TALES OF VALORTALES OF VALOR
UPDATED VERS.I.II
TALES OF VALOR
2|TOV|MEDICUSLESCIUS
ASAL USUL LESCIUS-MEDICUS
Alhamdulillah segala puji bagi Allah SWT atas segala rahmatnya yang
telah memberikan segalanya untuk diriku, kemudian kepada orang tua, adik,
dan para dosen2ku dan semua orang yang banyak membantuku selama ini.
Berawal dari ketidaksengajaanku yang hobi jeprat-jepret les pasien,
nyatetan sakti, atau keisenganku merekam suara visite besar para senior-
supervisor. Setelah sekian lama pengalamanku beberapa kali jaga, ikutan
diajak ke klinik dan yankes, pada awalnya sempat bingung, ehmm…
pasiennya dikasih apa nih ya??? dikasih obat apa ya yang cespleng, mau
dikasih antibiotik, mana yang bagus nih, atau obat simptomatis apa ya yang
bagus to pasien ini, merk obat belum hafal lagi, he5…???? Dan kuyakin
semua “dokter muda” alias “koas awal” alias “pekerja setengah dokter” pasti
bingung, obat apa yang bakal diberi. Tanggung jawab dokter emang tidak
ringan, kalo dipikir2, setelah kita menganamnesa, lalu px/ fisik dan kalo perlu
penunjang, barulah kepikiran diagnosa. Nah anggap aja tau diagnosa, terus
obat yang “Mak Nyuussss” apa ya ??? he5. Walaupun teori hafal mati tapi
dalam hal peresepan, tentulah hal itu juga harus besar pengaruhnya didapat
dari pengalaman toh. Apalagi merk banyak. Akhirnya selama masa dokter
muda 2 tahun keblesit ide untuk mengumpulkan catatan resep2 “Cakti” yang
sebenarnya berawal dari suatu keisenganku sambil mengisi waktu senggang,.
Catatatan resep “Cakti”, dibuat hanya sekedar CONTOH beberapa kasus
yang didapat selama masa belajar. Buku ini hanya berisi resep-resep saja,
dengan sedikit tambahan teori obat-obatan, teori lebih detail silakan baca
dibuku textbook. Catatan ini berisi contoh resep para senior berpengalaman
yang ahli dibidangnya berjudul “LESCIUS-MEDICUS” terdiri dari 2 inti
yaitu:
1. Inti I. Lescius-Medicus Minor: Berisi catatan dasar-dasar ilmu farmasi dan
contoh resep selama stase siklus kecil.
2. Inti II. Lescius-Medicus Mayor: Berisi contoh resep selama stase siklus
besar; Kompilasi kasus UGD: Interna, Bedah-UGD, Pediatri-UGD, Neuro-
UGD, Obsgyn.
Lescius-Medicus ini hanya sebatas contoh resep saja, Bukan patokan
untuk menggunakannya karena kedokteran adalah ARTS and SCIENCES.
Jadi saya yakin Pengetahuan pada dokter insya Allah sama, tetapi Seni dalam
3|TOV|MEDICUSLESCIUS
mengobati pasien pasti berbeda antar dokter tergantung situasi, kondisi, dan
pengalaman dokter tersebut. Semoga seblesit keisenganku ini dapat berguna
dalam memberikan yang terbaik untuk pasien kita. Catatan ini masih jauh
dari kurang, ntar kapan2 kurevisi lagi. Dengan banyak berlatih, insya Allah
kita semua menjadi dokter yang professional dunia akhirat. Amin. Lescius-
Medicus ini insya Allah akan dapat didownload diblogku. Terima kasih.
Wassalam.
Atas nama diriku sendiri
Lescius-Medicus
Dibuat pada waktu senggang alias lagi iseng every time every day every
moment
(0402005114/Axoneme)
Download at: www.andikunud.wordpress.com
Blog ini berisi referat ilmiah, laporan kasus, OSCE, UKDI, belajar Ro/, buku saku
resep obat, link2 jurnal ilmiah, dll.
Face book: username: Andik Sunaryanto
EXPANSION UPDATED:
1. Pendahuluan diatas dibuat persis tanpa penggantian kata seperti aslinya pada awal
pembuatan pertama kali “Lescius Medicus” yang dirintis di Denpasar mulai 2010.
2. Versi berikutnya adalah Versi I.II Tales of Valor (TOV) yang diselesaikan di
Malang, 00.00, Jum’at, 18/03/2011 selesai UKDI.
3. Revisi versi I.II TOV diselesaikan lagi di Malang, 07.00, Senin, 11/04/2011 setelah
pulang dari Yogyakarta. Bedanya dengan no 2 yaitu ada sedikit penambahan contoh
cases + resep spesialis di stase pediatri. Lescius Medicus Versi I.II TOV berisi
lengkap Inti I + II + cases + contoh resep. Sumber referensi ini, insya Allah valid,
diambil dari buku Farmasi, MIMS, ACLS, catatan interna, Lapsus, e-books, dll, dan
tentunya ada contoh2 resep spesialis yang didapat selama pendidikan dan magang di
RS bersama supervisor.
4. Edisi berikutnya insya Allah ditambahin teknik cepat mbaca EKG, dan kasus
emergency OBGYN yang belum ada diedisi ini. Kedepannya ingin saya tambahin
dengan ilmu akupunktur yang insya Allah akan segera saya dalami.
5. Sharing tentang ilmu pengobatan kedokteran terbaru, sangat saya harapkan dari
teman2 semua yang dapat diinbox ke alamat FB ku. Semoga bermanfaat. BTK.
4|TOV|MEDICUSLESCIUS
KATALOG LESCIUS MEDICUS TOV
1. DASAR-DASAR ILMU FARMASI/PERESEPAN ..................................................................................... 5
2. STASE ANESTESI ......................................................................................................................................... 7
3. STASE THT .................................................................................................................................................... 9
4. STASE KULIT dan KELAMIN..................................................................................................................... 10
5. STASE ILMU MATA .................................................................................................................................... 11
6. STASE NEUROLOGI ................................................................................................................................... 12
7. STASE PEDIATRI ........................................................................................................................................ 13
8. STASE INTERNA ......................................................................................................................................... 21
9. ABCD INTERNA
A N A F I L A K S I S ..................................................................................................... 27
A N E M I A ...................................................................................................................... 29
A K U T L E U K E M I A .............................................................................................. 30
A M O E B I A S I S K O L O N / S I G E L L O S I S ................................................ 31
ANEMIA APLASTIK ..................................................................................................... 32
ASMA BRONCIALE/STATUS ASMATIKUS ............................................................ 33
B I O K I M I A H A T I ................................................................................................ 34
C M L KRONIK MIELOSITIK LEUKEMIA ........................................................... 35
C I R O S I S H E P A T I S .......................................................................................... 36
PENYAKIT JANTUNG PARU (COR PULMONAL) ............................................... 37
D H F ................................................................................................................................. 38
D I S P E P S I A .............................................................................................................. 40
DEMAM TYPOID ........................................................................................................... 41
DM + GANGREN/ULKUS/CELULITIS ....................................................................... 42
DOBUTAMIN DOPAMIN .............................................................................................. 44
DRUG AND THE LIVER ............................................................................................... 45
DRUG AND THE LIVER HEPATIC DRUG METABOLISM .................................. 46
E F U S I P L E U R A .................................................................................................. 47
GCS ................................................................................................................................... 48
G G A .............................................................................................................................. 49
G G K .............................................................................................................................. 50
GAGAL JANTUNG ...................................................................................................... 51
G A S T R O E N T E R I T I S A K U T ..................................................................... 52
G A G A L N A FA S ...................................................................................................... 54
H I P E R T E N S I ......................................................................................................... 55
H A E M O P T O E ......................................................................................................... 60
H E M A T E M E S I S M E L E N A ........................................................................ 61
H E P A T I T I S A K U T ........................................................................................... 62
HIPOGLIKEMIA ........................................................................................................... 63
INFARK MIOKARD AKUT ......................................................................................... 64
K E R A C U N A N ................................................................................................. 66
K O L E R A ..................................................................................................................... 69
K O L I T I S .................................................................................................................... 70
K O M A K A D ........................................................................................................... 71
K O M A H O N K ......................................................................................................... 72
K O L A N G I T I S ...................................................................................................... 73
K O L E S I S T I T I S A K U T ................................................................................... 74
K O M A H E P A T I K U M ....................................................................................... 75
K O M A H I P O G L I K E M I A ............................................................................. 76
KOMA LAKTAT ASIDOSIS ......................................................................................... 77
KRISIS TIROID .............................................................................................................. 78
L E U K E M I A ................................................................................................ 79
LIMFOMA MALIGNA .................................................................................................. 80
MALARIA ........................................................................................................................ 81
METOKLORPRAMID (Kolinergik) ............................................................................. 82
P P O K + I N F E K S I S E K U N D E R .............................................................. 83
P A N K R E A T I T I S A K U T ................................................................................ 84
P I E L O N E F R I T I S ............................................................................................... 85
P N E U M O N I A ......................................................................................................... 86
P N E U M O T H O R A K ............................................................................................ 87
RHEUMATIK HEART DISEASE ............................................................................... 88
S I N D R O M N E F R O T I K ................................................................................. 89
SYOK KARDIOGENIK ................................................................................................ 90
S Y O K S E P T I K .................................................................................................... 91
NILAI NORMAL LABORATORIUM ......................................................................... 92
10. STASE BEDAH EMERGENCY + ICCU ................................................................................................. 94
11. KASUS STASE NEUROLOGI/PSIKIATRI POLIKLINIK ................................................................. 108
12. KASUS STASE THT POLIKLINIK JEJARING ................................................................................... 110
13. KASUS STASE IKK POLIKLINIK RSUP & JEJARING ................................................................. 113
14 .KASUS KOMPILASI POLIKLINIK ANAK .......................................................................................... 119
15. KASUS STASE PEDIATRY EMERGENCY .......................................................................................... 120
16 .KASUS KOMPILASI INTERNA ............................................................................................................. 124
17. KASUS STASE NEUROLOGY EMERGENCY ................................................................................... 135
Download at: www.andikunud.wordpress.com
5|TOV|MEDICUSLESCIUS
1. DASAR-DASAR ILMU FARMASI/PERESEPAN
1. Tablet:R/ Antalgin 500 mg tab no.XV
S 3dd tab I
2. Capsul: R/ Tetracyclin 250 mg casps no XX
S 4 dd caps I
3. Suppositoria: R/ Proris Suppos no. V
S 1 dd sup I intra anus
4. Syrup: R/ Panadol Syr. Fl. No I
S 3 dd cth I
5. Drop/guttae: R/ Colme eye drop fl. No I
S 4 dd gtt I OD et OS (oculi dextra/sinistra)
6. Solution: R/ Betadine sol. Fl no I
S u e
7. Ointment: R/ Terracortryl oint tube no I
S u e
8. Cream: R/ Counterpain cream tube no I
S u e
9. Parenteral: R/ Adrenalin inj ampul no X
R/ Xylomidon vial no II
R/ Dextrose infuse fl no IV
S i m m
10. Pulveres:R/ Amoxicillin mg 125
Paracetamol mg 200
Mfla pulv dtd no XV
S 3 dd pulv I
Suc: signa usus cognito (pemakaian sudah diketahui)
Sue: Signa usus externus
S 3 dd : Signa ter de die
Dtd: da tales dosis: masing2 dosisnya seperti diatas
fl: Flash: botol kecil
1 sendok takar = 5cc
6|TOV|MEDICUSLESCIUS
Rumus Dosis Anak
1. Berdasarkan Umur
a. Young (<8 th): n/(n+12) x dosis dewasa
b. Dilling (> 8th
): n/20 x dosis dewasa
2. Berdasarkan BB
Clark: w/70 x dosis dewasa
3. Berdasarkan Luas Permukaan Tubuh
p = (7n+35)/100 m2
Dosis: (4n + 20) % dosis dewasa
Atau: (1,5 w + 10) % dosis dewasa
Keterangan:
n: Umur w: Weight p: Luas Permukaan Tubuh
Perhitungan kebutuhan Cairan menurut BB
0-10 kg : 100 ml/kgBB
10-20 kg : 1000 ml + 50 ml/KgBB (diatas 10 kg)
> 20 kg : 1500 ml + 20 ml/KgBB (diatas 20 kg)
7|TOV|MEDICUSLESCIUS
2. STASE ANESTESI
1.Cairan
Na K Cl Ca
Glu
kosa
Lak
tat
HCO3
Osmol
ariti
Mg
Ase
tat
mEq
/L
mEq
/L
mEq
/L
mEq
/L
g/dL
mEq
/L
MEq/L
Mosmo
l/L
mEq
/L
mEq
/L
D5% - - - - 5 - - 257 - -
0,9% salin 154 - 154 - - - - 308 - -
RL 130 4 109 3 - 28 - 273 - -
Plasmalit B 140 5 98 - 23 - 50 294 3 27
2. Pain Management
a. Golongan Analgetik non narkotik, Antipiretik
No Nama (sediaan) Merk Dosis R/
maks
Keterangan
1. Asam asetil salisilat
(asetosal)
- Tab 100 mg
- Tab 200 mg
Asetosal
Aspilet/80mg
Asetosal
(1x1)
1 tab/hari
Dosis lazim 80-
160/hr
MI s/d
300mg/hr
TIA s/d
1000mg/hr
15 tab Untuk
antitrombotik
dan
profilaksis
angina
pectoris &
MI
2. Fenilbutasol
- Tab salut 200
mg
Fenilbutazon/
Phenylbutazon
(3x1)
Dibatasi to
kead. Akut,
sesudah
makan to 1
minggu
3. Ibuprofen
- Tab 200 mg
- Tab 400 mg
Ibuprofen/
Prifen.
#Proris:
Caps 200mg
Supp 125mg
Syr 100mg/5mg
Sir forte 50 ml
(3x1)
#Dewasa 200
mg 3-4x/hr
Anak: 5-
10mg/kgBB
(3-4x/hr)
Antipiretik
>>, analgetik
sakit gigi,
nyeri otot
4. Metampiron
- Tab/caps 500
mg
Metampiron/Antalgin/
Lexagin
Metampiron inj
(3x1)
1-2 caps
3x/hari
15 tabs
3 amp
Analgetik >>,
antipiretik,
anti reumatik
8|TOV|MEDICUSLESCIUS
- Injeksi IM 250
mg/ml amp @ 2
ml
5. Parasetamol
- Tab 500 mg
- Syr 120
mg/5ml, btl 60
ml
- RT 125mg/2,5ml
Paracetamol,
sakapara, alphamol,
#Biogesic:
tab 500mg
lar 150 mg/5mlx30ml
*Dumin RT
125 mg/2,5ml
(3x1)
#Dws 1-2 tab
3x/hr, anak 7-
12th
10-15ml,
2-6th
5-10 ml,
bayi 2,5-5ml
2 btl
Antipiretik
>>.
analgesik,
antirematik,
sakit gigi,
kepala.
6. Asam mefenamat
- Caps 250 mg
- Caps 500 mg
- Susp 50 mg/5ml
x 60ml
Asam mefenamat,
stanalin, freedol,
opistan, ponstan
(3x1)
(3x1)
Analgetik >>
7. Tramadol
- Kaps 50 mg
- Inj 50
mg/ml,amp 1ml
atau 2 ml
Tramadol, *Corsadol
Tramadol inj
*Dws 1-2
kaps/4-6jam,
maks 8 kaps
(400mg/hr)
(1 ampul)
50 mg/ml
10 kaps
(3hr)
5 amp
Hanya to
nyeri berat &
post op
8. Ketolorac
- Inj 10 mg/ml,
- Inj 30 mg/ml
Ketorolac inj, rolac,
ketorolac
tromethamine
(Toradol) inj
(1 ampul)
10-30mg tiap
4-6jam/
60 mg inisial,
lalu 30
mg/6jam
90
mg/ml
(3
ampul)
Hanya to
nyeri berat &
post op
b. Golongan Antiinflamasi non steroid (NSAIDs)
No. Nama (sediaan) Merk Dosis R/Maks Keterangan
1. Na diklofenak
- Tab 25 mg
- Tab 50 mg
Na diklofenak 3x1
2. Ketoprofen
- Tab 50 mg
- Tab 100 mg
- Supp 100 mg
(hanya to
post op)
Ketoprofen
*Kaltrofen
50mg(3-
4x/hr)
100mg(2-
3x/hr)
*R/simptomastis
arthritis, nyeri
pasca trauma
3. Piroxicam
- Tab 10 mg
- Caps 20 mg
Piroxicam 3x1
60 tabs/bln
30 caps/bln
Only nyeri sendi
9|TOV|MEDICUSLESCIUS
3. STASE THT
Terapi TB Kelenjer pada anak
Triple Drugs:
1. Rifampisin 10 mg/kgBB pulv 1 x 1
2. INH10 mg/kgBB pulv 1 x 1
3. Pirazinamide 25 mg/kgBB pulv 1 x 1
Diberikan selama 2 bulan lalu dilanjutkan dengan Rifampisin dan INH
selama 4 bln dengan dosis sama.
No. Golongan
Obat
Komposisi Utama/Generik Merk
1. Dekongestan - Efedrin
- Pseudoefedrin +
desloratadine
- Tremenza / Trifed
- Clarinase
2. Obat tetes
telinga
- Chlorampenicol
- Ofloxacin
- Neomycin, basitracin
- Na-dokusat 0,5 %
- Sol efedrin
- Colme
- Tarivid
- Otopain
- Waxsol
3. Tetes/semprot
hidung
- Xylometazoline
- Oxymetazoline (dekongestan,
menutup Perdarahan)
- Kortikosteroid
- Cairan fisiologis hidung
- Otrivin
- Afrin
- Nasonex,
flexonase
- Breathy
4. Mukolitik - Bromhexin
- GG
- Ambroxol
- Asetil-sistein
- Mucohexim,
bisolvon
- Mucopect,
transbroncho
- Vectrin, fluimucil
10|TOV|MEDICUSLESCIUS
4. STASE KULIT dan KELAMIN
A. Cream, Zalf
Golongan Merk Dagang Komposisi utama/Generik Sediaan
1. Steroid
Visancort Tiap gr cr mengand
Hidrokortison 1%,
iodoklorohidroksikinolina 1%,
kamfer 1%.
Tube 10 g cr
Inerson Desoksimetason 0,25 % Tube 15 g zalf
Locoid cr Hydrocortisone 17-butyrate Cr 10 gr
Nerilon Diflukortolon valerat 0,1 % Tube 10 g cr
2.Antibiotik,
Kombinasi
Betasin Betamethasone dipropionate
0,05%
Gentamysin sulfate 0,1 %
Cr 10 gr
Digenta Tiap gr mengand Gentamisin 1
mg dan betametason 0,5 mg
Salticin 1 mg/gr cr: Gentamisin sulfat 40
mg/ml
3. Antifungi Mycoderm/mycoral/
Interzol/formyco/Fungor
al
Ketoconazol 2% cr Tube 5 g cr
4. Lain2 Scabimite Permetin 5% 10 gr, 30 gr
Fuson As. Fusidat 20 mg/g cr
Na fusidat 20 mg/g zalf
Tube 5 gr
Carmed cr 10% Used to hyperkeratosis, dryness Tube 40 g cr
B. Oral
Golongan Merk Komposisi utama/Generik Sediaan
1. Steroid Somerol Metylprednisolon 4 mg 4 mg, 16 mg/tab
Prednison Prednison 5 mg 5 mg
Triamcort Triamcinolone tab 4 mg
2. Antibiotik Interdoxin Doxycyclinehydrate caps
50mg/100 mg
Robamox Amoxycillin trihydrate 500 mg
3. Antifungi Interzol, Fungoral Ketoconazol 200 mg
Adult 1 tab/hr,
Anak > 2 th: 5 mg/kgBB/hr
200 mg
4. Antihistamin Interhistin Mebhidrolin napadisilat 50
mg/tablet
50 mg/5ml sirup
50 mg/tab
50mg/5 ml syr
Inclarin/sohotin/
Aloris
Loratadin 10 mg/tab
5 mg/5 ml syr
11|TOV|MEDICUSLESCIUS
5. STASE ILMU MATA
Golongan Merk Komposisi Utama Sediaan
1.Antibiotik +
steroid tetes
mata
a.Xitrol (cendo)
tetes mata
Netto: 5 ml @ ml mengandung:
Active: Neomycin Sulfate
equivalent to Neomycin 3,5 mg
Polymycin b sulfat 10.000 IU
Dexamethasone 1,0 mg
5 ml
b.Xitrol (cendo)
ointment
Netto: 3,5 gr @ gr mengand:
Neomycin base 3,5 mg
Polymicin B sulfate 10000 IU
Dexamethasone 1 mg
In neutral ointment base
Dose: 3-4 x/ hr
3,5 gr
2.Antibiotik
murni
a.Gentamicin
(Genta) cendo
tetes
Netto: 5 ml @ ml mengand:
Active: Gentamicin sulfat
equivalen to 3,0 mg gentamicin
5 ml
b.Gentamicin
0,3% eye
ointment
Netto: 3,5 gr @ gr mengandung
Gentamicin sulfate eq to 3 mg
3,5 gr
3.Miotikum 1%
(Pilo)carpin
(cendo)
Netto 5 ml @ ml  active:
pilocarpine HCl 10 mg
5 ml
4.Analgetik 0,5% pantocain Netto: 5 ml @ ml  tetracain
HCl 5 mg
5 ml
5.Midriatikum a.0,5 %
Mydriatil
Netto: 5 ml 0,5 % Mydriatil 5 ml
b.0,5% Tropin Netto: 5 ml @ ml  atropine
sulfate
5 ml
c.10% efrisel Netto 5 ml @ ml  active
phenylephrine HCl 100 mg
5 ml
12|TOV|MEDICUSLESCIUS
6. STASE NEUROLOGI
Golongan Komposisi
Utama/Generik
Merk, Sediaan
1. OAE
1st
line
Sodium Valproat Capsule, sprinkle, as divalproex sodium
(Depakote® Sprinkle®): 125 mg
Capsule, as valproic acid (Depakene®): 250 mg
Injection, as sodium valproate (Depacon™): 100
mg/mL (5 mL)
Syrup, as sodium valproate (Depakene®): 250
mg/5 mL (5 mL, 50 mL, 480 mL)
Tablet, delayed release, as divalproex sodium
(Depakote®): 125 mg, 250 mg, 500 mg
Carbamazepine Carbatrol®; Epitol®; Tegretol®; Tegretol®-XR
Capsule, extended release: 200 mg, 300 mg
Suspension, oral (citrus-vanilla flavor): 100
mg/5 mL (450 mL)
Tablet: 200 mg
Tablet, chewable: 100 mg
Tablet, extended release: 100 mg, 200 mg, 400
mg
Phenytoin (dilantin) Capsule, as sodium:
Extended: 30 mg, 100 mg
Prompt: 100 mg
Injection, as sodium: 50 mg/mL (2 mL, 5 mL)
Suspension, oral: 30 mg/5 mL (5 mL, 240 mL);
125 mg/5 mL (5 mL, 240 mL)
Tablet, chewable: 50 mg
Phenobarbital Barbita®;
Luminal®; Solfoton®
Capsule: 16 mg
Elixir: 15 mg/5 mL (5 mL, 10 mL, 20 mL); 20
mg/5 mL (3.75 mL, 5 mL, 7.5 mL, 120 mL, 473
mL, 946 mL, 4000 mL)
Injection, as sodium: 30 mg/mL (1 mL); 60
mg/mL (1 mL); 65 mg/mL (1 mL); 130 mg/mL
(1 mL)
Powder for injection: 120 mg
Tablet: 8 mg, 15 mg, 16 mg, 30 mg, 32 mg, 60
mg, 65 mg, 100 mg
13|TOV|MEDICUSLESCIUS
7. STASE PEDIATRI
Acetaminofen (pct) tab 250, 500 mg: 10 mg/kgBB/x (3x)
Rectal tube (R/Dumin) 125 mg, 250 mg
Acetosal: Reumatic fever: 100-200/kg/hr (4-6x)
Membaik : 2/3 dos/x (4x)
Lab baik : ½ dos/x (4x, slm 2 mingg)
Actrapid HM 400 U/10ml (short acting insulin)
Dosis insulin scr umum: anak: 0,7-1 U/kgBB/hr
Remaja: 1,2-1,5 U/kgBB/hr
Pada DM juveni (DM I /IDDM) dikombinasi dgn Monotard:
Pagi: actrapid 1/3 dos + monotard 2/3 dos 2/3 dos/hr
Malam: actrapid 1/3 dos + monotard 1/3 dos 1/3 dos/hr
Adona (carbosodium sulfat) amp 50 mg/10cc, 25 mg/5cc
DHF gr III, DSS: 1 mg/kgBB/flesg RL iv
Lain-lain : 3 mg/kgBB/x po
Ambroxol HCL (Mucopect) syr 30 mg/5 ml, tab 30 mg/ drops 15 mg/ml
Syr/tab : 1,2-1,6 mg/kgBB/hr (3x/hr)
Drops : 1 tts/kgBB/x (3x/hr)
Aminophylin tab 225 mg: 2-6 mg/kgBB/x po, amp 240 mg/10 cc
Rangsang pusat nafas: 4 mg/kgBB/x bolus iv, lalu dibagi dlm 3 dos/hr
Asma berat: 5 mg/kgBB bolus iv, lalu 3-5 mg/kgBB/8 jam drip Dex 5%
Amikacin (Amikin) vial 250 mg/1 ml, 500 mg/2 ml, 1 gr/4 ml
Sepsis neonates yg resisten stlh R/cefotaxim 2 mgg: 1,5 mg/kgBB/hr iv (2x)
Aminofusin infuse ped (pake 3-ways) to neonates
Hari ke-1: 0,5 gr/kgBB/hr (0,5 gr=10 ml)
Hari selanjutnya: naik 0,5 gr/kgBB/hr sampai total 2,5 gr/kgBB/hr
Amoxicillin syr 125 mg/5ml, capl 250,500 mg, drop 100 mg/1 ml:
10-15 mg/kgBB/x po (3x)
Ampicillin syr 125 mg/5ml: 15-20 mg/kgBB/x po (3x)
Meningitis: 200-400 mg/kgBB/hr iv (3-6 dos)
Neonatus : 100 mg/kgBB/hr iv/im (2 dos)
Antacid syr : idem pct
Antalgin : 10 mg/kgBB/hr po
14|TOV|MEDICUSLESCIUS
Antazolin HCl: 5-10 mg/hr (3-4x)
Ascordil : 50 mg (2tab) 1 dd 1
Aspar K : 10-15 mg/kgBB/x (3x) 3 dd ¼
Beta-CE capl (B-caroten 10000 U, vit C 60 mg, vit E 12 mg)
to antioksidan pada anemia Def. G6PD
Biofenin : 3 dd ½
Biothicol syr (tiamphenicol) 125 mg/5 ml
Bisolvon (bromhexin) tab 8 mg, syr 4 mg/5 ml, inj amp 2 mg/ml iv,im,sc:
0,3-0,5 mg/kgBB/x (3x)
Bisacodyl: 0,3 mg/kgBB/x
Budesonide nebulizer (R/Pulmicort) respule 1 mg/2 ml
< 1 th: ½ respule @ 4-8 jam
> 1 th : 1 respule @ 4-8jam
Buscopan : 0,5 mg/kgBB/x
CTM (chlortrimetone/chlorpeniramine maleat) tab 4 mg: 0,1 mg/kgBB/x
Ca Glukonas : 3 mg/kgBB/x
Captopril tab 12,5 mg, 25 mg, 50 mg: 0,3 mg/kgBB/x
Ca sandoz syr to trakeomalasea,
@ 5 ml: Ca glukonolaktobionat 1437 gr + Ca laktobionat 0,2895 (110 mg Ca)
Bayi : ¼ cth, 0-3th: 2-5 cth/hr
Cefadroxil monohidrat (R/Cefat) syr 125 mg/5 ml: 15-20 mg/kgBB/x (2x/hr)
Cefixime (R/Cefspan) tab 50, 100 mg, syr 100 mg/5 ml (gen 3 cephalosporin):
1,5-3 mg/kgBB/x (2x/hr)
Cefotaxim vial 500 mg, 1 gr:
Sepsis : 100 mg/kgBB/hr (bayi 2x/hr, anak 3x/hr)
Meningitis: 200 mg/kgBB/hr 3x (bayi tetap 100 mg/kgBB/hr, 2x)
Ceftazidime (R/thidim) vial 500 mg, 1 gr to infeksi pseudomonas
Neonates 30 mg/kgBB/x (2x/hr), anak 30-50 mg/kgBB/x (3x/hr)
Cendostatrol tts mata (polimicin-B, neomisin, fenilefrin)
To edema korna (trauma okuli) 4 x 1 tetes
Chloramphenicol 250 mg/cap, 125 mg/5 ml, inj 1 gr/vial
Tifoid : 10-15 mg/kgBB/x
Meningitis: 100 mg/kgBB/hr iv (3x) kombinasi dgn ampicillin inj.
Chlorambucil: 0,2-0,3 mg/kgBB/x
15|TOV|MEDICUSLESCIUS
Chlordiazepoxid(>6th) : 0,15 mh/kgBB/x
Cimetidine tab 200, 300, 400 mg, amp 200 mg/2 ml: 20-40 mg/kgBB/hr (3x)
Antagonis reseptor H2 to menghambat sekresi asam lambung
Claneksi (amox +asam klavulanat) tab 250, 500 mg, syr 125 mg/5 ml
Codein 30 mg/tab: 0,1 mg/thn/x
Cortison aseta 25 mg/ml (vial 10 ml): 5-10 mg/kgBB/x
Colestiramine (Questran) 4 gr bubuk/sachet To kolestasis: 1gr/kgBB/hr (6x)
Kombinasi dengan urdafalk, luminal, vit A, D, E, K.
Colistin tab 250.000, 1,5 juta U: 100.000 U/kgBB/hr (3x)
Co-trimoxazole tab 480 mg, 240 mg, 120 mg, sry 240 mg/5 ml
Sulfa : 10-12 mg/kgBB/x (2x/hr)
Trimetoprim: 2-5 mg/kgBB/x (2x/hr)
DMP (Dextrometorphan) tab 15 mg: 1 mg/kgBB/x (3x/hr)
Deca-durabolin amp 25 mg/1 ml, 50 mg/2 ml
Dewasa : 25-50 mg/3 mgg
Anak > 30 kg: 15 mg/3 mgg
Delladryl (diphenhydramine): ½ dosis Xillomydon im
Depakene (asam valproat) syr 250 mg/5 ml, antikejang pengganti luminal
Untuk t/epilepsi anak umur > 4 th (yg tak boleh pake luminal)
Dexamethason 0,5 mg/tab: 0,01-0,03 mg/kgBB/x po, 0,5-1 mg/kgBB/hr (3x) iv.
Dextamine syr (@ 5 ml tdd dexametason 0,5 mg dan ctm 2 mg)
Diazepam 2 mg/tab, 4mg/tab, 10 mg/2 ml amp: 0,5 mg/kgBB/x iv
Digoxin tab 0,25 mg lht jantung
Diphenhidramin HCL: 5 ml/kgBB/x (4x)
Dilantin (Na-fenitoin) syr 125 mg/5 ml, 50 mg/tab, 100 mg/cap:
5 mg/kgBB/hr, Max 6 mg/kgBb/hr antikonvulsan pengganti
luminal to epilepsi anak umur > 4th (tak boleh pake luminal).
Dopamin 200 mg/5 ml amp : t/ gagal jantung,
3-5 ug/kgBB/menit (syringe pump),
Dosis rendah mempengaruhi resepor B, dosis tinggi pengaruhi reseptor a.
Effortil HCl : 0,18 mg/kgBB/x
Encephabol (piritinol) syr 100 mg/5 ml, tab 100,200mg, amp infus 80,5mg/5ml:
10 mg/kgBB/hr (1-2x/hr)
Ephedrine 25 mg/tab: 1 mg/thn/x (3x), 0-6 bln: 0,5 mg/x.
16|TOV|MEDICUSLESCIUS
Eritromycin sry 200 mg/5 ml, 250 mg/cap, 500 mg/tab: 10-15 mg/kgBB/x (3x)
Ethambutol to TBC : 15-20 mg/kgBB/hr max 2,5 gr/hr
Extract Belladona : 0,75 mg/thn (3-4x/hr)
Ferrum tab(sulfas Ferosus): 5-6 mg/kgBB/hr (2x/hr), max 10 mg/kgBB/hr
Fe Sulfat (R/Iberet 500) syr 120 ml, Fermaliq syr, FerrumHansmann oral drop
Flagyl (Metronidazole) tab 250, 500 mg, 125 mg.5ml syr: 15 mg/kgBB/x (3x)
Furosemide (R/Lasix, Impugan) amp 20 mg/2 ml, tab 40 mg
1 mg/kgBB/x po/iv/im (2x/hr) 2 mg/kgBB/hr
Gentamycin amp 40 mg, vial 80 mg: 5 mg/kgBB/hr (2x/hr)
Gliceril Guaiacolat (tab 100 mg) : 2mg/kgBB/x
Griseofulvin tab 125 mg : 10 mg/kgBB/hr
Haloperidol (Haldol) tab 0,5, 2, 5 mg: 0,01-0,05 mg/kgBB/hr (2x)
Hustazol: 0,5-1 mg/kgBB/x
Ibuprofen (R/Proris, fenris) syr 100 mg/5ml: 10 mg/kgBB/x (3-4x/hr)
Isosorbide Di-nitrat (ISDN) tab 5 mg
Indometacine 3-7th: 50 mg/hr, 7-12th : 100 mg/hr
INH (Isoniazide) tab 100, 300 mg: To TBC 5-15 mg/kgBB/hr (1x/hr) max 300 mg/hr
Kombinasi Rifampicin, Pirazinamide, vit B6 (1x/hr).
Kalmetason : 0,03 mg/kgBB/x
Kaltocin : 10-15 mg/kgBB/hr
Kemicetine (Kloramfenicol) 250 mg/cap, 125 mg/5 ml, inj 1 gr/vial
Ketotifen 1 mg/tab menekan IgE yang meningkat pada asma.
< 3th 2 x tab ½, > 3th 2 x tab 1
Klorokuin : Hari I loading dose 9-12 mg/kgBB
Lacto-B sachet (laktobasil asidofilus, bifidobakt longum, streptokokok fesium,
vit B1 o,5 mg, B2 0,5 mg, B6 0,5 mg, C 10 mg, niacin 2mg, prot 0,02 gr, kh 0,6
gr, lemak 0,1 gr) anak normal bias diberi tiap hari campur disuse, makanan,
atau air.
Diare akut akibat infeksi: < 1 th: 2sach/hr slm > 7hr
1-6 thn: 3 sach/hr slm > 7hr
Diare intoleransi laktosa: < 1th: 2 sach/hr slm 2-4 mgg (tgnt berat peny)
1-6 thn: 3 sac/hr slm 2-4 mgg (idem)
Laktulax syr, Laksadin syr to obstipasi
Luminal (phenobarbital) tab 30, 50, 100 mg, amp 100 mg/2 ml
17|TOV|MEDICUSLESCIUS
Preventif : 1 mg/kgBB/x (3x)
KDS/KDK : 5 mg/kgBB/hr (2x)
Kejang lama : 8 mg/kgBB/hr (2x, 2hr), lalu sesuai dosis KDK
Epilepsi umum < 4 th: 5 mg/kgBB/hr (2x) @ hari selama 2 th bebas kejang,
lalu tapering 5 mg @ 2 mgg sampai stop,
bila kejang lagi terpaksa mulai dari nol lagi.
Epilepsi umum > 4 th: tidak pakai luminal, pakai Valproic acid
*Injeksi : Neonatus : 30 mg bolus im
< 1th / < 10 kg : 50 mg bolus im
>1th / 10 kg : 75 mg bolus im
selanjutnya dikiuti dengan dosis oral KDK
Manitol 20% (200 gr/L) infuse 250, 500 ml: 0,5 gr/kgBB/x
Dosis ini dihabiskan dalam 30 menit, diulang @ 8 jam, selama 3 hari
Diberikan to t/ensefalitis (edema serebri), tp jangan kasus yg ringan sebab
bisa memperberat gejala, juga pada yg disertai perdarahan.
Metisoprinol (R/Isoprenosin) tab 500 mg, syr 250 mg/5 ml to parotitis
50-100 mg/kgBB/hr (3x/hr) slm 4-10 hr, lanjut sampai 2 hr gejala hilang.
Metoklopramide HCl (R/Navoren) tab 10 mg
Metronodazole (tab 500 mg) 15 mg/kgBB/x (3x)
Monotard HM 400 U/10 ml (intermediate acting insulin) lihat dosis Actrapid HM
MgSO4 : 7,5-15 mg dlm 1 gelas
Nalidixic acid (Negram, Urineg) 500 mg/tab E. coli 55 mg/kgBB/hr (3x)
Nicholin amp 100 mg, 250 mg : 10-15 mg/kgBB/hr (1x)
Nifuroxazide (Nifural) syr 250 mg/5 ml to diare E coli / Streptomices
< 6 bln: 2cth I, > 6 bln: 3 x cth I
OBP syr (umur < 4th
): sesuai dosis PCT syr. OBH syr (umur > 4th
): sesuai dosis PCT syr
Oksitetra HCl : 5-10 mg/kgBB/x (im), 10-15 mg/kgBB/x (iv)
Ondansentron: 5 mg/m2
iv
Papaverin HCl: 2,5 mg/kgBB/hr
Paracetamol syr 120 mg/5 ml, drop 10 mg/0,1 ml: 10 mg/kgBB/x @ 4-8 jam
Penicilin Procain (PP): 50.000 IU/kgBB/x im (1x/2x)
3 juta IU/vial (+9 cc aqua 10 cc 300.000 IU/ml) maks 600.000 IU @ inj.
Untuk Gonoblenorea: PP tetes mata (15.000 unit/ml): @ 1 mnt selama 30 mnt
@ 5 mnt selama 30 mnt
PP injeksi im 100.000 unit/kgBB single dose
Pada yg resisten PP gentamisin tetes mata @ 1 jam
Pethidin HCl : 0,5-1 mg/kgBB/x
18|TOV|MEDICUSLESCIUS
Pirazinamide tab 500 mg: to TBC 25-35 mg/kgBB/hr (1x/hr)
Dikombinasi dgn INH, pirazinamide, Vit B6 (1x/hr)
Ponstan : 20 mg/kgBB/x
Prednisosn 5 mg/tab: 2 mg/kgBB/hr (0,5 mg/kgBB/x)
Propanolol : 0,5 mg/kgBB/x (3x/hr), max 5 mg/kgBB/hr anti hipertensi
Pulmicort nebulizer (budesonide) respule 1 mg/2 ml
Pyramidon inj : 5 mg/kgBB/x (antipiretik inj im)
Rifadin : 10 mg/kgBB/hr
Rifampicin caps 300 mg, 450 mg, 600 mg,
TBC 10-15 mg/kgBB/hr (1x/hr) max 600 mg/hr,
Kombinasi dgn INH, Pirazinamide, Vit B6 (1x/hr).
Rulid D (Roxithromycin) tab 50 mg: 3-4 mg/kgBB/x po (2x)
Siproheptadine 0,25-0,5 mg/kgBB/hr (2-3x/hr)
Stedin : 10-15 mg/kgBB/hr
Stimetil: 0,1 mg/kgBB/hr
Streptomycin: to TBC 15 mg/kgBB/hr (im) max 750 mg - 1 gr
Strichin : 5 mg/bln/x
Sulfa Guanida : 300 mg/kgBB/hr
Sulfadiazine : 250 mg/kgBB/hr
Tegretol (carbamazepine) syr 100 mg/5 ml, tab 100, 200 mg
10-20 mg.kgBB/hr, max 20 mg/kgBB/hr OAE pengganto luminal to
anak umur > 4th
(yg tak boleh pakai luminal)
Tempra (PCT) drop 10 mg/0,1 ml, syr 160 mg/5 ml: 10 mg/kgBB/x
Tetrasiklin HCl: 5-10 mg/kgBB/x (iv). 10-15 mg/kgBB/hr (im/po)
Thiamycin (Thiamphenicol) cap 250, 500 mg, syr 100 mg/4 ml
Thiambiotic (thiamphenicol) cap 250, 500 mg, syr 125 mg/5 ml
Tiamphenicol : 10-15 mg/kgBB/x (3x)
Tindexyl : 8-10 mg/kgBB/hr
Transbroncho (ambroxol) tab 30 mg, syr 30 mg/5 ml
Tuberkulin (PPD: Purified Protein Derivate) 5 UT/0,1 ml (1,5 ml) inj intra kutan
Ultrapen : 15 mg/kgBB/hr
Upixon : 3 dd cth I
Valproic acid (Depakene) syr 250 mg/5 ml, to epilepsy umum 30-40 mg/kgBB/hr (2x/hr)
Velocel (Cephradine): 15-25 mg/kgBB/x (3x) po
Ventolin syr (Salbutamol) 2mg/5 ml: 0,5 mg/kgBB/x (3x)
Nebulizer amp 2,5 mg/2,5 ml: 0,1 mg/kgBB/x (3-4x)
Vitamicin : 20 mg/kgBB/hr
19|TOV|MEDICUSLESCIUS
Vitamin A capl 5.000 U (kuning), 50.000 U (merah)
Oil caps 200.000 U (merah), 100.000 U (biru)
Def. berat : 30.000-60.000 U/hr
Kolestasis : 10.000 U/hr
Vitamin B Kompleks (B1 2mg, B2 2 mg, nikotinamide 20 mg, Ca-pantotenat 10 mg)
6 bln : 1/8 tab/x (3x/hr)
6-12 bln: ¼ tab/x (3x/hr)
> 1th : ½ tab/x (3x/hr)
Vit B1 (Thiamin) tab 50 mg
Vit B6 (Pyridoxine) tab 10 mg
Vit C tab 50 mg: biasa: 3 mg/kgBB/x
Needed: 20-40 mg/hr
Skorbit : 200-300 mg/hr
Vit D: to Kolestasis 5.000-8.000 U/hr
Vit K (R/Phytomenadion, Kaywan) tab 10 mg, amp 1mg
Neonatus normal: PO 5 mg (1x pada hr ke-0, 7, dan 30)
Atau IM img (1x) hr ke-0 lalu 5 mg oral (1x) hr ke-30
HPN (Hemoragic Diathesis of Newborn): IM 2 mg/x (1x/hr, slm 3 hr)
Kolestasis: PO 2,5-5 mg/hr
Zithromax 250 mg/tab, 200 mg/5 ml (syr 15 ml, 22,5 ml)
10 mg/kgBB/x (1x/hr, 3 hr)
Obat Lokal
Bactroban zalf kulit (mupirocin 2% to infeksi bakter)
Betason-N zalf kulit 5 gr (Betametasone, Neomycin)
Fusidic acid zalf (R/Fuladic)
Lactacyd liquid
Neoderma zalf kulit 5 gr (Fluociolone, Neomycin)
Nebacetine (NB zalf) 5 gr, (Neomycin, Bacitracin)
Rowadermat oral gel, to anak > 3 th
Tarivid otic ear drop
Lain-Lain
Cara membuat D12,5% 500 cc: D 10% 460 cc + D 40% 40 cc
20|TOV|MEDICUSLESCIUS
Alat Medis
Abocath G-24 to infuse kecil, G-22 to anak besar
Needle G-23 to lumbal punksi anak kecil, G-21 to anak besar
NGT
Multivitamin (to drops: 2 gtt III)
Abdelyn drop
Adelysin drop
Bexce syr
Elkana syr (+Ca)
Fortelysin syr
Fortepaed syr
Lycalvit syr
Lyvit syr
Multivitaplex syr (Vit A 6000 U, D 600 U, E 3 mg, K 0,5 mg)
Poly visol drop (premature)
Sanvita B syr
Vidalyn-M syr
21|TOV|MEDICUSLESCIUS
8. STASE INTERNA
Daftar dan Dosis Obat Penting. Untuk Dosis anak lebih baik baca dosis obat distase anak.
No Nama Obat Indikasi Cara
Pakai
Dosis Sediaan
1. Adrenalin
(Epinefrin)
Antiasma;
Anti alergi;
Syok
anafilaksis
Parenteral SC/IM 0,2-5 ml larutan
0,1%. Syok IV 0,25-0,5
ug/5menit
Inj IV 0,1% sbg
HCL/bitartrat. 1
ml/amp.
2. Allopurinol Antipirai Oral <6th
150 mg/hr; 6-10th
300 mg/hr. Dws pirai
ringan 200-400 mg/hr;
Berat 400-600 mg/hr;
Hiperusemia sekunder
100-200 mg/hr.
Tab. 100 mg
3. Aminofilin Antiasma Oral,
Parenteral
Anak oral 5
mg/kgBB/x; IV 3,5
mg/kgBB/x.
Dws 3 x 100-200
mg/hr; maks 500 mg/x
atau 1,5 g/hr.
Tab. scored 150 mg;
Inj 24 mg/ml, 10
ml/amp.
4. Amitriptilin
HCl
Antidepresan Oral <6th
10 mg/hr;>6th
s.d
25 mg/hr; Dws awal 75
mg/hr s.d efek
teraupetik (150-300
mg/hr).
Tab. Salut 25 mg
5. Ampicillin Antibakteri
gram + dan -
Oral,
Parenteral
Dws penyakit ringan-
sedang 2-4 g/hr dibagi
4 dosis.
Penyakit berat 4-8 g/hr
dalm 4 dosis.
Ampisilin
trihidrat/anhidrat
125, 250, 500, 1000
mg; Susp air 125 mg/5
ml, 500 mg/5 ml;
Serb. Inj IM/IV 250
mg/vial, 500 mg/vial. 5
ml/vial.
6. Antasid Antasid;
Antiulkus
Oral 3-4 x 400-800 mg/hr Tab. (Al(OH)3 200 mg
+ Mg(OH)2 200 mg.
Susp., Btl 60 mg (200
mg/5 ml).
7. Asam
asetilsalisilat
(Asetosal,
Aspirin)
Analgesik;
Antipiretik,
demam
reumatika
kut, RA, anti
trombotik
Oral Analgetik & antipiretik
325-650 mg/x tiap 3-4
jam.
Demam reumatik akut
1 g/x atau 5-8 g/hr.
Tab 100 mg, 500 mg.
8. Asam folat Antianemia Oral Diagnostik 0,1 mg per
oral s.d 10 hr. Terapi
awal 0,5-1 mg/hr s.d
10hr. Maintenance 0,1-
0,5 mg/hr.
Tab. 0,1; 0,4; 4; 5; 10;
20 mg, Inj. 5 mg/ml.
9. Asetaminofen
(Parasetamol)
Analgesik,
antipiretik
Oral Dws. 300 mg-1 g/x
maks 4 g/hr.
Tab 100 mg, 500 mg;
Sir 120 mg/5 ml.
10 Asetazolamid Antiglaukoma,
mengatasi
paralisis
Oral Dws. 1-2 x 250-500
mg/hr. Paralisis 2-3 x
250-750 mg/hr.
Tab. 250 mg; Serb.
Inj IM/IV 500 mg/vial
(as Na) + air to injeksi
22|TOV|MEDICUSLESCIUS
periodik,
mengurangi
gejala AMS
acute
mountain
sickness.
AMS 2 x 250 mg/hr. 5 ml/amp.
11 Atropin sulfat Antidotum Parenteral To organofosfat 2 mg
IV diulang 10-15
menit.
To keracunan jamur
SC 2 mg.
Inj IM/IV/SC 1
mg/ml, 2 ml/amp.
12 Benzatin
benzilpenisilin
(penisilin G
benzatin)
Antibakteri,
demam
reumatik
Parenteral Dws. O,2 juta IU/x
atau 0,8-1,2 juta IU/hr.
Inj. IM 1,2 IU/ml, 4
ml/vial; Inj. IM 2,4
juta IU/ml, 10 ml/vial.
13 Besi (II) sulfat
7H2O
Antianemia Oral Hamil 4-5 x 300 mg/hr.
Dws 1-3 x 300 mg/hr.
Tab. Salut 300 mg.
14 Bromhexin Mukolitik Oral 3 x 4-8 mg/hr
15 Bupivakain
HCl
Anestesi Lokal Parenteral Maks 2 mg/kgBB/x
tiap 4 jam atau 400
mg/hr
Inj. Infiltr 0,25%, 50
ml/vial; Inj. p.v. o,5%,
50 ml/vial
16 Dapson Antilepra Oral Tipe MB Dws. 100
mg/hr. Pengobatan 24
paket 24-36bln;
Tipe PB Dws 100
mg/hr. Pengobatan 6
paket 6-9 bulan.
Tab. 50 mg, 100 mg
17 Deferoksamin
mesilat
Antidot
keracunan
besi
Parenteral Keracunan besi akut
IM 1g lalu 2 x 500 mg
@ 4jam, maks. 6 g/hr;
syok IV drip 1 g, maks.
15 mg/kgBB/jam;
keracunan besi kronik
(pd Talasemia) IM 0,5-
1 g/hr.
Serb. Inj. 500 mg/ml,
10 ml/vial.
18 Dexametason Antiinflamasi,
obat
tambahan
pada syok
anafilaktik
Parenteral Syok anafilaktik IV 8-
12 mg.
Tab 0,5 mg;
Inj.5 mg/ml (as Na
Fosfat), 1 ml/amp.
19 Dexstrometrofa
n HBr
Antitusif Oral Dws. 15-30 mg/hr Tab. 15 mg; Sir 10
mg/5 ml.
20 Diazepam Antikejang,
antiinsomnia
Oral,
Parenteral
Dws. 3-4 x 5-10 mg/hr.
Maks 40 mg/hr.
Tab. 2 mg, 5 mg; Inj.
IM/IV 5 mg/ml, 2
ml/amp; Lar. Rectal 4
mg/ml, tube 2,5 ml.
21 Dietilkarbamaz
in sitrat
Antifilaria Oral Dws. 3 x 2 mg/kgBB/hr Tab. 100 mg
22 Difenhidramin
HCl
Antialergi Parenteral Dws. 50 mg dosis
tunggal
Inj. IM 10 mg/ml, 1
ml/amp.
23 Digoksin Glikosida
jantung
(Digitalis)
Oral Dws awal 0,75-1,5
mg/hr; maintenance
0,125-0,5 mg/hr maks
1,5 mg/x atau 2 mg/hr.
Tab. 0,25 mg,
Tab. 0,0625 mg.
23|TOV|MEDICUSLESCIUS
24 Dopamin HCl Koreksi
hemodinamik
pada syok
Parenteral Inj. 40 ug, 5 ml/amp.
25 Efedrin HCl Antiasma Oral Dws. 3 x 10-30 mg/hr,
maks. 50 mg/x atau
maks. 150 mg/hr
Tab. 25 mg
26 Ergotamin
tartat
Antimigren
serangan akut
Oral Dws. 2-4 x 1 mg/hr,
maks.2 mg/x atau
maks. 6 mg/hr.
Tab meng. Ergotamin
1mg + Caffein 50 mg.
27 Eritromisin Antibakteri
gram + dan -,
riketsia,
chlamidia.
Oral Dws. 4 x 250-500
mg/hr, maks. 500 mg/x
atau maks. 4 g/hr.
Caps 250 mg (as a
stearat), sir 200 mg/5
ml (as an etil suksinat)
28 Fenitoin, Na Antikejang,
antiaritmia
Oral,
Parenteral
Dws. 100 mg/x, maks.
400 mg/x atau 300
mg/hr, maks. 800
mg/hr.; Antiaritmia
Dws. 100 mg/x, maks
200 mg/x atau 400
mg/hr maks. 600
mg/hr.
Caps. 30 mg, 100 mg;
inj. 50 mg/ml,
2ml/amp., 5ml/amp.
29 Fenobarbital Antikejang Oral,
Parenteral
Anak 4-7 mg/kgBB/x;
Dws 1-5 mg/kgBB/hr.
Tab 30 mg, 100 mg,
Inj. IM/IV 50 mg/ml
(sbg Na) 2 ml/amp.
30 Furosemid Diuretik Oral,
Parenteral
Dws. Oral 40 mg/x;
IV/Im 20 mg/x
Tab. 40 mg;
Inj. IM/IV 10 mg/ml,
2ml/amp.
31 Glibenklamid AntiDM pada
NIDDM
Oral 2,5 mg/hr dinaikkan
2,5 mg @ 3-5 hr s.d
tercapai kontrol
metabolik
Tab. 5 mg.
32 Gliseril
Guaiakolat
Ekspektoran Oral Dws. 2-3 x 200-400
mg/hr
Sir. 25 mg/ml;
tab. 100 mg.
33 Hidroklorotiazi
de (HCT)
Diuretik,
antihipertensi
Oral 2 x 25-75 mg/hr, maks.
100 mg/x atau 200
mg/hr.
Tab 25 mg
34 Hidroksiproges
teron
Kontrasepsi Parenteral Inj. IM 125 mg/ml, 2
ml/amp.
35 Ibuprofen Analgesik Oral Dws. 3 x 400 mg/hr Tab. 200 mg, 400 mg.
36 Indometasin Antiinflamasi
pada RA, GA,
SA, OA, bila
NSAIDs lain
kurang
berhasil.
Oral 2-4 x 25 mg/hr, maks.
200 mg/hr.
Kaps. 25 mg, sup. 100
mg
37 ISDN Isosorbid
dinitrat
Anti angina Oral 2,5-5 mg Tab. Sublingual 5 mg
38 Captopril Antihipertensi Oral 25 mg/hr dibagi 2
dosis, maks. 100 mg/hr.
Tab. Scored 12,5 mg,
25 mg.
39 Carbamazepin Antikejang Oral Dws. 2 x 200 mg/hr to
hr I, ditingkatkan
bertahap; dosis
penunjang 800-1200
mg/hr.
Tab. 200 mg
24|TOV|MEDICUSLESCIUS
40 Carbidopa Antiparkinson Oral Tab mengand.
Karbidopa 25 mg +
levodopa 250 mg
41 Carbo
adsorben
Antidotum
umum
Oral Serb. Aktif, ktg. 0,5
kg.
42 Clomifen Sitrat Infertilitas Oral 25-200 mg/hr Tab. 50 mg
43 Clomipramin
HCl
Antiobsesi
kompulsif
Oral Awal 10 mg dinaikkan
s.d 30-150 mg/hr;
kasus berat maks. 250
mg/hr.
Tab. 10 mg, 25 mg
44 Clonidin HCl Antihipertensi Oral 2 x 0,075 mg/hr, maks.
0,6 mg/hr.
Tab. 0,15 mg; Inj IM
0,15 mg/ml, 1 ml/amp
45 Chloramphenic
ol
Antibakteri
(S. Typhii,
meningitis
purulenta oleh
H. Influenza)
Oral,
Parenteral
, topikal
Dws. 50 mg/kgBB/hr
dibagi 3-4 dosis; kasus
berat 100 mg/kgBB/hr.
Kaps. 250 mg; Susp.
125 mg/5 ml (as a
palmitat); Serb. Inj
IV 100 mg/ml (as a Na
Suksinat), 10 ml/vial;
Salep mata 1%, Obat
tetes mata 0,5%;
Salep kulit 2%, Obat
tetes telinga 1-5%
46 Chlorfeniramin
Maleat
Antialergi, Oral,
Parenteral
2-4 mg/hr, dosis
tunggal
Tab. 4 mg; Inj. 5
mg/ml, 1 ml/amp.
47 Chloroquine Antimalaria Oral Dws. 600 g, 6 jam
kemudian 0,5 g, diikuti
0,5 g sehari
Tab. 150 mg (as a
fosfat)
48 Chlorpromazin
HCl (CPZ)
Antipsikosis,
antiemetik
Oral,
Parenteral
Dws. IM 10 mg/x,
maks. 6x/hr; oral 4 x
10 mg/hr, 15-30 menit
sbl mkn.
Tab. Salut 25 mg, 100
mg; Inj. IM 25 mg/ml,
1 ml/amp.
49 Codein
HCl/fosfat
Antitusif Oral Dws. 10 mg/hr Tab. 10 mg
50 Corticotropin
(ACTH)
Neuritis optik,
miastenia
gravis,
sklerosis
multiple
Parenteral 40 IU/hr Serb. Inj IV 5 IU/ml, 5
ml/vial
51 Cotrimoxazole Antibakteri,
ISK
Oral 2 tab @ 12 jam Tab. meng.
Sulfametoxazole 400
mg + trimetropim 80
mg.
52 Kuinin Antimalaria Oral,
Parenteral
Dws. 3 x 10
mg/kgBB/hr atau 3 x
600 mg/hr ~ 10-14 hr.
Tab. 222 mg; Inj. IV
25%, 2 ml/amp.
53 Levodopa Antiparkinson Oral Px opname 3-4 x 250
mg. Bila px toleran, @
pemb. mjd 500 mg, dpt
dinaikkan 125-250 mg
@ 2-3 hr. @ pemb. tdk
lebih 1,5-2 g.
Tab. Carbidopa 25
mg + Levodopa 250
mg
54 Lidocain HCl Anestesi lokal Parenteral
, Topikal
0,7-1,4 mg/kgBB IV
maks. 200-300 mg/jam;
4-5 mg/kgBB IM; 1-4
mg/mnt infus.
Inj. Infiltr. 1%, 2
ml/amp.; Inj. P.v 2%,
2 ml/amp; Jeli 2%
tube 25 g; semprot
4%; btl 50 ml.
25|TOV|MEDICUSLESCIUS
55 Lithium
karbonat
Antidepressan
, antimanik
Oral Rawat jalan 900 mg-
1,5 g/hr. Px. opname
1,2-2,4 g/hr.
Tab. 250 mg
56 Magnesium
sulfat
Antidotum
umum/pencah
ar
Oral Anak 7,5-15 mg/x;
Dws. 5-15 g/hr.
Serb. 30 g/ktg
57 Magnesium
sulfat
Antikejang Parenteral Dws. IM/IV 10-20 ml/x.
lar. 10%
Inj. IV 20%, 25
ml/amp; Inj. IV 40%,
25 ml/amp.
58 Manitol Diuretik,
antiglaukoma
Parenteral Dosis umum Dws 50-
100 g (250-500 ml),
Diuretik IV 50-200
g/hr; antiglaukoma
1,5-2 g/kgBB;
menurunkan TIK 0,25-
2 g/kgBB (infus) to 30-
60 menit.
Lar. Infus 20% x 500
ml
59 Mebendazol Antihelmentik
instestinal
Oral Ascaris, trichuris,
necator 2 x 100 mg/hr;
T. solium 2 x 300
mg/hr; Visceral larva
migrans 200-400 mg/hr
~ 5 hr.
Tab. 100 mg; sir. 100
mg/5 ml
60 Metampiron Analgesik,
antipiretik,
antiGA,
antireumatik.
Oral,
Parenteral
Dws. 1-3 x 500 mg/hr;
IM/IV/SC 1 g/hr.
Tab. 500 mg; Inj. IM
250 mg/ml, 10 ml/vial,
2 ml/amp.
61 Metformin AntiDM Oral 3 x 500 mg/hr, maks 3
g/hr
Tab. 500 mg
62 Metochloprami
d
Antiemetik Oral,
Parenteral
Dws. 3 x 5-10 mg/hr. Tab. 10 mg; Inj. 5
mg/ml, 3 ml/amp.
63 Metronidazole Antiamoeba Oral,
parenteral
Dws. 3 x 250 mg/hr ~ 7-
10 hr; giardiasis 3 x
250 mg/hr ~ 7 hr.
Tab. 250 mg, 500 mg;
Sup. 500 mg; Lar.
Infus 5 mg/ml, 10
ml/vial
64 Nifedipin Antihipertensi Oral 3 x 5 mg/hr, maks 30
mg/hr
Tab. 10 mg.
65 Nitrofurantoin Antiseptik
ISK
Oral Dws. 3-4 x 50-100
mg/hr
Kaps. 50 mg
66 Nitrogliserin Antiangina Oral 0,15-0,6 mg Tab. sublingual 0,5
mg.
67 OBH Ekspetoran-
mukolitik
Oral Dws. 3 x 5 ml/hr Cairan btl 200 ml;
konsentrat btl 1 L.
68 Oksimetazolin
HCl
Dekongestan Nasal 1-2 x/hr Tts hidung 0,025%,
btl 10 ml, 0,0050% btl
15 ml.
69 Pirantel Antihelmentik Oral 10 mg/kgBB, dosis
tunggal
Tab. 125 mg; Susp.
125 mg/5 ml.
70 Prednison Antiinflamasi Oral Artitis 7,5 mg/hr; RHD
40 mg/hr; Asma 2 x 30
mg/hr ~ 5 hr.
Tab. 5 mg
71 Probenesid AntiGA,
hiperusemia
Oral 2 x 250 mg/hr ~ 1 mgg
diikuti 2 x 500 mg/hr
Tab. 500 mg
26|TOV|MEDICUSLESCIUS
72 Propiltiourasil Hipertiroidis
me
Oral Dws. 100 mg @ 8 jam,
maks. 600 mg/hr.
Tab. 50 mg
73 Propanolol HCl Antiangina Oral 120-480 mg/hr dibagi
3-4 dosis.
Tab. 10 mg, 40 mg.
74 Propanolol HCl Antiangina Oral,
Parenteral
40 mg/hr, dibagi 2
dosis, maks. 160 mg/hr.
Tab. 10 mg, 40 mg;
Inj. IV 1 mg/ml, 1
ml/amp.
75 Salbutamol Asma bronkial Oral,
Inhalasi
Dws. 3-4 x 4 mg/hr. Tab. 2 mg, 4 mg; Lar.
IH 0,5%, 10 ml; IH
aerosol 100 mg/dosis;
inj. 50 mg/ml, 1
ml/amp; Lar.
Nebulizer 5 mg/ml
76 Serum ABU Antibisa Ular Inj. 5 ml/vial
77 Serum ATS Antitetanus Inj. 1500 IU/amp; Inj.
10.000 IU/amp; Inj.
20.000 IU/vial.
78 Sianokobalami
n (Vit B12)
Anemia
Pernisiosa
Parenteral 100 mg ~ 5-10 hr.
Penunjang 100-200
mg/bln. Anemia
pernisiosa berat IM
500 mg.
Inj. 500 mg/ml
79 Tetrakain HCl Anestesi lokal Topikal
(mata)
Tts mata 0,5%
80 Tetrasiklin Antiamoeba
(gram +,
riketsia,
klamidia,
amoeba)
Oral 4 x 250-500 mg/hr Kaps/tab 250 mg;
Suspensi 125 mg/5 ml;
Serb. Inj IM 100 dan
200 mg/vial; Serb. Inj
IV 250, 500 mg/vial;
Salep kulit 3%, Tetes
mata 1%
81 Thiamfenikol Antimikroba Oral Dws. 1 g/kgBB/hr dlm
4 dosis
Kaps. 250, 500 mg;
Sir. 125 mg/5 ml, btl
60 ml.
82 Vasopressin
(ADH)
Antidiuretik Parenteral Dws. SC/IM 0,1-1
ml/hr.
Inj. IM/SC 20 IU/ml,
0,5 ml/amp, 1 ml/amp
83 Verapamil HCl Antiaritmia Oral,
Parenteral
IV 5-10 mg ~ 2-3
menit; Oral 240-480
mg/hr terbagi 3-4 dosis
Tab. 80 mg; Inj 2,5
mg/ml, 2 ml/amp.
84 Vitamin B
kompleks
1-3 tab Tablet
27|TOV|MEDICUSLESCIUS
10. ABCD INTERNA
A N A F I L A K S I S
Therapi
1. Resusitasi kardiopulmoner
2. Adrenalin 0,3 - 0,5 ml SC dan 0,1- 0,3ml pada
tempat suntikan atau tempat gigitan serangan
dapat setiap 15- 20 menit
3. Pasang torniket, dilepaskan setiap 10 menit
selama 1- 2 menit. Oksigen 5 - 10 liter/menit
5. Difenhidramin : 50 mg iv diulang tiap 6 jam
selama 48 jam
6. Infus cairan bila tensi < 100 mmHg ( D5 : Nacl : 1
: 1 ( 2000 3000 ml/hari
7. Aminopylin : 4-7 mg/Kg BB/ iv selama 10-20
menit bila ada bronkospasme
8. Bila tekanan darah belum naik dapat diberikan
vasopresor :
• Dopamin : 0,3 - 1,2 mg/Kg BB/jam secara infus
dengfan dextrose 5%
• Aramin : 2 - 5 mg bolus iv perlahan-lahan
1. Kortikosteroid : untuk mencegah reaksi
berulang. Hidrokortison 7 10 mg/Kg BB iv
dilanjutkan dengan 5 mg/Kg BB/6 jam.
