1
SECA1303
Analog Communication Systems
UNIT – 1
Amplitude Modulation and
Demodulation
2
Introduction to Electronic Communication Systems
• Communication is the process of establishing connection or link
between two points for information exchange or Communication
is simply the basic process of exchanging information.
• The electronic equipment which are used for communication
purpose, are called communication equipment. Different
communication equipment when assembled together form a
communication system.
• Typical example of communication system are line telephony and
line telegraphy, radio telephony and radio telegraphy, radio
broadcasting, point-to-point communication and mobile
communication, computer communication, radar communication,
television broadcasting, radio telemetry, radio aids to navigation,
radio aids to aircraft landing etc.
3
Block Diagram of Communication System
4
Information Source
• As we know, a communication system serves to communicate a message
or information. This information originates in the information source.
• In general, there can be various messages in the form of words, group of
words, code, symbols, sound signal etc. However, out of these messages,
only the desired message is selected and communicated.
• Therefore, we can say that the function of information source is to
produce required message which has to be transmitted.
Input Transducer
• A transducer is a device which converts one form of energy into another
form. The message from the information source may or may not be
electrical in nature.
• In a case when the message produced by the information source is not
electrical in nature, an input transducer is used to convert it into a time-
varying electrical signal.
• For example, in case of radio-broadcasting, a microphone converts the
information or massage which is in the form of sound waves into
corresponding electrical signal.
5
Transmitter
• The function of the transmitter is to process the electrical signal from
different aspects. It does modulation and amplification of the signal to be
transmitted.
• In the modulation process, some parameter of the carrier wave (such as
amplitude, frequency or phase ) is varied in accordance with the modulating
signal . This modulated signal is then transmitted by the transmitter. The
modulating signal is nothing but the baseband signal or information signal
while the carrier is a high frequency sinusoidal signal. In the process of
modulation the carrier wave actually carries the information signal from the
transmitter to receiver .
•For example in radio broadcasting the electrical signal obtained from
sound signal, is processed to restrict its range of audio frequencies (upto 5
kHz in amplitude modulation radio broadcast) and is often amplified,
modulated and then given to antenna for radiation in to space. In wire
telephony, no real processing is needed. However, in long-distance radio
communication, signal amplification is necessary before modulation.
•Modulation is the main function of the transmitter. In modulation, the
message signal is superimposed upon the high-frequency carrier signal. All
these processing of the message signal are done just to ease the
transmission of the signal through the channel.
6
Channel and the Noise
• The term channel means the medium through which the message travels from
the transmitter to the receiver. In other words, we can say that the function of the
channel is to provide a physical connection between the transmitter and the receiver.
There are two types of channels, namely point-to-point channels and broadcast
channels.
• Example of point-to-point channels is wire lines, microwave links and optical
fibres. Wire-lines operate by guided electromagnetic waves and they are used for local
telephone transmission. In case of microwave links, the transmitted signal is radiated
as an electromagnetic wave in free space. Microwave links are used in long distance
telephone transmission.
• An optical fibre is a low-loss, well-controlled, guided optical medium. Optical
fibres are used in optical communications. Although these three channels operate
differently, they all provide a physical medium for the transmission of signals from one
point to another point. Therefore, for these channels, the term point-to-point is used.
• On the other hand, the broadcast channel provides a capability where several
receiving stations can be reached simultaneously from a single transmitter. An example
of a broadcast channel is a satellite in geostationary orbit, which covers about one third
of the earth s surface.
‟
• Noise is an unwanted signal which tends to interfere with the required
signal During the process of transmission and reception the signal gets
distorted due to noise introduced in the system.. Noise signal is always random
in character. Noise may interfere with signal at any point in a communication
system. However, the noise has its greatest effect on the signal in the channel.
7
Receiver
• The main function of the receiver is to reproduce the message signal in
electrical form from the distorted received signal. This reproduction of the
original signal is accomplished by a process known as the demodulation or
detection. Demodulation is the reverse process of modulation carried out in
transmitter.
Destination
• Destination is the final stage which is used to convert an electrical
message signal into its original form. For example in radio broadcasting,
the destination is a loudspeaker which works as a transducer i.e. converts
the electrical signal in the form of original sound signal.
Types of Communication
1. Broadcast
2. Point-to-point
• Broadcast: A method of sending a signal where multiple parties may hear
a single sender. Radio stations are a good example of every day life
"Broadcast Network". In this example, you can see a single station is
broadcasting a message to multiple locations that may or may not be able
to hear it, and if they are able to hear it, may choose to listen or not.
• Point-to-point: A method of communication where one "point" (person or
entity) speaks to another entity.
8
Periodic signals in the time and frequency domain
9
Analog and Digital Communications
Analog
• In analog communication systems, the message signals are transmitted in
analog form itself. AM, FM and PM are common analog modulation schemes which
uses sinusoidal carrier signal.
• In pulse modulation systems such as PAM, PWM and PPM, the carrier signal is
a pulse train but the message signal is in analog form.
• Therefore PAM, PWM and PPM are also called as analog modulation schemes.
They are generally not used for wireless communications.
Digital
• In digital communication systems, the analog information is converted to digital
binary data (ones and zeros) using Analog to digital convertor ICs.
• Then the binary data is modulated with a sinusoidal carrier and transmitted.
Amplitude shift keying (ASK), Frequency shift keying (FSK) and Phase shift
keying(PSK) are some digital modulation schemes.
10
In basic signal processing terms, we thus find that the transmitter of
an analog communication system consists of a modulator and the
receiver consists of a demodulator
MODULATION
Modulation is a process in which some characteristic of carrier signal
is varied in accordance with the instantaneous value of the message
signal
11
12
Need for modulation
• You may be ask, when the baseband signal can be transmitted directly why to use
the modulation ? The answer is that the baseband transmission has many
limitations which can be overcome using modulation . It is explained below.
The process of modulation provides the following benefits:
 Reduction in the height of antenna
 Increases the range of communication
 Multiplexing is possible
 Improves quality of the signal
13
1. Reduction in the height of antenna
For the transmission of radio signals, the antenna height must be multiple of λ/2 ,where λ is the
wavelength .
λ = c /f
where c : is the velocity of light
f: is the frequency of the signal to be transmitted
If signal is 1KHz
λ = 3x108
/ 1x103
λ =300000 meter
If signal is 1 MHz
λ = 3x108
/ 1x106
λ =300 meter
Avoids mixing of signals
If the baseband sound signals are transmitted without using the modulation by more than one
transmitter, then all the signals will be in the same frequency range i.e. 0 to 20 kHz . Therefore, all the
signals get mixed together and a receiver cannot separate them from each other. Hence, if each
baseband sound signal is used to modulate a different carrier then they will occupy different slots in the
frequency domain (different channels). Thus, modulation avoids mixing of signals.
Example : FM stations broadcasting at different carrier frequencies.
14
2. Increase the Range of Communication
The frequency of baseband signal is low, and the low frequency signals cannot
travel long distance when they are transmitted. They get heavily attenuated. The
attenuation reduces with increase in frequency of the transmitted signal, and they travel
longer distance. The modulation process increases the frequency of the signal to be
transmitted. Therefore, it increases the range of communication.
3. Multiplexing is possible
Multiplexing is a process in which two or more signals can be transmitted over the
same communication channel simultaneously. This is possible only with modulation. The
multiplexing allows the same channel to be used by many signals.
Hence, many TV channels can broadcast simultaneously without getting mixed with
each other as they use different carrier frequencies. It is referred to as frequency division
multiplexing.
4. Improves Quality of Reception
With frequency modulation (FM) and the digital communication techniques such as PCM,
the effect of noise is reduced to a great extent. This improves quality of reception.
15
Types of modulation
•
•There are various types of modulation techniques used for transmitting
information. If the carrier is sinusoidal, then its amplitude, frequency or phase is
changed in accordance with the modulating signal to obtain AM, FM or PM
respectively. These are continuous wave modulation systems.
•Analog modulation can be pulsed modulation as well. Here the carrier is in
the form of rectangular pulse. The amplitude, width or position of the carrier pulses
is varied in accordance with the instantaneous value of modulating signal to obtain
the PAM, PWM or PPM outputs.
•Some commonly used analog and digital modulation techniques are outlined
below .
• AM, FM, PM, PAM, PWM and PPM are analog modulation schemes.
• ASK, FSK and PSK are digital modulation schemes.
16
17
Parameters of an Analog signal/ waveform
18
Long Wavelength = Low Frequency
Short Wavelength = High Frequency (More Waves In The Same Time Frame
19
20
Amplitude Modulation
21
Frequency modulation
22
Phase Modulation
23
Examples of the basic continuous
modulation schemes(AM,PM,FM).
24
• Advantages of analog communication
 Transmitters and receivers are simple
 Low bandwidth requirement
 FDM (Frequency division multiplexing) can be used
Drawbacks of analog communication
 Noise affects the signal quality
 It is not possible to separate noise and signal
 Repeaters cannot be used between transmitter and
receiver
 Coding is not possible
 It is not suitable for the transmission of secret information
Applications
 Radio broadcasting (AM and FM)
 TV broadcasting(AM for video and FM for audio)
25
Amplitude Modulation
 Amplitude Modulation is the process of
changing the amplitude of a relatively high
frequency carrier signal in accordance with the
amplitude of the modulating signal (Information)
 Application of AM - Radio broadcasting, TV
pictures (video), facsimile transmission
 Frequency range for AM - 535 kHz – 1600 kHz
 Bandwidth - 10 kHz
26
27
MATHEMATICAL REPRESENTATION OF AMPLITUDE
MODULATION
28
from the formula, 2 sinA sinB = cos(A − B) − cos(A + B)
29
Modulation Index
•
30
31
vm(t) = Vm sin ωm .t
vc(t) = Vc sin ωc .t
Representation of AM
32
33
AM Frequency spectrum & Bandwidth
m(t) = M sin(ωm + φ)
The equation (9) of an amplitude modulated wave contains 3 terms.
• 1st
term R.H.S represents the carrier wave.
• 2nd
term R.H.S represents the Lower Side Band (LSB).
• 3rd
term R.H.S represents the Upper Side Band (USB).
2nd
and 3rd
terms are identical.
• The above figure represents the frequency spectrum of AM. It shows ttwo side band
terms lying on either sides of carrier term which are separated by wm.
• The range of frequency between (wc- wm) is known as LSB and (wc+ wm) is known as
USB.
• The spacing between these two bands w.r.t carrier is wm.
34
Bandwidth of AM
• The bandwidth of AM can be determined by using the side bands.
• Hence bandwidth is twice the frequency of the modulating signal
• For positive frequencies a portion of AM wave is lying above the
carrier frequency wc.
PHASOR REPRESENTATION OF AM WITH CARRIER
35
• The two side bands having frequencies (wc+ wm) and (wc- wm)
are represented by two phasors rotating in opposite directions
with angular frequency wm.
• The resultant phasor VAM(t) is the vector sum of two side bands
with carrier.
• The maximum positive amplitude of the envelope occurs if the
carrier, LSB and USB all have positive values or in phase.
• Vmax= Vc+VLSB+VUSB
• The maximum negative amplitude of the envelope occurs if the
carrier, LSB and USB all have negative values or out of phase.
Vmin= Vc-VLSB-VUSB
36
•
37
This is also called time domain representation of AM signal. From the
above figure, we can write
Vmax=Vc +Vm and Vmin=Vc - Vmthen2Vm= Vmax - Vmin
…….(1)
and Vc= Vmax - Vm ……(2)
38
Substitute equation 1 in equation
Vc= Vmax - Vm=] =
…..(2)
Modulation Index
m………..(3)
Where Vmax=Vc+Vm and Vmin=Vc-Vm
The modulation index is a number lying between 0 and l , and its very often expressed as a
called the percentage modulation.
……..(4)
39
• DEGREE OF MODULATION
• The modulating signals preserved in the envelope of amplitude modulated signal only if Vm <
Vc then ma < l . Where.
• Vm = Maximum amplitude of modulating signal.
• Vc = Maximum amplitude of carrier signal.
• In AM, three types of degree of modulation are available. It depends upon the amplitude of
the modulating signal relative to carrier amplitude.
 Under modulation,
 Critical modulation
 Over modulation.
Modulation Index for Multiple Modulating Frequencies:
When two or more modulating signals are modulated by a single carrier. The
index is given by,
Where, ma = total resultant modulation index
ml, m2, .. = Modulation indices due to individual modulating components.
40
Under Modulation: ma < l when Vm < Vc
• Here the envelope of amplitude modulated signals does not reach the zero amplitude axis. Hence
the message signal is fully preserved in the envelope of the AM wave.
• An envelope detector can recover the message signal without any distortion.
• AM wave with ma < l when Vm < Vc
Critical Modulation: ma = l when Vm = Vc
Here the envelope of the modulated signal just reaches the zero amplitude axis. The message signal
remains preserved.An envelope detector can recover the message signal without any distortion.
• AM wave with ma=l i.e., 100% modulation Vm = Vc
Over Modulation: ma > I when Vm > Vc
• Here both positive and negative extensions of the modulating signals are cancelled (or) clipped
out. The envelope of message signal are not same. Due to this envelope detector provides
distorted message signal.
• AM wave with ma > 1 i.e., overmodulation Vm > Vc
41
42
Power Calculations
43
44
Current calculation
45
Transmission Efficiency
46
The maximum transmission efficiency of the AM is 33.3%. This means, that only one-third of the
total power is carried by the sidebands and the rest two-third is a waste and is transmitted only for a
low cost reception system
• Advantages:
 AM has the advantage of being usable with very simple modulators and demodulators.
 AM is a relatively inexpensive.
 AM wave can travel a long distance.
• Disadvantages:
 Poor performance in the presence of noise.
 Inefficient use of transmitter power.
 It needs larger bandwidth.
• Applications:
 Low quality form of modulation that is used for commercial broadcasting of both audio and
video signals
 Two-way mobile radio communications such as citizens band (CB) radio.
 Aircraft communications in the VHF frequency range.
47
DSB-SC
48
49
Spectrum of DSB-SC
50
Graphical Representation of DSB-SC-AM
51
Power Calculations
52
Power Saving
53
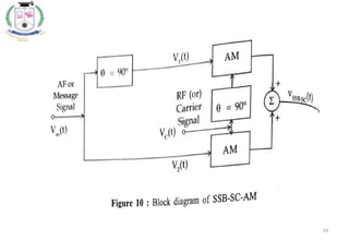
SSB-SC-AM
54
55
56
Spectrum of SSB-SC
57
58
Power Calculations
59
Power saving with respect to DSB-SC
60
61
Amplitude Modulation Types
1. Double-Sideband Full carrier (DSB-FC) AM or
(Conventional Amplitude Modulation)
2. Double-Sideband Suppressed Carrier (DSB-SC) AM
3. Single-Sideband Suppressed Carrier (SSB-SC) AM
4. Vestigial Sideband (VSB) AM
62
63
Let the modulating signal Vm(t) =Vmsinωmt
Carrier signal Vc(t)= Vcsinωct
In amplitude modulation, amplitude of unmodulated carrier Vc is varied which is
proportional to the instantaneous modulating voltage Vm Sinωt
In AM wave, both the carrier and modulating waves are sinusoidal in nature but the
modulated wave is not a sine wave. The amplitude of the AM wave is given as
VAM= Vc + vm(t) …………(3)
V
AMሺ
tሻ= Vcsinct +
maVc
2
[cos(m − c)𝑡− 𝑐
𝑜𝑠(m + c)𝑡]
Frequency Spectrum of AM
(DSB-FC or Conventional AM)
 Frequency spectrum is a graph of amplitude in Y axis and
frequency in X axis
Message Signal
Spectrum
Carrier Signal
Spectrum
AM Signal Spectrum
64
AM Modulators
Based on the power level at which modulation is carried out
Low level modulation: Modulation is carried out the low power level
High level modulation: Modulation is carried out at a high power level
Linear modulators or large-scale modulators:
Device having linear V-I characteristics, i.e, they are operated in linear region of it’s
transfer characteristics is called linear modulators
1. Transistor modulator (will be producing DSB-FC-AM)
2. Switching modulator (will be producing DSB-SC-AM)
Non linear modulator or small signal modulator
1. Square Law modulator
2. Product modulator
3. Balanced modulator
65
Modulation can be achieved in transistor RF power amplifier stages. The modulating
signal can be conveniently supplied on any of the three terminals of the device, emitter base or
collector.
Accordingly the type of modulator will be called
1. Collector modulator
2. Base modulator
3. Emitter modulator
Switching Modulator
Square waves can be used instead of sinusoidal waves to modulate the message
signal.
Since a square wave can be represented in terms of a sum of sinusoids with
fundamental frequency ωo equal to the frequency of the square wave.
So, if a message signal is modulated using a square wave with frequency equal to the
desired carrier frequency ωc and then this modulated signal is filtered using a BPF centered at
ωc with bandwidth twice the bandwidth of the message signal, the resulting signal is a DSBSC
signal.
Transistor Modulator
LINEAR MODULATORS
66
BJT Collector Modulator
 The diode modulator circuit doesn't provide amplification and hence it can
be used for low power applications.
 However, amplifying devices like transistors and FET can be provided
amplification
 It can be used for high power applications
 Anyone of the device can be used for generation of amplitude modulation by
varying their gain parameters in accordance with the modulating signal.
Double side band Full carrier (DSB-FC-AM) AM
modulators
67
Collector Modulator
68
 Carrier signal is applied to the base of the transistor T1 (operated as class C
amplifier for higher efficiency)
 Vcc is the dc supply to Collector terminal for biasing.
 Modulating / message signal is directly applied to the collector, class B amplifier
with required amplification, after amplification of message signal it is applied to the
collector in series with DC collector supply voltage Vcc.
 Hence the Collector voltage becomes Vcc‘
 i.e the Tuned circuit associated with the collector, receives the AM signal RF
bypass capacitor prevents the carrier flowing through the output transformer Tr1
Circuit Arrangement and Operation
69
 Amplitude of output signal constant which is equal to Vcc, in the absence of
modulating signal.
 The reason is when the amplitude of the carrier exceeds the barrier potential(0.7v)
of the emitter base Junction the (Vbe>0.7v) transistor T1 terms on and collector
current flows which is equal to Vcc.
 When Vbe<0.7 i.e carrier signal voltage drops below 0.7v transistor T1 turns off and
no collector current flows.
