Senate Committee on Ways and Means
          Budget Briefing
      Department of Education
           Kathryn S. Matayoshi
        Superintendent of Education
              January 5, 2011
Our Mission
The Hawaii Department of Education, in partnership with the
family and the community, is committed to having all public
school graduates achieve the General Learner Outcomes and
content and performance standards in order to realize their
individual goals and aspirations.


All graduates will be fully prepared for post-secondary
education and/or careers and their roles as responsible
citizens.




                                                              2
3
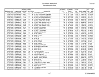
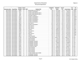
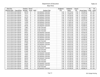
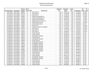
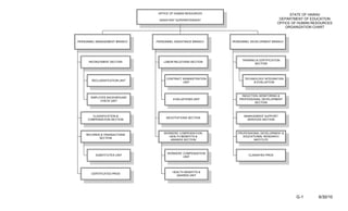
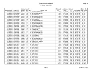
Organizational Overview

                        Board of Education
Curriculum, Instruction, Student 
Support; Fiscal; Facilities; Human           State Level
Resources; Information Technology


15 Complex
Areas by                      Complex Area                 Complex Area
Region



258 Schools         Schools             Schools              Schools



                                                                          4
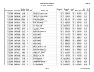
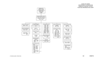
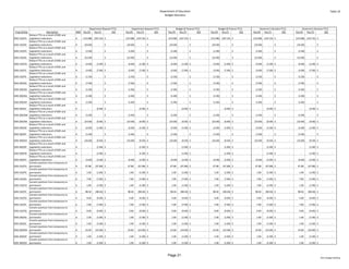
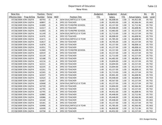
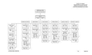
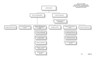
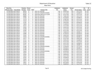
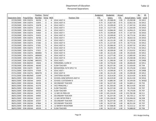
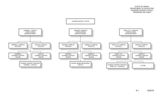
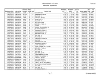
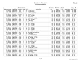
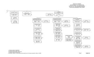
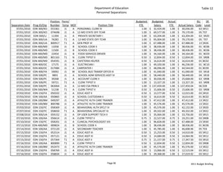
Percent of Students with Special Needs 2010

                                              Special Education, 5%
                                                                      English Second
                                                                   Language Learners, 3%
      Economically                                                    Section 504,
   Disadvantaged, 33%                                                      1%



                                                                              Multiple Special Needs,
                                                                                        13%




                                      No Special Needs, 46%




                                                                    Total may not be exactly 100% due to rounding




                Source:  Hawaii State Department of Education, System Evaluation & Reporting Section
                            Composite of selected enrollment rosters, unduplicated count



              54% of our students require additional resources!
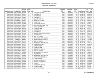
                                                                                                                    5
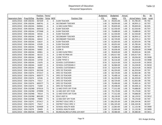
DOE Official Enrollment –
Includes Special Education and
       Pre-Kindergarten
   FY 2008-09              172,078
   FY 2009-10              172,327
   FY 2010-11              171,288
   FY 2011-12 projection   171,765




                                      6
HSA Results




              Steady growth!   7
HSA Results




        Sustained and continuous growth!   8
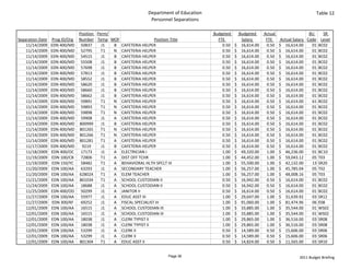
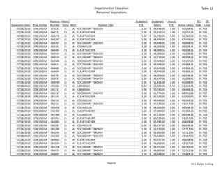
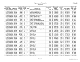
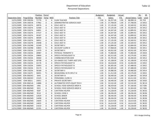
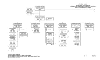
Department of Education
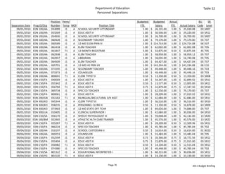
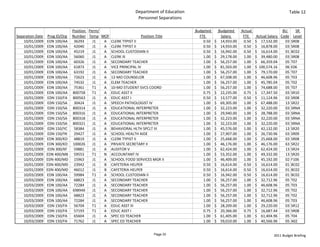
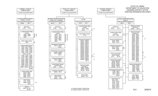
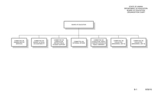
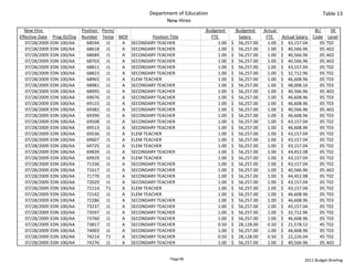
         Percent of Classes Taught by Highly Qualified Teachers (HQT)
                               By Complex Area
                             SY 2007-08 to 2009-10

100.0%
                                                                    Statewide: SY 2007-08 70.3%
                                                                              SY 2008-09 72.9%
90.0%                                                                         SY 2009-10 80.2%


80.0%


70.0%


60.0%


50.0%


40.0%


30.0%


20.0%


10.0%


 0.0%




                          SY 2007-08   SY 2008-09   SY 2009-10
                                                                                            9
CHAPTER 302A, HRS
                     Act 238 (SLH 2000) and
                          Act 51 (SLH 2004)
•Act 238 set the foundation for educational
 accountability
•Act 51 allows school decision making to target
 resources based on student characteristics
 (Weighted Student Formula)



                                                  10
Budget Reductions:
Impacts on DOE Operations
• Reduction in Force (RIF)
• Furloughs
• Program eliminations and reductions
• Reorganizations


                                        11
Actions to Increase Revenues:
 • Increased Afterschool Plus (A+)
   parent fees
 • Increased school lunch price for
   adults
 • Added new fees at Community
   Schools for Adults
 • Proposed increase in bus fares
 • Proposed increase in school lunch
   price for students                  12
Actions to Reduce Expenditures:
• Reduced school bus service
• Consolidated school bus routes
• Increased qualifying distance for school bus service
• Consolidating two Community Schools for Adults to one
 (McKinley CSA and Farrington CSA)
• Conducted school consolidation studies
• Continued a limited hiring freeze for non-school level
  vacancies
• Renegotiated vendor contracts and a lease
• Established mandatory DOE price list for PCs
• Standardized telecommunication services

                                                           13
Examples of Impact of Economic
Conditions since 2008:
•81.5 resource teacher positions deleted from Office of
 Curriculum, Instruction, and Student Support and Office
 of Human Resources
•210 general fund FTEs deleted from state offices (-25%)
•99 general fund FTEs deleted from centralized services
 (-5%)
•14 general fund FTEs deleted from complex areas (-4%)
•371 general fund FTEs deleted from schools (-2%)
•More online training and videoconference meetings
•Continued reduction in state-directed professional
 development                                               14
Furloughs and School Days
School year 2009-10:
 17 days for 10-month employees
 18 days for 12-month employees

School year 2010-11: Act 143/10 paid for restoration
 of 11 days
 6 non-student furlough days for 10-month
 employees
 13 furlough days for 12-month employees

School year 2011-12: Contract negotiations for
 FY 12, FY 13 ongoing

                                                   15
American Recovery and Reinvestment
        Act (ARRA) Stimulus Funds
                  Funding ending 9/30/11

• ARRA-Title I and ARRA-IDEA
  • Using ARRA Title I funds for Extended Learning Opportunities
  • Using ARRA-IDEA funds for special education services and
    Response to Intervention
• State Fiscal Stabilization Funds (SFSF)
  • Using SFSF Part A allocation from Governor to offset general fund
    teacher salaries
  • Approximately 1,885 teacher FTEs “saved” (using USDE
    calculation methodology)
  • Allocation of SFSF Part B funds to DOE for 18 projects by
    Governor Lingle

                                                                    16
Race to the Top




                  17
“I believe enormous opportunities for
improving the productivity of our
education system lie ahead if we are
smart, innovative, and courageous in
rethinking the status quo.”

           Arne Duncan, Secretary of
        U.S. Department of Education
                  November 17, 2010
                                    18
Race to the Top (RTTT)
• RTTT grants are aimed at rewarding states that
  have “ambitious yet achievable” plans for
  implementing compelling and comprehensive
  education reform

• Hawaii will receive $74.9 million, the maximum
  for a state its size, over a four-year period

“The money is meant to start reforms, to leverage
reforms. This is not to replace our general fund
budget reductions.”

              Kathryn S. Matayoshi, Superintendent
                                                     19
The U.S. Department of Education’s
     Race to the Top 4 Core Reforms + 1
           Turn Around        from DOE
         Lowest-Performing
             Schools

         Great Teachers and
              Leaders
                              Alignment and
                               performance
            Data Systems      monitoring of
                              organizational
                               functions to
           Standards and          support
            Assessments           reform
                                 outcomes
                                               20
20
Standards and
                                Assessments
2011‐2015 Objective           2010‐2011 Outcome 2010‐2011 Activities
Adopt Common Core          BOE adopted Common  Align Hawaii standards 
state standards in         Core Standards          and benchmarks with 
literacy and mathematics                           college and career 
•Internationally           Crosswalked HCPS III    readiness
Benchmarked                with Common Core 
•In partnership and        Standards               Provide professional 
development with 47                                development and 
other states, the District SMARTER Balanced        instructional materials 
of Columbia, and two       Assessment              to teachers
territories                Consortium participant 
                           and joint‐state grant 
                                                   Collaborate with 
                           applicant
Adopt statewide                                    assessment 
common curriculum and                              consortium to develop 
assessments                                        new assessments



                                                                              21
Data Systems

2011‐2015 Objective        2010‐2011 Outcome 2010‐2011 Activities
Put real‐time student      Data Governance          Implement Data for 
data in the hands of       Research agenda          School Improvement 
people who need it most    Formative benchmark‐     project
•Teachers and Principals   based assessments to  HSA On‐line multiple 
•Educational Leaders       monitor progress of all  opportunities for 
•Parents                   students                 students and data for 
•Community members 
                           Web‐based secure user  teachers
and partners               interface with data 
•Policy makers                                      Introduce school 
                           warehouse
                                                    dashboard  




                                                                             22
Great Teachers and
                                 Leaders
2011‐2015 Objective         2010‐2011 Outcome                 2010‐2011 Activities
Annual performance‐         Negotiated evaluation tools       Align teacher training 
based evaluation of         and incentives                    and professional 
effectiveness for                                             development systems 
teachers and principals,    Highly qualified and effective    with rigorous 
including                   teachers and leaders at           curriculum
student/school learning     schools.
                                                              Outline and develop 
growth as significant                                         new alternative routes 
factor in evaluation        Performance pay for 
                            principals and teachers           to principal and teacher 
criteria                                                      certification 
Employment, retention,                                        Outline and institute 
assignment, and                                               essential components 
compensation all tied to                                      of standardized 
effectiveness                                                 induction and 
                                                              mentoring program 
                                                              Utilize PD development 
                                                              framework 
                                                                                          23
Turn Around 
                Lowest‐Performing Schools
2011‐2015 Objective        2010‐2011 Outcome 2010‐2011 Activities
Identify 5% of lowest      All secondary schools      Provide all students 
performing schools         in “planning for           with rigorous, interest‐
                           restructuring” include     focused, CCR course 
Provide additional         in their plans required    options (e.g., 
                           actions to become CCR
resources strategically                               Signature School)
targeted to ensure         Expansion of dual 
dramatic student           credit courses          Enter into 
achievement gains                                  partnerships with 
                           Enhanced and 
                           expanded AYP            community partners 
Consider all options to    response team analysis  and organizations
improve student            to include CCR
outcomes                                           Deploy OHR “Pods” 
•Including change of                               a.k.a.  Regional Service 
personnel                                          Centers
•School closure


                                                                                 24
Realign DOE Organization
2011‐2015 Objective       2010‐2011 Outcome 2010‐2011 Activities
Reduce paperwork and      Reorganization of:        Create and staff Office 
operational                                         of School Reform
inefficiencies            •Office of Human 
Ensure teachers have      Resources                 Generate Balanced 
more time to teach and    •Office of Information    Score Card to monitor 
principals have more      Technology Services       system performance 
time to lead              •Office of Curriculum,    of key education 
                          Instruction and           reform activities
Align department          Student Support
resources to actively     •Office of                Provide program 
support classroom         Superintendent            management support 
teacher to become                                   for key  initiatives
highly effective          to support attainment 
Automate!                 of strategic goals.




                                                                               25
Race to the Top (RTTT)
The four-year, $74.9 million grant will help kick-start
reforms across Hawaii’s public school system.
Here is how it will be spent:
$33.2          Cultivate, reward, and leverage effective teaching and school leadership by
million        instituting performance-based contracts for teachers and principals tied, in part, to
               student performance growth. Funds will also go to professional development,
               bonuses for highly effective teachers, and other initiatives.
$18.7          Turn around the lowest-performing schools by targeting programs in “zones of school
million        innovation,” expanding pre-kindergarten opportunities, and extending classroom
               time.
$9.3 million   Boost student achievement and classroom rigor by implementing the national
               common core standards curriculum, aimed at standardizing what students across the
               country learn.
$7.2 million   Improve student performance data collection and use, allowing teachers, parents,
               schools, and the DOE to quickly see when a student is struggling and track how a
               student performs from kindergarten through graduation (and through college).
$6.5 million   Reorganize to improve and streamline how the Department of Education monitors
               and supports reforms.

                                                                                                 26
Executive Budget 
Fiscal Biennium 2011‐13




                          27
DOE Budget Programs
EDN              Title                                 Description
100   School Based Budgeting      Classroom instruction; curriculum programs; at-
                                  risk programs.
150   Comprehensive Student       Special education; school-based behavioral health;
      Support Services            autism; other related services.
200   Instructional Support       Support for curriculum, instruction and students;
                                  assessment; system accountability/monitoring;
                                  and complex areas.
300   State Administration        Board of Education; Superintendent;
                                  communications; civil rights compliance; fiscal
                                  services; human resources; and information
                                  technology.
400   School Support              School food services; utilities; facilities planning;
                                  construction; repairs and maintenance; student
                                  transportation.
500   School Community Services   After-school Plus (A+) program; adult education.

                                                                                          28
Modified Zero Based Budgeting
(for state level and centralized programs)
 • Goal: reallocate existing funds to cover recurring
   unbudgeted needs within B&F general fund ceiling
 • Identify items for additional budget request
 • “Modified” ZBB because:
   • Not required to justify positions; budgeted
     positions remained constant, no new positions
     allowed
   • Provided base amount of non-salary funds for
     programs with positions
   • Additional funds could be requested above the base
     amount, along with justification
                                                          29
B&F Instructions for FY 12 & 13
• Restore $86.4M general fund furlough savings
• Restore $43.0M non-recurring WSF reduction
• Total general fund restorations = $129.4M
• Adjusted DOE general fund ceiling = $1,382.8M


• Departments could:
  Request tradeoffs/transfers, but no significant
  increases in expenditures
• List program increases for consideration by the
  new administration
                                                    30
General Funds ($ in Millions)

            FY11     FY12 Executive
EDN      Act 180/10     Budget*      Variance
 100          $705.2          $791.4     $86.2
 150           306.6           322.2      15.6
 200            22.0            46.2      24.2
 300            42.9            43.7       0.8
 400           171.8           174.2       2.4
 500             4.9             5.1       0.2
Total       $1,253.4        $1,382.8 $129.4

*FY13 Executive General Fund Budget is the same as FY 12
                                                           31
General Fund Budget FY 2011-12

                        $74,269,699
                            5%




$990,970,580
    72%

                                  $298,731,345
                                      22%




                                           Central Services Total

                                           Complex Area Total

                    $18,847,845            School Total
                        1%
                                           State Offices Total

                                                           32
General Fund FTEs FY 2011-12
             21,159.28 FTEs



                              614.5
                               3%



                                      1,752.5
                                        8%


18,485.775
                                      306.5
   87%
                                       2%



                                                Central Services Total

                                                Complex Area Total

                                                School Total

                                                State Offices Total

                                                                      33
DOE Centralized Services
• Electricity bills and other utilities
• Network infrastructure support/development
• School food services
• Student transportation
• Diagnostic services for SPED services qualification
• Personnel hiring, recruitment, and recordkeeping
• Workers’ Compensation
• Unemployment benefits administration
• Financial accounting and reporting
• IT development, implementation, operations
• Litigation support
  • Autism, school based behavioral health
  • Special education provision and recordkeeping
                                                        34
DOE Statewide Responsibilities
• Strategic Planning
• Student Achievement Standards Development
• Budget Preparation and Execution
• Teacher Certification (Hawaii Teacher Standards Board)
• Hawaii State Assessments
• Policy Development
• Internal Audit
• Compliance with US DOE and State Regulations
• Federal Reporting Requirements
• Inter-governmental Relationship Management

                                                           35
History of Budget Reductions Starting FY 2008-09
 Annual Amount                Description
   ($10.3 M) 2008 Legislative reduction in Act 158/08, beginning FY 2008-09
     (5.7 M) “Non-recurring costs” reduced by Department of Budget and Finance
               (B&F) in Fiscal Biennium 2009-11 budget, including -9.00 FTEs
    (40.0 M) Reductions approved by Board of Education October 9, 2008, including
                -239.5 FTEs
    (43.0 M) 2009 Legislative reduction to EDN 100 in Act 162/09; a proviso in
                section 163 states it shall be restored in Fiscal Biennium 2011-13
     (0.3 M) 2009 Legislative reduction to programs in EDN 150 and 400
   (127.7 M) Executive and BOE approved reduction FY 2010-11
    (15.0 M) Executive reduction FY 2010-11
     (2.1 M) Act 180/10: A+ subsidy deleted; $22M was reduced from categorical,
                state, and complex area programs and added to WSF
 ($244.1 M) Cumulative impact thru FY 2010-11
    129.4 M Annual restorations in Fiscal Biennium 2011-13 Executive Budget
 ($114.7 M) TOTAL: Cumulative annual impact on general funds FY12, FY 13

                                                                                     36
Total Department of Education
  Budget ($ in Millions)
  All Means of           FY11      FY12 Executive
   Financing          Act 180/10      Budget       Variance
General                   $1,253.4        $1,382.8   $129.4
Federal (ceiling)            252.0           263.6      11.6
Special (ceiling)             42.0            46.3        4.3
Trust (ceiling)               13.7            33.0      19.3
Interdept Transfer            14.2            10.6       (3.6)
Revolving (ceiling)           22.8            30.4        7.6
Federal Stimulus*             53.8            47.9       (5.9)
TOTAL                    $1,651.9        $1,814.6    $162.7

            *Federal Stimulus:
            FY11 = ARRA SFSF Part A
            FY 12 = Education Jobs and Race to the Top
                                                                 37
Additional General Fund Items for
Consideration
Description (in alphabetical order)                Annual
                                                   Amount
Athletics – restoration of prior cuts                $1.5 M
Families for R.E.A.L. program                        $1.0 M
Lease payments for new Enterprise Resource           $5.0 M
Planning project (fiscal systems)
Skilled nursing services – contract for services     $2.1 M
previously provided by DOH
Student Transportation shortfall                    $19.6 M
TOTAL                                              $29.2 M

                                                            38
Act 167/10
                        Instructional Time
                                    SY 11-12   SY 13-14    SY 15-16
                                    SY 12-13   SY 14-15   (potential)
Minimum days per year                 180         180         190
Minimum hours per year-elementary     915       1,080       1,140
Minimum hours per year-secondary      990       1,080       1,140



            Requires collective bargaining



                                                                        39
Public School Facility Needs




                               40
Capital Improvement Program (CIP)
Decision Matrix determines the priorities

Health and Safety

         Classroom Capacity

                     Program Needs

                              Support Facility Projects

                                      State / Complex Area Improvements




                                                                          41
Capital Improvement Program




                                                  Periodic
Ongoing repair   New facilities
                                                Rehabilitation   Infrastructure
     and          at existing     New Schools
 maintenance                                       of older         Upgrades
                    schools
                                                  facilities




                                                                             42
CIP Request ($ in Millions)
BOE request:         FY 2011-12 FY 2012-13
Lump sums              $191.2     $159.7
Additional funds        19.0
New schools             51.3       116.0
Other improvements      93.3       35.0

         Total         $354.8     $310.7

Executive budget
Lump sums               $45.0      $45.0



                                             43
Ongoing Repair, Maintenance,
   and Minor Improvements
• “Best practice” is to provide between
  2% and 4% of the replacement cost of a
  facility for its annual maintenance
• The replacement cost of DOE facilities
  is about $5 billion. Using the middle of
  the range – 3% – results in an annual
  cost of $150 million
                                           44
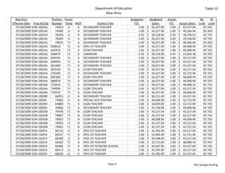
Major Repair & Maintenance Backlog
($ in Millions)
  800


  700
                        $700     $710
                                           $660
  600            $620

  500
                                                               $525
                                                      $475
  400
                                                                                             $421
                                                                         $340      $380                $349      $392
  300


  200


  100


    0
                                                      Sep-04




                                                                Sep-05




                                                                          Sep-06




                                                                                    Sep-07




                                                                                              Sep-08




                                                                                                        Sep-09




                                                                                                                    Sep-10
        Aug-01




                                             Apr-04
                        Mar-02




                                  Dec-03




                                                                                                                             45
Need for New Schools – 6 Year Plan
 • Growth areas need more schools:
   • Central Oahu: Schofield (elementary),
     Royal Kunia (elementary), Koa Ridge
     (elementary, middle, high)
   • Leeward Oahu: Ewa-Kapolei (elementary,
     middle, high)
   • Maui: West Maui, (elementary) Central
     Maui (middle), Kihei (high)
   • Hawaii: South Kohala, North Kona (both
     elementary)
 • Six-year need is $1.1 billion
                                              46
Air Conditioning Expectations
• Hawaii residents in the 21st century expect
  air conditioning in their offices, cars, and
  (in some areas) homes
• This expectation extends to most schools
• The cost ranges from $3 to $10 million per
  school
• For 229 (89%) schools not yet air
  conditioned, the cost is about $1.5 billion
                                                47
Energy Initiatives
• First ‘energy neutral’ portable classroom at Ewa
  Elementary to be completed spring 2011
• Contract awarded for power purchase agreement
  for solar power with re-roof at four Oahu high
  schools
• Study underway for solar power for Kauai schools
• Sustainability audit for Keoneula Elementary
  School completed summer 2010 (with UH)
• “Share the savings” program with schools
  continues to reduce electricity consumption
• Ewa Makai Middle School opens this month with
  LEED silver designation expected
                                                     48
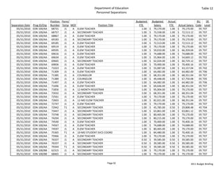
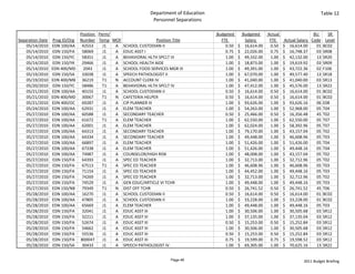
Electricity Consumption and Cost
   KWH                     COST
155,000,000           $45,000,000

150,000,000           $40,000,000
                      $35,000,000
145,000,000
                      $30,000,000
140,000,000           $25,000,000
135,000,000           $20,000,000
                                    KWH
                      $15,000,000
130,000,000                         COST ($)
                      $10,000,000
125,000,000           $5,000,000
120,000,000           $0




                                        49
Re-engineering Facilities
• Awarded first design-build project
  (new classroom building on Lanai)
• Included re-roofing in Oahu
  photovoltaic system installation
  project
• Extended roof life through roof
  maintenance contracts
• Used electronic procurement to
  streamline process
                                       50
Consolidation of Schools
• Presents opportunities for
 a) saving about $500,000 per school, and
 b) improving educational opportunities for
 students
• Public wants small schools closed, but
  not my small school
• School closure falls under BOE authority

                                              51
Criteria for School Consolidation Study

 1/3 of School Square Footage
   in Disrepair/ Replacement          Good Condition




      School Academic Program Requirements         1/3 Excess
                                                Excess Classroom
                                                     Space



  Impact on educational opportunity due to
    enrollment decline, staff reductions

                                                                   52
School Consolidation Studies
•   Completed
•   Aina Haina-Wailupe Valley (closed Wailupe Valley)
•   Keanae-Hana (closed Keanae)
•   North Kohala schools (no consolidation)
•   Waiahole-Kaaawa-Hauula (no consolidation)
•   Maunaloa-Kualapuu-Kaunakakai (no consolidation)
•   Waialua complex (no consolidation)

•   In process
•   Kalani complex elementary schools
•   Kaiser complex elementary schools
•   Farrington complex elementary schools
•   McKinley complex elementary schools
•   Roosevelt complex elementary schools
•   Kaimuki complex elementary schools                  53
“…the legacy of the factory model of
schooling is that tens of billions of dollars
are tied up in unproductive use of time and
technology, in underused school buildings,
in antiquated compensation systems, and in
inefficient school finance systems.”

Arne Duncan’s November 17, 2010 remarks



                                            54
Attachments
Weighted Student Formula




      doe.k12.hi.us

                           55
Weighted              $ Value Per   Relative
                             Characteristic           Student*     Weight
Weighted               Base per student                $3,606.34    1.0000
                       Economically                       360.63    0.1000
Student                  Disadvantaged

Formula                English Language
                       Learner
                                   Non Proficient       1,167.32    0.3237
                              Limited Proficiency         583.66    0.1618
                                  Fully Proficient        194.55    0.0539
    Student 
                       K-2 Class Size                     540.95    0.1500
Characteristics        Transient                          180.32    0.0500
 and “Weights”         Elementary                         124.98    0.0347
 for SY 2011‐12        Middle School                      361.90    0.1004
 *Rounded to the       High School                         86.44    0.0240
nearest two decimal    Geographically Isolated              $50K per school
      places           Gifted & Talented                  955.68    0.2650
                       Neighbor Island                     14.43    0.0040
                                                                              56
DOE FY 2011-12 Budget $1.8 Billion
                              All Means of Finance




  Weighted
   Student
Formula (WSF)
$787.4 Million
                                                                Federal Funds
    Special                                                     $150.0 Million
   Education
    (SPED)                                                      Other Programs
 $202.7 Million                                                 $112.7 Million

 Other SPED &                                                      Student
Student Support                                                 Transportation
   Programs                                                     $52.3 Million
 $171.4 Million
                                                                Food Services
        Other Centrally   Facilities (Repairs
                                                  Utilities     $107.7 Million
          Expended         & Maintenance)
                            $48.3 Million       $59.5 Million
        $122.6 Million
                                                                            57
Summary
                           WSF

                           Categorical,                    Expended by Principals
                             SPED,                            for Students    69%
                            Federal                          ≈ $7,294 per student
                                                            (excludes fringe benefits)

                                                           Centralized Expenses
                                                            for Students      24%
                                                            ≈ $2,557 per student


Other Centralized Expenses for Schools 7%                   93% of Budget
            ≈ $714 per student
Expenditures per student are based on SY 2011-12 Projected Enrollment Count
                                                                                     58
Where can I find the latest
information on WSF?
 Detailed information is available on the Department’s website at:



    http://reach.k12.hi.us/empowerment/wsf/




                                                                     59
DEPARTMENT OF EDUCATION 
                            FISCAL BIENNIUM 2011‐2013 BUDGET 
                                     BUDGET BRIEFING 
                         SENATE COMMITTEE ON WAYS AND MEANS 
                                      JANUARY 5, 2011 
                                              
                                    TABLE OF CONTENTS 
                                                               

Mission Statement ........................................................................................................   
                                                                                                                          1
Economic Impact ..........................................................................................................   
                                                                                                                          1
Alternatives Considered  ...............................................................................................   
                       .                                                                                                2
Table 1:      Department‐wide Budget Summary ............................................................   
                                                                                                         5
Table 2:      Priority List of Functions ..............................................................................   
                                                                                                                       6
Table 3:      Resources by Program ID  ............................................................................   
                                     .                                                                             7
Table 4:      Current Year (FY11) Restrictions ................................................................ 10 
Table 5:      Proposed Biennium Budget Reductions ..................................................... 11 
Table 6:      Proposed Biennium Budget Additions ....................................................... 12 
Table 7:      Operating Budget Requests to the New Administration ............................ 15 
Table 8:      Non‐general funds (excluding Federal Funds) ............................................ 16 
Table 9:      Emergency Appropriation Requests .......................................................... 18 
Table 10:    Budget Decisions  ...................................................................................... 19 
Table 11:    Vacancy Report (forthcoming) .................................................................. 24 
Table 12:    Personnel Separations .............................................................................. 25 
Table 13:    New Hires ................................................................................................. 83 
Table 14:    Reduction in Force (RIF) Actions .............................................................. 144 
Table 15:    RIF Related Grievances ............................................................................ 145 
Table 16:    Expenditures Exceeding Federal Fund Ceiling .......................................... 146 
Table 17:    Intradepartmental Transfers ................................................................... 147 
Table 18:    Capital Improvement Program (CIP) Budget Summary ............................ 148 
Table 19:    CIP Requests to the New Administration  ................................................ 149 
                                                   .
Table 20:    Changes to Organizational Chart ............................................................. 150 
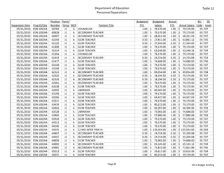
Organizational Chart 
Department of Education 
                             2011 Budget Briefing Testimony 
 
 
                                       Mission Statement 
 
The Hawaii Department of Education, in partnership with the family and the community, is 
committed to having all public school graduates achieve the General Learner Outcomes and 
content and performance standards in order to realize their individual goals and aspirations. 
 
All graduates will be fully prepared for post‐secondary education and/or careers and their role 
as responsible citizens. 
 
                                          Economic Impact 
 
Brief discussion of how the current economic and fiscal conditions are affecting your 
department’s operations: 
 
    1. Furloughs have been implemented for all employees at all organizational levels.   
                 
            a. For School Year (SY) 2009‐10, there were a total of 17 days that schools were 
                closed due to school level employees being on furlough.  Also, all 12‐month 
                employees had a total of 18 furlough days. 
                 
            b. For SY 2010‐11, there are no furlough days taken on school instructional days.  
                However, 10‐month employees still have 6 furlough days (to be taken on non‐
                instructional days), and 12‐month employees have 13 furlough days through 
                June 30, 2011.  Furlough calendars for SY 2010‐11 can be found at: 
                http://doe.k12.hi.us/news/furlough/calendars1011/index.htm 
         
    2. As a result of budget reductions, the Department eliminated funding for 405 FTEs and 
        implemented reduction‐in‐force (RIF) procedures. 
         
    3. Due to recent budget reductions, funds for for casual (hourly) hires, such as part‐time 
        temporary teachers, tutors, athletic coaches, classroom cleaners, and substitute 
        teachers have been reduced. 
         
    4. There have also been reductions in funds for supplies, textbooks, equipment, and other 
        operating expenses. 
         
    5. There continues to be a significant shortfall in contract costs for student transportation 
        services.  In order to mitigate some of the shortfall, the following measures have been 
        implemented: 

                                             Page 1 
 
a. Increasing the fare for a one way ride from $0.35 to $0.75. 
                 
             b. Increasing the qualifying distance for school bus service for students in grades 6‐
                12 from one mile to 1.5 miles from home. 
          
             c. Discontinuing services for high school students who reside along select Oahu 
                island school bus routes where City busing services are available. 
          
             d. Elimination and/or consolidation of routes. 
          
    6.   The DOE is expected to pay for unfunded responsibilities previously paid by other 
         agencies:   
          
             a. The Department of Health will no longer provide the nursing staff who provide 
                 services to DOE students, and as a result, the DOE has been forced to fund the 
                 cost of these services.  For Fiscal Year (FY) 2011‐12, the estimated additional cost 
                 to the DOE is $2,081,631. 
                  
             b. The Department of Land and Natural Resources now requires the DOE to pay all 
                 costs of land transactions when DOE acquires property, such as access roads to 
                 schools. 
          
    7.   Hiring freezes affect many complex area and state office positions; combined with the 
         reduced work time due to furloughs, there are delays in completing assignments. 
          
    8.   There has been a reduction in state‐directed professional development. 
          
    9.   Adjusting pay for furloughs using the Department’s manual system has increased the 
         workload for the Payroll Section. 

                                      Alternatives Considered 

Generating additional revenue for the state: 

As a result of the DOE receiving funds through the American Recovery and Reinvestment Act 
(ARRA) State Fiscal Stabilization Fund (SFSF), Part A (Educational Services Fund) for FY 2009‐10 
and FY 2010‐11, the state was able to reduce the general fund requirements for the DOE by $43 
million each year, thus indirectly generating general fund revenues for the state. 




                                                Page 2 
 
Bus fares for students have been increased to $0.75 one way to partially offset the increased 
costs of the student transportation contracts.  This will not result in any increased revenue to 
the state. 

Shifting general funded operational costs to non‐general funds: 

Since the Legislature eliminated the general fund subsidy for the A+ Program for FY 2010‐11, 
the Board of Education approved a fee increase to $80 per month for the first child in order to 
approach becoming self‐sufficient. 

The price for adult school lunches has also been increased.  The price for student lunches 
currently has not been increased. 

The Adult Education Program has a new fee structure, and will charge fees for enrollment, a 
one‐time fee for initial/intake assessment placement, and a fee for Competency‐Based High 
School Mastery Tests. 

Outsourcing activities performed by eliminated personnel: 

The Department has not done this. 

Consolidation or elimination of programs within your department: 

School consolidations and closures continue to be studied.   Wailupe Valley Elementary and 
Keanae Schools were recently closed.  The Department is currently in the process of conducting 
consolidation studies for elementary schools in the Kalani, Kaiser, Farrington, McKinley, 
Roosevelt, and Kaimuki complexes. 

Also, Jefferson Orthopedic Unit, Challenger Center, Onizuka Memorial Space Museum, 
Nanaikapono Community/School Museum, Keakealani Outdoor Educational Center, Kokee 
Discovery Center, School Inspection, NCEE‐Based Reading Program, Literacy Training for IDEIA 
and Section 504 Students, and Families for R.E.A.L. programs no longer have categorical general 
funds. 

Currently the Office of Human Resources and Office of Information and Technology Services are 
in the process of reorganizing which may result in the consolidation of programs.  Their budgets 
were already reduced in FY 2010‐11 in anticipation of efficiencies from reorganization. 

Using the authority for budget flexibility granted to the Department in HRS §37‐74,  11 
programs previously allocated for separate purposes were consolidated into an Indexed 
Complex Area Allocation and allocated to Complex Area Superintendents (CASs) as a lump sum.  
This has allowed the CASs to prioritize the use of the funds to meet the support needs of their 
individual schools. 
                                              Page 3 
 
McKinley and Farrington Community Schools for Adults are being consolidated into one school. 

School cafeteria services are being consolidated into serving kitchens as feasible. 




                                              Page 4 
 
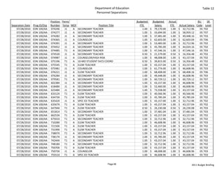
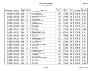
Department of Education                                                                                     Table 1
                                      Department‐wide Budget Summary


                                                         Fiscal Year (FY) 2011
        Act 180/10                      Restriction                    Emergency                         Total FY11
     Appropriation                                                  Appropriation
               (a)                             (b)                            (c)                               (d)                 MOF
$    1,253,433,452.00             $                         ‐    $                          ‐    $    1,253,433,452.00             A
$          41,984,233.00          $                         ‐    $                          ‐    $          41,984,233.00          B
$        
        251,952,082.00            $                         ‐    $                          ‐    $        
                                                                                                         251,952,082.00            N
$          13,716,215.00          $                         ‐    $                          ‐    $          13,716,215.00          T
$          14,265,874.00          $                         ‐    $                          ‐    $          14,265,874.00          U
$          53,764,304.00          $                         ‐    $                          ‐    $          53,764,304.00          V
$          22,805,313.00          $                         ‐    $                          ‐    $          22,805,313.00          W
$                             ‐   $                         ‐    $                          ‐    $                             ‐   X
$    1,651,921,473.00             $                         ‐    $                          ‐    $    1,651,921,473.00             Total

                                                 Fiscal Year (FY) 2012
        Act 180/10                      Reductions            Additions                                  Total FY12
     Appropriation
               (a)                             (b)                             (c)                              (d)                 MOF
$    1,253,433,452.00             $                         ‐     $    129,386,017.00            $    1,382,819,469.00             A
$          41,984,233.00          $                         ‐     $        4,353,927.00          $          46,338,160.00          B
$        
        251,952,082.00            $                         ‐     $      11,661,654.00           $        
                                                                                                         263,613,736.00            N
$          13,716,215.00          $                         ‐     $      19,273,785.00           $          32,990,000.00          T
$          14,265,874.00          $                         ‐     $       (3,715,874.00)         $          10,550,000.00          U
$          53,764,304.00          $    (53,764,304.00)            $      47,882,617.00           $          47,882,617.00          V
$          22,805,313.00          $                         ‐     $        7,601,750.00          $          30,407,063.00          W
$                             ‐   $                         ‐     $                          ‐   $                             ‐   X
$    1,651,921,473.00             $    (53,764,304.00)            $    216,443,876.00            $    1,814,601,045.00             Total

                                                 Fiscal Year (FY) 2013
        Act 180/10                      Reductions            Additions                                  Total FY13
     Appropriation
               (a)                             (b)                             (c)                              (d)                 MOF
$    1,253,433,452.00             $                         ‐     $    129,386,017.00            $    1,382,819,469.00             A
$          41,984,233.00          $                         ‐     $        5,814,644.00          $          47,798,877.00          B
$        
        251,952,082.00            $                         ‐     $      12,821,352.00           $        
                                                                                                         264,773,434.00            N
$          13,716,215.00          $                         ‐     $      19,273,785.00           $          32,990,000.00          T
$          14,265,874.00          $                         ‐     $       (3,715,874.00)         $          10,550,000.00          U
$          53,764,304.00          $    (53,764,304.00)            $      20,073,434.00           $          20,073,434.00          V
$          22,805,313.00          $                         ‐     $        7,601,450.00          $          30,406,763.00          W
$                             ‐   $                         ‐     $                          ‐   $                             ‐   X
$    1,651,921,473.00             $    (53,764,304.00)            $    191,254,808.00            $    1,789,411,977.00             Total


                                                                  Page 5                                                                   2011 Budget Briefing
Department of Education                                                               Table 2
                                                               Priority List of Functions
Pri #               Description of Function*                                          Activities                              Prog ID(s) Statutory Reference
                                                                                                                             EDN 100
   Achievement – ensure each student achieves                    Classroom instruction                                      EDN 150
   proficiency on the Hawaii State Assessment as                 Student evaluation and assessment                                      HRS §302A
 1
   specified in the Hawaii Content and Performance               Curriculum support, performance standards                  EDN 200 (multiple sections)
   Standards.                                                    Complex area administration
                                                                 State administration                                       EDN 300
                                                                 School administration                                      EDN 100
                                                                 Comprehensive student support services including
                                                             school-based behavioral health, special education and related
                                                                                                                             EDN 150
   Safety and well being – promote each student’s            services, and services to student with autism spectrum
                                                                                                                                        HRS §302A
 2 physical, emotional, and social well being in a secure disorder
                                                                                                                                        (multiple sections)
   and supportive learning environment.                          Repair and maintenance of school facilities
                                                                 Utility payments for school facilities
                                                                                                                             EDN 400
                                                                 Student transportation
                                                                 School food services
                                                                 Classroom instruction
   Civic Responsibility – guide each student’s growth
                                                                 Student activities                                         EDN 100
   as an informed and concerned citizen who actively                                                                                    HRS §302A
 3                                                               Athletics
   contributes to the well being of others, society, and the                                                                            (multiple sections)
                                                                 Community Schools for Adults
   environment.                                                                                                              EDN 500
                                                                 Afterschool Plus (A+) program

* From HRS §302A-1004 (4)




                                                                         Page 6                                                           2011 Budget Briefing
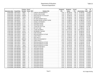
Department of Education                                                                                                                        Table 3
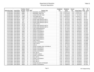
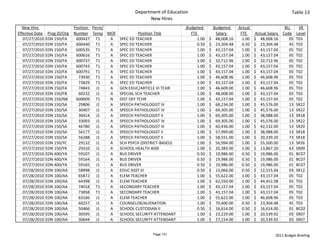
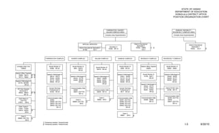
                                                                                Resources by Program ID


                                                        As budgeted in Act 180/10 (FY11)                                 Governor's Submittal (FY12)                                   Governor's Submittal (FY13)
 Prog ID/Org                  Program Title        Pos (P)        Pos (T)                 $$$                  Pos (P)          Pos (T)                 $$$                  Pos (P)          Pos (T)                 $$$             MOF
EDN 100/AA     WEIGHTED STUDENT FORMULA          12,036.10     563.00 $   661,828,143.00                     12,289.10      540.80 $   746,946,307.00                      12,289.10     540.80 $   746,946,307.00 A
EDN 100/AB     REGULAR INSTRUCTION                           ‐             ‐  $     40,440,343.00                        ‐               ‐  $     40,440,343.00                        ‐               ‐  $      40,440,343.00 N
EDN 100/BB     VOC TECH EDUCATION                        80.00            ‐   $        5,611,105.00                  80.00             ‐    $        5,726,846.00                  80.00            ‐     $        5,726,846.00 A
EDN 100/BB     VOC TECH EDUCATION                            ‐             ‐  $        3,500,000.00                      ‐               ‐  $        3,500,000.00                      ‐               ‐  $        3,500,000.00 N
EDN 100/BF     ENVIRONMENTAL EDUC (CATEGOR)                3.50            ‐  $                         ‐                ‐               ‐  $                         ‐                ‐               ‐  $                         ‐  A
EDN 100/BG     SPACE EDUCATION                             4.00          1.00 $                         ‐                ‐               ‐  $                         ‐                ‐               ‐  $                         ‐  A
EDN 100/BH     SUMM SCH & OTH NON HOUR SUPPOR                ‐             ‐  $        6,000,000.00                      ‐               ‐  $        6,000,000.00                      ‐               ‐  $        6,000,000.00 B
EDN 100/BJ     AT RISK PROGRAMS                          73.50        17.00 $        4,752,201.00                    73.50          22.00 $        5,264,973.00                    73.50        22.00 $        5,264,973.00 A
EDN 100/BL     STUDENT ACTIVITIES                            ‐             ‐  $             89,080.00                    ‐               ‐  $           128,520.00                     ‐               ‐  $           128,520.00 A
EDN 100/BM     ATHLETICS                                 75.00            ‐   $        8,679,955.00                  75.00             ‐    $        9,334,913.00                  75.00            ‐     $        9,334,913.00 A
EDN 100/BO     PEER EDUCATION PROGRAM                        ‐         15.00 $           700,585.00                      ‐           
                                                                                                                                    15.00 $           853,297.00                       ‐           15.00 $           853,297.00 A
EDN 100/BQ     LEARNING CENTERS                              ‐         14.50 $        1,458,568.00                       ‐           
                                                                                                                                    14.50 $        1,553,804.00                        ‐           14.50 $        1,553,804.00 A
EDN 100/BR     DRIVER EDUCATION                              ‐             ‐  $        4,478,539.00                      ‐               ‐  $        4,000,000.00                      ‐               ‐  $        4,000,000.00 U
EDN 100/BS     JR RESERVE OFFICER TRNG CORP              10.00        44.00 $        1,927,095.00                    10.00          44.00 $        1,884,387.00                    10.00        44.00 $        1,884,387.00 A
EDN 100/BV     HAWAIIAN LANGUAGE IMMERSION PG              8.00        34.00 $        2,335,033.00                     8.00         34.00 $        2,417,768.00                      8.00        34.00 $        2,417,768.00 A
EDN 100/BX     OTHER INSTRUCTIONAL SERVICES              15.00          6.50 $           659,239.00                  13.00             ‐    $        1,631,193.00                  13.00            ‐     $        1,631,193.00 A
EDN 100/BX     OTHER INSTRUCTIONAL SERVICES                  ‐             ‐  $             30,000.00                    ‐               ‐  $             30,000.00                    ‐               ‐  $             30,000.00 B
EDN 100/CB     SCHOOL ADMINISTN(CATEGORICAL)             69.50          5.00 $        3,809,082.00                     3.00           5.00 $           506,132.00                    3.00          5.00 $           506,132.00 A
EDN 100/CB     SCHOOL ADMINISTN(CATEGORICAL)                 ‐             ‐  $           750,000.00                     ‐               ‐  $           750,000.00                     ‐               ‐  $           750,000.00 B
EDN 100/CB     SCHOOL ADMINISTN(CATEGORICAL)                 ‐             ‐  $        3,389,438.00                      ‐               ‐  $        3,389,438.00                      ‐               ‐  $        3,389,438.00 W
EDN 100/CJ     HAWAIIAN STUDIES                              ‐           3.00 $        2,612,921.00                      ‐             3.00 $        2,667,785.00                      ‐             3.00 $        2,667,785.00 A
EDN 100/CN     EMPLOYEE BENEFITS PROGRAM                     ‐             ‐  $        9,700,467.00                      ‐               ‐  $     11,056,798.00                        ‐               ‐  $      11,056,798.00 A
EDN 100/CN     EMPLOYEE BENEFITS PROGRAM                     ‐             ‐  $        2,000,000.00                      ‐               ‐  $        3,500,000.00                      ‐               ‐  $        3,500,000.00 N
EDN 100/CQ     HAW CONTENT/PERFORMANCE STANDS              1.00            ‐  $           860,792.00                   1.00             ‐   $        1,107,491.00                    1.00            ‐    $        1,107,491.00 A
EDN 100/DB     NO CHILD LEFT BEHIND                          ‐             ‐  $   113,882,271.00                         ‐               ‐  $   113,384,485.00                         ‐               ‐  $   113,385,485.00 N
EDN 100/DE     COMPREHENSIVE SCH HEALTH PROG                 ‐             ‐  $           300,000.00                     ‐               ‐  $           259,984.00                     ‐               ‐  $           259,984.00 N
EDN 100/DH     EDUCATION OF NATIVE HAWAIIANS                 ‐             ‐  $           300,000.00                     ‐               ‐  $           420,000.00                     ‐               ‐  $           420,000.00 N
EDN 100/DL     OTHER DISCRETIONARY GRANTS                    ‐             ‐  $        4,576,166.00                      ‐               ‐  $        3,378,695.00                      ‐               ‐  $        3,158,279.00 N
EDN 100/DQ     STUDENT SCHOLARSHIPS                          ‐             ‐  $           210,000.00                     ‐               ‐  $           230,000.00                     ‐               ‐  $           235,000.00 N
EDN 100/DR     DEPARTMENT OF DEFENSE                         ‐             ‐  $        2,500,000.00                      ‐               ‐  $        2,500,000.00                      ‐               ‐  $        2,500,000.00 N
EDN 100/DS     LEARN & SERVE AMERICA                         ‐             ‐  $             63,656.00                    ‐               ‐  $           969,519.00                     ‐               ‐  $                         ‐  N
EDN 100/DU     FOREIGN LANGUAGES ASSISTANCE                  ‐             ‐  $           206,607.00                     ‐               ‐  $           400,000.00                     ‐               ‐  $                         ‐  N
EDN 100/EI     HALE O'ULU(POS)                               ‐             ‐  $           190,000.00                     ‐               ‐  $           342,000.00                     ‐               ‐  $           342,000.00 A
EDN 100/RR     RECONCILE EDN100 TO ACT180/10                 ‐             ‐  $             42,241.00                    ‐               ‐  $                         ‐                ‐               ‐  $                         ‐  A
EDN 100/VV     AMERICAN RECOV/REINVESTMT ACT                 ‐             ‐  $     53,764,299.00                        ‐               ‐  $     28,525,743.00                        ‐               ‐  $                         ‐  V
EDN 100/XA     ALU LIKE, INC                                 ‐             ‐  $        1,050,000.00                      ‐               ‐  $           230,000.00                     ‐               ‐  $           230,000.00 T
EDN 100/XB     DONATIONS & GIFTS                             ‐             ‐  $        1,500,000.00                      ‐               ‐  $        8,060,000.00                      ‐               ‐  $        8,060,000.00 T
EDN 100/XC     ATHLETICS(TRUST FUNDS)                        ‐             ‐  $        1,500,000.00                      ‐               ‐  $        2,700,000.00                      ‐               ‐  $        2,700,000.00 T
EDN 100/XE     FOUNDATION & OTHER GRANTS                     ‐             ‐  $        7,966,215.00                      ‐               ‐  $     16,000,000.00                        ‐               ‐  $      16,000,000.00 T
EDN 100/XF     OLELO‐EDUC PROG ON PUBLIC TV                  ‐             ‐  $        1,200,000.00                      ‐               ‐  $        1,200,000.00                      ‐               ‐  $        1,200,000.00 T
EDN 100/XH     OFFICE OF HAWAIIAN AFFAIRS                    ‐             ‐  $           500,000.00                     ‐               ‐  $           800,000.00                     ‐               ‐  $           800,000.00 T
EDN 150/FA     SPECIAL ED IN REGULAR SCHOOLS       4,186.00 1,229.00 $   185,981,086.00                        4,130.00   1,023.87 $   202,690,471.00                        4,130.00 1,023.87 $   202,690,471.00 A
EDN 150/FA     SPECIAL ED IN REGULAR SCHOOLS                 ‐             ‐  $        4,998,245.00                      ‐               ‐  $        4,998,245.00                      ‐               ‐  $        4,998,245.00 N
EDN 150/FB     SPECIAL SCHOOLS                           90.00          4.00 $        3,037,106.00                   61.00           3.00 $        2,837,572.00                    61.00          3.00 $        2,837,572.00 A
EDN 150/FC     EXTENDED SCHOOL YEAR                          ‐             ‐  $        2,712,541.00                      ‐               ‐  $        2,770,000.00                      ‐               ‐  $        2,770,000.00 A



