A Seminar III On
“Artificial Bee Colony Algorithm
and Applications in Mechanical
Engineering”
June 27, 2017 Maharashtra Institute of Technology, Pune. 1
By
Mr. Abhishek Neve
ME Design II
603014
Guide
Prof. Dr. G. M. Kakandikar
Mechanical Dept.
MIT Pune.
Outline
June 27, 2017 Maharashtra Institute of Technology, Pune.
• Introduction
• Artificial Bee colony Algorithm
• Applications
• Case study I
• Case study II
• Case study III
• Summary
• References
2
Introduction
• Optimization is a technique to find the optimum solution for
any problem.
• We can say optimization is to get maximum from minimum.
• Nature inspired Swarm based Algorithm is recent technique
for optimization in which the algorithms are developed with
the help of nature phenomenon.
• Artificial Bee colony Algorithm is one of the swarm based
algorithm which studies the behaviour of bees in nature.
June 27, 2017 Maharashtra Institute of Technology, Pune. 3
Artificial bee colony algorithm
• The artificial bee colony (ABC) algorithm is a recent
representative of a number of swarm intelligence algorithms
that are inspired by some type of behavior observed in real
bee colonies.[1]
• It was introduced by Karaboga (2005), who applied it to
continuous optimization problems.
• In the ABC algorithm, there are three types of (artificial)
bees, namely employed bees, onlooker bees, and scout
bees.[1]
June 27, 2017 Maharashtra Institute of Technology, Pune. 4
Applications
• Training neural networks.[2]
• Electrical engineering.
– Determining the sectionalizing switch to be operated in order to solve the
distribution system loss minimization problem.
– The accident diagnosis in a power nuclear power plant.
– Capacitor placement in distribution systems with an objective of improving the
voltage profile and reduction of power loss.
• Data mining.
• Mechanical engineering.
– Modelling and optimization of process parameters of wire electrical discharge
machining.
– Parameter optimization of a multi-pass milling process.
– Parameter optimization of ultrasonic machining process.
– Optimization of mechanical draft counter flow wet-cooling tower .
• Civil engineering.
– Locate the subway routes which aims to maximize the population covered by
subway routes.
– Structural optimization of planar and space trusses under stress, displacement and
buckling constraints.
June 27, 2017 Maharashtra Institute of Technology, Pune. 5
CASE STUDY I
June 27, 2017 Maharashtra Institute of Technology, Pune. 6
Benchmark problems
• In order to evaluate the performance of the ABC algorithm
well-known standard engineering problems are used[3].
• These problems are
1. Welded beam design problem.
2. Pressure vessel problem.
3. Tension/compression spring problem.
4. Speed reducer design problem.
June 27, 2017 Maharashtra Institute of Technology, Pune. 7
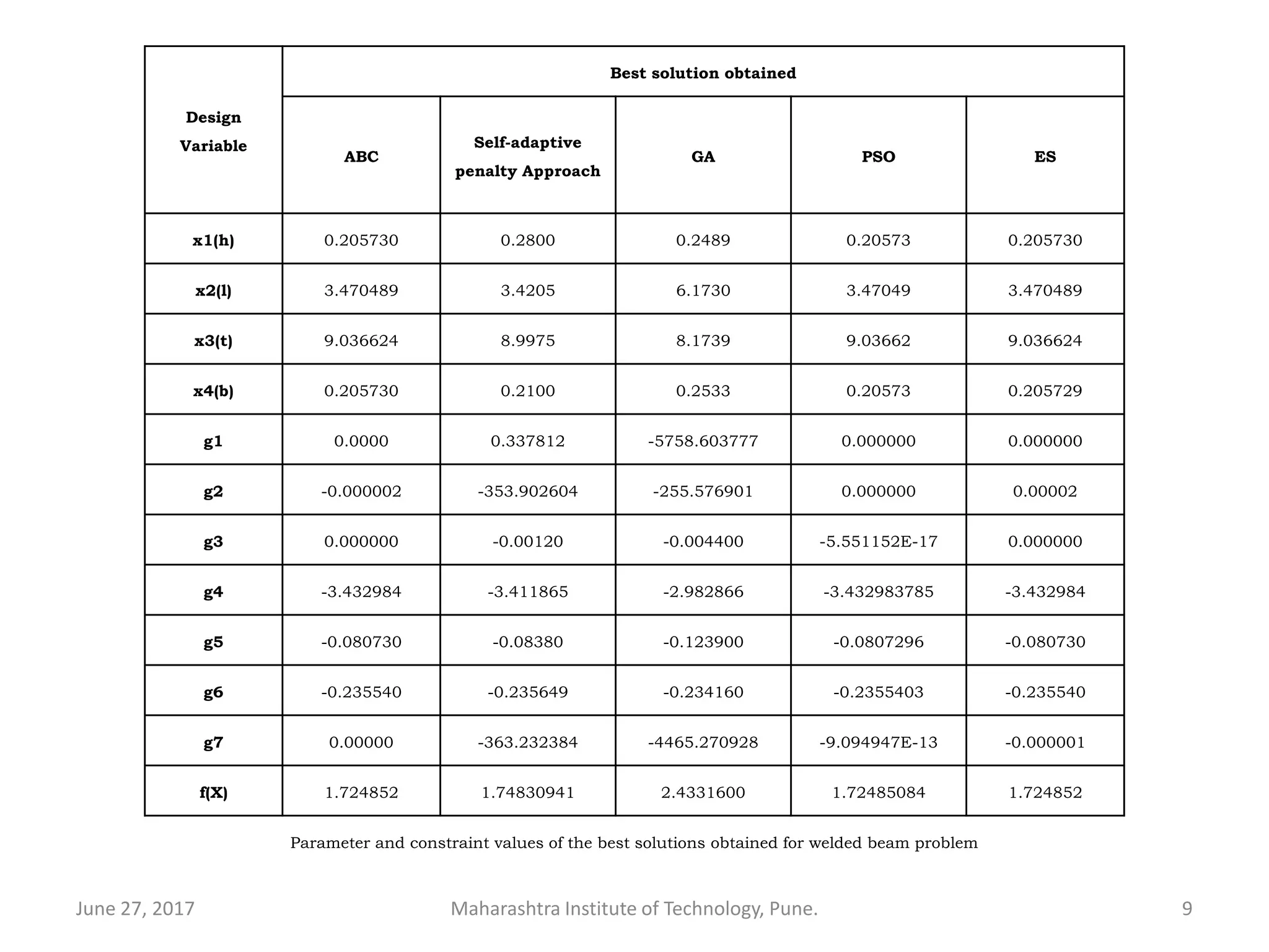
Welded beam design problem.
