Int J Flex Manuf Syst (2006) 17: 119–149
DOI 10.1007/s10696-006-8124-z
Cascading flowlines and layout modules: Practical
strategies for machine duplication in facility layouts
Shahrukh A. Irani · Heng Huang
C Springer Science + Business Media, LLC 2006
Abstract The standard approach for design of a layout for a high-variety low-volume
(HVLV) manufacturing facility has been to use either a from-to chart or a multi-product
process chart to design a process layout or a cellular layout, respectively, for the facility.
Considerable research has focused on making a go-no go decision to implement any one
of these two traditional layouts as the preferred layout for an HVLV manufacturing facility.
This paper introduces a variety of Hybrid Cellular Layouts (HCLs) which integrate the at-
tributes of the traditional functional, cellular and flowline layouts. The mathematical models
and methods for design of two HCLs—cascading flowline layout and modular layout—are
discussed in detail. Unlike the standard models in the literature, the design of the cascading
flowline layout introduces a novel string-to-graph aggregation and planar graph embedding
method that allows machine duplication in the layout. Similarly, the design of the Modular
layout introduces a substring clustering method instead of the standard method of cluster
analysis to form part families using the complete routings of the parts. For each HCL, results
from an industry project are presented to demonstrate the real-world viability of the concepts,
methods and software developed to support the design of HCLs for high-variety low-volume
manufacturing facilities.
Keywords Jobshop · FMS · Hybrid cellular layout · Cascading flowline layout · Modular
layout
1. Introduction
The functional layout and cellular layout are traditional layout choices for a HVLV man-
ufacturing facility. The functional layout has advantages such as high machine utilization
at workcenters and high flexibility in allocating operations to alternative machines in any
workcenter. However, it has disadvantages such as high throughput times, high WIP levels,
complex order tracking and production control, long setups, and high frequency of setup
S. A. Irani ( ) · H. Huang
Department of Industrial, Welding and Systems Engineering, The Ohio State University,
Columbus, OH 43210
Springer
120 Int J Flex Manuf Syst (2006) 17: 119–149
changes. In direct contrast, the cellular layout has advantages such as low lead times and
low WIP levels. However, high machine utilization is not guaranteed in all cells unless de-
mand for the parts they produce is high enough and stable enough to achieve the desired
utilization of cell resources. Also, in case of machine breakdowns and changes in demand or
product mix, a cell designed to produce a single part family is inflexible and unsuitable for
reconfiguration.
Job shops may be ill-advised to undertake a complete reorganization into physical cells
designed to make specific part families, unless the customer base, part mix and order vol-
umes for the cells will be stable in the long term. Significant changes in product mix and/or
order quantities, which are usually the downfall of a cellular layout, promoted the concept
of virtual cells in an existing functional layout (Irani, Cohen, and Cavalier, 1992; Irani,
Cavalier, and Cohen, 1993; Suresh and Slomp, 2005). In fact, a consulting company, syn-
chronous management has developed and implemented an approach for job shops, called
MTO (Make-To-Order) Kanban (http://www.synchronousmanagement.com/mto-ful.html),
that allows them to retain their existing functional layout and relies on Rough-Cut Capac-
ity Requirements Planning, daily production meetings and shop floor vigilance to progress
and track orders! And, new concepts in factory design that rely on computer-aided commu-
nication and connectivity between workcenters using Enterprise Resource Planning (ERP)
systems, Finite Capacity Scheduling (FCS) systems and Manufacturing Execution Systems
(MES), plus lighter and mobile machines, have allowed jobshops to operate virtual cells and
reconfigurable cells, instead of (rigid and inflexible) physical cells.
Developments in shop floor control technology and material handling systems have re-
duced the impact of travel distances and inter-operation separation of consecutive processes
on the type of physical layout designed for a facility. This paper describes a variety of HCLs
that attempt to avoid the physical separation of identical machines in several cells without
destroying the original cell compositions. All of these layouts are developed from the initial
machine-part grouping analysis used to design independent cells. However, during the layout
phase, creative layout strategies are used to place the shared machines as if they had been
retained in functional groups (“process villages”). Instead of a pure cellular or functional
layout for a jobshop, these layouts represent a novel fusion of partial conversion to a cellular
layout, functional grouping of several shared machine types, limited physical duplication of
shared machines and intercell flows.
2. Review of academic research literature
Recent research literature on facility layout design discusses new layouts — agile, dynamic,
holographic, hybrid, robust, flexible, holonic, cells (fractal, virtual, cascading, linked, re-
mainder, etc.), hybrid flowshops - that are essentially novel combinations of process vs.
product (or part family) focus. A detailed review of these layouts is presented in Huang and
Irani (2003). Here we present only an overview of these layouts and the novel philosophy
underlying each of them. Process fractals (Askin et al., 1996; and Venkatadri et al., 1997)
have the material handling, scheduling, and teamwork advantages of manufacturing cells,
but are more flexible to changes in demand and product mix. Agile manufacturing layouts
(Kochhar and Heragu, 1999; and Montreuil, 2000) permit a high degree of adaptability and
responsiveness to changes in product mix and demand across multiple production periods by
rapid reconfiguration of an existing layout. Multi-Channel Manufacturing (Meller, 2000), or
MCM for short, provide multiple channels (or alternative routings) for most manufactured
products flowing through the manufacturing facility through capital investment in additional
workcenters. Flexible layouts (Benjaafar and Sheikhzadeh, 2000) allow for the possibility of
Springer
Int J Flex Manuf Syst (2006) 17: 119–149 121
multiple processing departments of the same type being distributed in different areas of the
same facility, which increases job routing flexibility even in the absence of volume and/or
mix variability. Responsibility networks (Montreuil and Lefrancois, 1996) are comprised of
a variety of cells, such as product cells (each cell is devoted to a single product), group cells
(each cell is responsible for a specific group of products or a part family) and fractal cells
(each cell is a functional group of equipment with similar or identical processing capabilities).
Modular layouts (Irani and Huang, 2000) decompose a facility into a network of different
manufacturing subsystems (layout modules), each of which has well-understood schedul-
ing characteristics. A module could be a machining center, flowline, branched flowline,
multi-product multi-machine flowshop, multi-product multi-machine cell, or a functional
department. Virtual Cells (Drolet, Moodie, and Montreuil, 1989) are groups of machines,
each cell being dedicated to a specific part family; however, there is no physical reconfigu-
ration of the existing facility into a cellular layout. Jensen, Malhotra and Philipoom (1996)
investigated the performance of traditional and GT-based scheduling procedures in different
shops—functional jobshop, pure cell shop and routing flexibility cell shop. They concluded
that “. . . using a shop layout that lies somewhere between a functional layout and a pure cell
layout can work well if significant setup savings can result from machine customization”.
Vakharia, Moily, and Huang (1999) compared the performance of virtual cells and multi-
stage flow shops using analytical models. For a detailed review of new ideas in facility layout
observed across industry please refer to Huang and Irani (2003).
3. Hybrid cellular layouts
A significant portion of the research literature is focused on two areas: (1) Design of cellular
layouts and (2) Comparison of the performance of various layouts (functional vs. cellular
layout vs. virtual cellular). In the former area, despite the considerable research, there is
no accepted software/tool produced for industrial use. In the latter area, there is no specific
method/approach developed for design of virtual cells. Clearly, there is a void between
research/theory and practice/implementation in industry.
The research reported in this paper explores a fundamentally different research direction:
r If the design of cells requires significant duplication of identical machines in two or more
cells, why even solve the K-Cluster graph partitioning problem at all? Why even implement
a traditional cellular layout with intercell flows and machine duplication?
r Why not identify an intermediate spectrum of layouts that range between the two extremes
of the functional and cellular layouts?
r Could we develop methods to design these layouts (HCLs) that are usable in real-world
industry projects, where large data sets with implicit cluster overlap and machine sharing
are the norm?
Our preliminary research results indicate that these layouts could be generated by (a)
varying the extent of machine duplication in the layout and (b) eliminating the requirement
that a cell must process a complete family of parts. Examples of these intermediate layouts,
called HCLs, are cascading cells, remainder cells, hybrid flowshops, virtual cells, overlapping
cells, and layout modules (or Partial Cells). The primary design strategy for generating
these layouts is to form the cells. However, during the placement and floor-planning phase,
maximum closeness between all pairs of identical machines in different cells is sought in
order to retain each group of identical machines in a process department, as in a functional
layout. We will now illustrate this spectrum of layouts using a small dataset.
Table 1 shows the routing of each product in a hypothetical facility that consists of 12
machines and produces 19 products. Figures 1 and 2 show a functional layout and a cellular
Springer
122 Int J Flex Manuf Syst (2006) 17: 119–149
Table 1 Operation sequences of products
Product # Sequence Production quantity
1 1→4→8→9 2
2 1→4→7→4→8→7 3
3 1→2→4→7→8→9 1
4 1→4→7→9 3
5 1→6→10→7→9 2
6 6→10→7→8→9 1
7 6→4→8→9 2
8 3→5→2→6→4→8→9 1
9 3→5→6→4→8→9 1
10 4→7→4→8 2
11 6 3
12 11→7→12 1
13 11→12 1
14 11→7→10 3
15 1→7→11→10→11→12 1
16 1→7→11→10→11→12 2
17 11→7→12 1
18 6→7→10 3
19 12 2
Fig. 1 Functional layout
layout with three cells to produce the sample of parts in Table 1, respectively. With reference
to the cells shown in Fig. 2, machine types 1, 6, 7, 9 and 10 have been physically duplicated
among the cells. This physical duplication of identical machines into cells destroys the
flexibility that is attained in a functional layout in which all machines of a shared type are
co-located in a functional group. To avoid physical machine duplication, we propose use of
the following HCLs for design of jobshop layouts:
Cellular Layout with Reorientation of Cells (Fig. 3): Here, by a simple 90-degree rotation of
Cell 2, all machines of types 1 and 7 are located physically adjacent to each other, as if in
a Functional layout, even as the original allocation of machines to cells is retained.
Cellular Layout with Reorientation and Reshaping of Cells (Fig. 4): This HCL was generated
by a reorientation and reshaping of one or more cells. Instead of retaining the U (or
rectangular) shape for all cells, cells are allowed to have L (or S) shapes, which allows
Springer
Int J Flex Manuf Syst (2006) 17: 119–149 123
Fig. 2 Cellular layout with three
cells
more machine types that, otherwise would have been distributed among the cells, to remain
co-located in functional groups.
Cellular Layout with S-shaped Flowlines (Fig. 5): This layout is similar to Fig. 3. First,
a Flowline layout was developed for each of the cells. Next, the cells were arranged in
parallel to minimize intercell flows. Finally, their linear shapes were modified into S-shapes
to group identical machines into functional groups.
Hybrid Flowshop Layout (Fig. 6): In this layout, unlike a traditional manufacturing cell,
each group of machines does not process a family of parts. The machines are allo-
cated into several groups of machines (layout modules) and the groups are arranged
in a line. Each module (or stage) in the resulting flowshop can perform one or more
consecutive operations occurring in the operation sequence of almost every part. In a
pure flowshop, the routing of every product is identical to the sequence of machines
that comprises the linear layout of the flowshop. For example, in the HCL shown
in Figure 6, only the pair of operations, 7 → 4, in the routings of parts 2 and 10
cause flow backtracking in the layout. Otherwise, if every part routing in Table 1 is
mapped onto the layout shown in Figure 6, then the travel path of each part for con-
secutive operations will be in-sequence or forward bypass between any two of the five
Fig. 3 Cellular layout with reorientation of cells
Springer
124 Int J Flex Manuf Syst (2006) 17: 119–149
Fig. 4 Cellular layout with
reorientation and reshaping of
cells
Fig. 5 Cellular layout with S-shaped flowlines in parallel
Fig. 6 Hybrid flowshop layout
Springer
Int J Flex Manuf Syst (2006) 17: 119–149 125
Fig. 7 Virtual cellular layout
processing stages in the flowshop. If an additional Machine # 4 could have been purchased
and allocated to the third stage in Fig. 6, then no backtracking would have existed. This
HCL has the potential to reduce the complex material flow network in any jobshop into
the linear flow network that is characteristic of a flowshop! The substring identification
and clustering technique used to identify the layout modules that are then arranged in a
linear or network configuration is described elsewhere (Irani and Huang, 2000).
Virtual Cellular Layout (Fig. 7): The layouts in Figs. 3–6 demonstrate the basic objective
of HCLs to minimize the number of machine types that cannot be retained in functional
groups in a pure Cellular Layout. Even though the shared machine types are located
in functional groups, their setups can remain dedicated to a particular family of parts
assigned for production in a specific manufacturing cell. Furthermore, this type of “virtual”
manufacturing focus could also be obtained without creating a cellular layout by dedicating
a particular material handler to move all parts belonging to a particular family among the
necessary machines distributed across the facility. In the virtual cellular layout, machines
shared by several cells are assumed retained in functional groups if these cells can be
located adjacent to each other. This adjacency among the cells allows the machine groups
based on the part families to be virtual, i.e. a particular material handler links machines in
adjacent cells that are required by a part family without necessitating (rigid and inflexible)
physical co-location of the machines in any cell.
Cellular Layout with a Remainder Cell (Fig. 8): In this layout, one or more shared machine
types are retained in a remainder cell accessible to all the cells that need to share capacity
on these machines. The original compositions of Cells 1 and 2 shown in Fig. 3 were relaxed
to facilitate flows of parts through the remainder cell. Machines in the remainder cell were
arranged using standard methods for design of a functional layout.
Cascading Flowline Layout (Table 2): This layout depends on the routing similarity between
parts. The cells are designed such that simple parts get routed to small cells and complex
parts get routed to larger, more complex cells. The complexity of a routing is determined
by the number of unique workcenters (or machines) that are required to make it, regardless
of multiple non-consecutive occurrences that could result in flow backtracking. There is
no intercell movement for any part i.e. every part gets processed in at most one cell. A
new flow mapping technique—Modified Multi-Product Process Chart (MM-PPC)—was
Springer
126 Int J Flex Manuf Syst (2006) 17: 119–149
Fig. 8 Cellular layout with a
remainder cell
developed to design this layout for high-mix low-volume manufacturing facilities (Zhou
and Irani, 2003).
4. Design of cascading flowline layouts
A linear embedding of the routing of each part in the product mix of a high-variety low-
volume manufacturing facility is equivalent to a flowline layout for the product. Planar
embedding on a rectilinear grid of a linear permutation of the product routings such that
adjacent flowlines have common substrings of operations results in a Cascading Flow-
line Layout (CFL). Tables 3 and 4 present routings from an actual sample of machine
parts obtained from industry (Sekine and Arai, 1992). In the first phase of development
of the CFL, as shown in Fig. 9, a horizontal permutation of the routings is done to max-
imize adjacencies between pairs of routings that are similar or identical (Askin and Zhou,
1998).
In the second phase of development of the CFL, as shown in Fig. 9, a vertical string
alignment (Gusfield, 1997) between adjacent pairs of routings matches/blends them at com-
mon operations (or substrings of operations), in order to maximize machine co-location into
process (or functional) groups to minimize machine duplication in the entire layout. This
two-phase procedure results in the same machine type appearing in the same row across sev-
eral consecutive columns in the rectilinear grid. Figure 10 illustrates how the non-adjacencies
between locations on the rectilinear grid that represents the (planar) floorplan of the facility
can suggest the need for machine duplication at non-adjacent locations. Figure 11 shows the
resulting CFL. The procedure for design of this HCL is completely unlike any existing layout
design method because, unlike the grid-oriented methods based on the Quadratic Assignment
Problem (QAP), it shapes the layout grid to fit the flow network implicit to the product mix
(Zhou and Irani, 2003).