                                                                                               Page 7
                                                                                                                                                                                                                  2011 Budget Briefing
Department of Education                                                                                                                        Table 3
                                                                                 Resources by Program ID


                                                        As budgeted in Act 180/10 (FY11)                                  Governor's Submittal (FY12)                                   Governor's Submittal (FY13)
 Prog ID/Org                 Program Title         Pos (P)        Pos (T)                 $$$                   Pos (P)          Pos (T)                 $$$                  Pos (P)          Pos (T)                 $$$             MOF
EDN 150/FD     OTHER SPECIAL EDUCATION SVCS                2.00            ‐  $        3,265,610.00                     1.00             ‐   $        3,787,472.00                    1.00            ‐    $        3,787,472.00 A
EDN 150/IC     CSSS RESOURCE TEACHERS                    47.00            ‐   $        2,219,963.00                       ‐               ‐  $                         ‐                ‐               ‐  $                         ‐  A
EDN 150/ID     PRIMARY PREVENTION/INTERVENTN               7.00            ‐  $           427,152.00                      ‐               ‐  $                         ‐                ‐               ‐  $                         ‐  A
EDN 150/II     HOME/HOSPITAL INSTRUCTION                     ‐             ‐  $        1,035,334.00                       ‐               ‐  $                         ‐                ‐               ‐  $                         ‐  A
EDN 150/NB     SPECIAL EDUCATION F/T DISABLED              2.00        32.00 $     39,134,501.00                        2.00         32.00 $     39,737,500.00                        2.00        32.00 $      39,737,500.00 N
EDN 150/ND     PRESCHOOL FOR THE DISABLED                    ‐           1.00 $           978,634.00                      ‐             1.00 $           978,634.00                     ‐             1.00 $           978,634.00 N
EDN 150/RA     SPECIAL OLYMPICS(POS)                         ‐             ‐  $           110,231.00                      ‐               ‐  $             99,208.00                    ‐               ‐  $             99,208.00 A
EDN 150/RR     RECONCILE EDN150 TO ACT180/10                 ‐             ‐  $          (162,770.00)                     ‐               ‐  $                         ‐                ‐               ‐  $                         ‐  A
EDN 150/SA     EDUC ASSESSMT/PRESCPTV SVCS             481.50          7.00 $     26,736,057.00                     476.50             ‐     $     30,927,910.00                  476.50            ‐      $      30,927,910.00 A
EDN 150/TA     TRAINING & RETENTION                          ‐             ‐  $           769,774.00                      ‐               ‐  $        2,150,498.00                      ‐               ‐  $        2,150,498.00 A
EDN 150/TA     TRAINING & RETENTION                          ‐             ‐  $           100,000.00                      ‐               ‐  $           100,000.00                     ‐               ‐  $           100,000.00 B
EDN 150/VA     STUDENT SUPPORT SERVICES                  31.50          5.00 $        2,413,316.00                      8.50           3.00 $        1,399,774.00                     8.50          3.00 $        1,399,774.00 A
EDN 150/VC     INTEGRATED SPECIAL ED DATABASE              2.00            ‐  $           193,366.00                    2.00             ‐   $           682,752.00                   2.00            ‐    $           682,752.00 A
EDN 150/VV     AMERICAN RECOV/REINVESTMT ACT                 ‐             ‐  $                       1.00                ‐               ‐  $                         ‐                ‐               ‐  $                         ‐  V
EDN 150/YC     SCHOOL BASED BEHAVIORAL HEALTH          417.50     107.50 $     31,305,155.00                        483.00           2.00 $     31,518,217.00                     483.00          2.00 $      31,518,217.00 A
EDN 150/YD     TARGETED TECHNICAL ASSISTANCE                 ‐           4.00 $           332,265.00                    4.00             ‐   $           339,184.00                   4.00            ‐    $           339,184.00 A
EDN 150/YE     TECHNICAL SUPPORT‐MAUI DIST                 4.50          7.50 $           390,779.00                  10.00           0.50 $           425,290.00                   10.00          0.50 $           425,290.00 A
EDN 150/YG     SERVICES FOR CHILDREN W/AUTISM          117.00        25.00 $     40,135,675.00                      126.00           16.00 $     42,527,441.00                    126.00        16.00 $      42,527,441.00 A
EDN 150/YK     OTHER RELATED SERVICES                  253.00        17.80 $        5,570,042.00                          ‐               ‐  $             54,900.00                    ‐               ‐  $             54,900.00 A
EDN 150/YK     OTHER RELATED SERVICES                      4.00            ‐  $        2,106,297.00                     4.00             ‐   $        3,500,000.00                    4.00            ‐    $        3,500,000.00 W
EDN 200/GB     INSTRUCTIONAL DEVLPMT‐ADM SVCS              2.00            ‐  $           256,405.00                    3.00             ‐   $           252,895.00                   3.00            ‐    $           252,895.00 A
EDN 200/GC     CURRICULUM & INSTRUCTION BRANC            25.00          2.00 $        1,595,442.00                    19.00           1.00 $        1,473,957.00                    19.00          1.00 $        1,473,957.00 A
EDN 200/GC     CURRICULUM & INSTRUCTION BRANC                ‐           2.00 $           500,000.00                      ‐               ‐  $                         ‐                ‐               ‐  $                         ‐  N
EDN 200/GC     CURRICULUM & INSTRUCTION BRANC                ‐             ‐  $           787,335.00                      ‐               ‐  $           250,000.00                     ‐               ‐  $           250,000.00 U
EDN 200/GD     SCH LEADERSHIP & IMPROVEMENT                6.00          1.00 $           810,093.00                  25.00           1.00 $        5,212,791.00                    25.00          1.00 $        5,212,791.00 A
EDN 200/GG     ADVANCED TECHNOLOGY RESEARCH                7.00            ‐  $           446,875.00                    7.00             ‐   $        1,575,095.00                    7.00            ‐    $        1,575,095.00 A
EDN 200/GH     TEACHER IMPROVEMENT SERVICES                6.00            ‐  $           723,085.00                    5.00             ‐   $        2,698,325.00                    5.00            ‐    $        2,698,325.00 A
EDN 200/GH     TEACHER IMPROVEMENT SERVICES                6.00            ‐  $        1,841,692.00                     6.00             ‐   $        2,000,000.00                    6.00            ‐    $        2,000,000.00 B
EDN 200/GJ     LEADERSHIP DEVELOPMENT                    19.00        26.00 $        3,000,483.00                     20.00          21.00 $        2,953,068.00                    20.00        21.00 $        2,953,068.00 A
EDN 200/GM     TECHNOLOGY EDUCATION                      14.00            ‐   $        1,311,850.00                   13.00             ‐    $           962,849.00                 13.00            ‐     $           962,849.00 A
EDN 200/GN     SCHOOL COMPLEX RESOURCE SVCS              95.50        29.00 $        6,991,964.00                   296.00             ‐     $     18,422,555.00                  296.00            ‐      $      18,422,555.00 A
EDN 200/GP     SYSTEMS ACCOUNTABILITY                    21.00          2.00 $        6,316,877.00                    20.00             ‐    $     11,954,811.00                    20.00            ‐     $      11,954,811.00 A
EDN 200/GP     SYSTEMS ACCOUNTABILITY                        ‐           1.00 $           132,516.00                      ‐             1.00 $           187,000.00                     ‐             1.00 $           187,000.00 N
EDN 200/GQ     HOMELESS CONCERNS                           2.00            ‐  $           503,114.00                    2.00             ‐   $           739,328.00                   2.00            ‐    $           739,328.00 A
EDN 200/GQ     HOMELESS CONCERNS                             ‐             ‐  $                         ‐                 ‐             2.00 $           500,000.00                     ‐             2.00 $           500,000.00 N
EDN 200/RR     RECONCILE EDN200 TO ACT180/10                 ‐             ‐  $           474,265.00                      ‐               ‐  $                         ‐                ‐               ‐  $                         ‐  A
EDN 200/VV     AMERICAN RECOV/REINVESTMT ACT                 ‐             ‐  $                       1.00                ‐               ‐  $     19,356,874.00                        ‐               ‐  $      20,073,434.00 V
EDN 300/KC     BOARD OF EDUCATION                          8.00            ‐  $           530,934.00                    8.00             ‐   $           541,395.00                   8.00            ‐    $           541,395.00 A
EDN 300/KD     OFFICE OF THE SUPERINTENDENT              17.00          2.00 $        1,270,633.00                    23.00           1.00 $        1,787,055.00                    23.00          1.00 $        1,787,055.00 A
EDN 300/KF     FISCAL SERVICES                           89.00            ‐   $        4,195,636.00                   90.00             ‐    $        5,366,750.00                  90.00            ‐     $        5,366,750.00 A
EDN 300/KH     CIVIL RIGHTS COMPLIANCE OFFICE              4.00            ‐  $           287,141.00                    4.00             ‐   $           380,762.00                   4.00            ‐    $           380,762.00 A
EDN 300/KO     PERSONNEL SERVICES                      189.00          0.50 $     13,924,499.00                     173.00             ‐     $     11,966,386.00                  173.00            ‐      $      11,966,386.00 A
EDN 300/LJ     COMPLEX AREA ADMINISTRATION               53.00            ‐   $        3,966,939.00                       ‐               ‐  $                         ‐                ‐               ‐  $                         ‐  A
EDN 300/RR     RECONCILE EDN300 TO ACT180/10                 ‐             ‐  $          (406,227.00)                     ‐               ‐  $                         ‐                ‐               ‐  $                         ‐  A
EDN 300/UA     INFO & TELECOMMUNICATION SVCS           149.00          5.00 $     18,748,407.00                     152.00           2.00 $      23,631,637.00                    152.00          2.00 $      23,631,637.00 A



                                                                                               Page 8
                                                                                                                                                                                                                   2011 Budget Briefing
Department of Education                                                                                                                        Table 3
                                                                                 Resources by Program ID


                                                        As budgeted in Act 180/10 (FY11)                                  Governor's Submittal (FY12)                                   Governor's Submittal (FY13)
 Prog ID/Org                  Program Title        Pos (P)        Pos (T)                 $$$                   Pos (P)          Pos (T)                 $$$                  Pos (P)          Pos (T)                 $$$             MOF
EDN 300/UA     INFO & TELECOMMUNICATION SVCS                 ‐             ‐  $             35,000.00                     ‐               ‐  $             35,000.00                    ‐               ‐  $             35,000.00 N
EDN 300/VV     AMERICAN RECOV/REINVESTMT ACT                 ‐             ‐  $                       1.00                ‐               ‐  $                         ‐                ‐               ‐  $                         ‐  V
EDN 400/MB     FOOD SERVICE ADMINISTRATION                 7.00            ‐  $           506,468.00                    7.00             ‐   $           443,926.00                   7.00            ‐    $           443,926.00 A
EDN 400/MB     FOOD SERVICE ADMINISTRATION                   ‐         12.00 $           654,771.00                       ‐           
                                                                                                                                     12.00 $        1,500,000.00                        ‐           12.00 $        1,500,000.00 N
EDN 400/MB     FOOD SERVICE ADMINISTRATION                 8.00            ‐  $           522,825.00                    8.00             ‐   $           522,825.00                   8.00            ‐    $           522,825.00 B
EDN 400/MC     OFFICE/HAW CHILD NUTRITION PRG                ‐           2.00 $           170,527.00                      ‐             2.00 $           185,843.00                     ‐             2.00 $           185,843.00 A
EDN 400/MC     OFFICE/HAW CHILD NUTRITION PRG                ‐             ‐  $        2,000,000.00                       ‐               ‐  $        4,500,000.00                      ‐               ‐  $        4,500,000.00 W
EDN 400/MD     FOOD SERVICES                           315.00            ‐    $     29,641,245.00                   315.00             ‐     $     23,728,629.00                  315.00            ‐      $      23,728,629.00 A
EDN 400/MD     FOOD SERVICES                               3.00     100.50 $     34,300,144.00                          3.00      100.50 $     45,740,109.00                          3.00     100.50 $      48,027,115.00 N
EDN 400/MD     FOOD SERVICES                           718.50          6.00 $     26,739,716.00                     718.50           6.00 $     31,104,335.00                     718.50          6.00 $      32,565,052.00 B
EDN 400/OB     BUSINESS SERVICES ADMINISTRATN            18.00            ‐   $        1,244,811.00                   18.00             ‐    $        1,189,710.00                  18.00            ‐     $        1,189,710.00 A
EDN 400/OC     FACILITIES SERVICES                     269.50            ‐    $     23,724,632.00                   269.00           1.00 $     38,686,531.00                     269.00          1.00 $      38,686,531.00 A
EDN 400/OC     FACILITIES SERVICES                           ‐           2.00 $        5,022,625.00                       ‐             2.00 $        5,022,625.00                      ‐             2.00 $        5,022,325.00 W
EDN 400/OD     SCHOOL CUST CENTRALIZED SVCS              10.00            ‐   $           525,597.00                  10.50             ‐    $           568,076.00                 10.50            ‐     $           568,076.00 A
EDN 400/OE     UTILITIES                                     ‐             ‐  $     56,108,608.00                         ‐               ‐  $     59,464,910.00                        ‐               ‐  $      59,464,910.00 A
EDN 400/OF     SCHOOL INSPECTION                             ‐           1.00 $                         ‐                 ‐               ‐  $                         ‐                ‐               ‐  $                         ‐  A
EDN 400/OG     COMMUNITY USE/SCH FACILITIES                  ‐             ‐  $        2,000,000.00                       ‐               ‐  $        2,000,000.00                      ‐               ‐  $        2,000,000.00 B
EDN 400/OI     R&M OF SCHOOL FACILITIES                    0.50          1.00 $     10,338,808.00                         ‐               ‐  $                         ‐                ‐               ‐  $                         ‐  A
EDN 400/OI     R&M OF SCHOOL FACILITIES                      ‐             ‐  $           200,000.00                      ‐               ‐  $           200,000.00                     ‐               ‐  $           200,000.00 B
EDN 400/OJ     ENVIRONMENTAL SERVICES                        ‐             ‐  $           296,644.00                      ‐               ‐  $           647,200.00                     ‐               ‐  $           647,200.00 A
EDN 400/RR     RECONCILE EDN400 TO ACT180/10                 ‐             ‐  $              (4,386.00)                   ‐               ‐  $                         ‐                ‐               ‐  $                         ‐  A
EDN 400/VV     AMERICAN RECOV/REINVESTMT ACT                 ‐             ‐  $                       1.00                ‐               ‐  $                         ‐                ‐               ‐  $                         ‐  V
EDN 400/YA     STUDENT TRANSPORTATION                    21.00            ‐   $     49,284,062.00                     20.50             ‐    $     49,279,193.00                    20.50            ‐     $      49,279,193.00 A
EDN 400/YA     STUDENT TRANSPORTATION                      4.00            ‐  $        1,991,953.00                     4.00             ‐   $        3,000,000.00                    4.00            ‐    $        3,000,000.00 W
EDN 500/PB     STATE ADMIN SVCS‐ADULT ED                   1.00          1.00 $             90,975.00                   1.00             ‐   $           120,577.00                   1.00            ‐    $           120,577.00 A
EDN 500/PB     STATE ADMIN SVCS‐ADULT ED                     ‐           0.50 $           163,849.00                      ‐             0.50 $           163,843.00                     ‐             0.50 $           243,849.00 N
EDN 500/PC     ADULT COMMUNITY EDUCATION                 34.50        19.50 $        4,770,980.00                     42.00           6.00 $        4,952,312.00                    42.00          6.00 $        4,952,312.00 A
EDN 500/PC     ADULT COMMUNITY EDUCATION                     ‐           1.50 $        3,075,379.00                       ‐             1.50 $           790,379.00                     ‐             1.50 $        1,167,000.00 N
EDN 500/PC     ADULT COMMUNITY EDUCATION                     ‐             ‐  $        3,800,000.00                       ‐               ‐  $        3,631,000.00                      ‐               ‐  $        3,631,000.00 B
EDN 500/PC     ADULT COMMUNITY EDUCATION                     ‐             ‐  $                         ‐                 ‐               ‐  $        4,000,000.00                      ‐               ‐  $        4,000,000.00 T
EDN 500/PC     ADULT COMMUNITY EDUCATION                     ‐             ‐  $           795,000.00                      ‐               ‐  $           795,000.00                     ‐               ‐  $           795,000.00 W
EDN 500/RR     RECONCILE EDN500 TO ACT180/10                 ‐             ‐  $             56,877.00                     ‐               ‐  $                         ‐                ‐               ‐  $                         ‐  A
EDN 500/VV     AMERICAN RECOV/REINVESTMT ACT                 ‐             ‐  $                       1.00                ‐               ‐  $                         ‐                ‐               ‐  $                         ‐  V
EDN 500/WA     AFTER SCHOOL PLUS (A+) PROG                   ‐             ‐  $        9,000,000.00                       ‐               ‐  $        6,300,000.00                      ‐               ‐  $        6,300,000.00 U
EDN 500/WA     AFTER SCHOOL PLUS (A+) PROG                   ‐             ‐  $        7,500,000.00                       ‐               ‐  $     10,200,000.00                        ‐               ‐  $      10,200,000.00 W




                                                                                               Page 9
                                                                                                                                                                                                                   2011 Budget Briefing
Department of Education                                                       Table 4
                                     Current Year (FY11) Restrictions
 Prog ID Restriction $$$                                       Impact                                    MOF
As of Dec. 28, 2010 no restriction has been imposed.  

As of Dec. 28, 2010, the Department is placed on quarterly allocations, so of the fiscal year 2010‐11 
appropriation, 87.5% for general funds and 75% for all other means of finance has been released to 
the Department.




                                                    Page 10                                               2011 Budget Briefing
Department of Education                                                                                                                Table 5
                                                                          Proposed FY12 and FY13 Reductions

                                                                                           Pos (P)  Pos (T)                                    Pos (P)  Pos (T) 
       Description of Reduction                    Impact of Reduction           Prog ID    FY12     FY12                $$$ FY12               FY13     FY13              $$$ FY13              MOF Carry‐over? (Y/N)
Ceiling change to more accurately 
reflect the needs of the program     No major impact                          EDN 400/MB          ‐          ‐   $           (36,513.00)        ‐                ‐   $           (36,513.00) B        N
Ceiling change to more accurately 
reflect the needs of the program     No major impact                          EDN 500/PC          ‐          ‐   $         (169,000.00)        ‐                 ‐   $         (169,000.00) B         N
Ceiling change to more accurately 
reflect the needs of the program     No major impact                          EDN 100/DB          ‐          ‐   $      
                                                                                                                       (1,907,093.00)        ‐                   ‐   $      
                                                                                                                                                                           (1,906,093.00) N           N
Ceiling change to more accurately 
reflect the needs of the program     No major impact                          EDN 100/DE          ‐          ‐   $           (40,016.00)        ‐                ‐   $           (40,016.00) N        N
Ceiling change to more accurately 
reflect the needs of the program     No major impact                          EDN 100/DL          ‐          ‐   $      
                                                                                                                       (1,197,471.00)        ‐                   ‐   $      
                                                                                                                                                                           (1,417,887.00) N           N
Ceiling change to more accurately 
reflect the needs of the program     No major impact                          EDN 100/DS          ‐          ‐   $                         ‐          ‐          ‐   $           (63,656.00) N        N
Ceiling change to more accurately 
reflect the needs of the program     No major impact                          EDN 100/DU          ‐          ‐   $                         ‐          ‐          ‐   $         (206,607.00) N         N
Ceiling change to more accurately 
reflect the needs of the program     No major impact                          EDN 150/NB          ‐          ‐   $         (532,387.00)        ‐                 ‐   $         (532,387.00) N         N
Ceiling change to more accurately 
reflect the needs of the program     No major impact                          EDN 500/PB          ‐          ‐   $              
                                                                                                                               (6,182.00)        ‐               ‐   $             
                                                                                                                                                                                  73,824.00 N         N
Ceiling change to more accurately 
reflect the needs of the program     No major impact                          EDN 500/PC          ‐          ‐   $      
                                                                                                                       (2,299,603.00)        ‐                   ‐   $      
                                                                                                                                                                           (1,922,982.00) N           N
Ceiling change to more accurately 
reflect the needs of the program     No major impact                          EDN 100/XA          ‐          ‐   $         (820,000.00)        ‐                 ‐   $         (820,000.00) T         N
Ceiling change to more accurately 
reflect the needs of the program     No major impact                          EDN 100/BR          ‐          ‐   $         (485,585.00)        ‐                 ‐   $         (485,585.00) U         N
Ceiling change to more accurately 
reflect the needs of the program     No major impact                          EDN 200/GC          ‐          ‐   $         (550,000.00)        ‐                 ‐   $         (550,000.00) U         N
Ceiling change to more accurately 
reflect the needs of the program     No major impact                          EDN 500/WA          ‐          ‐   $      
                                                                                                                       (2,700,000.00)        ‐                   ‐   $      
                                                                                                                                                                           (2,700,000.00) U           N
Ceiling change to more accurately 
reflect the needs of the program     No major impact                          EDN 100/CB          ‐          ‐   $              
                                                                                                                               (3,023.00)        ‐               ‐   $              
                                                                                                                                                                                   (3,023.00) W       N
Ceiling change to more accurately 
reflect the needs of the program     No major impact                          EDN 400/OC          ‐          ‐   $                         ‐          ‐          ‐   $                 (300.00) W     N
Elimination of non‐recurring 
expenditure ceiling                  No major impact                          EDN 100/VV          ‐          ‐   $   (53,764,299.00)        ‐                    ‐   $   (53,764,299.00) V            N
Elimination of non‐recurring 
expenditure ceiling                  No major impact                          EDN 150/VV          ‐          ‐   $                     (1.00)        ‐           ‐   $                     (1.00) V   N
Elimination of non‐recurring 
expenditure ceiling                  No major impact                          EDN 200/VV          ‐          ‐   $                     (1.00)        ‐           ‐   $                     (1.00) V   N
Elimination of non‐recurring 
expenditure ceiling                  No major impact                          EDN 300/VV          ‐          ‐   $                     (1.00)        ‐           ‐   $                     (1.00) V   N
Elimination of non‐recurring 
expenditure ceiling                  No major impact                          EDN 400/VV          ‐          ‐   $                     (1.00)        ‐           ‐   $                     (1.00) V   N
Elimination of non‐recurring 
expenditure ceiling                  No major impact                          EDN 500/VV          ‐          ‐   $                     (1.00)       ‐            ‐   $                     (1.00) V   N




                                                                                       Page 11
                                                                                                                                                                                                          2011 Budget Briefing
Department of Education                                                                                      Table 6
                                                            Proposed FY12 and FY13 Additions

    Type                                                                      Pos (P)   Pos (T)                     Pos (P)   Pos (T) 
(FE / HS/ O)               Description of Addition                 Prog ID     FY12      FY12         $$$ FY12       FY13      FY13         $$$ FY13     MOF
      O      Restoration of furlough reduction                  EDN 100/AA          ‐         ‐  $   52,489,126.00       ‐          ‐  $   52,489,126.00 A
             Restoration of Legislative reduction related to 
      O      ARRA                                               EDN 100/AA          ‐          ‐   $   43,000,000.00        ‐                ‐   $   43,000,000.00            A
      O      Restoration of furlough reduction                  EDN 100/BB          ‐          ‐   $        413,543.00       ‐               ‐   $        413,543.00          A
      O      Restoration of furlough reduction                  EDN 100/BF          ‐          ‐   $           13,190.00       ‐             ‐   $           13,190.00        A
      O      Restoration of furlough reduction                  EDN 100/BG          ‐          ‐   $           21,519.00       ‐             ‐   $           21,519.00        A
      O      Restoration of furlough reduction                  EDN 100/BJ          ‐          ‐   $        369,695.00       ‐               ‐   $        369,695.00          A
      O      Restoration of furlough reduction                  EDN 100/BM          ‐          ‐   $        296,792.00       ‐               ‐   $        296,792.00          A
      O      Restoration of furlough reduction                  EDN 100/BO          ‐          ‐   $           74,857.00       ‐             ‐   $           74,857.00        A
      O      Restoration of furlough reduction                  EDN 100/BQ          ‐          ‐   $           64,230.00       ‐             ‐   $           64,230.00        A
      O      Restoration of furlough reduction                  EDN 100/BR          ‐          ‐   $             7,046.00       ‐            ‐   $             7,046.00       U
      O      Restoration of furlough reduction                  EDN 100/BV          ‐          ‐   $        139,940.00       ‐               ‐   $        139,940.00          A
      O      Restoration of furlough reduction                  EDN 100/BX          ‐          ‐   $           92,369.00       ‐             ‐   $           92,369.00        A
      O      Restoration of furlough reduction                  EDN 100/CB          ‐          ‐   $        338,941.00       ‐               ‐   $        338,941.00          A
      O      Restoration of furlough reduction                  EDN 100/CB          ‐          ‐   $             3,023.00       ‐            ‐   $             3,023.00       W
      O      Restoration of furlough reduction                  EDN 100/CJ          ‐          ‐   $           15,876.00       ‐             ‐   $           15,876.00        A
             Ceiling change to more accurately reflect the 
      O      needs of the program                               EDN 100/CN          ‐          ‐   $     1,500,000.00        ‐               ‐   $     1,500,000.00 N
      O      Restoration of furlough reduction                  EDN 100/DB          ‐          ‐   $     1,409,307.00       ‐                ‐   $     1,409,307.00 N
             Ceiling change to more accurately reflect the 
      O      needs of the program                               EDN 100/DH          ‐          ‐   $         
                                                                                                            120,000.00        ‐              ‐   $         
                                                                                                                                                          120,000.00 N
             Ceiling change to more accurately reflect the 
      O      needs of the program                               EDN 100/DQ          ‐          ‐   $           20,000.00        ‐            ‐   $           25,000.00 N
             Ceiling change to more accurately reflect the 
      O      needs of the program                               EDN 100/DS          ‐          ‐   $         
                                                                                                            905,863.00        ‐              ‐   $                        
                                                                                                                                                                         ‐    N
             Ceiling change to more accurately reflect the 
      O      needs of the program                               EDN 100/DU          ‐          ‐   $         
                                                                                                            193,393.00        ‐              ‐   $                        
                                                                                                                                                                         ‐    N
             Ceiling change to more accurately reflect the 
      O      needs of the program                               EDN 100/VV          ‐          ‐   $   28,525,743.00        ‐                ‐   $                        
                                                                                                                                                                         ‐    V
             Ceiling change to more accurately reflect the 
      O      needs of the program                               EDN 100/XB          ‐          ‐   $     6,560,000.00        ‐               ‐   $     6,560,000.00 T
             Ceiling change to more accurately reflect the 
      O      needs of the program                               EDN 100/XC          ‐          ‐   $     1,200,000.00        ‐               ‐   $     1,200,000.00 T
             Ceiling change to more accurately reflect the 
      O      needs of the program                               EDN 100/XE          ‐          ‐   $     8,012,300.00             ‐          ‐   $     8,012,300.00 T


                                                                         Page 12                                                                          2011 Budget Briefing
Department of Education                                                                               Table 6
                                                              Proposed FY12 and FY13 Additions

    Type                                                                        Pos (P)   Pos (T)                         Pos (P)   Pos (T) 
(FE / HS/ O)               Description of Addition                   Prog ID     FY12      FY12          $$$ FY12          FY13      FY13          $$$ FY13        MOF
      O      Restoration of furlough reduction                    EDN 100/XE          ‐         ‐  $           21,485.00       ‐          ‐  $           21,485.00 T
             Ceiling change to more accurately reflect the 
      O      needs of the program                                 EDN 100/XH          ‐          ‐   $         
                                                                                                              300,000.00        ‐              ‐   $         
                                                                                                                                                            300,000.00      T
      O      Restoration of furlough reduction                    EDN 150/FA          ‐          ‐   $   17,501,517.00       ‐                 ‐   $   17,501,517.00        A
      O      Restoration of furlough reduction                    EDN 150/FB          ‐          ‐   $        299,613.00       ‐               ‐   $        299,613.00      A
      O      Restoration of furlough reduction                    EDN 150/FD          ‐          ‐   $           12,287.00       ‐             ‐   $           12,287.00    A
      O      Restoration of furlough reduction                    EDN 150/IC          ‐          ‐   $        175,797.00       ‐               ‐   $        175,797.00      A
      O      Restoration of furlough reduction                    EDN 150/ID          ‐          ‐   $           45,580.00       ‐             ‐   $           45,580.00    A
      O      Restoration of furlough reduction                    EDN 150/NB          ‐          ‐   $     1,135,386.00       ‐                ‐   $     1,135,386.00       N
      O      Restoration of furlough reduction                    EDN 150/SA          ‐          ‐   $     2,010,228.00       ‐                ‐   $     2,010,228.00       A
      O      Restoration of furlough reduction                    EDN 150/VA          ‐          ‐   $        359,696.00       ‐               ‐   $        359,696.00      A
      O      Restoration of furlough reduction                    EDN 150/VC          ‐          ‐   $             8,264.00       ‐            ‐   $             8,264.00   A
      O      Restoration of furlough reduction                    EDN 150/YC          ‐          ‐   $     2,072,506.00       ‐                ‐   $     2,072,506.00       A
      O      Restoration of furlough reduction                    EDN 150/YD          ‐          ‐   $           16,352.00       ‐             ‐   $           16,352.00    A
      O      Restoration of furlough reduction                    EDN 150/YE          ‐          ‐   $           46,306.00       ‐             ‐   $           46,306.00    A
      O      Restoration of furlough reduction                    EDN 150/YG          ‐          ‐   $        327,127.00       ‐               ‐   $        327,127.00      A
      O      Restoration of furlough reduction                    EDN 150/YK          ‐          ‐   $        610,825.00       ‐               ‐   $        610,825.00      A
             Ceiling change to more accurately reflect the 
      O      needs of the program                                 EDN 150/YK          ‐          ‐   $     1,393,703.00                            $     1,393,703.00 W
      O      Restoration of furlough reduction                    EDN 200/GC          ‐          ‐   $           12,665.00          ‐          ‐   $           12,665.00 U
      O      Restoration of furlough reduction                    EDN 200/GH          ‐          ‐   $     1,476,655.00             ‐          ‐   $     1,476,655.00 A
             Ceiling change to more accurately reflect the 
      O      needs of the program                                 EDN 200/GH          ‐          ‐   $         
                                                                                                              135,389.00        ‐              ‐   $         
                                                                                                                                                            135,389.00 B
      O      Restoration of furlough reduction                    EDN 200/GH          ‐          ‐   $           22,919.00       ‐             ‐   $           22,919.00 B
      O      Restoration of furlough reduction                    EDN 200/GJ          ‐          ‐   $        163,082.00       ‐               ‐   $        163,082.00 A
             Ceiling change to more accurately reflect the 
      O      needs of the program                                 EDN 200/GP          ‐          ‐   $           26,000.00        ‐            ‐   $           26,000.00 N
      O      Restoration of furlough reduction                    EDN 200/GP          ‐          ‐   $           28,484.00       ‐             ‐   $           28,484.00 N
             Ceiling change to more accurately reflect the 
      O      needs of the program                                 EDN 200/VV          ‐          ‐   $   19,356,874.00        ‐                ‐   $   20,073,434.00        V
      O      Restoration of furlough reduction                    EDN 300/KC          ‐          ‐   $           28,501.00       ‐             ‐   $           28,501.00    A
      O      Restoration of furlough reduction                    EDN 300/KD          ‐          ‐   $        104,809.00       ‐               ‐   $        104,809.00      A
      O      Restoration of furlough reduction                    EDN 300/KF          ‐          ‐   $        416,141.00       ‐               ‐   $        416,141.00      A
      O      Restoration of furlough reduction                    EDN 300/KH          ‐          ‐   $           49,942.00       ‐             ‐   $           49,942.00    A
      O      Restoration of furlough reduction                    EDN 300/KO          ‐          ‐   $     1,026,924.00       ‐                ‐   $     1,026,924.00       A


                                                                           Page 13                                                                        2011 Budget Briefing
Department of Education                                                                                   Table 6
                                                                Proposed FY12 and FY13 Additions

    Type                                                                          Pos (P)     Pos (T)                             Pos (P)     Pos (T) 
(FE / HS/ O)                 Description of Addition                   Prog ID     FY12        FY12            $$$ FY12            FY13        FY13            $$$ FY13           MOF
      O        Restoration of furlough reduction                    EDN 300/LJ          ‐           ‐    $        171,626.00            ‐           ‐    $        171,626.00      A
      O        Restoration of furlough reduction                    EDN 300/UA          ‐           ‐    $        735,912.00            ‐           ‐    $        735,912.00      A
      O        Restoration of furlough reduction                    EDN 400/MB          ‐           ‐    $           39,048.00          ‐           ‐    $           39,048.00    A
      O        Restoration of furlough reduction                    EDN 400/MB          ‐           ‐    $           36,513.00          ‐           ‐    $           36,513.00    B
               Ceiling change to more accurately reflect the 
     O         needs of the program                                 EDN 400/MB          ‐           ‐    $         
                                                                                                                  800,000.00        ‐               ‐    $         
                                                                                                                                                                  800,000.00 N
     O         Restoration of furlough reduction                    EDN 400/MB          ‐           ‐    $           45,229.00       ‐              ‐    $           45,229.00 N
               Ceiling change to more accurately reflect the 
     O         needs of the program                                 EDN 400/MC          ‐           ‐    $     2,500,000.00        ‐                ‐    $     2,500,000.00 W
     O         Restoration of furlough reduction                    EDN 400/MD          ‐           ‐    $     2,865,011.00       ‐                 ‐    $     2,865,011.00 A
               Ceiling change to more accurately reflect the 
     O         needs of the program                                 EDN 400/MD          ‐           ‐    $     4,353,333.00        ‐                ‐    $     5,814,050.00 B
     O         Restoration of furlough reduction                    EDN 400/MD          ‐           ‐    $           11,286.00       ‐              ‐    $           11,286.00 B
               Ceiling change to more accurately reflect the 
     O         needs of the program                                 EDN 400/MD          ‐           ‐    $   10,928,588.00        ‐                 ‐    $   13,215,594.00        N
     O         Restoration of furlough reduction                    EDN 400/MD          ‐           ‐    $        511,377.00       ‐                ‐    $        511,377.00      N
     O         Restoration of furlough reduction                    EDN 400/OB          ‐           ‐    $           69,439.00       ‐              ‐    $           69,439.00    A
     O         Restoration of furlough reduction                    EDN 400/OC          ‐           ‐    $        963,598.00       ‐                ‐    $        963,598.00      A
     O         Restoration of furlough reduction                    EDN 400/OD          ‐           ‐    $           27,605.00       ‐              ‐    $           27,605.00    A
     O         Restoration of furlough reduction                    EDN 400/OF          ‐           ‐    $             9,010.00       ‐             ‐    $             9,010.00   A
     O         Restoration of furlough reduction                    EDN 400/YA          ‐           ‐    $           58,427.00       ‐              ‐    $           58,427.00    A
               Ceiling change to more accurately reflect the 
     O         needs of the program                                 EDN 400/YA          ‐           ‐    $     1,000,000.00        ‐                ‐    $     1,000,000.00       W
     O         Restoration of furlough reduction                    EDN 400/YA          ‐           ‐    $             8,047.00       ‐             ‐    $             8,047.00   W
     O         Restoration of furlough reduction                    EDN 500/PB          ‐           ‐    $           16,861.00       ‐              ‐    $           16,861.00    A
     O         Restoration of furlough reduction                    EDN 500/PB          ‐           ‐    $             6,176.00       ‐             ‐    $             6,176.00   N
     O         Restoration of furlough reduction                    EDN 500/PC          ‐           ‐    $        334,420.00       ‐                ‐    $        334,420.00      A
     O         Restoration of furlough reduction                    EDN 500/PC          ‐           ‐    $           14,603.00       ‐              ‐    $           14,603.00    N
               Ceiling change to more accurately reflect the 
     O         needs of the program                                 EDN 500/PC          ‐           ‐    $     4,000,000.00        ‐                ‐    $     4,000,000.00 T
     O         Restoration of furlough reduction                    EDN 500/WA          ‐           ‐    $           12,830.00       ‐              ‐    $           12,830.00 A
               Ceiling change to more accurately reflect the 
     O         needs of the program                                 EDN 500/WA          ‐           ‐    $     2,700,000.00             ‐           ‐    $     2,700,000.00 W




                                                                             Page 14                                                                            2011 Budget Briefing
Department of Education                                                                             Table 7
                                         Operating Budget Requests to the New Administration
                                                                  Pos (P)  Pos (T)                                 Pos (P)  Pos (T) 
               Description of Addition                 Prog ID     FY12  FY12                   $$$ FY12            FY13  FY13              $$$ FY13        MOF
Additional funds for compensation for coaches 
and Assistant Athletic Directors                     EDN 100/BM          ‐          ‐      $     1,136,565.00        ‐              ‐   $     1,136,565.00 A
Additional funds for transportation costs and 
supplies for the athletic program                    EDN 100/BM          ‐          ‐      $         396,208.00        ‐            ‐   $         396,208.00 A
Additional temporary positions funds for Families 
for R.E.A.L.                                         EDN 100/BX          ‐      
                                                                               14.00 $     1,000,000.00        ‐                
                                                                                                                               14.00 $     1,000,000.00 A
Additional funds for contracted nursing services 
for elegible students                                EDN 150/SA          ‐          ‐      $     2,081,691.00        ‐              ‐   $     2,081,691.00 A
Additional funds for a new enterprise resource 
planning (ERP) system                                EDN 300/KF          ‐          ‐      $     5,000,000.00        ‐              ‐   $     5,000,000.00 A
Additional funds for student transportation 
contract costs                                       EDN 400/YA          ‐          ‐      $   19,582,270.00        ‐               ‐   $   19,582,270.00 A
Ceiling change to more accurately reflect the 
needs of the program                                 EDN 100/CB          ‐          ‐      $         750,000.00        ‐            ‐   $         750,000.00 B
Ceiling change to more accurately reflect the 
needs of the program                                 EDN 400/OG          ‐             ‐   $     2,800,000.00            ‐          ‐   $     2,800,000.00 B




                                                                       Page 15                                                                2011 Budget Briefing
Department of Education                                                                                   Table 8
                                     Non‐general funds (excluding Federal Funds)
                                                                             Unencumbered Cash 
                          Name of Fund                                                 Balance*                             MOF     Statutory Reference
Adult Education Revolving Fund                                        $                             356,131.00              W     HRS §302A‐435
Adult Education Special Fund                                          $                             678,382.00              B     HRS §302A‐435
After‐School Plus Program Revolving Fund                              $                             888,288.00              W     HRS §302A‐1149.5
Alu Like Projects                                                     $                                66,068.00            T     HRS §302A‐1122
Arts in Public Places                                                 $                                76,693.00            U     HRS §302A‐420
Athletic Trust Fund                                                   $                          1,255,230.00               T     HRS §302A‐1122
Community Use of School Facilities                                    $                          3,170,000.00               B     HRS §302A‐1148
Donations and Gifts                                                   $                          7,157,920.00               T     HRS §302A‐1122
                                                                                                                                  HRS §431:10C‐115 and 
Driver Education Fund                                                 $                          2,342,636.00  U                  §431:10G‐107
Education Design and Construction Project Assessment Fund             $                             917,888.00  W                 HRS §302A‐1508
Education Research and Development Revolving Fund                     $                                  1,879.00  W              HRS §302A‐305
Federal Grants Search, Development, and Application Revolving 
Fund                                                                  $                          2,878,198.00               W     HRS §302A‐1405
Felix Response Team Title VI‐E                                        $                                  4,156.00           B     HRS §302A‐420
Food Distribution Program Revolving Fund                              $                                              ‐      W     HRS §302A‐1315
Foundation and Other Grants                                           $                        10,387,477.00                T     HRS §302A‐1122
Hawaii School‐Level Minor R&M Special Fund                            $                                95,691.00            B     HRS §302A‐1504.5
Hawaii Teachers Standards Board                                       $                          2,440,695.00               B     HRS §302A‐806
Human Resources Stipend Prog Spec Fund                                $                             175,313.00              B     HRS §302A‐707
Office of Hawaiian Affairs                                            $                             596,121.00              T     HRS §302A‐1122
Office of Hawaiian Affairs ‐ Ceded Lands                              $                             105,547.00              T     Executive Order 03‐03
OLELO ‐ Educational Program Public TV                                 $                             966,442.00              T     HRS §302A‐1122
Federal Maximization Revolving Fund                                   $                          1,654,743.00               W     HRS §302A‐1406
Regular Instruction ‐ High School (Lahainaluna Boarding Dept‐
Special Fund)                                                         $                                22,616.00  B               HRS §302A‐420
School Bus Fare Revolving Fund                                        $                          3,354,742.00  W                  HRS §302A‐407.5

School Community Services (A+ Interdepartmental Transfer‐DHS)         $                          1,395,903.00  U                  HRS §302A‐408
School Food Service                                                   $                        13,312,813.00  B                   HRS §302A‐405


                                                            Page 16                                                                         2011 Budget Briefing
Department of Education                                                                      Table 8
                                      Non‐general funds (excluding Federal Funds)
                                                                            Unencumbered Cash 
                          Name of Fund                                          Balance*                        MOF    Statutory Reference
School Special Fee (Reimbursement for Lost Textbook and 
Equipment)                                                            $                          1,180,960.00  B      HRS §302A‐1130.5‐6
Summer School and Intersession Fund                                   $                             440,125.00  B     HRS §302A‐1310
Teacher Housing                                                       $                                55,553.00  W   HRS §302A‐833

*  Balances are as of 10‐31‐10 since data through November was 
not available as of 12‐22‐10.




