Introduction to set theory and to methodology and philosophy of
mathematics and computer programming
Ordered pairs
An overview
by Jan Plaza
c 2017 Jan Plaza
Use under the Creative Commons Attribution 4.0 International License
Version of February 14, 2017
{x, y} – an unordered pair.
{x, y} = {y, x} – not so with ordered pairs.
A point on the plane is represented as an ordered pair of real numbers.
6
-
r
5
3
5, 3
5, 3 = 3, 5
Definition (Kuratowski)
The ordered pair with coordinates x, y , denoted x, y , is the set {{x}, {x, y}}
{x, y} tells that x and y are the components of the ordered pair.
{x} distinguishes the first component.
Fact
x, x = {{x}, {x, x}} = {{x}, {x}} = {{x}}
Proposition: a, b = c, d iff a = c and b = d.
Proposition: a, b = c, d iff a = c and b = d.
Proof
Proposition: a, b = c, d iff a = c and b = d.
Proof
(←)
(→)
Proposition: a, b = c, d iff a = c and b = d.
Proof
(←) Obvious.
(→)
Proposition: a, b = c, d iff a = c and b = d.
Proof
(←) Obvious.
(If the first object is known under the names a and c, and the second
object is known under the names b and d, then a, b and c, d are
ordered pairs formed from the same objects, and they are the same.)
(→)
Proposition: a, b = c, d iff a = c and b = d.
Proof
(←) Obvious.
(If the first object is known under the names a and c, and the second
object is known under the names b and d, then a, b and c, d are
ordered pairs formed from the same objects, and they are the same.)
(→) on the next slide
Proposition: a, b = c, d iff a = c and b = d.
Proof
(→)
Proposition: a, b = c, d iff a = c and b = d.
Proof
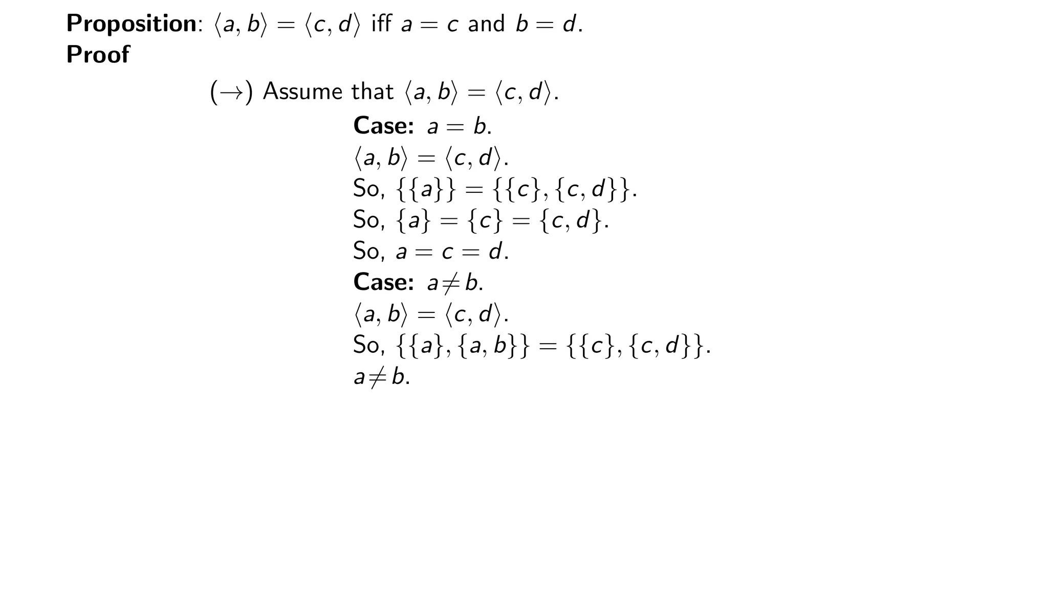
(→) Assume that a, b = c, d .
Proposition: a, b = c, d iff a = c and b = d.