• Objective: minimization of cost
• Design parameters:
– Height of weld (h).
– Length of weld (l).
– Thickness of beam (t).
– Breadth of beam (b).
June 27, 2017 Maharashtra Institute of Technology, Pune. 8
Design
Variable
Best solution obtained
ABC
Self-adaptive
penalty Approach
GA PSO ES
x1(h) 0.205730 0.2800 0.2489 0.20573 0.205730
x2(l) 3.470489 3.4205 6.1730 3.47049 3.470489
x3(t) 9.036624 8.9975 8.1739 9.03662 9.036624
x4(b) 0.205730 0.2100 0.2533 0.20573 0.205729
g1 0.0000 0.337812 -5758.603777 0.000000 0.000000
g2 -0.000002 -353.902604 -255.576901 0.000000 0.00002
g3 0.000000 -0.00120 -0.004400 -5.551152E-17 0.000000
g4 -3.432984 -3.411865 -2.982866 -3.432983785 -3.432984
g5 -0.080730 -0.08380 -0.123900 -0.0807296 -0.080730
g6 -0.235540 -0.235649 -0.234160 -0.2355403 -0.235540
g7 0.00000 -363.232384 -4465.270928 -9.094947E-13 -0.000001
f(X) 1.724852 1.74830941 2.4331600 1.72485084 1.724852
Parameter and constraint values of the best solutions obtained for welded beam problem
June 27, 2017 Maharashtra Institute of Technology, Pune. 9
June 27, 2017 Maharashtra Institute of Technology, Pune. 10
1.724852 1.74830941
2.43316
1.72485084 1.724852
0
0.5
1
1.5
2
2.5
3
ABC Self-adaptive penalty
Approach
GA PSO ES
f(X)
Technique
Pressure vessel problem
• Objective: minimization of total cost
• Design parameters:
– Thickness of shell (Ts).
– Thickness of head (Th).
– Inner Radius (R).
– Length of cylinder (L).
June 27, 2017 Maharashtra Institute of Technology, Pune. 11
Design
Variable
Best solution obtained
ABC
Self-adaptive
penalty
Approach
GA PSO ES SCA
x1(Ts) 0.8125 0.8125 0.9375 0.8125 0.8125 0.8125
x2(Th) 0.4375 0.4375 0.5000 0.4375 0.4375 0.4375
x3(R) 42.098446 40.3239 48.3290 42.09845 42.098446 41.9768
x4(L) 176.636596 200.00 112.6790 176.6366 176.636596 182.2845
g1 0.0000 -0.035324 -0.004750 0.00 0.0000 -0.0023
g2 -0.035881 -0.052847 -0.038941 -0.03588 0.035880 -0.0370
g3 -0.000226 -27.105845 -3652.876838 -5.8208E-11 0.00000 -23420.5966
g4 -63.363404 -40.0000 -127.321000 -63.3634 -63.363404 -57.7155
f(X) 6059.714339 6288.7445 6410.3811 6059.131296 6059.7143 6171.00
Parameter and constraint values of the best solutions obtained for pressure vessel problem
June 27, 2017 Maharashtra Institute of Technology, Pune. 12
June 27, 2017 Maharashtra Institute of Technology, Pune. 13
6059.714339
6288.7445
6410.3811
6059.131296 6059.7143
6171
5800
5900
6000
6100
6200
6300
6400
6500
ABC Self-adaptive
penalty Approach
GA PSO ES SCA
f(X)
Technique
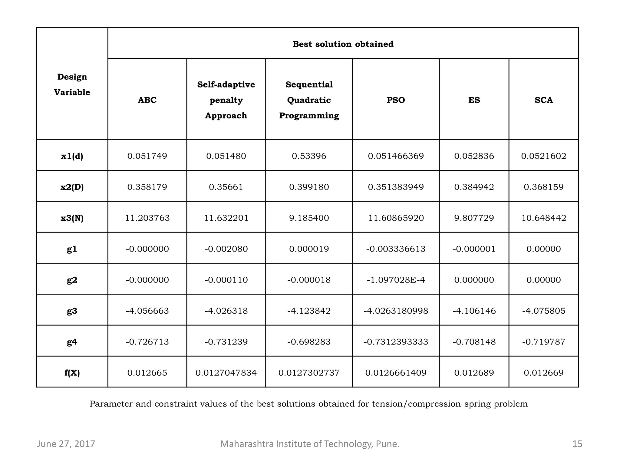
Tension/compression Spring
Problem
• Objective: minimization of weight
• Design Parameters:
– Wire diameter (d).
– Mean coil Diameter (D).
– Number of active coils (N).