 Consequently transistor T1 switches between saturation(on) and cut off(off)
controlled by carrier signal, electric current flows for less than 180º of each carrier
cycle class C operation is achieved
 So that each successive cycle of the carrier T1 turns on current to flow producing
negative going waveform at the collector
Operation without modulating signal
(with reference of collector waveforms without modulating signal
amplitude is zero )
70
The amplitude of the modulated voltage is
Vc
c′
= Vcc+ Vmሺ
tሻ= Vcc+ Vmsinωmt = Vcc൤1+
Vm
Vcc
(sinωmt)൨
𝑽
𝒄
𝒄
′
= 𝑽
𝒄
𝒄
ሾ
𝟏 + 𝐦
a(𝐬𝐢𝐧𝛚
m𝐭
)ሿ
The Instantaneous value of the modulated signal
𝑽
𝒐= 𝑽
𝒄
𝒄
′𝒔
𝒊𝒏𝝎
𝒄
𝒕= 𝑽
𝒄
𝒄
ሾ
𝟏 + 𝐦
a(𝐬𝐢𝐧𝛚
m𝐭
)ሿ
𝒔
𝒊𝒏𝛚
cሺ
𝒕ሻ
 When modulating signal appears across the modulation transformer is added with Vcc.
 The net voltage is Vcc+Vm(t)=Vcc' of transistor changes according to the slow variation in
Vcc and vm(t)
 This slow variations in Vcc supply voltage changes the amplitude of the carrier voltage at
the output of the modulated wave.
 The envelope of the output voltage is identical with the modulating voltage
Operation with modulating signal
71
WAVE OPERATING PRINCIPLE
72
Output modulated power i.e delivered power depends on the input power by
Vcc supply voltage and the power dissipation in the collector current
P
in = P
out + P
d
P
in =Input power supplied to Collector circuit
P
out =Output power delivered to the load
P
d =Power dissipation in the collector circuit
P
d = P
in−P
out = P
in(1 −
P
out
P
in
)
Collector Efficiency ɳc =
Pout
Pin
then
P
d = P
in(1 − ɳc
)
𝐼
𝑛𝑝𝑢𝑡𝑝𝑜𝑤
𝑒𝑟P
in =
1
2π
න 𝑉
𝑐.𝐼
𝑐𝑑𝑡
2𝜋
0
=
1
2π
න 𝑉
𝑐𝑐′
.𝐼
𝑐.𝑑𝑡
2𝜋
0
Where Vc – maximum amplitude of modulated signal
Ic – maximum current of modulated signal
Vcc – amplitude of the carrier wave
Power Calculations and Efficiency
73
𝑽
𝒄
𝒄
′
= 𝑽
𝒄
𝒄
ሾ
𝟏 + 𝐦
a(𝐬𝐢𝐧𝛚
m𝐭
)ሿ
and
𝑰
𝒄= 𝑰
𝒄
ሾ
𝟏 + 𝐦
a(𝐬𝐢𝐧𝛚
m𝐭
)ሿ
then 𝐏
in =
𝟏
𝟐𝛑
‫׬‬ 𝑽
𝒄
𝒄
ሾ
𝟏 + 𝐦
aሺ
𝐬𝐢𝐧𝛚
m𝐭
ሻ
ሿ∗𝑰
𝒄
ሾ
𝟏 + 𝐦
a(𝐬𝐢𝐧𝛚
m𝐭
)ሿ𝒅𝛚
𝒕
𝟐𝝅
𝟎
P
in =
Vcc.Ic
2π
න ሾ
1 + ma
2
𝑠𝑖𝑛2
ωm t + 2ma sinωmtሿ
𝑑𝜔𝑡
2𝜋
0
𝒘
𝒆 𝒌𝒏𝒐𝒘𝒕𝒉𝒂𝒕𝒔
𝒊𝒏𝟐
𝛚
m 𝐭=
𝟏 − 𝐜
𝐨𝐬𝟐𝛚
m 𝐭
𝟐
P
in =
Vcc
.Ic
2π
න ൤1 + ma
2
[
𝟏 − 𝐜
𝐨𝐬𝟐𝛚
m 𝐭
𝟐
] + 2ma sinωmt൨
𝑑𝜔𝑡
2𝜋
0
𝐏
in =
𝐕
𝐜
𝐜
.𝐈𝐜
𝟐𝛑
ቈ
𝛚
𝐭+
ma
𝟐
𝟐
൤𝛚
𝐭−
𝐬𝐢𝐧𝟐𝛚
m 𝐭
𝟐
൨
− 𝟐ma 𝐜
𝐨𝐬𝛚
m𝐭
቉
𝟎
𝟐𝝅
74
𝐏
in =
𝐕
𝐜
𝐜
.𝐈𝐜
𝟐𝛑
ቈ
𝟐𝛑+
ma
𝟐
𝟐
ሾ
𝟐𝛑− 𝟎− 𝟎+ 𝟎ሿ− 𝟐𝒎𝒂 + 𝟐𝒎𝒂቉ =
𝐕
𝐜
𝐜
.𝐈𝐜
𝟐𝛑
ሾ
𝟐𝛑ሿቈ
𝟏 +
ma
𝟐
𝟐
቉
𝐏
in = 𝐕
𝐜
𝐜
.𝐈𝐜+
ma
𝟐
𝟐
𝐕
𝐜
𝐜
.𝐈𝐜= 𝐕
𝐜
𝐜
.𝐈𝐜ቆ𝟏 +
ma
𝟐
𝟐
ቇ = 𝑷
𝒄
𝒄ቆ𝟏 +
ma
𝟐
𝟐
ቇ
we know that
P
d = P
in(1− ɳc)= 𝑷
𝒄
𝒄ቀ𝟏 +
ma
𝟐
𝟐
ቁ(1− ɳc)
and
Pout = P
in ∗P
c = ɳc
𝑃
𝑐
𝑐ቆ1 +
ma
2
2
ቇ
75
1. Linearity is usually good.
2. Collector efficiency is high
3. Power output per transistor is usually high
Advantages of collector modulator
1.Large modulating power is required, then the modulating amplifier is the high
power amplifier
2. Collector saturation prevents 100 under percent modulation from being
achieved with just the collector being modulated.
Disadvantages of collector modulator
76
 Modulating signal is applied into the base of the transistor to reduce the power level.
 Common emitter configuration is used and it is biased into class C mode, the resistor
R1 and R2 provides potential divider biasing for transistor through Vcc, the resistor RE
and capacitor CE acts as temperature stabilization elements.
Operation
 The message signal is applied to the base circuits based on the
variations(instantaneous value) of its amplitude. Carrier amplitude is varied between
cutoff and saturation regions in order to produce the fully modulated output.
 The gain of the circuits cannot be maintained as constant over the entire range of its
characteristics.
 Hence the output is not linearly modulated
Base modulator for DSC-FC-AM
77
Circuit Diagram Base modulator
78
Mathematical Analysis
Let the carrier signal 𝑽
𝒄
ሺ
𝒕ሻ= 𝑽
𝒄𝐬𝐢𝐧𝛚
c𝐭
message signal 𝑽
𝒎ሺ
𝒕ሻ= 𝑽
𝒎𝐬𝐢𝐧𝛚
m𝐭
Thus the total time varying base Bias Voltage is given by
𝐕
bias(𝒕) = 𝑽
𝒄
𝒄+ 𝑽
𝒎ሺ
𝒕ሻ
Base Bias Voltage with respect to time is
𝐕
biasሺ
𝒕ሻ= 𝑽
𝒄
𝒄+ 𝑽
𝒎𝐬𝐢𝐧𝛚
m𝐭…………….(𝟏)
If It represents RMS value of the tank circuit, for linear modulation it can be written
as
𝐼
𝑡 = 𝐾ൣ
𝐕
biasሺ
𝒕ሻ− 𝐕
𝑏𝑒(0)ሺ
𝒕ሻ
൧
WhereV
be(0)baseto emitter voltage𝑓
𝑜𝑟𝑧
𝑒𝑟𝑜𝑐
𝑜𝑙𝑙𝑒𝑐
𝑡𝑜𝑟𝑐
𝑢𝑟𝑟𝑒𝑛𝑡
𝑜𝑟𝑚𝑖𝑛𝑖𝑚𝑢𝑚𝑓
𝑜𝑟𝑤
𝑎𝑟𝑑𝑏𝑖𝑎𝑠𝑣𝑜𝑙𝑡𝑎𝑔𝑒𝑜𝑓𝑏𝑎𝑠𝑒𝑎𝑛𝑑𝑒𝑚𝑖𝑡𝑡𝑒𝑟
K = C
onductanceof thecircuit
79
The instantaneous amplitude of current passing through tank circuit as at freq of ωc
can be written as
𝑖𝑡ሺ
𝑡ሻ= 𝐼
𝑚 sinωct = ξ2 𝐼
𝑡 sinωct
itሺ
𝑡ሻ= ξ2 𝐾[V
biasሺ
𝑡ሻ− V
be(0)ሺ
𝑡ሻ
]sinωct
Where
𝐼
𝑡 =
𝐼
𝑚
ξ2
𝑜𝑟ξ2𝐼
𝑡 = 𝐼
𝑚
itሺ
𝑡ሻ= ξ2𝐾
[𝑉
𝑐
𝑐+ 𝑉
𝑚sinωmt − V
be(0)ሺ
𝑡ሻ
]sinωct
itሺ
𝑡ሻ= ξ2𝐾
[𝑉
𝑐
𝑐− V
be(0)ሺ
𝑡ሻ+ 𝑉
𝑚sinωmt]sinωct
take out 𝑽
𝒄
𝒄− 𝐕
be(0)ሺ
𝒕ሻ
itሺ
𝑡ሻ= ξ2𝐾
[𝑉
𝑐
𝑐− V
be(0)ሺ
𝑡ሻ
]ቈ
1 +
𝑉
𝑚sinωmt
𝑉
𝑐
𝑐− V
be(0)ሺ
𝑡ሻ
቉ sinωct
80
itሺ
𝑡ሻ= ξ2𝐾
[𝑉
𝑐
𝑐− V
be(0)ሺ
𝑡ሻ
][1 + ma sinωmt]sinωct
itሺ
𝑡ሻ= ξ2 It [1+ ma sinωmt]sinωct
Modulation index
ma =
𝑉
𝑚
𝑉
𝑐
𝑐− V
be(0)ሺ
𝑡ሻ
Instantaneous voltage of tank circuit
𝐕
𝟎ሺ
𝒕ሻ= 𝒁
.𝐢tሺ
𝒕ሻ= 𝒁
.ξ𝟐𝐈t[𝟏 + ma 𝐬𝐢𝐧𝛚
m𝐭
]𝐬𝐢𝐧𝛚
c𝐭
𝐕
𝟎ሺ
𝒕ሻ= 𝑽
𝒄[𝟏 + ma 𝐬𝐢𝐧𝛚
m𝐭
]𝐬𝐢𝐧𝛚
c𝐭
Where
𝐕
𝒄 = 𝒁
.ξ𝟐𝐈t
Z=Impedance of tank circuit
81
1. The amount of power required for the power supply is low as compared to collector
modulation.
2. The power output and efficiency are comparatively low, since the modulated
collector current peaks can be only about half as large as in the collector modulated
circuit.
3. It is used in television transmission because it requires little power and can we
power requirement of large bandwidth.
Advantages of Base Modulator
1. Linearity is very poor than collector modulator
2. The efficiency is less than collector modulator
3. The adjustment of the base modulated amplifier is more critical and the high
degree of linearity is more difficult to obtain
Disadvantages of Base Modulator
82
NONLINEAR MODULATOR
Square Law Modulator for DSB-FC – Amplitude Modulation
It consists of
A non-linear device
A band Pass filter
A carrier source and modulating signal
The modulating signal and carrier are connected in series with each other and their
sum V1(t) is applied at the input of the non-linear device, such as diode, transistor etc.
83
𝑉
1ሺ
𝑡ሻ= 𝑉
𝑚ሺ
𝑡ሻ+ 𝑉
𝑐 ሺ
𝑡ሻ
𝑉
1ሺ
𝑡ሻ= 𝑉
𝑚ሺ
𝑡ሻ+ 𝑉
𝑐 𝑐
𝑜𝑠𝜔
𝑐(𝑡)…………………………(1)
The input output relation for non-linear device is
𝑉
2ሺ
𝑡ሻ= 𝑎𝑉
1ሺ
𝑡ሻ+ 𝑏𝑉
1
2
(𝑡)…………….………….…..(2)
where a and b are constants.
Now, substituting the expression (1) in (2), we get
𝑉
2ሺ
𝑡ሻ= 𝑎ሾ
𝑉
𝑚ሺ
𝑡ሻ+ 𝑉
C cos𝜔
𝑐 𝑡ሿ+ 𝑏[𝑉
𝑚ሺ
𝑡ሻ+ 𝑉
C cos𝜔
𝑐 𝑡]2
𝑉
2ሺ
𝑡ሻ= 𝑎𝑉
𝑚ሺ
𝑡ሻ+ 𝑎𝑉
C cos𝜔
𝑐 𝑡+ 𝑏ൣ
𝑉
𝑚
2
ሺ
𝑡ሻ+ 2𝑉
𝑚ሺ
𝑡ሻ
𝑉
C cos𝜔
𝑐 𝑡+ 𝑉
c
2
𝑐
𝑜𝑠2
𝜔
𝑐(𝑡)൧
84
𝑉
2ሺ
𝑡ሻ= 𝑎𝑉
𝑚ሺ
𝑡ሻ
ᇣ
ᇧ
ᇤ
ᇧ
ᇥ
1
+ 𝑎𝑉
C cos𝜔
𝑐 𝑡
ᇣ
ᇧ
ᇧ
ᇧ
ᇤᇧ
ᇧ
ᇧ
ᇥ
2
+ 𝑏𝑉
𝑚
2
ሺ
𝑡ሻ
ᇣ
ᇧ
ᇤ
ᇧ
ᇥ
3
+ 𝑏2𝑉
𝑚ሺ
𝑡ሻ
𝑉
C cos𝜔
𝑐 𝑡
ᇣ
ᇧ
ᇧ
ᇧ
ᇧ
ᇧ
ᇤᇧ
ᇧ
ᇧ
ᇧ
ᇧ
ᇥ
4
+ 𝑏𝑉
c
2
𝑐
𝑜𝑠2
𝜔
𝑐(𝑡)
ᇣ
ᇧ
ᇧ
ᇧ
ᇤᇧ
ᇧ
ᇧ
ᇥ
5
]
The five terms in the expression for V2(t) are as under
Term 1 – Modulating Signal
Term 2 – Carrier Signal
Term 3 - Squared modulating signal
Term 4 – AM wave with only sidebands
Term 5 – Squared carrier signal
Out of these five terms, terms 2 and 4 are useful whereas the remaining terms are not useful .
Let us club terms 2, 4 and 1, 3, 5 as follows to get ,
𝑉
2ሺ
𝑡ሻ= 𝑎𝑉
𝑚ሺ
𝑡ሻ+ 𝑏𝑉
𝑚
2
ሺ
𝑡ሻ+ 𝑏𝑉
c
2
𝑐
𝑜𝑠2
𝜔𝑐(𝑡) + 𝑎𝑉
C cos𝜔𝑐𝑡+ 𝑏2𝑉
𝑚ሺ
𝑡ሻ
𝑉
C cos𝜔𝑐 (𝑡)
𝑎𝑉
𝑚ሺ
𝑡ሻ+ 𝑏𝑉
𝑚
2
ሺ
𝑡ሻ+ 𝑏𝑉
c
2
𝑐
𝑜𝑠2
𝜔
𝑐(𝑡) = 𝑈
𝑛𝑢𝑠𝑒𝑓
𝑢𝑙 𝑡𝑒𝑟𝑚𝑠
𝑎𝑉
C cos𝜔
𝑐 𝑡+ 𝑏2𝑉
𝑚ሺ
𝑡ሻ
𝑉
C cos𝜔
𝑐 (𝑡) = 𝑢𝑠𝑒𝑓
𝑢𝑙 𝑡𝑒𝑟𝑚𝑠
85
The LC tuned circuit acts as a band pass filter. This band pass filter eliminates the
unuseful terms from the equation of v2(t) .
Hence the output voltage vo(t) contains only the useful terms .
𝑉
0ሺ
𝑡ሻ= 𝑎𝑉
C cos𝜔
𝑐 𝑡+ 𝑏2𝑉
𝑚ሺ
𝑡ሻ
𝑉
C cos𝜔
𝑐 (𝑡)
𝑉
0ሺ
𝑡ሻ= ሾ
𝑎𝑉
C + 2𝑏𝑉
𝑚ሺ
𝑡ሻ
𝑉
𝑐ሿ
𝑐
𝑜𝑠𝜔
𝑐(𝑡)
Therefore,
𝑉
0ሺ
𝑡ሻ= 𝑎𝑉
C[1 +
2𝑏
𝑎
𝑉
𝑚ሺ
𝑡ሻ
]𝑐
𝑜𝑠𝜔
𝑐(𝑡)………………………….(3)
Comparing this with the expression for standard AM wave i.e
𝑉
AMሺ
𝑡ሻ= 𝑉
C[1+ 𝑚a𝑉
𝑚ሺ
𝑡ሻ
]𝑐
𝑜𝑠𝜔
𝑐(𝑡)
Vo(t) of equation (3) represents an AM wave with m = (2b/a) . Hence, the square
law modulator produces an AM wave.
86
Double Sideband Suppressed Carrier (DSB-
SC) Modulation
 In the standard form of Amplitude Modulation (AM), the carrier wave c(t) is completely
independent of the message signal m(t), which means that the transmission of the carrier
wave represents a waste of power.
 To overcome this shortcoming , we may suppress the carrier component from the
modulated wave, resulting in double-sideband suppressed carrier (DSB-SC) modulation.
 Thus, by suppressing the carrier, we obtain a modulated wave that is proportional to
the product of the carrier wave and the message signal.
DSCFC Spectrum DSCSC Spectrum
87
Let modulating signal Vm(t)=Vm sinmt……..(1)
Vm= Amplitude or voltage of message signal
m= Frequency of message signal
Carrier signal Vc(t)=Vc sinct ………………(2)
Vc= Amplitude or voltage of carrier signal
c= frequency of carrier signal
Multiplying (1) and (2)by product modulator, modulated DSB-SC signal is
generated
V(t) = Vm(t)* Vc(t) = Vm sinmt* Vc sinct = VmVc sinmt sinct
Apply 2sinA sin B=cos(A-B)-cos(A+B)
Then VDSB-sc(t)=
VmVc
2
[cos(m − c)𝑡− 𝑐
𝑜𝑠(m + c)𝑡] ……(3)
We know that DSB with carrier AM wave modulated representation,
VAM(t)= V
csinct +
𝑚aVc
2
[cos(m − c)𝑡 − 𝑐
𝑜𝑠(m + c)𝑡] ……..(4)
By comparing DSB with carrier and DSB-SC, Vc sinct (ie) carrier wave is
missing ;remaining two terms are same.
