OLEH :  AHMAD APANDI A1F007012
TEORI ASAM BASA Cairan yang berasa asin : Garam Cairan berasa pahit dan dapat membirukan kertas lakmus merah : Basa Cairan berasa asam dan dapat memerahkan kertas lakmus biru : Asam Secara Umum :
Teori Arrhenius :   Asam  adalah senyawa yang  melepaskan H +  dalam air. Contoh : HCl  -----   H +  + Cl - HNO 3   -----   H +  + NO 3 - Basa   adalah s enyawa yang melepaskan OH -  dalam air Contoh : NaOH  -----   Na +  + OH - NH 4 OH  -----   NH 4 +  + OH - Kelemahan : hanya berlaku untuk larutan dalam air saja. TEORI ASAM BASA
TEORI ASAM BASA Reaksi dengan Pelarut Air HCl (g)  + H 2 O (aq)     H 3 O + (aq)  + Cl - (aq) Asam  Basa NH 4 OH (g)  + H 2 O (aq)   NH 4 OH 2 + (aq)  + OH - (aq) Basa  Asam Teori Bronsted - Lowry Asam :   senyawa yg dapat memberikan proton ( H +  ) / donor proton. Basa:   senyawa yg dapat menerima proton (H + ) / akseptor proton. Air dapat bersifat asam atau basa    Amfoter  Reaksi tanpa Pelarut Air HCl (g)  +  NH 3(g)    NH 4 +  + Cl -    NH 4 Cl (s) Asam  Basa
TEORI ASAM BASA Pasangan Asam Basa Konjugasi HCl  +  H 2 O   H 3 O +   +  Cl - Asam 1  Basa 1   Asam 2  Basa 2   Konjugasi   Konjugasi Pasangan asam basa konjugasi : pasangan asam 1 – basa 2 dan basa 1 – asam 2    HCl – Cl -   dan H 2 O   – H 3 O + Asam konjugasi   : Asam yg terbentuk dari basa yang menerima Proton    H 3 O +   Basa konjugasi   : Basa yg terbentuk dari asam yang melepaskan Proton    Cl -
TEORI ASAM BASA Jelaskan untuk reaksi :   NH 3   +  H 2 O    NH 4 +   +  OH - a. Pasangan asam basa konjugasi b. Asam konjugasi c. Basa konjugasi Soal diskusi . . .
Pasangan asam basa konjugasi Pasangan asam basa konjugasi Jawaban  : NH 3   +  H 2 O    NH 4 +   +  OH - Basa  Asam  Basa konjugasi  Asam konjugasi
TEORI ASAM BASA Asam  :  Senyawa yang dapat  menerima pasangan elektron     BF 3 Basa  :  Senyawa yang dapat memberikan pasangan elektron     NH 3 Teori Lewis …… Ada beberapa reaksi yang tidak dapat dijelaskan dengan kedua teori sebelumnya, misalnya reaksi : NH 3   +  BF 3   -------   H 3 N – BF 3 H F   H   F H - N : + B - F   H – N  :  B - F H F   H   F
KESETIMBANGAN ASAM DAN BASA Kesetimbangan Asam    Asam Monoprotik :    Asam diprotik : Ka = Konstanta kesetimbangan asam   [H + ] [A - ] Ka  =      [HA] HA   H +  + A - H 2 A   H +  +  H A -   [H + ] [ H A - ] Ka  =      [H 2 A]
Nilai Ka : Ka  >  10  : Asam kuat Ka < 10  : Asam lemah Ka 1  x Ka 2  = ????? Konstanta kesetimbangan Asam pada 25 0 C Nama Rumus Ka Asam Klorida HCl 1,0 x 10 7 Asam Nitrat HNO 3 sifat asam Asam Sulfat H 2 SO 4 1,0 x 10 9  (Ka 1 ) 1,2 x 10 -2  (Ka 2 ) Asam Florida HF 6,6 x 10 -4 Asam Nitrit HNO 2 5,1 x 10 -4 Asam Sulfita H 2 S 1,1 x 10 -7  (Ka 1 ) 1,0 x 10 -14  (Ka 2 ) KESETIMBANGAN ASAM DAN BASA HA -    H +  + A 2-   [H + ] [A 2- ] Ka 2  =      [HA - ]
KESETIMBANGAN ASAM DAN BASA Kesetimbangan Basa    Basa Monohidroksi : Kb = Konstanta kesetimbangan  basa    Basa dihidroksi : [B + ] [OH - ] Kb  =    [BOH] BOH   B +  + OH - B(OH) 2     B 2+  + 2(OH) - [B 2+ ] [OH - ] 2 Kb  =    [ B[OH] 2 ]
KESETIMBANGAN ASAM DAN BASA    TUGAS  Carilah 20 jenis asam dan basa, beserta rumus molekul dan nilai konstanta kesetimbangannya, serta klasifikasikan berdasarkan kekuatan sifat asamnya.