2. Intubasi dan trakeostomi bila ada obstruksi
saluran napas bagian atas oleh karena edema.
28|TOV|MEDICUSLESCIUS
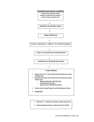
Penatalaksanaan Reaksi Anafilaksis
Riwayat reaksi alergi berat dengan
respiratory compromise atau hipotensi,
terutama dengan perubahan kulit
Identifikasi dan hentikan alergen
Oksigen 100% 8 L/m
Adrenalin / epinephrine (1 : 1000) 0,3 – 0,5 ml IM (0,01 mg/kg BB)
Ulangi 5-15 menit jika tidak ada perubahan klinis
Antihistamin 10-20 mg IM atau IV pelan
Terapi tambahan
• Berikan cairan IV 1-2 L jika tanda-tanda syok tidak ada respon
terhadap obat
• Kortikosteroid untuk semua kasus berat, berulang, dan pasien
dengan asma
- Methyl prednisolone 125-250 mg IV
- Dexamethasone 20 mg IV
- Hydrocortisone 100-500 mg IV pelan
• Inhalasi short acting ββββ-2 agonist pada bronkospasme berat
• Vasopressor
• Observasi 2 - 3 x 24 jam, untuk kasus ringan cukup 6 jam
• Berikan kortikosteroid dan antihistamin PO 3 x 24 jam
29|TOV|MEDICUSLESCIUS
A N E M I A
• Anemia penting untuk mencari etiologinya :
1 Riwayat kekurangan gizi
2 Riwayat pendarahan
3 Riwayat exposure dengan obat
4 Riwayat exposure dengan biakan/kimia toksin
5 Riwayat anemia pada keluarga
• Perlu diperhatikan ada tidaknya organomegali
• Cari tanda-tanda masing-masing anemia
• Minimal diperiksa tes penyaring : HB dan blood smear, Klind diikuti dengan pemeriksaan
seri anemia : HB, erytrosit, hematikrit, trombosit, leucocyt, retikulosit, MCH, MCHC, MCV
Pendekatan anemi menurut wintrobe
1 Anemi hipokromik mikrositer
• cadangan besi ↓ : anemia fe deficiensi
• cadangan besi N : anemia croinik of dosrder, A. sideroblastik
thelaremia, haemoglo binopathy
1 anemi normokromik normositer
• Retikulosit meningkat : anemia hemolitik, anemia post hemoragik
• Retikulosit N/↓ :
• Bone merrow :
Aplastik/hipoplastik : anemia aplastik
Infitrat : myelopitistic anemia
Dyshaemoporetik : anemia dishemopostik
• Bone merrow normal
Anemia pada CRF
Anemia of cronik liver disease
Anemia of cronik disorder
1 Anemia makrositer :
Retikulosit meningkat : anemia hemolitik, anemia hemolitik
Retikulosit normal :
• Sumsum tulang megaloblastik : anemia def B12
• anemia def folat
• Sumsum tulang normal : hypotiroid hypoplastik marrow
DD/
Anemia Fc Anemia kronik Anemia
deficiensi disorder sideroplastik Talesemia
Nilai absolut ↓sesuai derajat N ↓ ↓lebih rendah
Anemia dp anemianya
SI ↓ ↓ ↓ N
TIBC ↓ ↓ N N
Ferritin ↓ N ↓ N
Saturasi < 15% > 15% > 15% > 15%
Transfirin
Cadangan Fe dll
Sutul : - N N N
Fe dl critobles - - Batuk einein N
30|TOV|MEDICUSLESCIUS
A K U T L E U K E M I A
• Adanya faktor predisposisi, etiologi, pencetus → mutasi somatik sel induk → transformasi maligna → sel
muda menumpuk dalam sumsum tulang dengan akibat
I. Menekan fungsi hematologik normal (bone marrow failure)
a. Anemia : sindrom anemia
b. Netropenia : infeksi.
Demam, infeksi rongga mulut, tenggorokan, kulit
saluran napas dan sepsis
c. Trombositopenia : brusing, perdarahan kulit, perdarahan gusi
epistaxis
II. Hiperkatabolisme (akibat produk sel berlebihan)
a. Kaheksia
b. Keringat malam
c. Hiperurikemia → gout dan gagal ginjal
III. Infitrasi ke organ
a. Nyeri tulang dan nyeri setrum
b. Limfadenopati superficial
c. Splenomegali/Hepatomegali ringan
d. Hipertropi gusi dan infiltrasi kulit
e. Sindrom meningeal : sakit kepala, mual muntah, mata kabur, kaku kuduk
Laboratorium :
Darah tepi :
• Anemia mormokromik normositer, sering berat timbul cepat
• Trombositopenia
• Leukosit meningkat → < 100.000 tetapi dapat juga normal atau menurun (aelukemie aleukemia)
• Hapusanh darah tepi : adanya sel muda (blast)
• Sumsum tulang : hiperseluler dengan blast minimal 30%
Therapi
I. Terapi suportif
• Anemia : tranfusi PRC
• Infeksi : antibiotika adquat, transfusi granulosit
• Perdarahan : transfusi trombosit
II. Kemoterapi
1. Fase induksi – remisi
Kemoterapi intensif untuk mencapai remisi dan blast dalam sutul <5% Obat yang dipakai (untuk
AML)
a. Three plus seven regimen :
Daunorubicin : 60 mg/m2
/hari iv 3 hari
Ara – C : 200 mg/m2
/hari iv 7 hari
b. Regimen DAT (Daunorubicin, Ara – C, 6 thioquanim)
c. Untuk kasus resisten diberikan “high dose Ara – C” atau obat baru lain
2. Fase post remisi
Usaha untuk mempertahankan remisi selama mungkin dengan cara :
a. Kemoterapi lanjutan :
1) Terapi kosolidasi/intensifikasi :
- 2 – 6 siklus Ara – C dan 6 TG dengan atau tanpa DNR
- Ara – C dosisi tinggi
2) Terapi pemeliharaan
• Umumnya dengan terapi peroral jangka panjang/masih dipertahankan manfaatnya
3) Imunoterapi masih belum terbukti
31|TOV|MEDICUSLESCIUS
A M O E B I A S I S K O L O N / S I G E L L O S I S
• Perhatikan tanda-tanda klinis : untuk membedakan amebiasis
dengan sigelosis
• Perhatikan keadaan umum, tanda-tanda syok dan tanda
perporasi
Pemeriksaan yang perlu dikerjakan
1. DL
2. FL
Therapi
1. Istirahat baring
2. Diet lunak
3. IVFD bila keadaan toksis/dehidrasi
4. Untuk amebiasis : metronidazol 3 x 500 – 100mg (7 – 10 hari)
Untuk sigelosis : tetrasiklin 4 x 250 – 500mg/hari
Planing Dx/
• Biakan feces
• Endoskopi
Planing Mn/
• Vital sign
32|TOV|MEDICUSLESCIUS
ANEMIA APLASTIK
• Cari kemungkinan penyebab sekundernya seperti radiasi, bahan kimia, obat-
obatan, infeksi
• Cari keluhanb akibat pansitopenianya
- Jumlah erytrocit ↓↓↓↓→→→→ sindrom anemia
- Jumlah leukosit ↓↓↓↓→→→→ gejala infeksi
- Jumlah trombosit ↓↓↓↓→→→→ gejala perdarahan
• Harus tidak ada organomegalki dan sel muda
• Kriteria anemia aplastik berat :
Daerah tepi (paling sedikit 2 dari 3) :
- Anemia dengan retikulosit <1%
- Granulosit < 500/mm3
- Platelet < 20.000/mm3
Sumsum tulang
- Hipoplastik berat (kurang dari 25% selularistas normal)
- Hipoplastik sedang (25-50% dari selularitas normal)
Pemeriksaan yang perlu dikerjakan : DL, Blood smear
Therapi
1. Istirahat baring
2. Diet TKTP
3. IVFD D5% untuk life line bila panas tinggi/perdarahan
4. Kelola infeksi : antibiotika adekuat/transfusi granulosit
5. Kelola perdarahan : transfusi dengan komponen darah yang sesuai bila
anemianya berat sekali bisa ditranfusi dengan PRC
6. Stimulasi sumsum tulang :
• Prednison 45 – 60 mg/hari selama 4 minmggu →→→→ jika tidak ada respon segera
hentikan
• Preparat androgen : testosteron atau oxymetholone
Planing Dx/
• Dl
• Faal hemostasis
• Retikulosit
• BMP
Planing monitoring :
• Vital sign
• Tanda – tanda perdarahan akut
33|TOV|MEDICUSLESCIUS
ASMA BRONCIALE/STATUS ASMATIKUS
1. Cari faktor pencetus/riwayat alergi/faktor turunan
• Frekuensi napas
• Frekuensi jantung kiri
1. Tentukan berat ringannya serangan dengan parameter
2. Sesak napas
3. Tarikan otot bantu napas
4. Derajat wezing
Pemeriksaan penunjang yang perlu dikerjakan :
1. Darah lengkap : eosinopil meningkat
2. Foto thorak : untuk kemungkinan komplikasi pneumotorak,
pneumoni
1. EKG : hanya dikerjakan pada keadaan yang berat
2. Analisa gas darah : dikerjakan pada asma akut yang berat ( mencari
tanda gawat/gagal napas (Pa O2 menurun, Pa CO2 meningkat). Asma akut
terapi 2 jam bila menetap/memburuk ( status asmatikus )
Therapi
1. Baring ½ duduk
2. Diet TKTP lunak
3. Oksigen 2 4 liter/menit dilembabkan
4. IVFD D5 : P2 = 1 : 1 : 1 (2 liter + perkiraan defisit/hari)
5. Adreanalin 0,3 cc SC dapat diulang a 15 menit (kontraindikasi pada
orang tua, hpertensi, hipertropid, jantung)
6. Aminopylin : 5-6 mg/Kg BB bolus iv dilanjutkan dengan 0,5 0,9 mg/Kg
BB jam per infus
7. Hidrokortison 200 300 mg iv loding dose (dexametason/kalmetason 2
ampul) ( maintenance 4 mg/kg B @ 6 jam (kalmet 4 x 1)
8. Antibiotik (bila ada dan untuk mencegah infeksi :
9. Axyterta 100 200 mg/ 6 jam/M atau
10. Amoxycilin/tetra critromicyn 4 x 250 mg/oral
11. Amoxy/ampi/eritromycin : infeksi 1 gram / hari
12. Salbutamol 3 x 2 mg
13. Mukolitik : bromhexin syrup 3 x Cl
Ckpektoran : GG 3 x 1
1. Hindari faktor pencetus
2. Bila terjadi asidosis dapat diberikan Na. Bie
Planing Dx/
1. DL/FL ulang pemeriksaan sputum
2. Spirometri/tes provokasi bronikal
3. Tes alergi kulit, kadar IgE serum
4. Analisa gas darah
5. Hitung cosinopil
Planing monitoring
1. Vital sign
2. Parameter klinik bertanya serangan
AMINOFILIN
Merupakan gram teofilin. Dosis untuk status asmatikus 6mg/BB dalam 20-30 menit
Maintenance ; bukan perokok ; 0,5mg/BB/jam, perokok ; 0,8-0,9mg/BB/jam
Efek samping ; mual, muntah, sakit kepala
34|TOV|MEDICUSLESCIUS
B I O K I M I A H A T I
I. Bilirubin
Bilirubin conjugated dapat dieksresikan dalam urine bilirubin unconjugated tak dapat
dikeksresikan dalam urine. Uroblin pada ikterus kolestatik tak dapat dalam urine.
II. Kolestrol
Normalnya : 150 – 250 mg/100 cc
Pada ikterus kolestatik : kolesterol meningkat 3 – 4 kali
Pada kolestatis kronik : kolestrol > meningkat
III. Fosfatase
Alkali pospatase merupakan indek yang sangat sensitif bagi statis empedu Kadar normal
: 3 – 13 kA unit
Pada ikterus kolestatik kadarnya meningkat : 10 kali
Pada ikterus hepatoseluler kadarnya meningkat : < 10 kali
IV. Transaminase
a) SGOT normal : 5 – 17 10/100 cc. Banyak terdapat pada jantung, otot sklet hinjal
kadar meningkat pada hepatoseluler nekrosis atau intark myokard
b) SGPT normal : 4 – 13 10/100 cc. Banyak terdapat pada hati pada otot, jantung agak
kurang pada hepatitis meningkat
c) < DH (normal : 500 unit). Terdapat terutama pada otot skelet, jantung, hati, eritrosit
d) Cholin esterasi. Pada sirosis kadarnya menurun
Pemeriksaan kimiawi yang perlu dikerjakan
I. Untuk mengetahui ada tidaknya kerusakan sel hari
• SGOT
• SGPT
Radio De ritis (SGOT/SGPT) :
> 1 = necrotik type
< 1 = inflamatory type
Untuk mengetahui ada tidaknya hiperbilirubinemi/kolestasis
• Bilirubin total dan direk
• Asem empedu
II. Untuk mengetahui ada tidaknya gangguan fungsi metabolisme
• Protein total
• Albumin
• Elektroporesa protein
III. Untuk mengetahui penyakit akut/kronik
• IgG IgM
• Globulin
• SPE
Prinsipnya 3 hal yang perlu diperiksa :
1. SGPT : menunjukkan gangguan permeabilitas membran haptosit
2. GGT : peningkatan terjadi pada cholestasis, keracunan/ rudapaksa
3. Cholin esterase : menurunkan pada kegagalan fungsi sintensis protein,
penggunaan masa sel hati
Bila SGPT sangat tinggi
GGT naik sedang,CHE normal
Bila SGPT normal
GGT naik ringan
CHE sangat menurun
Bila SGPT naik ringan
GGT naik ringan
CHE meninggi
Bila SGPT sangat meningkat
GGT naik ringan
CHE menurun
Bila GLDH meninggi
SGPT meninggi
Bila GLDH rendah
SGPT tinggi
Bila SGPT < 10 = ikterus obstruktif
GGT > 10 = ikterus hepatoseluler
LDH
Gamma GT
ALP (alkali pospatase)
Gama GT
Glukosa
Ureum
Amonia
CHE (choline esterase)
PPT
PTTL
Hepatitis akut
Sirosis lanjut
Sirosis lanjut
Sirosis lanjut
Bendungan hati akut, lesi hati hipoksik dengan nekrosis sentrolobuler,
hepatotoksisitas akut Hepatitis
virus
35|TOV|MEDICUSLESCIUS
C M L
KRONIK MIELOSITIK LEUKEMIA
• Insiden pada usia petengahan dengan puncak pada umur 40 - 50 tahun
• Perjalanan penyakit CML dibagi menjadi 2 fase :
1. Fase kronik
• Berjalan selama 2 - 4 tahun dan responsif terhadap komoterapi
• Sering dianggap sebagai fase preleukemia
2. Fase akselerasi/transformasi akut :
• Perangi klinik berubah mirip leukemia akut
• Proporsi sel muda meningkat dan akhirnya masuk kedalam blast crisis
Gejala klinik
A. Fase kronik
1 Gejala hipermetabolik : berat badan menurun, lemah anoreksia, berkeringat malam.
2 Splenomegali hampir selalu ada, sering masif
3 Hepatomegali
4 Gejala gout dan periapismus
5 Anemi sering hanya ringa
6 Kadang asimptomatis ditemukan secara kebetulan
B. Fase transformasi akut :
1. Perubahan terjadi pelan-pelan dengan prodromal selama 6 bulan keluhan baru: demam,
lelahm nyeri tulang, (setrum) yang semakin progresif. Respon terhadap kemotrerapi
menurun, leukositosis meningkat dan trombosit menurun dan akhirnya menjadi gambaran
leukemia akut.
2. Pada 1/3 penderita perubahan terjadi secara mendadak tanpa didahului masa
prodromal disebut krisis penderita meninggal 1 - 2 bulan
Laboratorium :
1 Darah tepi
a Leukosis berat : 20.000 - 50.000 pada permulaan kemudian biasanya >100.000 /mm
3
b Anemi mula-mula ringan menjadi progresif pada fase lanjut besifat normokrotik -
normokrotik
c Trombosit bisa meningkat, normal atau menurun
d Fosfatase alkali netrofil selalu rendah
e Hapusan darah tepi menunjukkan spektrum lengkap
2 Sumsum tulang
Hiperseluler dengan sistem granulosit dominan. Gambarannya mirip dengan hapusan
darah tepi.
3 Sitogenetik : adanya philadelpia kromosom
4 Vit B12 serum dan B12 binding capacity meningkat
Tanda-tanda tranformasi akut :
1 Timbulnya demam dan amenia yang tidak dapat dijelaskan penyebabnya
2 Respon penurunan leukosit terhadap kemoterapi tidak adekuat
3 Splenomegali membesar yang sebelumnya sudah mengecil
4 Blast dalam sutul > 10%
Therapi
1 Fase kronik
Obat pilihan
a Busulpham (myleran) : 0,1 - 0,2 mg/Kg BB/hari leukosit diperiksa tiap minggu. Dosis
diturunkan setengah jika leukosit turun setenganya. Obat dihentikan jika leukosit
20.000/mm3
Terapi dimulai jika leukosit naik menjadi 50.000
Efek samping: aplasia sumsum tulang berkepanjangan, fibrosis paru, bahwa
timbulnya leukemia akut.
b Hydroxiurea
Memerlukan pengaturan dosis lebih sering, tetapi efek samping minimal kemoterapi pada
fase kronik dapat menghilangkan gejala tetapi tidak memperpanjang ketahanan hidup
2 Fase transformasi akut
Sama dengan terapi leukemia akut, tetapi respon sangat rendah
• Transplantasi sumsum tulang
36|TOV|MEDICUSLESCIUS
C I R O S I S H E P A T I S
• Perlu dicari kemungkinan penyebabnya
• Perlu dicari tanda-tanda insuficiensi hati, hiperestrogenemi,
hipertensi portal dan hipersphlennisme.
Pemeriksaan yang perlu dikerjakan
DL/UL
SGOT, SGPT
Therapi
1. Istirahat baring
2. Diet rendah protein, rendah garam (bila ada tanda hipertensi portal)
Diet TKTP bila tanpa hipertensi portal
3. Diuretika furosemid 40 mg/hari+spironolakton 2 x 25 mg/hari
4. Simptomatis, Roburantia
Planing dx/
DL/UL/FL
< FT, Bilirubin direk/indirek
USG
Upper GI pada kecurigaan adanya varices esopagus
Planing monitor : Vital sign
37|TOV|MEDICUSLESCIUS
PENYAKIT JANTUNG PARU
(COR PULMONAL)
• Cari penyakit dasarnya pada paru-paru
• Cari tanda-tanda hipertropi ventrikel kanan seperti pulsasi
parasternal dan epigastrial, ietus melebar kelateral.
Pemeriksaan yang perlu dilakukan
1 Foto thorak : tanda kelainan yang mendasarinya, tanda hipertensi
pulmonal (pembesaran pulmonalis, hipertropi ventrikel kanan,
pelebaran vena asigos dan vena cava superior.
2 EKG
• Pulmonal, defiasi axsis kekanan
• R/S ratio V1 > 1, di V 6 < 1
• Gambaran S1
S2
S3
Sl q3 S3
• RB BB komplit/inkomplit
3 Analisa gas darah
Hipoksemia, hyperkapnea, asidosis respiratorik.
Therapi
1 Istirahat
2 Diet TKTP
3 Oksigen 1 - 2 liter/menit
4 IVFD : D5% untuk life line
5 Furosemid 1 x 20 - 40 mg iv
6 Bila terjadi aritmia bisa diberikan digitalis (hati-hati mudah
hipoksia) atau Ca antagonis 3 x 10 mg/hari.
7 Terapi terhadap penyakit dasar :
• Hentikan merokok
• Antibiotika, bronkodilator, fisiterapi napas
Planing Dx/ : untuk mengatasi penyakit dasarnya
Planing monitoring ; vital sign
38|TOV|MEDICUSLESCIUS
D H F
KRITERIA DIAGNOSIS DHF (WHO ’98)
Semua harus ada :
1. Demam / riwayat demam akut 2 – 7 hari terutama bifasik.
2. Minimal 1 dari manifestasi perdarahan sbb :
• uji Rumple Leed +
• ptechiae, ekimosis, purpura
• perdarahan mukosa saluran cerna, bekas suntikan, atau
tempat lain
• hematemesis / melena
3. Trombositopenia ( < 100.000 / mm3)
atau
4. Minimal 1 tanda plasma leckage
• Hematokrit ↑↑↑↑ 20 % dibanding rata-rata orang dengan usia,
sex, dari populasi yang sama
• Hematokrit ↓↓↓↓ sehingga 20 % dari Hematokrit awal
• Efusi Pleura, asites, hiponatremia
Gradasi DHF :
1. Demam + gangguan konstitusional tidak khas perdarahan
berupa RL positif atau easybrushing
2. Derajat I + perdarahan spontan
3. Gagal sirkulasi Tensi ↓↓↓↓ , Nadi cepat dan lemah, kulit dingin
dan lembab, dan gelisah
4. Syok Tekanan darah ↓↓↓↓ dan Nadi ↑↑↑↑ yang fluktuatif
 (derajat 3 & 4 = DSS)
• Waspada terhadap kemungkinan terjadinya DSS terutama pada
saat demam mulai menurun
• Rumple leed harus selalu ingat diperiksa
Pemeriksaan yang perlu dikerjakan
• DL (HB)
• Hematokrit
39|TOV|MEDICUSLESCIUS
Therapi
1. Istirahat baring
2. Diet lunak, banyak minum
3. IVFD : RL/Nacl 0,9% bila muntah-muntah, hematokrit meningkat
Dehidrasi ringan: 30 tetes/menit
Dehidrasi sedang : 60 tetes/menit
Dehidrasi berat : gerojok bila 2 jam syok belum dapat diatasi
ditambahkan haemaccel 1500 ml
4. Transfusi darah dilakukan bila :
• Ada hematemesis melena
• HB menurun atau hematokrit merendah
→→→→ Jenis darah tergantung sifat peredaran bila whole blood, fres
frosen plasma atau trombisit konsentral
5. Oksigen : 2-4 liter/menit pada penderita syok
6. Antibiotik bila syok lama atau ada komplikasi infeksi bakteri
7. Kortikosteroid diberikan bila ada trombositopenia dengan
perdarahan diberikan prednison 40 mg sehari sampai trombosit >
100.000/mm3
8. Simptomatis
* Paracetamol 3 x 500 mg
9. Acetosal 1 x 100 untuk agregasi trombosit
Planing Dx/
• DL/UL
• Tes HI
• Hematokrit
Planing monitoring
• Vital sign
• Tanda dini renjatan
- KU memburuk
- Hati makin membesar
- Bleeding time memanjang
- Hematokrit meningkat pada pemeriksaan berkala
40|TOV|MEDICUSLESCIUS
D I S P E P S I A
• Tentukan dulu tipe dispepsianya :
Ulcer : hunger pain food relief, nokturnal pain
Refluk : nyeri retrosternal, rasa terbakar, regurgitasi asam
Gastroparesis : rasa penuh, kembung, lekas kenyang
Non spesifik : keluhan samar hanya rasa tak enak tanpa keluhan
khas
• Tentukan penyebab dispepsianya
Pemeriksaan yang perlu dikerjakan
1. DL
2. Elektrolit bila perlu
• Therapi
1. Istirahat
2. Diet lunak
3. IFD : 5% RL untuk life line/mengatasi dehidrasi
4. Antasida syrup 3 x CI
5. Simetidine 3 x 200 mg iv/oral
Planning Dx/
• Barium enema
• Endoskopi
Planning monitoring
• Vital sign
41|TOV|MEDICUSLESCIUS
DEMAM TYPHOID
• Anamnesa yang teliti dari demam 7 hari, kedalam toksis dan gangguan
gastrointestinal
• Perlu dicari kardinal rign : typoid tengue, bradikardia, relatif, hepatosplenomegali,
meteorismus, gangguan sensorium, demam > 7 hari
• Cari kemungkinan adanya komplikasi
Pemeriksaan yang perlu dikerjakan :
1 DL/UL
2 SGOT/SGPT
3 Widal
Therapi
• Istirahat baring
• Diet lunak renda serat sampai 7 hari bebas demam
• Khlorampenicol 4 x 250 mg hari I selanjutnya 4 x 500 mg
• Vit B komplek 3 x 1
• Parasetamol K/P
Pada keadaan toksis :
• IVFD RL/D5% 30 tts/menit
• Diet cair TKTP persoden (pasang NG tobe)
• Antibitika per oral/parrentral
• Vit B komplek parenteral
• Hydrokortison 3 x 100 mg atau dexametason 3 x 5 mg iv (dosis diturunkan tiap
hari selama 5 hari)
Bila melena
• Penderita diperaskan
• Nutrisi darah samapi Hb diatas 10 gr%
• Bila terjadi perporasi usus seperti pada melena + NGT untuk decompresi dan
kosul bedah sito
• Bila terjadi syok septik
• Puasa
• IVFD : RL berikan dulu loading dose 1 liter dalam 30 menit kemudian tambahkan
dopamin 10 - 20meq/Kg BB/menit (50 tts/menit)
• 02  2 - 4 liter/menit
• Dexametason 3 mg/kg BB bolus
• Klorampeniol 4 x 500 mg atau 3 x 1000 mg iv
• Vit BC parenteral
• Monitoring CVP
Planning Dx/ Kriteria hepatitis typosa :
• DL/UL/FL 1. Peningkatan transaminase
• Widal 2. Peningkatan bilirubin serum (ikterus)
• Gall bultur 3. Waktu masuk bisa tanpa febris
4. Secara histologis didapatkan typoid nodule
Planning therapi
• Vital sign
Mekanisme terjadinya diduga oleh karena pengaruh sitokine (mediator) disamping
secara mekanik waktu bakteri masuk ke liver
K. Indikasi : Kortimoksazol
Indikasi : Chlorampenicol/thiampenicol
42|TOV|MEDICUSLESCIUS
DM + GANGREN/ULKUS/CELULITIS
• Cari riwayat DM dalam keluarga (pedigree)
• Cari kemungkinan komplikasi yang telah terjadi
• Ukur berat badan dan tingginya untuk menghitung RBW dan BMI
• Tentukan tipe DM-nya
DM tipe 1 Dx/ dengan
- Umur muda (<20 th)
- Kurus
- Insulin dependent
Defentif
- 10 hari tanpa insulin →→→→ KAD
- C peptida < 0,6
DM Tipe 2
- DM dewasa
- OAD/diet dependet
- Tanpa insulin 10 hari →→→→ tak timbul KAD
- C peptida > 0,8
MR DM
- DM 15 – 40 tahun
- Kurus (RBW < 80%)
- Resistensi insulin
- Resistensi ketosis
- Nyeri perut berulang/tanda-tanda malabsrobsi
- Paba tes < 60%
- C peptida > 0,6
- OAD dan insulin dependent partial (tidak timbul KAD tanpa insulin)
- C peptida 0,6-0,8
- DM tipe 2 pada umur < 20 tahun
• Pada DM tipe 2 yang gagal sekunder terhadap OAD perlu TKOI tipe x 1 ½ oleh
kerena jika hanya dengan monoterapi insulin akan timbul 3 efek :
a. Block sel beta (I sampai IV)
b. Efek down regulation ; akibat hiperinsulinemia dengan pemberian insulin
eksogen akan semakin membuat penurunan jumlah reseptor.
c. Hiperinsulinemia →→→→ timbul sondrom x (Reaven) :
• Hiperinslinemia : dislipidemia
• Hiperglikemia : resistensi insulin
• Hipertensi : penyakit kardiovaskuler
• Regulasi cepat dengan RI 4 unit/perjan iv akan menurunkan gula darah 50 – 75
mg% setiap jamnya diindikasikan pada :
SM sepsis praoperasi (gangren, kolisistis, batu ginjal)
DM dengan satroke CVA
DM pro dengan MA
DM dengan IMA
Indikasi TK OI (kombinasi OAD dengan insulin) :
a. DM tipe X (tipe 1 ½)
b. DM tipe II gagal sekunder dengan OAD
c. DM tipe II disertai dengan
Malnutrisi
Infeksi
Fraktir,Kurus Grave,KehamilaKanker dan lain-lain Penyakit hati
Pemeriksaan yang perlu dikerjakan :
1. BS acak
2. DL/UL
3. R “Ontgen sesuai dengan lokasi perkiraan infeksi
Therapi
• Istirahat baring
• Diet B1 minimal 2100 kalori
• IVFD RL/Nacl 0,9→→→→ tergantung keadaan pasien
• RI/aktravid tergantung kadar gula darah (RI = 3 x sehari (2 x nilai depan BS)
SC
Antibiotika :
• Ampicilin 4 x 1 gram iv
• Gentamicin 2 x 80 mg iv
43|TOV|MEDICUSLESCIUS
Jika gangren bisa diberikan kombinasi
• Pentoxyplin 4 x 200 mg (sebagai vasodilator)
• Accetsal 1 x 100 mg (sebagai anti agresi thorax)
Jika belum gangren cukup asetosal saja
• Pada nepropati diabetika setandar awal ; captopril 3 x 6,25 – 0,5 mg
• Terapi simptomatik
• Rawat luka
Planing Dx : AL/UL/FL
• BSn/BS 2 jam PP, LFT, BUN/ S. creatinin
• Kultur pus, klonoi count sensitivitas test
• Lipid propil : kholesterol total, HDL kolesterol, trigliserid
• AS urat
• Konsul bedah
• Kosnul mata
• Konsul gigi
Planing monitoring
• Vital sign
• Reduksi urine
Kriteria pengendalian DM
Baik Sedang Buruk
BSN 80 – 120 120 – 140 > 140
BS 2 jam pp 80 – 160 160 – 200 > 200
Kolesterol total < 200 200 – 240 > 240
HDL kolesterol > 40 35 – 50 < 35
Trigliserid
• Tanpa PJK < 200 200 – 400 > 400
• Dengan PJK < 150 150 – 200 > 200
Hb Al c (5) 4 – 6 6 – 8 > 8
Tensi < 140/90 <160/95 > 160/95
BMI
Wanita 19 – 23 23 – 25 > 25
Pria 20 – 25 25 – 27 > 27
BMI
TB
BB
Klasifikasi infeksi pada diabetik foot :
Grade 0 : tidak ada luka
1 : ulkus dengan infeksi yang superficial
2 : ulkus sampai tendon dan tulang tapi infeksi minimal
3 : ulkus sampai tendon dan tulang dengan abces dan osteomyelitis
4 : ulcus dan menimbulkan gangren lokal pada jari laki atau kaki
bagi depan
5 : lesi/ulcus dengan gangren dari seluruh kaki
44|TOV|MEDICUSLESCIUS
DOBUTAMIN
• efek ionotropik lebih kuat daripada efek kronotropik
dibandingkan isoproterenol
• meningkatkan kontraktilitas jantung dan curah jantung, hanya
sedikit meningkatkan denyut jantung, sedangkan resistensi perifer
tidak berubah.
• mempercepat konduksi AV, sehingga sebaiknya dihindarkan
pada fibrilasi atrium.
• Tapi obat ini dapat sangat meningkatkan denyut jantung, bila ini
terjadi kurangi kecepatan infuse
• Efek samping ; nausea, nyeri ke[ala, palpitasi, dispnea dan nyeri
angina. Kontra indikasi pada stenosis subaorta.
DOPAMIN
(prekusor NE)
- Pada dosis rendah (infuse) akan meningkatkan aliran darah ginjal,
mesenterium dan pembuluh darah koroner (vasodilatasi)
- Meningkatkan LFG dan ekskresi Na+
- Pada dosis sedikit lebih tinggi akan meningkatkan kontraktilitas
miokard
- Pada dosis rendah sampai sedang resistensi perifer total tidak
berubah
- Meningkatkan tekanan sistolik dan tekanan nadi tanpa
meningkatkan tekanan diastolic ( atau sedikit meningkat )
- Sangat berguna pada keadaan curah jantung lemah dan disertai
gangguan fungsi ginjal ( syok kardiogenik dan hopovolemik)
- Pada dosis tinggi berakibat vasokonstriksi shg bila digunakan
pada syok yang mengancam jiwa , tekanan darah dan fungsi ginjal
harus dikontrol terus.
- Tidak memberikan efek di otak walaupun ada reseptornya karena
dopamine sukar melewati sawar otak.
- Sebelum diberikan pada syok hipovolemik, hipovolemiknya harus
dikoreksi dahulu
- Efek samping ; nausea, muntah, takikardi, aritmia, nyeri dada,
hipertensi dan peningkatkan tekanan diastolic.
- Dosis lebih dari 10-20 mikrogram/BB/menit ; efek vasokonstriksi
timbul
- Meningkatkan kontraktilitas miokard, tidak banyak meningkatkat
denyut jantung.
45|TOV|MEDICUSLESCIUS
DRUG AND THE LIVER
Obat harus dapat larut dalam lemak agar bisa diserap oleh usus.
Kemudian dikonversi didalam hati agar dapat diekskresikan ke dalam
urin.
Bila kita mencurigai adanya suatu hepatitis oleh karena obat,
anamnesis tentang pemakaiaan obat selama 3 bulan terakhir sangat
penting.
Respon obat terhadap hati tergantung dari factor :
- absorbsi
- lingkungan
- genetik
Farmakokinetik
Klirens obat Dallam hepar tergantung dari :
- enzim metabolisme obat
- aliran darah hati
- adanya protein plasma binding
Ada jenis obat yang termasuk kedalam “high first pass” (high intrinsic
clearance) yaitu golongan obat yang diserap secara cepat dan
tergantung dari hepatic blood flow. Bila aliran melambat seperti pada
CH atau gagal jantung menyebabkan terjadinya peningkatan
penyerapan contohnya propanilil , cimetidine. Karena bersifat hfp
maka sebaiknya obat tersbut diberikan secara sublingual ataupun
injeksi untuk menghindari obat tersebut memasuki system portal.
Sebaliknya obat yang bersifat Low Intrinsic clearance tidak begitu
tergantung dari hepatic blood flow. Perubahan dari HBF ini
mempunyai efek yang kecil.
Plasma binding protein membatasi presentasi dari obat dengan enzim
hepar.
46|TOV|MEDICUSLESCIUS
DRUG AND THE LIVER
HEPATIC DRUG METABOLISM
FASE 1
System utama metabolisme obat di hepar terjadi dalam reticulum
endoplasma halus. Enzim yang terlibat adalah kesatuan fungsi dari mono
cytokrom C reduktase dan cytokrom p450. NAPDH sebagai ko factor. Obat
diubah menjadi lebih polar(mudah larut dalam air) dengan proses
hidroksilasi atau oksidasi. Fase 1 alternatif termasuk terjadinya konversi
alcohol menjadi asetildehid yang terutama terjadi di fraksi sitosolik.
Enzyme inducers seperti ; barboturat, alcohol, anestetik, hipoglikemik, anti
konvulsan agen, griseofulvin, rifampisin, fenilbutason dan meprobamat.
FASE 2
Biotransformasi termasuk konjugasi atau metabolit obat dengan molekul
endogen kecil. Enzim diasanya tisah tertahan di hepar tapi tetap ada dalam
hepar dalam konsentrasi yang tinggi.
Transport aktif
Terjadi di biliary pole of hepatosit. Proses ini tergantung ada tidaknya energi
dan bisa tersaturasi.
Obat yang sudah termetabolisme akan dikeluarkan baik lewat ginjal maupu
empedu tergantung dari berbagai factor dan banyk yang masih belum jelas
dan tergantung juga dari berat molekulnya, <200 lewat ginjal, bila lebih
dikeluarkan lewat system empedu.
P450 system
Obat dimetabolisme dan terbentuk juga zat toksik terjadi dalam system p450
yang terletak dalam reticulum endoplasmic hepatosit. Telah diidentifikasi 50
buah tapi diyakini masih ada lagi. Terbagi menjadi tiga golongan yaitu
p4501,2 dan 3. masing2 mempunyai kemapuan mengikat obat tertentu tapi
yang jelas tidak semua obat. P450 ini dikode oleh gen tertntu , perbedaan
dalam aktivitas katalitik dari masing2 inilah yang dapat menyebabkan
terjadinya reaksi seperti idiosinkrasi,outward reaction. Biasanya pada p450
tipe tertentu mempunyai reaksi yang abnormal dan bila dihubungkan dengan
gen pengkodenya hal ini memungkinkan dimasa depan untuk meramalkan
akan terjadinya reaksi yang abnormal tersebut.
47|TOV|MEDICUSLESCIUS
E F U S I P L E U R A
Cari faktor penyebabnya
Pemeriksaan penunjang yang perlu dikerjakan :
1. Rontgen thorax PA – lateral
2. Fungtie pleura dikeluarkan 1 – 1 ½ liter
Sebagai diagnostik dan therapi : Fungtie (torakosintesis)
dilakukan sebagai berikut : posisi penderita duduk : aspirasi
dengan memakai abboeath no 14 atau 16 pada ICS 1 x garis
aksilaris posterior (IV – VIII)
3. Sitologi cairan pleura
Therapi
1. Bed rest baring ½ duduk
2. Diet TKTP
3. IVFD DS : RL = 1 : untuk life line
4. Analgetika
5. Antibiotika
Planing diagnostik ; DL/UL, sitologi cairan pleura
Planing monitoring : vital sign.
48|TOV|MEDICUSLESCIUS
GCS
Eye Opening
• Spontaneous 4
• To verbal command 3
• To pain 2
• None 1
Best Verbal response
• Oriented, conversing 5
• Disoriented, conversing 4
• Inappropriate words 3
• Incomprehensible sounds 2
• None 1
Best motor response
• Obeys verbal command 6
• Localized pain 5
• Flexion, withdrawal 4
• Abnormal flexion, decorticate 3
• Extension decerebrate 2
• None 1
GCS ANAK
Membuka mata:
• Membuka mata spontan 4
• Diajak bicara/perabaan halus 3
• Dengan nyeri 2
• Tidak ada respon 1
Verbal
• Ngoceh 5
• Nangis iritatif 4
• Nangis dengan nyeri 3
• Menggeram dengan nyeri 2
• Tidak ada respon 1
Motorik
• Gerakan spontan normal 6
• Mengelak dengan sentuhan 5
• Mengelak dengan nyeri 4
• Fleksi abnormal 3
• Ekstensi abnormal 2
• Tidak ada respon 1
49|TOV|MEDICUSLESCIUS
G G A
1. Tentukan dulu penyebab GGA: prerenal, post renal, atau renal ( pada
anamnesis sangat perlu dicari
Pemeriksaan yang perlu dikerjakan
1. DL, UL, asam urat, elektrolit urine
2. BUN/serum creatinin, elektrolit (hiper K, hiper P04, hiponatrium, hipokalemi)
3. BOF pol kecurigaan post renal
Therapi
1. Pada kecurigaan post renal segara hilangkan penyebabnya. Kontra indikasi
diuretik
2. Pada penyebab prerenal :
3. Rehidrasi cairan yang cukup
(berdasarkan Bj plasma atau CVP)
1. Tes lasix.
Tentukan dulu diuresis selama 1 2 jam kemudian diberikan furosemid 40 mg iv. Tentukan
diuresis 1 2 jam berikutnya. Bila diuresis menjadi 500 ml (atau 20 ml/jam) boleh diberikan
cairan lagi. Bila tidak pengelolaan renal
1. Renal
2. Diet tinggi kalori (2500 3000 kal) rendah protein (25 30 gram)
3. Pembatasan cairan : cairan masuk = 500 ml + kehilangan cairan hari
kemarinnya.
4. Furosemid dosis tinggi 200 2000 mg/hari untuk merubah oligouri ( poliuri.
5. Pengobatan lain berdasarkan indikasi
A1. Asidosis metabolik
(lemah, pusing, mual, muntah, nyeri perut, napas kusmaul)
CO2 hanya perlu dinaikkan sampai 18 meq/1 (jangan melebihi menaikkan 10
meq/1)
Cara menghitung kebutuhan Na bikarbonat
1. Tentukan defisit CO2 content
Deficit CD2 = deficid CO2 content x 20% x BB (meq/1)
Diobati dengan
1. Nabic 7,5% = deficit meq/1 x 50/45 = …….ml
2. Nabic 1,5% = ……….. ml.
3. Nabic 7,5% = 0,3 x BB x 0,084 x defisit HCO3 dimana 50 meq diberikan bolus
sisanya dalam waktu 4 6 jam kemudian.
4. Rumus base excces negtif :
BB x 0,2 x Base oxcces negatif = ……….. Meq/1
Nabic yang diberikan harus diencerkan dengan D5% dalam jumlah yang sama
A2. Hiperkelami
1. Glukosa 25% 200 300 ml iv (dalam waktu 30 menit) + Ri 10 20 unit. Kemudian
diikuti dengan infus D5% 250 300 ml
2. Kalsium glukosa/kalsium chlorida 10%.
50 100 ml iv dengan kecepatan 2ml/menit atau 0,5 cc/kg BB.
1. Nabic 7,5% iv 1 ampul kemudian diikuti dengan D10% 100 ml + 2 3 ampul
Nabic (dl 1 2 jam)
2. Nacl 5% 200 ml dalam waktu ½ jam
3. Hemodialisis
A3. Overhidrasi
1. Puasa cairan selama 24 jam
2. Bila timbul hipelegi, kejang atau koma berikan Nacl 3% atau 5% Nacl 5% =
6ml/Kg/BB (dapat meningkatkan kadar Na serum ( 10meq/1- (kecepatan infus 100
ml/ jam)
50|TOV|MEDICUSLESCIUS
G G K
• Tentukan apakah hanya GGK ataukah terjadi akut on cronik renal failure dimana produksi
urine tiba-tiba < 500cc/ hari pada penderita GGK
• Cari riwayat DM, pirai, batu ginjal, hipertensi, obat nepropotosik jangka lama.
• Perlu dicari penyakit dasarnya
Pemeriksaan yang perlu dikerjakan
• DL/UL
• BUN/Serum creatinin, asam urat
• BOF untuk cari kemungkinan batu
Therapi
1 Istirahat baring
2 Diet tinggi kalori (2500 kal) protein 40-50 gr/hari (pada keadaan berat protein 20 - 30 gr/hari)
3 Jaga keseimbangan cairan
4 Al (OH) 3 x 1 untuk hiperpospatemi
5 As folat 3 x 5 mg untuk mencegah anemia
6 Pengolahan sesuai keadaan/indikasi
Infeksi : Antibiotik pilih yang tidak neprotoksik
Hipertensi : Captopril 3 x 6,25 - 25 mg/hari
Hiperuricemia : Allopurinol 3 x 100 - 300 mg/hari
Pruritis : Dipenhidramin (CTM) 3 x 1
Vomiting : Klorpromasin/trimetobenzamin
Neuromuskuler : Vitamin, neurotropik
Planing Dx/
• Elektrolit
• Kliren kreatinin
• IVP
• USG Ginjal
Cara menghitung kliren keratinin :
KK (laki) = (140-U) XBB
--------- --------
72 x BB
Wanita : 0,85 x KK laki
Arti nilai kliren kreatinin
76 - 100 ml/menit = Insuficiensi ginjal berkurang
29 - 75ml/menit = Insufliciensi ginjal krinik
5 - 30 ml/menit = GGK
< 5ml/menit = GGT
Planing monitoring
• Vital sign
• Produksi urine
• Cairan masuk/cairan keluar
51|TOV|MEDICUSLESCIUS
GAGAL JANTUNG
Tentukan kira-kira penyebab gagal jantung (kiri/kanan)
Cari faktor pencetusnya
Pemeriksaan yang perlu dilakukan:
1 Thorak Foto
2 EKG
Therapi
1 Istirahat posisi ½ duduk
2 Diet lunak rendah garam
3 Oksigen 4 - 6 liter/menit bila ada sesak napas
4 IVFD : D5 % 12 tts/menit untuk life line
5 Meningkatkan kontraktilitas
Bisa disertai AF:
Cedilanid 0,4 - 0,8 mg IV dilanjutkan tiap 6 - 8 jam sampai total 1,6
g. digoxin 3 x 0,5 mg/hari oral selama 1-2 hari dilanjutkan dengan
maintenance 0,25 mg/hari
Bila ada hipotesis: dopamin 3 - 5 mg/kg BB/menit/ infus.
6 Menurunkan preload
• Furosemide 20 - 40 mg/hari IV
• ISDN 3 x 5 - 10 mg/hari
7 Menurunkan after load
• Hidralazin 3 x 25 - 50 mg/hari
• Captopril 3 x 6,25 - 50 mg/hari
8 Koreksi faktor pencetus :
Infus ; antibiotik
Anemi ; transfusi
P/monitoring ; elektrolit pada pemberian diuretika
52|TOV|MEDICUSLESCIUS
G A S T R O E N T E R I T I S A K U T
E/ Infeksi bakteri, virus
Intoleransi makanan
Racun organik & an organik
Faktor emosi
GE oleh karena infeksi kuman ada 3 :
1. GE dengan diare skretorik
• Mengenai bagian proximal usus halus
• Demam (-), invasi kuma (-)
• E/ vibrio, E coli, stafilocous aures, cl pertrigen
1. GE dengan invasi superficial dan reaksi inflamasi
1. Lokasi bagian distal halus colon
2. Demam (+)
3. E/ shigel, ETEC, E histolitika
1. Infasive interic fever
1. Lokasi bagian distal usus halus
2. Demam tinggi
3. E/ salmonela type, yasenia enterocolitica
K L I N I S
Kolera
• Diare encer tanpa rasa mules dan tenesmu
• Frekuensi berak 10 20 kali seperti air cucian beras tidak berbau
busuk / amis tapi manis menusuk
• Muntah penyakit tanpa mual
• Kejang otot otot seperti otot betis, bisep, trisep, pektoral,
dinding perut (oleh karena menurunnya calsium dan clorida dan
clorida pada sambungan neuromuskular)
• Facies koleria (tulang pipi menojol, mulut menyeringai oleh
karena bibir kering)
• Persitaltik usus - / +
• Jari tangan (kaki kurus dengan lipatan kulit dengan ujung jari
keriput)
Disentri basiler :
1. Timbulnya akut
2. Toksemia dengan tenesmus
3. Tinja kecil banyak, tak berbau, alkalis, berlendir, nanah dan
berdarah, bila berbentuk dilapisi lendir
Desentri amuba
1. Timbulnya perlahan lahan, diare awal tidak ada / jarang
2. Toksemia jarang (ringan), tenesmus jarang, sakit terbatas
3. Tinja besar, terus menerus, asam, berdarah bila berbentuk biasanya
tercampur lendir
Dehidrasi
Menentukan deficit cairan
1. Secara klinis
2. Klasifikasi klinis pierce/modifikasi yuwono
53|TOV|MEDICUSLESCIUS
1. Sistem Skor Menurut Daldiyono
Muntah : 1
Turgor kulit menurun : 1
Ekstremitas dingin: 1
Jari keriput : 1
Apatis : 1
Sistole ( 90 mm Hg: 1
Nadi ( 120 x/mnt : 1
Napas kusmaul : 1
Suara serak : 2
Cyanosis : 2
Pacies cilerika : 2
Somnolent coma : 2
Sistole ( 60 mmHg : 2
Umur ( 50 tahun : - 1
Umur ( 60 tahun : -1
Jumlah cairan untuk rehidrasi
x 10% BB x 1 liter
Secara lab dengan Bj plasma
Bj Plasma
Defiat : x BB x 4cc
0,001
T/
• Colera : Tetra 4 x 5 mg (2 3 hari)
• Desentri : ampicilin 20 mg/KG BB/hari (4 x pemberian
sulfaquanidin 0,1 gr/Kg BB, Kotri.
• Amubiasis : metro + tetra.
54|TOV|MEDICUSLESCIUS
G A G A L N A FA S
Terjadi bila PCO2 > 50 mmHg dan PO2 < 60 mmHg
DD/ Hipoksemia Hiperkapue & asidemia
Keluahan Dyspne, palpitasi, angina Hiperkapnea & asidemia
nyeri
gangguan mental kepala, gelisah
Gejala Takipneu, takikardia, sianosis Miosis, gapil odem, aritmia
aritmia, hipertemsi/hipotensi hipotensi, myoclonus,
kejang
bila berat, gagal jantung koma
kejang, koma
Pemeriksaan penunjangan yang perlu dilakukan :
• Uji faal paru
• RO” torak, furoskopi
• EKG
• Pemeriksaan sputum
Rumus pemberian bikarbonat: Hasil bikarbonat nilai normal x BB x
40% = meq/1. 1 ampul mylon = 44 meq/1.
Pemberian aminoplin pada gagal
jantung/hati dosis dikurangi ; loading
dose : 1 – 3 mg/kg BB IV.
Maintenance : 0,1 – 0,2 mg/Kg BB/jam
55|TOV|MEDICUSLESCIUS
H I P E R T E N S I
1. Cari kemungkinan etiologinya (primer/sekunder)
2. Cari faktor resiko yang berhubungan dengan diet
3. Cari kemungkinan adanya komplikasi dari hipertensi
Akibat tingginya tensi Akibat arteroisklerosis
Otak : Hipertensif emefalopati Stroke non hemoragik TIA
hemoragikRIND
Jantung: LVH, payah jantung kongestif PJK
Ginjal : Nefrosklerosis benigna/maligna Arteriosklerosis arteri
renalis
Pembulug darah : Disseeting aortik aneurisma Kelainan pembuluh
darah tepi
Mata : Keith wagner
Krisis hipertensi
1. Hipertensi gawat - tekanan darah harus diturunkan dalam waktu
kurang dari 1 jam
• ensefalopati hipertensip
• perdarahan intrasebral/subarakhnoid
• aorta disekan
• payah jantung kiri akut
• angina pektoris yang unstabel
• eklamsi
• epistaksis berat
2. Hipertensi darurat - tekanan darah diturunkan dalam waktu
dalam 24 jam
• infark serebri
• hipertensi maligna (accelerated hypertension)
• gagal ginjal akut
• edema papil optik
TERAPI HIPERTENSI KRISIS
Dasar : penurunan tek darah secara cepat
• < 60 mnt utk hipertensi gawat
• <24 jam utk hipertensi darurat
Obat
• Yg dapat diberikan parenteral (i.v) mis: clonidin i.v, Na
nitroprusid
• Yg dapat diberikan sublingual mis: nifedipin
Therapi
1. Klonidin 0,1- 0,2 mg loading dose kemudian ditambah 0,1 mg tiap
jam sampai total dosis 0,5 mg atau
2. Nifedipine 10 mg sublingual bila dalam 30 menit belum ada
respon tambah 10 mg lagi ( teruskan dengan 2 x 10 mg/hari
Therapi umum hipertensi
1. Therapi berjenjang
Diuretika tiazied, ( blocker, ACE inhibitor, Ca antagonist)
56|TOV|MEDICUSLESCIUS
1. Diuretik
Mekanisme kerja : mengurangi vol. Plasma
Efek samping : dehidrasi, hiperlipidemi, gangguan toleransi glukosa
Preparat : HCT (12,5 - 25 mg/hari)
Furosemid (20-40 mg/hari)
2. Beta bloker
Mekanisme kerja : mengurangi cardiac out put
Efek samping : bradikardi, bronkokonstriksi
Kontraindikasi : payah jantung, asma bronkial
Preparat : Propanolol
Atenolol
3. Antagonis kalsium
Mekanisme kerja : relaksasi otot polos arteriol
Efek samping : sakit kepala
Kontra indikasi : payah jantung (relatip)
Short acting:- Nifedipin
- Diltiazem
- Verapamil
Long acting: Amlodipin
4. Penghambat ACE (ACE Inhibitor)
Mekanisme kerja : menghambat pembentukan angiotensin II
Efek samping : batuk
Kontraindikasi : hamil
Preparat : - Captopril
- Enalapril
5. Penghambat receptor I angiotensin 2
(Angiotensin Receptor Blockers / ARBs)
Mekanisme kerja : menghambat kerja reseptor I angiotensin 2
Efek samping : batuk, lebih kecil daripada ACE Inhibitor
Kontraindikasi : hamil
Preparat : - Losartan
- Valsartan
- Irbesartan
57|TOV|MEDICUSLESCIUS
58|TOV|MEDICUSLESCIUS
59|TOV|MEDICUSLESCIUS
60|TOV|MEDICUSLESCIUS
H A E M O P T O E
• Nilai jumlah darah yang keluar
• Perhatian ada tidaknya gejala asfiksia
• Nilai reflek batuk penderita
• Tenangkan penderita
Pemeriksaan yang perlu dilakukan :
• Darah lengkap
• Foto thorax
Therapi
1. Istirahat bed rest dengan posisi sebagai berikut
• Reflek batuk baik ; posisi duduk/setengah miring
• Reflek batuk kurang baik : posisi miring kesisi yang sakit
• Reflek batuk tak ada dan tak sadar ; pasang pipa endortraecal
1. Diet TKTP
2. IVFD : D5% : RL = 1 : 120 tts/menit untuk life line
3. Diazepam 3 x 2 mg (sedafira ringan untuk menenangkan
penderita)
4. Codein 3 x 1 bila batuk sangat menganggu
5. Vit K/Tranexamid axid 3 x 1 (masih kontroversial)
6. O2 bila penderita sesak
7. Bila bekuan darah banyak isap dengan supit atau alat listrik
8. Tindakan operatif bila batuk darah terus menerus.
Planing Dx :
• Px/sputum : pengecatan garam & BTA
• Bronkoskopi (untuk menentukan sumber perdarahan)
• Bronkografi (untuk melihat kemungkinan bronkiektasis)
Planing monitoring
• Vital sign
• Reflek batuk
• HB
61|TOV|MEDICUSLESCIUS
H E M A T E M E S I S M E L E N A
1. Cari kemungkinan penyebabnya
2. Pada melena yang meragukan dapat dilakukan RT
3. Pada oocult bleeding lakukan Benzidin test
4. Bila Tilt terst (+) dimana terjadinya hipotensi ortostetik > 10
mmHg waktu duduk dibandingkan dengan berbaring berarti
perdarahan minimal telah terjadi 20%
Pemeriksaan yang perlu dikerjakan
1. DL, HCT, Diff count, blood smear
2. EKG
Therapi
1. Istirahat baring
2. Puasa
3. IVFD : RL/D5%NaCl 0,9% dgn kecepatan sesuai status
hemodinamik penderita
4. Transfusi dengan whole blood serta PRC bila :
5. Perdarahan > 1 liter
6. Hb < 9 gr%
7. Penderita presyok/syok
8. NG tube (gastric cooling) dengan air es bila (+) diulangi beberapa
kali sehingga bersih dilakukan setiap 2 jam
Pemberian obat-obatan
1. Bila penyebabnya oleh karena varices esopagus
1. Sterilisasi usus : Neomicin 4 x 1 gr
Laktulosa 4 x 30 cc
1. Hemostatik : Vit K 4 x 1 amp
Tranexamic acid 4 x 1 amp
1. Antasida 4 x 1 sendok dan Cimetidan 3 x 1 amp
2. Bila ada melena lakukan Lavemen 2 x sehari
Planing Diagnosis
1. DL, UL
2. Feal hemostasis
3. HbsAg
4. LFT
5. Endoskopi
6. USG
Planing Monitoring
1. vital sign
2. Hb, HCT
62|TOV|MEDICUSLESCIUS
H E P A T I T I S A K U T
• Cari kemungkinan penyebabnya dan tipenya A/B
• Perlu disingkirkan kemungkinan DD/yang lain dan perlu
diperhatikan anamnesa perjalanan penyakitnya (mungkin kronis)
Pemeriksaan yang perlu dikerjakan
DL/UL
SGOT/SGPT ↑↑↑↑ ≥≥≥≥ 10x2
Therapi
Istirahat baring
Diet TKTP
IVFD : bila memang ada indikasi
Simptomatis : paracetamol, metoclopramid, BC
Planing Dx/
DL/UL/FL
Bilirubin direk/indirek
Alkali pospatase
Virus marker : IgH anti HAV, HbsAG, IgM anti HBC
Planing monitoring
Vital sign
63|TOV|MEDICUSLESCIUS
HIPOGLIKEMIA
Biasanya disebabkan oleh penggunaan obat2an pada penderita DM
seperti insulin dan golongan sulfonil urea
(terutama klorpropamid dan glibenklamid)
1. pada laki n wanita setelah puasa satu malam glukosa <60mg/dl
2. pada laki setelah puasa 72 jam glukosa <55, cewe <45
3. pada laki n cewe setelah diberikan gila 75-100g ,
glukosa<50mg/dl
gejala autonomik; berderbar, berkeringat, gemetar, hangat gelisah,
dan mual
gejala neuroglikopenia ; pusing, kebingungan , kelelahan, kesulitan
bicara, nyeri kepala, kesulitan berkonsentrasi, kelainan
tingkah laku, halusinasi, hemiparesis, konvulsi sampai koma.
Gejala lain ; ngantuk, kelemahan, rasa lapar dan pengelihatan kabur.
Therapy ;
Sadar ; berikan glukosa oral (20 g karbohidrat )
Tidak sadar ; bolus IV glukosa 12,5-25 gr, dilanjutkan dengan
glukosa infuse.
Jika tidak berhasil berikan suntikan glukagon 1 mg subkutan, iv
atau im atau
Efedrin 25-50mg.
64|TOV|MEDICUSLESCIUS
INFARK MIOKARD AKUT
1. Cari faktor pencetusnya
2. Cari riwayat nyeri dada sebelumnya dan cari risiko paktor PJK
3. Pada IMA inferior tanpa diviasi aksis kekanan ; infark ventrikel kanan ; rehidrasi
cairan
Pemeriksaan yang perlu dikerjakan
1. EKG
2. Enzym
3. CKMB : me ( dl 4-6jam post infark, puncak 24 jam
4. SGOT : me ( dl 8-12 jam post infark, puncak 18 72 jam
5. LDH : me ( pelan hari I, puncak hari 3-6
Therapi
1. Istirahat baring
2. Diet lunak TKTP rendah garam
3. Oksigen 4-6 liter/menit untuk mengatasi hipoksemia
4. IVFD ; D5 % 20 tts/menit untuk life line
5. Atasi nyeri :
1. Morfin 2,5 5 mg IV atau 10 mg im
2. Nitrogliserin 0,3 0,6 mg
3. Pethidine 25 50 mg im
4. ISDN 5 10 mg sublingual.
Pada pemberian morpin perlu diberikan anti emetik metoclopramid 10 mg/mm mengatasi efek
morpin,
1. Kurangi kebutuhan oksigen dan beban jantung dengan :
2. Nitrogliserin : 5 10 mg IV dinaikkan 5 Ng tiap 10 menit sampai nyeri hilang atau 3 x 0,3
0,6 mg peroral
3. ISDN : 3 x 5 mg peroral
Kontraindikasi pada tensi (90mg Hg dan denyut nadi (100 x/menit
1. Laktulosa 3 x CI untuk menghindari sembelit
2. Acctosal 1 x 160 mg untuk menurunkan distensi infark dan kematian dini Diberikan bila
timbulnya infark < 6 jam
3. Diazepam 3 x 5 mg atau fenobarbital 3 x 30 mg/hari pada pasien yang sangat cemas.
4. Anti trombolitik pada IMA yang berlangsung ( 6 jam :
1. Streptokinase (streptase) : 1,5 juta iv dl D5% 100cc
( habiskan dalam 1 jam
1. r- TPA (actilyse) : 10mg IV bolus dilanjutkan 50 mg iv selama 1 jam dan
40mg iv 2 jam berikutnya
2. Heparin diberikan setelah pemberian obat trombotilik selesai. Dosis 5000
unit IV bolus dilanjutkan dengan dosis 1000 u/jam iv drip.
Perawatan
• Bila ada hipotensi :
1. Evaluasi kedua tungkai (bila tidak ada cedema paru)
2. Bila tetap hipotensi : infus dopamin 1 10 mg/kg/menit
3. Bila tidak bergasil ( infus norepinerpin kecepatan disesuaikan untuk mempertahankan
tekanan sistolik 90 100 mmHg
4. Bila disertai bradiaritmia (HR<60/menit) ( atropin 0,5 mgiv
• Bila ada hipertensi
1. Morphine 3 5 mg IV
2. Nitrogliserin 0,4 mg sublingual
3. Furosemid 40 mg iv
4. Sodium nitroprusside 20 200 mg/menit iv atau infus
5. Propanolol 1 mg iv diulang setiap 5 menit sampai total dosis 5 mg
• Bila ada edema paru
1. Posisi duduk ½ duduk
2. Bila ringan : nitroglyserin 0,4 mg sublingual
65|TOV|MEDICUSLESCIUS
3. Bila berat : morphine 3 4 mg iv, Furosemid 40 mg iv
• Bila ada aritmia
1. a) Bradiartimia 50 60 x/menit, T normal, PVC (-) ( tak perlu therapi
1. Irama 50 60 x/menit, hipotensi, PVC (-) ( atropi 0,5 mg iv
2. Irama < 50 x/menit ( atropin 0,5 mg iv
3. Refrakter terhadap atropi disertai hipotensi atau PVC ( infus isoproteranol 2 20
uq/ml kecepatan infus disesuaikan untuk mempertahankan tensi sistolik 90 100.
1. Sinus takikardia ( tak perlu terapi. Pada keadaan ST O.K nyeri tanpa tanda gagal
jantung dapat diberikan propanolol.
2. Atrika fluter dengan respon ventrikel cepat: digoxin IM/IV atau oral 3x1 (3 hari)
atau berikan kejutan DC untuk mengendalikan frekuensi ventrikel.
3. Atria fibrilasi/supraventrikular takikardia ( sama dengan nomor tiga.
4. PVC (ekstrasistole ventrikel) dengan > 12 x/menit, multifekal, R on T ( lidokaine 75
100 mg bolus iv ulangi bila perlu. Maintenance dengan lidokaine 1 3 mg/menit/infus.