Mathematical representation of DSC- SC - AM
88
Bandwidth (BW) is the difference between the highest and lowest frequencies of
the signal. Mathematically, we can write it as
Bandwidth
BW = fmax -fmin
BW = (fc+fm) – (fc-fm)
= fc+fm – fc +fm
BW = 2fm
BW = (fc+fm) – (fc-fm)
= fc+fm – fc +fm
BW = 2fm
89
Phasor Diagram
Phasor Diagrams are a graphical way of representing the magnitude and directional
relationship between two or more alternating quantities.
For AM or DSBFC
 Carrier wave phase  Reference Phase
 Two sidebands having a frequency of (ωc+ωm) (USB) & (ωc-ωm) (LSB) are represented by two phasors
rotating in opposite directions with angular frequency of ωm
 The net or resultant phasor is VAM(t) , the vector sum of two sidebands with carrier.
 If the carrier, LSB & USB are positive or inphase Vmax = Vc+VLSB+VUSB
 or if carrier and sidebands are out of phase Vmax = Vc-VLSB-VUSB
For DSBSC
90
Power calculation in DSB-SC AM
In DSB-SC carrier is suppressed, then total power is only the sum of sideband
power
Pt DSB-SC=PUSB+PLSB = =
ቀ
ma𝑉
c
2
ቁ
2
𝑅
+
ቀ
ma𝑉
c
2
ቁ
2
𝑅
we know that RMS value of Vc =
𝑉
c
ξ2
𝑃
𝑡DSB-SC =
ቆma
𝑉
c/ξ2
2 ቇ
2
𝑅
+
ቆma
𝑉
c/ξ2
2 ቇ
2
𝑅
𝑃
𝑡DSB-SC =
ma
2 𝑉
c
2
8
𝑅
+
ma
2 𝑉
c
2
8
𝑅
=
ma
2
𝑉
c
2
8𝑅
+
ma
2
𝑉
c
2
8𝑅
=
2ma
2
𝑉
c
2
8𝑅
=
ma
2
𝑉
c
2
4𝑅
𝑃
𝑡DSB-SC =
𝑉
c
2
2𝑅
ቆ
ma
2
2
ቇ = 𝑃
𝑐ቆ
ma
2
2
ቇ
Total power in both side bands are
𝑃
𝑡DSB-SC = 𝑃
𝑐ቆ
ma
2
2
ቇ
91
Transmission Efficiency (%)
%ɳ =
𝑃
t DSB with carrier-𝑃
t DSB- SC
Totalpower transmitted
∗100
We know that
𝑃
𝑡DSB 𝑤
𝑖𝑡ℎ 𝑐
𝑎𝑟𝑟𝑖𝑒𝑟 = 𝑇
𝑜𝑡𝑎𝑙 𝑝𝑜𝑤
𝑒𝑟𝑃
𝑡 = 𝑃
𝑐ቈ
1+ ቆ
ma
2
2
ቇ቉
%ɳ =
𝑃
𝑐൤1 + ൬
ma
2
2
൰
൨
− 𝑃
𝑐൬
ma
2
2
൰
𝑃
𝑐൤1 + ൬
ma
2
2
൰
൨
∗100
%ɳ =
𝑃
𝑐+ 𝑃
𝑐൬
ma
2
2
൰
− 𝑃
𝑐൬
ma
2
2
൰
𝑃
𝑐൤1 + ൬
ma
2
2
൰
൨
∗100
%ɳ =
1
൤1 + ൬
ma
2
2
൰
൨
∗100 =
2
2 + ma
2
∗100
If ma = 1 then %ɳ=2/3*100=66.7%
By suppressing carrier wave the efficiency or power saving increased to 66.7%
92
It provides 100% modulation efficiency.
Due to suppression of carrier, it consumes less power.
It provides a larger bandwidth.
Disadvantages of DSB-SC modulation
It involves a complex detection process.
Using this technique it is sometimes difficult to recover the signal at the receiver.
It is an expensive technique when it comes to demodulation of the signal.
Applications of DSB-SC modulation
During the transmission of binary data, DSB-SC system is used in phase shift keying methods.
In order to transmit channel stereo signals, DSB signals are used in Television and FM
broadcasting.
Advantages of DSB-SC Modulation
93
BALANCED MODULATOR USING FETS /
GENERATION OF DSB-SC-AM
 A balanced modulator is a device that modifies a signal, usually in the form of an
amplitude modulated (AM) radio signal.
 It takes the original signal that has both sidebands and a carrier signal, and then
modulates it so that only the sideband signals come through the output modulator.
 This creates a balanced signal, as there is less noise because the carrier signal has been
removed.
94
 There are three transformers T1,T2 and T3.
 The carrier signal is applied to the center taps of the input transformer T1 and the output transformer T3 .
 The modulating signal is applied to the input transformer T1.
 The carrier signal is applied to the primary of transformer T2.
 This signal is further applied to two gates of FETs in phase through the secondary of T1.
 The modulating voltage appearing 180 degree out of phase at the gates, since these are the opposite ends
of the center tapped transformer.
Consider that there is no modulating signal is applied.
 Then FET currents due to carrier signal are equal in amplitude but opposite in the directions.
 These opposite and equal currents are the primary of the output transformer cancel each other.
 Hence, no output is produced at the secondary of T3.
 Thus the carrier is suppressed.
When modulating signal is applied, the current id1 and id2 flow in the primary of T3 due to carrier signal as
well as the modulating signal.
 The FET currents due to carrier are equal and opposite and cancel each other.
 Seems modulating signal is applied 180 degree out of phase at the gates, the FET currents due to modulating
signal is equal but not opposite, hence do not cancel each other.
 Thus DSB output is produced by FET balanced modulator.
Illustration of Circuit Diagram
95
To prove that balanced modulator output produces DSB-SC-
AM output
The transfer curve id versus Vgs of a FET is almost parabolic and may be
approximated by
.
𝑖d = 𝐼
0+𝑎𝑉
gs + 𝑏𝑉
gs
2
Here I0 is the current at zero Gate source voltage and a and b are constants. Since
the drain currents id1 and id2 flow in opposite direction in primary windings of output
transformer T3. The effective primary current ip is,
𝑖p = 𝑖d1 − 𝑖d2 = 𝐼
0+𝑎𝑉
gs1 + 𝑏𝑉
gs2
2
− (𝐼
0 + 𝑎𝑉
gs2 + 𝑏𝑉
gs2
2
)
𝑖p = 𝑖d1 − 𝑖d2 = 𝐼
0+𝑎𝑉
gs1 + 𝑏𝑉
gs2
2
− 𝐼
0 − 𝑎𝑉
gs2 − 𝑏𝑉
gs2
2
)
𝑖p = 𝑎(𝑉
gs1 − 𝑉
gs2) + 𝑏൫
𝑉
gs1
2
− 𝑉
gs2
2
൯
……………..(1)
96
Let us apply KVL to the input circuit
𝑉
gs1 = ൤𝑒
𝑐 +
1
2
𝑒
𝑚൨ 𝑎𝑛𝑑𝑉
gs2 = ൤𝑒
𝑐 −
1
2
𝑒
𝑚൨
Putting these values in equation 1
𝑎(𝑉
gs1 − 𝑉
gs2) = 𝑎 ൜
൤𝑒
𝑐 +
1
2
𝑒
𝑚൨
− ൤𝑒
𝑐 −
1
2
𝑒
𝑚൨
ൠ
𝑎(𝑉
gs1 − 𝑉
gs2) = 𝑎 ൤𝑒
𝑐 +
1
2
𝑒
𝑚 − 𝑒
𝑐 +
1
2
𝑒
𝑚൨
= 𝑎 ൤
2
2
𝑒
𝑚൨
= aem …………..(2)
𝑏൫
𝑉
gs1
2
− 𝑉
gs2
2
൯= 𝑏 ቊ
൤𝑒
𝑐 +
1
2
𝑒
𝑚൨
2
− ൤𝑒
𝑐 −
1
2
𝑒
𝑚൨
2
ቋ
= 𝑏∗ ൜
𝑒
𝑐
2
+
1
4
𝑒
𝑚
2
+ 2𝑒
𝑐
𝑒
𝑚
2
− 𝑒
𝑐
2
−
1
4
𝑒
𝑚
2
+ 2𝑒
𝑐
𝑒
𝑚
2
ൠ
= 𝑏∗4𝑒
𝑐
𝑒
𝑚
2
= 2𝑏𝑒
𝑐𝑒
𝑚 ………..(3)
𝑖p = aem + 2𝑏𝑒
𝑐𝑒
𝑚
97
In the above equation em is the low frequency modulating signal. The output
transformer T3 operates at carrier frequency, hence it will reject em. Because
only the product term 2b ecemof above equation. Thus
𝑖p = 2b𝑒
c𝑒
𝑚
We know that
𝑒
c = 𝑉
csinωct and em=𝑉
msinωmt
𝑖p = 2b𝑉
csinωct 𝑉
msinωmt
Here let us use
𝑠𝑖𝑛m𝑡𝑠𝑖𝑛 c𝑡 =
[cos(m − c)𝑡− 𝑐
𝑜𝑠(m + c)𝑡]
2
𝑖p = b𝑉
c𝑉
m [cos(m − c)𝑡− 𝑐
𝑜𝑠(m + c)𝑡]
In the above equationm − c represents LSB and m + crepresents USB.
Thus the current flowing in the output transformer T3, produces only two side
bands and no carrier. Thus proves that balanced modulator produces
suppressor carrier DSB output.
𝑖p = aem + 2𝑏𝑒
𝑐𝑒
𝑚
Single Sideband Suppressed
Carrier (SSB-SC) Modulation
 Type of Amplitude Modulation
 Only one side band is transmitted, it means, the carrier wave and one side band
is suppressed
 In conventional amplitude wave, two sidebands and carrier signal is there
 In DSB – SC, only two side bands without carrier signal is transmitted that is
carrier is not transmitted here.
 But in SSB – SC , only one side band is transmitted another side band and carrier
is suppressed.
 One disadvantage of transmitting carrier is waste of power.
 ie 67% of power is used by the carrier only 33% of power is used by sidebands.
Benefit  All information is transmitted using Single side band.
98
The USB and LSB are uniquely related to each other by their Symmetry of their
carrier frequency, it means the amplitude and phase frequency of any one is given we
can easily identify the other one.
Standard AM and DSBSC require transmission bandwidth equal to twice the
message bandwidth.
USB occupied one half of the transmission bandwidth and LSB occupied another
half of the transmission bandwidth. So total BW is 2ω.
Thus if only one side band is transmitted, and if both the carrier and the other side
band are suppressed at the transmitter, No information is lost.
Also Bandwidth for only one side band is ω.
Single-Sideband Suppressed Carrier (SSB-
SC)
99
Spectrum of SSB – SC AM
100
101
Phasor Diagram
Phasor Diagrams are a graphical way of representing the magnitude and directional
relationship between two or more alternating quantities.
For AM or DSB-FC-AM For DSBSC- SC-AM
For SSBSC-SC-AM
 Bandwidth of SSB is half that of DSB-SC AM. Thus twice the number of channels can
be accommodated at a given frequency spectrum.
 No carrier is transmitted, hence possibility of interference with other channels are
avoided.
 There is an improvement in signal to noise ratio from 9 to 12 dB at the receiver
output over DSB-SC-AM.
 SSB requires less number of amplifying stages. Hence net volume of operating cost is
reduced.
 Less power is consumed. ie 83.3% power is saved over conventional AM and 50% of
power saved over DSB- SC AM
 It allows transmission of the high power signal.
 During demodulation of SSB, carrier of same frequency and phase of requisite
strength is to be inserted, and at the receiver one can get output message signal without
the knowledge of carrier, Hence some secrecy is automatically achieved.
Advantages of SSB modulation
102
It eliminates the possibility of fading.
Fading occurs due to multipath propagation of electromagnetic waves. That is RF waves at
same frequency may travel by two path which may be different wave lengths so that signals
received by these paths may be unequal amplitude and phases, which is known as fading. This
fading is selective over the received band. This is said to be selective fading. Selective fading is of
three types in Amplitude Modulation. They are
Sideband fading : one sideband is significantly attenuated
Carrier fading : Fading Carrier alone
Carrier or sideband phase shift : Fading the amplitude and phase of one side band
component with respect to other side band and carrier.
Advantages of SSB modulation Cont..
103
 Implementation of SSB holds complex nature.
 It is expensive.
 SSB technique requires a transmitter and receiver to be highly frequency
stable.
Disadvantages of SSB modulation
Applications of SSB Modulation
 It is needed in all such applications where power saving and low bandwidth is required.
 The technique is utilized in point to point communication.
 It is also used in land and air mobile communication.
 It also finds its applications in telemetry and radar communication.
104
Frequency Discrimination Method / Filter Method - Use a high-Q
filter to suppress one of the sidebands.
Phase methods: Shift sidebands using a phase shift method to
cancel one of them out
Phase shift method
Third Method (Weaver’s Method)
• Lower sideband: LSSB or LSB
• Upper sideband: USSB or USB
• The decision to choose one over the other is dictated by:
 Convention or prior assignment
 Technological considerations
• Neither USSB or LSSB is inherently better than the other
Generation of SSB SC AM Wave
105
Two requirements have to be satisfied. They are
The message signal m(t) has no low-frequency content. Example: speech, audio,
music.
The highest frequency component W of the message signal m(t) is much less
than the carrier frequency fc
.
106
Frequency Discrimination Method /
Filter Method
Then, under these conditions, designing the band pass filter, the following
requirements should be satisfied:
1.The pass band of the filter should be same that of the desired side band.
2.The separation region between pass band and stop band should not exceed
twice the maximum frequency component present in the base band.
REQUIREMENTS FOR BANDPASS FILTER
(BPF)
107
Problems in designing BPF :
It becomes very difficult to design
an appropriate filter that will pass the
desired side band and reject the other.
SSB wave occupies a frequency
band which is much larger than the
baseband signal.
-Therefore Multiple modulation
process is used
1. A crystal controlled master oscillator produces a stable carrier frequency fc (say 100 KHz)
2. This carrier frequency is then fed to the balanced modulator through a buffer amplifier . (buffer  used to
transfer a voltage from a first circuit, having a high output impedance level, to a second circuit with a low
input impedance)
3. The audio signal from the modulating amplifier modulates the carrier in the balanced modulator. Audio
frequency range is 300 to 2800 Hz. The carrier is also suppressed in this stage but allows only to pass the both
side bands. (USB & LSB).
4. A band pass filter (BPF) allows only a single band either USB or LSB to pass through it. It depends on our
requirements. Let we want to pass the USB then LSB will be suppressed. In this case.
fc = 100 KHz & Audio range = 300 - 2800 Hz
USB frequency range = fc + 300 to fc + 2800 = 100000 + 300 to 100000 + 2800
= 100300 to 102800 Hz
So this band of frequency will be passed on through the USB filter section
5. This side band is then heterodyned in the balanced mixer stage with 12 MHz frequency produced by crystal
oscillator or synthesizer depends upon the requirements of our transmission. So in mixer stage; the frequency
of the crystal oscillator or synthesizer is added to SSB signal. The output frequency thus being raised to the
value desired for transmission.
6. Then this band is amplified in driver and power amplifier stages and then fed to the aerial for the transmission.
Illustration of the block diagram
108
 It provides sufficiently flat and wide bandwidth.
 By this method, we can have suitable sideband suppression.
 It allows better management of the frequency spectrum. More transmission can fit into a given frequency range
than would be possible with double side band DSB signals.
 All of the transmitted power is message power none is dissipate as carrier power.
 The noise content of a signal is an exponential function of the bandwidth: the noise will decrease by 3dB when the
bandwidth is reduced by half. There fore, single side band SSB signals have less noise Around, Low Cost
Disadvantages of Filter Method
 Frequency up-conversion at the end is necessary as the system does not generate SSB at high frequencies.
 The cost of the Single side band SSB receiver is higher than the double band DSB counterpart be a ration of about
3:1. So the expensive filter increases the overall cost of the system.
 The average radio user wants only to flip a power switch and dial a station. Single side band SSB receivers require
several precise frequency control settings to minimize distortion and may require continual readjustment during the
use of the system.
Advantages of Filter Method
109
Phase Discrimination Method
Based on the time domain description of SSB signal.
It consists of two balanced modulators with carrier wave in-phase
quadrature to each other.
The incoming baseband signal m(t) is applied to the Balanced
Modulator ‘A’, producing a DSB-SC wave that translates the spectrum of m(t)
symmetrically spaced about the carrier frequency fc
.
mh
(t) is applied to the Balanced Modulator-B producing a DSB
The use of Modulator- B output with a plus sign at the summing
junction yields an SSB wave with only one lower sideband.
In this way either form of SSB wave can be generated.
This arrangement is also known as Hartley modulator.
110
SSB – SC Wave Equation (Derivation)
In order to suppress one of the side band, the input signal is fed to the modulator 1 is 90
degree out of phase with the signal fed into modulator 2.
111
Let us take
VmȋtȌ= Vm sinȋωmtȌand VcȋtȌ= Vc sinȋωctȌ
V
1ሺ
tሻ= V
m sin(ωmt + 900
) V
c sin(ωct + 900
)
V
1ሺ
tሻ= V
m cos(ωmt) V
c cos(ωct)
V
2ሺ
tሻ= V
m sin(ωmt) V
c sin(ωct)
V
S
S
B−S
Cሺ
tሻ= V
1ሺ
tሻ+ V
2(t)
V
S
S
B−S
Cሺ
tሻ= V
m cos(ωmt) V
c cos(ωct) + V
m sin(ωmt) V
c sin(ωct)
V
S
S
B−S
Cሺ
tሻ= V
m V
cሾ
cos(ωmt) cos(ωct) + sin(ωmt) sin(ωct)ሿ
112
Similarly (if subtraction is taken instead of summation)
V
S
S
B−S
Cሺ
tሻ=
V
m V
c
2
cos(ωc + ωm)t = U
pper sideband (U
S
B)
We know that
V
DS
B−S
Cሺ
tሻ=
V
m V
c
2
ሾ
cos(ωc − ωm)t − cos(ωc + ωm)tሿ
When comparing the above equations one of the side band is
suppressed. Hence this scheme is known as SSB – SC AM
We know that S
in AS
inB + C
osAC
osB =
cos(A−B)
2
V
S
S
B−S
Cሺ
tሻ=
V
m V
c
2
cos(ωc − ωm)t = Lower sideband(LS
B)
113
POWER CALCULATION: SSB - SC - AM
Power of SSBSC wave is equal to the power of any one sideband frequency
components.