Proof
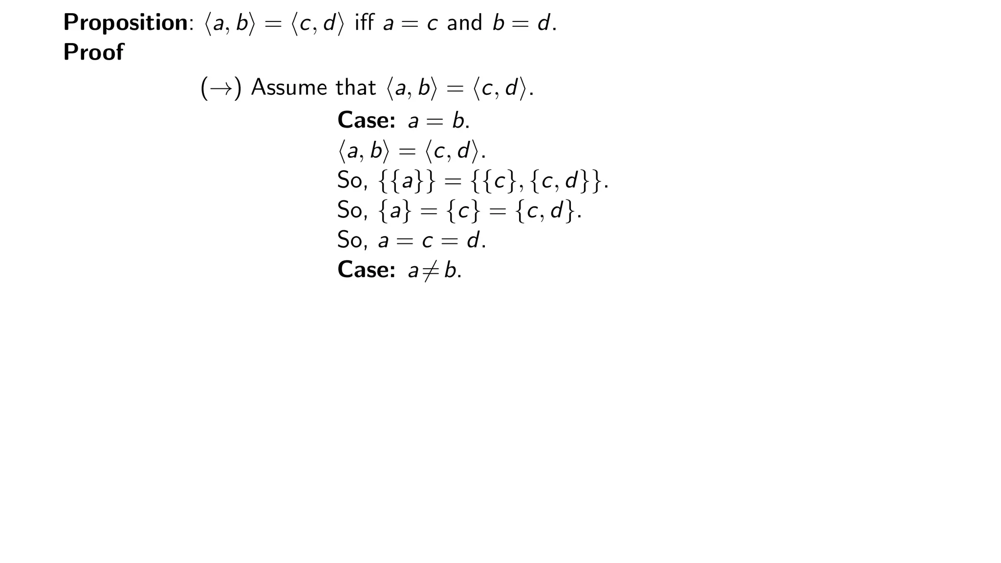
(→) Assume that a, b = c, d .
Case: a = b.
Case: a=b.
Proposition: a, b = c, d iff a = c and b = d.
Proof
(→) Assume that a, b = c, d .
Case: a = b.
a, b = c, d .
Case: a=b.
Proposition: a, b = c, d iff a = c and b = d.
Proof
(→) Assume that a, b = c, d .
Case: a = b.
a, b = c, d .
So, {{a}} = {{c}, {c, d}}.
Case: a=b.
Proposition: a, b = c, d iff a = c and b = d.
Proof
(→) Assume that a, b = c, d .
Case: a = b.
a, b = c, d .
So, {{a}} = {{c}, {c, d}}.
So, {a} = {c} = {c, d}.
Case: a=b.
Proposition: a, b = c, d iff a = c and b = d.
Proof
(→) Assume that a, b = c, d .
Case: a = b.
a, b = c, d .
So, {{a}} = {{c}, {c, d}}.
So, {a} = {c} = {c, d}.
So, a = c = d.
Case: a=b.
Proposition: a, b = c, d iff a = c and b = d.
Proof
(→) Assume that a, b = c, d .
Case: a = b.
a, b = c, d .
So, {{a}} = {{c}, {c, d}}.
So, {a} = {c} = {c, d}.
So, a = c = d.
Case: a=b.
a, b = c, d .
Proposition: a, b = c, d iff a = c and b = d.
Proof
(→) Assume that a, b = c, d .
Case: a = b.
a, b = c, d .
So, {{a}} = {{c}, {c, d}}.
So, {a} = {c} = {c, d}.
So, a = c = d.
Case: a=b.
a, b = c, d .
So, {{a}, {a, b}} = {{c}, {c, d}}.
Proposition: a, b = c, d iff a = c and b = d.
Proof
(→) Assume that a, b = c, d .
Case: a = b.
a, b = c, d .
So, {{a}} = {{c}, {c, d}}.
So, {a} = {c} = {c, d}.
So, a = c = d.
Case: a=b.
a, b = c, d .
So, {{a}, {a, b}} = {{c}, {c, d}}.
a=b.
Proposition: a, b = c, d iff a = c and b = d.
Proof
(→) Assume that a, b = c, d .
Case: a = b.
a, b = c, d .
So, {{a}} = {{c}, {c, d}}.
So, {a} = {c} = {c, d}.
So, a = c = d.
Case: a=b.
a, b = c, d .
So, {{a}, {a, b}} = {{c}, {c, d}}.
a=b.
So, {a, b}={c}.
Proposition: a, b = c, d iff a = c and b = d.
Proof
(→) Assume that a, b = c, d .
Case: a = b.
a, b = c, d .
So, {{a}} = {{c}, {c, d}}.
So, {a} = {c} = {c, d}.
So, a = c = d.
Case: a=b.
a, b = c, d .
So, {{a}, {a, b}} = {{c}, {c, d}}.
a=b.
So, {a, b}={c}.
So, {a, b} = {c, d}.
Proposition: a, b = c, d iff a = c and b = d.
Proof
(→) Assume that a, b = c, d .
Case: a = b.
a, b = c, d .
So, {{a}} = {{c}, {c, d}}.
So, {a} = {c} = {c, d}.
So, a = c = d.
Case: a=b.
a, b = c, d .
So, {{a}, {a, b}} = {{c}, {c, d}}.
a=b.
So, {a, b}={c}.
