ORGANISATION STUDY AT MILMA, KOLLAM DAIRY
1
EXECUTIVE SUMMARY
An efficient organisation is essential for the success of a business enterprise. The defining of
duties and fixing responsibilities of all employees in the organisation is essential. An
effective organisation system ensures proper supervision and control. Organisation is the
mechanism which determines the relationship of various persons. With the help of a well
defined management is able to perform the functions of direction, co-ordination and control.
An ill-defined organisation plan will not enable the management to make an effective
exhibition of its managerial talents to realise business goals. An organisational study was
conducted in Milma, Kollam Dairy to know the real functioning of an organisation.
In this study primary and secondary data were the main sources of information. Here the
primary data are collected through an interview method with the managers of the concerned
department. Then interactions with the plant workers were done in order to collect data
regarding the processing of the plant. Secondary data are collected from websites, newspaper,
and magazines.
The main objectives of the study are,
 The study is conducted to familiarise with the functioning of the organisation.
 To know the functions of all departments.
 To know the interrelation of all departments with each other and the Dairy Manager.
The main findings are,
 There is good coordination between the Dairy Manager and the departmental heads.
 Fine interrelationship between all departments leads to proper working.
 The Kollam Milma unit planning to implement thumb punching system for attendance
taking.
 There are certain areas to improve such as to implement R& D department for
producing new products.
ORGANISATION STUDY AT MILMA, KOLLAM DAIRY
2
The main suggestions are,
 Modern equipments are needed especially an alert computerised system.
 The HRD dept should try all efforts to implement the thumb pressing system instead
of punching system without any chances for unrest in the firm.
 Implementation of R & D department is required to make new products or acquiring
know how to produce new products from other Milma units.
The study faces certain limitations they are,
 Majority of the office staff were busy during study conducted, hence less information
was gathered from them.
 All the plant workers and the officers were not met due to different time shifts.
 It was found that some plant workers did not reveal certain information due to fear
from the actions of the management.
The organisation study at Milma was done with an objective to understanding how an
organiastion functions, what are its major departments and functioning of these departments.
The study at Milma provided the opportunity to learn the organiastional goals and objectives,
various department that conduct critical functions and the interrelation between them.
Milma is observed to be an organiastion that not only has an objective of working profitably
but also a socially responsible organiastion that cares of different sections of the society viz ;
the milk producers, and the milk consumers
The organization Milma has established different departments based on functions like
procurement, production, human resource, marketing etc. It ensures quality of product
through established systems which are monitored by quality control department. Finally the
project enabled understanding of an organiastion and its objectives and how they function to
achieve organiastional objectives.
ORGANISATION STUDY AT MILMA, KOLLAM DAIRY
3
INTRODUCTION
1.1 INTRODUCTION TO STUDY
Present business system is very complex. The firm must run efficient to stay in the
competitive world of business. Various jobs are to be performed by persons most to suitable.
Manager who knows how to make effective use of their resources can make any
organisational design or pattern work efficiently. A manager has to create the right conditions
to enable the employees to efficiently utilize the resources of the organisation to achieve
organisational goals. He has to make the employees understand the necessity of cooperation
for accomplishing tasks. Employees should understand their roles and responsibilities and
should work together to achieve the organisational objectives. This applies to any
organisation – business, government, or a football team. For a subordinate to understand his
role, a manager must provide verifiable objectives and a clear picture of the major duties to
be performed. The manager must also specify subordinates „authority and responsibility. This
gives the subordinate idea of what he must do to achieve the goals and objectives of the
organisation. In addition, a manager should provide the subordinates with necessary
information and tools for efficiently performing their roles.
Organising refers to the process of bringing together physical, financial and human
resources and establishing productive relations among them for the achievement of specific
goals. It is concerned with building up a stable framework or structure of various interrelated
parts of an enterprise, each part having its own function and being centrally regulated. The
aim of organising is to enable people to relate to each other and to work together for a
common purpose. The organised group of people in a collective sense are known as
„organisation‟.
An organisational structure shows different classification of the departments and its
employees‟ hierarchy. This also fixes their authority and the type communication with the
superiors, subordinates and their peers. An organisational structure also shows the type of
span of control. It can be narrow or a wide one.
An organisation has to follow certain management process such as planning, organising,
staffing, directing and controlling.
ORGANISATION STUDY AT MILMA, KOLLAM DAIRY
4
Planning is the process of deciding in future the activities to be done .it includes
plans, targets, and so on. Organising is confined with the activity of organising the
requirements of a firm to implement the plans which are formulated. Staffing is another
important process of appointing required employees to particular positions to work as per the
plans of the organisation. To do work as per the plans it needs directions, so directing is
another process. And last to see whether the actual performances of the activities are per the
plans controlling process is done. So if any deviations are there it can be located and reasons
are found out for that and been rectified as per the plans formulated. Such a
situationisprevalent in Milma, KollamDairy. Thus an Organisational Study was conducted
which enables to know the real functioning of an organisation.
1.2 OBJECTIVES
There are two objectives. There are primary and secondary objectives,
Primary objective
The study is conducted to get familiarise with the functioning of the organisation.
Secondary objective
To know the functions of all departments.
To know the interrelation of all departments with each other and the Dairy Manager.
To know the organisational culture.
To know the various academic applications from the practical perspective.
1.3 SCOPE OF THE STUDY
The study enables to know,
 Functioning of Kollam Dairy
 Milk production
 Marketing of Milk products in Kerala
 The diary industry in India, special emphasis given to Kerala market.
ORGANISATION STUDY AT MILMA, KOLLAM DAIRY
5
1.4 RESEARCH METHODOLOGY
Methods of Data Collection
The most integral part of the study was the data collection process. The data consist of
two types. It can be classified as primary data and secondary data.
 Primary Data
Primary data are collected for the first time and are original in character. Here the
primary data are collected through an interview method with the managers of the
concerned department. Then interactions with the plant workers were done in order to
collect data regarding the processing of the plant.
 Secondary Data
Secondary data are those which have already been collected by some other persons
and which are passed through the statistical machines at least once. Data are collected
from websites, newspaper, and magazines.
1.5 LIMITATION OF THE STUDY
1. Majority of the office staff were busy in the time of study conducted, less information
gathered from them.
2. All the plant workers and the officers were not met due to different shifts.
3. It was found that some plant workers did not reveal certain information due to fear
from the actions of the management.
ORGANISATION STUDY AT MILMA, KOLLAM DAIRY
6
INDUSTRY PROFILE
2.1 INTERNATIONAL SCENARIO
The international dairy federation, with its head quarters Brussels, was established in
1903 and consists of 32 member countries throughout the world.
UNICEF has been the motivating force for establishing a dairy industry in many under
developed countries. One of these is in India, where large modern processing plants have
been set up to process locally produced milk or to reconstitute milk from donated or
purchased milk fat and powder. Domestic milk production has increased in India and a part of
the pasteurized milk is provided free to children in the larger cities through UNICEF.
The first co-operative artificial breeding association was organized in Denmark in 1936.
There are now many such associations which helped the diary industries. After 1950s dairy
industries faced a wide range of development throughout the world.
2.2 NATIONAL SCENARIO
Indian dairy sector has come a long way from price independence era of acute milk
shortage and dependent on foreign aid in the form of milk powder to meet the growing milk
demand. As a result of this a dairy co-operative society was registered in 1913 for meeting
this problem. Later Kaira District milk supply union was formed at Anand. It was an
important land mark in the history of the co-operative dairy sector. Inspired by the
achievements of this institution, the Government of Indiaconstituted a National Dairy
Development Board in 1965.
ANAND PATTERN
ANAND is a small village of farmers in Kaira District of Gujarat. ANAND Milk
Union Limited is a Co-operative Society formed by the farmers of Anand Village for the
purpose of distribution of milk. Now the world famous Anand Milk Union Limited is
popularly known as Amul.
The Anand Milk Union Limited has a three tier structure.
1. Village level Primary Co-operative Society called APCOS.
2. District Milk Producers Union.
3. State Level Milk Marketing Federation.
ORGANISATION STUDY AT MILMA, KOLLAM DAIRY
7
NATIONAL DAIRY DEVELOPMENT BOARD
National Dairy Development Board was developed by the Government for the purpose of
organising, planning and executing the dairy development programmes in the country. This
board, with the help of government, got assistance valuing Rs. 120 crores under flood
programmes. Under this scheme financial assistance was provided to various state
governments and other agencies for implementing development scheme.
OPERATION FLOOD
Operation Flood is an important move in the history of dairy development in India. Operating
Flood was conceived and formulated by National Dairy Development Board during the fourth
plan. It aimed at establishing a broad base for acceleration and development of the dairy
industry sponsored by the European economic community through world food programme.
Operation Flood was conducted to meet India‟s rapidly increasing need for milk and milks
product, and making dairy industry capable of viable and self-sustaining growth. The
ideology followed by Operation Flood was the remunerative linking of the rural milk
production centre with the urban demand centre so as to build up a viable dairy industry.
2.3 STATE SCENARIO
Dairy co-operatives were also developed in Kerala as a part of operation flood. Dairy
co-operatives have a three tier structure in Kerala with primary milk supply society at the
base and milk supply union at the district level and a state level federation. This co-operative
society follows the Anand pattern of dairy development scheme. Apart from the state
federation two regional unions were also formed in our state.
2.4 COMPETITORS
Milma holds more than 45% market share, who is the front leader in the market. There are
more than 30 competitors in Kerala against Milma.
Some of other competitors are:
 K.C.A
 A1 Milk
 Ambady
 P.D.DP
 Malanadu
 Nirmalgram
 Surya
 Penta
 Pooja Royal
ORGANISATION STUDY AT MILMA, KOLLAM DAIRY
8
SALES OF KOLLAM MILMA PRODUCTS
MILMA
45%
K.C.A
9%
A1 MILK
7%
OTHERS
39%
KERALA MARKET SHARE OF MILK
PRODUCT CONSUMPTION
Milk 1, 20,000 litres/ day
Ghee 30,000 litres/ monthly
Sambaram 1000 litres/monthly
Curd 2000litres/day
Source: Kerala Co-operative Milk Marketing Federation (KCMMF) Report, 2009-10
Table 2.1
Source: Thiruvananthapuram Regional Co-operative Milk Producers' Union Ltd Report, 2009-10
Figure 2.1
ORGANISATION STUDY AT MILMA, KOLLAM DAIRY
9
2.5REGULATORY FRAMEWORKS
(1) ACTS OF THE GOVERNMENT:
(a)Milk and Milk Products Order
(i) Milk and Milk Products Order, 1992:The production, distribution and supply of
milk products are controlled by the Milk and Milk Products Order, 1992. The
order sets sanitary requirements for dairies, machinery, and premises, and includes
quality control, certification, packing, marking and labeling standards for milk and
milk products.
Standards specified in the order also apply to imported products. The Department
of Animal Husbandry, Dairying and Fisheries at the Ministry of Agriculture is the
regulatory authority.
(ii) Essential Commodities Act, 1955: The main objective of the Act is to regulate
the manufacture, commerce, and distribution of essential commodities, including
food. A number of Control Orders have been promulgated under the provisions of
this Act.
(iii) Standards of Weights and Measures Act, 1976 and the Standards of Weights
and Measures (Packaged Commodities) Rules, 1977: The Act governs sale of
packaged commodities and provides for mandatory registration of all packaged
products in the country.
(iv) Consumer Protection Act, 1986: The Act provides for constitution of District
Forum/State/National Commission for settlement of disputes between the
seller/service provider and the consumer.
(v) The Insecticide Act, 1968: The Act envisages safe use of insecticides so as to
ensure that the leftover chemical residues do not pose any health hazard.
(vi) Export (Quality Control and Inspection) Act, 1963: The Act aims at facilitating
export trade through quality control and inspection before the products are sold to
international buyers.
ORGANISATION STUDY AT MILMA, KOLLAM DAIRY
10
(vii) Environment Protection Act, 1986: This Act incorporates rules for the
manufacture, use, import and storage of hazardous microorganisms / substances /
cells used as foodstuff.
(viii) Pollution Control (Ministry of Environment and Forests): A no-objection
certificate from the respective State Pollution Control Board is essential for all
dairy plants.
(ix) Industrial Licences: No licence is required for setting up a dairy plant in India.
Only a memorandum has to be submitted to the Secretariat for Industrial
Approvals (SIA) and an acknowledgement obtained. However, a certificate of
registration is required under the Milk and Milk Products Order (MMPO), 1992.
(b) Directorate of Marketing and Inspection (DMI):
The DMI enforces the Agricultural Products (Grading and Marketing) Act, 1937.
Under this Act, Grade Standards are prescribed for agricultural and allied
commodities. These are known as "Agmark" Standards. Grading under the provisions
of this Act is voluntary. Manufacturers who comply with standard laid down by DMI
are allowed to use "Agmark" labels on their products.
(c) Management Systems for Quality and Food Safety:
ISO 9000 Quality Management Systems:The ISO 9000 system is looked at as a
system with minimum quality requirements. It builds a baseline system for managing
quality. The focus, therefore, is on designing a total quality management system, one
that complies with external standards, but includes the specific requirement of industry
and integrates elements of competitiveness. Themillennium standard (ISO 9000:2000)
has changed the focus from procedure to process.
(d) ISO 14000 (EMS):
The ISO 14000 family addresses various aspects of environmental management.
The very first two standards, ISO 14001:2004 and ISO 14004:2004 deal with
environmental management systems (EMS). ISO 14001:2004 provides the
requirements for an EMS and ISO 14004:2004 gives general EMS guidelines.
ORGANISATION STUDY AT MILMA, KOLLAM DAIRY
11
(2) AUTHORITIES OF THE GOVERNMENT
NATIONAL DAIRY DEVELOPMENT BOARD
The National Dairy Development Board is an institution of national importance setup by
an Act of Parliament of India. The main office is located in Anand, Gujarat with regional
offices throughout the country. NDDB's subsidiaries include Mother Dairy, Delhi.It was
founded by Dr. VargheseKurien and Dr. Amrita Patel is the current Chairman of the
National Dairy Development Board, Anand.
The National Dairy Development Board (NDDB) was created in 1965, fulfilling the
desire of the then Prime Minister of India - the late LalBahadurShastri - to extend the
success of the Kaira Cooperative Milk Producers' Union (Amul) to other parts of India.
That success combined the wisdom and energy of farmers with professional management
to successfully capture liquid milk and milk product markets while supporting farmer
investment with inputs and services. The major success of this mission was achieved
through the World Bank financed Operation Flood, which lasted for 26 years from 1970
to 1996 and was responsible for making India the world's largest producers of milk. This
operation was started with the objective of increasing milk production, augmenting
farmer income and providing fair prices for consumers.
NDDB has now integrated 96,000 dairy co-operatives in what it calls the Anand Pattern,
linking the village society to the state federations in a three-tier structure.NDDB
launched its Perspective Plan 2010 with four thrust areas: Quality Assurance,
Productivity Enhancement, Institution Building and National Information Network.
(3) CENTRAL AND STATE DEPARTMENTS
Government of India& Government ofKerala
The Phenomenal success of the Dairy Co-operatives in Kerala could not have been
achieved, without the foundation of animal husbandry activities, led by the Animal
Husbandry Department, Dairy Development Department and Kerala Livestock
Development Board, of the Government of Kerala & India.
ORGANISATION STUDY AT MILMA, KOLLAM DAIRY
12
COMPANY PROFILE
3.1 HISTORY
Kerala Co-operative Milk Marketing Federation (KCMMF), popularly called
Milmawas established in April, 1980 with its Head Office at Thiruvananthapuram for the
successful implementation of the Operation Flood (a dairy programme launched in 1970
under the agenceis of National Dairy Development Board(NDDB).
The name Milmarepresents:-
2,702 primary milk co-operative societies
7.78 lakhs farmer members
Three Regional Co-operative Milk Producers' Union
Eleven Dairies capable of handling 9.90 lakhs litres of milk per day.
Thirteen Milk Chilling Centres
Two Cattle Feed Plants with cumulative capacity of 600MT per day
One Milk Powder Plant of 10MT per day capacity
A well established Training Centre
5,200 retail outlets
Over 32,000 people working either directly or indirectly for the functioning of milma
3.2 (a) Mission
The mission of Milma is: “Farmer‟s prosperity through consumer satisfaction.”
3.2 (b)Objectives
To channelize marketable surplus milk from the rural areas to urban deficit areas to
maximize the returns to the producer and provide quality milk and milk products to
the consumers.
To carryout activities for promoting Production, Procurement, Processing and
Marketing of milk and milk products for economic development of the farming
community.
To build up a viable dairy industry in the State.
To provide constant market and stable price to the dairy farmers for their produce.
ORGANISATION STUDY AT MILMA, KOLLAM DAIRY
13
3.3 Strategy
The Motto of Co-operation,"of the people, by the people and for the people" is the foundation
of the "three tier system" followed by the organisation. At the village level Milma have the
Village Milk Co-operative Societies which have the local milk producers as its members.
These Village Co-operatives unite at the Regional level and form Regional Co-operative Milk
Producers' Unions. These Unions are federated at the State level to form State Federation
namely Kerala Co-operative Milk Marketing Federation(KCMMF).
3.4 Associates
Milma is in constant touch with other Organisations in this sector. It is only through this
active exchange that Milma grew from a small dairy co-operative to the position it holds in
Kerala today.
Cheif associates are:-
National Dairy Development Board
NDDB, under Dr. V Kurien's guidance set up KCMMF in 1980. Ever since then,
there has been a very close co-operation between NDDB and the Federation. NDDB
are the originators of the Operation Flood Programme and have been our funding
agent for the Operation Flood Projects in Kerala.
Amul
The Dairy Co-operatives of Gujarat have been the inspiration for the development of
such a vast network of dairy co-operatives in Kerala. Among the co-operatives in
Gujarat, the Kaira District Co-operative Milk Producers' Unions (Amul) is the the first
in this sector. Our Co-operatives are called "Anand Pattern Co-operative Societies"
following the illustrious lineage of "Amul".
Government of Kerala
The Phenomenal success of the Dairy Co-operatives in Kerala could not have been
achieved, without the foundation of animal husbandry activities, led by the Animal
Husbandry Department, Dairy Development Department and Kerala Livestock
Development Board, of the Government of Kerala.