P
t = P
U
S
B = P
LS
B
Conventional Amplitude modulation total power is
P
t = P
c + P
U
S
B + P
LS
B =
V
carrier
2
R
+
V
U
S
B
2
R
+
V
LS
B
2
R
DSB-SC total power is
P
t(DS
BS
C) = P
U
S
B + P
LS
B =
V
U
S
B
2
R
+
V
LS
B
2
R
SSC – SC total power is
P
t(S
SBSC) = PU
S
B = PLS
B =
VU
S
B
2
R
=
VLS
B
2
R
Where Vcarrier = RMS value of the carrier voltages
VLSB = VUSB = RMS value of upper and lower side band voltages
R = Resistance in which power is dissipated
114
115
In this case, the power of the upper sideband or power of the lower side band is
P
U
SB = P
LSB =
V
S
B
2
R
=
൫
maV
c 2ξ2
Τ ൯
2
R
=
ma
2
V
c
2
8
Τ
R
=
ma
2
V
c
2
8R
=
ma
2
V
c
2
8R
P
U
S
B = P
LSB = P
S
SB =
V
S
B
2
R
=
ma
2
V
c
2
8R
= ቆ
ma
2
4
ቇቆ
V
c
2
2R
ቇ = ቆ
ma
2
P
c
4
ቇ
Another method
Wkt DSB-SC AM
𝑃
𝑡DSB-SC = 𝑃
𝑐ቆ
ma
2
2
ቇ
In SSB-AM in total power s half of the power in side bands
𝑃
𝑡SSB-SC =
𝑃
𝑐൬
ma
2
2 ൰
2
= 𝑃
𝑐ቆ
ma
2
4
ቇ
Power saving with respect to AM with carrier (Power efficiency)
Powersaving =
P
t − P
S
S
B
P
t
Where Pt is total power transmitted
Powersaving=
൤1 +
ma
2
2 ൨
P
c − ൤
ma
2
P
c
4 ൨
൤1 +
ma
2
2
൨
P
c
=
P
c +
ma
2
2
P
c −
ma
2
4
P
c
൤1 +
ma
2
2
൨
P
c
P
c +
ma
2
4
P
c
൤1 +
ma
2
2 ൨
P
c
=
൤1+
ma
2
4 ൨
P
c
൤1+
ma
2
2 ൨
P
c
=
൤
4 + 𝑚𝑎
2
4 ൨
൤
2 + 𝑚𝑎
2
2 ൨
=
4+ 𝑚𝑎
2
2 ∗ሺ
2+ 𝑚𝑎
2ሻ
=
4 + 𝑚𝑎
2
4+ 2𝑚𝑎
2
If modulation index is 1, then
Powersaving=
5
6
= 83.3%
116
Power efficiency of SSB SC compared with DSB - FC- AM
Power saving with respect to DSB-SC-AM
Powersaving=
P
DSB − P
SSB
P
DSB
=
൤
ma
2
P
c
2
൨
− ൤
ma
2
P
c
4
൨
൤
ma
2 P
c
2
൨
=
൤
ma
2 Pc
4
൨
൤
ma
2 Pc
2
൨
If modulation index is 1, then
Powersaving=
1 4
Τ
1 2
Τ
=
1
2
= 50%
It has been noted that the total AM power is 1 +
ma
2
2
If only the carrier is suppressed then 66.67% power will be saved.
If in addition to carrier one side band is suppressed 83.3% power will be
saved.
117
Power efficiency of SSB SC compared with DSB -SC - AM
Advantages of Phase shift Method
 It does not require a frequency up-conversion stage.
 The modulating signal can be a low-frequency audio signal.
 Switching between the sidebands is easier.
Disadvantages of Phase shift Method
 The designing of phase shifting circuitry is complex.
 It requires phase shifting to be accurate, which is a difficult task.
118
119
S.NO PARAMETER FILTER METHOD PHASE METHOD
1 Method used Filter is used to remove
unwanted signal
Phase shifting is required to remove
unwanted signal
2 90° Phase shift Not required Required complex phase shift method
3 Possible frequency range
of SSB
Not Possible to generate any
frequency range of SSB
Possible to generate any frequency
range of SSB
4 Need for
up - conversion
required Not required
5 Complex Less Medium
6 Design Aspects Q of tuned circuit, Filter type,
size, weight and upper
frequency range
Design of 90° Phase shifter for entire
modulating frequency range.
Symmetry of balanced modulators.
7 Bulkiness Yes No
8 Switching ability Not possible with existing
circuit. Extra Filter &
Switching network added
Easily possible
COMPARISION BETWEEN SSB TECHNIQUES
 In case of SSB modulation, when a sideband is passed through the filters, the band pass
filter may not work perfectly in practice. As a result of which, some of the information
may get lost.
 Hence to avoid this loss, a technique is chosen, which is a compromise between DSB-
SC and SSB, called as Vestigial Sideband (VSB) technique.
 The word vestige which means “a part” from which the name is derived.
 Vestigial Sideband Modulation or VSB Modulation is the process where a part of the
signal called as vestige is modulated, along with one sideband.
 Along with the upper sideband, a part of the lower sideband is also being transmitted in
this technique.
 A guard band of very small width is laid on either side of VSB in order to avoid the
interferences.
 VSB modulation is mostly used in television transmissions.
120
Vestigial Side Band Modulation (VSB AM)
121
 A guard band is a narrow frequency range that separates two ranges of wider
frequency.
 This ensures that simultaneously used communication channels do not experience
interference,
 Which would result in decreased quality for both transmissions.
GUARD BAND
Generation / Transmitter of VSB
 The modulating signal is applied to a product modulator.
 The output of the carrier oscillator is also applied to the input of the product modulator.
 The output of the product modulator is given by DSB-SC modulated wave.
 This DSB-SC signal is then applied to side band shaping filter.
 The design of this filter depends on the desire spectrum of the VSB modulated signal.
 This filter will pass wanted side band and the vestige of the unwanted sideband.
122
123
SPECTRUM OF VSB BANDWIDTH
The bandwidth of SSBSC modulated
wave is fm.
 Since the VSBSC modulated wave
contains the frequency components of
one side band along with the vestige
of other sideband
 The bandwidth of it will be the sum
of the bandwidth of SSBSC modulated
wave and vestige frequency fv.
 BW of VSBSC Modulated Wave = SSB
BW +fv = fm+fv or
 BW = fc+fm-fc+fv = fm+fv
Detection / Demodulator / Receiver of VSB
 Here, the same carrier signal (which is used for generating VSBSC wave) is used to detect the
message signal.
 Hence, this process of detection is called as coherent or synchronous detection.
 The message signal can be extracted from VSBSC wave by multiplying it with a carrier, which
is having the same frequency and the phase of the carrier used in VSBSC modulation.
 The resulting signal is then passed through a Low Pass Filter. The output of this filter is the
desired message signal.
124
 Highly efficient.
 Reduction in bandwidth when compared to AM and DSBSC waves.
 Filter design is easy, since high accuracy is not needed.
 The transmission of low frequency components is possible, without any difficulty.
 Possesses good phase characteristics.
Disadvantages of VSB Modulation
Bandwidth is more when compared to SSBSC wave.
Demodulation is complex.
Applications of VSB Modulation
Television signals.
Also, this is the most convenient and efficient technique when bandwidth
usage is considered.
125
Advantages of VSB Modulation
Comparison of Various AM Schemes
S.No Parameter DSBFC DSBSC SSB VSB
1 Carrier
Suppression
NA Fully Fully NA
2 Sideband
Suppression
NA NA One SB
completely
One SB
suppressed
partially
3 Bandwidth 2fm 2fm fm fm < BW
>2fm
4 Transmission
efficiency
Min (33.3%) Moderate
(66.7%)
Max (83.3%) Moderate
5 Total Power Between
DSBSC and
SSB
6 Applications Radio
Broadcasting
Radio
Broadcasting
Point to point
mobile comm
TV
126
127
AM TRANSMITTER
 Transmitters that transmit AM signals are known as AM transmitters.
 These transmitters are used in medium wave (MW) and short wave (SW)
frequency bands for AM broadcast.
 The MW band has frequencies between 550 KHz and 1650 KHz, and the SW
band has frequencies ranging from 3 MHz to 30 MHz.
 The two types of AM transmitters that are used based on their transmitting
powers are:
 High Level
 Low Level
 High level transmitters use high level modulation, and low level transmitters use
low level modulation.
 The choice between the two modulation schemes depends on the transmitting
power of the AM transmitter.
 In broadcast transmitters, where the transmitting power may be of the order of
kilowatts, high level modulation is employed.
 In low power transmitters, where only a few watts of transmitting power are
required , low level modulation is used.
128
The basic difference between the two transmitters is the power amplification
of the carrier and modulating signals.
High-Level Transmitters
129
 In high-level transmission, the powers of the carrier and modulating signals are
amplified before applying them to the modulator stage, as shown in figure.
 In low-level modulation, the powers of the two input signals of the
modulator stage are not amplified.
 The required transmitting power is obtained from the last stage of the transmitter,
the class C power amplifier.
The various sections of the figure are:
· Carrier oscillator
· Buffer amplifier
· Frequency multiplier
· Power amplifier
· Audio chain
· Modulated class C power amplifier
130
 The carrier oscillator generates the carrier signal, which lies in the RF range.
 The frequency of the carrier is always very high. Because it is very difficult to generate high
frequencies with good frequency stability, the carrier oscillator generates a sub multiple with the
required carrier frequency.
 This sub multiple frequency is multiplied by the frequency multiplier stage to get the required
carrier frequency.
 Further, a crystal oscillator can be used in this stage to generate a low frequency carrier with the
best frequency stability.
 The frequency multiplier stage then increases the frequency of the carrier to its required value.
Buffer Amplifier
 The purpose of the buffer amplifier is two fold. It first matches the output impedance of the
carrier oscillator with the input impedance of the frequency multiplier, the next stage of the carrier
oscillator. It then isolates the carrier oscillator and frequency multiplier.
 This is required so that the multiplier does not draw a large current from the carrier oscillator. If
this occurs, the frequency of the carrier oscillator will not remain stable.
Carrier Oscillator
131
 The sub-multiple frequency of the carrier signal, generated by the carrier
oscillator , is now applied to the frequency multiplier through the buffer amplifier.
 This stage is also known as harmonic generator. The frequency multiplier
generates higher harmonics of carrier oscillator frequency.
 The frequency multiplier is a tuned circuit that can be tuned to the requisite
carrier frequency that is to be transmitted.
Power Amplifier
 The power of the carrier signal is then amplified in the power amplifier stage.
 This is the basic requirement of a high-level transmitter.
 A class C power amplifier gives high power current pulses of the carrier signal
at its output.
Frequency Multiplier
132
 The audio signal to be transmitted is obtained from the microphone, as shown in
figure.
 The audio driver amplifier amplifies the voltage of this signal. This amplification is
necessary to drive the audio power amplifier.
 Next, a class A or a class B power amplifier amplifies the power of the audio signal.
Modulated Class C Amplifier
 This is the output stage of the transmitter. The modulating audio signal and the
carrier signal, after power amplification, are applied to this modulating stage.
 The modulation takes place at this stage.
 The class C amplifier also amplifies the power of the AM signal to the reacquired
transmitting power.
 This signal is finally passed to the antenna., which radiates the signal into space of
transmission.
Audio Chain
133
Low-Level Transmitters
 The low-level AM transmitter shown in the figure (b) is similar to a high-level
transmitter, except that the powers of the carrier and audio signals are not amplified.
These two signals are directly applied to the modulated class C power amplifier.
 Modulation takes place at the stage, and the power of the modulated signal is
amplified to the required transmitting power level. The transmitting antenna then
transmits the signal.
AM Detector / Receiver Types
 The process of extracting an original message signal from the modulated wave
is known as detection or demodulation.
 The circuit, which demodulates the modulated wave is known as
the demodulator.
 Envelope Detector
 Square Law Demodulator
134
Envelope Detector / Diode detector
The signal diode detector consists of two main elements to
the circuit
Diode / rectifier:
 The diode in the detector serves to that enhances one half of the received signal over
the other.
 In many instances Schottky diodes are used for this form of detector, because signal
levels may be low, and Schottky diodes have a much lower turn on voltage (typically
around 0.2 V) than standard silicon diodes (typically around 0.7 or 0.7 V).
Low pass filter:
 The low pass filter is required to remove the high frequency elements that remain
within the signal after detection / demodulation.
 The filter usually consists of a very simple RC network but in some cases It can be
provided simply by relying on the limited frequency response of the circuitry following
the rectifier.
 As the capacitor in the circuit stores the voltage, the output voltage reflects the peak of
the waveform.
 Sometimes these circuits are used as peak detectors.
135
 When selecting the value of the capacitor used in the circuit, it should
be large enough to hold the peak of the RF waveform, but not so large
that it attenuates any modulation on the signal i.e. it should act as a
filter for the RF carrier and not the audio modulation.
Circuit Operation
 Here the input signal is rectified by the series diode D.
 The combination of capacitor C and resistor R behaves like a low-pass filter.
 The input signal contains both the original message and the carrier wave where the
capacitor helps in filtering out the RF carrier waves.
 The capacitor gets charged during the rising edge and discharges through the
resistor R in falling edge.
 Thus the capacitor helps in giving an envelope of the input as output
 This type of detector or demodulator is called a linear envelope detector because the
output is proportional to the input envelope.
136
137
Envelope Detector as used in an AM radio receiver
 The circuit typically has a relatively high source impedance. When linking the circuit to a
following stage of the circuit, care should be taken not to land the detector too much
otherwise the operation will be impaired.
 Normally a resistor is placed across the capacitor - this may either be the load of the next
stage, a volume control, or resistor in the circuit.
 This should be determined by calculating the time constant of the capacitor and the load.
 Time constant must be between the RF signal and audio modulation so that the RF is
satisfactorily removed, but the audio modulation is left untouched.
138
 In order for a diode detector to generate the required DC voltage, a DC return
must be available within the circuit.
 In this circuit that the secondary of the transformer provides a DC return to
ground.
 This appears like an open circuit to radio frequency signals, but acts as a DC
return path for the audio and other signals appearing from the detector.
 Often this DC return path may be within a transformer used to drive the diode
detector.
 Alternatively a resistor may be used.
 It value will be the same at all frequencies and therefore its choice is a matter of
compromise.
Diode detector advantages
 Simplicity
 Low cost
Diode detector disadvantages
 Distortion
 Selective fading
 Insensitive
139
 If modulation index a is equal to, or less than, unity (ma 1), AM can be demodulated by a
very simple technique called envelope detection.
 If ma > 1, envelope detection will not work; the detector output audio will be highly distorted.
 Why  The signal experiences a 180° phase change at each envelope sign change, and
envelope detectors are insensitive to signal phase.
 A simple envelope detector will only work if 0  ma 1.
 As long as envelope Vo (Output Voltage) is non- negative, message m(t) appears to ride on
top of half wave rectified.
 In this case close approximation of Vo can be obtained by smoothing the output of the diode
with an RC circuit.
 The time constant of the RC smoothing circuit is not extremely critical. However, as a general
rule of thumb, best results can be obtained if
𝟏
𝐟
𝐜
≤ 𝐑
𝐂 ≤
𝟏
𝐟
𝐦
where fc
is the carrier frequency in Hz, and
fm is the message bandwidth, in Hz.
Significance of RC time Constant
140
 The square law detector is a two-part system which is designed to produce an output
proportional to the power contained in some (usually) complicated input signal.
 The first part of the square law detector system is a nonlinear element whose
instantaneous output is proportional to the square of the instantaneous input, and which
is sensibly free of other nonlinear terms
 The second part, as you may have surmised, is some sort of averaging device, often a
low pass filter.
Square Law Demodulation
141
Working Operation and Analysis
The input output characteristics i.e., the transfer
characteristics of a square law demodulator is non-linear and it is expressed
mathematically as :
𝑣2 ሺ
𝑡ሻ= 𝑎𝑣1 ሺ
𝑡ሻ+ 𝑏𝑣1
2ሺ
𝑡ሻ
where, v1(t) = input voltage to the detector = AM wave
As we know,
𝑉
𝐴
𝑀
ሺ
𝑡ሻ= 𝑣1 ሺ
𝑡ሻ= 𝑉
𝑐ሾ
1+ 𝑚𝑎 𝑚(𝑡)ሿcosωc (𝑡)
Now, substituting for v1(t) in v2(t) , we get
𝑣2 ሺ
𝑡ሻ= 𝑎𝑉
𝑐ሾ
1 + 𝑚𝑎 𝑚(𝑡)ሿcos⁡(2𝜋
𝑓
𝑐𝑡) + 𝑏𝑉
𝑐
2
ሾ
1 + 𝑚𝑎 𝑚(𝑡)ሿ
2
cos2
⁡(2𝜋
𝑓
𝑐𝑡)
But, 𝑐
𝑜𝑠2
𝜃 =
1
2
[1 + 𝑐
𝑜𝑠2𝜃]
Therefore, 𝑐
𝑜𝑠2
(2𝜋
𝑓
𝑐𝑡) =
1
2
[1 + 𝑐
𝑜𝑠4𝜋
𝑓
𝑐𝑡]
142
𝑣2 ሺ
𝑡ሻ= 𝑎𝑉
𝑐ሾ
1 + 𝑚𝑎 𝑚(𝑡)ሿcosሺ
2𝜋
𝑓
𝑐𝑡ሻ
+ 𝑏
𝑉
𝑐
2
2
[1 + 2𝑚𝑎 𝑚(𝑡) + 𝑚𝑎
2
𝑚2ሺ
𝑡ሻ
][𝑐
𝑜𝑠ሺ
4𝜋
𝑓
𝑐𝑡ሻ
]
Out of these terms, the only desired term is bVc
2
ma m(t). Hence, the name of
this demodulator is square law demodulator.
This desired term is extracted by using a low pass filter (LPF) after the diode
as shown in above figure.
Hence, after the LPF, we get
𝑣0ሺ
𝑡ሻ= 𝑏𝑉
𝑐
2
ma m(t)
This means that we have recovered the message signal m(t) at the output of
the detector .
Substituting this, we get
143
𝑏
𝑉
𝑐
2
2
[ 𝑚𝑎
2
𝑚2ሺ
𝑡ሻ
]
This is an unwanted signal and gives rise to a signal distortion .