So, {a, b} = {c, d}.
So, {c, d}={a}.
Proposition: a, b = c, d iff a = c and b = d.
Proof
(→) Assume that a, b = c, d .
Case: a = b.
a, b = c, d .
So, {{a}} = {{c}, {c, d}}.
So, {a} = {c} = {c, d}.
So, a = c = d.
Case: a=b.
a, b = c, d .
So, {{a}, {a, b}} = {{c}, {c, d}}.
a=b.
So, {a, b}={c}.
So, {a, b} = {c, d}.
So, {c, d}={a}.
So, {a} = {c}.
Proposition: a, b = c, d iff a = c and b = d.
Proof
(→) Assume that a, b = c, d .
Case: a = b.
a, b = c, d .
So, {{a}} = {{c}, {c, d}}.
So, {a} = {c} = {c, d}.
So, a = c = d.
Case: a=b.
a, b = c, d .
So, {{a}, {a, b}} = {{c}, {c, d}}.
a=b.
So, {a, b}={c}.
So, {a, b} = {c, d}.
So, {c, d}={a}.
So, {a} = {c}.
So, a = c.
Proposition: a, b = c, d iff a = c and b = d.
Proof
(→) Assume that a, b = c, d .
Case: a = b.
a, b = c, d .
So, {{a}} = {{c}, {c, d}}.
So, {a} = {c} = {c, d}.
So, a = c = d.
Case: a=b.
a, b = c, d .
So, {{a}, {a, b}} = {{c}, {c, d}}.
a=b.
So, {a, b}={c}.
So, {a, b} = {c, d}.
So, {c, d}={a}.
So, {a} = {c}.
So, a = c.
So, b = d.
Fact
x, y = y, x iff x = y.
Thinking about program variables and their values. (In two different ways.)
1. A variable has a value: VARIABLE-NAME, VALUE .
2. A variable refers to a memory address. The memory address stores a value.
VARIABLE-NAME, MEMORY-ADDRESS together with
MEMORY-ADDRESS, VALUE .

2.7 Ordered pairs

  • 1.
    Introduction to settheory and to methodology and philosophy of mathematics and computer programming Ordered pairs An overview by Jan Plaza c 2017 Jan Plaza Use under the Creative Commons Attribution 4.0 International License Version of February 14, 2017
  • 2.
    {x, y} –an unordered pair. {x, y} = {y, x} – not so with ordered pairs. A point on the plane is represented as an ordered pair of real numbers. 6 - r 5 3 5, 3 5, 3 = 3, 5
  • 3.
    Definition (Kuratowski) The orderedpair with coordinates x, y , denoted x, y , is the set {{x}, {x, y}} {x, y} tells that x and y are the components of the ordered pair. {x} distinguishes the first component. Fact x, x = {{x}, {x, x}} = {{x}, {x}} = {{x}}
  • 4.
    Proposition: a, b= c, d iff a = c and b = d.
  • 5.
    Proposition: a, b= c, d iff a = c and b = d. Proof
  • 6.
    Proposition: a, b= c, d iff a = c and b = d. Proof (←) (→)
  • 7.
    Proposition: a, b= c, d iff a = c and b = d. Proof (←) Obvious. (→)
  • 8.
    Proposition: a, b= c, d iff a = c and b = d. Proof (←) Obvious. (If the first object is known under the names a and c, and the second object is known under the names b and d, then a, b and c, d are ordered pairs formed from the same objects, and they are the same.) (→)
  • 9.
    Proposition: a, b= c, d iff a = c and b = d. Proof (←) Obvious. (If the first object is known under the names a and c, and the second object is known under the names b and d, then a, b and c, d are ordered pairs formed from the same objects, and they are the same.) (→) on the next slide
  • 10.
    Proposition: a, b= c, d iff a = c and b = d. Proof (→)
  • 11.
    Proposition: a, b= c, d iff a = c and b = d. Proof (→) Assume that a, b = c, d .
  • 12.
    Proposition: a, b= c, d iff a = c and b = d. Proof (→) Assume that a, b = c, d . Case: a = b. Case: a=b.
  • 13.
    Proposition: a, b= c, d iff a = c and b = d. Proof (→) Assume that a, b = c, d . Case: a = b. a, b = c, d . Case: a=b.
  • 14.
    Proposition: a, b= c, d iff a = c and b = d. Proof (→) Assume that a, b = c, d . Case: a = b. a, b = c, d . So, {{a}} = {{c}, {c, d}}. Case: a=b.
  • 15.
    Proposition: a, b= c, d iff a = c and b = d. Proof (→) Assume that a, b = c, d . Case: a = b. a, b = c, d . So, {{a}} = {{c}, {c, d}}. So, {a} = {c} = {c, d}. Case: a=b.