ORGANISATION STUDY AT MILMA, KOLLAM DAIRY
14
FUNCTIONAL AREAS OF MILMA, KOLLAM DAIRY
Kollam Milma Dairy has well established HRD,Financeand Account, Procurement
and Inputs, Production, Quality Control, Marketing, and. Maintenance and Engineering
departments.
Human Resource Development
Milma has 2098 skilled, efficient and qualified personnel and has an excellent labour
relationship
Takes active role in framing personnel policies and service rules
Finalise long term wage settlement, bonus etc.
Placement and career development activities.
Finance and Accounts
Financial management of KCMMF and its units
Liaison with financial institutions for availing loan for creation of infrastructure.
Liaison with Government for availing Government financial assistance
Long term repayment and scheduling of loans
Capital Management Schemes for primary co-operative societies
Recommend remuneration of APCOS employees
Procurement and Inputs
Centralised purchase of Dairy consumables
Purchase of Raw Materials for Cattle Feed Plants
Purchase functions of KCMMF Head Office
Marketing
Brand Management
Bulk trading of surplus products
Co-ordinated promotional activities
Packaging & Product Development
Procurement & Consumer Pricing
Quality Control
Render technical & legal assistance to primary dairy co-operatives and Regional Milk
Unions
Liaison and maintain quality of milk and milk products as per the standards
Liaison with statutory authorities for bringing in suitable amendments in statutes
Attend to consumer complaints on quality problems
ORGANISATION STUDY AT MILMA, KOLLAM DAIRY
15
Projects
Planning and execution of projects for creating infrastructure for Regional Milk
Unions and KCMMF
Providing consultancy for execution of projects
Liaison with statutory authorities like Factories and Boilers, Electrical Inspectorate,
Dept.of Explosives etc for obtaining approval and implementation of projects
Liaisonwith Government for land allocation, water, power and other amenities
Estate management and assistance in maintenance of Plant & Machinery of KCMMF
Units
Computer
Maintenance of Systems at KCMMF, Units and Regional Milk Unions
Conducts Training programs for development of computer skills
3.5 TOP MANAGEMENT
Top Management of Kerala Co-operative Milk Marketing Federation (KCMMF)
The Board of Director of Thiruvananthapuram Regional Co-operative Milk Producers' Union
Ltd (TRCMPU) is headed by the Board of Directors The Present Chairman ofthe Union is
Shri.Kallada Ramesh The Managing Director of the Union is Shri.Baby Joseph
The Board of Director of TRCMPU Ltd. comprise of 14 directors elected from among the
Presidents of affiliated Primary Milk Producer Societies, three Govt. nominees and the
Managing Director as ex-officio member. Board is the Policy making forum of the
Union.Theterm of Board is five years.
BOARD OF DIRECTORS
Shri. Kallada Ramesh Chairman
Shri. K Ayappan Nair Director
Shri. MurthikkavuDivakaran Director
Shri. Girish Kumar Director
Smt. Sreeja S Director
Shri. Venugopalakurrupu Director
Shri. K Rajashekaran Director
Shri. S SadashivanPillai Director
Shri. Gopakumar Director
Shri. Mathew Chammathil Director
Shri. Sebastain Joseph Director-NDDB
Shri. George Joseph Director-KCMMF
Shri. Baby Joseph Director
Table 3.1
Source: Thiruvananthapuram Regional Co-operative Milk Producers' Union Ltd Report, 2009-10
ORGANISATION STUDY AT MILMA, KOLLAM DAIRY
16
3.6 KERALA CO-OPERATIVE MILK MARKETING FEDERATION (KCMMF)
Milma is the trade mark of the Kerala Co-operative Milk Marketing Federation Ltd, which
is the apex Co-op of three regional milk Unions viz. Thiruvananthapuram (TRCMPU),
Ernakulam(ERCMPU) and Malabar (MRCMPU).
Performance of KCMMF
Milestones
Federation and all the three Regional Milk Unions joined hands with NDDB to be a
part of the national stream to promote co-operative brand. In the wake of competition
from private sector, KCMMF and the Regional Milk Unions readily accepted the well
planned Marketing Strategy of NDDB and the mnemonic symbol of NDDB was
introduced in the milk pouches in the State. Kerala is the first federation to adopt the
mnemonic symbol throughout the State.
The year 2007 was a landmark year for milk production in the country,which reached
a new high. At over 100 million tonnes, milk output has breached the magical three-
digit level, making India the world‟s second largest producer, after the European
Union (154 million tonnes) and accounting for nearly 15 per cent of the world
production of 675 million tonnes. The milk prices in India have been rising primarily
because economic growth and demographic pressure have pushed demand higher.
Prices also edged up because of the country‟s entry into the international market for
skimmed milk powder. High milk powder prices led the government to even place an
embargo on its export. Being milk deficit State, the year 2007-08 was a turbulent year
to Kerala and our dependency on other States have increased. With the active co-
ordination and involvement of Regional Milk Unions Milma could get through the
KCMMF LTD
MRCMPUTRCMPU ERCMPU
Source: Kerala Co-operative Milk Marketing Federation (KCMMF) Report, 2009-10
Figure 3.1
ORGANISATION STUDY AT MILMA, KOLLAM DAIRY
17
problems faced by our organization in this front and we could meet the demand for
milk from our esteemed consumers.
27 years ago, we responded to the challenges that threatened dairying in our State by
implementing the Operation Flood program with the active supportand assistance of
the National Dairy Development Board. NDDB guided in taking up us the challenges
with a program that contributed significantly to creating the self-reliant, vibrant dairy
industry that now greatly benefits millions of rural households across the country.
Though, milk price was increased twice during the financial year and we passed on
nearly 70% of the increased consumer rupee to the farmer s, still our members are
struggling to continue in the profession due to spiralling cost of production. We would
believe that what the milk producer seeks to achieve by engaging his time and energy
in milk production is a remunerative price and a stable round the year market. If these
two needs are fulfilled, then the milk producer would continue in dairying and
perhaps, even expand even expand his business,of course within the boundaries of
other constrains.
Increasing the selling price of milk and passing on maximum benefit to the farmers is
not the only solution and in long run we have to look for other ways. The choice of
cost plus approach for milk pricing would breed inefficiencies since it would ignore
the demand factor. Similarly this would be an open invitation for large-scale import of
milk from the less priced neighboring states through other channels and ultimately
work to the determent of the milk producers of our State. So also, we have to
appreciate that soaring prices in a shorter period could adversely affect domestic
consumption as many of the households are in the low-income category.
Healthy growth in milk production can be achieved only through active intervention
in reducing the cost of production at farmer level and sustained investments in animal
feeding, breeding and health care.
A heavy surge in raw material prices for manufacturing of cattle feed has placed us in
a crisis situation as cattle feed plants are running heavy losses. Though we tried to
keep the cattle feed prices at reasonable levels, the increasing cost of raw material
forced us to increase the selling price of cattle feed which in turn resulted in increased
cost of production to our farmer members. The situation with regard to the availability
of raw material needed for cattle feed manufacturing was not at all rosy. The oil cakes
ORGANISATION STUDY AT MILMA, KOLLAM DAIRY
18
are costly and in short supply. Maize is being diverted for the production of ethanol as
bio-fuel due to its better conversion efficiency in the fuel.
Molasses became a scarce material and availability and its price become serious
concern to us. The prices of rice bran have gone up mainly due to ban on export of
rice. Since the ingredient cost is going up regularly, the cost of the compounded feed
is also going up, beyond the reach of a small producer. As the cost of milk production
increases, the margin of profit for the producer decreases. This is quite discouraging
trend, especially for the milk producers who are sometime even forced to quit
dairying as a profession. We feel that it is high time we looked forward for alternative
nutritional technologies, which would help our members to get the nutritional
requirement for their animals. So also efforts to be made by through Government
intervention to cushion the dairy producers against inflation by extending subsidy to
the farmers for purchase of cattle feed at reasonable prices.
Milma acclaimed as the No:1 brand in the State for the 2nd consecutive year in the
survey conducted by Dhanam Magazine which shows the popularity and consumer
belongingness of this household brand.
Aims for the year to come
The dairy industry in the country is exposed to various challenges.The management of
lean-flush periods has always been a matter of major concern to Milma and it still
continues to be a key problem to be addressed on top priority. Milma has to re-
dedicate ourselves to uphold our oft-repeated slogan "Farmers' Prosperity through
Consumer Satisfaction". To keep farmer and consumer contended and happy in
chorus is a difficult task. Milma has to formulate strategies and plans to accomplish
the aforesaid task.Though a quarter century has elapsed since the drawn of Operation
Flood programme we are yet to achieve self-sufficiency in milk production. At the
same time we can be proud of our achievements in the area of infrastructure
development, milk consumption enhancement and economic and social development
of rural dairy farmers.A joint concerted effort of Milma and other Government
agencies in Dairy Development and Animal Husbandry will go a long way in
fulfilling our dreams. We have to strive to wipe off the accumulated losses and to
improve the performance both on the physical and financial fronts. Your trust,your
ORGANISATION STUDY AT MILMA, KOLLAM DAIRY
19
confidence and your encouragement will further energize and motivate us in this
pursuit.
Food crisis is a major threat now faced by the world and being the 2nd largest
populated country we are forced to bear the brunt more than others. Our Government
is giving priority to ensure food security to the citizens.To ensure food security we
have to enhance domestic production of agricultural commodities including dairy
products. This can only be achieved through ensuring remunerative prices to their
produce and encouraging them to produce more milk and other agriculture products.
We have to strengthen the hands of our farmers by enhancing their capability to
produce more and thereby ensure the prosperity of our nation .
The Federation achieved a turnover of Rs. 14128 lakhs in the year 2007-08 as against
Rs.13280 lakhs during previous year.
Turnover of KCMMF (Units wise - Rs.in Lakhs*)
Year Cattle Feed
Plant
Pattanakkadu
Cattle Feed Plant
Malampuzha
Central Products
Dairy, Alappuzha
Total
1996-97 2226.91 1212.65 1333.63 4773.19
1997-98 2069.16 1220.71 1463.66 4753.53
1998-99 3041.71 1903.05 1704.95 6649.71
1999-2000 4419.66 3667.48 2307.53 10394.67
2000-2001 4284.89 3798.49 2778.82 10862.20
2001-2002 4580.42 2922.4 3053.23 10556.05
2002-2003 4691.39 2691.13 2901.08 10283.60
2003-2004 4968.62 3124.79 3020.13 11113.54
2004-2005 4325.24 3885.46 3629.94 11840.64
2005-2006 5135.58 3602.57 4000.85 12739.00
2006-2007 5082.00 3954.00 4244.00 13280.00
2007-2008 4933.08 4738.22 4456.55 14128.00
2008-2009 5644.05 5074.30 5507.38 16186.62
2009-2010 6465.80 6747.92 6150.56 19364.28
Source: Kerala Co-operative Milk Marketing Federation (KCMMF) Report, 2009-10
Table 3.2
ORGANISATION STUDY AT MILMA, KOLLAM DAIRY
20
Turnover & Profits of Milma (2009-10)
TRCMPU ERCMPU MRCMPU KCMMF TOTAL
Turnover / Rs in crores 362.62 231.07 357.45 193.64 1144.78
Net profit/Loss 0.18 2.78 1.21 (-)0.75 3.42
Milk Procurement and Sales of KCMMF
Year Procurement(Liters) Sales(Lakhs)
2000 2249.33 2308.69
2001 2487.11 2412.83
2002 2418.25 2558.59
2003 2179.73 2698.80
2004 2319.70 2841.21
2005 2630.14 3069.51
2006 2921.14 3340.05
2007 2722.90 3497.43
2008 2693.57 3475.22
2009 276.45 3575.91
2010 2729.00 3911.96
Source: Kerala Co-operative Milk Marketing Federation (KCMMF) Report, 2009-10
Table 3.3
Source: Kerala Co-operative Milk Marketing Federation (KCMMF) Report, 2009-10
Table 3.4
ORGANISATION STUDY AT MILMA, KOLLAM DAIRY
21
Organization Profile -TRCMPU Ltd (MILMA)
Organization
Thiruvananthapuram Regional Co-operative Milk Producers' Union Ltd (TRCMPU) was
registered in 1985, as a Regional Milk Union with 4 Southern Districts of Kerala
viz,Thiruvananthapuram, Kollam, Alappuzha and Pathanamthitta as its area of operation.
TRCMPU was formed by dividing the area of operation of Kerala Milk Marketing
Federation, formed for implementing of II project in 1980, in to two viz ERCMPU with 4
northern districts under of II area, and TRCMPU.
Thiruvananthapuram Regional Co-operative Milk Producers‟ Union has completed 25 years
of its operation successfully. It has successfully faced odds like excessive procurement in the
initial stages and consequent losses, stagnation of sales in early 1990‟s and of late shortage of
milk and related problems and consequent loss. With such diverse experience in the past and
the talent pool it has, it can face any adverse environmental problems successfully. In 1985,
Union started operation from the old Thiruvananthapuram Dairy handed over by KLD & MM
Board which was selling milk in Thiruvananthapuram and Kollam districts and having a
capacity of 40,000 LPD. The first Dairy plant under OF II project in TRCMPU area was
commissioned at Kollam with a capacity of 60,000 LPD in 1986. Subsequently Chilling
Plants with capacity of 10,000 LPD each were set up at Mannar and Pathanamthitta. New
Dairy Plant at Alappuzha with a capacity of 60,000 LPD was commissioned in 1989, and
new Dairy Plant with one lakh LPD capacity was commissioned at Thiruvananthapuram in
1992. The Dairy plant at Alappuzha was transferred to KCMMF in 1992 in order to facilitate
operation of Powder Plant set up at Alappuzha for handling surplus milk in the State.
Subsequently capacity of Kollam Dairy was expanded to 1 Lakh LPD and that of
Thiruvananthapuram Dairy to 2 Lakh LPD. The capacities of the Chilling Plants were also
expanded to 30,000 LPD each. A glance at the union‟s procurement and sales over the years
as given below and reveal that Unions procurement and sale has been showing a two digit
growth over the years.
ORGANISATION STUDY AT MILMA, KOLLAM DAIRY
22
Past Performanceof TRCMPU Ltd
YEAR MILK PROCUREMENT(LPD) MILK SALES(LPD)
2000-01 231649 288334
2001-02 273551 298788
2002-03 252521 316425
2003-04 205067 321806
2004-05 206200 354361
2005-06 234280 377579
2006-07 254827 406890
2007-08 230476 402109
2008-09 213085 403073
However the growth in procurement has always been lagging as compared to milk sales.
Union used to have surplus milk in the flush season up to 1996. However the fast growth in
demand thereafter and rapid decline in milk production in the State after 2001, owing to
demographic problems like rapid urbanization, diminishing land holding size, transformation
to nuclear families and reduction in family size, due to reduction in population growth,
attractive price for cash crops, shortage of unskilled labour an offshoot of high literacy rate,
etc. The demand for milk has been growing rapidly since the beginning and even the opening
up of markets in 1991 did not affect this growth much. Unlike the northern districts of the
State, not many competitors ever came to the market. Union in fact had maximum sales
growth during the period 1995-2000. Union has been purchasing milk right from the
beginning from the other two sister Unions and also from outside states mostly Tamil Nadu
till the year 2006.
From 2006 onwards, Unions milk deficit shot up due to rise in demand and drop in
milk procurement and the milk availability in Tamil Nadu also came down and hence Union
was forced to move to Karnataka for meeting its deficit. This reduced availability of milk in
the Southern States resulted in the steep increase in milk price in Karnataka and Union started
Source: Kerala Co-operative Milk Marketing Federation (KCMMF) Report, 2009-10
Table 3.5
ORGANISATION STUDY AT MILMA, KOLLAM DAIRY
23
incurring loss on milk purchased from outside. Side by side the price of skim milk powder
also sky rocketed. The combined effect of these was the heavy loss to union in 2007-08.
Appendix III shows the financial performance of Union since beginning. Unions sales
turnover from products has always been below 10% since beginning, since Union never had
surplus milk after meeting demand for liquid milk.
Vision
To achieve the status of the best union in the country in turnover and profitabilityby
achieving 10-15% growth per annum by accelerating the growth in milk production and sale
of milk and milk products and by diversification into related areas in food sector.
Mission
To become the leading organisation in the food and nutrition sector in the region,
through the attainment of its marketing objectives and to become nucleus of an endeavour for
an accelerated development of the rural economy of the region. Further it would aspire to
function as professional,profitable and socially responsible organisationensuring better returns
to farmers,primary societies as well as its customers by providing good value for their money.
Units of TRCMPU
The Units of TRCMPU are as follows,
1. Thiruvananthapuram Dairy:
Thiruvananthapuram Dairy is Located on the way to Kovalam 4 Km from the City.
The Dairy with a capacity to handle 1 lakh LPD was commissioned in 1992. The Dairy is
selling milk in Thiruvananthapuram District except ChirayinkeezhThaluk.
No. of Employees 287
No. of societies pouring 340
No of agents selling milk 2100
Average procurement 100,000 LPD
Average milk sale 2,10,000 LPD
The Entire Milk is collected through Bulk Milk coolers
ORGANISATION STUDY AT MILMA, KOLLAM DAIRY
24
Thiruvananthapuram Dairy started to collect the entire milk through Bulk Milk Coolers since
November 2009.The capacity of the Dairy has been expanded to 2 Lakh litres per day by
2001 Now it is proposed to expand the capacity to 3 Lakh litres per day. In addition a
separate block for manufacture of Products is proposed to be constructed.
Thiruvananthapuram is the first "ISO 2001" certified Dairy in the State and all steps have
been initiated to get HACCP for Thiruvananthapuram Dairy.
2. KollamDairy:
The Dairy was commissioned in 1986 with a capacity to handle 60,000 litres per day and
subsequently expanded to handle 1 lakh litres per day.
No of employees 226
No of Societies 336
No. of agencies 1080
Average milk collection 50,000 LPD
Average milk sale 120,000 LPD
Quantity processed and supplied to Pathanamthitta unit-45000 lpdAt present 18,000 litres
milk is collected through Bulk Milk Coolers and the remaining quantity in Cans. Presently
the milk marketed in Pathanamthitta district is supplied from Kollam Dairy, in pasteurized,
standardized condition.