                                                            Page 17                                                            2011 Budget Briefing
Department of Education                                Table 9
           Emergency Appropriation Requests

 Prog ID   Description of Request             FTE   $$$   MOF
NONE




                           Page 18                         2011 Budget Briefing
Department of Education                                                                                                                                                                                                         Table 10
                                                                                                                                                                        Budget Decisions



                                                                     Department Request FY12                                   Department Request FY13                                     Budget & Finance FY12                                   Budget & Finance FY13                               Governor's Decision FY12                                Governor's Decision FY13
Prog ID/Org                    Description                 MOF Pos (P)   Pos (T)        $$$                              Pos (P)   Pos (T)        $$$                            Pos (P)      Pos (T)         $$$                        Pos (P)      Pos (T)         $$$                        Pos (P)   Pos (T)          $$$                          Pos (P)   Pos (T)          $$$
              Transfer out to reflect Committee on 
EDN 150/YK    Weights recommendation                       A      (253.00)     (17.80) $     (6,104,068.00)   (253.00)     (17.80) $     (6,104,068.00)   (253.00)     (17.80) $     (6,104,068.00)   (253.00)     (17.80) $     (6,104,068.00)   (253.00)     (17.80) $     (6,104,068.00)   (253.00)     (17.80) $     (6,104,068.00)
              Transfer in to reflect Committee on 
EDN 100/AA    Weights recommendation                       A       253.00      17.80 $       6,104,068.00    253.00      17.80 $       6,104,068.00    253.00      17.80 $       6,104,068.00    253.00      17.80 $       6,104,068.00    253.00      17.80 $       6,104,068.00    253.00      17.80 $       6,104,068.00
              Transfer out to reflect program structure 
EDN 150/VA    change                                       A        (12.00)           
                                                                                     ‐        $         
                                                                                                       (938,408.00)     (12.00)           
                                                                                                                                         ‐            $         
                                                                                                                                                               (938,408.00)     (12.00)           
                                                                                                                                                                                                 ‐            $         
                                                                                                                                                                                                                       (938,408.00)     (12.00)           
                                                                                                                                                                                                                                                         ‐            $         
                                                                                                                                                                                                                                                                               (938,408.00)     (12.00)           
                                                                                                                                                                                                                                                                                                                 ‐            $         
                                                                                                                                                                                                                                                                                                                                       (938,408.00)     (12.00)           
                                                                                                                                                                                                                                                                                                                                                                         ‐            $         
                                                                                                                                                                                                                                                                                                                                                                                               (938,408.00)
              Transfer in to reflect program structure 
EDN 200/GD    change                                       A         12.00               
                                                                                        ‐     $          938,408.00          12.00               
                                                                                                                                                ‐     $          938,408.00          12.00               
                                                                                                                                                                                                        ‐     $          938,408.00          12.00               
                                                                                                                                                                                                                                                                ‐     $          938,408.00          12.00               
                                                                                                                                                                                                                                                                                                                        ‐     $          938,408.00          12.00               
                                                                                                                                                                                                                                                                                                                                                                                ‐     $          938,408.00
EDN 100/CB    Transfer to EDN 200/GN                       A        (66.50)              
                                                                                        ‐     $     (3,634,176.00)          (66.50)             ‐     $     (3,634,176.00)          (66.50)             ‐     $     (3,634,176.00)          (66.50)             ‐     $     (3,634,176.00)          (66.50)             ‐     $     (3,634,176.00)          (66.50)             ‐     $     (3,634,176.00)
EDN 200/GN    Transfer from EDN 100/CB                     A         66.50               
                                                                                        ‐     $       3,634,176.00           66.50              ‐     $       3,634,176.00           66.50              ‐     $       3,634,176.00           66.50              ‐     $       3,634,176.00           66.50              ‐     $       3,634,176.00           66.50              ‐     $       3,634,176.00
EDN 150/FB    Transfer to EDN 200/GD                       A          (6.00)             
                                                                                        ‐     $         (352,768.00)          (6.00)            ‐     $         (352,768.00)          (6.00)            ‐     $         (352,768.00)          (6.00)            ‐     $         (352,768.00)          (6.00)            ‐     $         (352,768.00)          (6.00)            ‐     $         (352,768.00)
EDN 200/GD    Transfer from EDN 150/FB                     A            
                                                                       6.00              
                                                                                        ‐     $          352,768.00            6.00             ‐     $          352,768.00            6.00             ‐     $          352,768.00             
                                                                                                                                                                                                                                               6.00             ‐     $          352,768.00            6.00             ‐     $          352,768.00            6.00             ‐     $          352,768.00
EDN 150/IC    Transfer to EDN 200/GN                       A        (47.00)              
                                                                                        ‐     $     (2,425,096.00)          (47.00)             ‐     $     (2,425,096.00)          (47.00)             ‐     $     (2,425,096.00)          (47.00)             ‐     $     (2,425,096.00)          (47.00)             ‐     $     (2,425,096.00)          (47.00)             ‐     $     (2,425,096.00)
EDN 200/GN    Transfer from EDN 150/IC                     A         47.00               
                                                                                        ‐     $       2,425,096.00           47.00              ‐     $       2,425,096.00           47.00              ‐     $       2,425,096.00           47.00              ‐     $       2,425,096.00           47.00              ‐     $       2,425,096.00           47.00              ‐     $       2,425,096.00
EDN 150/ID    Transfer to EDN 200/GN                       A          (7.00)             
                                                                                        ‐     $         (441,776.00)          (7.00)            ‐     $         (441,776.00)          (7.00)            ‐     $         (441,776.00)          (7.00)            ‐     $         (441,776.00)          (7.00)            ‐     $         (441,776.00)          (7.00)            ‐     $         (441,776.00)
EDN 200/GN    Transfer from EDN 150/ID                     A            
                                                                       7.00              
                                                                                        ‐     $          441,776.00            7.00             ‐     $          441,776.00            7.00             ‐     $          441,776.00             
                                                                                                                                                                                                                                               7.00             ‐     $          441,776.00            7.00             ‐     $          441,776.00            7.00             ‐     $          441,776.00
EDN 150/VA    Transfer to EDN 300/KF                       A          (1.00)             
                                                                                        ‐     $           (77,069.00)         (1.00)            ‐     $           (77,069.00)         (1.00)            ‐     $           (77,069.00)         (1.00)            ‐     $           (77,069.00)         (1.00)            ‐     $           (77,069.00)         (1.00)            ‐     $           (77,069.00)
EDN 300/KF    Transfer from EDN 150/VA                     A            
                                                                       1.00              
                                                                                        ‐     $            77,069.00           1.00             ‐     $            77,069.00           1.00             ‐     $            77,069.00            
                                                                                                                                                                                                                                               1.00             ‐     $            77,069.00           1.00             ‐     $            77,069.00           1.00             ‐     $            77,069.00
EDN 150/VA    Transfer to EDN 200/GN                       A          (7.00)             
                                                                                        ‐     $         (258,216.00)          (7.00)            ‐     $         (258,216.00)          (7.00)            ‐     $         (258,216.00)          (7.00)            ‐     $         (258,216.00)          (7.00)            ‐     $         (258,216.00)          (7.00)            ‐     $         (258,216.00)
EDN 200/GN    Transfer from EDN 150/VA                     A            
                                                                       7.00              
                                                                                        ‐     $          258,216.00            7.00             ‐     $          258,216.00            7.00             ‐     $          258,216.00             
                                                                                                                                                                                                                                               7.00             ‐     $          258,216.00            7.00             ‐     $          258,216.00            7.00             ‐     $          258,216.00
EDN 150/YC    Transfer to EDN 200/GB                       A          (1.00)             
                                                                                        ‐     $           (77,069.00)         (1.00)            ‐     $           (77,069.00)         (1.00)            ‐     $           (77,069.00)         (1.00)            ‐     $           (77,069.00)         (1.00)            ‐     $           (77,069.00)         (1.00)            ‐     $           (77,069.00)
EDN 200/GB    Transfer from EDN 150/YC                     A            
                                                                       1.00              
                                                                                        ‐     $            77,069.00           1.00             ‐     $            77,069.00           1.00             ‐     $            77,069.00            
                                                                                                                                                                                                                                               1.00             ‐     $            77,069.00           1.00             ‐     $            77,069.00           1.00             ‐     $            77,069.00
EDN 150/YC    Transfer to EDN 200/GN                       A        (22.00)              
                                                                                        ‐     $     (1,097,436.00)          (22.00)             ‐     $     (1,097,436.00)          (22.00)             ‐     $     (1,097,436.00)          (22.00)             ‐     $     (1,097,436.00)          (22.00)             ‐     $     (1,097,436.00)          (22.00)             ‐     $     (1,097,436.00)
EDN 200/GN    Transfer from EDN 150/YC                     A         22.00               
                                                                                        ‐     $       1,097,436.00           22.00              ‐     $       1,097,436.00           22.00              ‐     $       1,097,436.00           22.00              ‐     $       1,097,436.00           22.00              ‐     $       1,097,436.00           22.00              ‐     $       1,097,436.00
EDN 150/YC    Transfer to EDN 300/KF                       A          (7.00)             
                                                                                        ‐     $         (333,000.00)          (7.00)            ‐     $         (333,000.00)          (7.00)            ‐     $         (333,000.00)          (7.00)            ‐     $         (333,000.00)          (7.00)            ‐     $         (333,000.00)          (7.00)            ‐     $         (333,000.00)
EDN 300/KF    Transfer from EDN 150/YC                     A            
                                                                       7.00              
                                                                                        ‐     $          333,000.00            7.00             ‐     $          333,000.00            7.00             ‐     $          333,000.00             
                                                                                                                                                                                                                                               7.00             ‐     $          333,000.00            7.00             ‐     $          333,000.00            7.00             ‐     $          333,000.00
EDN 300/KF    Transfer to EDN 100/CB                       A          (1.00)             
                                                                                        ‐     $           (42,132.00)         (1.00)            ‐     $           (42,132.00)         (1.00)            ‐     $           (42,132.00)         (1.00)            ‐     $           (42,132.00)         (1.00)            ‐     $           (42,132.00)         (1.00)            ‐     $           (42,132.00)
EDN 100/CB    Transfer from EDN 300/KF                     A            
                                                                       1.00              
                                                                                        ‐     $            42,132.00           1.00             ‐     $            42,132.00           1.00             ‐     $            42,132.00            
                                                                                                                                                                                                                                               1.00             ‐     $            42,132.00           1.00             ‐     $            42,132.00           1.00             ‐     $            42,132.00
EDN 300/KF    Transfer to EDN 300/KD                       A          (5.00)             
                                                                                        ‐     $         (293,188.00)          (5.00)            ‐     $         (293,188.00)          (5.00)            ‐     $         (293,188.00)          (5.00)            ‐     $         (293,188.00)          (5.00)            ‐     $         (293,188.00)          (5.00)            ‐     $         (293,188.00)
EDN 300/KD    Transfer from EDN 300/KF                     A            
                                                                       5.00              
                                                                                        ‐     $          293,188.00            5.00             ‐     $          293,188.00            5.00             ‐     $          293,188.00             
                                                                                                                                                                                                                                               5.00             ‐     $          293,188.00            5.00             ‐     $          293,188.00            5.00             ‐     $          293,188.00
EDN 300/LJ    Transfer to EDN 200/GD                       A          (2.00)             
                                                                                        ‐     $         (198,268.00)          (2.00)            ‐     $         (198,268.00)          (2.00)            ‐     $         (198,268.00)          (2.00)            ‐     $         (198,268.00)          (2.00)            ‐     $         (198,268.00)          (2.00)            ‐     $         (198,268.00)
EDN 200/GD    Transfer from EDN 300/LJ                     A            
                                                                       2.00              
                                                                                        ‐     $          198,268.00            2.00             ‐     $          198,268.00            2.00             ‐     $          198,268.00             
                                                                                                                                                                                                                                               2.00             ‐     $          198,268.00            2.00             ‐     $          198,268.00            2.00             ‐     $          198,268.00
EDN 300/LJ    Transfer to EDN 200/GN                       A        (51.00)              
                                                                                        ‐     $     (3,849,418.00)          (51.00)             ‐     $     (3,849,418.00)          (51.00)             ‐     $     (3,849,418.00)          (51.00)             ‐     $     (3,849,418.00)          (51.00)             ‐     $     (3,849,418.00)          (51.00)             ‐     $     (3,849,418.00)
EDN 200/GN    Transfer from EDN 300/LJ                     A         51.00               
                                                                                        ‐     $       3,849,418.00           51.00              ‐     $       3,849,418.00           51.00              ‐     $       3,849,418.00           51.00              ‐     $       3,849,418.00           51.00              ‐     $       3,849,418.00           51.00              ‐     $       3,849,418.00
EDN 400/OB    Transfer to EDN 400/OC                       A          (1.00)             
                                                                                        ‐     $           (77,069.00)         (1.00)            ‐     $           (77,069.00)         (1.00)            ‐     $           (77,069.00)         (1.00)            ‐     $           (77,069.00)         (1.00)            ‐     $           (77,069.00)         (1.00)            ‐     $           (77,069.00)
EDN 400/OC    Transfer from EDN 400/OB                     A            
                                                                       1.00              
                                                                                        ‐     $            77,069.00           1.00             ‐     $            77,069.00           1.00             ‐     $            77,069.00            
                                                                                                                                                                                                                                               1.00             ‐     $            77,069.00           1.00             ‐     $            77,069.00           1.00             ‐     $            77,069.00
EDN 400/OC    Transfer to EDN 400/OD                       A          (1.50)             
                                                                                        ‐     $           (49,842.00)         (1.50)            ‐     $           (49,842.00)         (1.50)            ‐     $           (49,842.00)         (1.50)            ‐     $           (49,842.00)         (1.50)            ‐     $           (49,842.00)         (1.50)            ‐     $           (49,842.00)
EDN 400/OD    Transfer from EDN 400/OC                     A            
                                                                       1.50              
                                                                                        ‐     $            49,842.00           1.50             ‐     $            49,842.00           1.50             ‐     $            49,842.00            
                                                                                                                                                                                                                                               1.50             ‐     $            49,842.00           1.50             ‐     $            49,842.00           1.50             ‐     $            49,842.00
EDN 400/OC    Transfer to EDN 400/OB                       A          (1.00)             
                                                                                        ‐     $           (51,312.00)         (1.00)            ‐     $           (51,312.00)         (1.00)            ‐     $           (51,312.00)         (1.00)            ‐     $           (51,312.00)         (1.00)            ‐     $           (51,312.00)         (1.00)            ‐     $           (51,312.00)
EDN 400/OB    Transfer from EDN 400/OC                     A            
                                                                       1.00              
                                                                                        ‐     $            51,312.00           1.00             ‐     $            51,312.00           1.00             ‐     $            51,312.00            
                                                                                                                                                                                                                                               1.00             ‐     $            51,312.00           1.00             ‐     $            51,312.00           1.00             ‐     $            51,312.00
EDN 400/OD    Transfer to EDN 200/GG                       A          (1.00)             
                                                                                        ‐     $           (33,228.00)         (1.00)            ‐     $           (33,228.00)         (1.00)            ‐     $           (33,228.00)         (1.00)            ‐     $           (33,228.00)         (1.00)            ‐     $           (33,228.00)         (1.00)            ‐     $           (33,228.00)
EDN 200/GG    Transfer from EDN 400/OD                     A            
                                                                       1.00              
                                                                                        ‐     $            33,228.00           1.00             ‐     $            33,228.00           1.00             ‐     $            33,228.00            
                                                                                                                                                                                                                                               1.00             ‐     $            33,228.00           1.00             ‐     $            33,228.00           1.00             ‐     $            33,228.00
EDN 400/OI    Transfer to EDN 400/OC                       A          (0.50)         (1.00)   $           (80,514.00)         (0.50)         (1.00)   $           (80,514.00)         (0.50)         (1.00)   $           (80,514.00)         (0.50)         (1.00)   $           (80,514.00)         (0.50)         (1.00)   $           (80,514.00)         (0.50)         (1.00)   $           (80,514.00)
EDN 400/OC    Transfer from EDN 400/OI                     A            
                                                                       0.50            
                                                                                      1.00    $            80,514.00           0.50           1.00    $            80,514.00           0.50           1.00    $            80,514.00            
                                                                                                                                                                                                                                               0.50           1.00    $            80,514.00           0.50           1.00    $            80,514.00           0.50           1.00    $            80,514.00
EDN 400/YA    Transfer to EDN 400/OC                       A          (0.50)             
                                                                                        ‐     $           (13,350.00)         (0.50)            ‐     $           (13,350.00)         (0.50)            ‐     $           (13,350.00)         (0.50)            ‐     $           (13,350.00)         (0.50)            ‐     $           (13,350.00)         (0.50)            ‐     $           (13,350.00)
EDN 400/OC    Transfer from EDN 400/YA                     A            
                                                                       0.50              
                                                                                        ‐     $            13,350.00           0.50             ‐     $            13,350.00           0.50             ‐     $            13,350.00            
                                                                                                                                                                                                                                               0.50             ‐     $            13,350.00           0.50             ‐     $            13,350.00           0.50             ‐     $            13,350.00
EDN 200/GC    Transfer to EDN 200/GQ                       N              
                                                                         ‐           (2.00)   $         (500,000.00)             ‐           (2.00)   $         (500,000.00)             ‐           (2.00)   $         (500,000.00)              
                                                                                                                                                                                                                                                 ‐           (2.00)   $         (500,000.00)             ‐           (2.00)   $         (500,000.00)             ‐           (2.00)   $         (500,000.00)
EDN 200/GQ    Transfer from EDN 200/GC                     N              
                                                                         ‐             
                                                                                      2.00    $          500,000.00              ‐            2.00    $          500,000.00              ‐            2.00    $          500,000.00               
                                                                                                                                                                                                                                                 ‐            2.00    $          500,000.00              ‐            2.00    $          500,000.00              ‐            2.00    $          500,000.00
EDN 100/AA    To realign budget to reflect current use     A                                  $   (16,475,030.00)                                     $   (16,475,030.00)                                     $   (16,475,030.00)                                     $   (16,475,030.00)                                     $   (16,475,030.00)                                     $   (16,475,030.00)
EDN 100/BB    To realign budget to reflect current use     A                                  $         (297,802.00)                                  $         (297,802.00)                                  $         (297,802.00)                                  $         (297,802.00)                                  $         (297,802.00)                                  $         (297,802.00)
EDN 100/BF    To realign budget to reflect current use     A                                  $           (13,190.00)                                 $           (13,190.00)                                 $           (13,190.00)                                 $           (13,190.00)                                 $           (13,190.00)                                 $           (13,190.00)
EDN 100/BG    To realign budget to reflect current use     A                                  $           (21,519.00)                                 $           (21,519.00)                                 $           (21,519.00)                                 $           (21,519.00)                                 $           (21,519.00)                                 $           (21,519.00)
EDN 100/BJ    To realign budget to reflect current use     A                                  $          143,077.00                                   $          143,077.00                                   $          143,077.00                                   $          143,077.00                                   $          143,077.00                                   $          143,077.00
EDN 100/BL    To realign budget to reflect current use     A                                  $            39,440.00                                  $            39,440.00                                  $            39,440.00                                  $            39,440.00                                  $            39,440.00                                  $            39,440.00
EDN 100/BM    To realign budget to reflect current use     A                                  $          358,166.00                                   $          358,166.00                                   $          358,166.00                                   $          358,166.00                                   $          358,166.00                                   $          358,166.00
EDN 100/BO    To realign budget to reflect current use     A                                  $            77,855.00                                  $            77,855.00                                  $            77,855.00                                  $            77,855.00                                  $            77,855.00                                  $            77,855.00
EDN 100/BQ    To realign budget to reflect current use     A                                  $            31,006.00                                  $            31,006.00                                  $            31,006.00                                  $            31,006.00                                  $            31,006.00                                  $            31,006.00
EDN 100/BS    To realign budget to reflect current use     A                                  $           (42,708.00)                                 $           (42,708.00)                                 $           (42,708.00)                                 $           (42,708.00)                                 $           (42,708.00)                                 $           (42,708.00)
EDN 100/BV    To realign budget to reflect current use     A                                  $           (57,205.00)                                 $           (57,205.00)                                 $           (57,205.00)                                 $           (57,205.00)                                 $           (57,205.00)                                 $           (57,205.00)
EDN 100/BX    To realign budget to reflect current use     A                                  $          879,585.00                                   $          879,585.00                                   $          879,585.00                                   $          879,585.00                                   $          879,585.00                                   $          879,585.00
EDN 100/CB    To realign budget to reflect current use     A                                  $           (49,847.00)                                 $           (49,847.00)                                 $           (49,847.00)                                 $           (49,847.00)                                 $           (49,847.00)                                 $           (49,847.00)
EDN 100/CJ    To realign budget to reflect current use     A                                  $            38,988.00                                  $            38,988.00                                  $            38,988.00                                  $            38,988.00                                  $            38,988.00                                  $            38,988.00
EDN 100/CN    To realign budget to reflect current use     A                                  $       1,356,331.00                                    $       1,356,331.00                                    $       1,356,331.00                                    $       1,356,331.00                                    $       1,356,331.00                                    $       1,356,331.00
EDN 100/CQ    To realign budget to reflect current use     A                                  $          246,699.00                                   $          246,699.00                                   $          246,699.00                                   $          246,699.00                                   $          246,699.00                                   $          246,699.00
EDN 100/EI    To realign budget to reflect current use     A                                  $          152,000.00                                   $          152,000.00                                   $          152,000.00                                   $          152,000.00                                   $          152,000.00                                   $          152,000.00




                                                                                                                                                                                Page 19
                                                                                                                                                                                                                                                                                                                                                                                          2011 Budget Briefing
Department of Education                                                                                                                                                                                                                     Table 10
                                                                                                                                                                                 Budget Decisions



                                                                    Department Request FY12                     Department Request FY13                       Budget & Finance FY12                        Budget & Finance FY13                      Governor's Decision FY12                    Governor's Decision FY13
 Prog ID/Org                    Description               MOF Pos (P)   Pos (T)              $$$          Pos (P)   Pos (T)              $$$          Pos (P)    Pos (T)              $$$          Pos (P)    Pos (T)              $$$          Pos (P)   Pos (T)              $$$          Pos (P)   Pos (T)              $$$
EDN  100/RR    To realign budget to reflect current use   A                      $           (42,241.00)                     $           (42,241.00)                      $           (42,241.00)                      $           (42,241.00)                     $           (42,241.00)                     $           (42,241.00)
EDN 150/FA     To realign budget to reflect current use   A                      $         (792,132.00)                      $         (792,132.00)                       $         (792,132.00)                       $         (792,132.00)                      $         (792,132.00)                      $         (792,132.00)
EDN 150/FB     To realign budget to reflect current use   A                      $         (146,379.00)                      $         (146,379.00)                       $         (146,379.00)                       $         (146,379.00)                      $         (146,379.00)                      $         (146,379.00)
EDN 150/FC     To realign budget to reflect current use   A                      $            57,459.00                      $            57,459.00                       $            57,459.00                       $            57,459.00                      $            57,459.00                      $            57,459.00
EDN 150/FD     To realign budget to reflect current use   A                      $          509,575.00                       $          509,575.00                        $          509,575.00                        $          509,575.00                       $          509,575.00                       $          509,575.00
EDN 150/IC     To realign budget to reflect current use   A                      $            29,336.00                      $            29,336.00                       $            29,336.00                       $            29,336.00                      $            29,336.00                      $            29,336.00
EDN 150/ID     To realign budget to reflect current use   A                      $           (30,956.00)                     $           (30,956.00)                      $           (30,956.00)                      $           (30,956.00)                     $           (30,956.00)                     $           (30,956.00)
EDN 150/II     To realign budget to reflect current use   A                      $     (1,035,334.00)                        $     (1,035,334.00)                         $     (1,035,334.00)                         $     (1,035,334.00)                        $     (1,035,334.00)                        $     (1,035,334.00)
EDN 150/RA     To realign budget to reflect current use   A                      $           (11,023.00)                     $           (11,023.00)                      $           (11,023.00)                      $           (11,023.00)                     $           (11,023.00)                     $           (11,023.00)
EDN  150/RR    To realign budget to reflect current use   A                      $          162,770.00                       $          162,770.00                        $          162,770.00                        $          162,770.00                       $          162,770.00                       $          162,770.00
EDN 150/SA     To realign budget to reflect current use   A                      $       2,181,625.00                        $       2,181,625.00                         $       2,181,625.00                         $       2,181,625.00                        $       2,181,625.00                        $       2,181,625.00
EDN 150/TA     To realign budget to reflect current use   A                      $       1,380,724.00                        $       1,380,724.00                         $       1,380,724.00                         $       1,380,724.00                        $       1,380,724.00                        $       1,380,724.00
EDN 150/VA     To realign budget to reflect current use   A                      $           (99,545.00)                     $           (99,545.00)                      $           (99,545.00)                      $           (99,545.00)                     $           (99,545.00)                     $           (99,545.00)
EDN 150/VC     To realign budget to reflect current use   A                      $          481,122.00                       $          481,122.00                        $          481,122.00                        $          481,122.00                       $          481,122.00                       $          481,122.00
EDN 150/YC     To realign budget to reflect current use   A                      $         (351,939.00)                      $         (351,939.00)                       $         (351,939.00)                       $         (351,939.00)                      $         (351,939.00)                      $         (351,939.00)
EDN 150/YD     To realign budget to reflect current use   A                      $             (9,433.00)                    $             (9,433.00)                     $             (9,433.00)                     $             (9,433.00)                    $             (9,433.00)                    $             (9,433.00)
EDN 150/YE     To realign budget to reflect current use   A                      $           (11,795.00)                     $           (11,795.00)                      $           (11,795.00)                      $           (11,795.00)                     $           (11,795.00)                     $           (11,795.00)
EDN 150/YG     To realign budget to reflect current use   A                      $       2,064,639.00                        $       2,064,639.00                         $       2,064,639.00                         $       2,064,639.00                        $       2,064,639.00                        $       2,064,639.00
EDN 150/YK     To realign budget to reflect current use   A                      $           (21,899.00)                     $           (21,899.00)                      $           (21,899.00)                      $           (21,899.00)                     $           (21,899.00)                     $           (21,899.00)
EDN 200/GB     To realign budget to reflect current use   A                      $           (80,579.00)                     $           (80,579.00)                      $           (80,579.00)                      $           (80,579.00)                     $           (80,579.00)                     $           (80,579.00)
EDN 200/GC     To realign budget to reflect current use   A                      $         (121,485.00)                      $         (121,485.00)                       $         (121,485.00)                       $         (121,485.00)                      $         (121,485.00)                      $         (121,485.00)
EDN 200/GD     To realign budget to reflect current use   A                      $       2,913,254.00                        $       2,913,254.00                         $       2,913,254.00                         $       2,913,254.00                        $       2,913,254.00                        $       2,913,254.00
EDN 200/GG     To realign budget to reflect current use   A                      $       1,094,992.00                        $       1,094,992.00                         $       1,094,992.00                         $       1,094,992.00                        $       1,094,992.00                        $       1,094,992.00
EDN 200/GH     To realign budget to reflect current use   A                      $          498,585.00                       $          498,585.00                        $          498,585.00                        $          498,585.00                       $          498,585.00                       $          498,585.00
EDN 200/GJ     To realign budget to reflect current use   A                      $         (210,497.00)                      $         (210,497.00)                       $         (210,497.00)                       $         (210,497.00)                      $         (210,497.00)                      $         (210,497.00)
EDN 200/GM     To realign budget to reflect current use   A                      $         (349,001.00)                      $         (349,001.00)                       $         (349,001.00)                       $         (349,001.00)                      $         (349,001.00)                      $         (349,001.00)
EDN 200/GN     To realign budget to reflect current use   A                      $         (275,527.00)                      $         (275,527.00)                       $         (275,527.00)                       $         (275,527.00)                      $         (275,527.00)                      $         (275,527.00)
EDN 200/GP     To realign budget to reflect current use   A                      $       5,637,934.00                        $       5,637,934.00                         $       5,637,934.00                         $       5,637,934.00                        $       5,637,934.00                        $       5,637,934.00
EDN 200/GQ     To realign budget to reflect current use   A                      $          236,214.00                       $          236,214.00                        $          236,214.00                        $          236,214.00                       $          236,214.00                       $          236,214.00
EDN  200/RR    To realign budget to reflect current use   A                      $         (474,265.00)                      $         (474,265.00)                       $         (474,265.00)                       $         (474,265.00)                      $         (474,265.00)                      $         (474,265.00)
EDN 300/KC     To realign budget to reflect current use   A                      $           (18,040.00)                     $           (18,040.00)                      $           (18,040.00)                      $           (18,040.00)                     $           (18,040.00)                     $           (18,040.00)
EDN 300/KD     To realign budget to reflect current use   A                      $          118,425.00                       $          118,425.00                        $          118,425.00                        $          118,425.00                       $          118,425.00                       $          118,425.00
EDN 300/KF     To realign budget to reflect current use   A                      $          680,224.00                       $          680,224.00                        $          680,224.00                        $          680,224.00                       $          680,224.00                       $          680,224.00
EDN 300/KH     To realign budget to reflect current use   A                      $            43,679.00                      $            43,679.00                       $            43,679.00                       $            43,679.00                      $            43,679.00                      $            43,679.00
EDN 300/KO     To realign budget to reflect current use   A                      $     (2,985,037.00)                        $     (2,985,037.00)                         $     (2,985,037.00)                         $     (2,985,037.00)                        $     (2,985,037.00)                        $     (2,985,037.00)
EDN 300/LJ     To realign budget to reflect current use   A                      $           (90,879.00)                     $           (90,879.00)                      $           (90,879.00)                      $           (90,879.00)                     $           (90,879.00)                     $           (90,879.00)
EDN  300/RR    To realign budget to reflect current use   A                      $          406,227.00                       $          406,227.00                        $          406,227.00                        $          406,227.00                       $          406,227.00                       $          406,227.00
EDN 300/UA     To realign budget to reflect current use   A                      $       4,147,318.00                        $       4,147,318.00                         $       4,147,318.00                         $       4,147,318.00                        $       4,147,318.00                        $       4,147,318.00
EDN 400/MB     To realign budget to reflect current use   A                      $         (101,590.00)                      $         (101,590.00)                       $         (101,590.00)                       $         (101,590.00)                      $         (101,590.00)                      $         (101,590.00)
EDN 400/MC     To realign budget to reflect current use   A                      $            15,316.00                      $            15,316.00                       $            15,316.00                       $            15,316.00                      $            15,316.00                      $            15,316.00
EDN 400/MD     To realign budget to reflect current use   A                      $     (8,777,627.00)                        $     (8,777,627.00)                         $     (8,777,627.00)                         $     (8,777,627.00)                        $     (8,777,627.00)                        $     (8,777,627.00)
EDN 400/OB     To realign budget to reflect current use   A                      $           (98,783.00)                     $           (98,783.00)                      $           (98,783.00)                      $           (98,783.00)                     $           (98,783.00)                     $           (98,783.00)
EDN 400/OC     To realign budget to reflect current use   A                      $     
                                                                                      13,928,522.00                          $    13,928,522.00                           $    13,928,522.00                           $    13,928,522.00                          $    13,928,522.00                          $    13,928,522.00
EDN 400/OD     To realign budget to reflect current use   A                      $             (1,740.00)                    $             (1,740.00)                     $             (1,740.00)                     $             (1,740.00)                    $             (1,740.00)                    $             (1,740.00)
EDN 400/OE     To realign budget to reflect current use   A                      $       3,356,302.00                        $       3,356,302.00                         $       3,356,302.00                         $       3,356,302.00                        $       3,356,302.00                        $       3,356,302.00
EDN 400/OF     To realign budget to reflect current use   A                      $             (9,010.00)                    $             (9,010.00)                     $             (9,010.00)                     $             (9,010.00)                    $             (9,010.00)                    $             (9,010.00)
EDN 400/OI     To realign budget to reflect current use   A                      $   (10,258,294.00)                         $   (10,258,294.00)                          $   (10,258,294.00)                          $   (10,258,294.00)                         $   (10,258,294.00)                         $   (10,258,294.00)
EDN 400/OJ     To realign budget to reflect current use   A                      $          350,556.00                       $          350,556.00                        $          350,556.00                        $          350,556.00                       $          350,556.00                       $          350,556.00
EDN  400/RR    To realign budget to reflect current use   A                      $              4,386.00                     $              4,386.00                      $              4,386.00                      $              4,386.00                     $              4,386.00                     $              4,386.00
EDN 400/YA     To realign budget to reflect current use   A                      $           (49,946.00)                     $           (49,946.00)                      $           (49,946.00)                      $           (49,946.00)                     $           (49,946.00)                     $           (49,946.00)
EDN 500/PB     To realign budget to reflect current use   A                      $            12,741.00                      $            12,741.00                       $            12,741.00                       $            12,741.00                      $            12,741.00                      $            12,741.00
EDN 500/PC     To realign budget to reflect current use   A                      $         (153,088.00)                      $         (153,088.00)                       $         (153,088.00)                       $         (153,088.00)                      $         (153,088.00)                      $         (153,088.00)
EDN  500/RR    To realign budget to reflect current use   A                      $           (56,877.00)                     $           (56,877.00)                      $           (56,877.00)                      $           (56,877.00)                     $           (56,877.00)                     $           (56,877.00)
EDN 500/WA     To realign budget to reflect current use   A                      $           (12,830.00)                     $           (12,830.00)                      $           (12,830.00)                      $           (12,830.00)                     $           (12,830.00)                     $           (12,830.00)
               Reduce unfunded temporary FTEs in 
EDN 100/AA     Weighted Student Formula                   A               
                                                                         ‐         (40.00) $                        ‐                
                                                                                                                                    ‐         (40.00) $                        ‐                
                                                                                                                                                                                               ‐         (40.00) $                        ‐                
                                                                                                                                                                                                                                                          ‐         (40.00) $                        ‐                
                                                                                                                                                                                                                                                                                                                     ‐         (40.00) $                        ‐                
                                                                                                                                                                                                                                                                                                                                                                                ‐         (40.00) $                        ‐
               Reduce FTEs as a result of BOE and 
EDN 100/BF     Legislative reductions                     A           (3.50)           
                                                                                      ‐       $                        ‐         (3.50)           
                                                                                                                                                 ‐       $                        ‐         (3.50)           
                                                                                                                                                                                                            ‐       $                        ‐         (3.50)           
                                                                                                                                                                                                                                                                       ‐       $                        ‐         (3.50)           
                                                                                                                                                                                                                                                                                                                                  ‐       $                        ‐         (3.50)           
                                                                                                                                                                                                                                                                                                                                                                                             ‐       $                        ‐
               Reduce FTEs as a result of BOE and 
EDN 100/BG     Legislative reductions                     A           (4.00)       (1.00) $                        ‐             (4.00)       (1.00) $                        ‐             (4.00)       (1.00) $                        ‐             (4.00)       (1.00) $                        ‐             (4.00)       (1.00) $                        ‐             (4.00)       (1.00) $                        ‐
               Reduce FTEs as a result of BOE and 
EDN 100/BX     Legislative reductions                     A           (2.00)       (6.50) $                        ‐             (2.00)       (6.50) $                        ‐             (2.00)       (6.50) $                        ‐             (2.00)       (6.50) $                        ‐             (2.00)       (6.50) $                        ‐             (2.00)       (6.50) $                        ‐
               Reduce FTEs as a result of BOE and 
EDN 100/CB     Legislative reductions                     A           (1.00)           
                                                                                      ‐       $                        ‐         (1.00)           
                                                                                                                                                 ‐       $                        ‐         (1.00)           
                                                                                                                                                                                                            ‐       $                        ‐         (1.00)           
                                                                                                                                                                                                                                                                       ‐       $                        ‐         (1.00)           
                                                                                                                                                                                                                                                                                                                                  ‐       $                        ‐         (1.00)           
                                                                                                                                                                                                                                                                                                                                                                                             ‐       $                        ‐




                                                                                                                                                                                      Page 20
                                                                                                                                                                                                                                                                                                                                                                                                          2011 Budget Briefing
Department of Education                                                                                                                                                                                                                         Table 10
                                                                                                                                                                              Budget Decisions



                                                                Department Request FY12                                       Department Request FY13                                           Budget & Finance FY12                                       Budget & Finance FY13                                 Governor's Decision FY12                                    Governor's Decision FY13
 Prog ID/Org                    Description           MOF Pos (P)   Pos (T)        $$$                                  Pos (P)   Pos (T)        $$$                                Pos (P)        Pos (T)         $$$                          Pos (P)        Pos (T)         $$$                          Pos (P)   Pos (T)          $$$                              Pos (P)   Pos (T)          $$$
               Reduce FTEs as a result of BOE and 
EDN 150/FA     Legislative reductions                 A      (153.88)   (107.25) $                        ‐              (153.88)   (107.25) $                        ‐              (153.88)   (107.25) $                        ‐              (153.88)   (107.25) $                        ‐              (153.88)   (107.25) $                        ‐              (153.88)   (107.25) $                        ‐
               Reduce FTEs as a result of BOE and 
EDN 150/FB     Legislative reductions                 A        (24.00)           
                                                                                ‐         $                        ‐       (24.00)           
                                                                                                                                            ‐         $                        ‐       (24.00)           
                                                                                                                                                                                                        ‐         $                        ‐       (24.00)           
                                                                                                                                                                                                                                                                    ‐         $                        ‐       (24.00)           
                                                                                                                                                                                                                                                                                                                                ‐         $                        ‐       (24.00)           
                                                                                                                                                                                                                                                                                                                                                                                            ‐         $                        ‐
               Reduce FTEs as a result of BOE and 
EDN 150/FD     Legislative reductions                 A          (1.00)           
                                                                                 ‐        $                        ‐         (1.00)           
                                                                                                                                             ‐        $                        ‐         (1.00)           
                                                                                                                                                                                                         ‐        $                        ‐         (1.00)           
                                                                                                                                                                                                                                                                     ‐        $                        ‐         (1.00)           
                                                                                                                                                                                                                                                                                                                                 ‐        $                        ‐         (1.00)           
                                                                                                                                                                                                                                                                                                                                                                                             ‐        $                        ‐
               Reduce FTEs as a result of BOE and 
EDN 150/SA     Legislative reductions                 A        (12.00)           
                                                                                ‐         $                        ‐       (12.00)           
                                                                                                                                            ‐         $                        ‐       (12.00)           
                                                                                                                                                                                                        ‐         $                        ‐       (12.00)           
                                                                                                                                                                                                                                                                    ‐         $                        ‐       (12.00)           
                                                                                                                                                                                                                                                                                                                                ‐         $                        ‐       (12.00)           
                                                                                                                                                                                                                                                                                                                                                                                            ‐         $                        ‐
               Reduce FTEs as a result of BOE and 
EDN 150/VA     Legislative reductions                 A          (4.00)       (1.00) $                        ‐              (4.00)       (1.00) $                        ‐              (4.00)       (1.00) $                        ‐              (4.00)       (1.00) $                        ‐              (4.00)       (1.00) $                        ‐              (4.00)       (1.00) $                        ‐
               Reduce FTEs as a result of BOE and 
EDN 150/YC     Legislative reductions                 A          (3.00)       (7.00) $                        ‐              (3.00)       (7.00) $                        ‐              (3.00)       (7.00) $                        ‐              (3.00)       (7.00) $                        ‐              (3.00)       (7.00) $                        ‐              (3.00)       (7.00) $                        ‐
               Reduce FTEs as a result of BOE and 
EDN 150/YE     Legislative reductions                 A          (1.50)           
                                                                                 ‐        $                        ‐         (1.50)           
                                                                                                                                             ‐        $                        ‐         (1.50)           
                                                                                                                                                                                                         ‐        $                        ‐         (1.50)           
                                                                                                                                                                                                                                                                     ‐        $                        ‐         (1.50)           
                                                                                                                                                                                                                                                                                                                                 ‐        $                        ‐         (1.50)           
                                                                                                                                                                                                                                                                                                                                                                                             ‐        $                        ‐
               Reduce FTEs as a result of BOE and 
EDN 200/GC     Legislative reductions                 A          (7.00)           
                                                                                 ‐        $                        ‐         (7.00)           
                                                                                                                                             ‐        $                        ‐         (7.00)           
                                                                                                                                                                                                         ‐        $                        ‐         (7.00)           
                                                                                                                                                                                                                                                                     ‐        $                        ‐         (7.00)           
                                                                                                                                                                                                                                                                                                                                 ‐        $                        ‐         (7.00)           
                                                                                                                                                                                                                                                                                                                                                                                             ‐        $                        ‐
               Reduce FTEs as a result of BOE and 
EDN 200/GD     Legislative reductions                 A          (1.00)           
                                                                                 ‐        $                        ‐         (1.00)           
                                                                                                                                             ‐        $                        ‐         (1.00)           
                                                                                                                                                                                                         ‐        $                        ‐         (1.00)           
                                                                                                                                                                                                                                                                     ‐        $                        ‐         (1.00)           
                                                                                                                                                                                                                                                                                                                                 ‐        $                        ‐         (1.00)           
                                                                                                                                                                                                                                                                                                                                                                                             ‐        $                        ‐
               Reduce FTEs as a result of BOE and 
EDN 200/GG     Legislative reductions                 A          (1.00)           
                                                                                 ‐        $                        ‐         (1.00)           
                                                                                                                                             ‐        $                        ‐         (1.00)           
                                                                                                                                                                                                         ‐        $                        ‐         (1.00)           
                                                                                                                                                                                                                                                                     ‐        $                        ‐         (1.00)           
                                                                                                                                                                                                                                                                                                                                 ‐        $                        ‐         (1.00)           
                                                                                                                                                                                                                                                                                                                                                                                             ‐        $                        ‐
               Reduce FTEs as a result of BOE and 
EDN 200/GH     Legislative reductions                 A          (1.00)           
                                                                                 ‐        $                        ‐         (1.00)           
                                                                                                                                             ‐        $                        ‐         (1.00)           
                                                                                                                                                                                                         ‐        $                        ‐         (1.00)           
                                                                                                                                                                                                                                                                     ‐        $                        ‐         (1.00)           
                                                                                                                                                                                                                                                                                                                                 ‐        $                        ‐         (1.00)           
                                                                                                                                                                                                                                                                                                                                                                                             ‐        $                        ‐
               Reduce FTEs as a result of BOE and 
EDN 200/GJ     Legislative reductions                 A              
                                                                    ‐           (4.00) $                        ‐                
                                                                                                                                ‐           (4.00) $                        ‐                
                                                                                                                                                                                            ‐           (4.00) $                        ‐                
                                                                                                                                                                                                                                                        ‐           (4.00) $                        ‐                
                                                                                                                                                                                                                                                                                                                    ‐           (4.00) $                        ‐                
                                                                                                                                                                                                                                                                                                                                                                                ‐           (4.00) $                        ‐
               Reduce FTEs as a result of BOE and 
EDN 200/GM     Legislative reductions                 A          (1.00)           
                                                                                 ‐        $                        ‐         (1.00)           
                                                                                                                                             ‐        $                        ‐         (1.00)           
                                                                                                                                                                                                         ‐        $                        ‐         (1.00)           
                                                                                                                                                                                                                                                                     ‐        $                        ‐         (1.00)           
                                                                                                                                                                                                                                                                                                                                 ‐        $                        ‐         (1.00)           
                                                                                                                                                                                                                                                                                                                                                                                             ‐        $                        ‐
               Reduce FTEs as a result of BOE and 
EDN 200/GN     Legislative reductions                 A        (23.00)       (6.00) $                        ‐             (23.00)       (6.00) $                        ‐             (23.00)       (6.00) $                        ‐             (23.00)       (6.00) $                        ‐             (23.00)       (6.00) $                        ‐             (23.00)       (6.00) $                        ‐
               Reduce FTEs as a result of BOE and 
EDN 200/GP     Legislative reductions                 A          (2.00)       (1.00) $                        ‐              (2.00)       (1.00) $                        ‐              (2.00)       (1.00) $                        ‐              (2.00)       (1.00) $                        ‐              (2.00)       (1.00) $                        ‐              (2.00)       (1.00) $                        ‐
               Reduce FTEs as a result of BOE and 
EDN 300/KF     Legislative reductions                 A          (1.00)           
                                                                                 ‐        $                        ‐         (1.00)           
                                                                                                                                             ‐        $                        ‐         (1.00)           
                                                                                                                                                                                                         ‐        $                        ‐         (1.00)           
                                                                                                                                                                                                                                                                     ‐        $                        ‐         (1.00)           
                                                                                                                                                                                                                                                                                                                                 ‐        $                        ‐         (1.00)           
                                                                                                                                                                                                                                                                                                                                                                                             ‐        $                        ‐
               Reduce FTEs as a result of BOE and 
EDN 300/KO     Legislative reductions                 A        (16.00)       (0.50) $                        ‐             (16.00)       (0.50) $                        ‐             (16.00)       (0.50) $                        ‐             (16.00)       (0.50) $                        ‐             (16.00)       (0.50) $                        ‐             (16.00)       (0.50) $                        ‐
               Reduce FTEs as a result of BOE and 
EDN 400/OF     Legislative reductions                 A              
                                                                    ‐           (1.00) $                        ‐                
                                                                                                                                ‐           (1.00) $                        ‐                
                                                                                                                                                                                            ‐           (1.00) $                        ‐                
                                                                                                                                                                                                                                                        ‐           (1.00) $                        ‐                
                                                                                                                                                                                                                                                                                                                    ‐           (1.00) $                        ‐                
                                                                                                                                                                                                                                                                                                                                                                                ‐           (1.00) $                        ‐
               Reduce FTEs as a result of BOE and 
EDN 500/PB     Legislative reductions                 A              
                                                                    ‐           (1.00) $                        ‐                
                                                                                                                                ‐           (1.00) $                        ‐                
                                                                                                                                                                                            ‐           (1.00) $                        ‐                
                                                                                                                                                                                                                                                        ‐           (1.00) $                        ‐                
                                                                                                                                                                                                                                                                                                                    ‐           (1.00) $                        ‐                
                                                                                                                                                                                                                                                                                                                                                                                ‐           (1.00) $                        ‐
               Reduce FTEs as a result of BOE and 
EDN 500/PC     Legislative reductions                 A          (4.00)       (2.00) $                        ‐              (4.00)       (2.00) $                        ‐              (4.00)       (2.00) $                        ‐              (4.00)       (2.00) $                        ‐              (4.00)       (2.00) $                        ‐              (4.00)       (2.00) $                        ‐
               Convert positions from temporary to 
EDN 150/FA     permanent                              A         97.88     (97.88) $                        ‐                97.88     (97.88) $                        ‐                97.88     (97.88) $                        ‐                97.88     (97.88) $                        ‐                97.88     (97.88) $                        ‐                97.88     (97.88) $                        ‐
               Convert positions from temporary to 
EDN 150/FB     permanent                              A            
                                                                  1.00       (1.00) $                        ‐                 
                                                                                                                              1.00       (1.00) $                        ‐                 
                                                                                                                                                                                          1.00       (1.00) $                        ‐                 
                                                                                                                                                                                                                                                      1.00       (1.00) $                        ‐                 
                                                                                                                                                                                                                                                                                                                  1.00       (1.00) $                        ‐                 
                                                                                                                                                                                                                                                                                                                                                                              1.00       (1.00) $                        ‐
               Convert positions from temporary to 
EDN 150/SA     permanent                              A            
                                                                  7.00       (7.00) $                        ‐                 
                                                                                                                              7.00       (7.00) $                        ‐                 
                                                                                                                                                                                          7.00       (7.00) $                        ‐                 
                                                                                                                                                                                                                                                      7.00       (7.00) $                        ‐                 
                                                                                                                                                                                                                                                                                                                  7.00       (7.00) $                        ‐                 
                                                                                                                                                                                                                                                                                                                                                                              7.00       (7.00) $                        ‐
               Convert positions from temporary to 
EDN 150/VA     permanent                              A            
                                                                  1.00       (1.00) $                        ‐                 
                                                                                                                              1.00       (1.00) $                        ‐                 
                                                                                                                                                                                          1.00       (1.00) $                        ‐                 
                                                                                                                                                                                                                                                      1.00       (1.00) $                        ‐                 
                                                                                                                                                                                                                                                                                                                  1.00       (1.00) $                        ‐                 
                                                                                                                                                                                                                                                                                                                                                                              1.00       (1.00) $                        ‐
               Convert positions from temporary to 
EDN 150/YC     permanent                              A         98.50     (98.50) $                        ‐                98.50     (98.50) $                        ‐                98.50     (98.50) $                        ‐                98.50     (98.50) $                        ‐                98.50     (98.50) $                        ‐                98.50     (98.50) $                        ‐
               Convert positions from temporary to 
EDN 150/YD     permanent                              A            
                                                                  4.00       (4.00) $                        ‐                 
                                                                                                                              4.00       (4.00) $                        ‐                 
                                                                                                                                                                                          4.00       (4.00) $                        ‐                 
                                                                                                                                                                                                                                                      4.00       (4.00) $                        ‐                 
                                                                                                                                                                                                                                                                                                                  4.00       (4.00) $                        ‐                 
                                                                                                                                                                                                                                                                                                                                                                              4.00       (4.00) $                        ‐
               Convert positions from temporary to 
EDN 150/YE     permanent                              A            
                                                                  7.00       (7.00) $                        ‐                 
                                                                                                                              7.00       (7.00) $                        ‐                 
                                                                                                                                                                                          7.00       (7.00) $                        ‐                 
                                                                                                                                                                                                                                                      7.00       (7.00) $                        ‐                 
                                                                                                                                                                                                                                                                                                                  7.00       (7.00) $                        ‐                 
                                                                                                                                                                                                                                                                                                                                                                              7.00       (7.00) $                        ‐
               Convert positions from temporary to 
EDN 150/YG     permanent                              A            
                                                                  9.00       (9.00) $                        ‐                 
                                                                                                                              9.00       (9.00) $                        ‐                 
                                                                                                                                                                                          9.00       (9.00) $                        ‐                 
                                                                                                                                                                                                                                                      9.00       (9.00) $                        ‐                 
                                                                                                                                                                                                                                                                                                                  9.00       (9.00) $                        ‐                 
                                                                                                                                                                                                                                                                                                                                                                              9.00       (9.00) $                        ‐
               Convert positions from temporary to 
EDN 200/GC     permanent                              A            
                                                                  1.00       (1.00) $                        ‐                 
                                                                                                                              1.00       (1.00) $                        ‐                 
                                                                                                                                                                                          1.00       (1.00) $                        ‐                 
                                                                                                                                                                                                                                                      1.00       (1.00) $                        ‐                 
                                                                                                                                                                                                                                                                                                                  1.00       (1.00) $                        ‐                 
                                                                                                                                                                                                                                                                                                                                                                              1.00       (1.00) $                        ‐
               Convert positions from temporary to 
EDN 200/GJ     permanent                              A            
                                                                  1.00       (1.00) $                        ‐                 
                                                                                                                              1.00       (1.00) $                        ‐                 
                                                                                                                                                                                          1.00       (1.00) $                        ‐                 
                                                                                                                                                                                                                                                      1.00       (1.00) $                        ‐                 
                                                                                                                                                                                                                                                                                                                  1.00       (1.00) $                        ‐                 
                                                                                                                                                                                                                                                                                                                                                                              1.00       (1.00) $                        ‐
               Convert positions from temporary to 
EDN 200/GN     permanent                              A         23.00     (23.00) $                        ‐                23.00     (23.00) $                        ‐                23.00     (23.00) $                        ‐                23.00     (23.00) $                        ‐                23.00     (23.00) $                        ‐                23.00     (23.00) $                        ‐
               Convert positions from temporary to 
EDN 200/GP     permanent                              A            
                                                                  1.00       (1.00) $                        ‐                 
                                                                                                                              1.00       (1.00) $                        ‐                 
                                                                                                                                                                                          1.00       (1.00) $                        ‐                 
                                                                                                                                                                                                                                                      1.00       (1.00) $                        ‐                 
                                                                                                                                                                                                                                                                                                                  1.00       (1.00) $                        ‐                 
                                                                                                                                                                                                                                                                                                                                                                              1.00       (1.00) $                        ‐
               Convert positions from temporary to 
EDN 300/KD     permanent                              A            
                                                                  1.00       (1.00) $                        ‐                 
                                                                                                                              1.00       (1.00) $                        ‐                 
                                                                                                                                                                                          1.00       (1.00) $                        ‐                 
                                                                                                                                                                                                                                                      1.00       (1.00) $                        ‐                 
                                                                                                                                                                                                                                                                                                                  1.00       (1.00) $                        ‐                 
                                                                                                                                                                                                                                                                                                                                                                              1.00       (1.00) $                        ‐




                                                                                                                                                                                   Page 21
                                                                                                                                                                                                                                                                                                                                                                                                           2011 Budget Briefing
Department of Education                                                                                                                                                                                                               Table 10
                                                                                                                                                                              Budget Decisions