Recently (based on private communication from Ms. Sharon Hale, Continuous Improve-
ment Consultant, Seattle Children’s Hospital), the authors identified a potential application
of Cascading Flowline Layouts and Layout Modules in the design of the Emergency De-
partment (ED) in any hospital. A Process Sequence Analysis of the three major classes of
Springer
Int J Flex Manuf Syst (2006) 17: 119–149 127
Table 2 Cascading flowline layout
patients (Patient Acuity Level = Fast, Medium or Complex) yielded routings as follows:
Routing for Acuity Level = FAST:
Registration → Triage → Assessment → Treatment → Disposition
Routing for Acuity Level = MEDIUM:
Registration → Triage → Assessment → Treatment → Ancillary Services →
Treatment → Disposition
Springer
128 Int J Flex Manuf Syst (2006) 17: 119–149
Table 3 Routings for a sample of parts (Sekine at al., 1992)
Part # Part name Operation sequence Batch quantity
1 Slider (a) 6→9→10→11→12 1
2 Slider (b) 4→6→9→10→11→12 1
3 Press Brace 5→8→9→10 1
4 Bracket #1 4→7→9→10 1
5 Table 3→7→10→12 1
6 Damper 1→7→9→10 2
7 Bracket #2 1→8→9→10 1
8 Support 4→7→9 2
9 Housing 2→7→9 1
10 Flange 2→9 1
11 Shaft 3→9→10→12 1
12 Base 3→6→4→10→12 1
13 Spacer 4→6→4→10→12 1
Table 4 Description of machines in the facility
Machine # Machine name Quantity
1 NC Lathe (LB15) 1
2 NC Lathe (LB20) 1
3 Horizontal Mill (M) 1
4 Upright Mill (VM) 1
5 Compact Mill (BM) 1
6 Upright MC (6VA) 1
7 NC for Screw Holes (TNC) 1
8 Marker (MRK) 1
9 Drilling Machine (B) 1
10 Manual Operations (MAN) 1
11 Honing (H) 1
12 Grinder (G) 1
Routing for Acuity Level = COMPLEX:
Registration → Triage → Assessment → Treatment → Ancillary Services →
Consult → Treatment → Ancillary Services → Consult → Treatment → Con-
sult → Ancillary Services → Treatment → Disposition
4.1. Mathematical formulation of the CFL design problem
Let be a finite alphabet for machine types and let denote ∪{−}, where “−” denotes
“space”. The grid representation of P operation sequences, each with length lp for product p,
canbespecifiedbyan L × P gridG,whereeachelementofthegridisamemberof .Listhe
length of the grid based on the worst case alignment of any pair of strings = 2 × maxp(lp).
When a routing is embedded in any column in the grid G, one or more spaces could be
embedded between pairs of consecutive operations in the routing. The problem of optimal
Springer
Int J Flex Manuf Syst (2006) 17: 119–149 129
Fig. 9 Grid embedding of the cascading flowline layout
Fig. 10 Machine duplication at non-adjacent locations in the rectilinear grid [Note: “m#” refers to
Machine Number]
Fig. 11 Material flow network for the cascading flowline layout
Springer
130 Int J Flex Manuf Syst (2006) 17: 119–149
allocation of machines and routings on the grid can be formulated as follows:
min
P
p=1
lp
k=1
cR
mpk
−
P−1
x=1
L
y=1
P
p=1
lp
k=1
cR
mpk
apkxy vxy (1)
min
P
p=1
P
x=1
L
y=1
cH
p y · aplp xy −
P
p=1
P
x=1
L
y=1
cH
p y · ap1xy
−
P
x=1
L−1
y=1
P
p=1
lp−1
k=1
cH
p apkxyap(k+1)x(y+1) (2)
subject to:
P
x=1
L
y=1
apkxy = 1 p = 1, . . . , P, k = 1, . . . ,lp (3)
P
p=1
lp
k=1
apkxy ≤ 1 x = 1, . . . , P, y = 1, . . . , L (4)
x · apkxy = x ·px ap(k+1)x y k = 1, . . . ,lp − 1, p = 1, . . . , P, x = 1, . . . P,
y = 1, . . . , L (5)
y · apkxy < y · ap(k+1)xy k = 1, . . . ,lp − 1, p = 1, . . . , P, x = 1, . . . P,
y = 1, . . . , L (6)
where:
vxy =
1 if apkxy ap k (x+1) y = 1 and mpk = mp k
0 otherwise
x = 1, . . . P − 1, y = 1, . . . , L
apkxy =
1 if kth operation of product p is assigned to grid location (x,y)
0 otherwise
lp number of operations in the routing of product p, p = 1, . . ., P
mpk machine type used for the kth operation in the routing of product p, mpk ∈ {1, 2,...M}
p = 1, . . ., P, k = 1, . . ., lp
L upper limit on the number of rows in the grid = 2 × max
p
(lp)
P total number of products
M total number of machine types
cR
mpk
fixed cost of a copy of machine type mpk
cH
p material handling cost associated with product
p per unit distance of travel on the grid
The decision variables in the above model are the flow allocations on the grid apkxy, with
the objective of minimizing machine duplication cost and cost of material handling for bypass
moves in any flowline. The first term in the objective function (2) is the total material handling
cost. The second term is the total material handling cost for adjacent flows. Constraint sets
Springer
Int J Flex Manuf Syst (2006) 17: 119–149 131
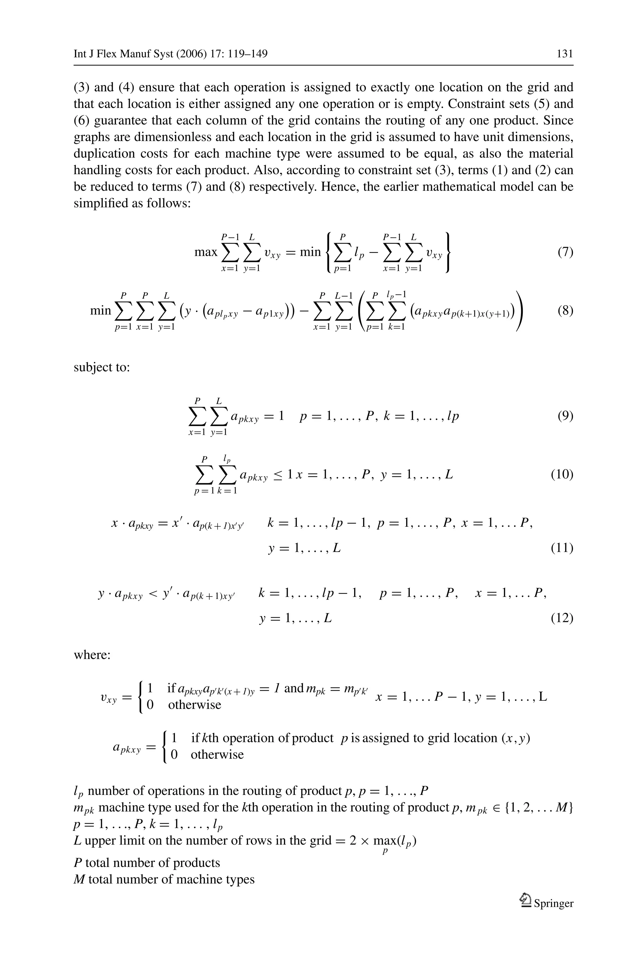
(3) and (4) ensure that each operation is assigned to exactly one location on the grid and
that each location is either assigned any one operation or is empty. Constraint sets (5) and
(6) guarantee that each column of the grid contains the routing of any one product. Since
graphs are dimensionless and each location in the grid is assumed to have unit dimensions,
duplication costs for each machine type were assumed to be equal, as also the material
handling costs for each product. Also, according to constraint set (3), terms (1) and (2) can
be reduced to terms (7) and (8) respectively. Hence, the earlier mathematical model can be
simplified as follows:
max
P−1
x=1
L
y=1
vxy = min
P
p=1
lp −
P−1
x=1
L
y=1
vxy (7)
min
P
p=1
P
x=1
L
y=1
y · aplp xy − ap1xy −
P
x=1
L−1
y=1
P
p=1
lp−1
k=1
apkxyap(k+1)x(y+1) (8)
subject to:
P
x=1
L
y=1
apkxy = 1 p = 1, . . . , P, k = 1, . . . ,lp (9)
P
p = 1
lp
k = 1
apkxy ≤ 1 x = 1, . . . , P, y = 1, . . . , L (10)
x · apkxy = x · ap(k + 1)x y k = 1, . . . ,lp − 1, p = 1, . . . , P, x = 1, . . . P,
y = 1, . . . , L (11)
y · apkxy < y · ap(k + 1)xy k = 1, . . . ,lp − 1, p = 1, . . . , P, x = 1, . . . P,
y = 1, . . . , L (12)
where:
vxy =
1 if apkxyap k (x + 1)y = 1 and mpk = mp k
0 otherwise
x = 1, . . . P − 1, y = 1, . . . , L
apkxy =
1 if kth operation of product p is assigned to grid location (x,y)
0 otherwise
lp number of operations in the routing of product p, p = 1, . . ., P
mpk machine type used for the kth operation in the routing of product p, mpk ∈ {1, 2, . . . M}
p = 1, . . ., P, k = 1, . . . , lp
L upper limit on the number of rows in the grid = 2 × max
p
(lp)
P total number of products
M total number of machine types
Springer
132 Int J Flex Manuf Syst (2006) 17: 119–149
In the CFL design problem, dual objectives of minimizing costs of machine duplication
at non-adjacent locations and material handling cost for the products need to be fulfilled. In
the rectilinear grid in which the routings are embedded, each location in the grid is a machine
type assigned to that location. Maximization of the occurrence of a machine type in any
row across consecutive columns is equivalent to the minimization of machine duplications at
non-adjacent locations. Hence, the objective function in objective function (7) is a measure
of adjacencies between identical machines in a grid layout, similar to the Bond Energy in
matrix clustering (McCormick et al., 1972). Minimization of the material handling cost for
a product requires (a) the (vertical) travel distance between the locations of its first and
last operations in the column to be minimized and (b) the number of bypass flows (each
bypass flow corresponds to a pair of consecutive operations in the routing that is separated
by at least one “−” element) in the flowline to be minimized. Hence, objective function (8)
is a surrogate measure of material handling cost in the grid layout for a set of cascading
product-based flowlines (CFL).
4.2. Algorithms used for design of CFL
The optimal embedding of the sample of product routings onto the rectilinear layout grid
to minimize machine duplication and material handling costs, as computed using terms
(7) and (8), requires two problems to be solved—Problem #1: Determination of the hori-
zontal permutation of routings to minimize machine duplication in non-adjacent columns
of the grid, and, Problem #2: Vertical alignment of consecutive pairs of routings to min-
imize material handling cost for each product in its flowline. Since both problems are
NP-complete (Parker and Rardin, 1982), heuristic algorithms were developed for their
solution.
Solution of Problem #1: The solution of Problem #1 requires a similarity matrix for all
pairs of routings where the similarity of any pair of strings (or routings) measures the number
of common machines that match in both routings. The similarity between any pair of product
routings (P = 2) is the length of the Longest Common Subsequence (LCS). Note that the LCS
problem is a special case of the Optimal Alignment Problem (OAP) discussed in (Gusfield,
1997). Given two strings of length n and m, both problems can be solved in O(nm) time using
dynamic programming. Let sp1 p2
be the LCS-similarity between the routings of products p1
and p2. It is required to find a permutation of the products that maximizes the LCS-similarity
of all consecutive pairs of columns in the grid. This permutation of products corresponds to
an acyclic Traveling Salesman Problem (TSP) using the LCS-similarity matrix as input. This
problem can be formulated as follows.
max
p1,p2∈{1,...P}
p1=p2
P
x = 1
sp1 p2
bp1 x bp2(x + 1)
subject to:
P
p = 1
bpx = 1 x = 1, . . . , P
P
x = 1
bpx = 1 p = 1, . . . , P
Springer
Int J Flex Manuf Syst (2006) 17: 119–149 133
where:
bpx =
1 if the operation sequence of product p is assigned to column x in the layout grid
0 otherwise
Solution of Problem #2: Problem #2 is the Optimal Alignment Problem (OAP) discussed
in (Gusfield, 1997). The pairwise alignment procedure used in this research can be ex-
plained as follows – Consider two strings S1 and S2 of lengths l1 and l2, respectively and
let S[i. . . j] be a substring in S that starts at position i and ends at position j in the rout-
ing. For any two characters x, y in ’, V (x, y) denotes the score (or value) obtained by
aligning character x with character y in the same row and in adjacent columns in the grid.
Similar to the scoring of grid adjacencies in the Bond Energy, the (pairwise) adjacency re-
lationship between the two characters x and y in the grid layout could be scored in several
ways: match (identical characters), mismatch (non-identical characters) or space (a char-
acter and a “−”). Matches are assigned a positive value while mismatches and spaces are
assigned zero (or negative) values. In the computer program, the score for each match, mis-
match, and space is specified by variables smatch, smis, and sspace, respectively. Since
our goal is to maximize the number of matches over all machine types, according to term
(7), we let smis = sspace = 0, smatch = 1. For example, consider the following two
routings:
S1 = (A, B, C)
S2 = (A, C, D)
Before alignment the adjacency score between them is 1. After alignment, the score be-
tween them is 2.
S1 = (A, B, C, −)
S2 = (A, −, C, D)
The above scoring scheme can be adjusted to reflect machine duplication cost, similar
processing capabilities of different machine types, constraints on whether certain machine
types can be located adjacent to each other in the layout grid, etc. For example, if a certain
machine type is expensive, then a high weight can be assigned to each of its matches. This
will force all parts requiring this machine type to be assigned to adjacent columns in the
horizontal permutation in order to reduce machine duplication costs.
In order to extend the algorithm for two-string alignment to the case of alignment of a
sequence of P strings, several modifications needed to be made to the core algorithm as
follows—Suppose that consecutive strings Si and Si+1 are being aligned, then when a space
is inserted after Si [x], all previous strings need to be adjusted to keep intact all prior matches
and spaces must be inserted after the locations S1[x], . . ., Si−1[x] to offset each of the previous
(i−1) strings. This is illustrated using the following simple example:
S1 = (A, B, C)
S2 = (B, C, D)
S3 = (B, E, C).
Springer
134 Int J Flex Manuf Syst (2006) 17: 119–149
After alignment of S1 and S2, the embedding of the strings becomes:
S1 = (A, B, C)
S2 = (B, C, D)
S3 = (B, E, C).
After alignment of S2 and S3 without adjustment, the embedding of the strings becomes:
S1 = (A, B, C)
S2 = (B, C, D)
S3 = (B, E, C).
With adjustment, the embedding of the strings becomes:
S1 = (A, B, C)
S2 = (B, C, D)
S3 = (B, E, C).
The main algorithm is as follows:
1) Initialize P sequences S1, . . . SP ,
2) for i = 1 to k−1
for j = 2 to k
call LCS(Si , Sj )
3) Generate TSP permutation = {π(1), π(2), . . ., π(k)} and Si = Sπ (i ) for i = 1, 2,. . ., k.
4) for i = 1 to k−1
call Alignment (Si , Si+1)
5) for i = k to 2
call Alignment (Si , Si−1)
For an L × P grid, the time complexity of this algorithm is O(P2
L2
).