The ratio of desired signal to the undesired one is given by :
𝑅
𝑎𝑡𝑖𝑜 =
𝐷
𝑒𝑠𝑖𝑟𝑒𝑑𝑂
𝑢𝑡𝑝𝑢𝑡
𝑈
𝑛𝑑𝑒𝑠𝑖𝑟𝑒𝑑𝑂
𝑢𝑡𝑝𝑢𝑡
=
𝑏𝑉
𝑐
2
𝑚𝑎 𝑚(𝑡)
𝑏
𝑉
𝑐
2
2 [ 𝑚𝑎
2𝑚2ሺ
𝑡ሻ
]
=
2
𝑚𝑎 𝑚(𝑡)
This ratio must be maximized in order to minimize the distortion . To achieve
this, we should choose (ma m(t)) small as compared to unity (1) for all values
of t . If ma is small, then, the AM wave is weak . This means that the distortion
in the detector output is low if and only if the applied AM is weak and if the
percentage modulation is very small.
Distortion in the Detector Output
Another term which passes through the LPF to the load resistance RL
is
144

Analog Communication Systems Unit 1.pptx

  • 1.
    1 SECA1303 Analog Communication Systems UNIT– 1 Amplitude Modulation and Demodulation
  • 2.
    2 Introduction to ElectronicCommunication Systems • Communication is the process of establishing connection or link between two points for information exchange or Communication is simply the basic process of exchanging information. • The electronic equipment which are used for communication purpose, are called communication equipment. Different communication equipment when assembled together form a communication system. • Typical example of communication system are line telephony and line telegraphy, radio telephony and radio telegraphy, radio broadcasting, point-to-point communication and mobile communication, computer communication, radar communication, television broadcasting, radio telemetry, radio aids to navigation, radio aids to aircraft landing etc.
  • 3.
    3 Block Diagram ofCommunication System
  • 4.
    4 Information Source • Aswe know, a communication system serves to communicate a message or information. This information originates in the information source. • In general, there can be various messages in the form of words, group of words, code, symbols, sound signal etc. However, out of these messages, only the desired message is selected and communicated. • Therefore, we can say that the function of information source is to produce required message which has to be transmitted. Input Transducer • A transducer is a device which converts one form of energy into another form. The message from the information source may or may not be electrical in nature. • In a case when the message produced by the information source is not electrical in nature, an input transducer is used to convert it into a time- varying electrical signal. • For example, in case of radio-broadcasting, a microphone converts the information or massage which is in the form of sound waves into corresponding electrical signal.
  • 5.
    5 Transmitter • The functionof the transmitter is to process the electrical signal from different aspects. It does modulation and amplification of the signal to be transmitted. • In the modulation process, some parameter of the carrier wave (such as amplitude, frequency or phase ) is varied in accordance with the modulating signal . This modulated signal is then transmitted by the transmitter. The modulating signal is nothing but the baseband signal or information signal while the carrier is a high frequency sinusoidal signal. In the process of modulation the carrier wave actually carries the information signal from the transmitter to receiver . •For example in radio broadcasting the electrical signal obtained from sound signal, is processed to restrict its range of audio frequencies (upto 5 kHz in amplitude modulation radio broadcast) and is often amplified, modulated and then given to antenna for radiation in to space. In wire telephony, no real processing is needed. However, in long-distance radio communication, signal amplification is necessary before modulation. •Modulation is the main function of the transmitter. In modulation, the message signal is superimposed upon the high-frequency carrier signal. All these processing of the message signal are done just to ease the transmission of the signal through the channel.
  • 6.
    6 Channel and theNoise • The term channel means the medium through which the message travels from the transmitter to the receiver. In other words, we can say that the function of the channel is to provide a physical connection between the transmitter and the receiver. There are two types of channels, namely point-to-point channels and broadcast channels. • Example of point-to-point channels is wire lines, microwave links and optical fibres. Wire-lines operate by guided electromagnetic waves and they are used for local telephone transmission. In case of microwave links, the transmitted signal is radiated as an electromagnetic wave in free space. Microwave links are used in long distance telephone transmission. • An optical fibre is a low-loss, well-controlled, guided optical medium. Optical fibres are used in optical communications. Although these three channels operate differently, they all provide a physical medium for the transmission of signals from one point to another point. Therefore, for these channels, the term point-to-point is used. • On the other hand, the broadcast channel provides a capability where several receiving stations can be reached simultaneously from a single transmitter. An example of a broadcast channel is a satellite in geostationary orbit, which covers about one third of the earth s surface. ‟ • Noise is an unwanted signal which tends to interfere with the required signal During the process of transmission and reception the signal gets distorted due to noise introduced in the system.. Noise signal is always random in character. Noise may interfere with signal at any point in a communication system. However, the noise has its greatest effect on the signal in the channel.
  • 7.
    7 Receiver • The mainfunction of the receiver is to reproduce the message signal in electrical form from the distorted received signal. This reproduction of the original signal is accomplished by a process known as the demodulation or detection. Demodulation is the reverse process of modulation carried out in transmitter. Destination • Destination is the final stage which is used to convert an electrical message signal into its original form. For example in radio broadcasting, the destination is a loudspeaker which works as a transducer i.e. converts the electrical signal in the form of original sound signal. Types of Communication 1. Broadcast 2. Point-to-point • Broadcast: A method of sending a signal where multiple parties may hear a single sender. Radio stations are a good example of every day life "Broadcast Network". In this example, you can see a single station is broadcasting a message to multiple locations that may or may not be able to hear it, and if they are able to hear it, may choose to listen or not. • Point-to-point: A method of communication where one "point" (person or entity) speaks to another entity.
  • 8.
    8 Periodic signals inthe time and frequency domain
  • 9.
    9 Analog and DigitalCommunications Analog • In analog communication systems, the message signals are transmitted in analog form itself. AM, FM and PM are common analog modulation schemes which uses sinusoidal carrier signal. • In pulse modulation systems such as PAM, PWM and PPM, the carrier signal is a pulse train but the message signal is in analog form. • Therefore PAM, PWM and PPM are also called as analog modulation schemes. They are generally not used for wireless communications. Digital • In digital communication systems, the analog information is converted to digital binary data (ones and zeros) using Analog to digital convertor ICs. • Then the binary data is modulated with a sinusoidal carrier and transmitted. Amplitude shift keying (ASK), Frequency shift keying (FSK) and Phase shift keying(PSK) are some digital modulation schemes.
  • 10.
    10 In basic signalprocessing terms, we thus find that the transmitter of an analog communication system consists of a modulator and the receiver consists of a demodulator MODULATION Modulation is a process in which some characteristic of carrier signal is varied in accordance with the instantaneous value of the message signal
  • 11.
  • 12.
    12 Need for modulation •You may be ask, when the baseband signal can be transmitted directly why to use the modulation ? The answer is that the baseband transmission has many limitations which can be overcome using modulation . It is explained below. The process of modulation provides the following benefits:  Reduction in the height of antenna  Increases the range of communication  Multiplexing is possible  Improves quality of the signal
  • 13.
    13 1. Reduction inthe height of antenna For the transmission of radio signals, the antenna height must be multiple of λ/2 ,where λ is the wavelength . λ = c /f where c : is the velocity of light f: is the frequency of the signal to be transmitted If signal is 1KHz λ = 3x108 / 1x103 λ =300000 meter If signal is 1 MHz λ = 3x108 / 1x106 λ =300 meter Avoids mixing of signals If the baseband sound signals are transmitted without using the modulation by more than one transmitter, then all the signals will be in the same frequency range i.e. 0 to 20 kHz . Therefore, all the signals get mixed together and a receiver cannot separate them from each other. Hence, if each baseband sound signal is used to modulate a different carrier then they will occupy different slots in the frequency domain (different channels). Thus, modulation avoids mixing of signals. Example : FM stations broadcasting at different carrier frequencies.
  • 14.
    14 2. Increase theRange of Communication The frequency of baseband signal is low, and the low frequency signals cannot travel long distance when they are transmitted. They get heavily attenuated. The attenuation reduces with increase in frequency of the transmitted signal, and they travel longer distance. The modulation process increases the frequency of the signal to be transmitted. Therefore, it increases the range of communication. 3. Multiplexing is possible Multiplexing is a process in which two or more signals can be transmitted over the same communication channel simultaneously. This is possible only with modulation. The multiplexing allows the same channel to be used by many signals. Hence, many TV channels can broadcast simultaneously without getting mixed with each other as they use different carrier frequencies. It is referred to as frequency division multiplexing. 4. Improves Quality of Reception With frequency modulation (FM) and the digital communication techniques such as PCM, the effect of noise is reduced to a great extent. This improves quality of reception.
  • 15.
    15 Types of modulation • •Thereare various types of modulation techniques used for transmitting information. If the carrier is sinusoidal, then its amplitude, frequency or phase is changed in accordance with the modulating signal to obtain AM, FM or PM respectively. These are continuous wave modulation systems. •Analog modulation can be pulsed modulation as well. Here the carrier is in the form of rectangular pulse. The amplitude, width or position of the carrier pulses is varied in accordance with the instantaneous value of modulating signal to obtain the PAM, PWM or PPM outputs. •Some commonly used analog and digital modulation techniques are outlined below . • AM, FM, PM, PAM, PWM and PPM are analog modulation schemes. • ASK, FSK and PSK are digital modulation schemes.
  • 16.
  • 17.
    17 Parameters of anAnalog signal/ waveform
  • 18.
    18 Long Wavelength =Low Frequency Short Wavelength = High Frequency (More Waves In The Same Time Frame
  • 19.
  • 20.
  • 21.
  • 22.
  • 23.
    23 Examples of thebasic continuous modulation schemes(AM,PM,FM).
  • 24.
    24 • Advantages ofanalog communication  Transmitters and receivers are simple  Low bandwidth requirement  FDM (Frequency division multiplexing) can be used Drawbacks of analog communication  Noise affects the signal quality  It is not possible to separate noise and signal  Repeaters cannot be used between transmitter and receiver  Coding is not possible  It is not suitable for the transmission of secret information Applications  Radio broadcasting (AM and FM)  TV broadcasting(AM for video and FM for audio)
  • 25.
    25 Amplitude Modulation  AmplitudeModulation is the process of changing the amplitude of a relatively high frequency carrier signal in accordance with the amplitude of the modulating signal (Information)  Application of AM - Radio broadcasting, TV pictures (video), facsimile transmission  Frequency range for AM - 535 kHz – 1600 kHz  Bandwidth - 10 kHz
  • 26.
  • 27.
  • 28.
    28 from the formula,2 sinA sinB = cos(A − B) − cos(A + B)
  • 29.
  • 30.
  • 31.
    31 vm(t) = Vmsin ωm .t vc(t) = Vc sin ωc .t Representation of AM
  • 32.
  • 33.
    33 AM Frequency spectrum& Bandwidth m(t) = M sin(ωm + φ) The equation (9) of an amplitude modulated wave contains 3 terms. • 1st term R.H.S represents the carrier wave. • 2nd term R.H.S represents the Lower Side Band (LSB). • 3rd term R.H.S represents the Upper Side Band (USB). 2nd and 3rd terms are identical. • The above figure represents the frequency spectrum of AM. It shows ttwo side band terms lying on either sides of carrier term which are separated by wm. • The range of frequency between (wc- wm) is known as LSB and (wc+ wm) is known as USB. • The spacing between these two bands w.r.t carrier is wm.
  • 34.
    34 Bandwidth of AM •The bandwidth of AM can be determined by using the side bands. • Hence bandwidth is twice the frequency of the modulating signal • For positive frequencies a portion of AM wave is lying above the carrier frequency wc. PHASOR REPRESENTATION OF AM WITH CARRIER
  • 35.
    35 • The twoside bands having frequencies (wc+ wm) and (wc- wm) are represented by two phasors rotating in opposite directions with angular frequency wm. • The resultant phasor VAM(t) is the vector sum of two side bands with carrier. • The maximum positive amplitude of the envelope occurs if the carrier, LSB and USB all have positive values or in phase. • Vmax= Vc+VLSB+VUSB • The maximum negative amplitude of the envelope occurs if the carrier, LSB and USB all have negative values or out of phase. Vmin= Vc-VLSB-VUSB
  • 36.
  • 37.
    37 This is alsocalled time domain representation of AM signal. From the above figure, we can write Vmax=Vc +Vm and Vmin=Vc - Vmthen2Vm= Vmax - Vmin …….(1) and Vc= Vmax - Vm ……(2)
  • 38.
    38 Substitute equation 1in equation Vc= Vmax - Vm=] = …..(2) Modulation Index m………..(3) Where Vmax=Vc+Vm and Vmin=Vc-Vm The modulation index is a number lying between 0 and l , and its very often expressed as a called the percentage modulation. ……..(4)
  • 39.
    39 • DEGREE OFMODULATION • The modulating signals preserved in the envelope of amplitude modulated signal only if Vm < Vc then ma < l . Where. • Vm = Maximum amplitude of modulating signal. • Vc = Maximum amplitude of carrier signal. • In AM, three types of degree of modulation are available. It depends upon the amplitude of the modulating signal relative to carrier amplitude.  Under modulation,  Critical modulation  Over modulation. Modulation Index for Multiple Modulating Frequencies: When two or more modulating signals are modulated by a single carrier. The index is given by, Where, ma = total resultant modulation index ml, m2, .. = Modulation indices due to individual modulating components.
  • 40.
    40 Under Modulation: ma< l when Vm < Vc • Here the envelope of amplitude modulated signals does not reach the zero amplitude axis. Hence the message signal is fully preserved in the envelope of the AM wave. • An envelope detector can recover the message signal without any distortion. • AM wave with ma < l when Vm < Vc Critical Modulation: ma = l when Vm = Vc Here the envelope of the modulated signal just reaches the zero amplitude axis. The message signal remains preserved.An envelope detector can recover the message signal without any distortion. • AM wave with ma=l i.e., 100% modulation Vm = Vc Over Modulation: ma > I when Vm > Vc • Here both positive and negative extensions of the modulating signals are cancelled (or) clipped out. The envelope of message signal are not same. Due to this envelope detector provides distorted message signal. • AM wave with ma > 1 i.e., overmodulation Vm > Vc
  • 41.
  • 42.
  • 43.
  • 44.
  • 45.
  • 46.
    46 The maximum transmissionefficiency of the AM is 33.3%. This means, that only one-third of the total power is carried by the sidebands and the rest two-third is a waste and is transmitted only for a low cost reception system • Advantages:  AM has the advantage of being usable with very simple modulators and demodulators.  AM is a relatively inexpensive.  AM wave can travel a long distance. • Disadvantages:  Poor performance in the presence of noise.  Inefficient use of transmitter power.  It needs larger bandwidth. • Applications:  Low quality form of modulation that is used for commercial broadcasting of both audio and video signals  Two-way mobile radio communications such as citizens band (CB) radio.  Aircraft communications in the VHF frequency range.
  • 47.
  • 48.
  • 49.
  • 50.
  • 51.
  • 52.
  • 53.
  • 54.
  • 55.
  • 56.
  • 57.
  • 58.
  • 59.
    59 Power saving withrespect to DSB-SC
  • 60.
  • 61.
  • 62.
    Amplitude Modulation Types 1.Double-Sideband Full carrier (DSB-FC) AM or (Conventional Amplitude Modulation) 2. Double-Sideband Suppressed Carrier (DSB-SC) AM 3. Single-Sideband Suppressed Carrier (SSB-SC) AM 4. Vestigial Sideband (VSB) AM 62
  • 63.
    63 Let the modulatingsignal Vm(t) =Vmsinωmt Carrier signal Vc(t)= Vcsinωct In amplitude modulation, amplitude of unmodulated carrier Vc is varied which is proportional to the instantaneous modulating voltage Vm Sinωt In AM wave, both the carrier and modulating waves are sinusoidal in nature but the modulated wave is not a sine wave. The amplitude of the AM wave is given as VAM= Vc + vm(t) …………(3) V AMሺ tሻ= Vcsinct + maVc 2 [cos(m − c)𝑡− 𝑐 𝑜𝑠(m + c)𝑡] Frequency Spectrum of AM (DSB-FC or Conventional AM)  Frequency spectrum is a graph of amplitude in Y axis and frequency in X axis Message Signal Spectrum Carrier Signal Spectrum AM Signal Spectrum
  • 64.
    64 AM Modulators Based onthe power level at which modulation is carried out Low level modulation: Modulation is carried out the low power level High level modulation: Modulation is carried out at a high power level Linear modulators or large-scale modulators: Device having linear V-I characteristics, i.e, they are operated in linear region of it’s transfer characteristics is called linear modulators 1. Transistor modulator (will be producing DSB-FC-AM) 2. Switching modulator (will be producing DSB-SC-AM) Non linear modulator or small signal modulator 1. Square Law modulator 2. Product modulator 3. Balanced modulator
  • 65.
    65 Modulation can beachieved in transistor RF power amplifier stages. The modulating signal can be conveniently supplied on any of the three terminals of the device, emitter base or collector. Accordingly the type of modulator will be called 1. Collector modulator 2. Base modulator 3. Emitter modulator Switching Modulator Square waves can be used instead of sinusoidal waves to modulate the message signal. Since a square wave can be represented in terms of a sum of sinusoids with fundamental frequency ωo equal to the frequency of the square wave. So, if a message signal is modulated using a square wave with frequency equal to the desired carrier frequency ωc and then this modulated signal is filtered using a BPF centered at ωc with bandwidth twice the bandwidth of the message signal, the resulting signal is a DSBSC signal. Transistor Modulator LINEAR MODULATORS
  • 66.
    66 BJT Collector Modulator The diode modulator circuit doesn't provide amplification and hence it can be used for low power applications.  However, amplifying devices like transistors and FET can be provided amplification  It can be used for high power applications  Anyone of the device can be used for generation of amplitude modulation by varying their gain parameters in accordance with the modulating signal. Double side band Full carrier (DSB-FC-AM) AM modulators
  • 67.
  • 68.
    68  Carrier signalis applied to the base of the transistor T1 (operated as class C amplifier for higher efficiency)  Vcc is the dc supply to Collector terminal for biasing.  Modulating / message signal is directly applied to the collector, class B amplifier with required amplification, after amplification of message signal it is applied to the collector in series with DC collector supply voltage Vcc.  Hence the Collector voltage becomes Vcc‘  i.e the Tuned circuit associated with the collector, receives the AM signal RF bypass capacitor prevents the carrier flowing through the output transformer Tr1 Circuit Arrangement and Operation
  • 69.
    69  Amplitude ofoutput signal constant which is equal to Vcc, in the absence of modulating signal.  The reason is when the amplitude of the carrier exceeds the barrier potential(0.7v) of the emitter base Junction the (Vbe>0.7v) transistor T1 terms on and collector current flows which is equal to Vcc.  When Vbe<0.7 i.e carrier signal voltage drops below 0.7v transistor T1 turns off and no collector current flows.  Consequently transistor T1 switches between saturation(on) and cut off(off) controlled by carrier signal, electric current flows for less than 180º of each carrier cycle class C operation is achieved  So that each successive cycle of the carrier T1 turns on current to flow producing negative going waveform at the collector Operation without modulating signal (with reference of collector waveforms without modulating signal amplitude is zero )
  • 70.