3. Pathanamthitta Dairy:
A new dairy plant with 60,000 litre capacity is constructed at Thatta near Adoor in
Pathanamthitta district and is expected to be commissioned by the end of 2009. Presently
there is a 30,000 litres Chilling Plant in the district. Milk is also packed there at present.
These facilities will be decommissioned when the new Dairy Plant is commissioned. Now the
entire milk in the district is being collected through Bulk Milk Coolers.
4. Alappuzha District:
In Alappuzha district, 60,000 Litres per day dairy constructed under O.F II has been
expanded to 1 Lakh litres per day which is managed by KCMMF. Milk Procurement and
marketing activities are carried out by Union. There is also a Chilling Plant with 30,000
Litres capacity in the district.
ORGANISATION STUDY AT MILMA, KOLLAM DAIRY
25
Details of Staff,Senior Officers Head Office, TRCMPU
KOLLAM MANAGEMENT
Dairy Manager Mr. Prasanna Kumar
Human Resource Manager Mr. FiroshMurali
Marketing Manager Mr. Sri.K.Sathyanarayanan
Finance & Accounts Manager Mr. Sri.A.K.Madhusoodanan Nair
Procurement & Input Manager Mr. Joan Lewis
Production Manager Mr. Sri.I.G.Venugopal
Quality Manager Mr. UnniKrishnan V.S
Engineering Manager Mr. C K James
Maintenance Manager Mr. Suresh Chandran K.R
DESIGNATION NAME
Managing Director: Sri.Baby Joseph
Senior Manager (Production): Sri.R.Sudhir
Senior Manager (Inspection): Dr.K.Marthandan
Manager (Maintenance): Sri.K.S.Vijayakumar
Manager (Marketing): Sri.G.Rajesh
Manager (HRD): Sri.K.R.Polachan
Manager (F&A): Sri.G.Krishnalal
Officer I/C(MIS/Systems): Sri.Sarathchandrababu
Assistant MD: Sri.K.K.GopinathanNair
Table3.5
Table3.6
Source: Kerala Co-operative Milk Marketing Federation (KCMMF) Report, 2009-10
Source: Kerala Co-operative Milk Marketing Federation (KCMMF) Report, 2009-10
ORGANISATION STUDY AT MILMA, KOLLAM DAIRY
26
3.7 PRODUCTS PROFILE
Pasteurized Milk
Milma pasteurized vitamin A enriched milk comes in three varieties.
Fat free milk
Toned milk which contains 3.0% fat and 8.5% SNF
Standardised milk which contains 4.5% fat and 9.0% SNF
Conveniently packed in 500 ml and 1 litre sachets, the fat content range of Milma's Milk
has made it the popular health drink of young and old alike.
Sterilized Flavoured Skimmed Milk
Prepared from pasteurized skimmed milk, sweetened with cane sugar and flavoured with
cardamom. It is very tasty in chilled condition and has a keeping quality of 60 days.
Ice-Cream
Milma ice-cream, is available in a range of lip smacking flavours: vanila, chocolate,
mango, strawberry and fruit & nut. In addition, our Ernakulam Union also produces and
distributes delicious "kulfi" and cream rolls.
The only ice-cream in Kerala market which is manufactured in a dairy,and hence most
fresh ice cream.
Sambharam
Sambharam (butter milk) a favourite beverage of Kerala.MilmaSambharam, the only
product of its kind in the market, is very popular throughout the State. It comes in
convenient 200ml throw away sachets.
Curd
It is a fermented product prepared from pasteurized skim milk using Curd Culture from
National Dairy Research Institute (NDRI). It is delicious, tasty, free from cholesterol and
available in 500ml and bulk.
ORGANISATION STUDY AT MILMA, KOLLAM DAIRY
27
Lassi
It is a sweetened and flavoured product prepared from curd. It is available in 200ml pack
and is a very good health drink for all age group.
Ghee
Ghee is a key ingredient in most Indian delicacies. Milma produces good quality, pure
ghee from butter or cream at all dairies. The ghee is available in convenient packs of
100gm to 15Kg.
Butter
Milma Butter prepared from the cream of milk contains 81% fat and less than 15.6%
water.
This is available in convenient 100gm,200gm and 500gm family packs. Available in
salted and unsalted varieties.
TetrapackFlavoured Milk
Milma offers a range of flavored health drinks in hygienic tetra packs. Cardamom milk
has already captured the market and are available at all Milma outlets.
Refresh
In addition to milk drinks,Milma also has a mango drink in the market. Refresh,
Milma'smanago drink is a favorite in the fruit drink sector.
Peda
An indigenous milk product manufactured by evaporating water content from wholesome
cow's milk and sweetened with cane sugar. It is a nutritious and delicious sweet bite for
children. It is available in 25gm and 250gm cartons.
Cream Roll
Mixture of tasty ice-cream and tooty fruity encircled with oven fresh sponge cake. It is a
delicious snack rich in Milma cream.
ORGANISATION STUDY AT MILMA, KOLLAM DAIRY
28
MilmaIze Premium Soda
MilmaIze Premium Soda recently introduced in the market as part of product
diversification.
Milma Chocolates:
(a) Milky Thundr: Wafers coated with black and milk chocolate. The product is sold
at Rs.5
(b) Milky Beats: Milk chocolate bar, available in the market atRs 10.
(c) Choco Beats: Black chocolate bar,available in the market atRs 10.
(d) Milma Krispy: Black chocolate wafer at the price of Rs.5
(e) MilmaChocochat: Small black chocolate bar at the price of Rs.2.
(f) MilmaEclairs: Éclair toffee for Re.1
MilmaPayasam Mix
Full ingridents for making payasam is available as a kit during Onam season.
Cattle Feed
Balanced cattle feed is the major input provided to the dairy farmers of the State from the
Federation.
There is a high level of acceptability for this product in the market. Milma is now
producing 600MT cattle feed a day. It produces both mash and pellet form of cattle feed.
In addition to augment the balanced feed and to support vitamin level in animal, milma
has come out with milma mineral mixture - "MilmaMin". The cattle feed is distributed to
farmers at reasonable rate through Apcos, Dealers and Government agencies.
Adjudged Top Feed Manufacturer of India for manufacture of Aflotoxin-free best quality
cattle feed by Indian Association of Veterinary Pathologists during 1998.
ORGANISATION STUDY AT MILMA, KOLLAM DAIRY
29
ORGANISATION CHART
An organization chart is a diagrammatical form which shows important aspects of an
organization including the major functions and their respective relationships. In other words ,
it is a graphic portrayal of positions in the enterprise and of the formal lines of
communication among them. It provides a bird‟s eye-view of the relationships between
different departments or divisions of an enterprise as well as the relationships between the
executives and subordinates at various levels. It enables each executive and employee to
understand his position in the organization and to know to whom he is accountable. Thus, it is
obvious that an organisation chart has the following characteristics:
1. It is a diagrammatical presentation.
2. It shows principal lines of authority in the organisation.
3. It shows the interplay of various functions and relationships
4. It indicates the channels of communication.
<
An organization chart is merely a type of record showing the formal
orgainsationalrelationalship which management intends should prevail. It is, therefore,
primarily a technique of presentation. It presents diagrammatically the lines of authority and
responsibility among different individuals and positions. It may be either personnel or
functional.
Personnel organization chart depicts the relationship between positions held by different
persons. Functional organization chart depicts the functions or activities of each unit and sub-
unit in the organiastion. Organisation chart helps in the following ways,
1. It shows the employees how their positions fit into the total organisation and how they
relate to others. It shows the lines of authority and responsibility among employees.
2. It serves as a valuable guide to the new personnel in understanding the organisation and
for their training.
ORGANISATION STUDY AT MILMA, KOLLAM DAIRY
30
ORGANISATION STUDY AT MILMA, KOLLAM DAIRY
31
DEPARTMENTS & FUNCTIONS
DEPARTMENTS AND FUNCTIONAL AREA ANALYSIS
Chester I.Barnard defined formal organization as “a system of consciously
coordinated activities or forces of two or more persons”. A formal organization is deliberately
designed to achieve some particular objectives. It refers to the structure of well-defined jobs,
each bearing a definite measure of authority, responsibility and accountability. The structure
is consciously designed to enable the organizational members to work together for
accomplishing common objectives. It tells the employee to do certain things in a specified
manner, to obey orders from designated individuals and to cooperate with others. Co-
ordination also proceeds according to a prescribed pattern in the formal organization
structure.
The formal organization is built around four key pillars, namely:
(i) Division of labour
(ii) Scalar and functional processes
Division of labour and specialization is the basic principle of formal organization. The scalar
and functional processes imply the growth of the organization both vertically and
horizontally. The structure of the organization refers to the overall arrangement in the
organization which ensures proper balance between different parts of the organization and
secures the execution of all operations and the achievement of organization objectives.
The span of control refers to the number of subordinates directly reporting and accountable to
one superior.TheOrganisational Structure of any firm will include the Top Level
Management, who takes the main administrative decisions for the business concern; the
Middle Level Management which is concerned with the day to day management of the
concern; and the Lower Level Management which is concerned with the normal day to day
activities of the concern. Milma follows such a structure for the department and function
areas.
(iii) Structure
(iv) Span of control
ORGANISATION STUDY AT MILMA, KOLLAM DAIRY
32
5.1 HUMAN RESOURCE DEVELOPMENT DEPARTMENT
ORGANISATIONALSTRUCTURE HUMAN RESORCE DEVELOPMENT
Assistant HR Mgr
Assistant Personnel Officer
Junior Superintendent
Senior Assistant
Junior Assistant
Stenographer
Typist
Office General
FUNCTIONS
 Deals with all the matter of employees.
 Recruitment
 Selection
 Tests & interview
 Training
 Performance appraisal
 Grievance redressal
ROLES & RESPONISIBILITIES
(1)Assistant Manager:
Total administration of discipline in the firm.
Communicating between the management and the employees.
Solving the problems regarding employees.
Takes precautionary measures to avoid unrest in the firm.
(2) Assistant Personnel Officer:
Assists the assistant HR manager.
Figure 5.1
ORGANISATION STUDY AT MILMA, KOLLAM DAIRY
33
(3) Junior Superintendent:
Deals with salary matters such as ESI, PF etc
Deals with welfare of the employees
(4) Senior Assistant:
Deals with matters regarding transfers, payments etc
Service matters
(5) Junior Assistant:
Deals with the primary stages of grievance redressal
(6) Stenographer:
Does secretary jobs towards the assistant manager.
(7) Typist:
Does job related to typing the official matters of the firm.
(8) OfficeGeneral:
Does filling works and collecting couriers.
STAFF POLICY
There are 226 employees in Kollam Dairy Milma. It includes 32 employees and rest
areworkers.The members in the organisation formed a welfare society named “Milma
Employees Welfare Organisation”.
A cooperative society is working in the organisation to provide loans to the workers at a
nominal rate of interest. This society gives scholarship and cash award to the children of
employees in the organisation who gets high marks in their studies.
(a)WAGE PAYMENT AND INCENTIVE PLAN
Milma is under time basis wage payment system. Under this method employee is paid on
the basis of time worked.
Milma is giving the following non-financial incentives to the workers.
1. Offers job security.
2. The superior officers take interest on the subordinates.
ORGANISATION STUDY AT MILMA, KOLLAM DAIRY
34
3. Provide more promotion.
4. Provide more training for unskilled and new workers.
5. Facilitate labour welfare and social security measures.
(b) FRINGE BENEFITS
The following are the fringe benefits provided to its workers
i. Leaves
Every employee can take 13 casual leaves in a year
ii. Provident fund and gratuity
The provident fund scheme is followed by the organisation. They also provides
gratuity scheme with the help of General Insurance Company.
(c)OTHER BENEFITS
Each employee of the organisation gets 500ml of milk every day. As per the Bonus
Act of 1948, they are paying bonus to the employees. There is free uniform and
footwear washing facility.
(d) PROMOTION AND TRANSFER POLICY
The policy applies to promotion within workers categories and workmen confirmed in
the permanent service of the federation/unions working of its various units within
Kerala state and at the registered office. Promotions are on the basis of seniority rather
than merit.
<
TRAINING AND DEVELOPMENT
Milmasends their workers to many training institutions in various parts of India. Important
among these institutions is “MANSING INSTITUTE OF TRAINING, GUJARAT”. They
adopt the following techniques like formal lecture, seminar and so on.Milma also gives
apprenticeship training to workers and provides a stipend to them. The training covers areas
in management training as well as operational areas.
ORGANISATION STUDY AT MILMA, KOLLAM DAIRY
35
SELECTION PROCESS
Temporary staff are recruited by the concerned units and permanent staff are recruited by the
head office, in the following process:
1. Inviting application
Federation releases the advertisement in leading news papers showing the vacancy and
quality required by the applicant.
2. Screening the application
The next step is the screening of the application to reduce the number of applicants and
also to find out more suitable candidates.
3. Interview
Next step is the interview conducted by top officials of Milma. Interview is also
conducted by a group of various managers.
4. Final selection
If a candidate overcomes all the procedures given above, he would be selected. An
appointment letter is given to him mentioning the terms of appointment, pay scale etc.The
selected candidate undergoes a probationary period of one year.
DISCIPLINARY PROCEEDINGS
The HRD department is responsible for maintaining discipline in the organisation. At the
Kollam diary, the rules and regulations for office staff and workers are different. Staff
regulations are concerned with the office and standing orders are concerned with workers. If
there is way in disciplinary action arises from a worker standing order will be issued. The
procedure in as follows:
 Written explanation is asked from the concerned workers.
 Domestic enquiry will be conducted either by an efficient advocate or by a top
manager in the dairy.
WORKING HOURS
The office time is from 10.00 am to 5.00 am.The workers work for 8 hours in the dairy.
ORGANISATION STUDY AT MILMA, KOLLAM DAIRY
36
There are 3 shifts:
7.00 a.m to 3.00 pm,
3.00 p.m to 1.00 pm and
11.00 p.m to 7.00 am
TRADE UNION
Trade unions are voluntary associations of workers or employers formed to promote and
protect their interests through collective action. The Trade Unions Act,1926 defines a trade
union as a combination, whether temporary or permanent, formed
(i) Primarily for the purpose of regulating the relation between
(a) between workers and employers
(b) between workers and workers
(c) between employers and employers, or
(ii) For imposing restrictive conditions on the conduct of any trade or business, and
includes any federation of two or more trade unions.
The main trade unions in Kollam Milmaare,
All India Trade Union Congress (AITUC),
Central Industrial Trade Union(CITUC),
andIndian Trade Union congress(INTUC)
PUNCHING SYSTEM
The attendance of the employees is done by punching system. There are discussions going on
for the implementation of finger laser punching system within two months. This system can
automatically can daily attendance and compute the salary of employees. This process
enables achieve accurate salary as well as incentive calculation.
ORGANISATION STUDY AT MILMA, KOLLAM DAIRY
37
5.2. FINANCE AND ACCOUNTS DEPARTMENT
ORGANISATIONAL STRURCTURE OF FINANCE & ACCOUNTS
Assistant Account Officer Computer technician
Superintendent
Senior Assistant
Junior Assistant
Mgt Apprentice
Occasional Apprentice
FUNCTIONS
 Providing financial assistance as per the departmental requirements.
 Keeping the monetary transactions in the book of accounts expect the marketing
department.
 Proceeding requisitions of Milma Kollam unit‟s requirements towards the head
office.
 Finance department also deals with the Systems department.
 Systems department operates with software which is made by KCMMF, Milma
Integrated Information System.
ROLES & RESPONSIBILITIES
(1) AssistantManager:
Deals with the entire functions of the Finance and Systems departments.
Final verification of all financial matters.
Confirms sending the concerned statements to the Dairy Manager.
(2) AssistantAccountOfficer:
Verification of entire accounts
Assistant Mgr
Figure 5.2
ORGANISATION STUDY AT MILMA, KOLLAM DAIRY
38
(3) Superintendent:
Verifies the milk value
Computing the TDS
Preparing the inter units transfers
(4) SeniorAssistant:
Transactions relating to the outside purchases
Transactions relating to the transportations & distributions
Transactions relating to the TA
(5) JuniorAssistant ( Cashier)
Issuing cash payments, especially salaries and wages.
Making advance payments.
(6) Mgt Apprentice:
Issuing cheques
Dealing with the bank matters.
(7) OccasionalApprentice:
Filling
Collecting couriers.
(8) Computertechnician :
Development of softwares to support various functions.
Support Management InformationSystem
Networking
SOURCES OF FINANCE:
LONG TERM: the source of long term finance is only term loans. CPD gets its financial
assistance from National Dairy Development Board (NDDB) through KCMMF. There is an
agreement between the federation and NDDB.
As per the agreement between them 70% of the loan amount should be repayable and the
remaining 30% subsidy.
SHORT TERM: the source of short term fund is procured from the Canara Bank at the
prevailing interest rates. It is mainly in terms of overdraft.
ORGANISATION STUDY AT MILMA, KOLLAM DAIRY
39
MODES OF PAYMENT
HRD dept prepares the payment for employees and sends to the Finance dept. Payments are
made in two ways, through direct cash which is paid in the finance dept and other through in
bank i.e., in the Canara Bank. Overtime payment is not paid in cash but paid in bank. The
following are different modes of payments at certain situations.
CASH PURCHASE: Makes payment within 10 days made to society‟s milk purchase.
CREDIT PURCHASE: 15 days get as credit period for film (plastic cover pack) purchase.
ADVANCE PAYMENT: Advance payment is needed for purchase of skimmed milk.
DEPRECIATION
The depreciation pattern maintained as per the Income Tax Schedule. Every year the firm
prepares provision of depreciation.
The following are the depreciation rates for the concerned assets.
Building 5%
Factory building 5%
Plant & Machinery 30%
Vehicles 20%
Furniture 15%
AUDITING PROCESS
The dairy has statutory auditing, which is done by the registrar of the cooperative society. For
the purpose a representative is appointed in the dairy as their concurrent auditor.
PROFIT SHARING: The profit earned is given to the farmers as per the quantity and quality
of milk they supplied to the concerned society. Further the dividend is paid to the shareholders.