The LCS algorithm for two strings is as follows:
procedure LCS(S1, S2)
for i = 1 to l1 do
for j = 1 to l2 do
if (S1[i] = S2[j]) then cell = 1
else cell = 0
c1 = C[i−1, j−1] +cell
c2 = C[i−1, j]
c3 = C[i, j]
C[i, j] = max
k∈{1,2,3}
{ck}
d(x,y) = C[l1, l2]
The Optimal Alignment algorithm for 2 strings is as follows:
procedure Alignment(S1, S2)
for i = 1 to l1 do
for j = 1 to l2 do
if (S1[i] = S2[j]) then cell = smatch
Springer
Int J Flex Manuf Syst (2006) 17: 119–149 135
else cell = smis
c1 = C[i−1, j−1] + cell
c2 = C[i−1, j] + sspace
c3 = C[i, j] + sspace
C[i, j] = max
k∈{1,2,3}
{ck}
Path[i, j] = k∗
, where k∗
= k max
k∈{1,2,3}
{ck}
d(x,y) = C[l1, l2]
traceback(Path, l1, l2)
procedure traceback(Path, i, j)
if i = 0 or j = 0 then return
case
Path[i, j] = 2: insert a space after S1[i−1]; traceback(Path, i−1, j)
Path[i, j] = 3: insert a space after S2[j−1]; traceback(Path, i, j−1)
end case
traceback(Path, i − 1, j − 1)
In the alignment algorithm described above, C[i, j] stores the maximum score for the
alignment of S1[1. . .i], S2[1. . . j]. The locations of the spaces that are inserted into the strings
to obtain their optimal alignment can be recovered from the traces stored in the Path[i, j]
during computation of C[i, j].
4.3. Machine duplication with capacity requirements analysis
In the case of a large number of routings, the flowline layouts for the product routings could
necessitate duplication of the same machine type at several non-adjacent locations in the
grid containing the cascading flowlines. The feasibility of assigning a machine type to each
location requires comparison of (a) the machine capacity requirements for the parts routed
through that location with (b) overall availability of machines of any type. The steps in the
process are as follows:
1) Generate the optimal rectilinear grid.
2) Indicate the capacity requirement for each machine type associated with each operation
in the grid.
3) Consolidate the capacity requirements of identical machines that occur in adjacent
columns in the grid.
4) Compute the capacity (and machine) requirements for each machine type in each of the
shaded regions in which it occurs.
5) For each machine type, if the capacity requirements in a region exceed a minimum thresh-
old, assign it to that region; else treat the operations routed to that region as “exceptions”.
The products associated with those operations will require to be routed to some other
locations in the layout.
4.4. Industrial application
This section presents the results generated using routing data for a sample of parts provided
by a Boston-based machining jobshop (www.Tecomet.com). The routings for the sample
of parts are shown in Table 5. Figure 12 shows the CFL embedded on a rectilinear grid.
Springer
136 Int J Flex Manuf Syst (2006) 17: 119–149
Table 5 Routing data from a machining jobshop
Part routings
New index Quantity 1 2 3 4 5 6 7 8 9 10
1 22546 8 94
2 720 8 10 8 O.V. 94
3 720 8 10 O.V. 18 22 94
4 5603 8 O.V. 18 96 92 96 92 8 10 94
5 900 18 96 92 96 92 18 94
6 1800 91 90 O.V. 18 96 92 96 92 8 94
7 1800 91 25 94
8 1620 8 10 94
9 720 20 91 O.V. 18 94
10 720 8 10 8 94
11 720 8 10 92 94
12 3600 8 10 O.V. 18 96 92 96 92 8 94
13 900 91 18 94
14 2520 8 10 O.V. 94
15 900 91 8 94
16 900 8 10 DFLOW 94
17 900 8 10 DFLOW O.V. 18 94
18 900 8 19 O.V. 18 25 94
19 180 19 92 8 10 8 O.V. 18 94
20 720 91 8 92 8 10 22 94
21 720 8 10 19 8 23 94
22 720 19 25 94
Fig. 12 Grid embedding of the cascading flowline layout
Figure 13 shows the machine duplication necessary to eliminate cross flows between non-
adjacent flowlines that require to use the same machine types. Figure 15 shows the equivalent
adjacency graph for the CFL shown in Figs. 12 and 13 that would become the input for any
research code available at a university (Tompkins et al., 2003) or commercially available
software for block layout design (http://www.planopt.com/VIP-PLANOPT/index.htm).
Springer
Int J Flex Manuf Syst (2006) 17: 119–149 137
Fig. 13 Machine duplication at non-adjacent locations in the rectilinear grid
Fig. 14 Cascading flowlines with machine duplication at multiple locations
Springer
138 Int J Flex Manuf Syst (2006) 17: 119–149
Fig. 15 Illustration of layout modules
5. Design of modular layouts
Experience from several machining and fabrication jobshop layout projects undertaken in
industry suggested that the material flow network in any facility layout can always be de-
composed into a network of layout modules (Irani and Huang, 2000) i.e. each layout module
represents a portion of the entire facility layout and there is material flow between various
pairs of modules (unless a module is a stand-alone cell). A layout module is essentially a
group of machines connected by a material flow network that exhibits a flow pattern charac-
teristic of a specific type of layout, such as the flowline, cellular or functional layout. Layout
modules are categorized as follows:
r Flowline Module (Fig. 15(a)): A Flowline module is a linear arrangement of machines such
that all inter-machine moves for consecutive pairs of operations on any product moving
through the line would be forward, either in-sequence or bypass. In case of backtracks, due
to multiple non-consecutive operations on the same machine, a decision could be taken
to (a) modify the linear shape into linear segments with circular/loop segments separating
pairs of consecutive linear segments, (b) retain the linear shape but utilize a bi-directional
material handling system for backtrack moves, or (c) duplicate the same machine at multiple
locations to convert backtrack moves into forward moves.
r Branched (Convergent/Divergent) Flowline Module (Fig. 15(b)): A Branched Flowline
module results when a set of products have operation sequences with one or more substrings
of operations common to all of them. At several points, the flowline will split into parallel
Springer
Int J Flex Manuf Syst (2006) 17: 119–149 139
branches, each branch containing machines unique to a particular product (or products).
These branches will merge later into a single line wherever all product(s) require the same
substring of operations.
r Patterned Flow Module (Fig. 15(c)): The material flow network in a Patterned Flow module
exhibits a flow dominance and precedence hierarchy, characteristic of an directed acyclic
digraph. This module could be further decomposed into a network of Flowline modules
and Branched Flowline modules.
r Functional Layout Module (Fig. 15(d)): A functional layout module is analogous to the
process-focused department in a traditional Functional layout in which material flows are
random. The random flows are due to the absence of any flow dominance or patterns in the
sequences in which the different machines within the module are used by different parts.
r Cell Module (Fig. 15(e)): Similar to a flowline module, a cell module is a set of dissimilar
machines which, if placed together, could produce a family of parts or products without the
products requiring visiting any additional departments or machines external to the module.
Although the parts in a family may not use all the machines and/or have the same sequence
of operations, their operation sequences have high commonality of machine requirements
and high similarity of operation sequences.
The concept of layout modules extends current thinking on input data requirements and
methods for facility layout, and supports the need for a new generation of facility layouts
beyond the traditional layouts (process, product, cellular and project) that continue to be
taught in leading textbooks (Tompkins et al., 2003) and implemented throughout industry.
Our research on layout modules extends the state-of-the-art in the theory and practice of
facility layout techniques as follows:
r The “department” in a facility is allowed to contain a combination of multiple compatible
processes, instead of a single process. Similarly, the formation of a “partial cell” is allowed
since the threshold values of operation sequence similarity for grouping dissimilar products
into families are subjective and vary with each sample of product routings specific to a
particular jobshop.
r Facility planners are allowed to take a logical approach to duplicating machines of the
same function at multiple locations in a facility based on their occurrence in different
combinations of operations required for different families of routings.
r More than one type of layout can be used to arrange the different machines and resources
in a facility.
r Design of modular layouts using operation sequences is a flexible method that could also
be used to design any facility layout.
r An approach is proposed for defining the multi-function capabilities of flexible automated
machines by identifying strings of consecutive operations common to a large number of
similar products.
5.1. Mathematical formulation of the modular layout design problem
In this section, we propose a mathematical model of the problem of designing a facility layout
as a network of layout modules. First, we make the following assumptions:
• The planning period is one year;
• The production quantity of each product type in the planning period is known;
• The transfer batch size of each product type is known;
Springer
140 Int J Flex Manuf Syst (2006) 17: 119–149
• The material handling cost per transfer batch of each product type traveling between each
pair of machine types in the planning period is known;
• There is a fixed rate penalty for products traveling between layout modules;
• The rates of the setup cost and processing cost of each product type at each machine type
in the planning period are known;
• The loading/unloading cost of each product type at each machine is ignorable;
• The amortized purchasing price per unit of each machine type in the planning period is
known;
• Each operation of each product type is only processed at one machine;
• The number of layout modules is predetermined;
• The objective is to select the best machine set for each layout module and assign each prod-
uct to the best layout module(s), such that the total production incurred cost is minimized
and all resource constraints are satisfied.
Based on the above assumptions, we formulate the problem of designing a modular layout
as follows:
Minimize
K
k=1
Ek ·
M
m=1
rkm − Lk +
T
i=1
Ni
j=1
K
k=1
M
m=1
Qi
Bi
· Sijk · xijkm
+
T
i=1
Ni
j=1
K
k=1
M
m=1
Qi · Ui jk · Pi jk · xi jkm
+
T
i=1
Ni −1
j=1
K−1
k=1
K
l=k+1
M
m=1
Hikl · xijkm · xi( j+1)lm
+
T
i=1
Ni −1
j=1
K−1
k=1
K
l=k+1
M
m=1
M
n=1;n=m
μ · Hikl · xi jkm · xi( j+1)ln (1)
Subject to:
K
k=1
M
m=1
xi jkm = 1, for each (i, j) (2)
T
i=1
Ni
j=1
Qi · Pi jk · xi jkm
Fk
≤ rkm, for each (k, m) (3)
K
k=1
rkm ≥ 1, for each m (4)
rkm ≥ 0 and integral, for each (k, m) (5)
xi jkm binary, for each (i, j, k, m) (6)
z denotes the smallest integer that is larger than or equal to z
Variables:
rkm = Number of units of machine type k assigned to module m.
xijkm = 1 if the jth
operation of product type i is processed at machine type k in module m;
= 0 otherwise.
Springer
Int J Flex Manuf Syst (2006) 17: 119–149 141
Parameters:
μ = Penalty factor for products traveling between modules.
Bi = Transfer batch size of product type i.
Ek = Annualized cost of purchasing a unit of machine type k.
Fk = Annual production time available per unit of machine type k.
Hikl = Material handling cost for transferring a batch of product type i from machine type k
to machine type l.
K = Number of machine types.
Lk = Existing number of units of machine type k.
M = Number of modules in the layout.
Ni = Number of operations in the routing of product type i.
Pi jk = Processing time of the jth
operation of product type i at machine type k.
Qi = Annual production quantity of product type i.
Si jk = Setup cost for the jth
operation of product type i at machine type k.
T = Number of product types.
Ui jk = Cost per unit time of processing the jth
operation of product type i at machine type k.
The objective function (1) minimizes the sum of prorated machine purchasing cost, setup
cost, processing cost and material handling cost. The first part of term (1) gives the amortized
cost of purchasing extra machines in the planning period; the second part of term (1) calculates
the setup cost of all the products at their assigned machines; the third part of term (1)
is the total processing cost of the products at their designated machines; the fourth and
fifth parts of term (1) calculate the intra-module and inter-module material handling costs
respectively. The inter-module material handling cost is core to the problem – for each pair
of consecutive operations in the routing of a product, we need to track the movement of the
product between the two modules where the operations are performed. We need to check if
both these operations are performed in the same module, or not. If not, it will result in an
inter-module trip that implicitly incurs high material handling costs. The ideal solution would
be to completely process each product in a cell module. Since that would entail significant
investment in extra machines, the practical strategy would be to maximize the number of
consecutive operations in each routing that are performed within the same module.
Constraint set (2) ensures that each operation in the routing of each product is performed
at one and only one machine. Constraint set (3) guarantees enough capacity for each machine
type in each layout module and implies that the integer allocation of machines of the same
type to one or more modules is constrained by the available number of machines of that type
on the shop floor i.e. acquisition of extra machines incurs a capital expense. Constraint set
(4) ensures that at least one machine is assigned to each layout module. Constraint sets (5)
and (6) are nonnegativity, binary and integer requirements.
5.2. Algorithm used for design of a modular layout
The mathematical model of designing a modular layout is a binary quadratic programming
problem containing integral components, which is known to be NP-hard. In this section, a
heuristicapproachthatintegratesthemethodsfordesignoffunctionalandcellularlayoutswill
be described. The underlying algorithms are based on group technology for machine grouping
and similarity analysis of product routings, and the string matching methods used extensively
in genetics, molecular chemistry and the biological sciences (Sankoff and Kruskal, 1983).
Springer
142 Int J Flex Manuf Syst (2006) 17: 119–149
Stage 1: Identification of common substrings, if any, between all pairs
of operation sequences
A layout module is a essentially a group of machines connected by a material flow network
that exhibits a flow pattern characteristic of a specific type of layout, and thus could have
a product, process or part family focus. A part may go through multiple layout modules
with each module processing a subset of operations for the part. In other words, a layout
module is responsible for a set of similar partial routings of parts. Hence, naturally, we start
constructing layout modules with capturing partial routings that are common among parts,
i.e. the common substrings among operation sequences. A common substring is defined as
a sequence of consecutive operations that is common to two or more operation sequences.
These operation sequences, in turn, are the superstrings of the substring. In each superstring,
an operation that does not belong to the common substring is called a residual operation with
respect to the common substring.
Stage 2: Cluster analysis of dominant common substrings to generate
basic layout modules
Based on the definition of the layout modules, the relationship between common substrings
and each type of layout module can be related to a cluster of these substrings as follows:
(1) Flowline module: A flowline module consists of a group of common substrings in which
there is one substring that is the superstring of all the other substrings.
(2) Branched flowline module: When two or more common substrings have common sub-
substringsandnocommonresidualoperationswithrespecttothecommonsub-substrings,
then the set of common substrings can be merged into a branched flowline module by plac-
ing the common sub-substrings in a single main flowline and creating parallel branches
for the residual operations.
(3) Patterned flow module: A patterned flow module also have common sub-substrings, but
the residual operations of the substrings with respect to the common sub-substrings have
common operations and the aggregated travel chart digraph obtained from the merger of
the substrings is a DAG (Directed Acyclic Graph).
(4) Functional layout module: A functional layout module is the same as a patterned flow
Layout module, except that the aggregated travel chart digraph obtained from the merger
of the substrings is cyclic. If the similarity coefficients computed for these substrings ex-
hibits poor clusterability, then a functional layout module would appear suitable for those
operations. Alternatively, if these substrings are aggregated into a travel chart digraph
which either exhibits strong connectivity or contains a large number of cycles, then this
absence of flow patterns would again suggest a Functional Layout module.
(5) Cell module: A cell module is a special type of module, because it can also be one or a
combination of the other four types of layout modules. It consists of a set of substrings,
the merger of which has the same aggregated travel chart digraph as that for the merger
of a set of original routings.
Since flowline, branched flowline, and patterned flowline modules all have preferable
DAG structures, we define these three modules as basic layout modules. The objective of
this stage is to form basic layout modules using dominant common substrings. Dominant
common substrings are those common substrings whose frequencies of occurrence in the
original routings are higher than a user defined threshold. Next, cluster analysis of dominant
common substrings needs to be performed to group similar substrings and generate basic
Springer
Int J Flex Manuf Syst (2006) 17: 119–149 143
layout modules. Here, the homogeneous agglomerative hierarchical clustering method with
the (unweighted pair-group) average linkage algorithm for cluster analysis is adopted. Fol-
lowing Mulvey and Crowder (1979), the mathematical model for homogeneous clustering
of dominant common substrings to form basic layout modules would be as follows:
(P) Minimize
I J
mij · xij
Subject to:
J
xij = 1, for all i
J
xj j = K
xij ≤ xj j , for all i, j
xijbinary, for all i, j
Each cluster has a DAG structure
where
I = Set of substrings
J = Set of eligible medians
Kj = Number of clusters
mij = Merger coefficient between substrings i and j
xij = 1 if substring i is assigned to cluster median j;
= 0 otherwise.