June 27, 2017 Maharashtra Institute of Technology, Pune. 14
June 27, 2017 Maharashtra Institute of Technology, Pune. 15
Design
Variable
Best solution obtained
ABC
Self-adaptive
penalty
Approach
Sequential
Quadratic
Programming
PSO ES SCA
x1(d) 0.051749 0.051480 0.53396 0.051466369 0.052836 0.0521602
x2(D) 0.358179 0.35661 0.399180 0.351383949 0.384942 0.368159
x3(N) 11.203763 11.632201 9.185400 11.60865920 9.807729 10.648442
g1 -0.000000 -0.002080 0.000019 -0.003336613 -0.000001 0.00000
g2 -0.000000 -0.000110 -0.000018 -1.097028E-4 0.000000 0.00000
g3 -4.056663 -4.026318 -4.123842 -4.0263180998 -4.106146 -4.075805
g4 -0.726713 -0.731239 -0.698283 -0.7312393333 -0.708148 -0.719787
f(X) 0.012665 0.0127047834 0.0127302737 0.0126661409 0.012689 0.012669
Parameter and constraint values of the best solutions obtained for tension/compression spring problem
June 27, 2017 Maharashtra Institute of Technology, Pune. 16
0.012665
0.012704783
0.012730274
0.012666141
0.012689
0.012669
0.01262
0.01264
0.01266
0.01268
0.0127
0.01272
0.01274
ABC Self-adaptive
penalty
Approach
Sequential
Quadratic
Programming
PSO ES SCA
f(X)
Technique
Speed Reducer design Problem
• Objective: minimization of weight
• Design Parameter:
– the face width (b).
– module of teeth (m).
– number of teeth in the pinion (z).
– length of the first shaft between bearings (l1).
– length of the second shaft between bearings (l2)
– the diameter of the first shaft (d1)
– second shaft (d2)
June 27, 2017 Maharashtra Institute of Technology, Pune. 17
June 27, 2017 Maharashtra Institute of Technology, Pune. 18
Design Variable
Best solution obtained
ABC ES SCA
x1(b) 3.49999 3.499999 3.500000
x2(m) 0.7 0.699999 0.700000
x3(z) 17 17 17
x4(l1) 7.3 7.300000 7.327602
x5(l2) 7.8 7.800000 7.715321
x6(d1) 3.350215 3.350215 3.350267
x7(d2) 5.287800 5.286683 5.286655
g1 -0.073915 -0.073915 -0.073915
g2 -0.197999 -0.197998 -0.197999
g3 -0.499172 -0.499172 -0.493501
g4 -0.901555 -0.901472 -0.904644
g5 0.000000 0.000000 0.000000
g6 0.000000 0.000000 0.000633
g7 -0.7025 -0.702500 -0.7025
g8 0.000000 0.000000 0.000000
g9 -0.583333 -0.583333 -0.583333
g10 -0.051326 -0.051325 -0.054889
g11 -0.010695 -0.010852 0.00000
f(X) 2997.058412 2996.348094 2994.744241
Parameter and constraint values of the best solutions obtained for speed reducer problem
June 27, 2017 Maharashtra Institute of Technology, Pune. 19
2997.058412
2996.348094
2994.744241
2993.5
2994
2994.5
2995
2995.5
2996
2996.5
2997
2997.5
ABC ES SCA
f(X)
Technique
CASE STUDY II
June 27, 2017 Maharashtra Institute of Technology, Pune. 20
Optimization of
MRR and Surface Roughness in EDM of EN31
tool steel
• The objective here is to find out the combination of process
parameters for optimum surface roughness and material removal
rate (MRR) in electro discharge machining (EDM) of EN31 tool steel
using artificial bee colony (ABC) algorithm.
• For experimentation, machining parameters viz., pulse on time,
pulse off time, discharge current and voltage are varied based on
central composite design (CCD).
• From ABC analysis, the optimum combinations of process
parameters are obtained and corresponding values of maximum
MRR and minimum Ra are found out.[4]
June 27, 2017 Maharashtra Institute of Technology, Pune. 21
Experimental Details
• The experiments are conducted on CNC EDM (EMT 43, Electronica).
• The tool is made up of copper with square cross section.
June 27, 2017 Maharashtra Institute of Technology, Pune. 22
Responses
(Objective )
• Material removal rate (MRR)
• Surface roughness (Ra)
Process
Parameters
(Design
variables)
• Pulse on time (X1)
• Pulse off time (X2)
• Discharge current (X3)
• Applied voltage (X4)
Chemical and Mechanical
properties of EN 31 tool steel
June 27, 2017 Maharashtra Institute of Technology, Pune. 23
Work piece material Chemical composition (wt%) Mechanical property
EN 31 tool steel 1.07% C, 0.57% Mn, 0.32% Si,
0.04% P,
0.03% S, 1.13% Cr and 96.84%
Fe
Modulus of Elasticity-197.37
GPa, Yield Strength (2%
Strain Offset)-528.97 MPa,
Ultimate Tensile Strength-
615.40 Mpa and Poisson’s Ratio-
0.294
Result and discussion
June 27, 2017 Maharashtra Institute of Technology, Pune. 24
Objective function for Metal Removal rate and surface roughness
Result and discussion
• ABC algorithm is used for optimization and it is noticed that
between these two responses, MRR is to be maximized and surface
roughness (Ra) is to be minimized.
June 27, 2017 Maharashtra Institute of Technology, Pune. 25
Fig. Convergence of ABC algorithm (a) for MRR; (b) for Ra
Results of confirmation test for
MRR and Ra
Process
Parameters
Optimu
m Value
of MRR
Optim
um
Value
of
Ra
MRR
obtained
from
ABC
analysis
(gm/min)
MRR
obtained
from
experimen
tal
(gm/min)
% of
error
of
MRR
Ra
obtained
from
ABC
analysis
(μm)
Ra
obtained
from
experim
ent
al (μm)
% of
error of
Ra
Pulse on
time (Ton) in
μs
320 100
0.931935 0.923715 0.88 5.218 5.258 0.76
Pulse off
time (Toff) in
μs
1500 1510
Current (Ip)
in Amp
20 4
Voltage (V)
in V
2 84
June 27, 2017 Maharashtra Institute of Technology, Pune. 26
Effect of process parameters on
responses
• Fig. shows the impact of pulse on time, pulse off time, pulse
current and voltage on material removal rate.