                                                                      Department Request FY12                                   Department Request FY13                                         Budget & Finance FY12                                    Budget & Finance FY13                                Governor's Decision FY12                                Governor's Decision FY13
 Prog ID/Org                   Description                  MOF Pos (P)   Pos (T)        $$$                              Pos (P)   Pos (T)        $$$                              Pos (P)        Pos (T)         $$$                       Pos (P)        Pos (T)         $$$                         Pos (P)   Pos (T)          $$$                          Pos (P)   Pos (T)          $$$
               Convert positions from temporary to 
EDN 300/UA     permanent                                    A            
                                                                        3.00       (3.00) $                        ‐             
                                                                                                                                3.00       (3.00) $                        ‐               
                                                                                                                                                                                          3.00       (3.00) $                        ‐              
                                                                                                                                                                                                                                                   3.00       (3.00) $                        ‐                
                                                                                                                                                                                                                                                                                                              3.00       (3.00) $                        ‐             
                                                                                                                                                                                                                                                                                                                                                                      3.00       (3.00) $                        ‐
               Convert positions from temporary to 
EDN 500/PC     permanent                                    A         11.50     (11.50) $                        ‐            11.50     (11.50) $                        ‐              11.50     (11.50) $                        ‐             11.50     (11.50) $                        ‐               11.50     (11.50) $                        ‐            11.50     (11.50) $                        ‐
               Add 5 temporary positions for Olomana 
EDN 100/BJ     School                                       A              
                                                                          ‐            
                                                                                      5.00 $                        ‐              
                                                                                                                                  ‐            
                                                                                                                                              5.00 $                        ‐                
                                                                                                                                                                                            ‐             
                                                                                                                                                                                                         5.00 $                        ‐              
                                                                                                                                                                                                                                                     ‐             
                                                                                                                                                                                                                                                                  5.00 $                        ‐                
                                                                                                                                                                                                                                                                                                                ‐            
                                                                                                                                                                                                                                                                                                                            5.00 $                        ‐              
                                                                                                                                                                                                                                                                                                                                                                        ‐            
                                                                                                                                                                                                                                                                                                                                                                                    5.00 $                        ‐
               Ceiling change to more accurately reflect 
EDN 100/CN     the needs of the program                     N              
                                                                          ‐              
                                                                                        ‐     $       1,500,000.00           
                                                                                                                            ‐                    
                                                                                                                                                ‐     $       1,500,000.00           
                                                                                                                                                                                    ‐                       
                                                                                                                                                                                                           ‐     $       1,500,000.00           
                                                                                                                                                                                                                                               ‐                     
                                                                                                                                                                                                                                                                    ‐     $       1,500,000.00           
                                                                                                                                                                                                                                                                                                        ‐                      
                                                                                                                                                                                                                                                                                                                              ‐     $       1,500,000.00           
                                                                                                                                                                                                                                                                                                                                                                  ‐                    
                                                                                                                                                                                                                                                                                                                                                                                      ‐     $       1,500,000.00
               Ceiling change to more accurately reflect 
EDN 100/DB     the needs of the program                     N              
                                                                          ‐              
                                                                                        ‐     $     (1,907,093.00)           
                                                                                                                            ‐                    
                                                                                                                                                ‐     $     (1,906,093.00)           
                                                                                                                                                                                    ‐                       
                                                                                                                                                                                                           ‐     $     (1,907,093.00)           
                                                                                                                                                                                                                                               ‐                     
                                                                                                                                                                                                                                                                    ‐     $     (1,906,093.00)           
                                                                                                                                                                                                                                                                                                        ‐                      
                                                                                                                                                                                                                                                                                                                              ‐     $     (1,907,093.00)           
                                                                                                                                                                                                                                                                                                                                                                  ‐                    
                                                                                                                                                                                                                                                                                                                                                                                      ‐     $     (1,906,093.00)
               Ceiling change to more accurately reflect 
EDN 100/DE     the needs of the program                     N              
                                                                          ‐              
                                                                                        ‐     $           (40,016.00)           
                                                                                                                               ‐                 
                                                                                                                                                ‐     $           (40,016.00)           
                                                                                                                                                                                       ‐                    
                                                                                                                                                                                                           ‐     $           (40,016.00)           
                                                                                                                                                                                                                                                  ‐                  
                                                                                                                                                                                                                                                                    ‐     $           (40,016.00)           
                                                                                                                                                                                                                                                                                                           ‐                   
                                                                                                                                                                                                                                                                                                                              ‐     $           (40,016.00)           
                                                                                                                                                                                                                                                                                                                                                                     ‐                 
                                                                                                                                                                                                                                                                                                                                                                                      ‐     $           (40,016.00)
               Ceiling change to more accurately reflect 
EDN 100/DH     the needs of the program                     N              
                                                                          ‐              
                                                                                        ‐     $          120,000.00           
                                                                                                                             ‐                   
                                                                                                                                                ‐     $          120,000.00           
                                                                                                                                                                                     ‐                      
                                                                                                                                                                                                           ‐     $          120,000.00           
                                                                                                                                                                                                                                                ‐                    
                                                                                                                                                                                                                                                                    ‐     $          120,000.00           
                                                                                                                                                                                                                                                                                                         ‐                     
                                                                                                                                                                                                                                                                                                                              ‐     $          120,000.00           
                                                                                                                                                                                                                                                                                                                                                                   ‐                   
                                                                                                                                                                                                                                                                                                                                                                                      ‐     $          120,000.00
               Ceiling change to more accurately reflect 
EDN 100/DL     the needs of the program                     N              
                                                                          ‐              
                                                                                        ‐     $     (1,197,471.00)           
                                                                                                                            ‐                    
                                                                                                                                                ‐     $     (1,417,887.00)           
                                                                                                                                                                                    ‐                       
                                                                                                                                                                                                           ‐     $     (1,197,471.00)           
                                                                                                                                                                                                                                               ‐                     
                                                                                                                                                                                                                                                                    ‐     $     (1,417,887.00)           
                                                                                                                                                                                                                                                                                                        ‐                      
                                                                                                                                                                                                                                                                                                                              ‐     $     (1,197,471.00)           
                                                                                                                                                                                                                                                                                                                                                                  ‐                    
                                                                                                                                                                                                                                                                                                                                                                                      ‐     $     (1,417,887.00)
               Ceiling change to more accurately reflect 
EDN 100/DQ     the needs of the program                     N              
                                                                          ‐              
                                                                                        ‐     $            20,000.00           
                                                                                                                              ‐                  
                                                                                                                                                ‐     $            25,000.00           
                                                                                                                                                                                      ‐                     
                                                                                                                                                                                                           ‐     $            20,000.00           
                                                                                                                                                                                                                                                 ‐                   
                                                                                                                                                                                                                                                                    ‐     $            25,000.00           
                                                                                                                                                                                                                                                                                                          ‐                    
                                                                                                                                                                                                                                                                                                                              ‐     $            20,000.00           
                                                                                                                                                                                                                                                                                                                                                                    ‐                  
                                                                                                                                                                                                                                                                                                                                                                                      ‐     $            25,000.00
               Ceiling change to more accurately reflect 
EDN 100/DS     the needs of the program                     N              
                                                                          ‐              
                                                                                        ‐     $          905,863.00           
                                                                                                                             ‐                   
                                                                                                                                                ‐     $           (63,656.00)           
                                                                                                                                                                                       ‐                    
                                                                                                                                                                                                           ‐     $          905,863.00           
                                                                                                                                                                                                                                                ‐                    
                                                                                                                                                                                                                                                                    ‐     $           (63,656.00)           
                                                                                                                                                                                                                                                                                                           ‐                   
                                                                                                                                                                                                                                                                                                                              ‐     $          905,863.00           
                                                                                                                                                                                                                                                                                                                                                                   ‐                   
                                                                                                                                                                                                                                                                                                                                                                                      ‐     $           (63,656.00)
               Ceiling change to more accurately reflect 
EDN 100/DU     the needs of the program                     N              
                                                                          ‐              
                                                                                        ‐     $          193,393.00           
                                                                                                                             ‐                   
                                                                                                                                                ‐     $         
                                                                                                                                                               (206,607.00)           
                                                                                                                                                                                     ‐                      
                                                                                                                                                                                                           ‐     $          193,393.00           
                                                                                                                                                                                                                                                ‐                    
                                                                                                                                                                                                                                                                    ‐     $         
                                                                                                                                                                                                                                                                                   (206,607.00)           
                                                                                                                                                                                                                                                                                                         ‐                     
                                                                                                                                                                                                                                                                                                                              ‐     $          193,393.00           
                                                                                                                                                                                                                                                                                                                                                                   ‐                   
                                                                                                                                                                                                                                                                                                                                                                                      ‐     $         
                                                                                                                                                                                                                                                                                                                                                                                                     (206,607.00)
               Ceiling change to more accurately reflect 
EDN 150/NB     the needs of the program                     N              
                                                                          ‐              
                                                                                        ‐     $         
                                                                                                       (532,387.00)           
                                                                                                                             ‐                   
                                                                                                                                                ‐     $         
                                                                                                                                                               (532,387.00)           
                                                                                                                                                                                     ‐                      
                                                                                                                                                                                                           ‐     $         
                                                                                                                                                                                                                          (532,387.00)           
                                                                                                                                                                                                                                                ‐                    
                                                                                                                                                                                                                                                                    ‐     $         
                                                                                                                                                                                                                                                                                   (532,387.00)           
                                                                                                                                                                                                                                                                                                         ‐                     
                                                                                                                                                                                                                                                                                                                              ‐     $         
                                                                                                                                                                                                                                                                                                                                             (532,387.00)           
                                                                                                                                                                                                                                                                                                                                                                   ‐                   
                                                                                                                                                                                                                                                                                                                                                                                      ‐     $         
                                                                                                                                                                                                                                                                                                                                                                                                     (532,387.00)
               Ceiling change to more accurately reflect 
EDN 200/GP     the needs of the program                     N              
                                                                          ‐              
                                                                                        ‐     $            26,000.00           
                                                                                                                              ‐                  
                                                                                                                                                ‐     $            26,000.00           
                                                                                                                                                                                      ‐                     
                                                                                                                                                                                                           ‐     $            26,000.00           
                                                                                                                                                                                                                                                 ‐                   
                                                                                                                                                                                                                                                                    ‐     $            26,000.00           
                                                                                                                                                                                                                                                                                                          ‐                    
                                                                                                                                                                                                                                                                                                                              ‐     $            26,000.00           
                                                                                                                                                                                                                                                                                                                                                                    ‐                  
                                                                                                                                                                                                                                                                                                                                                                                      ‐     $            26,000.00
               Ceiling change to more accurately reflect 
EDN 400/MB     the needs of the program                     N              
                                                                          ‐              
                                                                                        ‐     $          800,000.00           
                                                                                                                             ‐                   
                                                                                                                                                ‐     $          800,000.00           
                                                                                                                                                                                     ‐                      
                                                                                                                                                                                                           ‐     $          800,000.00           
                                                                                                                                                                                                                                                ‐                    
                                                                                                                                                                                                                                                                    ‐     $          800,000.00           
                                                                                                                                                                                                                                                                                                         ‐                     
                                                                                                                                                                                                                                                                                                                              ‐     $          800,000.00           
                                                                                                                                                                                                                                                                                                                                                                   ‐                   
                                                                                                                                                                                                                                                                                                                                                                                      ‐     $          800,000.00
               Ceiling change to more accurately reflect 
EDN 400/MD     the needs of the program                     N              
                                                                          ‐              
                                                                                        ‐     $     
                                                                                                   10,928,588.00           
                                                                                                                          ‐                      
                                                                                                                                                ‐     $     
                                                                                                                                                           13,215,594.00           
                                                                                                                                                                                  ‐                         
                                                                                                                                                                                                           ‐     $     
                                                                                                                                                                                                                      10,928,588.00           
                                                                                                                                                                                                                                             ‐                       
                                                                                                                                                                                                                                                                    ‐     $     
                                                                                                                                                                                                                                                                               13,215,594.00           
                                                                                                                                                                                                                                                                                                      ‐                        
                                                                                                                                                                                                                                                                                                                              ‐     $     
                                                                                                                                                                                                                                                                                                                                         10,928,588.00           
                                                                                                                                                                                                                                                                                                                                                                ‐                      
                                                                                                                                                                                                                                                                                                                                                                                      ‐     $     
                                                                                                                                                                                                                                                                                                                                                                                                 13,215,594.00
               Ceiling change to more accurately reflect 
EDN 500/PB     the needs of the program                     N              
                                                                          ‐              
                                                                                        ‐     $             (6,182.00)           
                                                                                                                                ‐                
                                                                                                                                                ‐     $            73,824.00           
                                                                                                                                                                                      ‐                     
                                                                                                                                                                                                           ‐     $             (6,182.00)           
                                                                                                                                                                                                                                                   ‐                 
                                                                                                                                                                                                                                                                    ‐     $            73,824.00           
                                                                                                                                                                                                                                                                                                          ‐                    
                                                                                                                                                                                                                                                                                                                              ‐     $             (6,182.00)           
                                                                                                                                                                                                                                                                                                                                                                      ‐                
                                                                                                                                                                                                                                                                                                                                                                                      ‐     $            73,824.00
               Ceiling change to more accurately reflect 
EDN 500/PC     the needs of the program                     N              
                                                                          ‐              
                                                                                        ‐     $     (2,299,603.00)           
                                                                                                                            ‐                    
                                                                                                                                                ‐     $     (1,922,982.00)           
                                                                                                                                                                                    ‐                       
                                                                                                                                                                                                           ‐     $     (2,299,603.00)           
                                                                                                                                                                                                                                               ‐                     
                                                                                                                                                                                                                                                                    ‐     $     (1,922,982.00)           
                                                                                                                                                                                                                                                                                                        ‐                      
                                                                                                                                                                                                                                                                                                                              ‐     $     (2,299,603.00)           
                                                                                                                                                                                                                                                                                                                                                                  ‐                    
                                                                                                                                                                                                                                                                                                                                                                                      ‐     $     (1,922,982.00)
               Ceiling change to more accurately reflect 
EDN 100/VV     the needs of the program                     V              
                                                                          ‐              
                                                                                        ‐     $     
                                                                                                   28,525,743.00           
                                                                                                                          ‐                      
                                                                                                                                                ‐     $                        ‐             
                                                                                                                                                                                            ‐               
                                                                                                                                                                                                           ‐     $     
                                                                                                                                                                                                                      28,525,743.00           
                                                                                                                                                                                                                                             ‐                       
                                                                                                                                                                                                                                                                    ‐     $                        ‐             
                                                                                                                                                                                                                                                                                                                ‐              
                                                                                                                                                                                                                                                                                                                              ‐     $     
                                                                                                                                                                                                                                                                                                                                         28,525,743.00           
                                                                                                                                                                                                                                                                                                                                                                ‐                      
                                                                                                                                                                                                                                                                                                                                                                                      ‐     $                        ‐
               Ceiling change to more accurately reflect 
EDN 200/VV     the needs of the program                     V              
                                                                          ‐              
                                                                                        ‐     $     
                                                                                                   19,356,874.00           
                                                                                                                          ‐                      
                                                                                                                                                ‐     $     
                                                                                                                                                           20,073,434.00           
                                                                                                                                                                                  ‐                         
                                                                                                                                                                                                           ‐     $     
                                                                                                                                                                                                                      19,356,874.00           
                                                                                                                                                                                                                                             ‐                       
                                                                                                                                                                                                                                                                    ‐          20,073,434.00           
                                                                                                                                                                                                                                                                          $                           ‐                        
                                                                                                                                                                                                                                                                                                                              ‐     $     
                                                                                                                                                                                                                                                                                                                                         19,356,874.00           
                                                                                                                                                                                                                                                                                                                                                                ‐                      
                                                                                                                                                                                                                                                                                                                                                                                      ‐     $     
                                                                                                                                                                                                                                                                                                                                                                                                 20,073,434.00
               Ceiling change to more accurately reflect 
EDN 100/XA     the needs of the program                     T              
                                                                          ‐              
                                                                                        ‐     $         
                                                                                                       (820,000.00)           
                                                                                                                             ‐                   
                                                                                                                                                ‐     $         
                                                                                                                                                               (820,000.00)           
                                                                                                                                                                                     ‐                      
                                                                                                                                                                                                           ‐     $         
                                                                                                                                                                                                                          (820,000.00)           
                                                                                                                                                                                                                                                ‐                    
                                                                                                                                                                                                                                                                    ‐     $         
                                                                                                                                                                                                                                                                                   (820,000.00)           
                                                                                                                                                                                                                                                                                                         ‐                     
                                                                                                                                                                                                                                                                                                                              ‐     $         
                                                                                                                                                                                                                                                                                                                                             (820,000.00)           
                                                                                                                                                                                                                                                                                                                                                                   ‐                   
                                                                                                                                                                                                                                                                                                                                                                                      ‐     $         
                                                                                                                                                                                                                                                                                                                                                                                                     (820,000.00)
               Ceiling change to more accurately reflect 
EDN 100/XB     the needs of the program                     T              
                                                                          ‐              
                                                                                        ‐     $       6,560,000.00           
                                                                                                                            ‐                    
                                                                                                                                                ‐     $       6,560,000.00           
                                                                                                                                                                                    ‐                       
                                                                                                                                                                                                           ‐     $       6,560,000.00           
                                                                                                                                                                                                                                               ‐                     
                                                                                                                                                                                                                                                                    ‐     $       6,560,000.00           
                                                                                                                                                                                                                                                                                                        ‐                      
                                                                                                                                                                                                                                                                                                                              ‐     $       6,560,000.00           
                                                                                                                                                                                                                                                                                                                                                                  ‐                    
                                                                                                                                                                                                                                                                                                                                                                                      ‐     $       6,560,000.00
               Ceiling change to more accurately reflect 
EDN 100/XC     the needs of the program                     T              
                                                                          ‐              
                                                                                        ‐     $       1,200,000.00           
                                                                                                                            ‐                    
                                                                                                                                                ‐     $       1,200,000.00           
                                                                                                                                                                                    ‐                       
                                                                                                                                                                                                           ‐     $       1,200,000.00           
                                                                                                                                                                                                                                               ‐                     
                                                                                                                                                                                                                                                                    ‐     $       1,200,000.00           
                                                                                                                                                                                                                                                                                                        ‐                      
                                                                                                                                                                                                                                                                                                                              ‐     $       1,200,000.00           
                                                                                                                                                                                                                                                                                                                                                                  ‐                    
                                                                                                                                                                                                                                                                                                                                                                                      ‐     $       1,200,000.00
               Ceiling change to more accurately reflect 
EDN 100/XE     the needs of the program                     T              
                                                                          ‐              
                                                                                        ‐     $       8,012,300.00           
                                                                                                                            ‐                    
                                                                                                                                                ‐     $       8,012,300.00           
                                                                                                                                                                                    ‐                       
                                                                                                                                                                                                           ‐     $       8,012,300.00           
                                                                                                                                                                                                                                               ‐                     
                                                                                                                                                                                                                                                                    ‐     $       8,012,300.00           
                                                                                                                                                                                                                                                                                                        ‐                      
                                                                                                                                                                                                                                                                                                                              ‐     $       8,012,300.00           
                                                                                                                                                                                                                                                                                                                                                                  ‐                    
                                                                                                                                                                                                                                                                                                                                                                                      ‐     $       8,012,300.00
               Ceiling change to more accurately reflect 
EDN 100/XH     the needs of the program                     T              
                                                                          ‐              
                                                                                        ‐     $          300,000.00           
                                                                                                                             ‐                   
                                                                                                                                                ‐     $          300,000.00           
                                                                                                                                                                                     ‐                      
                                                                                                                                                                                                           ‐     $          300,000.00           
                                                                                                                                                                                                                                                ‐                    
                                                                                                                                                                                                                                                                    ‐     $          300,000.00           
                                                                                                                                                                                                                                                                                                         ‐                     
                                                                                                                                                                                                                                                                                                                              ‐     $          300,000.00           
                                                                                                                                                                                                                                                                                                                                                                   ‐                   
                                                                                                                                                                                                                                                                                                                                                                                      ‐     $          300,000.00
               Ceiling change to more accurately reflect 
EDN 500/PC     the needs of the program                     T              
                                                                          ‐              
                                                                                        ‐     $       4,000,000.00           
                                                                                                                            ‐                    
                                                                                                                                                ‐     $       4,000,000.00           
                                                                                                                                                                                    ‐                       
                                                                                                                                                                                                           ‐     $       4,000,000.00           
                                                                                                                                                                                                                                               ‐                     
                                                                                                                                                                                                                                                                    ‐     $       4,000,000.00           
                                                                                                                                                                                                                                                                                                        ‐                      
                                                                                                                                                                                                                                                                                                                              ‐     $       4,000,000.00           
                                                                                                                                                                                                                                                                                                                                                                  ‐                    
                                                                                                                                                                                                                                                                                                                                                                                      ‐     $       4,000,000.00
               Ceiling change to more accurately reflect 
EDN 100/BR     the needs of the program                     U              
                                                                          ‐              
                                                                                        ‐     $         
                                                                                                       (485,585.00)           
                                                                                                                             ‐                   
                                                                                                                                                ‐     $         
                                                                                                                                                               (485,585.00)           
                                                                                                                                                                                     ‐                      
                                                                                                                                                                                                           ‐     $         
                                                                                                                                                                                                                          (485,585.00)           
                                                                                                                                                                                                                                                ‐                    
                                                                                                                                                                                                                                                                    ‐     $         
                                                                                                                                                                                                                                                                                   (485,585.00)           
                                                                                                                                                                                                                                                                                                         ‐                     
                                                                                                                                                                                                                                                                                                                              ‐     $         
                                                                                                                                                                                                                                                                                                                                             (485,585.00)           
                                                                                                                                                                                                                                                                                                                                                                   ‐                   
                                                                                                                                                                                                                                                                                                                                                                                      ‐     $         
                                                                                                                                                                                                                                                                                                                                                                                                     (485,585.00)
               Ceiling change to more accurately reflect 
EDN 200/GC     the needs of the program                     U              
                                                                          ‐              
                                                                                        ‐     $         
                                                                                                       (550,000.00)           
                                                                                                                             ‐                   
                                                                                                                                                ‐     $         
                                                                                                                                                               (550,000.00)           
                                                                                                                                                                                     ‐                      
                                                                                                                                                                                                           ‐     $         
                                                                                                                                                                                                                          (550,000.00)           
                                                                                                                                                                                                                                                ‐                    
                                                                                                                                                                                                                                                                    ‐     $         
                                                                                                                                                                                                                                                                                   (550,000.00)           
                                                                                                                                                                                                                                                                                                         ‐                     
                                                                                                                                                                                                                                                                                                                              ‐     $         
                                                                                                                                                                                                                                                                                                                                             (550,000.00)           
                                                                                                                                                                                                                                                                                                                                                                   ‐                   
                                                                                                                                                                                                                                                                                                                                                                                      ‐     $         
                                                                                                                                                                                                                                                                                                                                                                                                     (550,000.00)
               Ceiling change to more accurately reflect 
EDN 500/WA     the needs of the program                     U              
                                                                          ‐              
                                                                                        ‐     $     (2,700,000.00)           
                                                                                                                            ‐                    
                                                                                                                                                ‐     $     (2,700,000.00)           
                                                                                                                                                                                    ‐                       
                                                                                                                                                                                                           ‐     $     (2,700,000.00)           
                                                                                                                                                                                                                                               ‐                     
                                                                                                                                                                                                                                                                    ‐     $     (2,700,000.00)           
                                                                                                                                                                                                                                                                                                        ‐                      
                                                                                                                                                                                                                                                                                                                              ‐     $     (2,700,000.00)           
                                                                                                                                                                                                                                                                                                                                                                  ‐                    
                                                                                                                                                                                                                                                                                                                                                                                      ‐     $     (2,700,000.00)
               Ceiling change to more accurately reflect 
EDN 200/GH     the needs of the program                     B              
                                                                          ‐              
                                                                                        ‐     $          135,389.00           
                                                                                                                             ‐                   
                                                                                                                                                ‐     $          135,389.00           
                                                                                                                                                                                     ‐                      
                                                                                                                                                                                                           ‐     $          135,389.00           
                                                                                                                                                                                                                                                ‐                    
                                                                                                                                                                                                                                                                    ‐     $          135,389.00           
                                                                                                                                                                                                                                                                                                         ‐                     
                                                                                                                                                                                                                                                                                                                              ‐     $          135,389.00           
                                                                                                                                                                                                                                                                                                                                                                   ‐                   
                                                                                                                                                                                                                                                                                                                                                                                      ‐     $          135,389.00
               Ceiling change to more accurately reflect 
EDN 400/MB     the needs of the program                     B              
                                                                          ‐              
                                                                                        ‐     $           (36,513.00)           
                                                                                                                               ‐                 
                                                                                                                                                ‐     $           (36,513.00)           
                                                                                                                                                                                       ‐                    
                                                                                                                                                                                                           ‐     $           (36,513.00)           
                                                                                                                                                                                                                                                  ‐                  
                                                                                                                                                                                                                                                                    ‐     $           (36,513.00)           
                                                                                                                                                                                                                                                                                                           ‐                   
                                                                                                                                                                                                                                                                                                                              ‐     $           (36,513.00)           
                                                                                                                                                                                                                                                                                                                                                                     ‐                 
                                                                                                                                                                                                                                                                                                                                                                                      ‐     $           (36,513.00)
               Ceiling change to more accurately reflect 
EDN 400/MD     the needs of the program                     B              
                                                                          ‐              
                                                                                        ‐     $       4,353,333.00           
                                                                                                                            ‐                    
                                                                                                                                                ‐     $       5,814,050.00           
                                                                                                                                                                                    ‐                       
                                                                                                                                                                                                           ‐     $       4,353,333.00           
                                                                                                                                                                                                                                               ‐                     
                                                                                                                                                                                                                                                                    ‐     $       5,814,050.00           
                                                                                                                                                                                                                                                                                                        ‐                      
                                                                                                                                                                                                                                                                                                                              ‐     $       4,353,333.00           
                                                                                                                                                                                                                                                                                                                                                                  ‐                    
                                                                                                                                                                                                                                                                                                                                                                                      ‐     $       5,814,050.00
               Ceiling change to more accurately reflect 
EDN 500/PC     the needs of the program                     B              
                                                                          ‐              
                                                                                        ‐     $         
                                                                                                       (169,000.00)           
                                                                                                                             ‐                   
                                                                                                                                                ‐     $         
                                                                                                                                                               (169,000.00)           
                                                                                                                                                                                     ‐                      
                                                                                                                                                                                                           ‐     $         
                                                                                                                                                                                                                          (169,000.00)           
                                                                                                                                                                                                                                                ‐                    
                                                                                                                                                                                                                                                                    ‐     $         
                                                                                                                                                                                                                                                                                   (169,000.00)           
                                                                                                                                                                                                                                                                                                         ‐                     
                                                                                                                                                                                                                                                                                                                              ‐     $         
                                                                                                                                                                                                                                                                                                                                             (169,000.00)           
                                                                                                                                                                                                                                                                                                                                                                   ‐                   
                                                                                                                                                                                                                                                                                                                                                                                      ‐     $         
                                                                                                                                                                                                                                                                                                                                                                                                     (169,000.00)
               Ceiling change to more accurately reflect 
EDN 100/CB     the needs of the program                     W              
                                                                          ‐              
                                                                                        ‐     $             (3,023.00)           
                                                                                                                                ‐                
                                                                                                                                                ‐     $             (3,023.00)           
                                                                                                                                                                                        ‐                   
                                                                                                                                                                                                           ‐     $             (3,023.00)           
                                                                                                                                                                                                                                                   ‐                 
                                                                                                                                                                                                                                                                    ‐     $             (3,023.00)           
                                                                                                                                                                                                                                                                                                            ‐                  
                                                                                                                                                                                                                                                                                                                              ‐     $             (3,023.00)           
                                                                                                                                                                                                                                                                                                                                                                      ‐                
                                                                                                                                                                                                                                                                                                                                                                                      ‐     $             (3,023.00)




                                                                                                                                                                                   Page 22
                                                                                                                                                                                                                                                                                                                                                                                                 2011 Budget Briefing
Department of Education                                                                                                                                                                                                   Table 10
                                                                                                                                                                  Budget Decisions



                                                                  Department Request FY12                                  Department Request FY13                                   Budget & Finance FY12                                    Budget & Finance FY13                             Governor's Decision FY12                             Governor's Decision FY13
 Prog ID/Org               Description                  MOF Pos (P)   Pos (T)        $$$                             Pos (P)   Pos (T)        $$$                          Pos (P)      Pos (T)         $$$                       Pos (P)        Pos (T)         $$$                      Pos (P)   Pos (T)          $$$                       Pos (P)   Pos (T)          $$$
           Ceiling change to more accurately reflect 
EDN 150/YK the needs of the program                     W              
                                                                      ‐             
                                                                                   ‐   $       1,393,703.00           
                                                                                                                     ‐                     
                                                                                                                                          ‐   $       1,393,703.00           
                                                                                                                                                                            ‐                    
                                                                                                                                                                                                ‐   $       1,393,703.00           
                                                                                                                                                                                                                                  ‐                       
                                                                                                                                                                                                                                                         ‐   $       1,393,703.00           
                                                                                                                                                                                                                                                                                           ‐                  
                                                                                                                                                                                                                                                                                                             ‐   $       1,393,703.00           
                                                                                                                                                                                                                                                                                                                                               ‐                     
                                                                                                                                                                                                                                                                                                                                                                    ‐   $       1,393,703.00
           Ceiling change to more accurately reflect 
EDN 400/MC the needs of the program                     W              
                                                                      ‐             
                                                                                   ‐   $       2,500,000.00           
                                                                                                                     ‐                     
                                                                                                                                          ‐   $       2,500,000.00           
                                                                                                                                                                            ‐                    
                                                                                                                                                                                                ‐   $       2,500,000.00           
                                                                                                                                                                                                                                  ‐                       
                                                                                                                                                                                                                                                         ‐   $       2,500,000.00           
                                                                                                                                                                                                                                                                                           ‐                  
                                                                                                                                                                                                                                                                                                             ‐   $       2,500,000.00           
                                                                                                                                                                                                                                                                                                                                               ‐                     
                                                                                                                                                                                                                                                                                                                                                                    ‐   $       2,500,000.00
           Ceiling change to more accurately reflect 
EDN 400/OC the needs of the program                     W              
                                                                      ‐             
                                                                                   ‐   $                        ‐             
                                                                                                                             ‐             
                                                                                                                                          ‐   $                (300.00)           
                                                                                                                                                                                 ‐               
                                                                                                                                                                                                ‐   $                        ‐             
                                                                                                                                                                                                                                          ‐               
                                                                                                                                                                                                                                                         ‐   $                (300.00)           
                                                                                                                                                                                                                                                                                                ‐             
                                                                                                                                                                                                                                                                                                             ‐   $                        ‐             
                                                                                                                                                                                                                                                                                                                                                       ‐             
                                                                                                                                                                                                                                                                                                                                                                    ‐   $                (300.00)
           Ceiling change to more accurately reflect 
EDN 400/YA the needs of the program                     W              
                                                                      ‐             
                                                                                   ‐   $       1,000,000.00           
                                                                                                                     ‐                     
                                                                                                                                          ‐   $       1,000,000.00           
                                                                                                                                                                            ‐                    
                                                                                                                                                                                                ‐   $       1,000,000.00           
                                                                                                                                                                                                                                  ‐                       
                                                                                                                                                                                                                                                         ‐   $       1,000,000.00           
                                                                                                                                                                                                                                                                                           ‐                  
                                                                                                                                                                                                                                                                                                             ‐   $       1,000,000.00           
                                                                                                                                                                                                                                                                                                                                               ‐                     
                                                                                                                                                                                                                                                                                                                                                                    ‐   $       1,000,000.00
           Ceiling change to more accurately reflect 
EDN 500/WA the needs of the program                     W              
                                                                      ‐             
                                                                                   ‐   $       2,700,000.00           
                                                                                                                     ‐                     
                                                                                                                                          ‐   $       2,700,000.00           
                                                                                                                                                                            ‐                    
                                                                                                                                                                                                ‐   $       2,700,000.00           
                                                                                                                                                                                                                                  ‐                       
                                                                                                                                                                                                                                                         ‐   $       2,700,000.00           
                                                                                                                                                                                                                                                                                           ‐                  
                                                                                                                                                                                                                                                                                                             ‐   $       2,700,000.00           
                                                                                                                                                                                                                                                                                                                                               ‐                     
                                                                                                                                                                                                                                                                                                                                                                    ‐   $       2,700,000.00




                                                                                                                                                                          Page 23
                                                                                                                                                                                                                                                                                                                                                                            2011 Budget Briefing
Department of Education                                                          Table 11
                                                          Vacancy Report

                                                  Position  Exempt       Budgeted       Actual Salary                      Authority to Hire 
Date of Vacancy          Position Title           Number      (Y/N)       Amount         Last Paid     MOF       Prog ID        (Y/N)
Report to be provided at a later date (estimated completion date of January 28, 2011)               I        I




                                                                 Page 24                                                      2011 Budget Briefing
Department of Education                                                         Table 12
                                                                  Personnel Separations

                                Position  Perm/                                             Budgeted       Budgeted   Actual                  BU    SR 
Separation Date   Prog ID/Org   Number Temp MOF                   Position Title              FTE             Salary    FTE   Actual Salary  Code Level
    07/01/2009    EDN 100/AA      1844      J1  A SCHOOL ADM SERVICES ASST III                  1.00    $     44,419.00 1.00 $     54,012.00   04 SR16
    07/01/2009    EDN 100/AA     12538      J1  A SCHOOL ADM SERVICES ASST III                  1.00    $     44,419.00 1.00 $     48,048.00   04 SR16
    07/01/2009    EDN 100/AA     16298      J1  A SCHOOL CUSTODIAN II                           1.00    $     33,885.00 1.00 $     33,228.00   01 BC02
    07/01/2009    EDN 100/AA     16449      J1  A SCHOOL CUSTODIAN II                           1.00    $     33,885.00 1.00 $     33,228.00   01 BC02
    07/01/2009    EDN 100/AA     17547      J1  A SCHOOL CUSTODIAN II                           1.00    $     33,885.00 1.00 $     33,228.00   01 BC02
    07/01/2009    EDN 100/AA     23307      J1  A EDUC ASST II                                  0.50    $     14,824.00 0.50 $     12,515.04   03 SR10
    07/01/2009    EDN 100/AA     33097      J1  A SCHOOL SECURITY ATTENDANT                     1.00    $     25,213.00 1.00 $     27,019.92   03 SR07
    07/01/2009    EDN 100/AA     37532      J1  A EDUC ASST III                                 0.50    $     14,824.00 0.50 $     16,449.96   03 SR12
    07/01/2009    EDN 100/AA     38356      J1  A CLERK TYPIST II                               1.00    $     29,865.00 1.00 $     39,480.00   03 SR08
    07/01/2009    EDN 100/AA     38554      J1  A CLERK TYPIST II                               1.00    $     29,865.00 1.00 $     32,424.00   03 SR08
    07/01/2009    EDN 100/AA     51987      J1  A EDUC ASST III                                 1.00    $     29,647.00 1.00 $     29,220.00   03 SR12
    07/01/2009    EDN 100/AA     51988      J1  A EDUC ASST III                                 0.50    $     14,824.00 0.50 $     14,064.96   03 SR12
    07/01/2009    EDN 100/AA     55262      T1  A CLERK III                                     1.00    $     29,178.00 1.00 $     25,668.00   03 SR08
    07/01/2009    EDN 100/AA     55346      T1  A CLERK III                                     1.00    $     29,178.00 1.00 $     31,212.00   03 SR08
    07/01/2009    EDN 100/AA     55812      J1  A EDUC ASST III                                 0.50    $     14,824.00 0.50 $     14,610.00   03 SR12
    07/01/2009    EDN 100/AA     55866      T1  A EDUC ASST III                                 1.00    $     29,647.00 1.00 $     29,220.00   03 SR12
    07/01/2009    EDN 100/AA     56067      T1  A CLERK III                                     1.00    $     29,178.00 1.00 $     27,756.00   03 SR08
    07/01/2009    EDN 100/AA     56074      T1  A CLERK III                                     0.50    $     14,589.00 0.50 $     13,878.00   03 SR08
    07/01/2009    EDN 100/AA     56077      T1  A CLERK III                                     1.00    $     29,178.00 1.00 $     30,036.00   03 SR08
    07/01/2009    EDN 100/AA     56244      T1  A CLERK III                                     1.00    $     29,178.00 1.00 $     27,756.00   03 SR08
    07/01/2009    EDN 100/AA     56268      T1  A CLERK II                                      1.00    $     29,178.00 1.00 $     25,668.00   03 SR06
    07/01/2009    EDN 100/AA     56581      J1  A CLERK TYPIST II                               1.00    $     29,865.00 1.00 $     26,700.00   03 SR08
    07/01/2009    EDN 100/AA     56795      T1  A CLERK III                                     1.00    $     29,178.00 1.00 $     27,756.00   03 SR08
    07/01/2009    EDN 100/AA     58732      J1  A CLERK I                                       0.50    $     14,589.00 0.50 $     12,324.00   03 SR04
    07/01/2009    EDN 100/AA     59059      J1  A SCHOOL SECURITY ATTENDANT                     1.00    $     25,213.00 1.00 $     22,249.92   03 SR07
    07/01/2009    EDN 100/AA     64125      J1  A SECONDARY TEACHER                             1.00    $     56,257.00 1.00 $     32,712.96   05 T02
    07/01/2009    EDN 100/AA     67695      J1  A ELEM TEACHER                                  1.00    $     74,688.00 1.00 $     46,608.96   05 T03
    07/01/2009    EDN 100/AA     71535      J1  A ELEM TEACHER                                  1.00    $     56,257.00 1.00 $     44,452.08   05 T02
    07/01/2009    EDN 100/AA     71617      J1  A SECONDARY TEACHER                             1.00    $     72,860.00 1.00 $     40,566.96   05 A02
    07/01/2009    EDN 100/AA     72714      J1  A 12‐MO SECONDARY TEACHER                       1.00    $     67,508.00 1.00 $     46,608.96   05 T03
    07/01/2009    EDN 100/AA    800694      T1  A CLERK TYPIST II                               0.50    $     14,933.00 0.50 $     13,350.00   03 SR08
    07/01/2009    EDN 100/AA    800795      T1  A CLERK II                                      0.50    $     14,589.00 0.50 $     11,844.00   03 SR06
    07/01/2009    EDN 100/AA    800801      T1  A EDUC ASST II                                  0.50    $     14,824.00 0.50 $     11,565.00   03 SR10
    07/01/2009    EDN 100/AA    800876      T1  A SCHOOL SECURITY ATTENDANT                     1.00    $     25,213.00 1.00 $     21,390.00   03 SR07
    07/01/2009    EDN 100/AA    800931      T1  A LIBRARY ASSISTANT II                          0.50    $     15,239.00 0.50 $     11,388.00   03 SR05
    07/01/2009    EDN 100/AA    801143      T1  A SCHOOL CUSTODIAN II                           0.50    $     16,942.00 0.50 $     16,614.00   01 BC02


                                                                           Page 25                                                      2011 Budget Briefing
Department of Education                                                         Table 12
                                                                Personnel Separations

                                Position  Perm/                                           Budgeted       Budgeted   Actual                  BU    SR 
Separation Date   Prog ID/Org   Number Temp MOF                    Position Title           FTE             Salary    FTE   Actual Salary  Code Level
    07/01/2009    EDN 100/AA    801181      T1  A LIBRARY ASSISTANT III                       0.50    $     15,239.00 0.50 $     12,324.00   03 SR07
    07/01/2009    EDN 100/AA    801208      T1  A EDUC ASST II                                0.75    $     22,235.00 0.75 $     17,347.50   03 SR10
    07/01/2009    EDN 100/BB     59972      J1  A GEN PROF IV(TRANS PGM COORD I)              0.50    $     22,788.00 0.50 $     22,788.00   13 SR22
    07/01/2009    EDN 100/CB     59992      T1  W CLERK TYPIST II                             1.00    $     26,700.00 1.00 $     26,700.00   03 SR08
    07/01/2009    EDN 100/DB     15606      T1  N CLERK TYPIST III                            1.00    $     30,036.00 1.00 $     30,036.00   03 SR10
    07/01/2009    EDN 100/DB     59691      T1  N SECRETARY I                                 1.00    $     31,212.00 1.00 $     31,212.00   63 SR12
    07/01/2009    EDN 150/FA     26533      J1  A EDUC ASST III                               1.00    $     26,131.00 1.00 $     34,200.00   03 SR12
    07/01/2009    EDN 150/FA     37977      J1  A EDUC ASST III                               1.00    $     34,347.00 1.00 $     32,899.92   03 SR12
    07/01/2009    EDN 150/FA     39847      J1  A EDUC ASST III                               1.00    $     37,135.00 1.00 $     35,569.92   03 SR12
    07/01/2009    EDN 150/FA     41335      T1  A EDUC ASST II                                0.75    $     20,366.00 0.75 $     18,022.50   03 SR10
    07/01/2009    EDN 150/FA     47127      J1  A EDUC ASST III                               1.00    $     35,705.00 1.00 $     34,200.00   03 SR12
    07/01/2009    EDN 150/FA     55070      J1  A EDUC ASST III                               1.00    $     40,173.00 1.00 $     38,479.92   03 SR12
    07/01/2009    EDN 150/FA     55887      J1  A EDUC ASST III                               1.00    $     31,769.00 1.00 $     30,430.08   03 SR12
    07/01/2009    EDN 150/FA     56781      J1  A EDUC ASST III                               1.00    $     28,209.00 1.00 $     27,019.92   03 SR12
    07/01/2009    EDN 150/FA     56837      T1  A EDUC ASST III                               1.00    $     27,154.00 1.00 $     26,010.00   03 SR12
    07/01/2009    EDN 150/FA     56865      T1  A EDUC ASST II                                1.00    $     26,131.00 1.00 $     23,130.00   03 SR10
    07/01/2009    EDN 150/FA     57184      T1  A EDUC ASST III                               1.00    $     27,154.00 1.00 $     25,030.08   03 SR12
    07/01/2009    EDN 150/FA     57632      T1  A EDUC ASST III                               0.75    $     21,157.00 0.75 $     20,264.94   03 SR12
    07/01/2009    EDN 150/FA     58767      J1  A EDUC ASST II                                1.00    $     26,131.00 1.00 $     23,130.00   03 SR10
    07/01/2009    EDN 150/FA     58778      T1  A EDUC ASST II                                1.00    $     27,154.00 1.00 $     23,130.00   03 SR10
    07/01/2009    EDN 150/FA     73559      J1  A SPEC ED TCHR/PRE‐SCHOOL                     1.00    $     79,170.00 1.00 $     51,426.00   05 T04
    07/01/2009    EDN 150/FA    800154      T1  A EDUC ASST I                                 1.00    $     26,131.00 1.00 $     21,390.00   03 SR08
    07/01/2009    EDN 150/FA    800159      T1  A EDUC ASST II                                0.75    $     19,599.00 0.75 $     17,347.50   03 SR10
    07/01/2009    EDN 150/FA    800170      T1  A EDUC ASST III                               0.75    $     21,157.00 0.75 $     20,264.94   03 SR12
    07/01/2009    EDN 150/FA    800492      T1  A EDUC ASST III                               1.00    $     27,154.00 1.00 $     26,010.00   03 SR12
    07/01/2009    EDN 150/FA    800500      T1  A EDUC ASST III                               1.00    $     28,209.00 1.00 $     25,009.92   03 SR12
    07/01/2009    EDN 150/FA    800596      T1  A EDUC ASST III                               1.00    $     26,131.00 1.00 $     25,030.08   03 SR12
    07/01/2009    EDN 150/FB     13497      J1  A CLERK TYPIST II                             1.00    $     27,756.00 1.00 $     27,756.00   03 SR08
    07/01/2009    EDN 150/NB     58147      T1  N EDUC ASST III                               1.00    $     25,030.08 1.00 $     25,030.08   03 SR12
    07/01/2009    EDN 150/NB    800236      T1  N EDUC ASST II                                1.00    $     23,130.00 1.00 $     23,130.00   03 SR10
    07/01/2009    EDN 150/NB    801027      T1  N EDUC ASST III                               1.00    $     25,030.08 1.00 $     25,030.08   03 SR12
    07/01/2009    EDN 150/NB    801038      T1  N EDUC ASST I                                 1.00    $     21,390.00 1.00 $     21,390.00   03 SR08
    07/01/2009    EDN 150/SA     33208      J1  A SPEECH PATHOLOGIST IV                       1.00    $     69,305.00 1.00 $     67,488.00   13 SR22
    07/01/2009    EDN 150/SA    116805      J1  A EDUCATIONAL INTERPRETER                     1.00    $     29,940.00 1.00 $     29,940.00   03 SRNA
    07/01/2009    EDN 150/SA    116807      J1  A EDUCATIONAL INTERPRETER COORD               1.00    $     43,680.00 1.00 $     34,284.00   13 SRNA
    07/01/2009    EDN 150/SA    116808      J1  A EDUCATIONAL INTERPRETER COORD               1.00    $     38,388.00 1.00 $     38,388.00   13 SRNA


                                                                        Page 26                                                       2011 Budget Briefing
Department of Education                                                         Table 12
                                                                Personnel Separations

                                 Position  Perm/                                          Budgeted       Budgeted   Actual                  BU    SR 
Separation Date    Prog ID/Org   Number Temp MOF                   Position Title           FTE             Salary    FTE   Actual Salary  Code Level
    07/01/2009    EDN 150/SA     116810      J1  A EDUCATIONAL INTERPRETER COORD              1.00    $     38,388.00 1.00 $     38,388.00   13 SRNA
    07/01/2009    EDN 150/SA     800317      J1  A EDUCATIONAL INTERPRETER                    1.00    $     31,138.00 1.00 $     31,140.00   03 SRNA
    07/01/2009    EDN 150/SA     800319      J1  A EDUCATIONAL INTERPRETER                    1.00    $     32,223.00 1.00 $     32,220.00   03 SRNA
    07/01/2009    EDN 150/YC      32092      J1  A PSYCHOLOGICAL EXAMINER IV                  1.00    $     54,788.00 1.00 $     53,352.00   13 SR22
    07/01/2009    EDN 150/YC      58402      J1  A BEHAVIORAL SPECIALIST IV                   1.00    $     57,708.00 1.00 $     57,708.00   13 SR22
    07/01/2009    EDN 150/YK      29479      J1  A SCHOOL HEALTH AIDE                         1.00    $     26,839.00 1.00 $     25,707.12   03 SR09
    07/01/2009    EDN 150/YK     800991      T1  A SCHOOL HEALTH AIDE                         1.00    $     18,873.00 1.00 $     18,078.00   03 SR09
    07/01/2009    EDN 200/GM      14583      J1  A SECRETARY IV                               1.00    $     58,440.00 1.00 $     58,440.00   03 SR18
    07/01/2009    EDN 200/GN      14604      J1  A SECRETARY II                               1.00    $     48,048.00 1.00 $     48,048.00   03 SR14
    07/01/2009    EDN 200/GN      29993      T1  A BILINGUAL/BICULTURAL S/H ASST              1.00    $     31,212.00 1.00 $     31,212.00   03 SR11
    07/01/2009    EDN 200/GN      32179      T1  A BILINGUAL/BICULTURAL S/H ASST              0.50    $     19,740.00 0.50 $     19,740.00   03 SR11
    07/01/2009    EDN 300/UA      44936      J1  A DP USER SUPPORT TECH II                    1.00    $     56,592.00 1.00 $     51,936.00   03 SR15
    07/01/2009    EDN 400/MD      35115      J1  B FOOD SERVICES DRIVER                       1.00    $     34,164.00 1.00 $     34,164.00   01 BC03
    07/01/2009    EDN 400/MD      51925      J1  A SCHOOL FOOD SERVICES MGR II                1.00    $     43,722.00 1.00 $     42,576.00   02 F106
    07/01/2009    EDN 400/OC      17065      J1  A BUILDING MTNCE DISTRICT SUPVR              1.00    $     58,404.00 1.00 $     58,404.00   02 F310
    07/01/2009    EDN 400/OC      17092      J1  A CARPENTER I                                1.00    $     48,096.00 1.00 $     44,544.00   01 BC09
    07/01/2009    EDN 500/PC       6226      J1  A SCHOOL ADM SERVICES ASST IV                1.00    $     54,012.00 1.00 $     54,012.00   04 SR18
    07/02/2009    EDN 100/AA      56344      J1  A LIBRARY ASSISTANT III                      0.50    $     15,239.00 0.50 $     12,324.00   03 SR07
    07/07/2009    EDN 150/YC      58369      J1  A BEHAVIORAL HLTH SPCLT III                  1.00    $     45,576.00 1.00 $     42,132.00   13 SR20
    07/09/2009    EDN 100/AA      60507      J1  A LIBRARIAN                                  1.00    $     49,303.00 1.00 $     48,008.16   05 T03
    07/09/2009    EDN 100/BM     800790      J1  A ATHLETIC HLTH CARE TRAINER                 1.00    $     45,576.00 1.00 $     45,576.00   13 SR22
    07/10/2009    EDN 150/SA     800296      J1  A SPEECH PATHOLOGIST II                      1.00    $     60,436.00 1.00 $     40,548.00   13 SR18
    07/11/2009    EDN 100/AA      22229      J1  A SCHOOL CUSTODIAN II                        0.50    $     16,942.00 0.50 $     16,614.00   01 BC02
    07/11/2009    EDN 100/AA      56589      J1  A CLERK TYPIST II                            0.50    $     14,933.00 0.50 $     15,018.00   03 SR08
    07/11/2009    EDN 100/AA      72120      J1  A SECONDARY TEACHER                          1.00    $     56,257.00 1.00 $     43,157.04   05 T02
    07/16/2009    EDN 100/AA      58251      J1  A ACCOUNT CLERK II                           1.00    $     34,121.00 1.00 $     28,836.00   03 SR08
    07/16/2009    EDN 100/BM     800530      J1  A ATHLETIC HLTH CARE TRAINER                 1.00    $     47,412.00 1.00 $     47,412.00   13 SR22
    07/16/2009    EDN 150/FA      56765      T1  A EDUC ASST III                              0.50    $     13,577.00 0.50 $     13,005.00   03 SR12
    07/16/2009    EDN 150/FA     800926      T1  A EDUC ASST II                               0.75    $     19,599.00 0.75 $     17,347.50   03 SR10
    07/16/2009    EDN 150/YC      58337      J1  A BEHAVIORAL SPECIALIST IV                   1.00    $     49,332.00 1.00 $     49,332.00   13 SR22
    07/16/2009    EDN 150/YC      58504      J1  A BEHAVIORAL HLTH SPCLT IV                   1.00    $     47,412.00 1.00 $     47,412.00   13 SR22
    07/18/2009    EDN 150/YC      58543      J1  A BEHAVIORAL HLTH SPCLT IV                   1.00    $     45,576.00 1.00 $     47,412.00   13 SR22
    07/22/2009    EDN 150/FA      76153      J1  A GEN EDUC/ARTICLE VI TCHR                   1.00    $     45,785.00 1.00 $     46,608.96   05 T03
    07/22/2009    EDN 150/YG      59560      J1  A BEHAVIORAL HLTH SPCLT IV                   1.00    $     49,332.00 1.00 $     49,332.00   13 SR22
    07/23/2009    EDN 100/AA      54908      J1  A SCHOOL CUSTODIAN II                        1.00    $     33,885.00 1.00 $     32,856.00   01 BC02
    07/23/2009    EDN 400/MD       1990      J1  A SCHOOL FOOD SERVICES MGR II                1.00    $     48,429.00 1.00 $     47,160.00   02 F206


                                                                        Page 27                                                       2011 Budget Briefing
Department of Education                                                         Table 12
                                                                  Personnel Separations