Given T as the number of all operation types and N as the number of common substrings,
a common substring can be represented by a T × T matrix A where
A[i, j] =
1 if there is a flow from operation i to operation j
0 otherwise
(7)
Representing each substring by a T × T matrix Ak (k = 1, . . . , N), the merger of two or
more substrings can then be represented by the matrix 2sk Ak, where
k
Ak [i, j] =
a > 0 if there is a flow from operation i to operation j
0 otherwise
(8)
The agglomerative hierarchical heuristic for solving problem (P) is described below:
(1) Let each substring Ak be a cluster, which will result in the set of clusters C = {Ck} =
{Ak}, k = 1, . . ., N.
(2) Find all strongly connected components consisting of more than two operations, if any,
contained in each substring Ak (k = 1, . . ., N) and store them in a corresponding set of
strongly connected component Sk. The strongly connected components in Sk are allowed
to occur in a basic layout module generated from Ak.
(3) Do until no clusters can be merged:
Step 1: Mark every pair of clusters as untested.
Step 2: Calculate similarity for each pair of clusters using the average linkage method.
Step 3: From the untested clusters, select the pair Ck1 and Ck2 that has the highest similarity.
Springer
144 Int J Flex Manuf Syst (2006) 17: 119–149
Step 4: Test mergeability of Ck1 and Ck2. If (Ck1 + Ck2) contains strongly connected
components that consist of more than two operations and do not belong to (Sk1∪Sk2),
Ck1 and Ck2 are not mergeable, go to Step 3; else, Ck1 and Ck2 are mergeable, replace
Ck1 and Ck2 by (Ck1 + Ck2) in cluster set C with (Sk1 ∪ Sk2) as its corresponding
strongly connected component set, mark (Ck1 + Ck2) as untested, go to Step 2.
(4) Output each of the clusters in C as a basic layout module.
In the above procedure, the strongly connected components are found using the depth
first search proposed by Tarjan (1972). The basic idea in his algorithm is to study where the
nodes of the strong components are located in the depth first spanning forest of the graph.
The nodes of every strong components form a tree in the spanning forest. To identify the
strong components, the root of each component needs to be labeled first. The root of each
component is the node in the component having the lowest number in the depth first order in
the spanning forest. When the roots are identified, the nodes in a component are obtained as
those descendants of its root that are not descendants of any other component root that is a
descendant of its root.
Stage 3: Generation of functional layout modules if necessary
If two layout modules have many common machines, they may be merged into a Function
Layout module to reduce machine duplication. The commonality between layout modules
Mi and Mj is defined as
nij
min(ni , n j )
, where nij is the number of distinct operations common
to both modules; ni and nj are the number of distinct operations contained in Mi and Mj ,
respectively. Given a user-defined threshold level of commonality V (0 ≤ V ≤ 1) for merging
layout modules, the algorithm for merging layout modules is presented as follows:
(1) Calculate the commonality between each pair of layout modules.
(2) Find the pair of layout modules with highest commonality. If the commonality is higher
than the threshold level V, then aggregate the two modules into one, go to (1); else, stop.
The selection of the threshold level V is a specific decision problem that requires the
user to perform the classical tradeoff between inter-module material flow costs and machine
duplication among the modules to eliminate the flows (Arvindh and Irani, 1994).
Stage 4: Expression of the original operation sequences in terms of the layout modules
In this stage, we replace the original part routings by the combination of residual machines
and the layout modules generated using the above procedure.
Given an operation sequence (x1, x2, . . ., xm) and layout modules M1,. . ., Mn, the procedure
is implemented by a greedy heuristic method described as below:
(1) Set i = 1; create a null operation sequence as the new sequence.
(2) If i ≤ m, find the layout module Mj which contains the longest substring that matches
(xi , xi+1, . . . , xk), where k ≤ m; else, go to (4).
(3) If k ≤ 1, then put xi as a residual machine at the end of the new sequence, i = i + 1, go
to (2); else, put Mj at the end of the new sequence, i = k + 1, go to (2).
(4) Output the new sequence as a modular sequence corresponding to the original operation
sequence.
Springer
Int J Flex Manuf Syst (2006) 17: 119–149 145
To reduce machine duplication, the sequences of modules are adjusted such that any
residual machine occurring in an adjacent layout module is absorbed into the module. This
absorption of the residual machine may cause new strongly connected components to occur
in the layout module into which the machine was absorbed, and thus destroy the flowline,
branched flowline, or patterned flow pattern in that module. In other words, a basic layout
module may become a functional layout module after the adjustment.
Stage 5: Generation of facility layout as a network of layout modules
Based on the adjusted modular sequences, a digraph representation between layout modules
and residual machines in the facility layout are generated. If one or more layout modules
and/or residual machines exhibit no flow from/to other modules and machines, then they
could be merged into a cell module. After machine capacities are calculated, a block layout
can be generated using, for example, the maximum weight planar graph embedding heuristic
proposed by Foulds and Giffin (1985). In the final layout, some process departments are
automatically split and their machines are located at non-adjacent locations; some machines
are shared by two adjacent modules due to limited machine availability. If adjacent modules
in the final layout have a high commonality of machines, then they could be aggregated into
a larger module.
5.3. Industrial application
The method for design of a modular layout was applied during a project sponsored by a
custom forge shop. The sample data provided by the company consisted of 530 products and
57 pieces of equipment. The flow diagram of its current layout (Fig. 16) shows the existing
locations of various machines and support equipment in use at the company, and the flows
in its facility. The flow path of any product starts from Receiving (IN), goes through the
sequence of machines dictated by its routing, and ends in Shipping (OUT). The flow diagram
for the proposed modular layout (Fig. 17) shows the recommended relocation and grouping
of various sets of machines into several layout modules, each of which could be operated by
a single, or small group of associates, and the flows in the proposed layout. Also, the different
modules have been assigned to a new “desired or recommended” location on the forge shop
premises in order to minimize the total distance (and time) of travel between different pairs
of modules. Machines represented as white rectangles are the “monuments” that cannot be
re-located in any new layout that the company decides to implement.
A comparison of the two flow diagrams shows that, without moving the monuments, if the
other machines on the premises were to be grouped into modules and relocated, then there
would be a drastic improvement in (1) the speed of material flows between the modules, (2) vi-
sual connectivity and communication among interdependent machines and (3) multi-machine
operation by individual operators. If it were possible to relocate some of the monuments and
place them at locations that matched their “optional locations” in the improved material flow
network, then even more significant reductions in scrap, order completion time, material
handling costs and wasted labor hours would be achieved.
6. Research contributions
From a research perspective, this paper describes radical departures from standard studies
still being undertaken in two traditionally separate research domains: cellular manufactur-
Springer
146 Int J Flex Manuf Syst (2006) 17: 119–149
Fig. 16 Flow diagram for the current layout
Fig. 17 Flow diagram for the proposed modular layout
Springer
Int J Flex Manuf Syst (2006) 17: 119–149 147
ing and facility layout. In the case of cellular manufacturing, it recommends simply not to
pursue the impractical goal of designing a cellular layout if the data indicates overlapping
clusters of parts (and machine sharing between the cells). In addition, instead of utilizing
the usual approaches of machine-part clustering or operation sequence clustering, it intro-
duces a new approach of common substring detection prior to clustering in order to design
“partial cells” (layout modules). Lastly, it presents heuristic algorithms for design of hybrid
cellular layouts that have actually been, and continue to be used, successfully in numerous
industry projects. Next, in the case of facility layout, while excellent research exists (Sherali
et al., 2003) to optimally design process layouts with unequal-sized departments, this layout
ought never to be implemented in any high-variety low-volume facility! Historically, it causes
batch-and-queue delays, results in high material handling costs and slows down or disrupts
shopfloor communications. In addition, instead of using from-to charts or 0-1 matrices as
input data, it uses the original routings which automatically results in layouts that conform
with the flow patterns implicit to the particular facility under study. Lastly, the string align-
ment algorithm with planar embedding of the resulting graphs suggests logical duplications
of shared resources. Improved material flow as an enabler of shopfloor control is important,
not the optimality of a particular type of layout that does not fit the material flow patterns
specific to each facility.
From a practical industry perspective, the ideas and heuristic methods presented in this
paper are powered by the PFAST software (Irani et al., 2000) for material flow analysis,
facilitylayoutandcellformation.Casestudiesthatdescribeindustrialadoptionoftheresearch
described in this paper are available at http://ceti.cse.ohio-state.edu/pfast. PFAST, combined
with a standard block layout package like STORM or SPIRAL is routinely used to support
course projects that IE students, both undergraduate and graduate, do at local companies or as
interns. A major sponsor of this research is the Forging Defense Manufacturing Consortium
(http://fdmc.aticorp.org/shop design.html) because custom forge shops are unable to adopt
Cellular Layouts. With their batch-processing equipment and fixed-location monuments,
they are ideal candidates for Modular Layouts and Virtual Cells. Finally, unlike the approach
proposed in Benjaafar and Sheikhzadeh (2000), the use of routings instead of From-To Charts
as the input data for facility layout significantly increases the flexibility of varying the extent
of machine grouping versus machine duplication and distribution in the layout.
7. Future work
In this research, the authors were primarily focused on solution methods that will prove
viable in industry projects. Consequently, the mathematical formulations presented in this
paper were not implemented as-is using CPLEX or other mathematical programming solvers.
However, there is a need for research to explore the maximum problem sizes that could be
optimally solved prior to resorting to the heuristic solutions proposed in this paper. For
example, how would a linearised formulation look and how do the results obtained from
solving this approximation compare against those produced by our heuristics? Also, the
mathematical formulation for the modular layout problem is essentially a variant of the
formulation for a standard cell formation problem. But that is because a layout module is
essentiallyaPartialCell.Themoreinterestingresearchchallengeistheautomatedrecognition
and classification of the weighted directed graph representing a cluster of routings as being
a particular type of module. In the current work, this is done manually by drawing and re-
drawing the graph obtained by aggregation of a cluster of common substrings. Finally, while
simulation may be the preferred tool for comparing alternative layouts in an academic setting,
Springer
148 Int J Flex Manuf Syst (2006) 17: 119–149
research ought to explore cheaper, faster, and less data-intensive methods for performance
evaluation suited for industry projects. The authors are investigating a simple cost model that,
for any HCL, computes the total cost of duplicating machines in that layout. A simple 3-tier
classification of each machine/resource (RED = Monument, impossible to buy additional
equipment and install at another location, YELLOW = Expensive machine, ROI must be
provided to justify purchase of additional equipment, GREEN = Inexpensive machine, no
ROI is necessary to justify purchase of additional equipment) helps to rapidly color code
and assess the feasibility of machine duplication required to implement any HCL layout
alternative to an existing functional or cellular layout.
8. Conclusions
This paper introduced several hybrid cellular layouts that modify a standard Cellular layout
in order to group all shared machines into functional groups, as far as possible. Each HCL
has a different degree of grouping of dissimilar machines and similar machines into cells
and functional groups, respectively. Furthermore, the design of two special types of hybrid
cellular layouts, cascading flowline layout and modular layout, was discussed in detail, along
with examples of their applications in real world cases.
Acknowledgment The authors appreciate the insightful comments and recommendations made by the two
anonymous referees, and the guest editors.
The following federal organizations provided funding that has sustained this R&D project
for several years:
(1) National Science Foundation (NSF): This material is based upon work supported by the
NationalScienceFoundationunderGrantNos.DMI-9521278,DMI-8523809(laterDMI-
9796034), DMI-9734815, DMI-9821033, and DMI-9908437. Any opinions, findings,
and conclusions or recommendations expressed in this material are those of the author(s)
and do not necessarily reflect the views of the National Science Foundation.
(2) PRO-FAST Program supported by the Defense Logistics Agency (DLA): The PRO-FAST
Program is enabled by the dedicated team of professionals representing the Department
of Defense (DOD) and industry. These teammates are determined to ensure the Nation’s
forging industry is positioned for the challenges of the 21st Century. Key team members
include:R&DEnterpriseTeam(DLAJ339),LogisticsResearchandDevelopmentBranch
(DLA - DSCP).
References
Arvindh B, Irani SA (1994) Cell formation: The need for integrated solution of the subproblems. International
Journal of Production Research 32(5):1197–1218
Askin RG, Lundgren NH, Ciarallo F (1996) A material flow based evaluation of layout alternatives for agile
manufacturing. In (Graves RJ et. al.), Progress in material handling research, Ann Arbor, MI: Material
Handling Institute, Braun-Brumfield Inc., 71–90
Askin RG, Zhou M (1998) Formation of independent flowline cells based on operation requirements and
machine capabilities. IIE Transactions 30:319–329
Benjaafar S, Sheikhzadeh M (2000) Design of flexible plant layouts. IIE Transactions 32:309–322
Drolet JR, Moodie CL, Montreuil B (1989) An expansion of the virtual cell concept for scheduling computer
integrated manufacturing systems. In Proceedings of the IFAC International Workshop on Decisional
Structures in Automated Manufacturing, pp. 9–24
Springer
Int J Flex Manuf Syst (2006) 17: 119–149 149
Foulds LR, Giffin JW (1985) A graph theoretic heuristic for minimizing total transport cost in facilities layout.
International Journal of Production Research 23(6):1247–1257
Gusfield D (1997) Algorithms on strings, trees and sequences: Computer science and computational biology,
Cambridge University Press, London, UK
Huang H, Irani SA (2003) An enhanced systematic layout planning (SLP) process for high-variety low-
volume (HVLV) manufacturing facilities. In Proceedings of the Seventeenth International Conference on
Production Research, Virginia Polytechnic Institute and State University, Blacksburg, VA [CD-ROM]
Irani SA, Huang H (2000) Custom design of facility layouts for multi-product facilities using layout mod-
ules. IEEE Transactions on Robotics and Automation (Special Issue on Manufacturing Systems Design)
16(3):259–267
Irani SA, Zhang H, Zhou J, Huang H, Tennati KU, Subramanian S (2000) Production flow analysis and
simplification toolkit (PFAST). International Journal of Production Research 38(8):1855–1874
Irani SA, Cohen PH, Cavalier TM (1992) Design of cellular manufacturing systems. Journal of Engineering
for Industry 114(3):352–361
Irani SA, Cavalier T M, Cohen PH (1993) Virtual manufacturing cells: Exploiting layout design and intercell
flows for the machine sharing problem. International Journal of Production Research 31(4):791–810
Irani SA, Huang H (2000) Custom design of facility layouts for multi-product facilities using Layout Modules.
IEEE Transactions on Robotics and Automation 16(3):259–267
Jensen JB, Malhotra MK, Philipoom PR (1996) Machine dedication and process flexibility in a group tech-
nology environment. Journal of Operations Management 14:19–39
Kochhar JS, Heragu SS (1999) Facility layout design in a changing environment. International Journal of
Production Research 37(11):2429–2446
McCormick WT, Schweitzer PJ, White TW (1972) Problem decomposition and data reorganization by a
clustering technique. Operations Research 20(5):993–1009
Meller RD (2000) Multi-channel manufacturing. White Paper, Department of Industrial and Systems Engi-
neering, Auburn University, Auburn, AL
Montreuil B (2000) Design of agile factory networks for fast-growing companies. In The 6th International
Colloquium on Material Handling Research, York, PA
Montreuil B, Lefrancois P (1996) Organizing factories as responsibility networks. Graves R.J. et al., In
Progress in Material Handling Research Ann Arbor, MI: Material Handling Institute, Braun-Brumfield
Inc., pp. 375–411
MulveyJM,CrowderH(1979)Clusteranalysis:AnapplicationofLagrangianrelaxation.ManagementScience
25(4):329–340
Parker RG, Rardin RL (1982) An overview of complexity theory in discrete optimizations (Part I): Concepts.