June 27, 2017 Maharashtra Institute of Technology, Pune. 27
Fig. Surface and contour plots of MRR in EDM (a) pulse
on time vs current; (b) pulse off time vs voltage
Effect of process parameters on
responses
• On the other hand, the effect of input parameter of pulse on
time, pulse off time, pulse current and voltage on surface
roughness has been demonstrated in Fig.
June 27, 2017 Maharashtra Institute of Technology, Pune. 28
Fig. Surface and contour plots of Ra in EDM (a) pulse
on time vs current; (b) pulse off time vs voltage
CASE STUDY III
June 27, 2017 Maharashtra Institute of Technology, Pune. 29
Optimization of shell and
tube heat exchangers
• Design and economic optimization of shell and tube heat exchangers
using Artificial Bee Colony (ABC) algorithm[6].
• Artificial Bee Colony (ABC) has been applied to minimize the total cost of the
equipment.
• The traditional design method for shell and tube heat exchangers involves
rating a large number of different exchanger geometries to identify those that
satisfy a given heat duty and a set of geometric and operational
constraints[6].
June 27, 2017 Maharashtra Institute of Technology, Pune. 30
Optimization design of heat exchanger
design and objective function
• Tube Sheet Patterns and Pitch
• The Fouling Resistances
• The Thermophysical Properties Of
Fluids
fixed
parameters
• Shell inside diameter
• Tube outside diameter
• The number of tube side passages
• Baffles spacing
Optimization
variables
June 27, 2017 Maharashtra Institute of Technology, Pune.
Design variables
The objective function[5]:
Total cost Ctot
Ctot = Ci + CoD
where,
Ci= Capital Investment
CoD = operating cost
Ci is a function of exchanger
surface ‘S’
CoD is related to pumping power
to overcome frictional losses
31
Result and discussion
• Artificial Bee Colony (ABC) algorithm was used as a optimization algorithm
for design and economic optimization of shell and tube heat exchangers[6].
• The original design specifications for comparing with available literature
approaches and reliability of obtained results were used[6].
June 27, 2017 Maharashtra Institute of Technology, Pune.
Design specifications for different case studies
32
cont..
June 27, 2017 Maharashtra Institute of Technology, Pune. 33
Case study-1
The results of Ref.
[7]
The results of Ref.
[8]
The results of this
study
Ds (m) 0.894 0.83 1.3905
B (m) 0.356 0.5 0.4669
do (m) 0.02 0.016 0.0104
S (m2) 278.6 262.8 230.109
Nt 918 1567 1528
vt (m/s) 0.75 0.69 0.36
vs (m/s) 0.58 0.44 0.118
ht (W/m2K) 3812 3762 3818
hs (W/m2K) 1573 1740 3396
U(W/m2K) 615 660 832
L(m) 4.83 3.379 3.963
Pt (Pa) 6251 4298 3043
Ps (Pa) 35,789 13,267 8390
Ci (€) 51,507 49,259 44,559
Co(€/year) 2111 947 1014.5
CoD (€) 12,973 5818 6233.8
Ctot (€) 64,480 55,077 50,793
Comparison of other results with the results of this study for Case study-1.
cont…
June 27, 2017 Maharashtra Institute of Technology, Pune. 34
Case study-2
The results of Ref.
[7]
The results of Ref.
[8]
The results of this
study
Ds (m) 0.539 0.63 0.3293
B (m) 0.127 0.12 0.0924
do (m) 0.025 0.02 0.0105
S (m2) 61.5 52.9 61.566
Nt 158 391 511
vt (m/s) 1.44 0.87 0.43
vs (m/s) 0.47 0.43 0.37
ht (W/m2K) 619 1168 2186
hs (W/m2K) 920 1034 868
U(W/m2K) 317 376 323
L(m) 4.880 2.153 3.6468
Pt (Pa) 49,245 14,009 1696
Ps (Pa) 24,909 15,717 10,667
Ci (€) 19,007 17,599 19,014
Co(€/year) 1304 440 197.139
CoD (€) 8012 2704 1211.3
Ctot (€) 27,020 20,303 20,225
Comparison of other results with the results of this study for Case study-2.
cont…
June 27, 2017 Maharashtra Institute of Technology, Pune. 35
Case study-3
The results of Ref.
[7]
The results of Ref.
[8]
The results of this
study
Ds (m) 0.387 0.62 1.0024
B (m) 0.305 0.44 0.354
do (m) 0.019 0.016 0.0103
S (m2) 46.6 62.5 54.72
Nt 160 803 704
vt (m/s) 1.76 0.68 0.36
vs (m/s) 1.76 0.68 0.36
ht (W/m2K) 6558 6043 4438
hs (W/m2K) 5735 3476 5608
U(W/m2K) 1471 1121 1187
L(m) 4.88 1.548 2.4
Pt (Pa) 62,812 3673 2046
Ps (Pa) 67,684 4365 2716
Ci (€) 16,549 19,163 17,893
Co(€/year) 4466 272 257.82
CoD (€) 27,440 1671 1584.2
Ctot (€) 43,989 20,834 19,478
Comparison of other results with the results of this study for Case study-3.
cont…
June 27, 2017 Maharashtra Institute of Technology, Pune.
A comparison of total cost for all cases.
36
Summary
• Artificial Bee Colony (ABC) Algorithm, one of the swarm intelligence
based algorithm, is studied thoroughly. It seems that the ABC
algorithm has been efficiently used in different problems and it is
observed that the results obtained by using this algorithm are better
than previous methods.
