang kabihasnan sa Central America: nangangahulugan
ang salitang Olmec na rubber people” dahil sila ang kauna-unahang gumamit
ng dagta ng mga puno ng rubber o goma.
Ostracism- ang sistema ng pagtatakwil at pagpapatapon sa isang tao sa
sinaunang Athens
Phalanx- tawag sa hukbong Greek na karaniwang binubuo ng hanggang 16
na hanay ng mgamandirigma
Piyudalismo- isang sistemang political, sosyo-ekonomiko at military na
nakabase sa pagmamay-ari ng lupa.
Sibilisasyong Minoan-itinuturing na kauna-unahang sibilasasyong nabuo sa
Aegean na nagsimula sa Crete mga 3100 BC o bago isilang si Kristo.
Teotihuacan- nangangahulugan ang katagang ito na “tirahan ng diyos” at
isa ito sa mga unang kabihasnang nabuo sa Valley of Mexico
Tyrant- sa sinaunang Kasaysayan, ito ay pinuno ng Athens na nagsusulong
ng karapatan ng karaniwang tao at maayos na pamahalaan
Vassal- taong tumatanggap ng lupa mula sa lord
Villein- kasingkahulugan ito ng salitang serf; ito ang bumubuo ng masa ng
tao noong Panahong Medieval. Nananatili silang nakatali sa lupang kanilang
sinasaka at naglilingkod sa kanilang panginoong maylupa.
253
BIBLIOGRAPHY
A. Books
Antonio, Eleanor D. Pana-Panahon III. Worktext para sa Araling Panlipunan
Ikatlong Taon. Kasaysayan ng Daigdig. Rex Bookstore. 856 Nicanor Reyes
St. St. Manila Philippines. 1999.
Banks, James A. et. al. World History. Adventures in Time and Place.
Macmillan/McGraw-Hill 1221 Avenue of the Americas New York, New York
10020. 1997. pp. 192-218, 422-448.
Beck, Roger B. et. al. A Modern History of the World. World History Patterns
of Interaction. McDougal Little Inc. P.O. Box 1667, Evanston Illinois 60204.
1999 . 108-132, 138-166, 388-407
Boehm, Richard G. Our World’s Story. Harcourt Brace & Company, 6277 Sea
Harbor Drive, Orlando Florida 32887-6777.1997. pp. 210-234, 236-266, 336-
338.
Camagay, Ma. Luisa T. et. al. Kabihasnan ng Daigdig Kasaysayan at Kultura.
Vibal Publishing House, Inc. 1253 Gregorio Araneta Avenue, Quezon City.
2010. pp.
Farah, Mounir A. & Karls, Andrea Berens. World History: The Human
Experience. Glecoe/McGraw-Hill, 936 Eastwind Drive, Westerviell, Ohio
43081. 1999. pp.
Mercado, Michael M. Sulyak sa Kasaysayan ng Daigdig. St. Bernadette
Publishing House Corporation. 173 Rodriguez S. Ave. Kristong Hari, 1112
Quezon City. 2009. pp.
McCannon John. AP World History. Barrons Educational Series Inc. 250
Wireless Boulevard Hauppage New York 11788. 2010. pp. 58-61, 67-69.
Millard, Anne. The Usborne Book of World History. Usborne Publishing Ltd,
20 Garrick Street, London WC2E 9BJ. 1995. pp. 24-27, 42-45, 66-73, 86-91,
138-140.
Perry, Marvin. A History of the World. Houghton Miffin Company Boston,
Massahusetts USA. 1989. pp.
254
B. Modules
Project EASE Araling Panlipunan III – Modyul 4: Ang Pagsibol ng
Sibilisasyong Griyego
Project EASE Araling Panlipunan III – Modyul 5: Ang Pagsibol ng Imperyong
Romano
Project EASE Araling Panlipunan III – Modyul 6: Sinaunang Aprika
Project EASE Araling Panlipunan III – Modyul 7: Kabihasnang Klasikal sa
Amerika at Pacifico
Project EASE Araling Panlipunan III – Modyul 8: Ang Simbahang Katoliko
Project EASE Araling Panlipunan III – Modyul 9: Ang Sistemang Piyudalismo
C. Websites
Colloseum
http://ancientworld2009.wikispaces.com/file/view/coliseum.jpg/92540006/colis
eum.jpg
Gregory I
http://upload.wikimedia.org/wikipedia/commons/9/97/Francisco_de_Zurbar%
C3%A1n_040.jpg
Gregory VII
http://hist2615.wikispaces.com/file/view/Gregory_VII-
1.jpg/251843136/174x220
Leo the Great
http://upload.wikimedia.org/wikipedia/commons/5/5b/Pope_St._Leo_IV.jpg
Lokasyon ng Digmaang Peloponessian
http://en.wikipedia.org/wiki/Peloponnesian
Map of Pacific Islands
http://en.wikipedia.org/wiki/File:Pacific_Culture_Areas.jpg
Mapa ng Minoan at Mycenean
http://franceschini.cmswiki.wikispaces.net/Ancient+Greece
255
Mapa ng Mycenean Greece
http://en.wikipedia.org/wiki/File:Path3959-83.png
Migrasyon ng mga Austronesian
http://en.wikipedia.org/wiki/Austronesian_peoples
Moselum in Timbuktu
http://hopemarin.files.wordpress.com/2008/05/timbuktu2.jpg
Paglalarawan ng Digmaang Graeco-Persia
http://althistory.wikia.com/wiki/Greek_Glory?file=GRECO-PERSIAN-
WARS.gif
Paglalarawan kay Alexander the Great
http://upload.wikimedia.org/wikipedia/commons/a/ac/BattleofIssus333BC-
mosaic-detail1.jpg
Parthenon
https://encrypted-
tbn3.gstatic.com/images?q=tbn:ANd9GcReawl5Xp8agCB-
TODpqzMKAPIuktNE9yhizLwBds64yykmPzc7kg
Pisistratus
http://en.wikipedia.org/wiki/Cleisthenes
Pyramid of Kukulkan
http://en.wikipedia.org/wiki/File:Chichen_Itza_3.jpg
Punic Wars
http://upload.wikimedia.org/wikipedia/commons/7/79/First_Punic_War_
264_BC.png
Romulus and Remus
http://upload.wikimedia.org/wikipedia/commons/6/6a/She-
wolf_suckles_Romulus_and_Remus.jpg
Ruta ng Kalakalang Trans-Sahara
http://northafricanhistory.wikispaces.com/file/view/timbuktu.jpg/112619
921/timbuktu.jpg
Solon
http://en.wikipedia.org/wiki/File:Solon2.jpg

Araling Panlipunan Kasaysayan ng Daigdig Module 2

  • 1.
    110 Modyul 2: ANGDAIGDIG SA KLASIKAL AT TRANSISYUNAL NA PANAHON Panimula “Change is inevitable”. Karaniwan nang naririnig ang ganitong kasabihan. Lahat ng bagay sa mundo ay dumadaan sa prosesong ito. Kahit ikaw, marami ka nang pinagdaanang pagbabago mula noon hanggang ngayon. Kung iisipin, tao lang ba ang nagbabago o lahat ng bagay sa daigdig? Paano ba narating ng mundo ang kalagayan nito sa kasalukuyan? Marahil ay may mga pangyayari na nagdulot ng malaking pagbabago. Nais mo ba itong malaman? Sa Yunit na ito ay mauunawaan mo ang mga pangyayari sa Kasaysayan ng Daigdig sa Klasikal at Transisyunal na Panahon. Inaaasahang sa pagtatapos ng iyong paglalakbay panahong ito ay masasagot mo ang katanungang: Paano nakaimpluwesiya ang mga kontribusyon ng Klasikal at Transiyunal na Panahon sa paghubog ng pagkakakilanlan ng mga bansa at rehiyon sa daigdig? Mga Aralin At Sakop Ng Modyul Aralin 1: Pag-usbong at Pag-unlad ng mga Klasikal na Lipunan sa Europe Aralin 2: Pag-usbong at Pag-unlad ng mga Klasikal na Lipunan sa America, Africa, at mga Pulo sa Pacific Aralin 3: Ang Daigdig sa Panahon ng Transisyon Sa modyul na ito ay inaasahang matututuhan mo ang sumusunod: Aralin 1 Nasusuri ang kabihasnang Minoan at Mycenean Nasusuri ang kabihasnang klasikal ng Greece Naipaliliwanag ang mga mahahalagang pangyayari sa kabihasnang klasikal ng Rome (mula sa sinaunang Rome hanggang sa tugatog at pagbagsak ng Imperyong Roman) Naipahahayag ang pagpapahalaga sa mga kontribusyon ng kabihasnang klasikal ng Europe sa pag-unlad ng pandaigdigang kamalayan Aralin 2 Nasusuri ang mga kaganapan sa kabihasnang klasikal ng America Naipaliliwanag ang mga kaganapan sa mga klasikal na kabihasnan sa Africa (Mali at Songhai)
  • 2.
    111 Nasusuri ang kabihasnangklasikal ng pulo sa Pacific Naipahahayag ang pagpapahalaga sa mga kontribusyon ng kabihasnang klasikal ng America, Africa at mga Pulo sa Pacific sa pag-unlad ng pandaigdigang kamalayan Aralin 3 Nasusuri ang mga dahilan at bunga ng paglakas ng Simbahang Katoliko bilang isang institusyon sa Panahong Medieval Nasusuri ang mga kaganapang nagbigay-daan sa pagkakabuo ng “Holy Roman Empire” Naipaliliwanag ang mga dahilan at bunga ng mga Krusada sa Panahong Medieval Nasusuri ang buhay sa Europe noong Panahong Medieval: Manorialismo, Piyudalismo, ang pag-usbong ng mga bagong bayan at lungsod Natataya ang epekto at kontribusyon ng ilang mahahalagang pangyayari sa Europe sa pagpapalaganap ng pandaigdigang kamalayan 1.Alin sa sumusunod ang naglalawaran sa “polis” bilang isang lungsod- estado? A. Ang “polis” ay isang uri ng pamahalaan ng mga Greeks kung saan binibigyang-diin ang demokrasya. B. Ito ay binubuo ng isang lipunang malaya at nagsasarili at nakasentro sa isang lungsod. C. May iba’t ibang uring panlipunan ang isang “polis” at nahahati ito sa iba’t ibang yunit ng pamahalaan D. Ang bawat mamamayan ay may bahaging ginagampanan sa isang “polis”. 2. Alin sa sumusunod ang tawag sa mga uring panlipunan ng sinaunang Rome? A. Censor at Praetor B. Etruscan at Roman C. Patrician at Plebeian D. Maharlika at Alipin Ngayon, subukang sagutin ang paunang pagsusulit na magtatakda kung ano na ang iyong alam sa mga aralin. Bigyang-pansin ang mga katanungan na hindi mo masasagutan nang wasto at alamin ang sagot sa mga aralin sa modyul na ito. Handa ka na ba? Simulan mo na ang pagsagot. PANIMULANG PAGSUSULIT
  • 3.
    112 3. Nahahati satatlong malalaking pangkat ang mga pulo sa Pacific: ang Polynesia, Micronesia at Melanesia. Ano ang kahulugan ng Micronesia? A. maraming isla B. maliit na mga isla C. maitim na mga isla D. maitim ang mga tao sa isla 4. Ang “Holy Roman Empire” ang sinasabing bumuhay sa Imperyong Roman. Sino ang naging emperador ng imperyo noong 800 C.E.? A. Charlemagne B. Charles Martel C. Clovis D. Pepin the Short 5. Ang Krusada ay isang ekspedisyong militar na inilunsad ng Kristiyanong European dahil sa panawagan ni Pope Urban II. Ano ang pangunahing layunin ng Krusada? A. mapalawak ang teritoryo ng mga Kristiyano B. mabawi ang Jerusalem sa kamay ng mga Turkong Muslim C. mapalawak ang kalakalan ng mga bansang Europeo D. mapalawak pa ang kapangyarihan ng simbahang Katoliko Para sa bilang 6, suriin ang kasunod na mapa http://franceschini.cmswiki.wikispaces.net/Ancient+Greece
  • 4.
    113 6. Umusbong angKabihasnang Minoan sa Isla ng Crete. Alin sa sumusunod na pahayag ang nagpapakita ng ugnayan ng heograpikal na lokasyon sa pag- unlad ng kabihasnan sa islang ito? I. Nakatulong ang mga nakapalibot na anyong-tubig upang maging ligtas ang isla sa mga mananakop II. Nagsilbing daanan ng mga mangangalakal mula sa Europe, Africa, at Asya ang isla ng Crete III. Naitatag ng mga mamamayan ng Crete ang sariling kabihasnan dahil nakahiwalay ito sa Europe IV. Naimpluwensiyahan ng mga Sinaunang Kabihasnan ng Africa at Asya ang Kabihasnang Minoan A. I at II B. II at III C. II at IV D. I, II, at III Para sa bilang 7, suriin ang kasunod na larawan: 7. Makikita sa larawan ang mga patunay na mataas na kaalaman ng mga Greek sa larangan ng Astronomiya. Anong kongklusyon ang maaaring mabuo batay sa larawan? A. Nagsilbing batayan ng kaalaman sa Astronomiya ng mga Greek ang paniniwala sa iba’t ibang diyos B. Nagmula sa mga Greek ang lahat ng kaalaman tungkol sa Astronomiya C.Natutuhan ng mga Greek ang kaalaman sa Astronomiya mula sa mga Roman D. Naitatag ng mga Greek ang pundasyon ng kaalaman sa astronomiya noong Panahong Hellenistic
  • 5.
    114 Para sa bilang8, suriin ang sumusunod na pahayag: 8. Ano ang ibig sabihin ng pahayag? A. Nasusunod ang kagustuhan ng minorya sa pamahalaang Demokrasya B. Nakasalalay sa kagustuhan ng nakararami ang ikauunlad ng bansa C. Nakabatay sa batas at kapakanan ng nakararami ang pamahalaang Demokrasya D. Naipahahayag ng mga mamamayan ang kanilang saloobin laban sa pamahalaan Para sa bilang 9, suriin ang timeline tungkol sa mga Kabihasnan sa America 9. Alin sa mga kabihasnan ng America ang umusbong noong panahong Pre- historic? A. Kabihasnang Olmec B. Kabihasnang Maya C. Kabihasnang Aztec D. Kabihasnang Inca “ Our constitution is called a democracy because power is in the hands not of a minority but of the whole people. When it is a question of settling private disputes, everyone is equal before the law;…” - PERICLES Funeral Oration Mga Kabihasnan sa America 1200- 500 B.C.E. Olmec Teotihuacan 200-700 C.E. 250-900 C.E. Maya 900-1100 C.E. Toltec Aztec 1200-1521 1300-1525 Inca
  • 6.
    115 Para sa bilang10, basahin at unawain ang comic strip 10. Ano ang ipinahihiwatig ng pahayag ng mga tinukoy na karakter sa comic strip tungkol sa Piyudalismo? A. Ito ay ugnayang panlipunan sa pagitan ng hari at ng kaniyang mga nasasakupan B. Ito ay sistemang sosyo-politikal na ang batayan ng kapangyarihan ay pagmamay-ari ng lupa C. Ito ay sistemang pang-ekonomiya na ipinatupad sa Europe noong Panahong Medieval D. Ito ay naglalarawan sa paraang ginamit ng mga hari sa Europe noong Panahong Medieval upang mailigtas ang kaniyang teritoryo Ako ang HARI, pagmamay-ari ko ang lahat ng lupain. Subalit ibinigay ko ang iba sa mga BARON. Ako ang BARON, dapat akong maging TAPAT sa HARI dahil ibinigay niya sa akin ang ilan sa kaniyang lupain.Dapat na handa akong ipaglaban siya at magsanay ng mga KNIGHT. Ibinigay ko ang ilan sa aking lupain sa aking mga KNIGHT. Ako ang VILLEIN, ibinigay ng KNIGHT sa akin ang ilan sa kaniyang lupain upang mapagtamnan at paunlarin. Tungkulin kong magbayad ng buwis at magkaloob sa kaniya ng regalo. Hindi ako maaaring umalis sa lupain na kaniyang nasasakupan nang walang pahintulot ang KNIGHT.
  • 7.
    116 Para sa bilang11, suriin ang kasunod na larawan 11. Batay sa larawan, ano ang pangunahing kabuhayan sa loob ng isang Manor? A. Pakikipagkalakalan B. Pagsasaka C. Paglilingkod sa may-ari ng lupa D. Paggawa ng iba’t ibang kasangkapan Para sa bilang 12, suriin ang kasunod na graph: 10 5 20 15 30 25 35 45 40 0 20 0 40 0 60 0 80 0 1000 1200 Bilangngpopulasyonsamilyon Taon – Common Era (C.E.)
  • 8.
    117 12.Isa sa mgaepekto ng pag-unlad ng sistema ng pagsasaka noong unang bahagi ng Panahong Medieval ang pagtaas ng populasyon. Batay sa graph, sa anong mga taon ito naganap? A. 1000 at 1500 C.E. B. 800 at 1000 C.E. C. 800, 1000, at 1500 C.E. D. 600, 800, at 1000 C.E. 13. Tinawag na Minoan ang unang kabihasnang nabuo sa. Ito ay yumaman sa pakikipagkalakalan sa ibayong dagat. Ano ang pangunahing dahilan nito? A. Napakalakas ng puwersang pangmilitar ng Minoan. B. Napalilibutan ng anyong tubig ang Crete at istratehiko ang lokasyon nito. C. Nakarating sa iba’t ibang lugar ang mga produktong mula sa Crete. D. Napalilibutan ng mga kabundukan ang isla ng Crete. 14. Ang sinaunang Greece ay binubuo ng iba’t ibang lungsod-estado na ang bawat isa ay malaya at may sariling pamahalaan. Ano ang dahilan ng pagkakatatag ng hiwa-hiwalay ng lungsod-estado? A. Iba’t iba ang pinagmulan ng mga sinaunang mamamayan ng Greece B. Ang Greece ay nasa timog na dulo ng Balkan Peninsula sa Silangan ng Europe na isang mabundok na lugar. C. Mahaba ang mga daungan ng Greece kaya nagkaroon ng maraming mangangalakal sa bawat lungsod-estado. D. Iba’t iba ang kulturang nabuo sa Greece kaya iba’t ibang kabihasnan ang umusbong dito 15. Ano ang pangunahing dahilan ng pag-usbong ng Rome bilang pinakamakapangyarihan sa Mediterrenean? A. Nakatulong ang maunlad na aspetong pang-ekonomiya ng Rome kung ikukumpara sa mga karatig-lugar. B. Natalo at nasakop ng Rome ang malalakas na kabihasnan sa Mediterrenean tulad ng Carthage at Greece. C. Naipagpatuloy ng Rome ang kalakasan ng kulturang Greece D. Wasto ang lahat ng nabanggit
  • 9.
    118 16. Paano nakatulongang heograpikal na lokasyon ng mga kaharian ng Mali at Songhai sa pag-unlad nito? A. Napalilibutan ito ng mga anyong-tubig na nagbigay-daan sa pag-unlad ng pagsasaka B. Nagsilbi itong tagapamagitan ng kalakalan ng ginto, asin, at iba pang produkto sa pagitan ng kaloob-loobang bahagi ng Africa at ng mga Arab sa Sahara C. Nakatulong ang kanilang lokasyon upang mapanatili ang kalayaan at kaligtasan mula sa banta ng mga mananakop D. Nagsilbing natural na proteksiyon ng imperyo ang malawak na disyerto ng Sahara 17. Alin ang naglalarawan sa sinaunang kabuhayan ng mga tao sa mga Pulo ng Pacific? A. Ang pangunahing kabuhayan ng mga tao sa mga Pulo ng Pacific ay pagsasaka at pangingisda. B. Ang mga sinaunang mamamayan ng mga Pulo ng Pacific ay naniniwala sa banal na kapangyarihan o “mana”. C. Ang sinaunang relihiyon ng mga tao sa mga Pulo ng Pacific ay Animismo. D. Ang mga sinaunang pamayanan sa mga isla ay matatagpuan sa mga lawa o dagat-dagatan. 18. Sa panahon ng Piyudalismo, ang lipunan ay nahahati sa tatlong uri: Pari, Kabalyero, at Serf. Alin sa sumusunod ang naglalarawan sa serf? A. May karapatan at kalayaan silang bumuo ng sariling pamilya. B. Malaya nilang mapauunlad ang kanilang pamumuhay at pamilya. C. Sila ang bumubuo ng masa ng tao noong Panahong Medieval. D. Itinuturing silang natatanging sektor sa lipunan 19. “Ang madalas na pagsalakay ng mga barbaro ay nagbigay ligalig sa mga mamamayan ng Europe. Dahil dito, hinangad ng lahat ang proteksiyon kaya naitatag ang sistemang Piyudalismo”. Ano ang ipinapahiwatig ng pahayag? A. Magulo ang Europe dahil sa pagsalakay ng mga barbaro B. Sa panahon ng kaguluhan, ang mga tao ay naghangad ng proteksyon C. Mahina ang pamahalaan noon kaya dumami ang mga grupong barbaro D. Ang sistemang Piyudalismo ay sagot sa kahirapan ng mga tao
  • 10.
    119 20. Mahalagang pangyayarisa Panahong Medieval ang paglakas ng Simbahang Katoliko. Isang bahagi nito ang paglakas ng kapangyarihan ng Kapapahan (Papacy). Alin sa sumusunod ang higit na naglalarawan sa Kapapahan o sa Papacy? A. Ito ay tumutukoy sa tungkulin, panahon ng panunungkulan at kapangyarihang panrelihiyon ng Papa bilang pinuno ng Simbahang Katoliko. B. Tumutukoy din ito sa kapangyarihang politikal ng Papa bilang pinuno ng estado ng Vatican. C. Itinuturing ang Papa bilang Ama ng mga Kristiyano na siya pa ring tawag hanggang sa kasalukuyan. D. Simbolo ang Kapapahan ng malawak na kapangyarihan ng Simbahang Katoliko noong Panahong Medieval
  • 11.
    120 ARALIN 1: Pag-usbongat Pag-unlad ng mga Klasikal na Lipunan sa Europe Ang Olympics ay isang pampalakasang paligsahan na nilalahukan ng mga atleta mula sa iba’t ibang bansa. Noong 2008, natuon ang pansin ng lahat sa Asia dahil sa ginanap na Olymics sa Beijing, China. Saan at kailan nga ba nagsimula ang paligsahang ito? Naganap ang kauna-unahang Olympics noong 776 BC sa Olympia- isang lungsod-estado ng sinaunang Greece. Kontribusyon ito ng Klasikal na Kabihasnan sa Europe na kinabibilangan ng Kabihasnang Greece at Rome. Sa bahaging ito ng modyul ay pag-aaralan ang mahahalagang pangyayari tungkol sa pag-usbong, pag-unlad, at pagbagsak ng mga Kabihasnang Greece at Rome. Masasagot din ang katanungang:paano nakaimpluwensiya ang Panahong Klasikal sa Europe sa pag-unlad ng pandaigdigang kamalayan?
  • 12.
    121 ALAMIN Gawain 1. Anoang Gusto Ko? Panuto: Suriin ang larawan at sagutin ang mga tanong tungkol dito. Pamprosesong Tanong 1. Ano ang masasabi mo tungkol sa tipikal na anyo ng isang lungsod-estado noong Panahong Klasikal? Ipaliwanag. 2. May pagkakatulad ba ang makikita sa larawan, sa karaniwang tagpo sa mga lungsod sa kasalukuyang panahon? Patunayan Umusbong ang mga sinaunang kabihasnan ng China, India, Mesopotamia, at Egypt sa mga lambak-ilog. Ganito rin kaya ang mga kabihasnang nabuo sa Europe partikular sa Greece at Rome? Alamin sa araling ito ang kasagutan. Pilosopo Politiko Artist Kababaihan Mandirigma Makikita sa larawan ang isang tipikal na tagpo sa isang lungsod-estado sa Europe noong Panahong Klasikal. Bawat isa ay may tungkuling ginagampanan. Kung ikaw ay nabuhay nang panahong iyon, alin sa sumusunod na tungkulin ang nais mong gampanan? Bakit? Mangangalakal
  • 13.
    122 Gawain 2. I-R-FCHART Panuto:Basahing mabuti ang tanong. Pagkatapos ay isulat sa bahaging “initial” ng diagram ang maiisip na sagot. BINABATI KITA! Sa puntong ito ay nagtatapos na ang bahagi PAUNLARIN Tiyak na nais mo pang mapalalim ang iyong kaalaman tungkol sa mga kabihasnan noong Panahong Klasikal ng Europe. Sa pagsasagawa ng iba’t ibang gawain sa modyul na ito, madaragdagan ang iyong dating kaalaman at masasagot ang iyong mga tanong tungkol sa paksa. Paano nakaimpluwensya ang Panahong Klasikal sa Europe sa pag-unlad ng pandaigdigang kamalayan? INITIAL REVISED FINAL
  • 14.
    123 PAUNLARIN Gawain 3. Mapa-Suri.Suriin ang mapa upang makita ang kaugnayan ng lokasyon ng Greece sa pag-unlad ng kabihasnan nito. Sa bahaging ito, inaasahang matututuhan mo ang mga kabihasnang nabuo sa Panahong Klasikal ng Europe, kabilang ang mahahalagang pangyayari sa bawat kabihasnan at ang mahahalagang kontribusyon ng mga ito sa paghubog ng pandaigdigang kamalayan. Simulan mo na ang paglalakbay tungo sa iyong pagkatuto. Pamprosesong Tanong 1. Ano ang mga anyong tubig na malapit sa Greece? 2. Saang direksyon ng Greece makikita ang Isla ng Crete? 3. Paano nakaimpluwensiya ang lokasyon ng Greece sa pag-usbong ng Kabihasnang Greek? Mapa 1.1 Mapa ng Europe
  • 15.
    124 Gawain 4. Magbasaat Matuto Panuto: Bilang panimula, basahin at unawain ang sumusunod na teksto tungkol sa Kabihasnang Minoan at Mycenaean. Suriin ang timeline bilang gabay sa pagtalakay sa Kabihasnang Greece. Naging sentro ng sinaunang Greece ang mabundok na bahagi ng tangway ng Balkan sa timog at ilang mga pulo sa karagatan ng Aegean. Samantala, ang karagatan ng Mediterranean ang naging tagapag-ugnay ng Greece sa iba pang panig ng mundo. Sa mundo ng mga sinaunang Greek, ang karagatan ang pinakamainam na daanan sa paglalakbay. Dahil dito karamihan sa mga pamayanan nila ay matatagpuan 60 kilometro lamang mula sa baybay-dagat. Ang lupain ng Greece ay mabato at bulubundukin. Ito ang pangunahing naging sagabal sa mabilis na daloy ng komunikasyon sa mga pamayanan. Naging mabagal ang paglago ng mga kaisipan at teknolohiya. Subalit ito rin ang naging dahilan upang ang bawat lungsod-estado ay magkaroon ng kani-kanilang natatanging katangian na nagpayaman sa kanilang kultura. Ang mga mainam na daungan na nakapaligid sa Greece ay nagbigay-daan sa maunlad na kalakalang pandagat na naging dahilan ng kanilang maunlad na kabuhayan. Ito rin ang nagbigay daan upang magkaroon sila ng kaugnayan sa iba’t ibang uri ng tao na nakatulong naman upang mapayaman nila ang kanilang kultura at maibahagi ang kanilang mga naging tagumpay sa iba’t ibang larangan ng pamumuhay sa sandaigdigan. Halaw sa “Project Ease Modyul 4: Pagsibol ng Sibilisasyong Griyego pp. 8-10 431 B.C. E Nagsimula ang Peloponnesian War 460 B.C.E Nagsimula ang Golden Age ng Athens 404 B.C.E Tinalo ng Sparta ang Athens 334-323 B.C. E Pananakop ni Alexander the Great 700 B.C.E 600 B.C.E 500 B.C.E 200 B.C.E300 B.C.E400 B.C.E 700 B.C.E Umusbong ang mga Lungsod- estado ng Greece 499 B.C.E Nagsimula ang Persian War Pigura 1.1 Timeline ng mga pangyayari sa Kabihasnang Greece.
  • 16.
    125 Ang mga Minoans Ayonsa mga arkeologo, ang kauna- unahang sibilisasyong Aegean ay nagsimula sa Crete mga 3100 B.C.E. o Before the Common Era. Tinawag itong Kabihasnang Minoan batay sa pangalan niHaring Minos, ang maalamat na haring sinasabing nagtatag nito. Kilala ang mga Minoan bilang mahuhusay gumamit ng metal at iba pang teknolohiya. Nakatira sila sa mga bahay na yari sa laryo (bricks) at may sistema sila ng pagsulat. Magagaling din silang mandaragat. Hindi nagtagal, kinilala ang Knossos bilang isang makapangyarihang lungsod at sinakop nito ang kabuuan ng Crete. Dito matatagpuan ang isang napakatayog na palasyo na nakatayo sa dalawang ektarya ng lupa at napapaligiran ng mga bahay na bato. Ang palasyo ay nasira ng sunud-sunod na sunog at iba pang mga natural na kalamidad. Paglipas ng ilan pang taon na tinataya 1600 hanggang 1100 B.C.E., narating ng Crete ang kanyang tugatog. Umunlad nang husto ang kabuhayan dito dulot na rin ng pakikipagkalakalan ng mga Minoan sa Silangan at sa paligid ng Aegean. Dumarami ang mga bayan at lungsod at ang Knossos ang naging pinakamalaki. Sa pamayanang Minoan ay may apat na pangkat ng tao: ang mga maharlika, mga mangangalakal, mga magsasaka, at ang mga alipin. Sila ay masayahing mga tao at mahiligin sa magagandang bagay at kagamitan. Maging sa palakasan ay di nagpahuli ang mga Minoan. Sila na siguro ang unang nakagawa ng arena sa buong daigdig kung saan nagsasagawa ng mga labanan sa boksing. Gabay na Tanong Saan nagsimula ang Kabihasnang Minoan? ____________________________ ____________________________ Ano ang dahilan ng pag-unlad ng kabuhayan ng mga Minoan? ____________________________ ____________________________ Sino-sino ang mga pangkat ng tao sa pamayanang Minoan? ____________________________ ____________________________ Bakit nagwakas ang Kabihasnang Minoan? ____________________________ ____________________________ Ang kabihasnang Minoan ay tumagal hanggang mga 1400 B.C.E. Nagwakas ito nang salakayin ang Knossos ng mga di nakikilalang mga mananalakay na sumira at nagwasak sa buong pamayanan. Tulad ng inaasahan, ang iba pang mga lungsod ng mga Minoan ay bumagsak at isa-isang nawala.
  • 17.
    126 http://en.wikipedia.org/wiki/File:Path3959-83.png Ang mga Mycenaean Bagopa man salakayin at sakupin ng mga Mycenaean ang Crete, nasimulan na nilang paunlarin ang ilang pangunahing kabihasnan sa Timog Greece. Ang Mycenaea na matatagpuan 16 kilometro ang layo sa aplaya ng karagatang Aegean ang naging sentro ng kabihasnang Mycenaean. Ang mga lungsod dito aypinag-ugnay ng maayos na daanan at mga tulay. Napapaligiran ng makapal na paderang lungsod upang magsilbing pananggalang sa mga maaring lumusob dito.Pagdating ng 1400 B.C.E., isa nang napakalakas na mandaragat ang mgaMycenaean at ito ay nalubos ng masakop at magupo nila ang Crete. Naiugnay nila ang Crete sa lumalagong kabihasnan sa Greece. Maraming mga salitang Minoan ang naidagdag sa wikang Greek. Ang sining ng mga Greek ay naimpluwensiyahan ng mga istilong Minoan. Ilan sa mga alamat ng Minoan ay naisama sa mga kwento at alamat ng mga Greek. Bagamat walang naiwang mga nakasulat na kasaysayan, ang pagsasalin-salinng mga kwento ng mga hari at bayaning Mycenaean ay lumaganap. Di naglaon ang mga kuwentong ito ay nag-ugnay sa mga tao at sa mga diyos-diyosan. Ito ang sinasabing naging batayan ng mitolohiyang Greek.Sa bandang huli, di nailigtas ng mga pader na kanilang ginawa ang mga Mycenaean sa paglusob ng mga mananalakay. Noong 1100 B.C.E., isang pangkat ng tao mula sa hilaga ang pumasok sa Greece at iginupo ang mga Mycenaean. Sila ay kinilalang mga Dorian. Samantala, isang pangkat naman ng tao na mayroon dinkaugnayan sa mga Mycenaean ang tumungo sa timog ng Greece sa may lupain sa Asia Minor sa may hangganan ng karagatang Aegean. Nagtatag sila ng kanilangpamayanan at tinawag itong Ionia.Nakilala sila bilang mga Ionian. Ang mga pangyayaring ito ay tinaguriang dark ageo madilim na panahon natumagal din nang halos 300 taon. Naging palasak ang digmaan ng mga iba’t ibang kaharian. Nahinto ang kalakalan, pagsasaka, at iba pang gawaing pangkabuhayan.Maging ang paglago ng sining at pagsulat nang unti-unti ay naudlot din. Ano-anong impormasyon ang mahahalaw mula a teksto? 1. _________________________ _________________________ 2. _________________________ __________________________ 3. __________________________ __________________________ 4. __________________________ __________________________ 5. __________________________ __________________________ Halaw sa “Project Ease Modyul 4: Pagsibol ng Sibilisasyong Griyego pp 10-11 Mapa 1.2 Lokasyon ng Kabihasnang Mycenaea
  • 18.