STATEMENTS & LEDGERS
(a) Journal
(b) Ledgers
(c) Sub ledgers
(d) P& L a/c
(e)Balance sheet(yearly maintained)
(f) Trail balance
(g) Bank reconciliation
(h)Budget
ORGANISATION STUDY AT MILMA, KOLLAM DAIRY
40
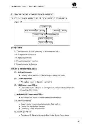
5.3.PROCUREMENT AND INPUTS DEPARTMENT
ORGANISATIONAL STRUCTURE OF PROCUREMENT AND INPUTS
Assistant Mgr
Milk Procurement Officer Veterinary Officer
Assistant Milk Procurement Officer
Senior Supervisors
Junior Supervisors
 This department deals in procuring milk from the societies.
 Calling tenders of vehicles
 Scheduling of routes
 Providing veterinary services.
 Providing cattle feed supply
ROLES & RESPONSIBILITIES
(1) AssistantManager:
Ensuring all the activities is performing according the plans.
(2) VeterinaryOfficer:
All medical issues of the cattle are treated.
(3) MilkProcurementOfficer:
Entrusted with the activities of calling tenders and quotations of vehicles.
Scheduling of the routes.
(4) AssistantMilkProcurementOfficer:
Assisting in the works of the Milk Procurement Officer
(5) SeniorSupervisors:
Deals with the extension activities in the field such as ,
Finding the needs of the farmers.
Conducting camps and seminars
(6) JuniorSupervisors:
Assisting with the activities carried out by the Senior Supervisors.
Figure 5.3
FUNCTIONS
ORGANISATION STUDY AT MILMA, KOLLAM DAIRY
41
PROCURING: Procures milk from the societies through tendered trucks and reaches to the
plant. Kollam Milma has 11 regular routes and 11 emergency routes.Milk collection route
contract is awarded annually by collecting competitive offers.
Union is going for quality improvement of raw milk by installing milk coolers in Societies.
At present 41 Nos of coolers are in operation.
Government of India is financing 75% cost for installing coolers. Rs.10 crores has already
been sanctioned for this. Union will meet all expenditure for operating the coolers in
Societies.
VETERINARY SERVICES: This service is extended to the farmers irrespective to the cost
involved for its operation.
INPUT WING:Input wing is responsible for health care, insurance, genetic up gradation,
nutrition, and production enhancement.
PROCUREMENT PROCESS OF MILK FROM FARMERS
FARMERS
SOCIETY
TANKERS
MILMA
Figure 5.4
ORGANISATION STUDY AT MILMA, KOLLAM DAIRY
42
5.4. PRODUCTION DEPARTMENT
ORGANISATIONAL STRUCTURE OF PRODUCTION
 Involved with the processing of milk.Production of curd, buttermilk and ghee.
 Procures raw materials.
 Procures milk from outside state in the times of scarcity.
 Makes payments for the milk powder.
ROLES & RESPONSIBILITIES
(1) ProductionManager:
Controls the entire production function of the plant.
Hears the grievances of plant employees if any.
Informs the Dairy Manager about the production status.
(2) AssistantProductionManager:
Assists the Production Manager in his work.
(3) TechnicalOfficer
Scheduling of the plant activity.
(4) TechnicalSupervisor:
Implementation of plans.
Ensures that the milk tankers arrive as per the schedule.
(5) Operators :
Operates the plant machines
(6) Workmen:
Involves in the production process.
Figure 5.5
FUNCTIONS
ORGANISATION STUDY AT MILMA, KOLLAM DAIRY
43
THE PRODUCTION PROCESS
Test for acidity
Coliform
Curd ,Samabharam
Skim Milk
Ghee
Raw Milk at diary
Chilling to <10
c
Processing
Standardisation&Testing
Packing &Cold storage
Distribution
Processing
Dispatching to agents
To control growth of bacteria
rawmilk is chilled. Plant either
diary tested for fat, SNF, Acidity,
MBRT, Temperature.
Societies Milk producers
(APCOS)Raw milk is accepted based
on
 Organologistic evaluation
 Testing for fat on SNF
 Acidity
 MRTP test for bacterial load
 SPC
Heating milk to a minimum
temperature of 72 holding for
15 and cooling to less than 5
.This will destroyall
pathogenic living beings.
Fat 3.05% SNF 8.5%
Filled only after ensuring
quality standards.
At dispatch dock sachet tested for
MBRT, SFN and coliform.
Market sample tested for
MBRT, SNF and coliform.
Figure 5. 6
Source: Kerala Co-operative Milk Marketing Federation (KCMMF) Report, 2009-10
ORGANISATION STUDY AT MILMA, KOLLAM DAIRY
44
5.5. QUALITY CONTROL
ORGANISATIONAL STRUCTURE OF QUALITY CONTROL
FUNCTIONS
 Taking samples at every stages of milk processing and of other milk products.
 Timely testing the quality of milk and other milk products.
 Maintains to keep the standard.
ROLES & RESPONSIBILITIES
(1) Manager:
Management representative of ISO 9001 standard.
Ensures the quality is maintained.
Ensures that subordinates do the quality testing in time.
(2) Qualitycontrolofficer:
Management representative of AGMARK standards.
Does mainly quality testing of AGMARK products such as ghee.
Sees whether the milk has required quality.
Similarly this is done in the other milk products also.
Does quality analysis and records the results
Taking periodic statements
(3) Chemist / Bacteriologist:
Does the entire required tests for knowing the quality.
Figure 5.7
ORGANISATION STUDY AT MILMA, KOLLAM DAIRY
45
(4) Lab Technician Grade 1:
Assists in the chemist in conducting tests.
(5) Lab Technician Grade 2:
Collects the required samples at every stages of processing.
TYPES OF TESTS
The important tests in quality control are given below.
1. At chilling centre
a. Organoleptic test
b. Temperature
c. Clot On Boiling (COB)
d. Acidity (as lactic acid)
e. Fat %
f. SNF % (Solid Non Fat%)
Periods of quality testing:
1. When milk is received at the plant its appearance and smell is first is checked.
2. Then sample is taken at RMRD (Raw Milk Reception Dock) and tested to know the
fat content in order fix price for the concerned society which supplied the milk.
3. Sample is taken at the processing stage of milk to know temperature of the milk.
4. Later sample milk is taken from the processed milk tank to know the fat and acidity.
5. Sample is taken from filled packets.
6. Similarly this is done in cold storage.
7. Sample is taken at despatching of milk packets.
8. Five packets are taken as samples in a month to know whether the quality is
maintained.
2. At village co-operative society
a. Organoleptic tests
b. Fat%
c. SNF% (Solid Non Fat %)
ORGANISATION STUDY AT MILMA, KOLLAM DAIRY
46
PESERVATION OF MILK: Processed of milk does not need preservatives. After the milk is
chilled and pasteurized. Hence milk does not get spoiled. The milk stays good for two days
under refrigeration conditions.
PRODUCTS FAT % SNF % TOTAL ACIDITY% PHOSPHATE MBRT
TONNED MILK 3.0 8.5 - 0.13-0.15 -VE 5hrs
MILMA RICH PLUS 3.8 10.0 - 0.15-.18 -VE 5hrs
CURD 0.5
(max)
10.5 - 0.8-1.3 NA N A
SAMBHARAM 0.5(max) - 4.0-6.0 0.4-0.7 NA NA
COMPOSITION OF MILK
Main constituent Range (%)
Water 85.5 – 89.5
Total solids 10.5 – 14.5
Fat 2.5 – 6.0
Proteins 2.9 – 5.0
Lactose 3.6 – 5.5
Minerals 0.6 – 0.9
SPECIFICATIONS (MINIMUM) AS PER PFA AND MILMA REQUIMENTS
SPECIFICATION FOR GHEE-AGMARK REQUIREMENTS
PRODUCT
MOISTURE % FREE FATTY ACID %
GHEE (special grade)
0.3 5.2(max)
Table 5.1
Table 5. 3
Source: Kerala Co-operative Milk Marketing Federation (KCMMF) Report, 2009-10
Source: Kerala Co-operative Milk Marketing Federation (KCMMF) Report , 2009-10
Source: Kerala Co-operative Milk Marketing Federation (KCMMF) Report, 2009-10
Table 5. 2
ORGANISATION STUDY AT MILMA, KOLLAM DAIRY
47
5.6. MARKETINGDEPARTMENT
ORGANISATIONAL STRUCTURE OF MARKETING
FUNCTIONS
 Sales of milk and other milk products.
 Distribution of the products.
 Collecting the payments from the agents
 Finding the potential markets.
 Doing promotional activities.
ROLES & RESPONISIBILITIES
(1) Marketing Manager:
Coordination of all marketing activities
(2) Marketing Officer:
Marketing activities of milk
(3) AssistantMarketing Officer:
Marketing activities of all Milma products including products which arenot
produced in Kollam unit.
(4) Marketing Organisers:
Dealing with the customer complaints
Agency promotion
Finding potential markets
Canvassing
Figure 5.8
ORGANISATION STUDY AT MILMA, KOLLAM DAIRY
48
(5) Marketing Assistants:
Cash collection of agents (CASH BOX system)
Milk despatch activities
(6) Junior Assistant:
Keeping marketing accounts
Issuing invoices
MIS
(7) Salesmen:
Selling process is done in the stall, where located outside Milma unit.
Maintaining inventories in the stores.
PRICING
The prices products of Milma are fixed in the head office. Cost plus profit pricing strategy is
used.
PROMOTION
There is less promotional activities from the firm. Usage of posters, calendars bill boards etc
are certain tools used in the promotions activities. Advertisements are used only when the
offers are provided.
DISTRIBUTION
Milk is distributed directly only through retailers i.e. no wholesalers is included. While other
products are provided to wholesalers as well as retailers. Advance payment is to be made for
milk sales by the agents. Nearly 1800 agents are functioning in Kollam. 4% commission is
fixed on the milkat minimum retail price.
MARKETSHARE
Milma milk has a market share of approximately 45% and is leading in the market. But in the
case of other products they are just meeting the targets set by the head office. So there is
relatively small market share for the milk products of Milma.
SALES OF PRODUCTS IN MILMA, KOLLAM DAIRY
SL.NO PRODUCTS SALES
1 Milk 1, 20,000 litres/ day
2 Ghee 30,000 litres/ monthly
3 Sambaram 1000 litres/monthly
4 Curd 2000 litres/day
Table 5. 4
Source:Thiruvananthapuram Regional Co-operative Milk Producers' Union Ltd Report, 2009-10
ORGANISATION STUDY AT MILMA, KOLLAM DAIRY
49
5.7. MAINTENANCE AND ENGINEERING DEPARTMENT
ORGANISATIONAL STRUCTURE OF MAINTENANCE AND ENGINEERING
Assistant Mgr
Deputy Engineers
Technical Superintendent
Senior Assistant
Operators and
Technicians
FUNCTIONS
 Maintaining the proper functioning of the plant and its machines.
 Purchasing the materials for packing of the products,
 Purchasing the materials which are required for the machines.
ROLES & RESPONSIBLITIES
(1) Assistant Manager:
Coordinating all the activities of the department
(2) Deputy Engineers:
Maintains the plant and machinery
(3) TechnicalSuperintendent:
Assists the deputy engineers
(4) Senior Assistant:
Making computer entries
Placing purchase orders
Takes statements
(5) Operators&Technicians:
Here various activities are carried out by the following workers as per their
designation.
Technicians (operators cum repairers)
Electricians
Figure 5.9
Refrigerator operator
General mechanic
DriverBoiler operators
ORGANISATION STUDY AT MILMA, KOLLAM DAIRY
50
SWOT ANALYSIS
6.1 SWOT ANALYSIS
SWOT analysis is a strategic planning method used to evaluate the Strengths,
Weaknesses, Opportunities, and Threats involved in a project or in a business venture. It
involves specifying the objective of the business venture or project and identifying the
internal and external factors that are favourable and unfavourable to achieve that objective.
The technique is credited to Albert Humphrey, who led a convention at Stanford University
in the 1960s and 1970s using data from Fortune 500 companies.
A SWOT analysis must first start with defining a desired end state or objective. A SWOT
analysis may be incorporated into the strategic planning model. Strategic Planning has been
the subject of much research.
 Strengths: characteristics of the business or team that give it an advantage over others in
the industry.
 Weaknesses: are characteristics that place the firm at a disadvantage relative to others.
 Opportunities: external chances to make greater sales or profits in the environment.
 Threats: external elements in the environment that could cause trouble for the business.
Identification of SWOTs is essential because subsequent steps in the process of planning for
achievement of the selected objective may be derived from the SWOTs.
First, the decision makers have to determine whether the objective is attainable, given the
SWOTs. If the objective is not attainable a different objective must be selected and the
process repeated.
The SWOT analysis is often used in academia to highlight and identify strengths,
weaknesses, opportunities and threats.
It is particularly helpful in identifying areas for
development.
ORGANISATION STUDY AT MILMA, KOLLAM DAIRY
51
STRENGTH
 Good brand name in the Kerala dairy
market.
 Kollam Milma holds the major market
share in Kollam dairy market, especially
milk.
 Meets the market demand appropriately.
 There is good coordination between the
Manager and the departmental heads.
 There is good interrelationship between all
departments.
 There is active customer complaint cell.
 There are great number of employees
benefits schemes.
 Eco-friendly plant.
 Strike free campus.
 Strict disciplinary actions and quick
grievance redressal are taken.
 Ensures timely quality testing of milk
andother related products.
 Maintains quality standards such as ISO.
WEAKNESS
 Faces milk shortage.
 Outdated machines plant.
 Plant is not fully automated.
 No computerised warning system in
plant for detecting problems.
 The Kollam Milma unit cannot take
independent decisions on major
situations since head office is the prime
authority.
 Just meeting the demands of the market
rather creating more demand.
 There is no R&D department.
 No recreational activities for the
workers.
OPPORTUNITIES
 More scope to procure milk from other
states, which is not much expensive plus
ensures good quality.
 Good scope for capturing huge market
share in the milk products category.
 More opportunities to create demand in
rural areas.
THREATS
 Faces milk shortage within the state.
 Government‟s decisions regarding
procuring milk from Tamil Nadu may
result in loss making due to high price.
 New competitor, Thripthi may reduce
market share.
 Customers preferring other brands‟
milk products.
ORGANISATION STUDY AT MILMA, KOLLAM DAIRY
52
STRENGTHS
Milma is one of the first organizations to enter into the Kerala milk market through the
introduction of packed milk. The large acceptance of packed milk of Milmaamong customers
made the Milma successful. This gradually created Milma as trust worthy one. All these lead
to capture 45% of the market share. Kollam Milma Dairy is successful in delivering quality
milk products in time to its dealers and customers, so customer always rely on Milma
products. Strength of Milma is its employees. They are provided with various incentives and
benefit schemes.
WEAKNESS
Milma‟s plant is not modernized one, so there is less computerized works. There is lack of
R&D works in the organiastion, which is very essential for surviving in the business. Even
though the employees have various incentives and schemes, it does not have recreational
activities. Independent Milma units are able take their own decisions on major issues, since
top management involves in it.
OPPORTUNITIES
Since Milma has good name among the customers it can introduce new milk products. The
market share of Milma can be increased through creating more demand in rural areas. The
sale of chocolates can be increased by effective promotion activities in the urban areas.
THREATS
Facing milk shortage within the state is a serious issue. Customers prefer other brand‟s milk
product is another issue. Very soon government supported milk organiastion,Thripthi would
be a big competitor to capture the major market share.
SWOT analysis of this organiastion shows its strengths as well as its weakness. This
may enable the company to improve its prevailing methods of production. The firm can make
significant results by implementing good business strategies, which may retain and increase
the market share of Milma.
ORGANISATION STUDY AT MILMA, KOLLAM DAIRY
53
FINDINGS, SUGGESTIONS & CONCLUSIONS
7.1 FINDINGS
The following are the findings:
1. The Kollam Milma unit cannot take independent decisions on major situations since
head office is the prime authority.
2. The plant lacks modern machines which are required to produce efficiently.
3. There is no computerised alert system to detect problems in the plant.
4. The firm planning to implement finger pressing system at the entry gate.
5. The incoming of the trays into the plant found to be slow, which may result in
delaying of packing the packed milk.
6. There is no scope for developing of new products.
7. It was found that the firm just meet the required demands rather than creating
demand. This was seen in the milk products especially sambharam.
8. There are no recreational activities for the workers.
9. The study revealed that Kollam Milma unit faces milk shortage within the state.
10. In a day around 100 packets of milk are being torn due to improper packing, storing in
old and bad conditioned trays.
7.2 SUGGESTIONS
The following suggestions may help the firm to gain good results,
1. Implementation of modern equipments is needed to produce efficiently.
2. Implementation of a computerised alert system may help to detect problems quickly.
3. An aggressive promotion of products is needed from the marketing department.
4. The HRD dept should try all efforts to implement the finger punching impressing
system instead of punching system without any chances for unrest in the firm.
5. The Engineering dept should try to maintain proper working of the plant in certain
areas which are not given much importance, especially the breakdown of the conveyor
for bringing the trays from outside.
6. There are certain areas to improve such as to implement R& D department for
producing new products.
ORGANISATION STUDY AT MILMA, KOLLAM DAIRY
54
7. More production and promotion of Sambharam may increase the market in the
Sabarimala season.
8. The firm may make policy to establish recreational activities for the workers.
9. The Kollam unit may try to procure milk from other states which incur less cost and
provide good quality.
10. Proper packing of milk packets is essentially needed as well as good trays are needed
for storing it.
7.3 CONCLUSION
The organisation study at Milma was done with an objective to understanding how an
organiastion functions, what are its major departments and functioning of these departments.
The study at Milma provided the opportunity to learn the organiastional goals and objectives,
various department that conduct critical functions and the interrelation between them.
Milma is observed to be an organiastion that not only has an objective of working
profitably but also a socially responsible organiastion that cares of different sections of the
society viz ; the milk producers, and the milk consumers.
The organiastion, Milma has established different departments based on functions like
procurement, production, human resource, marketing etc. It ensures quality of product
through established systems which are monitored by quality control department. Finally the
project enabled understanding of an organiastion and its objectives and how they function to
achieve organiastional objectives.