    70 The amplitude ofthe modulated voltage is Vc c′ = Vcc+ Vmሺ tሻ= Vcc+ Vmsinωmt = Vcc൤1+ Vm Vcc (sinωmt)൨ 𝑽 𝒄 𝒄 ′ = 𝑽 𝒄 𝒄 ሾ 𝟏 + 𝐦 a(𝐬𝐢𝐧𝛚 m𝐭 )ሿ The Instantaneous value of the modulated signal 𝑽 𝒐= 𝑽 𝒄 𝒄 ′𝒔 𝒊𝒏𝝎 𝒄 𝒕= 𝑽 𝒄 𝒄 ሾ 𝟏 + 𝐦 a(𝐬𝐢𝐧𝛚 m𝐭 )ሿ 𝒔 𝒊𝒏𝛚 cሺ 𝒕ሻ  When modulating signal appears across the modulation transformer is added with Vcc.  The net voltage is Vcc+Vm(t)=Vcc' of transistor changes according to the slow variation in Vcc and vm(t)  This slow variations in Vcc supply voltage changes the amplitude of the carrier voltage at the output of the modulated wave.  The envelope of the output voltage is identical with the modulating voltage Operation with modulating signal
  • 71.
  • 72.
    72 Output modulated poweri.e delivered power depends on the input power by Vcc supply voltage and the power dissipation in the collector current P in = P out + P d P in =Input power supplied to Collector circuit P out =Output power delivered to the load P d =Power dissipation in the collector circuit P d = P in−P out = P in(1 − P out P in ) Collector Efficiency ɳc = Pout Pin then P d = P in(1 − ɳc ) 𝐼 𝑛𝑝𝑢𝑡𝑝𝑜𝑤 𝑒𝑟P in = 1 2π න 𝑉 𝑐.𝐼 𝑐𝑑𝑡 2𝜋 0 = 1 2π න 𝑉 𝑐𝑐′ .𝐼 𝑐.𝑑𝑡 2𝜋 0 Where Vc – maximum amplitude of modulated signal Ic – maximum current of modulated signal Vcc – amplitude of the carrier wave Power Calculations and Efficiency
  • 73.
    73 𝑽 𝒄 𝒄 ′ = 𝑽 𝒄 𝒄 ሾ 𝟏 +𝐦 a(𝐬𝐢𝐧𝛚 m𝐭 )ሿ and 𝑰 𝒄= 𝑰 𝒄 ሾ 𝟏 + 𝐦 a(𝐬𝐢𝐧𝛚 m𝐭 )ሿ then 𝐏 in = 𝟏 𝟐𝛑 ‫׬‬ 𝑽 𝒄 𝒄 ሾ 𝟏 + 𝐦 aሺ 𝐬𝐢𝐧𝛚 m𝐭 ሻ ሿ∗𝑰 𝒄 ሾ 𝟏 + 𝐦 a(𝐬𝐢𝐧𝛚 m𝐭 )ሿ𝒅𝛚 𝒕 𝟐𝝅 𝟎 P in = Vcc.Ic 2π න ሾ 1 + ma 2 𝑠𝑖𝑛2 ωm t + 2ma sinωmtሿ 𝑑𝜔𝑡 2𝜋 0 𝒘 𝒆 𝒌𝒏𝒐𝒘𝒕𝒉𝒂𝒕𝒔 𝒊𝒏𝟐 𝛚 m 𝐭= 𝟏 − 𝐜 𝐨𝐬𝟐𝛚 m 𝐭 𝟐 P in = Vcc .Ic 2π න ൤1 + ma 2 [ 𝟏 − 𝐜 𝐨𝐬𝟐𝛚 m 𝐭 𝟐 ] + 2ma sinωmt൨ 𝑑𝜔𝑡 2𝜋 0 𝐏 in = 𝐕 𝐜 𝐜 .𝐈𝐜 𝟐𝛑 ቈ 𝛚 𝐭+ ma 𝟐 𝟐 ൤𝛚 𝐭− 𝐬𝐢𝐧𝟐𝛚 m 𝐭 𝟐 ൨ − 𝟐ma 𝐜 𝐨𝐬𝛚 m𝐭 ቉ 𝟎 𝟐𝝅
  • 74.
    74 𝐏 in = 𝐕 𝐜 𝐜 .𝐈𝐜 𝟐𝛑 ቈ 𝟐𝛑+ ma 𝟐 𝟐 ሾ 𝟐𝛑− 𝟎−𝟎+ 𝟎ሿ− 𝟐𝒎𝒂 + 𝟐𝒎𝒂቉ = 𝐕 𝐜 𝐜 .𝐈𝐜 𝟐𝛑 ሾ 𝟐𝛑ሿቈ 𝟏 + ma 𝟐 𝟐 ቉ 𝐏 in = 𝐕 𝐜 𝐜 .𝐈𝐜+ ma 𝟐 𝟐 𝐕 𝐜 𝐜 .𝐈𝐜= 𝐕 𝐜 𝐜 .𝐈𝐜ቆ𝟏 + ma 𝟐 𝟐 ቇ = 𝑷 𝒄 𝒄ቆ𝟏 + ma 𝟐 𝟐 ቇ we know that P d = P in(1− ɳc)= 𝑷 𝒄 𝒄ቀ𝟏 + ma 𝟐 𝟐 ቁ(1− ɳc) and Pout = P in ∗P c = ɳc 𝑃 𝑐 𝑐ቆ1 + ma 2 2 ቇ
  • 75.
    75 1. Linearity isusually good. 2. Collector efficiency is high 3. Power output per transistor is usually high Advantages of collector modulator 1.Large modulating power is required, then the modulating amplifier is the high power amplifier 2. Collector saturation prevents 100 under percent modulation from being achieved with just the collector being modulated. Disadvantages of collector modulator
  • 76.
    76  Modulating signalis applied into the base of the transistor to reduce the power level.  Common emitter configuration is used and it is biased into class C mode, the resistor R1 and R2 provides potential divider biasing for transistor through Vcc, the resistor RE and capacitor CE acts as temperature stabilization elements. Operation  The message signal is applied to the base circuits based on the variations(instantaneous value) of its amplitude. Carrier amplitude is varied between cutoff and saturation regions in order to produce the fully modulated output.  The gain of the circuits cannot be maintained as constant over the entire range of its characteristics.  Hence the output is not linearly modulated Base modulator for DSC-FC-AM
  • 77.
  • 78.
    78 Mathematical Analysis Let thecarrier signal 𝑽 𝒄 ሺ 𝒕ሻ= 𝑽 𝒄𝐬𝐢𝐧𝛚 c𝐭 message signal 𝑽 𝒎ሺ 𝒕ሻ= 𝑽 𝒎𝐬𝐢𝐧𝛚 m𝐭 Thus the total time varying base Bias Voltage is given by 𝐕 bias(𝒕) = 𝑽 𝒄 𝒄+ 𝑽 𝒎ሺ 𝒕ሻ Base Bias Voltage with respect to time is 𝐕 biasሺ 𝒕ሻ= 𝑽 𝒄 𝒄+ 𝑽 𝒎𝐬𝐢𝐧𝛚 m𝐭…………….(𝟏) If It represents RMS value of the tank circuit, for linear modulation it can be written as 𝐼 𝑡 = 𝐾ൣ 𝐕 biasሺ 𝒕ሻ− 𝐕 𝑏𝑒(0)ሺ 𝒕ሻ ൧ WhereV be(0)baseto emitter voltage𝑓 𝑜𝑟𝑧 𝑒𝑟𝑜𝑐 𝑜𝑙𝑙𝑒𝑐 𝑡𝑜𝑟𝑐 𝑢𝑟𝑟𝑒𝑛𝑡 𝑜𝑟𝑚𝑖𝑛𝑖𝑚𝑢𝑚𝑓 𝑜𝑟𝑤 𝑎𝑟𝑑𝑏𝑖𝑎𝑠𝑣𝑜𝑙𝑡𝑎𝑔𝑒𝑜𝑓𝑏𝑎𝑠𝑒𝑎𝑛𝑑𝑒𝑚𝑖𝑡𝑡𝑒𝑟 K = C onductanceof thecircuit
  • 79.
    79 The instantaneous amplitudeof current passing through tank circuit as at freq of ωc can be written as 𝑖𝑡ሺ 𝑡ሻ= 𝐼 𝑚 sinωct = ξ2 𝐼 𝑡 sinωct itሺ 𝑡ሻ= ξ2 𝐾[V biasሺ 𝑡ሻ− V be(0)ሺ 𝑡ሻ ]sinωct Where 𝐼 𝑡 = 𝐼 𝑚 ξ2 𝑜𝑟ξ2𝐼 𝑡 = 𝐼 𝑚 itሺ 𝑡ሻ= ξ2𝐾 [𝑉 𝑐 𝑐+ 𝑉 𝑚sinωmt − V be(0)ሺ 𝑡ሻ ]sinωct itሺ 𝑡ሻ= ξ2𝐾 [𝑉 𝑐 𝑐− V be(0)ሺ 𝑡ሻ+ 𝑉 𝑚sinωmt]sinωct take out 𝑽 𝒄 𝒄− 𝐕 be(0)ሺ 𝒕ሻ itሺ 𝑡ሻ= ξ2𝐾 [𝑉 𝑐 𝑐− V be(0)ሺ 𝑡ሻ ]ቈ 1 + 𝑉 𝑚sinωmt 𝑉 𝑐 𝑐− V be(0)ሺ 𝑡ሻ ቉ sinωct
  • 80.
    80 itሺ 𝑡ሻ= ξ2𝐾 [𝑉 𝑐 𝑐− V be(0)ሺ 𝑡ሻ ][1+ ma sinωmt]sinωct itሺ 𝑡ሻ= ξ2 It [1+ ma sinωmt]sinωct Modulation index ma = 𝑉 𝑚 𝑉 𝑐 𝑐− V be(0)ሺ 𝑡ሻ Instantaneous voltage of tank circuit 𝐕 𝟎ሺ 𝒕ሻ= 𝒁 .𝐢tሺ 𝒕ሻ= 𝒁 .ξ𝟐𝐈t[𝟏 + ma 𝐬𝐢𝐧𝛚 m𝐭 ]𝐬𝐢𝐧𝛚 c𝐭 𝐕 𝟎ሺ 𝒕ሻ= 𝑽 𝒄[𝟏 + ma 𝐬𝐢𝐧𝛚 m𝐭 ]𝐬𝐢𝐧𝛚 c𝐭 Where 𝐕 𝒄 = 𝒁 .ξ𝟐𝐈t Z=Impedance of tank circuit
  • 81.
    81 1. The amountof power required for the power supply is low as compared to collector modulation. 2. The power output and efficiency are comparatively low, since the modulated collector current peaks can be only about half as large as in the collector modulated circuit. 3. It is used in television transmission because it requires little power and can we power requirement of large bandwidth. Advantages of Base Modulator 1. Linearity is very poor than collector modulator 2. The efficiency is less than collector modulator 3. The adjustment of the base modulated amplifier is more critical and the high degree of linearity is more difficult to obtain Disadvantages of Base Modulator
  • 82.
    82 NONLINEAR MODULATOR Square LawModulator for DSB-FC – Amplitude Modulation It consists of A non-linear device A band Pass filter A carrier source and modulating signal The modulating signal and carrier are connected in series with each other and their sum V1(t) is applied at the input of the non-linear device, such as diode, transistor etc.
  • 83.
    83 𝑉 1ሺ 𝑡ሻ= 𝑉 𝑚ሺ 𝑡ሻ+ 𝑉 𝑐ሺ 𝑡ሻ 𝑉 1ሺ 𝑡ሻ= 𝑉 𝑚ሺ 𝑡ሻ+ 𝑉 𝑐 𝑐 𝑜𝑠𝜔 𝑐(𝑡)…………………………(1) The input output relation for non-linear device is 𝑉 2ሺ 𝑡ሻ= 𝑎𝑉 1ሺ 𝑡ሻ+ 𝑏𝑉 1 2 (𝑡)…………….………….…..(2) where a and b are constants. Now, substituting the expression (1) in (2), we get 𝑉 2ሺ 𝑡ሻ= 𝑎ሾ 𝑉 𝑚ሺ 𝑡ሻ+ 𝑉 C cos𝜔 𝑐 𝑡ሿ+ 𝑏[𝑉 𝑚ሺ 𝑡ሻ+ 𝑉 C cos𝜔 𝑐 𝑡]2 𝑉 2ሺ 𝑡ሻ= 𝑎𝑉 𝑚ሺ 𝑡ሻ+ 𝑎𝑉 C cos𝜔 𝑐 𝑡+ 𝑏ൣ 𝑉 𝑚 2 ሺ 𝑡ሻ+ 2𝑉 𝑚ሺ 𝑡ሻ 𝑉 C cos𝜔 𝑐 𝑡+ 𝑉 c 2 𝑐 𝑜𝑠2 𝜔 𝑐(𝑡)൧
  • 84.
    84 𝑉 2ሺ 𝑡ሻ= 𝑎𝑉 𝑚ሺ 𝑡ሻ ᇣ ᇧ ᇤ ᇧ ᇥ 1 + 𝑎𝑉 Ccos𝜔 𝑐 𝑡 ᇣ ᇧ ᇧ ᇧ ᇤᇧ ᇧ ᇧ ᇥ 2 + 𝑏𝑉 𝑚 2 ሺ 𝑡ሻ ᇣ ᇧ ᇤ ᇧ ᇥ 3 + 𝑏2𝑉 𝑚ሺ 𝑡ሻ 𝑉 C cos𝜔 𝑐 𝑡 ᇣ ᇧ ᇧ ᇧ ᇧ ᇧ ᇤᇧ ᇧ ᇧ ᇧ ᇧ ᇥ 4 + 𝑏𝑉 c 2 𝑐 𝑜𝑠2 𝜔 𝑐(𝑡) ᇣ ᇧ ᇧ ᇧ ᇤᇧ ᇧ ᇧ ᇥ 5 ] The five terms in the expression for V2(t) are as under Term 1 – Modulating Signal Term 2 – Carrier Signal Term 3 - Squared modulating signal Term 4 – AM wave with only sidebands Term 5 – Squared carrier signal Out of these five terms, terms 2 and 4 are useful whereas the remaining terms are not useful . Let us club terms 2, 4 and 1, 3, 5 as follows to get , 𝑉 2ሺ 𝑡ሻ= 𝑎𝑉 𝑚ሺ 𝑡ሻ+ 𝑏𝑉 𝑚 2 ሺ 𝑡ሻ+ 𝑏𝑉 c 2 𝑐 𝑜𝑠2 𝜔𝑐(𝑡) + 𝑎𝑉 C cos𝜔𝑐𝑡+ 𝑏2𝑉 𝑚ሺ 𝑡ሻ 𝑉 C cos𝜔𝑐 (𝑡) 𝑎𝑉 𝑚ሺ 𝑡ሻ+ 𝑏𝑉 𝑚 2 ሺ 𝑡ሻ+ 𝑏𝑉 c 2 𝑐 𝑜𝑠2 𝜔 𝑐(𝑡) = 𝑈 𝑛𝑢𝑠𝑒𝑓 𝑢𝑙 𝑡𝑒𝑟𝑚𝑠 𝑎𝑉 C cos𝜔 𝑐 𝑡+ 𝑏2𝑉 𝑚ሺ 𝑡ሻ 𝑉 C cos𝜔 𝑐 (𝑡) = 𝑢𝑠𝑒𝑓 𝑢𝑙 𝑡𝑒𝑟𝑚𝑠
  • 85.
    85 The LC tunedcircuit acts as a band pass filter. This band pass filter eliminates the unuseful terms from the equation of v2(t) . Hence the output voltage vo(t) contains only the useful terms . 𝑉 0ሺ 𝑡ሻ= 𝑎𝑉 C cos𝜔 𝑐 𝑡+ 𝑏2𝑉 𝑚ሺ 𝑡ሻ 𝑉 C cos𝜔 𝑐 (𝑡) 𝑉 0ሺ 𝑡ሻ= ሾ 𝑎𝑉 C + 2𝑏𝑉 𝑚ሺ 𝑡ሻ 𝑉 𝑐ሿ 𝑐 𝑜𝑠𝜔 𝑐(𝑡) Therefore, 𝑉 0ሺ 𝑡ሻ= 𝑎𝑉 C[1 + 2𝑏 𝑎 𝑉 𝑚ሺ 𝑡ሻ ]𝑐 𝑜𝑠𝜔 𝑐(𝑡)………………………….(3) Comparing this with the expression for standard AM wave i.e 𝑉 AMሺ 𝑡ሻ= 𝑉 C[1+ 𝑚a𝑉 𝑚ሺ 𝑡ሻ ]𝑐 𝑜𝑠𝜔 𝑐(𝑡) Vo(t) of equation (3) represents an AM wave with m = (2b/a) . Hence, the square law modulator produces an AM wave.
  • 86.
    86 Double Sideband SuppressedCarrier (DSB- SC) Modulation  In the standard form of Amplitude Modulation (AM), the carrier wave c(t) is completely independent of the message signal m(t), which means that the transmission of the carrier wave represents a waste of power.  To overcome this shortcoming , we may suppress the carrier component from the modulated wave, resulting in double-sideband suppressed carrier (DSB-SC) modulation.  Thus, by suppressing the carrier, we obtain a modulated wave that is proportional to the product of the carrier wave and the message signal. DSCFC Spectrum DSCSC Spectrum
  • 87.
    87 Let modulating signalVm(t)=Vm sinmt……..(1) Vm= Amplitude or voltage of message signal m= Frequency of message signal Carrier signal Vc(t)=Vc sinct ………………(2) Vc= Amplitude or voltage of carrier signal c= frequency of carrier signal Multiplying (1) and (2)by product modulator, modulated DSB-SC signal is generated V(t) = Vm(t)* Vc(t) = Vm sinmt* Vc sinct = VmVc sinmt sinct Apply 2sinA sin B=cos(A-B)-cos(A+B) Then VDSB-sc(t)= VmVc 2 [cos(m − c)𝑡− 𝑐 𝑜𝑠(m + c)𝑡] ……(3) We know that DSB with carrier AM wave modulated representation, VAM(t)= V csinct + 𝑚aVc 2 [cos(m − c)𝑡 − 𝑐 𝑜𝑠(m + c)𝑡] ……..(4) By comparing DSB with carrier and DSB-SC, Vc sinct (ie) carrier wave is missing ;remaining two terms are same. Mathematical representation of DSC- SC - AM
  • 88.