• The performance of the ABC algorithm is evaluated by solving the
well known benchmark problems with the help of ABC Algorithm.
• The case study on Application of Artificial bee Colony Algorithm for
Optimization of MRR and Surface Roughness in EDM of EN31 tool
steel is studied.
• The case study on Design and economic optimization of shell and
tube heat exchangers by using Artificial Bee Colony (ABC) algorithm
is studied.
• ABC approach was successfully applied for the case studies .
Artificial Bee Colony (ABC) method is found to be the most accurate
and quick according to traditional methods.
June 27, 2017 Maharashtra Institute of Technology, Pune. 37
References
1. Dervis Karaboga, Bahriye Basturk. Artificial Bee Colony (ABC) Optimization Algorithm for
Solving Constrained Optimization Problems, Springer-Verlag Berlin Heidelberg, pp. 789–
798 (2007).
2. Bahriye Akay, Dervis Karaboga. Artificial bee colony algorithm for large-scale problems
and engineering design optimization, J Intell Manuf (Springer), 1001–1014, (2012).
3. Akay B., & Karaboga D., Artificial bee colony algorithm for large-scale problems and
engineering design optimization. Journal of Intelligent Manufacturing 23, pp. 1001–
1014, (2012).
4. Milan Kumar Dasa, Kaushik Kumarb, Tapan Kr. Barmana, Prasanta Sahooa,
Application of Artificial bee Colony Algorithm for Optimization of MRR and Surface
Roughness in EDM of EN31 tool steel, Procedia Materials Science 6, pp.741–751, (2014).
5. Eduardo Gerhardt, Herbert Martins Gomes. Artificial Bee Colony (ABC) Algorithm for
Engineering Optimization Problems, 3rd International Conference on Engineering
Optimization, (2012).
6. Arzu Sencan Sahin , Bayram Kılıç , Ulas Kılıç . Design and economic optimization of shell
and tube heat exchangers using Artificial Bee Colony (ABC) algorithm, Energy Conversion
and Management , pp 3356-3362, (2011).
7. Sinnot RK. Coulson and Richardson’s chemical engineering, vol. 6. Butterworth
Heinemann; 2005
8. Caputo AC, Pelagagge PM, Salini P. Heat exchanger design based on economic
optimisation. Appl Therm Eng 28, pp.1151–1159, (2008).
June 27, 2017 Maharashtra Institute of Technology, Pune. 38
THANK YOU!!
June 27, 2017 Maharashtra Institute of Technology, Pune. 39

Application of abc algorithm

  • 1.
    A Seminar IIIOn “Artificial Bee Colony Algorithm and Applications in Mechanical Engineering” June 27, 2017 Maharashtra Institute of Technology, Pune. 1 By Mr. Abhishek Neve ME Design II 603014 Guide Prof. Dr. G. M. Kakandikar Mechanical Dept. MIT Pune.
  • 2.
    Outline June 27, 2017Maharashtra Institute of Technology, Pune. • Introduction • Artificial Bee colony Algorithm • Applications • Case study I • Case study II • Case study III • Summary • References 2
  • 3.
    Introduction • Optimization isa technique to find the optimum solution for any problem. • We can say optimization is to get maximum from minimum. • Nature inspired Swarm based Algorithm is recent technique for optimization in which the algorithms are developed with the help of nature phenomenon. • Artificial Bee colony Algorithm is one of the swarm based algorithm which studies the behaviour of bees in nature. June 27, 2017 Maharashtra Institute of Technology, Pune. 3
  • 4.
    Artificial bee colonyalgorithm • The artificial bee colony (ABC) algorithm is a recent representative of a number of swarm intelligence algorithms that are inspired by some type of behavior observed in real bee colonies.[1] • It was introduced by Karaboga (2005), who applied it to continuous optimization problems. • In the ABC algorithm, there are three types of (artificial) bees, namely employed bees, onlooker bees, and scout bees.[1] June 27, 2017 Maharashtra Institute of Technology, Pune. 4
  • 5.
    Applications • Training neuralnetworks.[2] • Electrical engineering. – Determining the sectionalizing switch to be operated in order to solve the distribution system loss minimization problem. – The accident diagnosis in a power nuclear power plant. – Capacitor placement in distribution systems with an objective of improving the voltage profile and reduction of power loss. • Data mining. • Mechanical engineering. – Modelling and optimization of process parameters of wire electrical discharge machining. – Parameter optimization of a multi-pass milling process. – Parameter optimization of ultrasonic machining process. – Optimization of mechanical draft counter flow wet-cooling tower . • Civil engineering. – Locate the subway routes which aims to maximize the population covered by subway routes. – Structural optimization of planar and space trusses under stress, displacement and buckling constraints. June 27, 2017 Maharashtra Institute of Technology, Pune. 5
  • 6.
    CASE STUDY I June27, 2017 Maharashtra Institute of Technology, Pune. 6
  • 7.
    Benchmark problems • Inorder to evaluate the performance of the ABC algorithm well-known standard engineering problems are used[3]. • These problems are 1. Welded beam design problem. 2. Pressure vessel problem. 3. Tension/compression spring problem. 4. Speed reducer design problem. June 27, 2017 Maharashtra Institute of Technology, Pune. 7
  • 8.
    Welded beam designproblem. • Objective: minimization of cost • Design parameters: – Height of weld (h). – Length of weld (l). – Thickness of beam (t). – Breadth of beam (b). June 27, 2017 Maharashtra Institute of Technology, Pune. 8
  • 9.
