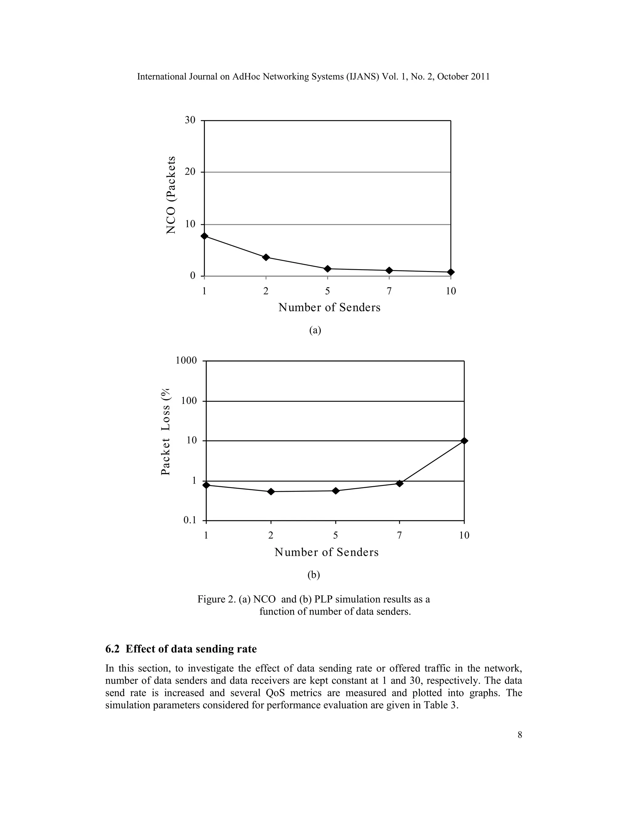
This document analyzes the performance of a neighbor knowledge based broadcast protocol called BCAST in mobile ad hoc networks using network simulator NS-2. It varies the number of data senders (multicast group size) and data sending rate to analyze packet delivery ratio, end-to-end delay, packet loss probability, and network control overhead. The simulation results show that BCAST generally performs well and provides robust performance even with high traffic loads.