    127 Gawain 5. Daloyng mga Pangyayari Panuto: Batay sa binasang teksto, isulat ang limang mahahalagang pangyayari sa kasaysayan ng sibilisasyong Minoan at Mycenean. Pamprosesong Tanong 1. Batay sa mga tekstong binasa, ano ang katangian ng kabihasnang Minoan at Mycenean? 2. Ano-ano ang mga nakita mong pagkakaiba at pagkakatulad ng kabihasnang Minoan at Mycenean? 3. Sa iyong palagay, ano ang epekto ng nabanggit na mga kabihasnan sa pag-usbong ng kabihasnang Greek? Minoan Mycenean
  • 19.
    128 Sa bahaging ito,alamin mo ang mahahalagang pangyayaring nagbigay-daan sa pag-usbong, pag-unlad at pagbagsak ng Klasikal na kabihasnang Greece. Gawain 6. Magbasa at Matuto Panuto: Basahin at unawain ang mga tekstong ilalahad sa bahaging ito. Sagutin din ang mga katanungan sa bawat kahon. Mula sa labi ng madilim na panahon, unti-unting umusbong sa Ionia ang isang bagong sibilisasyon na mabilis ding lumaganap sa kabuuan ng Greece. Ilang pamayanan sa baybayin ng Greece na tinatawag ang kanilang sarili na Hellenes o Greeks ang nagkaroon ng malaking bahagi sa sibilisasyong ito. Kinilala ito sa kasaysayan bilang Kabihasnang Hellenic mula sa kanilang tawag sa Greece na Hellas.Ito ay tumagal mula 800 B.C.E. hanggang 400 B.C.E. at naging isa sa mga pinakadakilang sibilisasyong naganap sa kasaysayan ng daigdig. Ang mga Polis Dahil sa mga digmaan bago pa ang Panahong Hellenic, nagtayo ng mga kuta ang mga Greek sa mga lugar sa may gilid ng mga burol at sa mga taluktok ng bundok upang maprotektahan ang kanilang sarili sa pagsalakay ng iba’t ibang pangkat. Ang mga pook na ito ay naging pamayanan. Dito nagsimula ang mga lungsod- estado o polis kung saan hango ang salitang may kinalaman sa pamayanan tulad ng pulisya, politika at politiko. May malalaki at maliliit na polis. Ang pinakahuwarang bilang na dapat bumuo ng isang polis ay 5000 na kalalakihan dahil noon ay sila lamang ang nailalagay sa opisyal na talaan ng populasyon ng lungsod-estado. Karamihan sa mga polis ay may mga pamayanang matatagpuan sa matataas na lugar na tinawag na acropolis o mataas na lungsod. Sa panahon ng digmaan, ito ang naging takbuhan ng mga Greek para sa kanilang proteksyon. Sa acropolis matatagpuan ang matatayog na palasyo at templo kung kaya’t ito ang naging sentro ng politika at relihiyon ng mga Greek. Samantala, ang ibabang bahagi naman ay tinawag na agora o pamilihang bayan. Napapaligiran ng mga pamilihan at iba pang mga gusali na nagbigay daan sa malayang bilihan at kalakalan. Batay sa teksto, isulat ang kahulugan ng mga sumusunod na salita: polis-______________ ___________________ ___________________ acropolis-___________ ___________________ ___________________ agora- _____________ ___________________ ___________________
  • 20.
    129 Sparta, ang Pamayananng mga Mandirigma Ang polis o lungsod-estado ng Sparta ay itinatag ng mga Dorian sa Peloponnesus na nasa timog na bahagi ng tangway ng Greece. Sa lahat ng mga lungsod-estado, ang Sparta lamang ang hindi umasa sa kalakalan. Ito ay may magandang klima, sapat na patubig at matabang lupa na angkop sa pagsasaka.Pinalawak ng mga Spartan ang kanilang lupain sa pamamagitan ng pananakop ng mga karatig na lupang sakahan at pangangangamkam nito. Ang mga magsasaka mula sa nasakop na mga lugar ay dinala nila sa Sparta upang maging mga helot o tagasaka sa malawak nilang lupang sakahan. Samakatuwid, naging alipin ng mga Spartan ang mga helot. Maraming pagkakataon na nag- alsa laban sa mga Spartan ang mga helot ngunit ni isa rito ay walang nagtagumpay. Dahilan sa palagiang pag-aalsa ng mga helot, nagdesisyon ang mga Spartan na palakasin ang kanilang hukbong militar at magtatag ng isang pamayanan ng mga mandirigma upang maging laging handa sa kahit anong pag-aalsang gagawin ng mga helot. Karagdagang babasahin: Kasaysayan ng Daigdig, Batayang Aklat sa Araling Panlipunan Ikatlong Taon nina Mateo et. al. pp. 114-116. Sa mga lungsod-estado, naramdaman ng mga Greek na sila ay bahagi ng pamayanan. Ito ang dahilan kung bakit ipinagkaloob naman nila dito ang kanilang katapatan at paglilingkod. Hindi lahat ng mga nasa lungsod-estado ay mamamayan nito. Ang mga lehitimong mamamayan ay binigyang karapatang bomoto, magkaroon ng ari-arian, humawak ng posisyon sa pamahalaan, at ipagtanggol ang sarili sa mga korte. Bilang kapalit, sila ay dapat na makilahok sa pamahalaan at tumulong sa pagtatanggol sa mga polis sa panahon ng digmaan. Ang lahat ng ito, dagdag pa ang paglago ngkalakalan, ay nagbigay daan sa pag-unlad ng mga lungsod-estado. Kasabay nito ang mabilis na paglaki ng populasyon na naging pangunahing dahilan naman kung bakit nangibang lugar ang mga Greek. Ang iba ay napadpad sa paligid ng mga karagatang Mediterranean at Iton. Bagamat napunta sila at nanirahan sa malalayong lugar, di nawala ang kanilang ugnayan sa pinagmulang lungsod-estado o metropolis. Mula sa pakikipagkalakalan sa iba’t ibang panig ng daigdig, natutuhan ng mga Greek ang mga bagong ideya at teknik. Mula sa mga Phoenician ay nakuha nila ang ideya ng alpabeto na naging bahagi naman ng kanilang sariling alpabeto. Ginamit din nila ang mga teknik ng mga Phoenician sa paggawa ng mas malalaki at mabibilis na barko. Sa mga Sumerian naman ay namana nila ang sistema ng panukat. Mula naman sa mga Lydian ay natutuhan nila ang paggamit ng sinsilyo at barya sa pakikipagkalakalan. Pamprosesong Tanong 1. Ano-ano ang mga karapatang tinatamasa ng mga lehitimong mamamayan ng isang lungsod- estado? 2. Ano-ano ang responsibilidad ng isang mamamayan sa lungsod-estado? 3. Bakit mahalaga ang pakikipagkalakalan para sa mga Greek?
  • 21.
    130 Ang naging pangunahingmithiin ng lungsod-estado ng Sparta ay magkaroon ng mga kalalakihan at kababaihang walang kinatatakutan at may malalakas na pangangatawan. Ang mga bagong silang na sanggol ay sinusuri. Kapag nakitang mukhang mahina at sakitin ang isang sanggol ay dinadala sa paanan ng kabundukan at hinahayaang mamatay doon. Samantala, ang malulusog na sanggol ay hinahayaang lumaki at maglaro sa kani-kanilang bahay, hanggang sumapit ang ikapitong taon nila. Pagsapit ng pitong taon, ang mga batang lalaki ay dinadala na sa mga kampo-militar upang sumailalim sa mahigpit na disiplina at sanayin sa serbisyo militar. Malakas na pangangatawan, katatagan, kasanayan sa pakikipaglaban, at katapatan ang ilan sa pangunahing layunin ng pagsasanay. Tinitiis nila ang mga sakit at hirap nang walang reklamo. Pinapayagan lamang sila na makita ang kanilang pamilya sa panahon ng bakasyon. Sa gulang na 20, ang mga kabataang lalaki ay magiging sundalong mamamayan at ipinapadala na sa mga hangganan ng labanan. Sa edad na 30, sila ay inaasahang mag-aasawa na ngunit dapat na kumain at manirahan pa rin sa kampo, kung saan hahati na sila sa gastos. Sa edad na 60, sila ay maaari nang magretiro sa hukbo. Sa lipunan ng mga Spartan, ang lahat ay nakikiisa upang mapigilan ang mga pag-aalsa ng mga helot. Maging ang mga kababaihan ay sinasanay na maging matatag. Di tulad ng mga kababaihang Greek na limitado ang ginagampanan sa lipunan, ang mga kababaihang Spartan ay maraming tinatamasang karapatan. Sila ang mga nag-aasikaso ng lupain ng kanilang mga asawa habang ang mga ito ay nasa kampo militar. Nangunguna din sila sa mga palakasan at malayang nakikipaghalubilo sa mga kaibigan ng kani-kanilang mga asawa habang masaya silang nanonood ng mga palarong tulad ng pagbubuno o wrestling, boksing, at karera. Ang Sparta ang responsable sa pagkakaroon ng pinakamahusay na sandatahang lakas sa buong daigdig. Sa simula, labu-labo kung makipagdigma ang mga Greek. Oo nga’t sama-samang nagmamartsa sa lugar ng digmaan, ang mga sundalo ay isa-isang nakikipaglaban sa mga kaaway hanggang sila ay manghina at mamatay. Nang lumaon ang mga Griyego, lalo na ang mga Spartan, ay mas naging maparaan sa kanilang pakikipagdigma. Sa halip na lumusob ng isa-isa sa mga kalaban,sila ay nananatiling sama-sama sa pagkakatayo pasulong man o paurong sa labanan,hawak ang pananggalang sa kaliwang kamay at espada naman sa kanan. Ang hukbong ito na tinaguriang phalanx ay karaniwang binubuo ng hanggang 16 na hanay ng mga mandirigma. Kapag namatay ang mga sundalo sa unang hanay, ito ay mabilis na sinasalitan ng susunod pang hanay. Ang phalanx ay hindi mga bayarang mandirigma, sila ay tagapagtanggol ng kanilang polis. Pamprosesong Tanong: 1. Ano ang pangunahing katangian ng Sparta bilang isang lungsod-estado ng Greece? 2. Paano sinasanay ang mga Spartan upang maging malakas? 3. Paano nakabuti at nakasama ang paraan ng disiplina ng mga Spartan? Karagdagang babasahin: Kasaysayan ng Daigdig, Batayang Aklat sa Araling Panlipunan Ikatlong Taon nina Mateo et. al. pahina 117
  • 22.
    131 Ang Athens atang Pag-unlad Nito Sa simula ng 600 B.C.E., ang Athens ay isa lamang maliit na bayan sa gitnang tangway ng Greece na tinatawag na Attica. Ang buong rehiyon ay hindi angkop sa pagsasaka kaya karamihan sa mga mamamayan nito ay nagtrabaho sa mga minahan, gumawa ng mga ceramics, o naging mangangalakal o mandaragat. Hindi nanakop ng mga kolonya ang Athens.Sa halip, pinalawak nito ang kanilang teritoryo na naging dahilan upang ang iba pang nayon sa Attica ay sumali sa kanilang pamamahala. Sa sinaunang kasaysayan, ang Athens ay pinamunuan ng mga tyrant na noon ay nangangahulugang mga pinunong nagsusulong ng karapatan ng karaniwang tao at maayos na pamahalaan. Bagamat karamihan sa kanila ay naging mabubuting pinuno, may mangilan-ngilan din na umabuso sa kanilang posisyon na nagbigay ng bagong kahulugan sa katawagang tyrant bilang malupit na pinuno sa ating panahon, sa kasalukuyan. Sa simula, ang Athens ay pinamunuan ng hari na inihalal ng asembleya ng mamamayan at pinapayuhan ng mga mga konseho ng maharlika. Ang asembleya ay binubuo naman ng mayayaman na may malaking kapangyarihan. Ang mga pinuno nito ay tinawag na Archon na pinapaburan naman ang mga may kaya sa lipunan. Di nagtagal, nagnais ng pagbabago ang mga artisano at mga mangangalakal. Upang mapigil ang lumalalang sitwasyon ng mga di nasisiyahang karaniwang tao, nagpagawa ang mayayamang tao o aristokrata ng nakasulat na batas kay Draco isang tagapagbatas. Malupit ang mga batas ng Greek at hindi ito binago ni Draco ngunit kahit na paano ang kodigong ginawa niya ay nagbigay ng pagkakapantay- pantaysa lipunan at binawasan ng mga karapatan ang mga namumuno. Sa gitna ngpagbabagong ito nanatiling di kontento ang mga mamamayan ng Athens. Maraming Athenian ang nagpaalipin upang makabayad ng malaking pagkakautang. Marami rin sa kanila ang nagnais ng mas malaking bahagi sa larangan ng politika. Batay sa teksto, ano ang kahulugan ng sumusunod? tyrant-________________ _____________________ _____________________ Archon- _____________ _____________________ _____________________ https://encrypted- tbn3.gstatic.com/images?q=tbn:A Nd9GcReawl5Xp8agCB- TODpqzMKAPIuktNE9yhizLwBds64 yykmPzc7kg Larawan 1.1 Ang Parthenon ng Greece
  • 23.
    132 http://en.wikipedia.org/wiki/Fil e:Solon2.jpg http://en.wikipedia.org/wiki/ Cleisthenes Larawan 1.2 SiSolon, isang mambabatas na Greek Larawan 1.3 Si Pisistratus, isang mahusay na pinunong Greek Ang sumunod na pagbabago ay naganap noong 594 B.C.E. sa pangunguna ni Solon na mula sa mga pangkat ng aristokrata na yumaman sa pamamagitan ng pakikipagkalakalan. Kilala din siya sa pagiging matalino at patas. Inalis niya ang mga pagkakautang ng mahihirap at ginawang ilegal ang pagkaalipin nang dahil sa utang. Gumawa rin siya ng sistemang legal kung saan lahat ng malayang kalalakihang ipinanganak mula sa mga magulang na Athenian ay maaaring maging hurado sa mga korte. Ang mga repormang pampolitika na ginawa ni Solon ay nagbigay ng kapangyarihan sa mga mahihirap at karaniwang tao. Nagsagawa rin siya ng mga repormang pangkabuhayan upang maisulong ang dayuhang kalakalan at mapabuti ang pamumuhay ng mga mahihirap. Nalutas ng repormang pangkabuhayan ang mga ilang pangunahing suliranin ng Athens at napaunlad ang kabuhayan nito. Sa gitna ng malawakang repormang ginawa ni Solon, di nasiyahan ang mga aristokrata. Para sa kanila, labis na pinaburan ni Solon ang mahihirap. Sa kasalukuyan, ginagamit ang salitang Solon bilang tawag sa mga kinatawan ng pambansang pamahalaan na umuugit ng batas. Noong mga 546 B.C.E., isang politikong nagngangalang Pisistratus, ang namuno sa pamahalaan ng Athens. Bagamat mayaman siya, nakuha niya ang suporta at pagtitiwala ng karaniwang tao. Mas radikal ang mga pagbabagong ipinatupad niya tulad ng pamamahagi ng malalaking lupang sakahan sa walang lupang mga magsasaka. Nagbigay siya ng pautang at nagbukas ng malawakang trabaho sa malalaking proyektong pampubliko. Pinagbuti niya ang sistema ng patubig sa lungsod ng Athens, at nagpatayo ng magagandang templo. Ipinakita rin niya ang kaniyang interes sa sining at kultura sa pamamagitan ng pagbibigay suporta sa mga pintor at sa mga nangunguna sa drama. Ang pagsulong niya sa sining ang nagbigay-daan upang tanghalin ang Athens na sentro ng kulturang Greek.
  • 24.
    133 . Noong 510 B.C.E.,naganap muli ang pagbabago sa sistemang politikal ng Athens sa pamumuno ni Cleisthenes. Hinati niya ang Athens sa sampung distrito. Limampung kalalakihan ang magmumula sa bawat distrito at maglilingkod sa konseho ng tagapayo upang magpasimula ng batas sa Asembleya ang tagagawa ng mga pinaiiral na batas. Sa kauna- unahang pagkakataon, nakaboto sa asembleya ang mga mamamayan, may-ari man ng lupa o wala. Upang mapanatili ang kalayaan ng mga mamamayan ipinatupad ni Cleisthenes ang isang sistema kung saan bawat taon ay binibigyan ng pagkakataon ang mga mamamayan na ituro ang taong nagsisilbing panganib sa Athens. Kapag ang isang tao ay nakakuha ng mahigit 6,000 boto, siya ay palalayasin sa Athens ng 10 taon. Dahil sa ang pangalan ay isinusulat sa pira-pirasong palayok na tinatawag na Ostrakon, ang sistema ng pagpapatapon o pagtatakwil sa isang tao ay tinawag na ostracism. Bagamat kaunti lamang ang naipatapon ng sistemang ito, nabigyan ng mas malaking kapangyarihan ang mga mamamayan. Sa pagsapit ng 500 B.C.E., dahil sa lahat ng mga repormang naipatupad sa Athens, ang pinakamahalagang naganap ay ang pagsilang ng demokrasya sa Athens, kung saan nagkaroon ng malaking bahagi ang mga mamamayan sa pamamalakad ng kanilang pamahalaan. Halaw sa Project EASE Modyul 4, Ang Pag-usbong ng Sibilisasyong Griyego pahina 15-21. Pamprosesong Tanong: 1. Ano ang pangunahing katangian ng Athens bilang iang lungsod- estado ng Greece? 2. Para sa iyo, ano ang pinakamahalagang ambag ng Athens sa daigdig? 3. Nakabuti ba sa Greek ang pagpapatupad ng demoksrasya? Patunayan. Karagdagang babasahin: Kasaysayan ng Daigdig, Batayang Aklat sa Araling Panlipunan Ikatlong Taon nina Mateo et. al. pahina 116-117
  • 25.
    134 Gawain 7. Paghahambing Panuto:Satulong ng venn diagram, isulat ang pagkakatulad at pagkakaiba ng Sparta at Athens bilang mga lungsod-estado ng sinaunang Greece. Pamprosesong Tanong 1. Paano nakaimpluwensiya ang lokasyon sa pamumuhay ng mga Spartan at Athenian? 2. Bakit mahalaga ang mga lungsod-estado ng Sparta at Athens sa pag- unlad ng Kabihasnang Greek? 3. Kung nabuhay ka noong panahong klasikal ng Greece, saan mo mas pipiliiing tumira, sa Athens o sa Sparta? Ipaliwanag ang sagot. Gawain 8. Magbasa at Matuto Sparta Athens Bagamat ang Greece ay binubuo ng iba’t ibang lungsod-estadong malaya sa isa’t isa, iisa lamang ang wika at kultura ng mga Greek. Mataas ang tingin nila sa isa’t isa, samantalang hindi edukado at mababa ang tingin nil sa mga hindi Greek. Naranasan din ng Greece ang banta ng paglusob at pananakop ng mga kalapit na kabihasnan. Matutunghayan mo sa bahaging ito ang mga digmaang kinasangkutan ng Greece.
  • 26.
    135 Halaw sa Kasaysayanng Daigdig, Batayang Aklat sa Araling Panlipunan Ikatlong Taon nina Mateo et. al. pp 117-118 Ang Banta ng Persia Hangarin ng Persia na palawakin ang imperyo nito sa kanluran. Noong 546 B.C.E., sinalakay ni cyrus the Great ang Lydia sa Asia Minor. Ipinagpatuloy ni Darius I, ang nagmana ng trono ni cyrus the Great, ang hangaring ito. Noong 499 B.C.E., sinalakay niya ang mga kalapit na kolonyang Greek. Nagpadala ng tulong ang Athens ngunit natalo ang mga kolonyang Greek sa labanang pandagat sa Miletus noong 494 B.C.E. Bagamat natalo ang puwersa ng Athens, nais ni darius na parusahan ang lungsod sa ginawang pagtulong at gawin itong hakbang sa pagsakop a Greece. Bilang paghahanda sa napipintong pananalakay ng Persia, sinimulan ng Athens ang pagpapagawa ng isang plota o fleet na pandigma. Ang Digmaang Graeco- Persia (499-479 B.C.E.) Ang unang pagsalakay ng Persia sa Greece ay naganap noong 490 B.C.E. sa ilalim ni Darius. Tinawid ng plota ng Persia ang Aegean Sea at bumaba sa Marathon , isang kapatagan sa hilagang-silangan ng Athens. Tinalo ng 10, 000 puwersa ng Athens ang humigit-kumulang 25,000 puwersa ng Persia. Ipinagpatuloy ni Xerxes, anak ni Darius ang tangkang pagpapabagsak sa Athens. Noong B.C.E., isang madugong labanan ang naganap sa Thermopylae, isang makipot na daanan sa gilid ng bundok at ng silangang baybayin ng Central Greece. Pitong libong Greek, tatlong daan sa mga ito ay taga- Sparta sa ilalim ni Leonidas ang nakipaglaban sa puwersa ni Xerxes. Noong una, inakala ni Xerxes na madali niyang malulupig ang mga Greek. Hindi niya inasahan ang katapangan at kahusayan ng mga taga- Sparta sa pakikipagdigma. Sa loob ng tatlong araw, dumanak ang dugo ng mga taga Persia. Subalit ipinagkanulo ng isang Greek ang lihim na daanan patungo sa kampo ng mga Greek. Pinayuhan ni Leonidas ang mga Greek na lumikas habang ipinagtatanggol ng kanyang puwersa ang Thermopylae. Sa harap ng higit na maraming puwersa ni Xerxes, namatay ang karamihan sa tropa ni Leonidas. Sinalakay at sinakop ni Xerxes ang Athens. Subalit dinala ni Themistocles ang labanan sa dalampasigan ng pulo ng Salamis kung saan ang dagat ay lubhang makipot. Nahirapang iwasan ng malaking barko ni Xerxes ang maliliit na barko ng Athens na pilit na binabangga ang mga ito hanggang sa mabutas. Isa-isang lumubog ang plota ng Persia. Ang nalalabing hukbo ni Xerxes ay tinalo ng mga alyansa ng mga lungsod-estado ng Greece sa pamumuno ni Pausanias ng Sparta. Kabilang sa alyansang ito ang Athens, Sparta, Corinth, at Megara. Larawan 1.4. Paglalarawan ng Digmaang Graeco-Persia Ano ang dahilan ng pagtatagumpay ng Greek laban sa malaking puwersa ng Persia? Ipaliwanag. ______________________ ______________________ ______________________ ______________________ ______________________ ______________________. http://althistory.wikia.com/wiki/Greek _Glory?file=GRECO-PERSIAN- WARS.gif
  • 27.
    136 Mapa 1.3 Lokasyonng Digmaang Peloponnesian Digmaang Peloponnesian Nais ni Pericles na manatili ang kapayapaan di lamang sa Athens kundi maging sa mga kalapit nitong mga lungsod-estado at maging sa Persia. Habang umuunlad ang Athens, lumawak din ang kanilang kapangyarihan sa kalakalan. Ito ang naging dahilan kung bakit sa panahon ng Delian League ay naging isang imperyo ang Athens. Hindi lahat ng lungsod-estado ay sumang-ayon sa ginawa ng Athens na pagkontrol sa Delian League subalit wala silang nagawa upang umalis sa alyansa. Kayat ang mga lungsod-estado na kasapi sa Delian League tulad ng Sparta, Corinth at iba pa ay nagtatag ng sarili nilang alyansa sa pamumuno ng Sparta at tinawag itong Peloponnesian League. Noong 431 B.C.E., nilusob ng Sparta ang mga karatig pook ng Athens na naging simula ng Digmaang Peloponnesian. Batid ni Pericles na mahusay na mandirigma sa lupa ang mga Spartan kung kayat iniutos niya ang pananatili ng mga Athenian sa pinaderang lungsod. Samantala, inatasan niya ang sandatahang lakas ng Athens na lusubin sa karagatan ang mga Spartan. Ngunit sinawing-palad na may lumaganap na sakit na ikinamatay ng libo-libong tao, kasama na si Pericles, noong 429 B.C.E. Lahat ng mga pumalit kay Pericles ay hindi nagtagumpay dahilan sa mga mali nilang mga desisyon. Isa na rito si Alcibiades. Matapos siyang akusahan ng mga Athenian na lumalabag sa paniniwalang panrelihiyon, tumakas siya patungong Sparta upang iwasan ang pag-uusig sa kanya. Doon siya ay naglingkod laban sa kanya mismong mga kababayan. Di naglaon bumalik din si Alcibiades sa Athens at siya ay pinatawad at binigyang-muli ng pagkakataong pamunuan ang sandatahang lakas ng Athens. Bagamat naipanalo niya ang ilang laban nila sa Sparta, lubhang malakas ang mga Sparta at noong 404 B.C.E., sumuko ang mga Athenian. Bilang ganti, ipinapatay ng mga Spartan si Alcibiades. Ang dalawampu’t pitong taong Digmaan ng Peloponnesian ay isang malaking trahedya para sa Greece. Nagkaroon ng malawakang pagkawasak ng ari-arian at pagkamatay ng mga tao. Lumala rin ang suliranin sa kawalan ng hanapbuhay, pagtaas ng presyo ng mga bilihin, at kakulangan sa pagkain. Halaw sa Project EASE Modyul 4: Ang Pag-usbong ng Sibilisasyong Greece pp. 31-32 Ano ang epekto sa Greece ng hidwaan at digmaan sa pagitan ng mga lungsod-estado nito? Ipaliwanag ______________________________ ______________________________ ______________________________ ______________________________ _____________________________. Karagdagang Babasahin: Kasaysayan ng Daigdig, Batayang Aklat sa Araling Panlipunan Ikatlong Taon nina Mateo et.al. pp 119 http://en.wikipedia.org/wiki/Peloponnesian _War
  • 28.
    137 Gawain 9. A-K-BChart Panuto: Punan ang diagram ng kinakailangang impormasyon batay sa binasang teksto. Pamproseng Tanong 1. Ano ang pinakamahalagang kontribusyon ng mga Spartan at Athenian sa daigdig? 2. Alin sa sumusunod na kontribusyon ang may kaugnayan sa kasalukuyan? Patunayan. Digmaang Kinasangkutan ng Sinaunang Greece Aktor (Sino ang magkalaban?) Kaganapan (Anu-ano ang mga mahahalagang pangyayari?) Bunga (Ano ang resulta ng digmaan?)
  • 29.
    138 Gawain 10. Magbasaat Matuto. Basahin at unawain ang teksto tungkol Ginintuang Panahon ng Athens. Ginintuang Panahon ng Athens Noong 461 B.C.E., si Pericles, isang strategos o heneral na inihalal ng mga kalalakihang mamamayan ang namuno sa Athens. Taon-taon ay nahahalal si Pericles hanggang sa sumapit ang kaniyang kamatayan noong 429 B.C.E. Sa loob ng mahabang panahon ng kaniyang panunungkulan, maraming pinairal na mga programang pampubliko si Pericles. Lahat ay naglalayong gawing pinakamarangyang estado ang Athens. Nais ni Pericles na lumawak pa ang umiiral na demokrasya sa Athens kung kaya’t dinagdagan niya ang bilang ng mga manggagawa sa pamahalaan at sinuwelduhan niya ang mga ito. Lahat ng mamamayan ay nagkaroon pagkakataong makapagtrabaho sa pamahalaan mayaman man o mahirap. Kaya di nagtagal mga ikatlong bahagi (1/3) ng populasyon ng Athens ay bahagi na ng mga gawain ng pamahalaan. Ngunit hindi lahat ay nasiyahan sa mga repormang ipinatupad ni Pericles. Para sa mayayaman ang ginawa niyang mga pagbabago ay magdudulot ng pagkalugi sa pamahalaan at maghihikayat ng katamaran sa mga ordinaryong mamamayan. Ipinagtanggol niya ang kanyang mga ginawang pagbabago sa pamamagitan ng pagbibigay ng isang pahayag na naitala naman ni Thucydides, na isang historyador. Ayon kay Pericles “Ang ating konstitusyon ay isang demokrasya sapagkat ito ay nasa mga kamay ng nakararami at hindi ng iilan.” Mahalaga ang edukasyon para sa mga Athenian. Ang mga lalaki ay pinag-aaral sa mga pribadong paaralan kung saan sila ay natuto ng pagbasa, matematika, musika,at mga obra ni Homer na Iliad at Odyssey. Hinikayat din silang talakayin ang sining, politika at iba pang usapin. Ang palakasan ay bahagi rin ng kanilang pag-aaral. Sa edad na 18 taong gulang, ang mga lalaki ay nagsasanay sa militar ng 2 taon at pagkatapos ay maaari nang maging mamamayan ng Athens at makibahagi sa pamahalaan nito. Samantala, ang mga kababaihan ay itinuring na mas mababa sa mga kalalakihan. Hindi sila nabigyan ng pagkamamamayan at hindi maaaring makibahagi sa pamahalaan. Hindi rin sila maaaring magmay-ari. Ang kanilang buhay ay umiikot sa mga gawaing bahay at pag-aalaga ng mga anak. Sa edad na 14-16 sila ay ipinakakasal sa mga lalaking napili ng kanilang mga magulang. Pagsasaka ang karaniwang ikinabubuhay ng mga Athenian. Ang mga ani ay kanilang kinakain. Ang mga sobrang produkto ay ipinapalit nila ng iba pang kagamitang pambahay. Bagamat marangya at magarbo ang ang mga gusaling pampubliko, ang mga tahanan naman ay simple lamang, maging ito ay pag-aari ng mayayaman o karaniwang tao. Sa kabuuan, simple lamang ang naging pamumuhay sa sinaunang Greece.Ngunit mula sa simpleng pamumuhay na ito ay lumitaw ang pinakamahuhusay na artista, manunulat, at mga pilosopo na tinitingala sa sandaigdigan hanggang sa ating makabagong panahon. Ang may-akda ng mga natatanging pilosopong Greek sa larangan ng politika ay kinilala sa mundo tulad ng The Republic ni Plato at Politics ni Aristotle. Maging sa larangan ng arkitektura ay nakilala ang mga Greek. Kahangahanga ang arkitektura ng mga templo. Ang ilan dito ay matatagpuan sa Athens, Thebes, Corinth, at iba pang siyudad. Ang tatlong natatanging estilo na Ionian, Doric, at Corinthian ay naperpekto nila nang husto.
  • 30.