IIE Transactions 14(1):3–10
Sankoff D, Kruskal JB (1983) Time warps, string edits and macromolecules: The theory and practice of
sequence comparison, Reading, Addison-Wesley, MA
Sherali HD, Fraticelli BMP, Meller RD (2003) Enhanced model formulations for optimal facility layout.
Operations Research 51(4):629–644
Suresh NC, Slomp J (2005) Performance comparison of virtual cellular manufacturing with functional and
cellular layouts in DRC settings. International Journal of Production Research 43(5):945–979
Tarjan RE (1973) Depth-first search and linear graph algorithms. SIAM Journal on Computing 1:146–160
Tompkins JA, White JA, Bozer YA, Tanchoco JMA (2003) Facilities Planning, NY: John Wiley, New York.
Vakharia AJ, Moily JP, Huang Y (1999) Evaluating virtual cells and multistage flow shops: an analytical
approach. The International Journal of Flexible Manufacturing Systems 11:291–314
Vakharia AJ, Wemmerlov U (1990) Designing a cellular manufacturing system: A materials flow approach
based on operation sequences. IIE Transactions 22(1):84–97
Venkatadri U, Rardin R, Montreuil B (1997) A design methodology for fractal layout organization. IIE
Transactions 29:911–924
Zhou J, Irani SA (2003) A new flow diagramming scheme for mapping and analysis of multi-product flows
in a facility. Journal of Integrated Design and Process Science 7(1):25–58
Springer

3 cascading flowlines and layout modules

  • 1.
    Int J FlexManuf Syst (2006) 17: 119–149 DOI 10.1007/s10696-006-8124-z Cascading flowlines and layout modules: Practical strategies for machine duplication in facility layouts Shahrukh A. Irani · Heng Huang C Springer Science + Business Media, LLC 2006 Abstract The standard approach for design of a layout for a high-variety low-volume (HVLV) manufacturing facility has been to use either a from-to chart or a multi-product process chart to design a process layout or a cellular layout, respectively, for the facility. Considerable research has focused on making a go-no go decision to implement any one of these two traditional layouts as the preferred layout for an HVLV manufacturing facility. This paper introduces a variety of Hybrid Cellular Layouts (HCLs) which integrate the at- tributes of the traditional functional, cellular and flowline layouts. The mathematical models and methods for design of two HCLs—cascading flowline layout and modular layout—are discussed in detail. Unlike the standard models in the literature, the design of the cascading flowline layout introduces a novel string-to-graph aggregation and planar graph embedding method that allows machine duplication in the layout. Similarly, the design of the Modular layout introduces a substring clustering method instead of the standard method of cluster analysis to form part families using the complete routings of the parts. For each HCL, results from an industry project are presented to demonstrate the real-world viability of the concepts, methods and software developed to support the design of HCLs for high-variety low-volume manufacturing facilities. Keywords Jobshop · FMS · Hybrid cellular layout · Cascading flowline layout · Modular layout 1. Introduction The functional layout and cellular layout are traditional layout choices for a HVLV man- ufacturing facility. The functional layout has advantages such as high machine utilization at workcenters and high flexibility in allocating operations to alternative machines in any workcenter. However, it has disadvantages such as high throughput times, high WIP levels, complex order tracking and production control, long setups, and high frequency of setup S. A. Irani ( ) · H. Huang Department of Industrial, Welding and Systems Engineering, The Ohio State University, Columbus, OH 43210 Springer
  • 2.
    120 Int JFlex Manuf Syst (2006) 17: 119–149 changes. In direct contrast, the cellular layout has advantages such as low lead times and low WIP levels. However, high machine utilization is not guaranteed in all cells unless de- mand for the parts they produce is high enough and stable enough to achieve the desired utilization of cell resources. Also, in case of machine breakdowns and changes in demand or product mix, a cell designed to produce a single part family is inflexible and unsuitable for reconfiguration. Job shops may be ill-advised to undertake a complete reorganization into physical cells designed to make specific part families, unless the customer base, part mix and order vol- umes for the cells will be stable in the long term. Significant changes in product mix and/or order quantities, which are usually the downfall of a cellular layout, promoted the concept of virtual cells in an existing functional layout (Irani, Cohen, and Cavalier, 1992; Irani, Cavalier, and Cohen, 1993; Suresh and Slomp, 2005). In fact, a consulting company, syn- chronous management has developed and implemented an approach for job shops, called MTO (Make-To-Order) Kanban (http://www.synchronousmanagement.com/mto-ful.html), that allows them to retain their existing functional layout and relies on Rough-Cut Capac- ity Requirements Planning, daily production meetings and shop floor vigilance to progress and track orders! And, new concepts in factory design that rely on computer-aided commu- nication and connectivity between workcenters using Enterprise Resource Planning (ERP) systems, Finite Capacity Scheduling (FCS) systems and Manufacturing Execution Systems (MES), plus lighter and mobile machines, have allowed jobshops to operate virtual cells and reconfigurable cells, instead of (rigid and inflexible) physical cells. Developments in shop floor control technology and material handling systems have re- duced the impact of travel distances and inter-operation separation of consecutive processes on the type of physical layout designed for a facility. This paper describes a variety of HCLs that attempt to avoid the physical separation of identical machines in several cells without destroying the original cell compositions. All of these layouts are developed from the initial machine-part grouping analysis used to design independent cells. However, during the layout phase, creative layout strategies are used to place the shared machines as if they had been retained in functional groups (“process villages”). Instead of a pure cellular or functional layout for a jobshop, these layouts represent a novel fusion of partial conversion to a cellular layout, functional grouping of several shared machine types, limited physical duplication of shared machines and intercell flows. 2. Review of academic research literature Recent research literature on facility layout design discusses new layouts — agile, dynamic, holographic, hybrid, robust, flexible, holonic, cells (fractal, virtual, cascading, linked, re- mainder, etc.), hybrid flowshops - that are essentially novel combinations of process vs. product (or part family) focus. A detailed review of these layouts is presented in Huang and Irani (2003). Here we present only an overview of these layouts and the novel philosophy underlying each of them. Process fractals (Askin et al., 1996; and Venkatadri et al., 1997) have the material handling, scheduling, and teamwork advantages of manufacturing cells, but are more flexible to changes in demand and product mix. Agile manufacturing layouts (Kochhar and Heragu, 1999; and Montreuil, 2000) permit a high degree of adaptability and responsiveness to changes in product mix and demand across multiple production periods by rapid reconfiguration of an existing layout. Multi-Channel Manufacturing (Meller, 2000), or MCM for short, provide multiple channels (or alternative routings) for most manufactured products flowing through the manufacturing facility through capital investment in additional workcenters. Flexible layouts (Benjaafar and Sheikhzadeh, 2000) allow for the possibility of Springer
  • 3.
    Int J FlexManuf Syst (2006) 17: 119–149 121 multiple processing departments of the same type being distributed in different areas of the same facility, which increases job routing flexibility even in the absence of volume and/or mix variability. Responsibility networks (Montreuil and Lefrancois, 1996) are comprised of a variety of cells, such as product cells (each cell is devoted to a single product), group cells (each cell is responsible for a specific group of products or a part family) and fractal cells (each cell is a functional group of equipment with similar or identical processing capabilities). Modular layouts (Irani and Huang, 2000) decompose a facility into a network of different manufacturing subsystems (layout modules), each of which has well-understood schedul- ing characteristics. A module could be a machining center, flowline, branched flowline, multi-product multi-machine flowshop, multi-product multi-machine cell, or a functional department. Virtual Cells (Drolet, Moodie, and Montreuil, 1989) are groups of machines, each cell being dedicated to a specific part family; however, there is no physical reconfigu- ration of the existing facility into a cellular layout. Jensen, Malhotra and Philipoom (1996) investigated the performance of traditional and GT-based scheduling procedures in different shops—functional jobshop, pure cell shop and routing flexibility cell shop. They concluded that “. . . using a shop layout that lies somewhere between a functional layout and a pure cell layout can work well if significant setup savings can result from machine customization”. Vakharia, Moily, and Huang (1999) compared the performance of virtual cells and multi- stage flow shops using analytical models. For a detailed review of new ideas in facility layout observed across industry please refer to Huang and Irani (2003). 3. Hybrid cellular layouts A significant portion of the research literature is focused on two areas: (1) Design of cellular layouts and (2) Comparison of the performance of various layouts (functional vs. cellular layout vs. virtual cellular). In the former area, despite the considerable research, there is no accepted software/tool produced for industrial use. In the latter area, there is no specific method/approach developed for design of virtual cells. Clearly, there is a void between research/theory and practice/implementation in industry. The research reported in this paper explores a fundamentally different research direction: r If the design of cells requires significant duplication of identical machines in two or more cells, why even solve the K-Cluster graph partitioning problem at all? Why even implement a traditional cellular layout with intercell flows and machine duplication? r Why not identify an intermediate spectrum of layouts that range between the two extremes of the functional and cellular layouts? r Could we develop methods to design these layouts (HCLs) that are usable in real-world industry projects, where large data sets with implicit cluster overlap and machine sharing are the norm? Our preliminary research results indicate that these layouts could be generated by (a) varying the extent of machine duplication in the layout and (b) eliminating the requirement that a cell must process a complete family of parts. Examples of these intermediate layouts, called HCLs, are cascading cells, remainder cells, hybrid flowshops, virtual cells, overlapping cells, and layout modules (or Partial Cells). The primary design strategy for generating these layouts is to form the cells. However, during the placement and floor-planning phase, maximum closeness between all pairs of identical machines in different cells is sought in order to retain each group of identical machines in a process department, as in a functional layout. We will now illustrate this spectrum of layouts using a small dataset. Table 1 shows the routing of each product in a hypothetical facility that consists of 12 machines and produces 19 products. Figures 1 and 2 show a functional layout and a cellular Springer
  • 4.
    122 Int JFlex Manuf Syst (2006) 17: 119–149 Table 1 Operation sequences of products Product # Sequence Production quantity 1 1→4→8→9 2 2 1→4→7→4→8→7 3 3 1→2→4→7→8→9 1 4 1→4→7→9 3 5 1→6→10→7→9 2 6 6→10→7→8→9 1 7 6→4→8→9 2 8 3→5→2→6→4→8→9 1 9 3→5→6→4→8→9 1 10 4→7→4→8 2 11 6 3 12 11→7→12 1 13 11→12 1 14 11→7→10 3 15 1→7→11→10→11→12 1 16 1→7→11→10→11→12 2 17 11→7→12 1 18 6→7→10 3 19 12 2 Fig. 1 Functional layout layout with three cells to produce the sample of parts in Table 1, respectively. With reference to the cells shown in Fig. 2, machine types 1, 6, 7, 9 and 10 have been physically duplicated among the cells. This physical duplication of identical machines into cells destroys the flexibility that is attained in a functional layout in which all machines of a shared type are co-located in a functional group. To avoid physical machine duplication, we propose use of the following HCLs for design of jobshop layouts: Cellular Layout with Reorientation of Cells (Fig. 3): Here, by a simple 90-degree rotation of Cell 2, all machines of types 1 and 7 are located physically adjacent to each other, as if in a Functional layout, even as the original allocation of machines to cells is retained. Cellular Layout with Reorientation and Reshaping of Cells (Fig. 4): This HCL was generated by a reorientation and reshaping of one or more cells. Instead of retaining the U (or rectangular) shape for all cells, cells are allowed to have L (or S) shapes, which allows Springer
  • 5.
    Int J FlexManuf Syst (2006) 17: 119–149 123 Fig. 2 Cellular layout with three cells more machine types that, otherwise would have been distributed among the cells, to remain co-located in functional groups. Cellular Layout with S-shaped Flowlines (Fig. 5): This layout is similar to Fig. 3. First, a Flowline layout was developed for each of the cells. Next, the cells were arranged in parallel to minimize intercell flows. Finally, their linear shapes were modified into S-shapes to group identical machines into functional groups. Hybrid Flowshop Layout (Fig. 6): In this layout, unlike a traditional manufacturing cell, each group of machines does not process a family of parts. The machines are allo- cated into several groups of machines (layout modules) and the groups are arranged in a line. Each module (or stage) in the resulting flowshop can perform one or more consecutive operations occurring in the operation sequence of almost every part. In a pure flowshop, the routing of every product is identical to the sequence of machines that comprises the linear layout of the flowshop. For example, in the HCL shown in Figure 6, only the pair of operations, 7 → 4, in the routings of parts 2 and 10 cause flow backtracking in the layout. Otherwise, if every part routing in Table 1 is mapped onto the layout shown in Figure 6, then the travel path of each part for con- secutive operations will be in-sequence or forward bypass between any two of the five Fig. 3 Cellular layout with reorientation of cells Springer
  • 6.
    124 Int JFlex Manuf Syst (2006) 17: 119–149 Fig. 4 Cellular layout with reorientation and reshaping of cells Fig. 5 Cellular layout with S-shaped flowlines in parallel Fig. 6 Hybrid flowshop layout Springer
  • 7.
    Int J FlexManuf Syst (2006) 17: 119–149 125 Fig. 7 Virtual cellular layout processing stages in the flowshop. If an additional Machine # 4 could have been purchased and allocated to the third stage in Fig. 6, then no backtracking would have existed. This HCL has the potential to reduce the complex material flow network in any jobshop into the linear flow network that is characteristic of a flowshop! The substring identification and clustering technique used to identify the layout modules that are then arranged in a linear or network configuration is described elsewhere (Irani and Huang, 2000). Virtual Cellular Layout (Fig. 7): The layouts in Figs. 3–6 demonstrate the basic objective of HCLs to minimize the number of machine types that cannot be retained in functional groups in a pure Cellular Layout. Even though the shared machine types are located in functional groups, their setups can remain dedicated to a particular family of parts assigned for production in a specific manufacturing cell. Furthermore, this type of “virtual” manufacturing focus could also be obtained without creating a cellular layout by dedicating a particular material handler to move all parts belonging to a particular family among the necessary machines distributed across the facility. In the virtual cellular layout, machines shared by several cells are assumed retained in functional groups if these cells can be located adjacent to each other. This adjacency among the cells allows the machine groups based on the part families to be virtual, i.e. a particular material handler links machines in adjacent cells that are required by a part family without necessitating (rigid and inflexible) physical co-location of the machines in any cell. Cellular Layout with a Remainder Cell (Fig. 8): In this layout, one or more shared machine types are retained in a remainder cell accessible to all the cells that need to share capacity on these machines. The original compositions of Cells 1 and 2 shown in Fig. 3 were relaxed to facilitate flows of parts through the remainder cell. Machines in the remainder cell were arranged using standard methods for design of a functional layout. Cascading Flowline Layout (Table 2): This layout depends on the routing similarity between parts. The cells are designed such that simple parts get routed to small cells and complex parts get routed to larger, more complex cells. The complexity of a routing is determined by the number of unique workcenters (or machines) that are required to make it, regardless of multiple non-consecutive occurrences that could result in flow backtracking. There is no intercell movement for any part i.e. every part gets processed in at most one cell. A new flow mapping technique—Modified Multi-Product Process Chart (MM-PPC)—was Springer
  • 8.