                                Position  Perm/                                             Budgeted       Budgeted   Actual                  BU    SR 
Separation Date   Prog ID/Org   Number Temp MOF                   Position Title              FTE             Salary    FTE   Actual Salary  Code Level
    07/24/2009    EDN 100/AA     64001      J1  A ELEM TEACHER                                  1.00    $     48,008.00 1.00 $     49,448.16   05 T03
    07/24/2009    EDN 100/AA     64528      J1  A SECONDARY TEACHER                             1.00    $     52,968.00 1.00 $     32,712.96   05 T02
    07/24/2009    EDN 100/AA     65363      T1  A ELEM TEACHER                                  1.00    $     60,729.12 1.00 $     60,729.12   05 T07
    07/24/2009    EDN 100/AA     66035      J1  A SECONDARY TEACHER                             1.00    $     56,257.00 1.00 $     53,076.96   05 T02
    07/24/2009    EDN 100/AA     67057      J1  A SECONDARY TEACHER                             0.50    $     21,579.00 1.00 $     45,785.04   05 T02
    07/24/2009    EDN 100/AA     68737      J1  A ELEM TEACHER                                  1.00    $     45,785.00 1.00 $     51,426.00   05 T04
    07/24/2009    EDN 100/AA     69291      J1  A SECONDARY TEACHER                             1.00    $     56,257.00 1.00 $     70,400.16   05 T07
    07/24/2009    EDN 100/AA     73816      J1  A SECONDARY TEACHER                             1.00    $     52,968.00 1.00 $     52,968.00   05 T04
    07/24/2009    EDN 100/AA     60689      J1  A ELEM TEACHER                                  1.00    $     56,257.00 1.00 $     62,550.00   05 T07
    07/24/2009    EDN 100/AA     63835      T1  A SECONDARY TEACHER                             1.00    $     56,257.00 1.00 $     46,608.96   05 T03
    07/24/2009    EDN 150/FA     56928      T1  A EDUC ASST II                                  1.00    $     27,154.00 1.00 $     25,030.08   03 SR10
    07/24/2009    EDN 150/FA     61016      J1  A SPEC ED TEACHER                               0.50    $     16,847.00 0.50 $     23,304.48   45 T03
    07/24/2009    EDN 150/FA     62858      J1  A GEN EDUC/ARTICLE VI TCHR                      1.00    $     43,157.00 1.00 $     72,513.12   05 T07
    07/24/2009    EDN 150/FA     64504      J1  A GEN EDUC/ARTICLE VI TCHR                      1.00    $     49,448.00 1.00 $     43,157.04   05 T02
    07/24/2009    EDN 150/FA     66868      J1  A SPEC ED TEACHER                               1.00    $     48,008.00 1.00 $     43,157.04   05 T02
    07/24/2009    EDN 150/FA     67292      J1  A GEN EDUC/ARTICLE VI TCHR                      1.00    $     53,483.00 1.00 $     55,086.96   05 T05
    07/24/2009    EDN 150/FA     71961      J1  A SPEC ED TEACHER                               1.00    $     45,785.00 1.00 $     46,608.96   05 T03
    07/24/2009    EDN 150/FA     73514      J1  A SPEC ED TEACHER                               1.00    $     43,157.04 1.00 $     43,157.04   05 T02
    07/24/2009    EDN 150/FA     73728      T1  A SPEC ED TEACHER                               1.00    $     32,713.00 1.00 $     43,157.04   05 T02
    07/24/2009    EDN 150/FA     74542      J1  A SPEC ED TEACHER                               1.00    $     32,713.00 1.00 $     44,452.08   05 T02
    07/24/2009    EDN 150/FA     75844      T1  A GEN EDUC/ARTICLE VI TCHR                      1.00    $     45,785.00 1.00 $     43,157.04   05 T02
    07/24/2009    EDN 150/FA     76154      J1  A SPEC ED TEACHER                               1.00    $     51,426.00 1.00 $     43,157.04   05 T02
    07/24/2009    EDN 150/YC     58419      T1  A BEHAVIORAL HLTH SPCLT IV                      1.00    $     47,412.00 1.00 $     49,332.00   13 SR22
    07/25/2009    EDN 150/YC     58208      J1  A CLINICAL PSYCHOLOGIST VI                      1.00    $     77,748.00 1.00 $     67,488.00   13 SR26
    07/27/2009    EDN 150/FA     71992      J1  A SPEC ED TEACHER                               1.00    $     72,513.00 1.00 $     72,513.12   05 T07
    07/28/2009    EDN 150/FA     34905      J1  A EDUC ASST III                                 1.00    $     35,705.00 1.00 $     34,200.00   03 SR12
    07/28/2009    EDN 150/FA     52556      J1  A EDUC ASST III                                 1.00    $     30,506.00 1.00 $     29,220.00   03 SR12
    07/28/2009    EDN 150/FA     56880      J1  A EDUC ASST III                                 1.00    $     30,506.00 1.00 $     29,220.00   03 SR12
    07/28/2009    EDN 150/FA     57897      T1  A EDUC ASST III                                 1.00    $     29,368.00 1.00 $     28,129.92   03 SR12
    07/28/2009    EDN 150/FA     58063      J1  A EDUC ASST II                                  0.75    $     20,366.00 0.75 $     19,507.50   03 SR10
    07/28/2009    EDN 150/FA     58978      J1  A EDUC ASST III                                 0.75    $     21,157.00 0.75 $     18,772.56   03 SR12
    07/28/2009    EDN 150/FA    800208      J1  A EDUC ASST III                                 1.00    $     30,506.00 1.00 $     25,030.08   03 SR12
    07/28/2009    EDN 150/YK     29504      J1  A SCHOOL HEALTH AIDE                            1.00    $     21,232.00 1.00 $     18,078.00   03 SR09
    07/29/2009    EDN 150/FA     24757      J1  A EDUC ASST III                                 1.00    $     31,769.00 1.00 $     30,430.08   03 SR12
    07/29/2009    EDN 150/FA     29599      J1  A EDUC ASST III                                 1.00    $     27,154.00 1.00 $     26,010.00   03 SR12
    07/29/2009    EDN 150/FA     30756      J1  A EDUC ASST III                                 1.00    $     30,506.00 1.00 $     29,220.00   03 SR12


                                                                           Page 28                                                      2011 Budget Briefing
Department of Education                                                         Table 12
                                                               Personnel Separations

                            Position  Perm/                                              Budgeted       Budgeted   Actual                  BU    SR 
Separation Date Prog ID/Org Number Temp MOF                    Position Title              FTE             Salary    FTE   Actual Salary  Code Level
    07/29/2009 EDN 150/FA    46236      J1  A EDUC ASST III                                  1.00    $     29,368.00 1.00 $     25,030.08   03 SR12
    07/29/2009 EDN 150/FA    52655      J1  A EDUC ASST III                                  0.75    $     23,827.00 0.75 $     22,822.56   03 SR12
    07/29/2009 EDN 150/FA    52678      J1  A EDUC ASST II                                   0.75    $     19,599.00 0.75 $     17,347.50   03 SR10
    07/29/2009 EDN 150/FA    53114      J1  A EDUC ASST II                                   0.50    $     13,577.00 0.50 $     11,565.00   03 SR10
    07/29/2009 EDN 150/FA    54846      J1  A EDUC ASST II                                   0.63    $     19,066.00 0.63 $     14,456.25   03 SR10
    07/29/2009 EDN 150/FA    55402      J1  A EDUC ASST II                                   0.75    $     19,599.00 0.75 $     17,347.50   03 SR10
    07/29/2009 EDN 150/FA    55453      J1  A EDUC ASST III                                  0.75    $     19,599.00 0.75 $     18,772.56   03 SR12
    07/29/2009 EDN 150/FA    56766      J1  A EDUC ASST II                                   0.75    $     22,879.00 0.75 $     18,022.50   03 SR10
    07/29/2009 EDN 150/FA    57059      J1  A EDUC ASST II                                   1.00    $     26,131.00 1.00 $     23,130.00   03 SR10
    07/29/2009 EDN 150/FA    57282      J1  A EDUC ASST III                                  0.75    $     21,157.00 0.75 $     18,772.56   03 SR12
    07/29/2009 EDN 150/FA    57301      T1  A EDUC ASST III                                  0.75    $     20,366.00 0.75 $     19,507.50   03 SR12
    07/29/2009 EDN 150/FA    57475      T1  A EDUC ASST III                                  0.75    $     19,599.00 0.75 $     18,772.56   03 SR12
    07/29/2009 EDN 150/FA    57651      J1  A EDUC ASST III                                  1.00    $     28,209.00 1.00 $     27,019.92   03 SR12
    07/29/2009 EDN 150/FA 800084        T1  A EDUC ASST III                                  1.00    $     26,131.00 1.00 $     29,220.00   03 SR12
    07/29/2009 EDN 150/FA 800600        J1  A EDUC ASST III                                  0.50    $     13,577.00 0.50 $     13,005.00   03 SR12
    07/29/2009 EDN 150/FA 801291        T1  A EDUC ASST III                                  1.00    $     26,131.00 1.00 $     25,030.08   03 SR12
    07/29/2009 EDN 150/NB 800355        T1  N EDUC ASST I                                    1.00    $     21,390.00 1.00 $     21,390.00   03 SR08
    07/29/2009 EDN 300/KO    19644      J1  A PERSONNEL CLERK IV                             1.00    $     33,756.00 1.00 $     28,836.00   63 SR11
    07/30/2009 EDN 100/AA    66340      J1  A ELEM TEACHER                                   1.00    $     56,257.00 1.00 $     51,426.00   05 T04
    07/30/2009 EDN 150/YC    58372      J1  A BEHAVIORAL HLTH SPCLT IV                       1.00    $     45,576.00 1.00 $     45,576.00   13 SR22
    07/31/2009 EDN 150/FA    57630      T1  A EDUC ASST I                                    0.75    $     19,599.00 0.75 $     16,042.50   03 SR08
    07/31/2009 EDN 150/YG 800478        J1  A EDUC ASST III                                  1.00    $     26,131.00 1.00 $     25,030.08   03 SR12
    07/31/2009 EDN 400/MD 31649         T1  N CAFETERIA HELPER                               0.50    $     16,614.00 0.50 $     16,614.00   01 BC02
    08/01/2009 EDN 100/AA    10554      J1  A SCHOOL ADM SERVICES ASST III                   1.00    $     44,419.00 1.00 $     44,412.00   04 SR16
    08/01/2009 EDN 100/AA    16435      J1  A SCHOOL CUSTODIAN III                           1.00    $     33,885.00 1.00 $     35,544.00   01 WS02
    08/01/2009 EDN 100/AA    60196      J1  A SECONDARY TEACHER                              1.00    $     56,257.00 1.00 $     54,669.12   05 T02
    08/01/2009 EDN 100/AA    61576      J1  A VICE PRINCIPAL I                               1.00    $     81,503.00 1.00 $     80,514.00   06 E03
    08/01/2009 EDN 100/AA    62835      J1  A ELEM TEACHER                                   1.00    $     56,257.00 1.00 $     79,170.00   05 T07
    08/01/2009 EDN 100/AA    64026      J1  A ELEM TEACHER                                   1.00    $     56,257.00 1.00 $     79,170.00   05 T07
    08/01/2009 EDN 100/AA    64755      J1  A 12‐MO HS PRIN VIII                             1.00    $  145,154.00   1.00 $  155,782.08     06 E11
    08/01/2009 EDN 100/AA    64905      J1  A SECONDARY TEACHER                              1.00    $     56,257.00 1.00 $     60,729.12   05 T07
    08/01/2009 EDN 100/AA    65227      J1  A 12‐MO INTER PRIN V                             1.00    $  126,104.00   1.00 $  110,046.00     06 E08
    08/01/2009 EDN 100/AA    65547      J1  A SECONDARY TEACHER                              1.00    $     56,257.00 1.00 $     59,043.12   05 T03
    08/01/2009 EDN 100/AA    67864      J1  A SECONDARY TEACHER                              1.00    $     56,257.00 1.00 $     68,351.04   05 T07
    08/01/2009 EDN 100/AA    69125      J1  A 12‐MONTH REGISTRAR                             1.00    $     67,508.00 1.00 $     72,513.12   05 T07
    08/01/2009 EDN 100/AA    69339      J1  A ELEM TEACHER                                   1.00    $     56,257.00 1.00 $     74,688.00   05 T06


                                                                        Page 29                                                      2011 Budget Briefing
Department of Education                                                         Table 12
                                                                 Personnel Separations

                                Position  Perm/                                            Budgeted       Budgeted   Actual                  BU    SR 
Separation Date   Prog ID/Org   Number Temp MOF                   Position Title             FTE             Salary    FTE   Actual Salary  Code Level
    08/01/2009    EDN 100/AA     69513      J1  A SECONDARY TEACHER                            1.00    $     56,257.00 1.00 $     48,574.08   05 T02
    08/01/2009    EDN 100/AA     73631      J1  A 12‐MO HS PRIN VIII                           1.00    $  145,154.00   1.00 $  155,782.08     06 E11
    08/01/2009    EDN 100/AA    62095X      T1  A ELEM TEACHER                                 1.00    $     56,257.00 1.00 $     46,608.96   05 T03
    08/01/2009    EDN 100/AA    72976F      T1  A 12‐MO STUDENT SVCS COORD                     1.00    $     67,508.00 1.00 $     79,170.00   05 T07
    08/01/2009    EDN 100/AA    72990F      T1  A 10‐MO STUDENT SVCS COORD                     1.00    $     56,257.00 1.00 $     57,999.12   05 T02
    08/01/2009    EDN 100/AA    76238X      T1  A ELEM TEACHER                                 1.00    $     56,257.00 1.00 $     53,076.96   05 T02
    08/01/2009    EDN 150/FA     60599      J1  A GEN EDUC/ARTICLE VI TCHR                     1.00    $     43,157.00 1.00 $     79,170.00   05 T07
    08/01/2009    EDN 150/FA     67549      J1  A SPEC ED TEACHER                              1.00    $     70,461.00 1.00 $     70,461.12   05 T06
    08/01/2009    EDN 150/FA     67915      J1  A SPEC ED TEACHER                              1.00    $     66,397.00 1.00 $     66,396.96   05 T03
    08/01/2009    EDN 150/FA     68366      J1  A GEN EDUC/ARTICLE VI TCHR                     1.00    $     61,405.00 1.00 $     61,404.96   05 T04
    08/01/2009    EDN 150/FA     73505      J1  A SPEC ED TEACHER                              1.00    $     58,959.00 1.00 $     44,452.08   05 T02
    08/01/2009    EDN 150/FA     75572      T1  A SPEC ED TEACHER                              1.00    $     66,359.00 1.00 $     66,359.04   05 T07
    08/01/2009    EDN 150/SA     56362      J1  A SPEECH PATHOLOGIST II                        1.00    $     60,315.00 1.00 $     38,988.00   13 SR18
    08/01/2009    EDN 150/YG     57990      J1  A HUMAN SVCS PROF IV                           1.00    $     45,576.00 1.00 $     45,576.00   13 SR22
    08/01/2009    EDN 300/KF     66414      J1  A ACCTG OPERATION SPEC III                     1.00    $     84,947.00 1.00 $     84,947.04   06 E08
    08/01/2009    EDN 400/MD      2060      J1  A SCHOOL FOOD SERVICES MGR III                 1.00    $     50,376.00 1.00 $     49,056.00   02 F206
    08/01/2009    EDN 400/MD     32340      J1  B CAFETERIA HELPER                             0.50    $     16,614.00 0.50 $     16,614.00   01 BC02
    08/06/2009    EDN 100/AA     30644      J1  A SCHOOL SECURITY ATTENDANT                    1.00    $     25,213.00 1.00 $     24,070.08   03 SR07
    08/06/2009    EDN 100/AA     55800      T1  A EDUC ASST III                                0.50    $     14,824.00 0.50 $     13,509.96   03 SR12
    08/08/2009    EDN 100/AA     55970      J1  A EDUC ASST III                                0.50    $     14,824.00 0.50 $     14,610.00   03 SR12
    08/08/2009    EDN 150/FA     57130      J1  A EDUC ASST II                                 0.75    $     20,366.00 0.75 $     19,507.50   03 SR10
    08/08/2009    EDN 150/YC    800568      J1  A SCHOOL PSYCHOLOGIST                          1.00    $     58,716.00 1.00 $     51,312.00   13 SR24
    08/08/2009    EDN 400/YA     59108      J1  A BUS DRIVER                                   0.50    $     19,986.00 0.50 $     19,986.00   01 BC07
    08/13/2009    EDN 100/AA     54856      T1  A CLERK III                                    0.50    $     14,589.00 0.50 $     13,350.00   03 SR08
    08/15/2009    EDN 100/AA     46072      T1  A EDUC ASST II                                 0.50    $     14,824.00 0.50 $     12,015.00   03 SR10
    08/15/2009    EDN 100/AA     55116      T1  A CLERK II                                     0.88    $     25,677.00 0.88 $     20,727.00   03 SR06
    08/15/2009    EDN 100/AA     64791      J1  A SECONDARY TEACHER                            1.00    $     56,257.00 1.00 $     57,880.08   05 T04
    08/15/2009    EDN 100/AA     64920      J1  A SECONDARY TEACHER                            1.00    $     56,257.00 1.00 $     62,550.00   05 T07
    08/15/2009    EDN 150/FA     51914      J1  A EDUC ASST III                                0.75    $     22,879.00 0.75 $     21,915.00   03 SR12
    08/15/2009    EDN 150/YC     58341      J1  A BEHAVIORAL HEALTH SPCLT IV                   1.00    $     49,332.00 1.00 $     49,332.00   13 SR22
    08/15/2009    EDN 150/YC     58858      J1  A CLERK TYPIST II                              1.00    $     28,836.00 1.00 $     28,836.00   03 SR08
    08/15/2009    EDN 400/MD      2027      J1  A SCHOOL BAKER                                 1.00    $     38,436.00 1.00 $     38,436.00   01 BC06
    08/15/2009    EDN 400/MD     59669      T1  N CAFETERIA HELPER                             0.50    $     16,614.00 0.50 $     16,428.00   01 BC02
    08/18/2009    EDN 100/AA     60956      J1  A SECONDARY TEACHER                            1.00    $     56,257.00 1.00 $     51,426.00   05 T04
    08/19/2009    EDN 100/AA     68857      J1  A SECONDARY TEACHER                            1.00    $     56,257.00 1.00 $     56,740.08   05 T05
    08/19/2009    EDN 100/AA     73238      J1  A SECONDARY TEACHER                            1.00    $     56,257.00 1.00 $     57,880.08   05 T04


                                                                          Page 30                                                      2011 Budget Briefing
Department of Education                                                         Table 12
                                                                  Personnel Separations

                                Position  Perm/                                             Budgeted       Budgeted   Actual                  BU    SR 
Separation Date   Prog ID/Org   Number Temp MOF                   Position Title              FTE             Salary    FTE   Actual Salary  Code Level
    08/20/2009    EDN 100/AA     75822      J1  A SECONDARY TEACHER                             1.00    $     56,257.00 1.00 $     45,785.04   05 T02
    08/21/2009    EDN 100/AA     54880      T1  A CLERK III                                     0.75    $     21,884.00 0.75 $     20,817.00   03 SR08
    08/21/2009    EDN 100/AA     56109      T1  A CLERK III                                     1.00    $     29,178.00 1.00 $     27,756.00   03 SR08
    08/21/2009    EDN 100/AA     74386      J1  A LIBRARIAN                                     1.00    $     56,257.00 1.00 $     54,558.00   05 T04
    08/21/2009    EDN 150/FA     67431      J1  A SPEC ED TEACHER                               1.00    $     49,448.00 1.00 $     48,008.16   05 T03
    08/21/2009    EDN 150/YC     58540      T1  A BEHAVIORAL HLTH SPCLT IV                      1.00    $     51,312.00 1.00 $     51,312.00   13 SR22
    08/21/2009    EDN 200/GN     76379      J1  A COMPLEX AREA TEACHER                          1.00    $     61,404.96 1.00 $     61,404.96   05 T04
    08/25/2009    EDN 100/AA     65004      J1  A LIBRARIAN                                     1.00    $     56,257.00 1.00 $     49,448.16   05 T03
    08/25/2009    EDN 150/FA     57790      J1  A EDUC ASST III                                 0.75    $     19,599.00 0.75 $     18,772.56   03 SR12
    08/29/2009    EDN 100/AA     16471      J1  A SCHOOL CUSTODIAN III                          1.00    $     33,885.00 1.00 $     35,544.00   01 WS02
    08/29/2009    EDN 100/AA     33478      J1  A CLERK TYPIST II                               1.00    $     29,865.00 1.00 $     27,756.00   03 SR08
    08/29/2009    EDN 100/AA     60972      J1  A SECONDARY TEACHER                             1.00    $     56,257.00 1.00 $     59,010.00   05 T06
    08/29/2009    EDN 100/BS     73384      T1  A ROTC INSTRUCTOR                               1.00    $     69,494.00 1.00 $     74,292.00   55 ROTC
    08/29/2009    EDN 100/BS     73437      T1  A ROTC INSTRUCTOR                               1.00    $     82,095.00 1.00 $     84,876.00   55 ROTC
    08/29/2009    EDN 150/FA     40737      J1  A EDUC ASST III                                 1.00    $     33,032.00 1.00 $     31,639.92   03 SR12
    08/29/2009    EDN 150/NB    800180      T1  N EDUC ASST III                                 0.75    $     19,507.50 0.75 $     19,507.50   03 SR12
    08/29/2009    EDN 150/YC    800447      J1  A SCHOOL PSYCHOLOGIST                           1.00    $     67,428.00 1.00 $     60,024.00   13 SR24
    08/30/2009    EDN 100/AA     73873      J1  A SECONDARY TEACHER                             1.00    $     56,257.00 1.00 $     68,351.04   05 T07
    09/01/2009    EDN 100/AA      1881      J1  A SCHOOL ADM SERVICES ASST II                   1.00    $     44,419.00 1.00 $     36,516.00   04 SR14
    09/01/2009    EDN 100/AA      1933      J1  A SCHOOL ADM SERVICES ASST III                  1.00    $     44,419.00 1.00 $     48,048.00   04 SR16
    09/01/2009    EDN 100/AA     12589      J1  A SCHOOL ADM SERVICES ASST III                  1.00    $     44,419.00 1.00 $     51,936.00   04 SR16
    09/01/2009    EDN 100/AA     16214      J1  A SCHOOL CUSTODIAN II                           1.00    $     33,885.00 1.00 $     33,228.00   01 BC02
    09/01/2009    EDN 100/AA     16303      J1  A SCHOOL CUSTODIAN II                           1.00    $     33,885.00 1.00 $     33,228.00   01 BC02
    09/01/2009    EDN 100/AA     16498      J1  A SCHOOL CUSTODIAN II                           0.50    $     16,942.00 0.50 $     16,614.00   01 BC02
    09/01/2009    EDN 100/AA     28841      J1  A CLERK TYPIST II                               1.00    $     29,865.00 1.00 $     39,480.00   03 SR08
    09/01/2009    EDN 100/AA     41039      J1  A ACCOUNT CLERK III                             1.00    $     34,121.00 1.00 $     39,480.00   03 SR11
    09/01/2009    EDN 100/AA     41901      J1  A CLERK TYPIST II                               0.50    $     14,933.00 0.50 $     12,834.00   03 SR08
    09/01/2009    EDN 100/AA     55876      T1  A EDUC ASST II                                  0.50    $     14,824.00 0.50 $     13,005.00   03 SR10
    09/01/2009    EDN 100/AA     56476      J1  A CLERK TYPIST II                               1.00    $     29,865.00 1.00 $     33,756.00   03 SR08
    09/01/2009    EDN 100/AA     60322      J1  A SECONDARY TEACHER                             1.00    $     56,257.00 1.00 $     55,086.96   05 T05
    09/01/2009    EDN 100/AA     61680      J1  A SECONDARY TEACHER                             1.00    $     56,257.00 1.00 $     55,622.16   05 T06
    09/01/2009    EDN 100/AA     71677      J1  A SECONDARY TEACHER                             0.50    $     28,128.00 0.50 $     32,573.00   45 T04
    09/01/2009    EDN 100/AA     73823      T1  A SECONDARY TEACHER                             1.00    $     56,257.00 1.00 $     49,448.16   05 T03
    09/01/2009    EDN 150/FA     60121      J1  A SPEC ED TEACHER                               1.00    $     63,861.00 1.00 $     46,608.96   05 T03
    09/01/2009    EDN 150/FA     62021      J1  A SPEC ED TEACHER                               1.00    $     43,157.00 1.00 $     59,043.12   05 T03
    09/01/2009    EDN 150/NB     79347      T1  N DIST OFF TCHR                                 1.00    $     48,008.16 1.00 $     48,008.16   05 T03


                                                                           Page 31                                                      2011 Budget Briefing
Department of Education                                                         Table 12
                                                                Personnel Separations

                                Position  Perm/                                           Budgeted       Budgeted   Actual                  BU    SR 
Separation Date   Prog ID/Org   Number Temp MOF                    Position Title           FTE             Salary    FTE   Actual Salary  Code Level
    09/01/2009    EDN 150/NB     79505      T1  N 12‐MO DIST OFF TCHR                         1.00    $     68,351.04 1.00 $     68,351.04   05 T07
    09/01/2009    EDN 150/SA      4901      J1  A SOCIAL WORKER IV                            1.00    $     69,305.00 1.00 $     67,488.00   13 SR22
    09/01/2009    EDN 150/SA     28988      J1  A OCCUPATIONAL THERAPIST V                    1.00    $     75,960.00 1.00 $     75,960.00   23 SR24
    09/01/2009    EDN 300/KO     75407      J1  A PERSONNEL SPECIALIST III                    1.00    $     91,060.00 1.00 $     91,060.08   56 E08
    09/01/2009    EDN 300/UA     35492      J1  A COMPUTER OPERATOR II                        1.00    $     51,936.00 1.00 $     51,936.00   03 SR15
    09/01/2009    EDN 300/UA     66812      J1  A ASST SUPT, INFO/TECH SVCS                   1.00    $  115,000.00   1.00 $  114,999.96     96 E00
    09/01/2009    EDN 400/MD      2051      J1  A SCHOOL FOOD SERVICES MGR III                1.00    $     50,376.00 1.00 $     49,056.00   02 F206
    09/01/2009    EDN 400/MD      9256      J1  A SCHOOL BAKER                                1.00    $     38,436.00 1.00 $     38,436.00   01 BC06
    09/01/2009    EDN 400/MD      9486      J1  B SCHOOL COOK II                              1.00    $     38,436.00 1.00 $     38,436.00   01 BC06
    09/01/2009    EDN 400/OC     17138      J1  A BUILDING MAINTENANCE WORKER I               1.00    $     44,544.00 1.00 $     44,544.00   01 BC09
    09/01/2009    EDN 500/PC     69907      J1  A 12‐MO CSA PRIN V                            1.00    $  137,459.00   1.00 $  137,459.04     06 E09
    09/05/2009    EDN 150/FA     64288      J1  A SPEC ED TEACHER                             1.00    $     40,567.00 1.00 $     46,608.96   05 T03
    09/05/2009    EDN 150/FA     75646      T1  A SPEC ED TEACHER                             1.00    $     53,483.00 1.00 $     43,157.04   05 T02
    09/05/2009    EDN 150/YK     29367      J1  A SCHOOL HEALTH AIDE                          1.00    $     25,812.00 1.00 $     24,724.08   03 SR09
    09/05/2009    EDN 400/MD      9279      J1  N CAFETERIA HELPER                            0.50    $     16,614.00 0.50 $     16,614.00   01 BC02
    09/09/2009    EDN 100/AA     69729      J1  A SECONDARY TEACHER                           1.00    $     56,257.00 1.00 $     45,785.04   05 T02
    09/09/2009    EDN 100/DL     58678      T1  N CLERK TYPIST II                             0.50    $     13,350.00 0.50 $     13,350.00   03 SR08
    09/12/2009    EDN 150/FA    800209      T1  A EDUC ASST III                               1.00    $     27,154.00 1.00 $     26,010.00   03 SR12
    09/12/2009    EDN 150/FA    800576      J1  A EDUC ASST III                               1.00    $     28,209.00 1.00 $     27,019.92   03 SR12
    09/12/2009    EDN 400/MD     50885      J1  B CAFETERIA HELPER                            0.50    $     16,614.00 0.50 $     16,614.00   01 BC02
    09/15/2009    EDN 150/FA     33283      J1  A EDUC ASST III                               0.75    $     21,157.00 0.75 $     20,264.94   03 SR12
    09/16/2009    EDN 100/AA    800690      J1  A CLERK TYPIST II                             0.50    $     14,933.00 0.50 $     12,834.00   03 SR08
    09/16/2009    EDN 150/YC     58405      J1  A BEHAVIORAL HLTH SPCLT III                   1.00    $     45,576.00 1.00 $     42,132.00   13 SR20
    09/16/2009    EDN 400/MD      9913      J1  B FOOD SERVICES DRIVER                        1.00    $     34,164.00 1.00 $     34,164.00   01 BC03
    09/16/2009    EDN 400/MD     57901      J1  B CAFETERIA HELPER                            0.50    $     16,614.00 0.50 $     16,614.00   01 BC02
    09/19/2009    EDN 150/FA     58154      T1  A EDUC ASST III                               1.00    $     26,131.00 1.00 $     25,030.08   03 SR12
    09/19/2009    EDN 150/FA     58154      T1  A EDUC ASST II                                1.00    $     26,131.00 1.00 $     24,147.72   03 SR10
    09/22/2009    EDN 150/NB     55293      T1  N CLERK TYPIST II                             1.00    $     31,212.00 1.00 $     31,212.00   03 SR08
    09/23/2009    EDN 150/YC     75428      J1  A FISCAL SPECIALIST II                        1.00    $     77,069.00 1.00 $     77,069.04   06 E07
    09/24/2009    EDN 100/AA     28446      J1  A SCHOOL CUSTODIAN II                         0.50    $     16,942.00 0.50 $     16,614.00   01 BC02
    09/26/2009    EDN 150/SA    801326      J1  A EDUCATIONAL INTERPRETER II                  1.00    $     43,680.00 1.00 $     32,424.00   03 SR14
    10/01/2009    EDN 100/AA      1845      J1  A SCHOOL ADM SERVICES ASST IV                 1.00    $     44,419.00 1.00 $     58,440.00   04 SR18
    10/01/2009    EDN 100/AA     16159      J1  A SCHOOL CUSTODIAN II                         1.00    $     33,885.00 1.00 $     33,228.00   01 BC02
    10/01/2009    EDN 100/AA     16296      J1  A SCHOOL CUSTODIAN III                        1.00    $     33,885.00 1.00 $     35,544.00   01 WS02
    10/01/2009    EDN 100/AA     16638      J1  A SCHOOL CUSTODIAN III                        1.00    $     33,885.00 1.00 $     35,544.00   01 WS02
    10/01/2009    EDN 100/AA     19309      J1  A SCHOOL CUSTODIAN II                         0.50    $     16,942.00 0.50 $     16,614.00   01 BC02


                                                                        Page 32                                                       2011 Budget Briefing
Department of Education                                                         Table 12
                                                               Personnel Separations

                            Position  Perm/                                              Budgeted       Budgeted   Actual                  BU    SR 
Separation Date Prog ID/Org Number Temp MOF                    Position Title              FTE             Salary    FTE   Actual Salary  Code Level
    10/01/2009 EDN 100/AA    36293      J1  A CLERK TYPIST II                                0.50    $     14,933.00 0.50 $     17,532.00   03 SR08
    10/01/2009 EDN 100/AA    42040      J1  A CLERK TYPIST II                                0.50    $     14,933.00 0.50 $     16,878.00   03 SR08
    10/01/2009 EDN 100/AA    45219      J1  A SCHOOL CUSTODIAN II                            0.50    $     16,942.00 0.50 $     16,614.00   01 BC02
    10/01/2009 EDN 100/AA    56060      J1  A CLERK III                                      1.00    $     29,178.00 1.00 $     39,480.00   03 SR08
    10/01/2009 EDN 100/AA    60326      J1  A SECONDARY TEACHER                              1.00    $     56,257.00 1.00 $     66,359.04   05 T07
    10/01/2009 EDN 100/AA    61873      J1  A VICE PRINCIPAL IV                              1.00    $     81,503.00 1.00 $  100,574.16     06 E06
    10/01/2009 EDN 100/AA    63192      J1  A SECONDARY TEACHER                              1.00    $     56,257.00 1.00 $     79,170.00   05 T07
    10/01/2009 EDN 100/AA    72623      J1  A 12‐MO COUNSELOR                                1.00    $     67,508.00 1.00 $     46,608.96   05 T03
    10/01/2009 EDN 100/AA    74532      J1  A ELEM TEACHER                                   1.00    $     56,257.00 1.00 $     45,785.04   05 T02
    10/01/2009 EDN 100/AA    75361      T1  A 10‐MO STUDENT SVCS COORD                       1.00    $     56,257.00 1.00 $     74,688.00   05 T07
    10/01/2009 EDN 100/AA 800758        T1  A EDUC ASST II                                   0.75    $     22,235.00 0.75 $     17,347.50   03 SR10
    10/01/2009 EDN 150/FA 800563        J1  A EDUC ASST I                                    0.50    $     13,577.00 0.50 $     11,124.96   03 SR08
    10/01/2009 EDN 150/SA    30424      J1  A SPEECH PATHOLOGIST IV                          1.00    $     69,305.00 1.00 $     67,488.00   13 SR22
    10/01/2009 EDN 150/SA 800314        J1  A EDUCATIONAL INTERPRETER                        1.00    $     32,223.00 1.00 $     32,220.00   03 SRNA
    10/01/2009 EDN 150/SA 800316        J1  A EDUCATIONAL INTERPRETER                        1.00    $     29,940.00 1.00 $     28,788.00   03 SRNA
    10/01/2009 EDN 150/SA 800318        J1  A EDUCATIONAL INTERPRETER                        1.00    $     32,223.00 1.00 $     32,220.00   03 SRNA
    10/01/2009 EDN 150/SA 800321        J1  A EDUCATIONAL INTERPRETER                        1.00    $     32,223.00 1.00 $     32,220.00   03 SRNA
    10/01/2009 EDN 150/YC    58384      J1  A BEHAVIORAL HLTH SPCLT III                      1.00    $     45,576.00 1.00 $     42,132.00   13 SR20
    10/01/2009 EDN 150/YK    29427      J1  A SCHOOL HEALTH AIDE                             1.00    $     27,907.00 1.00 $     26,730.96   03 SR09
    10/01/2009 EDN 300/KD    48819      J1  A CLERK TYPIST II                                1.00    $     25,668.00 1.00 $     25,668.00   03 SR08
    10/01/2009 EDN 300/KD 100026        J1  A PRIVATE SECRETARY II                           1.00    $     46,176.00 1.00 $     46,176.00   63 SR22
    10/01/2009 EDN 300/KF    59881      J1  A AUDITOR V                                      1.00    $     62,424.00 1.00 $     62,424.00   13 SR24
    10/01/2009 EDN 400/MB 59553         T1  N ACCOUNTANT IV                                  1.00    $     53,352.00 1.00 $     49,332.00   13 SR20
    10/01/2009 EDN 400/MD 15963         J1  A SCHOOL FOOD SERVICES MGR II                    1.00    $     46,409.00 1.00 $     45,192.00   02 F106
    10/01/2009 EDN 400/MD 23942         J1  B CAFETERIA HELPER                               0.50    $     16,614.00 0.50 $     16,614.00   01 BC02
    10/01/2009 EDN 400/MD 46012         J1  B CAFETERIA HELPER                               0.50    $     16,614.00 0.50 $     16,614.00   01 BC02
    10/03/2009 EDN 100/AA    59984      T1  A SCHOOL CUSTODIAN II                            0.50    $     16,942.00 0.50 $     16,614.00   01 BC02
    10/03/2009 EDN 100/AA    68823      J1  A SECONDARY TEACHER                              1.00    $     56,257.00 1.00 $     32,712.96   05 T02
    10/03/2009 EDN 100/AA    72284      J1  A SECONDARY TEACHER                              1.00    $     56,257.00 1.00 $     46,608.96   05 T03
    10/03/2009 EDN 100/AA 69894X        J1  A SECONDARY TEACHER                              1.00    $     56,257.00 1.00 $     32,712.96   05 T02
    10/03/2009 EDN 100/AA    68823      J1  A SECONDARY TEACHER                              1.00    $     56,257.00 1.00 $     32,712.96   05 T02
    10/03/2009 EDN 100/AA    72284      J1  A SECONDARY TEACHER                              1.00    $     56,257.00 1.00 $     46,608.96   05 T03
    10/03/2009 EDN 150/FA    56704      T1  A EDUC ASST III                                  1.00    $     28,209.00 1.00 $     29,220.00   03 SR12
    10/03/2009 EDN 150/FA    57193      T1  A EDUC ASST I                                    0.75    $     20,366.00 0.75 $     16,687.44   03 SR08
    10/03/2009 EDN 150/FA    65604      J1  A SPEC ED TEACHER                                1.00    $     61,405.00 1.00 $     61,404.96   05 T04
    10/03/2009 EDN 150/FA    71762      J1  A SPEC ED TEACHER                                1.00    $     59,010.00 1.00 $     40,566.96   05 A02


                                                                       Page 33                                                       2011 Budget Briefing
Department of Education                                                         Table 12
                                                                  Personnel Separations

                                Position  Perm/                                             Budgeted       Budgeted   Actual                  BU    SR 
Separation Date   Prog ID/Org   Number Temp MOF                   Position Title              FTE             Salary    FTE   Actual Salary  Code Level
    10/03/2009    EDN 150/FA     72796      J1  A SPEC ED TEACHER                               1.00    $     43,157.00 1.00 $     43,157.04   05 T02
    10/03/2009    EDN 400/MD     59667      J1  B CAFETERIA HELPER                              0.50    $     16,614.00 0.50 $     16,614.00   01 BC02
    10/06/2009    EDN 100/AA     39615      J1  A SCHOOL CUSTODIAN II                           0.50    $     16,942.00 0.50 $     16,614.00   01 BC02
    10/07/2009    EDN 150/SA     32738      J1  A OCCUPATIONAL THERAPIST IV                     1.00    $     56,388.00 1.00 $     45,576.00   13 SR22
    10/10/2009    EDN 150/FA     17916      J1  A EDUC ASST II                                  1.00    $     26,131.00 1.00 $     23,130.00   03 SR10
    10/10/2009    EDN 400/MD    800970      J1  B SCHOOL COOK II                                1.00    $     38,436.00 1.00 $     38,436.00   01 BC06
    10/13/2009    EDN 100/BB     79801      T1  N STATE OFFICE TEACHER                          1.00    $     58,959.12 1.00 $     58,959.12   05 T07
    10/16/2009    EDN 150/FA     56972      T1  A EDUC ASST III                                 1.00    $     27,154.00 1.00 $     26,010.00   03 SR12
    10/17/2009    EDN 100/AA     45354      J1  A LIBRARY ASSISTANT III                         1.00    $     30,478.00 1.00 $     26,700.00   03 SR07
    10/17/2009    EDN 100/AA     60585      J1  A ELEM TEACHER                                  1.00    $     56,257.00 1.00 $     60,729.12   05 T07
    10/17/2009    EDN 100/AA     76240      J1  A ELEM TEACHER                                  1.00    $     56,257.00 1.00 $     57,324.00   05 T03
    10/17/2009    EDN 150/FA     57214      T1  A EDUC ASST I                                   0.75    $     19,599.00 0.75 $     16,042.50   03 SR08
    10/17/2009    EDN 150/FA     57461      J1  A EDUC ASST I                                   0.75    $     22,879.00 0.75 $     16,042.50   03 SR08
    10/17/2009    EDN 150/FA     62594      J1  A GEN EDUC/ARTICLE VI TCHR                      1.00    $     59,617.00 1.00 $     59,616.96   05 T04
    10/17/2009    EDN 150/FA     65943      J1  A GEN EDUC/ARTICLE VI TCHR                      1.00    $     68,351.00 1.00 $     68,351.04   05 T07
    10/17/2009    EDN 150/FA     65943      J1  A GEN EDUC/ARTICLE VI TCHR                      1.00    $     68,351.00 1.00 $     68,351.04   05 T07
    10/17/2009    EDN 150/FA    800200      T1  A EDUC ASST III                                 1.00    $     29,368.00 1.00 $     28,129.92   03 SR12
    10/17/2009    EDN 150/FA    800556      T1  A EDUC ASST III                                 0.75    $     19,599.00 0.75 $     19,507.50   03 SR12
    10/20/2009    EDN 150/FA     67019      T1  A GEN EDUC/ARTICLE VI TCHR                      1.00    $     79,170.00 1.00 $     46,608.96   05 T03
    10/21/2009    EDN 100/AA     16646      J1  A SCHOOL CUSTODIAN II                           0.50    $     16,942.00 0.50 $     16,614.00   01 BC02
    10/22/2009    EDN 400/MD     59892      T1  N CAFETERIA HELPER                              0.50    $     16,614.00 0.50 $     16,614.00   61 BC02
    10/23/2009    EDN 100/AA     65177      J1  A COUNSELOR                                     1.00    $     56,257.00 1.00 $     58,959.12   05 T07
    10/23/2009    EDN 100/AA     72714      J1  A 12‐MO SECONDARY TEACHER                       1.00    $     67,508.00 1.00 $     46,608.96   05 T03
    10/23/2009    EDN 100/AA     65177      J1  A COUNSELOR                                     1.00    $     56,257.00 1.00 $     58,959.12   05 T07
    10/23/2009    EDN 150/FA     37171      J1  A EDUC ASST III                                 1.00    $     27,154.00 1.00 $     26,010.00   03 SR12
    10/23/2009    EDN 150/FA     57141      T1  A EDUC ASST III                                 1.00    $     27,154.00 1.00 $     25,030.08   03 SR12
    10/23/2009    EDN 300/KO     69986      J1  A PERSONNEL SPECIALIST II                       1.00    $     81,475.00 1.00 $     81,474.96   56 E07
    10/24/2009    EDN 400/MD     56639      J1  B CAFETERIA HELPER                              0.50    $     16,614.00 0.50 $     16,614.00   01 BC02
    10/27/2009    EDN 150/YC     58215      J1  A CLINICAL PSYCHOLOGIST VI                      1.00    $     68,160.00 1.00 $     55,500.00   13 SR26
    10/28/2009    EDN 100/AA     56614      J1  A CLERK TYPIST II                               0.75    $     22,399.00 0.75 $     22,527.00   03 SR08
    10/29/2009    EDN 150/FA     73204      J1  A SPEC ED TEACHER                               1.00    $     53,483.00 1.00 $     43,157.04   05 T02
    10/30/2009    EDN 100/AA     30605      J1  A SCHOOL SECURITY ATTENDANT                     1.00    $     25,213.00 1.00 $     29,220.00   03 SR07
    10/30/2009    EDN 100/AA     71978      T1  A ELEM TEACHER                                  1.00    $     56,257.00 1.00 $     48,008.16   05 T03
    10/30/2009    EDN 150/FA     38962      J1  A EDUC ASST III                                 1.00    $     35,705.00 1.00 $     34,200.00   03 SR12
    10/30/2009    EDN 150/FA     47651      J1  A EDUC ASST III                                 1.00    $     33,032.00 1.00 $     31,639.92   03 SR12
    10/30/2009    EDN 150/FA     57472      T1  A EDUC ASST I                                   0.50    $     13,066.00 0.50 $     10,695.00   03 SR08


                                                                           Page 34                                                      2011 Budget Briefing
Department of Education                                                         Table 12
                                                                Personnel Separations

                                Position  Perm/                                           Budgeted       Budgeted   Actual                  BU    SR 
Separation Date   Prog ID/Org   Number Temp MOF                   Position Title            FTE             Salary    FTE   Actual Salary  Code Level
    10/30/2009    EDN 150/YC     58297      J1  A CLINICAL PSYCHOLOGIST VI                    1.00    $     68,160.00 1.00 $     55,500.00   13 SR26
    10/30/2009    EDN 150/YK     29383      J1  A SCHOOL HEALTH AIDE                          1.00    $     18,873.00 1.00 $     21,132.96   03 SR09
    10/30/2009    EDN 300/KD    100034      J1  A EXECUTIVE SECT TO THE SUPT                  1.00    $     76,944.00 1.00 $     76,944.00   63 SR26
    10/30/2009    EDN 300/KF     19304      J1  A SECRETARY IV                                1.00    $     58,440.00 1.00 $     58,440.00   03 SR18
    10/30/2009    EDN 300/UA     43517      J1  A DP USER SUPPORT TECH II                     1.00    $     51,936.00 1.00 $     51,936.00   03 SR15
    10/30/2009    EDN 400/OC     17176      J1  A BUILDING MTNCE DISTRICT SUPVR               1.00    $     61,980.00 1.00 $     61,980.00   02 F310
    10/31/2009    EDN 100/AA     16713      J1  A SCHOOL CUSTODIAN II                         1.00    $     33,885.00 1.00 $     33,228.00   01 BC02
    10/31/2009    EDN 400/MD     21753      J1  B CAFETERIA HELPER                            1.00    $     33,228.00 1.00 $     33,228.00   01 BC02
    10/31/2009    EDN 400/MD     51921      J1  B CAFETERIA HELPER                            0.50    $     16,614.00 0.50 $     16,614.00   01 BC02
    11/01/2009    EDN 150/YG     75409      T1  A 12‐MO DIST OFF TCHR                         1.00    $     89,626.00 1.00 $     74,688.00   05 T06
    11/01/2009    EDN 200/GN     76377      J1  A DIST OFF TCHR                               1.00    $     74,688.00 1.00 $     74,688.00   05 T06
    11/01/2009    EDN 500/PC     73653      T1  A 12‐MO CSA PRIN VI                           1.00    $  147,353.00   1.00 $  147,353.04     06 E10
    11/06/2009    EDN 100/AA     62533      J1  A SECONDARY TEACHER                           1.00    $     56,257.00 1.00 $     46,608.96   05 T03
    11/06/2009    EDN 100/AA    74267X      T1  A ELEM TEACHER                                1.00    $     56,257.00 1.00 $     46,608.96   05 T03
    11/06/2009    EDN 150/FA     69429      J1  A GEN EDUC/ARTICLE VI TCHR                    1.00    $     55,087.00 1.00 $     55,086.96   05 T05
    11/10/2009    EDN 100/AA     56616      J1  A CLERK TYPIST II                             0.50    $     14,933.00 0.50 $     13,878.00   03 SR08
    11/11/2009    EDN 150/FA     58122      J1  A EDUC ASST III                               0.75    $     19,599.00 0.75 $     18,772.56   03 SR12
    11/13/2009    EDN 150/SA    800634      J1  A SPEECH PATHOLOGIST IV                       1.00    $     60,315.00 1.00 $     45,576.00   13 SR22
    11/14/2009    EDN 100/AA     30840      J1  A CLERK TYPIST II                             0.50    $     14,933.00 0.50 $     12,834.00   03 SR08
    11/14/2009    EDN 150/FA     64411      J1  A GEN EDUC/ARTICLE VI TCHR                    1.00    $     51,426.00 1.00 $     51,426.00   05 T04
    11/14/2009    EDN 150/FA     68710      J1  A GEN EDUC/ARTICLE VI TCHR                    1.00    $     44,452.00 1.00 $     46,608.96   05 T03
    11/14/2009    EDN 150/FA     74843      J1  A GEN EDUC/ARTICLE VI TCHR                    1.00    $     44,452.00 1.00 $     44,452.08   05 T02
    11/14/2009    EDN 300/KD    100026      J1  A PRIVATE SECRETARY II                        1.00    $     46,176.00 1.00 $     44,412.00   63 SR22
    11/14/2009    EDN 400/MD     30114      T1  N CAFETERIA HELPER                            0.50    $     16,614.00 0.50 $     16,614.00   01 BC02
    11/14/2009    EDN 400/MD     32418      T1  N CAFETERIA HELPER                            0.50    $     16,614.00 0.50 $     16,614.00   01 BC02
    11/14/2009    EDN 400/MD     35836      T1  N CAFETERIA HELPER                            0.50    $     16,614.00 0.50 $     16,614.00   01 BC02
    11/14/2009    EDN 400/MD     38355      T1  N CAFETERIA HELPER                            0.50    $     16,614.00 0.50 $     16,614.00   01 BC02
    11/14/2009    EDN 400/MD     42841      J1  B CAFETERIA HELPER                            0.50    $     16,614.00 0.50 $     16,614.00   01 BC02
    11/14/2009    EDN 400/MD     42850      J1  B CAFETERIA HELPER                            0.50    $     16,614.00 0.50 $     16,614.00   01 BC02
    11/14/2009    EDN 400/MD     42853      T1  N CAFETERIA HELPER                            0.50    $     16,614.00 0.50 $     16,614.00   01 BC02
    11/14/2009    EDN 400/MD     42887      T1  N CAFETERIA HELPER                            0.50    $     16,614.00 0.50 $     16,614.00   01 BC02
    11/14/2009    EDN 400/MD     42942      T1  N CAFETERIA HELPER                            0.50    $     16,614.00 0.50 $     16,614.00   01 BC02
    11/14/2009    EDN 400/MD     43002      T1  B CAFETERIA HELPER                            0.50    $     16,614.00 0.50 $     16,614.00   01 BC02
    11/14/2009    EDN 400/MD     48766      J1  B CAFETERIA HELPER                            0.50    $     16,614.00 0.50 $     16,614.00   01 BC02
    11/14/2009    EDN 400/MD     49632      J1  B CAFETERIA HELPER                            0.50    $     16,614.00 0.50 $     16,614.00   01 BC02
    11/14/2009    EDN 400/MD     50814      T1  N CAFETERIA HELPER                            0.50    $     16,614.00 0.50 $     16,614.00   01 BC02