    139 Ang pinakamagandang halimbawaay ang Parthenon, isang marmol na templo sa Acropolis sa Athens. Ito ay itinayo nina Ictinus at Calicrates at inihandog kay Athena, ang diyosa ng karunungan at patrona ng Athens. Ilan sa mga labi ng iskulturang Greek ay matatagpuan din sa mga templo ng Crete, Mycenaea, at Tiryus. Ang pinakadakilang Greek na iskultor ay si Phidias. Ang estatwa ni Athena sa Parthenon at ni Zeus sa Olympia ay ilan lamang sa mga obra maestra niya. Ilan pang mga natatanging iskultura ay ang Collossus of Rhodes ni Chares at Scopas ni Praxiteles na parehong itinanghal na Seven Wonders of the Ancient World. Kinilala rin ang kontribusyon ni Herodotus sa larangan ng kasaysayan. Ang kanyang mga paglalakbay sa Asya at Sparta ay nakatulong upang maging obra maestro niya ang Kasaysayan ng Digmaang Persian. Tinawag siyang Ama ng Kasaysayan. Sinundan ito ng isa pang historyador, si Thucydides. Ilan sa mga isinulat niya ay ang Anabis, isang kuwento ng sikat na martsa ng mga Greek mula sa Babylonia hanggang Black Sea at Memorabilia na kalipunan ng mga kuwento ng guro niyang si Socrates. Nagkaroon din ng kaalaman sa makabagong medisina sa sinaunang Greece. Ang pinakadakilang Greek na manggagamot ay si Hippocrates na kinilala bilang Ama ng Medisina. Itinaas niya ang larangan ng medisina bilang agham at hindi bunga ng mahika. Marami ring Greek ang kinilala at dinakila dahil sa kanilang naging ambag sa larangan ng agham at pilosopiya. Ang kauna- unahang pilosopiya ay ipinakilala ni Thales ng Militus. Ayon sa kaniya ang sandaigdigan ay nagmula sa tubig, ang pangunahing elemento ng kalikasan. Samantala si Pythagoras naman ang nagpasikat ng doktrina ng mga numero kung saan sinasabi niya na ang bilang na tatlo, lima at pito ay maswerteng mga numero. Ilang dekada matapos ang Digmaang Persian, isang pangkat ng mga guro na tinatawag na mga Sophist ang sumikat sa Athens. Nagpakilala sila ng pagbabago sa mga umiiral na pilosopiya. Ayon sa kanila maaaring turuan ang mga tao na gumawa ng magagandang batas, makapagsalita, at makipagdebate sa mga Asembleya. Maraming Athenian ang tumuligsa sa mga pilosopiya ng mga Sophist. Isa na rito ay si Socrates. Ayon sa kaniya mahalaga na kilalanin mo ang iyong sarili (know thyself). Ayon sa kaniya dapat na patuloy na magtanong ang mga tao hinggil sa mga bagay-bagay upang matiyak kung sila ay may mga kasagutan sa mga katanungang ito. Ang pamamaraang ito ay kinikilala ngayon na Socratic Method. Di nagustuhan ng mga Athenian ang ginawang pagtatanong ni Socrates lalo na ang mga tungkol sa mga diyos-diyosan at ilang patakaran ng Athens. Dahilan dito siya ay nakulong at nahatulan ng kamatayan. Ngunit bago pa siya naparusahan, siya ay nagpakamatay sa pamamagitan ng paglason sa sarili. Ang lahat ng mga ideya ni Socrates ay hindi niya naisulat. Si Plato, ang kaniyang pinakasikat na mag-aaral, ang nagsumikap na maitala ang lahat ng dayalogo sa pagitan ng dalawa o mas higit pang tauhan. Ang pinakatanyag ay ang Republic, isang talakayan tungkol sa katangi- tanging polis at ang uri ng pamahalaan na makapagbibigay ng kaligayahan sa mga mamamayan nito. Samantala, si Aristotle, ang pinakamahusay na mag-aaral ni Plato, ay nagpakadalubhasa sa pag-aaral ng halaman, hayop, astronomiya, at pisika na pawang nangangailangan ng masusing pagmamasid. Ayon sa kaniya, ang alinmang teorya ay maaari lamang tanggapin kung ito ay batay sa masusing pagmamasid ng mga katotohanan. Kinilala si Aristotle na Ama ng Biyolohiya. Ilan sa mga tanyag niyang aklat ay ang Poetic, isang pagsusuri sa mga iba’t ibang dula- dulaan, ang Rhetoric na nagsasabi kung paano dapat ayusin ng isang nagtatalumpati ang kanyang talumpati, at ang Politics kung saan tinalakay ng mga mamamayan ang iba’t ibang uri ngpamahalaan. Halaw sa Project EASE Modyul 4, Ang Pag-usbong ng Sibilisasyong Griyego.
  • 31.
    140 Gawain 11. Talahanayan,Punan Mo. Panuto: Mula sa binasang teksto tungkol sa ginintuang panahon ng Athens, buuin ang talahanayan ng mga ambag ng Greece sa iba’t ibang larangan. Larangan Ambag Kahalagahan Pamprosesong Tanong 1. Ano ang epekto ng kabihasnang Greece sa kasalukuyang panahon? 2. Alin sa mga nabanggit na kontribusyon ang may pinakamalawak na epekto sa pamumuhay ng mga Pilipino? Patunayan.
  • 32.
    141 Gawain 12. Magbasaat Matuto Panuto: Basahin at unawain ang nilalaman ng sumusunod na teksto tungkol sa paglakas ng Imperyong Macedonia at pagbagsak ng mga lungsod-estado ng Greece. . Imperyong Macedonian Hinangad ni Philip, hari ng Macedonia , na pag-isahin ang mga lungsod-estado sa Greece sa ilalim ng kanyang pamamahala. Upang matupad ang kaniyang hangarin, bumuo siya ng isang hukbo at sinanay sa pinakamabisang paraan ng pakikipagdigma. Bilang pagtatanggol ng kanilang kalayaan, sinalakay ng magkasanib na puwersa ng Athens at ng Thebes ang Macedonia noong 338 B.C.E. Madaling tinalo ni Philip ang hukbo ng dalawang lungsod-estado.Ang pagkatalo ng Athens at Thebes ay hudyat ng pagtatapos ng kapangyarihan ng mga lungsod-estado. Ang buong Greece, maliban sa Sparta, ay napasailalim sa kapangyarihan ng Macedonia. Naging tanyag na pinuno ng Macedonia ang anak ni Philip na si Alexander the Great. Noong siya ay bata pa lamang, naging guro niya si Aristotle na nagturo sa kaniya ng pagmamahal sa kultura at karunungan. Habang lumalaki, natutuhan niya ang kagalingan sa pakikipagdigma. Siya ay 21 taong gulang nang mamatay ang kanyang ama at naging hari ng Macedonia at Greece. Matalino, malakas ang loob at magaling na pinuno si Alexander. Sinalakay niya ang Persia at Egypt at pagkatapos ay tumungo sa silangan at sinakop ang Afghanistan at hilagang India. Nagtatag siya ng imperyo na sumakop sa kabuuan ng kanlurang Asya, Egypt, at India. Pinalaganap niya ang kaisipang Greek sa silangan. Noong 323 B.C.E., sa gulang na 32 taon namatay si Alexander sa Babylon sa hindi matiyak na karamdaman. Gabay na Tanong 1. Ano ang dahilan ng paghina ng mga lungsod-estado ng Greece? 2. Ano ang nagbigay-daan sa paglakas ng Macedonia? 3. Ano ang maituturing na kontribusyon ng Imperyong Macedonia sa mundo? Halaw mula sa Kasaysayan ng Daigdig, Batayang Aklat sa Araling Panlipunan, Ikatlong Taon nina Mateo et. al. pahina 119-120 http://upload.wikimedia.org/wikipedia/comm ons/a/ac/BattleofIssus333BC-mosaic- detail1.jpg Larawan 1.5 Paglalarawan kay Alexander the Great
  • 33.
    142 GAWAIN 13: GREECE…SAISANG TINGIN Panuto: Punan ang word map ng maikling pagpapaliwanag tungkol sa bawat konseptong tumutukoy sa Kabihasnang Greece. Matapos punan ang word map ay sagutin ang tanong sa kahon. Sinaunang Kabihasnang Greece Heograpiya Politika Ekonomiya Pilosopiya Sining at Arkitektura Agham at Teknolohiya Bakit itinuturing na isang Kabihasnang Klasikal ang Kabihasnang Greek? ___________________________________________________________________ ___________________________________________________________________ ___________________________________________________________________ ___________________________________________________________________ ___________________________________________________________________ ___________________________________________________________________ ___________________________________________________________________ ___________________________________________________________________ ___________________________________________________________________ ___________________________________________________________________ ___________________________________________________________________
  • 34.
    143 Suriin ang timelineng kasaysayan ng Imperyong Roman. Magagamit itong gabay sa mga susunod na pagtalakay. Sa pagkamatay ni Alexander the Great, unti-unting humina ang malawak na imperyong kanyang naitatag. Sa kabilang dako naman ng kanlurang Europe, isang pamayanan ang unti-unting namumukadkad. Ito ay ang Rome. Kung ang Greece ay kilala sa taguring “the glory that was Greece” makikilala ang Rome sa taguring “the grandeur that was Rome”. Ano kaya ang kahulugan nito? Halina’t iyong tuklasin. 27 B.C.E Nagsimula ang Pax Romana sa pamumuno ni Augustus 450 B.C.E Naging pundasyon ng batas ng mga Romans ang Twelve Tables 264 B.C.E. Sumiklab ang Punic War 202 B.C.E. Natalo ng mga Romans si Hannibal 45 B.C.E Naging diktador ng Rome si Julius Caezar 180 C.E. Nagtapos ang Pax Romana 306 C.E. Naging emperador ng imperyo si Constantine 750 B.C.E 500 B.C.E 250 B.C.E 500 A.D.250 C.E1 C.E. 509 B.C.E. Itinatag ang Roman Republic 284 C.E. Hinati ni Diocletian ang imperyong Rome 476 C.E. Nagtapos ang imperyong Romano sa Kanluran Pigura 1.2 Timeline ng mga pangyayari sa Imperyong Rome.
  • 35.
    144 Gawain 14. Magbasaat Matuto. Panuto: Basahin at unawain ang teksto tungkol sa Kabihasnan ng Rome. . Ang Italy ay isang bansang matatagpuan sa kanlurang Europe. Ito ay isang peninsula na nakausli sa Mediterranean Sea. Katulad ng Greece, ang Italy ay binubuo ng maraming kabundukan at ilang mga kapatagan. Isang mahalagang kapatagan ang Latium. Ang Ilog Tiber ay dumadaloy sa kapatagang ito. May ilang bakas ng sinaunang kabihasnan sa kapatagan ng Latium at sinasabing dito umusbong ang dakilang lungsod ng Rome. Masasabing istratehiko ang lokasyon ng Rome dahil sa Ilog Tiber na nag-uugnay dito at sa Mediterranean Sea. Ang lokasyong ito ay nagbigay-daan sa pakikipagkalakalan ng Rome sa mga bansang nakapalibot sa Mediterranean Sea. Ang saganang kapatagan at maunlad na agrikultura ay kayang suportahan ang pagkakaroon ng malaking populasyon. Ano ang kaugnayan ng heograpiya sa pag-usbong ng Rome bilang isang matatag na lungsod? __________________________________ __________________________________ __________________________________ __________________________________ __________________________________ Mapa 1.4. Lokasyon ng Kabihasnang Rome
  • 36.
    145 Ang Rome ayitinatag sa kalagitnaan ng ikawalong siglo B.C.E. ng mga unang Roman na nagsasalita ng Latin, isang sangay ng wikang nabibilang sa Indo- Europeo. Sila ay lumipat sa gitnang Italy at nagtayo ng sakahang pamayanan sa Latium Plain. Ayon sa isang matandang alamat ang Rome ay itinatag ng kambal na sina Romulus at Remus. Habang mga sanggol pa lamang, inilagay sila sa isang basket at ipinaanod sa Tiber River ng kanilang amain sa takot na angkinin ng kambal ang kaniyang trono. Ang kambal ay sinagip at inaruga ng isang babaing lobo. Nang lumaki ang dalawa at nalaman ang kanilang pinagmulan, inangkin nila ang trono at itinatag ang Rome sa pampang ng Tiber River noong 753 B.C.E. Ang mga Roman ay tinalo ng mga Etruscan, ang kalapit na tribo sa hilaga ng Rome. Sila ay magagaling sa sining, musika, at sayaw. Dalubhasa rin sila sa arkitektura, gawaing metal, at kalakalan . Tinuruan nila ang mga Roman sa pagpapatayo ng mga gusaling may arko, mga aqueduct, mga barko, paggamit ng tanso, paggawa ng mga sandata sa pakikipagdigma, pagtatanim ng ubas, at paggawa ng alak. Paano nagsimula ang Rome? __________________________________ __________________________________ __________________________________ __________________________________ __________________________________ __________________________________ __________________________________ __________________________________ __________________________________ Halaw sa Kasaysayan ng Daigdig, Batayang Aklat sa Araling Panlipunan, Ikatlong Taon nina Mateo et. al. pahina 126-127 http://upload.wikime dia.org/wikipedia/co mmons/6/6a/She- wolf_suckles_Romul us_and_Remus.jpg Ang Simula ng Rome 1 3 2 4
  • 37.
    146 Ang Republikang Romano Sang-ayonsa tradisyon, pinaalis ng mga Roman ang punong Etruscan at nagtayo ng Republika, isang pamahalaang walang hari. Noong 509 B.C.E, namuno si Lucius Junius Brutus at nagtagumpay sa pagtataboy sa mga Etruscan. Pagkatapos maitaboy ang huling haring Etruscan na si Tarquinius Superbus, itinatag ni Lucius Junius Brutus ang isang Republika. Tumagal ito mula 509 hanggang 31 B.C.E. Sa halip na pumili ng hari, naghalal ang mga Roman ng dalawang konsul na may kapangyarihang tulad ng hari at nanungkulan sa loob lamang ng isang taon. Bawat isa ay may kapangyarihang pigilin ang pasya ng isa. Dahil sa pagkakahati ng kapangyarihan ng mga konsul, humina ang sangay tagapagpaganap. Sa oras ng kagipitan, kinakailangang pumili ng diktador na manunungkulan sa loob lamang ng anim na buwan. Nagtatamasa ang diktador ng higit na kapangyarihan kaysa mga konsul. Republika lamang sa pangalan ang mga pamahalaan dahil laan lamang ito sa mga maharlika o patrician. Pawang mga patrician ang dalawang konsul, ang diktador at ang lahat ng kasapi ng senado. Mga kapos sa kabuhayan ang plebeian at kasapi ng Assembly na binubuo ng mga mandirigmang mamamayan. Walang kapangyarihan ang plebeian at hindi rin makapag-aasawa ng patrician. Halaw sa Kasaysayan ng Daigdig, Batayang Aklat sa Araling Panlipunan, Ikatlong Taon nina Vivar et. al. pahina 92. Batay sa binasang teksto, ilarawan ang mga sumusunod na bahagi ng Republikang Romano. konsul- _________________ _______________________ _______________________ diktador- ________________ _______________________ _______________________ Patrician- _______________ _______________________ _______________________ Plebeian- ______________ _______________________ _______________________ Para sa karagdagang kaalaman, basahin ang Kasaysayan ng Daigdig, Batayang Aklat sa Araling Panlipunan, Ikatlong Taon nina Mateo et. al. pahina 127
  • 38.
    147 Tagumpay ng PlebeianLaban sa Patrician. Ayon sa kasaysayan, nagsimulang maghimagsik ang mga plebeian noong 494 B.C.E. upang magkamit ng pantay na karapatan. Nagmartsa sila sa buong Rome at lumikas sa kalapit na lugar na tinaguriang Banal na Bundok. Doon sila nagbalak magtayo ng sariling lungsod. Sa takot ng mga patrician na mawalan ng mga manggagawa, sinuyo nila ang mga plebeian upang itigil ang kanilang balak sa pamamagitan ng pagpapatawad sa dati nilang utang; pagpapalaya sa mga naging alipin nangg dahil sa pagkakautang; at ang paghahalal ng mga plebeian ng dalawang mahistrado o tribune na magtatanggol ng kanilang karapatan. May karapatan ang tribune o mahistrado na humadlang sa mga hakbang ng senado na magkasama sa mga plebeian. Kapag nais hadlangan ng isang tribune ang isang panukalang-batas, dapat lamang niyang isigaw ang salitang Latin na veto! (Tutol Ako!). Sa loob ng isang siglo at kalahati, nagkaroon ng higit na maraming karapatan ang plebeian. Noong 451 B.C.E, dahil sa mabisang kahilingan ng mga plebeian, nasulat ang mga bataas sa 12 lapidang tanso at inilagay sa rostra ng forum upang mabasa ng lahat. Ang 12Tables ang kauna-unahang nasusulat na batas sa Rome at naging ugat ng Batas Roman. Sa pamamagitan nito, nabawasan ang panlilinlang sa mga plebeian at napagkalooban sila ng karapatang makapg- asawa ng patrician, mahalal na konsul, at maging ksapi ng Senado. Halaw sa Kasaysayan ng Daigdig, Batayang Aklat sa Araling Panlipunan, Ikatlong Taon nina Vivar et. al. pahina 92. Para sa karagdagang kaalaamn, basahin ang Kasaysayan ng Daigdig, Batayang Aklat sa Araling Panlipunan, Ikatlong Taon nina Mateo et. al. pahina 127-128 Ano ang kahalagahan ng pagkakaroon ng nakasulat na batas para sa mga plebeian? _________________________ _________________________ _________________________ _______________________ Magbigay ng halimbawa ng pangyayari sa kasalukuyang panahon na maihahalintulad sa tinahak ng mga plebeian upang matamo ang kanilang karapatan. Ipaliwanag _________________________ _________________________ _________________________ _______________________ Sa kasalukuyan, nabibigyan din ba ng kahalagahan ang kapakanan ng mga karaniwang tao? Patunayan _________________________ _________________________ _________________________ _______________________
  • 39.
    148 Paglaganap ng Kapangyarihanng Rome Lumaganap ang kapangyarihan ng Rome sa buong Italy matapos ang sunud- sunod na digmaan mula pa noong 490 B.C.E. Nasakop ang mga Latino, mga Etruscan at iba pang pangkat tulad ng Hernici, Volscian, Sabine at Samnite. Matapos masakop ang gitnang Italy, isinunod ang lungsod-estado ng Greece sa timog. Naganap ang unang sagupaan ng Rome at Greece sa Heraclea, Italy noong 280 B.C.E. Nagwagi Ang Greece dahil tinulungan si Haring Pyrrhus ng Espirus ng kaniyang pinsang si Alexander the Great at dahil din sa paggamit ng mga elepanteng kinatatakutan ng mga mandirigmang Romano. Bagamat nagtagumpay si Haring Pyrrus, marami sa kaniyang tauhan ang nalipol, kung kaya sa ngayon, ang isang napakamahal na tagumpay ay tinaguriang Pyrric Victory. Hindi nagtagal, nagapi si Haring Pyrrhus noong 275 B.C.E sa Beneventum, Italy. Rome ang naging reyna ng peninsula ng Italy. Ang tagumpay ng isang labanan ay hindi lamang nangangahulugan ng panalo ng Roman at pagtatamo ng kabantugang militar. Kadalasan, naging kaanib ng Rome ang nagaping kaaway at magiging kolonya ng Rome ang nasakop na teritoryo. Ang mga hukbong nagapi ay nagiging karagdagang mandirigma para sa hukbong Roman. Sa ganitong sistema unti-unting lumaganap ang kapangyarihan ng Rome magmula sa ilog Tiber hanggang sa kabuuan ng Italy. Sumasakop ang teritoryong Roman mula sa Ariminium at Pisa sa hilaga hanggang sa Kipot ng Messina sa timog. Sa kabila ng 16 na kilometrong kipot na ito, nakaharap ng mga Roman sa Sicily ang naging pinakamabigat na kaaway nito- ang mga Carthagenian. Halaw sa Kasaysayan ng Daigdig, Batayang Aklat sa Araling Panlipunan, Ikatlong Taon nina Vivar et. al. pahina 93 Mula sa binasang teksto, isa-isahin ang pangyayaring nagbigay-daan sa paglaganap ng Kapangyarihan ng Rome. ___________________________ ___________________________ ___________________________ ___________________________ ___________________________ ___________________________ ___________________________ ___________________________ ___________________________ ___________________________ ___________________________ ___________________________ ___________________________ ___________________________ ___________________________ ___________________________ ___________________________ ___________________________ ___________________________ ___________________________ Para sa karagdagang kaalaman, basahin ang Kasaysayan ng Daigdig, Batayang Aklat sa Araling Panlipunan, Ikatlong Taon nina Mateo et. al. pahina 128.
  • 40.
    149 Digmaang Punic Nagdulot ngsuliranin sa Carthage ang pananakop ng Rome sa bahaging timog ng Italy. Nagisismula pa lamang ang Carthage noon na maging makapangyarihan sa kanlurang bahagi ng Mediterranean. Itinatag ang Carthage (Tunis ngayon) ng mga Phoenician mula sa Tyre noong 814 B.C.E. Nang sakupin ng Persia ang Tyre, naging malaya ang Carthage at nagtatag ito ng imperyong komersyal na nasasakop ng hilagang Africa, silangang bahagi ng Spain, pulo ng Corsica, Sardinia at Sicily. Nasubok ang kapangyarihan ng Rome at Carthage sa tatlong Digmaang Punic- salitang Latin na nagmula sa pangalang Phoenicia. Sa digmaang ito napagpasyahan kung sino ang mamumuno sa Mediterranean. Sa simula makapangyarihan ang Carthage sa dagat bagaman pawang upahan ang mga mandirigma nito dahil sa maliit na populasyon. Ang mga Roman naman sa simula ay walang hukbong pandagat ni karanasan sa digmaang pandagat. Sa simula makapangyarihan ang Carthage sa dagat bagaman pawang upahan ang mga mandirigma nito dahil sa maliit na populasyon. Ang mga Roman naman sa simula ay walang hukbong pandagat ni karanasan sa digmaang pandagat. http://upload.wikimedia.org/ wikipedia/commons/7/79/First_Punic _War_264_BC.png Halaw sa Kasaysayan ng Daigdig, Batayang Aklat sa Araling Panlipunan, Ikatlong Taon nina Vivar et. al. pahina 94 2 3 1Mapa 1.5 Lokasyon ng Digmaang Punic
  • 41.
    150 Digmaang Punic Mahahalagang Pangyayari Kinahinatnan Unang Digmaang Punic(264- 241 B.C.E)  Bagamat walang malakas na plota, dinaig ng Rome ang Carthage noong 241 B.C.E.  Nagpagawa ang Rome ng plota at sinanay ang mga sundalo nito na maging magagaling na tagapagsagwan.  Bilang tanda ng pagkakapanalo ng Rome, sinakop nito ang Sicily, Sardinia at Corsica  Nanalo ang Rome laban sa Carthage. Ikalawanag Digmaang Punic (218- 202 B.C.E)  Nagsimula ito noong 218 B.C.E. nang salakayin ni Hannibal, ang heneral ng Carthage, ang lungsod ng Saguntum sa Spain na kaalyado ng Rome.  Mula Spain, tinawid ni Hannibal ang timog Frane kasama ng mahigit na 40, 000 sundalo.  Tinawid din nila ang bundok ng Alps upang makarating sa Italy.  Tinalo ni Hannibal ang isang malaking hukbo ng Rome saCannae noong 216 B.C.E. subalit hindi naghangad si Hannibal na salakayin ang Rome nang hindi pa dumarating ang inaasahang puwersa na manggagaling sa Carthage.  Sa ilalim ng pamumuno ni Scipio Africanus, sinalakay ng mga Roman ang hilagang Africa upang  Natalo si Hannibal sa labanan sa Zama noong 202 B.C.E.  Sa isang kasunduang pangkapayapaan noong 201 B.C.E, pumayag ang Carthage na siraon ang plota nito, isuko ang Spain, at magbayad ng buwis taon-taon sa Rome
  • 42.
    151 pilitin si Hannibalna iwan ang Italy at tumungo sa Carthage upang sagipin ang kaniyang mga kababayan. Ikatlong Digmaang Punic (149- 146 B.C.E)  Matapos ang 50 taon, naganap ang Ikatlong Digmaang Punic.  Mahalaga ang papel ni Marcus Porcius Cato, isang pinuno at manunulat na Roman, sa pagsiklab ng digmaan. Sa kanyang pagbisita sa Carthage, nakita niya ang kasaganahan at luho ng pamumuhay rito. Batid niyang malakas ang Carthage at nananatili itong banta sa seguridad ng Rome. Pagbalik sa Rome, itinanim niya sa isipan ng Senate at publiko na dapat wasakin ang Carthage.  Nang salakayin ng Carthage ang isang kaalyado ng Rome, sinalakay ng Rome ang Carthage. Sinunog nito ang lungsod at ipinagbili ang mga mamamayan bilang alipin.  Muling natalo ang Carthage sa digmaan.  Kinuha ng Rome ang lahat ng pag- aari ng Carthage sa Hilagang Africa Bakit mahalaga par pagkontrol sa Mediterra Ano ang dahilan ng p naganap na Digmaang Paano nakabuti sa R laban sa Carthage? Tagumpay sa Pagkatap pumunta sa sila Macedonia ay n ang Corinth at pangangasiwa n Mula 13 lupain. Sa pags ay nasakop ng n ang Mediterrane Halaw sa Kasaysa nina Mateo et. a Kabihasnang Roman Sa pagsakop ng Rome sa mga lungsod-estado ng Greece, libo-libong Greek ang tumungo sa Italy. Tinangay din ng mga heneral ng Rome ang mga gawang sining at aklat ng Greece sa pagbabalik nila sa Rome. Kumalat ang kabihasnang Greece sa Rome at maraming Roman ang tumungo sa Athens para mag-aral. Naimpluwensiyahan ng Greece ang kabihasnang nabuo sa Rome. Gayunpaman, may sariling katangian ang kabihasnang Roman. Pangunahin na rito ang kaalaman sa
  • 43.
    152 http://ancientworld2009.wikispaces.com/file/view /coliseum.jpg/92540006/coliseum.jpg Inhenyeriya Ipinakita ng mga Romanang kanilang galing sa inhenyeriya. Nagtayo sila ng mga daan at tulay upang pag-ugnayin ang buong imperyo kabilang ang malalayong lugar. Marami sa mga daan na ginawa nila noon ay ginagamit pa hanggang ngayon. Isang halimbawa ang Appian Way na nag-uugnay sa Rome at timog Italy. Gumawa rin sila ng mga aqueduct upang dalhin ang tubig sa lungsod. Arkitektura Ang mga Roman ang tumuklas ng semento. marunong na rin silang gumamit ng stucco, isang plaster na pampahid at pantakip sa labas ng pader. Umaangkat sila ng marmol mula sa Greece. Ang arch na natutuhan ng mga Roman mula sa mga Etruscan ay ginagamit sa mga temple, aqueduct, at iba pang mga gusali. Ang gusali na ipinakilala ng mga Roman ay ang basilica, isang bulwagan ng nagsisilbing korte at pinagpupulungan ng Pananamit Dalawa ang kasuotan ng mga lalaking Roman. Ang tunic ay kasuotang pambahay na hanggang tuhod. Ang toga ay isinusuot sa ibabaw ng tunic kung sila ay lumalabas ng bahay. Ang mga babaeng Roman ay dalawa rin ang kasuotan. Ang stola ay Kabihasnang Roman Batas Ang mga Roman ay kinikilala bilang pinakadakilang mambabatas ng sinaunang panahon. Ang kahalagahan ng Twelve Tables ay ang katotohanan na wala itong tinatanging uri ng lipunan. Ito ay batas para sa lahat, patrician o plebeian man. Ito ang ginamit upang alamin ang mga krimen at tantiyahin ang kaukulang parusa. Nakasaad dito ang mga karapatan ng mga mamamayan at ang pamamaraan ayon sa batas. Panitikan Ang panitikan ng Rome ay nagsimula noong kalagitnaan ng ikatlong siglo B.C.E. Subalit ang mga ito ay salin lamang ng mga tula at dula ng Greece. Ang halimbawa ay si Livius Andronicus na nagsalin ng Odyssey sa Latin. Si Marcus Palutus at Terence ay ang mga unang manunulat ng comedy. Ang iba pang manunulat ay sina Lucretius at Catullus. Si Cicero naman ay isang manunulat at orador na nagpahalaga sa batas. Ayon sa kanya, ang batas ay hindi dapat maimpluwensiyahan ng kapangyarihan o sirain ng pera kailanman. Larawan 1.6 Ang labi ng Colloseum sa Rome.
  • 44.
    153 Gawain 15. LaguminMo. Panuto: Batay sa tekstong binasa, punan ng angkop na impormasyon ang talahanayan. Pangyayaring Nagdulot ng Paglakas ng Rome Patunay/ Paliwanag
  • 45.
    154 Pamprosesong Tanong 1. Anoang kaugnayan ng heograpiya sa pag-unlad ng Kabihasnang Rome? 2. Bakit mahalaga sa Rome ang pagkakapanalo sa Digmaang Punic? 3. Sa kabuuan, ilarawan ang pag-unlad at paglakas ng kabihasnang Rome. Mga Pagbabagong Dulot ng Paglawak ng Kapangyarihang Roman Habang patuloy ang pagkakasangkot ng Rome sa mga usaping panlabas, dinagdagan ng Senate ang kapangyarihan at katanyagan nito sa pamamagitan ng pangangasiwa ng mga kasunduan. Bagama’t ang pagpapatibay ng mga tratado at deklarasyon ng digmaan ay dapat na isinasangguni sa Assembly, ang lupong ito ay nagsisilbing tagapagpatibay lamang ng nais ng Senate. Ang monopoly ng kapangyarihan ng Senate ang nagpalala sa katiwalian sa pamahalaan. Madalas na gamitin ng mga opisyal na ipinapadala sa mga lalawigan ang kanilang katungkulan upang magpayaman. Ang mga pagkakataon sa katiwalian ay lumalaki dulot ng mga kapaki-pakinabang na kontrata para sa kagamitan ng hukbo. Masama naman ang naging epekto ng mga digmaan sa pagsasaka. Ang timog na bahagi ng Italy ay lubos na nasira dahil sa pamiminsala na ginawa ng hukbo ni Hannibal. Nilisan ng maraming magsasaka ang kanilang bukirin. Hindi sila nakahanap ng trabaho sa malalaking lupain ng mayayaman sapagkat ang nagsasaka ay mga alipin o bihag ng digmaan. Tumungo ang mga magsasaka ng Rome upang maghanap ng trabaho ngunit wala namang malaking industriya ang Rome na magbibigay ng kanilang trabaho. Ang yaman na pumasok sa Rome Batay sa tekstong binasa, ano-ano ang mga suliraning kinaharap ng Rome bunsod ng paglawak ng kapangyarihan nito? ___________________________ ___________________________ ___________________________ ___________________________ ___________________________ ___________________________ ___________________________ ___________________________ ________________________ Paano nakaapekto ang mga nabanggit na suliranin sa Republikang Roman? ___________________________ ___________________________ ___________________________ ___________________________ ___________________________ Maihahalintulad ba ang mga pangyayaring isinasaad sa teksto sa kalagayan ng kasalukuyang lipunan? Sa paanong paraan?
  • 46.
    155 Gawain 16. Magbasaat Matuto Panuto: Basahin at unawain ang sumusunod na teksto tungkol sa mga pangyayaring nagdulot ng pagbagsak ng Republika ng Rome tungo sa pagtatag ng Imperyong Roman. Pinuno/Taon Pangyayari Epekto Tiberius 133 B.C.E Nagpanukala ng batas sa pagsasaka kung saan ang mga lupang nakamit sa pamamagitan ng digmaan ay ipamamahagi upang magkaroon ng bukirin ang mahihirap. Nais niyang limitahan ang dami ng lupa na maaring ariin ng mayayaman upang pigilin ang Upang hadlangan si Tiberius at takutin ang iba pang nagnanais ng pagbabago, ipinapatay siya ng isang grupo ng mayayaman. Ang Banta ng Digmaang Sibil Itinuturing ng magkapatid na Tiberius at Gaius Gracchus, kapwa tribune, ang lumalaking agwat sa pagitan ng mayayaman at mahihirap bilang panganib sa katatagan ng Republic. May mga nagtangkang magpatupad ng pagbabago katulad ng mga sumusunod:
  • 47.
    156 Tunghayan mo samga sumusunod na teksto ang ilan sa mga mahahalagang pangyayari sa Rome. mga ito sa pagkamkam ng higit pang maraming lupa. Gaius Gracchus 123 B.C.E Sinundan ni Gaius Gracchus ang hakbang tungo sa pagbabago na sinimulan ng kanyang nakakatandang kapatid, subalit, ang mga mayayaman ay hindi rin sang- ayon sa kanyang mga panukala. Sinalakay si Gaius at ang kanyang 3,000 na tagasunod ng isang pangkat ng mga senador kasama ang inupahang hukbo at alipin. Ipinapatay ng Senate ang mga tagasunod ni Gaius Gracchus. Siya naman ay nagpatiwakal. Si Julius Caesar Bilang Diktador Sa unang siglo ng B.C.E., matindi ang agawan sa kapangyarihan ng mga heneral at pinunong militar sa Rome. Karaniwang nauuwi sa digmaang sibil. Noong 60 B.C.E., binuo ni Julius Causa, Pompey, at Marcus Licinius Crassus ang First Triumvirate, isang union ng tatlong makapangyarihang tao na nangasiwa ng pamahalaan. Hinawakan nila ang kapangyarihang politikal at militar. Si Crassus ang pinakamayamang tao sa Rome na nanguna sa pagpapakalma sa isang rebelyon ng mga alipin. Samantala, si Pompey ay kinilala bilang isang bayani dahil sa kanyang tagumpay na masakop ang Spain. Si Caesar ay isang gobernador ng Gaul kung saan matagumpay niyang napalawak ang mga hangganan ng Rome hanggang France at Belgium. Bagama’t nagkasundo silang pamunuan ang Rome, may namagitang inggit at kompetisyon sa bawat isa. Batay sa bahaging ito ng teksto, ano ang kahulugan ng Triumvirate? _____________________ _____________________ _____________________ _____________________ _____________________ _____________________ _____________________ _____________________ _____________________ Gabay na Tanong: Ano ang dahilan ng mga kaguluhang naganap sa Rome? Ano ang ipinapahiwatig ng mga nabanggit na kaguluhan sa relasyon ng mga patrician at plebeian? Ipaliwanag Sa ating bansa sa kasalukuyan, mayroon bang katulad na sitwasyon? Ipaliwanag. Nilinaw ng kamatayan ng magkapatid na Gracchus ang mainit na tunggalian ng mga patrician sa Senate at ng mga plebeian at alipin. Sumiklab ang mga serye ng rebelyon na nauwi sa digmaang sibil noong 105 B.C.E. Bumalik ang kaayusan sa Rome nang maging diktador si Sulla noong 82 B.C.E. Halaw sa Kasaysayan ng Daigdig, Batayang Aklat sa Araling Panlipunan, Ikatlong Taon nina Mateo et. al. pahina 133.