Pengukuran pH a. Indikator asam basa Indikator yang dapat memberikan warna yang berbeda apabila dimasukkan kedalam larutan asam atau pun basa
Identifikasi larutan asam dan basa dengan menggunakan lakmus HCl NaOH
POSTEST 1. Tentukan konsentrasi ion H +  dalam  masing-masing larutan berikut. a. H 2 SO 4  0,02  M b. HNO 3  0,1  M c. CH 3 COOH 0,05  M jika derajat ionisasinya 1% 2. Tentukan konsentrasi ion OH –  masing-  masing larutan berikut. Ca(OH) 2  0,02  M KOH 0,004  M  NH 4 OH 0,01 M jika terion sebanyak 5%
Jawab: 1. Petunjuk: H2SO4 dan HNO3 merupakan asam kuat, sedangkan CH3COOH dan H2SO3 termasuk asam lemah. a. H 2 SO 4   2 H +  + SO 4 2– [H+] =  x · [HA] = 2 · 0,02 = 0,04  M b. HNO 3   H +  + NO 3 – [H+] =  x · [HA] = 1 · 0,1 = 0,2  M
c. CH 3 COOH  CH 3 COO –  + H + [H+] = [HA] ·  α = 0,05 · 0,01 = 0,0005  M 2. Petunjuk: Ca(OH) 2  dan KOH merupakan basa kuat, sedangkan NH 3  termasuk basa lemah.
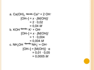
a. Ca(OH) 2   Ca 2+  + 2 OH –   [OH–] =  x · [M(OH)] = 2 · 0,02 = 0,04  M b. KOH  K +  + OH – [OH–] =  x · [M(OH)] = 1 · 0,004 = 0,004  M c. NH 4 OH  NH 4 +  + OH – [OH–] = [M(OH)] ·  α = 0,01 · 0,05 = 0,0005  M
 

Ahmad Apandi

  • 1.
    OLEH : AHMAD APANDI A1F007012
  • 2.
    TEORI ASAM BASACairan yang berasa asin : Garam Cairan berasa pahit dan dapat membirukan kertas lakmus merah : Basa Cairan berasa asam dan dapat memerahkan kertas lakmus biru : Asam Secara Umum :
  • 3.
    Teori Arrhenius : Asam adalah senyawa yang melepaskan H + dalam air. Contoh : HCl -----  H + + Cl - HNO 3 -----  H + + NO 3 - Basa adalah s enyawa yang melepaskan OH - dalam air Contoh : NaOH -----  Na + + OH - NH 4 OH -----  NH 4 + + OH - Kelemahan : hanya berlaku untuk larutan dalam air saja. TEORI ASAM BASA
  • 4.
    TEORI ASAM BASAReaksi dengan Pelarut Air HCl (g) + H 2 O (aq)  H 3 O + (aq) + Cl - (aq) Asam Basa NH 4 OH (g) + H 2 O (aq)  NH 4 OH 2 + (aq) + OH - (aq) Basa Asam Teori Bronsted - Lowry Asam : senyawa yg dapat memberikan proton ( H + ) / donor proton. Basa: senyawa yg dapat menerima proton (H + ) / akseptor proton. Air dapat bersifat asam atau basa  Amfoter Reaksi tanpa Pelarut Air HCl (g) + NH 3(g)  NH 4 + + Cl -  NH 4 Cl (s) Asam Basa
  • 5.
    TEORI ASAM BASAPasangan Asam Basa Konjugasi HCl + H 2 O H 3 O + + Cl - Asam 1 Basa 1 Asam 2 Basa 2 Konjugasi Konjugasi Pasangan asam basa konjugasi : pasangan asam 1 – basa 2 dan basa 1 – asam 2  HCl – Cl - dan H 2 O – H 3 O + Asam konjugasi : Asam yg terbentuk dari basa yang menerima Proton  H 3 O + Basa konjugasi : Basa yg terbentuk dari asam yang melepaskan Proton  Cl -
  • 6.
    TEORI ASAM BASAJelaskan untuk reaksi : NH 3 + H 2 O NH 4 + + OH - a. Pasangan asam basa konjugasi b. Asam konjugasi c. Basa konjugasi Soal diskusi . . .