5. Ventrikuler takikardia ( kejutan DC diteruskan dengan lidokaine
6. Fibrilasi ventrikel ( DC shock
7. Blok AV derajat II atau III ( pacau jantung
Mobilisasi pasca infark
Hari 2 3 : duduk disamping tempat tidur
Hari 3 4 : berjalan dalam kamar
Hari 4 7 : jarak jalan ditambah
Hari 7 9 : pulang
Planing Dx/
1. Uji latih beban (treadmil tes)
2. Angiografi koroner
Pencegahan sekunder infark :
1. Aspirin dosis rendah selamanya
2. ( bloker tanpa ISA : atenolo/metoprolol
3. Captopril pada pasien dengan kardiomegali atau fungsi ventrikel kiri menurun ( 3 x 25 mg.
Indikasi trombolitik
1. Umur < 70 tahun dengan nyeri dada spesifik < 6 jam
2. IMA > 6 jam dengan nyeri dada terus menerus pada
3. IMA anterior
4. IMA interoposterior
5. IMA inferior dengan pangguan hemodinamik
6. Infark akut yang sebelumnya terhadap infark gelombang q
7. Shock kardiogenik jika PTCA tak dapat dilakukan
8. IMA non q dengan trombus intrakoroner (angiografi)
Kontra indikasi pemberian trombilitik :
Absolut :
1. Perdarahan internal aktif
2. Aneurisma aorta diseceans
3. Penderita pasca resusitasi jantung paru
4. Trauma kapitas atau keganasan
5. Retinopati diabetik
6. Kehamilan
7. Reaksi alergi sebelumnya terhadap obat trombolitik
8. Hpertensi (> 200/120 mmHg)
9. Riwayat haemoragik stroke
Relatif
1. Riwayat trauma atau operasi > 2 minggu
2. Riwayat hipertensi berat dengan atau tanpa terapi ulkus peptikum aktif
3. Riwayat stroke
4. Adanya beleding diathesis atau pemakaian antikoagulan
5. Gangguan faal hati yang bermakna
6. Sebelumnya mendapatkan streptokinase atau APSAC.
66|TOV|MEDICUSLESCIUS
K E R A C U N A N
• Tentukan kira-kira jenis keracunan
• Tentukan motifnya
Pemeriksaan yang perlu dikerjakan
• DL/UL ( tak perlu dikerjakan
• Kecuali pada pembunuhan
Therapi
A. Umum
Tindakan A B C D E
1. Airway (jalan napas)
Bebaskan jalan napas dari sumbatan, bila pasang pipa endrotrakea
2. Breating (pernapasan)
Jaga agar pasien dapat bernapasan dengan baik, bila perlu berikan bantuan pernapasan
3. Circulation (peredaran darah)
Tekanan darah dan nadi dipertahankan dalam batas normal, berikan inbfus cairan dengan
RL, D5% atau Nacl 0,9%
4. Decontamination (pembersihan)
Tergantung cara masuk zat racun
• Melalui kulit : lepas seluruh pakaian, mandi dengan sabun atau keramas
• Melalui saluran cerna/tertelan : dilakukan pengosongan lambang dengan cara
a. Emesis :
• Secara mekanik dengan merangsang daerah oroparing
• 1 pekak 10-20 cc dalam 1 gelas air hangat dapat diulang setelah 30 menit
• apomorfin 0,6 mg/Kg/BB IM atau 0,01 mg/Kg BB iv
Kontraindikasi emesis : keracunan bahan koresif (air acc), kesadaran menurun, kejang
kejang dan keracunan minyak tanah
b. Kumbah lambung bila onset < 4 jam
Pasang NG tube lakukan kumbah lambung dengan air hangat 200 sampai 300 cc
sampai bersih. Pada akhir kumbah lambung dimasukkan 30 gr norit
Kontraindikasi : sama dengan emesis
c. Katarisis (kumbah usus)
Bila diperiksakan racun telah mencapai usus, 30 natrium sulfat dalam satu gelas air.
Kontraindikasi : kejang kejang keracunan bahan korosif
d. Eliminasi
Bila diperkirakan racun telah beredar dalam darah dengan cara :
1. Diuresis paksa : berguna pada keracunan yang dpat dikeluarkan melalui ginjal
2. Kontraindikasi : syok, DC, edema paru, gagal ginjal, bahan yang tidak dapat dieskkresi
melalui ginjal.
Jenis diuresis paksa :
• DP ½ dan DP Satu
DP ½ = cairan 3 liter dalam 12 jam
FDP 1 = cairan 6 liter dalam 24 jam
• DP netral
Dengan cara memberikan : Ca glukonas iv, D10% 3 liter
• DP alkali
Cara sama dengan DP netral hanya perlu ditambahkan ½ ampul Nabic pada setiap
cairan infus D5%. Digunakan pada keracunan bahan dengan kadar asam lemah mis :
luminal, salisilat, inoiasid, dan litium
• DP asam
Diberikan 1,5 amonium klorida dalam D5% 500cc. Pemberian D5% 500 ml dan Nacl
0,9% 500cc secara bergantian dengan kecepatan 1 liter pada jam pertama dan
dilanjutkan 500cc perjam. Pantau elektrolit serum dan darah setiap jam. Bila PH urine
67|TOV|MEDICUSLESCIUS
> 7 tambahkan amonium klorida pada 500cc D5% Indikasi keracunan ampetamin,
strinim dan feniskildin
e. Diasis
Dilakukan pada keracunan dengan
• Koma yang dalam, hipotensi berat, kelainan asam basa dan elektrolit, penyakit ginjal
berat, penyakit jantung penyakit paru, penyakit hati dan kehamilan
• Dilakukan pada keracunan dosis dari alkohol, berbiturat, karbomat asetaminofen
aspirin, ampetamin, logam berat, strinin.
f. Pemberian Antidote
• Alkaloid opium : Nalokson
• Paracetamol : Sisteamin asetil sistein, metionin
• Sianda : Dikobal edetat
• Organopospat : Atropin dan pralidoksin
• Karbamat : Atropin dan abideksin
• Logam berat arsen : Dimerkaprol
• Logam air raksa : N asetil penisilamin
• Tembaga : D penisilamin
• Timbel : dimerkaprol, Ca disodium edetat
• Metanol : etanol
• Antidepresan trisiklik : fros stigmin
• Anti koagulan kumarin : Vitamin K
B. Perawatan suportif
Keracunan insektisida organopospat
• Infus D5% sulfat atropin 2,5 mg bolus iv dilanjutkan atropinisasim kemudian dosis
dijarangkan setiap
1 2 4 6 jam ( dihentikan minimal setelah 2 x 24 jam)
C. Perawatan khusus
1. Keracunan insektisida fosfat organik
• Infus D5% hisap lendir, aksigenasi yang baik
• SA 2,5mg iv bolus kemudian diteruskan 0,5 mg iv tiap 5 menit sampai tanda tanda
atropinisasi kemudian dijarangkan tiap 1 2 4 6 jam dihentikan setelah 2 x 24 jam
• Kumbah lambung
2. Keracunan pestisida lain (DDT, endrin, racun tikus)
• Infus D5%, 02 kalau perlu
• Emesis, kataris, KL bila penderita sadar atau sedikit apati
• Valium 5 10 mg bila penderita sadar atau sedikit apati
• Valium 5 10 mg bila penderita gelisah/konculsi (terutama pada keracunan
fosfid/racun tikus)
• Terapi supportive sampai efek racung hilang
3. Keracunan sedativa hipnotika, analgetika
Penderita sadar : enesis, laksan mg SO4, norit
4. Koma derajat I II
KL dengan NG tube
Diuresis paksa selama 12 jam caranya :
• Berikan 1 ampul Ca glukosa iv
• Infus D5% + 10ml Kcl 15% (untuk setiap 500ml) diberikan dengan kecepatan 3 liter
dalam 12 jam
• Furosemid 40 mg iv setiap 6 jam
• Untuk keracunan salisilat dan luminal dapat ditambahkan 10 meq Nabic untuk setiap
500cc D5% ( ½ ampul meylon)
5. Koma derajat II IV
• Kalau perlu dengan pipa endotrakeal berbalon selanjutnya DP netral/ alkali atau
diasis tergantung dosis dan jenis obat yang diminum penderita
• Bila timbul gejala ekstrapiramidal dapat diberikan deladry 50 100 ng iv
• Bila kejang : valium 5 10 mg iv atau luminal 50 100 mg iv
68|TOV|MEDICUSLESCIUS
6. Keracunan bahan korosif
• Segera minum air/susu sebanyak mungkin
• Infus D5% bila perlu dengan cairan koloid atau transfusi daerah bila ada tanda- tanda
perdarahan
• Asam ( berikan susu tiap 1 2 jam
• Basa kuat ( air buah atau HCL encer (yulapium) 2 liter untuk setiap 30 gr alkali
• Dexametason 4 x 2 ampul iv 4 hari kemudian dosis diturunkan secara oral selama 3
minggu
• Antibiotik untuk mencegah infeksi sekunder
• Konsul THT segera
• Bila lesi ringan ( diit oral
• Bila lesi berat ( diit sonde (NG Nbe)
• Bila lesi sangat berat ( puasa
7. Keracunan INH
• Vit B6 iv 1500 mg sehari selama 5 hari
• Valium 10 mg iv bila timbul konvulsi
• Dapat dicoba FDN dalam 12 jam
Contoh Penatalaksanaan Keracunan Paracetamol
- Pada jumlah toxic paracetamol > 140 J/kg atau > 7,5 gr
- Jika pasien minum obat ≤≤≤≤ 4 jam
↓↓↓↓
NGT + lavage lambung
Norit 10 – 30 tab GI decontamination
MgSO4 30 gr
↓↓↓↓
Antidot spesifik paracetamol : N Acetyl Cystein (Fluimusil ®)
(efektif hanya bila terjadi < 8 jam)
↓↓↓↓
Dosis N Acetyl Cystein Loading I : 140 mg/kgBB
↓↓↓↓
N Acetyl Cystein Loading II : 70 mg/kgBB setiap 4-17 jam = 68 jam
↓↓↓↓
Cek GOT dan GPT 24 jam kemudian
↓↓↓↓ ↓↓↓↓
GOT dan GPT > 200 GOT dan GPT < 200
↓↓↓↓ ↓↓↓↓
Konsul GEH Observasi
Catatan :
Fluimusil :
- Granule = 200 J yang dipakai
- Capsule
69|TOV|MEDICUSLESCIUS
K O L E R A
• Cari kemungkinan penyebabnya
• Perhatikan status dehidrasi  deficit cairan ringan 2% BB,
sedang 5% BB, berat 8% BB
Pemeriksaan yang perlu dikerjakan
• DL/IL (Bj)
• BUN/SC
• Biakan feces
Therapi
1 Istirahat baring
2 Diet TKTP
3 IVFD : RL
Jumlah cairan sesuai dengan dehidrasi penderita
4 Tetracylin 4 x 500 mg peroral 2 - 3 hari
Planing monitoring
• Vital sign
• Jumlah tinja, muntah, urine
70|TOV|MEDICUSLESCIUS
K O L I T I S
1. Perlu dibedakan antara kolitis ulcerosa dengan kolitis crohn. Pada
kolitis krohn penurunan BB lebih nyata dari pada gejala lain dan tidak
sebanding dengan keluhan-keluhan anoreksia dan diarenya
Pemeriksaan yang perlu dilakukan
1. DL
2. BOF
3. Elektrolit bila perlu
Therapi
1. Istirahat baring
2. Diet TKTP rendah serta tanpa lemak.susu
3. IVFD : untuk life line/dehidrasi
4. Sulfasalasin 3 x 1-2 gram/hari peroral
5. Kortikosteroid untuk kolitis ulcerosa : prednison 60 mg pagi hari
Planing Dx/
1. Barium enerma (pada kolitis corhn : prednison 60 mg pagi hari
2. Endoskopi
3. Biopsi mukosa
4. Sigmoidskopi
Planing monitoring : vital sign
71|TOV|MEDICUSLESCIUS
K O M A K A D
• Cari faktor pencetusnya
• Klasifikasi KAD nya
PH Kadar bikarbonat
KAD ringan 7,3 7,35 15 20 meq / 1
Perkoma diabetik 7,1 7,3 10 15 meq/1
Koma KAD 6,9 7,1 8 10 meq/1
KD berat < 6,9 < 8 meq/1
Pemeriksaan yang perlu dikerjakan :
• BS
• UL (Keton, Glukosuria)
Therapi :
IVFD : Nacl 0,9% atau RL 2 liter dalam 2 jam I lalu 80 tts/menit selama
4
Jam. 50 tts/menit selama 18 jam (4-6 liter/24 jam)
: 4 8 unit/jam iv sampai gula darah 250 mg% atau reduksi (
Infus KCL : 75 meq (3 botol KCl 25 ml) bila K < 3 meq/I
50 meq (2 botol kcl) bila K 3-3,5 meq/1
25 meq (1 botol kcl) bila K 3,5-4 meq/1
( per 24 jam (tetesan disesuaikan dengan pemberian
kebutuhan cairan)
Infus bikarbonat : bila PH < 7 atau bikarbonat < 12 meq/1
Nabic : 44 132 meq dalam 500 cc Nacl 0,9%
( Nacl 0,9% + Meylon 1 ampul
( 30 80 tetes /menit
44 meq bikarbonat
72|TOV|MEDICUSLESCIUS
K O M A H O N K
Diagnosis dugaan
1. Dehidrasi berat, hipotensi ( syok, napas kusmaul (-) Neurologi
(+), reduksi +++, keton (-)
2. BS > 600 mg % (600- 1000 mg%)
Bikarbonat > 15 meq/1
PH darah normal
Ketonemia (-)
Diagnosa pasti
1. Diagnosa dugaan + osmolaritas darah > 350 mosm/I
OSM darah = 2 (Na+K+) +
Pemeriksaan yang perlu dikerjakan
1. BS, UL, DL
2. BUN/Serum creatinin
3. Elektrolit : Na, K, Bikarbonat, PH
Therapi : sama dengan KAD tanpa infus bikarbonat
73|TOV|MEDICUSLESCIUS
K O L A N G I T I S
• Merupakan infeksi sel empedu akibat adanya gangguan aliran
empedu
• Klinis ditandai dengan trias yaitu
- Nyeri perut kanan atas menjalar kepunggung/batu kanan
- Demam mengigil
- Ikterus
Pada keadaan berat dapat terjadi pentas reynold yaitu trias charcot
+ gangguan mental/konfrsi, letargi, syok sampai, koma.
• Cari kemungkinan penyebabnya
Pemeriksaan yang perlu dikerjakan
• DL/UL
• SGOT/SGPT
• BUN/Serum Creatinin →→→→ sering ada kelainan
• Foto thorak : cari udara bebas
• BOF : cari batu
Therapi
1. Istirahat baring
2. Puasa 24 – 72 jam selama serangan nyeri masih ada. Pada keadaan
berat pasang CVP
3. IVFD : RL/D5% untuk mengatasi syok/dehidrasi. Bila perlu
ditambahkan dopamin
4. Antibiotika : Ampisilin 4 x 1 gram
Gentamicin 2 x 80 mg
Bila dalam 24 jam tak ada respon ganti dengan metronidazol 3 x
500mg iv Planing dx/ : DI/UL/FL, LFT lengkap, BUN/Seretainin, PTC,
USG
Plaining monitor
• Vital sign
• Tanda perporasi →→→→ peritonitis
iv
74|TOV|MEDICUSLESCIUS
K O L E S I S T I T I S A K U T
• Cari kemungkinan penyebabnya diluar batu
• Perlu disingkirkan kemungkinan adanya DD yang lain
Pemeriksaan yang perlu dikerjakan
DL
SGOT/SGPT
BOF untuk mencari kemungkinan batu empedu
Thorak foto untuk melihat kemungkinan terjadinya perporasi
(udara bebas dibawah dipragma kanan)
Therapi
1. Istirahat baring
2. Puasa pada saat serangan untuk memberikan istirahat pada usus
dan kandung empedu
3. IVFD : D5% Nacl 0,9% untuk life line atau nutrisi parenteral (D10%,
asam amino dan sebagainya).
4. Analgetik, meperidin HCL 100 mg atau petidin 50 mgIm
5. Antikolinergik/spasmo analgetika
6. Simptomatis : paracetamol, metoclopramid
7. Antibiotik
• Ampicilin 4 x 1 gr iv (bila dalam 24 jam belum ada reaksi ganti
dengan
- Gentamicin 2 x 80 mg iv atau klorampenicol 4 x 1 gram iv
- Sefoktosim 2 x 1 gram iv atau untuk kuman anerob dapat
diberikan dazol 3 x 500 mg iv
Planning Dx/
• DL, UL, FL
• Bilirubin direk/indirek, LFT
• Blood kultur
• USG sito
• Kolisistografi
Planning monitoring : vital sign, produksi urine.
75|TOV|MEDICUSLESCIUS
K O M A H E P A T I K U M
• Cari kemungkinan etiologinya (tipe akut/kronis)
• Cari faktor pencetusnya yang eksogen seperti :
Diet protein berlebihan, infeksi, perdarahan GI trak, dehidrasi, diuresis
belebihan, parasentesa abdomen, konstipasi, alkoholisme akut, syok, pos
operasi.
• Tentukan derajat koma hepatikum
Pemeriksaan yang perlu dilakukan (unutk pasien koma)
BS acak
BUN/serum creatinin
SGOT/SGPT
Elektrolit
Analisa gas darah
Amoniak darah & asam laktat
DL
EKG
Therapi
1. Istirahat baring perhatian jalan napas
2. Diet protein personde (untuk perekonoma protein cukup 20 gram/hari) rendah
kalori (kalori glukosa 300 – 500 gram)
3. IVFD dengan asam amino rantai cabang, 1000 ml/hari
4. Oksigen bila perlu, pasang foley cateter
5. Neomycin 4 x 1 gram/hari personde
6. Laktulosa 4 x 30 – 50 cc/hari personde
7. L Dopa 0,5 gram personde tiap 4 jam
8. Vit. K 10 – 20 mg/hari IM atau peroral/sonde
9. Hindari pemberian sedativa/hipnotika →→→→ bila gelisah berikan dimenhidrinat 50
mg/IM
10. Terapi terhadap faktor pencetusnya
Planing DX/
• Bilirubin, elektroferesa protein
• Kolesterol. Alkohol pospatase
• Faal pembekuan
• HBs Hg, AFG (atas indikasi khusus)
• DL/VL
• EKG, foto thorak EEG
Planing monitoring
• Vita sign
• Produksi urine
76|TOV|MEDICUSLESCIUS
K O M A H I P O G L I K E M I A
• Timbul akibat hiperkatekolaminenia
• Cari riwayat memang menderita DM
Pemeriksaan yang perlu dikerjakan
• BS acak
• Reduksi urine
Therapi
Bila masih sadar :
Pisang/Roti/komplek karbohidrat lain
Teh gula
Bila gagal : glukosa 40% 25cc diencerkan 2 kali intra vena
Bila gagal : IVFD D5% kecepatan disesuaikan bila belum sadar diulang
glukosa 40% 25 cc iv setiap ½ jam sampai sadar
Bila gagal : efedrin 25 – 50 mg IM atau glukogon 1 mg 1
Planing Dx/
• BSN/BS 2 jam/BS acak
Planing monitoring
• Vita sign
• Kesadaran
77|TOV|MEDICUSLESCIUS
KOMA LAKTAT ASIDOSIS
Cari faktor prediposis
Pemeriksaan yang perlu dikerjakan
• BS, UL
• Elektrolit, Na, K, cl, co2, as laktat, bikarbonat, PH
Dx/ tegakkan bila :
• Bikarbonat < 15 mmeq/1
• Asam laktat >7 mmol/1
• Anion gap :
(K + Na) – (cl + CO2) = > 20 meq atau
Na – (cl + CO2) = > 15 meq
Therapi
• IVFD : D5%
• Nabic 1 ampul meylon
• Bila perlu RI 4 unit iv/jam
• Methyline blue injeksi iv
• Atasi penyebabnya
78|TOV|MEDICUSLESCIUS
KRISIS TIROID
• Cari faktor pencetusnya
• Perhatikan gejala klinis ; tanda hipermetabolik berat, gangguan
kardiorespirasi, gangguan gastrointestinal, gangguan ssp.
Pemeriksaan yang perlu dikerjakan
• DL
• BUN/s creatinin meningkat oleh karena dehidrasi
• Na, K (↓↓↓↓)
• T3, FT4
Therapi
1. IVFD : D5% insaline 3 – 4 liter →→→→ evaluasi
2. Acetosal 3 x 500 mg (kompres es alkohol)
3. Hidrokrotison 100 – 300 mg IM/IV
4. PTU : 3 x 100 mg/hari atau
Metimazol 3 x 15 mg/hari
Lugol 30 tetes/hari atau
Na yodida : 1 – 2 gram iv
5. Propanolol 3 x 20 mg/oral
6. Diazepam 3 x 5 mg/oral
7. Antibiotika bila ada infeksi
8. Digitalis bila ada gagal jantung
Planning monitoring : Vital sign
79|TOV|MEDICUSLESCIUS
L E U K E M I A
Klasifikasi
a. Acute
I. AML/ANLL
Acut myeloid leukemia/acut non lympoblastik leukemia :
M1 : Myeloblastik poorly diffrentiated
M2 : myeloblastik well differentiated
------------------------------------------------------------
M3 : acut promycloeytic
M4 : monocytik
M6 : eritroleukemia
M7 : acut megakaryoctic leukemia
II. ALL (acute lympoblastik leukemia)
• Common ALL menurut FAB
• Roll ALL menurut LI
• Thy ALL menurut L2
• B ALL menurut L3
III. Sindroma perlukemia
b. Kronik
1. CML (khronic myelocytic leukemia)
2. CLL (chronic lympocytik leukemia)
- Hairy cell leukemia
- Prolymphocytic
- Cutanecuis Teell leukemia
Mycosis funguides/sezary syndrom
Acut myeloblastik leukimia
80|TOV|MEDICUSLESCIUS
LIMFOMA MALIGNA
• Cari pembesaran kelanjar limfe superfesial yang asimetris tidak
nyeri, tidak melekat, konsistensi padat kenyal
• Bisa disertai gejala-gejala berupa pellebstein, keringat malam,
berat badan menurun, pruritis, nyeri setelah timbul alkohol.
• Tentukan staging menurut kriteria “an arborr”
Pemeriksaan yang perlu dikerjakan :
• Dl
• Blood smear
• Faal hati
• Faal ginjal
• LDH
• Riopsi →→→→ PA
Therapi
1. Radioterapi
a. Radioterapi kuratif
Dosis : 3500 – 4000 rad dalam waktu 4 minggu
b. Radioterapi simtomatis
Dosis 1500 – 2000 rad hanya untuk mengurangi nyeri
2. Kemoterapi
Kombinasi CHOP
C : Cyelopospamid
O : Oncovim/Vinoristine
D : Doxorubicin
P : Prednison
81|TOV|MEDICUSLESCIUS
MALARIA
• Anemnesa yang baik berperan kedaerah endemik
• Cari pola demam dan fase-fase demam
Pemeriksaan yang perlu dikerjakan
• Preparat tetes darah tebal dan tipis
Therapi
• Istirahat baring
• Simptomatis
• Pengobatan presumtif klorokuin 600 mg
Therapi malaria cerebral
• Diet TKTP personde/parenteral
• 02 : 1 – 2 liter/menit
• IVFD : RL/D5%/Nacl 0,9%
• Kortikosteroid
- Dexametason 20 – 40 mg/24 jam atau
- Prednisolon 100 – 200 mg/24 jam dalam dosis terbagi
• Antimalaria
• Kinin dehidroklorida
- 500 – 600 mg direncakan dalam 15 – 20 iv 10 – 15 menit diulang
tiap 8 jam atau IM (diencerkan dengan 9p2)
- dialisis bila ada GGA
82|TOV|MEDICUSLESCIUS
METOKLORPRAMID (Kolinergik)
EFEK
Efek pada saluran cerna
• meningkatkan amplitude kontraksi sfingter esophagus.
• mempercepat pengosongan lambung
• tidak mempengaruhi sekresi asam lambung.
.
Efek antiemetik
• mempertinggi ambang rangsang Cheoreceptors Trigger Zone (CTZ)
• menurunkan kepekaan saraf visceral yg mengantarkan impuls
aferen dari saluran cerna ke pusat muntah
Efek pada SSP
• antagonisme dopamine (efek antimimetik dan ekkstrapiramidal)
• meningkatkan sekresi prolaktin
INDIKASI
• memperlancar jalannya kontras pada pemeriksaan lambung n
duodenum
• mengurangi mual, muntah, rasa terbakar di ulu hati, perasaan
penuh setelah makan.
KONTRA INDIKASI
• obstruksi, perdarahan, dan perforasi saluran cerna, epilepsy dan
gangguan ekstrapiramidal
EFEK SAMPING
• umumnya ringan ; kantuk, diare, sembelit dan gejala
ekstrapiramidal
• sebaiknya tidak diberikan pada kehamilan trimester I
SEDIAAN DAN POSOLOGI
• tablet 5 mg dan 10 mg
• sirup 5mg/ml
• injeksi 10mg/2ml
• DOSIS 5-10mg (3 kali sehari) dewasa. 2,5-5mg(3x1) anak5-14th
83|TOV|MEDICUSLESCIUS
P P O K + I N F E K S I S E K U N D E R
1. Cari faktor risiko seperti rokok, pekerjaan
2. Tentukan tipenya tipe A (episematus), B (bronkitik)
3. Tingkatan penyakit ada 5 fase yaitu
I : keluhan (-), tanda klinis belum jelas
II : keluhan gangguan ventilasi (+) + kelainan fisik
III : terjadi gejala hipoksemia (sianosis, napsu makan menurun)
IV : terjadi gejala hiperkapnea (gangguan kesadaran, iritabilitas)
asidosis
V : CPCC ( CPCD
Pada RP" : translucency bertambah, diapragma letak rendah
mendatar, jantung berikutnya vertikal
Pemeriksaan penunjang yang perlu dikerjakan :
1. DL
2. EKG
3. Foto thorak
Therapi
1. Bed rest
2. Diet TKTP
3. Oksigen 1 2 liter/menit bila cyanosis, sesak
4. IVFD : D5% 20 tetes/menit untuk life line
5. Aminopylin 0,5 0,9 mg/Kg Bb/jam per infus
6. Salbutamol 3 x 2 mg
7. Mukolitik (bromhheksin)
8. Antibiotika : tetra/ampiclin/amoxcylin/cephalosporin
9. Banyak minum (hidrasi)
Planing Dx/
1. Hematokrit
2. Sputum gram, kultur sensitivitas test
3. Spirometri
4. Analisa gas darah
Planing monitoring
84|TOV|MEDICUSLESCIUS
P A N K R E A T I T I S A K U T
• Cari kemungkinan penyebabnya (batu, alkohol, infeksi, trauma)
• Fisik : KU sakit berat, gelisah, kesakitan, febris, Nyeri perut atas kemudian
meluas, perut tegang, depan muskular, peristaltik dan culen sign/turner sign
pada pankreatitis hemoragik.
Pemeriksaan yang perlu dikerjakan
1. DL
2. Amilase serum
3. BS acak
4. SGOT/SGPT
5. BOF →→→→ sentral loop
6. Thorak foto →→→→ cari kemungkinan kenaikan diapragma atau efusi pleura kiri
Therapi
1. Istirahat baring
2. Puasa
3. NG Tube untuk deecompresi dan memasukkan obat-obatan
4. IVFD : Nacl 0,9% atau cairan koloid
5. Analgetika : Meperidine 75 – 100 IV 4 x sehari atau pethidine
50 mg IM 4 x sehari
6. Antibiotika : Ampisilin 4 x 1 gr iv
Gentam 2 x 80 mg iv
7. Obat – obatan lain :
• Atropim mg/buscupon
• Antasida 3 x CI
• Cimetidin 4 x 200 mg iv
Bila keadaan membaik setelah 72 jam mulai dengan diet cair rendah lemak lewat
sonde
Planing Dx/
• DL/UL/FL
• Elektrolit : kalsium, magnesium
• LFT lengkap
• BUN/screatinin
• USG
Planing monitoring
• Vital sign
• Tada syok (perpusi jaringan)
• Produksi urine (gangguan fatal ginjal akut)
Nilai prognostik/beratnya penyakit waktu masuk :
• Umur > 55 tahun
• Leukosit > 16.000
• BS acak > 200 mg%
• LDH > 350 iv/I
• SGOT > 250 iv/L
Bila < 3 yang (+) →→→→ ringan
Bila > 3 →→→→ berat →→→→ kematian 15 – 20%
85|TOV|MEDICUSLESCIUS
P I E L O N E F R I T I S
• Perlu dibedakan apakah keradangan akut/kronik
• Perlu dicari apakah ISK berulang/Pertama kali
Pemeriksaan yang perlu dikerjakan
• VL : pada sedimen leukosit ≥≥≥≥ 5 sel/plp, bakteri (+)
Therapi
1. Rehidrasi (minum banyak)
2. Sambil menunggu hasil semitritas test dapat diberikan salah satu
dari :
• Nitrofurantion 3 x 100mg
• Asam nalidiksat 3 x 1 tab
• Asam pipemedik 2 x 1 kapsul
Antibiotik : kotrimoksazol 2 x 2 tab (7 – 10 hari)
Planing Dx/
• UL
• Kultur urine dan sensitivitas tes, koloni count
• IVP
Planing mn/
• Vital sign
86|TOV|MEDICUSLESCIUS
P N E U M O N I A
1. Cari faktor predisposisi sesuai klasifikasi MC. Farlan
2. Perhatikan/tanyakan jenis sputum ( berbeda dalam pemberian
antibiotika secara empiris
3. Sputum merah karat ( pneumoni pneumokokus
4. Sputum purulent (bercampur darah) ( pneumonia stafilokokus
5. Sputum seperti selai ( pneumuia klebsile
6. Pemeriksaan penunjang yang perlu dikerjakan
7. Darah lengkap : leukositosis 15- 40.000/ml
8. Foto thorak : gambaran konsolidasi pada satu lobulus/segmen
bila ke 2 paru lobulus kena ( bronkopneumoni)
Therapi
1. Bed rest istirahat baring
2. Diet TKTP
3. Oksigen 1 2 liter/menit ( bila sesak, napas cuping hidung
4. IVFD : D5/RL/Nacl 20 tts/menit ( life line)
5. Antibiotik penetral/oral tergantung KU pasien
Pneumonia pneumokokus : penicilin G 1,2 juta unit IM 2 x /hari
selama 5-10 hari atau peroral critromisin 3 x 500 mg (5-10 hari)
tertrasiklin 3 x 500 mg (5 -10 hari)
Pneumonia stafilokokus : kloksasilin 4 x 250 mg iv selama 5 10
hari atau sefaleksin/sefazolin 3 x 0,5 1 gr iv selama 5-10 hari
Pneumonia klebsiela : ampicilin 4 x 1 grm iv + gentamicin 2 x 80
mg iv ( 5 10 hari, sefotaksin 4 x 1 gr iv (5 1 hari)
1. Obat simptomatis
2. Paracetamol 3 x 500 mg
3. Morfin 10 mg SC atau glafenin/mefenamic acid 3 x 500 mg
4. Mukolitik/ekspektoransia/antifrst
Planing Dx/
1. DL/UL ulang
2. Kultur sputum & sensitivitas test
3. Pengecatan sputum gram
Planing : vital sign
Pemberian antibiotika pada abses paru dengan pilihan sebagai
berikut :
1. PP 1,2 juta 2 x sehari IM + klorampenicol 4 x 500 mg oral selama
10-15 hari
2. PP 1,2 juta unit 2 x sehari IM + mtronidazol 4 x 500 mg oral
selama 10 15 hari
3. Klindamisin 3 x 600 mg selama 10 15 hari.
87|TOV|MEDICUSLESCIUS
P N E U M O T H O R A K
Tentukan tipenya
Cari kemungkinan penyebab penyakit dasarnya pada pneumotorak
spontan
Pemeriksaan yang perlu dikerjakan
• Foto thorak PA
Therapi
1. Fistel tertutup
a) Kolaps < 20% konservatif tirah baring + fisioterapi
b) Kolaps > 20% : iv SD
c) Bila 3 hari belum berkembang →→→→ fisioterapi bronkoskopi bila > 7
hari belum mengembang →→→→ torakotomi
2. Pneumotorak ventil
a) Pasang kontra ventil (WSD)
b) Bila 7 hari belum mengembang →→→→ torakotomi
3. Pneumotorak fistel terbuka
a) Konservatif : tirah baring
b) Bila > 7 hari belum menutup →→→→ torakotomi
4. Pengobatan penyakit dasar
88|TOV|MEDICUSLESCIUS
RHEUMATIK HEART DISEASE
• Tentukan apakah hanya RHD atau RHD dengan eksaserbasi akut
• Anamnesis cari riwayat DR/RHD sebelumnya
Pemeriksaan yang perlu dilakukan
• Foto thorak
• EKG (PR interval memanjang)
• DL (leukositosis)
Therapi
• Istirahat baring
• Diet TKTP
• Obat anti peradangan
• ?Artritis (-)
Karditis (-)
• Karditis + ringan
Kardiomegali (-)
---------------------------------------------------------------------------------------
• ?Karditis (+)
Kardiomegali (+)
• Karditis (-)
Gagal jantung (+)
• Eradikasi dan profilaksis sekunder
Benzatine penicilin (penadur) 1 kali bila BB > 30 Kg = 1,2 juta unit
BB < 30 Kg = 600 – 900.000 unit
Bila alergi dipakai eritromycin 2 x 250 mg/hari atau sulfadiazin 1 gram/hari
(10 hari). PP 600.000 2 x sehari (10 hari)
• Bila ada gagal jantung : diuretika, digitalis, vasodilator
• Mobilitas bertahap sebagai – berikut
Karditis (-) Tirah baring (TB) 2 minggu
Artritis (-) Mobilisasi bertahap (MB) 2 minggu
Korditis (+) TB 4 minggu
Kardiomegali (-) MB 4 minggu
Korditis (+) TB 6 minggu
Kardiomegali (+) MB 6 minggu
Karditis (-) Tb > 6 minggu
Gagal jantung (+) MB > 12 minggu
Planing Dx/ : swab tenggorokan, ASTO, Creaktif protein
Plaining monitoring : vital sign
89|TOV|MEDICUSLESCIUS
S I N D R O M N E F R O T I K
1. Cari kemungkinan penyebabnya
2. Keluhan kencing berbuih, odem, ascites, dan lain-lain
Pemeriksaan yang perlu dikerjakan
1. UL : protenuria + 3/+4, lipiduria (oral fat bodies)
2. BS acak
3. Albumin/globulin
Therapi :
1. Istirahat baring
2. Diet TKTP rendah garam
3. Prednison bila Dx/ sudah tegak (kontra pada etiologi oleh karena
DM, amiloidis)
2 mg/kg BB/ hari (max/80mg/hari) selama 4 Minggu diturunkan
bertahap 5 10 mg/hari.
1. Furosemid 40 80 mg iv
2. Dipiridamol 3 x 75 mg/hari (mulai 3 x 25 mg/hari)
3. Infus albumin
4. Therapi penyakit dasarnya
Paning dx/
1. Ekskresi protein 24 jam (esbach test)
2. Elektroforesa protein
3. Kolesterol
4. IVP
5. Biopsi ginjal
Plaining monitoring : vital sign
90|TOV|MEDICUSLESCIUS
SYOK KARDIOGENIK
Cari faktor risiko dan penyebab syok
Evaluasi hemodinamik dengan pemasangan CVP dan produksi
urine
Pemeriksaan yang perlu dikerjakan
1. EKG
2. Analisa gas darah untuk mencari asidosis metabolik
3. Foto thorak, DL.
Therapi
1. Istirahat dengan kepala sedikit ditinggikan (1/5 duduk)
2. Diet lunak TKTP
3. O2 4 – 6 liter/menit
4. IVFD D5 % untuk life line (loding doses untuk tes cairan) +
Dopamin 4-6 ng/Kg BB/menit (12-16 tetes/menit) atau dobutamin
7,5 ng/Kg/BB/menit supaya tensi >90 mmHg.
5. Pasang foley cateter
6. Kurangi rasa sakit dengan meperidine 75 mg im (morpin
kontraindikasi).
7. Kurangi gelisah : dipenhidramin 50 mg im 3-4 x/hari (kontraindikasi
diazepam, luuminal)
8. Digitalis bila disertai dengan edema paru, payah jantung
9. Diuretika bila disertai dengan edema paru
10.Metylprednisole 30 mg/kg BB single dose.
Planing dx/ : elektrolit, gula darah/BUN/SC,LFT
Plening monitoring
• Vital sign
• Perpusi jaringan
• Produksi urine
• Monitor EKD
91|TOV|MEDICUSLESCIUS
S Y O K S E P T I K
• Diagnosis klinik spesis dan syok septik
• Spesis bila ada bukti terjadi infeksi dan adanya respon
sistemik terhadap infeksi tersebut dimana minimal
ada 2 dari dibawah ini
• Temp > 38O
C atau hipotermia < 36O
C
• Denyut jantung > 90 denyut/menuit
• Respirasi > 20/menit atau PaCO2 < 32 mmHg
• Leukosit > 12 000/ml atau < 40000/ml atau > 10%
bentuk sel muda
• Sepsis berat bila ada gejala sepsis, gangguan fungsi
organ, hipoperfusi hipotensi
• Syok septik : sepsis dengan jipotensi dan gangguan
perfusi menetap
Therapi
1. IVFD D%% untuk loading test cairan
2. Antibiotika adekuat
Misalnya : ceftriakson + gentamicin (pada penderita non
netropenia)
1. Gentamicin (pada penderita netropenia)
2. Gram positif ( voncomycin
1. Bila setelah loading cairan tetap impotensi ( dopamin
10 15 meq/Kg BB/ menit ( 30 tts/mnt
2. Kortikosteroid : metilprednisolon : 30 mg/Kg BB iv a' 4
6 jam
92|TOV|MEDICUSLESCIUS
NILAI NORMAL LABORATORIUM
Darah Lengkap
Jenis Px/ Nilai Normal
WBC 4,5-11 H 103
/UL
% Ne # Ne 43-65 H% 2,2-6,6 H103
/UL
% Ly # Ly 20,5-45,5 L% 1,3-3,2 L103
/UL
% Mo # Mo 4,0-10,0 L% 0,3-1,1 L103
/UL
% Eo # Eo 0,9-4,9 L% 0,0-0,2 L103
/UL
% Ba # Ba 0,2-1,0 L% 0,0-1,0 L103
/UL
RBC M: 4,6-6,2
x106
/UL
F: 4,2-5,4 x106
/UL
HGB M: 13,5-18,0
g/dL
F: 12,0-16,0 g/dL
HCT M: 40,0-54,0
%
F: 38,0-48,0 %
MCV M: 80,0-94,0
fL
F: 81,0-99,0 fL
MCH 27,0-32,0 Pg
MCHC 31,0-35,0 g/dL
RDW 11,5-14,5 L%
PLT 150-440 103
/uL
MPV 6,3-11,1 fL
PCT 0,150-0,400 %
PDW 15,0-17,1 (ratio)
93|TOV|MEDICUSLESCIUS
Analisis Kimia Darah
Jenis Px Nilai Normal
GLU 70-100 mg/dL
BUN 5-23 mg/dL
CREA 0,5-1,2 mg/dL
AST 14-50 U/L
ALT 11-60 U/L
CHOL 150-250 mg/dL
TG 50-200 mg/dL
LDH 210-425 U/L
CKMB 0,5-9,5 U/L
Na 135-147 mmol/L
K 3,5-5,5 mmol/L
UREUM 10-46 mg/dL
zHDL 27-67 mg/dL
zLDL 91-180 mg/dL
TBil 0,0-1,0
D Bil 0,0-0,30
TP 6,6-8,7
Alb 4,0-5,7
ALP 32-270 mg/dL
AMY 210-425 U/L
GGT 7-64 U/L
Indirect Bil 0,0-0,5
Glob 1,5-3,0
URINELENGKAP
Pemeriksaan Nilai Normal
pH 5-8
Leu (-) 4-5/lp
Nitrit (-)
Protein 25mg/dL/ Neg
Glu N
Keton (-)
Urobilinogen 1mg/dL/Neg
Bilirubin 1mg/dL/Neg
Eritrosit Neg/(0-1U)
Spesificgravity 1,005-1,020
Clarity
Colour*
Clear
Yellow
Sedimen Urine:
Lekosit
Eritrosit
EpitelialCell
Amorf
Bakteri
F1-10 M 1-5
-
0-1
+
-
94|TOV|MEDICUSLESCIUS
10. STASE BEDAH EMERGENCY + ICCU
95|TOV|MEDICUSLESCIUS
96|TOV|MEDICUSLESCIUS
97|TOV|MEDICUSLESCIUS
98|TOV|MEDICUSLESCIUS
99|TOV|MEDICUSLESCIUS
100|TOV|MEDICUSLESCIUS
101|TOV|MEDICUSLESCIUS
102|TOV|MEDICUSLESCIUS
103|TOV|MEDICUSLESCIUS
104|TOV|MEDICUSLESCIUS
105|TOV|MEDICUSLESCIUS
106|TOV|MEDICUSLESCIUS
107|TOV|MEDICUSLESCIUS
108|TOV|MEDICUSLESCIUS
11. KASUS STASE NEUROLOGI/PSIKIATRI POLIKLINIK
1. Lk, 18 th, epilepsy follow up
R/ Carbamazepin 200 mg LX
S 2 dd I
R/ Sakaneuron tab LX
S 2 dd I
NB: Carbamazepin: Dosis permulaan sehari 200-400 mg dibagi daLam beberapa
dosis sampai 800-1200 mg dibagi dalam 2-4 dosis. Dosis anak sd 1 tahun 100 mg/hari,
1-5 th 100-200 mg/hari, 5-10 th 200-300 mg/hari dengan dosis pemeliharaan 10-20
mg/kgBB/hr dibagi dalam beberapa dosis.
2. Follow up px antitrombotik
R/ Ranitidin tab X
S 2 dd I
R/ Aspirin 80 mg XX
S 1 dd I
NB: Asam Asetil Salisilat (Aspirin, asetosal, aspilet): analgetik, antiinflamasi. Efek
samping: merangsang mukosa lambung dengan resiko perdarahan.
Dosis: Anti nyeri 3 dd 500 mg, antiradang 3-4 g/hr (merk aspirin (bayer) 3 dd (500
mg).
Anti trombotika: 1 dd 75-100 mg Aspilet 1 dd (80mg)
3. Px pegal2, leher kaku + kombinasi, Dx/ Tension Headache + kombinasi
a. R/ Diazepam 2 mg no X
S 2 dd I
R/ Natrium Diclofenac 50 mg no X
S 2 dd I
R/ Methyl prednisolon 4 mg no X
S 2 dd I
R/ Ranitidine no X
S 2 dd I
NB: Na Diclofenac (Voltaren, Cataflam). NSAID yang terkuat antiradangnya dengan
efek samping yang kurang keras dibanding obat kuat lainnya (indometasin,
piroxicam). Indikasi: Segala macam nyeri, juga migrant, encok. Dosis: oral 3 dd 25—
50 mg. Pada nyeri kolik atau serangan encok 1-2 dd 75 mg selama 1-3 hari. Sediaan
tab 25 mg dan 50 mg.Methyl prednisolon (Depo/Medrol, Solu-Medrol, Urbason) lebih
kuat dari prednisolon. Indikasi; RA, acute/subacute bursitis, exfoliative dermatitis,
seasonal / perennial allergiec rhinitis, bronchial asthma, contact dermatitis, acute
conjunctivitis. Dosis oral initial 12-48 mg/hari. Pemeliharaan 4 – 16 mg/hari. Sediaan
tab 4 mg. Penggunaan NSAID jangka lama dianjurkan dengan tambahan
penghambat asam lambung (omeprazol, dll) atau zat pelindung mukosa misopristol
guna cegah tukak lambung. Ranitidin (Zantac, Rantin) H2 Blocker. Daya
menghambat sekresi asam lebih kuat daripada cimetidin, tetapi lebih ringan dari
penghambat pompa proton (omeprazol, dll). Selain digunakan untuk gastritis, tukak
lambung, jiga selama penggunaan prednisone guna menghindari keluhan lambung.
Sediaan tab 150 mg, inj 50 mg / 2ml amp @ 2ml. Dosis: sesudah makan malam
selama 4-8 minggu, sebagai pencegah 1 dd 150 mg, i.v 50 mg sekali.
109|TOV|MEDICUSLESCIUS
b. R/ Sumagesic no X
S 3 dd I
R/ Diazepam 2 mg X
S 3 dd I
NB: Sumagesic (P/P 600 mg): Acetaminophen, dosis anak ¼-1/2 tab. Dewasa 1 tab.
P/P 600 mg
Indikasi: Fever, common cold, headache, tootache, muscle and joint pain, OA.
Diazepam (Diazepin (Kimia Farma) Indikasi: Psychosomatic, automic dystonia,
neurasthenia.
Dosis: 3 dd 2 mg. P/P 2 mg x 20 x 5’s atau 5 mg x 20 x 5’s
c. R/ Kaltrofen 50 mg no X
S 2 dd I
R/ Diazepam 2 mg no X
S 2 dd I
R/ Forneuro no X
S 2 dd I
NB: Ketoprofen: sediaan 50 mg, 100 mg. Merk: Ketoprofen, Kaltrofen (Kalb)
4. Follow up Skizofrenia, yg aman buat ibu hamil
R/ Haloperidol tab 0,5 X
S 1 dd I
R/ Neurobion 5000 tab X
S 2 dd I
5. Pasien depresi + kombinasi
R/ Amitriptilin 12,5 mg no LX
S 2 dd I
R/ Captopril 25 mg no LX
S 2 dd I
R/ Asetosal 100 mg no XXX
S 1 dd I
R/ Kalmeco no LX
S 3 dd I
6. Px cemas (anti cemas)
R/ Alprazolam 0,5 mg tab no X (Benzodiazepine)
S 1 dd I ( k/p malam)
R/ Betaserc tab no XX
S 2 dd I (k/p pusing)
7. Pasien vertigo
R/ Cafergot tab no X
S 3 dd I
NB: Obat anti migraine. Isi: ergotamine 1 mg, caffeine 100mg. Indikasi: Imgrain,
vascular headache. Hati2 wanita hamil.
110|TOV|MEDICUSLESCIUS
12. KASUS STASE THT POLIKLINIK JEJARING
1. Lk, 49 th, nyeri telinga kiri, Px/: Perforasi subtotal S dan perforasi
sentral D. Dx: OMSK benigna fase aktif D/S.
R/Ciprofloxacin 500 mg no X
S 2 dd I
R/ Tremenza tab no X Pseudoefedrin (Dekongestan)
S 3 dd I
R/ Ambroxol tab 30 mg no X
S 3 dd I
KIE: Jangan kemasukan air.
2. Pr, 3 th, Batuk, pilek, panas, di UGD diberi kloram, PCT, dan
cefadroxil syrup, sudah 3 hari lalu ditelinga sakit, awalnya kanan lalu
kiri.
Px/: Hidung mukosa hiperemis, Tenggorok mukosa merah hiperemis
T1/T1 merah muda
Dx/: Rhinofaringitis akut
Tx/:
R/ Cefadroxyl syrp 2 x 1
Paracetamol 3 x 1
Ambroxol 3 x 1
Alco Syrp 3 x 1 cth (pseudoefedrin)
3. Serumen kering
R/ forumen ear drops no I
S 3 dd gtt III
4. Px Rhinitis alergi
R/ Rysen no X
S 2 dd I
R/ Lamerson no XV
S 3 dd I
5. Lk, telinga kanan keluar cairan sejak 3 bulan yll. B 20 kg
Dx/: OMA stad III D
Tx/: Oto toilet D
R/ Otopain ear drop
S 3 dd gtt III A. D
R/ Spiranter mg 200
S 3 dd I
R/ Trifed tab VI
S 3 dd tab ½
111|TOV|MEDICUSLESCIUS
6. Pasien, timbul benjolan didaerah telinga, modelnya seperti kista (isi
cairan Dx/kista
Tx/: Jangan diinsisi, lakukan punksi 1,5 cc lalu kenacort suntikkan 0,5
cc.
7. Pr, 40 th, telinga kanan kemasukan air, gebrek2
Dx/: Tuba katar D
R/ Levosin no V (levofloxacin)
S 1 dd I
R/ Trifed no XV
S 3 dd I
R/ Lameson no XV
S 3 dd I
8. Lk, 6 bln, Dx Serumen Obsturan S + Faringitis akut.
R/ Spiranter mg 100 (Spiramycin)
Sanmol mg 75 (paracetamol)
Indexon tab 1/6 (dexametason)
Trifed tab 1/6 (pseudoefedrin)
Mfla pulv dtd no XV
S 3 dd pulv I habiskan
9. Lk, 28 th, telinga kiri keluar cairan sejak 2 bulan, nyeri (+), hilang timbul
Px/: Telinga kiri: Discharge (+) purulen, MT perforasi, secret (+)
Telinga kanan: Discharge (-), MT perforasi, kering
Dx/: Perforasi kering MT (D) + OMSK exaserbasi akut (S)
Tx/: Oto toilet: tetesin dengan H2O2 3 % pada telinga kiri (A.S) lalu suction.
R/ Otopain ear drop no I
S 3 dd gtt III
R/ Prolic tab mg 300 no VIII
S 2 dd I (habis)
R/ Trifed tab no XII
S 3 dd I
R/ Indexon no XII
S 3 dd I
KIE: jangan kemasukan air, kontrol obat habis.
10. Pr, telinga kanan sakit, grebek2, keluar air.
Px/: MT kanan perforasi sentral
Dx/: OMA stad III D
R/ Benozyt no III (Azytromicin)
S 1 dd I
R/ Trifed no XV (pseudoefederin)
S 3 dd I
R/ Lexomid no XV (methylprednisolon)
S 3 dd tab I
112|TOV|MEDICUSLESCIUS
R/ Otopraf ear drop no I
S 3 dd gtt III AD
11. Lk, 2 th, panas, batuk, pilek, BB: 12 kg
Dx: Rhinofaringitis akut dan serumen obsturan D et S
Tx: ekstraksi serumen D / S
R/ Sedrofen mg 180 (Ab)
Tremenza tab ¼ (nasal dekongestan)
Indeson tab ¼ (anti influenza)
Promedex tab ¼ (antitusif)
Sohopex tab ¼ (mukolitik)
Mfla pulv dtd no XV
S 3 dd pulv I (habis)
R/ Bufect syrp no I
S 4 dd cth I
12. Lk, 4 th, telinga sakit, batuk, pilek 2 hari
Dx/: Rhinofaringitis akut
R/ Clabat syrp no I (Ab)
S 3 dd cth 1 ½
R/ Fenbris syrp no I
S 3 dd cth 1 ½
R/ Tremenza / Trifed syrp no I
S 3 dd cth ½
Kasus lain nyangkut disini Interna I Poliklinik
13. Dr. Zainul, antitusif
a. R/ Pehaclor/ctm ½ tab
Epidrin 1 mg
Codein 10 mg
Prednisone/metilpred tab ½
Mfla pulv dtd da in caps no XX
S 3 dd caps I
b. R/Amoxicillin 500 mg no XX
R/ Ctm tab ½
Epidrin 1,5 mg
Solvonat tab ½
Metilpred tab ½
Mfla pulv dtd da in caps no XX
S 3 dd caps I
c. Obat TG hiperkolesterolemia
R/ Zumafib 300 mg no XX
S 0-0-1
d. Obat lambung
R/ Omeprazol XX
S 101
R/ Desflatyl XX
S 3 dd I
113|TOV|MEDICUSLESCIUS
13. KASUS STASE IKK POLIKLINIK RSUP & JEJARING
Kumpulan kasus dan foto (gambar ada di file foto px kulit & kelamin)
1. Dx/ Erosi Vulva
R/ Digenta cr gr 7,5
Visancort cr gr 5
Md S 2 dd ue
R/ Prednison tab 1,5
Interhistin tab 1
Mfla pulv dtd da in caps no XIV
S 2 dd 1
2. Pr, 22 bln. Dx/ Dermatitis atopic dengan infeksi sekunder
R/ Amoxycillin mg 150
Prednison tab no ½
Interhistin tab no ½
Sakarumlactis Q.S (pemanis)
Mfla pulv dtd no XX
S 3 dd pulv 1 p.c
R/ Fuson cr gr 10
Inerson cr gr 10
Md S 2 dd ue
3. Lk, 43 th kemerahan dipipi bentuk garis, tiba2 baru bangun, diobati
salycyl, perih (+) >> gatal. Dx/ Dermatitis venenata
R/ Inerson gr 15
S 2 dd ue
R/ Somerol tab no XXI
S 2-1-0 (p.c)
R/ Interhistin tab no XXI
S 3 dd I
4. Lk, 40 th, eff/patch hipopigmentasi batas tegas ditutupi skuama putih
halus.
Dx/ Pytiriasis versicolor (panu)
R/ Fungoral tab no XII
S 1 dd I
R/ Mycoderm cr gr 20
S 2 dd ue
5. Lk, 19 th Dx/ Tinea corporis + T. cruris + infeksi sekunder
R/ Dygenta cr gr 10
Interzol cr gr 10
Md S 2 dd ue
114|TOV|MEDICUSLESCIUS
R/ Interzol tab mg 200 no XII
S 1 dd I (p.c siang).
6. Pr, 12 th, Px/ ada delle (ada core kyk umbilicus. Dx/ Moluscum
contagiosum.
Tx/ Extripasi
7. Lk, 52 th, benjolan didada, eff/ papul hiperpigmentasi uk 0,1-0,2 cm
bertangkai
Dx/ Skin tag accorcodons (papiloma kutis)
Tx/ EC (eletrocauter)
R/ Fuson cr gr 5
S 2 dd ue
8. Pr, tua. Dx/ urtikaria.
R/ Inerson cr gr 30
S 2 dd ue
R/ Interhistin no XXI
S 3 dd I
9. Lk, 44 th, gatal kumat2an di kaki >> 1 minggu. Sudah diberi bokasih
membaik. Istri dan kakak kandung juga gitu. Dipuskesmas diberi ctm +
salep dibilang alergi. Biasa makan ikan laut. Px/ St. derm kaki s/d paha
ka/ki, eff/ patch hiperpigmentasi batas tegas 1-1,5 cm, bulat, likenifikasi,
papul (+).
DD: DA/DKA
R/ Prednison no XXI
S 2-1-0
R/ Interhistin no XXI
S 3 dd I
R/ Inerson cr gr 15
Fuson cr gr 10
Md S 2 dd ue
10. Pr, 30 th. Dx/ Scabies
R/ Asam salicylate 2%
Sulfur presipitatum 4%
Scabimide cr gr 10
Vaselin album gr 20
Mfla unguentum S 2 dd ue
R/ Prednisone tab no XXX
S 2-2-0 (p.c)
R/ Interhistin tab no XXI
S 3 dd I
115|TOV|MEDICUSLESCIUS
11. Pr, 30 th. Dx/ Dermatitis venenata
R/ Digenta cr gr 7,5
Nerilon cr gr 7,5
Md S 2 dd ue
R/ Prednison tab no XXI
S 2-1-0
R/ Inclarin tab no VII
S 1 dd I (p.c siang)
12. Lk, 40 th. Dx/ dermatitis seboroik
R/ Nerilon cr gr 10
Visancort cr gr 5
Md S 2 dd ue
R/ Prednison tab no XXI
S 2-1-0 (p.c)
R/ Inclarin tab no VII
S 1 dd I (pc siang)
13. Lk, 30th
, Px/ plak eritema dengan skuama berlapis putih perak.
Dx/psoariasis vulgaris.
R/ Prednison tab no XXX
S 2-2-0 (p.c)
R/ Interhistin tab no XXI
S 3 dd I
R/ Asam salisilat 3%
Asam benzoate 6%
Oil codeni 9%
Inerson cr gr 30
Vaselin album ad gr 60
Mfla unguentum S 2 dd ue
KIE: Jangan banyak berjemur, kumat2an kepekaan imunitas.
14. Lk, 43 th. Plantar. Eff/ Plak eritema, skuama, hyperkeratosis, fissure. Dx/
Keratoderma
R/ Inerson cr gr 15
Carmed cr gr 10
Md S 2 dd ue
R/ Somerol tab no XXI
S 2-1-0 (p.c)
R/ Interhistin tab no XXI
S 3 dd I
15. Pr, 27 th, Dx/ Keratodermal palmo-plantar DD/ DKI kumulatif, T.manum
R/Nerilon cr 15
116|TOV|MEDICUSLESCIUS
Carmed cr gr 7,5
Md S 2 dd ue
R/ Prednison tab no XXIV
S 2-1-0 (p.c)
R/ Inclavin tab no VII
S 1 dd 1 (p.c siang)
16. Lk, 45 th, KU: rambut rontok Dx/ Alopesia areata
R/Triamcort tab no XVI
S 2 dd 1
R/ Locoid gr 10
Vinsacort cr gr 15
Md S 2 dd ue
17. Pr, 3,5 th. KU: timbul bisul dikaki ka/ki 2 hr, terasa sakit. Eff/ pustule inti
core uk 0,1-0,2 cm, disekitarnya daerah eritema. Dx/ Folikulitis
R/ Robamox mg 150
Prednison tab no 1/2
Interhistin tab no 1/4
Sacarum lactic Q.S
Mfla pulv dtd no XX
S 3 dd pulv I
R/ Dygenta cr gr 7,5
Saltisin cr gr 5
Md S 2 dd ue
18. Pr, 5 th. Dx/ erysipelas/Ektima
R/ Robamox mg 150
Prednison tab no 1/2
Interhistin tab no 1/3
Sakarum lactis q.s
Mfla pulv dt no XXI
S 3 dd I (p.c)
R/ Dygenta cr gr 10
Saltisin cr gr 5
Md S 2 dd ue
19. Lk, 24 th. KU: Bintik2 gatal di wajah. Dx/ Acne Vulgaris
R/ Dygenta cr gr 7,5
Tracne cr 0,05% gr 5
Benzolat Cl gr 5
Md S 1 dd ue
117|TOV|MEDICUSLESCIUS
R/ Interdoxin mg 50 no XVI
S 2 dd I
R/ Prednison tab no XXI
S 2-1-0 (p.c)
Kasus Kelamin
20. Lk, 29 th. Dx/ Balanopostitis
R/ Interzol cr gr 7,5
Vinsacort cr gr 5
Md S 2 dd ue
R/ Interzol mg 200 no X
S 1 dd I ( p.c siang)
21. Lk, 30an, KU: Disuria. Dx/ Susp. UNG (Urethritis Non GO)
R/ Uroxal tab XV
S 3 dd I
R/ Interdoxin cap no XIV
S 2 dd I
Kasus Lain2
22. Pr, 19 th Dx/ Vitiligo
R/ Dosoralen lq cc 10
Md S 1 dd ue (pagi)
R/ Nerilon cr gr 10
S 1 dd ue (setelah dijemur pagi) 1/2 menit berjemur lalu
diolesi cream.
23. Pr, 48 th, Dx/ Melasma
R/ Parasol cr tibe no I
S 1 dd ue (pagi)
R/ Mediquin cr gr 7,5
Tracne 0,05 % cr gr 2,5
Intercon cr gr 5
Md S 1 dd ue ( malam)
24. Bayi, 4 bln, KU: bercak pada kulit kepala, memberat stlh diberi baby oil.
Eff/ patch eritema batas tak tegas, diatanya skuama kuning kasar. Dx/ D.
seboroik + cradle cap (D.infantil)
R/ Dygenta cr gr 10
Locoid cr gr 5
Md S 2 dd ue
KIE: bersihkan dengan minyak kelapa
118|TOV|MEDICUSLESCIUS
25. Lk, 10 th eff/ papul verukous. Dx/ veruka vulgaris
R/ Fuson cr gr 5
S 2 dd ue
Electrocauter
26. Lk, Dws, Dx/ Kista Dermatoid timbul bau kronik residf
R/ Nerilon cr gr 10
Salisil cr gr 5
Md S 2 dd ue
R/ Prednisone tab XX
S 2-1-0 (p.c)
R/ Inclarin tab no XII
S 1 dd I
27. Lk, 42 th. Eff/ plak hiperpigmentasi pada pipi ka/ki terpapar sinar
matahari. Dx/ Melanoderma
R/ Mediquin cr gr 7,5
Tracne 0,05% gr 2,5
Locoid cr gr 5
Md S 1 dd ue (malam) cream malam
R/ Parasol cr tube no I
S 1 dd ue (pagi) cream pagi (tabir surya)
28. Lk, 2,5 th. Dx/ Impetigo Krustosa
R/ Robamox mg 150
Prednison tab no 1/2
Interhistin tab no 1/4
Sakarum lactis q.s
Mfla pulv dtd no XX
S 3 dd pulv I (p.c)
R/ Dygenta cr gr 10
Salticin cr gr 5
Md S 2 dd ue
119|TOV|MEDICUSLESCIUS
14 .KASUS KOMPILASI POLIKLINIK ANAK
1. Nv, 4,5 th, 13 kg, Batuk, Dx/ISPA
R/ Erytromicin 150 mg
Calpico ¼ tab
DMP 4 mg
Loratadin 1/3 tab
Dexamethason 1/3 tab
Mfla pulv dtd no XII
S 3 dd I
2. Zn, 17 th, berdahak. ISPA
R/ Codein 15 mg
Cetirizine 0,6 tab
Reverton 0,3 tab
Salbutamol 1 mg
Ambroxol 0,6 tab
Mfla da in caps dtd X
S 3 dd I
R/ Cefadroxil 500 no I
S 3 dd I
3. Zn, 20 bln, 8 kg. Dx/BP
R/ Cefixim 25 mg
DMP 3 mg
Loratadin ¼ tab
Efedrin 0,1 tab
Dexamethason 0,3 tab
Salbutamol 0,5 mg
Mfla pulv dtd no XV
S3 dd I
120|TOV|MEDICUSLESCIUS
15. KASUS STASE PEDIATRY EMERGENCY
DSS• Penderita Lk, 5 th 6 bln, datang untuk berobat ke triage anak dengan keluhan tangan serta kakinya dingin sejak tadi pagi,
sebelum muncul keluhan tersebut penderita dikatakan mengalami panas badan sejak hari Sabtu (26/5) pukul 18.00 wita, panas
badan dikatakan mendadak tinggi dan tidak membaik saat penderita diberikan obat penurun panas. Panas badan dikatakan
baru turun tadi pagi (30/5) diserta badan dingin, tangan dan kaki dingin, berkeringat banyak namun tidak disertai menggigil.
Penderita juga dikeluhkan nyeri kepala, nyeri pada sendi saat panas (+), dan saat ini penderita mengeluh nyeri pada perutnya.
• Bintik merah pada tubuh penderita, tidak terdapat gusi berdarah, mimisan, BAB berwarna hitam, ataupun BAK berwarna merah
disangkal. Penderita juga dikeluhkan muntah-muntah sejak 4 hari sebelum masuk rumah sakit, frekwensi muntah 2-3 kali tiap
harinya, dengan volume kurang lebih ¼ gelas/hari. Muntah tidak disertai dengan pengeluaran darah. Dikatakan penderita
kurang makan dan minum semenjak sakit.Aktivitas penderita juga dikatakan menurun semenjak sakit.
• Penderita sempat berobat ke dokter pada hari Senin (28/5), disana penderita diberikan obat penurun panas namun panas
penderita tidak turun, selanjutnya dilakukan pemeriksaan laboratorium dan pasien kemudian dirujuk ke RS Sanglah.
• RPS, RK (-).Riwayat persalinan NCB N. BBL : 2900, PBL : Lupa. Riwayat Imunisasi lengkap.
• terasa lemas, dan kadamerasa nyeri kepala ringan. Nyeri otot dan
Status Present
Kesan Umum : Tampak lemah.
Kesadaran : Iritabel.
Nadi : 140x/menit, reguler, isi lembut.
Respirasi : 32x/menit, reguler.
T0 ax : 36,0°°°° C.
TD : 80/palpasi mmHg.
BB : 27 kg
BBI : 19 kg
• Kepala : N-cephali.
•••• Mata : anemia (-), ikterus (-), Refleks Pupil +/+ isokor, cowong -/-,
edema palpebra -/-.
•••• THT : Nafas Cuping Hidung (-), cyanosis (-), epistaksis (-),
perdarahan gusi (-).
Leher : Kaku kuduk (-), Pembesaran kelenjar (-).
•••• Thorak :
I : simetris saat statis maupun dinamis, retraksi (-).
P : fremitus vokal Normal.
P : Sonor.
A : Cor : S1 S2 N regular murmur (-).
Po : Vesikuler +/+, ronchi -/-, wheezing -/-.
•••• Abdomen :
I : Distensi (-)
A : Bisisng Usus (+) Normal.
P : Hepar teraba 1/4 – 1/4 tepi tajam, nyeri tekan (+) dan Lien tidak teraba.
P : Tympani + +
•••• Extremitas : Akral dingin + +
Cyanosis + +
+ +
• Ass/:
• DSS (hari ke-4 saat pukul 18.00)
• Tx/:
• O2 sungkup 5 liter/menit
• Infus 2 jalur : IVFD RL 20 cckgBB/ jam ~380 cc/jam~126 tetes/menit,
• Line I 60 tetes, Line II 66 tetes. (16.15 – 16.45)
• Px/
• Periksa DL,
• BS,
• Ig G-Ig M anti Dengue,
• Thorax foto AP/LDD,
• Pasang lingkar abdomen.
• Mx/
• Vital Sign,
• Balance cairan,
• Tanda-tanda perdarahan dan syok.