                                                                        Page 35                                                       2011 Budget Briefing
Department of Education                                                         Table 12
                                                                   Personnel Separations

                                Position  Perm/                                              Budgeted       Budgeted   Actual                  BU    SR 
Separation Date   Prog ID/Org   Number Temp MOF                    Position Title              FTE             Salary    FTE   Actual Salary  Code Level
    11/14/2009    EDN 400/MD     50837      J1  B CAFETERIA HELPER                               0.50    $     16,614.00 0.50 $     16,614.00   01 BC02
    11/14/2009    EDN 400/MD     52795      T1  N CAFETERIA HELPER                               0.50    $     16,614.00 0.50 $     16,614.00   01 BC02
    11/14/2009    EDN 400/MD     54515      J1  B CAFETERIA HELPER                               0.50    $     16,614.00 0.50 $     16,614.00   01 BC02
    11/14/2009    EDN 400/MD     55508      J1  B CAFETERIA HELPER                               0.50    $     16,614.00 0.50 $     16,614.00   01 BC02
    11/14/2009    EDN 400/MD     57698      J1  B CAFETERIA HELPER                               0.50    $     16,614.00 0.50 $     16,614.00   01 BC02
    11/14/2009    EDN 400/MD     57813      J1  B CAFETERIA HELPER                               0.50    $     16,614.00 0.50 $     16,614.00   01 BC02
    11/14/2009    EDN 400/MD     58552      J1  B CAFETERIA HELPER                               0.50    $     16,614.00 0.50 $     16,614.00   01 BC02
    11/14/2009    EDN 400/MD     58620      J1  B CAFETERIA HELPER                               0.50    $     16,614.00 0.50 $     16,614.00   01 BC02
    11/14/2009    EDN 400/MD     58660      J1  B CAFETERIA HELPER                               0.50    $     16,614.00 0.50 $     16,614.00   01 BC02
    11/14/2009    EDN 400/MD     58662      J1  B CAFETERIA HELPER                               0.50    $     16,614.00 0.50 $     16,614.00   01 BC02
    11/14/2009    EDN 400/MD     59891      T1  N CAFETERIA HELPER                               0.50    $     16,614.00 0.50 $     16,614.00   61 BC02
    11/14/2009    EDN 400/MD     59893      T1  N CAFETERIA HELPER                               0.50    $     16,614.00 0.50 $     16,614.00   01 BC02
    11/14/2009    EDN 400/MD     59898      T1  N CAFETERIA HELPER                               0.50    $     16,614.00 0.50 $     16,614.00   01 BC02
    11/14/2009    EDN 400/MD     59908      J1  A CAFETERIA HELPER                               0.50    $     16,614.00 0.50 $     16,614.00   01 BC02
    11/14/2009    EDN 400/MD    800999      J1  B CAFETERIA HELPER                               0.50    $     16,614.00 0.50 $     16,614.00   01 BC02
    11/14/2009    EDN 400/MD    801265      T1  N CAFETERIA HELPER                               0.50    $     16,614.00 0.50 $     16,614.00   01 BC02
    11/14/2009    EDN 400/MD    801266      T1  N CAFETERIA HELPER                               0.50    $     16,614.00 0.50 $     16,614.00   01 BC02
    11/14/2009    EDN 400/MD    801281      T1  A CAFETERIA HELPER                               0.50    $     16,614.00 0.50 $     16,614.00   01 BC02
    11/17/2009    EDN 400/MD      9219      J1  B CAFETERIA HELPER                               0.50    $     16,614.00 0.50 $     16,614.00   01 BC02
    11/18/2009    EDN 400/OC     17173      J1  A ELECTRICIAN I                                  1.00    $     49,320.00 1.00 $     46,236.00   01 BC10
    11/19/2009    EDN 100/CB     72806      T1  A DIST OFF TCHR                                  1.00    $     44,452.00 1.00 $     59,043.12   05 T03
    11/19/2009    EDN 150/YC     58482      T1  A BEHAVIORAL HLTH SPCLT III                      1.00    $     55,500.00 1.00 $     42,132.00   13 SR20
    11/20/2009    EDN 100/AA     63293      J1  A SECONDARY TEACHER                              1.00    $     56,257.00 1.00 $     45,785.04   05 T02
    11/20/2009    EDN 100/AA    62802X      T1  A ELEM TEACHER                                   1.00    $     56,257.00 1.00 $     48,008.16   05 T03
    11/21/2009    EDN 100/AA    801034      T1  A SCHOOL CUSTODIAN II                            0.50    $     16,942.00 0.50 $     16,614.00   01 BC02
    11/24/2009    EDN 100/AA     18688      J1  A SCHOOL CUSTODIAN II                            0.50    $     16,942.00 0.50 $     16,614.00   01 BC02
    11/25/2009    EDN 400/OD     50299      J1  A JANITOR II                                     0.50    $     16,614.00 0.50 $     16,614.00   01 BC02
    11/27/2009    EDN 100/AA     55977      J1  A EDUC ASST III                                  1.00    $     29,647.00 1.00 $     31,639.92   03 SR12
    11/27/2009    EDN 300/KF     69252      J1  A FISCAL SPECIALIST III                          1.00    $     91,060.00 1.00 $     81,474.96   06 E08
    12/01/2009    EDN 100/AA     16515      J1  A SCHOOL CUSTODIAN III                           1.00    $     33,885.00 1.00 $     35,544.00   01 WS02
    12/01/2009    EDN 100/AA     16515      J1  A SCHOOL CUSTODIAN III                           1.00    $     33,885.00 1.00 $     35,544.00   01 WS02
    12/01/2009    EDN 100/AA     18038      J1  A CLERK TYPIST II                                1.00    $     29,865.00 1.00 $     36,516.00   03 SR08
    12/01/2009    EDN 100/AA     18038      J1  A CLERK TYPIST II                                1.00    $     29,865.00 1.00 $     36,516.00   03 SR08
    12/01/2009    EDN 100/AA     53299      J1  A CLERK II                                       0.50    $     14,589.00 0.50 $     15,606.00   03 SR06
    12/01/2009    EDN 100/AA     53299      J1  A CLERK II                                       0.50    $     14,589.00 0.50 $     15,606.00   03 SR06
    12/01/2009    EDN 100/AA    801304      T1  A EDUC ASST II                                   0.50    $     14,824.00 0.50 $     11,565.00   03 SR10


                                                                            Page 36                                                      2011 Budget Briefing
Department of Education                                                         Table 12
                                                           Personnel Separations

                            Position  Perm/                                          Budgeted       Budgeted   Actual                  BU    SR 
Separation Date Prog ID/Org Number Temp MOF                   Position Title           FTE             Salary    FTE   Actual Salary  Code Level
    12/01/2009 EDN 100/AA 801304        T1  A EDUC ASST II                               0.50    $     14,824.00 0.50 $     11,565.00   03 SR10
    12/01/2009 EDN 100/AA    60140      J1  A LIBRARIAN                                  1.00    $     56,257.00 1.00 $     79,170.00   05 T07
    12/01/2009 EDN 100/AA    60226      J1  A ELEM TEACHER                               1.00    $     56,257.00 1.00 $     79,170.00   05 T07
    12/01/2009 EDN 100/AA    62233      J1  A SECONDARY TEACHER                          1.00    $     56,257.00 1.00 $     79,170.00   05 T07
    12/01/2009 EDN 100/AA    63268      J1  A COUNSELOR                                  1.00    $     56,257.00 1.00 $     70,400.16   05 T07
    12/01/2009 EDN 100/AA    65061      J1  A SECONDARY TEACHER                          1.00    $     56,257.00 1.00 $     48,008.16   05 T03
    12/01/2009 EDN 100/AA    74246      J1  A SECONDARY TEACHER                          1.00    $     56,257.00 1.00 $     79,170.00   05 T07
    12/01/2009 EDN 150/FA    57432      J1  A EDUC ASST III                              0.75    $     19,599.00 0.75 $     21,097.44   03 SR12
    12/01/2009 EDN 150/FA    57432      J1  A EDUC ASST III                              0.75    $     19,599.00 0.75 $     21,097.44   03 SR12
    12/01/2009 EDN 150/FA 800049        J1  A EDUC ASST III                              0.75    $     21,157.00 0.75 $     20,264.94   03 SR12
    12/01/2009 EDN 150/FA 800049        J1  A EDUC ASST III                              0.75    $     21,157.00 0.75 $     20,264.94   03 SR12
    12/01/2009 EDN 150/FA 800091        T1  A EDUC ASST II                               0.75    $     21,157.00 0.75 $     17,347.50   03 SR10
    12/01/2009 EDN 150/FA 800091        T1  A EDUC ASST II                               0.75    $     21,157.00 0.75 $     17,347.50   03 SR10
    12/01/2009 EDN 150/SA    30487      J1  A COMMUNICATION AID                          1.00    $     37,135.00 1.00 $     35,569.92   03 SR12
    12/01/2009 EDN 150/SA    30487      J1  A COMMUNICATION AID                          1.00    $     37,135.00 1.00 $     35,569.92   03 SR12
    12/01/2009 EDN 150/YG 800273        J1  A EDUC ASST III                              1.00    $     28,209.00 1.00 $     27,019.92   03 SR12
    12/01/2009 EDN 150/YG 800478        J1  A EDUC ASST II                               1.00    $     26,131.00 1.00 $     23,130.00   03 SR10
    12/01/2009 EDN 400/MD     9346      J1  A SCHOOL BAKER                               1.00    $     38,436.00 1.00 $     38,436.00   01 BC06
    12/01/2009 EDN 400/MD     9346      J1  A SCHOOL BAKER                               1.00    $     38,436.00 1.00 $     38,436.00   01 BC06
    12/02/2009 EDN 150/YC    55830      T1  A CLERK TYPIST II                            1.00    $     30,036.00 1.00 $     30,036.00   03 SR08
    12/03/2009 EDN 100/AA    69156      J1  A SECONDARY TEACHER                          1.00    $     56,257.00 1.00 $     51,426.00   05 T04
    12/03/2009 EDN 150/FA    67169      J1  A SPEC ED TCHR/PRE‐SCHOOL                    1.00    $     50,931.00 1.00 $     50,931.12   05 T03
    12/04/2009 EDN 150/FA    35871      T1  A EDUC ASST III                              1.00    $     26,131.00 1.00 $     25,030.08   03 SR12
    12/04/2009 EDN 150/FA    58933      J1  A EDUC ASST III                              0.75    $     19,599.00 0.75 $     20,264.94   03 SR12
    12/07/2009 EDN 150/FA    75472      T1  A GEN EDUC/ARTICLE VI TCHR                   1.00    $     51,426.00 1.00 $     51,426.00   05 T04
    12/10/2009 EDN 150/YC    58519      J1  A BEHAVIORAL HLTH SPCLT IV                   1.00    $     47,412.00 1.00 $     47,412.00   13 SR22
    12/10/2009 EDN 150/YC    58631      J1  A BEHAVIORAL HLTH SPCLT III                  1.00    $     47,412.00 1.00 $     42,132.00   13 SR20
    12/11/2009 EDN 150/NB 800214        T1  N EDUC ASST III                              1.00    $     25,030.08 1.00 $     25,030.08   03 SR12
    12/16/2009 EDN 150/FA    66522      J1  A GEN EDUC/ARTICLE VI TCHR                   1.00    $     49,448.00 1.00 $     49,448.16   05 T03
    12/16/2009 EDN 150/YC    58247      J1  A DEPARTMENTAL CONTRACTS SPCLT               1.00    $     57,708.00 1.00 $     57,708.00   13 SR22
    12/17/2009 EDN 150/FA    58943      J1  A EDUC ASST II                               0.75    $     22,026.00 0.75 $     17,347.50   03 SR10
    12/18/2009 EDN 100/AA 800949        T1  A EDUC ASST II                               0.50    $     14,824.00 0.50 $     11,565.00   03 SR10
    12/18/2009 EDN 150/FA    71034      J1  A SPEC ED TEACHER                            1.00    $     62,603.00 1.00 $     48,008.16   05 T03
    12/18/2009 EDN 400/YA    17249      J1  A SCHOOL BUS TRANSP OFFCR II                 1.00    $     39,480.00 1.00 $     36,516.00   03 SR16
    12/22/2009 EDN 100/AA    66191      J1  A ELEM TEACHER                               1.00    $     56,257.00 1.00 $     49,448.16   05 T03
    12/23/2009 EDN 100/AA    56445      J1  A CLERK TYPIST II                            1.00    $     29,865.00 1.00 $     27,756.00   03 SR08


                                                                    Page 37                                                      2011 Budget Briefing
Department of Education                                                         Table 12
                                                                    Personnel Separations

                                Position  Perm/                                               Budgeted       Budgeted   Actual                  BU    SR 
Separation Date   Prog ID/Org   Number Temp MOF                      Position Title             FTE             Salary    FTE   Actual Salary  Code Level
    12/25/2009    EDN 100/AA     55557      J1  A CLERK TYPIST II                                 1.00    $     29,865.00 1.00 $     25,668.00   03 SR08
    12/25/2009    EDN 100/AA     55557      J1  A CLERK TYPIST II                                 1.00    $     28,836.00 1.00 $     25,668.00   63 SR08
    12/25/2009    EDN 150/YG    800727      J1  A HUMAN SVCS PROF II                              1.00    $     46,803.00 1.00 $     38,988.00   13 SR18
    12/30/2009     EDN 100/‐‐   801182      T1  N CLERK TYPIST II                                 1.00    $     25,668.00 1.00 $     25,668.00   03 SR08
    12/30/2009    EDN 100/AA     60125      J1  A ELEM TEACHER                                    1.00    $     56,257.00 1.00 $     62,550.00   05 T07
    12/30/2009    EDN 100/AA     60246      J1  A COUNSELOR                                       1.00    $     56,257.00 1.00 $     79,170.00   05 T07
    12/30/2009    EDN 100/AA     60290      J1  A SECONDARY TEACHER                               1.00    $     56,257.00 1.00 $     79,170.00   05 T07
    12/30/2009    EDN 100/AA     60654      J1  A ELEM TEACHER                                    1.00    $     56,257.00 1.00 $     79,170.00   05 T07
    12/30/2009    EDN 100/AA     60679      J1  A LIBRARIAN                                       1.00    $     56,257.00 1.00 $     72,513.12   05 T07
    12/30/2009    EDN 100/AA     60805      J1  A COUNSELOR                                       1.00    $     56,257.00 1.00 $     79,170.00   05 T07
    12/30/2009    EDN 100/AA     61063      J1  A ELEM TEACHER                                    1.00    $     56,257.00 1.00 $     70,400.16   05 T07
    12/30/2009    EDN 100/AA     61065      J1  A ELEM TEACHER                                    1.00    $     56,257.00 1.00 $     79,170.00   05 T07
    12/30/2009    EDN 100/AA     61126      J1  A ELEM TEACHER                                    1.00    $     56,257.00 1.00 $     68,351.04   05 T07
    12/30/2009    EDN 100/AA     61156      J1  A ELEM TEACHER                                    1.00    $     56,257.00 1.00 $     79,170.00   05 T07
    12/30/2009    EDN 100/AA     61214      J1  A ELEM TEACHER                                    1.00    $     56,257.00 1.00 $     79,170.00   05 T07
    12/30/2009    EDN 100/AA     61489      J1  A ELEM TEACHER                                    1.00    $     56,257.00 1.00 $     72,513.12   05 T07
    12/30/2009    EDN 100/AA     61587      J1  A COUNSELOR                                       1.00    $     56,257.00 1.00 $     79,170.00   05 T07
    12/30/2009    EDN 100/AA     61677      J1  A 12‐MONTH SAC TEACHER                            1.00    $     67,508.00 1.00 $     79,170.00   05 T07
    12/30/2009    EDN 100/AA     61741      J1  A LIBRARIAN                                       1.00    $     56,257.00 0.50 $     33,179.52   45 T07
    12/30/2009    EDN 100/AA     62059      J1  A 12‐MO ELEM PRIN III                             1.00    $  119,109.00   1.00 $  117,966.96     06 E07
    12/30/2009    EDN 100/AA     62185      J1  A SECONDARY TEACHER                               1.00    $     56,257.00 1.00 $     79,170.00   05 T07
    12/30/2009    EDN 100/AA     62366      J1  A SECONDARY TEACHER                               1.00    $     56,257.00 1.00 $     74,688.00   05 T06
    12/30/2009    EDN 100/AA     62387      J1  A ELEM TEACHER                                    1.00    $     56,257.00 1.00 $     72,513.12   05 T07
    12/30/2009    EDN 100/AA     62444      J1  A 12‐MO ELEM PRIN III                             1.00    $  119,109.00   1.00 $  131,843.04     06 E07
    12/30/2009    EDN 100/AA     62487      J1  A VICE PRINCIPAL III                              1.00    $     81,503.00 1.00 $     75,108.00   06 E05
    12/30/2009    EDN 100/AA     62745      J1  A ELEM TEACHER                                    1.00    $     56,257.00 1.00 $     70,400.16   05 T07
    12/30/2009    EDN 100/AA     62853      J1  A ELEM TEACHER                                    1.00    $     56,257.00 1.00 $     79,170.00   05 T07
    12/30/2009    EDN 100/AA     63440      J1  A ELEM TEACHER                                    1.00    $     56,257.00 1.00 $     79,170.00   05 T07
    12/30/2009    EDN 100/AA     63470      J1  A ELEM TEACHER                                    1.00    $     56,257.00 1.00 $     79,170.00   05 T07
    12/30/2009    EDN 100/AA     63562      J1  A SECONDARY TEACHER                               1.00    $     56,257.00 1.00 $     79,170.00   05 T07
    12/30/2009    EDN 100/AA     63943      J1  A 12‐MO ELEM PRIN II                              1.00    $  111,781.00   1.00 $  126,460.08     06 E06
    12/30/2009    EDN 100/AA     64010      J1  A 12‐MO ELEM PRIN III                             1.00    $  119,109.00   1.00 $  131,843.04     06 E07
    12/30/2009    EDN 100/AA     64159      J1  A LIBRARIAN                                       1.00    $     56,257.00 1.00 $     79,170.00   05 T07
    12/30/2009    EDN 100/AA     64178      J1  A ELEM TEACHER                                    1.00    $     56,257.00 1.00 $     79,170.00   05 T07
    12/30/2009    EDN 100/AA     64753      J1  A SECONDARY TEACHER                               0.50    $     28,128.00 0.50 $     26,484.00   45 T04
    12/30/2009    EDN 100/AA     64973      J1  A SECONDARY TEACHER                               1.00    $     56,257.00 1.00 $     67,750.08   05 T05


                                                                              Page 38                                                     2011 Budget Briefing
Department of Education                                                         Table 12
                                                                  Personnel Separations

                                Position  Perm/                                             Budgeted       Budgeted   Actual                  BU    SR 
Separation Date   Prog ID/Org   Number Temp MOF                   Position Title              FTE             Salary    FTE   Actual Salary  Code Level
    12/30/2009    EDN 100/AA     65065      J1  A 12‐MO ELEM PRIN I                             1.00    $  104,518.00   1.00 $  121,294.08     06 E05
    12/30/2009    EDN 100/AA     65474      J1  A 12‐MO ELEM PRIN III                           1.00    $  119,109.00   1.00 $  131,843.04     06 E07
    12/30/2009    EDN 100/AA     65741      J1  A ELEM TEACHER                                  0.50    $     28,128.00 0.50 $     33,875.04   45 T05
    12/30/2009    EDN 100/AA     66155      J1  A SECONDARY TEACHER                             1.00    $     56,257.00 1.00 $     79,170.00   05 T07
    12/30/2009    EDN 100/AA     66593      J1  A ELEM TEACHER                                  1.00    $     56,257.00 1.00 $     64,482.00   05 T06
    12/30/2009    EDN 100/AA     66713      J1  A SECONDARY TEACHER                             1.00    $     56,257.00 1.00 $     72,513.12   05 T07
    12/30/2009    EDN 100/AA     67056      J1  A ELEM TEACHER                                  1.00    $     56,257.00 1.00 $     79,170.00   05 T07
    12/30/2009    EDN 100/AA     67368      J1  A ELEM TEACHER                                  1.00    $     56,257.00 1.00 $     74,688.00   05 T07
    12/30/2009    EDN 100/AA     67422      J1  A LIBRARIAN                                     1.00    $     56,257.00 1.00 $     62,550.00   05 T07
    12/30/2009    EDN 100/AA     67584      J1  A SECONDARY TEACHER                             1.00    $     56,257.00 1.00 $     79,170.00   05 T07
    12/30/2009    EDN 100/AA     67597      J1  A SECONDARY TEACHER                             1.00    $     56,257.00 1.00 $     54,558.00   05 T04
    12/30/2009    EDN 100/AA     67692      J1  A SECONDARY TEACHER                             1.00    $     56,257.00 1.00 $     79,170.00   05 T07
    12/30/2009    EDN 100/AA     67832      J1  A SECONDARY TEACHER                             1.00    $     56,257.00 1.00 $     70,400.16   05 T07
    12/30/2009    EDN 100/AA     67965      J1  A 12‐MO MT ELEM PRIN V                          1.00    $  155,394.00   1.00 $  141,334.08     06 E09
    12/30/2009    EDN 100/AA     68184      J1  A SCH ATHLETIC DIR III                          1.00    $     78,259.00 1.00 $     92,334.00   06 E03
    12/30/2009    EDN 100/AA     68492      J1  A SECONDARY TEACHER                             1.00    $     56,257.00 1.00 $     52,460.16   05 T03
    12/30/2009    EDN 100/AA     68893      J1  A SECONDARY TEACHER                             1.00    $     56,257.00 1.00 $     79,170.00   05 T07
    12/30/2009    EDN 100/AA     69001      J1  A SECONDARY TEACHER                             1.00    $     56,257.00 1.00 $     79,170.00   05 T07
    12/30/2009    EDN 100/AA     69011      J1  A ELEM TEACHER                                  1.00    $     56,257.00 1.00 $     74,688.00   05 T07
    12/30/2009    EDN 100/AA     69135      J1  A 12‐MO ELEM PRIN III                           1.00    $  119,109.00   1.00 $  124,714.08     06 E07
    12/30/2009    EDN 100/AA     69150      J1  A SECONDARY TEACHER                             1.00    $     56,257.00 1.00 $     72,513.12   05 T07
    12/30/2009    EDN 100/AA     69209      J1  A SECONDARY TEACHER                             1.00    $     56,257.00 1.00 $     79,170.00   05 T07
    12/30/2009    EDN 100/AA     69381      J1  A SECONDARY TEACHER                             1.00    $     56,257.00 1.00 $     79,170.00   05 T07
    12/30/2009    EDN 100/AA     69698      J1  A 12‐MONTH SAC TEACHER                          1.00    $     67,508.00 1.00 $     71,814.96   05 T05
    12/30/2009    EDN 100/AA     72031      J1  A SECONDARY TEACHER                             1.00    $     56,257.00 1.00 $     66,359.04   05 T07
    12/30/2009    EDN 100/AA     72049      J1  A SECONDARY TEACHER                             1.00    $     56,257.00 1.00 $     72,513.12   05 T07
    12/30/2009    EDN 100/AA     72595      T1  A ELEM TEACHER                                  1.00    $     56,257.00 1.00 $     79,170.00   05 T07
    12/30/2009    EDN 100/AA     73125      T1  A 12‐MO STUDENT SVCS COORD                      1.00    $     67,508.00 1.00 $     69,054.00   05 T04
    12/30/2009    EDN 100/AA     73619      J1  A 12‐MO ELEM PRIN II                            1.00    $  111,781.00   1.00 $  124,714.08     06 E06
    12/30/2009    EDN 100/AA     73753      J1  A SECONDARY TEACHER                             1.00    $     56,257.00 1.00 $     68,351.04   05 T07
    12/30/2009    EDN 100/AA     73825      J1  A 12‐MONTH REGISTRAR                            1.00    $     67,508.00 1.00 $     79,170.00   05 T07
    12/30/2009    EDN 100/AA     73851      J1  A SECONDARY TEACHER                             1.00    $     56,257.00 1.00 $     60,815.04   05 T03
    12/30/2009    EDN 100/AA     73874      J1  A SECONDARY TEACHER                             1.00    $     56,257.00 1.00 $     79,170.00   05 T07
    12/30/2009    EDN 100/AA     74014      J1  A ELEM TEACHER                                  1.00    $     56,257.00 1.00 $     79,170.00   05 T07
    12/30/2009    EDN 100/AA     74289      J1  A SECONDARY TEACHER                             1.00    $     56,257.00 1.00 $     79,170.00   05 T07
    12/30/2009    EDN 100/AA     74541      J1  A COUNSELOR/ALIENATION                          1.00    $     56,257.00 1.00 $     79,170.00   05 T07


                                                                           Page 39                                                      2011 Budget Briefing
Department of Education                                                         Table 12
                                                                  Personnel Separations

                                Position  Perm/                                             Budgeted       Budgeted   Actual                  BU    SR 
Separation Date   Prog ID/Org   Number Temp MOF                   Position Title              FTE             Salary    FTE   Actual Salary  Code Level
    12/30/2009    EDN 100/AA     74799      J1  A ELEM TEACHER                                  1.00    $     56,257.00 1.00 $     70,400.16   05 T07
    12/30/2009    EDN 100/AA     75184      T1  A 12‐MO STUDENT SVCS COORD                      1.00    $     67,508.00 1.00 $     79,170.00   05 T07
    12/30/2009    EDN 100/AA     75213      T1  A 12‐MO STUDENT SVCS COORD                      1.00    $     67,508.00 1.00 $     79,170.00   05 T07
    12/30/2009    EDN 100/AA     75218      T1  A 12‐MO STUDENT SVCS COORD                      1.00    $     67,508.00 1.00 $     69,054.00   05 T04
    12/30/2009    EDN 100/AA    72924F      J1  A COUNSELOR/HIGH RISK                           1.00    $     56,257.00 1.00 $     74,688.00   05 T07
    12/30/2009    EDN 100/AA    72946F      J1  A COUNSELOR/HIGH RISK                           1.00    $     56,257.00 1.00 $     62,550.00   05 T07
    12/30/2009    EDN 100/AA    72989F      T1  A 12‐MO STUDENT SVCS COORD                      1.00    $     67,508.00 1.00 $     79,170.00   05 T07
    12/30/2009    EDN 100/BJ     61501      J1  A SPECIAL SCH TEACHER                           1.00    $     79,170.00 1.00 $     79,170.00   05 T07
    12/30/2009    EDN 100/BJ     73166      J1  A SECONDARY TEACHER                             1.00    $     68,351.00 1.00 $     68,351.04   05 T07
    12/30/2009    EDN 100/BS     73139      T1  A ROTC INSTRUCTOR                               1.00    $  100,254.00   1.00 $     95,352.00   55 ROTC
    12/30/2009    EDN 100/BS     73491      T1  A ROTC INSTRUCTOR                               1.00    $  103,290.00   1.00 $     98,280.00   55 ROTC
    12/30/2009    EDN 100/CJ     74921      T1  A STATE OFFICE TEACHER                          1.00    $     79,170.00 1.00 $     79,170.00   05 T07
    12/30/2009    EDN 100/DB     79460      T1  N DIST OFF TCHR                                 1.00    $     79,170.00 1.00 $     79,170.00   05 T07
    12/30/2009    EDN 150/FA     61151      J1  A SPEC ED TCHR/PRE‐SCHOOL                       1.00    $     63,297.00 1.00 $     62,002.08   05 T05
    12/30/2009    EDN 150/FA     61377      J1  A SPEC ED TEACHER                               1.00    $     70,461.00 1.00 $     70,461.12   05 T06
    12/30/2009    EDN 150/FA     61407      J1  A SPEC ED TEACHER                               1.00    $     43,157.00 1.00 $     74,688.00   05 T07
    12/30/2009    EDN 150/FA     65988      J1  A SPEC ED TEACHER                               1.00    $     57,291.00 1.00 $     57,291.12   05 T06
    12/30/2009    EDN 150/FA     66247      J1  A SPEC ED TEACHER                               1.00    $     75,400.00 1.00 $     70,400.16   05 T07
    12/30/2009    EDN 150/FA     66674      T1  A SPEC ED TEACHER                               1.00    $     68,351.00 1.00 $     68,351.04   05 T07
    12/30/2009    EDN 150/FA     67970      J1  A SPEC ED TEACHER                               1.00    $     49,448.00 1.00 $     66,396.96   05 T03
    12/30/2009    EDN 150/FA     69412      J1  A SPEC ED TEACHER                               1.00    $     79,170.00 1.00 $     79,170.00   05 T07
    12/30/2009    EDN 150/FA     73300      J1  A SPEC ED TEACHER                               1.00    $     74,688.00 1.00 $     74,688.00   05 T07
    12/30/2009    EDN 150/FA     74086      J1  A SPEC ED TEACHER                               1.00    $     79,170.00 1.00 $     79,170.00   05 T07
    12/30/2009    EDN 150/FA     75626      T1  A GEN EDUC/ARTICLE VI TCHR                      1.00    $     48,008.00 1.00 $     66,396.96   05 T03
    12/30/2009    EDN 150/FA     75920      J1  A GEN EDUC/ARTICLE VI TCHR                      1.00    $     66,416.00 1.00 $     79,170.00   05 T07
    12/30/2009    EDN 150/FA     74825      J1  A SPEC ED TCHR/PRE‐SCHOOL                       1.00    $     74,688.00 1.00 $     74,688.00   05 T07
    12/30/2009    EDN 150/FA     74825      J1  A SPEC ED TCHR/PRE‐SCHOOL                       1.00    $     74,688.00 1.00 $     46,608.96   05 T03
    12/30/2009     EDN 150/IC    74967      J1  A CSSS RESOURCE TEACHER                         1.00    $     60,729.00 1.00 $     60,729.12   05 T07
    12/30/2009    EDN 150/NB     79450      T1  N 12‐MO DIST OFF TCHR                           1.00    $     79,170.00 1.00 $     79,170.00   05 T07
    12/30/2009    EDN 150/NB     79697      T1  N 12‐MO STATE OFF TCHR                          1.00    $     87,016.00 1.00 $     79,170.00   05 T07
    12/30/2009    EDN 150/NB     79973      T1  N 12‐MO DIST OFF TCHR                           1.00    $     74,688.00 1.00 $     74,688.00   05 T07
    12/30/2009    EDN 150/YC     75028      J1  A DISTRICT EDUC SPEC II                         1.00    $  103,196.00   1.00 $  103,196.16     06 E07
    12/30/2009    EDN 200/GH     73645      J1  B HTSB EXEC OFFICER                             1.00    $  107,591.00   1.00 $  107,591.04     56 E10
    12/30/2009    EDN 200/GN     67846      J1  A COMPLX SCH RENEW SPEC II                      1.00    $     89,803.00 1.00 $     89,802.96   06 E07
    12/30/2009    EDN 200/GN     72455      J1  A COMPLEX AREA TEACHER                          1.00    $     73,351.00 1.00 $     68,351.04   05 T07
    12/30/2009    EDN 300/KD     60012      J1  A SUPT OF  EDUCATION                            1.00    $  150,000.00   1.00 $  150,000.00     96 E00


                                                                           Page 40                                                      2011 Budget Briefing
Department of Education                                                         Table 12
                                                               Personnel Separations

                                Position  Perm/                                          Budgeted       Budgeted   Actual                  BU    SR 
Separation Date   Prog ID/Org   Number Temp MOF                   Position Title           FTE             Salary    FTE   Actual Salary  Code Level
    12/30/2009    EDN 300/KO     69984      J1  A PERSONNEL SPECIALIST III                   1.00    $  100,367.00   1.00 $  100,367.04     56 E08
    12/30/2009    EDN 300/KO     69985      J1  A PERSONNEL DIRECTOR                         1.00    $  120,253.00   1.00 $  120,252.96     56 E10
    12/30/2009    EDN 300/KO     74736      J1  A 12‐MO STATE OFF TCHR                       1.00    $     95,004.00 1.00 $     79,170.00   05 T07
    12/30/2009    EDN 300/UA     73085      J1  A TELECOMM SPEC II                           1.00    $  104,642.00   1.00 $  104,642.16     06 E07
    12/30/2009    EDN 500/PC     75002      T1  A 12‐MONTH REGISTRAR                         1.00    $     95,004.00 1.00 $     79,170.00   05 T07
    12/31/2009    EDN 100/AA      1837      J1  A SCHOOL ADM SERVICES ASST II                1.00    $     44,419.00 1.00 $     48,048.00   04 SR14
    12/31/2009    EDN 100/AA      1916      J1  A SCHOOL ADM SERVICES ASST III               1.00    $     44,419.00 1.00 $     46,176.00   04 SR16
    12/31/2009    EDN 100/AA      9472      J1  A SCHOOL ADM SERVICES ASST III               1.00    $     44,419.00 1.00 $     54,012.00   04 SR16
    12/31/2009    EDN 100/AA     10058      J1  A CLERK TYPIST II                            1.00    $     29,865.00 1.00 $     33,756.00   03 SR08
    12/31/2009    EDN 100/AA     10126      J1  A SCHOOL ADM SERVICES ASST III               1.00    $     44,419.00 1.00 $     54,012.00   04 SR16
    12/31/2009    EDN 100/AA     11366      J1  A SCHOOL ADM SERVICES ASST III               1.00    $     44,419.00 1.00 $     41,040.00   04 SR16
    12/31/2009    EDN 100/AA     12126      J1  A CLERK STENOGRAPHER II                      1.00    $     29,178.00 1.00 $     41,040.00   03 SR09
    12/31/2009    EDN 100/AA     13952      J1  A LIBRARY ASSISTANT IV                       1.00    $     30,478.00 1.00 $     35,064.00   03 SR09
    12/31/2009    EDN 100/AA     16085      J1  A SCHOOL CUSTODIAN IV                        1.00    $     33,885.00 1.00 $     38,928.00   02 F102
    12/31/2009    EDN 100/AA     16293      J1  A SCHOOL CUSTODIAN II                        1.00    $     33,885.00 1.00 $     33,228.00   01 BC02
    12/31/2009    EDN 100/AA     16612      J1  A SCHOOL CUSTODIAN III                       1.00    $     33,885.00 1.00 $     35,544.00   01 WS02
    12/31/2009    EDN 100/AA     16671      J1  A SCHOOL CUSTODIAN II                        1.00    $     33,885.00 1.00 $     33,228.00   01 BC02
    12/31/2009    EDN 100/AA     17530      J1  A SCHOOL CUSTODIAN III                       1.00    $     33,885.00 1.00 $     35,544.00   01 WS02
    12/31/2009    EDN 100/AA     17540      J1  A SCHOOL CUSTODIAN III                       1.00    $     33,885.00 1.00 $     35,544.00   01 WS02
    12/31/2009    EDN 100/AA     18040      J1  A CLERK TYPIST II                            1.00    $     29,865.00 1.00 $     35,064.00   03 SR08
    12/31/2009    EDN 100/AA     19312      J1  A SCHOOL CUSTODIAN II                        1.00    $     33,885.00 1.00 $     33,228.00   01 BC02
    12/31/2009    EDN 100/AA     23350      J1  A CLERK TYPIST II                            1.00    $     29,865.00 1.00 $     39,480.00   03 SR08
    12/31/2009    EDN 100/AA     23362      J1  A CLERK III                                  1.00    $     29,178.00 1.00 $     33,756.00   03 SR08
    12/31/2009    EDN 100/AA     23656      J1  A SCHOOL & SWMG POOL CUSTODN IV              1.00    $     40,122.00 1.00 $     41,436.00   02 F105
    12/31/2009    EDN 100/AA     28384      J1  A SCHOOL CUSTODIAN II                        1.00    $     33,885.00 1.00 $     33,228.00   01 BC02
    12/31/2009    EDN 100/AA     28385      J1  A SCHOOL CUSTODIAN II                        1.00    $     33,885.00 1.00 $     33,228.00   01 BC02
    12/31/2009    EDN 100/AA     29986      J1  A SCHOOL CUSTODIAN II                        1.00    $     33,885.00 1.00 $     33,228.00   01 BC02
    12/31/2009    EDN 100/AA     35644      T1  A EDUC ASST III                              0.50    $     14,824.00 1.00 $     31,639.92   03 SR12
    12/31/2009    EDN 100/AA     36387      J1  A ACCOUNT CLERK III                          1.00    $     34,121.00 1.00 $     39,480.00   03 SR11
    12/31/2009    EDN 100/AA     39067      J1  A SCHOOL CUSTODIAN II                        1.00    $     33,885.00 1.00 $     33,228.00   01 BC02
    12/31/2009    EDN 100/AA     51954      J1  A EDUC ASST III                              0.50    $     14,824.00 0.50 $     14,610.00   03 SR12
    12/31/2009    EDN 100/AA     53032      J1  A SCHOOL CUSTODIAN II                        0.50    $     16,942.00 0.50 $     16,614.00   01 BC02
    12/31/2009    EDN 100/AA     55020      J1  A EDUC ASST III                              0.50    $     14,824.00 0.50 $     14,610.00   03 SR12
    12/31/2009    EDN 100/AA     55141      J1  A EDUC ASST III                              1.00    $     29,647.00 1.00 $     34,200.00   03 SR12
    12/31/2009    EDN 100/AA     59821      J1  A SCHOOL SECURITY ATTENDANT                  1.00    $     25,213.00 1.00 $     25,030.08   03 SR07
    12/31/2009    EDN 100/AA     59823      J1  A SCHOOL CUSTODIAN IV                        1.00    $     33,885.00 1.00 $     36,684.00   02 F102


                                                                       Page 41                                                       2011 Budget Briefing
Department of Education                                                         Table 12
                                                                 Personnel Separations

                                 Position  Perm/                                           Budgeted       Budgeted   Actual                  BU    SR 
Separation Date    Prog ID/Org   Number Temp MOF                  Position Title             FTE             Salary    FTE   Actual Salary  Code Level
    12/31/2009    EDN 100/AA      71776      J1  A ELEM TEACHER                                1.00    $     56,257.00 1.00 $     48,008.16   05 T03
    12/31/2009    EDN 100/CB      57962      J1  A ADMINISTRATIVE SERVICES ASST                1.00    $     57,708.00 1.00 $     57,708.00   13 SR22
    12/31/2009    EDN 150/FA      30976      J1  A EDUC ASST III                               1.00    $     37,135.00 1.00 $     35,569.92   03 SR12
    12/31/2009    EDN 150/FA      32300      J1  A EDUC ASST III                               1.00    $     37,135.00 1.00 $     35,569.92   03 SR12
    12/31/2009    EDN 150/FA      34891      J1  A EDUC ASST III                               1.00    $     34,347.00 1.00 $     32,899.92   03 SR12
    12/31/2009    EDN 150/FA      37537      J1  A EDUC ASST III                               1.00    $     34,347.00 1.00 $     32,899.92   03 SR12
    12/31/2009    EDN 150/FA      39187      J1  A EDUC ASST III                               1.00    $     34,347.00 1.00 $     32,899.92   03 SR12
    12/31/2009    EDN 150/FA      48509      J1  A EDUC ASST III                               1.00    $     31,769.00 1.00 $     30,430.08   03 SR12
    12/31/2009    EDN 150/FA      58951      J1  A EDUC ASST III                               1.00    $     37,135.00 1.00 $     35,569.92   03 SR12
    12/31/2009    EDN 150/FB      24048      J1  A EDUC ASST III                               1.00    $     37,135.00 1.00 $     35,569.92   03 SR12
    12/31/2009    EDN 150/NB      32349      T1  N SECRETARY II                                1.00    $     42,684.00 1.00 $     42,684.00   03 SR14
    12/31/2009    EDN 150/NB      43843      T1  N ACCOUNT CLERK III                           1.00    $     37,968.00 1.00 $     37,968.00   03 SR11
    12/31/2009    EDN 150/SA      11979      J1  A SECRETARY II                                1.00    $     49,932.00 1.00 $     49,932.00   03 SR14
    12/31/2009    EDN 150/SA      28987      J1  A PHYSICAL THERAPIST V                        1.00    $     75,960.00 1.00 $     75,960.00   23 SR24
    12/31/2009    EDN 150/SA      29804      J1  A SPEECH PATHOLOGIST IV                       1.00    $     60,315.00 1.00 $     45,576.00   13 SR22
    12/31/2009    EDN 150/SA      30460      J1  A COMMUNICATION AIDE                          1.00    $     35,705.00 1.00 $     34,200.00   03 SR12
    12/31/2009    EDN 150/SA      30708      J1  A SCH BASED OCC THRPY ASST (FP)               1.00    $     45,108.00 1.00 $     45,108.00   10 HE10
    12/31/2009    EDN 150/SA      32176      J1  A SPEECH PATHOLOGIST IV                       0.50    $     34,618.00 0.50 $     32,460.00   13 SR22
    12/31/2009    EDN 150/SA      33093      J1  A SPEECH PATHOLOGIST IV                       1.00    $     69,305.00 1.00 $     67,488.00   13 SR22
    12/31/2009    EDN 150/SA      33174      J1  A SPEECH PATHOLOGIST IV                       1.00    $     69,305.00 1.00 $     67,488.00   13 SR22
    12/31/2009    EDN 150/SA      58180      J1  A SECRETARY II                                1.00    $     39,480.00 1.00 $     39,480.00   03 SR14
    12/31/2009    EDN 150/YC      58491      T1  A BEHAVIORAL HLTH SPCLT IV                    1.00    $     51,312.00 1.00 $     45,576.00   13 SR22
    12/31/2009    EDN 300/KO       5043      J1  A SECRETARY IV                                1.00    $     58,440.00 1.00 $     42,684.00   63 SR18
    12/31/2009    EDN 300/KO      15325      J1  A PERSONNEL CLERK IV                          1.00    $     44,412.00 1.00 $     44,412.00   63 SR11
    12/31/2009     EDN 300/LJ     19051      J1  A PRIVATE SECRETARY I                         1.00    $     58,440.00 1.00 $     58,440.00   63 SR20
    12/31/2009    EDN 300/UA      14886      J1  A AUTOMATED SYSTS EQUIP TECH I                1.00    $     53,532.00 1.00 $     53,532.00   01 BC14
    12/31/2009    EDN 400/MD       1981      J1  A SCHOOL FOOD SERVICES MGR III                1.00    $     48,429.00 1.00 $     47,160.00   02 F206
    12/31/2009    EDN 400/MD       2021      J1  A SCHOOL FOOD SERVICES MGR IV                 1.00    $     54,739.00 1.00 $     53,304.00   02 F306
    12/31/2009    EDN 400/MD       9287      J1  B CAFETERIA HELPER                            1.00    $     33,228.00 1.00 $     33,228.00   01 BC02
    12/31/2009    EDN 400/MD       9510      J1  B SCHOOL COOK II                              1.00    $     38,436.00 1.00 $     38,436.00   01 BC06
    12/31/2009    EDN 400/MD      12629      J1  B SCHOOL BAKER                                1.00    $     38,436.00 1.00 $     38,436.00   01 BC06
    12/31/2009    EDN 400/MD      14498      J1  B SCHOOL BAKER                                1.00    $     38,436.00 1.00 $     38,436.00   01 BC06
    12/31/2009    EDN 400/MD      14645      J1  B CAFETERIA HELPER                            0.50    $     16,614.00 0.50 $     16,614.00   01 BC02
    12/31/2009    EDN 400/MD      14655      J1  B CAFETERIA HELPER                            0.50    $     16,614.00 0.50 $     16,614.00   01 BC02
    12/31/2009    EDN 400/MD      21610      J1  B CAFETERIA HELPER                            1.00    $     33,228.00 1.00 $     33,228.00   01 BC02
    12/31/2009    EDN 400/MD      22191      J1  B CAFETERIA HELPER                            1.00    $     33,228.00 1.00 $     33,228.00   01 BC02


                                                                         Page 42                                                       2011 Budget Briefing
Department of Education                                                         Table 12
                                                             Personnel Separations

                            Position  Perm/                                            Budgeted       Budgeted   Actual                  BU    SR 
Separation Date Prog ID/Org Number Temp MOF                   Position Title             FTE             Salary    FTE   Actual Salary  Code Level
    12/31/2009 EDN 400/MD 23822         J1  B CAFETERIA HELPER                             0.50    $     16,614.00 0.50 $     16,614.00   01 BC02
    12/31/2009 EDN 400/MD 26387         J1  A SCHOOL FOOD SERVICES MGR V                   1.00    $     57,130.00 1.00 $     55,632.00   02 GF06
    12/31/2009 EDN 400/MD 54715         J1  A SCHOOL FOOD SERVICES MGR III                 1.00    $     56,592.00 1.00 $     47,160.00   02 F206
    12/31/2009 EDN 400/OC    17149      J1  A BLDG CONSTR & MTNCE SUPVR I                  1.00    $     50,520.00 1.00 $     50,520.00   02 F110
    12/31/2009 EDN 400/YA    17248      J1  A SCHOOL BUS TRANSP OFFCR III                  1.00    $     54,012.00 1.00 $     54,012.00   03 SR18
    12/31/2009 EDN 400/YA    28710      J1  A SCHOOL BUS TRANSP OFFCR III                  1.00    $     49,932.00 1.00 $     49,932.00   03 SR18
    12/31/2009 EDN 500/PC     8111      J1  A SCHOOL ADM SERVICES ASST IV                  1.00    $     58,440.00 1.00 $     58,440.00   04 SR18
    01/01/2010 EDN 100/AA     1852      J1  A SCHOOL ADM SERVICES ASST II                  1.00    $     44,419.00 1.00 $     41,040.00   04 SR14
    01/01/2010 EDN 100/AA     1852      J1  A SCHOOL ADM SERVICES ASST II                  1.00    $     41,040.00 1.00 $     41,040.00   04 SR14
    01/01/2010 EDN 100/AA    16764      J1  A SCHOOL CUSTODIAN II                          1.00    $     33,885.00 1.00 $     33,228.00   01 BC02
    01/01/2010 EDN 100/AA    16764      J1  A SCHOOL CUSTODIAN II                          1.00    $     33,228.00 1.00 $     33,228.00   01 BC02
    01/01/2010 EDN 100/AA    22909      J1  A SCHOOL CUSTODIAN II                          1.00    $     33,885.00 0.75 $     24,921.00   01 BC02
    01/01/2010 EDN 100/AA    22909      J1  A SCHOOL CUSTODIAN II                          1.00    $     33,228.00 0.75 $     24,921.00   01 BC02
    01/01/2010 EDN 100/AA    33958      J1  A CLERK TYPIST II                              1.00    $     29,865.00 1.00 $     30,036.00   03 SR08
    01/01/2010 EDN 100/AA    33958      J1  A CLERK TYPIST II                              1.00    $     30,036.00 1.00 $     30,036.00   03 SR08
    01/01/2010 EDN 100/AA    55891      J1  A CLERK III                                    1.00    $     29,178.00 1.00 $     32,424.00   03 SR08
    01/01/2010 EDN 100/AA    55891      J1  A CLERK III                                    1.00    $     28,836.00 1.00 $     32,424.00   03 SR08
    01/01/2010 EDN 100/AA    62159      J1  A ELEM TEACHER                                 1.00    $     53,483.00 1.00 $     53,483.04   05 T05
    01/01/2010 EDN 100/AA    62762      J1  A ELEM TEACHER                                 1.00    $     53,483.00 1.00 $     44,452.08   05 T02
    01/01/2010 EDN 100/AA    66936      J1  A ELEM TEACHER                                 1.00    $     51,426.00 1.00 $     45,785.04   05 T02
    01/01/2010 EDN 100/BB    61976      J1  A SECONDARY TEACHER                            1.00    $     49,448.00 1.00 $     49,448.16   05 T03
    01/01/2010 EDN 100/CB 103507        T1  W FELIX PROJECT ASSISTANT                      1.00    $     38,748.00 1.00 $     38,748.00   13 SRNA
    01/01/2010 EDN 150/FA    43959      J1  A EDUC ASST III                                1.00    $     30,506.00 1.00 $     28,129.92   03 SR12
    01/01/2010 EDN 150/FA    43959      J1  A EDUC ASST III                                1.00    $     30,506.00 1.00 $     28,129.92   03 SR12
    01/01/2010 EDN 150/FA    66561      T1  A SPEC ED TEACHER                              1.00    $     32,712.96 1.00 $     32,712.96   05 T02
    01/01/2010 EDN 150/FA    68739      T1  A GEN EDUC/ARTICLE VI TCHR                     1.00    $     48,008.16 1.00 $     48,008.16   05 T03
    01/01/2010 EDN 150/FA    72697      J1  A SPEC ED TEACHER                              1.00    $     46,609.00 1.00 $     46,608.96   05 T03
    01/01/2010 EDN 150/SA    33176      J1  A SPEECH PATHOLOGIST IV                        1.00    $     57,999.00 1.00 $     45,576.00   13 SR22
    01/01/2010 EDN 150/SA    33176      J1  A SPEECH PATHOLOGIST IV                        1.00    $     57,999.00 1.00 $     45,576.00   13 SR22
    01/02/2010 EDN 150/FA 800955        J1  A EDUC ASST II                                 1.00    $     26,131.00 1.00 $     23,130.00   03 SR10
    01/03/2010 EDN 100/AA    72376      T1  A ELEM TEACHER                                 1.00    $     45,785.04 1.00 $     45,785.04   05 T02
    01/03/2010 EDN 100/AA 72981F        J1  A 12‐MO STUDENT SVCS COORD                     1.00    $     64,180.00 1.00 $     51,426.00   05 T05
    01/04/2010 EDN 100/AA    18691      J1  A SCHOOL CUSTODIAN II                          0.50    $     16,614.00 0.50 $     16,614.00   01 BC02
    01/04/2010 EDN 100/AA    23302      J1  A EDUC ASST III                                1.00    $     27,154.00 1.00 $     27,019.92   03 SR12
    01/04/2010 EDN 100/AA    63131      J1  A SECONDARY TEACHER                            1.00    $     55,622.00 1.00 $     55,622.16   05 T06
    01/04/2010 EDN 100/AA    64381      J1  A LIBRARIAN                                    1.00    $     67,654.00 1.00 $     63,807.12   05 T07