  • 7.
    Pasangan asam basakonjugasi Pasangan asam basa konjugasi Jawaban : NH 3 + H 2 O NH 4 + + OH - Basa Asam Basa konjugasi Asam konjugasi
  • 8.
    TEORI ASAM BASAAsam : Senyawa yang dapat menerima pasangan elektron  BF 3 Basa : Senyawa yang dapat memberikan pasangan elektron  NH 3 Teori Lewis …… Ada beberapa reaksi yang tidak dapat dijelaskan dengan kedua teori sebelumnya, misalnya reaksi : NH 3 + BF 3 -------  H 3 N – BF 3 H F H F H - N : + B - F H – N : B - F H F H F
  • 9.
    KESETIMBANGAN ASAM DANBASA Kesetimbangan Asam  Asam Monoprotik :  Asam diprotik : Ka = Konstanta kesetimbangan asam [H + ] [A - ] Ka = [HA] HA H + + A - H 2 A H + + H A - [H + ] [ H A - ] Ka = [H 2 A]
  • 10.
    Nilai Ka :Ka > 10 : Asam kuat Ka < 10 : Asam lemah Ka 1 x Ka 2 = ????? Konstanta kesetimbangan Asam pada 25 0 C Nama Rumus Ka Asam Klorida HCl 1,0 x 10 7 Asam Nitrat HNO 3 sifat asam Asam Sulfat H 2 SO 4 1,0 x 10 9 (Ka 1 ) 1,2 x 10 -2 (Ka 2 ) Asam Florida HF 6,6 x 10 -4 Asam Nitrit HNO 2 5,1 x 10 -4 Asam Sulfita H 2 S 1,1 x 10 -7 (Ka 1 ) 1,0 x 10 -14 (Ka 2 ) KESETIMBANGAN ASAM DAN BASA HA - H + + A 2- [H + ] [A 2- ] Ka 2 = [HA - ]
  • 11.
    KESETIMBANGAN ASAM DANBASA Kesetimbangan Basa  Basa Monohidroksi : Kb = Konstanta kesetimbangan basa  Basa dihidroksi : [B + ] [OH - ] Kb = [BOH] BOH B + + OH - B(OH) 2 B 2+ + 2(OH) - [B 2+ ] [OH - ] 2 Kb = [ B[OH] 2 ]
  • 12.
    KESETIMBANGAN ASAM DANBASA  TUGAS Carilah 20 jenis asam dan basa, beserta rumus molekul dan nilai konstanta kesetimbangannya, serta klasifikasikan berdasarkan kekuatan sifat asamnya.
  • 13.
    Pengukuran pH a.Indikator asam basa Indikator yang dapat memberikan warna yang berbeda apabila dimasukkan kedalam larutan asam atau pun basa
  • 14.
    Identifikasi larutan asamdan basa dengan menggunakan lakmus HCl NaOH
  • 15.
    POSTEST 1. Tentukankonsentrasi ion H + dalam masing-masing larutan berikut. a. H 2 SO 4 0,02 M b. HNO 3 0,1 M c. CH 3 COOH 0,05 M jika derajat ionisasinya 1% 2. Tentukan konsentrasi ion OH – masing- masing larutan berikut. Ca(OH) 2 0,02 M KOH 0,004 M NH 4 OH 0,01 M jika terion sebanyak 5%
  • 16.
    Jawab: 1. Petunjuk:H2SO4 dan HNO3 merupakan asam kuat, sedangkan CH3COOH dan H2SO3 termasuk asam lemah. a. H 2 SO 4 2 H + + SO 4 2– [H+] = x · [HA] = 2 · 0,02 = 0,04 M b. HNO 3 H + + NO 3 – [H+] = x · [HA] = 1 · 0,1 = 0,2 M
  • 17.
    c. CH 3COOH CH 3 COO – + H + [H+] = [HA] · α = 0,05 · 0,01 = 0,0005 M 2. Petunjuk: Ca(OH) 2 dan KOH merupakan basa kuat, sedangkan NH 3 termasuk basa lemah.
  • 18.
    a. Ca(OH) 2 Ca 2+ + 2 OH – [OH–] = x · [M(OH)] = 2 · 0,02 = 0,04 M b. KOH K + + OH – [OH–] = x · [M(OH)] = 1 · 0,004 = 0,004 M c. NH 4 OH NH 4 + + OH – [OH–] = [M(OH)] · α = 0,01 · 0,05 = 0,0005 M
  • 19.