  • 48.
    157 Noong 53 B.C.E.,napatay sa isang labanan si Crassus. Tanging si Caesar at Pompey na lamang ang naiwang maghahati ng kapangyarihan. Sa pananaw ng mga nasa Senate, higit na may pag-asa silang makitungo kay Pompey kumpara kay Caesar. Hindi lingid sa kanila ang tagumpay at galing ni Caesar. Isang matagumpay na heneral si Caesar. Popular din siya dahil sa mga reporma niya sa mga lalawigan tulad ng pagbaba ng buwis at pagkakaloob ng lupa sa mga beterano ng hukbo. Inutusan ng Senate si Caesar na bumalik sa Rome nang hindi kasama ang kaniyang hukbo. Subalit sinalungat ni Caesar ang utos ng Senate at bumalik sa Rome na kasama ang kaniyang hukbo. Sa takot nila sa kapangyarihan ni Caesar, tumakas papuntang Greece ang karamihan sa mga kasapi ng Senate, kabilang si Pompey. Hinabol sila ni Caesar at natalo nito ang puwersa ni Pompey. Ginawang diktador si Caesar sa kaniyang pagbalik sa Rome sapagkat kontrolado na niya ang buong kapangyarihan. Bilang diktador, binawasan niya ang kapangyarihan ng Senate ngunit dinagdagan naman niya ang bilang nito, mula 600 naging 900 ang kasapi nito. Binigyan ng Roman citizenship ang lahat ng naninirahan sa Italy. Sa mga lalawigan, ang pagbabayad ng buwis ay inayos habang ang pamahalaan ay pinagbuti. Bakit naging tanyag si Julius Caesar? Bakit siya tinawag na diktador sa kanyang pagbalik saRome? Anu-ano ang mga pagbabagong ipinatupad niya sa Rome? Nangamba ang Senate na maaring ideklara ni Caesar ang sarili bilang hari at magwakas ang Republika. Binuo ang isang sabwatan upang patayin si Caesar. Isa sa mga sumali sa sabwatan ay si Marcus Brutus, matalik na kaibigan ni Caesar. Noong March 15, 44 B.C.E., isinakatuparan ang pagpatay kay Caesar. Habang nagpupulong ang Senate, sinaksak si Caesar ng unang grupo ng senador sa pangunguna nina Brutus at Gaius Cassius. Ano ang ipinapahiwatig ng kamatayan ni Julius Caesar?
  • 49.
    158 Augustus: Unang RomanEmperor Bago mamatay si Caesar, ginawa niyang tagapagmana ang kanyang apo sa pamangkin na si Octavian. Noong 43 B.C.E, kasama sina Mark Antony at Marcus Lepidus, binuo ni Octavian ang Second Triumvirate upang ibalik ang kaayusan sa Rome. Ito ay dahil binalot ng kaguluhan ang Rome mula nang mamatay si Caesar. Sa pagkakabuo ng Second Triumvirate, tinalo nila ang hukbo nina Brutus at Cassius. Sa loob ng sampung taon, naghati sa kapangyrihan sina Octavian at Mark Antony. Pinamunuan ni Octavian ang Rome at ang kanlurang bahagi ng imperyo, samantalang pinamunuan ni Antony ang Egypt at ang mga lugar sa silangan na kinilala bilang lalawigang sakop ng Rome. Si Lepidus ang namahala sa Gaul at Spain. Habang nasa Egypt, napamahal kay Antony si Cleopatra, reyna ng Egypt. Nang dumating sa Rome ang balita na binigyan ni Antony ng lupa si Cleopatra at balak salakayin ang Rome, bumuo ng malaking hukbo at plota si Octavian upang labanan si Antony. Naganap ang malaking labanan sa pagitan ng dalawang puwersa sa Actium noong 31 B.C.E. Matapos matalo sa Actium, iniwan ni Antony ang kanyang hukbo at sinundan si Cleopatra sa Egypt. Nang sumunod na taon, nagpakamatay si Antony dahil sa maling pag-aakala na nagpakamatay si Cleopatra. Samantala, dahil nagpakamatay na ang minamahal na si Antony at sa harap ng pagkatalo kay Octavian, nagpakamatay na rin si Cleopatra. Si Lepidus ay pinagkaitan ng kapangyarihan. Nawala sa kanya ang pamamahala sa Gaul at Spain. Noong 36 B.C.E., hinikayat niya ang rebelyon sa Sicily laban kay Octavian subalit tinalikuran siya ng kaniyang mga sundalo. Ipinatapon ni Octavian si Lepidus sa Circeii, Italy. Nang bumalik si Octavian sa Rome, nangako siyang bubuhayin muli ang Republic bagama’t hawak niya ang lahat ng kapangyarihan. Bilang pinuno ng hukbo, si Octavian ay tinawag na imperator. Noong 27 B.C.E., iginawad ng Senate kay Octavian ang titulong Augustus. Ang katagang Augsutus ay karaniwang ginagamit patungkol sa isang banal na lugar o banal na akto. Samakatuwid, ang titulong Augustus ay nagpapahiwatig ng pagiging banal o hindi Sinu-sino ang bumuo sa Second Triumvirate? Bakit mahalaga ang pagkapanalo ni Octavian sa labanan sa Actium? Bakit tinawag na Augustus si Octavian? Mula noon, si Octavian ay nakilala sa pangalan na ito. Sa wakas, pagkatapos ng halos isang siglong puno ng digmaang sibil, ang Rome ay napagbuklod sa ilalim ng isang pinuno. Inihatid ng pamamahala ni Augustus ang panahon n g Imperyong Roman.
  • 50.
    159 o Limang Siglo ngImperyo Si Augustus ay tagapagmana ng isang malawak na imperyo. Ang hangganan nito ay ang Euphrates River sa silangan; ang Atlantic Ocean sa kanluran; ang mga ilog ng Rhine at Danube sa hilaga; at ang Sahara desert sa timog. Sa pagsapit ng Ikalawang siglo C.E., ang populasyon ng imperyo ay umabot sa 100 milyon na binubuo ng iba’t ibang lahi, pananampalataya, at kaugalian. Gaano kalawak ang sakop ng Imperyong Roman? Sa pangkalahatan, tahimik at masagana ang unang dalawa at kalahating siglo ng imperyo. Ang panahong ito ay mula sa 27 B.C.E. hanggang 180 C.E. Kadalasang tinatawag ang panahong ito bilang Pax Romana o Kapayapaang Roman. Umunlad ang kalakalan sa loob ng imperyo. Ang mga daan at karagatan ay ligtas sa mga tulisan at mga pirate. Sagana ang imperyo sa lahat ng uri ng pagkain na nanggagaling sa Egypt, Hilagang Africa, at Sicily. Ang kahoy na gamit sa paggawa ng bahay at iba pang produktong agrikultural ay nagmumula sa Gaul at Gitnang Europe; ginto, pilak, at tingga sa Spain; tin sa Britain; tanso sa Cyprus; at bakal at ginto sa Balkan. Sa labas ng imperyo, isang masaganang kalakalan ang nag-uugnay sa Rome sa iba’t ibang bahagi ng Asya. Mula sa India at China, dumarating sa Rome ang seda, mga pampalasa o rekado, pabango, mamahaling bato, at iba pang luho. Ano ang Pax Romana? Umunlad din ang panitikan sa panahon ng Pax Romana. Ang mga makatang sina Virgil, Horace, at Ovid ay nabuhay sa panahong ito. Sinulat ni Virgil ang Aineid, ang ulat ng paglalakbay ni Aeneas pagkatapos ng pagbagsak ng Troy. Samantalang binigyang-buhay ni Ovid ang mga mitong Greek at Roman sa akda niyang Metamorphoses. Sinulat ni Pliny the Elder ang Natural History, isang tangkang pag-isahin ang lahat ng nalalaman tungkol sa kalikasan. Sinulat ni Tacitus ang Histories at Annals na tungkol sa imperyo sa ilalim ng pamamahala ng mga Julian at Flavian Caesar. Sinulat ni Livy simula 27-26 B.C.E ang From the Founding of the City, ang kasaysayan ng Rome. Ano ang kahalagahan ng pag-unlad ng panitikan sa kasaysayan ng Rome?
  • 51.
    160 Mula sa DinastiyangJulio-Claudian Pinuno Nagawa Tiberius (14-37 C.E.) Magaling na administrador si Tiberius bagama’t isang diktador. Caligula (37-41 C.E.) Nilustay niya ang pera ng imperyo sa maluluhong kasayahan at palabas tulad ng labanan ng mga gladiator. May sakit sa isip si Caligula at iniisip niyang siya ay isang gladiator. Claudius (41-54 C.E.) Nilikha niya ang isang burukrasya na binubuo ng mga batikang administrador. Nero( 54-68 C.E.) Ipinapatay niya ang lahat ng hindi niya kinatutuwaan, kabilang ang kanyang sariling ina at asawa. Inakusahan siya ng panununog sa Rome at natutuwa pa siya diumano habang ginagawa ito. Mula sa Dinastiyang Flavian Pinuno Nagawa Vespasian (69-79 C.E.) Kinilala ang dinastiyang Flavian sa maayos na patakarang pananalapi at pagtatayo ng imprastrukturang tulad ng Mga Emperador Pagkatapos ni Augustus Namatay si Augustus noong 14 C.E. Ang Titulong imperator o emperador ay iginawad ng Senate kay Tiberius napinili ni Augustus na humalili sa kanya. Mula sa pag-upo ni Tiberius bilang emperador hanggang sa katapusan ng imperyo noong 476 C.E., ang Rome ay nagkaroon ng iba’tibang uri ng emperador.
  • 52.
    161 pampublikong paliguan atamphitheater para sa mga labanan ng mga gladiator. Ang Limang Mahuhusay na Emperador Pinuno Nagawa Nerva (96-98 C.E.) Nagkaloob ng pautang sa bukirin si Nerva at ang kinitang interes ay inilaan niya para tustusan ang mga ulila. Trajan (98-117 C.E.) Sa panahon ng pamumuno ni Trajan, narating ng imperyo ang pinakamalawak nitong hangganan. Hadrian( 117-138 C.E.) Patakaran ni Hadrian na palakasin ang mga hangganan at lalawigan ng imperyo. Antoninus Pius (138-161 C.E.) Ipinagbawal ni Antoninus Pius ang pagpapahirap sa mga Kristiyano. Marcus Aurelius (161-180 C.E.) Siya ay isang iskolar at manunulat. Itinaguyod niya ang pilosopiyang stoic. Binibigyang-diin ng pilosopiyang ito ang paghahanap ng kaligayahan sa pamamagitan ng pamumuhay ayon sa banal na kalooban (divine will). Hango ang teksto sa Kasaysayan ng Daigdig, Batayang Aklat sa Araling Panlipunan, Ikatlong Taon nina Mateo et. al. pahina 134-137. Ano ang kahalagahan ng isang mabuting pinuno sa pagpapanatili ng isang imperyo?
  • 53.
    162 Gawain 17. Rome…Sa Isang Tingin Panuto: Ibuod ang mga pangyayari kaugnay ng paglakas at paghina ng hirap sa pamamagitan ng pagpupuno ng impormasyon sa chart. Sanhi Bunga Naging malakas na imperyo ang Rome sa Mediterranean. Humina at unti-unting bumagsak ang imperyong Roman. Bakit maituturing na Kabihasnang Klasikal ang Kabihasnan ng mga Roman ? ______________________________________________________________________ ______________________________________________________________________ ______________________________________________________________________ ______________________________________________________________________ ______________________________________________________________________ ______________________________________________________________________ ______________________________________________________________________ ______________________________________________________________________ _____________________________________
  • 54.
    163 Gawain 18. Pagsulatng Sanaysay. Sumulat ng sanaysay tungkol sa pagkakaiba at pagkakatulad ng Kabihasnang Greece at Rome. Suriin din ang impluwensiya ng dalawang kabihasnang ito sa daigdig. Gawain 19: I-R-F CHART Panuto: Isulat sa bahaging “revised” ang sagot sa tanong na nasa loob ng kahon. BINABATI KITA! Ngayon ay natapos mo na ang bahagi ng Paunlarin para sa Aralin 1. Paano nakaimpluwensiya ang Panahong Klasikal sa Europe sa pag-unlad ng pandaigdigang kamalayan? Upang mapalalim pang lalo ang iyong kaalaman tungkol sa Panahong Klasikal sa Europe, maaari ka nang magpatuloy sa susunod na bahagi ng modyul na ito. INITIAL REVISED FINAL
  • 55.
    164 PAGNILAYAN AT UNAWAIN Gawain20. E-Postcard Panuto: Pumili ng isang mahalagang kontribusyon ng mga Klasikal na Kabihasnan sa Europe. Lumikha ng E-postcard tungkol dito. Sundin ang format. I-upload sa napiling social networking site ang nagawang E-postcard. Gawain 21. I-R-F Chart Panuto: Muling sagutin ang tanong sa kahon. Isulat sa bahaging “final” ang iyong sagot. Sa bahaging ito, inaasahang higit mong mapalalalim ang iyong kaalaman sa paksa sa pamamagitan ng kritikal na pagsusuri sa mga impluwensiya ng Kabihasnang Klasikal sa Europe tungo sa pagbuo ng pandaigdigang kamalayan. Larawan Impormasyon Kahalagahan sa kasalukuyan.
  • 56.
    165 BINABATI KITA! Mahusay mongnagampanan ang gawain sa bahagi ng Pagnilayan at Unawain sa araling ito. p Paano nakaimpluwensiya ang Panahong Klasikal sa Europe sa pag-unlad ng pandaigdigang kamalayan? Ngayon ay mayroon ka nang sapat na pag-unawa tungkol sa mga pangyayari na nagbigay-daan pagsibol, pag- unlad at pagbagsak ng mga klasikal na Kabihasnan sa Europe. Ang mga aral na iyong natutunan mula sa araling ito ay magagamit mo upang maunawaan ang mga susunod na aralin at sa kabuuan ay pag-unawa sa mga pangyayari sa Kasaysayan ng Daigdig at ang kahalagahan ng mga ito sa kasalukuyan. Magagamit mo ang mga aral ng kasaysayan ng mga Klasikal na Kabihasnang European sa susunod na aralin. Magsisilbi rin itong gabay upang maunawaan mo at masuri ang kahalagahan ng kasaysayan ng daigdig sa kasalukuyan. INITIAL REVISED FINAL
  • 57.
  • 58.
    167 ARALIN2: Pag-usbong atPag-unlad ng mga Klasikal na Lipunan sa America, Africa, at mga Pulo sa Pacific Ano-ano ang naiisip mo kapag nababanggit ang mga salitang America, Ang Africa? At ang mga Pulo sa Pacific? Ano-ano na ang alam mo tungkol sa mga lugar na ito? Masasalamin sa kasalukuyang kalagayan nit at sa pamumuhay ng kanilang mamamayan ang impluwensiya ng mga sinaunang kabihasnang naitatag sa mga kontinenteng ito. Mapag-aaralan mo sa araling ito ang pag-usbong at pag-unlad ng mga imperyo sa America, Africa, at mga Pulo sa Pacific. Masusuri mo rin kung paano nakaimpluwensiya ang mga pangyayari at mga tugon sa hamon ng mga sinaunang mamamayan sa mga nabanggit na kontinente tungo sa pagbuo ng sariling pagkakakilanlan.
  • 59.
    168 ALAMIN Gawain 1. ImbestigaSaysayan Panuto:Palatandaan ng isang maunlad na kabihasnan ang matatag na arkitektura na ipinatayo bunga ng magkakaibang dahilan. Bilang isang imbestigador, suriin ang sumusunod na arkitektura sa pamamagitan ng pagsagot sa mga gabay na tanong. Natutuhan mo sa nakaraang aralin tungkol sa pagkakatatag at mga kontribusyon ng Kabihasnang Greek at Roman sa mundo. Tatalakayin naman sa susunod na aralin ang pagkakatatag ng mga kabihasnan at imperyo sa America, Africa, at mga Pulo sa Pacific. Bilang panimula, sagutin ang mga gawain sa bahaging Alamin. Ilarawan ang disenyo http://en.wikipedia.org/wiki/File:Chichen_Itza_3.jpg http://hopemarin.files.wordpress.com/2008/05/timbuktu2.jpg Bakit ipinagawa? 1 2 Ano ang iyong masasabi sa kakayahan ng mga gumawa? 3 Ilarawan ang disenyo 1 Ano ang iyong masasabi sa kakayahan ng mga gumawa? 3 Bakit ipinagawa? 2
  • 60.
    169 Gawain 2.Ang AkingPaglalakbay.Simulan mo ang iyong paglalakbay sa araling ito sa pamamagitan ng pagsagot sa tanong na nasa loob ng kahon. Isulat mo sa bahaging “Simula” ang iyong sagot. Samantala, ang bahagi ng “Kalagitnaan” at “Katapusan” ay sasagutan mo sa iba pang bahagi ng araling ito. BINABATI KITA! Sa puntong ito ay nagtatapos na ang bahagi ng Alamin. Paano nakaimpluwensiya ang mga pangyayari at mga tugon sa hamon ng mga sinaunang mamamayan sa mga nabanggit na kontinente tungo sa pagbuo ng sariling pagkakakilanlan? Simula Kalagitnaan Katapusan Sa pamamagitan ng pagtutupad sa iba’t ibang gawain sa modyul na ito, higit na madaragdagan ang dati mo nang kaalaman tungkol sa paksa.
  • 61.
    170 PAUNLARIN Gawain 3.Sulyap saNakaraan.Suriin ang timeline tungkol sa pagkakatatag ng iba’t ibang kabihasnan sa daigdig mula 3000 B.C.E. hanggang 500 C.E. Pagkatapos na masuri, sagutin ang mga tanong sa ibaba. Sa bahaging ito, inaasahang maiisa-isa mo ang mga kontribusyon at impluwensiya ng kabihasnang Klasikal ng America, Africa, at mga Pulo sa Pacific sa daigdig. Inaasahan ring masusuri mo ang kahalagahan ng mga kontribusyong ito sa kasalukuyang panahon. Sikaping suriin ang nilalaman ng bahaging ito ng aralin at sagutin ang mga gawain upang lalo pang mapagyaman ang iyong kaalaman sa paksa. Simulan na! Kung ito ang nagaganap sa mga nabanggit na bansa at kontinente, paano naman kaya namuhay ang mga tao sa kontinente ng Africa, America, at mga Pulo sa Pacific? Ang mga pangyayari na makikita sa timeline ay natalakay na sa mga nakaraaang aralin. Makikita dito ang pag-unlad ng kabihasnan sa iba’t ibang lugar sa daigdig mula 3000 B.C.E. hanggang 500 C.E. Gabay na tanong: 1. Kailan umusbong ang mga kabihasnan sa Mesopotamia, Africa, China at India? 2. Anong mga lungsod ang naitatag sa Kanlurang Asya noong 3000 B.C.E.? 3. Batay sa timeline, alin ang mas naunang umunlad, ang kabihasnan sa Mediterranean o sa America? Ipaliwanag. 4. Anong kongklusyon ang iyong mabubuo tungkol sa pag-usbong ng mga kabihasnan sa daigdig?
  • 62.
    171 Mesopotamia at Persia Egypt AfricaMediterranean Lands of Europe Northern Europe Western Asia India China America 3000 B.C.E. - Pag-unlad ng agrikultura - Pag-usbong ng Sumer - Naimbento ang Cuneiform at paggamit ng gulong - Pag-unlad ng agrikultura Paggawa ng palayok - Naimbento ang Hieroglyphics OLD KINGDOM Mga guhit sa bato sa gitnang Sahara na nagpapakita ng tao Pagtayo ng mga batong monument sa Malta SINAUNANG PANAHON NG MINOAN sa Crete Pagtayo ng mga batong monu- mento sa hilaga at timog Europe Mga unang magsasaka. Mga unang siyudad ng Jericho at Catal Huyuk Pag-usbong ng kabihasnang Indus Mga unang magsasaka Pagtatanim ng Maize 2500 B.C.E. Pamumuno ni Sargon g Akkad Pagtatayo ng mga pyramid Pagdating ng mga Assyrian upang makipagkalakalan Pagtatag sa siyudad ng Mohenjo-Daro at Harappa 2000 B.C.E. - Pag-usbong ng Babylon - Pamumuno ni Haring Hammurabi - Pag-usbong ng Assyria - MIDDLE KINGDOM - Pananakop ng Nubia - Pananakop ng Hyksos GITNANG PANAHON NG MINOAN HULING PANAHON NG MINOAN Paglakas ng Mycenean Pagtatag ng Stone- henge Paggawa ng kagami- tang bronze Pagdating ng mga Hittites sa Anatolia Pagbasak ng kabihasnan sa Indus Pagdating ng mga dayuhang Aryan 1500 B.C.E. Ang pamumuno ng Mitanni sa hilagang Mesopotamia - NEW KINGDOM - Pamumuno ng mga warrior- pharaoh - Queen Hatshepsut Pagbagsak ng Crete Pagwasak sa Knossos Paglakas ng Imperyong HITTITE - Pag-unlad ng Sistemang Caste - Pag-unlad ng relihiyong Hinduismo SHANG DYNASTY Naimbento ang sistema ng pagsulat Pigura 2.1. Timeline ng Ilang Mahahalagang Pangyayari sa Daigdig (3000 B.C.E. – 500 C.E.)
  • 63.
    172 -Tutankhamun 1000 B.C.E. Pag-usbong at pagbagsakng Imperyong Assyria Unti-unting pagbagsak ng kabihasnan Pananakop ng Assyrian at Kushite Pagsimula ng Kaharian ng Kush Pagtatag ng Carthage - Pagbagsak ng Mycenean -Pagdating ng mga Dorian sa Greece - DARK AGES sa Greece - Ang mga Etruscan sa Hilagang Italy - Ang pagtatag ng - Rome 753 B.C.E. - Pag-unlad ng mga lungsod- estado sa Greece Pandara- yuhan ng mga Celts sa iba’t ibang bahagi ng Europe Pagdating ng mga Israelite sa Canaan Pamumuno nina Haring David at Haring Solomon sa Israel Pananakop ni Alexander the Great sa Eastern Mediterranean - Pagsulat ng Vedas (religious writings) - Isinilang si Gautama (Buddha) DINASITI- YANG CHOU Isinilang si Confucius Ang pag- usbong ng mga Olmec sa Mexico 500 B.C.E. Ang PERSIAN EMPIRE sa kaniyang kalakasan Pananakop ni Alexander the Great kung saan naisama ang sa kaniyang teritoryo ang Persian Empire - Pananakop ng Imperyong Persia, pananakop ni Alexander the Great - Pamumuno ng mga Ptolemies - Pamumuno ni Cleopatra - Pananakop ng Imperyong Roman Digmaang Punic sa Pagitan ng Carthage at Rome Natalo at nasakop ng Carthage ang teritoryo ng Imperyong Rome sa Hilagang Africa - Digmaang Persian sa pagitan ng Greeks a Persians - Pagiging makapangyarihan ng lungsod-estado ng Athens - Digmaang Peloponnesian - Pamumuno ni Alexander the Great Pag-usbong ng Rome Panana- kop ng mga Roman sa malaking bahagi ng Hilagang Europe Pananakop ng mga Roman Paglunsad ng tangkang pananakop ni Alexander sa India - Panahon ng warring states - Pag-iisa ng China sa ilalim ni Shih Huang Ti - Itinayo ang Great Wall - CHI’IN DYNASTY - HAN DYNASTY Naimbento ang papel Pag-usbong ng mga Maya
  • 64.
    173 Gawain 4.Magbasa atMatuto.Basahin at unawain ang teksto tungkol sa Kabihasnang Maya. Mga Kabihasnan sa Mesoamerica Kabihasnang Maya (250 C.E. – 900 C.E.) Namayani ang Kabihasnang Maya sa Yucatan Peninsula, ang rehiyon sa Timog Mexico hanggang Guatemala. Nabuo rito ang mga pamayanang lungsod ng Maya tulad ng Uaxactun, Tikal, El Mirador, at Copan. Nakamit ng Maya ang rurok ng kaniyang kabihasnan sa pagitan ng 300 C.E. at 700 C.E. Habang umuunlad at nagiging makapangyarihan ang mga Sinaunang Kabihasnan sa Mesopotamia, India, at China, nagsisimula naman ang mga mamamayan sa Mesoamerica na magsaka. Ang maliliit na pamayanang agrikultural na ito ay nabuo sa Gitna at Timog na bahagi ng Mesoamerica. Nang lumaon, naging makapangyarihan ang ibang pamayanan at nakapagtatag ng lungsod-estado. Ang mga bumuo ng lungsod-estado ay nakapagtatag ng sarili nilang kabihasnan. Ilan dito ay ang kabihasnang Olmec at Zapotec na tinalakay sa nakaraang Modyul. Sumunod na nakilala sa Mesoamerica ang Kabihasnang Maya at Aztec. Naging maunlad rin ang Kabihasnang Inca sa Timog America. Katulad ng kabihasnang Greece, at Rome, ang pagiging maunlad at makapangyarihan ay nagtulak sa mga kabihasnan sa Mesoamerica at Timog America na manakop ng lupain at magtayo ng imperyo. Malawak ang naging impluwensiya ng mga Maya, Aztec, at Inca kung kaya’t itinuturing ang mga ito na Kabihasnang Klasikal sa America.
  • 65.
    174 Nang lumaon, nabuorito ang mga lungsod-estado. Sila ay nagtataglay ng ganap na kapangyarihan. Naiugnay ng malalawak at maayos na kalsada at rutang pantubig ang mga lungsod-estado ng Maya. Banaag sa kaayusan ng lungsod ang pagkakahati-hati ng mga tao sa lipunan. Hiwalay ang tirahan ng mahihirap at nakaririwasa. Ang sentro ng bawat lungsod ay isang pyramid na ang itaas na bahagi ay dambana para sa mga diyos. May mga templo at palasyo sa tabi ng pyramid. . Mapa. 2.1 Lokasyon ng Kabihasnang Maya 1. Ano-anong lungsod ang makikita sa timog na bahagi ng Yucatan Peninsula? 2. Paano nakipagkalakalan ang mga Maya sa iba pang bahagi ng Mesoamerica? Sa larangan ng ekonomiya, kabilang sa mga produktong pangkalakal ay mais, asin, tapa, pinatuyong isda, pulot-pukyutan, kahoy, at balat ng hayop. Nagtatanim sila sa pamamagitan ng pagkakaingin. Ang pangunahing pananim nila ay mais, patani, kalabasa, abokado, sili, pinya, papaya, at cacao. Dahil sa kahalagahan ng agrikultura sa buhay ng mga Maya, ang sinamba nilang diyos ay may kaugnayan sa pagtatanim tulad ng mais gayundin ang tungkol sa ulan. Sa lipunang Maya, katuwang ng mga pinuno ang mga kaparian sa pamamahala. Pinalawig ng mga pinunong tinatatawag na halach uinic o “tunay na lalaki” ang mga pamayanang urban na sentro rin ng kanilang pagsamba sa kanilang mga diyos.
  • 66.
    175 Nakamit ng Mayaang tugatog ng kabihasnan matapos ang 600 C.E. Subalit sa pagtatapos ng ikawalong siglo C.E., ang ilang mga sentro ay nilisan, ang paggamit ng kalendaryo ay itinigil, at ang mga estrukturang panrelihiyon at estado ay bumagsak. Sa pagitan ng 850 C.E. at 950 C.E., ang karamihan sa mga sentrong Maya ay tuluyang inabandona o iniwan. Wala pang lubusang makapagpaliwanag sa pagbagsak ng Kabihasnang Mayan. Ayon sa ilang dalubhasa, maaaring ang pagkasira ng kalikasan, paglaki ng populasyon, at patuloy na digmaan ay ilan lamang sa mga dahilan ng paghina nito. Maaari rin na sanhi ng panghihina nito ang pagbagsak sa produksiyon ng pagkain batay sa mga nahukay na labi ng tao na nagpapakita ng kakulangan sa sapat na nutrisyon. Ang mga labi ay natuklasang hindi gaanong kataasan samantalang mas manipis ang mga buto nito. Gayunpaman, ang ilang lungsod sa hilagang kapatagan ng Yucatan ay nanatili nang ilan pang siglo, tulad ng Chichen Itza, Uxmal, Edzna, at Copan. Sa paghina ng Chichen at Uxmal, namayani ang lungsod ng Mayapan sa buong Yucatan hanggang sa maganap ang isang pag-aalsa noong 1450. Kasingtulad ng pyramid ang estrukturang ito. Subalit, mapapansin, na ang itaas na bahagi nito ay patag. Sa loob nito ay may altar kung saan isinasagawa ang pag-aalay. Ipinagawa ang templo upang pagdausan ng mga seremonyang panrelihiyon. Ito ay parangal para kay Kukulcan, ang tinaguriang “God of the Feathered Serpent” Gawa ang pyramid mula sa malalaking bato. Mayroon itong apat na panig na may mahabang hagdan. Ang pyramid na ito ay patunay ng mataas na kaalaman ng mga Mayan sa arkitektura, inhenyeriya, at matematika. Larawan 2.1 ang Pyramid of Kukulcan
  • 67.
    176 Isang maunlad nakabihasnan ang nabuo ng mga Mayan. Makikita sa diyagram ang mga sanhi ng kanilang paglakas at pagbagsak. Pamahalaan at Relihiyon Tapat ang mga nasasakupan sa pinuno. Siya ay namumuno sa pamahalaan at relihiyon. Napag-isa ang mga mamamayan dahil sa iisang paniniwala. Paglakas Paghina Palagiang nakikipagdigma ang mga pinuno at kaniyang nasasakupan upang makahuli ng mga alipin na iaalay sa kanilang mga diyos. Nagbunga ito ng pagkaubos ng yaman ng mga lungsod- estado. May mahusay na sistema ng pagtatanim na nagdulot ng sobrang produkto. Paglakas Paghina Pagkawala ng sustansya ng lupa. Ang paglaki ng populasyon ay nagdulot ng suliranin sa suplay ng pagkain. Ekonomiya at Kabuhayan Mayaman at maunlad ang mga lungsod-estado ng Maya. Paglakas Paghina Nagdulot ng kaguluhan at kahirapan ang madalas na digmaan sa pagitan ng mga lungsod- estado. Mga Lungsod- Estado Pigura. 2.2 Paglakas at Paghina ng Imperyong Mayan. Ipinakikita sa diyagram ang mga sanhi at bunga ng paglakas at paghina ng Kabihasnang Mayan. Gabay na Tanong 1. Paano nakabuti at nakasama sa mga Mayan ang kanilang mahusay na sistema ng pagtatanim?
  • 68.
    177 Gawain 5.Ipaliwanag Mo.Patunayangmay mataas na kabihasnan ang mga Mayan. Punan ng impormasyon ang dayagram. Gawain 6.Exit Card.Dugtungan ang sumusunod na pahayag. GAWAIN 7.INFOCOLLAGE.Paunlarin ang iyong kaalaman at pag-unawa tungkol sa Kabihasnang Aztec sa pamamagitan ng pagsusuri sa sumusunod na impormasyon. Ang mga Mayan ay may mataas na antas ng kabihasnan Pamahalaan Ekonomiya Relihiyon Arkitektura Napatunayan ko na may mataas na kabihasnan ang mga Mayan dahil ________________________________________________________________________ ________________________________________________________________________ ________________________________________________________________________ ________________________________________________________________________ _______________________________________________________________________. Naunawaan ko sa nakaraang aralin na ______________________________ _______________________________________________________________________ ______________________________________________________________________. Ang mga bahagi ng aralin na hindi ko gaanong naintidihan ay _______________ _______________________________________________________________________ ______________________________________________________________________ Ilan sa aking tanong ay: _____________________________________________ ______________________________________________________________________. Ang pagbagsak ng mga lungsod-estado ng Kabihasnang Maya ay nagdulot ng paglaho ng kanilang kapangyarihan sa timog na bahagi ng Mesoamerica. Sa panahong ito, nagsimulang umunlad ang maliliit na pamayanan sa Mexico Valley. Ang mga mamamayan rito ang nagtatag ng isa sa unang imperyo sa Mesoamerica – ang Imperyong Aztec.