    126 Int JFlex Manuf Syst (2006) 17: 119–149 Fig. 8 Cellular layout with a remainder cell developed to design this layout for high-mix low-volume manufacturing facilities (Zhou and Irani, 2003). 4. Design of cascading flowline layouts A linear embedding of the routing of each part in the product mix of a high-variety low- volume manufacturing facility is equivalent to a flowline layout for the product. Planar embedding on a rectilinear grid of a linear permutation of the product routings such that adjacent flowlines have common substrings of operations results in a Cascading Flow- line Layout (CFL). Tables 3 and 4 present routings from an actual sample of machine parts obtained from industry (Sekine and Arai, 1992). In the first phase of development of the CFL, as shown in Fig. 9, a horizontal permutation of the routings is done to max- imize adjacencies between pairs of routings that are similar or identical (Askin and Zhou, 1998). In the second phase of development of the CFL, as shown in Fig. 9, a vertical string alignment (Gusfield, 1997) between adjacent pairs of routings matches/blends them at com- mon operations (or substrings of operations), in order to maximize machine co-location into process (or functional) groups to minimize machine duplication in the entire layout. This two-phase procedure results in the same machine type appearing in the same row across sev- eral consecutive columns in the rectilinear grid. Figure 10 illustrates how the non-adjacencies between locations on the rectilinear grid that represents the (planar) floorplan of the facility can suggest the need for machine duplication at non-adjacent locations. Figure 11 shows the resulting CFL. The procedure for design of this HCL is completely unlike any existing layout design method because, unlike the grid-oriented methods based on the Quadratic Assignment Problem (QAP), it shapes the layout grid to fit the flow network implicit to the product mix (Zhou and Irani, 2003). Recently (based on private communication from Ms. Sharon Hale, Continuous Improve- ment Consultant, Seattle Children’s Hospital), the authors identified a potential application of Cascading Flowline Layouts and Layout Modules in the design of the Emergency De- partment (ED) in any hospital. A Process Sequence Analysis of the three major classes of Springer
  • 9.
    Int J FlexManuf Syst (2006) 17: 119–149 127 Table 2 Cascading flowline layout patients (Patient Acuity Level = Fast, Medium or Complex) yielded routings as follows: Routing for Acuity Level = FAST: Registration → Triage → Assessment → Treatment → Disposition Routing for Acuity Level = MEDIUM: Registration → Triage → Assessment → Treatment → Ancillary Services → Treatment → Disposition Springer
  • 10.
    128 Int JFlex Manuf Syst (2006) 17: 119–149 Table 3 Routings for a sample of parts (Sekine at al., 1992) Part # Part name Operation sequence Batch quantity 1 Slider (a) 6→9→10→11→12 1 2 Slider (b) 4→6→9→10→11→12 1 3 Press Brace 5→8→9→10 1 4 Bracket #1 4→7→9→10 1 5 Table 3→7→10→12 1 6 Damper 1→7→9→10 2 7 Bracket #2 1→8→9→10 1 8 Support 4→7→9 2 9 Housing 2→7→9 1 10 Flange 2→9 1 11 Shaft 3→9→10→12 1 12 Base 3→6→4→10→12 1 13 Spacer 4→6→4→10→12 1 Table 4 Description of machines in the facility Machine # Machine name Quantity 1 NC Lathe (LB15) 1 2 NC Lathe (LB20) 1 3 Horizontal Mill (M) 1 4 Upright Mill (VM) 1 5 Compact Mill (BM) 1 6 Upright MC (6VA) 1 7 NC for Screw Holes (TNC) 1 8 Marker (MRK) 1 9 Drilling Machine (B) 1 10 Manual Operations (MAN) 1 11 Honing (H) 1 12 Grinder (G) 1 Routing for Acuity Level = COMPLEX: Registration → Triage → Assessment → Treatment → Ancillary Services → Consult → Treatment → Ancillary Services → Consult → Treatment → Con- sult → Ancillary Services → Treatment → Disposition 4.1. Mathematical formulation of the CFL design problem Let be a finite alphabet for machine types and let denote ∪{−}, where “−” denotes “space”. The grid representation of P operation sequences, each with length lp for product p, canbespecifiedbyan L × P gridG,whereeachelementofthegridisamemberof .Listhe length of the grid based on the worst case alignment of any pair of strings = 2 × maxp(lp). When a routing is embedded in any column in the grid G, one or more spaces could be embedded between pairs of consecutive operations in the routing. The problem of optimal Springer
  • 11.
    Int J FlexManuf Syst (2006) 17: 119–149 129 Fig. 9 Grid embedding of the cascading flowline layout Fig. 10 Machine duplication at non-adjacent locations in the rectilinear grid [Note: “m#” refers to Machine Number] Fig. 11 Material flow network for the cascading flowline layout Springer
  • 12.
    130 Int JFlex Manuf Syst (2006) 17: 119–149 allocation of machines and routings on the grid can be formulated as follows: min P p=1 lp k=1 cR mpk − P−1 x=1 L y=1 P p=1 lp k=1 cR mpk apkxy vxy (1) min P p=1 P x=1 L y=1 cH p y · aplp xy − P p=1 P x=1 L y=1 cH p y · ap1xy − P x=1 L−1 y=1 P p=1 lp−1 k=1 cH p apkxyap(k+1)x(y+1) (2) subject to: P x=1 L y=1 apkxy = 1 p = 1, . . . , P, k = 1, . . . ,lp (3) P p=1 lp k=1 apkxy ≤ 1 x = 1, . . . , P, y = 1, . . . , L (4) x · apkxy = x ·px ap(k+1)x y k = 1, . . . ,lp − 1, p = 1, . . . , P, x = 1, . . . P, y = 1, . . . , L (5) y · apkxy < y · ap(k+1)xy k = 1, . . . ,lp − 1, p = 1, . . . , P, x = 1, . . . P, y = 1, . . . , L (6) where: vxy = 1 if apkxy ap k (x+1) y = 1 and mpk = mp k 0 otherwise x = 1, . . . P − 1, y = 1, . . . , L apkxy = 1 if kth operation of product p is assigned to grid location (x,y) 0 otherwise lp number of operations in the routing of product p, p = 1, . . ., P mpk machine type used for the kth operation in the routing of product p, mpk ∈ {1, 2,...M} p = 1, . . ., P, k = 1, . . ., lp L upper limit on the number of rows in the grid = 2 × max p (lp) P total number of products M total number of machine types cR mpk fixed cost of a copy of machine type mpk cH p material handling cost associated with product p per unit distance of travel on the grid The decision variables in the above model are the flow allocations on the grid apkxy, with the objective of minimizing machine duplication cost and cost of material handling for bypass moves in any flowline. The first term in the objective function (2) is the total material handling cost. The second term is the total material handling cost for adjacent flows. Constraint sets Springer
  • 13.
    Int J FlexManuf Syst (2006) 17: 119–149 131 (3) and (4) ensure that each operation is assigned to exactly one location on the grid and that each location is either assigned any one operation or is empty. Constraint sets (5) and (6) guarantee that each column of the grid contains the routing of any one product. Since graphs are dimensionless and each location in the grid is assumed to have unit dimensions, duplication costs for each machine type were assumed to be equal, as also the material handling costs for each product. Also, according to constraint set (3), terms (1) and (2) can be reduced to terms (7) and (8) respectively. Hence, the earlier mathematical model can be simplified as follows: max P−1 x=1 L y=1 vxy = min P p=1 lp − P−1 x=1 L y=1 vxy (7) min P p=1 P x=1 L y=1 y · aplp xy − ap1xy − P x=1 L−1 y=1 P p=1 lp−1 k=1 apkxyap(k+1)x(y+1) (8) subject to: P x=1 L y=1 apkxy = 1 p = 1, . . . , P, k = 1, . . . ,lp (9) P p = 1 lp k = 1 apkxy ≤ 1 x = 1, . . . , P, y = 1, . . . , L (10) x · apkxy = x · ap(k + 1)x y k = 1, . . . ,lp − 1, p = 1, . . . , P, x = 1, . . . P, y = 1, . . . , L (11) y · apkxy < y · ap(k + 1)xy k = 1, . . . ,lp − 1, p = 1, . . . , P, x = 1, . . . P, y = 1, . . . , L (12) where: vxy = 1 if apkxyap k (x + 1)y = 1 and mpk = mp k 0 otherwise x = 1, . . . P − 1, y = 1, . . . , L apkxy = 1 if kth operation of product p is assigned to grid location (x,y) 0 otherwise lp number of operations in the routing of product p, p = 1, . . ., P mpk machine type used for the kth operation in the routing of product p, mpk ∈ {1, 2, . . . M} p = 1, . . ., P, k = 1, . . . , lp L upper limit on the number of rows in the grid = 2 × max p (lp) P total number of products M total number of machine types Springer
  • 14.
    132 Int JFlex Manuf Syst (2006) 17: 119–149 In the CFL design problem, dual objectives of minimizing costs of machine duplication at non-adjacent locations and material handling cost for the products need to be fulfilled. In the rectilinear grid in which the routings are embedded, each location in the grid is a machine type assigned to that location. Maximization of the occurrence of a machine type in any row across consecutive columns is equivalent to the minimization of machine duplications at non-adjacent locations. Hence, the objective function in objective function (7) is a measure of adjacencies between identical machines in a grid layout, similar to the Bond Energy in matrix clustering (McCormick et al., 1972). Minimization of the material handling cost for a product requires (a) the (vertical) travel distance between the locations of its first and last operations in the column to be minimized and (b) the number of bypass flows (each bypass flow corresponds to a pair of consecutive operations in the routing that is separated by at least one “−” element) in the flowline to be minimized. Hence, objective function (8) is a surrogate measure of material handling cost in the grid layout for a set of cascading product-based flowlines (CFL). 4.2. Algorithms used for design of CFL The optimal embedding of the sample of product routings onto the rectilinear layout grid to minimize machine duplication and material handling costs, as computed using terms (7) and (8), requires two problems to be solved—Problem #1: Determination of the hori- zontal permutation of routings to minimize machine duplication in non-adjacent columns of the grid, and, Problem #2: Vertical alignment of consecutive pairs of routings to min- imize material handling cost for each product in its flowline. Since both problems are NP-complete (Parker and Rardin, 1982), heuristic algorithms were developed for their solution. Solution of Problem #1: The solution of Problem #1 requires a similarity matrix for all pairs of routings where the similarity of any pair of strings (or routings) measures the number of common machines that match in both routings. The similarity between any pair of product routings (P = 2) is the length of the Longest Common Subsequence (LCS). Note that the LCS problem is a special case of the Optimal Alignment Problem (OAP) discussed in (Gusfield, 1997). Given two strings of length n and m, both problems can be solved in O(nm) time using dynamic programming. Let sp1 p2 be the LCS-similarity between the routings of products p1 and p2. It is required to find a permutation of the products that maximizes the LCS-similarity of all consecutive pairs of columns in the grid. This permutation of products corresponds to an acyclic Traveling Salesman Problem (TSP) using the LCS-similarity matrix as input. This problem can be formulated as follows. max p1,p2∈{1,...P} p1=p2 P x = 1 sp1 p2 bp1 x bp2(x + 1) subject to: P p = 1 bpx = 1 x = 1, . . . , P P x = 1 bpx = 1 p = 1, . . . , P Springer
  • 15.
    Int J FlexManuf Syst (2006) 17: 119–149 133 where: bpx = 1 if the operation sequence of product p is assigned to column x in the layout grid 0 otherwise Solution of Problem #2: Problem #2 is the Optimal Alignment Problem (OAP) discussed in (Gusfield, 1997). The pairwise alignment procedure used in this research can be ex- plained as follows – Consider two strings S1 and S2 of lengths l1 and l2, respectively and let S[i. . . j] be a substring in S that starts at position i and ends at position j in the rout- ing. For any two characters x, y in ’, V (x, y) denotes the score (or value) obtained by aligning character x with character y in the same row and in adjacent columns in the grid. Similar to the scoring of grid adjacencies in the Bond Energy, the (pairwise) adjacency re- lationship between the two characters x and y in the grid layout could be scored in several ways: match (identical characters), mismatch (non-identical characters) or space (a char- acter and a “−”). Matches are assigned a positive value while mismatches and spaces are assigned zero (or negative) values. In the computer program, the score for each match, mis- match, and space is specified by variables smatch, smis, and sspace, respectively. Since our goal is to maximize the number of matches over all machine types, according to term (7), we let smis = sspace = 0, smatch = 1. For example, consider the following two routings: S1 = (A, B, C) S2 = (A, C, D) Before alignment the adjacency score between them is 1. After alignment, the score be- tween them is 2. S1 = (A, B, C, −) S2 = (A, −, C, D) The above scoring scheme can be adjusted to reflect machine duplication cost, similar processing capabilities of different machine types, constraints on whether certain machine types can be located adjacent to each other in the layout grid, etc. For example, if a certain machine type is expensive, then a high weight can be assigned to each of its matches. This will force all parts requiring this machine type to be assigned to adjacent columns in the horizontal permutation in order to reduce machine duplication costs. In order to extend the algorithm for two-string alignment to the case of alignment of a sequence of P strings, several modifications needed to be made to the core algorithm as follows—Suppose that consecutive strings Si and Si+1 are being aligned, then when a space is inserted after Si [x], all previous strings need to be adjusted to keep intact all prior matches and spaces must be inserted after the locations S1[x], . . ., Si−1[x] to offset each of the previous (i−1) strings. This is illustrated using the following simple example: S1 = (A, B, C) S2 = (B, C, D) S3 = (B, E, C). Springer
  • 16.
    134 Int JFlex Manuf Syst (2006) 17: 119–149 After alignment of S1 and S2, the embedding of the strings becomes: S1 = (A, B, C) S2 = (B, C, D) S3 = (B, E, C). After alignment of S2 and S3 without adjustment, the embedding of the strings becomes: S1 = (A, B, C) S2 = (B, C, D) S3 = (B, E, C). With adjustment, the embedding of the strings becomes: S1 = (A, B, C) S2 = (B, C, D) S3 = (B, E, C). The main algorithm is as follows: 1) Initialize P sequences S1, . . . SP , 2) for i = 1 to k−1 for j = 2 to k call LCS(Si , Sj ) 3) Generate TSP permutation = {π(1), π(2), . . ., π(k)} and Si = Sπ (i ) for i = 1, 2,. . ., k. 4) for i = 1 to k−1 call Alignment (Si , Si+1) 5) for i = k to 2 call Alignment (Si , Si−1) For an L × P grid, the time complexity of this algorithm is O(P2 L2 ). The LCS algorithm for two strings is as follows: procedure LCS(S1, S2) for i = 1 to l1 do for j = 1 to l2 do if (S1[i] = S2[j]) then cell = 1 else cell = 0 c1 = C[i−1, j−1] +cell c2 = C[i−1, j] c3 = C[i, j] C[i, j] = max k∈{1,2,3} {ck} d(x,y) = C[l1, l2] The Optimal Alignment algorithm for 2 strings is as follows: procedure Alignment(S1, S2) for i = 1 to l1 do for j = 1 to l2 do if (S1[i] = S2[j]) then cell = smatch Springer
  • 17.