    88 Bandwidth (BW) isthe difference between the highest and lowest frequencies of the signal. Mathematically, we can write it as Bandwidth BW = fmax -fmin BW = (fc+fm) – (fc-fm) = fc+fm – fc +fm BW = 2fm BW = (fc+fm) – (fc-fm) = fc+fm – fc +fm BW = 2fm
  • 89.
    89 Phasor Diagram Phasor Diagramsare a graphical way of representing the magnitude and directional relationship between two or more alternating quantities. For AM or DSBFC  Carrier wave phase  Reference Phase  Two sidebands having a frequency of (ωc+ωm) (USB) & (ωc-ωm) (LSB) are represented by two phasors rotating in opposite directions with angular frequency of ωm  The net or resultant phasor is VAM(t) , the vector sum of two sidebands with carrier.  If the carrier, LSB & USB are positive or inphase Vmax = Vc+VLSB+VUSB  or if carrier and sidebands are out of phase Vmax = Vc-VLSB-VUSB For DSBSC
  • 90.
    90 Power calculation inDSB-SC AM In DSB-SC carrier is suppressed, then total power is only the sum of sideband power Pt DSB-SC=PUSB+PLSB = = ቀ ma𝑉 c 2 ቁ 2 𝑅 + ቀ ma𝑉 c 2 ቁ 2 𝑅 we know that RMS value of Vc = 𝑉 c ξ2 𝑃 𝑡DSB-SC = ቆma 𝑉 c/ξ2 2 ቇ 2 𝑅 + ቆma 𝑉 c/ξ2 2 ቇ 2 𝑅 𝑃 𝑡DSB-SC = ma 2 𝑉 c 2 8 𝑅 + ma 2 𝑉 c 2 8 𝑅 = ma 2 𝑉 c 2 8𝑅 + ma 2 𝑉 c 2 8𝑅 = 2ma 2 𝑉 c 2 8𝑅 = ma 2 𝑉 c 2 4𝑅 𝑃 𝑡DSB-SC = 𝑉 c 2 2𝑅 ቆ ma 2 2 ቇ = 𝑃 𝑐ቆ ma 2 2 ቇ Total power in both side bands are 𝑃 𝑡DSB-SC = 𝑃 𝑐ቆ ma 2 2 ቇ
  • 91.
    91 Transmission Efficiency (%) %ɳ= 𝑃 t DSB with carrier-𝑃 t DSB- SC Totalpower transmitted ∗100 We know that 𝑃 𝑡DSB 𝑤 𝑖𝑡ℎ 𝑐 𝑎𝑟𝑟𝑖𝑒𝑟 = 𝑇 𝑜𝑡𝑎𝑙 𝑝𝑜𝑤 𝑒𝑟𝑃 𝑡 = 𝑃 𝑐ቈ 1+ ቆ ma 2 2 ቇ቉ %ɳ = 𝑃 𝑐൤1 + ൬ ma 2 2 ൰ ൨ − 𝑃 𝑐൬ ma 2 2 ൰ 𝑃 𝑐൤1 + ൬ ma 2 2 ൰ ൨ ∗100 %ɳ = 𝑃 𝑐+ 𝑃 𝑐൬ ma 2 2 ൰ − 𝑃 𝑐൬ ma 2 2 ൰ 𝑃 𝑐൤1 + ൬ ma 2 2 ൰ ൨ ∗100 %ɳ = 1 ൤1 + ൬ ma 2 2 ൰ ൨ ∗100 = 2 2 + ma 2 ∗100 If ma = 1 then %ɳ=2/3*100=66.7% By suppressing carrier wave the efficiency or power saving increased to 66.7%
  • 92.
    92 It provides 100%modulation efficiency. Due to suppression of carrier, it consumes less power. It provides a larger bandwidth. Disadvantages of DSB-SC modulation It involves a complex detection process. Using this technique it is sometimes difficult to recover the signal at the receiver. It is an expensive technique when it comes to demodulation of the signal. Applications of DSB-SC modulation During the transmission of binary data, DSB-SC system is used in phase shift keying methods. In order to transmit channel stereo signals, DSB signals are used in Television and FM broadcasting. Advantages of DSB-SC Modulation
  • 93.
    93 BALANCED MODULATOR USINGFETS / GENERATION OF DSB-SC-AM  A balanced modulator is a device that modifies a signal, usually in the form of an amplitude modulated (AM) radio signal.  It takes the original signal that has both sidebands and a carrier signal, and then modulates it so that only the sideband signals come through the output modulator.  This creates a balanced signal, as there is less noise because the carrier signal has been removed.
  • 94.
    94  There arethree transformers T1,T2 and T3.  The carrier signal is applied to the center taps of the input transformer T1 and the output transformer T3 .  The modulating signal is applied to the input transformer T1.  The carrier signal is applied to the primary of transformer T2.  This signal is further applied to two gates of FETs in phase through the secondary of T1.  The modulating voltage appearing 180 degree out of phase at the gates, since these are the opposite ends of the center tapped transformer. Consider that there is no modulating signal is applied.  Then FET currents due to carrier signal are equal in amplitude but opposite in the directions.  These opposite and equal currents are the primary of the output transformer cancel each other.  Hence, no output is produced at the secondary of T3.  Thus the carrier is suppressed. When modulating signal is applied, the current id1 and id2 flow in the primary of T3 due to carrier signal as well as the modulating signal.  The FET currents due to carrier are equal and opposite and cancel each other.  Seems modulating signal is applied 180 degree out of phase at the gates, the FET currents due to modulating signal is equal but not opposite, hence do not cancel each other.  Thus DSB output is produced by FET balanced modulator. Illustration of Circuit Diagram
  • 95.
    95 To prove thatbalanced modulator output produces DSB-SC- AM output The transfer curve id versus Vgs of a FET is almost parabolic and may be approximated by . 𝑖d = 𝐼 0+𝑎𝑉 gs + 𝑏𝑉 gs 2 Here I0 is the current at zero Gate source voltage and a and b are constants. Since the drain currents id1 and id2 flow in opposite direction in primary windings of output transformer T3. The effective primary current ip is, 𝑖p = 𝑖d1 − 𝑖d2 = 𝐼 0+𝑎𝑉 gs1 + 𝑏𝑉 gs2 2 − (𝐼 0 + 𝑎𝑉 gs2 + 𝑏𝑉 gs2 2 ) 𝑖p = 𝑖d1 − 𝑖d2 = 𝐼 0+𝑎𝑉 gs1 + 𝑏𝑉 gs2 2 − 𝐼 0 − 𝑎𝑉 gs2 − 𝑏𝑉 gs2 2 ) 𝑖p = 𝑎(𝑉 gs1 − 𝑉 gs2) + 𝑏൫ 𝑉 gs1 2 − 𝑉 gs2 2 ൯ ……………..(1)
  • 96.
    96 Let us applyKVL to the input circuit 𝑉 gs1 = ൤𝑒 𝑐 + 1 2 𝑒 𝑚൨ 𝑎𝑛𝑑𝑉 gs2 = ൤𝑒 𝑐 − 1 2 𝑒 𝑚൨ Putting these values in equation 1 𝑎(𝑉 gs1 − 𝑉 gs2) = 𝑎 ൜ ൤𝑒 𝑐 + 1 2 𝑒 𝑚൨ − ൤𝑒 𝑐 − 1 2 𝑒 𝑚൨ ൠ 𝑎(𝑉 gs1 − 𝑉 gs2) = 𝑎 ൤𝑒 𝑐 + 1 2 𝑒 𝑚 − 𝑒 𝑐 + 1 2 𝑒 𝑚൨ = 𝑎 ൤ 2 2 𝑒 𝑚൨ = aem …………..(2) 𝑏൫ 𝑉 gs1 2 − 𝑉 gs2 2 ൯= 𝑏 ቊ ൤𝑒 𝑐 + 1 2 𝑒 𝑚൨ 2 − ൤𝑒 𝑐 − 1 2 𝑒 𝑚൨ 2 ቋ = 𝑏∗ ൜ 𝑒 𝑐 2 + 1 4 𝑒 𝑚 2 + 2𝑒 𝑐 𝑒 𝑚 2 − 𝑒 𝑐 2 − 1 4 𝑒 𝑚 2 + 2𝑒 𝑐 𝑒 𝑚 2 ൠ = 𝑏∗4𝑒 𝑐 𝑒 𝑚 2 = 2𝑏𝑒 𝑐𝑒 𝑚 ………..(3) 𝑖p = aem + 2𝑏𝑒 𝑐𝑒 𝑚
  • 97.
    97 In the aboveequation em is the low frequency modulating signal. The output transformer T3 operates at carrier frequency, hence it will reject em. Because only the product term 2b ecemof above equation. Thus 𝑖p = 2b𝑒 c𝑒 𝑚 We know that 𝑒 c = 𝑉 csinωct and em=𝑉 msinωmt 𝑖p = 2b𝑉 csinωct 𝑉 msinωmt Here let us use 𝑠𝑖𝑛m𝑡𝑠𝑖𝑛 c𝑡 = [cos(m − c)𝑡− 𝑐 𝑜𝑠(m + c)𝑡] 2 𝑖p = b𝑉 c𝑉 m [cos(m − c)𝑡− 𝑐 𝑜𝑠(m + c)𝑡] In the above equationm − c represents LSB and m + crepresents USB. Thus the current flowing in the output transformer T3, produces only two side bands and no carrier. Thus proves that balanced modulator produces suppressor carrier DSB output. 𝑖p = aem + 2𝑏𝑒 𝑐𝑒 𝑚
  • 98.
    Single Sideband Suppressed Carrier(SSB-SC) Modulation  Type of Amplitude Modulation  Only one side band is transmitted, it means, the carrier wave and one side band is suppressed  In conventional amplitude wave, two sidebands and carrier signal is there  In DSB – SC, only two side bands without carrier signal is transmitted that is carrier is not transmitted here.  But in SSB – SC , only one side band is transmitted another side band and carrier is suppressed.  One disadvantage of transmitting carrier is waste of power.  ie 67% of power is used by the carrier only 33% of power is used by sidebands. Benefit  All information is transmitted using Single side band. 98
  • 99.
    The USB andLSB are uniquely related to each other by their Symmetry of their carrier frequency, it means the amplitude and phase frequency of any one is given we can easily identify the other one. Standard AM and DSBSC require transmission bandwidth equal to twice the message bandwidth. USB occupied one half of the transmission bandwidth and LSB occupied another half of the transmission bandwidth. So total BW is 2ω. Thus if only one side band is transmitted, and if both the carrier and the other side band are suppressed at the transmitter, No information is lost. Also Bandwidth for only one side band is ω. Single-Sideband Suppressed Carrier (SSB- SC) 99
  • 100.
    Spectrum of SSB– SC AM 100
  • 101.
    101 Phasor Diagram Phasor Diagramsare a graphical way of representing the magnitude and directional relationship between two or more alternating quantities. For AM or DSB-FC-AM For DSBSC- SC-AM For SSBSC-SC-AM
  • 102.
     Bandwidth ofSSB is half that of DSB-SC AM. Thus twice the number of channels can be accommodated at a given frequency spectrum.  No carrier is transmitted, hence possibility of interference with other channels are avoided.  There is an improvement in signal to noise ratio from 9 to 12 dB at the receiver output over DSB-SC-AM.  SSB requires less number of amplifying stages. Hence net volume of operating cost is reduced.  Less power is consumed. ie 83.3% power is saved over conventional AM and 50% of power saved over DSB- SC AM  It allows transmission of the high power signal.  During demodulation of SSB, carrier of same frequency and phase of requisite strength is to be inserted, and at the receiver one can get output message signal without the knowledge of carrier, Hence some secrecy is automatically achieved. Advantages of SSB modulation 102
  • 103.
    It eliminates thepossibility of fading. Fading occurs due to multipath propagation of electromagnetic waves. That is RF waves at same frequency may travel by two path which may be different wave lengths so that signals received by these paths may be unequal amplitude and phases, which is known as fading. This fading is selective over the received band. This is said to be selective fading. Selective fading is of three types in Amplitude Modulation. They are Sideband fading : one sideband is significantly attenuated Carrier fading : Fading Carrier alone Carrier or sideband phase shift : Fading the amplitude and phase of one side band component with respect to other side band and carrier. Advantages of SSB modulation Cont.. 103
  • 104.
     Implementation ofSSB holds complex nature.  It is expensive.  SSB technique requires a transmitter and receiver to be highly frequency stable. Disadvantages of SSB modulation Applications of SSB Modulation  It is needed in all such applications where power saving and low bandwidth is required.  The technique is utilized in point to point communication.  It is also used in land and air mobile communication.  It also finds its applications in telemetry and radar communication. 104
  • 105.
    Frequency Discrimination Method/ Filter Method - Use a high-Q filter to suppress one of the sidebands. Phase methods: Shift sidebands using a phase shift method to cancel one of them out Phase shift method Third Method (Weaver’s Method) • Lower sideband: LSSB or LSB • Upper sideband: USSB or USB • The decision to choose one over the other is dictated by:  Convention or prior assignment  Technological considerations • Neither USSB or LSSB is inherently better than the other Generation of SSB SC AM Wave 105
  • 106.
    Two requirements haveto be satisfied. They are The message signal m(t) has no low-frequency content. Example: speech, audio, music. The highest frequency component W of the message signal m(t) is much less than the carrier frequency fc . 106 Frequency Discrimination Method / Filter Method
  • 107.
    Then, under theseconditions, designing the band pass filter, the following requirements should be satisfied: 1.The pass band of the filter should be same that of the desired side band. 2.The separation region between pass band and stop band should not exceed twice the maximum frequency component present in the base band. REQUIREMENTS FOR BANDPASS FILTER (BPF) 107 Problems in designing BPF : It becomes very difficult to design an appropriate filter that will pass the desired side band and reject the other. SSB wave occupies a frequency band which is much larger than the baseband signal. -Therefore Multiple modulation process is used
  • 108.
    1. A crystalcontrolled master oscillator produces a stable carrier frequency fc (say 100 KHz) 2. This carrier frequency is then fed to the balanced modulator through a buffer amplifier . (buffer  used to transfer a voltage from a first circuit, having a high output impedance level, to a second circuit with a low input impedance) 3. The audio signal from the modulating amplifier modulates the carrier in the balanced modulator. Audio frequency range is 300 to 2800 Hz. The carrier is also suppressed in this stage but allows only to pass the both side bands. (USB & LSB). 4. A band pass filter (BPF) allows only a single band either USB or LSB to pass through it. It depends on our requirements. Let we want to pass the USB then LSB will be suppressed. In this case. fc = 100 KHz & Audio range = 300 - 2800 Hz USB frequency range = fc + 300 to fc + 2800 = 100000 + 300 to 100000 + 2800 = 100300 to 102800 Hz So this band of frequency will be passed on through the USB filter section 5. This side band is then heterodyned in the balanced mixer stage with 12 MHz frequency produced by crystal oscillator or synthesizer depends upon the requirements of our transmission. So in mixer stage; the frequency of the crystal oscillator or synthesizer is added to SSB signal. The output frequency thus being raised to the value desired for transmission. 6. Then this band is amplified in driver and power amplifier stages and then fed to the aerial for the transmission. Illustration of the block diagram 108
  • 109.
     It providessufficiently flat and wide bandwidth.  By this method, we can have suitable sideband suppression.  It allows better management of the frequency spectrum. More transmission can fit into a given frequency range than would be possible with double side band DSB signals.  All of the transmitted power is message power none is dissipate as carrier power.  The noise content of a signal is an exponential function of the bandwidth: the noise will decrease by 3dB when the bandwidth is reduced by half. There fore, single side band SSB signals have less noise Around, Low Cost Disadvantages of Filter Method  Frequency up-conversion at the end is necessary as the system does not generate SSB at high frequencies.  The cost of the Single side band SSB receiver is higher than the double band DSB counterpart be a ration of about 3:1. So the expensive filter increases the overall cost of the system.  The average radio user wants only to flip a power switch and dial a station. Single side band SSB receivers require several precise frequency control settings to minimize distortion and may require continual readjustment during the use of the system. Advantages of Filter Method 109
  • 110.
    Phase Discrimination Method Basedon the time domain description of SSB signal. It consists of two balanced modulators with carrier wave in-phase quadrature to each other. The incoming baseband signal m(t) is applied to the Balanced Modulator ‘A’, producing a DSB-SC wave that translates the spectrum of m(t) symmetrically spaced about the carrier frequency fc . mh (t) is applied to the Balanced Modulator-B producing a DSB The use of Modulator- B output with a plus sign at the summing junction yields an SSB wave with only one lower sideband. In this way either form of SSB wave can be generated. This arrangement is also known as Hartley modulator. 110
  • 111.
    SSB – SCWave Equation (Derivation) In order to suppress one of the side band, the input signal is fed to the modulator 1 is 90 degree out of phase with the signal fed into modulator 2. 111
  • 112.
    Let us take VmȋtȌ=Vm sinȋωmtȌand VcȋtȌ= Vc sinȋωctȌ V 1ሺ tሻ= V m sin(ωmt + 900 ) V c sin(ωct + 900 ) V 1ሺ tሻ= V m cos(ωmt) V c cos(ωct) V 2ሺ tሻ= V m sin(ωmt) V c sin(ωct) V S S B−S Cሺ tሻ= V 1ሺ tሻ+ V 2(t) V S S B−S Cሺ tሻ= V m cos(ωmt) V c cos(ωct) + V m sin(ωmt) V c sin(ωct) V S S B−S Cሺ tሻ= V m V cሾ cos(ωmt) cos(ωct) + sin(ωmt) sin(ωct)ሿ 112
  • 113.
    Similarly (if subtractionis taken instead of summation) V S S B−S Cሺ tሻ= V m V c 2 cos(ωc + ωm)t = U pper sideband (U S B) We know that V DS B−S Cሺ tሻ= V m V c 2 ሾ cos(ωc − ωm)t − cos(ωc + ωm)tሿ When comparing the above equations one of the side band is suppressed. Hence this scheme is known as SSB – SC AM We know that S in AS inB + C osAC osB = cos(A−B) 2 V S S B−S Cሺ tሻ= V m V c 2 cos(ωc − ωm)t = Lower sideband(LS B) 113
  • 114.