    Design Variable Best solution obtained ABC Self-adaptive penaltyApproach GA PSO ES x1(h) 0.205730 0.2800 0.2489 0.20573 0.205730 x2(l) 3.470489 3.4205 6.1730 3.47049 3.470489 x3(t) 9.036624 8.9975 8.1739 9.03662 9.036624 x4(b) 0.205730 0.2100 0.2533 0.20573 0.205729 g1 0.0000 0.337812 -5758.603777 0.000000 0.000000 g2 -0.000002 -353.902604 -255.576901 0.000000 0.00002 g3 0.000000 -0.00120 -0.004400 -5.551152E-17 0.000000 g4 -3.432984 -3.411865 -2.982866 -3.432983785 -3.432984 g5 -0.080730 -0.08380 -0.123900 -0.0807296 -0.080730 g6 -0.235540 -0.235649 -0.234160 -0.2355403 -0.235540 g7 0.00000 -363.232384 -4465.270928 -9.094947E-13 -0.000001 f(X) 1.724852 1.74830941 2.4331600 1.72485084 1.724852 Parameter and constraint values of the best solutions obtained for welded beam problem June 27, 2017 Maharashtra Institute of Technology, Pune. 9
  • 10.
    June 27, 2017Maharashtra Institute of Technology, Pune. 10 1.724852 1.74830941 2.43316 1.72485084 1.724852 0 0.5 1 1.5 2 2.5 3 ABC Self-adaptive penalty Approach GA PSO ES f(X) Technique
  • 11.
    Pressure vessel problem •Objective: minimization of total cost • Design parameters: – Thickness of shell (Ts). – Thickness of head (Th). – Inner Radius (R). – Length of cylinder (L). June 27, 2017 Maharashtra Institute of Technology, Pune. 11
  • 12.
    Design Variable Best solution obtained ABC Self-adaptive penalty Approach GAPSO ES SCA x1(Ts) 0.8125 0.8125 0.9375 0.8125 0.8125 0.8125 x2(Th) 0.4375 0.4375 0.5000 0.4375 0.4375 0.4375 x3(R) 42.098446 40.3239 48.3290 42.09845 42.098446 41.9768 x4(L) 176.636596 200.00 112.6790 176.6366 176.636596 182.2845 g1 0.0000 -0.035324 -0.004750 0.00 0.0000 -0.0023 g2 -0.035881 -0.052847 -0.038941 -0.03588 0.035880 -0.0370 g3 -0.000226 -27.105845 -3652.876838 -5.8208E-11 0.00000 -23420.5966 g4 -63.363404 -40.0000 -127.321000 -63.3634 -63.363404 -57.7155 f(X) 6059.714339 6288.7445 6410.3811 6059.131296 6059.7143 6171.00 Parameter and constraint values of the best solutions obtained for pressure vessel problem June 27, 2017 Maharashtra Institute of Technology, Pune. 12
  • 13.
    June 27, 2017Maharashtra Institute of Technology, Pune. 13 6059.714339 6288.7445 6410.3811 6059.131296 6059.7143 6171 5800 5900 6000 6100 6200 6300 6400 6500 ABC Self-adaptive penalty Approach GA PSO ES SCA f(X) Technique
  • 14.
    Tension/compression Spring Problem • Objective:minimization of weight • Design Parameters: – Wire diameter (d). – Mean coil Diameter (D). – Number of active coils (N). June 27, 2017 Maharashtra Institute of Technology, Pune. 14
  • 15.
    June 27, 2017Maharashtra Institute of Technology, Pune. 15 Design Variable Best solution obtained ABC Self-adaptive penalty Approach Sequential Quadratic Programming PSO ES SCA x1(d) 0.051749 0.051480 0.53396 0.051466369 0.052836 0.0521602 x2(D) 0.358179 0.35661 0.399180 0.351383949 0.384942 0.368159 x3(N) 11.203763 11.632201 9.185400 11.60865920 9.807729 10.648442 g1 -0.000000 -0.002080 0.000019 -0.003336613 -0.000001 0.00000 g2 -0.000000 -0.000110 -0.000018 -1.097028E-4 0.000000 0.00000 g3 -4.056663 -4.026318 -4.123842 -4.0263180998 -4.106146 -4.075805 g4 -0.726713 -0.731239 -0.698283 -0.7312393333 -0.708148 -0.719787 f(X) 0.012665 0.0127047834 0.0127302737 0.0126661409 0.012689 0.012669 Parameter and constraint values of the best solutions obtained for tension/compression spring problem
  • 16.
    June 27, 2017Maharashtra Institute of Technology, Pune. 16 0.012665 0.012704783 0.012730274 0.012666141 0.012689 0.012669 0.01262 0.01264 0.01266 0.01268 0.0127 0.01272 0.01274 ABC Self-adaptive penalty Approach Sequential Quadratic Programming PSO ES SCA f(X) Technique
  • 17.
    Speed Reducer designProblem • Objective: minimization of weight • Design Parameter: – the face width (b). – module of teeth (m). – number of teeth in the pinion (z). – length of the first shaft between bearings (l1). – length of the second shaft between bearings (l2) – the diameter of the first shaft (d1) – second shaft (d2) June 27, 2017 Maharashtra Institute of Technology, Pune. 17
  • 18.
    June 27, 2017Maharashtra Institute of Technology, Pune. 18 Design Variable Best solution obtained ABC ES SCA x1(b) 3.49999 3.499999 3.500000 x2(m) 0.7 0.699999 0.700000 x3(z) 17 17 17 x4(l1) 7.3 7.300000 7.327602 x5(l2) 7.8 7.800000 7.715321 x6(d1) 3.350215 3.350215 3.350267 x7(d2) 5.287800 5.286683 5.286655 g1 -0.073915 -0.073915 -0.073915 g2 -0.197999 -0.197998 -0.197999 g3 -0.499172 -0.499172 -0.493501 g4 -0.901555 -0.901472 -0.904644 g5 0.000000 0.000000 0.000000 g6 0.000000 0.000000 0.000633 g7 -0.7025 -0.702500 -0.7025 g8 0.000000 0.000000 0.000000 g9 -0.583333 -0.583333 -0.583333 g10 -0.051326 -0.051325 -0.054889 g11 -0.010695 -0.010852 0.00000 f(X) 2997.058412 2996.348094 2994.744241 Parameter and constraint values of the best solutions obtained for speed reducer problem
  • 19.