ORGANISATION STUDY AT MILMA, KOLLAM DAIRY
55
BIBLIOGRAPHY
1. Koontz, Harold, Weihrich,Heinz, (2008); “Essentials of Principles of Management”.
New Delhi: TataMc-Graw – Hill.
2. Chabara,T.N,2008,“Principles & Practices of Management”: DhanpatRai& Co
3. Aswathappa,K.,2009, “Human Resource Management” New Delhi: Tata McGraw
Hill Education Private Limited
4. Kotler, Philip, Armstrong, Gary,2006, “Principles of Marketing”. New Delhi: Pearson
Education
WEBSITES
1. Retrieved November 16, 2010, from http://www.milmatrcmpu.com/organisation.jsp
2. Retrieved November 18, 2010, from http://www.amul.com/organisation.html
3. Retrieved November 19, 2010, fromhttp://www.indiaagronet.com/indiaagronet/
agronet_home/agrinethome.html
4. Retrieved November 21, 2010, fromhttp://en.wikipedia.org/wiki/Kerala_Co-
operative_Milk_Marketing_Federation

73347633 milma-os

  • 1.
    ORGANISATION STUDY ATMILMA, KOLLAM DAIRY 1 EXECUTIVE SUMMARY An efficient organisation is essential for the success of a business enterprise. The defining of duties and fixing responsibilities of all employees in the organisation is essential. An effective organisation system ensures proper supervision and control. Organisation is the mechanism which determines the relationship of various persons. With the help of a well defined management is able to perform the functions of direction, co-ordination and control. An ill-defined organisation plan will not enable the management to make an effective exhibition of its managerial talents to realise business goals. An organisational study was conducted in Milma, Kollam Dairy to know the real functioning of an organisation. In this study primary and secondary data were the main sources of information. Here the primary data are collected through an interview method with the managers of the concerned department. Then interactions with the plant workers were done in order to collect data regarding the processing of the plant. Secondary data are collected from websites, newspaper, and magazines. The main objectives of the study are,  The study is conducted to familiarise with the functioning of the organisation.  To know the functions of all departments.  To know the interrelation of all departments with each other and the Dairy Manager. The main findings are,  There is good coordination between the Dairy Manager and the departmental heads.  Fine interrelationship between all departments leads to proper working.  The Kollam Milma unit planning to implement thumb punching system for attendance taking.  There are certain areas to improve such as to implement R& D department for producing new products.
  • 2.
    ORGANISATION STUDY ATMILMA, KOLLAM DAIRY 2 The main suggestions are,  Modern equipments are needed especially an alert computerised system.  The HRD dept should try all efforts to implement the thumb pressing system instead of punching system without any chances for unrest in the firm.  Implementation of R & D department is required to make new products or acquiring know how to produce new products from other Milma units. The study faces certain limitations they are,  Majority of the office staff were busy during study conducted, hence less information was gathered from them.  All the plant workers and the officers were not met due to different time shifts.  It was found that some plant workers did not reveal certain information due to fear from the actions of the management. The organisation study at Milma was done with an objective to understanding how an organiastion functions, what are its major departments and functioning of these departments. The study at Milma provided the opportunity to learn the organiastional goals and objectives, various department that conduct critical functions and the interrelation between them. Milma is observed to be an organiastion that not only has an objective of working profitably but also a socially responsible organiastion that cares of different sections of the society viz ; the milk producers, and the milk consumers The organization Milma has established different departments based on functions like procurement, production, human resource, marketing etc. It ensures quality of product through established systems which are monitored by quality control department. Finally the project enabled understanding of an organiastion and its objectives and how they function to achieve organiastional objectives.
  • 3.
    ORGANISATION STUDY ATMILMA, KOLLAM DAIRY 3 INTRODUCTION 1.1 INTRODUCTION TO STUDY Present business system is very complex. The firm must run efficient to stay in the competitive world of business. Various jobs are to be performed by persons most to suitable. Manager who knows how to make effective use of their resources can make any organisational design or pattern work efficiently. A manager has to create the right conditions to enable the employees to efficiently utilize the resources of the organisation to achieve organisational goals. He has to make the employees understand the necessity of cooperation for accomplishing tasks. Employees should understand their roles and responsibilities and should work together to achieve the organisational objectives. This applies to any organisation – business, government, or a football team. For a subordinate to understand his role, a manager must provide verifiable objectives and a clear picture of the major duties to be performed. The manager must also specify subordinates „authority and responsibility. This gives the subordinate idea of what he must do to achieve the goals and objectives of the organisation. In addition, a manager should provide the subordinates with necessary information and tools for efficiently performing their roles. Organising refers to the process of bringing together physical, financial and human resources and establishing productive relations among them for the achievement of specific goals. It is concerned with building up a stable framework or structure of various interrelated parts of an enterprise, each part having its own function and being centrally regulated. The aim of organising is to enable people to relate to each other and to work together for a common purpose. The organised group of people in a collective sense are known as „organisation‟. An organisational structure shows different classification of the departments and its employees‟ hierarchy. This also fixes their authority and the type communication with the superiors, subordinates and their peers. An organisational structure also shows the type of span of control. It can be narrow or a wide one. An organisation has to follow certain management process such as planning, organising, staffing, directing and controlling.
  • 4.
    ORGANISATION STUDY ATMILMA, KOLLAM DAIRY 4 Planning is the process of deciding in future the activities to be done .it includes plans, targets, and so on. Organising is confined with the activity of organising the requirements of a firm to implement the plans which are formulated. Staffing is another important process of appointing required employees to particular positions to work as per the plans of the organisation. To do work as per the plans it needs directions, so directing is another process. And last to see whether the actual performances of the activities are per the plans controlling process is done. So if any deviations are there it can be located and reasons are found out for that and been rectified as per the plans formulated. Such a situationisprevalent in Milma, KollamDairy. Thus an Organisational Study was conducted which enables to know the real functioning of an organisation. 1.2 OBJECTIVES There are two objectives. There are primary and secondary objectives, Primary objective The study is conducted to get familiarise with the functioning of the organisation. Secondary objective To know the functions of all departments. To know the interrelation of all departments with each other and the Dairy Manager. To know the organisational culture. To know the various academic applications from the practical perspective. 1.3 SCOPE OF THE STUDY The study enables to know,  Functioning of Kollam Dairy  Milk production  Marketing of Milk products in Kerala  The diary industry in India, special emphasis given to Kerala market.
  • 5.
    ORGANISATION STUDY ATMILMA, KOLLAM DAIRY 5 1.4 RESEARCH METHODOLOGY Methods of Data Collection The most integral part of the study was the data collection process. The data consist of two types. It can be classified as primary data and secondary data.  Primary Data Primary data are collected for the first time and are original in character. Here the primary data are collected through an interview method with the managers of the concerned department. Then interactions with the plant workers were done in order to collect data regarding the processing of the plant.  Secondary Data Secondary data are those which have already been collected by some other persons and which are passed through the statistical machines at least once. Data are collected from websites, newspaper, and magazines. 1.5 LIMITATION OF THE STUDY 1. Majority of the office staff were busy in the time of study conducted, less information gathered from them. 2. All the plant workers and the officers were not met due to different shifts. 3. It was found that some plant workers did not reveal certain information due to fear from the actions of the management.
  • 6.
    ORGANISATION STUDY ATMILMA, KOLLAM DAIRY 6 INDUSTRY PROFILE 2.1 INTERNATIONAL SCENARIO The international dairy federation, with its head quarters Brussels, was established in 1903 and consists of 32 member countries throughout the world. UNICEF has been the motivating force for establishing a dairy industry in many under developed countries. One of these is in India, where large modern processing plants have been set up to process locally produced milk or to reconstitute milk from donated or purchased milk fat and powder. Domestic milk production has increased in India and a part of the pasteurized milk is provided free to children in the larger cities through UNICEF. The first co-operative artificial breeding association was organized in Denmark in 1936. There are now many such associations which helped the diary industries. After 1950s dairy industries faced a wide range of development throughout the world. 2.2 NATIONAL SCENARIO Indian dairy sector has come a long way from price independence era of acute milk shortage and dependent on foreign aid in the form of milk powder to meet the growing milk demand. As a result of this a dairy co-operative society was registered in 1913 for meeting this problem. Later Kaira District milk supply union was formed at Anand. It was an important land mark in the history of the co-operative dairy sector. Inspired by the achievements of this institution, the Government of Indiaconstituted a National Dairy Development Board in 1965. ANAND PATTERN ANAND is a small village of farmers in Kaira District of Gujarat. ANAND Milk Union Limited is a Co-operative Society formed by the farmers of Anand Village for the purpose of distribution of milk. Now the world famous Anand Milk Union Limited is popularly known as Amul. The Anand Milk Union Limited has a three tier structure. 1. Village level Primary Co-operative Society called APCOS. 2. District Milk Producers Union. 3. State Level Milk Marketing Federation.
  • 7.
    ORGANISATION STUDY ATMILMA, KOLLAM DAIRY 7 NATIONAL DAIRY DEVELOPMENT BOARD National Dairy Development Board was developed by the Government for the purpose of organising, planning and executing the dairy development programmes in the country. This board, with the help of government, got assistance valuing Rs. 120 crores under flood programmes. Under this scheme financial assistance was provided to various state governments and other agencies for implementing development scheme. OPERATION FLOOD Operation Flood is an important move in the history of dairy development in India. Operating Flood was conceived and formulated by National Dairy Development Board during the fourth plan. It aimed at establishing a broad base for acceleration and development of the dairy industry sponsored by the European economic community through world food programme. Operation Flood was conducted to meet India‟s rapidly increasing need for milk and milks product, and making dairy industry capable of viable and self-sustaining growth. The ideology followed by Operation Flood was the remunerative linking of the rural milk production centre with the urban demand centre so as to build up a viable dairy industry. 2.3 STATE SCENARIO Dairy co-operatives were also developed in Kerala as a part of operation flood. Dairy co-operatives have a three tier structure in Kerala with primary milk supply society at the base and milk supply union at the district level and a state level federation. This co-operative society follows the Anand pattern of dairy development scheme. Apart from the state federation two regional unions were also formed in our state. 2.4 COMPETITORS Milma holds more than 45% market share, who is the front leader in the market. There are more than 30 competitors in Kerala against Milma. Some of other competitors are:  K.C.A  A1 Milk  Ambady  P.D.DP  Malanadu  Nirmalgram  Surya  Penta  Pooja Royal
  • 8.
    ORGANISATION STUDY ATMILMA, KOLLAM DAIRY 8 SALES OF KOLLAM MILMA PRODUCTS MILMA 45% K.C.A 9% A1 MILK 7% OTHERS 39% KERALA MARKET SHARE OF MILK PRODUCT CONSUMPTION Milk 1, 20,000 litres/ day Ghee 30,000 litres/ monthly Sambaram 1000 litres/monthly Curd 2000litres/day Source: Kerala Co-operative Milk Marketing Federation (KCMMF) Report, 2009-10 Table 2.1 Source: Thiruvananthapuram Regional Co-operative Milk Producers' Union Ltd Report, 2009-10 Figure 2.1
  • 9.
    ORGANISATION STUDY ATMILMA, KOLLAM DAIRY 9 2.5REGULATORY FRAMEWORKS (1) ACTS OF THE GOVERNMENT: (a)Milk and Milk Products Order (i) Milk and Milk Products Order, 1992:The production, distribution and supply of milk products are controlled by the Milk and Milk Products Order, 1992. The order sets sanitary requirements for dairies, machinery, and premises, and includes quality control, certification, packing, marking and labeling standards for milk and milk products. Standards specified in the order also apply to imported products. The Department of Animal Husbandry, Dairying and Fisheries at the Ministry of Agriculture is the regulatory authority. (ii) Essential Commodities Act, 1955: The main objective of the Act is to regulate the manufacture, commerce, and distribution of essential commodities, including food. A number of Control Orders have been promulgated under the provisions of this Act. (iii) Standards of Weights and Measures Act, 1976 and the Standards of Weights and Measures (Packaged Commodities) Rules, 1977: The Act governs sale of packaged commodities and provides for mandatory registration of all packaged products in the country. (iv) Consumer Protection Act, 1986: The Act provides for constitution of District Forum/State/National Commission for settlement of disputes between the seller/service provider and the consumer. (v) The Insecticide Act, 1968: The Act envisages safe use of insecticides so as to ensure that the leftover chemical residues do not pose any health hazard. (vi) Export (Quality Control and Inspection) Act, 1963: The Act aims at facilitating export trade through quality control and inspection before the products are sold to international buyers.
  • 10.
    ORGANISATION STUDY ATMILMA, KOLLAM DAIRY 10 (vii) Environment Protection Act, 1986: This Act incorporates rules for the manufacture, use, import and storage of hazardous microorganisms / substances / cells used as foodstuff. (viii) Pollution Control (Ministry of Environment and Forests): A no-objection certificate from the respective State Pollution Control Board is essential for all dairy plants. (ix) Industrial Licences: No licence is required for setting up a dairy plant in India. Only a memorandum has to be submitted to the Secretariat for Industrial Approvals (SIA) and an acknowledgement obtained. However, a certificate of registration is required under the Milk and Milk Products Order (MMPO), 1992. (b) Directorate of Marketing and Inspection (DMI): The DMI enforces the Agricultural Products (Grading and Marketing) Act, 1937. Under this Act, Grade Standards are prescribed for agricultural and allied commodities. These are known as "Agmark" Standards. Grading under the provisions of this Act is voluntary. Manufacturers who comply with standard laid down by DMI are allowed to use "Agmark" labels on their products. (c) Management Systems for Quality and Food Safety: ISO 9000 Quality Management Systems:The ISO 9000 system is looked at as a system with minimum quality requirements. It builds a baseline system for managing quality. The focus, therefore, is on designing a total quality management system, one that complies with external standards, but includes the specific requirement of industry and integrates elements of competitiveness. Themillennium standard (ISO 9000:2000) has changed the focus from procedure to process. (d) ISO 14000 (EMS): The ISO 14000 family addresses various aspects of environmental management. The very first two standards, ISO 14001:2004 and ISO 14004:2004 deal with environmental management systems (EMS). ISO 14001:2004 provides the requirements for an EMS and ISO 14004:2004 gives general EMS guidelines.
  • 11.
    ORGANISATION STUDY ATMILMA, KOLLAM DAIRY 11 (2) AUTHORITIES OF THE GOVERNMENT NATIONAL DAIRY DEVELOPMENT BOARD The National Dairy Development Board is an institution of national importance setup by an Act of Parliament of India. The main office is located in Anand, Gujarat with regional offices throughout the country. NDDB's subsidiaries include Mother Dairy, Delhi.It was founded by Dr. VargheseKurien and Dr. Amrita Patel is the current Chairman of the National Dairy Development Board, Anand. The National Dairy Development Board (NDDB) was created in 1965, fulfilling the desire of the then Prime Minister of India - the late LalBahadurShastri - to extend the success of the Kaira Cooperative Milk Producers' Union (Amul) to other parts of India. That success combined the wisdom and energy of farmers with professional management to successfully capture liquid milk and milk product markets while supporting farmer investment with inputs and services. The major success of this mission was achieved through the World Bank financed Operation Flood, which lasted for 26 years from 1970 to 1996 and was responsible for making India the world's largest producers of milk. This operation was started with the objective of increasing milk production, augmenting farmer income and providing fair prices for consumers. NDDB has now integrated 96,000 dairy co-operatives in what it calls the Anand Pattern, linking the village society to the state federations in a three-tier structure.NDDB launched its Perspective Plan 2010 with four thrust areas: Quality Assurance, Productivity Enhancement, Institution Building and National Information Network. (3) CENTRAL AND STATE DEPARTMENTS Government of India& Government ofKerala The Phenomenal success of the Dairy Co-operatives in Kerala could not have been achieved, without the foundation of animal husbandry activities, led by the Animal Husbandry Department, Dairy Development Department and Kerala Livestock Development Board, of the Government of Kerala & India.
  • 12.
    ORGANISATION STUDY ATMILMA, KOLLAM DAIRY 12 COMPANY PROFILE 3.1 HISTORY Kerala Co-operative Milk Marketing Federation (KCMMF), popularly called Milmawas established in April, 1980 with its Head Office at Thiruvananthapuram for the successful implementation of the Operation Flood (a dairy programme launched in 1970 under the agenceis of National Dairy Development Board(NDDB). The name Milmarepresents:- 2,702 primary milk co-operative societies 7.78 lakhs farmer members Three Regional Co-operative Milk Producers' Union Eleven Dairies capable of handling 9.90 lakhs litres of milk per day. Thirteen Milk Chilling Centres Two Cattle Feed Plants with cumulative capacity of 600MT per day One Milk Powder Plant of 10MT per day capacity A well established Training Centre 5,200 retail outlets Over 32,000 people working either directly or indirectly for the functioning of milma 3.2 (a) Mission The mission of Milma is: “Farmer‟s prosperity through consumer satisfaction.” 3.2 (b)Objectives To channelize marketable surplus milk from the rural areas to urban deficit areas to maximize the returns to the producer and provide quality milk and milk products to the consumers. To carryout activities for promoting Production, Procurement, Processing and Marketing of milk and milk products for economic development of the farming community. To build up a viable dairy industry in the State. To provide constant market and stable price to the dairy farmers for their produce.
  • 13.
    ORGANISATION STUDY ATMILMA, KOLLAM DAIRY 13 3.3 Strategy The Motto of Co-operation,"of the people, by the people and for the people" is the foundation of the "three tier system" followed by the organisation. At the village level Milma have the Village Milk Co-operative Societies which have the local milk producers as its members. These Village Co-operatives unite at the Regional level and form Regional Co-operative Milk Producers' Unions. These Unions are federated at the State level to form State Federation namely Kerala Co-operative Milk Marketing Federation(KCMMF). 3.4 Associates Milma is in constant touch with other Organisations in this sector. It is only through this active exchange that Milma grew from a small dairy co-operative to the position it holds in Kerala today. Cheif associates are:- National Dairy Development Board NDDB, under Dr. V Kurien's guidance set up KCMMF in 1980. Ever since then, there has been a very close co-operation between NDDB and the Federation. NDDB are the originators of the Operation Flood Programme and have been our funding agent for the Operation Flood Projects in Kerala. Amul The Dairy Co-operatives of Gujarat have been the inspiration for the development of such a vast network of dairy co-operatives in Kerala. Among the co-operatives in Gujarat, the Kaira District Co-operative Milk Producers' Unions (Amul) is the the first in this sector. Our Co-operatives are called "Anand Pattern Co-operative Societies" following the illustrious lineage of "Amul". Government of Kerala The Phenomenal success of the Dairy Co-operatives in Kerala could not have been achieved, without the foundation of animal husbandry activities, led by the Animal Husbandry Department, Dairy Development Department and Kerala Livestock Development Board, of the Government of Kerala.