                                                                      Page 43                                                      2011 Budget Briefing
Department of Education                                                         Table 12
                                                                  Personnel Separations

                                Position  Perm/                                             Budgeted       Budgeted   Actual                  BU    SR 
Separation Date   Prog ID/Org   Number Temp MOF                   Position Title              FTE             Salary    FTE   Actual Salary  Code Level
    01/04/2010    EDN 100/AA     66350      J1  A SECONDARY TEACHER                             1.00    $     54,778.00 1.00 $     48,008.16   05 T03
    01/04/2010    EDN 100/AA     68813      J1  A ELEM TEACHER                                  1.00    $     46,830.00 1.00 $     49,448.16   05 T03
    01/04/2010    EDN 100/AA     73237      J1  A SECONDARY TEACHER                             0.50    $     34,275.00 1.00 $     43,157.04   05 T02
    01/04/2010    EDN 100/AA     73237      J1  A SECONDARY TEACHER                             0.50    $     34,275.00 1.00 $     43,157.04   05 T02
    01/04/2010    EDN 100/AA     75011      T1  A COUNSELOR                                     0.50    $     16,847.04 0.50 $     16,847.04   45 T02
    01/04/2010    EDN 150/FA     60870      J1  A SPEC ED TEACHER                               1.00    $     32,713.00 1.00 $     32,712.96   05 T02
    01/04/2010    EDN 150/FA     61481      J1  A GEN EDUC/ARTICLE VI TCHR                      1.00    $     44,452.08 1.00 $     44,452.08   05 T02
    01/04/2010    EDN 150/FA     62716      J1  A SPEC ED TEACHER                               1.00    $     34,705.00 1.00 $     34,704.96   05 T02
    01/04/2010    EDN 150/FA     64129      J1  A SPEC ED TEACHER                               1.00    $     34,705.00 1.00 $     34,704.96   05 T02
    01/04/2010    EDN 150/FA     72386      J1  A SPEC ED TEACHER                               1.00    $     34,705.00 1.00 $     34,704.96   05 T02
    01/04/2010    EDN 150/FA     72559      J1  A SPEC ED TCHR/PRE‐SCHOOL                       1.00    $     62,550.00 1.00 $     48,008.16   05 T03
    01/04/2010    EDN 150/FA     73637      J1  A SPEC ED TEACHER                               1.00    $     60,729.00 1.00 $     44,452.08   05 T02
    01/05/2010    EDN 100/AA     18044      J1  A CLERK TYPIST II                               1.00    $     33,756.00 1.00 $     25,668.00   03 SR08
    01/05/2010    EDN 100/AA    801097      T1  A EDUC ASST III                                 1.00    $     25,030.08 1.00 $     25,030.08   03 SR12
    01/05/2010    EDN 150/FA     57304      T1  A EDUC ASST II                                  0.75    $     20,366.00 0.75 $     17,347.50   03 SR10
    01/05/2010    EDN 150/FA    801468      T1  A EDUC ASST III                                 1.00    $     25,030.08 1.00 $     25,030.08   03 SR12
    01/05/2010    EDN 150/VC     55541      J1  A DATA PROCSSG SYSTS ANAL III                   1.00    $     45,576.00 1.00 $     42,132.00   13 SR20
    01/05/2010    EDN 150/YC     58393      J1  A BEHAVIORAL HLTH SPCLT III                     1.00    $     47,412.00 1.00 $     42,132.00   13 SR20
    01/05/2010    EDN 150/YG    801198      J1  A BEHAVIORAL HLTH SPCLT III                     1.00    $     42,132.00 1.00 $     42,132.00   13 SR20
    01/06/2010    EDN 100/AA     53286      J1  A EDUC ASST II                                  0.50    $     13,066.00 0.50 $     12,515.04   03 SR10
    01/06/2010    EDN 150/FA     55886      J1  A EDUC ASST III                                 1.00    $     26,131.00 1.00 $     25,030.08   03 SR12
    01/06/2010    EDN 150/FA    800090      J1  A EDUC ASST III                                 0.75    $     21,157.00 0.75 $     20,264.94   03 SR12
    01/06/2010    EDN 150/YC     58640      J1  A BEHAVIORAL HLTH SPCLT IV                      1.00    $     45,576.00 1.00 $     45,576.00   13 SR22
    01/08/2010    EDN 100/AA     16720      J1  A SCHOOL CUSTODIAN II                           1.00    $     33,228.00 1.00 $     33,228.00   01 BC02
    01/08/2010    EDN 100/AA     71881      J1  A ELEM TEACHER                                  1.00    $     43,157.00 1.00 $     57,291.12   05 T06
    01/09/2010    EDN 100/AA     30617      J1  A SCHOOL SECURITY ATTENDANT                     1.00    $     23,229.00 1.00 $     22,249.92   03 SR07
    01/09/2010    EDN 100/AA    801263      T1  A EDUC ASST III                                 0.50    $     12,515.04 0.50 $     12,515.04   03 SR12
    01/12/2010    EDN 100/AA     56792      T1  A CLERK III                                     0.50    $     14,418.00 0.50 $     14,418.00   03 SR08
    01/14/2010    EDN 400/OC     39787      J1  A ELECTRICIAN I                                 1.00    $     49,320.00 1.00 $     46,236.00   01 BC10
    01/19/2010    EDN 100/AA     73172      T1  A ELEM TEACHER                                  1.00    $     44,024.16 1.00 $     44,024.16   05 T02
    01/20/2010    EDN 100/AA     63395      J1  A COUNSELOR                                     1.00    $     49,448.00 1.00 $     48,008.16   05 T03
    01/20/2010    EDN 150/FA     56974      T1  A EDUC ASST II                                  1.00    $     26,131.00 1.00 $     23,130.00   03 SR10
    01/20/2010    EDN 150/FA     58196      T1  A EDUC ASST III                                 0.75    $     22,026.00 0.75 $     21,097.44   03 SR12
    01/20/2010    EDN 150/SA     30578      J1  A OCC THERAPIST IV                              1.00    $     56,388.00 1.00 $     45,576.00   13 SR22
    01/22/2010    EDN 100/AA     65771      J1  A COUNSELOR                                     1.00    $     48,008.00 1.00 $     48,008.16   05 T03
    01/23/2010    EDN 150/FA     57827      T1  A EDUC ASST II                                  0.75    $     22,879.00 0.75 $     17,347.50   03 SR10


                                                                           Page 44                                                      2011 Budget Briefing
Department of Education                                                         Table 12
                                                             Personnel Separations

                            Position  Perm/                                            Budgeted       Budgeted   Actual                  BU    SR 
Separation Date Prog ID/Org Number Temp MOF                   Position Title             FTE             Salary    FTE   Actual Salary  Code Level
    01/25/2010 EDN 100/BV    73686      T1  A SECONDARY TEACHER                            1.00    $     45,785.00 1.00 $     32,712.96   05 T02
    01/27/2010 EDN 150/SA 800335        J1  A SPEECH PATHOLOGIST IV                        1.00    $     66,062.00 1.00 $     51,312.00   13 SR22
    01/28/2010 EDN 100/AA    72199      J1  A SECONDARY TEACHER                            1.00    $     68,351.00 1.00 $     43,157.04   05 T02
    01/29/2010 EDN 100/AA    55138      J1  A EDUC ASST III                                0.50    $     13,577.00 0.50 $     12,515.04   03 SR12
    01/29/2010 EDN 100/CB    57935      J1  A ADMINISTRATIVE SERVICES ASST                 1.00    $     60,024.00 1.00 $     60,024.00   13 SR22
    01/29/2010 EDN 150/FA    46187      J1  A EDUC ASST III                                1.00    $     33,032.00 1.00 $     31,639.92   03 SR12
    01/29/2010 EDN 150/FA    46187      J1  A EDUC ASST II                                 1.00    $     33,032.00 1.00 $     23,130.00   03 SR10
    01/29/2010 EDN 150/FA    58928      J1  A EDUC ASST III                                0.50    $     14,684.00 0.50 $     14,064.96   03 SR12
    01/30/2010 EDN 400/MD     9337      J1  B SCHOOL COOK II                               1.00    $     38,436.00 1.00 $     38,436.00   01 BC06
    01/30/2010 EDN 400/MD 28006         J1  B CAFETERIA HELPER                             0.50    $     16,614.00 0.50 $     16,614.00   01 BC02
    01/31/2010 EDN 100/AA    74693      J1  A LIBRARIAN                                    1.00    $     73,808.00 1.00 $     72,513.12   05 T07
    01/31/2010 EDN 150/FA    65160      J1  A SPEC ED TEACHER                              1.00    $     55,654.00 1.00 $     55,654.08   05 T03
    01/31/2010 EDN 150/FA    73229      J1  A SPEC ED TEACHER                              1.00    $     57,999.00 1.00 $     57,999.12   05 T02
    02/02/2010 EDN 100/BM 801112        J1  A ATHLETIC HLTH CARE TRAINER                   1.00    $     45,576.00 1.00 $     45,576.00   13 SR22
    02/02/2010 EDN 150/FA    76023      T1  A SPEC ED TEACHER                              1.00    $     43,157.00 1.00 $     48,008.16   05 T03
    02/03/2010 EDN 150/FA    57274      T1  A EDUC ASST II                                 0.75    $     21,157.00 0.75 $     19,598.52   03 SR10
    02/04/2010 EDN 150/SA    37409      J1  A SPEECH PATHOLOGIST II                        1.00    $     47,621.40 1.00 $     47,621.40   13 SR18
    02/05/2010 EDN 100/AA    16636      J1  A SCHOOL CUSTODIAN II                          0.50    $     16,614.00 0.50 $     16,614.00   01 BC02
    02/05/2010 EDN 100/AA    30681      J1  A SCHOOL SECURITY ATTENDANT                    1.00    $     28,209.00 1.00 $     28,208.84   03 SR07
    02/05/2010 EDN 400/MD 21602         J1  B CAFETERIA HELPER                             0.50    $     16,614.00 0.50 $     16,614.00   01 BC02
    02/10/2010 EDN 100/AA    30595      J1  A SCHOOL SECURITY ATTENDANT                    1.00    $     23,229.00 1.00 $     21,443.72   03 SR07
    02/10/2010 EDN 100/AA    68319      J1  A SECONDARY TEACHER                            1.00    $     79,170.00 1.00 $     32,712.96   05 T02
    02/11/2010 EDN 150/YG 801071        T1  A EDUC ASST II                                 1.00    $     27,756.00 1.00 $     27,756.00   03 SR10
    02/13/2010 EDN 100/AA    63603      J1  A ELEM TEACHER                                 1.00    $     66,397.00 1.00 $     57,291.12   05 T06
    02/20/2010 EDN 100/AA    45206      J1  A CLERK TYPIST II                              1.00    $     25,668.00 1.00 $     25,668.00   03 SR08
    02/20/2010 EDN 150/SA     4900      J1  A SOCIAL WORKER IV                             1.00    $     56,994.00 1.00 $     56,994.12   13 SR22
    02/20/2010 EDN 300/UA    44941      J1  A DP USER SUPPORT TECH II                      1.00    $     39,480.00 1.00 $     39,480.00   03 SR15
    02/24/2010 EDN 300/KO    42466      J1  A PERSONNEL CLERK III                          1.00    $     32,424.00 1.00 $     26,700.00   63 SR09
    02/26/2010 EDN 150/FA    72389      J1  A SPEC ED TEACHER                              1.00    $     59,617.00 1.00 $     46,608.96   05 T03
    02/26/2010 EDN 150/YC 800444        J1  A SCHOOL PSYCHOLOGIST                          1.00    $     67,428.00 1.00 $     58,716.00   13 SR24
    02/27/2010 EDN 100/AA    16678      J1  A SCHOOL CUSTODIAN V                           1.00    $     40,608.00 1.00 $     40,608.00   02 F202
    02/27/2010 EDN 100/AA    23734      J1  A SCHOOL CUSTODIAN V                           1.00    $     40,608.00 1.00 $     40,608.00   02 F202
    02/27/2010 EDN 100/AA    29289      J1  A SCHOOL CUSTODIAN III                         1.00    $     35,544.00 1.00 $     35,544.00   01 WS02
    02/27/2010 EDN 100/AA    50920      J1  A SCHOOL CUSTODIAN IV                          1.00    $     36,684.00 1.00 $     36,684.00   02 F102
    02/27/2010 EDN 100/AA    55154      T1  A CLERK III                                    1.00    $     30,036.00 0.50 $     15,018.00   03 SR08
    02/27/2010 EDN 100/AA    56059      J1  A CLERK III                                    1.00    $     30,036.00 1.00 $     30,036.00   03 SR08


                                                                      Page 45                                                      2011 Budget Briefing
Department of Education                                                         Table 12
                                                              Personnel Separations

                            Position  Perm/                                             Budgeted       Budgeted   Actual                  BU    SR 
Separation Date Prog ID/Org Number Temp MOF                   Position Title              FTE             Salary    FTE   Actual Salary  Code Level
    02/27/2010 EDN 100/AA    56801      J1  A CLERK TYPIST II                               0.50    $     13,878.00 0.50 $     13,878.00   03 SR08
    02/27/2010 EDN 300/KF    26829      J1  A SECRETARY III                                 1.00    $     54,012.00 1.00 $     54,012.00   03 SR16
    02/27/2010 EDN 400/MD 11415         J1  B SCHOOL COOK II                                1.00    $     38,436.00 1.00 $     38,436.00   01 BC06
    02/27/2010 EDN 400/MD 23825         J1  B SCHOOL COOK II                                1.00    $     38,436.00 1.00 $     38,436.00   01 BC06
    02/28/2010 EDN 100/AA    69100      J1  A 12‐MO ELEM PRIN II                            1.00    $  101,240.00   1.00 $  108,527.04     06 E06
    02/28/2010 EDN 100/AA    72817      J1  A 12‐MONTH REGISTRAR                            1.00    $     93,968.00 1.00 $     79,170.00   05 T07
    02/28/2010 EDN 100/AA    74864      J1  A ELEM TEACHER                                  1.00    $     68,351.00 1.00 $     74,688.00   05 T07
    02/28/2010 EDN 150/FB    60283      J1  A SPECIAL SCH TEACHER                           1.00    $     48,008.00 1.00 $     79,170.00   05 T07
    03/01/2010 EDN 100/AA 64456X        J1  A COUNSELOR/ALIENATION                          0.50    $     30,739.50 0.50 $     30,739.56   05 T02
    03/01/2010 EDN 150/ND 79850         T1  N 12‐MO DIST OFF TCHR                           1.00    $     51,426.00 1.00 $     51,426.00   05 T04
    03/02/2010 EDN 150/FA    64279      J1  A SPEC ED TEACHER                               1.00    $     43,157.00 1.00 $     46,608.96   05 T03
    03/04/2010 EDN 150/FA    75858      J1  A SPEC ED TEACHER                               1.00    $     48,008.00 1.00 $     44,452.08   05 T02
    03/07/2010 EDN 100/AA    17533      J1  A SCHOOL CUSTODIAN II                           1.00    $     33,228.00 1.00 $     33,228.00   01 BC02
    03/09/2010 EDN 150/FA    54473      J1  A EDUC ASST III                                 1.00    $     30,506.00 1.00 $     30,505.68   03 SR12
    03/11/2010 EDN 150/FA    73906      J1  A SPEC ED TEACHER                               1.00    $     43,157.00 1.00 $     48,008.16   05 T03
    03/11/2010 EDN 150/FA    75913      J1  A GEN EDUC/ARTICLE VI TCHR                      1.00    $     48,204.00 1.00 $     32,712.96   05 T02
    03/20/2010 EDN 150/YK 118067        J1  A SCHOOL HEALTH AIDE                            1.00    $     20,383.00 1.00 $     20,383.08   03 SR09
    03/23/2010 EDN 150/SA    22581      J1  A SOCIAL WORKER IV                              1.00    $     54,788.00 1.00 $     54,788.40   13 SR22
    03/24/2010 EDN 150/FA    57491      J1  A EDUC ASST III                                 0.50    $     14,104.00 0.50 $     13,065.68   03 SR12
    03/26/2010 EDN 150/FA    57690      J1  A EDUC ASST III                                 1.00    $     26,131.00 1.00 $     26,131.36   03 SR12
    03/26/2010 EDN 150/FA    67998      J1  A SPEC ED TEACHER                               1.00    $     43,157.00 1.00 $     48,008.16   05 T03
    03/31/2010 EDN 100/AA    61856      J1  A LIBRARIAN                                     1.00    $     67,024.00 1.00 $     43,157.04   05 T02
    03/31/2010 EDN 100/AA    66302      J1  A ELEM TEACHER                                  1.00    $     66,359.00 1.00 $     66,359.04   05 T07
    03/31/2010 EDN 100/AA    69295      J1  A 12‐MO ELEM PRIN IV                            1.00    $  124,714.00   1.00 $  130,023.12     06 E08
    03/31/2010 EDN 150/FA    73680      J1  A SPEC ED TEACHER                               1.00    $     52,460.00 1.00 $     52,460.16   05 T03
    03/31/2010 EDN 400/MD 52479         J1  B SCHOOL COOK II                                1.00    $     38,436.00 1.00 $     38,436.00   01 BC06
    04/01/2010 EDN 100/AA    72600      T1  A SECONDARY TEACHER                             0.50    $     26,484.00 0.50 $     26,484.00   45 T04
    04/01/2010 EDN 100/AA    16095      J1  A SCHOOL CUSTODIAN III                          1.00    $     35,544.00 1.00 $     35,544.00   01 WS02
    04/01/2010 EDN 100/AA    30597      J1  A SCHOOL SECURITY ATTENDANT                     1.00    $     24,148.00 1.00 $     24,147.72   03 SR07
    04/01/2010 EDN 150/NB 800182        T1  N EDUC ASST III                                 1.00    $     30,505.68 1.00 $     30,505.68   03 SR12
    04/01/2010 EDN 200/GG     6824      J1  A SECRETARY II                                  1.00    $     49,932.00 1.00 $     49,932.00   03 SR14
    04/01/2010 EDN 300/KF    18940      J1  A PRE AUDIT CLERK II                            1.00    $     48,048.00 1.00 $     48,048.00   03 SR13
    04/01/2010 EDN 400/OB    10409      J1  A PRIVATE SECRETARY I                           1.00    $     54,012.00 1.00 $     54,012.00   63 SR20
    04/02/2010 EDN 150/FA    57199      T1  A EDUC ASST III                                 0.50    $     13,066.00 0.75 $     19,598.52   03 SR12
    04/02/2010 EDN 150/FA    57201      J1  A EDUC ASST II                                  0.75    $     20,366.00 0.75 $     18,815.49   03 SR10
    04/02/2010 EDN 300/KF    37315      J1  A PRE AUDIT CLERK II                            1.00    $     31,212.00 1.00 $     33,756.00   03 SR13


                                                                       Page 46                                                      2011 Budget Briefing
Department of Education                                                         Table 12
                                                               Personnel Separations

                            Position  Perm/                                              Budgeted       Budgeted   Actual                  BU    SR 
Separation Date Prog ID/Org Number Temp MOF                   Position Title               FTE             Salary    FTE   Actual Salary  Code Level
    04/03/2010 EDN 100/AA    67733      J1  A ELEM TEACHER                                   1.00    $     51,426.00 1.00 $     51,426.00   05 T04
    04/06/2010 EDN 100/AA 801106        T1  A LIBRARY ASSISTANT III                          0.50    $     12,324.00 0.50 $     12,324.00   03 SR07
    04/07/2010 EDN 150/FA    58792      J1  A EDUC ASST III                                  1.00    $     29,368.00 1.00 $     29,367.68   03 SR12
    04/07/2010 EDN 400/MD 52987         J1  B CAFETERIA HELPER                               0.50    $     16,614.00 0.50 $     16,614.00   01 BC02
    04/10/2010 EDN 100/AA    36421      J1  A CLERK TYPIST II                                1.00    $     31,212.00 1.00 $     31,212.00   03 SR08
    04/10/2010 EDN 150/FA    54471      J1  A EDUC ASST III                                  1.00    $     30,506.00 1.00 $     26,131.36   03 SR12
    04/10/2010 EDN 150/FA    63200      J1  A SPEC ED TEACHER                                1.00    $     32,713.00 1.00 $     44,452.08   05 T02
    04/13/2010 EDN 100/AA    67057      J1  A SECONDARY TEACHER                              0.50    $     21,578.00 0.50 $     45,785.04   05 T02
    04/13/2010 EDN 100/AA    55098      J1  A CLERK III                                      1.00    $     32,424.00 1.00 $     32,424.00   03 SR08
    04/14/2010 EDN 150/YC    58214      J1  A CLINICAL PSYCHOLOGIST VI                       1.00    $     68,160.00 1.00 $     68,160.00   13 SR26
    04/16/2010 EDN 100/AA    16372      J1  A SCHOOL CUSTODIAN II                            0.50    $     16,614.00 0.50 $     16,614.00   01 BC02
    04/16/2010 EDN 100/AA    21886      J1  A SCHOOL CUSTODIAN II                            0.50    $     16,614.00 0.50 $     16,614.00   01 BC02
    04/16/2010 EDN 150/SA    30494      J1  A COMMUNICATION AID                              0.50    $     15,885.00 0.50 $     13,065.68   03 SR12
    04/16/2010 EDN 300/KO    14063      J1  A PERSONNEL CLERK III                            1.00    $     27,756.00 1.00 $     27,756.00   63 SR09
    04/17/2010 EDN 100/AA 801236        T1  A EDUC ASST III                                  1.00    $     26,131.36 1.00 $     26,131.36   03 SR12
    04/20/2010 EDN 150/FA    58122      J1  A EDUC ASST III                                  0.75    $     19,599.00 0.75 $     19,598.52   03 SR12
    04/21/2010 EDN 100/AA    16213      J1  A SCHOOL CUSTODIAN III                           1.00    $     35,544.00 1.00 $     35,544.00   01 WS02
    04/23/2010 EDN 150/FA 801290        T1  A EDUC ASST II                                   1.00    $     24,147.72 1.00 $     24,147.72   03 SR10
    04/29/2010 EDN 150/YK    29448      J1  A SCHOOL HEALTH AIDE                             1.00    $     20,383.00 1.00 $     20,383.08   03 SR09
    04/30/2010 EDN 100/AA    46927      J1  A SCHOOL CUSTODIAN II                            0.50    $     16,614.00 0.50 $     16,614.00   01 BC02
    04/30/2010 EDN 100/AA    60258      J1  A 12‐MO INTER PRIN V                             1.00    $  133,688.00   1.00 $  133,688.16     06 E08
    04/30/2010 EDN 100/AA    72079      T1  A 10‐MO STUDENT SVCS COORD                       0.50    $     37,201.00 0.50 $     31,001.00   45 T05
    04/30/2010 EDN 100/AA    73679      J1  A SECONDARY TEACHER                              1.00    $     84,170.00 1.00 $     79,170.00   05 T07
    04/30/2010 EDN 150/FA    47269      J1  A EDUC ASST III                                  0.75    $     25,761.00 0.75 $     25,760.67   03 SR12
    04/30/2010 EDN 150/FA    47754      J1  A EDUC ASST III                                  0.75    $     20,366.00 0.75 $     20,365.83   03 SR12
    04/30/2010 EDN 150/FA    73506      J1  A SPEC ED TEACHER                                1.00    $     58,959.00 1.00 $     43,157.04   05 T02
    04/30/2010 EDN 150/IC   72967F      J1  A COMPLEX AREA TEACHER                           1.00    $     79,170.00 1.00 $     79,170.00   05 T07
    04/30/2010 EDN 150/SA    56177      J1  A SPEECH PATHOLOGIST IV                          1.00    $     57,999.00 1.00 $     57,999.00   13 SR22
    04/30/2010 EDN 400/MD 14437         J1  B CAFETERIA HELPER                               0.50    $     16,614.00 0.50 $     16,614.00   01 BC02
    04/30/2010 EDN 400/MD 15424         J1  B CAFETERIA HELPER                               1.00    $     33,228.00 1.00 $     33,228.00   01 BC02
    05/06/2010 EDN 100/AA    64474      J1  A SECONDARY TEACHER                              1.00    $     32,713.00 1.00 $     32,712.96   05 T02
    05/06/2010 EDN 100/BM 48253         J1  A ATHLETIC HLTH CARE TRAINER                     1.00    $     57,708.00 1.00 $     57,708.00   13 SR22
    05/06/2010 EDN 100/BM 48253         J1  A ATHLETIC HLTH CARE TRAINER                     1.00    $     57,708.00 1.00 $     45,576.00   13 SR22
    05/07/2010 EDN 150/FA    56735      T1  A EDUC ASST II                                   0.75    $     20,366.00 0.75 $     18,110.79   03 SR10
    05/13/2010 EDN 100/AA    44302      J1  A EDUC ASST III                                  1.00    $     29,368.00 1.00 $     27,154.44   03 SR12
    05/14/2010 EDN 100/AA    40560      J1  A SCHOOL CUSTODIAN II                            1.00    $     33,228.00 1.00 $     33,228.00   01 BC02


                                                                       Page 47                                                       2011 Budget Briefing
Department of Education                                                         Table 12
                                                             Personnel Separations

                            Position  Perm/                                            Budgeted       Budgeted   Actual                  BU    SR 
Separation Date Prog ID/Org Number Temp MOF                   Position Title             FTE             Salary    FTE   Actual Salary  Code Level
    05/14/2010 EDN 100/AA    42553      J1  A SCHOOL CUSTODIAN II                          0.50    $     16,614.00 0.50 $     16,614.00   01 BC02
    05/14/2010 EDN 150/FA    58069      J1  A EDUC ASST I                                  0.75    $     22,026.00 0.75 $     16,748.37   03 SR08
    05/14/2010 EDN 150/YC    58351      J1  A BEHAVIORAL HLTH SPCLT III                    1.00    $     49,332.00 1.00 $     42,132.00   13 SR20
    05/14/2010 EDN 150/YK    29466      J1  A SCHOOL HEALTH AIDE                           1.00    $     18,873.00 1.00 $     19,619.92   03 SR09
    05/14/2010 EDN 400/MD     2043      J1  A SCHOOL FOOD SERVICES MGR III                 1.00    $     49,391.00 1.00 $     43,722.36   02 F106
    05/19/2010 EDN 150/SA    33038      J1  A SPEECH PATHOLOGIST II                        1.00    $     67,070.00 1.00 $     49,577.40   13 SR18
    05/19/2010 EDN 400/MB 36219         T1  N ACCOUNT CLERK IV                             1.00    $     41,040.00 1.00 $     41,040.00   03 SR13
    05/20/2010 EDN 150/YC    58486      T1  A BEHAVIORAL HLTH SPCLT IV                     1.00    $     47,412.00 1.00 $     45,576.00   13 SR22
    05/21/2010 EDN 100/AA    40155      J1  A SCHOOL CUSTODIAN II                          0.50    $     16,614.00 0.50 $     16,614.00   01 BC02
    05/21/2010 EDN 400/MD 30067         T1  N CAFETERIA HELPER                             0.50    $     16,614.00 0.50 $     16,614.00   01 BC02
    05/21/2010 EDN 400/OC    69287      J1  A CIP PLANNER III                              1.00    $     93,626.00 1.00 $     93,626.16   06 E08
    05/24/2010 EDN 100/AA    62931      J1  A ELEM TEACHER                                 1.00    $     54,263.00 1.00 $     52,968.00   05 T04
    05/27/2010 EDN 100/AA    60588      J1  A SECONDARY TEACHER                            0.50    $     25,466.00 0.50 $     16,356.48   45 T02
    05/27/2010 EDN 100/AA    61672      T1  A ELEM TEACHER                                 1.00    $     62,550.00 1.00 $     62,550.00   05 T07
    05/27/2010 EDN 100/AA    62001      J1  A ELEM TEACHER                                 1.00    $     62,024.00 1.00 $     58,392.96   05 T07
    05/27/2010 EDN 100/AA    64313      J1  A SECONDARY TEACHER                            1.00    $     79,170.00 1.00 $     43,157.04   05 T02
    05/27/2010 EDN 100/AA    64334      J1  A SECONDARY TEACHER                            1.00    $     49,448.00 1.00 $     46,608.96   05 T03
    05/27/2010 EDN 100/AA    66897      J1  A ELEM TEACHER                                 1.00    $     51,426.00 1.00 $     51,426.00   05 T04
    05/27/2010 EDN 100/AA    67338      J1  A ELEM TEACHER                                 1.00    $     51,426.00 1.00 $     49,448.16   05 T04
    05/27/2010 EDN 100/AA    74987      J1  A COUNSELOR/HIGH RISK                          1.00    $     48,008.00 1.00 $     43,157.04   05 T02
    05/27/2010 EDN 150/FA    64393      J1  A SPEC ED TEACHER                              1.00    $     32,713.00 1.00 $     32,712.96   05 T02
    05/27/2010 EDN 150/FA    67513      T1  A SPEC ED TEACHER                              1.00    $     46,608.96 1.00 $     46,608.96   05 T03
    05/27/2010 EDN 150/FA    71154      J1  A SPEC ED TEACHER                              1.00    $     44,452.00 1.00 $     49,448.16   05 T03
    05/27/2010 EDN 150/FA    74269      J1  A SPEC ED TEACHER                              1.00    $     32,713.00 1.00 $     32,712.96   05 T02
    05/27/2010 EDN 150/FA    74529      J1  A GEN EDUC/ARTICLE VI TCHR                     1.00    $     49,448.00 1.00 $     49,448.16   05 T03
    05/27/2010 EDN 150/NB    79349      T1  N DIST OFF TCHR                                0.50    $     26,741.52 0.50 $     26,741.52   45 T06
    05/28/2010 EDN 100/AA    16270      J1  A SCHOOL CUSTODIAN II                          0.50    $     16,614.00 0.50 $     16,614.00   01 BC02
    05/28/2010 EDN 100/AA    47805      J1  A SCHOOL CUSTODIAN II                          1.00    $     33,228.00 1.00 $     33,228.00   01 BC02
    05/28/2010 EDN 100/AA    65669      J1  A ELEM TEACHER                                 1.00    $     49,448.00 1.00 $     49,448.16   05 T03
    05/28/2010 EDN 150/FA    32041      J1  A EDUC ASST III                                1.00    $     30,506.00 1.00 $     30,505.68   03 SR12
    05/28/2010 EDN 150/FA    32211      J1  A EDUC ASST III                                1.00    $     37,135.00 1.00 $     37,135.04   03 SR12
    05/28/2010 EDN 150/FA    52674      J1  A EDUC ASST III                                0.50    $     15,253.00 0.50 $     15,252.84   03 SR12
    05/28/2010 EDN 150/FA    54662      J1  A EDUC ASST III                                1.00    $     30,506.00 1.00 $     30,505.68   03 SR12
    05/28/2010 EDN 150/FA    55536      J1  A EDUC ASST III                                0.50    $     15,253.00 0.50 $     15,252.84   03 SR12
    05/28/2010 EDN 150/FA 800047        J1  A EDUC ASST III                                0.75    $     19,599.00 0.75 $     19,598.52   03 SR12
    05/28/2010 EDN 150/SA    30433      J1  A SPEECH PATHOLOGIST IV                        1.00    $     69,305.00 1.00 $     70,625.16   13 SR22


                                                                      Page 48                                                      2011 Budget Briefing
Department of Education                                                         Table 12
                                                                Personnel Separations

                                 Position  Perm/                                          Budgeted       Budgeted   Actual                  BU    SR 
Separation Date    Prog ID/Org   Number Temp MOF                   Position Title           FTE             Salary    FTE   Actual Salary  Code Level
    05/28/2010    EDN 150/SA      56256      J1  A SPEECH PATHOLOGIST IV                      1.00    $     60,315.00 1.00 $     58,563.00   13 SR22
    05/28/2010    EDN 150/SA      56288      J1  A SPEECH PATHOLOGIST IV                      1.00    $     58,551.00 1.00 $     60,436.20   13 SR22
    05/28/2010    EDN 400/OC      43541      J1  A BUILDING MAINTENANCE WORKER I              1.00    $     44,544.00 1.00 $     44,544.00   01 BC09
    05/29/2010    EDN 100/AA      23337      J1  A EDUC ASST III                              1.00    $     35,705.00 1.00 $     35,704.80   03 SR12
    05/29/2010    EDN 100/AA      24255      J1  A SCHOOL CUSTODIAN II                        1.00    $     33,228.00 1.00 $     33,228.00   01 BC02
    05/29/2010    EDN 100/AA      38892      J1  A CLERK TYPIST II                            0.50    $     14,418.00 0.50 $     14,418.00   03 SR08
    05/29/2010    EDN 100/AA      51955      J1  A EDUC ASST III                              0.75    $     23,827.00 0.75 $     23,826.72   03 SR12
    05/29/2010    EDN 100/AA      56099      J1  A CLERK III                                  0.50    $     15,018.00 0.50 $     15,018.00   03 SR08
    05/29/2010    EDN 100/AA      56597      J1  A CLERK TYPIST II                            0.50    $     16,878.00 0.50 $     16,878.00   03 SR08
    05/29/2010    EDN 100/AA     801346      T1  A LIBRARY ASSISTANT II                       1.00    $     22,776.00 1.00 $     22,776.00   03 SR05
    05/29/2010    EDN 100/CB      57949      J1  A ADMINISTRATIVE SERVICES ASST               1.00    $     67,488.00 1.00 $     64,920.00   13 SR22
    05/29/2010    EDN 100/CB      57951      J1  A ADMINISTRATIVE SERVICES ASST               1.00    $     55,500.00 1.00 $     55,500.00   13 SR22
    05/29/2010    EDN 150/FA      30760      J1  A EDUC ASST III                              1.00    $     34,347.00 1.00 $     34,347.56   03 SR12
    05/29/2010    EDN 150/FA      57344      T1  A EDUC ASST III                              0.75    $     22,026.00 0.75 $     22,025.76   03 SR12
    05/29/2010    EDN 150/FA      57485      J1  A EDUC ASST III                              0.75    $     30,130.00 0.75 $     30,129.81   03 SR12
    05/29/2010    EDN 150/FA     800798      T1  A EDUC ASST III                              0.75    $     19,599.00 0.75 $     19,598.52   03 SR12
    05/29/2010    EDN 150/SA      11356      J1  A SOCIAL WORKER IV                           1.00    $     69,305.00 1.00 $     69,305.16   13 SR22
    05/29/2010    EDN 150/SA      30407      J1  A SPEECH PATHOLOGIST IV                      1.00    $     69,305.00 1.00 $     70,457.16   13 SR22
    05/29/2010    EDN 150/SA      30414      J1  A SPEECH PATHOLOGIST IV                      1.00    $     69,305.00 1.00 $     70,457.16   13 SR22
    05/29/2010    EDN 150/SA      30456      J1  A COMMUNICATION AID                          1.00    $     34,347.00 1.00 $     34,347.56   03 SR12
    05/29/2010    EDN 150/SA      32151      J1  A SOCIAL WORKER IV                           1.00    $     69,305.00 1.00 $     69,305.16   13 SR22
    05/29/2010    EDN 150/SA      36461      J1  A SOCIAL WORKER IV                           1.00    $     56,994.00 1.00 $     56,994.12   13 SR22
    05/29/2010    EDN 150/SA      46976      J1  A SOCIAL WORKER IV                           1.00    $     64,105.00 1.00 $     64,104.60   13 SR22
    05/29/2010    EDN 150/YK      29370      J1  A SCHOOL HEALTH AIDE                         1.00    $     29,010.00 1.00 $     29,009.68   03 SR09
    05/29/2010    EDN 300/KO      10411      J1  A PERSONNEL CLERK IV                         1.00    $     44,412.00 1.00 $     44,412.00   63 SR11
    05/29/2010    EDN 300/KO      58234      J1  A PERSONNEL CLERK III                        1.00    $     41,040.00 1.00 $     41,040.00   63 SR09
    05/29/2010    EDN 400/MD       9335      J1  A SCHOOL BAKER                               1.00    $     38,436.00 1.00 $     38,436.00   01 BC06
    05/29/2010    EDN 400/MD       9511      J1  B CAFETERIA HELPER                           1.00    $     33,228.00 1.00 $     33,228.00   01 BC02
    05/29/2010    EDN 400/MD      38158      J1  B CAFETERIA HELPER                           0.50    $     16,614.00 0.50 $     16,614.00   01 BC02
    05/29/2010    EDN 400/MD      51922      J1  A SCHOOL FOOD SERVICES MGR V                 1.00    $     64,176.00 1.00 $     64,180.80   02 GF06
    05/29/2010    EDN 400/MD      59545      J1  B SCHOOL COOK II                             1.00    $     38,436.00 1.00 $     38,436.00   01 BC06
    05/29/2010    EDN 400/MD     801288      T1  A CAFETERIA HELPER                           0.50    $     16,614.00 0.50 $     16,614.00   01 BC02
    05/30/2010    EDN 100/AA      61858      J1  A ELEM TEACHER                               1.00    $     48,008.00 1.00 $     48,008.16   05 T03
    05/31/2010    EDN 100/AA      60471      J1  A 12‐MO ELEM PRIN II                         1.00    $  114,733.00   1.00 $  114,732.96     06 E06
    05/31/2010    EDN 100/AA      60610      J1  A ELEM TEACHER                               1.00    $     73,110.00 1.00 $     71,814.96   05 T05
    05/31/2010    EDN 100/AA      60624      J1  A ELEM TEACHER                               1.00    $     74,688.00 1.00 $     74,688.00   05 T07


                                                                        Page 49                                                       2011 Budget Briefing
Department of Education                                                         Table 12
                                                                  Personnel Separations

                                Position  Perm/                                             Budgeted       Budgeted   Actual                  BU    SR 
Separation Date   Prog ID/Org   Number Temp MOF                  Position Title               FTE             Salary    FTE   Actual Salary  Code Level
    05/31/2010    EDN 100/AA     60784      J1  A COUNSELOR                                     1.00    $     79,170.00 1.00 $     79,170.00   05 T07
    05/31/2010    EDN 100/AA     60828      J1  A SECONDARY TEACHER                             1.00    $     79,170.00 1.00 $     79,170.00   05 T07
    05/31/2010    EDN 100/AA     60907      J1  A SECONDARY TEACHER                             1.00    $     68,351.00 1.00 $     68,351.04   05 T07
    05/31/2010    EDN 100/AA     61054      J1  A ELEM TEACHER                                  0.50    $     27,811.00 1.00 $     63,861.12   05 T05
    05/31/2010    EDN 100/AA     61120      J1  A ELEM TEACHER                                  0.50    $     37,344.00 0.50 $     37,344.00   45 T07
    05/31/2010    EDN 100/AA     61308      J1  A ELEM TEACHER                                  1.00    $     79,170.00 1.00 $     79,170.00   05 T07
    05/31/2010    EDN 100/AA     61324      J1  A ELEM TEACHER                                  1.00    $     63,248.00 1.00 $     63,248.16   05 T04
    05/31/2010    EDN 100/AA     61394      J1  A COUNSELOR                                     1.00    $     79,170.00 1.00 $     79,170.00   05 T07
    05/31/2010    EDN 100/AA     61443      J1  A SECONDARY TEACHER                             0.50    $     24,724.00 0.50 $     24,724.08   45 T03
    05/31/2010    EDN 100/AA     61477      J1  A ELEM TEACHER                                  1.00    $     74,688.00 1.00 $     74,688.00   05 T06
    05/31/2010    EDN 100/AA     61528      J1  A ELEM TEACHER                                  1.00    $     79,170.00 1.00 $     79,170.00   05 T07
    05/31/2010    EDN 100/AA     61548      J1  A ELEM TEACHER                                  1.00    $     79,170.00 1.00 $     79,170.00   05 T07
    05/31/2010    EDN 100/AA     62322      J1  A SECONDARY TEACHER                             1.00    $     69,054.00 1.00 $     69,054.00   05 T04
    05/31/2010    EDN 100/AA     62326      J1  A SECONDARY TEACHER                             0.50    $     18,194.50 0.50 $     79,170.00   05 T07
    05/31/2010    EDN 100/AA     62326      J1  A SECONDARY TEACHER                             0.50    $     18,194.50 0.50 $     79,170.00   05 T07
    05/31/2010    EDN 100/AA     62381      J1  A SECONDARY TEACHER                             1.00    $     79,170.00 1.00 $     79,170.00   05 T07
    05/31/2010    EDN 100/AA     62638      J1  A ELEM TEACHER                                  1.00    $     79,170.00 1.00 $     79,170.00   05 T07
    05/31/2010    EDN 100/AA     62992      J1  A LIBRARIAN                                     1.00    $     80,465.00 1.00 $     79,170.00   05 T07
    05/31/2010    EDN 100/AA     63199      J1  A ELEM TEACHER                                  1.00    $     79,170.00 1.00 $     79,170.00   05 T07
    05/31/2010    EDN 100/AA     63286      J1  A ELEM TEACHER                                  1.00    $     64,427.00 1.00 $     64,427.04   05 T07
    05/31/2010    EDN 100/AA     63311      J1  A ELEM TEACHER                                  1.00    $     79,170.00 1.00 $     79,170.00   05 T07
    05/31/2010    EDN 100/AA     63439      J1  A ELEM TEACHER                                  1.00    $     80,215.00 1.00 $     79,170.00   05 T07
    05/31/2010    EDN 100/AA     63464      J1  A ELEM TEACHER                                  1.00    $     66,397.00 1.00 $     66,396.96   05 T03
    05/31/2010    EDN 100/AA     63528      J1  A LIBRARIAN                                     1.00    $     75,983.00 1.00 $     74,688.00   05 T07
    05/31/2010    EDN 100/AA     63869      J1  A ELEM TEACHER                                  1.00    $     57,880.00 1.00 $     57,880.08   05 T04
    05/31/2010    EDN 100/AA     63924      J1  A ELEM TEACHER                                  1.00    $     79,170.00 1.00 $     79,170.00   05 T07
    05/31/2010    EDN 100/AA     64212      J1  A ELEM TEACHER                                  1.00    $     79,170.00 1.00 $     79,170.00   05 T07
    05/31/2010    EDN 100/AA     64246      J1  A ELEM TEACHER                                  1.00    $     79,170.00 1.00 $     79,170.00   05 T07
    05/31/2010    EDN 100/AA     64335      J1  A 12‐MO INTER PRIN VI                           1.00    $  135,564.00   1.00 $  135,564.00     06 E09
    05/31/2010    EDN 100/AA     64467      J1  A SECONDARY TEACHER                             0.50    $     24,724.00 0.50 $     35,200.08   05 T07
    05/31/2010    EDN 100/AA     64467      J1  A SECONDARY TEACHER                             0.50    $     24,724.00 0.50 $     35,200.08   05 T07
    05/31/2010    EDN 100/AA     64858      J1  A ELEM TEACHER                                  1.00    $     75,983.00 1.00 $     74,688.00   05 T07
    05/31/2010    EDN 100/AA     64890      J1  A SECONDARY TEACHER                             1.00    $     65,145.00 1.00 $     65,145.12   05 T04
    05/31/2010    EDN 100/AA     64981      J1  A SECONDARY TEACHER                             1.00    $     71,815.00 1.00 $     71,814.96   05 T05
    05/31/2010    EDN 100/AA     65013      J1  A ELEM TEACHER                                  1.00    $     59,617.00 1.00 $     59,616.96   05 T04
    05/31/2010    EDN 100/AA     65071      J1  A ELEM TEACHER                                  1.00    $     80,215.00 1.00 $     79,170.00   05 T07


                                                                          Page 50                                                       2011 Budget Briefing
Department of Education                                                         Table 12
                                                                    Personnel Separations

                                Position  Perm/                                               Budgeted       Budgeted   Actual                  BU    SR 
Separation Date   Prog ID/Org   Number Temp MOF                      Position Title             FTE             Salary    FTE   Actual Salary  Code Level
    05/31/2010    EDN 100/AA     65097      J1  A ELEM TEACHER                                    1.00    $     63,595.00 1.00 $     62,550.00   05 T07
    05/31/2010    EDN 100/AA     65108      J1  A LIBRARIAN                                       1.00    $     80,465.00 1.00 $     79,170.00   05 T07
    05/31/2010    EDN 100/AA     65113      T1  A SECONDARY TEACHER                               1.00    $     72,513.12 1.00 $     72,513.12   05 T07
    05/31/2010    EDN 100/AA     65193      J1  A SECONDARY TEACHER                               1.00    $     62,550.00 1.00 $     62,550.00   05 T07
    05/31/2010    EDN 100/AA     65236      J1  A LIBRARIAN                                       1.00    $     71,695.00 1.00 $     70,400.16   05 T07
    05/31/2010    EDN 100/AA     65303      J1  A ELEM TEACHER                                    1.00    $     61,774.00 1.00 $     43,157.04   05 T02
    05/31/2010    EDN 100/AA     65372      J1  A SECONDARY TEACHER                               1.00    $     75,733.00 1.00 $     74,688.00   05 T07
    05/31/2010    EDN 100/AA     65404      J1  A ELEM TEACHER                                    1.00    $     72,513.00 1.00 $     72,513.12   05 T07
    05/31/2010    EDN 100/AA     65413      J1  A ELEM TEACHER                                    1.00    $     70,400.00 1.00 $     70,400.16   05 T07
    05/31/2010    EDN 100/AA     65513      J1  A ELEM TEACHER                                    1.00    $     73,558.00 1.00 $     72,513.12   05 T07
    05/31/2010    EDN 100/AA     65599      J1  A SECONDARY TEACHER                               1.00    $     79,170.00 1.00 $     79,170.00   05 T07
    05/31/2010    EDN 100/AA     65934      J1  A ELEM TEACHER                                    1.00    $     73,808.00 1.00 $     72,513.12   05 T07
    05/31/2010    EDN 100/AA     65948      J1  A SECONDARY TEACHER                               1.00    $     79,170.00 1.00 $     79,170.00   05 T07
    05/31/2010    EDN 100/AA     66078      T1  A COUNSELOR                                       0.50    $     33,875.04 0.50 $     33,875.04   05 T05
    05/31/2010    EDN 100/AA     66078      T1  A COUNSELOR                                       0.50    $     33,875.04 0.50 $     33,875.04   05 T05
    05/31/2010    EDN 100/AA     66084      J1  A ELEM TEACHER                                    1.00    $     79,170.00 1.00 $     79,170.00   05 T07
    05/31/2010    EDN 100/AA     66548      J1  A ELEM TEACHER                                    1.00    $     56,740.00 1.00 $     56,740.08   05 T05
    05/31/2010    EDN 100/AA     66769      J1  A LIBRARIAN                                       1.00    $     80,465.00 1.00 $     79,170.00   05 T07
    05/31/2010    EDN 100/AA     66867      J1  A COUNSELOR/HIGH RISK                             0.50    $     32,241.00 0.50 $     32,241.00   05 T06
    05/31/2010    EDN 100/AA     66867      J1  A COUNSELOR/HIGH RISK                             0.50    $     32,241.00 0.50 $     32,241.00   05 T06
    05/31/2010    EDN 100/AA     66942      J1  A ELEM TEACHER                                    1.00    $     63,047.00 1.00 $     62,002.08   05 T05
    05/31/2010    EDN 100/AA     67044      J1  A ELEM TEACHER                                    1.00    $     80,215.00 1.00 $     79,170.00   05 T07
    05/31/2010    EDN 100/AA     67073      J1  A ELEM TEACHER                                    1.00    $     79,170.00 1.00 $     79,170.00   05 T07
    05/31/2010    EDN 100/AA     67408      J1  A SECONDARY TEACHER                               1.00    $     80,215.00 1.00 $     79,170.00   05 T07
    05/31/2010    EDN 100/AA     67479      J1  A ELEM TEACHER                                    1.00    $     43,157.00 0.50 $     25,465.56   45 T03
    05/31/2010    EDN 100/AA     67529      J1  A ELEM TEACHER                                    1.00    $     68,408.00 1.00 $     68,408.16   05 T06
    05/31/2010    EDN 100/AA     67570      J1  A ELEM TEACHER                                    1.00    $     72,513.00 1.00 $     72,513.12   05 T07
    05/31/2010    EDN 100/AA     67609      J1  A ELEM TEACHER                                    1.00    $     73,558.00 1.00 $     72,513.12   05 T07
    05/31/2010    EDN 100/AA     67636      J1  A ELEM TEACHER                                    1.00    $     80,465.00 1.00 $     79,170.00   05 T07
    05/31/2010    EDN 100/AA     67751      J1  A VICE PRINCIPAL III                              1.00    $     94,393.00 1.00 $     87,520.08   06 E05
    05/31/2010    EDN 100/AA     68000      J1  A SECONDARY TEACHER                               1.00    $     63,248.00 1.00 $     63,248.16   05 T04
    05/31/2010    EDN 100/AA     68091      J1  A ELEM TEACHER                                    1.00    $     79,170.00 1.00 $     79,170.00   05 T07
    05/31/2010    EDN 100/AA     68164      J1  A SECONDARY TEACHER                               1.00    $     79,170.00 1.00 $     79,170.00   05 T07
    05/31/2010    EDN 100/AA     68448      J1  A LIBRARIAN                                       1.00    $     69,646.00 1.00 $     68,351.04   05 T07
    05/31/2010    EDN 100/AA     68478      J1  A SECONDARY TEACHER                               1.00    $     79,170.00 1.00 $     79,170.00   05 T07
    05/31/2010    EDN 100/AA     68624      J1  A SECONDARY TEACHER                               1.00    $     79,170.00 1.00 $     79,170.00   05 T07