- -
121|TOV|MEDICUSLESCIUS
122|TOV|MEDICUSLESCIUS
DEMAM TIFOID
• Penderita, LK. 4,6 th dikeluhkan panas sejak 6 hari yang lalu sebelum masuk RS, awalnya
sumer-sumer, kemudian meningkat. Hilang timbul dengan obat penurun panas. Kejang ( - ) ,
menggigil ( - ) , berkeringat ( - ) .Batuk (+), Pilek (+). Mual ( + ) , untah ( - ) Sejak 3 hari yang
lalu pasien dikeluhkan belum BAB sampai masuk Rumah Sakit. BAK (+) biasa. Nafsu makan
menurun sejak sakit, minum tetap. Tanda-tanda perdarahan tidak ada.
• Os belum pernah menderita sakit seperti sekarang. RK (-)
• Riwayat pengobatan Ke Poli Anak, RSUD Singaraja setelah 2 hari panas, diberikan obat
penurun panas, tapi keluhan tidak hilang setelah pulang.Ke Sp.A dirujuk ke RSUD Singaraja
untuk mengecek darah kemudian didiagnosis demam tifoid dan dirawat di RSUD Singaraja.
• Riwayat persalinan: Penderita lahir cukup bulan, spontan, di dokter, langsung menangis. BBL
: 3000 gram, PB : lupa. Tidak ada kelainan. Riwayat Imunisasi lengkap.
Kesan Umum:Baik
Kesadaran :Compos Mentis (CM)
Nadi :126 x/menit
Respirasi :40x/menit
t˚ax :37,9 ˚C
T :100/75 mmHg
BBS :15 kg
BBI :16 kg
Nelson :93,75 % ( Gizi baik/cukup )
Kepala: Normocephali, UUB datar
Mata: anemia (-), ikterus (-), refleks pupil +/+, cowong -/-
THT:Lidah kotor ( + ) tepi hiperemis
Telinga : Normal.
Hidung : Nafas Cuping Hidung (-), cyanosis (-).
Tenggorokan : Faring hiperemis (-). Tonsil hiperemis (-).
Leher: Pembesaran kelenjar (-), Kaku Kuduk (-).
Thorak:Cor : S1 S2 N regular murmur (-).
Po : Vesikuler +/+, ronchi -/-, wheezing -/-.
Abdomen: Distensi (-), Bising Usus (+) N, Hepar tidak teraba,
Lien tidak teraba, Turgor Normal.
Extremitas: Akral hangat (+), cyanosis (-).
• Ass/:
• Demam Tifoid
• Diagnosis Banding:Paratifus, Bruselosis, Meningoensefalitis, Tbc
• Tx/:
• Masuk Rumah Sakit
• Infus KAEN III B 20 tts/mnt
• Chloramphenicol inj. 3 x 250 mg
• Parasetamol Syr. 3 x 1 ½ cth
• Px/
• DL, Widal
• Mx/
• Vital Sign,
• Balance cairan,
• Tanda-tanda perdarahan dan syok.
- -
TES WIDAL :
Px Hasil Titer
Salmonella thypi O ( + ) 1/320
Salmonella thypi H ( + ) 1/320
Salmonella parathypi A-O ( + ) 1/320
Salmonella parathypi A-H ( + ) 1/80
Salmonella parathypi B-O ( + ) 1/160
Salmonella parathypi B-H ( + ) 1/80
123|TOV|MEDICUSLESCIUS
KDK• Lk, 1 th 6 bln dikeluhkan kejang sebanyak 3 kali yaitu :
• Kejang 1: kejang terjadi 4 jam SMRS, berlangsung kurang lebih 5 menit, kaki dan tangan menghentak, mata mendelik ke atas,
simetris, mulut tidak mengeluarkan buih, berhenti spontan, panas (+), setelah kejang pasien sadar baik, kebiruan pada sirkum
oral (-)
• Kejang 2 : kejang terjadi 15 menit kemudian, selama ± 1 menit, gejala sama seperti kejang pertama.
• Kejang 3 : kejang terjadi 3 jam kemudian, selama kurang lebih 1 menit, gejala sama seperti kejang pertama.
• Sebelumnya pasien dikeluhkan panas tinggi mendadak yaitu 7 jam SMRS. Panas tidak turun dengan penurun panas. Menggigil
(-), berkeringat (-).
• Pasien juga dikeluhkan mencret yang terjadi hampir bersamaan dengan kejang pertama, frekuensi kurang lebih 6 kali, dengan
volume ± ¼ gelas/kali, darah (-), lendir (-) ampas (-). Bau asam (-)
• Muntah (-), batuk dan pilek (-). Makan/minum menurun setelah sakit. BAK (+) normal, BAK terakhir kurang lebih ½ jam SMRS.
• Riwayat pengobatan : Pasien sempat dibawa ke Sp.A, diberi Diazepam (Stesolid) dan paracetamol (Dumin),kemudian dirujuk
ke RS. Sanglah
• Riwayat penyakit sebelumnya : pasien memiliki riwayat kejang dengan panas pada umur kurang lebih 5 bulan, kejang
berlangsung kurang lebih 3 menit, tangan dan kaki menghentak, setelah kejang pasien sadar baik.
• Riwayat penyakit dalam keluarga : ayah pasien pernah menderita kejang dengan panas sewaktu kecil .
• Riwayat persalinan : lahir spontan ditolong bidan, BBL 3800 gram, langsung menangis, kelainan (-). Riwayat imunisasi :
lengkap
• as, dan kadamerasa nyeri kepala ringan. Nyeri otot dan
Status Present
Keadaan Umum : tampak lemah
Kesadaran : E1V1M3 (dalam pengaruh
diazepam)
Nadi : 140 x/menit,
regular, isi cukup
Respirasi : 40 x/menit, regular.
T ax : 40,3ºC
BB : 12 Kg
TB : 85 Cm Z
score : 0,1 SD (normal)
Leher : Pembesaran kelenjar (-), kaku kuduk (-)
Cor : S1S2 N, regular, murmur(-)
Po : Bronkovesikuler +/+, Rhonki -/-, Wheesing -/-
Abdomen : Distensi (-), BU (+) N, H/L tidak teraba, turgor N
Extremitas : Akral hangat (+), sianosis (-), Oedem (-)
Refleks Fisiologis N
Reflek Patologis
Kernig sign (-), Brudzinsky I/II : -/-
Tenaga 555 555
555 555
Tonus N N
N N
• Lab DL (27 Juni 2005)
• WBC : 6,7 BS : 113
• HGB : 12 Na : 136,6
• HCT : 35,7 K : 3,68
• PLT : 297 Cl : 108,6
• FL (28 Juni 2005)
• MAKROSKOPIS
•
Warna : kuning
• Bau : -
• Konsistensi : lembek
• Lendir : -
• Darah : -
•
• MIKROSKOPIS
•
Leukosit: 3-4
• Eritrosit : 1-2
• Amoeba: veg &kista (-)
• Telor cacing : neg
• Lain-lain : gist cell (+)
• Fat(+)
•
• Ass/:
• Kejang Demam Kompleks e.c. Tonsilofaringitis akut + diare akut tanpa dehidrasi
•
• Tx/:
• MRS
• - IVFD Dextrose 10 % 1100 cc/hari  12 tts/mnt
• Dumin rektal 125 mg/Paracetamol sirup 4 x Cth I (K/P)
• - Ampicilin injeksi 3 x 400 mg
• - Luminal oral 2 x 30 mg
• - Parasetamol 4 x ¾ cth
• - Diazepam 6 mg diencerkan diberi pelan-pelan bila kejang
• Px/ LP
• Mx/
• Vital Sign,
• Balance cairan,
• Kejang
124|TOV|MEDICUSLESCIUS
16 .KASUS KOMPILASI INTERNA
MALARIA• Penderita laki-laki, 42 tahun, Hindu, Bali, mengeluh panas badan sejak 2 minggu SMRS. Panas badan hilang
timbul setiap 1 hari. Penderita merasakan mulai menggigil sejak pukul 8 pagi, sekitar jam 10 pagi, penderita
merasa badannya panas tinggi. Kurang lebih jam 6 sore, penderita merasakan panas badannya mulai turun
disertai dengan berkeringat banyak, kejadian ini terus berulang setiap harinya.
• Nyeri kepala timbul menyertai panas badan sejak 2 minggu SMRS, dirasakan seperti tertekan. Nyeri kepala
dirasakan terus menerus, memberat ketika panas meninggi dan berkurang bila panas turun.
• Penderita merasakan mual semenjak 1 minggu yang lalu, tidak sampai muntah. Nafsu makan penderita menurun,
penderita hanya makan sebanyak 2 sendok tiap kali makan. Riwayat rasa nyeri ulu hati disangkal.
• Kulit penderita tampak kekuningan sejak 5 hari SMRS. Kuning diawali pada bagian badan kemudian meluas
hingga ke bagian lengan bawah. Pasien juga mengeluhkan merasa gatal diseluruh tubuh menyertai timbulnya
warna kekuningan pada tubuh.
• Penderita mengatakan bahwa air kencingnya berwarna cokelat seperti air teh sejak 5 hari SMRS. Penderita
kencing 5-6 kali/hari, volume ½ - 1 gelas setiap kalinya. Riwayat kencing darah (-), nyeri saat kencing (-). BAB
seperti biasanya, namun sejak kurang lebih 1 minggu SMRS, penderita buang air besar hanya 1 kali dalam 2 hari.
Konsistensi lunak, darah (-), lendir (-), warna kuning kecoklatan.
• Penderita bekerja di proyek mercusuar di Pulau Sumbawa dan kembali ke Bali kurang lebih empat minggu yang
lalu karena menderita panas badan. Penderita mengatakan tidak pendapatkan obat pencegahan malaria sebelum
berangkat ke Pulau Sumbawa.
• turun, badan terasa lemas, dan kadamerasa nyeri kepala ringan. Nyeri otot dan
Status Present
KU : Compos mentis (E4, V5, M6)
TD : 110/80 mmHg
N : 84 x/menit
R : 20 x/menit
Tax : 37,1 ºC
Mata : An (+/+), Ikt (-/-)
THT : Kesan tenang
Thorax:
Cor: S1S2 tgl, reg, m (-)
Po: Inspeksi : Simetris S/D
Palpasi : VF N/N
Perkusi : Sonor +/+
Auskultasi: Ves +/+ Rh -/- Wh -/-
Abdomen: Distensi (-)
Ascites (-)
BU(+) N
H/L tidak teraba
Extremitas: Akral hangat +|+
+|+
Edema - | -
- | -
• DARAH LENGKAP
13/3/07 16/3/07
• WBC 3,20 5,3
• Ne 2,81 (88,0) 3,1 (58,7)
• Lym 0,311 (9,73) 1,8 (33,3)
• Mono 0,33 (1,02) 0,4 (7,2)
• Eos 0,019 (0,583) 0,0 (0,6)
• Baso 0,022 (0,689) 0,0 (0,2)
• RBC 3,02 2,52
• HGB 8,26 8,1
• HCT 25,6 20,4
• MCV 84,7 80,9
• MCH 27,4 32,3
• PLT 49,6 95
• KIMIA KLINIK (13/3/07)
• Glu 106
• BUN 12
• CREA 0,9
• AST 27
• ALT 16
• T-Bil 3,0
• D-Bil 0,80
• TP 5,8
• Alb 3,1
• ALP 39
• Ind Bil 2,2
• Ureum 25,7
• Glo 2,7
• Ass/:
• Suspek Malaria Falciparum dd/ Demam Tifoid
Observasi pansitopenia e.c.dd/- Malaria
- Anemia aplastik
• Tx/:
• MRS
• IVFD RL 30 tetes/menit
• Artesunate 4 – 4 – 4
• Amlodiaquin 4 – 4 – 4
• Primaquin 3 x III tab
• Paracetamol 3 x 500 mg (kalau perlu)
• Px/
• Pemeriksaan Darah Malaria
• Tes Widal
• Biopsi Sunsum Tulang
• Mx/
• VS
• Keluhan
125|TOV|MEDICUSLESCIUS
TIFOID
• P, 16 TH, KU: panas badan. Pasien mengeluh panas badan sejak 7 SMRS. Panas dirasakan meningkat perlahan-
lahan dan kemudian menetap. Panas dirasakan seperti air mendidih yang menguap dari kulit penderita. Penderita
merasa panas badan muncul terutama malam hari dan sedikit menurun pada siang hari namun tidak pernah
mencapai suhu normal. Panas badan sedikit menurun pada saat pasien minum obat penurun panas, namun panas
kembali meningkat beberapa jam kemudian. Panas badan diikuti oleh mual muntah sejak 2 hari yang lalu sebanyak
1-2 kali per hari, dengan jumlah setiap kali muntah ± ½ gelas, berisi makanan dan air, tanpa darah. Mual biasanya
muncul setelah penderita makan dan tidak hilang walaupun penderita minum minuman hangat dan makan bubur.
• Penderita juga mengalami rasa tidak nyaman yang sulit dijelaskan pada ulu hati dan mencret sejak 2 hari yang lalu.
Penderita mencret ± 6 kali dalam sehari, dengan jumlah ± ½ gelas setiap kali mencret, warna kuning kecoklatan,
tanpa darah dan lendir. Riwayat keluarga (-) Riwayat pribadi dan sosial didapatkan bahwa pasien berkerja sebagai
food cathering penderita turun, badan terasa lemas, dan kadamerasa nyeri kepala ringan. Nyeri otot dan
Status present
• Kesadaran : kompos mentis,
• Tekanan darah : 110/70 mmHg,
• Denyut nadi : 92 kali/menit,
• Pernafasan : 20 kali/menit,
• Temperatur axila : 38,9ºC,
• Tinggi badan : 155 cm,
• Berat badan : 44 kg,
• BBI : 49,5 kg,
• IMT : 18,3 kg/m2.
Mata : Anemia +/+, Ikterus -/- , RP +/+ isokor
THT : Kesan tenang, lidah tifoid (+)
Leher : JVP PR + 0 cm H2O
Thorak :
Cor :
I : ictus cordis tidak tampak
Pa : ictus cordis teraba 1 cm di kiri MCL ICS V
Pe : Batas atas ICS II
Batas kanan PSL kanan
Batas kiri 1 cm di medial MCL ICS V
A : S1 S2 tunggal reguler, murmur -
tPo :
I : simetris statis dan dinamis
Pa : VF N/N
Pe : sonor/sonor
A : Ves+/+, Rh -/-, Wh -/-
Abdomen
I : Distensi (-)
Aus : BU (+) meningkat
Pa : H/L tidak teraba, nyeri tekan (-)
Per : tympani
Extremitas : Akral hangat +|+
+|+
Edema - | -
- | -
• DARAH LENGKAP
• KIMIA KLINIK
• Ass/:
• Demam typhoid
Hipokalemia
Hiponatremia non emergency
• Tx/:
• MRS
• Diet rendah serat
• IVFD NaCl 0,9% 20 tetes/menit
• Paracetamol 3 x 500 mg
• Chloramphenicol 4 x 500 mg
• KSR tablet 1 x 600 mg (sd K >= 3,5)
• Primperan 3 x C1 (k/p)
• Px/-
• Mx/
• VS
• Keluhan
Chloramphenicol dengan dosis 50-100mg/kg
BB/hari, yang terbagi dalam 4 kali pemberian.
Dosis diturunkan menjadi 30 mg/kg BB/hari bila
demam telah hilang, dan terus diberikan sampai
dengan 7 hari bebas panas. Chloramphenicol
bekerja dengan mengikat unit ribosom dari
kuman salmonella, menghambat
pertumbuhannya dengan menghambat sintesis
protein. Chloramphenicol memiliki spectrum
gram negative dan positif.
Paracetamol diberikan sebagai penurun panas
dengan dosis 3 x 500mg, yang dapat dihentikan
kapan saja bila pasien tidak merasakan panas
badan lagi.
KSR adalah tablet yang mengandung kalium
klorida untuk mencegah hipokalemia, diberikan
dengan dosis 1 x 600mg dan dapat dihentikan
bila hasil pemeriksaan kalium sudah dalam batas
normal (3,5-5,5 mmol/L).
Primperan (metoclopramide) diberikan untuk
mengurangi gejala mual muntah dengan dosis 3 x
5 ml setiap sebelum makan dan dapat dihentikan
kapan saja penderita sudah tidak mengalami
mual lagi.
WBC 6,38
RBC 4,08
HGB 11,7
PLT 213
GLU 94
BUN 8
UREA 0,7
AST 48
ALT 43
Natrium 131,3
Kalium 3,38
Ureum 17,1
O H
S.typhi - 1/320
S.paratyphi A - 1/40
S.paratyphi B 1/80 1/160
S.paratyphi C 1/60 -
126|TOV|MEDICUSLESCIUS
DHF
P, 15 Th, mengeluh panas badan sejak hari Selasa tanggal 23 Januari 2007 yang dirasakan mendadak dan
semakin tinggi. Panas dirasakan seperti air mendidih dan sempat turun dengan obat penurun panas, tetapi tidak
pernah mencapai suhu normal dan meningkat kembali beberapa saat kemudian. tPenderita juga mengeluhkan
nyeri kepala depan (terutama pada bagian dahi) sejak 3 hari yang lalu bersamaan dengan dimulainya panas,
yang dirasakan seperti berdenyut. Nyeri kepala dirasakan terjadi terus menerus, memberat ketika panas meninggi
dan berkurang bila penderita minum obat penurun panas.Penderita juga merasakan pegal-pegal pada otot dan
persendian bahu, siku, pinggang dan terutama pada persendian kaki. Keluhan ini dirasakan pertama kali saat
panas badan mulai meninggi dan dapat berkurang terutama saat panas sedang turun. Pegal dirasakan seperti
ngilu yang dirasakan penderita juga pada saat pemeriksaan. Pegal-pegal dikatakan bertambah jika penderita
bergerak dan berkurang jika penderita beristirahat. Selain itu penderita juga merasakan badan sangat lemas
seperti tidak ada tenaga untuk bergerak sehingga penderita hanya ingin tidur di tempat tidur. Penderita merasa
mual yang dirasakan seperti rasa nek pada ulu hati sejak tiga hari sebelum masuk rumah sakit yang hilang timbul.
Penderita juga sempat muntah satu hari sebelum masuk rumah sakit sebanyak dua kali dengan volume
muntahan sebanyak 1 gelas (500cc) dan ½ gelas (250 cc), muntahan berisi makanan dan air yang dicerna tanpa
ada darah.Pada saat dirawat di RS Karang Asem, penderita sempat mengalami pendarahan di hidung.
Penderita kemudian segera dirujuk ke RS Sanglah malam itu juga. Darah yang keluar mengalir dari lubang
hidung, kurang lebih sebanyak ¼ gelas (125cc) berwarna merah segar. Setelah kurang lebih 15 menit,
pendarahan mulai berhenti dengan sendirinya, dan muncul kembali pada pagi hari sebanyak ½ sendok teh.
Pendarahan hidung yang terjadi muncul secara tiba-tiba. siklus haid yang biasanya teratur. BAB/BAK N.
RK (-), RS (-) damerasa nyeri kepala ringan. Nyeri otot dan
Status present
KU : CM
TD : 100/60 mmHg
N : 96x/menit
R : 20x/menit
Tax : 37,5ºC
Mata : An (-), Ikt (-)
THT : Pendarahan aktif: -/-
Stolsel : +/+ di Pleksus Kiesselbach.
Thorax:DBN
Abdomen: DBN
Extremitas: Akral hangat +|+
+|+
Edema - | -
- | -
RL test (+), Petechie (+) pada lengan kanan
DARAH LENGKAP
• Ass/:
• DHF Gr II hari ke 5
• Tx/:
• MRS
• IVFD RL → 30tetes/menit
• Paracetamol 3 x 500 mg
• Minum banyak 1,5 – 2L
• Vit BC 3x1 tab
• Px/
• DL @ 8 jam
• Serology DHF hari ke 7
• Consul THT
• Mx/
• VS
• Keluhan
• Bleeding (epistaksis)
25 26
(06.38)
26
(16.55)
27
(09.16)
27
(15.35
)
27
(23.37)
28
(10.15
)
29
(17.39
)
WBC (K/uL) 7,7 5,21 7,2 7,24 7,3 6,4 8,54 9,04
RBC (x10
6
/uL) 5,58 5,24 4,6 4,61 4,43 5,19 4,03 4,25
HGB (g/dl) 14,9 14,9 12,5 12,9 12,1 9,5 11,4 11,6
HCT (%) 41,7 41,2 37,2 35,1 36 42,2 31,9 33,1
MCV (fl) 74,7 78,7 80,8 76,1 81,2 81,4 79 77,9
MCH (pg) 26,7 28,5 27,1 28 27,4 18,3 28,1 27,4
PLT (K/uL) 23 35,9 22 37 43 61 66,7 149
Pemeriksaan
Tanggal 29 januari
2007
IgM DHF (+)
IgG DHF (+)
127|TOV|MEDICUSLESCIUS
STEMI
• Seorang laki-laki, umur 41 tahun, Hindu, suku Bali, rujukan RSU Sanjiwani Gianyar dengan diagnosa Acute Myocardial
Infarction telah dirawat selama 3 hari, mendapat pengobatan ISDN 3x10 mg, Alprazolam 2x5 mg, Captopril 2x25 mg.
Penderita datang ke rumah sakit dengan keluhan nyeri pada dada sebelah kiri. Nyeri dada ini terjadi secara tiba-tiba
dirasakan seperti di tekan pada 3 hari sebelum masuk rumah sakit. Nyeri dada ini menjalar sampai ke lengan kiri tetapi tidak
menjalar ke leher maupun lengan kanan. Saat ini nyeri dada tetap dirasakan seperti 3 hari yang lalu. Rasa nyeri ini timbul
pada saat penderita sedang melakukan aktivitas (upacara adat) kurang lebih selama 15 menit. Nyeri dada ini tidak membaik
walaupun penderita sudah berbaring (beristirahat) dan terus menerus dirasakan sampai penderita datang ke rumah sakit.
Keluhan nyeri dada ini disertai dengan nafas terasa berat dan pusing. Berkeringat dingin, dada berdebar, perasaan mual dan
muntah tidak dikeluhkan penderita. Keluhan lain seperti panas badan dan batuk disangkal oleh penderita.Penderita
mengatakan bahwa keluhan nyeri dada ini baru pertama kali dirasakannya.
• Penderita mempunyai riwayat hipertensi yang baru diketahui 6 bulan yang lalu, namun tidak kontrol secara teratur.
Penderita mengatakan tidak pernah menderita penyakit jantung sebelumnya. Riwayat diabetes melitus juga disangkal oleh
penderita.
• Penderita adalah seorang buruh bangunan. Penderita juga seorang perokok berat, dalam sehari dia biasanya mengabiskan 1
sampai 2 bungkus rokok. Kebiasaan merokok ini sudah dilakukannya sejak kurang lebih 20 tahun yang lalu. Kebiasaan minum
alkohol maupun mengkonsumsi jamu-jamuan disangkal oleh penderita.
ngan. Nyeri otot dan
Status present
• Compos mentis (E4V5M6) dengan
tekanan darah 100/60 mmHg. Nadi 100
kali per menit, reguler, isi cukup.
• Respirasi 24 kali per menit (teratur,
torakoabdominal).
• Temperatur aksila 36,8 derajat celcius.
• Tinggi badan 166 cm, berat badan 71
kilogram, IMT 25,76 kg/m2
AN-/-, IKT-/- JVP N
Thorak dada simetris kanan dan kiri saat statis dan dinamis, palpasi
didapatkan fremitus vokal normal pada kedua sisi, perkusi sonor
pada kedua sisi paru, auskultasi didapatkan suara nafas vesikuler,
tanpa ronkhi maupun wheezing pada kedua sisi paru. Pemeriksaan
fisik jantung, inspeksi iktus cordis tidak tampak, palpasi iktus kordis
teraba pada 1 jari medial ICS V MCL Sinistra, tidak kuat angkat,
pada perkusi didapatkan batas atas pada ICS II, batas kanan
parasternal line kanan, batas kiri pada 1 jari medial ICS V MCL
sinistra, auskultasi didapatkan S1S2 tunggal reguler, murmur (-).
Abd, Extr N
DARAH LENGKAP
• WBC 17,1 K/uL, HgB 14,0 gr/dL, HCT 36,6 %, PLT 232 K/uL, CKMB 20,5 U/L, LDHI 3935 U/L, AST 186 U/L, ALT
71 U/L, BUN 18 mg/dL, SC 1,4 mg/dL, Glukosa sewaktu 106 mg/dL, kolesterol 260 mg/dL, kolesterol HDL 43
mg/dL, kolesterol LDL 193 mg/dL, dan trigliserida 126 mg/dL.
• EKG (saat masuk rumah sakit) didapatkan irama sinus 105 kali per menit, axis normal. ST elevasi pada I, II, AVL,
V2, V3, V4, V5, V6. QS pada V1, V2, V3, V4, V5, V6.
• Ass/:
• PJK/IMA anterior luas + inferior/ K I,
Dislipidemia, Hipertensi terkontrol.
• Tx/:
• Tirah baring, rawat ICCU,
• IVFD NS 8 tetes per menit,
• O2 4 – 5 liter per menit,
• Diet jantung I,
• ISDN 5 mg sublingual dilanjutkan dengan ISDN
drip 20 ug/kgBB/jam,
• Asetosal 1 x 160 mg,
• Clopidogrel 300 mg dilanjutkan 1 x 75 mg,
• Bisoprolol 1 x 2,5 mg,
• Fondaparinux 1 x 0,5 cc SC,
• Diazepam 3 x 5 mg,
• Laxadine 3 x CI,
• Simvastatin 1 x 20 mg.
• Px/
• Coronary angiografi.
• Mx/
• Vital sign, keluhan sesak nafas dan nyeri dada.
Lokasi Sadapan Perubahan EKG
Anterior V1-V4 ST- elevasi,
Gelombang Q
Anteroseptal V1-V3 ST-elevasi,
Gelombang Q
Anterior ekstensif V1-V6 ST-elevasi,
Gelombang Q
Posterior V1-V2 ST-depresi,
Gelombang R tinggi
Lateral I, aVL,
V5-V6
ST-elevasi,
Gelombang Q
Inferior II, III,
aVF
ST-elevasi,
Gelombang Q
Ventrikel kanan V3R,
V4R
ST-elevasi,
Gelombang Q
128|TOV|MEDICUSLESCIUS
• Pemberian oksigen dimaksudkan untuk meningkatkan supply oksigen kejantung sehingga dapat membantu dalam memenuhi
kebutuhanjantung akanoksigen dalam keadaan infark. Pada kasus tanpa komplikasi oksigen ini cukup diberikan pada hari
pertama saja.1,4,6,14
• Asetosal (aspirin) merupakan terapiyang sangat penting dalam penanganan STEMI. Asetosal akanmenghambat pembentukan
trombus yang berhubungan dengan IMA dan menghambat agregasi platelet. Asetosal ini bekerjadengan penghambatan pada
cyclooxygenaseplatelet yangakandiikuti dengan pengurangan trombokan A2. Pada saat awaldiberikan dengan mengunyah
asetosaldimaksudkan agar terjadi penyerapan bukal yanglebih cepat,kemudian dilanjutkan dengan pemberian secara oral.
1,4,6,14
• ISDN diberikan dengan tujuan untuk mengurangi nyeridada, selain itu ISDN juga dapat menurunkan kebutuhan oksigen
miokard dengan menurunkan preload danmeningkatkan suplai oksigen miokard dengan caradilatasi pembuluh koroner yang
terkenainfarkdan kolateralnya. Pada kasus ini tidak ditemukan kontra indikasi pemberian nitrat (hipotensi, bradikardi, infark
ventrikelkanan,penggunaan sildenafil dalam 24jam) sehingga pemberian ISDN dapat dilanjutkan.1,4,6,14
• Propanolol merupakan penyekat beta. Manfaat dari penyekat beta padapasien AMI adalah dapat mengurangi kebutuhan
oksigen miokard, mengurangi nyeri, mengurangi luasnyainfark dan menurunkan risiko kejadian aritmia ventrikelyang luas.
Pada kasusini tidak ditemukan adanya kontraindikasi dari pemberian penyekat beta(bradikardi, tekanan sistolik <100 mmHg,
bendungan paru, tanda-tandahipoperfusi perifer, blok AV, PPOK atauasma, danpenyakit vaskuler perifer yangberat) sehingga
pemberian atenolol dapat dilanjutkan.1,4,6,14
• Bedresttotal dimaksudkan agarpenderita tidak berakitivitas terutama dalam beberapa jam setelah infark karena aktivitas dapat
meningkatkan permintaan (demand) oksigen di jantung yang dapat memperberat ataumemperluas infark. Oleh karena itu
penderita dengan AMI harus paling tidak bed rest total selama 12jam pertama. Mobilisasi dini sudah dapat dilakukan dalam 24
jampada infark tanpa komplikasi.1,4,6,14
• Diet cair diberikan karena terdapat risiko muntah dan aspirasi setelah infark.Selain itu pemberian diet cair (diet jantung I) ini
juga akanmengurangi kerja saluran pencernaan, dan mengurangi risiko konstipasi sehingga dapat mengurangi permintaan
oksigen jantung. Diet yangdiberikan mencakup lemak < 30%dari kalori total dengan kandungan kolesterol ≤ 300mg/hari, kadar
karbohidrat dianjurkan 55 % dari kalori total, banyakserat,kalium, magnesium,dan rendah natrium.1,4,6,14
• Laxadinediberikan sebagai pelunak tinja. Halini dimaksudkan untuk mempermudah penderita dalam buang air besar dan
mencegahkonstipasi. Karenamengedan yangberlebihan dapat menyebabkan gangguan hemodinamik dan elektrokardiografik
yangberbahaya.1,4,6,14
• Diazepamdiberikan dengan tujuan untuk mengurangi aktivitasdan kecemasanpenderita, sehingga penderita dapat beristirahat
denganbaik, dengan demikian kebutuhan akanoksigen juga akandapat menurun.1,4,6,14
• Asetosal dan Clopidogrel juga merupakan antitrombotik tetapi dengan cara kerja yang berbeda. Clopidogel bekerjadengan
menghambat ADP (adenosine diphospate) yang berikatandengan reseptor platelet sehingga akhirnya akanmenghambat
agregasiplatelet. Tujuan primer dari penggunaan antitrombotik ini adalah untuk memantapkan dan mempertahankan patensi
arterikoroner yang terkait infark. Tujuan sekunderadalah untuk menurunkan tendensi pasien untuk menjadi trombosis. 1,4,6,14
• Fondaparinux merupakan low molecular weight heparin (LMWH) yang merupakan antitrombin atau antikoagulan. Pemberian
fondaparinux ini dimaksudkan untuk untuk mencegah reoklusi. Heparin mempunyai peranan dalam mencegah aktivasi
koagulasidengan membentuk kompleks dengan antitrombin III yang menghambat aktivasifaktor IIa, Xa, dan IXa. 1,4,6,14
• Simvastatin merupakan agen penurun kadar kolesteroldalam darahyang bekerjasebagai penghambat HMG-CoA reduktase
sehingga menurunkan sistesiskolesteroldalam liver. Pemberian simvastatin pada kasusini karena dari pemeriksaan
laboratorium didapatkan hiperkolesterolemia yang merupakan salah satufaktor risiko terjadinya IMA.1,4,6,14
129|TOV|MEDICUSLESCIUS
UAP
• Perempuan, 51 tahun, Hindu, Bali dengankeluhan nyeri dada kiri sejak 1 jam SMRS. Nyeri dada dirasakan saat os sedang
duduk menonton televisi (jam 6 sore), awalnya pada dada bagian tengah kemudian menjalar sampai ke leher kiri. Nyeri dada
dirasakan seperti tertekan benda berat dan terus memberat. Nyeri dada ini dirasakan berlangsung selama ± 10 menit dan
kemudian terasa lebih ringan setelah penderita istirahat di tempat tidur. Karena merasa baikan os kemudian berjalan ke
halaman hendak menyapu, saat mulai menyapu nyeri dada yang sama muncul lagi dan memberat saat os berjalan. Nyeri
terasa berkurang setelah penderita istirahat namun tidak hilang. Nyeri dada yang kedua berlangsung selama 15 menit terasa
lebih berat dan disertai oleh dada berdebar dan keluar keringat dingin. Karena keluarga merasa khawatir os kemudian
dibawa ke rumah sakit Sanglah. Nyeri dada menghilang setelah os diberikan obat serbuk yang ditaruh di bawah lidah oleh
dokter. Os tidak mengeluhkan adanya sesak napas, mual dan muntah. Saat pemeriksaan nyeri dada terasa namun lebih
ringan daripada waktu pertama kali, dan hilang timbul. Nyeri timbul bila penderita banyak bicara.
• Keluhan nyeri dada ini baru pertama kali dirasakan oleh penderita. Saat ini os sedang menderita penyakit tekanan darah
tinggi yang diketahui sejak 6 bulan lalu, kontrol tidak teratur, riwayat pemakaian obat dengan captopril.
• Os memiliki riwayat stroke ringan 6 bulan yang lalu, mendapat pengobatan berupa Brainact dan asetosal, minum obat tidak
teratur. Os menyangkal menderita penyakit kencing manis, asma dan penyakit jantung sebelumnya.
• Riwayat keluarga, ibu kandung os menderita hipertensi. Os menyangkal memiliki kebiasaan merokok dan minum minuman
keras. Os mengaku sebelum terkena stroke ringan tidak mempunyai kebiasaan berolahraga, namun sejak sakit seminggu
sekali pergi olahraga ke Renon bersama keluarga. Os juga suka makanan manis dan berlemak seperti daging babi dan
kerupuk kulit ayam. Os menderita obesitas sejak melahirkan anak kedua (saat ini BB 90 kg dan TB 160 cm). Os saat ini sudah
menopause sejak 8 bulan tidak menstruasi.
Status present
Kesadaran : E4V5M6
Tensi : 160/100 mmHg
Nadi : 80 x/menit
Respirasi : 20 x/menit
Temp. Aksila : 36,7 °C
TB : 160 cm
BB : 90 kg
Mata : an-/-, ikt -/- Leher : JVP PR 0 cm H2O
Thoraks :Cor : I : tampak ictus kordis
Pa : teraba ictus kordis di MCL kiri ICS V
Pe : batas ka : 1 cm lat PSL kanan
batas ki : 3 cm MCL kiri
atas : ICS II
pinggang jantung ada
Au : S1S2 tunggal reguler murmur (-)
Po : I : gerak pernafasan simetris D/S
Pa : VF N/N
Pe : sonor/sonor
Au : ves +/+, rh -/-, wh -/-
Abdomen, extr: dbn
• Ass/:
• OBSERVASI HEMATEMIS-MELENA E.C ULKUS
GASTRIK.
• ANEMIA SEDANG NORMO-NORMO E.C
ACUTE BLEEDING
• TROMBOSITOPENIA E.C SUSPEK DRUG-
INDUCED.
• Tx/:
• MRS
• IVFD, NACL 0,9 % 30 TETES/MNT,
• NGT GC ~ PROTOKOL,
• OMEPRAZOLE 2 X 40 G,
• TRANEXAMIDE ACID TAB 3X 500 MG,
• ANTACIDA SYR 3 X CI,
• SUKRALFAT SYR 3 X CI,
• TRANSFUSI PRC 2 KOLV/HARI. ~ Hb > 8 gr/dl
• Px/ EGD
• Mx/ VS, KEL, CM-CK
DARAH LENGKAP KIMIA DARAH
WBC 14.9 GLU 78
RBC 2.36 BUN 36
HGB 7.65 CREA 0.8
HCT 21.1 AST 85
MCV 89.6 ALT 53
MCH 32.5 TBil 1.3
MCHC 36.2 DBil 0.31
PLT 109 ALB 2.6
WKTU TROMBIN 12.5’’ Na 143.8
PTT 25.2’’ K 3.89
INR 1.10 Clorida 110
Indirect Bil 1
Ureum 77
Globulin 3.6
RT: KOTORAN WARNA
HITAM, BAU BUSUK, AGAK
LEMBEK
TINDAKAN UMUM:
DILAKUKAN RESUSITASI,
OBSERVASI VITAL SIGN, MUAL MUNTAH
DAN HB,
DIBERIKAN CAIRAN INFUS (IVFD), NACL
0,9 % 30 TETES,
DILAKUKAN PEMERIKSAAN HB: 7,65
HCT: 21,1 PLT: 109,
TINDAKAN KUSUS :
DILAKUKAN KUMBAH LAMBUNG
DENGAN NGT MENGGUNAKAN AIR ES
150 CC SAMPAI LAMBUNG BERSIH,
DIBERIKAN ASAM TRANEXAMAT TAB 3 X
500 MG SEBAGAI HEMOSTATIK,
DIBERIKAN TRANSFUSI PRC 2
KOLF/HARI,
DIBERIKAN ANTASIDA 3X CI ,
OMEPRAZOLE 2 X 40G, SUKRALFAT 3 X
CI SEBAGAI OBAT-OBATAN PELINDUNG
MUKOSA LAMBUNG ATAU PENETRAL
ASAM,
130|TOV|MEDICUSLESCIUS
HEPATITIS
• Penderita, Lk, 40, datang dengan keluhan kuning pada mata sejak 13 hari SMRS, penderita menceritakan kalau
matanya menguning dan kulitnya juga menguning. Penderita menceritakan kalau dia mengalami kuning terlebih
dahulu pada mata kemudian diikuti oleh kulit yang menguning pada kaki dan tangan. Namun pasien masih dapat
beraktivitas. Pasien sebelum MRS sempat mengeluhkan kalau dia panas 3 hari sebelum mengeluhkan matanya
menjadi kuning, panas turun setelah mendapat obat dari mantra berupa suntikan yang pasien tidak tahu apa obat
yang diberikan. Pasien mengalami mual muntah yang disertai dengan nyeri diuluhati, setelah demam kira-kira 4
hari SMRS, nyeri di uluhati os. dirasakan hilang timbul dan tidak terjadi saat pasien makan, volume muntah pasien
100 cc setiap muntah, pasien mengaku kalau ia muntah jarang sekitar 2-3 kali sehari SMRS.
• Pasien mengeluhkan nyeri perut kanan atas sejak 2 minggu nyeri dirasanya pertama-tama dari perut kanan atas
namun saat pemeriksaan nyeri udah tidak dirasakan lagi. Pasien mengeluh kalau saat BAB, kotorannya berwarna
pucat 4 hari sebelum masuk rumah sakit. Kencing pasien dikeluhkan berwarna kecoklatkan seperti teh sejak 5
hari SMRS. Pasien mengeluh gatal-gatal pada dada sejak 4 hari SMRS, namun saat pemeriksaan pasien sudah
tidak mengeluhkan gatal-gatal lagi. Nafsu makan pasien menurun SMRS sekitar 7 hari, namun saat pemeriksaan
nafsu makan pasien sudah mulai membaik.
• Riwayat maag (+). Ayah pasien pernah mengalami riwayat sakit kuning. Penderita bekerja sebagai petani.
Penderita mengaku memiliki kebiasaan merokok 2 bungkus rokok sehari dan memiliki kebiasaan meminum kopi
3-4 kali sehari.. Penderita dulu memiliki riwayat minum alkohol ( tuak ) saat muda.pasien mengaku suka
mengkonsumsi alkohol pada saat SMU dan mulai berhenti setelah menikah namun masih suka ikut minum dalam
upacara-upacara adat.
Status present
Kesan sakit : sedang
Tensi : 120/80 mm Hg
Kesadaran : komposmentis
Nadi : 88x/menit
TB : 165 cm
Respirasi : 20x/menit
BB : 60 kg
Suhu badan : 37 0C
Lainnya DBN
Mata : anemia -/-, ikterus +/+,
EXTR: Ikterus: +/+
+/+
• Ass/:
• Hepatitis akut karena alkohol
• Tx/:
• Tirah baring
• Diit tinggi kalori tinggi protein
• Ranitidin 2 x 1
• Methioson 3 x 1
• Curcuma 3 x 1
• Px/
• Darah lengkap
• UL
• FL
• Tes Faal Hati.
• Tes fungsi biokimia hati ( alkali fosfatase dan γ
GT )
• Mx/ VS, KEL, CM-CK
Jenis Pemeriksaan 29 12 2006 Hasil (Nilai Normal)
WBC 8,8 (3,5 - 10)
RBC 5,43 (3,8 - 5,8)
HGB 14,6 (11 - 16,5)
HCT 42,9
PLT 228 (150 - 390)
PCT (100 - 500)
MCV (80 - 97)
MCH (26,5 - 33,5)
MCHC (31,5 - 35)
RDW (10 - 15)
MPV (6,5 - 11)
PDW (10 - 18)
LYM 22,4 (1,2 - 3,2)
MONO (0,3 - 0,8)
Granulosit (1,2 - 6,8)
Gula Darah Acak 69,8 (<140)
Urea 36,9 (10 - 50)
Crea 1,3 (0,6 - 1,1)
SGOT 532 (≤37)
SGPT 593 (≤42)
Gula darah acak : 69,8 mg/dl
Fungsi ginjal :
Urea : 36,4 mg/dl ( 10-50 )
Creatinine : 1,3 ( 0,6-1,1 )
Fungsi Hati :
SGOT : 532 U/L ( ≤ 37 )
SGPT : 593 U/L ( ≤ 42 )
1.Pemeriksaan USG ( 30 desember 2006 )
USG :Hepar : - struktur echo kasar
a.Permukaan licin, tepi rata, sudut lancip,
b.Vena Hepatika dan Vena porta tidah melabar.
GB: Batu (-)
Kesan : ∼Gambaran Hepatitis.
1.Hasil Laboratorium ( 4 Januari 2007 )
Fungsi hati Bilirubin Total : 25 ( < 1,00 )
Bilirubin direct : 10,5 ( < 0,2 )
SGOT : 116,0 U/L
SGPT : 277,6 U/L
Prot total : 77,6
Albumin : 40,0
Globulin : 37,6
1.Tes Serologi ( 8 Januari 2007 )
Anti HCV ( - )
Anti HAV IgM ( - )
HbsAg ( - )
131|TOV|MEDICUSLESCIUS
CKD
• Penderita laki-laki, 22 tahun, Islam, Bali datang dengan keluhan sesak nafas sejak 2 hari sebelum masuk rumah sakit, terjadi
mendadak saat penderita bangun tidur pagi hari, dada dirasakan berat dan sulit untuk bernafas. Awalnya sesak dirasakan
ringan sehingga pasien dapat beraktivitas seperti biasa. Lama kelamaan dirasakan semakin memberat terutama pada waktu
berjalan dan tidur sedangkan membaik saat posisi duduk.
• Sejak kurang lebih 3 bulan sebelum masuk rumah sakit penderita mengeluh kedua kakinya membengkak, terasa berat dan
tidak terasa nyeri saat berjalan sehingga penderita masih bisa untuk melakukan aktivitas. Keluhan ini dirasakan terus
menerus, tidak berkurang dan bertambah besar saat beristirahat atau beraktivitas serta tidak berubah dengan dilakukan
perubahan posisi. Awalnya dirasakan pertama kali pada wajah, terutama terlihat pada kedua kelopak mata, kemudian kedua
tangan dan kedua kaki.
• Keluhan mual-mual dirasakan sejak seminggu sebelum masuk rumah sakit kadang-kadang disertai muntah dengan frekuensi
kurang lebih 1 kali dalam sehari dengan isi muntahan makanan maupun minuman yang dikonsumsi sebelumnya.
• Penderita sering mengeluh pusing, pandangan berkunang-kunang, nafsu makan yang menurun, cepat lelah dan lemas badan
walaupun aktivitas yang dilakukan tidak terlalu berat. Keluhan ini sudah lama dirasakan oleh penderita.
• Buang air besar normal dengan konsistensi keras, warna kuning kecoklatan, dan frekuensi satu kali sehari. Sedangkan untuk
buang air kecil terganggu sejak kurang lebih 3 bulan yang lalu. Air kencing sedikit-sedikit dengan volume kurang lebih
seperempat gelas dengan frekuensi kurang lebih dua kali sehari, tidak ada darah, tidak nyeri, warna kencing dikatakan keruh.
• Penderita mengetahui mengalami penyakit gagal ginjal sejak satu bulan sebelum masuk rumah sakit dan telah menjalani
hemodialisis satu kali seminggu, namun seminggu sebelum masuk rumah sakit penderita tidak melakukannya. Penderita
sempat dirawat dirumah sakit dan dikatakan mengalami gagal ginjal. Riwayat merokok maupun minum minuman beralkohol
disangkal oleh penderita. Tidak ada anggota keluarga yang memiliki keluhan yang sama seperti penderita.
Status present dengan kesan sakit
berat, kesadaran komposmentis,
tekanan darah 140/90 mmHg, nadi
84x/menit, respirasi 26x/menit, suhu
badan 36,4 0C, tinggi badan 170
cm, berat badan 50 kg dengan
keadaan gizi IMT=17,30.
Status general pasien, mata tampak anemis, telinga hidung
tenggorokan tampak kesan tenang, thorak jantung dalam batas
normal sedangkan pada paru dari Inpeksi didapatkan simetris baik
statis maupun dinamis, dari palpasi VF menurun pada kedua sisi,
dari perkusi didapatkan redup pada kedua sisi dan dari auskultasi
didapatkan suara napas vesikuler, terdapat ronki pada kedua sisi
pada basal paru dan tidak ada wheezing. Pada pemeriksaan
abdomen dari inspeksi distensi tidak ada, warna kulit normal, dari
palpasi hepar dan lien tidak teraba, nyeri tekan epigastrium tidak
ada, dari pemeriksaan perkusi didapatkan suara timpani dan pada
auskultasi didapatkan bising usus normal. Pada pemeriksaan
ekstremitas didapatkan akral hangat dan tampak odema pada
kedua kaki.
• Ass/:
• Penyakit Ginjal Kronik Stadium V ec. Susp. GNC,
• Edem paru,
• Anemia berat N-N e.c on CKD,
• Hiperkalemia,
• Hipertensi stadium I.
• Tx/:
• MRS
• O2 1-2 liter/menit,
• IVFD NaCl 0,9% 12 tetes/menit,
• Diet 35 Kcal 0,8 g protein/kgBB/hari,
• Asam folat 2 x II,
• CaCO3 3 x I,
• Captopril 2 x 25 mg,
• Furosemide 2 ampul,
• Kalsium glukonas 10% 3x1 gram IV,
• Dekstrose 50% ditambah insulin 20 IU,
• HD cito,
• Transfusi PRC sampai Hb ≥ 10gr/dL.
• Px/
• cek darah lengkap ulang, cek elektrolit ulang,
dan operasi AV Shunt.
• Mx/ Vs, keluhan terutama sesak napas, CM-CK, BUN
dan serum kreatinin
9/8/07 10/8/07 12/8/07
WBC (K/uL) 7,0 6,4 4.6
RBC (M/uL) 1,46 2,28 2,40
HGB (g/dL) 4,4 6,6 6,9
HCT (%) 13,1 19,0 20,7
MCV (fl) 89,7 83,7 86,3
MCH (pg) 30,1 29,0 28,7
PLT 96 83 92
9/8/07 10/8/07 12/8/07
BUN 323 101 86,0
SC 16,4 15,6 13,59
Na 133 134.3 136,2
K 6,66 6,4 5,4
Analisis Gas Darah pada tanggal 10 Agustus 2007
didapatkan PH 7,50, pCO2 34, pO2 63, Natrium 128, Kalium
7,0, HCO3 26,5,. Dari pemeriksaan urinalisis lengkap pada
tanggal 13 Agustus 2007 didapatkan urin warna kuning, keruh,
pH 8.0, nitrit tidak ada, keton tidak ada, reduksi tidak ada,
protein 500 (+4), bilirubin tidak ada, urobilin tidak ada,
glukosa tidak ada, urobilinogen tidak ada, eritrosit 150,
leukosit tidak ada. Dari hasil pemeriksaan sedimen urine
didapatkan silinder granula cast (+1), eritrosit 8-10, kristal
tidak ada, lekosit 6-8, tubulus cell (+1) dan bakteri (+1).
Dari hasil pemeriksaan thoraks foto AP tanggal 9
Agustus 2007 didapatkan CTR 53,85% dan tampak infiltrat
dipus di kedua lapangan paru. Kesan foto thorak yaitu jantung
tidak membesar dan edema paru.
GFR (ml/mnt/1,73m2) = (140-umur) x Berat badan
72 x kreatinin plasma(mg/dl)
Klasifikasi PGK
Stadium Penjelasan GFR (ml/mnt/1,73m2)
1
2
3
4
5
Kerusakan ginjal dengan GFR normal atau ↑
Kerusakan ginjal dengan GFR ↓ ringan
Kerusakan ginjal dengan GFR ↓ sedang
Kerusakan ginjal dengan GFR ↓ berat
Gagal ginjal
≥ 90
60-89
30-59
15-29
<15 atau dialisis
132|TOV|MEDICUSLESCIUS
• IVFD NaCl 0,9 % 12 tetes/menit ( 1 liter/hari) untuk keseimbangan cairan masuk. Jumlah cairan yang masuk dan keluar harus dimonitoring
karena adanya fungsi ginjal yang menurun serta untuk mencegah terjadinya overload cairan yang masuk. Pasien tidak disarankan untuk
minum banyak karena dapat menyebabkan overloadcairan dalam tubuh sehingga dapat memperparah terjadinya peningkatan tekanan darah,
odemaekstrimitasdanodemaparu.
• Keadaan oedem paru terjadi akibat ginjal tidak dapat mengekskresi urin, garam dalam jumlah yangcukup. Pada penderita ini dianjurkan tidur
denganposisisetengahdudukagarcairandalamparudapatdidistribusikevaskularsistemik.Kemudianuntukmencukupikebutuhanoksigen,
penderitainidiberikanoksigen1-2liter/menit.Terapilainadalahdenganmengeluarkancairanmelaluihemodialisissegera.
• Diet rendah protein telah terbukti dapat memperlambat progresivitas gagal ginjal. Gejala-gejala uremia akan hilang bila protein dibatasi,
asalkan kebutuhan energi dapat dicukupi dengan baik. Diet rendah protein, dianggap akan mengurangi akumulasi hasil akhir metabolisme
protein, yakni ureum dan toksin uremik yang lain. Selain itu telah dibuktikan pula bahwa diet tinggi protein akan mempercepat timbulnya
glomerulosklerosis sebagai akibat meningkatnya beban kerja glomerulus dan fibrosis interstitial. Kebutuhan kalori harus dipenuhi guna
mencegah terjadinya pembakaran protein tubuh dan merangsang pengeluaran insulin. Kalori yang diberikan sekitar 35 Kal/KgBB, protein 0,5-
0,8 gram/KgBB/hari dengan nilai biologis tinggi (40% asam amino essensial).1,9,10,11 Kebutuhan diet ini sesuai dengan yang telah diberikan
padapenderitayaituDiet35Kcal0,8gprotein/kgBB/harisertarendahgaramkarenaadanyahipertensidanoedema.
• Untuk mencegah hiperparatiroidisme sekunder,kadar fosfor serumharus dikendalikandengan diet rendahfosfor (terutama dagingdan susu).
Apabila GFR < 30 ml/menit, diperlukan pemberian pengikat fosfor seperti kalsium karbonat atau kalsium asetat yang diberikan pada saat
makan. Pada penderita ini juga diberikan CaCO3 3xI tablet untuk mencegah terjadinya hiperfosfatemia, sehingga hipokalsemia dan
hiperparatiroidismedapatdicegah.
• Berdasarkan konsensus yang ditetapkan oleh JNC VII, pada pasien-pasien dengan CKD pemberian obat-obatan antihipertensi dari golongan ACE inhibitor
dan Angiotensin Receptor Blocker (ARB) merupakan pilihan utama yang memiliki efek untuk memperlambat perjalanan penyakit ginjal kronis.19 Pemberian
obat-obat antihipertensi Captopril 2 x 25 mg, dilakukan untuk menurunkan tekanan darah dan pemberiannya sendiri tidak dilakukan secara kombinasi
mengingat penderita tergolong dalam hipertensi stadium I. Selain itu diet rendah garam juga diterapkan pada penderita untuk menjaga tekanan darah agar
tetapterkontroldantidakmeningkat.
• Pencegahan terjadinya hiperkalemi perlu menjadi perhatian. Hiperkalemi dapat menimbulkan kegawatan jantung dan kematian mendadak
akibataritmiakordisyangfatal.
• Lima langkah kunci dalam penatalaksanaan hiperkalemia adalah 27: (1) proteksi jantung dengan mengantagonis efek dari hiperkalemia, (2)
mendorong kalium masuk ke dalam sel, (3) membuang kalium dari dalam tubuh, (4) monitor kadar kalium dalam serum untuk mengetahui
adanyareboundhiperkalemia,(5)mencegahterjadihiperkalemiayangberulang.
• Bila keadaan hiperkalemi sangat membahayakan (≥ 6,7 mmol/L), dimana dapat terjadi aritmia, cardiaopulmonary arrest, bahkan sudden death, diberikan
kalsium parenteral untuk merendahkan kepekaan membran sel otot jantung terhadap keadaan hiperkalemi yaitu dengan pemberian kalsium glukonas 10%
sebanyak10mlselama2-5menitintravenadan dapatdiulangi27. Pengaruh obatinihanyasekitar20-60menit.Setelahpemberian kalsiumkemudiandilakukan
hemodialisisuntukmengeluarkankaliumdaridarahpenderita.
• Untukmendorongkaliumekstraselmasukkeintraseldenganpemberianobat-obatandibawahini:6,7
• Natriumbikarbonat50-150mEq intravenadalamwaktu5menit(onset15-30menit).
• Pemberian infus glukosa dan insulin (50 ml glukosa 50% dengan 10-20 U insulin kerja cepat) selama 15 menit dapat menurunkan kalium 1-2 mEq/L dalam
waktu30-60 menit.Insulin bekerjadengan menstimulasipompaNa-K-ATPase padaototskeletdan jantung,hatidanlemak,memasukkan kaliumkedalamsel.
Glukosaditambahkangunamencegahhipoglikemi.
• Salbutamol5mg nebulizer,diberikandalambeberapadosis.(onset15-30menit)
• Untuk meningkatkan pengeluaran kalium melalui usus dengan memberikan resin penukar secara oral maupun supositoria misalnya dengan pemberian
Kayexalate 25-50 gram atau kalsium resonium 15-30 gram. Selain itu juga dapat diberikan diuretik seperti furesemide dengan dosis 1 mg/kgBB intravena
secaraperlahan.27
• Pada penderita ini,untukmengatasikeadaanhiperkalemidiberikandekstrose 50% ditambah insulin 20 IU menstimulasipompa Na-K-ATPasepada ototskelet
dan jantung, hati dan lemak, memasukkan kalium ke dalam sel, dan oleh karena didapatkan kadar kalium yang tinggi (6,6 mmol/L) sehingga dapat
membahayakanjantung,makadiberikankalsiumglukonas10%untukmemproteksijantung.
133|TOV|MEDICUSLESCIUS
Syok Anafilaktik
• Seorang perempuan, umur 38 tahun, Hindu, suku Bali datang ke RS Sanglah Denpasar dengan keluhan kemerahan tersebar
pada seluruh tubuh setelah tersengat lebah 5 jam SMRS. Sisa sengat lebah tampak di kulit dan langsung dicabut. Kemerahan
di kulit muncul setelah 10 menit setelah sengatan dengan batas tidak jelas, diameter terbesar 2,5cm,dan permukaan kulit
meninggi. Awalnya kemerahan timbul di tempat sengatan lebah, setelah itu menyebar ke seluruh tubuh. Kemerahan pada kulit
disertai rasa gatal. Kemerahan tidak membaik walaupun telah diolesi minyak gosok. Lebah yang menyengat dikatakan berwarna
coklat tua agak kehitaman, panjang badan 3 cm, bentuk bulat panjang dengan ekor lancip.
• Penderita juga mengeluh wajah terasa tebal dan bibir bengkak. Seluruh wajah terasa tebal sejak 4 jam SMRS. Tebal dikatakan
seperti ada sesuatu yang menutupi wajah sehingga tidak terasa bila disentuh. Awalnya tebal hanya terasa di daerah sekitar mulut
dan mata namun kemudian tebal terasa menyebar hingga ke seluruh wajah. Rasa tebal tidak membaik walaupun telah dikompres
dengan air hangat. Bengkak pada bibir terjadi bersamaan dengan rasa tebal pada wajah. Bengkak menyebabkan bibir menonjol
1cm dari semula, tidak nyeri dan berwarna agak kemerahan.
• Pasien mengatakan beberapa menit setelah digigit lebah, penderita merasakan badannya lemas dan sempat pingsan 10 menit,
kemudian sadar sendiri. Pasien dikatakan sempat pingsan sebanyak 3 kali sebelum akhirnya dibawa ke dokter umum. Pingsan
pertama kalinya tejadi ketika pasien hendak ke kamar mandi, dimana saat berdiri pasien merasa kakinya lemas dan akhirnya
terjatuh. Begitu pula yang kedua dan ketiga kalinya, pasien merasa kaki dan badannya sangat lemas sampai tidak bisa bergerak
disertai kepala pusing. Saat di dokter umum pasien mendapat suntikan adrenalin kemudian dirujuk ke RS swasta dan diberikan
suntikan adrenalin lagi. Dosis adrenalin tidak diketahui pasien.
• Pasien juga mengatakan bahwa ia merasa mual dan sakit kepala. Mual datang hilang timbul dan dikatakan sebagai perasaan
tidak enak pada daerah uluhati, muntah dikatakan tidak ada. Sakit kepala digambarkan pasien sebagai rasa sakit berdenyut pada
kepala. Mual dan sakit kepala masih dirasakan pasien saat MRS namun sudah terasa lebih baik.
• Pasien mengatakan sering gatal-gatal tanpa sebab yang jelas. Sebelumnya penderita pernah dua kali tersengat lebah yang
memiliki bentuk dan ukuran yang hampir sama dan mengalami gejala yang serupa tetapi sembuh setelah berobat ke puskesmas
dan ke dokter umum. Riwayat penyakit asma, dan alergi terhadap makanan tertentu disangkal oleh penderita.
Kesadaran E4V5M6, tekanan darah
80/60 mmHg, denyut nadi teratur, isi
cukup 100 kali/menit, pernafasan
spontan 20kali/menit, temperatur
axila 36,7 0C, tinggi badan 162 cm,
berat badan 55 kg, BBI 57,5 kg dan
IMT 20,95 kg/m2.
Pemeriksaan mata dan THT: DBN. Dari
pemeriksaan mulut didapatkan bibir bengkak
(+). Pada pemeriksaan thoraks, abdomen dan
ekstremitas: DBN. Dari pemeriksaan kulit
didapatkan eritema dengan permukaan kulit
meninggi, batas tidak tegas, tersebar pada
seluruh tubuh.
• Laboratorium: leukosit 13,4 k/ul, neutrofil 91,7 %N,
lymfosit 4,59 %L, monosit 3,08 %M, eosinofil 0,026
%E, basofil 0,556 %B, eritrosit 4,64 M/ul,
hemoglobin 14,6 g/dl, hematokrit 41%, trombosit
292 k/ul, MCV 8,5 fl, MCH 31,6 pg, MCHC 35,7 g/dl,
BUN 14 mg/dl, kreatinin 0,8 mg/dl, Na 142,5
mmol/L, K 3,94 mmol/L, ureum 30.Gambaran EKG:
sinus takikardi.
• Ass/:
• Syok anafilaktik e.c sengatan lebah.
• Tx/:
• Loading cairan sebanyak 1 fles,
• Adrenalin 0,3 cc (i.m) 3 kali dan rawat inap
• Saat di ruangan, terapi yang diberikan
adalah
• IVFD NaCl 0,9% 20 tetes/menit,
• Dexametasone 20 mg 3x10 mg,
• Dipenhidramin 20 mg 3x10 mg setelah
hipotensi teratasi.
• Px/ IgE spesifik
• Mx/ Vs, KEL
134|TOV|MEDICUSLESCIUS
Grave’s Disease
• Penderita wanita, berumur 29 tahun, beragama Hindu, menikah dan bekerja sebagai pegawai garmen mengeluh
berdebar-debar sejak dua minggu sebelum kontrol ke poliklinik, awalnya dirasakan saat beraktivitas, lama kelamaan
berdebar terus menerus saat beraktivitas maupun saat istirahat. Keluhan tidak berkurang bila penderita beristirahat
ataupun merubah posisi. Berdebar tidak sampai mengganggu aktivitas ataupun pekerjaan penderita. Penderita juga
merasakan bibir, kedua tangan serta kedua kakinya bergerak-gerak tanpa disadari, menyerupai gemetar namun
dirasakan sangat ringan, terjadi terus menerus, berkurang saat penderita beristirahat namun sangat jelas terasa dan
terlihat saat penderita sedang bekerja. Gerah dan berkeringat sejak dua minggu yang lalu. Berkeringat di seluruh
tubuh dan terjadi sepanjang hari walaupun udara sekitarnya tidak panas sehingga penderita menjadi lebih sering
berganti pakaian, menjadi gelisah dan tidurnya terganggu. Gerah dan berkeringat dapat berkurang apabila penderita
menggunakan kipas angin saat bekerja dan beristirahat. Sesak nafas sejak dua minggu yang lalu, dirasakan hilang
timbul, muncul setelah berjalan sejauh kurang lebih 100 meter dan mulai mereda setelah penderita beristirahat. Lima
tahun yang lalu penderita mengeluh leher bagian depan sebelah kanan dan kiri membesar. Awalnya kecil seukuran
telur ayam kampung kemudian perlahan membesar dan menetap sebesar telur bebek sejak satu tahun yang lalu.
Pembesaran pada leher dikatakan tidak disertai nyeri dan rasa panas. Nafsu makan penderita juga meningkat sejak
lima tahun yang lalu, satu hari dapat mengkonsumsi lima piring nasi dengan porsi besar. Namun berat badan
mengalami penurunan kurang lebih dua kilogram setiap bulan. Penderita sejak dua tahun yang lalu menyadari
matanya melotot, akan tetapi tidak terdapat gangguan dalam penglihatan dan menggerakkan bola mata serta
membuka dan menutup mata. Penderita diketahui menderita hipertiroid sejak lebih kurang satu tahun yang lalu,
dikatakan kontrol teratur setiap bulan di poliklinik Penyakit Dalam RSUP Sanglah dan diberikan obat PTU dan
propanolol yang diminum tiga kali sehari. Namun sejak dua minggu yang lalu penderita putus minum obat karena
tidak kontrol ke poliklinik. Ibu penderita juga mengalami pembesaran leher sejak lama yang terus membesar. Warga
masyarakat di Desa asal penderita (Kubu, Karangasem) banyak yang mengalami pembesaran leher.
•
Kesadaran : CM
Tekanan Darah : 140/70 mmHg
Nadi : 120 kali / menit
Respirasi : 20 kali / menit
Suhu axila : 36,50 Celcius
BB : 44 kg
TB : 156 cm
Mata : Eksoftalmus +/+
THT : Dalam batas normal
Leher : Kel. Tiroid :
Kanan: teraba nodul ukuran 5 cm x 4 cm, konsistensi kenyal,
permukaan rata, terfiksir, ikut bergerak saat menelan, bruit (-)
Kiri: teraba nodul ukuran 5 cm x 4 cm, konsistensi kenyal,
permukaan rata, terfiksir, ikut bergerak saat menelan, bruit (-)
Tremor +.
Lainnya DBN
• Ass/:
-Grave’s disease
-Hipertensi Grade I
• Tx/:
PTU 3 x 200mg
Propanolol 3 x 10 mg
Vit B complex 1 x 1
• Px/
• Pemeriksaan TSHs dan FT4
• Mx/ Vs, KEL
INDEX WAYNE
Subyektif Nilai Obyektif Ada Tidak
Dypsneu on effort +1 Tiroid teraba +2 -2
Palpitasi +2 Bruit di atas tiroid +2 -
Lelah +2 Exoftalmus +2 -
Suka udara panas -5 Lid retraction +2 -
Suka udara dingin +5 Lid lag +1 -
Banyak berkeringat +3 Hiperkinesia +4 -2
Nervous +2 Tangan basah +1 -1
Nafsu makan naik +3 Tangan panas +2 -2
Nafsu makan turun -3 Nadi 80x/menit -3 -
BB naik -3 Nadi 80-90x/menit - -
BB turun +3 Nadi >90x/menit +3 -
Atrial fibrilasi +4 -
< 11 : EUTIROID
11-18 : EQUIVOCAL
> 19 : HIPERTIROID
Pemeriksaan 10/8/06 3/10/06 26/2/07
TSH (µIU/ml) < 0,05 < 0,05
FT4 (pMol/L) > 70 >70 > 70
Pemeriksaan 10/8/06
WBC (K/uL) 6,02
HGB (g/dl) 14,0
HCT (%) 39,2 %
PLT 249
NEU 47,3
LYM 38,1
135|TOV|MEDICUSLESCIUS
17. KASUS STASE NEUROLOGY EMERGENCY
STROKE HEMORRHAGIK
Lk, 57, lemah separuh tubuh kiri sejak 6 jam SMRS sewaktu aktivitas,
mendadak lemas. Rwyt mual (+), muntah (+) 3x, nyeri kepala (+), HT (+)
tak terkontrol.