  • 14.
    ORGANISATION STUDY ATMILMA, KOLLAM DAIRY 14 FUNCTIONAL AREAS OF MILMA, KOLLAM DAIRY Kollam Milma Dairy has well established HRD,Financeand Account, Procurement and Inputs, Production, Quality Control, Marketing, and. Maintenance and Engineering departments. Human Resource Development Milma has 2098 skilled, efficient and qualified personnel and has an excellent labour relationship Takes active role in framing personnel policies and service rules Finalise long term wage settlement, bonus etc. Placement and career development activities. Finance and Accounts Financial management of KCMMF and its units Liaison with financial institutions for availing loan for creation of infrastructure. Liaison with Government for availing Government financial assistance Long term repayment and scheduling of loans Capital Management Schemes for primary co-operative societies Recommend remuneration of APCOS employees Procurement and Inputs Centralised purchase of Dairy consumables Purchase of Raw Materials for Cattle Feed Plants Purchase functions of KCMMF Head Office Marketing Brand Management Bulk trading of surplus products Co-ordinated promotional activities Packaging & Product Development Procurement & Consumer Pricing Quality Control Render technical & legal assistance to primary dairy co-operatives and Regional Milk Unions Liaison and maintain quality of milk and milk products as per the standards Liaison with statutory authorities for bringing in suitable amendments in statutes Attend to consumer complaints on quality problems
  • 15.
    ORGANISATION STUDY ATMILMA, KOLLAM DAIRY 15 Projects Planning and execution of projects for creating infrastructure for Regional Milk Unions and KCMMF Providing consultancy for execution of projects Liaison with statutory authorities like Factories and Boilers, Electrical Inspectorate, Dept.of Explosives etc for obtaining approval and implementation of projects Liaisonwith Government for land allocation, water, power and other amenities Estate management and assistance in maintenance of Plant & Machinery of KCMMF Units Computer Maintenance of Systems at KCMMF, Units and Regional Milk Unions Conducts Training programs for development of computer skills 3.5 TOP MANAGEMENT Top Management of Kerala Co-operative Milk Marketing Federation (KCMMF) The Board of Director of Thiruvananthapuram Regional Co-operative Milk Producers' Union Ltd (TRCMPU) is headed by the Board of Directors The Present Chairman ofthe Union is Shri.Kallada Ramesh The Managing Director of the Union is Shri.Baby Joseph The Board of Director of TRCMPU Ltd. comprise of 14 directors elected from among the Presidents of affiliated Primary Milk Producer Societies, three Govt. nominees and the Managing Director as ex-officio member. Board is the Policy making forum of the Union.Theterm of Board is five years. BOARD OF DIRECTORS Shri. Kallada Ramesh Chairman Shri. K Ayappan Nair Director Shri. MurthikkavuDivakaran Director Shri. Girish Kumar Director Smt. Sreeja S Director Shri. Venugopalakurrupu Director Shri. K Rajashekaran Director Shri. S SadashivanPillai Director Shri. Gopakumar Director Shri. Mathew Chammathil Director Shri. Sebastain Joseph Director-NDDB Shri. George Joseph Director-KCMMF Shri. Baby Joseph Director Table 3.1 Source: Thiruvananthapuram Regional Co-operative Milk Producers' Union Ltd Report, 2009-10
  • 16.
    ORGANISATION STUDY ATMILMA, KOLLAM DAIRY 16 3.6 KERALA CO-OPERATIVE MILK MARKETING FEDERATION (KCMMF) Milma is the trade mark of the Kerala Co-operative Milk Marketing Federation Ltd, which is the apex Co-op of three regional milk Unions viz. Thiruvananthapuram (TRCMPU), Ernakulam(ERCMPU) and Malabar (MRCMPU). Performance of KCMMF Milestones Federation and all the three Regional Milk Unions joined hands with NDDB to be a part of the national stream to promote co-operative brand. In the wake of competition from private sector, KCMMF and the Regional Milk Unions readily accepted the well planned Marketing Strategy of NDDB and the mnemonic symbol of NDDB was introduced in the milk pouches in the State. Kerala is the first federation to adopt the mnemonic symbol throughout the State. The year 2007 was a landmark year for milk production in the country,which reached a new high. At over 100 million tonnes, milk output has breached the magical three- digit level, making India the world‟s second largest producer, after the European Union (154 million tonnes) and accounting for nearly 15 per cent of the world production of 675 million tonnes. The milk prices in India have been rising primarily because economic growth and demographic pressure have pushed demand higher. Prices also edged up because of the country‟s entry into the international market for skimmed milk powder. High milk powder prices led the government to even place an embargo on its export. Being milk deficit State, the year 2007-08 was a turbulent year to Kerala and our dependency on other States have increased. With the active co- ordination and involvement of Regional Milk Unions Milma could get through the KCMMF LTD MRCMPUTRCMPU ERCMPU Source: Kerala Co-operative Milk Marketing Federation (KCMMF) Report, 2009-10 Figure 3.1
  • 17.
    ORGANISATION STUDY ATMILMA, KOLLAM DAIRY 17 problems faced by our organization in this front and we could meet the demand for milk from our esteemed consumers. 27 years ago, we responded to the challenges that threatened dairying in our State by implementing the Operation Flood program with the active supportand assistance of the National Dairy Development Board. NDDB guided in taking up us the challenges with a program that contributed significantly to creating the self-reliant, vibrant dairy industry that now greatly benefits millions of rural households across the country. Though, milk price was increased twice during the financial year and we passed on nearly 70% of the increased consumer rupee to the farmer s, still our members are struggling to continue in the profession due to spiralling cost of production. We would believe that what the milk producer seeks to achieve by engaging his time and energy in milk production is a remunerative price and a stable round the year market. If these two needs are fulfilled, then the milk producer would continue in dairying and perhaps, even expand even expand his business,of course within the boundaries of other constrains. Increasing the selling price of milk and passing on maximum benefit to the farmers is not the only solution and in long run we have to look for other ways. The choice of cost plus approach for milk pricing would breed inefficiencies since it would ignore the demand factor. Similarly this would be an open invitation for large-scale import of milk from the less priced neighboring states through other channels and ultimately work to the determent of the milk producers of our State. So also, we have to appreciate that soaring prices in a shorter period could adversely affect domestic consumption as many of the households are in the low-income category. Healthy growth in milk production can be achieved only through active intervention in reducing the cost of production at farmer level and sustained investments in animal feeding, breeding and health care. A heavy surge in raw material prices for manufacturing of cattle feed has placed us in a crisis situation as cattle feed plants are running heavy losses. Though we tried to keep the cattle feed prices at reasonable levels, the increasing cost of raw material forced us to increase the selling price of cattle feed which in turn resulted in increased cost of production to our farmer members. The situation with regard to the availability of raw material needed for cattle feed manufacturing was not at all rosy. The oil cakes
  • 18.
    ORGANISATION STUDY ATMILMA, KOLLAM DAIRY 18 are costly and in short supply. Maize is being diverted for the production of ethanol as bio-fuel due to its better conversion efficiency in the fuel. Molasses became a scarce material and availability and its price become serious concern to us. The prices of rice bran have gone up mainly due to ban on export of rice. Since the ingredient cost is going up regularly, the cost of the compounded feed is also going up, beyond the reach of a small producer. As the cost of milk production increases, the margin of profit for the producer decreases. This is quite discouraging trend, especially for the milk producers who are sometime even forced to quit dairying as a profession. We feel that it is high time we looked forward for alternative nutritional technologies, which would help our members to get the nutritional requirement for their animals. So also efforts to be made by through Government intervention to cushion the dairy producers against inflation by extending subsidy to the farmers for purchase of cattle feed at reasonable prices. Milma acclaimed as the No:1 brand in the State for the 2nd consecutive year in the survey conducted by Dhanam Magazine which shows the popularity and consumer belongingness of this household brand. Aims for the year to come The dairy industry in the country is exposed to various challenges.The management of lean-flush periods has always been a matter of major concern to Milma and it still continues to be a key problem to be addressed on top priority. Milma has to re- dedicate ourselves to uphold our oft-repeated slogan "Farmers' Prosperity through Consumer Satisfaction". To keep farmer and consumer contended and happy in chorus is a difficult task. Milma has to formulate strategies and plans to accomplish the aforesaid task.Though a quarter century has elapsed since the drawn of Operation Flood programme we are yet to achieve self-sufficiency in milk production. At the same time we can be proud of our achievements in the area of infrastructure development, milk consumption enhancement and economic and social development of rural dairy farmers.A joint concerted effort of Milma and other Government agencies in Dairy Development and Animal Husbandry will go a long way in fulfilling our dreams. We have to strive to wipe off the accumulated losses and to improve the performance both on the physical and financial fronts. Your trust,your
  • 19.
    ORGANISATION STUDY ATMILMA, KOLLAM DAIRY 19 confidence and your encouragement will further energize and motivate us in this pursuit. Food crisis is a major threat now faced by the world and being the 2nd largest populated country we are forced to bear the brunt more than others. Our Government is giving priority to ensure food security to the citizens.To ensure food security we have to enhance domestic production of agricultural commodities including dairy products. This can only be achieved through ensuring remunerative prices to their produce and encouraging them to produce more milk and other agriculture products. We have to strengthen the hands of our farmers by enhancing their capability to produce more and thereby ensure the prosperity of our nation . The Federation achieved a turnover of Rs. 14128 lakhs in the year 2007-08 as against Rs.13280 lakhs during previous year. Turnover of KCMMF (Units wise - Rs.in Lakhs*) Year Cattle Feed Plant Pattanakkadu Cattle Feed Plant Malampuzha Central Products Dairy, Alappuzha Total 1996-97 2226.91 1212.65 1333.63 4773.19 1997-98 2069.16 1220.71 1463.66 4753.53 1998-99 3041.71 1903.05 1704.95 6649.71 1999-2000 4419.66 3667.48 2307.53 10394.67 2000-2001 4284.89 3798.49 2778.82 10862.20 2001-2002 4580.42 2922.4 3053.23 10556.05 2002-2003 4691.39 2691.13 2901.08 10283.60 2003-2004 4968.62 3124.79 3020.13 11113.54 2004-2005 4325.24 3885.46 3629.94 11840.64 2005-2006 5135.58 3602.57 4000.85 12739.00 2006-2007 5082.00 3954.00 4244.00 13280.00 2007-2008 4933.08 4738.22 4456.55 14128.00 2008-2009 5644.05 5074.30 5507.38 16186.62 2009-2010 6465.80 6747.92 6150.56 19364.28 Source: Kerala Co-operative Milk Marketing Federation (KCMMF) Report, 2009-10 Table 3.2
  • 20.
    ORGANISATION STUDY ATMILMA, KOLLAM DAIRY 20 Turnover & Profits of Milma (2009-10) TRCMPU ERCMPU MRCMPU KCMMF TOTAL Turnover / Rs in crores 362.62 231.07 357.45 193.64 1144.78 Net profit/Loss 0.18 2.78 1.21 (-)0.75 3.42 Milk Procurement and Sales of KCMMF Year Procurement(Liters) Sales(Lakhs) 2000 2249.33 2308.69 2001 2487.11 2412.83 2002 2418.25 2558.59 2003 2179.73 2698.80 2004 2319.70 2841.21 2005 2630.14 3069.51 2006 2921.14 3340.05 2007 2722.90 3497.43 2008 2693.57 3475.22 2009 276.45 3575.91 2010 2729.00 3911.96 Source: Kerala Co-operative Milk Marketing Federation (KCMMF) Report, 2009-10 Table 3.3 Source: Kerala Co-operative Milk Marketing Federation (KCMMF) Report, 2009-10 Table 3.4
  • 21.
    ORGANISATION STUDY ATMILMA, KOLLAM DAIRY 21 Organization Profile -TRCMPU Ltd (MILMA) Organization Thiruvananthapuram Regional Co-operative Milk Producers' Union Ltd (TRCMPU) was registered in 1985, as a Regional Milk Union with 4 Southern Districts of Kerala viz,Thiruvananthapuram, Kollam, Alappuzha and Pathanamthitta as its area of operation. TRCMPU was formed by dividing the area of operation of Kerala Milk Marketing Federation, formed for implementing of II project in 1980, in to two viz ERCMPU with 4 northern districts under of II area, and TRCMPU. Thiruvananthapuram Regional Co-operative Milk Producers‟ Union has completed 25 years of its operation successfully. It has successfully faced odds like excessive procurement in the initial stages and consequent losses, stagnation of sales in early 1990‟s and of late shortage of milk and related problems and consequent loss. With such diverse experience in the past and the talent pool it has, it can face any adverse environmental problems successfully. In 1985, Union started operation from the old Thiruvananthapuram Dairy handed over by KLD & MM Board which was selling milk in Thiruvananthapuram and Kollam districts and having a capacity of 40,000 LPD. The first Dairy plant under OF II project in TRCMPU area was commissioned at Kollam with a capacity of 60,000 LPD in 1986. Subsequently Chilling Plants with capacity of 10,000 LPD each were set up at Mannar and Pathanamthitta. New Dairy Plant at Alappuzha with a capacity of 60,000 LPD was commissioned in 1989, and new Dairy Plant with one lakh LPD capacity was commissioned at Thiruvananthapuram in 1992. The Dairy plant at Alappuzha was transferred to KCMMF in 1992 in order to facilitate operation of Powder Plant set up at Alappuzha for handling surplus milk in the State. Subsequently capacity of Kollam Dairy was expanded to 1 Lakh LPD and that of Thiruvananthapuram Dairy to 2 Lakh LPD. The capacities of the Chilling Plants were also expanded to 30,000 LPD each. A glance at the union‟s procurement and sales over the years as given below and reveal that Unions procurement and sale has been showing a two digit growth over the years.
  • 22.
    ORGANISATION STUDY ATMILMA, KOLLAM DAIRY 22 Past Performanceof TRCMPU Ltd YEAR MILK PROCUREMENT(LPD) MILK SALES(LPD) 2000-01 231649 288334 2001-02 273551 298788 2002-03 252521 316425 2003-04 205067 321806 2004-05 206200 354361 2005-06 234280 377579 2006-07 254827 406890 2007-08 230476 402109 2008-09 213085 403073 However the growth in procurement has always been lagging as compared to milk sales. Union used to have surplus milk in the flush season up to 1996. However the fast growth in demand thereafter and rapid decline in milk production in the State after 2001, owing to demographic problems like rapid urbanization, diminishing land holding size, transformation to nuclear families and reduction in family size, due to reduction in population growth, attractive price for cash crops, shortage of unskilled labour an offshoot of high literacy rate, etc. The demand for milk has been growing rapidly since the beginning and even the opening up of markets in 1991 did not affect this growth much. Unlike the northern districts of the State, not many competitors ever came to the market. Union in fact had maximum sales growth during the period 1995-2000. Union has been purchasing milk right from the beginning from the other two sister Unions and also from outside states mostly Tamil Nadu till the year 2006. From 2006 onwards, Unions milk deficit shot up due to rise in demand and drop in milk procurement and the milk availability in Tamil Nadu also came down and hence Union was forced to move to Karnataka for meeting its deficit. This reduced availability of milk in the Southern States resulted in the steep increase in milk price in Karnataka and Union started Source: Kerala Co-operative Milk Marketing Federation (KCMMF) Report, 2009-10 Table 3.5
  • 23.
    ORGANISATION STUDY ATMILMA, KOLLAM DAIRY 23 incurring loss on milk purchased from outside. Side by side the price of skim milk powder also sky rocketed. The combined effect of these was the heavy loss to union in 2007-08. Appendix III shows the financial performance of Union since beginning. Unions sales turnover from products has always been below 10% since beginning, since Union never had surplus milk after meeting demand for liquid milk. Vision To achieve the status of the best union in the country in turnover and profitabilityby achieving 10-15% growth per annum by accelerating the growth in milk production and sale of milk and milk products and by diversification into related areas in food sector. Mission To become the leading organisation in the food and nutrition sector in the region, through the attainment of its marketing objectives and to become nucleus of an endeavour for an accelerated development of the rural economy of the region. Further it would aspire to function as professional,profitable and socially responsible organisationensuring better returns to farmers,primary societies as well as its customers by providing good value for their money. Units of TRCMPU The Units of TRCMPU are as follows, 1. Thiruvananthapuram Dairy: Thiruvananthapuram Dairy is Located on the way to Kovalam 4 Km from the City. The Dairy with a capacity to handle 1 lakh LPD was commissioned in 1992. The Dairy is selling milk in Thiruvananthapuram District except ChirayinkeezhThaluk. No. of Employees 287 No. of societies pouring 340 No of agents selling milk 2100 Average procurement 100,000 LPD Average milk sale 2,10,000 LPD The Entire Milk is collected through Bulk Milk coolers
  • 24.