    June 27, 2017Maharashtra Institute of Technology, Pune. 19 2997.058412 2996.348094 2994.744241 2993.5 2994 2994.5 2995 2995.5 2996 2996.5 2997 2997.5 ABC ES SCA f(X) Technique
  • 20.
    CASE STUDY II June27, 2017 Maharashtra Institute of Technology, Pune. 20
  • 21.
    Optimization of MRR andSurface Roughness in EDM of EN31 tool steel • The objective here is to find out the combination of process parameters for optimum surface roughness and material removal rate (MRR) in electro discharge machining (EDM) of EN31 tool steel using artificial bee colony (ABC) algorithm. • For experimentation, machining parameters viz., pulse on time, pulse off time, discharge current and voltage are varied based on central composite design (CCD). • From ABC analysis, the optimum combinations of process parameters are obtained and corresponding values of maximum MRR and minimum Ra are found out.[4] June 27, 2017 Maharashtra Institute of Technology, Pune. 21
  • 22.
    Experimental Details • Theexperiments are conducted on CNC EDM (EMT 43, Electronica). • The tool is made up of copper with square cross section. June 27, 2017 Maharashtra Institute of Technology, Pune. 22 Responses (Objective ) • Material removal rate (MRR) • Surface roughness (Ra) Process Parameters (Design variables) • Pulse on time (X1) • Pulse off time (X2) • Discharge current (X3) • Applied voltage (X4)
  • 23.
    Chemical and Mechanical propertiesof EN 31 tool steel June 27, 2017 Maharashtra Institute of Technology, Pune. 23 Work piece material Chemical composition (wt%) Mechanical property EN 31 tool steel 1.07% C, 0.57% Mn, 0.32% Si, 0.04% P, 0.03% S, 1.13% Cr and 96.84% Fe Modulus of Elasticity-197.37 GPa, Yield Strength (2% Strain Offset)-528.97 MPa, Ultimate Tensile Strength- 615.40 Mpa and Poisson’s Ratio- 0.294
  • 24.
    Result and discussion June27, 2017 Maharashtra Institute of Technology, Pune. 24 Objective function for Metal Removal rate and surface roughness
  • 25.
    Result and discussion •ABC algorithm is used for optimization and it is noticed that between these two responses, MRR is to be maximized and surface roughness (Ra) is to be minimized. June 27, 2017 Maharashtra Institute of Technology, Pune. 25 Fig. Convergence of ABC algorithm (a) for MRR; (b) for Ra
  • 26.
    Results of confirmationtest for MRR and Ra Process Parameters Optimu m Value of MRR Optim um Value of Ra MRR obtained from ABC analysis (gm/min) MRR obtained from experimen tal (gm/min) % of error of MRR Ra obtained from ABC analysis (μm) Ra obtained from experim ent al (μm) % of error of Ra Pulse on time (Ton) in μs 320 100 0.931935 0.923715 0.88 5.218 5.258 0.76 Pulse off time (Toff) in μs 1500 1510 Current (Ip) in Amp 20 4 Voltage (V) in V 2 84 June 27, 2017 Maharashtra Institute of Technology, Pune. 26
  • 27.
    Effect of processparameters on responses • Fig. shows the impact of pulse on time, pulse off time, pulse current and voltage on material removal rate. June 27, 2017 Maharashtra Institute of Technology, Pune. 27 Fig. Surface and contour plots of MRR in EDM (a) pulse on time vs current; (b) pulse off time vs voltage
  • 28.
    Effect of processparameters on responses • On the other hand, the effect of input parameter of pulse on time, pulse off time, pulse current and voltage on surface roughness has been demonstrated in Fig. June 27, 2017 Maharashtra Institute of Technology, Pune. 28 Fig. Surface and contour plots of Ra in EDM (a) pulse on time vs current; (b) pulse off time vs voltage
  • 29.
    CASE STUDY III June27, 2017 Maharashtra Institute of Technology, Pune. 29
  • 30.
    Optimization of shelland tube heat exchangers • Design and economic optimization of shell and tube heat exchangers using Artificial Bee Colony (ABC) algorithm[6]. • Artificial Bee Colony (ABC) has been applied to minimize the total cost of the equipment. • The traditional design method for shell and tube heat exchangers involves rating a large number of different exchanger geometries to identify those that satisfy a given heat duty and a set of geometric and operational constraints[6]. June 27, 2017 Maharashtra Institute of Technology, Pune. 30
  • 31.
    Optimization design ofheat exchanger design and objective function • Tube Sheet Patterns and Pitch • The Fouling Resistances • The Thermophysical Properties Of Fluids fixed parameters • Shell inside diameter • Tube outside diameter • The number of tube side passages • Baffles spacing Optimization variables June 27, 2017 Maharashtra Institute of Technology, Pune. Design variables The objective function[5]: Total cost Ctot Ctot = Ci + CoD where, Ci= Capital Investment CoD = operating cost Ci is a function of exchanger surface ‘S’ CoD is related to pumping power to overcome frictional losses 31
  • 32.