E3V4M5, TD 180/110, N 78x, RR 20.
Klinis Neurologis:
Kesan lateralisasi (S)
Reflek patologis (+) babinsky (S)
Parese N VII (S) SN
Dx/: Topik: Capsula Interna (D)
Dx/: SH ICB/IVH
Tx/: - MRS
- RL 12 tpm
- Head up 30 derajat
- O2 2-3 lpm
- Manitol 200cc lalu (6x100cc)
- Citicholin 2 x 250 mg
- Metamizole 3 x 1amp
- Asam Tranexamat 4 x 1 amp
- Ranitide 2 x 1 amp
- Vit B1B6B12 1x1
- KIE
Mx/ Kel, Vs
136|TOV|MEDICUSLESCIUS
STROKE NON HEMORRHAGIK
Pr, 50, lemah separuh tubuh kanan sejak 4 hr SMRS. Pasien datang ke
rRS dalam kondisi sadar. Keluhan disertai suara pelo dan bibir
mencong ke kanan. Keluhan ini baru pertama kali, mendadak. Rwyt HT
(+). Rwyt mual muntah sakit kepala (-).
St. Present: E4V5M6, TD 210/60, N 82X, RR 20X.
St. General: dbn
St. Neurologis: Paresis N. VII (D) SN
Paresis N. XII (D) SN
Hemiparesis flaksid (D) grade I.
Tenaga 222/555 Tonus turun/normal
222/555 turun/normal
Skor siriraj: (2,5x0)+(2x0)+(2x0)+(0,1x60)-(3x1)-12 = -8
Diagnosa topis: Capsula Interna Sinistra
DD: SNH e.c trombus
SNH e.c emboli
SNH e.c periarteritis tuberculosa
Dx kerja: SNH e.c trombus
Tx/ umum: Breath-Brain-Blood-Bladder-Bowel
Khusus:- MRS
- Head up 30 derajat
- IVFD RL 12 tetes/menit
- Neurotam/piracetam 4 x 3 gr IV
- Asetosal 1x100mg
- Forneuro (Vit B1 B6 B12 as folat) 2x1 caps
- Simvastatin 1x20mg
Mx/ Kel, Vs
137|TOV|MEDICUSLESCIUS
VERTIGO CENTRAL
Pr, 38, pusing berputar 3 jam SMRS, tidak menggangu aktivitas.
Keluhan ini sudah pernah 4 x kel sama. Rwyt pingsan (+). Kel mual
muntah, gangg teling, pand kabur, kunang2 disangkal. Saat ini dirawat
interna dgn RHD/MS/FC II.
E4V5M6, TD 100/80, N 120 ireg murmur (+).
Klinis Neurologis: fungsi koordinasi lambat. Tes romberg (+).
Dx/ Topik: Vertebrobasiler
Dx/: Vertigo central e.c susp insufisiensi vertebrobasiler.
Tx/: - MRS
- O2 lpm
- RL 20 tpm
- Piracetam 4 x 3 gr
- Betahistin 3 x 6 mg
- Aspilet 1 x 80 mg
- Vit B1 B6 B12 2 x1 tab
- KIE
Mx/ Kel, Vs

207529254 buku-saku-resep-obat

  • 1.
    TALES OF VALORTALESOF VALOR UPDATED VERS.I.II TALES OF VALOR
  • 2.
    2|TOV|MEDICUSLESCIUS ASAL USUL LESCIUS-MEDICUS Alhamdulillahsegala puji bagi Allah SWT atas segala rahmatnya yang telah memberikan segalanya untuk diriku, kemudian kepada orang tua, adik, dan para dosen2ku dan semua orang yang banyak membantuku selama ini. Berawal dari ketidaksengajaanku yang hobi jeprat-jepret les pasien, nyatetan sakti, atau keisenganku merekam suara visite besar para senior- supervisor. Setelah sekian lama pengalamanku beberapa kali jaga, ikutan diajak ke klinik dan yankes, pada awalnya sempat bingung, ehmm… pasiennya dikasih apa nih ya??? dikasih obat apa ya yang cespleng, mau dikasih antibiotik, mana yang bagus nih, atau obat simptomatis apa ya yang bagus to pasien ini, merk obat belum hafal lagi, he5…???? Dan kuyakin semua “dokter muda” alias “koas awal” alias “pekerja setengah dokter” pasti bingung, obat apa yang bakal diberi. Tanggung jawab dokter emang tidak ringan, kalo dipikir2, setelah kita menganamnesa, lalu px/ fisik dan kalo perlu penunjang, barulah kepikiran diagnosa. Nah anggap aja tau diagnosa, terus obat yang “Mak Nyuussss” apa ya ??? he5. Walaupun teori hafal mati tapi dalam hal peresepan, tentulah hal itu juga harus besar pengaruhnya didapat dari pengalaman toh. Apalagi merk banyak. Akhirnya selama masa dokter muda 2 tahun keblesit ide untuk mengumpulkan catatan resep2 “Cakti” yang sebenarnya berawal dari suatu keisenganku sambil mengisi waktu senggang,. Catatatan resep “Cakti”, dibuat hanya sekedar CONTOH beberapa kasus yang didapat selama masa belajar. Buku ini hanya berisi resep-resep saja, dengan sedikit tambahan teori obat-obatan, teori lebih detail silakan baca dibuku textbook. Catatan ini berisi contoh resep para senior berpengalaman yang ahli dibidangnya berjudul “LESCIUS-MEDICUS” terdiri dari 2 inti yaitu: 1. Inti I. Lescius-Medicus Minor: Berisi catatan dasar-dasar ilmu farmasi dan contoh resep selama stase siklus kecil. 2. Inti II. Lescius-Medicus Mayor: Berisi contoh resep selama stase siklus besar; Kompilasi kasus UGD: Interna, Bedah-UGD, Pediatri-UGD, Neuro- UGD, Obsgyn. Lescius-Medicus ini hanya sebatas contoh resep saja, Bukan patokan untuk menggunakannya karena kedokteran adalah ARTS and SCIENCES. Jadi saya yakin Pengetahuan pada dokter insya Allah sama, tetapi Seni dalam
  • 3.
    3|TOV|MEDICUSLESCIUS mengobati pasien pastiberbeda antar dokter tergantung situasi, kondisi, dan pengalaman dokter tersebut. Semoga seblesit keisenganku ini dapat berguna dalam memberikan yang terbaik untuk pasien kita. Catatan ini masih jauh dari kurang, ntar kapan2 kurevisi lagi. Dengan banyak berlatih, insya Allah kita semua menjadi dokter yang professional dunia akhirat. Amin. Lescius- Medicus ini insya Allah akan dapat didownload diblogku. Terima kasih. Wassalam. Atas nama diriku sendiri Lescius-Medicus Dibuat pada waktu senggang alias lagi iseng every time every day every moment (0402005114/Axoneme) Download at: www.andikunud.wordpress.com Blog ini berisi referat ilmiah, laporan kasus, OSCE, UKDI, belajar Ro/, buku saku resep obat, link2 jurnal ilmiah, dll. Face book: username: Andik Sunaryanto EXPANSION UPDATED: 1. Pendahuluan diatas dibuat persis tanpa penggantian kata seperti aslinya pada awal pembuatan pertama kali “Lescius Medicus” yang dirintis di Denpasar mulai 2010. 2. Versi berikutnya adalah Versi I.II Tales of Valor (TOV) yang diselesaikan di Malang, 00.00, Jum’at, 18/03/2011 selesai UKDI. 3. Revisi versi I.II TOV diselesaikan lagi di Malang, 07.00, Senin, 11/04/2011 setelah pulang dari Yogyakarta. Bedanya dengan no 2 yaitu ada sedikit penambahan contoh cases + resep spesialis di stase pediatri. Lescius Medicus Versi I.II TOV berisi lengkap Inti I + II + cases + contoh resep. Sumber referensi ini, insya Allah valid, diambil dari buku Farmasi, MIMS, ACLS, catatan interna, Lapsus, e-books, dll, dan tentunya ada contoh2 resep spesialis yang didapat selama pendidikan dan magang di RS bersama supervisor. 4. Edisi berikutnya insya Allah ditambahin teknik cepat mbaca EKG, dan kasus emergency OBGYN yang belum ada diedisi ini. Kedepannya ingin saya tambahin dengan ilmu akupunktur yang insya Allah akan segera saya dalami. 5. Sharing tentang ilmu pengobatan kedokteran terbaru, sangat saya harapkan dari teman2 semua yang dapat diinbox ke alamat FB ku. Semoga bermanfaat. BTK.
  • 4.
    4|TOV|MEDICUSLESCIUS KATALOG LESCIUS MEDICUSTOV 1. DASAR-DASAR ILMU FARMASI/PERESEPAN ..................................................................................... 5 2. STASE ANESTESI ......................................................................................................................................... 7 3. STASE THT .................................................................................................................................................... 9 4. STASE KULIT dan KELAMIN..................................................................................................................... 10 5. STASE ILMU MATA .................................................................................................................................... 11 6. STASE NEUROLOGI ................................................................................................................................... 12 7. STASE PEDIATRI ........................................................................................................................................ 13 8. STASE INTERNA ......................................................................................................................................... 21 9. ABCD INTERNA A N A F I L A K S I S ..................................................................................................... 27 A N E M I A ...................................................................................................................... 29 A K U T L E U K E M I A .............................................................................................. 30 A M O E B I A S I S K O L O N / S I G E L L O S I S ................................................ 31 ANEMIA APLASTIK ..................................................................................................... 32 ASMA BRONCIALE/STATUS ASMATIKUS ............................................................ 33 B I O K I M I A H A T I ................................................................................................ 34 C M L KRONIK MIELOSITIK LEUKEMIA ........................................................... 35 C I R O S I S H E P A T I S .......................................................................................... 36 PENYAKIT JANTUNG PARU (COR PULMONAL) ............................................... 37 D H F ................................................................................................................................. 38 D I S P E P S I A .............................................................................................................. 40 DEMAM TYPOID ........................................................................................................... 41 DM + GANGREN/ULKUS/CELULITIS ....................................................................... 42 DOBUTAMIN DOPAMIN .............................................................................................. 44 DRUG AND THE LIVER ............................................................................................... 45 DRUG AND THE LIVER HEPATIC DRUG METABOLISM .................................. 46 E F U S I P L E U R A .................................................................................................. 47 GCS ................................................................................................................................... 48 G G A .............................................................................................................................. 49 G G K .............................................................................................................................. 50 GAGAL JANTUNG ...................................................................................................... 51 G A S T R O E N T E R I T I S A K U T ..................................................................... 52 G A G A L N A FA S ...................................................................................................... 54 H I P E R T E N S I ......................................................................................................... 55 H A E M O P T O E ......................................................................................................... 60 H E M A T E M E S I S M E L E N A ........................................................................ 61 H E P A T I T I S A K U T ........................................................................................... 62 HIPOGLIKEMIA ........................................................................................................... 63 INFARK MIOKARD AKUT ......................................................................................... 64 K E R A C U N A N ................................................................................................. 66 K O L E R A ..................................................................................................................... 69 K O L I T I S .................................................................................................................... 70 K O M A K A D ........................................................................................................... 71 K O M A H O N K ......................................................................................................... 72 K O L A N G I T I S ...................................................................................................... 73 K O L E S I S T I T I S A K U T ................................................................................... 74 K O M A H E P A T I K U M ....................................................................................... 75 K O M A H I P O G L I K E M I A ............................................................................. 76 KOMA LAKTAT ASIDOSIS ......................................................................................... 77 KRISIS TIROID .............................................................................................................. 78 L E U K E M I A ................................................................................................ 79 LIMFOMA MALIGNA .................................................................................................. 80 MALARIA ........................................................................................................................ 81 METOKLORPRAMID (Kolinergik) ............................................................................. 82 P P O K + I N F E K S I S E K U N D E R .............................................................. 83 P A N K R E A T I T I S A K U T ................................................................................ 84 P I E L O N E F R I T I S ............................................................................................... 85 P N E U M O N I A ......................................................................................................... 86 P N E U M O T H O R A K ............................................................................................ 87 RHEUMATIK HEART DISEASE ............................................................................... 88 S I N D R O M N E F R O T I K ................................................................................. 89 SYOK KARDIOGENIK ................................................................................................ 90 S Y O K S E P T I K .................................................................................................... 91 NILAI NORMAL LABORATORIUM ......................................................................... 92 10. STASE BEDAH EMERGENCY + ICCU ................................................................................................. 94 11. KASUS STASE NEUROLOGI/PSIKIATRI POLIKLINIK ................................................................. 108 12. KASUS STASE THT POLIKLINIK JEJARING ................................................................................... 110 13. KASUS STASE IKK POLIKLINIK RSUP & JEJARING ................................................................. 113 14 .KASUS KOMPILASI POLIKLINIK ANAK .......................................................................................... 119 15. KASUS STASE PEDIATRY EMERGENCY .......................................................................................... 120 16 .KASUS KOMPILASI INTERNA ............................................................................................................. 124 17. KASUS STASE NEUROLOGY EMERGENCY ................................................................................... 135 Download at: www.andikunud.wordpress.com
  • 5.
    5|TOV|MEDICUSLESCIUS 1. DASAR-DASAR ILMUFARMASI/PERESEPAN 1. Tablet:R/ Antalgin 500 mg tab no.XV S 3dd tab I 2. Capsul: R/ Tetracyclin 250 mg casps no XX S 4 dd caps I 3. Suppositoria: R/ Proris Suppos no. V S 1 dd sup I intra anus 4. Syrup: R/ Panadol Syr. Fl. No I S 3 dd cth I 5. Drop/guttae: R/ Colme eye drop fl. No I S 4 dd gtt I OD et OS (oculi dextra/sinistra) 6. Solution: R/ Betadine sol. Fl no I S u e 7. Ointment: R/ Terracortryl oint tube no I S u e 8. Cream: R/ Counterpain cream tube no I S u e 9. Parenteral: R/ Adrenalin inj ampul no X R/ Xylomidon vial no II R/ Dextrose infuse fl no IV S i m m 10. Pulveres:R/ Amoxicillin mg 125 Paracetamol mg 200 Mfla pulv dtd no XV S 3 dd pulv I Suc: signa usus cognito (pemakaian sudah diketahui) Sue: Signa usus externus S 3 dd : Signa ter de die Dtd: da tales dosis: masing2 dosisnya seperti diatas fl: Flash: botol kecil 1 sendok takar = 5cc
  • 6.
    6|TOV|MEDICUSLESCIUS Rumus Dosis Anak 1.Berdasarkan Umur a. Young (<8 th): n/(n+12) x dosis dewasa b. Dilling (> 8th ): n/20 x dosis dewasa 2. Berdasarkan BB Clark: w/70 x dosis dewasa 3. Berdasarkan Luas Permukaan Tubuh p = (7n+35)/100 m2 Dosis: (4n + 20) % dosis dewasa Atau: (1,5 w + 10) % dosis dewasa Keterangan: n: Umur w: Weight p: Luas Permukaan Tubuh Perhitungan kebutuhan Cairan menurut BB 0-10 kg : 100 ml/kgBB 10-20 kg : 1000 ml + 50 ml/KgBB (diatas 10 kg) > 20 kg : 1500 ml + 20 ml/KgBB (diatas 20 kg)
  • 7.
    7|TOV|MEDICUSLESCIUS 2. STASE ANESTESI 1.Cairan NaK Cl Ca Glu kosa Lak tat HCO3 Osmol ariti Mg Ase tat mEq /L mEq /L mEq /L mEq /L g/dL mEq /L MEq/L Mosmo l/L mEq /L mEq /L D5% - - - - 5 - - 257 - - 0,9% salin 154 - 154 - - - - 308 - - RL 130 4 109 3 - 28 - 273 - - Plasmalit B 140 5 98 - 23 - 50 294 3 27 2. Pain Management a. Golongan Analgetik non narkotik, Antipiretik No Nama (sediaan) Merk Dosis R/ maks Keterangan 1. Asam asetil salisilat (asetosal) - Tab 100 mg - Tab 200 mg Asetosal Aspilet/80mg Asetosal (1x1) 1 tab/hari Dosis lazim 80- 160/hr MI s/d 300mg/hr TIA s/d 1000mg/hr 15 tab Untuk antitrombotik dan profilaksis angina pectoris & MI 2. Fenilbutasol - Tab salut 200 mg Fenilbutazon/ Phenylbutazon (3x1) Dibatasi to kead. Akut, sesudah makan to 1 minggu 3. Ibuprofen - Tab 200 mg - Tab 400 mg Ibuprofen/ Prifen. #Proris: Caps 200mg Supp 125mg Syr 100mg/5mg Sir forte 50 ml (3x1) #Dewasa 200 mg 3-4x/hr Anak: 5- 10mg/kgBB (3-4x/hr) Antipiretik >>, analgetik sakit gigi, nyeri otot 4. Metampiron - Tab/caps 500 mg Metampiron/Antalgin/ Lexagin Metampiron inj (3x1) 1-2 caps 3x/hari 15 tabs 3 amp Analgetik >>, antipiretik, anti reumatik
  • 8.
    8|TOV|MEDICUSLESCIUS - Injeksi IM250 mg/ml amp @ 2 ml 5. Parasetamol - Tab 500 mg - Syr 120 mg/5ml, btl 60 ml - RT 125mg/2,5ml Paracetamol, sakapara, alphamol, #Biogesic: tab 500mg lar 150 mg/5mlx30ml *Dumin RT 125 mg/2,5ml (3x1) #Dws 1-2 tab 3x/hr, anak 7- 12th 10-15ml, 2-6th 5-10 ml, bayi 2,5-5ml 2 btl Antipiretik >>. analgesik, antirematik, sakit gigi, kepala. 6. Asam mefenamat - Caps 250 mg - Caps 500 mg - Susp 50 mg/5ml x 60ml Asam mefenamat, stanalin, freedol, opistan, ponstan (3x1) (3x1) Analgetik >> 7. Tramadol - Kaps 50 mg - Inj 50 mg/ml,amp 1ml atau 2 ml Tramadol, *Corsadol Tramadol inj *Dws 1-2 kaps/4-6jam, maks 8 kaps (400mg/hr) (1 ampul) 50 mg/ml 10 kaps (3hr) 5 amp Hanya to nyeri berat & post op 8. Ketolorac - Inj 10 mg/ml, - Inj 30 mg/ml Ketorolac inj, rolac, ketorolac tromethamine (Toradol) inj (1 ampul) 10-30mg tiap 4-6jam/ 60 mg inisial, lalu 30 mg/6jam 90 mg/ml (3 ampul) Hanya to nyeri berat & post op b. Golongan Antiinflamasi non steroid (NSAIDs) No. Nama (sediaan) Merk Dosis R/Maks Keterangan 1. Na diklofenak - Tab 25 mg - Tab 50 mg Na diklofenak 3x1 2. Ketoprofen - Tab 50 mg - Tab 100 mg - Supp 100 mg (hanya to post op) Ketoprofen *Kaltrofen 50mg(3- 4x/hr) 100mg(2- 3x/hr) *R/simptomastis arthritis, nyeri pasca trauma 3. Piroxicam - Tab 10 mg - Caps 20 mg Piroxicam 3x1 60 tabs/bln 30 caps/bln Only nyeri sendi
  • 9.
    9|TOV|MEDICUSLESCIUS 3. STASE THT TerapiTB Kelenjer pada anak Triple Drugs: 1. Rifampisin 10 mg/kgBB pulv 1 x 1 2. INH10 mg/kgBB pulv 1 x 1 3. Pirazinamide 25 mg/kgBB pulv 1 x 1 Diberikan selama 2 bulan lalu dilanjutkan dengan Rifampisin dan INH selama 4 bln dengan dosis sama. No. Golongan Obat Komposisi Utama/Generik Merk 1. Dekongestan - Efedrin - Pseudoefedrin + desloratadine - Tremenza / Trifed - Clarinase 2. Obat tetes telinga - Chlorampenicol - Ofloxacin - Neomycin, basitracin - Na-dokusat 0,5 % - Sol efedrin - Colme - Tarivid - Otopain - Waxsol 3. Tetes/semprot hidung - Xylometazoline - Oxymetazoline (dekongestan, menutup Perdarahan) - Kortikosteroid - Cairan fisiologis hidung - Otrivin - Afrin - Nasonex, flexonase - Breathy 4. Mukolitik - Bromhexin - GG - Ambroxol - Asetil-sistein - Mucohexim, bisolvon - Mucopect, transbroncho - Vectrin, fluimucil
  • 10.
    10|TOV|MEDICUSLESCIUS 4. STASE KULITdan KELAMIN A. Cream, Zalf Golongan Merk Dagang Komposisi utama/Generik Sediaan 1. Steroid Visancort Tiap gr cr mengand Hidrokortison 1%, iodoklorohidroksikinolina 1%, kamfer 1%. Tube 10 g cr Inerson Desoksimetason 0,25 % Tube 15 g zalf Locoid cr Hydrocortisone 17-butyrate Cr 10 gr Nerilon Diflukortolon valerat 0,1 % Tube 10 g cr 2.Antibiotik, Kombinasi Betasin Betamethasone dipropionate 0,05% Gentamysin sulfate 0,1 % Cr 10 gr Digenta Tiap gr mengand Gentamisin 1 mg dan betametason 0,5 mg Salticin 1 mg/gr cr: Gentamisin sulfat 40 mg/ml 3. Antifungi Mycoderm/mycoral/ Interzol/formyco/Fungor al Ketoconazol 2% cr Tube 5 g cr 4. Lain2 Scabimite Permetin 5% 10 gr, 30 gr Fuson As. Fusidat 20 mg/g cr Na fusidat 20 mg/g zalf Tube 5 gr Carmed cr 10% Used to hyperkeratosis, dryness Tube 40 g cr B. Oral Golongan Merk Komposisi utama/Generik Sediaan 1. Steroid Somerol Metylprednisolon 4 mg 4 mg, 16 mg/tab Prednison Prednison 5 mg 5 mg Triamcort Triamcinolone tab 4 mg 2. Antibiotik Interdoxin Doxycyclinehydrate caps 50mg/100 mg Robamox Amoxycillin trihydrate 500 mg 3. Antifungi Interzol, Fungoral Ketoconazol 200 mg Adult 1 tab/hr, Anak > 2 th: 5 mg/kgBB/hr 200 mg 4. Antihistamin Interhistin Mebhidrolin napadisilat 50 mg/tablet 50 mg/5ml sirup 50 mg/tab 50mg/5 ml syr Inclarin/sohotin/ Aloris Loratadin 10 mg/tab 5 mg/5 ml syr
  • 11.
    11|TOV|MEDICUSLESCIUS 5. STASE ILMUMATA Golongan Merk Komposisi Utama Sediaan 1.Antibiotik + steroid tetes mata a.Xitrol (cendo) tetes mata Netto: 5 ml @ ml mengandung: Active: Neomycin Sulfate equivalent to Neomycin 3,5 mg Polymycin b sulfat 10.000 IU Dexamethasone 1,0 mg 5 ml b.Xitrol (cendo) ointment Netto: 3,5 gr @ gr mengand: Neomycin base 3,5 mg Polymicin B sulfate 10000 IU Dexamethasone 1 mg In neutral ointment base Dose: 3-4 x/ hr 3,5 gr 2.Antibiotik murni a.Gentamicin (Genta) cendo tetes Netto: 5 ml @ ml mengand: Active: Gentamicin sulfat equivalen to 3,0 mg gentamicin 5 ml b.Gentamicin 0,3% eye ointment Netto: 3,5 gr @ gr mengandung Gentamicin sulfate eq to 3 mg 3,5 gr 3.Miotikum 1% (Pilo)carpin (cendo) Netto 5 ml @ ml  active: pilocarpine HCl 10 mg 5 ml 4.Analgetik 0,5% pantocain Netto: 5 ml @ ml  tetracain HCl 5 mg 5 ml 5.Midriatikum a.0,5 % Mydriatil Netto: 5 ml 0,5 % Mydriatil 5 ml b.0,5% Tropin Netto: 5 ml @ ml  atropine sulfate 5 ml c.10% efrisel Netto 5 ml @ ml  active phenylephrine HCl 100 mg 5 ml
  • 12.
    12|TOV|MEDICUSLESCIUS 6. STASE NEUROLOGI GolonganKomposisi Utama/Generik Merk, Sediaan 1. OAE 1st line Sodium Valproat Capsule, sprinkle, as divalproex sodium (Depakote® Sprinkle®): 125 mg Capsule, as valproic acid (Depakene®): 250 mg Injection, as sodium valproate (Depacon™): 100 mg/mL (5 mL) Syrup, as sodium valproate (Depakene®): 250 mg/5 mL (5 mL, 50 mL, 480 mL) Tablet, delayed release, as divalproex sodium (Depakote®): 125 mg, 250 mg, 500 mg Carbamazepine Carbatrol®; Epitol®; Tegretol®; Tegretol®-XR Capsule, extended release: 200 mg, 300 mg Suspension, oral (citrus-vanilla flavor): 100 mg/5 mL (450 mL) Tablet: 200 mg Tablet, chewable: 100 mg Tablet, extended release: 100 mg, 200 mg, 400 mg Phenytoin (dilantin) Capsule, as sodium: Extended: 30 mg, 100 mg Prompt: 100 mg Injection, as sodium: 50 mg/mL (2 mL, 5 mL) Suspension, oral: 30 mg/5 mL (5 mL, 240 mL); 125 mg/5 mL (5 mL, 240 mL) Tablet, chewable: 50 mg Phenobarbital Barbita®; Luminal®; Solfoton® Capsule: 16 mg Elixir: 15 mg/5 mL (5 mL, 10 mL, 20 mL); 20 mg/5 mL (3.75 mL, 5 mL, 7.5 mL, 120 mL, 473 mL, 946 mL, 4000 mL) Injection, as sodium: 30 mg/mL (1 mL); 60 mg/mL (1 mL); 65 mg/mL (1 mL); 130 mg/mL (1 mL) Powder for injection: 120 mg Tablet: 8 mg, 15 mg, 16 mg, 30 mg, 32 mg, 60 mg, 65 mg, 100 mg
  • 13.
    13|TOV|MEDICUSLESCIUS 7. STASE PEDIATRI Acetaminofen(pct) tab 250, 500 mg: 10 mg/kgBB/x (3x) Rectal tube (R/Dumin) 125 mg, 250 mg Acetosal: Reumatic fever: 100-200/kg/hr (4-6x) Membaik : 2/3 dos/x (4x) Lab baik : ½ dos/x (4x, slm 2 mingg) Actrapid HM 400 U/10ml (short acting insulin) Dosis insulin scr umum: anak: 0,7-1 U/kgBB/hr Remaja: 1,2-1,5 U/kgBB/hr Pada DM juveni (DM I /IDDM) dikombinasi dgn Monotard: Pagi: actrapid 1/3 dos + monotard 2/3 dos 2/3 dos/hr Malam: actrapid 1/3 dos + monotard 1/3 dos 1/3 dos/hr Adona (carbosodium sulfat) amp 50 mg/10cc, 25 mg/5cc DHF gr III, DSS: 1 mg/kgBB/flesg RL iv Lain-lain : 3 mg/kgBB/x po Ambroxol HCL (Mucopect) syr 30 mg/5 ml, tab 30 mg/ drops 15 mg/ml Syr/tab : 1,2-1,6 mg/kgBB/hr (3x/hr) Drops : 1 tts/kgBB/x (3x/hr) Aminophylin tab 225 mg: 2-6 mg/kgBB/x po, amp 240 mg/10 cc Rangsang pusat nafas: 4 mg/kgBB/x bolus iv, lalu dibagi dlm 3 dos/hr Asma berat: 5 mg/kgBB bolus iv, lalu 3-5 mg/kgBB/8 jam drip Dex 5% Amikacin (Amikin) vial 250 mg/1 ml, 500 mg/2 ml, 1 gr/4 ml Sepsis neonates yg resisten stlh R/cefotaxim 2 mgg: 1,5 mg/kgBB/hr iv (2x) Aminofusin infuse ped (pake 3-ways) to neonates Hari ke-1: 0,5 gr/kgBB/hr (0,5 gr=10 ml) Hari selanjutnya: naik 0,5 gr/kgBB/hr sampai total 2,5 gr/kgBB/hr Amoxicillin syr 125 mg/5ml, capl 250,500 mg, drop 100 mg/1 ml: 10-15 mg/kgBB/x po (3x) Ampicillin syr 125 mg/5ml: 15-20 mg/kgBB/x po (3x) Meningitis: 200-400 mg/kgBB/hr iv (3-6 dos) Neonatus : 100 mg/kgBB/hr iv/im (2 dos) Antacid syr : idem pct Antalgin : 10 mg/kgBB/hr po
  • 14.
    14|TOV|MEDICUSLESCIUS Antazolin HCl: 5-10mg/hr (3-4x) Ascordil : 50 mg (2tab) 1 dd 1 Aspar K : 10-15 mg/kgBB/x (3x) 3 dd ¼ Beta-CE capl (B-caroten 10000 U, vit C 60 mg, vit E 12 mg) to antioksidan pada anemia Def. G6PD Biofenin : 3 dd ½ Biothicol syr (tiamphenicol) 125 mg/5 ml Bisolvon (bromhexin) tab 8 mg, syr 4 mg/5 ml, inj amp 2 mg/ml iv,im,sc: 0,3-0,5 mg/kgBB/x (3x) Bisacodyl: 0,3 mg/kgBB/x Budesonide nebulizer (R/Pulmicort) respule 1 mg/2 ml < 1 th: ½ respule @ 4-8 jam > 1 th : 1 respule @ 4-8jam Buscopan : 0,5 mg/kgBB/x CTM (chlortrimetone/chlorpeniramine maleat) tab 4 mg: 0,1 mg/kgBB/x Ca Glukonas : 3 mg/kgBB/x Captopril tab 12,5 mg, 25 mg, 50 mg: 0,3 mg/kgBB/x Ca sandoz syr to trakeomalasea, @ 5 ml: Ca glukonolaktobionat 1437 gr + Ca laktobionat 0,2895 (110 mg Ca) Bayi : ¼ cth, 0-3th: 2-5 cth/hr Cefadroxil monohidrat (R/Cefat) syr 125 mg/5 ml: 15-20 mg/kgBB/x (2x/hr) Cefixime (R/Cefspan) tab 50, 100 mg, syr 100 mg/5 ml (gen 3 cephalosporin): 1,5-3 mg/kgBB/x (2x/hr) Cefotaxim vial 500 mg, 1 gr: Sepsis : 100 mg/kgBB/hr (bayi 2x/hr, anak 3x/hr) Meningitis: 200 mg/kgBB/hr 3x (bayi tetap 100 mg/kgBB/hr, 2x) Ceftazidime (R/thidim) vial 500 mg, 1 gr to infeksi pseudomonas Neonates 30 mg/kgBB/x (2x/hr), anak 30-50 mg/kgBB/x (3x/hr) Cendostatrol tts mata (polimicin-B, neomisin, fenilefrin) To edema korna (trauma okuli) 4 x 1 tetes Chloramphenicol 250 mg/cap, 125 mg/5 ml, inj 1 gr/vial Tifoid : 10-15 mg/kgBB/x Meningitis: 100 mg/kgBB/hr iv (3x) kombinasi dgn ampicillin inj. Chlorambucil: 0,2-0,3 mg/kgBB/x
  • 15.
    15|TOV|MEDICUSLESCIUS Chlordiazepoxid(>6th) : 0,15mh/kgBB/x Cimetidine tab 200, 300, 400 mg, amp 200 mg/2 ml: 20-40 mg/kgBB/hr (3x) Antagonis reseptor H2 to menghambat sekresi asam lambung Claneksi (amox +asam klavulanat) tab 250, 500 mg, syr 125 mg/5 ml Codein 30 mg/tab: 0,1 mg/thn/x Cortison aseta 25 mg/ml (vial 10 ml): 5-10 mg/kgBB/x Colestiramine (Questran) 4 gr bubuk/sachet To kolestasis: 1gr/kgBB/hr (6x) Kombinasi dengan urdafalk, luminal, vit A, D, E, K. Colistin tab 250.000, 1,5 juta U: 100.000 U/kgBB/hr (3x) Co-trimoxazole tab 480 mg, 240 mg, 120 mg, sry 240 mg/5 ml Sulfa : 10-12 mg/kgBB/x (2x/hr) Trimetoprim: 2-5 mg/kgBB/x (2x/hr) DMP (Dextrometorphan) tab 15 mg: 1 mg/kgBB/x (3x/hr) Deca-durabolin amp 25 mg/1 ml, 50 mg/2 ml Dewasa : 25-50 mg/3 mgg Anak > 30 kg: 15 mg/3 mgg Delladryl (diphenhydramine): ½ dosis Xillomydon im Depakene (asam valproat) syr 250 mg/5 ml, antikejang pengganti luminal Untuk t/epilepsi anak umur > 4 th (yg tak boleh pake luminal) Dexamethason 0,5 mg/tab: 0,01-0,03 mg/kgBB/x po, 0,5-1 mg/kgBB/hr (3x) iv. Dextamine syr (@ 5 ml tdd dexametason 0,5 mg dan ctm 2 mg) Diazepam 2 mg/tab, 4mg/tab, 10 mg/2 ml amp: 0,5 mg/kgBB/x iv Digoxin tab 0,25 mg lht jantung Diphenhidramin HCL: 5 ml/kgBB/x (4x) Dilantin (Na-fenitoin) syr 125 mg/5 ml, 50 mg/tab, 100 mg/cap: 5 mg/kgBB/hr, Max 6 mg/kgBb/hr antikonvulsan pengganti luminal to epilepsi anak umur > 4th (tak boleh pake luminal). Dopamin 200 mg/5 ml amp : t/ gagal jantung, 3-5 ug/kgBB/menit (syringe pump), Dosis rendah mempengaruhi resepor B, dosis tinggi pengaruhi reseptor a. Effortil HCl : 0,18 mg/kgBB/x Encephabol (piritinol) syr 100 mg/5 ml, tab 100,200mg, amp infus 80,5mg/5ml: 10 mg/kgBB/hr (1-2x/hr) Ephedrine 25 mg/tab: 1 mg/thn/x (3x), 0-6 bln: 0,5 mg/x.
  • 16.
    16|TOV|MEDICUSLESCIUS Eritromycin sry 200mg/5 ml, 250 mg/cap, 500 mg/tab: 10-15 mg/kgBB/x (3x) Ethambutol to TBC : 15-20 mg/kgBB/hr max 2,5 gr/hr Extract Belladona : 0,75 mg/thn (3-4x/hr) Ferrum tab(sulfas Ferosus): 5-6 mg/kgBB/hr (2x/hr), max 10 mg/kgBB/hr Fe Sulfat (R/Iberet 500) syr 120 ml, Fermaliq syr, FerrumHansmann oral drop Flagyl (Metronidazole) tab 250, 500 mg, 125 mg.5ml syr: 15 mg/kgBB/x (3x) Furosemide (R/Lasix, Impugan) amp 20 mg/2 ml, tab 40 mg 1 mg/kgBB/x po/iv/im (2x/hr) 2 mg/kgBB/hr Gentamycin amp 40 mg, vial 80 mg: 5 mg/kgBB/hr (2x/hr) Gliceril Guaiacolat (tab 100 mg) : 2mg/kgBB/x Griseofulvin tab 125 mg : 10 mg/kgBB/hr Haloperidol (Haldol) tab 0,5, 2, 5 mg: 0,01-0,05 mg/kgBB/hr (2x) Hustazol: 0,5-1 mg/kgBB/x Ibuprofen (R/Proris, fenris) syr 100 mg/5ml: 10 mg/kgBB/x (3-4x/hr) Isosorbide Di-nitrat (ISDN) tab 5 mg Indometacine 3-7th: 50 mg/hr, 7-12th : 100 mg/hr INH (Isoniazide) tab 100, 300 mg: To TBC 5-15 mg/kgBB/hr (1x/hr) max 300 mg/hr Kombinasi Rifampicin, Pirazinamide, vit B6 (1x/hr). Kalmetason : 0,03 mg/kgBB/x Kaltocin : 10-15 mg/kgBB/hr Kemicetine (Kloramfenicol) 250 mg/cap, 125 mg/5 ml, inj 1 gr/vial Ketotifen 1 mg/tab menekan IgE yang meningkat pada asma. < 3th 2 x tab ½, > 3th 2 x tab 1 Klorokuin : Hari I loading dose 9-12 mg/kgBB Lacto-B sachet (laktobasil asidofilus, bifidobakt longum, streptokokok fesium, vit B1 o,5 mg, B2 0,5 mg, B6 0,5 mg, C 10 mg, niacin 2mg, prot 0,02 gr, kh 0,6 gr, lemak 0,1 gr) anak normal bias diberi tiap hari campur disuse, makanan, atau air. Diare akut akibat infeksi: < 1 th: 2sach/hr slm > 7hr 1-6 thn: 3 sach/hr slm > 7hr Diare intoleransi laktosa: < 1th: 2 sach/hr slm 2-4 mgg (tgnt berat peny) 1-6 thn: 3 sac/hr slm 2-4 mgg (idem) Laktulax syr, Laksadin syr to obstipasi Luminal (phenobarbital) tab 30, 50, 100 mg, amp 100 mg/2 ml
  • 17.
    17|TOV|MEDICUSLESCIUS Preventif : 1mg/kgBB/x (3x) KDS/KDK : 5 mg/kgBB/hr (2x) Kejang lama : 8 mg/kgBB/hr (2x, 2hr), lalu sesuai dosis KDK Epilepsi umum < 4 th: 5 mg/kgBB/hr (2x) @ hari selama 2 th bebas kejang, lalu tapering 5 mg @ 2 mgg sampai stop, bila kejang lagi terpaksa mulai dari nol lagi. Epilepsi umum > 4 th: tidak pakai luminal, pakai Valproic acid *Injeksi : Neonatus : 30 mg bolus im < 1th / < 10 kg : 50 mg bolus im >1th / 10 kg : 75 mg bolus im selanjutnya dikiuti dengan dosis oral KDK Manitol 20% (200 gr/L) infuse 250, 500 ml: 0,5 gr/kgBB/x Dosis ini dihabiskan dalam 30 menit, diulang @ 8 jam, selama 3 hari Diberikan to t/ensefalitis (edema serebri), tp jangan kasus yg ringan sebab bisa memperberat gejala, juga pada yg disertai perdarahan. Metisoprinol (R/Isoprenosin) tab 500 mg, syr 250 mg/5 ml to parotitis 50-100 mg/kgBB/hr (3x/hr) slm 4-10 hr, lanjut sampai 2 hr gejala hilang. Metoklopramide HCl (R/Navoren) tab 10 mg Metronodazole (tab 500 mg) 15 mg/kgBB/x (3x) Monotard HM 400 U/10 ml (intermediate acting insulin) lihat dosis Actrapid HM MgSO4 : 7,5-15 mg dlm 1 gelas Nalidixic acid (Negram, Urineg) 500 mg/tab E. coli 55 mg/kgBB/hr (3x) Nicholin amp 100 mg, 250 mg : 10-15 mg/kgBB/hr (1x) Nifuroxazide (Nifural) syr 250 mg/5 ml to diare E coli / Streptomices < 6 bln: 2cth I, > 6 bln: 3 x cth I OBP syr (umur < 4th ): sesuai dosis PCT syr. OBH syr (umur > 4th ): sesuai dosis PCT syr Oksitetra HCl : 5-10 mg/kgBB/x (im), 10-15 mg/kgBB/x (iv) Ondansentron: 5 mg/m2 iv Papaverin HCl: 2,5 mg/kgBB/hr Paracetamol syr 120 mg/5 ml, drop 10 mg/0,1 ml: 10 mg/kgBB/x @ 4-8 jam Penicilin Procain (PP): 50.000 IU/kgBB/x im (1x/2x) 3 juta IU/vial (+9 cc aqua 10 cc 300.000 IU/ml) maks 600.000 IU @ inj. Untuk Gonoblenorea: PP tetes mata (15.000 unit/ml): @ 1 mnt selama 30 mnt @ 5 mnt selama 30 mnt PP injeksi im 100.000 unit/kgBB single dose Pada yg resisten PP gentamisin tetes mata @ 1 jam Pethidin HCl : 0,5-1 mg/kgBB/x
  • 18.
    18|TOV|MEDICUSLESCIUS Pirazinamide tab 500mg: to TBC 25-35 mg/kgBB/hr (1x/hr) Dikombinasi dgn INH, pirazinamide, Vit B6 (1x/hr) Ponstan : 20 mg/kgBB/x Prednisosn 5 mg/tab: 2 mg/kgBB/hr (0,5 mg/kgBB/x) Propanolol : 0,5 mg/kgBB/x (3x/hr), max 5 mg/kgBB/hr anti hipertensi Pulmicort nebulizer (budesonide) respule 1 mg/2 ml Pyramidon inj : 5 mg/kgBB/x (antipiretik inj im) Rifadin : 10 mg/kgBB/hr Rifampicin caps 300 mg, 450 mg, 600 mg, TBC 10-15 mg/kgBB/hr (1x/hr) max 600 mg/hr, Kombinasi dgn INH, Pirazinamide, Vit B6 (1x/hr). Rulid D (Roxithromycin) tab 50 mg: 3-4 mg/kgBB/x po (2x) Siproheptadine 0,25-0,5 mg/kgBB/hr (2-3x/hr) Stedin : 10-15 mg/kgBB/hr Stimetil: 0,1 mg/kgBB/hr Streptomycin: to TBC 15 mg/kgBB/hr (im) max 750 mg - 1 gr Strichin : 5 mg/bln/x Sulfa Guanida : 300 mg/kgBB/hr Sulfadiazine : 250 mg/kgBB/hr Tegretol (carbamazepine) syr 100 mg/5 ml, tab 100, 200 mg 10-20 mg.kgBB/hr, max 20 mg/kgBB/hr OAE pengganto luminal to anak umur > 4th (yg tak boleh pakai luminal) Tempra (PCT) drop 10 mg/0,1 ml, syr 160 mg/5 ml: 10 mg/kgBB/x Tetrasiklin HCl: 5-10 mg/kgBB/x (iv). 10-15 mg/kgBB/hr (im/po) Thiamycin (Thiamphenicol) cap 250, 500 mg, syr 100 mg/4 ml Thiambiotic (thiamphenicol) cap 250, 500 mg, syr 125 mg/5 ml Tiamphenicol : 10-15 mg/kgBB/x (3x) Tindexyl : 8-10 mg/kgBB/hr Transbroncho (ambroxol) tab 30 mg, syr 30 mg/5 ml Tuberkulin (PPD: Purified Protein Derivate) 5 UT/0,1 ml (1,5 ml) inj intra kutan Ultrapen : 15 mg/kgBB/hr Upixon : 3 dd cth I Valproic acid (Depakene) syr 250 mg/5 ml, to epilepsy umum 30-40 mg/kgBB/hr (2x/hr) Velocel (Cephradine): 15-25 mg/kgBB/x (3x) po Ventolin syr (Salbutamol) 2mg/5 ml: 0,5 mg/kgBB/x (3x) Nebulizer amp 2,5 mg/2,5 ml: 0,1 mg/kgBB/x (3-4x) Vitamicin : 20 mg/kgBB/hr
  • 19.
    19|TOV|MEDICUSLESCIUS Vitamin A capl5.000 U (kuning), 50.000 U (merah) Oil caps 200.000 U (merah), 100.000 U (biru) Def. berat : 30.000-60.000 U/hr Kolestasis : 10.000 U/hr Vitamin B Kompleks (B1 2mg, B2 2 mg, nikotinamide 20 mg, Ca-pantotenat 10 mg) 6 bln : 1/8 tab/x (3x/hr) 6-12 bln: ¼ tab/x (3x/hr) > 1th : ½ tab/x (3x/hr) Vit B1 (Thiamin) tab 50 mg Vit B6 (Pyridoxine) tab 10 mg Vit C tab 50 mg: biasa: 3 mg/kgBB/x Needed: 20-40 mg/hr Skorbit : 200-300 mg/hr Vit D: to Kolestasis 5.000-8.000 U/hr Vit K (R/Phytomenadion, Kaywan) tab 10 mg, amp 1mg Neonatus normal: PO 5 mg (1x pada hr ke-0, 7, dan 30) Atau IM img (1x) hr ke-0 lalu 5 mg oral (1x) hr ke-30 HPN (Hemoragic Diathesis of Newborn): IM 2 mg/x (1x/hr, slm 3 hr) Kolestasis: PO 2,5-5 mg/hr Zithromax 250 mg/tab, 200 mg/5 ml (syr 15 ml, 22,5 ml) 10 mg/kgBB/x (1x/hr, 3 hr) Obat Lokal Bactroban zalf kulit (mupirocin 2% to infeksi bakter) Betason-N zalf kulit 5 gr (Betametasone, Neomycin) Fusidic acid zalf (R/Fuladic) Lactacyd liquid Neoderma zalf kulit 5 gr (Fluociolone, Neomycin) Nebacetine (NB zalf) 5 gr, (Neomycin, Bacitracin) Rowadermat oral gel, to anak > 3 th Tarivid otic ear drop Lain-Lain Cara membuat D12,5% 500 cc: D 10% 460 cc + D 40% 40 cc
  • 20.
    20|TOV|MEDICUSLESCIUS Alat Medis Abocath G-24to infuse kecil, G-22 to anak besar Needle G-23 to lumbal punksi anak kecil, G-21 to anak besar NGT Multivitamin (to drops: 2 gtt III) Abdelyn drop Adelysin drop Bexce syr Elkana syr (+Ca) Fortelysin syr Fortepaed syr Lycalvit syr Lyvit syr Multivitaplex syr (Vit A 6000 U, D 600 U, E 3 mg, K 0,5 mg) Poly visol drop (premature) Sanvita B syr Vidalyn-M syr
  • 21.
    21|TOV|MEDICUSLESCIUS 8. STASE INTERNA Daftardan Dosis Obat Penting. Untuk Dosis anak lebih baik baca dosis obat distase anak. No Nama Obat Indikasi Cara Pakai Dosis Sediaan 1. Adrenalin (Epinefrin) Antiasma; Anti alergi; Syok anafilaksis Parenteral SC/IM 0,2-5 ml larutan 0,1%. Syok IV 0,25-0,5 ug/5menit Inj IV 0,1% sbg HCL/bitartrat. 1 ml/amp. 2. Allopurinol Antipirai Oral <6th 150 mg/hr; 6-10th 300 mg/hr. Dws pirai ringan 200-400 mg/hr; Berat 400-600 mg/hr; Hiperusemia sekunder 100-200 mg/hr. Tab. 100 mg 3. Aminofilin Antiasma Oral, Parenteral Anak oral 5 mg/kgBB/x; IV 3,5 mg/kgBB/x. Dws 3 x 100-200 mg/hr; maks 500 mg/x atau 1,5 g/hr. Tab. scored 150 mg; Inj 24 mg/ml, 10 ml/amp. 4. Amitriptilin HCl Antidepresan Oral <6th 10 mg/hr;>6th s.d 25 mg/hr; Dws awal 75 mg/hr s.d efek teraupetik (150-300 mg/hr). Tab. Salut 25 mg 5. Ampicillin Antibakteri gram + dan - Oral, Parenteral Dws penyakit ringan- sedang 2-4 g/hr dibagi 4 dosis. Penyakit berat 4-8 g/hr dalm 4 dosis. Ampisilin trihidrat/anhidrat 125, 250, 500, 1000 mg; Susp air 125 mg/5 ml, 500 mg/5 ml; Serb. Inj IM/IV 250 mg/vial, 500 mg/vial. 5 ml/vial. 6. Antasid Antasid; Antiulkus Oral 3-4 x 400-800 mg/hr Tab. (Al(OH)3 200 mg + Mg(OH)2 200 mg. Susp., Btl 60 mg (200 mg/5 ml). 7. Asam asetilsalisilat (Asetosal, Aspirin) Analgesik; Antipiretik, demam reumatika kut, RA, anti trombotik Oral Analgetik & antipiretik 325-650 mg/x tiap 3-4 jam. Demam reumatik akut 1 g/x atau 5-8 g/hr. Tab 100 mg, 500 mg. 8. Asam folat Antianemia Oral Diagnostik 0,1 mg per oral s.d 10 hr. Terapi awal 0,5-1 mg/hr s.d 10hr. Maintenance 0,1- 0,5 mg/hr. Tab. 0,1; 0,4; 4; 5; 10; 20 mg, Inj. 5 mg/ml. 9. Asetaminofen (Parasetamol) Analgesik, antipiretik Oral Dws. 300 mg-1 g/x maks 4 g/hr. Tab 100 mg, 500 mg; Sir 120 mg/5 ml. 10 Asetazolamid Antiglaukoma, mengatasi paralisis Oral Dws. 1-2 x 250-500 mg/hr. Paralisis 2-3 x 250-750 mg/hr. Tab. 250 mg; Serb. Inj IM/IV 500 mg/vial (as Na) + air to injeksi
  • 22.
    22|TOV|MEDICUSLESCIUS periodik, mengurangi gejala AMS acute mountain sickness. AMS 2x 250 mg/hr. 5 ml/amp. 11 Atropin sulfat Antidotum Parenteral To organofosfat 2 mg IV diulang 10-15 menit. To keracunan jamur SC 2 mg. Inj IM/IV/SC 1 mg/ml, 2 ml/amp. 12 Benzatin benzilpenisilin (penisilin G benzatin) Antibakteri, demam reumatik Parenteral Dws. O,2 juta IU/x atau 0,8-1,2 juta IU/hr. Inj. IM 1,2 IU/ml, 4 ml/vial; Inj. IM 2,4 juta IU/ml, 10 ml/vial. 13 Besi (II) sulfat 7H2O Antianemia Oral Hamil 4-5 x 300 mg/hr. Dws 1-3 x 300 mg/hr. Tab. Salut 300 mg. 14 Bromhexin Mukolitik Oral 3 x 4-8 mg/hr 15 Bupivakain HCl Anestesi Lokal Parenteral Maks 2 mg/kgBB/x tiap 4 jam atau 400 mg/hr Inj. Infiltr 0,25%, 50 ml/vial; Inj. p.v. o,5%, 50 ml/vial 16 Dapson Antilepra Oral Tipe MB Dws. 100 mg/hr. Pengobatan 24 paket 24-36bln; Tipe PB Dws 100 mg/hr. Pengobatan 6 paket 6-9 bulan. Tab. 50 mg, 100 mg 17 Deferoksamin mesilat Antidot keracunan besi Parenteral Keracunan besi akut IM 1g lalu 2 x 500 mg @ 4jam, maks. 6 g/hr; syok IV drip 1 g, maks. 15 mg/kgBB/jam; keracunan besi kronik (pd Talasemia) IM 0,5- 1 g/hr. Serb. Inj. 500 mg/ml, 10 ml/vial. 18 Dexametason Antiinflamasi, obat tambahan pada syok anafilaktik Parenteral Syok anafilaktik IV 8- 12 mg. Tab 0,5 mg; Inj.5 mg/ml (as Na Fosfat), 1 ml/amp. 19 Dexstrometrofa n HBr Antitusif Oral Dws. 15-30 mg/hr Tab. 15 mg; Sir 10 mg/5 ml. 20 Diazepam Antikejang, antiinsomnia Oral, Parenteral Dws. 3-4 x 5-10 mg/hr. Maks 40 mg/hr. Tab. 2 mg, 5 mg; Inj. IM/IV 5 mg/ml, 2 ml/amp; Lar. Rectal 4 mg/ml, tube 2,5 ml. 21 Dietilkarbamaz in sitrat Antifilaria Oral Dws. 3 x 2 mg/kgBB/hr Tab. 100 mg 22 Difenhidramin HCl Antialergi Parenteral Dws. 50 mg dosis tunggal Inj. IM 10 mg/ml, 1 ml/amp. 23 Digoksin Glikosida jantung (Digitalis) Oral Dws awal 0,75-1,5 mg/hr; maintenance 0,125-0,5 mg/hr maks 1,5 mg/x atau 2 mg/hr. Tab. 0,25 mg, Tab. 0,0625 mg.
  • 23.
    23|TOV|MEDICUSLESCIUS 24 Dopamin HClKoreksi hemodinamik pada syok Parenteral Inj. 40 ug, 5 ml/amp. 25 Efedrin HCl Antiasma Oral Dws. 3 x 10-30 mg/hr, maks. 50 mg/x atau maks. 150 mg/hr Tab. 25 mg 26 Ergotamin tartat Antimigren serangan akut Oral Dws. 2-4 x 1 mg/hr, maks.2 mg/x atau maks. 6 mg/hr. Tab meng. Ergotamin 1mg + Caffein 50 mg. 27 Eritromisin Antibakteri gram + dan -, riketsia, chlamidia. Oral Dws. 4 x 250-500 mg/hr, maks. 500 mg/x atau maks. 4 g/hr. Caps 250 mg (as a stearat), sir 200 mg/5 ml (as an etil suksinat) 28 Fenitoin, Na Antikejang, antiaritmia Oral, Parenteral Dws. 100 mg/x, maks. 400 mg/x atau 300 mg/hr, maks. 800 mg/hr.; Antiaritmia Dws. 100 mg/x, maks 200 mg/x atau 400 mg/hr maks. 600 mg/hr. Caps. 30 mg, 100 mg; inj. 50 mg/ml, 2ml/amp., 5ml/amp. 29 Fenobarbital Antikejang Oral, Parenteral Anak 4-7 mg/kgBB/x; Dws 1-5 mg/kgBB/hr. Tab 30 mg, 100 mg, Inj. IM/IV 50 mg/ml (sbg Na) 2 ml/amp. 30 Furosemid Diuretik Oral, Parenteral Dws. Oral 40 mg/x; IV/Im 20 mg/x Tab. 40 mg; Inj. IM/IV 10 mg/ml, 2ml/amp. 31 Glibenklamid AntiDM pada NIDDM Oral 2,5 mg/hr dinaikkan 2,5 mg @ 3-5 hr s.d tercapai kontrol metabolik Tab. 5 mg. 32 Gliseril Guaiakolat Ekspektoran Oral Dws. 2-3 x 200-400 mg/hr Sir. 25 mg/ml; tab. 100 mg. 33 Hidroklorotiazi de (HCT) Diuretik, antihipertensi Oral 2 x 25-75 mg/hr, maks. 100 mg/x atau 200 mg/hr. Tab 25 mg 34 Hidroksiproges teron Kontrasepsi Parenteral Inj. IM 125 mg/ml, 2 ml/amp. 35 Ibuprofen Analgesik Oral Dws. 3 x 400 mg/hr Tab. 200 mg, 400 mg. 36 Indometasin Antiinflamasi pada RA, GA, SA, OA, bila NSAIDs lain kurang berhasil. Oral 2-4 x 25 mg/hr, maks. 200 mg/hr. Kaps. 25 mg, sup. 100 mg 37 ISDN Isosorbid dinitrat Anti angina Oral 2,5-5 mg Tab. Sublingual 5 mg 38 Captopril Antihipertensi Oral 25 mg/hr dibagi 2 dosis, maks. 100 mg/hr. Tab. Scored 12,5 mg, 25 mg. 39 Carbamazepin Antikejang Oral Dws. 2 x 200 mg/hr to hr I, ditingkatkan bertahap; dosis penunjang 800-1200 mg/hr. Tab. 200 mg
  • 24.
    24|TOV|MEDICUSLESCIUS 40 Carbidopa AntiparkinsonOral Tab mengand. Karbidopa 25 mg + levodopa 250 mg 41 Carbo adsorben Antidotum umum Oral Serb. Aktif, ktg. 0,5 kg. 42 Clomifen Sitrat Infertilitas Oral 25-200 mg/hr Tab. 50 mg 43 Clomipramin HCl Antiobsesi kompulsif Oral Awal 10 mg dinaikkan s.d 30-150 mg/hr; kasus berat maks. 250 mg/hr. Tab. 10 mg, 25 mg 44 Clonidin HCl Antihipertensi Oral 2 x 0,075 mg/hr, maks. 0,6 mg/hr. Tab. 0,15 mg; Inj IM 0,15 mg/ml, 1 ml/amp 45 Chloramphenic ol Antibakteri (S. Typhii, meningitis purulenta oleh H. Influenza) Oral, Parenteral , topikal Dws. 50 mg/kgBB/hr dibagi 3-4 dosis; kasus berat 100 mg/kgBB/hr. Kaps. 250 mg; Susp. 125 mg/5 ml (as a palmitat); Serb. Inj IV 100 mg/ml (as a Na Suksinat), 10 ml/vial; Salep mata 1%, Obat tetes mata 0,5%; Salep kulit 2%, Obat tetes telinga 1-5% 46 Chlorfeniramin Maleat Antialergi, Oral, Parenteral 2-4 mg/hr, dosis tunggal Tab. 4 mg; Inj. 5 mg/ml, 1 ml/amp. 47 Chloroquine Antimalaria Oral Dws. 600 g, 6 jam kemudian 0,5 g, diikuti 0,5 g sehari Tab. 150 mg (as a fosfat) 48 Chlorpromazin HCl (CPZ) Antipsikosis, antiemetik Oral, Parenteral Dws. IM 10 mg/x, maks. 6x/hr; oral 4 x 10 mg/hr, 15-30 menit sbl mkn. Tab. Salut 25 mg, 100 mg; Inj. IM 25 mg/ml, 1 ml/amp. 49 Codein HCl/fosfat Antitusif Oral Dws. 10 mg/hr Tab. 10 mg 50 Corticotropin (ACTH) Neuritis optik, miastenia gravis, sklerosis multiple Parenteral 40 IU/hr Serb. Inj IV 5 IU/ml, 5 ml/vial 51 Cotrimoxazole Antibakteri, ISK Oral 2 tab @ 12 jam Tab. meng. Sulfametoxazole 400 mg + trimetropim 80 mg. 52 Kuinin Antimalaria Oral, Parenteral Dws. 3 x 10 mg/kgBB/hr atau 3 x 600 mg/hr ~ 10-14 hr. Tab. 222 mg; Inj. IV 25%, 2 ml/amp. 53 Levodopa Antiparkinson Oral Px opname 3-4 x 250 mg. Bila px toleran, @ pemb. mjd 500 mg, dpt dinaikkan 125-250 mg @ 2-3 hr. @ pemb. tdk lebih 1,5-2 g. Tab. Carbidopa 25 mg + Levodopa 250 mg 54 Lidocain HCl Anestesi lokal Parenteral , Topikal 0,7-1,4 mg/kgBB IV maks. 200-300 mg/jam; 4-5 mg/kgBB IM; 1-4 mg/mnt infus. Inj. Infiltr. 1%, 2 ml/amp.; Inj. P.v 2%, 2 ml/amp; Jeli 2% tube 25 g; semprot 4%; btl 50 ml.
  • 25.
    25|TOV|MEDICUSLESCIUS 55 Lithium karbonat Antidepressan , antimanik OralRawat jalan 900 mg- 1,5 g/hr. Px. opname 1,2-2,4 g/hr. Tab. 250 mg 56 Magnesium sulfat Antidotum umum/pencah ar Oral Anak 7,5-15 mg/x; Dws. 5-15 g/hr. Serb. 30 g/ktg 57 Magnesium sulfat Antikejang Parenteral Dws. IM/IV 10-20 ml/x. lar. 10% Inj. IV 20%, 25 ml/amp; Inj. IV 40%, 25 ml/amp. 58 Manitol Diuretik, antiglaukoma Parenteral Dosis umum Dws 50- 100 g (250-500 ml), Diuretik IV 50-200 g/hr; antiglaukoma 1,5-2 g/kgBB; menurunkan TIK 0,25- 2 g/kgBB (infus) to 30- 60 menit. Lar. Infus 20% x 500 ml 59 Mebendazol Antihelmentik instestinal Oral Ascaris, trichuris, necator 2 x 100 mg/hr; T. solium 2 x 300 mg/hr; Visceral larva migrans 200-400 mg/hr ~ 5 hr. Tab. 100 mg; sir. 100 mg/5 ml 60 Metampiron Analgesik, antipiretik, antiGA, antireumatik. Oral, Parenteral Dws. 1-3 x 500 mg/hr; IM/IV/SC 1 g/hr. Tab. 500 mg; Inj. IM 250 mg/ml, 10 ml/vial, 2 ml/amp. 61 Metformin AntiDM Oral 3 x 500 mg/hr, maks 3 g/hr Tab. 500 mg 62 Metochloprami d Antiemetik Oral, Parenteral Dws. 3 x 5-10 mg/hr. Tab. 10 mg; Inj. 5 mg/ml, 3 ml/amp. 63 Metronidazole Antiamoeba Oral, parenteral Dws. 3 x 250 mg/hr ~ 7- 10 hr; giardiasis 3 x 250 mg/hr ~ 7 hr. Tab. 250 mg, 500 mg; Sup. 500 mg; Lar. Infus 5 mg/ml, 10 ml/vial 64 Nifedipin Antihipertensi Oral 3 x 5 mg/hr, maks 30 mg/hr Tab. 10 mg. 65 Nitrofurantoin Antiseptik ISK Oral Dws. 3-4 x 50-100 mg/hr Kaps. 50 mg 66 Nitrogliserin Antiangina Oral 0,15-0,6 mg Tab. sublingual 0,5 mg. 67 OBH Ekspetoran- mukolitik Oral Dws. 3 x 5 ml/hr Cairan btl 200 ml; konsentrat btl 1 L. 68 Oksimetazolin HCl Dekongestan Nasal 1-2 x/hr Tts hidung 0,025%, btl 10 ml, 0,0050% btl 15 ml. 69 Pirantel Antihelmentik Oral 10 mg/kgBB, dosis tunggal Tab. 125 mg; Susp. 125 mg/5 ml. 70 Prednison Antiinflamasi Oral Artitis 7,5 mg/hr; RHD 40 mg/hr; Asma 2 x 30 mg/hr ~ 5 hr. Tab. 5 mg 71 Probenesid AntiGA, hiperusemia Oral 2 x 250 mg/hr ~ 1 mgg diikuti 2 x 500 mg/hr Tab. 500 mg
  • 26.
    26|TOV|MEDICUSLESCIUS 72 Propiltiourasil Hipertiroidis me OralDws. 100 mg @ 8 jam, maks. 600 mg/hr. Tab. 50 mg 73 Propanolol HCl Antiangina Oral 120-480 mg/hr dibagi 3-4 dosis. Tab. 10 mg, 40 mg. 74 Propanolol HCl Antiangina Oral, Parenteral 40 mg/hr, dibagi 2 dosis, maks. 160 mg/hr. Tab. 10 mg, 40 mg; Inj. IV 1 mg/ml, 1 ml/amp. 75 Salbutamol Asma bronkial Oral, Inhalasi Dws. 3-4 x 4 mg/hr. Tab. 2 mg, 4 mg; Lar. IH 0,5%, 10 ml; IH aerosol 100 mg/dosis; inj. 50 mg/ml, 1 ml/amp; Lar. Nebulizer 5 mg/ml 76 Serum ABU Antibisa Ular Inj. 5 ml/vial 77 Serum ATS Antitetanus Inj. 1500 IU/amp; Inj. 10.000 IU/amp; Inj. 20.000 IU/vial. 78 Sianokobalami n (Vit B12) Anemia Pernisiosa Parenteral 100 mg ~ 5-10 hr. Penunjang 100-200 mg/bln. Anemia pernisiosa berat IM 500 mg. Inj. 500 mg/ml 79 Tetrakain HCl Anestesi lokal Topikal (mata) Tts mata 0,5% 80 Tetrasiklin Antiamoeba (gram +, riketsia, klamidia, amoeba) Oral 4 x 250-500 mg/hr Kaps/tab 250 mg; Suspensi 125 mg/5 ml; Serb. Inj IM 100 dan 200 mg/vial; Serb. Inj IV 250, 500 mg/vial; Salep kulit 3%, Tetes mata 1% 81 Thiamfenikol Antimikroba Oral Dws. 1 g/kgBB/hr dlm 4 dosis Kaps. 250, 500 mg; Sir. 125 mg/5 ml, btl 60 ml. 82 Vasopressin (ADH) Antidiuretik Parenteral Dws. SC/IM 0,1-1 ml/hr. Inj. IM/SC 20 IU/ml, 0,5 ml/amp, 1 ml/amp 83 Verapamil HCl Antiaritmia Oral, Parenteral IV 5-10 mg ~ 2-3 menit; Oral 240-480 mg/hr terbagi 3-4 dosis Tab. 80 mg; Inj 2,5 mg/ml, 2 ml/amp. 84 Vitamin B kompleks 1-3 tab Tablet
  • 27.