  • 69.
    178 Gawain 7.Magbasa atMatuto. Basahin at unawain ang mga teksto tungkol sa Kabihasnang Aztec. Kabihasnang Aztec (1200 – 1521) Mapa 2.2 Sakop ng Kabihasnang Aztec Gabay na Tanong: 1. Anong katangiang-heograpikal ng Tenochtitlan ang nagbigay-daan upang ito ay maging sentrong pangkalakalan sa Mesoamerica noong sinaunang panahon? Kung ang mga Maya ay nagtatag ng kanilang Kabihasnan sa timog na bahagi ng Mesoamerica, ang mga Aztec naman ay naging makapangyarihan sa gitnang bahagi nito. Matatandaan na sa bahagi ring ito umusbong ang sinaunang Kabihasnang Olmec. Bunga nito, ang pamumuhay at paniniwala ng mga Aztec ay may impluwensiya ng mga Olmec. Subalit, hindi tulad ng mga Olmec, ang mga Aztec ay nagpalawak ng kanilang teritoryo. Mula sa dating maliliit na pamayanang agrikultural sa Valley of Mexico, pinaunlad ng mga Aztec ang kanilang kabihasnan at nagtatag ng sariling imperyo. Kinontrol nila ang mga karatig lupain sa gitnang bahagi ng Mesoamerica. Noong 1325, itinatag nila ang pamayanan ng Tenochtitlan, isang maliit na isla sa gitna ng lawa ng Texcoco. Ang Texcoco ay nasa sentro ng Mexico Valley. Nang lumaon, ang lungsod ay naging mahalagang sentrong pangkalakalan. Ang mga Aztec ay mga nomadikong tribo na ang orihinal na pinagmulan ay hindi tukoy. Unti-unti silang tumungo sa Lambak ng Mexico sa pagsapit ng ika-12 siglo C.E. Ang salitang Aztec ay nangangahulugang “isang nagmula sa Aztlan,”isang mitikong lugar sa Hilagang Mexico.
  • 70.
    179 Ang lupa sapaligid ng mga lawa ay mataba subalit hindi lubos na malawak. Upang madagdagan ang lupang tinataniman, tinabunan ng lupa ng mga Aztec ang mga sapa at lumikha ng mga chinampas, mga artipisyal na pulo na kung tawagin ay mga floating garden. 1 Wala silang kasangkapang pambungkal ng lupa o hayop na pantrabaho. Nagtatanim sila sa malambot na lupa na ang gamit lamang ay matulis na kahoy. Mais ang kanilang pangunahing tanim. Ang iba pa nilang tanim ay patani, kalabasa, abokado, sili, at kamatis. Nag-alaga rin sila ng mga pabo, aso, pato, at gansa. 2 3 Angkop ang Tenoctitlan sa pagtatanim na siyang pangunahing ikinabubuhay ng mga Aztec dahil mayroon itong matabang lupa. Sa kabila nito, hindi sapat ang lawak ng lupain upang matugunan ang pangangailangan ng mga mamamayan. Ang hamong ito ay matagumpay na natugunan ng mga Aztec. Dahil sila ay mga magsasaka, ang mga Aztec ay taimtim na umaasa sa mga puwersa ng kalikasan at sinasamba ang mga ito bilang mga diyos. Ang pinakamahalagang diyos nila ay si Huitzilopochtli, ang diyos ng araw. Mahalaga ang sikat ng araw sa pananim ng mga magsasaka kaya sinusuyo at hinahandugan ang naturang diyos. Mahalaga rin sina Tlaloc, ang diyos ng ulan at si Quetzalcoatl. Naniniwala ang mga Aztec na kailangang laging malakas ang mga diyos na ito upang mahadlangan ng mga ito ang masasamang diyos sa pagsira ng daigdig. Dahil dito, ang mga Aztec ay nag-alay ng tao. Ang mga iniaalay nila ay kadalasang bihag sa digmaan bagama’t may mga mandirigmang Aztec na nagkukusang-loob ialay ang sarili. 4
  • 71.
    180 Sa pagsapit ngika-15 siglo, nagsimula ang malawakang kampanyang militar at ekonomiko ng mga Aztec. Ang isa sa mga nagbigay-daan sa mgapagbabagong ito ay si Tlacaelel, isang tagapayo at heneral. Itinaguyod niya ang pagsamba kay Huitzilopochtli. Kinailangan din nilang manakop upang maihandog nila ang mga bihag kay Huitzilopochtli. Ang paninindak at pagsasakripisyo ng mga tao ay ilan sa mga naging kaparaanan upang makontrol at mapasunod ang iba pang mga karatig-lugar na ito. Ang mga nasakop na lungsod ay kinailangan ding magbigay ng tribute o buwis. Dahil sa mga tribute at mga nagaping estado, ang Tenochtitlan ay naging sentrong pangkabuhayan at politikal sa Mesoamerica mula sa Pacific Ocean haggang Gulf of Mexico at mula sa hilagang Mexico hanggang sa Guatemala. Ang mga Aztec ay mahuhusay na inhenyero at tagapagtayo ng mga estruktura tulad ng mga kanal o aqueduct, mga dam, gayundin ng sistema ng irigasyon, liwasan, at mga pamilihan. Bunga ng masaganang ani at sobrang produkto, nagkaroon ng pagkakataon ang mga Aztec na makipagkalakalan sa mga kalapit na lugar na nagbigay-daan upang sila ay maging maunlad. Ang kaunlarang ito ng mga Aztec ay isa sa mga dahilan upang kilalanin ang kanilang kapangyarihan ng iba pang lungsod-estado. Nakipagkasundo sila sa mga lungsod- estado ng Texcoco at Tlacopan. Ang nabuong alyansa ang siyang sumakop at kumontrol sa iba pang maliliit na pamayanan sa Gitnang Mexico.
  • 72.
    181 Sa pagdating niHernando Cortes at mga Espanyol sa Mexico noong 1519, natigil ang pamamayani ng mga Aztec sa Mesoamerica. Si Cortes ang namuno sa ekspedisyong Espanyol na nanakop sa Mexico. Inakala ni Montezuma II, pinuno ng mga Aztec, na ang pagdating ng mga Espanyol ay ang sinasabing pagbabalik ng kanilang diyos na si Quetzalcoatl dahil sa mapuputingkaanyuan ng mga ito.Noong 1521, tuluyang bumagsak ang Tenochtitlan. DaangLibo 1 2 3 4 5 6 7 8 9 1 1.1 1.2 1.3 1.4 1.5 MgaMilyon 1520 Populasyon 1500 15601540 16001580 16201640 1660 1680 1700 Taon Makikita sa pahinang ito anggraph ng populasyon ng mga Aztec. Ang biglaang pagbaba ng populasyon ay dulot ng epidemya ng bulutong, pang-aalipin, digmaan, labis na paggawa, at pagsasamantala. SSa kabuuan, tinatayang naubos ang mula 85 hanggang 95 bahagdan ng kabuuang katutubong populasyon ng Mesoamerica sa loob lamang ng 160 taon. Pigura 2.3. Graph ng Populasyon ng mga Aztec
  • 73.
    182 Gawain 8.Daloy ngmga Pangyayari. Ipakita sa pamamagitan ng flowchart ang pag-unlad at pagbagsak ng Imperyong Aztec. Pamprosesong Tanong 1. Ano-ano ang salik na nagbigay-daan sa paglakas ng Imperyong Aztec? 2. Paano napakinabangan ng mga Aztec ang mga lupain na kanilang sinakop? 3. Bakit madaling nakontrol ng mga Aztec ang iba pang karatig na lungsod- estado? Gawain 9.Pagsulat ng Sanaysay.Sumulat ng sanaysay tungkol sa kahalagahan ng mga kontribusyon ng mga Kabihasnang Klasikal sa Mesoamerica. Gamiting gabay ang sumusunod: 1. Ano ang kaugnayan ng heograpiya ng Mesoamerica sa pag-usbong ng mga Kabihasnang Maya at Aztec? 2. Paano nagkakatulad at nagkakaiba ang dalawang kabihasnan? 3. Ano-ano ang kanilang mga kontribusyon at bakit ito mahalaga?
  • 74.
    183 4. Magbigay ngkongklusyong magpapatunay na ang nabanggit na kabihasnan ay maituturing na Kabihasnang Klasikal. Gawain 10.Pagsusuri sa Aking Natutuhan. Punan ng angkop na impormasyon ang kasunod na chart batay sa paksang tinalakay. Ang aking mga natutuhan sa araling ito ay ______________________________ _________________________________ _________________________________ _________________________________ _________________________________ _________________________________ _________________________________ Ang aking mga tanong sa araling ito ay _________________________________ _________________________________ _________________________________ _________________________________ _________________________________ _________________________________ _________________________________ Madali kong naisakatuparan ang mga gawain tulad ng ______________________ ___________________________________ ___________________________________ ___________________________________ ___________________________________ ___________________________________ ___________________________________ Nahirapan ako na mapagtagumpayan ang mga gawain tulad ng _________________ ___________________________________ ___________________________________ ___________________________________ ___________________________________ ___________________________________ ___________________________________ Naunawaan mo sa bahaging ito ang mga pangyayari, hamon, tugon, at katangian ng mga Kabihasnang Maya at Aztec. Nakabatay ang kaunlaran at kapangyarihan ng dalawang kabihasnan sa agrikultura at pananakop ng lupain partikular na ang Aztec. Isa pang maunlad at higit na malawak na imperyo ang naging makapangyarihan sa America. Ito ang Kabihasnang Inca na lumaganap sa South America.
  • 75.
    184 Gawain 11. Magbasaat Matuto.Basahin at unawain ang teksto tungkol sa Kabihasnang Inca. HEOGRAPIYA NG SOUTH AMERICA May magkakaibang klima at heograpiya ang South America kung ihahambing sa Mesoamerica. Matatagpuan sa hilaga ng Amazon River na dumadaloy sa mayayabong na kagubatan. Pawang ang mga prairie at steppe naman ang matatagpuan sa Andes Mountains sa timog na bahagi. Samantala, tuyot na mga disyerto ang nasa kanlurang gulod ng mga bundok na kahilera ng Pacific Ocean. Dahil sa higit na kaaya-aya ang topograpiya ng Andes, dito nabuo ang mga unang pamayanan. May mga indikasyon ng pagsasaka gamit ang patubig sa hilagang gilid ng Andes noong 2000 B.C.E. Sa pagsapit ng ika-11 siglo B.C.E, maraming pamayanan sa gitnang Andes ang naging sentrong panrelihiyon. Ang mga pamayanang ito ay umusbong sa kasalukuyang Peru, Bolivia, at Ecuador. Nang lumaon, nagawang masakop ng ilang malalaking estado ang kanilang mga karatig-lugar. Subalit sa kabila nito, wala ni isa man ang nangibabaw sa lupain hanggang sa pagsapit ng ika-15 siglo. Mapa. 2.3 Sakop ng Kabihasnang Inca. Gabay na Tanong 1. Anong anyong tubig ang matatagpuan sa silangan ng Imperyong Inca? 2. Paano nakatulong ang mahabang kalsada na ipinatayo ng mga Inca upang mapatatag ang kanilang imperyo? 3. Sa kasalukuyan, bakit mahalaga ang maayos na sistema ng transportasyon?
  • 76.
    185 Makikita sa talahanayanang pagkakatulad ng mga Aztec at Inca. BATAYAN AZTEC INCA PATUNAY Pinagmulan - nagmula sa maliliit na pamayanang agrikultural Parehas na umunlad ang dalawang imperyo mula sa matagumpay na pagtatanim. Paniniwala - pagsamba sa araw bilang diyos Huitzilopochtli – diyos ng araw ng mga Aztec Inti – diyos ng araw ng mga Incan Inhinyera - mahusay sa paggawa ng kalsada, templo, at iba pang gusali Pyramid of the Sun – ginawa ng mga Aztec Mahaba at batong kalsada – ginawa ng mga Incan Kabihasnang Inca (1200-1521) Noong ika-12 siglo, isang pangkat ng mga taong naninirahan sa hilagang-kanlurang bahagi ng Lake Titicaca sa matabang lupain ng Lambak ng Cuzco. Sa pamumuno ni Manco Capac, bumuo sila ng maliliit na lungsod-estado. Ang salitang Inca ay nagangahulugang “imperyo.” Hango ito sa pangalan ng pamilyang namuno sa isang pangkat ng tao na nanirahan sa Andes. Unti-unting pinalawig ng mga Inca ang kanilang teritoryo hanggang sa masakop nito ang 3,220 kilometro kuwadrado sa kahabaan ng baybayin ng Pacific. Saklaw ng imperyong ito ang kasalukuyang lupain ng Peru, Ecuador, Bolivia, at Argentina. Noong 1438, pinatatag ni Cusi Inca Yupagqui o Pachakuti ang lipunang Inca sa pamamagitan ng pagkakaroon ng isang sentralisadong estado. Sa ilalim ni Topa Yupanqui (1471-1493), pinalawig niya ang imperyo hanggang hilagang Argentina, bahagi ng Bolivia, at Chile. Napasailalim din sa kaniyang kapangyarihan ang estado ng Chimor o Chimu na pinakamatinding katunggali ng mga Inca sa baybayin ng Peru. Sa ilalim naman ni Huayna Capac, nasakop ng imperyo ang Ecuador. Gabay na Tanong 1. Ano ang ibig sabihin ng Inca? 2. Sino si Pachakuti?
  • 77.
    186 Sa pagdating niFrancisco Pizarro, ang Espanyol na mananakop ng Inca noong 1532, ang lupain ng Imperyong Inca ay sumasaklaw mula sa hilaga sa kasalukuyang Colombia hanggang sa katimugan sa bahagi ng Chile at Argentina. Subalit dahil sa mga tunggalian tungkol sa pamumuno at kawalang kapanatagan sa mga nasakop na bagong teritoryo, unti-unting humina ang imperyo. Dagdag pa rito ang tila napakalaking saklaw ng Imeryong Inca na naging malayo mula sa sentrong pangangasiwa sa Cuzco. Nariyan din ang malaking pagkakaiba ng mga pangkat ng tao sa ilalim ng kanilang kapangyarihan. Samakatuwid, ang imperyo ay nasa kaguluhang politikal na pinalubha pa ng epidemya ng bulutong na dala ng mga sinaunang dumating na conquistador o mananakop na Espanyol. Sa katunayan, si Huayna Capac, isa sa mga pinuno ng Inca, ay namatay sa isang epidemya noong 1525. Ang pagpanaw na ito ay nagdulot ng tunggalian sa kaniyang mga anak na sina Atahuallpa at Huascar. Sa huli, nanaig si Atahuallpa. Nakilala niya si Pizarro habang naglalakbay ito patungong Cuzco. Nang lumaon, binihag ni Pizarro ang Atahuallpa at pinatubos ng pagkarami-raming ginto. Noong 1533, pinapatay si Atahuallpa at makalipas ang isang taon, sinakop ng mga Espanyol ang Cuzco gamit lamang ang maliit na hukbo. Sa kabila ng katapangan ng mga Inca, hindi nila nagawang manaig sa bagong teknolohiyang dala ng mga dayuhan, tulad ng mga baril at kanyon. Ang ilan sa mga Inca ay nagtungo sa kabundukan ng Vilcabamba at nanatili rito nang halos 30 taon. Hindi nagtagal, ang huling pinuno ng mga Inca na si Tupac Amaru ay pinugutan ng ulo noong 1572. Dito tuluyang nagwakas ang pinakadakilang imperyo sa Andes. Siya ang namuno sa mga Espanyolsa pananakop sa Imperyong Inca. Gabay na Tanong 1.May pagkakatulad ba ang mga Pilipino at mga Inca? Patunayan. 2. Paano siya natutulad kay Miguel Lopez de Legazpi sa kasaysayan ng Pilipinas?
  • 78.
    187 Gawain 12.Sino Sila?Tukuyinang mga nagawa ng sumusunod napinuno ng Kabihasnang Inca. GAWAIN 13.Puno ng Kaalaman.Isulat sa loob ng dahon ang mga dahilan ng pagbagsak ng Imperyong Inca. Mga Dahilan ng Pagbagsak ng Imperyong Inca Ano ang nagawa? Kahalagahan ng nagawa: Pachakuti Ano ang nagawa? Kahalagahan ng nagawa: Topa Yupanqui Ano ang nagawa? Kahalagahan ng nagawa: Huayna Capac
  • 79.
    188 Gawain 14.MAPAsuri.Suriin angmapa ng Mesoamerica at South America. Pagkatapos, sagutin ang mga kaugnay na tanong. Gawain 15.KKK (Kaugnayan ng Kabihasnan sa Kasalukuyan).Punan ng tamang sagot ang chart. Pagkatapos, isulat ang iyong paliwanag tungkol sa pamamagitan ng pagdudugtong ng impormasyon sa pahayag na nasa ibaba. PAMAHALAAN EKONOMIYA RELIHIYON KONTRIBUSYON MAYA AZTEC INCA Maituturing na Kabihasnang Klasikal ang naitatag ng mga Maya, Aztec, at Inca dahil _______________________________ ____________________________________________________ ____________________________________________________ ____________________________________________________ ____________________________________________________. 1. Saang bansa sa kasalukuyan makikita ang mga Kabihasnang Klasikal sa Mesoamerica at South America? 2. Ano-ano ang anyong-tubig na nasa paligid ng mga nabanggit na rehiyon? 3. Paano nakaapekto ang heograpiya sa pagtatag ng mga Kabihasnang Klasikal ng Aztec, Inca, at Maya? 4. Sa iyong palagay, alin sa dalawang salik ang higit na nakaimpluwensiya sa pag-usbong ng mga kabihasnan sa Mesoamerica at South America, ang mga tao ba o ang heograpiya? Ipaliwanag. Mapa 2.4 Ang Mesoamerica at South America
  • 80.
    189 Gawain 16.Magbasa atMatuto. Basahin at unawain ang teksto tungkol sa mga Kaharian at Imperyong naitatag sa Africa. Mga Kaharian at Imperyo sa Africa Sa kasalukuyan, makikita pa rin ang mga pamana ng mga Kabihasnang Klasikal na Maya, Aztec, at Inca. Ang mga estruktura tulad ng Pyramid of Kukulcan, Pyramid of the Sun, at ang lungsod ng Machu Picchu ay hinahangaan at dinarayo ng mga turista dahil sa ganda at kakaibang katangian nito. Nananatili itong paalala ng mataas na kabihasnang nabuo ng mga sinaunang mamamayan sa America. Sa kasalukuyan, higit ang iyong kaalaman sa kontinente ng America subalit limitado lamang ang mga Pulo sa Pacific. Samantala, kadalasan ay hindi maganda ang iyong impresyon sa kontinente ng Africa. Maging sa sinaunang kasaysayan ng daigdig, karaniwang hindi nabibigyan ng tuon ang Africa at mga pulo sa Pacific. Maliban sa kaharian ng Egypt, hindi na natatalakay pa ang ibang sentro ng kabihasnan sa Africa. Samantala, halos walang pagbanggit naman sa mga pulo sa Pacific. Tunghayan sa araling ito ang mga kaganapan sa dalawang rehiyong ito noong sinaunang panahon. Heograpiya ng Africa Mahalaga ang papel ng heorapiya kung bakit ang Africa ang huling pinasok at huling nahati-hati ng mga Kanluraning bansa. Tinawag ito ng mga Kanluranin na dark continent dahil hindi nila ito nagalugad kaagad. Nanatiling limitado ang kaalaman ng mga bansang Kanluranin tungkol sa kontinenteng ito hanggang noong ika-19 na siglo. Gabay na Tanong Bakit tinawag na dark continent ang Africa?
  • 81.
    190 Gabay na Tanong 1.Ano-anong uri ng vegetation at anyong-lupa ang makikita sa kontinente ng Africa? 2. Bakit mahirap mamuhay sa rehiyon ng Sahara? 3. Paano nakatulong ang heograpiya sa pag-usbong ng mga Imperyong Ghana, Mali, at Songhai. Ang pinakamainit at pinakamaulang bahagi ng Africa ay yaong malapit sa equator. Matatagpuan dito ang rainforest o isang uri ng kagubatan kung saan sagana ang ulan at ang mga puno ay malalaki, matataas, at may mayayabong na dahon. Sa hangganan ng rainforest ay ang savanna, isang bukas at malawak na grassland o damuhan na may mga puno. Sa grassland sa hilaga ng equator matatagpuan ang rehiyon ng Sudan. Sa bandang hilaga naman ng rehiyon ng Sudan makikita ang Sahara, ang pinakamalaki at pinakamalawak na disyerto sa daigdig. Ang Sahara na malaki pa sa Europe ay hindi natitirhan maliban sa mga oasis nito. Ang oasis ay lugar sa disyerto kung saan may matabang lupa at tubig na kayang bumuhay ng halaman at hayop. Tanging sa oasis lamang may mga maliliit na pamayanan sa Sahara. Hiwa-hiwalay at kalat-kalat ang mga kultura at kabihasnang sumibol at namayani sa malawak na kontinente ng Africa. Mapa 2.5 Katangiang Heograpikal ng Africa
  • 82.
    191 Isa sa mgaumunlad na kultura sa Africa ay ang rehiyon na malapit sa Sahara. Nakatulong sa kanilang pamumuhay ang pakikipagkalakalan. Tinawag itong Kalakalang Trans-Sahara. Bunga nito, nakarating sa Europe at iba pang bahagi ng Asya ang mga produktong African. Ang Kalakalang Trans-Sahara Noong 3000 B.C.E., isang masaganang kalakalan ang umunlad sa pagitan ng Hilagang Africa at Kanlurang Sudan, ang rehiyon sa timog ng Sahara. Tinawag na Trans-Sahara ang kalakalang naganap dito. Ang kalakalang Trans- Sahara ay tumagal hanggang ika-16 na siglo. Tinawag itong kalakalang Trans- Sahara dahil tinawid ng mga nomadikong mangangalakal ang Sahara sa pamamagitan ng caravan, dala-dala ang iba’t ibang uri ng kalakal. Kamelyo ang kadalasang gamit sa mga caravan. Ang caravan ay pangkat ng mga taong magkakasamang naglalakbay. Ang mga mangangalakal mula sa Carthage ay pumupunta sa Sahara upang mamili ng mga hayop tulad ng unggoy, leon, elepante, at mga mamahaling hiyas. Sinasabi na ang mga elepante na ginamit ni Hannibal sa Digmaang Punic laban sa Rome ay nanggaling sa Kanlurang Africa. Iba’t ibang grupo ng mga tao ang nagtayo ng mga pamayanan sa mga lugar na dinaraanan ng kalakalan. Mapa 2.6 Ruta ng Kalakalang Trans-Sahara Gabay na Tanong 1. Saang bahagi ng Africa makikita ang lupain ng mga Carthage? 2. Ano ang ibig sabihin ng caravan? 3. Paano nakarating sa Europe ang mga produkto mula sa Africa? 4. Bakit tinawag na Trans-Sahara ang kalakalan sa Hilagang Africa? http://northafrica nhistory.wikispac es.com/file/view/ timbuktu.jpg/112 619921/timbuktu .jpg
  • 83.
    192 Ang Pagpasok ngIslam sa Kanlurang Africa Nang makapagtatag ng mga pamayanang Muslim sa Morocco, ang Islam ay unti-unting nakilala at kalaunan ay namayani sa mga kultura at kabihasnang nananahan sa Kanlurang Africa. Ang Islam ay pinalaganap ng mga Berber, mga mangangalakal sa Hilagang Africa. Pumupunta sila sa Kanlurang Africa upang bumili ng ginto kapalit ng mga aklat, tanso, espada, seda, kaldero, at iba pa. Morocco Berber Sudan at Hilagang Africa Pigura 2.4 Kalakalan ng mga Berber at African Gabay na Tanong 1. Sino ang nagdala ng relihiyong Islam sa Hilagang Africa? 2. Bukod sa pag-unlad ng kabuhayan, anong aspeto ng pamumuhay ng mga African ang naimpluwensiyahan ng mga Berber?
  • 84.
    193 Gawain 17.MAPAghanap. Sumulatng maikling paglalarawan tungkol sa mga anyong-lupa, anyong tubig, at vegetation sa Africa. Tukuyin kung saang bahagi ng Africa matatagpuan ang mga ito sa pamamagitan ng pagguhit ng linya sa tiyak na lugar. Pamprosesong Tanong 1. Alin sa mga nabanggit navegetation ang may pinakamalawak na saklaw? 2. Bakit tinawag na Trans-Sahara ang kalakalan sa pagitan ng Carthage at Sudan? 3. Saang mga lugar maaaring umusbong ang kabihasnan o imperyo? Bakit? Rainforest Savanna Disyerto Oasis
  • 85.
    194 Gawain 18.Magbasa atMatuto.Basahin at unawain ang teksto tungkol iba pang Kabihasnan sa Africa. Mga Kabihasnan sa Africa Matatandaan na ang Egypt ang isa sa mga pinakaunang lunduyan ng kabihasnan sa daigdig. Maliban sa Egypt, ang Axum ang kasalukuyang Ethiopia sa Silangang Africa ay napatanyag din dahil sa naging sentro ito ng kalakalan. Binibisita ito ng mga mangangalakal mula sa Persia at Arabia. Umusbong din ang mga estado sa rehiyon ng Sudan kung saan ang kanilang yaman ay dulot ng kanilang kapangyarihan sa kalakalang tumatawid sa Sahara. Kapwa nasa Silangang Africa ang dalawang kabihasnang ito. Ang Kanlurang Africa ay naging tahanan din ng mga unang kabihasnan. Dito umusbong ang mga imperyo ng Ghana, Mali, at Songhai. Pigura 2.5. Timeline ng mga Kabihasnang umusbong sa Africa. 350 C.E. Namayani ang Kaharian ng Axum sa Silangang Africa 700 dantaon Naging makapangyarihan ang Imperyo ng Ghana sa Kanlurang Africa 1240 Naitatag ang Imperyong Mali nang matalo ang Imperyong Ghana 1335 Nagsimulang mamuno ang dinastiyang Sunni na siyang nagpalawak sa teritoryo ng Imperyong Songhai
  • 86.
    195 Ang Axum BilangSentro ng Kalakalan Ang kaharian ng Axum ay sentro ng kalakalan noong 350 C.E. Malawak ang pakikipagkalakalan nito at sa katunayan, ito ay may pormal na kasunduan ng kalakalan sa mga Greek. Mga elepante, ivory (ngipin at pangil ng elepante), sungay ng rhinoceros, pabango, at pampalasa o rekado ang karaniwang kinakalakal sa Mediterranean at Indian Ocean. Kapalit nito, umaangkat ang Axum ng mga tela, salamin, tanso, bakal, at iba pa. Isang resulta ng malawakang kalakalan ng Axum ay ang pagtanggap nito ng Kristiyanismo. Naging opisyal na relihiyon ng kaharian ang Kristiyanismo noong 395 C.E. Mapa Bilang 2.7. Ruta ng Kalakalang Axum Gabay na Tanong 1. Anong mga anyong-tubig ang dinaanan ng mga Axum sa pakikipagkalakalan? 2. Saang mga kontinte nakipagkalakalan ang mga Axum? 3. Paano ito natutulad at naiiba sa kalakalang Trans- Sahara? Kung ang kahariang Axum ay naging tanyag sa Silangang Africa, nakilala naman sa Kanlurang Africa ang tatlong imperyo na siyang naging makapangyarihan dulot rin ng pakikipagkalakalan sa mga mamamayan sa labas ng Africa. Ito ay ang mga imperyo ng Ghana, Mali, at Songhai.
  • 87.
    196 Ang Imperyong Ghana AngGhana ang unang estadong naitatag sa Kanlurang Africa. Sumibol ang isang malakas na estado sa rehiyong ito dulot ng lokasyon nito sa timog na dulo ng kalakalang Trans-Sahara. Nagkaroon sa Ghana ng malaking pamilihan ng iba’t ibang produkto tulad ng ivory, ostrich, feather, ebony, at ginto. Ang mga ito ay ipinagpalit ng mga katutubo sa asin, tanso, figs, dates, sandatang yari sa bakal, katad, at iba pang produktong wala sila. Malayang nakapagtatanim ang mga tao dulot ng matabang lupa sa malawak na kapatagan ng rehiyon. Ang pagkakaroon ng sapat na pagkain ay isang dahilan kung bakit lumaki ang populasyon dito. Sagana rin ang tubig upang punan ang pangangailangan sa mga kabahayan at sa irigasyon. Mahalagang salik sa paglakas ng Ghana Naging maunlad dahil naging sentro ng kalakalan sa Kanlurang Africa Bumili ng mga kagamitang pandigma na yari sa bakal at mga kabayo Ginamit ang mga sandatang gawa sa bakal upang makapagtatag ng kapangyarihan sa mga grupong mahina ang mga sandata. Ang mga kabayo ay nagbibigay ng ligtas at mabilis na paraan ng transportasyon para sa mga mandirigma nito Gabay na Tanong 1. Ano ang naging batayan ng pag-unlad ng Imperyong Ghana? 2. Paano nakatulong ang heograpiya ng Ghana upang umunlad ang kanilang pamumuhay?
  • 88.
    197 ANG IMPERYONG MALI AngMali ang tagapagmana ng Ghana. Nagsimula ang Mali sa estado ng Kangaba, isa sa mahalagang outpost ng Imperyong Ghana. Ang pag-akyat ng Mali sa kapangyarihan ay sinimulan ni Sundiata Keita. Noong 1240, sinalakay niya at winakasan ang kapangyarihan ng Imperyong Ghana. Sa pamamagitan ng patuloy na pananalakay, ang Imperyong Mali ay lumawak pakanluran patungong lambak ng Senegal River at Gambia River, pasilangan patungong Timbuktu, at pahilaga patungong Sahara Desert. Hawak nito ang mga ruta ng kalakalan. Noong mamatay si Sundiata noong 1255, ang Imperyong Mali ang pinakamalaki at pinakamapangyarihan sa buong Kanlurang Sudan. Katulad ng Ghana, ang Imperyong Mali ay yumaman sa pamamagitan ng kalakalan. Nang mamuno si Mansa Musa noong 1312, higit pa niyang pinalawak ang teritoryo ng imperyo. Sa pagsapit ng 1325, ang malalaking lungsod pangkalakalan tulad ng Walata, Djenne, Timbuktu, at Gao ay naging bahagi ng Imperyong Mali. Maliban sa pagpapalawak ng imperyo, naging bantog din si Mansa Musa sa pagpapahalagang ibinigay niya sa karunungan. Nagpatayo siya ng mga mosque o pook- dasalan ng mga Muslim sa mga lungsod ng imperyo. Hinikayat niya ang mga iskolar na pumunta sa Mali. Sa panahon ng kaniyang paghahari, ang Gao, Timbuktu, at Djenne ay naging sentro ng karunungan at pananampalataya. Mga Namuno sa Imperyong Mali Sundiata Keita Mansa Musa Gabay na Tanong 1. Paano nakamit ng Imperyong Mali ang kapangyarihan mula sa Imperyong Ghana? 2. Bakit naging tanyag si Mansa Musa?
  • 89.
    198 Ang Imperyong Songhai Simulapa noong ikawalong siglo, ang Songhai ay nakikipagkalakalan na sa mga Berber na taon-taon ay dumarating sa mga ruta ng kalakalan sa Niger River. Maliban sa kalakalan, dala rin ng mga Berber ang pananampalatayang Islam. Sa pagsapit ng 1010, tinanggap ni Dia Kossoi, hari ng mga Songhai, ang Islam. Bagama’t hinikayat niya ang mga Songhai na tanggapin ang Islam, hindi niya pinilit ang mga ito. Sa pamamagitan ng Gao at ng Timbuktu, nakipagkalakalan ang Songhai sa Algeria. Dahil dito, nakapagtatag ng ugnayan ang Songhai sa iba pang bahagi ng Imperyong Islam. Noong 1325, ang Songhai ay sinalakay at binihag ng Imperyong Mali. Subalit hindi ito nagtagal sa pagiging bihag ng Mali. Noong 1335, lumitaw ang bagong dinastiya, ang Sunni, na matagumpay na binawi ang kalayaan ng Songhai mula sa Mali. Mula 1461 hanggang 1492, sa ilalim ni Haring Sunni Ali, ang Songhai ay naging isang malaking imperyo. Sa panahon ng kaniyang paghahari, pinawalak niya ang Imperyong Songhai mula sa mga hangganan ng kasalukuyang Nigeria hanggang sa Djenne. Hindi niya tinanggap ang Islam sapagkat naniniwala siyang sapat na ang kaniyang kapangyarihan at ang suporta sa kaniya ng mga katutubong mangingisda at magsasaka. Gayunpaman, iginalang at pinahalagahan pa rin niya ang mga mangangalakal at iskolar na Muslim na nananahan sa loob ng kaniyang imperyo. Sa katunayan, hinirang niya ang ilan sa mga Muslim bilang mga kawani sa pamahalaan.