    Result and discussion •Artificial Bee Colony (ABC) algorithm was used as a optimization algorithm for design and economic optimization of shell and tube heat exchangers[6]. • The original design specifications for comparing with available literature approaches and reliability of obtained results were used[6]. June 27, 2017 Maharashtra Institute of Technology, Pune. Design specifications for different case studies 32
  • 33.
    cont.. June 27, 2017Maharashtra Institute of Technology, Pune. 33 Case study-1 The results of Ref. [7] The results of Ref. [8] The results of this study Ds (m) 0.894 0.83 1.3905 B (m) 0.356 0.5 0.4669 do (m) 0.02 0.016 0.0104 S (m2) 278.6 262.8 230.109 Nt 918 1567 1528 vt (m/s) 0.75 0.69 0.36 vs (m/s) 0.58 0.44 0.118 ht (W/m2K) 3812 3762 3818 hs (W/m2K) 1573 1740 3396 U(W/m2K) 615 660 832 L(m) 4.83 3.379 3.963 Pt (Pa) 6251 4298 3043 Ps (Pa) 35,789 13,267 8390 Ci (€) 51,507 49,259 44,559 Co(€/year) 2111 947 1014.5 CoD (€) 12,973 5818 6233.8 Ctot (€) 64,480 55,077 50,793 Comparison of other results with the results of this study for Case study-1.
  • 34.
    cont… June 27, 2017Maharashtra Institute of Technology, Pune. 34 Case study-2 The results of Ref. [7] The results of Ref. [8] The results of this study Ds (m) 0.539 0.63 0.3293 B (m) 0.127 0.12 0.0924 do (m) 0.025 0.02 0.0105 S (m2) 61.5 52.9 61.566 Nt 158 391 511 vt (m/s) 1.44 0.87 0.43 vs (m/s) 0.47 0.43 0.37 ht (W/m2K) 619 1168 2186 hs (W/m2K) 920 1034 868 U(W/m2K) 317 376 323 L(m) 4.880 2.153 3.6468 Pt (Pa) 49,245 14,009 1696 Ps (Pa) 24,909 15,717 10,667 Ci (€) 19,007 17,599 19,014 Co(€/year) 1304 440 197.139 CoD (€) 8012 2704 1211.3 Ctot (€) 27,020 20,303 20,225 Comparison of other results with the results of this study for Case study-2.
  • 35.
    cont… June 27, 2017Maharashtra Institute of Technology, Pune. 35 Case study-3 The results of Ref. [7] The results of Ref. [8] The results of this study Ds (m) 0.387 0.62 1.0024 B (m) 0.305 0.44 0.354 do (m) 0.019 0.016 0.0103 S (m2) 46.6 62.5 54.72 Nt 160 803 704 vt (m/s) 1.76 0.68 0.36 vs (m/s) 1.76 0.68 0.36 ht (W/m2K) 6558 6043 4438 hs (W/m2K) 5735 3476 5608 U(W/m2K) 1471 1121 1187 L(m) 4.88 1.548 2.4 Pt (Pa) 62,812 3673 2046 Ps (Pa) 67,684 4365 2716 Ci (€) 16,549 19,163 17,893 Co(€/year) 4466 272 257.82 CoD (€) 27,440 1671 1584.2 Ctot (€) 43,989 20,834 19,478 Comparison of other results with the results of this study for Case study-3.
  • 36.
    cont… June 27, 2017Maharashtra Institute of Technology, Pune. A comparison of total cost for all cases. 36
  • 37.
    Summary • Artificial BeeColony (ABC) Algorithm, one of the swarm intelligence based algorithm, is studied thoroughly. It seems that the ABC algorithm has been efficiently used in different problems and it is observed that the results obtained by using this algorithm are better than previous methods. • The performance of the ABC algorithm is evaluated by solving the well known benchmark problems with the help of ABC Algorithm. • The case study on Application of Artificial bee Colony Algorithm for Optimization of MRR and Surface Roughness in EDM of EN31 tool steel is studied. • The case study on Design and economic optimization of shell and tube heat exchangers by using Artificial Bee Colony (ABC) algorithm is studied. • ABC approach was successfully applied for the case studies . Artificial Bee Colony (ABC) method is found to be the most accurate and quick according to traditional methods. June 27, 2017 Maharashtra Institute of Technology, Pune. 37
  • 38.
    References 1. Dervis Karaboga,Bahriye Basturk. Artificial Bee Colony (ABC) Optimization Algorithm for Solving Constrained Optimization Problems, Springer-Verlag Berlin Heidelberg, pp. 789– 798 (2007). 2. Bahriye Akay, Dervis Karaboga. Artificial bee colony algorithm for large-scale problems and engineering design optimization, J Intell Manuf (Springer), 1001–1014, (2012). 3. Akay B., & Karaboga D., Artificial bee colony algorithm for large-scale problems and engineering design optimization. Journal of Intelligent Manufacturing 23, pp. 1001– 1014, (2012). 4. Milan Kumar Dasa, Kaushik Kumarb, Tapan Kr. Barmana, Prasanta Sahooa, Application of Artificial bee Colony Algorithm for Optimization of MRR and Surface Roughness in EDM of EN31 tool steel, Procedia Materials Science 6, pp.741–751, (2014). 5. Eduardo Gerhardt, Herbert Martins Gomes. Artificial Bee Colony (ABC) Algorithm for Engineering Optimization Problems, 3rd International Conference on Engineering Optimization, (2012). 6. Arzu Sencan Sahin , Bayram Kılıç , Ulas Kılıç . Design and economic optimization of shell and tube heat exchangers using Artificial Bee Colony (ABC) algorithm, Energy Conversion and Management , pp 3356-3362, (2011). 7. Sinnot RK. Coulson and Richardson’s chemical engineering, vol. 6. Butterworth Heinemann; 2005 8. Caputo AC, Pelagagge PM, Salini P. Heat exchanger design based on economic optimisation. Appl Therm Eng 28, pp.1151–1159, (2008). June 27, 2017 Maharashtra Institute of Technology, Pune. 38
  • 39.
    THANK YOU!! June 27,2017 Maharashtra Institute of Technology, Pune. 39