    27|TOV|MEDICUSLESCIUS 10. ABCD INTERNA AN A F I L A K S I S Therapi 1. Resusitasi kardiopulmoner 2. Adrenalin 0,3 - 0,5 ml SC dan 0,1- 0,3ml pada tempat suntikan atau tempat gigitan serangan dapat setiap 15- 20 menit 3. Pasang torniket, dilepaskan setiap 10 menit selama 1- 2 menit. Oksigen 5 - 10 liter/menit 5. Difenhidramin : 50 mg iv diulang tiap 6 jam selama 48 jam 6. Infus cairan bila tensi < 100 mmHg ( D5 : Nacl : 1 : 1 ( 2000 3000 ml/hari 7. Aminopylin : 4-7 mg/Kg BB/ iv selama 10-20 menit bila ada bronkospasme 8. Bila tekanan darah belum naik dapat diberikan vasopresor : • Dopamin : 0,3 - 1,2 mg/Kg BB/jam secara infus dengfan dextrose 5% • Aramin : 2 - 5 mg bolus iv perlahan-lahan 1. Kortikosteroid : untuk mencegah reaksi berulang. Hidrokortison 7 10 mg/Kg BB iv dilanjutkan dengan 5 mg/Kg BB/6 jam. 2. Intubasi dan trakeostomi bila ada obstruksi saluran napas bagian atas oleh karena edema.
  • 28.
    28|TOV|MEDICUSLESCIUS Penatalaksanaan Reaksi Anafilaksis Riwayatreaksi alergi berat dengan respiratory compromise atau hipotensi, terutama dengan perubahan kulit Identifikasi dan hentikan alergen Oksigen 100% 8 L/m Adrenalin / epinephrine (1 : 1000) 0,3 – 0,5 ml IM (0,01 mg/kg BB) Ulangi 5-15 menit jika tidak ada perubahan klinis Antihistamin 10-20 mg IM atau IV pelan Terapi tambahan • Berikan cairan IV 1-2 L jika tanda-tanda syok tidak ada respon terhadap obat • Kortikosteroid untuk semua kasus berat, berulang, dan pasien dengan asma - Methyl prednisolone 125-250 mg IV - Dexamethasone 20 mg IV - Hydrocortisone 100-500 mg IV pelan • Inhalasi short acting ββββ-2 agonist pada bronkospasme berat • Vasopressor • Observasi 2 - 3 x 24 jam, untuk kasus ringan cukup 6 jam • Berikan kortikosteroid dan antihistamin PO 3 x 24 jam
  • 29.
    29|TOV|MEDICUSLESCIUS A N EM I A • Anemia penting untuk mencari etiologinya : 1 Riwayat kekurangan gizi 2 Riwayat pendarahan 3 Riwayat exposure dengan obat 4 Riwayat exposure dengan biakan/kimia toksin 5 Riwayat anemia pada keluarga • Perlu diperhatikan ada tidaknya organomegali • Cari tanda-tanda masing-masing anemia • Minimal diperiksa tes penyaring : HB dan blood smear, Klind diikuti dengan pemeriksaan seri anemia : HB, erytrosit, hematikrit, trombosit, leucocyt, retikulosit, MCH, MCHC, MCV Pendekatan anemi menurut wintrobe 1 Anemi hipokromik mikrositer • cadangan besi ↓ : anemia fe deficiensi • cadangan besi N : anemia croinik of dosrder, A. sideroblastik thelaremia, haemoglo binopathy 1 anemi normokromik normositer • Retikulosit meningkat : anemia hemolitik, anemia post hemoragik • Retikulosit N/↓ : • Bone merrow : Aplastik/hipoplastik : anemia aplastik Infitrat : myelopitistic anemia Dyshaemoporetik : anemia dishemopostik • Bone merrow normal Anemia pada CRF Anemia of cronik liver disease Anemia of cronik disorder 1 Anemia makrositer : Retikulosit meningkat : anemia hemolitik, anemia hemolitik Retikulosit normal : • Sumsum tulang megaloblastik : anemia def B12 • anemia def folat • Sumsum tulang normal : hypotiroid hypoplastik marrow DD/ Anemia Fc Anemia kronik Anemia deficiensi disorder sideroplastik Talesemia Nilai absolut ↓sesuai derajat N ↓ ↓lebih rendah Anemia dp anemianya SI ↓ ↓ ↓ N TIBC ↓ ↓ N N Ferritin ↓ N ↓ N Saturasi < 15% > 15% > 15% > 15% Transfirin Cadangan Fe dll Sutul : - N N N Fe dl critobles - - Batuk einein N
  • 30.
    30|TOV|MEDICUSLESCIUS A K UT L E U K E M I A • Adanya faktor predisposisi, etiologi, pencetus → mutasi somatik sel induk → transformasi maligna → sel muda menumpuk dalam sumsum tulang dengan akibat I. Menekan fungsi hematologik normal (bone marrow failure) a. Anemia : sindrom anemia b. Netropenia : infeksi. Demam, infeksi rongga mulut, tenggorokan, kulit saluran napas dan sepsis c. Trombositopenia : brusing, perdarahan kulit, perdarahan gusi epistaxis II. Hiperkatabolisme (akibat produk sel berlebihan) a. Kaheksia b. Keringat malam c. Hiperurikemia → gout dan gagal ginjal III. Infitrasi ke organ a. Nyeri tulang dan nyeri setrum b. Limfadenopati superficial c. Splenomegali/Hepatomegali ringan d. Hipertropi gusi dan infiltrasi kulit e. Sindrom meningeal : sakit kepala, mual muntah, mata kabur, kaku kuduk Laboratorium : Darah tepi : • Anemia mormokromik normositer, sering berat timbul cepat • Trombositopenia • Leukosit meningkat → < 100.000 tetapi dapat juga normal atau menurun (aelukemie aleukemia) • Hapusanh darah tepi : adanya sel muda (blast) • Sumsum tulang : hiperseluler dengan blast minimal 30% Therapi I. Terapi suportif • Anemia : tranfusi PRC • Infeksi : antibiotika adquat, transfusi granulosit • Perdarahan : transfusi trombosit II. Kemoterapi 1. Fase induksi – remisi Kemoterapi intensif untuk mencapai remisi dan blast dalam sutul <5% Obat yang dipakai (untuk AML) a. Three plus seven regimen : Daunorubicin : 60 mg/m2 /hari iv 3 hari Ara – C : 200 mg/m2 /hari iv 7 hari b. Regimen DAT (Daunorubicin, Ara – C, 6 thioquanim) c. Untuk kasus resisten diberikan “high dose Ara – C” atau obat baru lain 2. Fase post remisi Usaha untuk mempertahankan remisi selama mungkin dengan cara : a. Kemoterapi lanjutan : 1) Terapi kosolidasi/intensifikasi : - 2 – 6 siklus Ara – C dan 6 TG dengan atau tanpa DNR - Ara – C dosisi tinggi 2) Terapi pemeliharaan • Umumnya dengan terapi peroral jangka panjang/masih dipertahankan manfaatnya 3) Imunoterapi masih belum terbukti
  • 31.
    31|TOV|MEDICUSLESCIUS A M OE B I A S I S K O L O N / S I G E L L O S I S • Perhatikan tanda-tanda klinis : untuk membedakan amebiasis dengan sigelosis • Perhatikan keadaan umum, tanda-tanda syok dan tanda perporasi Pemeriksaan yang perlu dikerjakan 1. DL 2. FL Therapi 1. Istirahat baring 2. Diet lunak 3. IVFD bila keadaan toksis/dehidrasi 4. Untuk amebiasis : metronidazol 3 x 500 – 100mg (7 – 10 hari) Untuk sigelosis : tetrasiklin 4 x 250 – 500mg/hari Planing Dx/ • Biakan feces • Endoskopi Planing Mn/ • Vital sign
  • 32.
    32|TOV|MEDICUSLESCIUS ANEMIA APLASTIK • Carikemungkinan penyebab sekundernya seperti radiasi, bahan kimia, obat- obatan, infeksi • Cari keluhanb akibat pansitopenianya - Jumlah erytrocit ↓↓↓↓→→→→ sindrom anemia - Jumlah leukosit ↓↓↓↓→→→→ gejala infeksi - Jumlah trombosit ↓↓↓↓→→→→ gejala perdarahan • Harus tidak ada organomegalki dan sel muda • Kriteria anemia aplastik berat : Daerah tepi (paling sedikit 2 dari 3) : - Anemia dengan retikulosit <1% - Granulosit < 500/mm3 - Platelet < 20.000/mm3 Sumsum tulang - Hipoplastik berat (kurang dari 25% selularistas normal) - Hipoplastik sedang (25-50% dari selularitas normal) Pemeriksaan yang perlu dikerjakan : DL, Blood smear Therapi 1. Istirahat baring 2. Diet TKTP 3. IVFD D5% untuk life line bila panas tinggi/perdarahan 4. Kelola infeksi : antibiotika adekuat/transfusi granulosit 5. Kelola perdarahan : transfusi dengan komponen darah yang sesuai bila anemianya berat sekali bisa ditranfusi dengan PRC 6. Stimulasi sumsum tulang : • Prednison 45 – 60 mg/hari selama 4 minmggu →→→→ jika tidak ada respon segera hentikan • Preparat androgen : testosteron atau oxymetholone Planing Dx/ • Dl • Faal hemostasis • Retikulosit • BMP Planing monitoring : • Vital sign • Tanda – tanda perdarahan akut
  • 33.
    33|TOV|MEDICUSLESCIUS ASMA BRONCIALE/STATUS ASMATIKUS 1.Cari faktor pencetus/riwayat alergi/faktor turunan • Frekuensi napas • Frekuensi jantung kiri 1. Tentukan berat ringannya serangan dengan parameter 2. Sesak napas 3. Tarikan otot bantu napas 4. Derajat wezing Pemeriksaan penunjang yang perlu dikerjakan : 1. Darah lengkap : eosinopil meningkat 2. Foto thorak : untuk kemungkinan komplikasi pneumotorak, pneumoni 1. EKG : hanya dikerjakan pada keadaan yang berat 2. Analisa gas darah : dikerjakan pada asma akut yang berat ( mencari tanda gawat/gagal napas (Pa O2 menurun, Pa CO2 meningkat). Asma akut terapi 2 jam bila menetap/memburuk ( status asmatikus ) Therapi 1. Baring ½ duduk 2. Diet TKTP lunak 3. Oksigen 2 4 liter/menit dilembabkan 4. IVFD D5 : P2 = 1 : 1 : 1 (2 liter + perkiraan defisit/hari) 5. Adreanalin 0,3 cc SC dapat diulang a 15 menit (kontraindikasi pada orang tua, hpertensi, hipertropid, jantung) 6. Aminopylin : 5-6 mg/Kg BB bolus iv dilanjutkan dengan 0,5 0,9 mg/Kg BB jam per infus 7. Hidrokortison 200 300 mg iv loding dose (dexametason/kalmetason 2 ampul) ( maintenance 4 mg/kg B @ 6 jam (kalmet 4 x 1) 8. Antibiotik (bila ada dan untuk mencegah infeksi : 9. Axyterta 100 200 mg/ 6 jam/M atau 10. Amoxycilin/tetra critromicyn 4 x 250 mg/oral 11. Amoxy/ampi/eritromycin : infeksi 1 gram / hari 12. Salbutamol 3 x 2 mg 13. Mukolitik : bromhexin syrup 3 x Cl Ckpektoran : GG 3 x 1 1. Hindari faktor pencetus 2. Bila terjadi asidosis dapat diberikan Na. Bie Planing Dx/ 1. DL/FL ulang pemeriksaan sputum 2. Spirometri/tes provokasi bronikal 3. Tes alergi kulit, kadar IgE serum 4. Analisa gas darah 5. Hitung cosinopil Planing monitoring 1. Vital sign 2. Parameter klinik bertanya serangan AMINOFILIN Merupakan gram teofilin. Dosis untuk status asmatikus 6mg/BB dalam 20-30 menit Maintenance ; bukan perokok ; 0,5mg/BB/jam, perokok ; 0,8-0,9mg/BB/jam Efek samping ; mual, muntah, sakit kepala
  • 34.
    34|TOV|MEDICUSLESCIUS B I OK I M I A H A T I I. Bilirubin Bilirubin conjugated dapat dieksresikan dalam urine bilirubin unconjugated tak dapat dikeksresikan dalam urine. Uroblin pada ikterus kolestatik tak dapat dalam urine. II. Kolestrol Normalnya : 150 – 250 mg/100 cc Pada ikterus kolestatik : kolesterol meningkat 3 – 4 kali Pada kolestatis kronik : kolestrol > meningkat III. Fosfatase Alkali pospatase merupakan indek yang sangat sensitif bagi statis empedu Kadar normal : 3 – 13 kA unit Pada ikterus kolestatik kadarnya meningkat : 10 kali Pada ikterus hepatoseluler kadarnya meningkat : < 10 kali IV. Transaminase a) SGOT normal : 5 – 17 10/100 cc. Banyak terdapat pada jantung, otot sklet hinjal kadar meningkat pada hepatoseluler nekrosis atau intark myokard b) SGPT normal : 4 – 13 10/100 cc. Banyak terdapat pada hati pada otot, jantung agak kurang pada hepatitis meningkat c) < DH (normal : 500 unit). Terdapat terutama pada otot skelet, jantung, hati, eritrosit d) Cholin esterasi. Pada sirosis kadarnya menurun Pemeriksaan kimiawi yang perlu dikerjakan I. Untuk mengetahui ada tidaknya kerusakan sel hari • SGOT • SGPT Radio De ritis (SGOT/SGPT) : > 1 = necrotik type < 1 = inflamatory type Untuk mengetahui ada tidaknya hiperbilirubinemi/kolestasis • Bilirubin total dan direk • Asem empedu II. Untuk mengetahui ada tidaknya gangguan fungsi metabolisme • Protein total • Albumin • Elektroporesa protein III. Untuk mengetahui penyakit akut/kronik • IgG IgM • Globulin • SPE Prinsipnya 3 hal yang perlu diperiksa : 1. SGPT : menunjukkan gangguan permeabilitas membran haptosit 2. GGT : peningkatan terjadi pada cholestasis, keracunan/ rudapaksa 3. Cholin esterase : menurunkan pada kegagalan fungsi sintensis protein, penggunaan masa sel hati Bila SGPT sangat tinggi GGT naik sedang,CHE normal Bila SGPT normal GGT naik ringan CHE sangat menurun Bila SGPT naik ringan GGT naik ringan CHE meninggi Bila SGPT sangat meningkat GGT naik ringan CHE menurun Bila GLDH meninggi SGPT meninggi Bila GLDH rendah SGPT tinggi Bila SGPT < 10 = ikterus obstruktif GGT > 10 = ikterus hepatoseluler LDH Gamma GT ALP (alkali pospatase) Gama GT Glukosa Ureum Amonia CHE (choline esterase) PPT PTTL Hepatitis akut Sirosis lanjut Sirosis lanjut Sirosis lanjut Bendungan hati akut, lesi hati hipoksik dengan nekrosis sentrolobuler, hepatotoksisitas akut Hepatitis virus
  • 35.
    35|TOV|MEDICUSLESCIUS C M L KRONIKMIELOSITIK LEUKEMIA • Insiden pada usia petengahan dengan puncak pada umur 40 - 50 tahun • Perjalanan penyakit CML dibagi menjadi 2 fase : 1. Fase kronik • Berjalan selama 2 - 4 tahun dan responsif terhadap komoterapi • Sering dianggap sebagai fase preleukemia 2. Fase akselerasi/transformasi akut : • Perangi klinik berubah mirip leukemia akut • Proporsi sel muda meningkat dan akhirnya masuk kedalam blast crisis Gejala klinik A. Fase kronik 1 Gejala hipermetabolik : berat badan menurun, lemah anoreksia, berkeringat malam. 2 Splenomegali hampir selalu ada, sering masif 3 Hepatomegali 4 Gejala gout dan periapismus 5 Anemi sering hanya ringa 6 Kadang asimptomatis ditemukan secara kebetulan B. Fase transformasi akut : 1. Perubahan terjadi pelan-pelan dengan prodromal selama 6 bulan keluhan baru: demam, lelahm nyeri tulang, (setrum) yang semakin progresif. Respon terhadap kemotrerapi menurun, leukositosis meningkat dan trombosit menurun dan akhirnya menjadi gambaran leukemia akut. 2. Pada 1/3 penderita perubahan terjadi secara mendadak tanpa didahului masa prodromal disebut krisis penderita meninggal 1 - 2 bulan Laboratorium : 1 Darah tepi a Leukosis berat : 20.000 - 50.000 pada permulaan kemudian biasanya >100.000 /mm 3 b Anemi mula-mula ringan menjadi progresif pada fase lanjut besifat normokrotik - normokrotik c Trombosit bisa meningkat, normal atau menurun d Fosfatase alkali netrofil selalu rendah e Hapusan darah tepi menunjukkan spektrum lengkap 2 Sumsum tulang Hiperseluler dengan sistem granulosit dominan. Gambarannya mirip dengan hapusan darah tepi. 3 Sitogenetik : adanya philadelpia kromosom 4 Vit B12 serum dan B12 binding capacity meningkat Tanda-tanda tranformasi akut : 1 Timbulnya demam dan amenia yang tidak dapat dijelaskan penyebabnya 2 Respon penurunan leukosit terhadap kemoterapi tidak adekuat 3 Splenomegali membesar yang sebelumnya sudah mengecil 4 Blast dalam sutul > 10% Therapi 1 Fase kronik Obat pilihan a Busulpham (myleran) : 0,1 - 0,2 mg/Kg BB/hari leukosit diperiksa tiap minggu. Dosis diturunkan setengah jika leukosit turun setenganya. Obat dihentikan jika leukosit 20.000/mm3 Terapi dimulai jika leukosit naik menjadi 50.000 Efek samping: aplasia sumsum tulang berkepanjangan, fibrosis paru, bahwa timbulnya leukemia akut. b Hydroxiurea Memerlukan pengaturan dosis lebih sering, tetapi efek samping minimal kemoterapi pada fase kronik dapat menghilangkan gejala tetapi tidak memperpanjang ketahanan hidup 2 Fase transformasi akut Sama dengan terapi leukemia akut, tetapi respon sangat rendah • Transplantasi sumsum tulang
  • 36.
    36|TOV|MEDICUSLESCIUS C I RO S I S H E P A T I S • Perlu dicari kemungkinan penyebabnya • Perlu dicari tanda-tanda insuficiensi hati, hiperestrogenemi, hipertensi portal dan hipersphlennisme. Pemeriksaan yang perlu dikerjakan DL/UL SGOT, SGPT Therapi 1. Istirahat baring 2. Diet rendah protein, rendah garam (bila ada tanda hipertensi portal) Diet TKTP bila tanpa hipertensi portal 3. Diuretika furosemid 40 mg/hari+spironolakton 2 x 25 mg/hari 4. Simptomatis, Roburantia Planing dx/ DL/UL/FL < FT, Bilirubin direk/indirek USG Upper GI pada kecurigaan adanya varices esopagus Planing monitor : Vital sign
  • 37.
    37|TOV|MEDICUSLESCIUS PENYAKIT JANTUNG PARU (CORPULMONAL) • Cari penyakit dasarnya pada paru-paru • Cari tanda-tanda hipertropi ventrikel kanan seperti pulsasi parasternal dan epigastrial, ietus melebar kelateral. Pemeriksaan yang perlu dilakukan 1 Foto thorak : tanda kelainan yang mendasarinya, tanda hipertensi pulmonal (pembesaran pulmonalis, hipertropi ventrikel kanan, pelebaran vena asigos dan vena cava superior. 2 EKG • Pulmonal, defiasi axsis kekanan • R/S ratio V1 > 1, di V 6 < 1 • Gambaran S1 S2 S3 Sl q3 S3 • RB BB komplit/inkomplit 3 Analisa gas darah Hipoksemia, hyperkapnea, asidosis respiratorik. Therapi 1 Istirahat 2 Diet TKTP 3 Oksigen 1 - 2 liter/menit 4 IVFD : D5% untuk life line 5 Furosemid 1 x 20 - 40 mg iv 6 Bila terjadi aritmia bisa diberikan digitalis (hati-hati mudah hipoksia) atau Ca antagonis 3 x 10 mg/hari. 7 Terapi terhadap penyakit dasar : • Hentikan merokok • Antibiotika, bronkodilator, fisiterapi napas Planing Dx/ : untuk mengatasi penyakit dasarnya Planing monitoring ; vital sign
  • 38.
    38|TOV|MEDICUSLESCIUS D H F KRITERIADIAGNOSIS DHF (WHO ’98) Semua harus ada : 1. Demam / riwayat demam akut 2 – 7 hari terutama bifasik. 2. Minimal 1 dari manifestasi perdarahan sbb : • uji Rumple Leed + • ptechiae, ekimosis, purpura • perdarahan mukosa saluran cerna, bekas suntikan, atau tempat lain • hematemesis / melena 3. Trombositopenia ( < 100.000 / mm3) atau 4. Minimal 1 tanda plasma leckage • Hematokrit ↑↑↑↑ 20 % dibanding rata-rata orang dengan usia, sex, dari populasi yang sama • Hematokrit ↓↓↓↓ sehingga 20 % dari Hematokrit awal • Efusi Pleura, asites, hiponatremia Gradasi DHF : 1. Demam + gangguan konstitusional tidak khas perdarahan berupa RL positif atau easybrushing 2. Derajat I + perdarahan spontan 3. Gagal sirkulasi Tensi ↓↓↓↓ , Nadi cepat dan lemah, kulit dingin dan lembab, dan gelisah 4. Syok Tekanan darah ↓↓↓↓ dan Nadi ↑↑↑↑ yang fluktuatif  (derajat 3 & 4 = DSS) • Waspada terhadap kemungkinan terjadinya DSS terutama pada saat demam mulai menurun • Rumple leed harus selalu ingat diperiksa Pemeriksaan yang perlu dikerjakan • DL (HB) • Hematokrit
  • 39.
    39|TOV|MEDICUSLESCIUS Therapi 1. Istirahat baring 2.Diet lunak, banyak minum 3. IVFD : RL/Nacl 0,9% bila muntah-muntah, hematokrit meningkat Dehidrasi ringan: 30 tetes/menit Dehidrasi sedang : 60 tetes/menit Dehidrasi berat : gerojok bila 2 jam syok belum dapat diatasi ditambahkan haemaccel 1500 ml 4. Transfusi darah dilakukan bila : • Ada hematemesis melena • HB menurun atau hematokrit merendah →→→→ Jenis darah tergantung sifat peredaran bila whole blood, fres frosen plasma atau trombisit konsentral 5. Oksigen : 2-4 liter/menit pada penderita syok 6. Antibiotik bila syok lama atau ada komplikasi infeksi bakteri 7. Kortikosteroid diberikan bila ada trombositopenia dengan perdarahan diberikan prednison 40 mg sehari sampai trombosit > 100.000/mm3 8. Simptomatis * Paracetamol 3 x 500 mg 9. Acetosal 1 x 100 untuk agregasi trombosit Planing Dx/ • DL/UL • Tes HI • Hematokrit Planing monitoring • Vital sign • Tanda dini renjatan - KU memburuk - Hati makin membesar - Bleeding time memanjang - Hematokrit meningkat pada pemeriksaan berkala
  • 40.
    40|TOV|MEDICUSLESCIUS D I SP E P S I A • Tentukan dulu tipe dispepsianya : Ulcer : hunger pain food relief, nokturnal pain Refluk : nyeri retrosternal, rasa terbakar, regurgitasi asam Gastroparesis : rasa penuh, kembung, lekas kenyang Non spesifik : keluhan samar hanya rasa tak enak tanpa keluhan khas • Tentukan penyebab dispepsianya Pemeriksaan yang perlu dikerjakan 1. DL 2. Elektrolit bila perlu • Therapi 1. Istirahat 2. Diet lunak 3. IFD : 5% RL untuk life line/mengatasi dehidrasi 4. Antasida syrup 3 x CI 5. Simetidine 3 x 200 mg iv/oral Planning Dx/ • Barium enema • Endoskopi Planning monitoring • Vital sign
  • 41.
    41|TOV|MEDICUSLESCIUS DEMAM TYPHOID • Anamnesayang teliti dari demam 7 hari, kedalam toksis dan gangguan gastrointestinal • Perlu dicari kardinal rign : typoid tengue, bradikardia, relatif, hepatosplenomegali, meteorismus, gangguan sensorium, demam > 7 hari • Cari kemungkinan adanya komplikasi Pemeriksaan yang perlu dikerjakan : 1 DL/UL 2 SGOT/SGPT 3 Widal Therapi • Istirahat baring • Diet lunak renda serat sampai 7 hari bebas demam • Khlorampenicol 4 x 250 mg hari I selanjutnya 4 x 500 mg • Vit B komplek 3 x 1 • Parasetamol K/P Pada keadaan toksis : • IVFD RL/D5% 30 tts/menit • Diet cair TKTP persoden (pasang NG tobe) • Antibitika per oral/parrentral • Vit B komplek parenteral • Hydrokortison 3 x 100 mg atau dexametason 3 x 5 mg iv (dosis diturunkan tiap hari selama 5 hari) Bila melena • Penderita diperaskan • Nutrisi darah samapi Hb diatas 10 gr% • Bila terjadi perporasi usus seperti pada melena + NGT untuk decompresi dan kosul bedah sito • Bila terjadi syok septik • Puasa • IVFD : RL berikan dulu loading dose 1 liter dalam 30 menit kemudian tambahkan dopamin 10 - 20meq/Kg BB/menit (50 tts/menit) • 02  2 - 4 liter/menit • Dexametason 3 mg/kg BB bolus • Klorampeniol 4 x 500 mg atau 3 x 1000 mg iv • Vit BC parenteral • Monitoring CVP Planning Dx/ Kriteria hepatitis typosa : • DL/UL/FL 1. Peningkatan transaminase • Widal 2. Peningkatan bilirubin serum (ikterus) • Gall bultur 3. Waktu masuk bisa tanpa febris 4. Secara histologis didapatkan typoid nodule Planning therapi • Vital sign Mekanisme terjadinya diduga oleh karena pengaruh sitokine (mediator) disamping secara mekanik waktu bakteri masuk ke liver K. Indikasi : Kortimoksazol Indikasi : Chlorampenicol/thiampenicol
  • 42.
    42|TOV|MEDICUSLESCIUS DM + GANGREN/ULKUS/CELULITIS •Cari riwayat DM dalam keluarga (pedigree) • Cari kemungkinan komplikasi yang telah terjadi • Ukur berat badan dan tingginya untuk menghitung RBW dan BMI • Tentukan tipe DM-nya DM tipe 1 Dx/ dengan - Umur muda (<20 th) - Kurus - Insulin dependent Defentif - 10 hari tanpa insulin →→→→ KAD - C peptida < 0,6 DM Tipe 2 - DM dewasa - OAD/diet dependet - Tanpa insulin 10 hari →→→→ tak timbul KAD - C peptida > 0,8 MR DM - DM 15 – 40 tahun - Kurus (RBW < 80%) - Resistensi insulin - Resistensi ketosis - Nyeri perut berulang/tanda-tanda malabsrobsi - Paba tes < 60% - C peptida > 0,6 - OAD dan insulin dependent partial (tidak timbul KAD tanpa insulin) - C peptida 0,6-0,8 - DM tipe 2 pada umur < 20 tahun • Pada DM tipe 2 yang gagal sekunder terhadap OAD perlu TKOI tipe x 1 ½ oleh kerena jika hanya dengan monoterapi insulin akan timbul 3 efek : a. Block sel beta (I sampai IV) b. Efek down regulation ; akibat hiperinsulinemia dengan pemberian insulin eksogen akan semakin membuat penurunan jumlah reseptor. c. Hiperinsulinemia →→→→ timbul sondrom x (Reaven) : • Hiperinslinemia : dislipidemia • Hiperglikemia : resistensi insulin • Hipertensi : penyakit kardiovaskuler • Regulasi cepat dengan RI 4 unit/perjan iv akan menurunkan gula darah 50 – 75 mg% setiap jamnya diindikasikan pada : SM sepsis praoperasi (gangren, kolisistis, batu ginjal) DM dengan satroke CVA DM pro dengan MA DM dengan IMA Indikasi TK OI (kombinasi OAD dengan insulin) : a. DM tipe X (tipe 1 ½) b. DM tipe II gagal sekunder dengan OAD c. DM tipe II disertai dengan Malnutrisi Infeksi Fraktir,Kurus Grave,KehamilaKanker dan lain-lain Penyakit hati Pemeriksaan yang perlu dikerjakan : 1. BS acak 2. DL/UL 3. R “Ontgen sesuai dengan lokasi perkiraan infeksi Therapi • Istirahat baring • Diet B1 minimal 2100 kalori • IVFD RL/Nacl 0,9→→→→ tergantung keadaan pasien • RI/aktravid tergantung kadar gula darah (RI = 3 x sehari (2 x nilai depan BS) SC Antibiotika : • Ampicilin 4 x 1 gram iv • Gentamicin 2 x 80 mg iv
  • 43.
    43|TOV|MEDICUSLESCIUS Jika gangren bisadiberikan kombinasi • Pentoxyplin 4 x 200 mg (sebagai vasodilator) • Accetsal 1 x 100 mg (sebagai anti agresi thorax) Jika belum gangren cukup asetosal saja • Pada nepropati diabetika setandar awal ; captopril 3 x 6,25 – 0,5 mg • Terapi simptomatik • Rawat luka Planing Dx : AL/UL/FL • BSn/BS 2 jam PP, LFT, BUN/ S. creatinin • Kultur pus, klonoi count sensitivitas test • Lipid propil : kholesterol total, HDL kolesterol, trigliserid • AS urat • Konsul bedah • Kosnul mata • Konsul gigi Planing monitoring • Vital sign • Reduksi urine Kriteria pengendalian DM Baik Sedang Buruk BSN 80 – 120 120 – 140 > 140 BS 2 jam pp 80 – 160 160 – 200 > 200 Kolesterol total < 200 200 – 240 > 240 HDL kolesterol > 40 35 – 50 < 35 Trigliserid • Tanpa PJK < 200 200 – 400 > 400 • Dengan PJK < 150 150 – 200 > 200 Hb Al c (5) 4 – 6 6 – 8 > 8 Tensi < 140/90 <160/95 > 160/95 BMI Wanita 19 – 23 23 – 25 > 25 Pria 20 – 25 25 – 27 > 27 BMI TB BB Klasifikasi infeksi pada diabetik foot : Grade 0 : tidak ada luka 1 : ulkus dengan infeksi yang superficial 2 : ulkus sampai tendon dan tulang tapi infeksi minimal 3 : ulkus sampai tendon dan tulang dengan abces dan osteomyelitis 4 : ulcus dan menimbulkan gangren lokal pada jari laki atau kaki bagi depan 5 : lesi/ulcus dengan gangren dari seluruh kaki
  • 44.
    44|TOV|MEDICUSLESCIUS DOBUTAMIN • efek ionotropiklebih kuat daripada efek kronotropik dibandingkan isoproterenol • meningkatkan kontraktilitas jantung dan curah jantung, hanya sedikit meningkatkan denyut jantung, sedangkan resistensi perifer tidak berubah. • mempercepat konduksi AV, sehingga sebaiknya dihindarkan pada fibrilasi atrium. • Tapi obat ini dapat sangat meningkatkan denyut jantung, bila ini terjadi kurangi kecepatan infuse • Efek samping ; nausea, nyeri ke[ala, palpitasi, dispnea dan nyeri angina. Kontra indikasi pada stenosis subaorta. DOPAMIN (prekusor NE) - Pada dosis rendah (infuse) akan meningkatkan aliran darah ginjal, mesenterium dan pembuluh darah koroner (vasodilatasi) - Meningkatkan LFG dan ekskresi Na+ - Pada dosis sedikit lebih tinggi akan meningkatkan kontraktilitas miokard - Pada dosis rendah sampai sedang resistensi perifer total tidak berubah - Meningkatkan tekanan sistolik dan tekanan nadi tanpa meningkatkan tekanan diastolic ( atau sedikit meningkat ) - Sangat berguna pada keadaan curah jantung lemah dan disertai gangguan fungsi ginjal ( syok kardiogenik dan hopovolemik) - Pada dosis tinggi berakibat vasokonstriksi shg bila digunakan pada syok yang mengancam jiwa , tekanan darah dan fungsi ginjal harus dikontrol terus. - Tidak memberikan efek di otak walaupun ada reseptornya karena dopamine sukar melewati sawar otak. - Sebelum diberikan pada syok hipovolemik, hipovolemiknya harus dikoreksi dahulu - Efek samping ; nausea, muntah, takikardi, aritmia, nyeri dada, hipertensi dan peningkatkan tekanan diastolic. - Dosis lebih dari 10-20 mikrogram/BB/menit ; efek vasokonstriksi timbul - Meningkatkan kontraktilitas miokard, tidak banyak meningkatkat denyut jantung.
  • 45.
    45|TOV|MEDICUSLESCIUS DRUG AND THELIVER Obat harus dapat larut dalam lemak agar bisa diserap oleh usus. Kemudian dikonversi didalam hati agar dapat diekskresikan ke dalam urin. Bila kita mencurigai adanya suatu hepatitis oleh karena obat, anamnesis tentang pemakaiaan obat selama 3 bulan terakhir sangat penting. Respon obat terhadap hati tergantung dari factor : - absorbsi - lingkungan - genetik Farmakokinetik Klirens obat Dallam hepar tergantung dari : - enzim metabolisme obat - aliran darah hati - adanya protein plasma binding Ada jenis obat yang termasuk kedalam “high first pass” (high intrinsic clearance) yaitu golongan obat yang diserap secara cepat dan tergantung dari hepatic blood flow. Bila aliran melambat seperti pada CH atau gagal jantung menyebabkan terjadinya peningkatan penyerapan contohnya propanilil , cimetidine. Karena bersifat hfp maka sebaiknya obat tersbut diberikan secara sublingual ataupun injeksi untuk menghindari obat tersebut memasuki system portal. Sebaliknya obat yang bersifat Low Intrinsic clearance tidak begitu tergantung dari hepatic blood flow. Perubahan dari HBF ini mempunyai efek yang kecil. Plasma binding protein membatasi presentasi dari obat dengan enzim hepar.
  • 46.
    46|TOV|MEDICUSLESCIUS DRUG AND THELIVER HEPATIC DRUG METABOLISM FASE 1 System utama metabolisme obat di hepar terjadi dalam reticulum endoplasma halus. Enzim yang terlibat adalah kesatuan fungsi dari mono cytokrom C reduktase dan cytokrom p450. NAPDH sebagai ko factor. Obat diubah menjadi lebih polar(mudah larut dalam air) dengan proses hidroksilasi atau oksidasi. Fase 1 alternatif termasuk terjadinya konversi alcohol menjadi asetildehid yang terutama terjadi di fraksi sitosolik. Enzyme inducers seperti ; barboturat, alcohol, anestetik, hipoglikemik, anti konvulsan agen, griseofulvin, rifampisin, fenilbutason dan meprobamat. FASE 2 Biotransformasi termasuk konjugasi atau metabolit obat dengan molekul endogen kecil. Enzim diasanya tisah tertahan di hepar tapi tetap ada dalam hepar dalam konsentrasi yang tinggi. Transport aktif Terjadi di biliary pole of hepatosit. Proses ini tergantung ada tidaknya energi dan bisa tersaturasi. Obat yang sudah termetabolisme akan dikeluarkan baik lewat ginjal maupu empedu tergantung dari berbagai factor dan banyk yang masih belum jelas dan tergantung juga dari berat molekulnya, <200 lewat ginjal, bila lebih dikeluarkan lewat system empedu. P450 system Obat dimetabolisme dan terbentuk juga zat toksik terjadi dalam system p450 yang terletak dalam reticulum endoplasmic hepatosit. Telah diidentifikasi 50 buah tapi diyakini masih ada lagi. Terbagi menjadi tiga golongan yaitu p4501,2 dan 3. masing2 mempunyai kemapuan mengikat obat tertentu tapi yang jelas tidak semua obat. P450 ini dikode oleh gen tertntu , perbedaan dalam aktivitas katalitik dari masing2 inilah yang dapat menyebabkan terjadinya reaksi seperti idiosinkrasi,outward reaction. Biasanya pada p450 tipe tertentu mempunyai reaksi yang abnormal dan bila dihubungkan dengan gen pengkodenya hal ini memungkinkan dimasa depan untuk meramalkan akan terjadinya reaksi yang abnormal tersebut.
  • 47.
    47|TOV|MEDICUSLESCIUS E F US I P L E U R A Cari faktor penyebabnya Pemeriksaan penunjang yang perlu dikerjakan : 1. Rontgen thorax PA – lateral 2. Fungtie pleura dikeluarkan 1 – 1 ½ liter Sebagai diagnostik dan therapi : Fungtie (torakosintesis) dilakukan sebagai berikut : posisi penderita duduk : aspirasi dengan memakai abboeath no 14 atau 16 pada ICS 1 x garis aksilaris posterior (IV – VIII) 3. Sitologi cairan pleura Therapi 1. Bed rest baring ½ duduk 2. Diet TKTP 3. IVFD DS : RL = 1 : untuk life line 4. Analgetika 5. Antibiotika Planing diagnostik ; DL/UL, sitologi cairan pleura Planing monitoring : vital sign.
  • 48.
    48|TOV|MEDICUSLESCIUS GCS Eye Opening • Spontaneous4 • To verbal command 3 • To pain 2 • None 1 Best Verbal response • Oriented, conversing 5 • Disoriented, conversing 4 • Inappropriate words 3 • Incomprehensible sounds 2 • None 1 Best motor response • Obeys verbal command 6 • Localized pain 5 • Flexion, withdrawal 4 • Abnormal flexion, decorticate 3 • Extension decerebrate 2 • None 1 GCS ANAK Membuka mata: • Membuka mata spontan 4 • Diajak bicara/perabaan halus 3 • Dengan nyeri 2 • Tidak ada respon 1 Verbal • Ngoceh 5 • Nangis iritatif 4 • Nangis dengan nyeri 3 • Menggeram dengan nyeri 2 • Tidak ada respon 1 Motorik • Gerakan spontan normal 6 • Mengelak dengan sentuhan 5 • Mengelak dengan nyeri 4 • Fleksi abnormal 3 • Ekstensi abnormal 2 • Tidak ada respon 1
  • 49.
    49|TOV|MEDICUSLESCIUS G G A 1.Tentukan dulu penyebab GGA: prerenal, post renal, atau renal ( pada anamnesis sangat perlu dicari Pemeriksaan yang perlu dikerjakan 1. DL, UL, asam urat, elektrolit urine 2. BUN/serum creatinin, elektrolit (hiper K, hiper P04, hiponatrium, hipokalemi) 3. BOF pol kecurigaan post renal Therapi 1. Pada kecurigaan post renal segara hilangkan penyebabnya. Kontra indikasi diuretik 2. Pada penyebab prerenal : 3. Rehidrasi cairan yang cukup (berdasarkan Bj plasma atau CVP) 1. Tes lasix. Tentukan dulu diuresis selama 1 2 jam kemudian diberikan furosemid 40 mg iv. Tentukan diuresis 1 2 jam berikutnya. Bila diuresis menjadi 500 ml (atau 20 ml/jam) boleh diberikan cairan lagi. Bila tidak pengelolaan renal 1. Renal 2. Diet tinggi kalori (2500 3000 kal) rendah protein (25 30 gram) 3. Pembatasan cairan : cairan masuk = 500 ml + kehilangan cairan hari kemarinnya. 4. Furosemid dosis tinggi 200 2000 mg/hari untuk merubah oligouri ( poliuri. 5. Pengobatan lain berdasarkan indikasi A1. Asidosis metabolik (lemah, pusing, mual, muntah, nyeri perut, napas kusmaul) CO2 hanya perlu dinaikkan sampai 18 meq/1 (jangan melebihi menaikkan 10 meq/1) Cara menghitung kebutuhan Na bikarbonat 1. Tentukan defisit CO2 content Deficit CD2 = deficid CO2 content x 20% x BB (meq/1) Diobati dengan 1. Nabic 7,5% = deficit meq/1 x 50/45 = …….ml 2. Nabic 1,5% = ……….. ml. 3. Nabic 7,5% = 0,3 x BB x 0,084 x defisit HCO3 dimana 50 meq diberikan bolus sisanya dalam waktu 4 6 jam kemudian. 4. Rumus base excces negtif : BB x 0,2 x Base oxcces negatif = ……….. Meq/1 Nabic yang diberikan harus diencerkan dengan D5% dalam jumlah yang sama A2. Hiperkelami 1. Glukosa 25% 200 300 ml iv (dalam waktu 30 menit) + Ri 10 20 unit. Kemudian diikuti dengan infus D5% 250 300 ml 2. Kalsium glukosa/kalsium chlorida 10%. 50 100 ml iv dengan kecepatan 2ml/menit atau 0,5 cc/kg BB. 1. Nabic 7,5% iv 1 ampul kemudian diikuti dengan D10% 100 ml + 2 3 ampul Nabic (dl 1 2 jam) 2. Nacl 5% 200 ml dalam waktu ½ jam 3. Hemodialisis A3. Overhidrasi 1. Puasa cairan selama 24 jam 2. Bila timbul hipelegi, kejang atau koma berikan Nacl 3% atau 5% Nacl 5% = 6ml/Kg/BB (dapat meningkatkan kadar Na serum ( 10meq/1- (kecepatan infus 100 ml/ jam)
  • 50.
    50|TOV|MEDICUSLESCIUS G G K •Tentukan apakah hanya GGK ataukah terjadi akut on cronik renal failure dimana produksi urine tiba-tiba < 500cc/ hari pada penderita GGK • Cari riwayat DM, pirai, batu ginjal, hipertensi, obat nepropotosik jangka lama. • Perlu dicari penyakit dasarnya Pemeriksaan yang perlu dikerjakan • DL/UL • BUN/Serum creatinin, asam urat • BOF untuk cari kemungkinan batu Therapi 1 Istirahat baring 2 Diet tinggi kalori (2500 kal) protein 40-50 gr/hari (pada keadaan berat protein 20 - 30 gr/hari) 3 Jaga keseimbangan cairan 4 Al (OH) 3 x 1 untuk hiperpospatemi 5 As folat 3 x 5 mg untuk mencegah anemia 6 Pengolahan sesuai keadaan/indikasi Infeksi : Antibiotik pilih yang tidak neprotoksik Hipertensi : Captopril 3 x 6,25 - 25 mg/hari Hiperuricemia : Allopurinol 3 x 100 - 300 mg/hari Pruritis : Dipenhidramin (CTM) 3 x 1 Vomiting : Klorpromasin/trimetobenzamin Neuromuskuler : Vitamin, neurotropik Planing Dx/ • Elektrolit • Kliren kreatinin • IVP • USG Ginjal Cara menghitung kliren keratinin : KK (laki) = (140-U) XBB --------- -------- 72 x BB Wanita : 0,85 x KK laki Arti nilai kliren kreatinin 76 - 100 ml/menit = Insuficiensi ginjal berkurang 29 - 75ml/menit = Insufliciensi ginjal krinik 5 - 30 ml/menit = GGK < 5ml/menit = GGT Planing monitoring • Vital sign • Produksi urine • Cairan masuk/cairan keluar
  • 51.
    51|TOV|MEDICUSLESCIUS GAGAL JANTUNG Tentukan kira-kirapenyebab gagal jantung (kiri/kanan) Cari faktor pencetusnya Pemeriksaan yang perlu dilakukan: 1 Thorak Foto 2 EKG Therapi 1 Istirahat posisi ½ duduk 2 Diet lunak rendah garam 3 Oksigen 4 - 6 liter/menit bila ada sesak napas 4 IVFD : D5 % 12 tts/menit untuk life line 5 Meningkatkan kontraktilitas Bisa disertai AF: Cedilanid 0,4 - 0,8 mg IV dilanjutkan tiap 6 - 8 jam sampai total 1,6 g. digoxin 3 x 0,5 mg/hari oral selama 1-2 hari dilanjutkan dengan maintenance 0,25 mg/hari Bila ada hipotesis: dopamin 3 - 5 mg/kg BB/menit/ infus. 6 Menurunkan preload • Furosemide 20 - 40 mg/hari IV • ISDN 3 x 5 - 10 mg/hari 7 Menurunkan after load • Hidralazin 3 x 25 - 50 mg/hari • Captopril 3 x 6,25 - 50 mg/hari 8 Koreksi faktor pencetus : Infus ; antibiotik Anemi ; transfusi P/monitoring ; elektrolit pada pemberian diuretika
  • 52.
    52|TOV|MEDICUSLESCIUS G A ST R O E N T E R I T I S A K U T E/ Infeksi bakteri, virus Intoleransi makanan Racun organik & an organik Faktor emosi GE oleh karena infeksi kuman ada 3 : 1. GE dengan diare skretorik • Mengenai bagian proximal usus halus • Demam (-), invasi kuma (-) • E/ vibrio, E coli, stafilocous aures, cl pertrigen 1. GE dengan invasi superficial dan reaksi inflamasi 1. Lokasi bagian distal halus colon 2. Demam (+) 3. E/ shigel, ETEC, E histolitika 1. Infasive interic fever 1. Lokasi bagian distal usus halus 2. Demam tinggi 3. E/ salmonela type, yasenia enterocolitica K L I N I S Kolera • Diare encer tanpa rasa mules dan tenesmu • Frekuensi berak 10 20 kali seperti air cucian beras tidak berbau busuk / amis tapi manis menusuk • Muntah penyakit tanpa mual • Kejang otot otot seperti otot betis, bisep, trisep, pektoral, dinding perut (oleh karena menurunnya calsium dan clorida dan clorida pada sambungan neuromuskular) • Facies koleria (tulang pipi menojol, mulut menyeringai oleh karena bibir kering) • Persitaltik usus - / + • Jari tangan (kaki kurus dengan lipatan kulit dengan ujung jari keriput) Disentri basiler : 1. Timbulnya akut 2. Toksemia dengan tenesmus 3. Tinja kecil banyak, tak berbau, alkalis, berlendir, nanah dan berdarah, bila berbentuk dilapisi lendir Desentri amuba 1. Timbulnya perlahan lahan, diare awal tidak ada / jarang 2. Toksemia jarang (ringan), tenesmus jarang, sakit terbatas 3. Tinja besar, terus menerus, asam, berdarah bila berbentuk biasanya tercampur lendir Dehidrasi Menentukan deficit cairan 1. Secara klinis 2. Klasifikasi klinis pierce/modifikasi yuwono
  • 53.
    53|TOV|MEDICUSLESCIUS 1. Sistem SkorMenurut Daldiyono Muntah : 1 Turgor kulit menurun : 1 Ekstremitas dingin: 1 Jari keriput : 1 Apatis : 1 Sistole ( 90 mm Hg: 1 Nadi ( 120 x/mnt : 1 Napas kusmaul : 1 Suara serak : 2 Cyanosis : 2 Pacies cilerika : 2 Somnolent coma : 2 Sistole ( 60 mmHg : 2 Umur ( 50 tahun : - 1 Umur ( 60 tahun : -1 Jumlah cairan untuk rehidrasi x 10% BB x 1 liter Secara lab dengan Bj plasma Bj Plasma Defiat : x BB x 4cc 0,001 T/ • Colera : Tetra 4 x 5 mg (2 3 hari) • Desentri : ampicilin 20 mg/KG BB/hari (4 x pemberian sulfaquanidin 0,1 gr/Kg BB, Kotri. • Amubiasis : metro + tetra.
  • 54.
    54|TOV|MEDICUSLESCIUS G A GA L N A FA S Terjadi bila PCO2 > 50 mmHg dan PO2 < 60 mmHg DD/ Hipoksemia Hiperkapue & asidemia Keluahan Dyspne, palpitasi, angina Hiperkapnea & asidemia nyeri gangguan mental kepala, gelisah Gejala Takipneu, takikardia, sianosis Miosis, gapil odem, aritmia aritmia, hipertemsi/hipotensi hipotensi, myoclonus, kejang bila berat, gagal jantung koma kejang, koma Pemeriksaan penunjangan yang perlu dilakukan : • Uji faal paru • RO” torak, furoskopi • EKG • Pemeriksaan sputum Rumus pemberian bikarbonat: Hasil bikarbonat nilai normal x BB x 40% = meq/1. 1 ampul mylon = 44 meq/1. Pemberian aminoplin pada gagal jantung/hati dosis dikurangi ; loading dose : 1 – 3 mg/kg BB IV. Maintenance : 0,1 – 0,2 mg/Kg BB/jam
  • 55.
    55|TOV|MEDICUSLESCIUS H I PE R T E N S I 1. Cari kemungkinan etiologinya (primer/sekunder) 2. Cari faktor resiko yang berhubungan dengan diet 3. Cari kemungkinan adanya komplikasi dari hipertensi Akibat tingginya tensi Akibat arteroisklerosis Otak : Hipertensif emefalopati Stroke non hemoragik TIA hemoragikRIND Jantung: LVH, payah jantung kongestif PJK Ginjal : Nefrosklerosis benigna/maligna Arteriosklerosis arteri renalis Pembulug darah : Disseeting aortik aneurisma Kelainan pembuluh darah tepi Mata : Keith wagner Krisis hipertensi 1. Hipertensi gawat - tekanan darah harus diturunkan dalam waktu kurang dari 1 jam • ensefalopati hipertensip • perdarahan intrasebral/subarakhnoid • aorta disekan • payah jantung kiri akut • angina pektoris yang unstabel • eklamsi • epistaksis berat 2. Hipertensi darurat - tekanan darah diturunkan dalam waktu dalam 24 jam • infark serebri • hipertensi maligna (accelerated hypertension) • gagal ginjal akut • edema papil optik TERAPI HIPERTENSI KRISIS Dasar : penurunan tek darah secara cepat • < 60 mnt utk hipertensi gawat • <24 jam utk hipertensi darurat Obat • Yg dapat diberikan parenteral (i.v) mis: clonidin i.v, Na nitroprusid • Yg dapat diberikan sublingual mis: nifedipin Therapi 1. Klonidin 0,1- 0,2 mg loading dose kemudian ditambah 0,1 mg tiap jam sampai total dosis 0,5 mg atau 2. Nifedipine 10 mg sublingual bila dalam 30 menit belum ada respon tambah 10 mg lagi ( teruskan dengan 2 x 10 mg/hari Therapi umum hipertensi 1. Therapi berjenjang Diuretika tiazied, ( blocker, ACE inhibitor, Ca antagonist)
  • 56.
    56|TOV|MEDICUSLESCIUS 1. Diuretik Mekanisme kerja: mengurangi vol. Plasma Efek samping : dehidrasi, hiperlipidemi, gangguan toleransi glukosa Preparat : HCT (12,5 - 25 mg/hari) Furosemid (20-40 mg/hari) 2. Beta bloker Mekanisme kerja : mengurangi cardiac out put Efek samping : bradikardi, bronkokonstriksi Kontraindikasi : payah jantung, asma bronkial Preparat : Propanolol Atenolol 3. Antagonis kalsium Mekanisme kerja : relaksasi otot polos arteriol Efek samping : sakit kepala Kontra indikasi : payah jantung (relatip) Short acting:- Nifedipin - Diltiazem - Verapamil Long acting: Amlodipin 4. Penghambat ACE (ACE Inhibitor) Mekanisme kerja : menghambat pembentukan angiotensin II Efek samping : batuk Kontraindikasi : hamil Preparat : - Captopril - Enalapril 5. Penghambat receptor I angiotensin 2 (Angiotensin Receptor Blockers / ARBs) Mekanisme kerja : menghambat kerja reseptor I angiotensin 2 Efek samping : batuk, lebih kecil daripada ACE Inhibitor Kontraindikasi : hamil Preparat : - Losartan - Valsartan - Irbesartan
  • 57.
  • 58.
  • 59.
  • 60.
    60|TOV|MEDICUSLESCIUS H A EM O P T O E • Nilai jumlah darah yang keluar • Perhatian ada tidaknya gejala asfiksia • Nilai reflek batuk penderita • Tenangkan penderita Pemeriksaan yang perlu dilakukan : • Darah lengkap • Foto thorax Therapi 1. Istirahat bed rest dengan posisi sebagai berikut • Reflek batuk baik ; posisi duduk/setengah miring • Reflek batuk kurang baik : posisi miring kesisi yang sakit • Reflek batuk tak ada dan tak sadar ; pasang pipa endortraecal 1. Diet TKTP 2. IVFD : D5% : RL = 1 : 120 tts/menit untuk life line 3. Diazepam 3 x 2 mg (sedafira ringan untuk menenangkan penderita) 4. Codein 3 x 1 bila batuk sangat menganggu 5. Vit K/Tranexamid axid 3 x 1 (masih kontroversial) 6. O2 bila penderita sesak 7. Bila bekuan darah banyak isap dengan supit atau alat listrik 8. Tindakan operatif bila batuk darah terus menerus. Planing Dx : • Px/sputum : pengecatan garam & BTA • Bronkoskopi (untuk menentukan sumber perdarahan) • Bronkografi (untuk melihat kemungkinan bronkiektasis) Planing monitoring • Vital sign • Reflek batuk • HB
  • 61.
    61|TOV|MEDICUSLESCIUS H E MA T E M E S I S M E L E N A 1. Cari kemungkinan penyebabnya 2. Pada melena yang meragukan dapat dilakukan RT 3. Pada oocult bleeding lakukan Benzidin test 4. Bila Tilt terst (+) dimana terjadinya hipotensi ortostetik > 10 mmHg waktu duduk dibandingkan dengan berbaring berarti perdarahan minimal telah terjadi 20% Pemeriksaan yang perlu dikerjakan 1. DL, HCT, Diff count, blood smear 2. EKG Therapi 1. Istirahat baring 2. Puasa 3. IVFD : RL/D5%NaCl 0,9% dgn kecepatan sesuai status hemodinamik penderita 4. Transfusi dengan whole blood serta PRC bila : 5. Perdarahan > 1 liter 6. Hb < 9 gr% 7. Penderita presyok/syok 8. NG tube (gastric cooling) dengan air es bila (+) diulangi beberapa kali sehingga bersih dilakukan setiap 2 jam Pemberian obat-obatan 1. Bila penyebabnya oleh karena varices esopagus 1. Sterilisasi usus : Neomicin 4 x 1 gr Laktulosa 4 x 30 cc 1. Hemostatik : Vit K 4 x 1 amp Tranexamic acid 4 x 1 amp 1. Antasida 4 x 1 sendok dan Cimetidan 3 x 1 amp 2. Bila ada melena lakukan Lavemen 2 x sehari Planing Diagnosis 1. DL, UL 2. Feal hemostasis 3. HbsAg 4. LFT 5. Endoskopi 6. USG Planing Monitoring 1. vital sign 2. Hb, HCT
  • 62.
    62|TOV|MEDICUSLESCIUS H E PA T I T I S A K U T • Cari kemungkinan penyebabnya dan tipenya A/B • Perlu disingkirkan kemungkinan DD/yang lain dan perlu diperhatikan anamnesa perjalanan penyakitnya (mungkin kronis) Pemeriksaan yang perlu dikerjakan DL/UL SGOT/SGPT ↑↑↑↑ ≥≥≥≥ 10x2 Therapi Istirahat baring Diet TKTP IVFD : bila memang ada indikasi Simptomatis : paracetamol, metoclopramid, BC Planing Dx/ DL/UL/FL Bilirubin direk/indirek Alkali pospatase Virus marker : IgH anti HAV, HbsAG, IgM anti HBC Planing monitoring Vital sign
  • 63.
    63|TOV|MEDICUSLESCIUS HIPOGLIKEMIA Biasanya disebabkan olehpenggunaan obat2an pada penderita DM seperti insulin dan golongan sulfonil urea (terutama klorpropamid dan glibenklamid) 1. pada laki n wanita setelah puasa satu malam glukosa <60mg/dl 2. pada laki setelah puasa 72 jam glukosa <55, cewe <45 3. pada laki n cewe setelah diberikan gila 75-100g , glukosa<50mg/dl gejala autonomik; berderbar, berkeringat, gemetar, hangat gelisah, dan mual gejala neuroglikopenia ; pusing, kebingungan , kelelahan, kesulitan bicara, nyeri kepala, kesulitan berkonsentrasi, kelainan tingkah laku, halusinasi, hemiparesis, konvulsi sampai koma. Gejala lain ; ngantuk, kelemahan, rasa lapar dan pengelihatan kabur. Therapy ; Sadar ; berikan glukosa oral (20 g karbohidrat ) Tidak sadar ; bolus IV glukosa 12,5-25 gr, dilanjutkan dengan glukosa infuse. Jika tidak berhasil berikan suntikan glukagon 1 mg subkutan, iv atau im atau Efedrin 25-50mg.
  • 64.
    64|TOV|MEDICUSLESCIUS INFARK MIOKARD AKUT 1.Cari faktor pencetusnya 2. Cari riwayat nyeri dada sebelumnya dan cari risiko paktor PJK 3. Pada IMA inferior tanpa diviasi aksis kekanan ; infark ventrikel kanan ; rehidrasi cairan Pemeriksaan yang perlu dikerjakan 1. EKG 2. Enzym 3. CKMB : me ( dl 4-6jam post infark, puncak 24 jam 4. SGOT : me ( dl 8-12 jam post infark, puncak 18 72 jam 5. LDH : me ( pelan hari I, puncak hari 3-6 Therapi 1. Istirahat baring 2. Diet lunak TKTP rendah garam 3. Oksigen 4-6 liter/menit untuk mengatasi hipoksemia 4. IVFD ; D5 % 20 tts/menit untuk life line 5. Atasi nyeri : 1. Morfin 2,5 5 mg IV atau 10 mg im 2. Nitrogliserin 0,3 0,6 mg 3. Pethidine 25 50 mg im 4. ISDN 5 10 mg sublingual. Pada pemberian morpin perlu diberikan anti emetik metoclopramid 10 mg/mm mengatasi efek morpin, 1. Kurangi kebutuhan oksigen dan beban jantung dengan : 2. Nitrogliserin : 5 10 mg IV dinaikkan 5 Ng tiap 10 menit sampai nyeri hilang atau 3 x 0,3 0,6 mg peroral 3. ISDN : 3 x 5 mg peroral Kontraindikasi pada tensi (90mg Hg dan denyut nadi (100 x/menit 1. Laktulosa 3 x CI untuk menghindari sembelit 2. Acctosal 1 x 160 mg untuk menurunkan distensi infark dan kematian dini Diberikan bila timbulnya infark < 6 jam 3. Diazepam 3 x 5 mg atau fenobarbital 3 x 30 mg/hari pada pasien yang sangat cemas. 4. Anti trombolitik pada IMA yang berlangsung ( 6 jam : 1. Streptokinase (streptase) : 1,5 juta iv dl D5% 100cc ( habiskan dalam 1 jam 1. r- TPA (actilyse) : 10mg IV bolus dilanjutkan 50 mg iv selama 1 jam dan 40mg iv 2 jam berikutnya 2. Heparin diberikan setelah pemberian obat trombotilik selesai. Dosis 5000 unit IV bolus dilanjutkan dengan dosis 1000 u/jam iv drip. Perawatan • Bila ada hipotensi : 1. Evaluasi kedua tungkai (bila tidak ada cedema paru) 2. Bila tetap hipotensi : infus dopamin 1 10 mg/kg/menit 3. Bila tidak bergasil ( infus norepinerpin kecepatan disesuaikan untuk mempertahankan tekanan sistolik 90 100 mmHg 4. Bila disertai bradiaritmia (HR<60/menit) ( atropin 0,5 mgiv • Bila ada hipertensi 1. Morphine 3 5 mg IV 2. Nitrogliserin 0,4 mg sublingual 3. Furosemid 40 mg iv 4. Sodium nitroprusside 20 200 mg/menit iv atau infus 5. Propanolol 1 mg iv diulang setiap 5 menit sampai total dosis 5 mg • Bila ada edema paru 1. Posisi duduk ½ duduk 2. Bila ringan : nitroglyserin 0,4 mg sublingual
  • 65.
    65|TOV|MEDICUSLESCIUS 3. Bila berat: morphine 3 4 mg iv, Furosemid 40 mg iv • Bila ada aritmia 1. a) Bradiartimia 50 60 x/menit, T normal, PVC (-) ( tak perlu therapi 1. Irama 50 60 x/menit, hipotensi, PVC (-) ( atropi 0,5 mg iv 2. Irama < 50 x/menit ( atropin 0,5 mg iv 3. Refrakter terhadap atropi disertai hipotensi atau PVC ( infus isoproteranol 2 20 uq/ml kecepatan infus disesuaikan untuk mempertahankan tensi sistolik 90 100. 1. Sinus takikardia ( tak perlu terapi. Pada keadaan ST O.K nyeri tanpa tanda gagal jantung dapat diberikan propanolol. 2. Atrika fluter dengan respon ventrikel cepat: digoxin IM/IV atau oral 3x1 (3 hari) atau berikan kejutan DC untuk mengendalikan frekuensi ventrikel. 3. Atria fibrilasi/supraventrikular takikardia ( sama dengan nomor tiga. 4. PVC (ekstrasistole ventrikel) dengan > 12 x/menit, multifekal, R on T ( lidokaine 75 100 mg bolus iv ulangi bila perlu. Maintenance dengan lidokaine 1 3 mg/menit/infus. 5. Ventrikuler takikardia ( kejutan DC diteruskan dengan lidokaine 6. Fibrilasi ventrikel ( DC shock 7. Blok AV derajat II atau III ( pacau jantung Mobilisasi pasca infark Hari 2 3 : duduk disamping tempat tidur Hari 3 4 : berjalan dalam kamar Hari 4 7 : jarak jalan ditambah Hari 7 9 : pulang Planing Dx/ 1. Uji latih beban (treadmil tes) 2. Angiografi koroner Pencegahan sekunder infark : 1. Aspirin dosis rendah selamanya 2. ( bloker tanpa ISA : atenolo/metoprolol 3. Captopril pada pasien dengan kardiomegali atau fungsi ventrikel kiri menurun ( 3 x 25 mg. Indikasi trombolitik 1. Umur < 70 tahun dengan nyeri dada spesifik < 6 jam 2. IMA > 6 jam dengan nyeri dada terus menerus pada 3. IMA anterior 4. IMA interoposterior 5. IMA inferior dengan pangguan hemodinamik 6. Infark akut yang sebelumnya terhadap infark gelombang q 7. Shock kardiogenik jika PTCA tak dapat dilakukan 8. IMA non q dengan trombus intrakoroner (angiografi) Kontra indikasi pemberian trombilitik : Absolut : 1. Perdarahan internal aktif 2. Aneurisma aorta diseceans 3. Penderita pasca resusitasi jantung paru 4. Trauma kapitas atau keganasan 5. Retinopati diabetik 6. Kehamilan 7. Reaksi alergi sebelumnya terhadap obat trombolitik 8. Hpertensi (> 200/120 mmHg) 9. Riwayat haemoragik stroke Relatif 1. Riwayat trauma atau operasi > 2 minggu 2. Riwayat hipertensi berat dengan atau tanpa terapi ulkus peptikum aktif 3. Riwayat stroke 4. Adanya beleding diathesis atau pemakaian antikoagulan 5. Gangguan faal hati yang bermakna 6. Sebelumnya mendapatkan streptokinase atau APSAC.