  • 90.
    199 Pigura 2.6 Infographictungkol sa Imperyong Ghana, Mali at Songhai Ghana Ipinag-utos ni haring Al- Bakri na ibigay sa kaniya ang mga butil ng ginto at tanging mga gold dust ang pinayagang ipagbili sa kalakalan. Sa ganitong paraan, napanatili ang mataas na halaga ng ginto. ginto asin Ghana, Mali at Songhai Ang mga imperyong ito ay naging makapangyarihan dahil sa kalakalan. Pangunahing produkto nila ang ginto. Nagsilbi silang tagapamagitan ng mga African na mayaman sa ginto at ng mga African na mayaman sa asin. Pag-isipan! Iugnay angLaw of Supply and Demand sa ipinalabas na kautusan ni haring Al-Bakri. asin ginto Sa panahong ito,ginagamit ng mga African ang ginto upang ipambili ng asin. Ginagamit ng mga African ang asin upang mapreserba ang kanilang mga pagkain. Mali Nagsilbing sentro ng kalakalan ang Timbuktu. Bukod dito, lumaganap rin ang relihiyong Islam at tumaas ang antas ng kaalaman dulot ng impluwensiya ng mga iskolar na Muslim. Ang Sankore Mosque ay ipinagawa ni Mansa Musa noong 1325. Gabay na Tanong 1. Ano ang naging batayan ng kapangyarihan ng Imperyong Ghana, Mali, at Songhai? 2. Bakit mahalaga ang asin para sa mga African?
  • 91.
    200 Gawain 19.History Makers.Punanng tamang sagot ang chart batay sa iyong mga napag-aralan tungkol sa mga pinuno ng mga Kabihasnan sa Africa. PINUNO IMPERYONG PINAMUNUAN MAHALAGANG NAGAWA Al-Bakri SundiataKeita Mansa Musa Dia Kossoi Sunni Ali GAWAIN 20.Triple Venn Diagram. Isa-isahin ang pagkakatulad at pagkakaiba ng Imperyong Ghana, Mali, at Songhai. Isulat sa Venn Diagram ang sagot. GAWAIN 21.KKK (Kaugnayan ng Kabihasnan sa Kasalukuyan). Punan ng tamang sagot ang talahanayan.Isulat ito sa loob ng angkop na kolum. Dugtungan ang kasunod na pangungusap na nasa loob ng kahon. IMPERYO KONTRIBUSYON KAHALAGAHAN GHANA MALI SONGHAI Ghana SonghaiMali Maituturing na Kabihasnang Klasikal ang naitatag ng mga Imperyong Ghana, Mali, at Songhai dahil __________________ ____________________________________________________ ____________________________________________________ ____________________________________________________ ____________________________________________________.
  • 92.
    201 Gawain 22: Magbasaat Matuto. Basahin at unawain ang teksto tungkol sa mga kabihasnan sa Pulo ng Pacific MIGRASYONG AUSTRONESIAN Magkaugnay ang sinaunang kasaysayan at kultura ng mga pulo ng Pacific at Timog-Silangang Asya. Ito ay dahil ang nandayuhan at nanahan sa dalawang rehiyong ito ay mga Austonesian. Ang Austronesian ay tumutukoy sa mga taong nagsasalita ng mga wikang nabibilang sa Austronesian o Malayo-Polynesian. Ito ang pinakamalaking pamilya ng wika sa daigdig. Bunga ng pagkakatatag ng mga sinaunang kabihasnan at imperyo, nabuo ang pagkakilanlan ng kasalukuyang kontinente ng America at Africa. Samantala, sa mga Pulo ng Pacific, nagsimula na ring makilala ang mga Austronesean. Tunghayan sa susunod na bahagi ng aralin ang kanilang nabuong kabihasnan. Ayon sa teorya ng iskolar na si Peter Bellwood, nagmula sa timog China ang mga Austronesian. Sa hangaring makahanap ng mga bagong teritoryo na masasaka, umalis sila ng China at nandayuhan simula noong 4000 B.C.E. Tumungo sila sa mga lugar na kilala ngayon bilang Taiwan, Pilipinas, Malaysia, Brunei, at Indonesia. Noong 2000 B.C.E., may mga Austronesian na tumungo pakanluran hanggang makarating sa Madagascar sa Africa. Samantala, may mga tumungo pasilangan at tinawid ang Pacific Ocean at nanahan sa mga pulo ng Pacific. Mapa 2.8. Migrasyon ng mga Austronesian. Gabay na Tanong 1. Magbigay ng ilang sa kasalukuyan na pinanirahan ng mga Austronesian. 2.Bakit nandayuhan ang mga Austronesian sa mga pulo sa Pacific. http://en.wikipedia.org/wiki/Austronesian_peoples
  • 93.
    202 . Unang narating ngmga Austronesian ang New Guinea, Australia, at Tasmania. Noong 1,000 B.C.E., nanahan ang mga Austronesian sa Vanuatu, Fiji, at Tahiti. Narating din nila ang Tonga, Samoa, at Marquesas. Tinatayang nasa mga pulo ng Hawaii sila noong 100 B.C.E. Pinakamalayo nilang naabot ang Easter Island, isang pulo sa Pacific na bahagi na ng South America. Sa pag-aaral ng kabihasnan ng mga pulo sa Pacific, mahalagang tunghayan ang lipunan ng mga tao rito bago dumating ang mga Kanluranin. Ang lipunan at kulturang ito ay Austronesian. http://en.wikipedia.org/wiki/File:Pacific_Culture_Areas.jpg Ang mga Pulo sa Pacific Ang mga pulo sa Pacific o Pacific Islandsay nahahati sa tatlong malalaking pangkat – ang Polynesia, Micronesia, at Melanesia. Ang mga katawagang ito ay iginawad ng mga Kanluranin matapos nilang makita ang kaayusan ng mga pulo at ang anyo ng mga katutubo nito. POLYNESIA – maraming isla poly – marami nesia - isla MICRONESIA – maliliit na mga isla micro – maliit nesia - isla MELANESIA – maiitim ang mga tao dito mela– maitim nesia - isla Mapa 2.9 Ang mga isla na bumubuo sa Pacifi.
  • 94.
    203 Polynesia Ang Polynesia aymatatagpuan sa gitna at timog na bahagi ng Pacific Ocean na nasa silangan ng Melanasia at Micronesia. Ang Polynesia ay higit na malaki kaysa pinagsamang lupain ng Melanasia at Micronesia. Ang Polynesia ay binubuo ng New Zealand, Easter Island, Hawaii, Tuvalu, Wallis at Futuna, Tonga, Tokelau, Samoa, American Samoa, Niue, Cook Islands, French Polynesia, Austral Islands, Society Islands, Tuamotu, Marquesas, at Pitcairn. Batay sa dami ng pinagkukunan ng pagkain ang laki ng pamayanan sa Polynesia. Umabot hanggang 30 pamilya ang bawat pamayanan dito. Ang sentro ng pamayanan ay ang tohua na kadalasang nasa gilid ng mga bundok. Ito ay tanghalan ng mga ritwal at pagpupulong. Nakapaligid satohua ang tirahan ng mga pari at mga banal na estruktura. Ang pangunahing kabuhayan ng mga Polynesian ay pagsasaka at pangingisda.Ang karaniwang tanim nila ay taro o gabi, yam o ube, breadfruit, saging, tubo, at niyog.Sa pangingisda naman nakakakuha ng tuna, hipon, octopus, at iba pa. Nanghuhuli rin sila ng pating. Sa larangan ng pananampalataya, naniniwala sila sa banal na kapangyarihan o mana. Ang katagang mana ay nangangahulugang “bisa” o “lakas.”Sa mga sinaunang Polynesian, ang mana ay maaaring nasa gusali, bato, bangka, at iba pang bagay. Gabay na Tanong 1. Ano ang pangunahing ikinabubuhay ng mga mamamayan sa Polynesia? 2. Ano ang ibig sabihin ng mana?
  • 95.
    204 May mga batasna sinusunod upang hindi mawala o mabawasan ang mana. Halimbawa, bawal pumasok sa isang banal na lugar ang pangkaraniwang tao. Ang sinaunang kababaihan sa Marquesas ay hindi maaaring sumakay sa bangka sapagkat malalapastangan niya ang bangka na may angking mana. Gayundin, ang mga lalaking naghahanda sa pakikipaglaban o para sa isang mapanganib na gawain ay dapat nakabukod. Bawal silang makihalubilo sa babae at pili lang ang dapat nilang kainin upang hindi mawala ang kanilangmana. Ang tawag sa mga pagbabawal o prohibisyong ito ay tapu. Kamatayan ang pinakamabigat na parusang igagawad sa matinding paglabag sa tapu. Micronesia Ang maliliit na pulo at atoll ng Micronesia ay matatagpuan sa hilaga ng Melanesia at sa silangan ng Asya. Ang Micronesia ay binubuo ng Caroline Islands, Marianas Islands, Marshall Islands, Gilbert Islands (ngayon ay Kiribati), at Nauru. Ang mga sinaunang pamayanan dito ay matatagpuan malapit sa mga lawa o dagat-dagatan. Ito ay upang madali para sa mga tao ang lumabas at maglayag sa karagatan. Itinatag nila ang kanilang mga pamayanan sa bahaging hindi gaanong tinatamaan ng bagyo o malalakas na ihip ng hangin. Pagsasaka ang pangunahing kabuhayan ng mga Micronesian.Nagtatanim sila ng taro, breadfruit, niyog, at pandan. Sagana ang mga ito sa asukal at starch na maaaring gawing harina. Pangingisda ang isa pang ikinabubuhay ng mga Micronesian. May kaalaman din sa paggawa ng simpleng palayok ang mga lipunan ng Marianas, Palau, at Yap. Gabay na Tanong Ano-ano ang mga paraan upang mapangalagaan ang mana?
  • 96.
    205 Melanesia Ang Melanesia aymatatagpuan sa hilaga at silangang baybay-dagat ng Australia. Ito ay kasalukyang binubuo ng New Guinea, Bismarck Archipelago, Papua New Guinea, Solomon Islands, Vanuatu (dating New Hebrides), New Caledonia, at Fiji Islands. Ang mga sinaunang pamayanan dito ay maaaring nasa baybaying-dagat o sa dakong loob pa. Pinamumunuan ito ng mga mandirigma. Tagumpay sa digmaan ang pangkaraniwang batayan ng pagpili sa pinuno. Sa maraming grupong Papuan, ang kultura ay hinubog ng mga alituntunin ng mga mandirigma tulad ng katapangan, karahasan, paghihiganti, at karangalan. Malimit din ang kalakalan ng magkakaratig-pulo. Sa Palau at Yap, bato at shell ang ginagamit bilang paraan ng palitan. Gumagamit din ang Palau ng batong ginawang pera (stone money). Sa iba pang mga pulo, nagpapalitan ng kalakal ang matataas (high-lying islands) at mabababang pulo (low-lying coral atolls). Ipinagpapalit ng mga high-lying island ang turmericna ginagamit bilang gamot at pampaganda. Samantala, ang mga low-lying coral atoll ay nakipagpalitan ng mga shellbead, banig na yari sa dahon ng pandan, at magaspang na tela na galing sa saging at gumamela. Bilang tela, ginagawa itong palda ng kababaihan at bahag ng kalalakihan. Animismo rin ang sinaunang relihiyon ng mga Micronesian. Ang mga rituwal para sa mga makapangyarihang diyos ay kinapapalooban ng pag-aalay ng unang ani.
  • 97.
    206 Gawain 23.Pagsagot saChart.Punanng impormasyon ang talahanayan. Isla Kahulugan ng Pangalan Kabuhayan Relihiyon Polynesia Micronesia Melanesia Gawain 24.Anong Konek?Makibahagi sa iyong pangkat. Magsaliksik tungkol sa kultura ng mga taga-Pacific Islands at ihambing ito sa kulturang Pilipino. Iulat ang inyong nasaliksik sa klase. Taro at yam ang pangunahing sinasaka sa Melanesia. Nagtatanim din dito ng pandan at sago palm na pinagkukunan ng sago. Pangingisda, pag-aalaga ng baboy, at pangangaso ng mga marsupial at ibon ang iba pang kabuhayan dito. May kalakalan din sa pagitan ng mga pulo. Karaniwang produktong kinakalakal ng mga Melanesian ay mga palayok, kahoy, yam, baboy, asin, apog, gayundin ang mga gawa nilang bangka. Naniniwala rin sa animism ang mga sinaunang Melanesian. Ipinababatid ng diyos ng kalikasan ang mga kaganapan tulad ng tagumpay sa labanan, sakuna, kamatayan, o pag-unlad ng kabuhayan. Laganap din sa Solomon Islands at Vanuatu ang paniniwala sa mana. May sariling katangian at kakanyahan ang mga isla sa Pacific. Nakabatay ang kanilang pamumuhay sa pakikipagkalakalan sa iba’t ibang isla at kontinente. Bagama’t hindi ito kasing-unlad, kasing-tanyag at kasing- yaman ng mga kabihasnan at imperyo sa America at Africa, nakaimpluwensiya rin ito sa mga mamamayang naninirahan sa mga isla sa Pacific at sa mga karatig bansa nito sa Timog- silangang Asya sa kasalukuyan.
  • 98.
    207 Gawain 25. AngAkingPaglalakbay.Sa pagkakataong ito, isulat mo ang iyong sagot sa bahagi ng “Kalagitnaan”. BINABATI KITA! Ngayon ay natapos mo na ang bahagi ng Paunlarin para sa Aralin 2. Ngayong may sapat ka nang kaalaman tungkol sa mga salik na nagbigay-daan sa pag-usbong ng mga kabihasnang klasikal sa mga Pulo sa Pacific, maaari ka nang tumungo sa susunod na bahagi ng modyul na ito. Paano nakaimpluwensiya ang mga pangyayari at mga tugon sa hamon ng mga sinaunang mamamayan sa mga nabanggit na kontinente tungo sa pagbuo ng sariling pagkakakilanlan? Simula Kalagitnaan Katapusan
  • 99.
    208 PAGNILAYAN AT UNAWAIN Gawain26.AdBakit?Makibahagi sa iyong pangkat. Pumili ng isang kontribusyon ng Kabihasnang Klasikal na nakatalaga sa iyong pangkat. Gumawa ng dalawang pahinang pamphlet na nagsusulong ng adbokasiya upang mapangalagaan ang mga kontribusyon nito sa kasalukuyan. Sundin ang formatsa ibaba. Tinalakay sa nakaraang aralin ang tungkol sa Panahong Klasikal sa Europe, America, at mga Pulo sa Pacific. Nagkaroon ka rin ng malawak na kaalaman tungkol sa iba’t ibang kontribusyon ng mga nabanggit na kabihasnan sa daigdig. Ngayon naman ay kritikal mong masusuri ang impluwensiya ng mga nabanggit na kabihasnan sa daigdig. . Front Page Larawan ng Kontribusyon First Page Ipaliwanag ang kahalagahan ng kontribusyon sa kasalukuyang panahon sa: Daigdig Pilipinas Second Page Sumulat ng maikling pahayag na naglalaman ng inyong adbokasiya upang mapangalagaan ang kontribusyon na inyong napili
  • 100.
    209 Gawain27.Ang Aking Paglalakbay.Sa pagkakataong ito, isulat mo ang iyong sagot sa bahagi ng “Katapusan”. BINABATI KITA! Mahusay mong nagampanan ang gawain sa bahagi ng Pagnilayan at Unawain para sa Aralin 2. Paano nakaimpluwensiya ang mga pangyayari at mga tugon sa hamon ng mga sinaunang mamamayan sa mga nabanggit na kontinente tungo sa pagbuo ng sariling pagkakakilanlan? Simula Kalagitnaan Katapusan Ngayon ay mayroon ka nang sapat na pag-unawa tungkol sa mga kontribusyon at impluwensiya ng mga Kabihasnang Klasikal sa America at Africa at sa kultura ng mga mamamayan sa Pacific Islands. Handa ka na para sa susunod na aralin.
  • 101.
    210 ARALIN 3: AngDaigdig sa Panahon ng Transisyon -Mga Pangyayaring Nagbigay-daan sa Pag-usbong ng Europe sa Panahong Medieval Isinulat ni Jeanette Winterson ang mga katagang: “In the space between chaos and shape there was another chance.” Nangangahulugan ito na ang bawat kaguluhan at pagbagsak ay may kaagapay na panibagong pagkakataon. Marahil pagkakataon para bumangon, pagkakataon para muling umunlad.Sa pagitan ng pagbagsak at pagbangon ay isang mahalagang pangyayaring maaaring ituring na transisyon. Ikaw, sa buhay mo, ano ang maituturing mong mahalagang transisyon? Pagtutuunan sa Modyul na ito ang mga pangyayari sa Transisyunal na Panahon.Sa pagitan ng sinauna at makabagong panahon, ano nga ba ang naganap sa kasaysayan ng mundo partikular na sa Europe? Ano ang epekto ng mga pangyayaring ito sa paggpapalaganap ng pandaigdigang kamalayan? Paano nakaapekto ang mga pangyayari sa Transisyunal na Panahon sa paghubog at pagbuo ng pagkakakilanlan ng bansa at rehiyon sa daigdig?Halina’t iyo itong tuklasin. ALAMIN Matapos talakayin ang mga kabihasnang klasikal na nabuo sa daigdig, bibigyan naman ng tuon sa bahaging ito ng Modyul ang kalagayan ng mundo sa Panahon ng Transisyon. Pagtutuunan sa araling ito ang mga kaganapan sa kasaysayan na nakasentro sa Europe- mga pangyayari na nagbigay-daan sa pag-usbong ng Europe sa Panahong Medieval. Ano nga ba ang epekto ng mga pangyayaring ito sa pagpapalaganap ng pandaigdigang kaalaman? Subalit, bago mo tuluyang alamin ito, gawin mo muna ang sumusunod upang malaman ang lawak ng iyong kaalaman tungkol sa paksa. Handa ka na ba?
  • 102.
    211 Gawain 1.Photo-Suri Panuto: Suriinang larawan sa ibaba. Sagutin ang mga tanong matapos masuri ang larawan. Pamprosesong Tanong Sagutin ang sumusunod na tanong. 1. Ano ang ipinahihiwatig ng larawan? 2. Sa iyong palagay, anong panahon sa kasaysayan makikita ang mga tagpong nasa larawan? 3. Sa kasalukuyan, mayroon pa kayang mga tagpong tulad ng iyong nakikita sa larawan? Patunayan. Gawain 2.A-R Guide (Anticipation-Reaction Guide) Panuto: Marahil ay nasasabik ka nang pag-aralan ang susunod na aralin. Upang mataya ang dati mong kaalaman sa paksa, isagawa ang susunod na gawain. Alamin kung gaano na ang iyong kaalaman sa paksang taalakayin. Isulat sa unang kolum ang SA kung ikaw ay sang-ayon sa pahayag at HSA namn kung hindi.
  • 103.
    212 Bago ang Talakayan PAHAYAG Mataposang Talakayan 1. Sa pagbagsak ng Imperyong Romano at pananalasa ng iba’t ibang pangkat ng mga barbaro ay natapos ang Sinaunang Panahon at pumasok ang pagsisimula ng Panahong Medieval. 2. Si Charlemagne o “Charles the Great” ang itinuturing na isa sa pinakamahusay na hari ng Panahong Medieval. Pinamunuan niya ang “Holy Roman Empire” na sinasabing muling bumuhay sa Imperyong Roman. 3. Sa panahon ng kaguluhan bunsod ng pagbagsak ng imperyong Roman at pananalakay ng mga tribung barbaro, naging kanlungan ng mga tao ang simbahan. Naging mahalaga ang papel ng “Kapapahan” o ang tungkulin, panahon ng panunungkulan at kapangyrihang panrelihiyon ng Papa bilang pinuno ng simbahang Katoliko. 4. Pangunahing layunin ng paglulunsad ng mga Krusada ang pagpapalaganap ng relihiyong Kristiyanismo sa iba pang panig ng daigdig. 5. Ang Piyudalismo ay isang matibay na sistemang naitatag noong Panahong Medieval. Itinuturing itong sistemang politikal, sosyo-ekonomiko at militar na sagot sa pangangailangan sa tagapanguna sa panahon ng kaguluhan. 6. Ang pang-ekonomiyang aspeto ng Piyudalismo ay tinatawag na Manoryalismo. Ito ay ang sistemang gumagabay sa pamumuno ng mga hari sa kanilang nasasakupan. 7. Bunsod ng pagtaas ng populasyon at pag-unlad ng kalakalan ay ang pag-unlad ng mga bayan. Ang paglago ng bayan ay nakatulong sa paglago ng kalakalan at ang paglago ng kalakalan ay nakatulong din sa paglago ng mga bayan.
  • 104.
    213 BINABATI KITA! Sa puntongito ay natapos mo na ang bahagi ng Alamin. PAUNLARIN 8. Maaaring umangat ang isang tao sa lipunan dahil hindi nakabatay sa kapanganakan ang antas sa buhay kundi sa kayamanan ng isang tao. 9. Naging maunlad ang mga manor dahil sa pakikipagkalakalan sa ibang bayan. 10. Ang mga pangyayaring nagbigay- daan sa pag-usbong ng Europe ay nakatulong sa pagkakabuo ng pandaigdigang kamalayan sa kasalukuyang panahon. Natititiyak kong nais mong malaman kung tama ang iyong mga sagot sa talahanayan. Masasagot ito sa susunod na bahagi ng Modyul. Sa iyong pagtupad sa iba’t ibang gawain, suriin kung tumutugma ba ang iyong mga dating kaalaman sa mga bagong kaaalaman na iyong matututuhan sa Modyul na ito. Sa bahaging ito ay inaasahan na matututuhan mo ang mga pangyayaring nagbigay-daan sa pag-usbong ng Europe sa Panahong Medieval. Sagutin ang mga gawain upang lalo pang mapagyaman ang iyong kaalaman tungkol sa paksa. Handa ka na ba?
  • 105.
    214 GAWAIN 3. DaloyNg Kasaysayan Pamprosesong Tanong 1. Mula sa mga nabanggit na salik sa diagram, ano sa tingin mo ang pangunahing dahilan ng pagbagsak ng Imperyong Roman? Bigyang katuwiran ang iyong sagot. 2. Sa iyong palagay, ano ang magiging epekto ng pagbagsak ng Imperyong Roman sa kabuuan ng Europe? Tinalakay sa Aralin 1 ng Modyul 2 ang pagkakatatag ng mga Klasikal na Kabihasnan sa Europe. Sa pagdaan ng panahon, ang dating matayog at makapangyarihang imperyong Romano ay unti-unting humina at tuluyang bumagsak. Makikita sa diagram ang mga salik ng pagbagsak ng Imperyong Romano. Panuto: Suriin ang diagram at sagutin ang kasunod na mga tanong. PAGBAGSAKNGIMPERYONGROMANO Halaw mula sa Kasaysayan ng Daigdig (Batayang Aklat Para sa Ikatlong Taon) nina Vivar et.al, pahina 137-139 Diagram Blg. 3.1. Mga Salik sa Pagbagsak ng Imperyong Roman. Kakulangan ng mga Tapat at may Kakayahan g Pinuno Paglubha ng Krisis Pangka- buhayan Paghina ng Hukbong Romano Pagkawala ng Katuturan ng Pagkamama -mayang Romano Pagbaba ng Moralidad ng mga Romano Pagsalakay ng mga Barbaro
  • 106.
    215 Suriin ang diagramtungkol sa pag-usbong ng Europe sa Panahong Medieval http://mrgrayhistory.wikispaces.com/file/view/L_Middle_Ages_-_Pope_Apology.jpg/244152229/293x372/L_Middle_Ages_-_Pope_Apology.jpg http://images2.wikia.nocookie.net/__cb20101006230145/deadliestfiction/images/b/b1/Charlemagne.jpg http://ts2.mm.bing.net/th?id=H.4513801360115517&pid=15.1 http://crabberworldhistory.wikispaces.com/file/view/high_middle_agesjpg/180280913/high_middle_ages.jpg Ang Paglakas ng Simbahang Katoliko Bilang Isang Institusyon sa Gitnang Panahon Ang Holy Roman Empire Ang Paglunsad ng mga Krusada Ang Buhay sa Europe Noong Gitnang Panahon (Piyudalismo, Manorialismo, Pag- usbong ng mga Bayan at Lungsod) Mga Pangyayaring Nagbigay-daan sa Pag- usbong ng Europe sa Panahong Medieval Sa mga susunod na aralin, subukang suriin ang mga dahilan at bunga ng paglakas ng Simbahang Katoliko bilang institusyon noong Panahong Medieval. Diagram Blg. 3.2 Mga Mahahalagang Pangyayari sa Panahong Medieval sa Europe
  • 107.
    216 Gawain 4.Magbasa atMatuto Panuto: Bilang panimula sa pagtalakay ng paksa, basahin at unawain ang teksto tungkol sa mga salik sa paglakas ng kapangyarihan ng Pope sa Europe. Mga Salik na Nakatulong sa Paglawak ng Kapangyarihan ng Kapapahan Apat ang pangunahing salik na nagbigay-daan sa paglakas ng kapangyarihan ng Papa sa Rome. Pangunahin na rito ang pagbagsak ng Imperyong Romano na siyang nagbunsod sa kapangyarihan ng kapapahan. Pagbagsak ng Imperyong Roman.Marami ang dahilan ng paglakas ng kapangyarihan ng Simbahang Katoliko at ng kapapahan. Isa na rito ang pagbagsak ng imperyong Romano noong 476 C.E., na naghari sa kanluran at silangang Europe sa Gitnang Silangan at sa hilagang Africa sa loob ng halos 600 taon. Tinukoy ni Silvian, isang pari, na kalooban ng mga Roman ang bunga ng kanilang mga kasamaan. Ang mga kayamanang umagos papasok sa Rome ang naging sanhi ng palasak na kabulukan sa pamahalaan ng imperyo. Sa walang tigil na pagsasamantala sa tungkulin ng mga umuugit ng pamahalaan, nahati ang lipunan sa dalawang panig- ang pinakamaliit na bahagi ng lipunan na binubuo ng mayayaman at malalakas na pinuno sa pamahalaan at mga nakararaming maliliit na mamamayan. Lubhang nakapagpahina ang kabulukan sa pamahalaan at ang kahabag-habag na kalagayan ng pamumuhay ng mga pangkaraniwang tao sa katayuan ng Imperyong Rome. Noong 476 C.E., tuluyan itong bumagsak sa kamay ng mga barbaro na dati ng nakatira sa loob ng imperyo mula pa noong ikatlong siglo ng Kristiyanismo. Sa kabutihang-palad, ang simbahang Kristiyano, na tanging institusyong hindi pinakialaman ng mga barbaro, ang nangalaga sa mga pangangailangan ng mga tao. Sa kawalan ng pag-asang maibalik ang dating lakas-militar at kasaganaang materyal ng imperyo, bumaling ang mamamayan sa simbahang Katoliko sa pamumuno at kaligtasan. Binigyang-diin nila ang kalagayan ng kaluluwa sa ikalawang buhay ayon sa pangako ng Simbahan para sa mga nailigtas sa pamamagitan ni Kristo. Sa kabilang dako, nahikayat naman ang mga barbaro sa kapangyarihan ng Simbahan. Pumayag sila na binyagan sa pagka- Kristiyano at naging matapat na mga kaanib ng pari. Halaw sa Kasaysayan ng Daigdig, Batayang AKlat para sa Ikatlong Taon nina Vivar et. al. pahina 141-144 Ano-ano ang mga dahilan ng pagbagsak ng Imperyong Romano? ________________________________________ ________________________________________ Mula sa binasa, paano nakaimpluwensiya ang Simbahan sa panahon ng pagbagsak ng Imperyong Romano? ________________________________________ ________________________________________
  • 108.
    217 Matatag at Mabisang Organisasyonng Simbahan. Noong mga unang taon ng Kristiyanismo, karaniwang tao lamang ang mga pinuno ng Simbahan na nakilala bilang mga presbyter na pinili ng mga mamamayan. Mula sa mga ordinaryong taong ito lumitaw ang mga pari at mga hirarkiya. Isang diyosesis ang kongregasyon ng mga Kristiyano sa bawat lungsod na pinamunuan ng Obispo. Nasa ilalim ng Obispo ang maraming pari sa iba’t ibang parokya sa lungsod. Nang lumaganap ang Kristiyanismo mula sa lungsod patungo sa mga lalawigan, sumangguni sa mga Obispo ang mga pari sa kanilang pamumuno. Sa ilalim ng pamumuno at pamamahala ng Obispo, hindi lamang mga gawaing espiritwal ang pinangalagaan ng mga pari, kundi pinangasiwaan din nila ang gawaing pangkabuhayan, pang-edukasyon at pagkawanggawa ng Simbahan. Bukod dito, ang Obispo rin ang namamahala sa pagpapanatili ng kaayusan at katarungan sa lungsod at sa iba pang mga nasasakupan. Tinawag na mga Arsobispo ang mga Obispo na nakatira sa malalaking lungsod na naging unang sentro ng Kristiyanismo. Bukod sa panrelihiyong pamamahala ng kanilang sariling lungsod, may kapangyarihan ang isang Arsobispo sa mga Obispo ng ilang karatig na maliit na lungsod. Ang Obispo ng Rome, na tinawag bilang Papa, ang kinikilalang katas-taasang pinuno ng Simbahang Katoliko sa kanlurang Europe. Kabilang siya sa mga Arsobispo, Obispo at mga Pari ng mga parokya. Mula noong kalagitnaan ng ika-11 siglo, pinipili ang mga Papa ng Kolehiyo ng mga Kardinal sa pamamagitan ng palakpakan lamang, depende kung sino ang gusto ng matatandang kardinal. Sa Konseho ng Lateran noong 1719, pinagpasyahan ng mayorya ang paghalal ng Papa. Ang kapapahan (Papa) ay tumutukoy sa tungkulin, panahon, ng panunungkulan at kapangyarihang panrelihiyon ng Papa bilang pinuno ng Simbahang Katoliko, gayundin ang kapangyarihang pampulitika bilang pinuno ng estado ng Vatican. Ang salitang “Pope” ay ngangangahulugang AMA na nagmula sa salitang Latin na “Papa”. Noong unang panahon itinuturing ng mga kristyano ang “Papa” bilang ama ng mga Kristiyano, na siya pa ring tawag sa kanya sa kasalukuyang panahon. Ilarawan ang tungkulin ng sumusunod: Pari- _____________________________ _________________________________ _________________________________ Obispo- __________________________ _________________________________ _________________________________ Arsobispo- ________________________ _________________________________ _________________________________
  • 109.
    218 Uri ng Pamumunosa Simbahan Maraming mga naging pinuno ng Simbahan ang nakatulong sa pagpapalakas ng pundasyon ng Simbahang Katoliko Romano at Kapapahan. Ilan lamang sa mahahalagang tao ng Simbahan at ang kanilang mga nagawa ang makikita sa talahanayan. Pinuno/ Papa Paraan ng Pamumuno Constantine the Great  Pinagbuklod-buklod niya ang lahat ng mga Kristiyano sa buong imperyo ng Rome at ang Konseho ng Nicea na kaniyang tinawag.  Pinalakas ni Constantine ang kapapahan sa pamamagitan ng Konseho ng Constantinople. Sa kapulungang ito, pinag- uri-uri ng mga Obispo ang iba’t ibang malalaking lungsod sa buong imperyo. Gayundin, pinili ang Rome bilang pangunahing diyosesis at dahil dito, kinilala ang Obispo ng Rome bilang pinakamataas na pinuno ng Simbahang Katoliko Romano. Papa Leo the Great (440-461)  Binigyang-diin niya ang Petrine Doctrine, ang doktrinang nagsasabing ang Obispo ng Rome, bilang tagapagmana ni San Pedro, ang tunay na pinuno ng Kristiyanismo. Sa kaniyang mungkahi, ang emperador sa kanlurang Europe ang nag-utos na kilalanin ang kapangyarihan ng Obispo ng Rome bilang pinakamataas na pinuno ng Simbahan. Makalipas ang ilang daang taon, ibinigay ang pangalang Papa sa Obispo ng Rome. Mula noong kapanahunan ni Papa Leo, kinilala ang kapangyarihan ng Papa sa lahat ng mga Kristiyano sa kanlurang Europe. Tumanggi naman ang Simbahang Katoliko sa silangang Europe na kilalanin ang Papa bilang pinakamataas na pinuno ng Kristiyanismo hanggang sa panahong ito.http://upload.wikimedi a.org/wikipedia/comm ons/5/5b/Pope_St._L eo_IV.jpg
  • 110.
