Embed presentation
Download to read offline








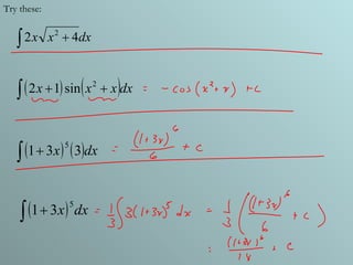
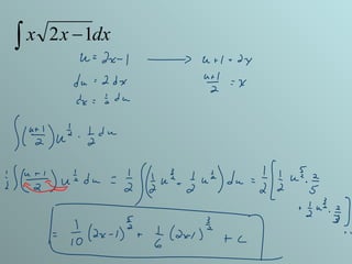
This document discusses more challenging integrals where the anti-derivative is not obvious and requires techniques like the chain rule or integration by substitution. It provides examples of integrals to practice that use these more advanced integration techniques. The document aims to expose the reader to integrals requiring greater mathematical reasoning beyond straightforward derivatives.