  • 66.
    66|TOV|MEDICUSLESCIUS K E RA C U N A N • Tentukan kira-kira jenis keracunan • Tentukan motifnya Pemeriksaan yang perlu dikerjakan • DL/UL ( tak perlu dikerjakan • Kecuali pada pembunuhan Therapi A. Umum Tindakan A B C D E 1. Airway (jalan napas) Bebaskan jalan napas dari sumbatan, bila pasang pipa endrotrakea 2. Breating (pernapasan) Jaga agar pasien dapat bernapasan dengan baik, bila perlu berikan bantuan pernapasan 3. Circulation (peredaran darah) Tekanan darah dan nadi dipertahankan dalam batas normal, berikan inbfus cairan dengan RL, D5% atau Nacl 0,9% 4. Decontamination (pembersihan) Tergantung cara masuk zat racun • Melalui kulit : lepas seluruh pakaian, mandi dengan sabun atau keramas • Melalui saluran cerna/tertelan : dilakukan pengosongan lambang dengan cara a. Emesis : • Secara mekanik dengan merangsang daerah oroparing • 1 pekak 10-20 cc dalam 1 gelas air hangat dapat diulang setelah 30 menit • apomorfin 0,6 mg/Kg/BB IM atau 0,01 mg/Kg BB iv Kontraindikasi emesis : keracunan bahan koresif (air acc), kesadaran menurun, kejang kejang dan keracunan minyak tanah b. Kumbah lambung bila onset < 4 jam Pasang NG tube lakukan kumbah lambung dengan air hangat 200 sampai 300 cc sampai bersih. Pada akhir kumbah lambung dimasukkan 30 gr norit Kontraindikasi : sama dengan emesis c. Katarisis (kumbah usus) Bila diperiksakan racun telah mencapai usus, 30 natrium sulfat dalam satu gelas air. Kontraindikasi : kejang kejang keracunan bahan korosif d. Eliminasi Bila diperkirakan racun telah beredar dalam darah dengan cara : 1. Diuresis paksa : berguna pada keracunan yang dpat dikeluarkan melalui ginjal 2. Kontraindikasi : syok, DC, edema paru, gagal ginjal, bahan yang tidak dapat dieskkresi melalui ginjal. Jenis diuresis paksa : • DP ½ dan DP Satu DP ½ = cairan 3 liter dalam 12 jam FDP 1 = cairan 6 liter dalam 24 jam • DP netral Dengan cara memberikan : Ca glukonas iv, D10% 3 liter • DP alkali Cara sama dengan DP netral hanya perlu ditambahkan ½ ampul Nabic pada setiap cairan infus D5%. Digunakan pada keracunan bahan dengan kadar asam lemah mis : luminal, salisilat, inoiasid, dan litium • DP asam Diberikan 1,5 amonium klorida dalam D5% 500cc. Pemberian D5% 500 ml dan Nacl 0,9% 500cc secara bergantian dengan kecepatan 1 liter pada jam pertama dan dilanjutkan 500cc perjam. Pantau elektrolit serum dan darah setiap jam. Bila PH urine
  • 67.
    67|TOV|MEDICUSLESCIUS > 7 tambahkanamonium klorida pada 500cc D5% Indikasi keracunan ampetamin, strinim dan feniskildin e. Diasis Dilakukan pada keracunan dengan • Koma yang dalam, hipotensi berat, kelainan asam basa dan elektrolit, penyakit ginjal berat, penyakit jantung penyakit paru, penyakit hati dan kehamilan • Dilakukan pada keracunan dosis dari alkohol, berbiturat, karbomat asetaminofen aspirin, ampetamin, logam berat, strinin. f. Pemberian Antidote • Alkaloid opium : Nalokson • Paracetamol : Sisteamin asetil sistein, metionin • Sianda : Dikobal edetat • Organopospat : Atropin dan pralidoksin • Karbamat : Atropin dan abideksin • Logam berat arsen : Dimerkaprol • Logam air raksa : N asetil penisilamin • Tembaga : D penisilamin • Timbel : dimerkaprol, Ca disodium edetat • Metanol : etanol • Antidepresan trisiklik : fros stigmin • Anti koagulan kumarin : Vitamin K B. Perawatan suportif Keracunan insektisida organopospat • Infus D5% sulfat atropin 2,5 mg bolus iv dilanjutkan atropinisasim kemudian dosis dijarangkan setiap 1 2 4 6 jam ( dihentikan minimal setelah 2 x 24 jam) C. Perawatan khusus 1. Keracunan insektisida fosfat organik • Infus D5% hisap lendir, aksigenasi yang baik • SA 2,5mg iv bolus kemudian diteruskan 0,5 mg iv tiap 5 menit sampai tanda tanda atropinisasi kemudian dijarangkan tiap 1 2 4 6 jam dihentikan setelah 2 x 24 jam • Kumbah lambung 2. Keracunan pestisida lain (DDT, endrin, racun tikus) • Infus D5%, 02 kalau perlu • Emesis, kataris, KL bila penderita sadar atau sedikit apati • Valium 5 10 mg bila penderita sadar atau sedikit apati • Valium 5 10 mg bila penderita gelisah/konculsi (terutama pada keracunan fosfid/racun tikus) • Terapi supportive sampai efek racung hilang 3. Keracunan sedativa hipnotika, analgetika Penderita sadar : enesis, laksan mg SO4, norit 4. Koma derajat I II KL dengan NG tube Diuresis paksa selama 12 jam caranya : • Berikan 1 ampul Ca glukosa iv • Infus D5% + 10ml Kcl 15% (untuk setiap 500ml) diberikan dengan kecepatan 3 liter dalam 12 jam • Furosemid 40 mg iv setiap 6 jam • Untuk keracunan salisilat dan luminal dapat ditambahkan 10 meq Nabic untuk setiap 500cc D5% ( ½ ampul meylon) 5. Koma derajat II IV • Kalau perlu dengan pipa endotrakeal berbalon selanjutnya DP netral/ alkali atau diasis tergantung dosis dan jenis obat yang diminum penderita • Bila timbul gejala ekstrapiramidal dapat diberikan deladry 50 100 ng iv • Bila kejang : valium 5 10 mg iv atau luminal 50 100 mg iv
  • 68.
    68|TOV|MEDICUSLESCIUS 6. Keracunan bahankorosif • Segera minum air/susu sebanyak mungkin • Infus D5% bila perlu dengan cairan koloid atau transfusi daerah bila ada tanda- tanda perdarahan • Asam ( berikan susu tiap 1 2 jam • Basa kuat ( air buah atau HCL encer (yulapium) 2 liter untuk setiap 30 gr alkali • Dexametason 4 x 2 ampul iv 4 hari kemudian dosis diturunkan secara oral selama 3 minggu • Antibiotik untuk mencegah infeksi sekunder • Konsul THT segera • Bila lesi ringan ( diit oral • Bila lesi berat ( diit sonde (NG Nbe) • Bila lesi sangat berat ( puasa 7. Keracunan INH • Vit B6 iv 1500 mg sehari selama 5 hari • Valium 10 mg iv bila timbul konvulsi • Dapat dicoba FDN dalam 12 jam Contoh Penatalaksanaan Keracunan Paracetamol - Pada jumlah toxic paracetamol > 140 J/kg atau > 7,5 gr - Jika pasien minum obat ≤≤≤≤ 4 jam ↓↓↓↓ NGT + lavage lambung Norit 10 – 30 tab GI decontamination MgSO4 30 gr ↓↓↓↓ Antidot spesifik paracetamol : N Acetyl Cystein (Fluimusil ®) (efektif hanya bila terjadi < 8 jam) ↓↓↓↓ Dosis N Acetyl Cystein Loading I : 140 mg/kgBB ↓↓↓↓ N Acetyl Cystein Loading II : 70 mg/kgBB setiap 4-17 jam = 68 jam ↓↓↓↓ Cek GOT dan GPT 24 jam kemudian ↓↓↓↓ ↓↓↓↓ GOT dan GPT > 200 GOT dan GPT < 200 ↓↓↓↓ ↓↓↓↓ Konsul GEH Observasi Catatan : Fluimusil : - Granule = 200 J yang dipakai - Capsule
  • 69.
    69|TOV|MEDICUSLESCIUS K O LE R A • Cari kemungkinan penyebabnya • Perhatikan status dehidrasi  deficit cairan ringan 2% BB, sedang 5% BB, berat 8% BB Pemeriksaan yang perlu dikerjakan • DL/IL (Bj) • BUN/SC • Biakan feces Therapi 1 Istirahat baring 2 Diet TKTP 3 IVFD : RL Jumlah cairan sesuai dengan dehidrasi penderita 4 Tetracylin 4 x 500 mg peroral 2 - 3 hari Planing monitoring • Vital sign • Jumlah tinja, muntah, urine
  • 70.
    70|TOV|MEDICUSLESCIUS K O LI T I S 1. Perlu dibedakan antara kolitis ulcerosa dengan kolitis crohn. Pada kolitis krohn penurunan BB lebih nyata dari pada gejala lain dan tidak sebanding dengan keluhan-keluhan anoreksia dan diarenya Pemeriksaan yang perlu dilakukan 1. DL 2. BOF 3. Elektrolit bila perlu Therapi 1. Istirahat baring 2. Diet TKTP rendah serta tanpa lemak.susu 3. IVFD : untuk life line/dehidrasi 4. Sulfasalasin 3 x 1-2 gram/hari peroral 5. Kortikosteroid untuk kolitis ulcerosa : prednison 60 mg pagi hari Planing Dx/ 1. Barium enerma (pada kolitis corhn : prednison 60 mg pagi hari 2. Endoskopi 3. Biopsi mukosa 4. Sigmoidskopi Planing monitoring : vital sign
  • 71.
    71|TOV|MEDICUSLESCIUS K O MA K A D • Cari faktor pencetusnya • Klasifikasi KAD nya PH Kadar bikarbonat KAD ringan 7,3 7,35 15 20 meq / 1 Perkoma diabetik 7,1 7,3 10 15 meq/1 Koma KAD 6,9 7,1 8 10 meq/1 KD berat < 6,9 < 8 meq/1 Pemeriksaan yang perlu dikerjakan : • BS • UL (Keton, Glukosuria) Therapi : IVFD : Nacl 0,9% atau RL 2 liter dalam 2 jam I lalu 80 tts/menit selama 4 Jam. 50 tts/menit selama 18 jam (4-6 liter/24 jam) : 4 8 unit/jam iv sampai gula darah 250 mg% atau reduksi ( Infus KCL : 75 meq (3 botol KCl 25 ml) bila K < 3 meq/I 50 meq (2 botol kcl) bila K 3-3,5 meq/1 25 meq (1 botol kcl) bila K 3,5-4 meq/1 ( per 24 jam (tetesan disesuaikan dengan pemberian kebutuhan cairan) Infus bikarbonat : bila PH < 7 atau bikarbonat < 12 meq/1 Nabic : 44 132 meq dalam 500 cc Nacl 0,9% ( Nacl 0,9% + Meylon 1 ampul ( 30 80 tetes /menit 44 meq bikarbonat
  • 72.
    72|TOV|MEDICUSLESCIUS K O MA H O N K Diagnosis dugaan 1. Dehidrasi berat, hipotensi ( syok, napas kusmaul (-) Neurologi (+), reduksi +++, keton (-) 2. BS > 600 mg % (600- 1000 mg%) Bikarbonat > 15 meq/1 PH darah normal Ketonemia (-) Diagnosa pasti 1. Diagnosa dugaan + osmolaritas darah > 350 mosm/I OSM darah = 2 (Na+K+) + Pemeriksaan yang perlu dikerjakan 1. BS, UL, DL 2. BUN/Serum creatinin 3. Elektrolit : Na, K, Bikarbonat, PH Therapi : sama dengan KAD tanpa infus bikarbonat
  • 73.
    73|TOV|MEDICUSLESCIUS K O LA N G I T I S • Merupakan infeksi sel empedu akibat adanya gangguan aliran empedu • Klinis ditandai dengan trias yaitu - Nyeri perut kanan atas menjalar kepunggung/batu kanan - Demam mengigil - Ikterus Pada keadaan berat dapat terjadi pentas reynold yaitu trias charcot + gangguan mental/konfrsi, letargi, syok sampai, koma. • Cari kemungkinan penyebabnya Pemeriksaan yang perlu dikerjakan • DL/UL • SGOT/SGPT • BUN/Serum Creatinin →→→→ sering ada kelainan • Foto thorak : cari udara bebas • BOF : cari batu Therapi 1. Istirahat baring 2. Puasa 24 – 72 jam selama serangan nyeri masih ada. Pada keadaan berat pasang CVP 3. IVFD : RL/D5% untuk mengatasi syok/dehidrasi. Bila perlu ditambahkan dopamin 4. Antibiotika : Ampisilin 4 x 1 gram Gentamicin 2 x 80 mg Bila dalam 24 jam tak ada respon ganti dengan metronidazol 3 x 500mg iv Planing dx/ : DI/UL/FL, LFT lengkap, BUN/Seretainin, PTC, USG Plaining monitor • Vital sign • Tanda perporasi →→→→ peritonitis iv
  • 74.
    74|TOV|MEDICUSLESCIUS K O LE S I S T I T I S A K U T • Cari kemungkinan penyebabnya diluar batu • Perlu disingkirkan kemungkinan adanya DD yang lain Pemeriksaan yang perlu dikerjakan DL SGOT/SGPT BOF untuk mencari kemungkinan batu empedu Thorak foto untuk melihat kemungkinan terjadinya perporasi (udara bebas dibawah dipragma kanan) Therapi 1. Istirahat baring 2. Puasa pada saat serangan untuk memberikan istirahat pada usus dan kandung empedu 3. IVFD : D5% Nacl 0,9% untuk life line atau nutrisi parenteral (D10%, asam amino dan sebagainya). 4. Analgetik, meperidin HCL 100 mg atau petidin 50 mgIm 5. Antikolinergik/spasmo analgetika 6. Simptomatis : paracetamol, metoclopramid 7. Antibiotik • Ampicilin 4 x 1 gr iv (bila dalam 24 jam belum ada reaksi ganti dengan - Gentamicin 2 x 80 mg iv atau klorampenicol 4 x 1 gram iv - Sefoktosim 2 x 1 gram iv atau untuk kuman anerob dapat diberikan dazol 3 x 500 mg iv Planning Dx/ • DL, UL, FL • Bilirubin direk/indirek, LFT • Blood kultur • USG sito • Kolisistografi Planning monitoring : vital sign, produksi urine.
  • 75.
    75|TOV|MEDICUSLESCIUS K O MA H E P A T I K U M • Cari kemungkinan etiologinya (tipe akut/kronis) • Cari faktor pencetusnya yang eksogen seperti : Diet protein berlebihan, infeksi, perdarahan GI trak, dehidrasi, diuresis belebihan, parasentesa abdomen, konstipasi, alkoholisme akut, syok, pos operasi. • Tentukan derajat koma hepatikum Pemeriksaan yang perlu dilakukan (unutk pasien koma) BS acak BUN/serum creatinin SGOT/SGPT Elektrolit Analisa gas darah Amoniak darah & asam laktat DL EKG Therapi 1. Istirahat baring perhatian jalan napas 2. Diet protein personde (untuk perekonoma protein cukup 20 gram/hari) rendah kalori (kalori glukosa 300 – 500 gram) 3. IVFD dengan asam amino rantai cabang, 1000 ml/hari 4. Oksigen bila perlu, pasang foley cateter 5. Neomycin 4 x 1 gram/hari personde 6. Laktulosa 4 x 30 – 50 cc/hari personde 7. L Dopa 0,5 gram personde tiap 4 jam 8. Vit. K 10 – 20 mg/hari IM atau peroral/sonde 9. Hindari pemberian sedativa/hipnotika →→→→ bila gelisah berikan dimenhidrinat 50 mg/IM 10. Terapi terhadap faktor pencetusnya Planing DX/ • Bilirubin, elektroferesa protein • Kolesterol. Alkohol pospatase • Faal pembekuan • HBs Hg, AFG (atas indikasi khusus) • DL/VL • EKG, foto thorak EEG Planing monitoring • Vita sign • Produksi urine
  • 76.
    76|TOV|MEDICUSLESCIUS K O MA H I P O G L I K E M I A • Timbul akibat hiperkatekolaminenia • Cari riwayat memang menderita DM Pemeriksaan yang perlu dikerjakan • BS acak • Reduksi urine Therapi Bila masih sadar : Pisang/Roti/komplek karbohidrat lain Teh gula Bila gagal : glukosa 40% 25cc diencerkan 2 kali intra vena Bila gagal : IVFD D5% kecepatan disesuaikan bila belum sadar diulang glukosa 40% 25 cc iv setiap ½ jam sampai sadar Bila gagal : efedrin 25 – 50 mg IM atau glukogon 1 mg 1 Planing Dx/ • BSN/BS 2 jam/BS acak Planing monitoring • Vita sign • Kesadaran
  • 77.
    77|TOV|MEDICUSLESCIUS KOMA LAKTAT ASIDOSIS Carifaktor prediposis Pemeriksaan yang perlu dikerjakan • BS, UL • Elektrolit, Na, K, cl, co2, as laktat, bikarbonat, PH Dx/ tegakkan bila : • Bikarbonat < 15 mmeq/1 • Asam laktat >7 mmol/1 • Anion gap : (K + Na) – (cl + CO2) = > 20 meq atau Na – (cl + CO2) = > 15 meq Therapi • IVFD : D5% • Nabic 1 ampul meylon • Bila perlu RI 4 unit iv/jam • Methyline blue injeksi iv • Atasi penyebabnya
  • 78.
    78|TOV|MEDICUSLESCIUS KRISIS TIROID • Carifaktor pencetusnya • Perhatikan gejala klinis ; tanda hipermetabolik berat, gangguan kardiorespirasi, gangguan gastrointestinal, gangguan ssp. Pemeriksaan yang perlu dikerjakan • DL • BUN/s creatinin meningkat oleh karena dehidrasi • Na, K (↓↓↓↓) • T3, FT4 Therapi 1. IVFD : D5% insaline 3 – 4 liter →→→→ evaluasi 2. Acetosal 3 x 500 mg (kompres es alkohol) 3. Hidrokrotison 100 – 300 mg IM/IV 4. PTU : 3 x 100 mg/hari atau Metimazol 3 x 15 mg/hari Lugol 30 tetes/hari atau Na yodida : 1 – 2 gram iv 5. Propanolol 3 x 20 mg/oral 6. Diazepam 3 x 5 mg/oral 7. Antibiotika bila ada infeksi 8. Digitalis bila ada gagal jantung Planning monitoring : Vital sign
  • 79.
    79|TOV|MEDICUSLESCIUS L E UK E M I A Klasifikasi a. Acute I. AML/ANLL Acut myeloid leukemia/acut non lympoblastik leukemia : M1 : Myeloblastik poorly diffrentiated M2 : myeloblastik well differentiated ------------------------------------------------------------ M3 : acut promycloeytic M4 : monocytik M6 : eritroleukemia M7 : acut megakaryoctic leukemia II. ALL (acute lympoblastik leukemia) • Common ALL menurut FAB • Roll ALL menurut LI • Thy ALL menurut L2 • B ALL menurut L3 III. Sindroma perlukemia b. Kronik 1. CML (khronic myelocytic leukemia) 2. CLL (chronic lympocytik leukemia) - Hairy cell leukemia - Prolymphocytic - Cutanecuis Teell leukemia Mycosis funguides/sezary syndrom Acut myeloblastik leukimia
  • 80.
    80|TOV|MEDICUSLESCIUS LIMFOMA MALIGNA • Caripembesaran kelanjar limfe superfesial yang asimetris tidak nyeri, tidak melekat, konsistensi padat kenyal • Bisa disertai gejala-gejala berupa pellebstein, keringat malam, berat badan menurun, pruritis, nyeri setelah timbul alkohol. • Tentukan staging menurut kriteria “an arborr” Pemeriksaan yang perlu dikerjakan : • Dl • Blood smear • Faal hati • Faal ginjal • LDH • Riopsi →→→→ PA Therapi 1. Radioterapi a. Radioterapi kuratif Dosis : 3500 – 4000 rad dalam waktu 4 minggu b. Radioterapi simtomatis Dosis 1500 – 2000 rad hanya untuk mengurangi nyeri 2. Kemoterapi Kombinasi CHOP C : Cyelopospamid O : Oncovim/Vinoristine D : Doxorubicin P : Prednison
  • 81.
    81|TOV|MEDICUSLESCIUS MALARIA • Anemnesa yangbaik berperan kedaerah endemik • Cari pola demam dan fase-fase demam Pemeriksaan yang perlu dikerjakan • Preparat tetes darah tebal dan tipis Therapi • Istirahat baring • Simptomatis • Pengobatan presumtif klorokuin 600 mg Therapi malaria cerebral • Diet TKTP personde/parenteral • 02 : 1 – 2 liter/menit • IVFD : RL/D5%/Nacl 0,9% • Kortikosteroid - Dexametason 20 – 40 mg/24 jam atau - Prednisolon 100 – 200 mg/24 jam dalam dosis terbagi • Antimalaria • Kinin dehidroklorida - 500 – 600 mg direncakan dalam 15 – 20 iv 10 – 15 menit diulang tiap 8 jam atau IM (diencerkan dengan 9p2) - dialisis bila ada GGA
  • 82.
    82|TOV|MEDICUSLESCIUS METOKLORPRAMID (Kolinergik) EFEK Efek padasaluran cerna • meningkatkan amplitude kontraksi sfingter esophagus. • mempercepat pengosongan lambung • tidak mempengaruhi sekresi asam lambung. . Efek antiemetik • mempertinggi ambang rangsang Cheoreceptors Trigger Zone (CTZ) • menurunkan kepekaan saraf visceral yg mengantarkan impuls aferen dari saluran cerna ke pusat muntah Efek pada SSP • antagonisme dopamine (efek antimimetik dan ekkstrapiramidal) • meningkatkan sekresi prolaktin INDIKASI • memperlancar jalannya kontras pada pemeriksaan lambung n duodenum • mengurangi mual, muntah, rasa terbakar di ulu hati, perasaan penuh setelah makan. KONTRA INDIKASI • obstruksi, perdarahan, dan perforasi saluran cerna, epilepsy dan gangguan ekstrapiramidal EFEK SAMPING • umumnya ringan ; kantuk, diare, sembelit dan gejala ekstrapiramidal • sebaiknya tidak diberikan pada kehamilan trimester I SEDIAAN DAN POSOLOGI • tablet 5 mg dan 10 mg • sirup 5mg/ml • injeksi 10mg/2ml • DOSIS 5-10mg (3 kali sehari) dewasa. 2,5-5mg(3x1) anak5-14th
  • 83.
    83|TOV|MEDICUSLESCIUS P P OK + I N F E K S I S E K U N D E R 1. Cari faktor risiko seperti rokok, pekerjaan 2. Tentukan tipenya tipe A (episematus), B (bronkitik) 3. Tingkatan penyakit ada 5 fase yaitu I : keluhan (-), tanda klinis belum jelas II : keluhan gangguan ventilasi (+) + kelainan fisik III : terjadi gejala hipoksemia (sianosis, napsu makan menurun) IV : terjadi gejala hiperkapnea (gangguan kesadaran, iritabilitas) asidosis V : CPCC ( CPCD Pada RP" : translucency bertambah, diapragma letak rendah mendatar, jantung berikutnya vertikal Pemeriksaan penunjang yang perlu dikerjakan : 1. DL 2. EKG 3. Foto thorak Therapi 1. Bed rest 2. Diet TKTP 3. Oksigen 1 2 liter/menit bila cyanosis, sesak 4. IVFD : D5% 20 tetes/menit untuk life line 5. Aminopylin 0,5 0,9 mg/Kg Bb/jam per infus 6. Salbutamol 3 x 2 mg 7. Mukolitik (bromhheksin) 8. Antibiotika : tetra/ampiclin/amoxcylin/cephalosporin 9. Banyak minum (hidrasi) Planing Dx/ 1. Hematokrit 2. Sputum gram, kultur sensitivitas test 3. Spirometri 4. Analisa gas darah Planing monitoring
  • 84.
    84|TOV|MEDICUSLESCIUS P A NK R E A T I T I S A K U T • Cari kemungkinan penyebabnya (batu, alkohol, infeksi, trauma) • Fisik : KU sakit berat, gelisah, kesakitan, febris, Nyeri perut atas kemudian meluas, perut tegang, depan muskular, peristaltik dan culen sign/turner sign pada pankreatitis hemoragik. Pemeriksaan yang perlu dikerjakan 1. DL 2. Amilase serum 3. BS acak 4. SGOT/SGPT 5. BOF →→→→ sentral loop 6. Thorak foto →→→→ cari kemungkinan kenaikan diapragma atau efusi pleura kiri Therapi 1. Istirahat baring 2. Puasa 3. NG Tube untuk deecompresi dan memasukkan obat-obatan 4. IVFD : Nacl 0,9% atau cairan koloid 5. Analgetika : Meperidine 75 – 100 IV 4 x sehari atau pethidine 50 mg IM 4 x sehari 6. Antibiotika : Ampisilin 4 x 1 gr iv Gentam 2 x 80 mg iv 7. Obat – obatan lain : • Atropim mg/buscupon • Antasida 3 x CI • Cimetidin 4 x 200 mg iv Bila keadaan membaik setelah 72 jam mulai dengan diet cair rendah lemak lewat sonde Planing Dx/ • DL/UL/FL • Elektrolit : kalsium, magnesium • LFT lengkap • BUN/screatinin • USG Planing monitoring • Vital sign • Tada syok (perpusi jaringan) • Produksi urine (gangguan fatal ginjal akut) Nilai prognostik/beratnya penyakit waktu masuk : • Umur > 55 tahun • Leukosit > 16.000 • BS acak > 200 mg% • LDH > 350 iv/I • SGOT > 250 iv/L Bila < 3 yang (+) →→→→ ringan Bila > 3 →→→→ berat →→→→ kematian 15 – 20%
  • 85.
    85|TOV|MEDICUSLESCIUS P I EL O N E F R I T I S • Perlu dibedakan apakah keradangan akut/kronik • Perlu dicari apakah ISK berulang/Pertama kali Pemeriksaan yang perlu dikerjakan • VL : pada sedimen leukosit ≥≥≥≥ 5 sel/plp, bakteri (+) Therapi 1. Rehidrasi (minum banyak) 2. Sambil menunggu hasil semitritas test dapat diberikan salah satu dari : • Nitrofurantion 3 x 100mg • Asam nalidiksat 3 x 1 tab • Asam pipemedik 2 x 1 kapsul Antibiotik : kotrimoksazol 2 x 2 tab (7 – 10 hari) Planing Dx/ • UL • Kultur urine dan sensitivitas tes, koloni count • IVP Planing mn/ • Vital sign
  • 86.
    86|TOV|MEDICUSLESCIUS P N EU M O N I A 1. Cari faktor predisposisi sesuai klasifikasi MC. Farlan 2. Perhatikan/tanyakan jenis sputum ( berbeda dalam pemberian antibiotika secara empiris 3. Sputum merah karat ( pneumoni pneumokokus 4. Sputum purulent (bercampur darah) ( pneumonia stafilokokus 5. Sputum seperti selai ( pneumuia klebsile 6. Pemeriksaan penunjang yang perlu dikerjakan 7. Darah lengkap : leukositosis 15- 40.000/ml 8. Foto thorak : gambaran konsolidasi pada satu lobulus/segmen bila ke 2 paru lobulus kena ( bronkopneumoni) Therapi 1. Bed rest istirahat baring 2. Diet TKTP 3. Oksigen 1 2 liter/menit ( bila sesak, napas cuping hidung 4. IVFD : D5/RL/Nacl 20 tts/menit ( life line) 5. Antibiotik penetral/oral tergantung KU pasien Pneumonia pneumokokus : penicilin G 1,2 juta unit IM 2 x /hari selama 5-10 hari atau peroral critromisin 3 x 500 mg (5-10 hari) tertrasiklin 3 x 500 mg (5 -10 hari) Pneumonia stafilokokus : kloksasilin 4 x 250 mg iv selama 5 10 hari atau sefaleksin/sefazolin 3 x 0,5 1 gr iv selama 5-10 hari Pneumonia klebsiela : ampicilin 4 x 1 grm iv + gentamicin 2 x 80 mg iv ( 5 10 hari, sefotaksin 4 x 1 gr iv (5 1 hari) 1. Obat simptomatis 2. Paracetamol 3 x 500 mg 3. Morfin 10 mg SC atau glafenin/mefenamic acid 3 x 500 mg 4. Mukolitik/ekspektoransia/antifrst Planing Dx/ 1. DL/UL ulang 2. Kultur sputum & sensitivitas test 3. Pengecatan sputum gram Planing : vital sign Pemberian antibiotika pada abses paru dengan pilihan sebagai berikut : 1. PP 1,2 juta 2 x sehari IM + klorampenicol 4 x 500 mg oral selama 10-15 hari 2. PP 1,2 juta unit 2 x sehari IM + mtronidazol 4 x 500 mg oral selama 10 15 hari 3. Klindamisin 3 x 600 mg selama 10 15 hari.
  • 87.
    87|TOV|MEDICUSLESCIUS P N EU M O T H O R A K Tentukan tipenya Cari kemungkinan penyebab penyakit dasarnya pada pneumotorak spontan Pemeriksaan yang perlu dikerjakan • Foto thorak PA Therapi 1. Fistel tertutup a) Kolaps < 20% konservatif tirah baring + fisioterapi b) Kolaps > 20% : iv SD c) Bila 3 hari belum berkembang →→→→ fisioterapi bronkoskopi bila > 7 hari belum mengembang →→→→ torakotomi 2. Pneumotorak ventil a) Pasang kontra ventil (WSD) b) Bila 7 hari belum mengembang →→→→ torakotomi 3. Pneumotorak fistel terbuka a) Konservatif : tirah baring b) Bila > 7 hari belum menutup →→→→ torakotomi 4. Pengobatan penyakit dasar
  • 88.
    88|TOV|MEDICUSLESCIUS RHEUMATIK HEART DISEASE •Tentukan apakah hanya RHD atau RHD dengan eksaserbasi akut • Anamnesis cari riwayat DR/RHD sebelumnya Pemeriksaan yang perlu dilakukan • Foto thorak • EKG (PR interval memanjang) • DL (leukositosis) Therapi • Istirahat baring • Diet TKTP • Obat anti peradangan • ?Artritis (-) Karditis (-) • Karditis + ringan Kardiomegali (-) --------------------------------------------------------------------------------------- • ?Karditis (+) Kardiomegali (+) • Karditis (-) Gagal jantung (+) • Eradikasi dan profilaksis sekunder Benzatine penicilin (penadur) 1 kali bila BB > 30 Kg = 1,2 juta unit BB < 30 Kg = 600 – 900.000 unit Bila alergi dipakai eritromycin 2 x 250 mg/hari atau sulfadiazin 1 gram/hari (10 hari). PP 600.000 2 x sehari (10 hari) • Bila ada gagal jantung : diuretika, digitalis, vasodilator • Mobilitas bertahap sebagai – berikut Karditis (-) Tirah baring (TB) 2 minggu Artritis (-) Mobilisasi bertahap (MB) 2 minggu Korditis (+) TB 4 minggu Kardiomegali (-) MB 4 minggu Korditis (+) TB 6 minggu Kardiomegali (+) MB 6 minggu Karditis (-) Tb > 6 minggu Gagal jantung (+) MB > 12 minggu Planing Dx/ : swab tenggorokan, ASTO, Creaktif protein Plaining monitoring : vital sign
  • 89.
    89|TOV|MEDICUSLESCIUS S I ND R O M N E F R O T I K 1. Cari kemungkinan penyebabnya 2. Keluhan kencing berbuih, odem, ascites, dan lain-lain Pemeriksaan yang perlu dikerjakan 1. UL : protenuria + 3/+4, lipiduria (oral fat bodies) 2. BS acak 3. Albumin/globulin Therapi : 1. Istirahat baring 2. Diet TKTP rendah garam 3. Prednison bila Dx/ sudah tegak (kontra pada etiologi oleh karena DM, amiloidis) 2 mg/kg BB/ hari (max/80mg/hari) selama 4 Minggu diturunkan bertahap 5 10 mg/hari. 1. Furosemid 40 80 mg iv 2. Dipiridamol 3 x 75 mg/hari (mulai 3 x 25 mg/hari) 3. Infus albumin 4. Therapi penyakit dasarnya Paning dx/ 1. Ekskresi protein 24 jam (esbach test) 2. Elektroforesa protein 3. Kolesterol 4. IVP 5. Biopsi ginjal Plaining monitoring : vital sign
  • 90.
    90|TOV|MEDICUSLESCIUS SYOK KARDIOGENIK Cari faktorrisiko dan penyebab syok Evaluasi hemodinamik dengan pemasangan CVP dan produksi urine Pemeriksaan yang perlu dikerjakan 1. EKG 2. Analisa gas darah untuk mencari asidosis metabolik 3. Foto thorak, DL. Therapi 1. Istirahat dengan kepala sedikit ditinggikan (1/5 duduk) 2. Diet lunak TKTP 3. O2 4 – 6 liter/menit 4. IVFD D5 % untuk life line (loding doses untuk tes cairan) + Dopamin 4-6 ng/Kg BB/menit (12-16 tetes/menit) atau dobutamin 7,5 ng/Kg/BB/menit supaya tensi >90 mmHg. 5. Pasang foley cateter 6. Kurangi rasa sakit dengan meperidine 75 mg im (morpin kontraindikasi). 7. Kurangi gelisah : dipenhidramin 50 mg im 3-4 x/hari (kontraindikasi diazepam, luuminal) 8. Digitalis bila disertai dengan edema paru, payah jantung 9. Diuretika bila disertai dengan edema paru 10.Metylprednisole 30 mg/kg BB single dose. Planing dx/ : elektrolit, gula darah/BUN/SC,LFT Plening monitoring • Vital sign • Perpusi jaringan • Produksi urine • Monitor EKD
  • 91.
    91|TOV|MEDICUSLESCIUS S Y OK S E P T I K • Diagnosis klinik spesis dan syok septik • Spesis bila ada bukti terjadi infeksi dan adanya respon sistemik terhadap infeksi tersebut dimana minimal ada 2 dari dibawah ini • Temp > 38O C atau hipotermia < 36O C • Denyut jantung > 90 denyut/menuit • Respirasi > 20/menit atau PaCO2 < 32 mmHg • Leukosit > 12 000/ml atau < 40000/ml atau > 10% bentuk sel muda • Sepsis berat bila ada gejala sepsis, gangguan fungsi organ, hipoperfusi hipotensi • Syok septik : sepsis dengan jipotensi dan gangguan perfusi menetap Therapi 1. IVFD D%% untuk loading test cairan 2. Antibiotika adekuat Misalnya : ceftriakson + gentamicin (pada penderita non netropenia) 1. Gentamicin (pada penderita netropenia) 2. Gram positif ( voncomycin 1. Bila setelah loading cairan tetap impotensi ( dopamin 10 15 meq/Kg BB/ menit ( 30 tts/mnt 2. Kortikosteroid : metilprednisolon : 30 mg/Kg BB iv a' 4 6 jam
  • 92.
    92|TOV|MEDICUSLESCIUS NILAI NORMAL LABORATORIUM DarahLengkap Jenis Px/ Nilai Normal WBC 4,5-11 H 103 /UL % Ne # Ne 43-65 H% 2,2-6,6 H103 /UL % Ly # Ly 20,5-45,5 L% 1,3-3,2 L103 /UL % Mo # Mo 4,0-10,0 L% 0,3-1,1 L103 /UL % Eo # Eo 0,9-4,9 L% 0,0-0,2 L103 /UL % Ba # Ba 0,2-1,0 L% 0,0-1,0 L103 /UL RBC M: 4,6-6,2 x106 /UL F: 4,2-5,4 x106 /UL HGB M: 13,5-18,0 g/dL F: 12,0-16,0 g/dL HCT M: 40,0-54,0 % F: 38,0-48,0 % MCV M: 80,0-94,0 fL F: 81,0-99,0 fL MCH 27,0-32,0 Pg MCHC 31,0-35,0 g/dL RDW 11,5-14,5 L% PLT 150-440 103 /uL MPV 6,3-11,1 fL PCT 0,150-0,400 % PDW 15,0-17,1 (ratio)
  • 93.
    93|TOV|MEDICUSLESCIUS Analisis Kimia Darah JenisPx Nilai Normal GLU 70-100 mg/dL BUN 5-23 mg/dL CREA 0,5-1,2 mg/dL AST 14-50 U/L ALT 11-60 U/L CHOL 150-250 mg/dL TG 50-200 mg/dL LDH 210-425 U/L CKMB 0,5-9,5 U/L Na 135-147 mmol/L K 3,5-5,5 mmol/L UREUM 10-46 mg/dL zHDL 27-67 mg/dL zLDL 91-180 mg/dL TBil 0,0-1,0 D Bil 0,0-0,30 TP 6,6-8,7 Alb 4,0-5,7 ALP 32-270 mg/dL AMY 210-425 U/L GGT 7-64 U/L Indirect Bil 0,0-0,5 Glob 1,5-3,0 URINELENGKAP Pemeriksaan Nilai Normal pH 5-8 Leu (-) 4-5/lp Nitrit (-) Protein 25mg/dL/ Neg Glu N Keton (-) Urobilinogen 1mg/dL/Neg Bilirubin 1mg/dL/Neg Eritrosit Neg/(0-1U) Spesificgravity 1,005-1,020 Clarity Colour* Clear Yellow Sedimen Urine: Lekosit Eritrosit EpitelialCell Amorf Bakteri F1-10 M 1-5 - 0-1 + -
  • 94.
  • 95.
  • 96.
  • 97.
  • 98.
  • 99.
  • 100.
  • 101.
  • 102.
  • 103.
  • 104.
  • 105.
  • 106.
  • 107.
  • 108.
    108|TOV|MEDICUSLESCIUS 11. KASUS STASENEUROLOGI/PSIKIATRI POLIKLINIK 1. Lk, 18 th, epilepsy follow up R/ Carbamazepin 200 mg LX S 2 dd I R/ Sakaneuron tab LX S 2 dd I NB: Carbamazepin: Dosis permulaan sehari 200-400 mg dibagi daLam beberapa dosis sampai 800-1200 mg dibagi dalam 2-4 dosis. Dosis anak sd 1 tahun 100 mg/hari, 1-5 th 100-200 mg/hari, 5-10 th 200-300 mg/hari dengan dosis pemeliharaan 10-20 mg/kgBB/hr dibagi dalam beberapa dosis. 2. Follow up px antitrombotik R/ Ranitidin tab X S 2 dd I R/ Aspirin 80 mg XX S 1 dd I NB: Asam Asetil Salisilat (Aspirin, asetosal, aspilet): analgetik, antiinflamasi. Efek samping: merangsang mukosa lambung dengan resiko perdarahan. Dosis: Anti nyeri 3 dd 500 mg, antiradang 3-4 g/hr (merk aspirin (bayer) 3 dd (500 mg). Anti trombotika: 1 dd 75-100 mg Aspilet 1 dd (80mg) 3. Px pegal2, leher kaku + kombinasi, Dx/ Tension Headache + kombinasi a. R/ Diazepam 2 mg no X S 2 dd I R/ Natrium Diclofenac 50 mg no X S 2 dd I R/ Methyl prednisolon 4 mg no X S 2 dd I R/ Ranitidine no X S 2 dd I NB: Na Diclofenac (Voltaren, Cataflam). NSAID yang terkuat antiradangnya dengan efek samping yang kurang keras dibanding obat kuat lainnya (indometasin, piroxicam). Indikasi: Segala macam nyeri, juga migrant, encok. Dosis: oral 3 dd 25— 50 mg. Pada nyeri kolik atau serangan encok 1-2 dd 75 mg selama 1-3 hari. Sediaan tab 25 mg dan 50 mg.Methyl prednisolon (Depo/Medrol, Solu-Medrol, Urbason) lebih kuat dari prednisolon. Indikasi; RA, acute/subacute bursitis, exfoliative dermatitis, seasonal / perennial allergiec rhinitis, bronchial asthma, contact dermatitis, acute conjunctivitis. Dosis oral initial 12-48 mg/hari. Pemeliharaan 4 – 16 mg/hari. Sediaan tab 4 mg. Penggunaan NSAID jangka lama dianjurkan dengan tambahan penghambat asam lambung (omeprazol, dll) atau zat pelindung mukosa misopristol guna cegah tukak lambung. Ranitidin (Zantac, Rantin) H2 Blocker. Daya menghambat sekresi asam lebih kuat daripada cimetidin, tetapi lebih ringan dari penghambat pompa proton (omeprazol, dll). Selain digunakan untuk gastritis, tukak lambung, jiga selama penggunaan prednisone guna menghindari keluhan lambung. Sediaan tab 150 mg, inj 50 mg / 2ml amp @ 2ml. Dosis: sesudah makan malam selama 4-8 minggu, sebagai pencegah 1 dd 150 mg, i.v 50 mg sekali.
  • 109.
    109|TOV|MEDICUSLESCIUS b. R/ Sumagesicno X S 3 dd I R/ Diazepam 2 mg X S 3 dd I NB: Sumagesic (P/P 600 mg): Acetaminophen, dosis anak ¼-1/2 tab. Dewasa 1 tab. P/P 600 mg Indikasi: Fever, common cold, headache, tootache, muscle and joint pain, OA. Diazepam (Diazepin (Kimia Farma) Indikasi: Psychosomatic, automic dystonia, neurasthenia. Dosis: 3 dd 2 mg. P/P 2 mg x 20 x 5’s atau 5 mg x 20 x 5’s c. R/ Kaltrofen 50 mg no X S 2 dd I R/ Diazepam 2 mg no X S 2 dd I R/ Forneuro no X S 2 dd I NB: Ketoprofen: sediaan 50 mg, 100 mg. Merk: Ketoprofen, Kaltrofen (Kalb) 4. Follow up Skizofrenia, yg aman buat ibu hamil R/ Haloperidol tab 0,5 X S 1 dd I R/ Neurobion 5000 tab X S 2 dd I 5. Pasien depresi + kombinasi R/ Amitriptilin 12,5 mg no LX S 2 dd I R/ Captopril 25 mg no LX S 2 dd I R/ Asetosal 100 mg no XXX S 1 dd I R/ Kalmeco no LX S 3 dd I 6. Px cemas (anti cemas) R/ Alprazolam 0,5 mg tab no X (Benzodiazepine) S 1 dd I ( k/p malam) R/ Betaserc tab no XX S 2 dd I (k/p pusing) 7. Pasien vertigo R/ Cafergot tab no X S 3 dd I NB: Obat anti migraine. Isi: ergotamine 1 mg, caffeine 100mg. Indikasi: Imgrain, vascular headache. Hati2 wanita hamil.
  • 110.
    110|TOV|MEDICUSLESCIUS 12. KASUS STASETHT POLIKLINIK JEJARING 1. Lk, 49 th, nyeri telinga kiri, Px/: Perforasi subtotal S dan perforasi sentral D. Dx: OMSK benigna fase aktif D/S. R/Ciprofloxacin 500 mg no X S 2 dd I R/ Tremenza tab no X Pseudoefedrin (Dekongestan) S 3 dd I R/ Ambroxol tab 30 mg no X S 3 dd I KIE: Jangan kemasukan air. 2. Pr, 3 th, Batuk, pilek, panas, di UGD diberi kloram, PCT, dan cefadroxil syrup, sudah 3 hari lalu ditelinga sakit, awalnya kanan lalu kiri. Px/: Hidung mukosa hiperemis, Tenggorok mukosa merah hiperemis T1/T1 merah muda Dx/: Rhinofaringitis akut Tx/: R/ Cefadroxyl syrp 2 x 1 Paracetamol 3 x 1 Ambroxol 3 x 1 Alco Syrp 3 x 1 cth (pseudoefedrin) 3. Serumen kering R/ forumen ear drops no I S 3 dd gtt III 4. Px Rhinitis alergi R/ Rysen no X S 2 dd I R/ Lamerson no XV S 3 dd I 5. Lk, telinga kanan keluar cairan sejak 3 bulan yll. B 20 kg Dx/: OMA stad III D Tx/: Oto toilet D R/ Otopain ear drop S 3 dd gtt III A. D R/ Spiranter mg 200 S 3 dd I R/ Trifed tab VI S 3 dd tab ½
  • 111.
    111|TOV|MEDICUSLESCIUS 6. Pasien, timbulbenjolan didaerah telinga, modelnya seperti kista (isi cairan Dx/kista Tx/: Jangan diinsisi, lakukan punksi 1,5 cc lalu kenacort suntikkan 0,5 cc. 7. Pr, 40 th, telinga kanan kemasukan air, gebrek2 Dx/: Tuba katar D R/ Levosin no V (levofloxacin) S 1 dd I R/ Trifed no XV S 3 dd I R/ Lameson no XV S 3 dd I 8. Lk, 6 bln, Dx Serumen Obsturan S + Faringitis akut. R/ Spiranter mg 100 (Spiramycin) Sanmol mg 75 (paracetamol) Indexon tab 1/6 (dexametason) Trifed tab 1/6 (pseudoefedrin) Mfla pulv dtd no XV S 3 dd pulv I habiskan 9. Lk, 28 th, telinga kiri keluar cairan sejak 2 bulan, nyeri (+), hilang timbul Px/: Telinga kiri: Discharge (+) purulen, MT perforasi, secret (+) Telinga kanan: Discharge (-), MT perforasi, kering Dx/: Perforasi kering MT (D) + OMSK exaserbasi akut (S) Tx/: Oto toilet: tetesin dengan H2O2 3 % pada telinga kiri (A.S) lalu suction. R/ Otopain ear drop no I S 3 dd gtt III R/ Prolic tab mg 300 no VIII S 2 dd I (habis) R/ Trifed tab no XII S 3 dd I R/ Indexon no XII S 3 dd I KIE: jangan kemasukan air, kontrol obat habis. 10. Pr, telinga kanan sakit, grebek2, keluar air. Px/: MT kanan perforasi sentral Dx/: OMA stad III D R/ Benozyt no III (Azytromicin) S 1 dd I R/ Trifed no XV (pseudoefederin) S 3 dd I R/ Lexomid no XV (methylprednisolon) S 3 dd tab I
  • 112.
    112|TOV|MEDICUSLESCIUS R/ Otopraf eardrop no I S 3 dd gtt III AD 11. Lk, 2 th, panas, batuk, pilek, BB: 12 kg Dx: Rhinofaringitis akut dan serumen obsturan D et S Tx: ekstraksi serumen D / S R/ Sedrofen mg 180 (Ab) Tremenza tab ¼ (nasal dekongestan) Indeson tab ¼ (anti influenza) Promedex tab ¼ (antitusif) Sohopex tab ¼ (mukolitik) Mfla pulv dtd no XV S 3 dd pulv I (habis) R/ Bufect syrp no I S 4 dd cth I 12. Lk, 4 th, telinga sakit, batuk, pilek 2 hari Dx/: Rhinofaringitis akut R/ Clabat syrp no I (Ab) S 3 dd cth 1 ½ R/ Fenbris syrp no I S 3 dd cth 1 ½ R/ Tremenza / Trifed syrp no I S 3 dd cth ½ Kasus lain nyangkut disini Interna I Poliklinik 13. Dr. Zainul, antitusif a. R/ Pehaclor/ctm ½ tab Epidrin 1 mg Codein 10 mg Prednisone/metilpred tab ½ Mfla pulv dtd da in caps no XX S 3 dd caps I b. R/Amoxicillin 500 mg no XX R/ Ctm tab ½ Epidrin 1,5 mg Solvonat tab ½ Metilpred tab ½ Mfla pulv dtd da in caps no XX S 3 dd caps I c. Obat TG hiperkolesterolemia R/ Zumafib 300 mg no XX S 0-0-1 d. Obat lambung R/ Omeprazol XX S 101 R/ Desflatyl XX S 3 dd I
  • 113.
    113|TOV|MEDICUSLESCIUS 13. KASUS STASEIKK POLIKLINIK RSUP & JEJARING Kumpulan kasus dan foto (gambar ada di file foto px kulit & kelamin) 1. Dx/ Erosi Vulva R/ Digenta cr gr 7,5 Visancort cr gr 5 Md S 2 dd ue R/ Prednison tab 1,5 Interhistin tab 1 Mfla pulv dtd da in caps no XIV S 2 dd 1 2. Pr, 22 bln. Dx/ Dermatitis atopic dengan infeksi sekunder R/ Amoxycillin mg 150 Prednison tab no ½ Interhistin tab no ½ Sakarumlactis Q.S (pemanis) Mfla pulv dtd no XX S 3 dd pulv 1 p.c R/ Fuson cr gr 10 Inerson cr gr 10 Md S 2 dd ue 3. Lk, 43 th kemerahan dipipi bentuk garis, tiba2 baru bangun, diobati salycyl, perih (+) >> gatal. Dx/ Dermatitis venenata R/ Inerson gr 15 S 2 dd ue R/ Somerol tab no XXI S 2-1-0 (p.c) R/ Interhistin tab no XXI S 3 dd I 4. Lk, 40 th, eff/patch hipopigmentasi batas tegas ditutupi skuama putih halus. Dx/ Pytiriasis versicolor (panu) R/ Fungoral tab no XII S 1 dd I R/ Mycoderm cr gr 20 S 2 dd ue 5. Lk, 19 th Dx/ Tinea corporis + T. cruris + infeksi sekunder R/ Dygenta cr gr 10 Interzol cr gr 10 Md S 2 dd ue
  • 114.
    114|TOV|MEDICUSLESCIUS R/ Interzol tabmg 200 no XII S 1 dd I (p.c siang). 6. Pr, 12 th, Px/ ada delle (ada core kyk umbilicus. Dx/ Moluscum contagiosum. Tx/ Extripasi 7. Lk, 52 th, benjolan didada, eff/ papul hiperpigmentasi uk 0,1-0,2 cm bertangkai Dx/ Skin tag accorcodons (papiloma kutis) Tx/ EC (eletrocauter) R/ Fuson cr gr 5 S 2 dd ue 8. Pr, tua. Dx/ urtikaria. R/ Inerson cr gr 30 S 2 dd ue R/ Interhistin no XXI S 3 dd I 9. Lk, 44 th, gatal kumat2an di kaki >> 1 minggu. Sudah diberi bokasih membaik. Istri dan kakak kandung juga gitu. Dipuskesmas diberi ctm + salep dibilang alergi. Biasa makan ikan laut. Px/ St. derm kaki s/d paha ka/ki, eff/ patch hiperpigmentasi batas tegas 1-1,5 cm, bulat, likenifikasi, papul (+). DD: DA/DKA R/ Prednison no XXI S 2-1-0 R/ Interhistin no XXI S 3 dd I R/ Inerson cr gr 15 Fuson cr gr 10 Md S 2 dd ue 10. Pr, 30 th. Dx/ Scabies R/ Asam salicylate 2% Sulfur presipitatum 4% Scabimide cr gr 10 Vaselin album gr 20 Mfla unguentum S 2 dd ue R/ Prednisone tab no XXX S 2-2-0 (p.c) R/ Interhistin tab no XXI S 3 dd I
  • 115.
    115|TOV|MEDICUSLESCIUS 11. Pr, 30th. Dx/ Dermatitis venenata R/ Digenta cr gr 7,5 Nerilon cr gr 7,5 Md S 2 dd ue R/ Prednison tab no XXI S 2-1-0 R/ Inclarin tab no VII S 1 dd I (p.c siang) 12. Lk, 40 th. Dx/ dermatitis seboroik R/ Nerilon cr gr 10 Visancort cr gr 5 Md S 2 dd ue R/ Prednison tab no XXI S 2-1-0 (p.c) R/ Inclarin tab no VII S 1 dd I (pc siang) 13. Lk, 30th , Px/ plak eritema dengan skuama berlapis putih perak. Dx/psoariasis vulgaris. R/ Prednison tab no XXX S 2-2-0 (p.c) R/ Interhistin tab no XXI S 3 dd I R/ Asam salisilat 3% Asam benzoate 6% Oil codeni 9% Inerson cr gr 30 Vaselin album ad gr 60 Mfla unguentum S 2 dd ue KIE: Jangan banyak berjemur, kumat2an kepekaan imunitas. 14. Lk, 43 th. Plantar. Eff/ Plak eritema, skuama, hyperkeratosis, fissure. Dx/ Keratoderma R/ Inerson cr gr 15 Carmed cr gr 10 Md S 2 dd ue R/ Somerol tab no XXI S 2-1-0 (p.c) R/ Interhistin tab no XXI S 3 dd I 15. Pr, 27 th, Dx/ Keratodermal palmo-plantar DD/ DKI kumulatif, T.manum R/Nerilon cr 15
  • 116.
    116|TOV|MEDICUSLESCIUS Carmed cr gr7,5 Md S 2 dd ue R/ Prednison tab no XXIV S 2-1-0 (p.c) R/ Inclavin tab no VII S 1 dd 1 (p.c siang) 16. Lk, 45 th, KU: rambut rontok Dx/ Alopesia areata R/Triamcort tab no XVI S 2 dd 1 R/ Locoid gr 10 Vinsacort cr gr 15 Md S 2 dd ue 17. Pr, 3,5 th. KU: timbul bisul dikaki ka/ki 2 hr, terasa sakit. Eff/ pustule inti core uk 0,1-0,2 cm, disekitarnya daerah eritema. Dx/ Folikulitis R/ Robamox mg 150 Prednison tab no 1/2 Interhistin tab no 1/4 Sacarum lactic Q.S Mfla pulv dtd no XX S 3 dd pulv I R/ Dygenta cr gr 7,5 Saltisin cr gr 5 Md S 2 dd ue 18. Pr, 5 th. Dx/ erysipelas/Ektima R/ Robamox mg 150 Prednison tab no 1/2 Interhistin tab no 1/3 Sakarum lactis q.s Mfla pulv dt no XXI S 3 dd I (p.c) R/ Dygenta cr gr 10 Saltisin cr gr 5 Md S 2 dd ue 19. Lk, 24 th. KU: Bintik2 gatal di wajah. Dx/ Acne Vulgaris R/ Dygenta cr gr 7,5 Tracne cr 0,05% gr 5 Benzolat Cl gr 5 Md S 1 dd ue
  • 117.
    117|TOV|MEDICUSLESCIUS R/ Interdoxin mg50 no XVI S 2 dd I R/ Prednison tab no XXI S 2-1-0 (p.c) Kasus Kelamin 20. Lk, 29 th. Dx/ Balanopostitis R/ Interzol cr gr 7,5 Vinsacort cr gr 5 Md S 2 dd ue R/ Interzol mg 200 no X S 1 dd I ( p.c siang) 21. Lk, 30an, KU: Disuria. Dx/ Susp. UNG (Urethritis Non GO) R/ Uroxal tab XV S 3 dd I R/ Interdoxin cap no XIV S 2 dd I Kasus Lain2 22. Pr, 19 th Dx/ Vitiligo R/ Dosoralen lq cc 10 Md S 1 dd ue (pagi) R/ Nerilon cr gr 10 S 1 dd ue (setelah dijemur pagi) 1/2 menit berjemur lalu diolesi cream. 23. Pr, 48 th, Dx/ Melasma R/ Parasol cr tibe no I S 1 dd ue (pagi) R/ Mediquin cr gr 7,5 Tracne 0,05 % cr gr 2,5 Intercon cr gr 5 Md S 1 dd ue ( malam) 24. Bayi, 4 bln, KU: bercak pada kulit kepala, memberat stlh diberi baby oil. Eff/ patch eritema batas tak tegas, diatanya skuama kuning kasar. Dx/ D. seboroik + cradle cap (D.infantil) R/ Dygenta cr gr 10 Locoid cr gr 5 Md S 2 dd ue KIE: bersihkan dengan minyak kelapa
  • 118.
    118|TOV|MEDICUSLESCIUS 25. Lk, 10th eff/ papul verukous. Dx/ veruka vulgaris R/ Fuson cr gr 5 S 2 dd ue Electrocauter 26. Lk, Dws, Dx/ Kista Dermatoid timbul bau kronik residf R/ Nerilon cr gr 10 Salisil cr gr 5 Md S 2 dd ue R/ Prednisone tab XX S 2-1-0 (p.c) R/ Inclarin tab no XII S 1 dd I 27. Lk, 42 th. Eff/ plak hiperpigmentasi pada pipi ka/ki terpapar sinar matahari. Dx/ Melanoderma R/ Mediquin cr gr 7,5 Tracne 0,05% gr 2,5 Locoid cr gr 5 Md S 1 dd ue (malam) cream malam R/ Parasol cr tube no I S 1 dd ue (pagi) cream pagi (tabir surya) 28. Lk, 2,5 th. Dx/ Impetigo Krustosa R/ Robamox mg 150 Prednison tab no 1/2 Interhistin tab no 1/4 Sakarum lactis q.s Mfla pulv dtd no XX S 3 dd pulv I (p.c) R/ Dygenta cr gr 10 Salticin cr gr 5 Md S 2 dd ue
  • 119.
    119|TOV|MEDICUSLESCIUS 14 .KASUS KOMPILASIPOLIKLINIK ANAK 1. Nv, 4,5 th, 13 kg, Batuk, Dx/ISPA R/ Erytromicin 150 mg Calpico ¼ tab DMP 4 mg Loratadin 1/3 tab Dexamethason 1/3 tab Mfla pulv dtd no XII S 3 dd I 2. Zn, 17 th, berdahak. ISPA R/ Codein 15 mg Cetirizine 0,6 tab Reverton 0,3 tab Salbutamol 1 mg Ambroxol 0,6 tab Mfla da in caps dtd X S 3 dd I R/ Cefadroxil 500 no I S 3 dd I 3. Zn, 20 bln, 8 kg. Dx/BP R/ Cefixim 25 mg DMP 3 mg Loratadin ¼ tab Efedrin 0,1 tab Dexamethason 0,3 tab Salbutamol 0,5 mg Mfla pulv dtd no XV S3 dd I
  • 120.
    120|TOV|MEDICUSLESCIUS 15. KASUS STASEPEDIATRY EMERGENCY DSS• Penderita Lk, 5 th 6 bln, datang untuk berobat ke triage anak dengan keluhan tangan serta kakinya dingin sejak tadi pagi, sebelum muncul keluhan tersebut penderita dikatakan mengalami panas badan sejak hari Sabtu (26/5) pukul 18.00 wita, panas badan dikatakan mendadak tinggi dan tidak membaik saat penderita diberikan obat penurun panas. Panas badan dikatakan baru turun tadi pagi (30/5) diserta badan dingin, tangan dan kaki dingin, berkeringat banyak namun tidak disertai menggigil. Penderita juga dikeluhkan nyeri kepala, nyeri pada sendi saat panas (+), dan saat ini penderita mengeluh nyeri pada perutnya. • Bintik merah pada tubuh penderita, tidak terdapat gusi berdarah, mimisan, BAB berwarna hitam, ataupun BAK berwarna merah disangkal. Penderita juga dikeluhkan muntah-muntah sejak 4 hari sebelum masuk rumah sakit, frekwensi muntah 2-3 kali tiap harinya, dengan volume kurang lebih ¼ gelas/hari. Muntah tidak disertai dengan pengeluaran darah. Dikatakan penderita kurang makan dan minum semenjak sakit.Aktivitas penderita juga dikatakan menurun semenjak sakit. • Penderita sempat berobat ke dokter pada hari Senin (28/5), disana penderita diberikan obat penurun panas namun panas penderita tidak turun, selanjutnya dilakukan pemeriksaan laboratorium dan pasien kemudian dirujuk ke RS Sanglah. • RPS, RK (-).Riwayat persalinan NCB N. BBL : 2900, PBL : Lupa. Riwayat Imunisasi lengkap. • terasa lemas, dan kadamerasa nyeri kepala ringan. Nyeri otot dan Status Present Kesan Umum : Tampak lemah. Kesadaran : Iritabel. Nadi : 140x/menit, reguler, isi lembut. Respirasi : 32x/menit, reguler. T0 ax : 36,0°°°° C. TD : 80/palpasi mmHg. BB : 27 kg BBI : 19 kg • Kepala : N-cephali. •••• Mata : anemia (-), ikterus (-), Refleks Pupil +/+ isokor, cowong -/-, edema palpebra -/-. •••• THT : Nafas Cuping Hidung (-), cyanosis (-), epistaksis (-), perdarahan gusi (-). Leher : Kaku kuduk (-), Pembesaran kelenjar (-). •••• Thorak : I : simetris saat statis maupun dinamis, retraksi (-). P : fremitus vokal Normal. P : Sonor. A : Cor : S1 S2 N regular murmur (-). Po : Vesikuler +/+, ronchi -/-, wheezing -/-. •••• Abdomen : I : Distensi (-) A : Bisisng Usus (+) Normal. P : Hepar teraba 1/4 – 1/4 tepi tajam, nyeri tekan (+) dan Lien tidak teraba. P : Tympani + + •••• Extremitas : Akral dingin + + Cyanosis + + + + • Ass/: • DSS (hari ke-4 saat pukul 18.00) • Tx/: • O2 sungkup 5 liter/menit • Infus 2 jalur : IVFD RL 20 cckgBB/ jam ~380 cc/jam~126 tetes/menit, • Line I 60 tetes, Line II 66 tetes. (16.15 – 16.45) • Px/ • Periksa DL, • BS, • Ig G-Ig M anti Dengue, • Thorax foto AP/LDD, • Pasang lingkar abdomen. • Mx/ • Vital Sign, • Balance cairan, • Tanda-tanda perdarahan dan syok. - -
  • 121.
  • 122.
    122|TOV|MEDICUSLESCIUS DEMAM TIFOID • Penderita,LK. 4,6 th dikeluhkan panas sejak 6 hari yang lalu sebelum masuk RS, awalnya sumer-sumer, kemudian meningkat. Hilang timbul dengan obat penurun panas. Kejang ( - ) , menggigil ( - ) , berkeringat ( - ) .Batuk (+), Pilek (+). Mual ( + ) , untah ( - ) Sejak 3 hari yang lalu pasien dikeluhkan belum BAB sampai masuk Rumah Sakit. BAK (+) biasa. Nafsu makan menurun sejak sakit, minum tetap. Tanda-tanda perdarahan tidak ada. • Os belum pernah menderita sakit seperti sekarang. RK (-) • Riwayat pengobatan Ke Poli Anak, RSUD Singaraja setelah 2 hari panas, diberikan obat penurun panas, tapi keluhan tidak hilang setelah pulang.Ke Sp.A dirujuk ke RSUD Singaraja untuk mengecek darah kemudian didiagnosis demam tifoid dan dirawat di RSUD Singaraja. • Riwayat persalinan: Penderita lahir cukup bulan, spontan, di dokter, langsung menangis. BBL : 3000 gram, PB : lupa. Tidak ada kelainan. Riwayat Imunisasi lengkap. Kesan Umum:Baik Kesadaran :Compos Mentis (CM) Nadi :126 x/menit Respirasi :40x/menit t˚ax :37,9 ˚C T :100/75 mmHg BBS :15 kg BBI :16 kg Nelson :93,75 % ( Gizi baik/cukup ) Kepala: Normocephali, UUB datar Mata: anemia (-), ikterus (-), refleks pupil +/+, cowong -/- THT:Lidah kotor ( + ) tepi hiperemis Telinga : Normal. Hidung : Nafas Cuping Hidung (-), cyanosis (-). Tenggorokan : Faring hiperemis (-). Tonsil hiperemis (-). Leher: Pembesaran kelenjar (-), Kaku Kuduk (-). Thorak:Cor : S1 S2 N regular murmur (-). Po : Vesikuler +/+, ronchi -/-, wheezing -/-. Abdomen: Distensi (-), Bising Usus (+) N, Hepar tidak teraba, Lien tidak teraba, Turgor Normal. Extremitas: Akral hangat (+), cyanosis (-). • Ass/: • Demam Tifoid • Diagnosis Banding:Paratifus, Bruselosis, Meningoensefalitis, Tbc • Tx/: • Masuk Rumah Sakit • Infus KAEN III B 20 tts/mnt • Chloramphenicol inj. 3 x 250 mg • Parasetamol Syr. 3 x 1 ½ cth • Px/ • DL, Widal • Mx/ • Vital Sign, • Balance cairan, • Tanda-tanda perdarahan dan syok. - - TES WIDAL : Px Hasil Titer Salmonella thypi O ( + ) 1/320 Salmonella thypi H ( + ) 1/320 Salmonella parathypi A-O ( + ) 1/320 Salmonella parathypi A-H ( + ) 1/80 Salmonella parathypi B-O ( + ) 1/160 Salmonella parathypi B-H ( + ) 1/80
  • 123.