    ORGANISATION STUDY ATMILMA, KOLLAM DAIRY 24 Thiruvananthapuram Dairy started to collect the entire milk through Bulk Milk Coolers since November 2009.The capacity of the Dairy has been expanded to 2 Lakh litres per day by 2001 Now it is proposed to expand the capacity to 3 Lakh litres per day. In addition a separate block for manufacture of Products is proposed to be constructed. Thiruvananthapuram is the first "ISO 2001" certified Dairy in the State and all steps have been initiated to get HACCP for Thiruvananthapuram Dairy. 2. KollamDairy: The Dairy was commissioned in 1986 with a capacity to handle 60,000 litres per day and subsequently expanded to handle 1 lakh litres per day. No of employees 226 No of Societies 336 No. of agencies 1080 Average milk collection 50,000 LPD Average milk sale 120,000 LPD Quantity processed and supplied to Pathanamthitta unit-45000 lpdAt present 18,000 litres milk is collected through Bulk Milk Coolers and the remaining quantity in Cans. Presently the milk marketed in Pathanamthitta district is supplied from Kollam Dairy, in pasteurized, standardized condition. 3. Pathanamthitta Dairy: A new dairy plant with 60,000 litre capacity is constructed at Thatta near Adoor in Pathanamthitta district and is expected to be commissioned by the end of 2009. Presently there is a 30,000 litres Chilling Plant in the district. Milk is also packed there at present. These facilities will be decommissioned when the new Dairy Plant is commissioned. Now the entire milk in the district is being collected through Bulk Milk Coolers. 4. Alappuzha District: In Alappuzha district, 60,000 Litres per day dairy constructed under O.F II has been expanded to 1 Lakh litres per day which is managed by KCMMF. Milk Procurement and marketing activities are carried out by Union. There is also a Chilling Plant with 30,000 Litres capacity in the district.
  • 25.
    ORGANISATION STUDY ATMILMA, KOLLAM DAIRY 25 Details of Staff,Senior Officers Head Office, TRCMPU KOLLAM MANAGEMENT Dairy Manager Mr. Prasanna Kumar Human Resource Manager Mr. FiroshMurali Marketing Manager Mr. Sri.K.Sathyanarayanan Finance & Accounts Manager Mr. Sri.A.K.Madhusoodanan Nair Procurement & Input Manager Mr. Joan Lewis Production Manager Mr. Sri.I.G.Venugopal Quality Manager Mr. UnniKrishnan V.S Engineering Manager Mr. C K James Maintenance Manager Mr. Suresh Chandran K.R DESIGNATION NAME Managing Director: Sri.Baby Joseph Senior Manager (Production): Sri.R.Sudhir Senior Manager (Inspection): Dr.K.Marthandan Manager (Maintenance): Sri.K.S.Vijayakumar Manager (Marketing): Sri.G.Rajesh Manager (HRD): Sri.K.R.Polachan Manager (F&A): Sri.G.Krishnalal Officer I/C(MIS/Systems): Sri.Sarathchandrababu Assistant MD: Sri.K.K.GopinathanNair Table3.5 Table3.6 Source: Kerala Co-operative Milk Marketing Federation (KCMMF) Report, 2009-10 Source: Kerala Co-operative Milk Marketing Federation (KCMMF) Report, 2009-10
  • 26.
    ORGANISATION STUDY ATMILMA, KOLLAM DAIRY 26 3.7 PRODUCTS PROFILE Pasteurized Milk Milma pasteurized vitamin A enriched milk comes in three varieties. Fat free milk Toned milk which contains 3.0% fat and 8.5% SNF Standardised milk which contains 4.5% fat and 9.0% SNF Conveniently packed in 500 ml and 1 litre sachets, the fat content range of Milma's Milk has made it the popular health drink of young and old alike. Sterilized Flavoured Skimmed Milk Prepared from pasteurized skimmed milk, sweetened with cane sugar and flavoured with cardamom. It is very tasty in chilled condition and has a keeping quality of 60 days. Ice-Cream Milma ice-cream, is available in a range of lip smacking flavours: vanila, chocolate, mango, strawberry and fruit & nut. In addition, our Ernakulam Union also produces and distributes delicious "kulfi" and cream rolls. The only ice-cream in Kerala market which is manufactured in a dairy,and hence most fresh ice cream. Sambharam Sambharam (butter milk) a favourite beverage of Kerala.MilmaSambharam, the only product of its kind in the market, is very popular throughout the State. It comes in convenient 200ml throw away sachets. Curd It is a fermented product prepared from pasteurized skim milk using Curd Culture from National Dairy Research Institute (NDRI). It is delicious, tasty, free from cholesterol and available in 500ml and bulk.
  • 27.
    ORGANISATION STUDY ATMILMA, KOLLAM DAIRY 27 Lassi It is a sweetened and flavoured product prepared from curd. It is available in 200ml pack and is a very good health drink for all age group. Ghee Ghee is a key ingredient in most Indian delicacies. Milma produces good quality, pure ghee from butter or cream at all dairies. The ghee is available in convenient packs of 100gm to 15Kg. Butter Milma Butter prepared from the cream of milk contains 81% fat and less than 15.6% water. This is available in convenient 100gm,200gm and 500gm family packs. Available in salted and unsalted varieties. TetrapackFlavoured Milk Milma offers a range of flavored health drinks in hygienic tetra packs. Cardamom milk has already captured the market and are available at all Milma outlets. Refresh In addition to milk drinks,Milma also has a mango drink in the market. Refresh, Milma'smanago drink is a favorite in the fruit drink sector. Peda An indigenous milk product manufactured by evaporating water content from wholesome cow's milk and sweetened with cane sugar. It is a nutritious and delicious sweet bite for children. It is available in 25gm and 250gm cartons. Cream Roll Mixture of tasty ice-cream and tooty fruity encircled with oven fresh sponge cake. It is a delicious snack rich in Milma cream.
  • 28.
    ORGANISATION STUDY ATMILMA, KOLLAM DAIRY 28 MilmaIze Premium Soda MilmaIze Premium Soda recently introduced in the market as part of product diversification. Milma Chocolates: (a) Milky Thundr: Wafers coated with black and milk chocolate. The product is sold at Rs.5 (b) Milky Beats: Milk chocolate bar, available in the market atRs 10. (c) Choco Beats: Black chocolate bar,available in the market atRs 10. (d) Milma Krispy: Black chocolate wafer at the price of Rs.5 (e) MilmaChocochat: Small black chocolate bar at the price of Rs.2. (f) MilmaEclairs: Éclair toffee for Re.1 MilmaPayasam Mix Full ingridents for making payasam is available as a kit during Onam season. Cattle Feed Balanced cattle feed is the major input provided to the dairy farmers of the State from the Federation. There is a high level of acceptability for this product in the market. Milma is now producing 600MT cattle feed a day. It produces both mash and pellet form of cattle feed. In addition to augment the balanced feed and to support vitamin level in animal, milma has come out with milma mineral mixture - "MilmaMin". The cattle feed is distributed to farmers at reasonable rate through Apcos, Dealers and Government agencies. Adjudged Top Feed Manufacturer of India for manufacture of Aflotoxin-free best quality cattle feed by Indian Association of Veterinary Pathologists during 1998.
  • 29.
    ORGANISATION STUDY ATMILMA, KOLLAM DAIRY 29 ORGANISATION CHART An organization chart is a diagrammatical form which shows important aspects of an organization including the major functions and their respective relationships. In other words , it is a graphic portrayal of positions in the enterprise and of the formal lines of communication among them. It provides a bird‟s eye-view of the relationships between different departments or divisions of an enterprise as well as the relationships between the executives and subordinates at various levels. It enables each executive and employee to understand his position in the organization and to know to whom he is accountable. Thus, it is obvious that an organisation chart has the following characteristics: 1. It is a diagrammatical presentation. 2. It shows principal lines of authority in the organisation. 3. It shows the interplay of various functions and relationships 4. It indicates the channels of communication. < An organization chart is merely a type of record showing the formal orgainsationalrelationalship which management intends should prevail. It is, therefore, primarily a technique of presentation. It presents diagrammatically the lines of authority and responsibility among different individuals and positions. It may be either personnel or functional. Personnel organization chart depicts the relationship between positions held by different persons. Functional organization chart depicts the functions or activities of each unit and sub- unit in the organiastion. Organisation chart helps in the following ways, 1. It shows the employees how their positions fit into the total organisation and how they relate to others. It shows the lines of authority and responsibility among employees. 2. It serves as a valuable guide to the new personnel in understanding the organisation and for their training.
  • 30.
    ORGANISATION STUDY ATMILMA, KOLLAM DAIRY 30
  • 31.
    ORGANISATION STUDY ATMILMA, KOLLAM DAIRY 31 DEPARTMENTS & FUNCTIONS DEPARTMENTS AND FUNCTIONAL AREA ANALYSIS Chester I.Barnard defined formal organization as “a system of consciously coordinated activities or forces of two or more persons”. A formal organization is deliberately designed to achieve some particular objectives. It refers to the structure of well-defined jobs, each bearing a definite measure of authority, responsibility and accountability. The structure is consciously designed to enable the organizational members to work together for accomplishing common objectives. It tells the employee to do certain things in a specified manner, to obey orders from designated individuals and to cooperate with others. Co- ordination also proceeds according to a prescribed pattern in the formal organization structure. The formal organization is built around four key pillars, namely: (i) Division of labour (ii) Scalar and functional processes Division of labour and specialization is the basic principle of formal organization. The scalar and functional processes imply the growth of the organization both vertically and horizontally. The structure of the organization refers to the overall arrangement in the organization which ensures proper balance between different parts of the organization and secures the execution of all operations and the achievement of organization objectives. The span of control refers to the number of subordinates directly reporting and accountable to one superior.TheOrganisational Structure of any firm will include the Top Level Management, who takes the main administrative decisions for the business concern; the Middle Level Management which is concerned with the day to day management of the concern; and the Lower Level Management which is concerned with the normal day to day activities of the concern. Milma follows such a structure for the department and function areas. (iii) Structure (iv) Span of control
  • 32.
    ORGANISATION STUDY ATMILMA, KOLLAM DAIRY 32 5.1 HUMAN RESOURCE DEVELOPMENT DEPARTMENT ORGANISATIONALSTRUCTURE HUMAN RESORCE DEVELOPMENT Assistant HR Mgr Assistant Personnel Officer Junior Superintendent Senior Assistant Junior Assistant Stenographer Typist Office General FUNCTIONS  Deals with all the matter of employees.  Recruitment  Selection  Tests & interview  Training  Performance appraisal  Grievance redressal ROLES & RESPONISIBILITIES (1)Assistant Manager: Total administration of discipline in the firm. Communicating between the management and the employees. Solving the problems regarding employees. Takes precautionary measures to avoid unrest in the firm. (2) Assistant Personnel Officer: Assists the assistant HR manager. Figure 5.1
  • 33.
    ORGANISATION STUDY ATMILMA, KOLLAM DAIRY 33 (3) Junior Superintendent: Deals with salary matters such as ESI, PF etc Deals with welfare of the employees (4) Senior Assistant: Deals with matters regarding transfers, payments etc Service matters (5) Junior Assistant: Deals with the primary stages of grievance redressal (6) Stenographer: Does secretary jobs towards the assistant manager. (7) Typist: Does job related to typing the official matters of the firm. (8) OfficeGeneral: Does filling works and collecting couriers. STAFF POLICY There are 226 employees in Kollam Dairy Milma. It includes 32 employees and rest areworkers.The members in the organisation formed a welfare society named “Milma Employees Welfare Organisation”. A cooperative society is working in the organisation to provide loans to the workers at a nominal rate of interest. This society gives scholarship and cash award to the children of employees in the organisation who gets high marks in their studies. (a)WAGE PAYMENT AND INCENTIVE PLAN Milma is under time basis wage payment system. Under this method employee is paid on the basis of time worked. Milma is giving the following non-financial incentives to the workers. 1. Offers job security. 2. The superior officers take interest on the subordinates.
  • 34.
    ORGANISATION STUDY ATMILMA, KOLLAM DAIRY 34 3. Provide more promotion. 4. Provide more training for unskilled and new workers. 5. Facilitate labour welfare and social security measures. (b) FRINGE BENEFITS The following are the fringe benefits provided to its workers i. Leaves Every employee can take 13 casual leaves in a year ii. Provident fund and gratuity The provident fund scheme is followed by the organisation. They also provides gratuity scheme with the help of General Insurance Company. (c)OTHER BENEFITS Each employee of the organisation gets 500ml of milk every day. As per the Bonus Act of 1948, they are paying bonus to the employees. There is free uniform and footwear washing facility. (d) PROMOTION AND TRANSFER POLICY The policy applies to promotion within workers categories and workmen confirmed in the permanent service of the federation/unions working of its various units within Kerala state and at the registered office. Promotions are on the basis of seniority rather than merit. < TRAINING AND DEVELOPMENT Milmasends their workers to many training institutions in various parts of India. Important among these institutions is “MANSING INSTITUTE OF TRAINING, GUJARAT”. They adopt the following techniques like formal lecture, seminar and so on.Milma also gives apprenticeship training to workers and provides a stipend to them. The training covers areas in management training as well as operational areas.
  • 35.
    ORGANISATION STUDY ATMILMA, KOLLAM DAIRY 35 SELECTION PROCESS Temporary staff are recruited by the concerned units and permanent staff are recruited by the head office, in the following process: 1. Inviting application Federation releases the advertisement in leading news papers showing the vacancy and quality required by the applicant. 2. Screening the application The next step is the screening of the application to reduce the number of applicants and also to find out more suitable candidates. 3. Interview Next step is the interview conducted by top officials of Milma. Interview is also conducted by a group of various managers. 4. Final selection If a candidate overcomes all the procedures given above, he would be selected. An appointment letter is given to him mentioning the terms of appointment, pay scale etc.The selected candidate undergoes a probationary period of one year. DISCIPLINARY PROCEEDINGS The HRD department is responsible for maintaining discipline in the organisation. At the Kollam diary, the rules and regulations for office staff and workers are different. Staff regulations are concerned with the office and standing orders are concerned with workers. If there is way in disciplinary action arises from a worker standing order will be issued. The procedure in as follows:  Written explanation is asked from the concerned workers.  Domestic enquiry will be conducted either by an efficient advocate or by a top manager in the dairy. WORKING HOURS The office time is from 10.00 am to 5.00 am.The workers work for 8 hours in the dairy.
  • 36.
    ORGANISATION STUDY ATMILMA, KOLLAM DAIRY 36 There are 3 shifts: 7.00 a.m to 3.00 pm, 3.00 p.m to 1.00 pm and 11.00 p.m to 7.00 am TRADE UNION Trade unions are voluntary associations of workers or employers formed to promote and protect their interests through collective action. The Trade Unions Act,1926 defines a trade union as a combination, whether temporary or permanent, formed (i) Primarily for the purpose of regulating the relation between (a) between workers and employers (b) between workers and workers (c) between employers and employers, or (ii) For imposing restrictive conditions on the conduct of any trade or business, and includes any federation of two or more trade unions. The main trade unions in Kollam Milmaare, All India Trade Union Congress (AITUC), Central Industrial Trade Union(CITUC), andIndian Trade Union congress(INTUC) PUNCHING SYSTEM The attendance of the employees is done by punching system. There are discussions going on for the implementation of finger laser punching system within two months. This system can automatically can daily attendance and compute the salary of employees. This process enables achieve accurate salary as well as incentive calculation.
  • 37.
    ORGANISATION STUDY ATMILMA, KOLLAM DAIRY 37 5.2. FINANCE AND ACCOUNTS DEPARTMENT ORGANISATIONAL STRURCTURE OF FINANCE & ACCOUNTS Assistant Account Officer Computer technician Superintendent Senior Assistant Junior Assistant Mgt Apprentice Occasional Apprentice FUNCTIONS  Providing financial assistance as per the departmental requirements.  Keeping the monetary transactions in the book of accounts expect the marketing department.  Proceeding requisitions of Milma Kollam unit‟s requirements towards the head office.  Finance department also deals with the Systems department.  Systems department operates with software which is made by KCMMF, Milma Integrated Information System. ROLES & RESPONSIBILITIES (1) AssistantManager: Deals with the entire functions of the Finance and Systems departments. Final verification of all financial matters. Confirms sending the concerned statements to the Dairy Manager. (2) AssistantAccountOfficer: Verification of entire accounts Assistant Mgr Figure 5.2
  • 38.
    ORGANISATION STUDY ATMILMA, KOLLAM DAIRY 38 (3) Superintendent: Verifies the milk value Computing the TDS Preparing the inter units transfers (4) SeniorAssistant: Transactions relating to the outside purchases Transactions relating to the transportations & distributions Transactions relating to the TA (5) JuniorAssistant ( Cashier) Issuing cash payments, especially salaries and wages. Making advance payments. (6) Mgt Apprentice: Issuing cheques Dealing with the bank matters. (7) OccasionalApprentice: Filling Collecting couriers. (8) Computertechnician : Development of softwares to support various functions. Support Management InformationSystem Networking SOURCES OF FINANCE: LONG TERM: the source of long term finance is only term loans. CPD gets its financial assistance from National Dairy Development Board (NDDB) through KCMMF. There is an agreement between the federation and NDDB. As per the agreement between them 70% of the loan amount should be repayable and the remaining 30% subsidy. SHORT TERM: the source of short term fund is procured from the Canara Bank at the prevailing interest rates. It is mainly in terms of overdraft.
  • 39.
    ORGANISATION STUDY ATMILMA, KOLLAM DAIRY 39 MODES OF PAYMENT HRD dept prepares the payment for employees and sends to the Finance dept. Payments are made in two ways, through direct cash which is paid in the finance dept and other through in bank i.e., in the Canara Bank. Overtime payment is not paid in cash but paid in bank. The following are different modes of payments at certain situations. CASH PURCHASE: Makes payment within 10 days made to society‟s milk purchase. CREDIT PURCHASE: 15 days get as credit period for film (plastic cover pack) purchase. ADVANCE PAYMENT: Advance payment is needed for purchase of skimmed milk. DEPRECIATION The depreciation pattern maintained as per the Income Tax Schedule. Every year the firm prepares provision of depreciation. The following are the depreciation rates for the concerned assets. Building 5% Factory building 5% Plant & Machinery 30% Vehicles 20% Furniture 15% AUDITING PROCESS The dairy has statutory auditing, which is done by the registrar of the cooperative society. For the purpose a representative is appointed in the dairy as their concurrent auditor. PROFIT SHARING: The profit earned is given to the farmers as per the quantity and quality of milk they supplied to the concerned society. Further the dividend is paid to the shareholders. STATEMENTS & LEDGERS (a) Journal (b) Ledgers (c) Sub ledgers (d) P& L a/c (e)Balance sheet(yearly maintained) (f) Trail balance (g) Bank reconciliation (h)Budget
  • 40.