    Int J FlexManuf Syst (2006) 17: 119–149 135 else cell = smis c1 = C[i−1, j−1] + cell c2 = C[i−1, j] + sspace c3 = C[i, j] + sspace C[i, j] = max k∈{1,2,3} {ck} Path[i, j] = k∗ , where k∗ = k max k∈{1,2,3} {ck} d(x,y) = C[l1, l2] traceback(Path, l1, l2) procedure traceback(Path, i, j) if i = 0 or j = 0 then return case Path[i, j] = 2: insert a space after S1[i−1]; traceback(Path, i−1, j) Path[i, j] = 3: insert a space after S2[j−1]; traceback(Path, i, j−1) end case traceback(Path, i − 1, j − 1) In the alignment algorithm described above, C[i, j] stores the maximum score for the alignment of S1[1. . .i], S2[1. . . j]. The locations of the spaces that are inserted into the strings to obtain their optimal alignment can be recovered from the traces stored in the Path[i, j] during computation of C[i, j]. 4.3. Machine duplication with capacity requirements analysis In the case of a large number of routings, the flowline layouts for the product routings could necessitate duplication of the same machine type at several non-adjacent locations in the grid containing the cascading flowlines. The feasibility of assigning a machine type to each location requires comparison of (a) the machine capacity requirements for the parts routed through that location with (b) overall availability of machines of any type. The steps in the process are as follows: 1) Generate the optimal rectilinear grid. 2) Indicate the capacity requirement for each machine type associated with each operation in the grid. 3) Consolidate the capacity requirements of identical machines that occur in adjacent columns in the grid. 4) Compute the capacity (and machine) requirements for each machine type in each of the shaded regions in which it occurs. 5) For each machine type, if the capacity requirements in a region exceed a minimum thresh- old, assign it to that region; else treat the operations routed to that region as “exceptions”. The products associated with those operations will require to be routed to some other locations in the layout. 4.4. Industrial application This section presents the results generated using routing data for a sample of parts provided by a Boston-based machining jobshop (www.Tecomet.com). The routings for the sample of parts are shown in Table 5. Figure 12 shows the CFL embedded on a rectilinear grid. Springer
  • 18.
    136 Int JFlex Manuf Syst (2006) 17: 119–149 Table 5 Routing data from a machining jobshop Part routings New index Quantity 1 2 3 4 5 6 7 8 9 10 1 22546 8 94 2 720 8 10 8 O.V. 94 3 720 8 10 O.V. 18 22 94 4 5603 8 O.V. 18 96 92 96 92 8 10 94 5 900 18 96 92 96 92 18 94 6 1800 91 90 O.V. 18 96 92 96 92 8 94 7 1800 91 25 94 8 1620 8 10 94 9 720 20 91 O.V. 18 94 10 720 8 10 8 94 11 720 8 10 92 94 12 3600 8 10 O.V. 18 96 92 96 92 8 94 13 900 91 18 94 14 2520 8 10 O.V. 94 15 900 91 8 94 16 900 8 10 DFLOW 94 17 900 8 10 DFLOW O.V. 18 94 18 900 8 19 O.V. 18 25 94 19 180 19 92 8 10 8 O.V. 18 94 20 720 91 8 92 8 10 22 94 21 720 8 10 19 8 23 94 22 720 19 25 94 Fig. 12 Grid embedding of the cascading flowline layout Figure 13 shows the machine duplication necessary to eliminate cross flows between non- adjacent flowlines that require to use the same machine types. Figure 15 shows the equivalent adjacency graph for the CFL shown in Figs. 12 and 13 that would become the input for any research code available at a university (Tompkins et al., 2003) or commercially available software for block layout design (http://www.planopt.com/VIP-PLANOPT/index.htm). Springer
  • 19.
    Int J FlexManuf Syst (2006) 17: 119–149 137 Fig. 13 Machine duplication at non-adjacent locations in the rectilinear grid Fig. 14 Cascading flowlines with machine duplication at multiple locations Springer
  • 20.
    138 Int JFlex Manuf Syst (2006) 17: 119–149 Fig. 15 Illustration of layout modules 5. Design of modular layouts Experience from several machining and fabrication jobshop layout projects undertaken in industry suggested that the material flow network in any facility layout can always be de- composed into a network of layout modules (Irani and Huang, 2000) i.e. each layout module represents a portion of the entire facility layout and there is material flow between various pairs of modules (unless a module is a stand-alone cell). A layout module is essentially a group of machines connected by a material flow network that exhibits a flow pattern charac- teristic of a specific type of layout, such as the flowline, cellular or functional layout. Layout modules are categorized as follows: r Flowline Module (Fig. 15(a)): A Flowline module is a linear arrangement of machines such that all inter-machine moves for consecutive pairs of operations on any product moving through the line would be forward, either in-sequence or bypass. In case of backtracks, due to multiple non-consecutive operations on the same machine, a decision could be taken to (a) modify the linear shape into linear segments with circular/loop segments separating pairs of consecutive linear segments, (b) retain the linear shape but utilize a bi-directional material handling system for backtrack moves, or (c) duplicate the same machine at multiple locations to convert backtrack moves into forward moves. r Branched (Convergent/Divergent) Flowline Module (Fig. 15(b)): A Branched Flowline module results when a set of products have operation sequences with one or more substrings of operations common to all of them. At several points, the flowline will split into parallel Springer
  • 21.
    Int J FlexManuf Syst (2006) 17: 119–149 139 branches, each branch containing machines unique to a particular product (or products). These branches will merge later into a single line wherever all product(s) require the same substring of operations. r Patterned Flow Module (Fig. 15(c)): The material flow network in a Patterned Flow module exhibits a flow dominance and precedence hierarchy, characteristic of an directed acyclic digraph. This module could be further decomposed into a network of Flowline modules and Branched Flowline modules. r Functional Layout Module (Fig. 15(d)): A functional layout module is analogous to the process-focused department in a traditional Functional layout in which material flows are random. The random flows are due to the absence of any flow dominance or patterns in the sequences in which the different machines within the module are used by different parts. r Cell Module (Fig. 15(e)): Similar to a flowline module, a cell module is a set of dissimilar machines which, if placed together, could produce a family of parts or products without the products requiring visiting any additional departments or machines external to the module. Although the parts in a family may not use all the machines and/or have the same sequence of operations, their operation sequences have high commonality of machine requirements and high similarity of operation sequences. The concept of layout modules extends current thinking on input data requirements and methods for facility layout, and supports the need for a new generation of facility layouts beyond the traditional layouts (process, product, cellular and project) that continue to be taught in leading textbooks (Tompkins et al., 2003) and implemented throughout industry. Our research on layout modules extends the state-of-the-art in the theory and practice of facility layout techniques as follows: r The “department” in a facility is allowed to contain a combination of multiple compatible processes, instead of a single process. Similarly, the formation of a “partial cell” is allowed since the threshold values of operation sequence similarity for grouping dissimilar products into families are subjective and vary with each sample of product routings specific to a particular jobshop. r Facility planners are allowed to take a logical approach to duplicating machines of the same function at multiple locations in a facility based on their occurrence in different combinations of operations required for different families of routings. r More than one type of layout can be used to arrange the different machines and resources in a facility. r Design of modular layouts using operation sequences is a flexible method that could also be used to design any facility layout. r An approach is proposed for defining the multi-function capabilities of flexible automated machines by identifying strings of consecutive operations common to a large number of similar products. 5.1. Mathematical formulation of the modular layout design problem In this section, we propose a mathematical model of the problem of designing a facility layout as a network of layout modules. First, we make the following assumptions: • The planning period is one year; • The production quantity of each product type in the planning period is known; • The transfer batch size of each product type is known; Springer
  • 22.
    140 Int JFlex Manuf Syst (2006) 17: 119–149 • The material handling cost per transfer batch of each product type traveling between each pair of machine types in the planning period is known; • There is a fixed rate penalty for products traveling between layout modules; • The rates of the setup cost and processing cost of each product type at each machine type in the planning period are known; • The loading/unloading cost of each product type at each machine is ignorable; • The amortized purchasing price per unit of each machine type in the planning period is known; • Each operation of each product type is only processed at one machine; • The number of layout modules is predetermined; • The objective is to select the best machine set for each layout module and assign each prod- uct to the best layout module(s), such that the total production incurred cost is minimized and all resource constraints are satisfied. Based on the above assumptions, we formulate the problem of designing a modular layout as follows: Minimize K k=1 Ek · M m=1 rkm − Lk + T i=1 Ni j=1 K k=1 M m=1 Qi Bi · Sijk · xijkm + T i=1 Ni j=1 K k=1 M m=1 Qi · Ui jk · Pi jk · xi jkm + T i=1 Ni −1 j=1 K−1 k=1 K l=k+1 M m=1 Hikl · xijkm · xi( j+1)lm + T i=1 Ni −1 j=1 K−1 k=1 K l=k+1 M m=1 M n=1;n=m μ · Hikl · xi jkm · xi( j+1)ln (1) Subject to: K k=1 M m=1 xi jkm = 1, for each (i, j) (2) T i=1 Ni j=1 Qi · Pi jk · xi jkm Fk ≤ rkm, for each (k, m) (3) K k=1 rkm ≥ 1, for each m (4) rkm ≥ 0 and integral, for each (k, m) (5) xi jkm binary, for each (i, j, k, m) (6) z denotes the smallest integer that is larger than or equal to z Variables: rkm = Number of units of machine type k assigned to module m. xijkm = 1 if the jth operation of product type i is processed at machine type k in module m; = 0 otherwise. Springer
  • 23.
    Int J FlexManuf Syst (2006) 17: 119–149 141 Parameters: μ = Penalty factor for products traveling between modules. Bi = Transfer batch size of product type i. Ek = Annualized cost of purchasing a unit of machine type k. Fk = Annual production time available per unit of machine type k. Hikl = Material handling cost for transferring a batch of product type i from machine type k to machine type l. K = Number of machine types. Lk = Existing number of units of machine type k. M = Number of modules in the layout. Ni = Number of operations in the routing of product type i. Pi jk = Processing time of the jth operation of product type i at machine type k. Qi = Annual production quantity of product type i. Si jk = Setup cost for the jth operation of product type i at machine type k. T = Number of product types. Ui jk = Cost per unit time of processing the jth operation of product type i at machine type k. The objective function (1) minimizes the sum of prorated machine purchasing cost, setup cost, processing cost and material handling cost. The first part of term (1) gives the amortized cost of purchasing extra machines in the planning period; the second part of term (1) calculates the setup cost of all the products at their assigned machines; the third part of term (1) is the total processing cost of the products at their designated machines; the fourth and fifth parts of term (1) calculate the intra-module and inter-module material handling costs respectively. The inter-module material handling cost is core to the problem – for each pair of consecutive operations in the routing of a product, we need to track the movement of the product between the two modules where the operations are performed. We need to check if both these operations are performed in the same module, or not. If not, it will result in an inter-module trip that implicitly incurs high material handling costs. The ideal solution would be to completely process each product in a cell module. Since that would entail significant investment in extra machines, the practical strategy would be to maximize the number of consecutive operations in each routing that are performed within the same module. Constraint set (2) ensures that each operation in the routing of each product is performed at one and only one machine. Constraint set (3) guarantees enough capacity for each machine type in each layout module and implies that the integer allocation of machines of the same type to one or more modules is constrained by the available number of machines of that type on the shop floor i.e. acquisition of extra machines incurs a capital expense. Constraint set (4) ensures that at least one machine is assigned to each layout module. Constraint sets (5) and (6) are nonnegativity, binary and integer requirements. 5.2. Algorithm used for design of a modular layout The mathematical model of designing a modular layout is a binary quadratic programming problem containing integral components, which is known to be NP-hard. In this section, a heuristicapproachthatintegratesthemethodsfordesignoffunctionalandcellularlayoutswill be described. The underlying algorithms are based on group technology for machine grouping and similarity analysis of product routings, and the string matching methods used extensively in genetics, molecular chemistry and the biological sciences (Sankoff and Kruskal, 1983). Springer
  • 24.
    142 Int JFlex Manuf Syst (2006) 17: 119–149 Stage 1: Identification of common substrings, if any, between all pairs of operation sequences A layout module is a essentially a group of machines connected by a material flow network that exhibits a flow pattern characteristic of a specific type of layout, and thus could have a product, process or part family focus. A part may go through multiple layout modules with each module processing a subset of operations for the part. In other words, a layout module is responsible for a set of similar partial routings of parts. Hence, naturally, we start constructing layout modules with capturing partial routings that are common among parts, i.e. the common substrings among operation sequences. A common substring is defined as a sequence of consecutive operations that is common to two or more operation sequences. These operation sequences, in turn, are the superstrings of the substring. In each superstring, an operation that does not belong to the common substring is called a residual operation with respect to the common substring. Stage 2: Cluster analysis of dominant common substrings to generate basic layout modules Based on the definition of the layout modules, the relationship between common substrings and each type of layout module can be related to a cluster of these substrings as follows: (1) Flowline module: A flowline module consists of a group of common substrings in which there is one substring that is the superstring of all the other substrings. (2) Branched flowline module: When two or more common substrings have common sub- substringsandnocommonresidualoperationswithrespecttothecommonsub-substrings, then the set of common substrings can be merged into a branched flowline module by plac- ing the common sub-substrings in a single main flowline and creating parallel branches for the residual operations. (3) Patterned flow module: A patterned flow module also have common sub-substrings, but the residual operations of the substrings with respect to the common sub-substrings have common operations and the aggregated travel chart digraph obtained from the merger of the substrings is a DAG (Directed Acyclic Graph). (4) Functional layout module: A functional layout module is the same as a patterned flow Layout module, except that the aggregated travel chart digraph obtained from the merger of the substrings is cyclic. If the similarity coefficients computed for these substrings ex- hibits poor clusterability, then a functional layout module would appear suitable for those operations. Alternatively, if these substrings are aggregated into a travel chart digraph which either exhibits strong connectivity or contains a large number of cycles, then this absence of flow patterns would again suggest a Functional Layout module. (5) Cell module: A cell module is a special type of module, because it can also be one or a combination of the other four types of layout modules. It consists of a set of substrings, the merger of which has the same aggregated travel chart digraph as that for the merger of a set of original routings. Since flowline, branched flowline, and patterned flowline modules all have preferable DAG structures, we define these three modules as basic layout modules. The objective of this stage is to form basic layout modules using dominant common substrings. Dominant common substrings are those common substrings whose frequencies of occurrence in the original routings are higher than a user defined threshold. Next, cluster analysis of dominant common substrings needs to be performed to group similar substrings and generate basic Springer
  • 25.
    Int J FlexManuf Syst (2006) 17: 119–149 143 layout modules. Here, the homogeneous agglomerative hierarchical clustering method with the (unweighted pair-group) average linkage algorithm for cluster analysis is adopted. Fol- lowing Mulvey and Crowder (1979), the mathematical model for homogeneous clustering of dominant common substrings to form basic layout modules would be as follows: (P) Minimize I J mij · xij Subject to: J xij = 1, for all i J xj j = K xij ≤ xj j , for all i, j xijbinary, for all i, j Each cluster has a DAG structure where I = Set of substrings J = Set of eligible medians Kj = Number of clusters mij = Merger coefficient between substrings i and j xij = 1 if substring i is assigned to cluster median j; = 0 otherwise. Given T as the number of all operation types and N as the number of common substrings, a common substring can be represented by a T × T matrix A where A[i, j] = 1 if there is a flow from operation i to operation j 0 otherwise (7) Representing each substring by a T × T matrix Ak (k = 1, . . . , N), the merger of two or more substrings can then be represented by the matrix 2sk Ak, where k Ak [i, j] = a > 0 if there is a flow from operation i to operation j 0 otherwise (8) The agglomerative hierarchical heuristic for solving problem (P) is described below: (1) Let each substring Ak be a cluster, which will result in the set of clusters C = {Ck} = {Ak}, k = 1, . . ., N. (2) Find all strongly connected components consisting of more than two operations, if any, contained in each substring Ak (k = 1, . . ., N) and store them in a corresponding set of strongly connected component Sk. The strongly connected components in Sk are allowed to occur in a basic layout module generated from Ak. (3) Do until no clusters can be merged: Step 1: Mark every pair of clusters as untested. Step 2: Calculate similarity for each pair of clusters using the average linkage method. Step 3: From the untested clusters, select the pair Ck1 and Ck2 that has the highest similarity. Springer
  • 26.