    123|TOV|MEDICUSLESCIUS KDK• Lk, 1th 6 bln dikeluhkan kejang sebanyak 3 kali yaitu : • Kejang 1: kejang terjadi 4 jam SMRS, berlangsung kurang lebih 5 menit, kaki dan tangan menghentak, mata mendelik ke atas, simetris, mulut tidak mengeluarkan buih, berhenti spontan, panas (+), setelah kejang pasien sadar baik, kebiruan pada sirkum oral (-) • Kejang 2 : kejang terjadi 15 menit kemudian, selama ± 1 menit, gejala sama seperti kejang pertama. • Kejang 3 : kejang terjadi 3 jam kemudian, selama kurang lebih 1 menit, gejala sama seperti kejang pertama. • Sebelumnya pasien dikeluhkan panas tinggi mendadak yaitu 7 jam SMRS. Panas tidak turun dengan penurun panas. Menggigil (-), berkeringat (-). • Pasien juga dikeluhkan mencret yang terjadi hampir bersamaan dengan kejang pertama, frekuensi kurang lebih 6 kali, dengan volume ± ¼ gelas/kali, darah (-), lendir (-) ampas (-). Bau asam (-) • Muntah (-), batuk dan pilek (-). Makan/minum menurun setelah sakit. BAK (+) normal, BAK terakhir kurang lebih ½ jam SMRS. • Riwayat pengobatan : Pasien sempat dibawa ke Sp.A, diberi Diazepam (Stesolid) dan paracetamol (Dumin),kemudian dirujuk ke RS. Sanglah • Riwayat penyakit sebelumnya : pasien memiliki riwayat kejang dengan panas pada umur kurang lebih 5 bulan, kejang berlangsung kurang lebih 3 menit, tangan dan kaki menghentak, setelah kejang pasien sadar baik. • Riwayat penyakit dalam keluarga : ayah pasien pernah menderita kejang dengan panas sewaktu kecil . • Riwayat persalinan : lahir spontan ditolong bidan, BBL 3800 gram, langsung menangis, kelainan (-). Riwayat imunisasi : lengkap • as, dan kadamerasa nyeri kepala ringan. Nyeri otot dan Status Present Keadaan Umum : tampak lemah Kesadaran : E1V1M3 (dalam pengaruh diazepam) Nadi : 140 x/menit, regular, isi cukup Respirasi : 40 x/menit, regular. T ax : 40,3ºC BB : 12 Kg TB : 85 Cm Z score : 0,1 SD (normal) Leher : Pembesaran kelenjar (-), kaku kuduk (-) Cor : S1S2 N, regular, murmur(-) Po : Bronkovesikuler +/+, Rhonki -/-, Wheesing -/- Abdomen : Distensi (-), BU (+) N, H/L tidak teraba, turgor N Extremitas : Akral hangat (+), sianosis (-), Oedem (-) Refleks Fisiologis N Reflek Patologis Kernig sign (-), Brudzinsky I/II : -/- Tenaga 555 555 555 555 Tonus N N N N • Lab DL (27 Juni 2005) • WBC : 6,7 BS : 113 • HGB : 12 Na : 136,6 • HCT : 35,7 K : 3,68 • PLT : 297 Cl : 108,6 • FL (28 Juni 2005) • MAKROSKOPIS • Warna : kuning • Bau : - • Konsistensi : lembek • Lendir : - • Darah : - • • MIKROSKOPIS • Leukosit: 3-4 • Eritrosit : 1-2 • Amoeba: veg &kista (-) • Telor cacing : neg • Lain-lain : gist cell (+) • Fat(+) • • Ass/: • Kejang Demam Kompleks e.c. Tonsilofaringitis akut + diare akut tanpa dehidrasi • • Tx/: • MRS • - IVFD Dextrose 10 % 1100 cc/hari  12 tts/mnt • Dumin rektal 125 mg/Paracetamol sirup 4 x Cth I (K/P) • - Ampicilin injeksi 3 x 400 mg • - Luminal oral 2 x 30 mg • - Parasetamol 4 x ¾ cth • - Diazepam 6 mg diencerkan diberi pelan-pelan bila kejang • Px/ LP • Mx/ • Vital Sign, • Balance cairan, • Kejang
  • 124.
    124|TOV|MEDICUSLESCIUS 16 .KASUS KOMPILASIINTERNA MALARIA• Penderita laki-laki, 42 tahun, Hindu, Bali, mengeluh panas badan sejak 2 minggu SMRS. Panas badan hilang timbul setiap 1 hari. Penderita merasakan mulai menggigil sejak pukul 8 pagi, sekitar jam 10 pagi, penderita merasa badannya panas tinggi. Kurang lebih jam 6 sore, penderita merasakan panas badannya mulai turun disertai dengan berkeringat banyak, kejadian ini terus berulang setiap harinya. • Nyeri kepala timbul menyertai panas badan sejak 2 minggu SMRS, dirasakan seperti tertekan. Nyeri kepala dirasakan terus menerus, memberat ketika panas meninggi dan berkurang bila panas turun. • Penderita merasakan mual semenjak 1 minggu yang lalu, tidak sampai muntah. Nafsu makan penderita menurun, penderita hanya makan sebanyak 2 sendok tiap kali makan. Riwayat rasa nyeri ulu hati disangkal. • Kulit penderita tampak kekuningan sejak 5 hari SMRS. Kuning diawali pada bagian badan kemudian meluas hingga ke bagian lengan bawah. Pasien juga mengeluhkan merasa gatal diseluruh tubuh menyertai timbulnya warna kekuningan pada tubuh. • Penderita mengatakan bahwa air kencingnya berwarna cokelat seperti air teh sejak 5 hari SMRS. Penderita kencing 5-6 kali/hari, volume ½ - 1 gelas setiap kalinya. Riwayat kencing darah (-), nyeri saat kencing (-). BAB seperti biasanya, namun sejak kurang lebih 1 minggu SMRS, penderita buang air besar hanya 1 kali dalam 2 hari. Konsistensi lunak, darah (-), lendir (-), warna kuning kecoklatan. • Penderita bekerja di proyek mercusuar di Pulau Sumbawa dan kembali ke Bali kurang lebih empat minggu yang lalu karena menderita panas badan. Penderita mengatakan tidak pendapatkan obat pencegahan malaria sebelum berangkat ke Pulau Sumbawa. • turun, badan terasa lemas, dan kadamerasa nyeri kepala ringan. Nyeri otot dan Status Present KU : Compos mentis (E4, V5, M6) TD : 110/80 mmHg N : 84 x/menit R : 20 x/menit Tax : 37,1 ºC Mata : An (+/+), Ikt (-/-) THT : Kesan tenang Thorax: Cor: S1S2 tgl, reg, m (-) Po: Inspeksi : Simetris S/D Palpasi : VF N/N Perkusi : Sonor +/+ Auskultasi: Ves +/+ Rh -/- Wh -/- Abdomen: Distensi (-) Ascites (-) BU(+) N H/L tidak teraba Extremitas: Akral hangat +|+ +|+ Edema - | - - | - • DARAH LENGKAP 13/3/07 16/3/07 • WBC 3,20 5,3 • Ne 2,81 (88,0) 3,1 (58,7) • Lym 0,311 (9,73) 1,8 (33,3) • Mono 0,33 (1,02) 0,4 (7,2) • Eos 0,019 (0,583) 0,0 (0,6) • Baso 0,022 (0,689) 0,0 (0,2) • RBC 3,02 2,52 • HGB 8,26 8,1 • HCT 25,6 20,4 • MCV 84,7 80,9 • MCH 27,4 32,3 • PLT 49,6 95 • KIMIA KLINIK (13/3/07) • Glu 106 • BUN 12 • CREA 0,9 • AST 27 • ALT 16 • T-Bil 3,0 • D-Bil 0,80 • TP 5,8 • Alb 3,1 • ALP 39 • Ind Bil 2,2 • Ureum 25,7 • Glo 2,7 • Ass/: • Suspek Malaria Falciparum dd/ Demam Tifoid Observasi pansitopenia e.c.dd/- Malaria - Anemia aplastik • Tx/: • MRS • IVFD RL 30 tetes/menit • Artesunate 4 – 4 – 4 • Amlodiaquin 4 – 4 – 4 • Primaquin 3 x III tab • Paracetamol 3 x 500 mg (kalau perlu) • Px/ • Pemeriksaan Darah Malaria • Tes Widal • Biopsi Sunsum Tulang • Mx/ • VS • Keluhan
  • 125.
    125|TOV|MEDICUSLESCIUS TIFOID • P, 16TH, KU: panas badan. Pasien mengeluh panas badan sejak 7 SMRS. Panas dirasakan meningkat perlahan- lahan dan kemudian menetap. Panas dirasakan seperti air mendidih yang menguap dari kulit penderita. Penderita merasa panas badan muncul terutama malam hari dan sedikit menurun pada siang hari namun tidak pernah mencapai suhu normal. Panas badan sedikit menurun pada saat pasien minum obat penurun panas, namun panas kembali meningkat beberapa jam kemudian. Panas badan diikuti oleh mual muntah sejak 2 hari yang lalu sebanyak 1-2 kali per hari, dengan jumlah setiap kali muntah ± ½ gelas, berisi makanan dan air, tanpa darah. Mual biasanya muncul setelah penderita makan dan tidak hilang walaupun penderita minum minuman hangat dan makan bubur. • Penderita juga mengalami rasa tidak nyaman yang sulit dijelaskan pada ulu hati dan mencret sejak 2 hari yang lalu. Penderita mencret ± 6 kali dalam sehari, dengan jumlah ± ½ gelas setiap kali mencret, warna kuning kecoklatan, tanpa darah dan lendir. Riwayat keluarga (-) Riwayat pribadi dan sosial didapatkan bahwa pasien berkerja sebagai food cathering penderita turun, badan terasa lemas, dan kadamerasa nyeri kepala ringan. Nyeri otot dan Status present • Kesadaran : kompos mentis, • Tekanan darah : 110/70 mmHg, • Denyut nadi : 92 kali/menit, • Pernafasan : 20 kali/menit, • Temperatur axila : 38,9ºC, • Tinggi badan : 155 cm, • Berat badan : 44 kg, • BBI : 49,5 kg, • IMT : 18,3 kg/m2. Mata : Anemia +/+, Ikterus -/- , RP +/+ isokor THT : Kesan tenang, lidah tifoid (+) Leher : JVP PR + 0 cm H2O Thorak : Cor : I : ictus cordis tidak tampak Pa : ictus cordis teraba 1 cm di kiri MCL ICS V Pe : Batas atas ICS II Batas kanan PSL kanan Batas kiri 1 cm di medial MCL ICS V A : S1 S2 tunggal reguler, murmur - tPo : I : simetris statis dan dinamis Pa : VF N/N Pe : sonor/sonor A : Ves+/+, Rh -/-, Wh -/- Abdomen I : Distensi (-) Aus : BU (+) meningkat Pa : H/L tidak teraba, nyeri tekan (-) Per : tympani Extremitas : Akral hangat +|+ +|+ Edema - | - - | - • DARAH LENGKAP • KIMIA KLINIK • Ass/: • Demam typhoid Hipokalemia Hiponatremia non emergency • Tx/: • MRS • Diet rendah serat • IVFD NaCl 0,9% 20 tetes/menit • Paracetamol 3 x 500 mg • Chloramphenicol 4 x 500 mg • KSR tablet 1 x 600 mg (sd K >= 3,5) • Primperan 3 x C1 (k/p) • Px/- • Mx/ • VS • Keluhan Chloramphenicol dengan dosis 50-100mg/kg BB/hari, yang terbagi dalam 4 kali pemberian. Dosis diturunkan menjadi 30 mg/kg BB/hari bila demam telah hilang, dan terus diberikan sampai dengan 7 hari bebas panas. Chloramphenicol bekerja dengan mengikat unit ribosom dari kuman salmonella, menghambat pertumbuhannya dengan menghambat sintesis protein. Chloramphenicol memiliki spectrum gram negative dan positif. Paracetamol diberikan sebagai penurun panas dengan dosis 3 x 500mg, yang dapat dihentikan kapan saja bila pasien tidak merasakan panas badan lagi. KSR adalah tablet yang mengandung kalium klorida untuk mencegah hipokalemia, diberikan dengan dosis 1 x 600mg dan dapat dihentikan bila hasil pemeriksaan kalium sudah dalam batas normal (3,5-5,5 mmol/L). Primperan (metoclopramide) diberikan untuk mengurangi gejala mual muntah dengan dosis 3 x 5 ml setiap sebelum makan dan dapat dihentikan kapan saja penderita sudah tidak mengalami mual lagi. WBC 6,38 RBC 4,08 HGB 11,7 PLT 213 GLU 94 BUN 8 UREA 0,7 AST 48 ALT 43 Natrium 131,3 Kalium 3,38 Ureum 17,1 O H S.typhi - 1/320 S.paratyphi A - 1/40 S.paratyphi B 1/80 1/160 S.paratyphi C 1/60 -
  • 126.
    126|TOV|MEDICUSLESCIUS DHF P, 15 Th,mengeluh panas badan sejak hari Selasa tanggal 23 Januari 2007 yang dirasakan mendadak dan semakin tinggi. Panas dirasakan seperti air mendidih dan sempat turun dengan obat penurun panas, tetapi tidak pernah mencapai suhu normal dan meningkat kembali beberapa saat kemudian. tPenderita juga mengeluhkan nyeri kepala depan (terutama pada bagian dahi) sejak 3 hari yang lalu bersamaan dengan dimulainya panas, yang dirasakan seperti berdenyut. Nyeri kepala dirasakan terjadi terus menerus, memberat ketika panas meninggi dan berkurang bila penderita minum obat penurun panas.Penderita juga merasakan pegal-pegal pada otot dan persendian bahu, siku, pinggang dan terutama pada persendian kaki. Keluhan ini dirasakan pertama kali saat panas badan mulai meninggi dan dapat berkurang terutama saat panas sedang turun. Pegal dirasakan seperti ngilu yang dirasakan penderita juga pada saat pemeriksaan. Pegal-pegal dikatakan bertambah jika penderita bergerak dan berkurang jika penderita beristirahat. Selain itu penderita juga merasakan badan sangat lemas seperti tidak ada tenaga untuk bergerak sehingga penderita hanya ingin tidur di tempat tidur. Penderita merasa mual yang dirasakan seperti rasa nek pada ulu hati sejak tiga hari sebelum masuk rumah sakit yang hilang timbul. Penderita juga sempat muntah satu hari sebelum masuk rumah sakit sebanyak dua kali dengan volume muntahan sebanyak 1 gelas (500cc) dan ½ gelas (250 cc), muntahan berisi makanan dan air yang dicerna tanpa ada darah.Pada saat dirawat di RS Karang Asem, penderita sempat mengalami pendarahan di hidung. Penderita kemudian segera dirujuk ke RS Sanglah malam itu juga. Darah yang keluar mengalir dari lubang hidung, kurang lebih sebanyak ¼ gelas (125cc) berwarna merah segar. Setelah kurang lebih 15 menit, pendarahan mulai berhenti dengan sendirinya, dan muncul kembali pada pagi hari sebanyak ½ sendok teh. Pendarahan hidung yang terjadi muncul secara tiba-tiba. siklus haid yang biasanya teratur. BAB/BAK N. RK (-), RS (-) damerasa nyeri kepala ringan. Nyeri otot dan Status present KU : CM TD : 100/60 mmHg N : 96x/menit R : 20x/menit Tax : 37,5ºC Mata : An (-), Ikt (-) THT : Pendarahan aktif: -/- Stolsel : +/+ di Pleksus Kiesselbach. Thorax:DBN Abdomen: DBN Extremitas: Akral hangat +|+ +|+ Edema - | - - | - RL test (+), Petechie (+) pada lengan kanan DARAH LENGKAP • Ass/: • DHF Gr II hari ke 5 • Tx/: • MRS • IVFD RL → 30tetes/menit • Paracetamol 3 x 500 mg • Minum banyak 1,5 – 2L • Vit BC 3x1 tab • Px/ • DL @ 8 jam • Serology DHF hari ke 7 • Consul THT • Mx/ • VS • Keluhan • Bleeding (epistaksis) 25 26 (06.38) 26 (16.55) 27 (09.16) 27 (15.35 ) 27 (23.37) 28 (10.15 ) 29 (17.39 ) WBC (K/uL) 7,7 5,21 7,2 7,24 7,3 6,4 8,54 9,04 RBC (x10 6 /uL) 5,58 5,24 4,6 4,61 4,43 5,19 4,03 4,25 HGB (g/dl) 14,9 14,9 12,5 12,9 12,1 9,5 11,4 11,6 HCT (%) 41,7 41,2 37,2 35,1 36 42,2 31,9 33,1 MCV (fl) 74,7 78,7 80,8 76,1 81,2 81,4 79 77,9 MCH (pg) 26,7 28,5 27,1 28 27,4 18,3 28,1 27,4 PLT (K/uL) 23 35,9 22 37 43 61 66,7 149 Pemeriksaan Tanggal 29 januari 2007 IgM DHF (+) IgG DHF (+)
  • 127.
    127|TOV|MEDICUSLESCIUS STEMI • Seorang laki-laki,umur 41 tahun, Hindu, suku Bali, rujukan RSU Sanjiwani Gianyar dengan diagnosa Acute Myocardial Infarction telah dirawat selama 3 hari, mendapat pengobatan ISDN 3x10 mg, Alprazolam 2x5 mg, Captopril 2x25 mg. Penderita datang ke rumah sakit dengan keluhan nyeri pada dada sebelah kiri. Nyeri dada ini terjadi secara tiba-tiba dirasakan seperti di tekan pada 3 hari sebelum masuk rumah sakit. Nyeri dada ini menjalar sampai ke lengan kiri tetapi tidak menjalar ke leher maupun lengan kanan. Saat ini nyeri dada tetap dirasakan seperti 3 hari yang lalu. Rasa nyeri ini timbul pada saat penderita sedang melakukan aktivitas (upacara adat) kurang lebih selama 15 menit. Nyeri dada ini tidak membaik walaupun penderita sudah berbaring (beristirahat) dan terus menerus dirasakan sampai penderita datang ke rumah sakit. Keluhan nyeri dada ini disertai dengan nafas terasa berat dan pusing. Berkeringat dingin, dada berdebar, perasaan mual dan muntah tidak dikeluhkan penderita. Keluhan lain seperti panas badan dan batuk disangkal oleh penderita.Penderita mengatakan bahwa keluhan nyeri dada ini baru pertama kali dirasakannya. • Penderita mempunyai riwayat hipertensi yang baru diketahui 6 bulan yang lalu, namun tidak kontrol secara teratur. Penderita mengatakan tidak pernah menderita penyakit jantung sebelumnya. Riwayat diabetes melitus juga disangkal oleh penderita. • Penderita adalah seorang buruh bangunan. Penderita juga seorang perokok berat, dalam sehari dia biasanya mengabiskan 1 sampai 2 bungkus rokok. Kebiasaan merokok ini sudah dilakukannya sejak kurang lebih 20 tahun yang lalu. Kebiasaan minum alkohol maupun mengkonsumsi jamu-jamuan disangkal oleh penderita. ngan. Nyeri otot dan Status present • Compos mentis (E4V5M6) dengan tekanan darah 100/60 mmHg. Nadi 100 kali per menit, reguler, isi cukup. • Respirasi 24 kali per menit (teratur, torakoabdominal). • Temperatur aksila 36,8 derajat celcius. • Tinggi badan 166 cm, berat badan 71 kilogram, IMT 25,76 kg/m2 AN-/-, IKT-/- JVP N Thorak dada simetris kanan dan kiri saat statis dan dinamis, palpasi didapatkan fremitus vokal normal pada kedua sisi, perkusi sonor pada kedua sisi paru, auskultasi didapatkan suara nafas vesikuler, tanpa ronkhi maupun wheezing pada kedua sisi paru. Pemeriksaan fisik jantung, inspeksi iktus cordis tidak tampak, palpasi iktus kordis teraba pada 1 jari medial ICS V MCL Sinistra, tidak kuat angkat, pada perkusi didapatkan batas atas pada ICS II, batas kanan parasternal line kanan, batas kiri pada 1 jari medial ICS V MCL sinistra, auskultasi didapatkan S1S2 tunggal reguler, murmur (-). Abd, Extr N DARAH LENGKAP • WBC 17,1 K/uL, HgB 14,0 gr/dL, HCT 36,6 %, PLT 232 K/uL, CKMB 20,5 U/L, LDHI 3935 U/L, AST 186 U/L, ALT 71 U/L, BUN 18 mg/dL, SC 1,4 mg/dL, Glukosa sewaktu 106 mg/dL, kolesterol 260 mg/dL, kolesterol HDL 43 mg/dL, kolesterol LDL 193 mg/dL, dan trigliserida 126 mg/dL. • EKG (saat masuk rumah sakit) didapatkan irama sinus 105 kali per menit, axis normal. ST elevasi pada I, II, AVL, V2, V3, V4, V5, V6. QS pada V1, V2, V3, V4, V5, V6. • Ass/: • PJK/IMA anterior luas + inferior/ K I, Dislipidemia, Hipertensi terkontrol. • Tx/: • Tirah baring, rawat ICCU, • IVFD NS 8 tetes per menit, • O2 4 – 5 liter per menit, • Diet jantung I, • ISDN 5 mg sublingual dilanjutkan dengan ISDN drip 20 ug/kgBB/jam, • Asetosal 1 x 160 mg, • Clopidogrel 300 mg dilanjutkan 1 x 75 mg, • Bisoprolol 1 x 2,5 mg, • Fondaparinux 1 x 0,5 cc SC, • Diazepam 3 x 5 mg, • Laxadine 3 x CI, • Simvastatin 1 x 20 mg. • Px/ • Coronary angiografi. • Mx/ • Vital sign, keluhan sesak nafas dan nyeri dada. Lokasi Sadapan Perubahan EKG Anterior V1-V4 ST- elevasi, Gelombang Q Anteroseptal V1-V3 ST-elevasi, Gelombang Q Anterior ekstensif V1-V6 ST-elevasi, Gelombang Q Posterior V1-V2 ST-depresi, Gelombang R tinggi Lateral I, aVL, V5-V6 ST-elevasi, Gelombang Q Inferior II, III, aVF ST-elevasi, Gelombang Q Ventrikel kanan V3R, V4R ST-elevasi, Gelombang Q
  • 128.
    128|TOV|MEDICUSLESCIUS • Pemberian oksigendimaksudkan untuk meningkatkan supply oksigen kejantung sehingga dapat membantu dalam memenuhi kebutuhanjantung akanoksigen dalam keadaan infark. Pada kasus tanpa komplikasi oksigen ini cukup diberikan pada hari pertama saja.1,4,6,14 • Asetosal (aspirin) merupakan terapiyang sangat penting dalam penanganan STEMI. Asetosal akanmenghambat pembentukan trombus yang berhubungan dengan IMA dan menghambat agregasi platelet. Asetosal ini bekerjadengan penghambatan pada cyclooxygenaseplatelet yangakandiikuti dengan pengurangan trombokan A2. Pada saat awaldiberikan dengan mengunyah asetosaldimaksudkan agar terjadi penyerapan bukal yanglebih cepat,kemudian dilanjutkan dengan pemberian secara oral. 1,4,6,14 • ISDN diberikan dengan tujuan untuk mengurangi nyeridada, selain itu ISDN juga dapat menurunkan kebutuhan oksigen miokard dengan menurunkan preload danmeningkatkan suplai oksigen miokard dengan caradilatasi pembuluh koroner yang terkenainfarkdan kolateralnya. Pada kasus ini tidak ditemukan kontra indikasi pemberian nitrat (hipotensi, bradikardi, infark ventrikelkanan,penggunaan sildenafil dalam 24jam) sehingga pemberian ISDN dapat dilanjutkan.1,4,6,14 • Propanolol merupakan penyekat beta. Manfaat dari penyekat beta padapasien AMI adalah dapat mengurangi kebutuhan oksigen miokard, mengurangi nyeri, mengurangi luasnyainfark dan menurunkan risiko kejadian aritmia ventrikelyang luas. Pada kasusini tidak ditemukan adanya kontraindikasi dari pemberian penyekat beta(bradikardi, tekanan sistolik <100 mmHg, bendungan paru, tanda-tandahipoperfusi perifer, blok AV, PPOK atauasma, danpenyakit vaskuler perifer yangberat) sehingga pemberian atenolol dapat dilanjutkan.1,4,6,14 • Bedresttotal dimaksudkan agarpenderita tidak berakitivitas terutama dalam beberapa jam setelah infark karena aktivitas dapat meningkatkan permintaan (demand) oksigen di jantung yang dapat memperberat ataumemperluas infark. Oleh karena itu penderita dengan AMI harus paling tidak bed rest total selama 12jam pertama. Mobilisasi dini sudah dapat dilakukan dalam 24 jampada infark tanpa komplikasi.1,4,6,14 • Diet cair diberikan karena terdapat risiko muntah dan aspirasi setelah infark.Selain itu pemberian diet cair (diet jantung I) ini juga akanmengurangi kerja saluran pencernaan, dan mengurangi risiko konstipasi sehingga dapat mengurangi permintaan oksigen jantung. Diet yangdiberikan mencakup lemak < 30%dari kalori total dengan kandungan kolesterol ≤ 300mg/hari, kadar karbohidrat dianjurkan 55 % dari kalori total, banyakserat,kalium, magnesium,dan rendah natrium.1,4,6,14 • Laxadinediberikan sebagai pelunak tinja. Halini dimaksudkan untuk mempermudah penderita dalam buang air besar dan mencegahkonstipasi. Karenamengedan yangberlebihan dapat menyebabkan gangguan hemodinamik dan elektrokardiografik yangberbahaya.1,4,6,14 • Diazepamdiberikan dengan tujuan untuk mengurangi aktivitasdan kecemasanpenderita, sehingga penderita dapat beristirahat denganbaik, dengan demikian kebutuhan akanoksigen juga akandapat menurun.1,4,6,14 • Asetosal dan Clopidogrel juga merupakan antitrombotik tetapi dengan cara kerja yang berbeda. Clopidogel bekerjadengan menghambat ADP (adenosine diphospate) yang berikatandengan reseptor platelet sehingga akhirnya akanmenghambat agregasiplatelet. Tujuan primer dari penggunaan antitrombotik ini adalah untuk memantapkan dan mempertahankan patensi arterikoroner yang terkait infark. Tujuan sekunderadalah untuk menurunkan tendensi pasien untuk menjadi trombosis. 1,4,6,14 • Fondaparinux merupakan low molecular weight heparin (LMWH) yang merupakan antitrombin atau antikoagulan. Pemberian fondaparinux ini dimaksudkan untuk untuk mencegah reoklusi. Heparin mempunyai peranan dalam mencegah aktivasi koagulasidengan membentuk kompleks dengan antitrombin III yang menghambat aktivasifaktor IIa, Xa, dan IXa. 1,4,6,14 • Simvastatin merupakan agen penurun kadar kolesteroldalam darahyang bekerjasebagai penghambat HMG-CoA reduktase sehingga menurunkan sistesiskolesteroldalam liver. Pemberian simvastatin pada kasusini karena dari pemeriksaan laboratorium didapatkan hiperkolesterolemia yang merupakan salah satufaktor risiko terjadinya IMA.1,4,6,14
  • 129.
    129|TOV|MEDICUSLESCIUS UAP • Perempuan, 51tahun, Hindu, Bali dengankeluhan nyeri dada kiri sejak 1 jam SMRS. Nyeri dada dirasakan saat os sedang duduk menonton televisi (jam 6 sore), awalnya pada dada bagian tengah kemudian menjalar sampai ke leher kiri. Nyeri dada dirasakan seperti tertekan benda berat dan terus memberat. Nyeri dada ini dirasakan berlangsung selama ± 10 menit dan kemudian terasa lebih ringan setelah penderita istirahat di tempat tidur. Karena merasa baikan os kemudian berjalan ke halaman hendak menyapu, saat mulai menyapu nyeri dada yang sama muncul lagi dan memberat saat os berjalan. Nyeri terasa berkurang setelah penderita istirahat namun tidak hilang. Nyeri dada yang kedua berlangsung selama 15 menit terasa lebih berat dan disertai oleh dada berdebar dan keluar keringat dingin. Karena keluarga merasa khawatir os kemudian dibawa ke rumah sakit Sanglah. Nyeri dada menghilang setelah os diberikan obat serbuk yang ditaruh di bawah lidah oleh dokter. Os tidak mengeluhkan adanya sesak napas, mual dan muntah. Saat pemeriksaan nyeri dada terasa namun lebih ringan daripada waktu pertama kali, dan hilang timbul. Nyeri timbul bila penderita banyak bicara. • Keluhan nyeri dada ini baru pertama kali dirasakan oleh penderita. Saat ini os sedang menderita penyakit tekanan darah tinggi yang diketahui sejak 6 bulan lalu, kontrol tidak teratur, riwayat pemakaian obat dengan captopril. • Os memiliki riwayat stroke ringan 6 bulan yang lalu, mendapat pengobatan berupa Brainact dan asetosal, minum obat tidak teratur. Os menyangkal menderita penyakit kencing manis, asma dan penyakit jantung sebelumnya. • Riwayat keluarga, ibu kandung os menderita hipertensi. Os menyangkal memiliki kebiasaan merokok dan minum minuman keras. Os mengaku sebelum terkena stroke ringan tidak mempunyai kebiasaan berolahraga, namun sejak sakit seminggu sekali pergi olahraga ke Renon bersama keluarga. Os juga suka makanan manis dan berlemak seperti daging babi dan kerupuk kulit ayam. Os menderita obesitas sejak melahirkan anak kedua (saat ini BB 90 kg dan TB 160 cm). Os saat ini sudah menopause sejak 8 bulan tidak menstruasi. Status present Kesadaran : E4V5M6 Tensi : 160/100 mmHg Nadi : 80 x/menit Respirasi : 20 x/menit Temp. Aksila : 36,7 °C TB : 160 cm BB : 90 kg Mata : an-/-, ikt -/- Leher : JVP PR 0 cm H2O Thoraks :Cor : I : tampak ictus kordis Pa : teraba ictus kordis di MCL kiri ICS V Pe : batas ka : 1 cm lat PSL kanan batas ki : 3 cm MCL kiri atas : ICS II pinggang jantung ada Au : S1S2 tunggal reguler murmur (-) Po : I : gerak pernafasan simetris D/S Pa : VF N/N Pe : sonor/sonor Au : ves +/+, rh -/-, wh -/- Abdomen, extr: dbn • Ass/: • OBSERVASI HEMATEMIS-MELENA E.C ULKUS GASTRIK. • ANEMIA SEDANG NORMO-NORMO E.C ACUTE BLEEDING • TROMBOSITOPENIA E.C SUSPEK DRUG- INDUCED. • Tx/: • MRS • IVFD, NACL 0,9 % 30 TETES/MNT, • NGT GC ~ PROTOKOL, • OMEPRAZOLE 2 X 40 G, • TRANEXAMIDE ACID TAB 3X 500 MG, • ANTACIDA SYR 3 X CI, • SUKRALFAT SYR 3 X CI, • TRANSFUSI PRC 2 KOLV/HARI. ~ Hb > 8 gr/dl • Px/ EGD • Mx/ VS, KEL, CM-CK DARAH LENGKAP KIMIA DARAH WBC 14.9 GLU 78 RBC 2.36 BUN 36 HGB 7.65 CREA 0.8 HCT 21.1 AST 85 MCV 89.6 ALT 53 MCH 32.5 TBil 1.3 MCHC 36.2 DBil 0.31 PLT 109 ALB 2.6 WKTU TROMBIN 12.5’’ Na 143.8 PTT 25.2’’ K 3.89 INR 1.10 Clorida 110 Indirect Bil 1 Ureum 77 Globulin 3.6 RT: KOTORAN WARNA HITAM, BAU BUSUK, AGAK LEMBEK TINDAKAN UMUM: DILAKUKAN RESUSITASI, OBSERVASI VITAL SIGN, MUAL MUNTAH DAN HB, DIBERIKAN CAIRAN INFUS (IVFD), NACL 0,9 % 30 TETES, DILAKUKAN PEMERIKSAAN HB: 7,65 HCT: 21,1 PLT: 109, TINDAKAN KUSUS : DILAKUKAN KUMBAH LAMBUNG DENGAN NGT MENGGUNAKAN AIR ES 150 CC SAMPAI LAMBUNG BERSIH, DIBERIKAN ASAM TRANEXAMAT TAB 3 X 500 MG SEBAGAI HEMOSTATIK, DIBERIKAN TRANSFUSI PRC 2 KOLF/HARI, DIBERIKAN ANTASIDA 3X CI , OMEPRAZOLE 2 X 40G, SUKRALFAT 3 X CI SEBAGAI OBAT-OBATAN PELINDUNG MUKOSA LAMBUNG ATAU PENETRAL ASAM,
  • 130.
    130|TOV|MEDICUSLESCIUS HEPATITIS • Penderita, Lk,40, datang dengan keluhan kuning pada mata sejak 13 hari SMRS, penderita menceritakan kalau matanya menguning dan kulitnya juga menguning. Penderita menceritakan kalau dia mengalami kuning terlebih dahulu pada mata kemudian diikuti oleh kulit yang menguning pada kaki dan tangan. Namun pasien masih dapat beraktivitas. Pasien sebelum MRS sempat mengeluhkan kalau dia panas 3 hari sebelum mengeluhkan matanya menjadi kuning, panas turun setelah mendapat obat dari mantra berupa suntikan yang pasien tidak tahu apa obat yang diberikan. Pasien mengalami mual muntah yang disertai dengan nyeri diuluhati, setelah demam kira-kira 4 hari SMRS, nyeri di uluhati os. dirasakan hilang timbul dan tidak terjadi saat pasien makan, volume muntah pasien 100 cc setiap muntah, pasien mengaku kalau ia muntah jarang sekitar 2-3 kali sehari SMRS. • Pasien mengeluhkan nyeri perut kanan atas sejak 2 minggu nyeri dirasanya pertama-tama dari perut kanan atas namun saat pemeriksaan nyeri udah tidak dirasakan lagi. Pasien mengeluh kalau saat BAB, kotorannya berwarna pucat 4 hari sebelum masuk rumah sakit. Kencing pasien dikeluhkan berwarna kecoklatkan seperti teh sejak 5 hari SMRS. Pasien mengeluh gatal-gatal pada dada sejak 4 hari SMRS, namun saat pemeriksaan pasien sudah tidak mengeluhkan gatal-gatal lagi. Nafsu makan pasien menurun SMRS sekitar 7 hari, namun saat pemeriksaan nafsu makan pasien sudah mulai membaik. • Riwayat maag (+). Ayah pasien pernah mengalami riwayat sakit kuning. Penderita bekerja sebagai petani. Penderita mengaku memiliki kebiasaan merokok 2 bungkus rokok sehari dan memiliki kebiasaan meminum kopi 3-4 kali sehari.. Penderita dulu memiliki riwayat minum alkohol ( tuak ) saat muda.pasien mengaku suka mengkonsumsi alkohol pada saat SMU dan mulai berhenti setelah menikah namun masih suka ikut minum dalam upacara-upacara adat. Status present Kesan sakit : sedang Tensi : 120/80 mm Hg Kesadaran : komposmentis Nadi : 88x/menit TB : 165 cm Respirasi : 20x/menit BB : 60 kg Suhu badan : 37 0C Lainnya DBN Mata : anemia -/-, ikterus +/+, EXTR: Ikterus: +/+ +/+ • Ass/: • Hepatitis akut karena alkohol • Tx/: • Tirah baring • Diit tinggi kalori tinggi protein • Ranitidin 2 x 1 • Methioson 3 x 1 • Curcuma 3 x 1 • Px/ • Darah lengkap • UL • FL • Tes Faal Hati. • Tes fungsi biokimia hati ( alkali fosfatase dan γ GT ) • Mx/ VS, KEL, CM-CK Jenis Pemeriksaan 29 12 2006 Hasil (Nilai Normal) WBC 8,8 (3,5 - 10) RBC 5,43 (3,8 - 5,8) HGB 14,6 (11 - 16,5) HCT 42,9 PLT 228 (150 - 390) PCT (100 - 500) MCV (80 - 97) MCH (26,5 - 33,5) MCHC (31,5 - 35) RDW (10 - 15) MPV (6,5 - 11) PDW (10 - 18) LYM 22,4 (1,2 - 3,2) MONO (0,3 - 0,8) Granulosit (1,2 - 6,8) Gula Darah Acak 69,8 (<140) Urea 36,9 (10 - 50) Crea 1,3 (0,6 - 1,1) SGOT 532 (≤37) SGPT 593 (≤42) Gula darah acak : 69,8 mg/dl Fungsi ginjal : Urea : 36,4 mg/dl ( 10-50 ) Creatinine : 1,3 ( 0,6-1,1 ) Fungsi Hati : SGOT : 532 U/L ( ≤ 37 ) SGPT : 593 U/L ( ≤ 42 ) 1.Pemeriksaan USG ( 30 desember 2006 ) USG :Hepar : - struktur echo kasar a.Permukaan licin, tepi rata, sudut lancip, b.Vena Hepatika dan Vena porta tidah melabar. GB: Batu (-) Kesan : ∼Gambaran Hepatitis. 1.Hasil Laboratorium ( 4 Januari 2007 ) Fungsi hati Bilirubin Total : 25 ( < 1,00 ) Bilirubin direct : 10,5 ( < 0,2 ) SGOT : 116,0 U/L SGPT : 277,6 U/L Prot total : 77,6 Albumin : 40,0 Globulin : 37,6 1.Tes Serologi ( 8 Januari 2007 ) Anti HCV ( - ) Anti HAV IgM ( - ) HbsAg ( - )
  • 131.
    131|TOV|MEDICUSLESCIUS CKD • Penderita laki-laki,22 tahun, Islam, Bali datang dengan keluhan sesak nafas sejak 2 hari sebelum masuk rumah sakit, terjadi mendadak saat penderita bangun tidur pagi hari, dada dirasakan berat dan sulit untuk bernafas. Awalnya sesak dirasakan ringan sehingga pasien dapat beraktivitas seperti biasa. Lama kelamaan dirasakan semakin memberat terutama pada waktu berjalan dan tidur sedangkan membaik saat posisi duduk. • Sejak kurang lebih 3 bulan sebelum masuk rumah sakit penderita mengeluh kedua kakinya membengkak, terasa berat dan tidak terasa nyeri saat berjalan sehingga penderita masih bisa untuk melakukan aktivitas. Keluhan ini dirasakan terus menerus, tidak berkurang dan bertambah besar saat beristirahat atau beraktivitas serta tidak berubah dengan dilakukan perubahan posisi. Awalnya dirasakan pertama kali pada wajah, terutama terlihat pada kedua kelopak mata, kemudian kedua tangan dan kedua kaki. • Keluhan mual-mual dirasakan sejak seminggu sebelum masuk rumah sakit kadang-kadang disertai muntah dengan frekuensi kurang lebih 1 kali dalam sehari dengan isi muntahan makanan maupun minuman yang dikonsumsi sebelumnya. • Penderita sering mengeluh pusing, pandangan berkunang-kunang, nafsu makan yang menurun, cepat lelah dan lemas badan walaupun aktivitas yang dilakukan tidak terlalu berat. Keluhan ini sudah lama dirasakan oleh penderita. • Buang air besar normal dengan konsistensi keras, warna kuning kecoklatan, dan frekuensi satu kali sehari. Sedangkan untuk buang air kecil terganggu sejak kurang lebih 3 bulan yang lalu. Air kencing sedikit-sedikit dengan volume kurang lebih seperempat gelas dengan frekuensi kurang lebih dua kali sehari, tidak ada darah, tidak nyeri, warna kencing dikatakan keruh. • Penderita mengetahui mengalami penyakit gagal ginjal sejak satu bulan sebelum masuk rumah sakit dan telah menjalani hemodialisis satu kali seminggu, namun seminggu sebelum masuk rumah sakit penderita tidak melakukannya. Penderita sempat dirawat dirumah sakit dan dikatakan mengalami gagal ginjal. Riwayat merokok maupun minum minuman beralkohol disangkal oleh penderita. Tidak ada anggota keluarga yang memiliki keluhan yang sama seperti penderita. Status present dengan kesan sakit berat, kesadaran komposmentis, tekanan darah 140/90 mmHg, nadi 84x/menit, respirasi 26x/menit, suhu badan 36,4 0C, tinggi badan 170 cm, berat badan 50 kg dengan keadaan gizi IMT=17,30. Status general pasien, mata tampak anemis, telinga hidung tenggorokan tampak kesan tenang, thorak jantung dalam batas normal sedangkan pada paru dari Inpeksi didapatkan simetris baik statis maupun dinamis, dari palpasi VF menurun pada kedua sisi, dari perkusi didapatkan redup pada kedua sisi dan dari auskultasi didapatkan suara napas vesikuler, terdapat ronki pada kedua sisi pada basal paru dan tidak ada wheezing. Pada pemeriksaan abdomen dari inspeksi distensi tidak ada, warna kulit normal, dari palpasi hepar dan lien tidak teraba, nyeri tekan epigastrium tidak ada, dari pemeriksaan perkusi didapatkan suara timpani dan pada auskultasi didapatkan bising usus normal. Pada pemeriksaan ekstremitas didapatkan akral hangat dan tampak odema pada kedua kaki. • Ass/: • Penyakit Ginjal Kronik Stadium V ec. Susp. GNC, • Edem paru, • Anemia berat N-N e.c on CKD, • Hiperkalemia, • Hipertensi stadium I. • Tx/: • MRS • O2 1-2 liter/menit, • IVFD NaCl 0,9% 12 tetes/menit, • Diet 35 Kcal 0,8 g protein/kgBB/hari, • Asam folat 2 x II, • CaCO3 3 x I, • Captopril 2 x 25 mg, • Furosemide 2 ampul, • Kalsium glukonas 10% 3x1 gram IV, • Dekstrose 50% ditambah insulin 20 IU, • HD cito, • Transfusi PRC sampai Hb ≥ 10gr/dL. • Px/ • cek darah lengkap ulang, cek elektrolit ulang, dan operasi AV Shunt. • Mx/ Vs, keluhan terutama sesak napas, CM-CK, BUN dan serum kreatinin 9/8/07 10/8/07 12/8/07 WBC (K/uL) 7,0 6,4 4.6 RBC (M/uL) 1,46 2,28 2,40 HGB (g/dL) 4,4 6,6 6,9 HCT (%) 13,1 19,0 20,7 MCV (fl) 89,7 83,7 86,3 MCH (pg) 30,1 29,0 28,7 PLT 96 83 92 9/8/07 10/8/07 12/8/07 BUN 323 101 86,0 SC 16,4 15,6 13,59 Na 133 134.3 136,2 K 6,66 6,4 5,4 Analisis Gas Darah pada tanggal 10 Agustus 2007 didapatkan PH 7,50, pCO2 34, pO2 63, Natrium 128, Kalium 7,0, HCO3 26,5,. Dari pemeriksaan urinalisis lengkap pada tanggal 13 Agustus 2007 didapatkan urin warna kuning, keruh, pH 8.0, nitrit tidak ada, keton tidak ada, reduksi tidak ada, protein 500 (+4), bilirubin tidak ada, urobilin tidak ada, glukosa tidak ada, urobilinogen tidak ada, eritrosit 150, leukosit tidak ada. Dari hasil pemeriksaan sedimen urine didapatkan silinder granula cast (+1), eritrosit 8-10, kristal tidak ada, lekosit 6-8, tubulus cell (+1) dan bakteri (+1). Dari hasil pemeriksaan thoraks foto AP tanggal 9 Agustus 2007 didapatkan CTR 53,85% dan tampak infiltrat dipus di kedua lapangan paru. Kesan foto thorak yaitu jantung tidak membesar dan edema paru. GFR (ml/mnt/1,73m2) = (140-umur) x Berat badan 72 x kreatinin plasma(mg/dl) Klasifikasi PGK Stadium Penjelasan GFR (ml/mnt/1,73m2) 1 2 3 4 5 Kerusakan ginjal dengan GFR normal atau ↑ Kerusakan ginjal dengan GFR ↓ ringan Kerusakan ginjal dengan GFR ↓ sedang Kerusakan ginjal dengan GFR ↓ berat Gagal ginjal ≥ 90 60-89 30-59 15-29 <15 atau dialisis
  • 132.
    132|TOV|MEDICUSLESCIUS • IVFD NaCl0,9 % 12 tetes/menit ( 1 liter/hari) untuk keseimbangan cairan masuk. Jumlah cairan yang masuk dan keluar harus dimonitoring karena adanya fungsi ginjal yang menurun serta untuk mencegah terjadinya overload cairan yang masuk. Pasien tidak disarankan untuk minum banyak karena dapat menyebabkan overloadcairan dalam tubuh sehingga dapat memperparah terjadinya peningkatan tekanan darah, odemaekstrimitasdanodemaparu. • Keadaan oedem paru terjadi akibat ginjal tidak dapat mengekskresi urin, garam dalam jumlah yangcukup. Pada penderita ini dianjurkan tidur denganposisisetengahdudukagarcairandalamparudapatdidistribusikevaskularsistemik.Kemudianuntukmencukupikebutuhanoksigen, penderitainidiberikanoksigen1-2liter/menit.Terapilainadalahdenganmengeluarkancairanmelaluihemodialisissegera. • Diet rendah protein telah terbukti dapat memperlambat progresivitas gagal ginjal. Gejala-gejala uremia akan hilang bila protein dibatasi, asalkan kebutuhan energi dapat dicukupi dengan baik. Diet rendah protein, dianggap akan mengurangi akumulasi hasil akhir metabolisme protein, yakni ureum dan toksin uremik yang lain. Selain itu telah dibuktikan pula bahwa diet tinggi protein akan mempercepat timbulnya glomerulosklerosis sebagai akibat meningkatnya beban kerja glomerulus dan fibrosis interstitial. Kebutuhan kalori harus dipenuhi guna mencegah terjadinya pembakaran protein tubuh dan merangsang pengeluaran insulin. Kalori yang diberikan sekitar 35 Kal/KgBB, protein 0,5- 0,8 gram/KgBB/hari dengan nilai biologis tinggi (40% asam amino essensial).1,9,10,11 Kebutuhan diet ini sesuai dengan yang telah diberikan padapenderitayaituDiet35Kcal0,8gprotein/kgBB/harisertarendahgaramkarenaadanyahipertensidanoedema. • Untuk mencegah hiperparatiroidisme sekunder,kadar fosfor serumharus dikendalikandengan diet rendahfosfor (terutama dagingdan susu). Apabila GFR < 30 ml/menit, diperlukan pemberian pengikat fosfor seperti kalsium karbonat atau kalsium asetat yang diberikan pada saat makan. Pada penderita ini juga diberikan CaCO3 3xI tablet untuk mencegah terjadinya hiperfosfatemia, sehingga hipokalsemia dan hiperparatiroidismedapatdicegah. • Berdasarkan konsensus yang ditetapkan oleh JNC VII, pada pasien-pasien dengan CKD pemberian obat-obatan antihipertensi dari golongan ACE inhibitor dan Angiotensin Receptor Blocker (ARB) merupakan pilihan utama yang memiliki efek untuk memperlambat perjalanan penyakit ginjal kronis.19 Pemberian obat-obat antihipertensi Captopril 2 x 25 mg, dilakukan untuk menurunkan tekanan darah dan pemberiannya sendiri tidak dilakukan secara kombinasi mengingat penderita tergolong dalam hipertensi stadium I. Selain itu diet rendah garam juga diterapkan pada penderita untuk menjaga tekanan darah agar tetapterkontroldantidakmeningkat. • Pencegahan terjadinya hiperkalemi perlu menjadi perhatian. Hiperkalemi dapat menimbulkan kegawatan jantung dan kematian mendadak akibataritmiakordisyangfatal. • Lima langkah kunci dalam penatalaksanaan hiperkalemia adalah 27: (1) proteksi jantung dengan mengantagonis efek dari hiperkalemia, (2) mendorong kalium masuk ke dalam sel, (3) membuang kalium dari dalam tubuh, (4) monitor kadar kalium dalam serum untuk mengetahui adanyareboundhiperkalemia,(5)mencegahterjadihiperkalemiayangberulang. • Bila keadaan hiperkalemi sangat membahayakan (≥ 6,7 mmol/L), dimana dapat terjadi aritmia, cardiaopulmonary arrest, bahkan sudden death, diberikan kalsium parenteral untuk merendahkan kepekaan membran sel otot jantung terhadap keadaan hiperkalemi yaitu dengan pemberian kalsium glukonas 10% sebanyak10mlselama2-5menitintravenadan dapatdiulangi27. Pengaruh obatinihanyasekitar20-60menit.Setelahpemberian kalsiumkemudiandilakukan hemodialisisuntukmengeluarkankaliumdaridarahpenderita. • Untukmendorongkaliumekstraselmasukkeintraseldenganpemberianobat-obatandibawahini:6,7 • Natriumbikarbonat50-150mEq intravenadalamwaktu5menit(onset15-30menit). • Pemberian infus glukosa dan insulin (50 ml glukosa 50% dengan 10-20 U insulin kerja cepat) selama 15 menit dapat menurunkan kalium 1-2 mEq/L dalam waktu30-60 menit.Insulin bekerjadengan menstimulasipompaNa-K-ATPase padaototskeletdan jantung,hatidanlemak,memasukkan kaliumkedalamsel. Glukosaditambahkangunamencegahhipoglikemi. • Salbutamol5mg nebulizer,diberikandalambeberapadosis.(onset15-30menit) • Untuk meningkatkan pengeluaran kalium melalui usus dengan memberikan resin penukar secara oral maupun supositoria misalnya dengan pemberian Kayexalate 25-50 gram atau kalsium resonium 15-30 gram. Selain itu juga dapat diberikan diuretik seperti furesemide dengan dosis 1 mg/kgBB intravena secaraperlahan.27 • Pada penderita ini,untukmengatasikeadaanhiperkalemidiberikandekstrose 50% ditambah insulin 20 IU menstimulasipompa Na-K-ATPasepada ototskelet dan jantung, hati dan lemak, memasukkan kalium ke dalam sel, dan oleh karena didapatkan kadar kalium yang tinggi (6,6 mmol/L) sehingga dapat membahayakanjantung,makadiberikankalsiumglukonas10%untukmemproteksijantung.
  • 133.
    133|TOV|MEDICUSLESCIUS Syok Anafilaktik • Seorangperempuan, umur 38 tahun, Hindu, suku Bali datang ke RS Sanglah Denpasar dengan keluhan kemerahan tersebar pada seluruh tubuh setelah tersengat lebah 5 jam SMRS. Sisa sengat lebah tampak di kulit dan langsung dicabut. Kemerahan di kulit muncul setelah 10 menit setelah sengatan dengan batas tidak jelas, diameter terbesar 2,5cm,dan permukaan kulit meninggi. Awalnya kemerahan timbul di tempat sengatan lebah, setelah itu menyebar ke seluruh tubuh. Kemerahan pada kulit disertai rasa gatal. Kemerahan tidak membaik walaupun telah diolesi minyak gosok. Lebah yang menyengat dikatakan berwarna coklat tua agak kehitaman, panjang badan 3 cm, bentuk bulat panjang dengan ekor lancip. • Penderita juga mengeluh wajah terasa tebal dan bibir bengkak. Seluruh wajah terasa tebal sejak 4 jam SMRS. Tebal dikatakan seperti ada sesuatu yang menutupi wajah sehingga tidak terasa bila disentuh. Awalnya tebal hanya terasa di daerah sekitar mulut dan mata namun kemudian tebal terasa menyebar hingga ke seluruh wajah. Rasa tebal tidak membaik walaupun telah dikompres dengan air hangat. Bengkak pada bibir terjadi bersamaan dengan rasa tebal pada wajah. Bengkak menyebabkan bibir menonjol 1cm dari semula, tidak nyeri dan berwarna agak kemerahan. • Pasien mengatakan beberapa menit setelah digigit lebah, penderita merasakan badannya lemas dan sempat pingsan 10 menit, kemudian sadar sendiri. Pasien dikatakan sempat pingsan sebanyak 3 kali sebelum akhirnya dibawa ke dokter umum. Pingsan pertama kalinya tejadi ketika pasien hendak ke kamar mandi, dimana saat berdiri pasien merasa kakinya lemas dan akhirnya terjatuh. Begitu pula yang kedua dan ketiga kalinya, pasien merasa kaki dan badannya sangat lemas sampai tidak bisa bergerak disertai kepala pusing. Saat di dokter umum pasien mendapat suntikan adrenalin kemudian dirujuk ke RS swasta dan diberikan suntikan adrenalin lagi. Dosis adrenalin tidak diketahui pasien. • Pasien juga mengatakan bahwa ia merasa mual dan sakit kepala. Mual datang hilang timbul dan dikatakan sebagai perasaan tidak enak pada daerah uluhati, muntah dikatakan tidak ada. Sakit kepala digambarkan pasien sebagai rasa sakit berdenyut pada kepala. Mual dan sakit kepala masih dirasakan pasien saat MRS namun sudah terasa lebih baik. • Pasien mengatakan sering gatal-gatal tanpa sebab yang jelas. Sebelumnya penderita pernah dua kali tersengat lebah yang memiliki bentuk dan ukuran yang hampir sama dan mengalami gejala yang serupa tetapi sembuh setelah berobat ke puskesmas dan ke dokter umum. Riwayat penyakit asma, dan alergi terhadap makanan tertentu disangkal oleh penderita. Kesadaran E4V5M6, tekanan darah 80/60 mmHg, denyut nadi teratur, isi cukup 100 kali/menit, pernafasan spontan 20kali/menit, temperatur axila 36,7 0C, tinggi badan 162 cm, berat badan 55 kg, BBI 57,5 kg dan IMT 20,95 kg/m2. Pemeriksaan mata dan THT: DBN. Dari pemeriksaan mulut didapatkan bibir bengkak (+). Pada pemeriksaan thoraks, abdomen dan ekstremitas: DBN. Dari pemeriksaan kulit didapatkan eritema dengan permukaan kulit meninggi, batas tidak tegas, tersebar pada seluruh tubuh. • Laboratorium: leukosit 13,4 k/ul, neutrofil 91,7 %N, lymfosit 4,59 %L, monosit 3,08 %M, eosinofil 0,026 %E, basofil 0,556 %B, eritrosit 4,64 M/ul, hemoglobin 14,6 g/dl, hematokrit 41%, trombosit 292 k/ul, MCV 8,5 fl, MCH 31,6 pg, MCHC 35,7 g/dl, BUN 14 mg/dl, kreatinin 0,8 mg/dl, Na 142,5 mmol/L, K 3,94 mmol/L, ureum 30.Gambaran EKG: sinus takikardi. • Ass/: • Syok anafilaktik e.c sengatan lebah. • Tx/: • Loading cairan sebanyak 1 fles, • Adrenalin 0,3 cc (i.m) 3 kali dan rawat inap • Saat di ruangan, terapi yang diberikan adalah • IVFD NaCl 0,9% 20 tetes/menit, • Dexametasone 20 mg 3x10 mg, • Dipenhidramin 20 mg 3x10 mg setelah hipotensi teratasi. • Px/ IgE spesifik • Mx/ Vs, KEL
  • 134.
    134|TOV|MEDICUSLESCIUS Grave’s Disease • Penderitawanita, berumur 29 tahun, beragama Hindu, menikah dan bekerja sebagai pegawai garmen mengeluh berdebar-debar sejak dua minggu sebelum kontrol ke poliklinik, awalnya dirasakan saat beraktivitas, lama kelamaan berdebar terus menerus saat beraktivitas maupun saat istirahat. Keluhan tidak berkurang bila penderita beristirahat ataupun merubah posisi. Berdebar tidak sampai mengganggu aktivitas ataupun pekerjaan penderita. Penderita juga merasakan bibir, kedua tangan serta kedua kakinya bergerak-gerak tanpa disadari, menyerupai gemetar namun dirasakan sangat ringan, terjadi terus menerus, berkurang saat penderita beristirahat namun sangat jelas terasa dan terlihat saat penderita sedang bekerja. Gerah dan berkeringat sejak dua minggu yang lalu. Berkeringat di seluruh tubuh dan terjadi sepanjang hari walaupun udara sekitarnya tidak panas sehingga penderita menjadi lebih sering berganti pakaian, menjadi gelisah dan tidurnya terganggu. Gerah dan berkeringat dapat berkurang apabila penderita menggunakan kipas angin saat bekerja dan beristirahat. Sesak nafas sejak dua minggu yang lalu, dirasakan hilang timbul, muncul setelah berjalan sejauh kurang lebih 100 meter dan mulai mereda setelah penderita beristirahat. Lima tahun yang lalu penderita mengeluh leher bagian depan sebelah kanan dan kiri membesar. Awalnya kecil seukuran telur ayam kampung kemudian perlahan membesar dan menetap sebesar telur bebek sejak satu tahun yang lalu. Pembesaran pada leher dikatakan tidak disertai nyeri dan rasa panas. Nafsu makan penderita juga meningkat sejak lima tahun yang lalu, satu hari dapat mengkonsumsi lima piring nasi dengan porsi besar. Namun berat badan mengalami penurunan kurang lebih dua kilogram setiap bulan. Penderita sejak dua tahun yang lalu menyadari matanya melotot, akan tetapi tidak terdapat gangguan dalam penglihatan dan menggerakkan bola mata serta membuka dan menutup mata. Penderita diketahui menderita hipertiroid sejak lebih kurang satu tahun yang lalu, dikatakan kontrol teratur setiap bulan di poliklinik Penyakit Dalam RSUP Sanglah dan diberikan obat PTU dan propanolol yang diminum tiga kali sehari. Namun sejak dua minggu yang lalu penderita putus minum obat karena tidak kontrol ke poliklinik. Ibu penderita juga mengalami pembesaran leher sejak lama yang terus membesar. Warga masyarakat di Desa asal penderita (Kubu, Karangasem) banyak yang mengalami pembesaran leher. • Kesadaran : CM Tekanan Darah : 140/70 mmHg Nadi : 120 kali / menit Respirasi : 20 kali / menit Suhu axila : 36,50 Celcius BB : 44 kg TB : 156 cm Mata : Eksoftalmus +/+ THT : Dalam batas normal Leher : Kel. Tiroid : Kanan: teraba nodul ukuran 5 cm x 4 cm, konsistensi kenyal, permukaan rata, terfiksir, ikut bergerak saat menelan, bruit (-) Kiri: teraba nodul ukuran 5 cm x 4 cm, konsistensi kenyal, permukaan rata, terfiksir, ikut bergerak saat menelan, bruit (-) Tremor +. Lainnya DBN • Ass/: -Grave’s disease -Hipertensi Grade I • Tx/: PTU 3 x 200mg Propanolol 3 x 10 mg Vit B complex 1 x 1 • Px/ • Pemeriksaan TSHs dan FT4 • Mx/ Vs, KEL INDEX WAYNE Subyektif Nilai Obyektif Ada Tidak Dypsneu on effort +1 Tiroid teraba +2 -2 Palpitasi +2 Bruit di atas tiroid +2 - Lelah +2 Exoftalmus +2 - Suka udara panas -5 Lid retraction +2 - Suka udara dingin +5 Lid lag +1 - Banyak berkeringat +3 Hiperkinesia +4 -2 Nervous +2 Tangan basah +1 -1 Nafsu makan naik +3 Tangan panas +2 -2 Nafsu makan turun -3 Nadi 80x/menit -3 - BB naik -3 Nadi 80-90x/menit - - BB turun +3 Nadi >90x/menit +3 - Atrial fibrilasi +4 - < 11 : EUTIROID 11-18 : EQUIVOCAL > 19 : HIPERTIROID Pemeriksaan 10/8/06 3/10/06 26/2/07 TSH (µIU/ml) < 0,05 < 0,05 FT4 (pMol/L) > 70 >70 > 70 Pemeriksaan 10/8/06 WBC (K/uL) 6,02 HGB (g/dl) 14,0 HCT (%) 39,2 % PLT 249 NEU 47,3 LYM 38,1
  • 135.
    135|TOV|MEDICUSLESCIUS 17. KASUS STASENEUROLOGY EMERGENCY STROKE HEMORRHAGIK Lk, 57, lemah separuh tubuh kiri sejak 6 jam SMRS sewaktu aktivitas, mendadak lemas. Rwyt mual (+), muntah (+) 3x, nyeri kepala (+), HT (+) tak terkontrol. E3V4M5, TD 180/110, N 78x, RR 20. Klinis Neurologis: Kesan lateralisasi (S) Reflek patologis (+) babinsky (S) Parese N VII (S) SN Dx/: Topik: Capsula Interna (D) Dx/: SH ICB/IVH Tx/: - MRS - RL 12 tpm - Head up 30 derajat - O2 2-3 lpm - Manitol 200cc lalu (6x100cc) - Citicholin 2 x 250 mg - Metamizole 3 x 1amp - Asam Tranexamat 4 x 1 amp - Ranitide 2 x 1 amp - Vit B1B6B12 1x1 - KIE Mx/ Kel, Vs
  • 136.
    136|TOV|MEDICUSLESCIUS STROKE NON HEMORRHAGIK Pr,50, lemah separuh tubuh kanan sejak 4 hr SMRS. Pasien datang ke rRS dalam kondisi sadar. Keluhan disertai suara pelo dan bibir mencong ke kanan. Keluhan ini baru pertama kali, mendadak. Rwyt HT (+). Rwyt mual muntah sakit kepala (-). St. Present: E4V5M6, TD 210/60, N 82X, RR 20X. St. General: dbn St. Neurologis: Paresis N. VII (D) SN Paresis N. XII (D) SN Hemiparesis flaksid (D) grade I. Tenaga 222/555 Tonus turun/normal 222/555 turun/normal Skor siriraj: (2,5x0)+(2x0)+(2x0)+(0,1x60)-(3x1)-12 = -8 Diagnosa topis: Capsula Interna Sinistra DD: SNH e.c trombus SNH e.c emboli SNH e.c periarteritis tuberculosa Dx kerja: SNH e.c trombus Tx/ umum: Breath-Brain-Blood-Bladder-Bowel Khusus:- MRS - Head up 30 derajat - IVFD RL 12 tetes/menit - Neurotam/piracetam 4 x 3 gr IV - Asetosal 1x100mg - Forneuro (Vit B1 B6 B12 as folat) 2x1 caps - Simvastatin 1x20mg Mx/ Kel, Vs
  • 137.
    137|TOV|MEDICUSLESCIUS VERTIGO CENTRAL Pr, 38,pusing berputar 3 jam SMRS, tidak menggangu aktivitas. Keluhan ini sudah pernah 4 x kel sama. Rwyt pingsan (+). Kel mual muntah, gangg teling, pand kabur, kunang2 disangkal. Saat ini dirawat interna dgn RHD/MS/FC II. E4V5M6, TD 100/80, N 120 ireg murmur (+). Klinis Neurologis: fungsi koordinasi lambat. Tes romberg (+). Dx/ Topik: Vertebrobasiler Dx/: Vertigo central e.c susp insufisiensi vertebrobasiler. Tx/: - MRS - O2 lpm - RL 20 tpm - Piracetam 4 x 3 gr - Betahistin 3 x 6 mg - Aspilet 1 x 80 mg - Vit B1 B6 B12 2 x1 tab - KIE Mx/ Kel, Vs