    ORGANISATION STUDY ATMILMA, KOLLAM DAIRY 40 5.3.PROCUREMENT AND INPUTS DEPARTMENT ORGANISATIONAL STRUCTURE OF PROCUREMENT AND INPUTS Assistant Mgr Milk Procurement Officer Veterinary Officer Assistant Milk Procurement Officer Senior Supervisors Junior Supervisors  This department deals in procuring milk from the societies.  Calling tenders of vehicles  Scheduling of routes  Providing veterinary services.  Providing cattle feed supply ROLES & RESPONSIBILITIES (1) AssistantManager: Ensuring all the activities is performing according the plans. (2) VeterinaryOfficer: All medical issues of the cattle are treated. (3) MilkProcurementOfficer: Entrusted with the activities of calling tenders and quotations of vehicles. Scheduling of the routes. (4) AssistantMilkProcurementOfficer: Assisting in the works of the Milk Procurement Officer (5) SeniorSupervisors: Deals with the extension activities in the field such as , Finding the needs of the farmers. Conducting camps and seminars (6) JuniorSupervisors: Assisting with the activities carried out by the Senior Supervisors. Figure 5.3 FUNCTIONS
  • 41.
    ORGANISATION STUDY ATMILMA, KOLLAM DAIRY 41 PROCURING: Procures milk from the societies through tendered trucks and reaches to the plant. Kollam Milma has 11 regular routes and 11 emergency routes.Milk collection route contract is awarded annually by collecting competitive offers. Union is going for quality improvement of raw milk by installing milk coolers in Societies. At present 41 Nos of coolers are in operation. Government of India is financing 75% cost for installing coolers. Rs.10 crores has already been sanctioned for this. Union will meet all expenditure for operating the coolers in Societies. VETERINARY SERVICES: This service is extended to the farmers irrespective to the cost involved for its operation. INPUT WING:Input wing is responsible for health care, insurance, genetic up gradation, nutrition, and production enhancement. PROCUREMENT PROCESS OF MILK FROM FARMERS FARMERS SOCIETY TANKERS MILMA Figure 5.4
  • 42.
    ORGANISATION STUDY ATMILMA, KOLLAM DAIRY 42 5.4. PRODUCTION DEPARTMENT ORGANISATIONAL STRUCTURE OF PRODUCTION  Involved with the processing of milk.Production of curd, buttermilk and ghee.  Procures raw materials.  Procures milk from outside state in the times of scarcity.  Makes payments for the milk powder. ROLES & RESPONSIBILITIES (1) ProductionManager: Controls the entire production function of the plant. Hears the grievances of plant employees if any. Informs the Dairy Manager about the production status. (2) AssistantProductionManager: Assists the Production Manager in his work. (3) TechnicalOfficer Scheduling of the plant activity. (4) TechnicalSupervisor: Implementation of plans. Ensures that the milk tankers arrive as per the schedule. (5) Operators : Operates the plant machines (6) Workmen: Involves in the production process. Figure 5.5 FUNCTIONS
  • 43.
    ORGANISATION STUDY ATMILMA, KOLLAM DAIRY 43 THE PRODUCTION PROCESS Test for acidity Coliform Curd ,Samabharam Skim Milk Ghee Raw Milk at diary Chilling to <10 c Processing Standardisation&Testing Packing &Cold storage Distribution Processing Dispatching to agents To control growth of bacteria rawmilk is chilled. Plant either diary tested for fat, SNF, Acidity, MBRT, Temperature. Societies Milk producers (APCOS)Raw milk is accepted based on  Organologistic evaluation  Testing for fat on SNF  Acidity  MRTP test for bacterial load  SPC Heating milk to a minimum temperature of 72 holding for 15 and cooling to less than 5 .This will destroyall pathogenic living beings. Fat 3.05% SNF 8.5% Filled only after ensuring quality standards. At dispatch dock sachet tested for MBRT, SFN and coliform. Market sample tested for MBRT, SNF and coliform. Figure 5. 6 Source: Kerala Co-operative Milk Marketing Federation (KCMMF) Report, 2009-10
  • 44.
    ORGANISATION STUDY ATMILMA, KOLLAM DAIRY 44 5.5. QUALITY CONTROL ORGANISATIONAL STRUCTURE OF QUALITY CONTROL FUNCTIONS  Taking samples at every stages of milk processing and of other milk products.  Timely testing the quality of milk and other milk products.  Maintains to keep the standard. ROLES & RESPONSIBILITIES (1) Manager: Management representative of ISO 9001 standard. Ensures the quality is maintained. Ensures that subordinates do the quality testing in time. (2) Qualitycontrolofficer: Management representative of AGMARK standards. Does mainly quality testing of AGMARK products such as ghee. Sees whether the milk has required quality. Similarly this is done in the other milk products also. Does quality analysis and records the results Taking periodic statements (3) Chemist / Bacteriologist: Does the entire required tests for knowing the quality. Figure 5.7
  • 45.
    ORGANISATION STUDY ATMILMA, KOLLAM DAIRY 45 (4) Lab Technician Grade 1: Assists in the chemist in conducting tests. (5) Lab Technician Grade 2: Collects the required samples at every stages of processing. TYPES OF TESTS The important tests in quality control are given below. 1. At chilling centre a. Organoleptic test b. Temperature c. Clot On Boiling (COB) d. Acidity (as lactic acid) e. Fat % f. SNF % (Solid Non Fat%) Periods of quality testing: 1. When milk is received at the plant its appearance and smell is first is checked. 2. Then sample is taken at RMRD (Raw Milk Reception Dock) and tested to know the fat content in order fix price for the concerned society which supplied the milk. 3. Sample is taken at the processing stage of milk to know temperature of the milk. 4. Later sample milk is taken from the processed milk tank to know the fat and acidity. 5. Sample is taken from filled packets. 6. Similarly this is done in cold storage. 7. Sample is taken at despatching of milk packets. 8. Five packets are taken as samples in a month to know whether the quality is maintained. 2. At village co-operative society a. Organoleptic tests b. Fat% c. SNF% (Solid Non Fat %)
  • 46.
    ORGANISATION STUDY ATMILMA, KOLLAM DAIRY 46 PESERVATION OF MILK: Processed of milk does not need preservatives. After the milk is chilled and pasteurized. Hence milk does not get spoiled. The milk stays good for two days under refrigeration conditions. PRODUCTS FAT % SNF % TOTAL ACIDITY% PHOSPHATE MBRT TONNED MILK 3.0 8.5 - 0.13-0.15 -VE 5hrs MILMA RICH PLUS 3.8 10.0 - 0.15-.18 -VE 5hrs CURD 0.5 (max) 10.5 - 0.8-1.3 NA N A SAMBHARAM 0.5(max) - 4.0-6.0 0.4-0.7 NA NA COMPOSITION OF MILK Main constituent Range (%) Water 85.5 – 89.5 Total solids 10.5 – 14.5 Fat 2.5 – 6.0 Proteins 2.9 – 5.0 Lactose 3.6 – 5.5 Minerals 0.6 – 0.9 SPECIFICATIONS (MINIMUM) AS PER PFA AND MILMA REQUIMENTS SPECIFICATION FOR GHEE-AGMARK REQUIREMENTS PRODUCT MOISTURE % FREE FATTY ACID % GHEE (special grade) 0.3 5.2(max) Table 5.1 Table 5. 3 Source: Kerala Co-operative Milk Marketing Federation (KCMMF) Report, 2009-10 Source: Kerala Co-operative Milk Marketing Federation (KCMMF) Report , 2009-10 Source: Kerala Co-operative Milk Marketing Federation (KCMMF) Report, 2009-10 Table 5. 2
  • 47.
    ORGANISATION STUDY ATMILMA, KOLLAM DAIRY 47 5.6. MARKETINGDEPARTMENT ORGANISATIONAL STRUCTURE OF MARKETING FUNCTIONS  Sales of milk and other milk products.  Distribution of the products.  Collecting the payments from the agents  Finding the potential markets.  Doing promotional activities. ROLES & RESPONISIBILITIES (1) Marketing Manager: Coordination of all marketing activities (2) Marketing Officer: Marketing activities of milk (3) AssistantMarketing Officer: Marketing activities of all Milma products including products which arenot produced in Kollam unit. (4) Marketing Organisers: Dealing with the customer complaints Agency promotion Finding potential markets Canvassing Figure 5.8
  • 48.
    ORGANISATION STUDY ATMILMA, KOLLAM DAIRY 48 (5) Marketing Assistants: Cash collection of agents (CASH BOX system) Milk despatch activities (6) Junior Assistant: Keeping marketing accounts Issuing invoices MIS (7) Salesmen: Selling process is done in the stall, where located outside Milma unit. Maintaining inventories in the stores. PRICING The prices products of Milma are fixed in the head office. Cost plus profit pricing strategy is used. PROMOTION There is less promotional activities from the firm. Usage of posters, calendars bill boards etc are certain tools used in the promotions activities. Advertisements are used only when the offers are provided. DISTRIBUTION Milk is distributed directly only through retailers i.e. no wholesalers is included. While other products are provided to wholesalers as well as retailers. Advance payment is to be made for milk sales by the agents. Nearly 1800 agents are functioning in Kollam. 4% commission is fixed on the milkat minimum retail price. MARKETSHARE Milma milk has a market share of approximately 45% and is leading in the market. But in the case of other products they are just meeting the targets set by the head office. So there is relatively small market share for the milk products of Milma. SALES OF PRODUCTS IN MILMA, KOLLAM DAIRY SL.NO PRODUCTS SALES 1 Milk 1, 20,000 litres/ day 2 Ghee 30,000 litres/ monthly 3 Sambaram 1000 litres/monthly 4 Curd 2000 litres/day Table 5. 4 Source:Thiruvananthapuram Regional Co-operative Milk Producers' Union Ltd Report, 2009-10
  • 49.
    ORGANISATION STUDY ATMILMA, KOLLAM DAIRY 49 5.7. MAINTENANCE AND ENGINEERING DEPARTMENT ORGANISATIONAL STRUCTURE OF MAINTENANCE AND ENGINEERING Assistant Mgr Deputy Engineers Technical Superintendent Senior Assistant Operators and Technicians FUNCTIONS  Maintaining the proper functioning of the plant and its machines.  Purchasing the materials for packing of the products,  Purchasing the materials which are required for the machines. ROLES & RESPONSIBLITIES (1) Assistant Manager: Coordinating all the activities of the department (2) Deputy Engineers: Maintains the plant and machinery (3) TechnicalSuperintendent: Assists the deputy engineers (4) Senior Assistant: Making computer entries Placing purchase orders Takes statements (5) Operators&Technicians: Here various activities are carried out by the following workers as per their designation. Technicians (operators cum repairers) Electricians Figure 5.9 Refrigerator operator General mechanic DriverBoiler operators
  • 50.
    ORGANISATION STUDY ATMILMA, KOLLAM DAIRY 50 SWOT ANALYSIS 6.1 SWOT ANALYSIS SWOT analysis is a strategic planning method used to evaluate the Strengths, Weaknesses, Opportunities, and Threats involved in a project or in a business venture. It involves specifying the objective of the business venture or project and identifying the internal and external factors that are favourable and unfavourable to achieve that objective. The technique is credited to Albert Humphrey, who led a convention at Stanford University in the 1960s and 1970s using data from Fortune 500 companies. A SWOT analysis must first start with defining a desired end state or objective. A SWOT analysis may be incorporated into the strategic planning model. Strategic Planning has been the subject of much research.  Strengths: characteristics of the business or team that give it an advantage over others in the industry.  Weaknesses: are characteristics that place the firm at a disadvantage relative to others.  Opportunities: external chances to make greater sales or profits in the environment.  Threats: external elements in the environment that could cause trouble for the business. Identification of SWOTs is essential because subsequent steps in the process of planning for achievement of the selected objective may be derived from the SWOTs. First, the decision makers have to determine whether the objective is attainable, given the SWOTs. If the objective is not attainable a different objective must be selected and the process repeated. The SWOT analysis is often used in academia to highlight and identify strengths, weaknesses, opportunities and threats. It is particularly helpful in identifying areas for development.
  • 51.
    ORGANISATION STUDY ATMILMA, KOLLAM DAIRY 51 STRENGTH  Good brand name in the Kerala dairy market.  Kollam Milma holds the major market share in Kollam dairy market, especially milk.  Meets the market demand appropriately.  There is good coordination between the Manager and the departmental heads.  There is good interrelationship between all departments.  There is active customer complaint cell.  There are great number of employees benefits schemes.  Eco-friendly plant.  Strike free campus.  Strict disciplinary actions and quick grievance redressal are taken.  Ensures timely quality testing of milk andother related products.  Maintains quality standards such as ISO. WEAKNESS  Faces milk shortage.  Outdated machines plant.  Plant is not fully automated.  No computerised warning system in plant for detecting problems.  The Kollam Milma unit cannot take independent decisions on major situations since head office is the prime authority.  Just meeting the demands of the market rather creating more demand.  There is no R&D department.  No recreational activities for the workers. OPPORTUNITIES  More scope to procure milk from other states, which is not much expensive plus ensures good quality.  Good scope for capturing huge market share in the milk products category.  More opportunities to create demand in rural areas. THREATS  Faces milk shortage within the state.  Government‟s decisions regarding procuring milk from Tamil Nadu may result in loss making due to high price.  New competitor, Thripthi may reduce market share.  Customers preferring other brands‟ milk products.
  • 52.
    ORGANISATION STUDY ATMILMA, KOLLAM DAIRY 52 STRENGTHS Milma is one of the first organizations to enter into the Kerala milk market through the introduction of packed milk. The large acceptance of packed milk of Milmaamong customers made the Milma successful. This gradually created Milma as trust worthy one. All these lead to capture 45% of the market share. Kollam Milma Dairy is successful in delivering quality milk products in time to its dealers and customers, so customer always rely on Milma products. Strength of Milma is its employees. They are provided with various incentives and benefit schemes. WEAKNESS Milma‟s plant is not modernized one, so there is less computerized works. There is lack of R&D works in the organiastion, which is very essential for surviving in the business. Even though the employees have various incentives and schemes, it does not have recreational activities. Independent Milma units are able take their own decisions on major issues, since top management involves in it. OPPORTUNITIES Since Milma has good name among the customers it can introduce new milk products. The market share of Milma can be increased through creating more demand in rural areas. The sale of chocolates can be increased by effective promotion activities in the urban areas. THREATS Facing milk shortage within the state is a serious issue. Customers prefer other brand‟s milk product is another issue. Very soon government supported milk organiastion,Thripthi would be a big competitor to capture the major market share. SWOT analysis of this organiastion shows its strengths as well as its weakness. This may enable the company to improve its prevailing methods of production. The firm can make significant results by implementing good business strategies, which may retain and increase the market share of Milma.
  • 53.
    ORGANISATION STUDY ATMILMA, KOLLAM DAIRY 53 FINDINGS, SUGGESTIONS & CONCLUSIONS 7.1 FINDINGS The following are the findings: 1. The Kollam Milma unit cannot take independent decisions on major situations since head office is the prime authority. 2. The plant lacks modern machines which are required to produce efficiently. 3. There is no computerised alert system to detect problems in the plant. 4. The firm planning to implement finger pressing system at the entry gate. 5. The incoming of the trays into the plant found to be slow, which may result in delaying of packing the packed milk. 6. There is no scope for developing of new products. 7. It was found that the firm just meet the required demands rather than creating demand. This was seen in the milk products especially sambharam. 8. There are no recreational activities for the workers. 9. The study revealed that Kollam Milma unit faces milk shortage within the state. 10. In a day around 100 packets of milk are being torn due to improper packing, storing in old and bad conditioned trays. 7.2 SUGGESTIONS The following suggestions may help the firm to gain good results, 1. Implementation of modern equipments is needed to produce efficiently. 2. Implementation of a computerised alert system may help to detect problems quickly. 3. An aggressive promotion of products is needed from the marketing department. 4. The HRD dept should try all efforts to implement the finger punching impressing system instead of punching system without any chances for unrest in the firm. 5. The Engineering dept should try to maintain proper working of the plant in certain areas which are not given much importance, especially the breakdown of the conveyor for bringing the trays from outside. 6. There are certain areas to improve such as to implement R& D department for producing new products.
  • 54.
    ORGANISATION STUDY ATMILMA, KOLLAM DAIRY 54 7. More production and promotion of Sambharam may increase the market in the Sabarimala season. 8. The firm may make policy to establish recreational activities for the workers. 9. The Kollam unit may try to procure milk from other states which incur less cost and provide good quality. 10. Proper packing of milk packets is essentially needed as well as good trays are needed for storing it. 7.3 CONCLUSION The organisation study at Milma was done with an objective to understanding how an organiastion functions, what are its major departments and functioning of these departments. The study at Milma provided the opportunity to learn the organiastional goals and objectives, various department that conduct critical functions and the interrelation between them. Milma is observed to be an organiastion that not only has an objective of working profitably but also a socially responsible organiastion that cares of different sections of the society viz ; the milk producers, and the milk consumers. The organiastion, Milma has established different departments based on functions like procurement, production, human resource, marketing etc. It ensures quality of product through established systems which are monitored by quality control department. Finally the project enabled understanding of an organiastion and its objectives and how they function to achieve organiastional objectives.
  • 55.
    ORGANISATION STUDY ATMILMA, KOLLAM DAIRY 55 BIBLIOGRAPHY 1. Koontz, Harold, Weihrich,Heinz, (2008); “Essentials of Principles of Management”. New Delhi: TataMc-Graw – Hill. 2. Chabara,T.N,2008,“Principles & Practices of Management”: DhanpatRai& Co 3. Aswathappa,K.,2009, “Human Resource Management” New Delhi: Tata McGraw Hill Education Private Limited 4. Kotler, Philip, Armstrong, Gary,2006, “Principles of Marketing”. New Delhi: Pearson Education WEBSITES 1. Retrieved November 16, 2010, from http://www.milmatrcmpu.com/organisation.jsp 2. Retrieved November 18, 2010, from http://www.amul.com/organisation.html 3. Retrieved November 19, 2010, fromhttp://www.indiaagronet.com/indiaagronet/ agronet_home/agrinethome.html 4. Retrieved November 21, 2010, fromhttp://en.wikipedia.org/wiki/Kerala_Co- operative_Milk_Marketing_Federation