    219 Papa Gregory I Iniukol niya ang kaniyang buong kakayahan at pagsisikap sa paglilingkod bilang pinuno ng lungsod at patnubay ng Simbahan sa buong kanlurang Europe.  Natamo ni Papa Gregory I ang sukdulan ng tagumpay nang magawa niyang sumampalataya ang iba’t ibang mga barbarong tribo at lumaganap ang Kristiyanismo sa malalayong lugar sa kanlurang Europe. Dahil dito, nagpadala siya ng mga misyonero sa iba’t ibang bansa na hindi pa sumasampalatay sa Simbahang Katoliko. Buong tagumpay na nagpalaganap ng kapangyarihan ng Papa ang mga misyonerong ito nang sumampalataya sa Kristiyanismo ang England, Ireland, Scotland, at Germany.  Sa kaniyang pamumuno naganap ang labanan ng kapangyarihang sekular at eklesyastikal ukol sa power of investiture o sa karapatang magkaloob ng tungkulin sa mga tauhan ng Simbahan noong kapanahunan ni Haring Henry IV ng Germany. Itiniwalag kaagad niya sa simbahan si Haring Henry IV na gumanti naman nang ipag-utos niya ang pagpapatalsik kay Papa Gregory VII. Ngunit nang maramdaman ni Henry IV na kaanib ni Papa Gregory VII ang mga Maharlika sa Germany, sumuko siya sa Papa at humingi ng kapatawaran. Binawi ng Papa ang kaparusahang pagtitiwalag sa Simbahan pagkatapos ng lubhang paghihirap sa pagtawid sa Alps at napahamak pagkaraan nang malaon at masidhing pag-aaregluhan. Papa Gregory VII Ang investiture ay isang seremonya kung saan ang isang pinunong sekular katulad ng hari ay pinagkakalooban ng mga simbolo sa pamumuno katulad ng singsing sa Obispong kaniyang hinihirang bilang maging pinuno ng simbahan. Sa pamumuno ni Papa Gregory sa Simbahan, tinanggal niya ang karapatan ng mga pinunong sekular na magkaloob ng kapangyarihan sa pinuno ng simbahan. Ano ang kahalagahan ng pagkakaroon ng mahusay na pinuno sa pagtatag ng isang organisasyon? Ipaliwanag _________________________________ _________________________________ _________________________________ _________________________________ _______________________ http://upload.wikimedi a.org/wikipedia/comm ons/9/97/Francisco_d e_Zurbar%C3%A1n_ 040.jpg http://hist2615.wikispa ces.com/file/view/Gre gory_VII- 1.jpg/251843136/174 x220/Gregory_VII- 1.jpg
  • 111.
    220 Halaw sa “Kasaysayanng Daigdig, Batayang Aklat para sa Ikatlong Taon nina Vivar et. al, pahina 141-144 Pamumuno ng mga Monghe Binubuo ang mga monghe ng isang pangkat ng mga pari na tumalikod sa makamundong pamumuhay at nanirahan sa mga monasteryo upang mamuhay sa panalangin at sariling disiplina. Sila ang mga regular na kasapi ng mga pari at itinuturing na higit na matapat kaysa mga paring sekular. Tuwirang nasa ilalim lamang ng kontrol at pangangasiwa ng Abbot at Papa ang mga monghe. Namumuhay ang mga monghe sa ilalim ng mahigpit na mga alituntunin ng monasteryo. Dahil dito, malaki ang kanilangimpluwensya sa pamumuhay ng tao noong Panahong Medieval. Dahil sa kanilang paniniwalang “Ang pagtatrabaho at pagdarasal,” nagsikap sila sa paglinang at pagtanim sa mga lupain na nakapaligid sa kanilang mga monasteryo. Dahil dito, hindi lamang kapaki-pakinabang ang kanilang pagsisikap sa mga monasteryo, kundi higit pang nakaimpluwensya ito sa pag-unlad ng agrikultura sa buong Europe noong Panahong Medieval. Mga Gawain ng mga Monghe. Nagtiyaga ang mga monghe sa pag-iingat ng mga karunungang klasikal ng mga sinaunang Griyego at Romano. Dahil sa hindi pa natutuklasan ang palimbagan at ang paggawa ng papel, ang lahat ng mga libro na kanilang iniingatan sa mga aklatan sa monasteryo ang kanilang matiyagang isinusulat muli sa mga sadyang yaring balat ng hayop. Dahil sa ginawang pagsisikap ng mga monghe, ang mga kaalaman tungkol sa sinauna at panggitnang panahon ay napangalagaan sa kasalukuyan. Ang makatarungang pamumuno ng mga monghe sa kanlurang Europe ay nakatulong din sa lawak ng katanyagan at kapangyarihan ng Simbahan sa ilalim ng pamumuno ng Papa. Nagpakain ang mga monasteryo sa mahihirap, nangalaga sa mga maysakit at kumupkop sa mga taong nais makaligtas sa kanilang mga kaaway. Bumalangkas ang Simbahan ng isang sistema ng mga batas at nagtatag ng mga sariling hukuman sa paglilitis ng mga pagkakasala na kinasasangkutan ng mga pari at mga pangkaraniwang tao. Dahil walang sinumanang nagsasagawa ng ganitong paglilingkod pagkatapos bumagsak ang imperyo ng Rome, nahikayat ang mga tao sa Simbahan para sa kaayusan, pamumuno at tulong. Pinakamahalaga sa mga ginampanang tungkulin ng mga monghe ang pagpapalaganap ng Kristiyanismo sa utos ng Papa sa iba’tibang dako ng kanlurang Europe. Napag-alaman na natin kung paano napasampalataya sa Kristiyanismo ang mga Visigoth sa Spain; ang mga Anglo-Saxon sa England, Ireland at Scotland; at ang mga German sa ilalim ng direksiyon ni Papa Gregory I. Gayundin, naging martir si St. Francis Xavier, ang tinaguriang Apostol ng Asia para sa simulain ng pagpapalaganap ng Kristiyanismo, sa utos ng Papa sa Rome. Paano nakatulong ang mga monghe sa paglakas ng simbahan at pagpapalaganap ng Kristiyanismo? ________________________________ ________________________________ ________________________________ ________________________________ ________________________________
  • 112.
    221 Gawain 5.Diagram ngAking Natutuhan Panuto: Batay sa binasang teksto, isa-isahin ang mga salik na nakatulong sa paglakas ng kapangyarihan ng Papa sa Europe. Ipaliwanag ang sagot. Pamprosesong Tanong 1. Batay sa teksto, ano ang pangunahing papel na ginampanam ng simbahan noong Gitnang Panahon? Patunayan. 2. Bakit madaling nahikayat ng simbahan ang mga grupong barbaro na yakapin ang Katolisismo? 3. Paano nagkakatulad ang papel na ginampanan ng simbahan sa kasalukuyan sa gampanin nito noong Panahong Medieval? Ipaliwanag. Salik sa Paglakas ng Kapangyarihan ng Papa
  • 113.
    222 Gawain 6.3-2-1 Chart Panuto:Punanang chart ng hinihinging impormasyon ayon sa natutuhan mo sa binasang teksto. Konspeto o Kaalaman na Aking Natutuhan 1. __________________________________________ __________________________________________ 2. _________________________________________ _________________________________________ 3. _________________________________________ _________________________________________ Konsepto o Kaalaman na hindi ko gaanong naunawaan 1. __________________________________________ _________________________________________ 2. _________________________________________ _________________________________________ Tanong na nais ko pang mabigyan ng linaw 1. _________________________________________ _________________________________________ 3 1 2
  • 114.
    223 Gawain 7: SaMadaling Salita Panuto: Mula sa naging pagtalakay, sagutin ang tanong sa loob ng kahon. Bukod sa paglakas ng impluwensiya ng simbahang Katoliko, isa sa mahalagang kaganapan sa Europe sa Panahong Medieval ay ang pagkakatatag ng “Holy Roman Empire”. Sino nga ba si Charlemagne? Bakit tinawag na Holy Roman Empire ang imperyo? Ano ang kontribusyon ng imperyong ito sa pagpapalaganap ng pandaigdigang kamalayan? Mga Pangyayaring Nagbigay-daan sa Pag- usbong ng Europe sa Panahong Medieval Paano nakatulong ang paglakas ng simbahang Katoliko sa pag-usbong ng Europe sa Panahong Medieval?
  • 115.
    224 Gawain 8.Magbasa atMatuto Panuto: Basahin at suriing mabuti ang teksto tungkol sa mga kaganapang nagbigay- daan sa pagkakabuo ng “Holy Roman Empire”. Ang Holy Roman Empire Isa sa mga mayor ng palasyo si Charles Martel, ang nagsikap na pag-isahin ang France. Tinalo niya ang mga mananalakay na Muslim. Mula noon, hindi na nagtangkang sakupin ang Kanlurang Europe. Si Pepin the Short ang unang hinirang na hari ng France. Noong 768, humalili kay Pepin ang anak na si Charlemagne o Charles the Great, isa sa pinakamahusay na hari sa Medieval Period. Sa gulang na 40, kinuha niya si Alcuin, pinakamahusay na iskolar ng panahon upang magpaturo ng iba’t ibang wika. Inanyayahan din niya ang iba’t ibang iskolar sa Europe upang turuan at sanayin ang mga pari at opisyal ng pamahalaan. Sinakop niya ang Lombard, Muslim, Bavarian at Saxon at ginawang mga Kristiyano. Noong kapaskuhan ng taong 800, kinoronahan siyang emperador ng Banal na Imperyong Romano (Holy Roman Empire). Marami ang nagsabi na ang imperyo ang bumuhay na muli sa imperyong Romano. Sa panahon ng imperyo, ang mga iskolar ang naging tagapangalaga ng kulturang Graeco-Romano. Ang pagsasama-sama ng elementong Kristiyano, German, at Roman ang namayani sa kabihasnang Medieval. Nang namatay si Charlemagne noong 814, humalili si Louis the Religious. Hindi nagtagumpay ang pagsisikap nitong mapanatili ang imperyo dahil sa paglaban ng mga maharlika. Nang mamatay siya, hinati ng kaniyang tatlong anak ang imperyo sa pamamagitan ng Kasunduan ng Verdun noong 841. Napunta kay Charles the Bald ang France; kay Louis the German ang Germany; atang Italy kay Lothair.Sa pagkakawatak-watak ng imperyo, nawalan ng kapangyarihan ang mga haring Carolingian sa mga maharlika at nagsimula na naman ang paglusob ng mga Viking, Magyar at Muslim. Namayani sa Europe ang mga maharlika at humina ang mga hari. Nagsimula ang isang sistematikong sosyo-ekonomiko, politiko at militari- ang piyudalismo. Kasaysayan ng Daigdig (Batayang Aklat para sa Ikatlong Taon)nina Vivar et. al. pahina 140-141 481- Pinag-isani Clovis ang iba’t ibang tribung Franks at sinalakay ang mga Romano 496- Naging Kristiyano si Clovis at ang kaniyang buong sandatahan 511- Namatay si Clovis at hinati ang kaniyang kaharian sa kanyang mga anak 687- Pinamunuan ni Pepin II ang tribung Franks 717- Humalili kay Pepin II ang kaniyang anak na si Charles Martel 751- Ang anak ni Charles Martel na si Pepin the Short ay hinirang bilang Hari ng mga Franks sa halip na Mayor ng Palasyo Si Pope Leo III ang humirang kay Charlemagne bilang “Emperor of the Holy Roman Empire”. Ayon sa ilang aklat, nangangahulugan ito na ang ideya ng mga Romano ng isang sentralisadong pamahalaan ay hindi naglaho.Para sa karagdagang kaalaman basahin ang “Kasaysayan ng Daigdig, Batayang Aklat sa Araling Panlipunan, Ikatlong Taon nina Mateo et. al. pahina 173-175
  • 116.
    225 Gawain 9: Paggawang Timeline Panuto: Batay sa binasang teksto, punan ang timeline ng mahahalagang pangyayaring nagbigay-daan sa pagkakabuo ng Holy Roman Empire. 481 500 600 700 800 Pamprosesong Tanong 1. Sa iyong palagay, sinong personalidad ang pinakamahalaga sa pagtatatag ng Holy Roman Empire? 2. Bakit kaya Holy Roman Empire ang ibinansag sa imperyo ni Charlemagne? 3. Ano ang kahalagahan ng Simbahang Katoliko sa “Holy Roman Empire”? 4. Sa kasalukyan, masasabi pa bang may matibay na ugnayan ang pamahalaan at simbahan? Patunayan. Pinag-isa ni Clovis ang mga tribong Franks at sinalakay ang mga Romano.
  • 117.
    226 Gawain 10.Sa MadalingSalita Panuto: Mula sa naging pagtalakay, sagutin ang tanong sa ikalawang kahon. Sa Panahong Medieval, unti-unting namayagpag ang Simbahang Katoliko. Nagsimulang maging Kristiyano ang mga tao sa Europa, subalit nang bumagsak ang “Holy Roman Empire”, nawalan ng malakas na pinuno ang imperyo. Sa kabilang dako ay nagpapalawak din ng imperyo ang mga Muslim. Nakuha ng mga Muslim ang Jerusalem.Bunsod nito, nanawagan ang Papa ng paglulunsad ng mga Krusada. Alamin sa susunod na aralin ang mga sanhi at bunga ng paglulunsad ng mga Krusada. Mga Pangyayaring Nagbigay-daan sa Pag-usbong ng Europe sa Panahong Medieval Paano nakatulong ang paglakas ng simbahang Katoliko sa pag- usbong ng Europe sa Panahong Medieval? Paano nakatulong ang pagkakatatag ng “Holy Roman Empire”sa pag-usbong ng Europe sa Panahong Medieval?
  • 118.
    227 Gawain 11.Magbasa atMatuto. Panuto:Basahin at unawain ang teksto tungkol sa paglulunsad ng Krusada sa Europe. ANG KRUSADA Ang Krusada ay isang ekspedisyong militar na inilunsad ng Kristiyanong Europeo dahil sa panawagan ni Pope Urban II noong 1095. Ito ay isang banal na labanan ng mga relihiyosong Europeo laban sa mga Turkong Muslim na sumakop sa banal na pook sa Jerusalem. Mula Jerusalem balak salakayin ng mga Turkong Muslim ang Imperyong Byzantine kaya humingi ng tulong ang Emperador ng Byzantine sa Papa sa Rome lalo pa at sa pagsalakay na ito ay mapalaganap ang relihiyong Islam. Sa panawagan ni Papa Urban, hinimok niya ang mga kabalyero (knights) na maging krusador at pinangakuan niya ang mga ito na papatawarin sila sa kanilang mga kasalanan; kalayaan sa mga pagkautang; at kalayaang pumili ng “fief” mula sa lupa na kanilang masakop. Unang Krusada Ang unang Krusada ay binuo ng mga 3000 kabalyero at 12000 na mandirigma sa pamumuno ng Prinsipe at mga Pranses na nabibilang sa “nobility”. Matagumpay na nabawi ng grupong ito ang Jerusalem noong 1099 at nagtatag sila ng Estadong Krusador malapit sa Mediterranean. Sa pagsalakay nila sa Jerusalem, maraming Muslim ang napatay, pati na ang mga Hudyo at Kristyano. Nanatili sila ng mga limampung taon sa Jerusalem ngunit sinalakay din sila ng mga Muslim. Ikalawang Krusada Sa paghihikayat ni St Bernard ng Clairvaux, sinamahan siya nina Haring Luis VIIng France at Emperor Conrad III ng Germany. Maraming balakid na naranasan anggrupong ito sa pagpunta sa Silangan at ang pinakatagumpay nila ay ang pagsakop ngDamascus. Hindi pa man sila nakalayo sa pinanggalingang Europe ay nalunod na si Frederick at si Philip naman ay bumalik sa France dahil nag-away sila ni Richard. Nagpatuloy si Richard hanggang sa nagkasagupaan sila ni Saladin, ang pinuno ng mga Turko. Sa kahulihulihan nagkasundo silang itigil ang labanan. Sa loob ng tatlong taon ang mga Kristiyano ay malayang nakapaglakbay sa Jerusalem. Binigyan pa sila ng maliit na lupain malapit sa baybayin. Krusada ng mga Bata Noong 1212 isang labin dalawang taong French na ang pangalan ay Stephenay naniwala na siya ay tinawag ni Kristo na mamuno ng krusada. Libong mga bata angsumunod sa kaniya ngunit karamihan sa kanila ay nagkasakit, nasawi sa karagatan at ang iba ay ipinagbili bilang alipin sa Alexandria. Ikaapat na Krusada Ang ikaapat na Krusada na inulunsad noong 1202 ay naging isang iskandalo. Ang mga krusador ay ibinuyo ng mga mangangalakal ng Venetra na Kristiyanong bayan ng Zara. Nagalit ang Papa sa ginawa nilang ito kaya sila ay idineklarang “excomunicado”. Nagpatuloy sa pagdarambong ang mga krusador hanggang sa Constantinople kungsaan nagtayo sila ng sariling pamahalaan. Noong 1261 sila ay napatalsik sa Constantinople at naibalik ang imperyong Byzantine. Ang huling kuta ng mga Kristiyano sa Arce ay napasakamay ng mga Muslim at ito ay naging simula ng paghina ng Krusada.
  • 119.
    228 . Resulta ng Krusada Kungmayroon mang magandang naidulot ang Krusada, ito ay sa larangan ng kalakalan. Napalaganap ang komersyo at ito ay nagsilbing salik sa pag-unlad ng mga lungsod at malalaking daungan. Ang kulturang Kristiyano ay napayaman din. Sa kabilang panig, ang krusada ay naglantad ng tunay na mga layunin ng mga sumama sa gawaing ito. Hindi pagmamalasakit sasimbahan ang naging dahilan sapagsama sa banal na laban na ito kundi ang pagkakataong makapaglakbay at mangalakal. Halaw mula sa Project EASE Araling Panlipunan, Module 8 (“Ang Simbahang Katoliko: Isang Makapangyarihang Institusyon sa Gitnang Panahon) Para sa karagdagang impormasyon, basahin ang “Kasaysayan ng Daigdig, Batayang Aklat Para sa Ikatlong Taon nina Vivar et. al, pahina 145-147 Ang salitang “Crusade” ay nagmula sa salitang Latin na “crux” na nangangahulugang “cross”. Ang mga Krusador ay taglay ang simbolo ng Krus sa kanilang kasuotan. Iba pang Krusada Nagkaroon ng iba pang Krusada noong 1219, 1224, 1228 ngunit lahat ng mga ito ay naging bigo sa pagbawi muli sa Holy Land.Sa kabuuan, ang mga Krusada ay pawang bigo, maliban sa una na nahawakan nila ang Jerusalem sa loob ng isang daang taon at pagkatapos nito ay nanumbalik na naman sa kamay ng mga Turkong Muslim ang lupain. Mapa 3.1 Ruta ng ilan sa mga Krusada
  • 120.
    229 Gawain 12.History Frame Panuto:Matapos mabasa ang teksto, bumuo ng History frame tungkol sa paksang napatakda s pangkat. Unang Pangkat; Pangyayari at Mga Tauhan Ikalawang Pangkat: Suliranin o Layunin Ikatlong Pangkat: Konteksto (Saan at Kailan) Ikaapat na Pangkat: Mahahalagang Pangyayari Ikalimang Pangkat: Kinalabasan/ Resulta History Frame: Pagkatapos ng talakayan sa pangkat, ibahagi ang inyong output sa klase. Pamprosesong Tanong: 1. Ano ang kahalagahan ng Krusada sa kasaysayan ng daigdig? 2. Sa kasalukuyan, anong pangayayari ang maikukumpara sa naganap na Krusada noong Panahong Medieval? Ipaliwanag 3. Anong aral ang natutuhan mo? Paano mo ito maiuugnay sa iyong pangaraw-araw na buhay? Ipaliwanag. Pangyayari: Mga Pangunahing Tauhan: Konteksto:Suliranin/ Layunin ng Pangyayari: Mahahalagang Pangyayari: Kinahinatnan/ Resulta: Aral na Natutunan:
  • 121.
    230 Gawain 13.Lesson Closure Panuto:Ibuod ang mga pangyayaring nagbunsod sa paglulunsad ng mga Krusada. Punan ng impormasyon ang mga patlang upang mabuo ang talata. Ang Krusada ay isang ____________________ na inilunsad ng mga Europeo sa panawagan ni ______________. Layunin nito na ______________________________________ __________________________________________________. Sa kasaysayan, maraming Krusada ang naganap. Ilan sa mga ito ay ang ______________________________________________________________ ______________________________________________________________ . Sa kabuuan, masasabi na hindi nagtagumpay ang mga nailunsad na Krusada dahil _________________________________________________________ ______________________________________________________________ ______________________________________________________________
  • 122.
    231 Gawain 14: SaMadaling Salita Panuto: Mula sa naging talakayan tungkol sa paksa, sagutin ang tanong sa ikatlong kahon. Tatalakayin naman sa bahaging ito ang tungkol sa Piyudalismo, Manorialismo, at ang Pag-usbong ng mga Bayan at Lungsod sa Europe noong Panahong Medieval. Mga Pangyayaring Nagbigay-daan sa Pag- usbong ng Europe sa Panahong Medieval Paano nakatulong ang pagkakatatag ng “Holy Roman Empire”sa pag- usbong ng Europe sa Panahong Medieval? Paano nakatulong ang paglakas ng simbahang Katoliko sa pag-usbong ng Europe sa Panahong Medieval? Paano nakatulong ang paglulunsad ng mga Krusada sa pag- usbong ng Europe sa Panahong Medieval?
  • 123.
    232 Gawain 15.Comic-Suri Panuto:Suriin ang“comic strip” at sagutin ang tanong sa loob ng kahon. Sa iyong palagay, anong Sistema ang umiiral na ipinahihiwatig ng “comic strip”? Ipaliwanag. _____________________________________________________________ _____________________________________________________________ _____________________________________________________________ Ano-anong mga uring panlipunan ang makikita sa “Comic Strip”? __________________________ __________________________ __________________________ __________________________ __________________________ _____ Ano ang salitang nababanggit sa lahat ng bahagi ng “Comic Strip”? Ano ang ipinapahiwatig nito? __________________________ __________________________ __________________________ __________________________ __________________________ ______ Ako ang HARI, pagmamay-ari ko ang lahat ng lupain. Subalit ibinigay ko ang iba sa mga BARON. Ako ang BARON, dapat akong maging TAPAT sa HARI dahil ibinigay niya sa akin ang ilan sa kaniyang lupain. Dapat maging handa akong ipaglaban siya at magsanay ng mga KNIGHT. Ibinigay ko ang ilan sa aking lupain sa aking mga KNIGHT. Ako ang VILLEIN, ibinigay ng KNIGHT sa akin ang ilan sa kaniyang lupain upang mapagtaniman at paunlarin. Tungkulin kong magbayad ng buwis at pagkalooban siya ng regalo. Hindi ako maaaring umalis sa lupain na kaniyang nasasakupan nang walang pahintulot ng KNIGHT.
  • 124.
    233 GAWAIN 16: Magbasaat Matuto Panuto: Basahin at suriin ang sumusunod na teksto. Sagutin ang mga tanong sa kahon kaugnay ng tekstong binasa. Ang Piyudalismo Mula sa ikasiyam hanggang ika-14 na siglo, ang pinakamahalagang anyo ng kayamanan sa Europe ay lupa. Kinakailangang pangalagaan ang pagmamay-ari ng lupa.Pangunahing nagmamay-ari ng lupa ang hari. Dahil sa hindi niya kayang ipagtanggol ang lahat ng kaniyang lupain, ibinabahagi ng hari ang lupa sa mga nobility o dugong bughaw. Ang mga dugong bughaw na ito ay nagiging vassal ng hari. Ang hari ay isang lord o panginoong may lupa. Ang iba pang katawagan sa lord ay liege o suzerain. Samantala, ang lupang ipinagkakaloob sa vassal ay tinatawag na fief.Ang vassal ay isa ring lord dahil siya ay may-ari ng lupa. Ang kaniyang vassal ay maaaring isa ring dugong bughaw. Ang homage ay isang seremonya kung saan inilalagay ng vassal ang kanyang kamay sa pagitan ng mga kamay ng lord at nangangako rito na siya ay magiging tapat na tauhan nito. Bilang pagtanggap ng lord sa vassal, isinasagawa ang investiture o seremonya kung saan binibigyan ng lord ang vassal ng fief. Kadalasang isang tingkal ng lupa ang ibinibigay ng lord sa vassal bilang sagisag ng ipinagkaloob na fief. Ang tawag sa sumpang ito ay oath of fealty. Kapag naisagawa na ng lord at vassal ang oath of fealty sa isa’t isa, gagampanan na nila ang mga tungkuling nakapaloob sa kasunduan. Tungkulin ng lord na suportahan ang pangangailangan Ano ang ibig sabihin ng Piyudalismo? _______________________________ _______________________________ _______________________________ _______________________________ Paano mo mailalarawan ang ugnayan o relasyon ng lord at vassal? _______________________________ _______________________________ _______________________________ _______________________________ ng vassal sa pamamagitan ng pagkakaloob ng fief. Tungkulin din niya na ipagtanggol ang vassal laban sa mga mananalakay o masasamang-loob at maglapat ng nararapat na katarungan sa lahat ng mga alitan. Bilang kapalit, ang pangunahing tungkulin ng vassal ay magkaloob ng serbisyong pangmilitar . Tungkulin din ng vassal na magbigay ng ilang kaukulang pagbabayad tulad ng ransom o pantubos kung mabihag ang lord sa digmaan. Kailangan din niyang tumulong sa paghahanap ng sapat na salapi para sa dowry ng panganay na dalaga ng lord at para sa gastusin ng seremonya ng pagiging knight ng panganay na lalaki ng lord. Ang knight ay isang mandirigmang nakasakay sa kabayo at nanumpa ng katapatan sa kaniyang lord. Halaw sa Kasaysayan ng Daigdig, Batayang Aklat sa Araling Panlipunan nina Mateo et.al. pahina 192-193
  • 125.
    234 Ang Pagtatag ngPiyudalismo Ang Piyudalismo sa Gitnang Panahon ay nag-ugat sa paghahati-hati ng Banal na Imperyo ni Charlemagne batay sa kasunduan sa Verdum. Mahihinang tagapamahala ang mga tagapagmana ni Charlemagne kaya ang mga opisyal ng pamahalaan at mga may-ari ng lupain ay humiwalay sa pamumuno ng hari. Naibangon muli ang mga lokal na pamahalaan na ngayon ay pinatatakbo ng mga maharlikha katulad ng mga konde at duke. Sa sitwasyong ito pumasok ang mga barbarong Viking, Magyar, at Muslim. Sinalakay nila ang iba’t ibang panig ng Europa lalo na sa bandang France. Ang mga Viking na kilala rin sa tawag na Normans ay nabigyan ng lupain sa bandang France kapalit ng pagtanggap nila ng Kristiyanismo. Ang lupaing napasakanila ay kilala ngayon sa tawag na Normandy. Ang madalas na pagsalakay na ito ng mga barbaro ay nagbigay ligalig sa mga mamamayan ng Europe. Dahil dito, hinangad ng lahat ang pagkakaroon ng proteksiyon kaya naitatag ang sistemang Piyudalismo. Ano ang kinahinatnan ng mahinang uri ng pamumuno, batay sa tekstong binasa? ___________________________ ___________________________ ___________________________ ___________________________ ___________________________ Bakit itinatag ang sistemang Piyudalismo? ___________________________ ___________________________ ___________________________ ___________________________ ___________________________ _ Halaw mula sa Project EASE Araling Panlipunan, Module 9 (“Sistemang Pyudal sa Gitnang Panahon sa Europa) Isang magandang alaala ng Piyudalismo ang sistemang kabalyero (knighthood). Kinapapalooban ang kodigo ng kagandahang asal ng mga kabalyero (chivalry) ng katapangan, kahinahunan, pagiging marangal at maginoo lalo na sa kaibigan. Nagpapalaganap din ng mga saloobing Kristiyano ang sistemang kabalyero tulad ng pagtatanggol sa mga naaapi at paggalang sa kababaihan. Banal at isang propesyon na pinagpala ng simbahan ang pagiging kabalyero. Kalakip nito ang tungkuling ipagtanggol at itaguyod ang Kristiyanismo. Halaw sa Kasaysayan ng Daigdig Batayang Aklat para sa Ikatlong Taon nina Vivar et. al pahina 150 Para sa karagdagang kaalaman, basahin ang “Kasaysayan ng Daigdig, Batayang Aklat sa Araling Panlipunan Ikatlong Taon nina Mateo et. al. pahina 192-195 at Kasaysayan ng Daigdig Batayang Aklat para sa Ikatlong Taon nina Vivar et. al pahina 148-150
  • 126.
    235 Lipunan sa PanahongPiyudalismo Nahahati sa tatlong pangkat ang lipunang Europeo sa panahong Piyudalismo- ang mga pari, kabalyero o maharlikang sundalo at mga alipin (serf) Mga Pari. Hindi itinuturing ang mga pari na natatanging sektor ng lipunan sapagkat hindi namamana ang kanilang posisyon dahil hindi sila maaaring mag- asawa. Maaaring manggaling ang mga pari sa hanay ng maharlika, manggagawa at mga alipin. Mga Kabalyero. Noong panahon ng kaguluhan kasunod ng pagkamatay ni Charlemagne, may matatapang at malalakas na kalalakihan na nagkusang loob na maglingkod sa mga hari at sa mga may-ari ng lupa upang iligtas ang mga ito sa mga mananakop. Dahil sa hindi umiiral ang paggamit ng salapi, ang magigiting na sundalo o kabalyero ang pinagkalooban ng mga kapirasong lupa bilang kapalit ng kanilang paglilingkod. Ang mga kabalyero ang unang uri ng mga maharlika, tulad ng mga panginoon ng lupa, na maaaring magpamana ng kanilang lupain. Mga Serf. Ito ang bumubuo ng masa ng tao noong Medieval Period. Nanatili silang nakatali sa lupang kanilang sinasaka. Kaawa-awa ang buhay ng mga serf. Nakatira sila sa maliit at maruming silid na maaaring tirahan lamang ng hayop sa ngayon. Napilitan silang magtrabaho sa bukid ng kanilang panginoon nang walang bayad. Wala silang pagkakataon na umangat sa susunod na antas ng lipunan tulad ng maharlika at malayang tao.Makapag-aasawa lamang ang isang serfsa pahintulot ng kaniyang panginoon. Lahat ng kaniyang gamit, pati na ang kaniyang mga anak, ay itinuturing na pag- aari ng panginoon. Wala silang maaaring gawin na hindi nalalaman ng kanilang panginoon. Halaw sa Kasaysayan ng Daigdig Batayang Aklat para sa Ikatlong Taon nina Vivar et. al pahina 148-149 Ano-ano ang uring panlipunan noong panahon ng piyudalismo? Ilarawan ang bawat isa.
  • 127.
    236 Pamprosesong Tanong 1. Anoang ipinapahiwatig ng pagkakaroon uring lipunan sa Sistemang Piyudalismo? 2. Bakit mahalaga ang lupa sa Sistemang Piyudalismo? Ipaliwanag. 3. Sa kasalukuyan, umiiral pa ba ang Sistemang Piyudalismo? Pangatwiranan Gawain 17.Alam Ko Na Panuto: Upang mataya at mapagtibay ang iyong kaalaman mula sa binasang teksto, sagutin ang sumusunod na tanong. 1. Ano ang Piyudalismo? _________________________________________________________ _________________________________________________________ __________. 2. Ano-anong uring panlipunan mayroon ang Piyudalismo? _________________________________________________________ _________________________________________________________ _________________________________________________________ _________________________________________________________ _______________. 3. Ano ang kahalagahan ng lupa sa sistemang Piyudal? _________________________________________________________ _________________________________________________________ _________________________________________________________ ___________________________________________________.
  • 128.