  • 16.
    Proposition: a, b= c, d iff a = c and b = d. Proof (→) Assume that a, b = c, d . Case: a = b. a, b = c, d . So, {{a}} = {{c}, {c, d}}. So, {a} = {c} = {c, d}. So, a = c = d. Case: a=b.
  • 17.
    Proposition: a, b= c, d iff a = c and b = d. Proof (→) Assume that a, b = c, d . Case: a = b. a, b = c, d . So, {{a}} = {{c}, {c, d}}. So, {a} = {c} = {c, d}. So, a = c = d. Case: a=b. a, b = c, d .
  • 18.
    Proposition: a, b= c, d iff a = c and b = d. Proof (→) Assume that a, b = c, d . Case: a = b. a, b = c, d . So, {{a}} = {{c}, {c, d}}. So, {a} = {c} = {c, d}. So, a = c = d. Case: a=b. a, b = c, d . So, {{a}, {a, b}} = {{c}, {c, d}}.
  • 19.
    Proposition: a, b= c, d iff a = c and b = d. Proof (→) Assume that a, b = c, d . Case: a = b. a, b = c, d . So, {{a}} = {{c}, {c, d}}. So, {a} = {c} = {c, d}. So, a = c = d. Case: a=b. a, b = c, d . So, {{a}, {a, b}} = {{c}, {c, d}}. a=b.
  • 20.
    Proposition: a, b= c, d iff a = c and b = d. Proof (→) Assume that a, b = c, d . Case: a = b. a, b = c, d . So, {{a}} = {{c}, {c, d}}. So, {a} = {c} = {c, d}. So, a = c = d. Case: a=b. a, b = c, d . So, {{a}, {a, b}} = {{c}, {c, d}}. a=b. So, {a, b}={c}.
  • 21.
    Proposition: a, b= c, d iff a = c and b = d. Proof (→) Assume that a, b = c, d . Case: a = b. a, b = c, d . So, {{a}} = {{c}, {c, d}}. So, {a} = {c} = {c, d}. So, a = c = d. Case: a=b. a, b = c, d . So, {{a}, {a, b}} = {{c}, {c, d}}. a=b. So, {a, b}={c}. So, {a, b} = {c, d}.
  • 22.
    Proposition: a, b= c, d iff a = c and b = d. Proof (→) Assume that a, b = c, d . Case: a = b. a, b = c, d . So, {{a}} = {{c}, {c, d}}. So, {a} = {c} = {c, d}. So, a = c = d. Case: a=b. a, b = c, d . So, {{a}, {a, b}} = {{c}, {c, d}}. a=b. So, {a, b}={c}. So, {a, b} = {c, d}. So, {c, d}={a}.
  • 23.
    Proposition: a, b= c, d iff a = c and b = d. Proof (→) Assume that a, b = c, d . Case: a = b. a, b = c, d . So, {{a}} = {{c}, {c, d}}. So, {a} = {c} = {c, d}. So, a = c = d. Case: a=b. a, b = c, d . So, {{a}, {a, b}} = {{c}, {c, d}}. a=b. So, {a, b}={c}. So, {a, b} = {c, d}. So, {c, d}={a}. So, {a} = {c}.
  • 24.
    Proposition: a, b= c, d iff a = c and b = d. Proof (→) Assume that a, b = c, d . Case: a = b. a, b = c, d . So, {{a}} = {{c}, {c, d}}. So, {a} = {c} = {c, d}. So, a = c = d. Case: a=b. a, b = c, d . So, {{a}, {a, b}} = {{c}, {c, d}}. a=b. So, {a, b}={c}. So, {a, b} = {c, d}. So, {c, d}={a}. So, {a} = {c}. So, a = c.
  • 25.
    Proposition: a, b= c, d iff a = c and b = d. Proof (→) Assume that a, b = c, d . Case: a = b. a, b = c, d . So, {{a}} = {{c}, {c, d}}. So, {a} = {c} = {c, d}. So, a = c = d. Case: a=b. a, b = c, d . So, {{a}, {a, b}} = {{c}, {c, d}}. a=b. So, {a, b}={c}. So, {a, b} = {c, d}. So, {c, d}={a}. So, {a} = {c}. So, a = c. So, b = d.
  • 26.
    Fact x, y =y, x iff x = y.
  • 27.
    Thinking about programvariables and their values. (In two different ways.) 1. A variable has a value: VARIABLE-NAME, VALUE . 2. A variable refers to a memory address. The memory address stores a value. VARIABLE-NAME, MEMORY-ADDRESS together with MEMORY-ADDRESS, VALUE .