    POWER CALCULATION: SSB- SC - AM Power of SSBSC wave is equal to the power of any one sideband frequency components. P t = P U S B = P LS B Conventional Amplitude modulation total power is P t = P c + P U S B + P LS B = V carrier 2 R + V U S B 2 R + V LS B 2 R DSB-SC total power is P t(DS BS C) = P U S B + P LS B = V U S B 2 R + V LS B 2 R SSC – SC total power is P t(S SBSC) = PU S B = PLS B = VU S B 2 R = VLS B 2 R Where Vcarrier = RMS value of the carrier voltages VLSB = VUSB = RMS value of upper and lower side band voltages R = Resistance in which power is dissipated 114
  • 115.
    115 In this case,the power of the upper sideband or power of the lower side band is P U SB = P LSB = V S B 2 R = ൫ maV c 2ξ2 Τ ൯ 2 R = ma 2 V c 2 8 Τ R = ma 2 V c 2 8R = ma 2 V c 2 8R P U S B = P LSB = P S SB = V S B 2 R = ma 2 V c 2 8R = ቆ ma 2 4 ቇቆ V c 2 2R ቇ = ቆ ma 2 P c 4 ቇ Another method Wkt DSB-SC AM 𝑃 𝑡DSB-SC = 𝑃 𝑐ቆ ma 2 2 ቇ In SSB-AM in total power s half of the power in side bands 𝑃 𝑡SSB-SC = 𝑃 𝑐൬ ma 2 2 ൰ 2 = 𝑃 𝑐ቆ ma 2 4 ቇ
  • 116.
    Power saving withrespect to AM with carrier (Power efficiency) Powersaving = P t − P S S B P t Where Pt is total power transmitted Powersaving= ൤1 + ma 2 2 ൨ P c − ൤ ma 2 P c 4 ൨ ൤1 + ma 2 2 ൨ P c = P c + ma 2 2 P c − ma 2 4 P c ൤1 + ma 2 2 ൨ P c P c + ma 2 4 P c ൤1 + ma 2 2 ൨ P c = ൤1+ ma 2 4 ൨ P c ൤1+ ma 2 2 ൨ P c = ൤ 4 + 𝑚𝑎 2 4 ൨ ൤ 2 + 𝑚𝑎 2 2 ൨ = 4+ 𝑚𝑎 2 2 ∗ሺ 2+ 𝑚𝑎 2ሻ = 4 + 𝑚𝑎 2 4+ 2𝑚𝑎 2 If modulation index is 1, then Powersaving= 5 6 = 83.3% 116 Power efficiency of SSB SC compared with DSB - FC- AM
  • 117.
    Power saving withrespect to DSB-SC-AM Powersaving= P DSB − P SSB P DSB = ൤ ma 2 P c 2 ൨ − ൤ ma 2 P c 4 ൨ ൤ ma 2 P c 2 ൨ = ൤ ma 2 Pc 4 ൨ ൤ ma 2 Pc 2 ൨ If modulation index is 1, then Powersaving= 1 4 Τ 1 2 Τ = 1 2 = 50% It has been noted that the total AM power is 1 + ma 2 2 If only the carrier is suppressed then 66.67% power will be saved. If in addition to carrier one side band is suppressed 83.3% power will be saved. 117 Power efficiency of SSB SC compared with DSB -SC - AM
  • 118.
    Advantages of Phaseshift Method  It does not require a frequency up-conversion stage.  The modulating signal can be a low-frequency audio signal.  Switching between the sidebands is easier. Disadvantages of Phase shift Method  The designing of phase shifting circuitry is complex.  It requires phase shifting to be accurate, which is a difficult task. 118
  • 119.
    119 S.NO PARAMETER FILTERMETHOD PHASE METHOD 1 Method used Filter is used to remove unwanted signal Phase shifting is required to remove unwanted signal 2 90° Phase shift Not required Required complex phase shift method 3 Possible frequency range of SSB Not Possible to generate any frequency range of SSB Possible to generate any frequency range of SSB 4 Need for up - conversion required Not required 5 Complex Less Medium 6 Design Aspects Q of tuned circuit, Filter type, size, weight and upper frequency range Design of 90° Phase shifter for entire modulating frequency range. Symmetry of balanced modulators. 7 Bulkiness Yes No 8 Switching ability Not possible with existing circuit. Extra Filter & Switching network added Easily possible COMPARISION BETWEEN SSB TECHNIQUES
  • 120.
     In caseof SSB modulation, when a sideband is passed through the filters, the band pass filter may not work perfectly in practice. As a result of which, some of the information may get lost.  Hence to avoid this loss, a technique is chosen, which is a compromise between DSB- SC and SSB, called as Vestigial Sideband (VSB) technique.  The word vestige which means “a part” from which the name is derived.  Vestigial Sideband Modulation or VSB Modulation is the process where a part of the signal called as vestige is modulated, along with one sideband.  Along with the upper sideband, a part of the lower sideband is also being transmitted in this technique.  A guard band of very small width is laid on either side of VSB in order to avoid the interferences.  VSB modulation is mostly used in television transmissions. 120 Vestigial Side Band Modulation (VSB AM)
  • 121.
    121  A guardband is a narrow frequency range that separates two ranges of wider frequency.  This ensures that simultaneously used communication channels do not experience interference,  Which would result in decreased quality for both transmissions. GUARD BAND
  • 122.
    Generation / Transmitterof VSB  The modulating signal is applied to a product modulator.  The output of the carrier oscillator is also applied to the input of the product modulator.  The output of the product modulator is given by DSB-SC modulated wave.  This DSB-SC signal is then applied to side band shaping filter.  The design of this filter depends on the desire spectrum of the VSB modulated signal.  This filter will pass wanted side band and the vestige of the unwanted sideband. 122
  • 123.
    123 SPECTRUM OF VSBBANDWIDTH The bandwidth of SSBSC modulated wave is fm.  Since the VSBSC modulated wave contains the frequency components of one side band along with the vestige of other sideband  The bandwidth of it will be the sum of the bandwidth of SSBSC modulated wave and vestige frequency fv.  BW of VSBSC Modulated Wave = SSB BW +fv = fm+fv or  BW = fc+fm-fc+fv = fm+fv
  • 124.
    Detection / Demodulator/ Receiver of VSB  Here, the same carrier signal (which is used for generating VSBSC wave) is used to detect the message signal.  Hence, this process of detection is called as coherent or synchronous detection.  The message signal can be extracted from VSBSC wave by multiplying it with a carrier, which is having the same frequency and the phase of the carrier used in VSBSC modulation.  The resulting signal is then passed through a Low Pass Filter. The output of this filter is the desired message signal. 124
  • 125.
     Highly efficient. Reduction in bandwidth when compared to AM and DSBSC waves.  Filter design is easy, since high accuracy is not needed.  The transmission of low frequency components is possible, without any difficulty.  Possesses good phase characteristics. Disadvantages of VSB Modulation Bandwidth is more when compared to SSBSC wave. Demodulation is complex. Applications of VSB Modulation Television signals. Also, this is the most convenient and efficient technique when bandwidth usage is considered. 125 Advantages of VSB Modulation
  • 126.
    Comparison of VariousAM Schemes S.No Parameter DSBFC DSBSC SSB VSB 1 Carrier Suppression NA Fully Fully NA 2 Sideband Suppression NA NA One SB completely One SB suppressed partially 3 Bandwidth 2fm 2fm fm fm < BW >2fm 4 Transmission efficiency Min (33.3%) Moderate (66.7%) Max (83.3%) Moderate 5 Total Power Between DSBSC and SSB 6 Applications Radio Broadcasting Radio Broadcasting Point to point mobile comm TV 126
  • 127.
    127 AM TRANSMITTER  Transmittersthat transmit AM signals are known as AM transmitters.  These transmitters are used in medium wave (MW) and short wave (SW) frequency bands for AM broadcast.  The MW band has frequencies between 550 KHz and 1650 KHz, and the SW band has frequencies ranging from 3 MHz to 30 MHz.  The two types of AM transmitters that are used based on their transmitting powers are:  High Level  Low Level  High level transmitters use high level modulation, and low level transmitters use low level modulation.  The choice between the two modulation schemes depends on the transmitting power of the AM transmitter.  In broadcast transmitters, where the transmitting power may be of the order of kilowatts, high level modulation is employed.  In low power transmitters, where only a few watts of transmitting power are required , low level modulation is used.
  • 128.
    128 The basic differencebetween the two transmitters is the power amplification of the carrier and modulating signals. High-Level Transmitters
  • 129.
    129  In high-leveltransmission, the powers of the carrier and modulating signals are amplified before applying them to the modulator stage, as shown in figure.  In low-level modulation, the powers of the two input signals of the modulator stage are not amplified.  The required transmitting power is obtained from the last stage of the transmitter, the class C power amplifier. The various sections of the figure are: · Carrier oscillator · Buffer amplifier · Frequency multiplier · Power amplifier · Audio chain · Modulated class C power amplifier
  • 130.
    130  The carrieroscillator generates the carrier signal, which lies in the RF range.  The frequency of the carrier is always very high. Because it is very difficult to generate high frequencies with good frequency stability, the carrier oscillator generates a sub multiple with the required carrier frequency.  This sub multiple frequency is multiplied by the frequency multiplier stage to get the required carrier frequency.  Further, a crystal oscillator can be used in this stage to generate a low frequency carrier with the best frequency stability.  The frequency multiplier stage then increases the frequency of the carrier to its required value. Buffer Amplifier  The purpose of the buffer amplifier is two fold. It first matches the output impedance of the carrier oscillator with the input impedance of the frequency multiplier, the next stage of the carrier oscillator. It then isolates the carrier oscillator and frequency multiplier.  This is required so that the multiplier does not draw a large current from the carrier oscillator. If this occurs, the frequency of the carrier oscillator will not remain stable. Carrier Oscillator
  • 131.
    131  The sub-multiplefrequency of the carrier signal, generated by the carrier oscillator , is now applied to the frequency multiplier through the buffer amplifier.  This stage is also known as harmonic generator. The frequency multiplier generates higher harmonics of carrier oscillator frequency.  The frequency multiplier is a tuned circuit that can be tuned to the requisite carrier frequency that is to be transmitted. Power Amplifier  The power of the carrier signal is then amplified in the power amplifier stage.  This is the basic requirement of a high-level transmitter.  A class C power amplifier gives high power current pulses of the carrier signal at its output. Frequency Multiplier
  • 132.
    132  The audiosignal to be transmitted is obtained from the microphone, as shown in figure.  The audio driver amplifier amplifies the voltage of this signal. This amplification is necessary to drive the audio power amplifier.  Next, a class A or a class B power amplifier amplifies the power of the audio signal. Modulated Class C Amplifier  This is the output stage of the transmitter. The modulating audio signal and the carrier signal, after power amplification, are applied to this modulating stage.  The modulation takes place at this stage.  The class C amplifier also amplifies the power of the AM signal to the reacquired transmitting power.  This signal is finally passed to the antenna., which radiates the signal into space of transmission. Audio Chain
  • 133.
    133 Low-Level Transmitters  Thelow-level AM transmitter shown in the figure (b) is similar to a high-level transmitter, except that the powers of the carrier and audio signals are not amplified. These two signals are directly applied to the modulated class C power amplifier.  Modulation takes place at the stage, and the power of the modulated signal is amplified to the required transmitting power level. The transmitting antenna then transmits the signal.
  • 134.
    AM Detector /Receiver Types  The process of extracting an original message signal from the modulated wave is known as detection or demodulation.  The circuit, which demodulates the modulated wave is known as the demodulator.  Envelope Detector  Square Law Demodulator 134
  • 135.
    Envelope Detector /Diode detector The signal diode detector consists of two main elements to the circuit Diode / rectifier:  The diode in the detector serves to that enhances one half of the received signal over the other.  In many instances Schottky diodes are used for this form of detector, because signal levels may be low, and Schottky diodes have a much lower turn on voltage (typically around 0.2 V) than standard silicon diodes (typically around 0.7 or 0.7 V). Low pass filter:  The low pass filter is required to remove the high frequency elements that remain within the signal after detection / demodulation.  The filter usually consists of a very simple RC network but in some cases It can be provided simply by relying on the limited frequency response of the circuitry following the rectifier.  As the capacitor in the circuit stores the voltage, the output voltage reflects the peak of the waveform.  Sometimes these circuits are used as peak detectors. 135
  • 136.
     When selectingthe value of the capacitor used in the circuit, it should be large enough to hold the peak of the RF waveform, but not so large that it attenuates any modulation on the signal i.e. it should act as a filter for the RF carrier and not the audio modulation. Circuit Operation  Here the input signal is rectified by the series diode D.  The combination of capacitor C and resistor R behaves like a low-pass filter.  The input signal contains both the original message and the carrier wave where the capacitor helps in filtering out the RF carrier waves.  The capacitor gets charged during the rising edge and discharges through the resistor R in falling edge.  Thus the capacitor helps in giving an envelope of the input as output  This type of detector or demodulator is called a linear envelope detector because the output is proportional to the input envelope. 136
  • 137.
    137 Envelope Detector asused in an AM radio receiver  The circuit typically has a relatively high source impedance. When linking the circuit to a following stage of the circuit, care should be taken not to land the detector too much otherwise the operation will be impaired.  Normally a resistor is placed across the capacitor - this may either be the load of the next stage, a volume control, or resistor in the circuit.  This should be determined by calculating the time constant of the capacitor and the load.  Time constant must be between the RF signal and audio modulation so that the RF is satisfactorily removed, but the audio modulation is left untouched.
  • 138.
    138  In orderfor a diode detector to generate the required DC voltage, a DC return must be available within the circuit.  In this circuit that the secondary of the transformer provides a DC return to ground.  This appears like an open circuit to radio frequency signals, but acts as a DC return path for the audio and other signals appearing from the detector.  Often this DC return path may be within a transformer used to drive the diode detector.  Alternatively a resistor may be used.  It value will be the same at all frequencies and therefore its choice is a matter of compromise.
  • 139.
    Diode detector advantages Simplicity  Low cost Diode detector disadvantages  Distortion  Selective fading  Insensitive 139
  • 140.
     If modulationindex a is equal to, or less than, unity (ma 1), AM can be demodulated by a very simple technique called envelope detection.  If ma > 1, envelope detection will not work; the detector output audio will be highly distorted.  Why  The signal experiences a 180° phase change at each envelope sign change, and envelope detectors are insensitive to signal phase.  A simple envelope detector will only work if 0  ma 1.  As long as envelope Vo (Output Voltage) is non- negative, message m(t) appears to ride on top of half wave rectified.  In this case close approximation of Vo can be obtained by smoothing the output of the diode with an RC circuit.  The time constant of the RC smoothing circuit is not extremely critical. However, as a general rule of thumb, best results can be obtained if 𝟏 𝐟 𝐜 ≤ 𝐑 𝐂 ≤ 𝟏 𝐟 𝐦 where fc is the carrier frequency in Hz, and fm is the message bandwidth, in Hz. Significance of RC time Constant 140
  • 141.
     The squarelaw detector is a two-part system which is designed to produce an output proportional to the power contained in some (usually) complicated input signal.  The first part of the square law detector system is a nonlinear element whose instantaneous output is proportional to the square of the instantaneous input, and which is sensibly free of other nonlinear terms  The second part, as you may have surmised, is some sort of averaging device, often a low pass filter. Square Law Demodulation 141
  • 142.
    Working Operation andAnalysis The input output characteristics i.e., the transfer characteristics of a square law demodulator is non-linear and it is expressed mathematically as : 𝑣2 ሺ 𝑡ሻ= 𝑎𝑣1 ሺ 𝑡ሻ+ 𝑏𝑣1 2ሺ 𝑡ሻ where, v1(t) = input voltage to the detector = AM wave As we know, 𝑉 𝐴 𝑀 ሺ 𝑡ሻ= 𝑣1 ሺ 𝑡ሻ= 𝑉 𝑐ሾ 1+ 𝑚𝑎 𝑚(𝑡)ሿcosωc (𝑡) Now, substituting for v1(t) in v2(t) , we get 𝑣2 ሺ 𝑡ሻ= 𝑎𝑉 𝑐ሾ 1 + 𝑚𝑎 𝑚(𝑡)ሿcos⁡(2𝜋 𝑓 𝑐𝑡) + 𝑏𝑉 𝑐 2 ሾ 1 + 𝑚𝑎 𝑚(𝑡)ሿ 2 cos2 ⁡(2𝜋 𝑓 𝑐𝑡) But, 𝑐 𝑜𝑠2 𝜃 = 1 2 [1 + 𝑐 𝑜𝑠2𝜃] Therefore, 𝑐 𝑜𝑠2 (2𝜋 𝑓 𝑐𝑡) = 1 2 [1 + 𝑐 𝑜𝑠4𝜋 𝑓 𝑐𝑡] 142
  • 143.
    𝑣2 ሺ 𝑡ሻ= 𝑎𝑉 𝑐ሾ 1+ 𝑚𝑎 𝑚(𝑡)ሿcosሺ 2𝜋 𝑓 𝑐𝑡ሻ + 𝑏 𝑉 𝑐 2 2 [1 + 2𝑚𝑎 𝑚(𝑡) + 𝑚𝑎 2 𝑚2ሺ 𝑡ሻ ][𝑐 𝑜𝑠ሺ 4𝜋 𝑓 𝑐𝑡ሻ ] Out of these terms, the only desired term is bVc 2 ma m(t). Hence, the name of this demodulator is square law demodulator. This desired term is extracted by using a low pass filter (LPF) after the diode as shown in above figure. Hence, after the LPF, we get 𝑣0ሺ 𝑡ሻ= 𝑏𝑉 𝑐 2 ma m(t) This means that we have recovered the message signal m(t) at the output of the detector . Substituting this, we get 143
  • 144.
    𝑏 𝑉 𝑐 2 2 [ 𝑚𝑎 2 𝑚2ሺ 𝑡ሻ ] This isan unwanted signal and gives rise to a signal distortion . The ratio of desired signal to the undesired one is given by : 𝑅 𝑎𝑡𝑖𝑜 = 𝐷 𝑒𝑠𝑖𝑟𝑒𝑑𝑂 𝑢𝑡𝑝𝑢𝑡 𝑈 𝑛𝑑𝑒𝑠𝑖𝑟𝑒𝑑𝑂 𝑢𝑡𝑝𝑢𝑡 = 𝑏𝑉 𝑐 2 𝑚𝑎 𝑚(𝑡) 𝑏 𝑉 𝑐 2 2 [ 𝑚𝑎 2𝑚2ሺ 𝑡ሻ ] = 2 𝑚𝑎 𝑚(𝑡) This ratio must be maximized in order to minimize the distortion . To achieve this, we should choose (ma m(t)) small as compared to unity (1) for all values of t . If ma is small, then, the AM wave is weak . This means that the distortion in the detector output is low if and only if the applied AM is weak and if the percentage modulation is very small. Distortion in the Detector Output Another term which passes through the LPF to the load resistance RL is 144