    237 Gawain 18.Magbasa atMatuto Panuto: Sa bahaging ito ng modyul, pag-aaralan mo naman ang Manoryalismo. Basahin at unawain ang teksto tungkol sa paksa. Pagasasaka: Batayan ng Sistemang Manor Ang Sistemang Manor ang sentro ng lipunan at ekonomiya ng mga tao na nakatira dito. Ang isang fief ay binubuo ng maraming manor na nakahiwalay sa isa’t isa. Ito ay maaaring maihalintulad sa isang pamayanan (village) kung saan angmga naninirahan dito ay umaasa ng kanilang ikabubuhay sa pagsasaka sa manor. Sakabilang dako ang kanilang panginoon ay dito rin umaasa sa kita ng pagsasaka samanor na kaniyang magiging kayamanan. Ang kastilyo ng panginoong piyudal ang pinakapusod ng isang manor. Maaari ringang bahay sa manor ay isang malaking nababakurang gusali o kaya ay palasyo. Ang lupain sa loob ng manor ay nahahati ayon sa paggagamitan nito. Kumpleto sa mga kakailanganin ng magsasaka ang mga gamit sa manor. Para sa mga naninirahan doon,ang mga pangangailangan nila ay napapaloob na sa manor. Nandiyan ang kamalig, kiskisan, panaderya, at kuwadra ng panginoon. Mayroon ding simbahan, pandayan, at pastulan. Kung maibigan ng panginoon, ang mga kaparangan at kagubatan ay kaniyang hinahati ngunit nag- iiwan siya ng pastulan na maaaring gamitin ng lahat. Halaw mula sa Project EASE Araling Panlipunan, Module 9 (“Sistemang Pyudal sa Gitnang Panahon sa Europa) Ang manor ay isang malaking lupang sinasaka. Ang malaking bahagi ng lupain na umaabot ng 1/3 hanggang ½ ng kabuuang lupang sakahan ng manor ay pag-aari ng lord at ilan lamang sa mga magsasaka ang nagmamay-ari ng lupa. Halaw mula sa “Kasaysayan ng Daigdig (Batayang Aklat sa Araling Panlipunan, Ikatlong Taon) nina Mateo, et.al pahina 195)
  • 129.
    238 Gawain 19. Photo-suri Panuto:Suriin ang larawan at sagutin ang mga tanong sa kahon. Pamprosesong Tanong 1.Batay sa teksto, anong uri ng relasyon mayroon ang lord at mga magbubukid? 2. Sa iyong palagay, naipagkakaloob ba sa isang manor ang mga pangangailangan ng mga mamamayan nito? Patunayan. 3. May gampanin ba ang mga kababaihan sa sistemang Manoryalismo? Ipaliwanag. Halaw mula sa Project EASE Araling Panlipunan, Module 9 (“Sistemang Pyudal sa Gitnang Panahon sa Europa) Ano ang ipinapahiwatig ng kastilyo sa gitna ng manor? Ipaliwanag. __________________ __________________ __________________ __________________ __________________ __________________ __ Ano ang pangunahing ikinabubuhay sa isang manor?. __________________ __________________ __________________ __________________ ________________ Ano ang kahalagahan ng mga magbubukid sa manor? __________________ __________________ __________________ ____________
  • 130.
    239 GAWAIN 20: Magbasaat Matuto Panuto: Kasama ng iyong pangkat, basahin at suriin ang sumusunod na teksto. Paglago ng mga Bayan Ang paglakas ng kalakalan ay naging malaking tulong sa paglago ng mga bayan. Nagkaroon ng pagbabago sa agrikultura bunsod ng pagtuklas ng mga bagong teknolohiya at mga bagong pamamaraan sa pagtatanim. Bunga nito, tumaas ang ani kaya nagkaroon ng magandang uri ng pamumuhay ang mga tao. Nakatulong din nang malaki ang pagsasaayos ng mga kalsada upang mapadali ang pagdala at pagbili ng mga produktong agrikultural. Marami ang nanirahan sa mga lugar na malapit sa pangunahing daan. Paggamit ng Salapi Sa unang mga taon ng Gitnang Panahon, ang sistema ng kalakalan ay palitan ng produkto o barter. Dinadala ng mga magbubukid o kaya ng “serf” ang mga produktong bukid o produktong gawa sa bahay sa mga lokal na pamilihan. Dito nagpapalitan ng produkto ang mga tao. Ang lokal na pamilihan ay nagaganap lamang bawat linggo sa malalawak na lugar malapit sa palasyo o simbahan. Sa paglawak ng kalakalan kung saan maraming lugar na ang sumali, naisip ng panginoong piyudal na magtatag ng taunang perya. Dito sa peryang ito nagkatagpo-tagpo ang mga mangangalakal. Sa peryang ito kumikita ang panginoong piyudal dahil siya ay naniningil ng buwis at multa dito. Dito sa peryang ito nakita ang paggamit ng salapi ngunit iba-iba ang kanilang salaping barya. Dahil dito, nagsulputan ang mga namamalit ng salapi (money changer), na sa maliit na halaga ay namamalit ng iba’t ibang barya. Sa pagpapalit ng salaping ito nasabing nagsimula ang pagbabangko. Natuklasan ng ilang mangangalakal na hindi delikado ang mag-iwan ng malalakinghalaga sa mga namamalit ng salapi. Ang salaping ito ay ipinauutang din nang may tubo. Ang isang mangangalakal ay maaari ring magdeposito ng salapi sa isang lungsod at bibigyan siya ng resibo. Itong dineposito niya ay maaari niyang kolektahin sa ibanglungsod. Sa ganitong paraan naging ligtas ang paglipat ng salapi. Ang sistemang ito ng pagpapautang at pagbabangko ay nalinang sa hilagangItalya. Ang paggamit ng pera ay nakatulong sa paglalapit ng mga tao buhat sa iba’tibang lugar. Ano-ano ang mga mahahalagang impormasyong makukuha mula sa teksto? Unang Talata ________________ ________________ _______________ Ikalawang Talata ________________ ________________ _______________ Ikatlong Talata ________________ ________________ _______________ Ikaapat na Talata ________________ ________________ ________________ Ikalimang Talata ________________ ________________ ________________
  • 131.
    240 Ang Paglitaw ngBurgis Sa pag-unlad ng kalakalan at industriya at paglawak ng mga bayan, isangmakapangyarihang uri ng tao ang lumitaw. Sila ay tinatawag na burgis (men of burg o burgers o bourgeoisie). Ang interes ng grupong ito ay nasa kalakalan. Ang mataas na uri ng bourgeoisie ay ang mauunlad na negosyante at mga bangkero. Ang kanilang mga anak ay nag-aaral sa magagaling na unibersidad. Ang mgabourgeoisie ay ang nagiging gitnang uri at mababa ang pagtingin sa kanila ng panginoong piyudal dahil sa sila ay mga bagong yaman lamang. Ang mga burgis ay patuloy na umiral at sila ang nagtaguyod ng sining at nakalinang ng sariling uri ng pagkamaharlika. Mababa rin ang pagtingin nila sa mgadalubhasang manggagawa kaya nagkaroon ng pag-uuri ng tao sa lipunan batay sa yaman at hindi na sa angkan. Ano-ano ang mahahalagang impormasyong makukuha mula sa teksto? Unang Talata _______________ _______________ _______________ ______ Ikalawang Talata _______________ _______________ _______________ ______ Ang bayan sa panahong ito ay tinatawag na burgh. Ang mga taong nagtayo ng kanilang tirahan dito ay karaniwang tinatawag naburgher. Sa France, ang mga burgher ay kolektibong tinatawag na bourgeoisie. Ang mga burgher ay kakaiba sa tradisyunal na paghahati ng lipunan batay sa kanilang ginagawa. Hindi sila lordna may ari ng lupa at nakikidigma. Iba rin sila sa pari na nagdarasal at sa magbubukid na nagtatanim. Ang mga naninirahan sa bayan ay nagkakaloob ng produkto at serbisyo na ikinakalakal. Habang dumarami ang kalakal nila, yumayaman sila at umuunlad ang kanilang pamumuhay. Ang mga mangangalakal at artisan na ito ay bumuo ng bagong pangkat sa lipunan, ang gitnang uri o “middle class”. Sa bayan maaaring umangat ang pangkaraniwang tao sa lipunan. Yaman at hindi kapanganakan ang batayan ng pagkakakilanlan. Kadalasan, higit na mayaman pa ang mga mangangalakal kaysa mga dugong bughaw. Ano-ano ang mahahalagang impormasyong makukuha mula sa teksto? Unang Talata ______________________ ______________________ _______ Ikalawang Talata ______________________ ______________________ _______ Ikatlong Talata ______________________ ____ ______________________ ____ Halaw sa Kasaysayan ng Daigdig, Batayang Aklat sa Araling Panlipunan Ikatlong taon, nina Mateo et. al pahina 202-203
  • 132.
    241 Halaw sa ProjectEASE Araling Panlipunan, Module9 (“Sistemang Piyudal sa Gitnang Panahon sa Europa) Para sa karagdagang impormasyon, basahin an sumusunod: Kasaysayan ng Daigdig, Batayang Aklat Para sa Ikatlong Taon nina Vivar et.al pahina152-156 Kasaysayan ng Daigdig, Batayang Aklat Para sa Ikatlong Taon nina Mateo et. al pahina 200-205 Ang Guild System Marami sa mga naninirahan sa bayan ay sumali sa guild. Ang guild sa samahan ng mga taong nagtatrabaho sa magkatulad na hanapbuhay. Ang Merchant Guild Ang mga unang guild ay binalangkas ng mga mangangalakal. Nagpatayo sila ng mga bulwagang pinagdarausan ng pulong tungkol sa mga detalyeng kanilang negosyo. Kontrolado ng guild ng mga mangangalakal ang lahat ng kalakalan sa bayan. Maaari rin nilang hadlangan ang mga dayong mangangalakal sa pagnenegosyo sa kanilang bayan. Dahil sa kanilang yaman, lubhang naging mahalaga ang mga merchant guild o guild ng mga mangangalakal sa pamahalaang bayan. Hinikayat ng mga merchant guild ang pagkakaroon ng sistema ng kalinisan at pagpapagawa ng mga kanal para sa dumi. Sinikap nila na magkaroon ng iisang batayan ng timbang at panukat na maaaring gamitin ng lahat. Minsan, ginagampanan nila ang papel bilang mga pulis na naglalaan ng proteksyon. Maaari rin nilang impluwensiyahan ang mga lord na alisin ang toll o bayad ng mga daan sa mga lupain nito. Ang Craft Guild Nang lumaki ang mga bayan, ang mga artisan ay nagtatag ng sariling guild. Ang bawat craft o kasanayan ay may sariling guild. Halimbawa, ang mga karpintero, barbero, panadero, sastre, at iba pang hanapbuhay ay may sariling guild. Ang sinumang hindi kasapi sa isang guild ay hindi maaaring gumawa ng produkto na ginagawa ng nasabing guild. Halaw saKasaysayan ng Daigdig, Batayang Aklat Para sa Ikatlong Taon nina Mateo et. al pahina 204-205 Bigyang kahulugan ang sumusunod na konsepto: Ang Merchant Guild _____________________________ _____________________________ _____________________________ Ang Craft Guild _____________________________ _____________________________ _____________________________ _____________________________
  • 133.
    242 Gawain 21.Dahilan-Epekto Panuto: Bataysa mga binasang teksto, punan ang talahanayan ng wastong sagot. Dahilan Pangyayari Epekto Pag-unlad ng kalakalan Paglitaw ng mga Bourgeoisie Ang paggamit ng Salapi Pagkakaroon ng sistemang Guild Pamprosesong Tanong 1. Batay sa mga teksto, ano-anong pangyayari ang nagbigay-daan sa pag-usbong ng mga bayan at lungsod? 2. Sa iyong palagay, ano ang naging epekto ng paglakas ng mga burgis sa lipunan? Ipaliwanag. 3. Paano mo maiuugnay sa kasalukuyang panahon ang mga pangyayaring nabasa mo sa mga teksto? Ipaliwanag.
  • 134.
    243 Gawain 22.Sa MadalingSalita Panuto: Mula sa naging pagtalakay, sagutin ang tanong sa ikaapat na kahon. GAWAIN 23: A-R Guide (Anticipation-Reaction Guide) Sagutin ang ang pangatlong kolum sa pamamagitan ng pagsulat ng salitang sumasang-ayon o SA kung ikaw ay sumasang- ayon sa pahayag at hindi sumasang-ayono HSA kung ikaw ay di- sumasang-ayon sa pahayag. Mga Pangyayaring Nagbigay-daan sa Pag- usbong ng Europe sa Panahong Medieval Paano nakatulong ang pagkakatatag ng “Holy Roman Empire”sa pag- usbong ng Europe sa Panahong Medieval? Paano nakatulong ang paglakas ng simbahang Katoliko sa pag-usbong ng Europe sa Panahong Medieval? Paano nakatulong ang paglulunsad ng mga Krusada sa pag- usbong ng Europe sa Panahong Medieval? Paano nakatulong ang pag-usbong ng mga bayan at lungsod sa pag-usbong ng Europe sa Panahong Medieval?
  • 135.
    244 Bago ang Talakayan PAHAYAG Mataposang Talakayan 1. Sa pagbagsak ng Imperyong Roman at pananalasa ng iba’t ibang pangkat ng mga barbaro ay natapos ang Sinaunang Panahon at pumasok ang pagsisimula ng Panahong Medieval. 2. Si Charlemagne o “Charles the Great” ang itinuturing na isa sa pinakamahusay na hari ng Panahong Medieval. Pinamunuan niya ang “Holy Roman Empire” na sinasabing muling bumuhay sa Imperyong Roman. 3. Sa panahon ng kaguluhan bunsod ng pagbagsak ng imperyong Roman at pananalakay ng mga tribung barbaro, naging kanlungan ng mga tao ang simbahan. Naging mahalaga ang papel ng “papacy” o ang tungkulin, panahon ng panunungkulan at kapangyrihang panrelihiyon ng Papa bilang pinuno ng simbahang Katoliko. 4. Pangunahing layunin ng paglulunsad ng mga Krusada ang pagpapalaganap ng relihiyong Kristiyanismo sa iba pang panig ng daigdig. 5. Ang Piyudalismo ay isang matibay na sistemang naitatag noong Panahong Medieval. Itinuturing itong sistemang politikal, sosyo-ekonomiko at militar na sagot sa pangangailangan sa tagapanguna sa panahon ng kaguluhan. 6. Ang pang-ekonomiyang aspeto ng Piyudalismo ay tinatawag na Manoryalismo. Ito ay ang sistemang gumagabay sa pamumuno ng mga hari sa kanilang nasasakupan. 7. Bunsod ng pagtaas ng populasyon at pag-unlad ng kalakalan ay ang pag-unlad ng mga bayan. Ang paglago ng bayan ay nakatulong sa paglago ng kalakalan at ang paglago ng kalakalan ay nakatulong din sa paglago ng mga bayan.
  • 136.
    245 Pamprosesong Tanong 1. Magkatuladba ang iyong kasagutan sa una at ikatlong kolum? 2. Paano mo ilalarawan ang iyong kaalaman sa paksa batay sa gawain? Ipaliwanag. BINABATI KITA! Ngayon ay natapos mo na ang bahagi ng Paunlarin para sa Aralin 3 PAGNILAYAN AT UNAWAIN Sa bahaging ito pagtitibayin mo ang mga nabuong pag-unawa tungkol sa paksang pinag-aralan. Inaasahan din na sa pagkakataong ito ay kritikal mong masusuri ang mga epekto at kontribusyon ng ilang mahahalagang pangyayari sa Europe sa pagpapalaganap ng pandaigdigang kamalayan. 8. Maaaring umangat ang isang tao sa lipunan dahil hindi nakabatay sa kapanganakan ang antas sa buhay kundi sa kayamanan ng isang tao. 9. Naging maunlad ang mga manor dahil sa pakikipagkalakalan sa ibang bayan. 10. Ang mga pangyayaring nagbigay- daan sa pag-usbong ng Europe ay nakatulong sa pagkakabuo ng pandaigdigang kamalayan sa kasalukuyang panahon. Pagkatapos tuparin ang mga inihandang gawain sa bahaging Paunlarin ng aralin, tiyak na sapat na ang iyong kaalaman sa mga pangyayaring nagbigay-daan sa pag-usbong ng Europe sa Panahong Medieval. Maituturing ang mga pangyayaring ito na bahagi ng transisyon sa daigdig. Dahil sa iyong mga natutuhan, maaari mo ng gampanan ang mga inihandang gawain upang mapalalim pa ang iyong pag-unawa sa paksang ito.
  • 137.
    246 Gawain 24.Bumuo atMatuto Batay sa mga naganap na talakayan at pagtupad sa bawat gawaing inihanda, ano-ano ang kontribusyon ng sumsunod na pangyayari sa pag-usbong ng Europe sa Panahong Medieval? Panuto: Sumali sa pangkat at punan ang talahanayan ng mga kontribusyon ngmga nabanggit na pangyayari na nagbigay-daan sa pag-usbong ng Europe sa Panahong Medieval. Bawat pangkat ay gagawa ng powerpoint presentation at ilalahad ito sa klase. Mga Pangyayaring Nagbigay- daan sa Pag-usbong ng Europe sa Panahong Medieval Kontribusyon Ang Holy Roman Empire Kontribusyon Ang Paglakas ng Simbahang Katoliko Bilang Isang Institusyon sa Gitnang Panahon Kontribusyon Ang Paglunsad ng mga Krusada Kontribusyon Ang Buhay sa Europe Noong Gitnang Panahon Patunay Patunay Patunay Patunay
  • 138.
    247 Pamprosesong Tanong 1. Anoang kahalagahan ng mga pangyayari sa pag-usbong ng Europe noong Panahong Medieval sa kasalukuyan? 2. Paano nakatulong ang mga pangyayaring ito upang mapalaganap ang pandaigdigang kamalayan? Ipaliwanag Gawain 25.Makasaysayang Paglalakbay Panuto: Punan ang graphic organizer ng angkop na impormasyon batay sa iyong mga naunawaan sa mga nakaraang aralin. BINABATI KITA! Mahusay mong nagampanan ang gawain sa bahagi ng Pagnilayan at Unawain. Ngayon ay mayroon ka nang sapat na pag-unawa tungkol sa mga pangyayari na nagbigay-daan sa pag-usbong ng Europe sa Panahong Medieval. Tiyak na handa ka na para sa susunod na gawain. Ano ang kontribusyon ng iba’t ibang panahon na tinalakay sa modyul na ito sa pag-unlad ng Pandaigdigang Kamalayan? Kabihasnang Klasikal sa Europe Kabihasnang Klasikal sa America, Africa, at mga Pulo sa Pacific Mga Mahahalgang Pangyayari sa Panahong Medieval Pag-unlad n Pangdaigdigang Kamalayan
  • 139.
    248 ILIPAT/ISABUHAY GAWAIN 25: Video-Kasaysayan Panuto:Bumuo ng isang pangkat na may tatlo hangang apat na miyembro. Bawat grupo ay gagawa ng isang video tungkol sa pagmamalaki at pagpapahalaga sa isang pamanang Klasikal at Transiyunal na Panahon. Goal Makagagawa ng isang video na nagpapakita ng pagmamalaki at pagpapahalaga sa isang pamanang Klasikal at Transisyunal na Panahon Bigyang-tuon ang mga sumusunod sa paggawang video: a. Komprehensibong pagpapakila sa isang pamana ng Klasikal at Transisyunal na Panahon b. Pangangatwiran ng pangangalaga sa nasabing pamana c. Kahalagahan ng napiling pamana sa iyong henerasyon Role Miyembro ng isang organisasyong pang-mag-aaral na may adbokasiyang ipaalam sa mga kapwa mag-aaral ang kahalagahan ng mga pamanang Klasikal at Transisyunal na Panahon Audience Mga kapwa mag-aaral Situation Magdaraos ng isang seminar tungkol sa pagpapahalaga sa mga pamanang Klasikal at Transisyunal na Panahon. Product/Performance Video Standards Ang video-kasaysayan ay mamarkahan batay sa sumusunod na pamantayan : Natitiyak kong lubos na ang iyong kaalaman tungkol sa mga pangyayari sa daigdig sa mga Klasikal at Transisyunal na Panahon. Sa bahaging ito ng Modyul, ilalapat mo ang iyong mga natutuhan sa kasalukuyan. Ano nga ba ang kahalagahan ng mga paksang iyong pinag-aralan sa iyong buhay bilang isang indibidwal at bilang isang bahagi ng daigdig na iyong ginagalawan? Isagawa ang sumusunod na gawain.
  • 140.
    249 PAMANTAYAN 4 32 1 NAPAKAHUSAY MAHUSAY NALILINANG NAGSISIMULA Pagsusuri sa Pag- unlad ng Pandaigdigang Kamalayan Komprehensibo at mahusay ang pagsusuri sa pag-unlad ng Pandaigdigang Kamalayan sa pamamagitan ng paguugnay-ugnay ng mga salik at epekto ng iba’t ibang pangyayari. Naipakita ang mahusay na pagsusuri sa pag-unlad ng Pandaigdigang Kamalayan sa pamamagitan ng paguugnay- ugnay ng mga salik at epekto ng iba’t ibang pangyayari. Hindi gaanong naipakita ang mahusay na pagsusuri sa pag- unlad ng Pandaigdigang Kamalayan sa pamamagitan ng paguugnay-ugnay ng mga salik at epekto ng iba’t ibang pangyayari. Hindi naipakita ang mahusay na pagsusuri sa pag-unlad ng Pandaigdigang Kamalayan sa pamamagitan ng paguugnay- ugnay ng mga salik at epekto ng iba’t ibang pangyayari. Pinaghalawan ng Datos Ibinatay sa iba’t ibang saligan ang mga kaalaman tulad ng mga aklat, pahayagan, video clips, interview, radio at iba pa. Ibinatay sa iba’t ibang saligan ang mga impormasyon ngunit limitado lamang. Ibinatay lamang ang saligan ng impormasyon sa batayang aklat. Walang batayang pinagkunan. Ang mga impormasyon ay gawa- gawa lamang. Kaalaman sa Paksa Higit na nauunawaan ang mga paksa. Ang mga panguhaning kaalaman ay nailahad at naibigay ang kahalagahan. Wasto at magkaka-ugnay ang mga impormasyon sa kabuuan. Naunawaan ang paksa. Ang mga pangunahing kaalaman ay nailahad ngunit di-wasto ang ilan. May impormasyon na hindi maliwanag ang pagkakalahad. Hindi gaanong naunawaan ang paksa. Hindi lahat ng pangunahing kaalaman ay nailahad. May mga maling impormasyon at hindi naiugnay ang mga ito sa kabuuang paksa. Hindi naunawaan ang paksa. Ang mga pangunahing kaalaman ay hindi nailahad at natalakay. Walang kaugnayan ang mga pangunahing impormasyon sa kabuuang gawain. Organisasyon Organisado ang mga impormasyon. Ang presentasyon ng gawain ay malinaw na naipapahayag at natatalakay gamit ang makabuluhang powerpoint presentation. Organisado ang mga paksa sa kabuuan at may maayos na presentasyon ngunit di masyado nagamit nang maayos ang powerpoint presentation. Walang interaksyon at ugnayan sa mga kasapi. Walang malinaw na presentasyon ng mga paksa. May powerpoint presentation ngunit hindi nagamit at nagsilbi lamang na palamuti sa Di organisado ang paksa. Malinaw na walang preparasyon ang paksa.
  • 141.
    250 pisara Pagkamalikhain Malikhain ang nagawang video.Bukod sa props at costume ay gumamit ng iba’t ibang teknolohiya tulad ng sound effects, digital at visual effects upang maging makatotohanan ang senaryo. Malikhain ang nabuong video. Gumamit ng mga props at costume ang mga nagsipagganap. Hindi gaanong malikhain ang video. Gumamit ng mga props at costume subalit hindi gaanong angkop sa kanilang ginawa. Hindi malikhain ang ipinakitang video. Kulang sa mga props at costume upang maging makatotohanan ang senaryo. Transisyon sa susunod na modyul Binigyang-tuon sa Modyul na ito ang pagtalakay sa mga pangyayari sa daigdig sa Klasikal at Transisyunal na Panahon. Nakasentro ang pagtalakay sa mga kontribusyon ng bawat kabihasnan at pangyayari sa pagbuo ng pandaigdigang kamalayan. Mahalagang ikintal sa isip ang mga bagay na iyong natutuhan dahil makatutulong ito sa lalo mo pang pag-unawa sa kasaysayan ng mundong iyong ginagalawan. Mahalaga rin ang mga natalakay upang mapag-ugnay ang susunod na pangyayari sa kasaysayan patungo sa kasalukuyang panahon.
  • 142.
    251 GLOSARYO Acropolis- ang burolat pinakamataas na lugar sa gitna ng lungsod-estado ng Athens at iba pang lungsod-estado ng Greece Agora- ang gitna ng lungsod-estado ng isang bukas na lugar kung saan maaring magtinda o magtipon-tipon ang mga tao sa Greece Barter- pakikipagpalitan ng produkto Bourgeoise- mga mangangalakal at banker na bagaman may salapi ay hindi nabibilang sa mga lipi ng maharlika at kaparian Guild- samahan ng mga taong nagtatrabaho sa magkatulad na hanapbuhay Fief- lupang ipinagkakaloob ng lord sa vassal Hellenes- tawag ng mga Greek sa kanilang sarili na hango sa salitang Hellas, isang lugar sa hilagang-kanluran ng Greece Helot- mga bihag ng digmaan ng lungsod-estado ng Sparta na ginagawa nilang tagapagsaka ng kanilang malalawak na lupain Kapapahan- tungkulin, panahon ng panunungkulan at kapangyarihang panrelihiyon ng Papa bilang pinuno ng simbahang Katoliko, gayundin sa kapangyarihang pampulitika bilang pinuno ng Estado ng Vatican Krusada- ekspedisyong militar na inilunsad ng mga Kristiyanong Europeo laban sa mga Turkong Muslim upang mabawi ang Jerusalem sa kamay ng mga ito Lay Investiture- isang seremonya kung saan binibigyan ng mga hari ang Obispo ng singsing at tauhan para sa kanyang opisina Manor- sentrong pangkabuhayan na pinamumunuan ng panginoong nakatira sa kastilyo Mesoamerica- nangangahulugan ang katagang meso ng “gitna”, ang Mesoamerica ay rehiyon mula sa gitnang Mexico hanggang Gitnang America.
  • 143.
    252 Obsidian- isang maitimat kristal na bato na nabuo mula sa tumigas na lava na ginamit sa Teotihuacan sa paggawa ng kagamitan, salamin, at talim ng kutsilyo Olmec- kauna-unahang kabihasnan sa Central America: nangangahulugan ang salitang Olmec na rubber people” dahil sila ang kauna-unahang gumamit ng dagta ng mga puno ng rubber o goma. Ostracism- ang sistema ng pagtatakwil at pagpapatapon sa isang tao sa sinaunang Athens Phalanx- tawag sa hukbong Greek na karaniwang binubuo ng hanggang 16 na hanay ng mgamandirigma Piyudalismo- isang sistemang political, sosyo-ekonomiko at military na nakabase sa pagmamay-ari ng lupa. Sibilisasyong Minoan-itinuturing na kauna-unahang sibilasasyong nabuo sa Aegean na nagsimula sa Crete mga 3100 BC o bago isilang si Kristo. Teotihuacan- nangangahulugan ang katagang ito na “tirahan ng diyos” at isa ito sa mga unang kabihasnang nabuo sa Valley of Mexico Tyrant- sa sinaunang Kasaysayan, ito ay pinuno ng Athens na nagsusulong ng karapatan ng karaniwang tao at maayos na pamahalaan Vassal- taong tumatanggap ng lupa mula sa lord Villein- kasingkahulugan ito ng salitang serf; ito ang bumubuo ng masa ng tao noong Panahong Medieval. Nananatili silang nakatali sa lupang kanilang sinasaka at naglilingkod sa kanilang panginoong maylupa.
  • 144.
    253 BIBLIOGRAPHY A. Books Antonio, EleanorD. Pana-Panahon III. Worktext para sa Araling Panlipunan Ikatlong Taon. Kasaysayan ng Daigdig. Rex Bookstore. 856 Nicanor Reyes St. St. Manila Philippines. 1999. Banks, James A. et. al. World History. Adventures in Time and Place. Macmillan/McGraw-Hill 1221 Avenue of the Americas New York, New York 10020. 1997. pp. 192-218, 422-448. Beck, Roger B. et. al. A Modern History of the World. World History Patterns of Interaction. McDougal Little Inc. P.O. Box 1667, Evanston Illinois 60204. 1999 . 108-132, 138-166, 388-407 Boehm, Richard G. Our World’s Story. Harcourt Brace & Company, 6277 Sea Harbor Drive, Orlando Florida 32887-6777.1997. pp. 210-234, 236-266, 336- 338. Camagay, Ma. Luisa T. et. al. Kabihasnan ng Daigdig Kasaysayan at Kultura. Vibal Publishing House, Inc. 1253 Gregorio Araneta Avenue, Quezon City. 2010. pp. Farah, Mounir A. & Karls, Andrea Berens. World History: The Human Experience. Glecoe/McGraw-Hill, 936 Eastwind Drive, Westerviell, Ohio 43081. 1999. pp. Mercado, Michael M. Sulyak sa Kasaysayan ng Daigdig. St. Bernadette Publishing House Corporation. 173 Rodriguez S. Ave. Kristong Hari, 1112 Quezon City. 2009. pp. McCannon John. AP World History. Barrons Educational Series Inc. 250 Wireless Boulevard Hauppage New York 11788. 2010. pp. 58-61, 67-69. Millard, Anne. The Usborne Book of World History. Usborne Publishing Ltd, 20 Garrick Street, London WC2E 9BJ. 1995. pp. 24-27, 42-45, 66-73, 86-91, 138-140. Perry, Marvin. A History of the World. Houghton Miffin Company Boston, Massahusetts USA. 1989. pp.
  • 145.
    254 B. Modules Project EASEAraling Panlipunan III – Modyul 4: Ang Pagsibol ng Sibilisasyong Griyego Project EASE Araling Panlipunan III – Modyul 5: Ang Pagsibol ng Imperyong Romano Project EASE Araling Panlipunan III – Modyul 6: Sinaunang Aprika Project EASE Araling Panlipunan III – Modyul 7: Kabihasnang Klasikal sa Amerika at Pacifico Project EASE Araling Panlipunan III – Modyul 8: Ang Simbahang Katoliko Project EASE Araling Panlipunan III – Modyul 9: Ang Sistemang Piyudalismo C. Websites Colloseum http://ancientworld2009.wikispaces.com/file/view/coliseum.jpg/92540006/colis eum.jpg Gregory I http://upload.wikimedia.org/wikipedia/commons/9/97/Francisco_de_Zurbar% C3%A1n_040.jpg Gregory VII http://hist2615.wikispaces.com/file/view/Gregory_VII- 1.jpg/251843136/174x220 Leo the Great http://upload.wikimedia.org/wikipedia/commons/5/5b/Pope_St._Leo_IV.jpg Lokasyon ng Digmaang Peloponessian http://en.wikipedia.org/wiki/Peloponnesian Map of Pacific Islands http://en.wikipedia.org/wiki/File:Pacific_Culture_Areas.jpg Mapa ng Minoan at Mycenean http://franceschini.cmswiki.wikispaces.net/Ancient+Greece
  • 146.
    255 Mapa ng MyceneanGreece http://en.wikipedia.org/wiki/File:Path3959-83.png Migrasyon ng mga Austronesian http://en.wikipedia.org/wiki/Austronesian_peoples Moselum in Timbuktu http://hopemarin.files.wordpress.com/2008/05/timbuktu2.jpg Paglalarawan ng Digmaang Graeco-Persia http://althistory.wikia.com/wiki/Greek_Glory?file=GRECO-PERSIAN- WARS.gif Paglalarawan kay Alexander the Great http://upload.wikimedia.org/wikipedia/commons/a/ac/BattleofIssus333BC- mosaic-detail1.jpg Parthenon https://encrypted- tbn3.gstatic.com/images?q=tbn:ANd9GcReawl5Xp8agCB- TODpqzMKAPIuktNE9yhizLwBds64yykmPzc7kg Pisistratus http://en.wikipedia.org/wiki/Cleisthenes Pyramid of Kukulkan http://en.wikipedia.org/wiki/File:Chichen_Itza_3.jpg Punic Wars http://upload.wikimedia.org/wikipedia/commons/7/79/First_Punic_War_ 264_BC.png Romulus and Remus http://upload.wikimedia.org/wikipedia/commons/6/6a/She- wolf_suckles_Romulus_and_Remus.jpg Ruta ng Kalakalang Trans-Sahara http://northafricanhistory.wikispaces.com/file/view/timbuktu.jpg/112619 921/timbuktu.jpg Solon http://en.wikipedia.org/wiki/File:Solon2.jpg