    144 Int JFlex Manuf Syst (2006) 17: 119–149 Step 4: Test mergeability of Ck1 and Ck2. If (Ck1 + Ck2) contains strongly connected components that consist of more than two operations and do not belong to (Sk1∪Sk2), Ck1 and Ck2 are not mergeable, go to Step 3; else, Ck1 and Ck2 are mergeable, replace Ck1 and Ck2 by (Ck1 + Ck2) in cluster set C with (Sk1 ∪ Sk2) as its corresponding strongly connected component set, mark (Ck1 + Ck2) as untested, go to Step 2. (4) Output each of the clusters in C as a basic layout module. In the above procedure, the strongly connected components are found using the depth first search proposed by Tarjan (1972). The basic idea in his algorithm is to study where the nodes of the strong components are located in the depth first spanning forest of the graph. The nodes of every strong components form a tree in the spanning forest. To identify the strong components, the root of each component needs to be labeled first. The root of each component is the node in the component having the lowest number in the depth first order in the spanning forest. When the roots are identified, the nodes in a component are obtained as those descendants of its root that are not descendants of any other component root that is a descendant of its root. Stage 3: Generation of functional layout modules if necessary If two layout modules have many common machines, they may be merged into a Function Layout module to reduce machine duplication. The commonality between layout modules Mi and Mj is defined as nij min(ni , n j ) , where nij is the number of distinct operations common to both modules; ni and nj are the number of distinct operations contained in Mi and Mj , respectively. Given a user-defined threshold level of commonality V (0 ≤ V ≤ 1) for merging layout modules, the algorithm for merging layout modules is presented as follows: (1) Calculate the commonality between each pair of layout modules. (2) Find the pair of layout modules with highest commonality. If the commonality is higher than the threshold level V, then aggregate the two modules into one, go to (1); else, stop. The selection of the threshold level V is a specific decision problem that requires the user to perform the classical tradeoff between inter-module material flow costs and machine duplication among the modules to eliminate the flows (Arvindh and Irani, 1994). Stage 4: Expression of the original operation sequences in terms of the layout modules In this stage, we replace the original part routings by the combination of residual machines and the layout modules generated using the above procedure. Given an operation sequence (x1, x2, . . ., xm) and layout modules M1,. . ., Mn, the procedure is implemented by a greedy heuristic method described as below: (1) Set i = 1; create a null operation sequence as the new sequence. (2) If i ≤ m, find the layout module Mj which contains the longest substring that matches (xi , xi+1, . . . , xk), where k ≤ m; else, go to (4). (3) If k ≤ 1, then put xi as a residual machine at the end of the new sequence, i = i + 1, go to (2); else, put Mj at the end of the new sequence, i = k + 1, go to (2). (4) Output the new sequence as a modular sequence corresponding to the original operation sequence. Springer
  • 27.
    Int J FlexManuf Syst (2006) 17: 119–149 145 To reduce machine duplication, the sequences of modules are adjusted such that any residual machine occurring in an adjacent layout module is absorbed into the module. This absorption of the residual machine may cause new strongly connected components to occur in the layout module into which the machine was absorbed, and thus destroy the flowline, branched flowline, or patterned flow pattern in that module. In other words, a basic layout module may become a functional layout module after the adjustment. Stage 5: Generation of facility layout as a network of layout modules Based on the adjusted modular sequences, a digraph representation between layout modules and residual machines in the facility layout are generated. If one or more layout modules and/or residual machines exhibit no flow from/to other modules and machines, then they could be merged into a cell module. After machine capacities are calculated, a block layout can be generated using, for example, the maximum weight planar graph embedding heuristic proposed by Foulds and Giffin (1985). In the final layout, some process departments are automatically split and their machines are located at non-adjacent locations; some machines are shared by two adjacent modules due to limited machine availability. If adjacent modules in the final layout have a high commonality of machines, then they could be aggregated into a larger module. 5.3. Industrial application The method for design of a modular layout was applied during a project sponsored by a custom forge shop. The sample data provided by the company consisted of 530 products and 57 pieces of equipment. The flow diagram of its current layout (Fig. 16) shows the existing locations of various machines and support equipment in use at the company, and the flows in its facility. The flow path of any product starts from Receiving (IN), goes through the sequence of machines dictated by its routing, and ends in Shipping (OUT). The flow diagram for the proposed modular layout (Fig. 17) shows the recommended relocation and grouping of various sets of machines into several layout modules, each of which could be operated by a single, or small group of associates, and the flows in the proposed layout. Also, the different modules have been assigned to a new “desired or recommended” location on the forge shop premises in order to minimize the total distance (and time) of travel between different pairs of modules. Machines represented as white rectangles are the “monuments” that cannot be re-located in any new layout that the company decides to implement. A comparison of the two flow diagrams shows that, without moving the monuments, if the other machines on the premises were to be grouped into modules and relocated, then there would be a drastic improvement in (1) the speed of material flows between the modules, (2) vi- sual connectivity and communication among interdependent machines and (3) multi-machine operation by individual operators. If it were possible to relocate some of the monuments and place them at locations that matched their “optional locations” in the improved material flow network, then even more significant reductions in scrap, order completion time, material handling costs and wasted labor hours would be achieved. 6. Research contributions From a research perspective, this paper describes radical departures from standard studies still being undertaken in two traditionally separate research domains: cellular manufactur- Springer
  • 28.
    146 Int JFlex Manuf Syst (2006) 17: 119–149 Fig. 16 Flow diagram for the current layout Fig. 17 Flow diagram for the proposed modular layout Springer
  • 29.
    Int J FlexManuf Syst (2006) 17: 119–149 147 ing and facility layout. In the case of cellular manufacturing, it recommends simply not to pursue the impractical goal of designing a cellular layout if the data indicates overlapping clusters of parts (and machine sharing between the cells). In addition, instead of utilizing the usual approaches of machine-part clustering or operation sequence clustering, it intro- duces a new approach of common substring detection prior to clustering in order to design “partial cells” (layout modules). Lastly, it presents heuristic algorithms for design of hybrid cellular layouts that have actually been, and continue to be used, successfully in numerous industry projects. Next, in the case of facility layout, while excellent research exists (Sherali et al., 2003) to optimally design process layouts with unequal-sized departments, this layout ought never to be implemented in any high-variety low-volume facility! Historically, it causes batch-and-queue delays, results in high material handling costs and slows down or disrupts shopfloor communications. In addition, instead of using from-to charts or 0-1 matrices as input data, it uses the original routings which automatically results in layouts that conform with the flow patterns implicit to the particular facility under study. Lastly, the string align- ment algorithm with planar embedding of the resulting graphs suggests logical duplications of shared resources. Improved material flow as an enabler of shopfloor control is important, not the optimality of a particular type of layout that does not fit the material flow patterns specific to each facility. From a practical industry perspective, the ideas and heuristic methods presented in this paper are powered by the PFAST software (Irani et al., 2000) for material flow analysis, facilitylayoutandcellformation.Casestudiesthatdescribeindustrialadoptionoftheresearch described in this paper are available at http://ceti.cse.ohio-state.edu/pfast. PFAST, combined with a standard block layout package like STORM or SPIRAL is routinely used to support course projects that IE students, both undergraduate and graduate, do at local companies or as interns. A major sponsor of this research is the Forging Defense Manufacturing Consortium (http://fdmc.aticorp.org/shop design.html) because custom forge shops are unable to adopt Cellular Layouts. With their batch-processing equipment and fixed-location monuments, they are ideal candidates for Modular Layouts and Virtual Cells. Finally, unlike the approach proposed in Benjaafar and Sheikhzadeh (2000), the use of routings instead of From-To Charts as the input data for facility layout significantly increases the flexibility of varying the extent of machine grouping versus machine duplication and distribution in the layout. 7. Future work In this research, the authors were primarily focused on solution methods that will prove viable in industry projects. Consequently, the mathematical formulations presented in this paper were not implemented as-is using CPLEX or other mathematical programming solvers. However, there is a need for research to explore the maximum problem sizes that could be optimally solved prior to resorting to the heuristic solutions proposed in this paper. For example, how would a linearised formulation look and how do the results obtained from solving this approximation compare against those produced by our heuristics? Also, the mathematical formulation for the modular layout problem is essentially a variant of the formulation for a standard cell formation problem. But that is because a layout module is essentiallyaPartialCell.Themoreinterestingresearchchallengeistheautomatedrecognition and classification of the weighted directed graph representing a cluster of routings as being a particular type of module. In the current work, this is done manually by drawing and re- drawing the graph obtained by aggregation of a cluster of common substrings. Finally, while simulation may be the preferred tool for comparing alternative layouts in an academic setting, Springer
  • 30.
    148 Int JFlex Manuf Syst (2006) 17: 119–149 research ought to explore cheaper, faster, and less data-intensive methods for performance evaluation suited for industry projects. The authors are investigating a simple cost model that, for any HCL, computes the total cost of duplicating machines in that layout. A simple 3-tier classification of each machine/resource (RED = Monument, impossible to buy additional equipment and install at another location, YELLOW = Expensive machine, ROI must be provided to justify purchase of additional equipment, GREEN = Inexpensive machine, no ROI is necessary to justify purchase of additional equipment) helps to rapidly color code and assess the feasibility of machine duplication required to implement any HCL layout alternative to an existing functional or cellular layout. 8. Conclusions This paper introduced several hybrid cellular layouts that modify a standard Cellular layout in order to group all shared machines into functional groups, as far as possible. Each HCL has a different degree of grouping of dissimilar machines and similar machines into cells and functional groups, respectively. Furthermore, the design of two special types of hybrid cellular layouts, cascading flowline layout and modular layout, was discussed in detail, along with examples of their applications in real world cases. Acknowledgment The authors appreciate the insightful comments and recommendations made by the two anonymous referees, and the guest editors. The following federal organizations provided funding that has sustained this R&D project for several years: (1) National Science Foundation (NSF): This material is based upon work supported by the NationalScienceFoundationunderGrantNos.DMI-9521278,DMI-8523809(laterDMI- 9796034), DMI-9734815, DMI-9821033, and DMI-9908437. Any opinions, findings, and conclusions or recommendations expressed in this material are those of the author(s) and do not necessarily reflect the views of the National Science Foundation. (2) PRO-FAST Program supported by the Defense Logistics Agency (DLA): The PRO-FAST Program is enabled by the dedicated team of professionals representing the Department of Defense (DOD) and industry. These teammates are determined to ensure the Nation’s forging industry is positioned for the challenges of the 21st Century. Key team members include:R&DEnterpriseTeam(DLAJ339),LogisticsResearchandDevelopmentBranch (DLA - DSCP). References Arvindh B, Irani SA (1994) Cell formation: The need for integrated solution of the subproblems. International Journal of Production Research 32(5):1197–1218 Askin RG, Lundgren NH, Ciarallo F (1996) A material flow based evaluation of layout alternatives for agile manufacturing. In (Graves RJ et. al.), Progress in material handling research, Ann Arbor, MI: Material Handling Institute, Braun-Brumfield Inc., 71–90 Askin RG, Zhou M (1998) Formation of independent flowline cells based on operation requirements and machine capabilities. IIE Transactions 30:319–329 Benjaafar S, Sheikhzadeh M (2000) Design of flexible plant layouts. IIE Transactions 32:309–322 Drolet JR, Moodie CL, Montreuil B (1989) An expansion of the virtual cell concept for scheduling computer integrated manufacturing systems. In Proceedings of the IFAC International Workshop on Decisional Structures in Automated Manufacturing, pp. 9–24 Springer
  • 31.
    Int J FlexManuf Syst (2006) 17: 119–149 149 Foulds LR, Giffin JW (1985) A graph theoretic heuristic for minimizing total transport cost in facilities layout. International Journal of Production Research 23(6):1247–1257 Gusfield D (1997) Algorithms on strings, trees and sequences: Computer science and computational biology, Cambridge University Press, London, UK Huang H, Irani SA (2003) An enhanced systematic layout planning (SLP) process for high-variety low- volume (HVLV) manufacturing facilities. In Proceedings of the Seventeenth International Conference on Production Research, Virginia Polytechnic Institute and State University, Blacksburg, VA [CD-ROM] Irani SA, Huang H (2000) Custom design of facility layouts for multi-product facilities using layout mod- ules. IEEE Transactions on Robotics and Automation (Special Issue on Manufacturing Systems Design) 16(3):259–267 Irani SA, Zhang H, Zhou J, Huang H, Tennati KU, Subramanian S (2000) Production flow analysis and simplification toolkit (PFAST). International Journal of Production Research 38(8):1855–1874 Irani SA, Cohen PH, Cavalier TM (1992) Design of cellular manufacturing systems. Journal of Engineering for Industry 114(3):352–361 Irani SA, Cavalier T M, Cohen PH (1993) Virtual manufacturing cells: Exploiting layout design and intercell flows for the machine sharing problem. International Journal of Production Research 31(4):791–810 Irani SA, Huang H (2000) Custom design of facility layouts for multi-product facilities using Layout Modules. IEEE Transactions on Robotics and Automation 16(3):259–267 Jensen JB, Malhotra MK, Philipoom PR (1996) Machine dedication and process flexibility in a group tech- nology environment. Journal of Operations Management 14:19–39 Kochhar JS, Heragu SS (1999) Facility layout design in a changing environment. International Journal of Production Research 37(11):2429–2446 McCormick WT, Schweitzer PJ, White TW (1972) Problem decomposition and data reorganization by a clustering technique. Operations Research 20(5):993–1009 Meller RD (2000) Multi-channel manufacturing. White Paper, Department of Industrial and Systems Engi- neering, Auburn University, Auburn, AL Montreuil B (2000) Design of agile factory networks for fast-growing companies. In The 6th International Colloquium on Material Handling Research, York, PA Montreuil B, Lefrancois P (1996) Organizing factories as responsibility networks. Graves R.J. et al., In Progress in Material Handling Research Ann Arbor, MI: Material Handling Institute, Braun-Brumfield Inc., pp. 375–411 MulveyJM,CrowderH(1979)Clusteranalysis:AnapplicationofLagrangianrelaxation.ManagementScience 25(4):329–340 Parker RG, Rardin RL (1982) An overview of complexity theory in discrete optimizations (Part I): Concepts. IIE Transactions 14(1):3–10 Sankoff D, Kruskal JB (1983) Time warps, string edits and macromolecules: The theory and practice of sequence comparison, Reading, Addison-Wesley, MA Sherali HD, Fraticelli BMP, Meller RD (2003) Enhanced model formulations for optimal facility layout. Operations Research 51(4):629–644 Suresh NC, Slomp J (2005) Performance comparison of virtual cellular manufacturing with functional and cellular layouts in DRC settings. International Journal of Production Research 43(5):945–979 Tarjan RE (1973) Depth-first search and linear graph algorithms. SIAM Journal on Computing 1:146–160 Tompkins JA, White JA, Bozer YA, Tanchoco JMA (2003) Facilities Planning, NY: John Wiley, New York. Vakharia AJ, Moily JP, Huang Y (1999) Evaluating virtual cells and multistage flow shops: an analytical approach. The International Journal of Flexible Manufacturing Systems 11:291–314 Vakharia AJ, Wemmerlov U (1990) Designing a cellular manufacturing system: A materials flow approach based on operation sequences. IIE Transactions 22(1):84–97 Venkatadri U, Rardin R, Montreuil B (1997) A design methodology for fractal layout organization. IIE Transactions 29:911–924 Zhou J, Irani SA (2003) A new flow diagramming scheme for mapping and analysis of multi-product flows in a facility. Journal of Integrated Design and Process Science 7(1):25–58 Springer