                                                                              Page 51                                                     2011 Budget Briefing
Department of Education                                                         Table 12
                                                                 Personnel Separations

                                Position  Perm/                                            Budgeted       Budgeted   Actual                  BU    SR 
Separation Date   Prog ID/Org   Number Temp MOF                 Position Title               FTE             Salary    FTE   Actual Salary  Code Level
    05/31/2010    EDN 100/AA     68731      J1  A ELEM TEACHER                                 1.00    $     79,170.00 1.00 $     79,170.00   05 T07
    05/31/2010    EDN 100/AA     68757      J1  A SECONDARY TEACHER                            1.00    $     73,558.00 1.00 $     72,513.12   05 T07
    05/31/2010    EDN 100/AA     68867      J1  A ELEM TEACHER                                 1.00    $     79,170.00 1.00 $     79,170.00   05 T07
    05/31/2010    EDN 100/AA     69183      J1  A SECONDARY TEACHER                            1.00    $     79,170.00 1.00 $     79,170.00   05 T07
    05/31/2010    EDN 100/AA     69185      J1  A ELEM TEACHER                                 1.00    $     72,513.00 1.00 $     72,513.12   05 T07
    05/31/2010    EDN 100/AA     69519      J1  A ELEM TEACHER                                 1.00    $     79,170.00 1.00 $     79,170.00   05 T07
    05/31/2010    EDN 100/AA     69595      J1  A ELEM TEACHER                                 1.00    $     59,010.00 1.00 $     66,359.04   05 T07
    05/31/2010    EDN 100/AA     69616      J1  A ELEM TEACHER                                 1.00    $     74,688.00 1.00 $     74,688.00   05 T07
    05/31/2010    EDN 100/AA     69634      J1  A ELEM TEACHER                                 1.00    $     55,964.00 1.00 $     54,669.12   05 T02
    05/31/2010    EDN 100/AA     69665      J1  A SECONDARY TEACHER                            1.00    $     62,024.00 1.00 $     60,729.12   05 T07
    05/31/2010    EDN 100/AA     69836      J1  A ELEM TEACHER                                 1.00    $     70,400.00 1.00 $     70,400.16   05 T07
    05/31/2010    EDN 100/AA     71023      J1  A ELEM TEACHER                                 1.00    $     55,087.00 1.00 $     43,157.04   05 T02
    05/31/2010    EDN 100/AA     71309      J1  A ELEM TEACHER                                 1.00    $     64,482.00 1.00 $     64,482.00   05 T06
    05/31/2010    EDN 100/AA     71385      J1  A COUNSELOR                                    1.00    $     68,351.00 1.00 $     68,351.04   05 T07
    05/31/2010    EDN 100/AA     71389      J1  A COUNSELOR                                    1.00    $     49,448.00 1.00 $     67,750.08   05 T05
    05/31/2010    EDN 100/AA     71497      J1  A ELEM TEACHER                                 1.00    $     64,482.00 1.00 $     64,482.00   05 T06
    05/31/2010    EDN 100/AA     71696      J1  A ELEM TEACHER                                 1.00    $     69,646.00 1.00 $     68,351.04   05 T07
    05/31/2010    EDN 100/AA     71856      J1  A 12‐MONTH REGISTRAR                           1.00    $     95,004.00 1.00 $     79,170.00   05 T07
    05/31/2010    EDN 100/AA     72032      J1  A SECONDARY TEACHER                            1.00    $     68,351.00 1.00 $     68,351.04   05 T07
    05/31/2010    EDN 100/AA     72561      J1  A ELEM TEACHER                                 1.00    $     79,170.00 1.00 $     79,170.00   05 T07
    05/31/2010    EDN 100/AA     72603      J1  A 12‐MO ELEM TEACHER                           1.00    $     82,021.00 1.00 $     68,351.04   05 T07
    05/31/2010    EDN 100/AA     72747      J1  A ELEM TEACHER                                 1.00    $     79,170.00 1.00 $     79,170.00   05 T07
    05/31/2010    EDN 100/AA     72942      T1  A SECONDARY TEACHER                            1.00    $     45,785.00 0.50 $     29,808.48   45 T04
    05/31/2010    EDN 100/AA     73447      J1  A SECONDARY TEACHER                            1.00    $     63,861.00 1.00 $     63,861.12   05 T05
    05/31/2010    EDN 100/AA     73748      J1  A SECONDARY TEACHER                            1.00    $     80,465.00 1.00 $     79,170.00   05 T07
    05/31/2010    EDN 100/AA     74294      J1  A SECONDARY TEACHER                            1.00    $     80,215.00 1.00 $     79,170.00   05 T07
    05/31/2010    EDN 100/AA     74540      J1  A ELEM TEACHER                                 1.00    $     70,400.00 1.00 $     70,400.16   05 T07
    05/31/2010    EDN 100/AA     74567      J1  A ELEM TEACHER                                 1.00    $     74,688.00 1.00 $     74,688.00   05 T07
    05/31/2010    EDN 100/AA     74597      J1  A ELEM TEACHER                                 1.00    $     80,465.00 1.00 $     79,170.00   05 T07
    05/31/2010    EDN 100/AA     75365      T1  A 10‐MO STUDENT SVCS COORD                     1.00    $     84,480.00 1.00 $     70,400.16   05 T07
    05/31/2010    EDN 100/AA     75966      J1  A ELEM TEACHER                                 1.00    $     79,170.00 1.00 $     79,170.00   05 T07
    05/31/2010    EDN 100/AA     76337      J1  A SECONDARY TEACHER                            0.50    $     39,585.00 0.50 $     39,585.00   05 T07
    05/31/2010    EDN 100/AA     76337      J1  A SECONDARY TEACHER                            0.50    $     39,585.00 0.50 $     39,585.00   05 T07
    05/31/2010    EDN 100/AA     79344      T1  A SECONDARY TEACHER                            0.50    $     39,585.00 0.50 $     39,585.00   05 T07
    05/31/2010    EDN 100/BB     62315      J1  A SECONDARY TEACHER                            1.00    $     79,170.00 1.00 $     79,170.00   05 T07
    05/31/2010    EDN 100/BB     68465      J1  A SECONDARY TEACHER                            1.00    $     79,170.00 1.00 $     79,170.00   05 T07


                                                                         Page 52                                                       2011 Budget Briefing
Department of Education                                                         Table 12
                                                                  Personnel Separations

                                Position  Perm/                                             Budgeted       Budgeted   Actual                  BU    SR 
Separation Date   Prog ID/Org   Number Temp MOF                   Position Title              FTE             Salary    FTE   Actual Salary  Code Level
    05/31/2010    EDN 100/BJ     73075      J1  A SECONDARY TEACHER                             1.00    $     49,448.00 1.00 $     64,482.00   05 T06
    05/31/2010    EDN 100/CB     67286      J1  A COMPLEX AREA TEACHER                          1.00    $     79,170.00 1.00 $     79,170.00   05 T07
    05/31/2010    EDN 100/DB     79217      T1  N EDUCATIONAL SPEC II                           1.00    $     94,937.04 1.00 $     94,937.04   56 E07
    05/31/2010    EDN 100/DB     79344      T1  N SECONDARY TEACHER                             0.50    $     39,585.00 0.50 $     39,585.00   05 T07
    05/31/2010    EDN 100/DB     79428      T1  N DIST OFF TCHR                                 1.00    $     79,170.00 1.00 $     79,170.00   05 T07
    05/31/2010    EDN 100/DB     79634      T1  N ELEM TEACHER                                  1.00    $     43,157.04 1.00 $     43,157.04   05 T02
    05/31/2010    EDN 150/FA     60456      J1  A SPEC ED TEACHER                               1.00    $     59,044.00 1.00 $     57,999.12   05 T02
    05/31/2010    EDN 150/FA     62167      J1  A SPEC ED TEACHER                               1.00    $     61,405.00 1.00 $     61,404.96   05 T04
    05/31/2010    EDN 150/FA     63176      J1  A SPEC ED TEACHER                               1.00    $     45,785.00 1.00 $     45,785.04   05 T02
    05/31/2010    EDN 150/FA     64922      T1  A SPEC ED TEACHER                               1.00    $     79,170.00 1.00 $     79,170.00   05 T07
    05/31/2010    EDN 150/FA     66013      J1  A GEN EDUC/ARTICLE VI TCHR                      1.00    $     57,324.00 1.00 $     57,324.00   05 T03
    05/31/2010    EDN 150/FA     66449      J1  A SPEC ED TEACHER                               1.00    $     62,550.00 1.00 $     62,550.00   05 T07
    05/31/2010    EDN 150/FA     66669      J1  A SPEC ED TEACHER                               1.00    $     57,291.00 1.00 $     57,291.12   05 T06
    05/31/2010    EDN 150/FA     67113      J1  A SPEC ED TEACHER                               1.00    $     79,170.00 1.00 $     79,170.00   05 T07
    05/31/2010    EDN 150/FA     69582      J1  A SPEC ED TEACHER                               1.00    $     70,400.00 1.00 $     70,400.16   05 T07
    05/31/2010    EDN 150/FA     69672      J1  A GEN EDUC/ARTICLE VI TCHR                      1.00    $     79,170.00 1.00 $     79,170.00   05 T07
    05/31/2010    EDN 150/FA     71172      J1  A SPEC ED TEACHER                               1.00    $     46,609.00 1.00 $     79,170.00   05 T07
    05/31/2010    EDN 150/FA     71343      J1  A SPEC ED TCHR/PRE‐SCHOOL                       1.00    $     47,080.00 1.00 $     74,688.00   05 T07
    05/31/2010    EDN 150/FA     73291      T1  A SPEC ED TEACHER                               1.00    $     43,157.04 1.00 $     43,157.04   05 T02
    05/31/2010    EDN 150/FA     73331      J1  A SPEC ED TCHR/PRE‐SCHOOL                       1.00    $     75,733.00 1.00 $     74,688.00   05 T07
    05/31/2010    EDN 150/FA     73488      J1  A SPEC ED TEACHER                               1.00    $     79,170.00 1.00 $     79,170.00   05 T07
    05/31/2010    EDN 150/FA     74090      J1  A SPEC ED TCHR/PRE‐SCHOOL                       1.00    $     79,170.00 1.00 $     79,170.00   05 T07
    05/31/2010    EDN 150/FA     74808      J1  A SPEC ED TCHR/PRE‐SCHOOL                       1.00    $     74,688.00 1.00 $     79,170.00   05 T07
    05/31/2010    EDN 150/FA     C4062      T1  A GEN EDUC/ARTICLE VI TCHR                      1.00    $     79,170.00 1.00 $     79,170.00   05 T07
    05/31/2010    EDN 150/NB     79346      T1  N DIST OFF TCHR                                 1.00    $     68,351.04 1.00 $     68,351.04   05 T07
    05/31/2010    EDN 150/NB     79377      T1  N DIST OFF TCHR                                 1.00    $     74,688.00 1.00 $     74,688.00   05 T07
    05/31/2010    EDN 200/GC     60023      J1  A EDUCATIONAL DIRECTOR                          1.00    $  123,642.00   1.00 $  123,642.00     06 E10
    05/31/2010    EDN 200/GN     76351      T1  A COMPLEX AREA TEACHER                          1.00    $     68,408.16 1.00 $     68,408.16   05 T06
    05/31/2010    EDN 300/KF     68274      J1  A BUDGET SPECIALIST II                          1.00    $     81,475.00 1.00 $     81,474.96   06 E07
    06/01/2010    EDN 100/AA     28388      J1  A SCHOOL CUSTODIAN II                           1.00    $     33,228.00 1.00 $     33,228.00   01 BC02
    06/01/2010    EDN 100/AA     30606      J1  A SCHOOL SECURITY ATTENDANT                     1.00    $     30,506.00 1.00 $     30,505.68   03 SR07
    06/01/2010    EDN 100/AA     55790      J1  A EDUC ASST III                                 1.00    $     31,769.00 1.00 $     31,768.96   03 SR12
    06/02/2010    EDN 150/YC     30689      J1  A SCHOOL PSYCHOLOGIST                           1.00    $     46,803.00 1.00 $     51,312.00   13 SR24
    06/11/2010    EDN 100/AA     41721      J1  A CLERK TYPIST II                               1.00    $     30,036.00 0.50 $       6,663.60  63 SR08
    06/12/2010    EDN 100/AA     45103      J1  A SCHOOL CUSTODIAN II                           0.50    $     16,614.00 0.50 $     16,614.00   01 BC02
    06/15/2010    EDN 150/YC     58385      J1  A BEHAVIORAL HLTH SPCLT IV                      1.00    $     45,576.00 1.00 $     45,576.00   13 SR22


                                                                           Page 53                                                      2011 Budget Briefing
Department of Education                                                         Table 12
                                                                  Personnel Separations

                                Position  Perm/                                             Budgeted       Budgeted   Actual                  BU    SR 
Separation Date   Prog ID/Org   Number Temp MOF                   Position Title              FTE             Salary    FTE   Actual Salary  Code Level
    06/15/2010    EDN 150/YC     58385      J1  A BEHAVIORAL HLTH SPCLT III                     1.00    $     45,576.00 1.00 $     42,132.00   73 SR20
    06/21/2010    EDN 100/AA     16157      J1  A SCHOOL CUSTODIAN II                           1.00    $     33,228.00 0.50 $       8,629.20  61 BC02
    07/01/2010    EDN 100/AA      1831      J1  A SCHOOL ADM SERVICES ASST II                   1.00    $     41,040.00 1.00 $     41,040.00   04 SR14
    07/01/2010    EDN 100/AA      1838      J1  A SCHOOL ADM SERVICES ASST II                   1.00    $     49,932.00 1.00 $     49,932.00   04 SR14
    07/01/2010    EDN 100/AA      4970      J1  A ACCOUNT CLERK IV                              1.00    $     42,684.00 1.00 $     42,684.00   03 SR13
    07/01/2010    EDN 100/AA     16513      J1  A SCHOOL CUSTODIAN III                          1.00    $     35,544.00 1.00 $     35,544.00   01 WS02
    07/01/2010    EDN 100/AA     16568      J1  A SCHOOL CUSTODIAN II                           1.00    $     33,228.00 1.00 $     33,228.00   01 BC02
    07/01/2010    EDN 100/AA     16645      J1  A SCHOOL CUSTODIAN III                          1.00    $     35,544.00 1.00 $     35,544.00   01 WS02
    07/01/2010    EDN 100/AA     19255      J1  A SCHOOL CUSTODIAN II                           1.00    $     33,228.00 1.00 $     33,228.00   01 BC02
    07/01/2010    EDN 100/AA     29524      J1  A SCHOOL CUSTODIAN II                           1.00    $     33,228.00 1.00 $     33,228.00   01 BC02
    07/01/2010    EDN 100/AA     46072      T1  A EDUC ASST II                                  0.50    $     11,565.00 0.50 $     11,565.00   03 SR10
    07/01/2010    EDN 100/AA     53003      J1  A SCHOOL CUSTODIAN II                           0.50    $     16,614.00 0.50 $     16,614.00   01 BC02
    07/01/2010    EDN 100/AA     54836      J1  A EDUC ASST III                                 1.00    $     31,769.00 1.00 $     30,430.08   03 SR12
    07/01/2010    EDN 100/AA     54841      J1  A EDUC ASST III                                 1.00    $     31,769.00 1.00 $     30,430.08   03 SR12
    07/01/2010    EDN 100/AA     54842      J1  A EDUC ASST III                                 0.50    $     14,684.00 0.50 $     14,064.96   03 SR12
    07/01/2010    EDN 100/AA     55260      T1  A CLERK III                                     1.00    $     28,836.00 0.50 $     14,418.00   03 SR08
    07/01/2010    EDN 100/AA     55695      T1  A EDUC ASST III                                 1.00    $     28,209.00 1.00 $     27,019.92   03 SR12
    07/01/2010    EDN 100/AA     55710      J1  A CLERK III                                     1.00    $     32,424.00 1.00 $     32,424.00   03 SR08
    07/01/2010    EDN 100/AA     55875      T1  A EDUC ASST III                                 1.00    $     30,506.00 1.00 $     29,220.00   03 SR12
    07/01/2010    EDN 100/AA     56071      T1  A CLERK III                                     0.50    $     14,418.00 0.50 $     12,834.00   63 SR08
    07/01/2010    EDN 100/AA     60812      J1  A ELEM TEACHER                                  1.00    $     79,170.00 1.00 $     79,170.00   05 T07
    07/01/2010    EDN 100/AA     61106      J1  A 12‐MO ELEM PRIN II                            1.00    $  108,527.00   1.00 $  108,527.04     06 E06
    07/01/2010    EDN 100/AA     61422      J1  A ELEM TEACHER                                  1.00    $     71,445.00 1.00 $     70,400.16   05 T07
    07/01/2010    EDN 100/AA     63366      J1  A ELEM TEACHER                                  1.00    $     66,359.00 1.00 $     66,359.04   05 T07
    07/01/2010    EDN 100/AA     63629      J1  A SECONDARY TEACHER                             1.00    $     80,215.00 1.00 $     79,170.00   05 T07
    07/01/2010    EDN 100/AA     64376      J1  A SECONDARY TEACHER                             1.00    $     74,688.00 1.00 $     74,688.00   05 T06
    07/01/2010    EDN 100/AA     64431      J1  A SECONDARY TEACHER                             1.00    $     61,479.00 1.00 $     61,479.12   05 T02
    07/01/2010    EDN 100/AA     64462      J1  A SECONDARY TEACHER                             1.00    $     79,170.00 1.00 $     79,170.00   05 T07
    07/01/2010    EDN 100/AA     65834      J1  A SCH ATHLETIC DIR II                           1.00    $     76,004.00 1.00 $     76,004.16   06 E02
    07/01/2010    EDN 100/AA     66124      J1  A ELEM TEACHER                                  1.00    $     49,448.00 1.00 $     60,729.12   05 T07
    07/01/2010    EDN 100/AA     66604      J1  A ELEM TEACHER                                  1.00    $     79,170.00 1.00 $     79,170.00   05 T07
    07/01/2010    EDN 100/AA     67175      J1  A ELEM TEACHER                                  1.00    $     66,359.00 1.00 $     66,359.04   05 T07
    07/01/2010    EDN 100/AA     69735      J1  A ELEM TEACHER                                  1.00    $     58,442.00 1.00 $     60,779.04   05 T06
    07/01/2010    EDN 100/AA     72064      J1  A 12‐MO STUDENT SVCS COORD                      1.00    $     95,004.00 1.00 $     79,170.00   05 T07
    07/01/2010    EDN 100/AA     72414      T1  A SECONDARY TEACHER                             1.00    $     49,448.16 1.00 $     49,448.16   05 T03
    07/01/2010    EDN 100/AA     73409      J1  A SECONDARY TEACHER                             0.50    $     39,585.00 1.00 $     79,170.00   05 T07


                                                                           Page 54                                                      2011 Budget Briefing
Department of Education                                                                Table 12
                                                                Personnel Separations

                                Position  Perm/                                           Budgeted            Budgeted   Actual                     BU    SR 
Separation Date   Prog ID/Org   Number Temp MOF                   Position Title               FTE               Salary     FTE     Actual Salary  Code Level
    07/01/2010    EDN 100/AA     73593      J1  A SECONDARY TEACHER                                 1.00   $     62,002.00    1.00 $     62,002.08   05 T05
    07/01/2010    EDN 100/AA     73625      J1  A 12‐MO MT INTER PRIN VII                           1.00   $  143,025.00      1.00 $  130,023.12     06 E10
    07/01/2010    EDN 100/AA     75357      J1  A 12‐MO STUDENT SVCS COORD                          1.00   $     95,004.00    1.00 $     79,170.00   05 T07
    07/01/2010    EDN 100/AA    800350      J1  A EDUC ASST III                                     0.50   $     13,577.00    0.50 $     13,005.00   03 SR12
    07/01/2010    EDN 100/AA    800543      T1  A EDUC ASST III                                     0.50   $     15,885.00    0.50 $     15,215.04   03 SR12
    07/01/2010    EDN 100/AA    800764      T1  A DP USER SUPPORT TECH II                           1.00   $     17,528.40    1.00 $     17,528.40   63 SR15
    07/01/2010    EDN 100/AA    801164      T1  A EDUC ASST III                                     1.00   $     25,030.08    1.00 $     25,030.08   03 SR12
    07/01/2010    EDN 100/AA    801235      T1  A EDUC ASST I                                       1.00   $     21,390.00    1.00 $     21,390.00   63 SR08
    07/01/2010    EDN 100/AA    801272      T1  A EDUC ASST III                                     0.50   $     12,515.04    0.50 $     12,515.04   03 SR12
    07/01/2010    EDN 100/AA    801438      T1  A SCHOOL SECURITY ATTENDANT                         1.00   $     12,798.00    1.00 $     12,798.00   63 SR07
    07/01/2010    EDN 100/AA    801446      T1  A EDUC ASST II                                      1.00   $     23,130.00    1.00 $     23,130.00   03 SR10
    07/01/2010    EDN 100/AA    801470      T1  A SCHOOL SECURITY ATTENDANT                         1.00   $     12,798.00    1.00 $     12,798.00   63 SR07
    07/01/2010    EDN 100/AA    027114      J1  A CLERK TYPIST II                                   1.00   $     27,756.00    1.00 $     25,668.00   63 SR08
    07/01/2010    EDN 100/AA    056273      T1  A CLERK III                                         0.50   $     15,018.00    0.50 $     15,018.00   03 SR08
    07/01/2010    EDN 100/AA    060586      J1  A ELEM TEACHER                                      1.00   $     45,785.00    1.00 $     44,024.16   05 T02
    07/01/2010    EDN 100/AA    060988      J1  A 12‐MO HS PRIN VI                                  1.00   $  119,967.00    1.00 $  117,966.96       06 E09
    07/01/2010    EDN 100/AA    061300      J1  A 12‐MO ELEM PRIN II                                1.00   $  126,460.00    1.00 $  126,460.08       06 E06
    07/01/2010    EDN 100/AA    066164      J1  A 12‐MONTH REGISTRAR                                1.00   $     84,480.00    1.00 $     70,400.16   05 T07
    07/01/2010    EDN 100/AA    066603      J1  A 12‐MONTH REGISTRAR                                1.00   $     70,751.00    1.00 $     60,729.12   05 T07
    07/01/2010    EDN 100/AA    067053      J1  A SECONDARY TEACHER                                 1.00   $     49,448.00    1.00 $     48,474.00   05 T04
    07/01/2010    EDN 100/AA    069953      J1  A SECONDARY TEACHER                                 1.00   $     49,448.00    1.00 $     49,448.16   05 T03
    07/01/2010    EDN 100/AA    071096      J1  A SECONDARY TEACHER                                 1.00   $     48,008.00    1.00 $     48,008.16   05 T03
    07/01/2010    EDN 100/AA    072100      J1  A SECONDARY TEACHER                                 1.00   $     49,448.00    1.00 $     49,448.16   05 T03
    07/01/2010    EDN 100/AA    072623      J1  A 12‐MO COUNSELOR                                   1.00   $     75,060.00    1.00 $     62,550.00   05 T07
    07/01/2010    EDN 100/AA    073010      J1  A 12‐MONTH REGISTRAR                                1.00   $     89,626.00    1.00 $     74,688.00   05 T07
    07/01/2010    EDN 100/AA    073184      T1  A ELEM TEACHER                                      1.00   $     48,008.16    1.00 $     48,008.16   05 T03
    07/01/2010    EDN 100/AA    073456      T1  A 12‐MO STUDENT SVCS COORD                          1.00   $     61,711.00    1.00 $     51,426.00   05 T04
    07/01/2010    EDN 100/AA    075187      T1  A 12‐MO STUDENT SVCS COORD                          1.00   $     66,747.00    1.00 $     55,622.16   05 T06
    07/01/2010    EDN 100/AA    801361      T1  A EDUC ASST II                                      0.75   $     17,348.00    0.75 $     17,347.50   03 SR10
    07/01/2010    EDN 100/BM    052456      J1  A ATHLETIC HLTH CARE TRAINER                        1.00   $     45,576.00    1.00 $     47,412.00   13 SR22
    07/01/2010    EDN 100/BM    052463      J1  A ATHLETIC HLTH CARE TRAINER                        1.00   $     53,352.00    1.00 $     45,576.00   13 SR22
    07/01/2010    EDN 100/BS    073383      T1  A ROTC INSTRUCTOR                                   1.00   $     88,094.00    1.00 $     86,628.00   55 ROTC
    07/01/2010    EDN 100/BS    073861      T1  A ROTC INSTRUCTOR                                   1.00   $     70,615.00    1.00 $     59,712.00   55 ROTC
    07/01/2010    EDN 100/BX    028680      J1  A SCHOOL MUSEUM COORDINATOR                         1.00   $     33,756.00    1.00 $     33,756.00   03 SR13
    07/01/2010    EDN 100/DB     51240      T1  N SECRETARY II                                      1.00   $     39,480.00    1.00 $     39,480.00   03 SR14
    07/01/2010    EDN 100/DB     59156      T1  N DATA PROCSSG SYSTS ANAL II                        1.00   $     38,988.00    1.00 $     38,988.00   13 SR18


                                                                         Page 55                                                             2011 Budget Briefing
Department of Education                                                                Table 12
                                                                  Personnel Separations

                                Position  Perm/                                             Budgeted            Budgeted   Actual                     BU    SR 
Separation Date   Prog ID/Org   Number Temp MOF                   Position Title                 FTE               Salary     FTE     Actual Salary  Code Level
    07/01/2010    EDN 100/DB     79440      T1  N DIST OFF TCHR                                       1.00   $     74,688.00    1.00 $     74,688.00   05 T07
    07/01/2010    EDN 100/DB    079218      T1  N EDUCATIONAL SPEC II                                 1.00   $  100,367.04    1.00 $  100,367.04       56 E07
    07/01/2010    EDN 150/FA     30975      J1  A EDUC ASST III                                       1.00   $     33,032.00    1.00 $     31,639.92   03 SR12
    07/01/2010    EDN 150/FA     52574      J1  A EDUC ASST III                                       1.00   $     26,131.00    1.00 $     25,030.08   03 SR12
    07/01/2010    EDN 150/FA     52732      J1  A EDUC ASST III                                       1.00   $     31,769.00    1.00 $     30,430.08   03 SR12
    07/01/2010    EDN 150/FA     55291      T1  A EDUC ASST III                                       1.00   $     26,131.00    1.00 $     25,030.08   03 SR12
    07/01/2010    EDN 150/FA     56732      J1  A EDUC ASST III                                       0.75   $     22,026.00    0.75 $     21,097.44   03 SR12
    07/01/2010    EDN 150/FA     56842      T1  A EDUC ASST III                                       1.00   $     27,154.00    1.00 $     25,030.08   03 SR12
    07/01/2010    EDN 150/FA     56845      T1  A EDUC ASST II                                        1.00   $     30,506.00    1.00 $     23,130.00   03 SR10
    07/01/2010    EDN 150/FA     56972      T1  A EDUC ASST II                                        1.00   $     27,154.00    1.00 $     23,130.00   63 SR10
    07/01/2010    EDN 150/FA     57049      T1  A EDUC ASST II                                        1.00   $     27,154.00    1.00 $     23,130.00   03 SR10
    07/01/2010    EDN 150/FA     57050      J1  A EDUC ASST III                                       1.00   $     28,209.00    1.00 $     27,019.92   03 SR12
    07/01/2010    EDN 150/FA     57159      T1  A EDUC ASST III                                       1.00   $     28,209.00    1.00 $     25,030.08   03 SR12
    07/01/2010    EDN 150/FA     57376      T1  A EDUC ASST III                                       1.00   $     26,131.00    1.00 $     25,030.08   03 SR12
    07/01/2010    EDN 150/FA     57446      T1  A EDUC ASST II                                        0.75   $     19,599.00    0.75 $     17,347.50   03 SR10
    07/01/2010    EDN 150/FA     58912      T1  A EDUC ASST III                                       1.00   $     27,154.00    1.00 $     26,010.00   03 SR12
    07/01/2010    EDN 150/FA     75501      T1  A SPEC ED TEACHER                                     1.00   $     79,170.00    1.00 $     79,170.00   05 T07
    07/01/2010    EDN 150/FA    800064      J1  A EDUC ASST III                                       1.00   $     29,368.00    1.00 $     25,030.08   03 SR12
    07/01/2010    EDN 150/FA    800493      T1  A EDUC ASST III                                       1.00   $     26,131.00    1.00 $     25,030.08   03 SR12
    07/01/2010    EDN 150/FA    800514      T1  A EDUC ASST I                                         1.00   $     28,209.00    1.00 $     21,390.00   03 SR08
    07/01/2010    EDN 150/FA    800580      T1  A EDUC ASST III                                       0.50   $     13,577.00    0.50 $     13,005.00   03 SR12
    07/01/2010    EDN 150/FA    800586      T1  A EDUC ASST III                                       1.00   $     28,209.00    1.00 $     25,030.08   03 SR12
    07/01/2010    EDN 150/FA    800660      T1  A EDUC ASST II                                        1.00   $     26,131.00    1.00 $     23,130.00   63 SR10
    07/01/2010    EDN 150/FA    801332      T1  A EDUC ASST III                                       1.00   $     25,030.08    1.00 $     25,030.08   03 SR12
    07/01/2010    EDN 150/FA    801336      T1  A EDUC ASST III                                       1.00   $     25,030.08    1.00 $     25,030.08   03 SR12
    07/01/2010    EDN 150/FA    801449      T1  A EDUC ASST III                                       1.00   $     25,030.08    1.00 $     25,030.08   03 SR12
    07/01/2010    EDN 150/FA    801465      T1  A EDUC ASST II                                        1.00   $     23,130.00    1.00 $     23,130.00   03 SR10
    07/01/2010    EDN 150/FA    028501      J1  A EDUC ASST III                                       1.00   $     34,347.00    1.00 $     32,899.92   03 SR12
    07/01/2010    EDN 150/FA    040628      J1  A EDUC ASST III                                       1.00   $     35,705.00    1.00 $     34,200.00   03 SR12
    07/01/2010    EDN 150/FA    056971      T1  A EDUC ASST III                                       1.00   $     26,131.00    1.00 $     26,010.00   03 SR12
    07/01/2010    EDN 150/FA    057214      T1  A EDUC ASST III                                       0.75   $     19,599.00    0.75 $     18,772.56   03 SR12
    07/01/2010    EDN 150/FA    057228      T1  A EDUC ASST II                                        0.75   $     19,599.00    0.75 $     17,347.50   03 SR10
    07/01/2010    EDN 150/FA    057241      T1  A EDUC ASST III                                       0.75   $     21,157.00    0.75 $     18,772.56   03 SR12
    07/01/2010    EDN 150/FA    057500      T1  A EDUC ASST III                                       0.75   $     21,157.00    0.75 $     18,772.56   03 SR12
    07/01/2010    EDN 150/FA    060391      T1  A SPEC ED TEACHER                                     1.00   $     32,712.96    1.00 $     32,712.96   05 T02
    07/01/2010    EDN 150/FA    067704      J1  A SPEC ED TEACHER                                     1.00   $     57,291.00    1.00 $     57,291.12   05 T06


                                                                           Page 56                                                             2011 Budget Briefing
Department of Education                                                                Table 12
                                                                 Personnel Separations

                                Position  Perm/                                            Budgeted            Budgeted   Actual                     BU    SR 
Separation Date   Prog ID/Org   Number Temp MOF                   Position Title                FTE               Salary     FTE     Actual Salary  Code Level
    07/01/2010    EDN 150/FA    074089      J1  A 12‐MO SPEC ED TEACHER                              1.00   $     53,343.00    1.00 $     43,157.04   05 T02
    07/01/2010    EDN 150/FA    075857      J1  A SPEC ED TEACHER                                    1.00   $     63,861.00    1.00 $     63,861.12   05 T05
    07/01/2010    EDN 150/FA    800153      T1  A EDUC ASST I                                        0.88   $     23,760.00    0.88 $     19,468.68   03 SR08
    07/01/2010    EDN 150/FA    800160      T1  A EDUC ASST I                                        0.75   $     19,599.00    0.75 $     16,042.50   03 SR08
    07/01/2010    EDN 150/FA    800924      T1  A EDUC ASST III                                      0.75   $     19,599.00    0.75 $     18,772.56   03 SR12
    07/01/2010    EDN 150/FA    801335      T1  A EDUC ASST III                                      1.00   $     25,030.00    1.00 $     25,030.08   63 SR12
    07/01/2010    EDN 150/FA    801347      T1  A EDUC ASST II                                       1.00   $     23,130.00    1.00 $     23,130.00   03 SR10
    07/01/2010    EDN 150/FA    801348      T1  A EDUC ASST II                                       1.00   $     23,130.00    1.00 $     23,130.00   03 SR10
    07/01/2010    EDN 150/NB     58145      T1  N EDUC ASST II                                       1.00   $     23,130.00    1.00 $     23,130.00   63 SR10
    07/01/2010    EDN 150/NB     58147      T1  N EDUC ASST III                                      1.00   $     25,030.08    1.00 $     25,030.08   63 SR12
    07/01/2010    EDN 150/NB     58188      T1  N EDUC ASST III                                      1.00   $     27,019.92    1.00 $     27,019.92   03 SR12
    07/01/2010    EDN 150/NB     58189      T1  N EDUC ASST III                                      1.00   $     25,030.08    1.00 $     25,030.08   03 SR12
    07/01/2010    EDN 150/NB     79920      T1  N 12‐MO STATE OFF TCHR                               1.00   $     87,016.00    1.00 $     74,688.00   05 T07
    07/01/2010    EDN 150/NB    800025      T1  N EDUC ASST II                                       1.00   $     23,130.00    1.00 $     23,130.00   03 SR10
    07/01/2010    EDN 150/NB    800065      T1  N EDUC ASST III                                      1.00   $     25,030.08    1.00 $     25,030.08   03 SR12
    07/01/2010    EDN 150/NB    800504      T1  N EDUC ASST III                                      1.00   $     25,030.08    1.00 $     25,030.08   03 SR12
    07/01/2010    EDN 150/NB    800997      T1  N EDUC ASST II                                       1.00   $     23,130.00    1.00 $     23,130.00   03 SR10
    07/01/2010    EDN 150/NB    801038      T1  N EDUC ASST III                                      1.00   $     25,030.08    1.00 $     25,030.08   03 SR12
    07/01/2010    EDN 150/NB    801162      T1  N EDUC ASST II                                       1.00   $     23,130.00    1.00 $     23,130.00   03 SR10
    07/01/2010    EDN 150/NB    801356      T1  N EDUC ASST II                                       1.00   $     23,130.00    1.00 $     23,130.00   03 SR10
    07/01/2010    EDN 150/NB    079369      T1  N 12‐MO DIST OFF TCHR                                1.00   $     74,688.00    1.00 $     74,688.00   05 T06
    07/01/2010    EDN 150/NB    079955      T1  N 12‐MO DIST OFF TCHR                                1.00   $     58,392.96    1.00 $     58,392.96   05 T07
    07/01/2010    EDN 150/NB    079979      T1  N 12‐MO DIST OFF TCHR                               1.00    $     74,688.00    1.00 $     74,688.00   05 T07
    07/01/2010    EDN 150/ND    079694      T1  N 12‐MO DIST OFF TCHR                               1.00    $     72,513.12    1.00 $     72,513.12   05 T07
    07/01/2010    EDN 150/SA    030407      J1  A SPEECH PATHOLOGIST IV                              1.00   $     69,305.00    1.00 $     67,488.00   13 SR22
    07/01/2010    EDN 150/YK     29500      J1  A SCHOOL HEALTH AIDE                                 1.00   $     29,010.00    1.00 $     27,786.96   03 SR09
    07/01/2010    EDN 150/YK    029451      J1  A SCHOOL HEALTH AIDE                                 1.00   $     20,383.00    1.00 $     18,078.00   03 SR09
    07/01/2010    EDN 200/GC    026567      J1  A SECRETARY II                                       1.00   $     39,480.00    1.00 $     39,480.00   03 SR14
    07/01/2010    EDN 200/GH     57915      J1  B CLERK IV                                           1.00   $     31,212.00    1.00 $     31,212.00   03 SR10
    07/01/2010    EDN 200/GN    032278      T1  A BILINGUAL/BICULTURAL S/H ASST                      1.00   $     37,968.00    1.00 $     37,968.00   03 SR11
    07/01/2010    EDN 200/GN    060015      J1  A COMPLX SCH RENEW SPEC II                           1.00   $  106,105.00    1.00 $  106,104.96       06 E07
    07/01/2010    EDN 200/GN    064825      J1  A COMPLX SCH RENEW SPEC II                           1.00   $     96,267.00    1.00 $     96,267.12   06 E07
    07/01/2010    EDN 200/GN    066020      J1  A COMPLX SCH RENEW SPEC II                           1.00   $  106,105.00    1.00 $  106,104.96       06 E07
    07/01/2010    EDN 200/GN    067000      J1  A COMPLX SCH RENEW SPEC II                           1.00   $     97,615.00    1.00 $     97,614.96   06 E07
    07/01/2010    EDN 300/KO     15437      J1  A PERSONNEL CLERK V                                  1.00   $     32,424.00    1.00 $     32,424.00   63 SR13
    07/01/2010    EDN 300/KO     51562      T1  A PERSONNEL CLERK IV                                 0.50   $     16,212.00    0.50 $     16,212.00   63 SR11


                                                                         Page 57                                                              2011 Budget Briefing
Department of Education                                                                Table 12
                                                                  Personnel Separations

                                 Position  Perm/                                            Budgeted            Budgeted   Actual                     BU    SR 
Separation Date    Prog ID/Org   Number Temp MOF                   Position Title                FTE               Salary     FTE     Actual Salary  Code Level
    07/01/2010    EDN 300/KO     015361      J1  A PERSONNEL CLERK IV                                 1.00   $     32,424.00    1.00 $     30,036.00   63 SR11
    07/01/2010    EDN 300/KO     074698      J1  A 12‐MO STATE OFF TCHR                               1.00   $     69,577.00    1.00 $     79,170.00   05 T07
    07/01/2010     EDN 300/LJ     11394      J1  A PRIVATE SECRETARY I                                1.00   $     63,204.00    1.00 $     63,204.00   63 SR20
    07/01/2010    EDN 300/UA      76282      T1  A 12‐MO STATE OFF TCHR                               1.00   $     95,004.00    1.00 $     79,170.00   05 T07
    07/01/2010    EDN 300/UA     800917      T1  A GEN PROF VI                                       1.00    $     67,488.00    1.00 $     67,488.00   13 SR26
    07/01/2010    EDN 400/MD      11058      J1  B SCHOOL COOK II                                     1.00   $     38,436.00    1.00 $     38,436.00   01 BC06
    07/01/2010    EDN 400/MD      11500      J1  B SCHOOL COOK II                                     1.00   $     38,436.00    1.00 $     38,436.00   01 BC06
    07/01/2010    EDN 400/MD      22454      J1  B FOOD SERVICES DRIVER                               1.00   $     34,164.00    1.00 $     34,164.00   01 BC03
    07/01/2010    EDN 400/MD     801163      T1  N CLERK TYPIST II                                    0.50   $     12,834.00    0.50 $     12,834.00   03 SR08
    07/01/2010    EDN 400/MD     054591      J1  B CAFETERIA HELPER                                   0.50   $     16,614.00    0.50 $     16,614.00   01 BC02
    07/01/2010    EDN 400/OC      17175      J1  A ELECTRICIAN I                                      1.00   $     49,320.00    1.00 $     46,236.00   01 BC10
    07/01/2010    EDN 400/OC     017084      J1  A CARPENTER I                                        1.00   $     48,096.00    1.00 $     44,544.00   01 BC09
    07/01/2010    EDN 400/YA      59092      J1  W SCHOOL BUS TRANSP OFFCR III                        1.00   $     41,040.00    1.00 $     41,040.00   03 SR18
    07/01/2010    EDN 500/PC       9891      J1  A SCHOOL ADM SERVICES ASST IV                        1.00   $     58,440.00    1.00 $     58,440.00   04 SR18
    07/01/2010    EDN 500/PC      39268      J1  A ACCOUNT CLERK II                                   1.00   $     30,036.00    1.00 $     25,668.00   63 SR08
    07/01/2010    EDN 500/PC      59721      T1  A CLERK TYPIST II                                    1.00   $     13,327.20    1.00 $     13,327.20   63 SR08
    07/01/2010    EDN 500/PC     063064      J1  A 12‐MO CSA PRIN V                                   1.00   $  137,459.00    1.00 $  137,459.04       06 E09
    07/01/2010    EDN 500/WA      51238      T1  A CLERK TYPIST II                                    0.50   $     15,606.00    0.50 $     15,606.00   03 SR08
    07/02/2010    EDN 150/FA     050332      J1  A EDUC ASST II                                       0.50   $     13,577.00    0.50 $     12,015.00   03 SR10
    07/03/2010    EDN 100/AA     050865      J1  A SCHOOL CUSTODIAN II                                0.50   $     16,614.00    0.50 $     16,614.00   01 BC02
    07/03/2010    EDN 100/BM     049297      J1  A ATHLETIC HLTH CARE TRAINER                         1.00   $     47,412.00    1.00 $     47,412.00   13 SR22
    07/03/2010    EDN 100/BM     800788      J1  A ATHLETIC HLTH CARE TRAINER                         1.00   $     45,576.00    1.00 $     45,576.00   13 SR22
    07/03/2010    EDN 150/YC     058369      J1  A BEHAVIORAL HLTH SPCLT III                          1.00   $     45,576.00    1.00 $     42,132.00   13 SR20
    07/07/2010    EDN 150/YC     058650      T1  A BEHAVIORAL SPECIALIST IV                           1.00   $     49,332.00    1.00 $     49,332.00   13 SR22
    07/08/2010    EDN 300/UA     059152      J1  A DP USER SUPPORT TECH II                            1.00   $     35,064.00    1.00 $     33,756.00   03 SR15
    07/10/2010    EDN 100/AA     056614      J1  A CLERK TYPIST II                                    0.75   $     22,527.00    0.75 $     19,251.00   03 SR08
    07/10/2010    EDN 150/YC     058201      J1  A CLINICAL PSYCHOLOGIST VIII                         1.00   $     96,828.00    1.00 $     67,488.00   23 SR30
    07/13/2010    EDN 400/MD     009824      J1  B SCHOOL COOK II                                     1.00   $     38,436.00    1.00 $     38,436.00   01 BC06
    07/14/2010    EDN 100/AA     072120      J1  A SECONDARY TEACHER                                  1.00   $     45,785.00    1.00 $     46,608.96   05 T03
    07/15/2010    EDN 150/FA     052514      J1  A EDUC ASST III                                      0.50   $     15,253.00    0.50 $     14,610.00   03 SR12
    07/15/2010    EDN 150/FA     057121      J1  A EDUC ASST III                                      0.50   $     14,684.00    0.50 $     14,064.96   03 SR12
    07/15/2010    EDN 150/FA     057364      T1  A EDUC ASST II                                       0.75   $     21,157.00    0.75 $     17,347.50   03 SR10
    07/16/2010    EDN 100/AA     800890      T1  A CLERK TYPIST II                                    0.50   $     12,834.00    0.50 $     12,834.00   03 SR08
    07/16/2010    EDN 100/BM     052473      J1  A ATHLETIC HLTH CARE TRAINER                         1.00   $     45,576.00    1.00 $     45,576.00   13 SR22
    07/16/2010    EDN 150/FA     058769      J1  A EDUC ASST III                                      0.50   $     13,066.00    0.50 $     12,515.04   03 SR12
    07/16/2010    EDN 150/FA     058834      J1  A EDUC ASST III                                      1.00   $     29,368.00    1.00 $     27,019.92   03 SR12


                                                                           Page 58                                                             2011 Budget Briefing
Department of Education                                                                Table 12
                                                              Personnel Separations

                            Position  Perm/                                             Budgeted            Budgeted   Actual                     BU    SR 
Separation Date Prog ID/Org Number Temp MOF                  Position Title                  FTE               Salary     FTE     Actual Salary  Code Level
    07/16/2010 EDN 300/UA 048841        J1  A DATA PROCSSG SYSTS ANAL IV                          1.00   $     47,412.00    1.00 $     47,412.00   13 SR22
    07/17/2010 EDN 150/YC 058459        J1  A BEHAVIORAL HLTH SPCLT IV                            1.00   $     49,332.00    1.00 $     55,500.00   13 SR22
    07/22/2010 EDN 300/KO 060046        J1  A ASST SUPT,HUMAN RES                                 1.00   $  115,000.00    1.00 $  114,999.96       96 E00
    07/23/2010 EDN 150/FA 057070        J1  A EDUC ASST II                                        1.00   $     26,131.00    1.00 $     23,130.00   03 SR10
    07/23/2010 EDN 150/FA 057338        T1  A EDUC ASST II                                        0.75   $     19,599.00    0.75 $     17,347.50   03 SR10
    07/23/2010 EDN 150/YC 059940        J1  A BEHAVIORAL HLTH SPCLT IV                            1.00   $     45,576.00    1.00 $     45,576.00   13 SR22
    07/24/2010 EDN 100/AA 016827        J1  A SCHOOL CUSTODIAN III                                1.00   $     35,544.00    1.00 $     35,544.00   01 WS02
    07/24/2010 EDN 100/AA 801380        T1  A SCHOOL CUSTODIAN II                                 0.50   $     16,614.00    0.50 $     16,614.00   01 BC02
    07/24/2010 EDN 150/SA 056191        J1  A SPEECH PATHOLOGIST III                              1.00   $     57,999.00    1.00 $     42,132.00   13 SR20
    07/24/2010 EDN 400/MD 023887        J1  B CAFETERIA HELPER                                    0.50   $     16,614.00    0.50 $     16,614.00   01 BC02
    07/24/2010 EDN 400/MD 038202        T1  N CAFETERIA HELPER                                    0.50   $     16,614.00    0.50 $     16,614.00   01 BC02
    07/27/2010 EDN 100/AA 023293        J1  A EDUC ASST III                                       1.00   $     26,131.00    1.00 $     25,030.08   03 SR12
    07/27/2010 EDN 100/AA 051983        J1  A EDUC ASST III                                       1.00   $     31,769.00    1.00 $     30,430.08   03 SR12
    07/27/2010 EDN 100/AA 054857        T1  A CLERK III                                           0.50   $     15,018.00    0.50 $     15,018.00   03 SR08
    07/27/2010 EDN 100/AA 055688        T1  A EDUC ASST III                                       1.00   $     26,131.00    1.00 $     25,030.08   03 SR12
    07/27/2010 EDN 100/AA 055817        J1  A EDUC ASST III                                       1.00   $     34,347.00    1.00 $     32,899.92   03 SR12
    07/27/2010 EDN 100/AA 060173        J1  A SECONDARY TEACHER                                   1.00   $     51,426.00    1.00 $     48,008.16   05 T03
    07/27/2010 EDN 100/AA 060926        J1  A SECONDARY TEACHER                                   1.00   $     40,567.00    1.00 $     46,608.96   05 T03
    07/27/2010 EDN 100/AA 061156        J1  A ELEM TEACHER                                        1.00   $     79,170.00    1.00 $     46,608.96   05 T03
    07/27/2010 EDN 100/AA 063740        T1  A SECONDARY TEACHER                                   1.00   $     43,157.04    1.00 $     43,157.04   05 T02
    07/27/2010 EDN 100/AA 064496        J1  A ELEM TEACHER                                        1.00   $     50,743.00    1.00 $     49,448.16   05 T03
    07/27/2010 EDN 100/AA 065460        J1  A SECONDARY TEACHER                                   1.00   $     67,654.00    1.00 $     63,807.12   05 T07
    07/27/2010 EDN 100/AA 065697        J1  A ELEM TEACHER                                        1.00   $     43,157.00    1.00 $     48,008.16   05 T03
    07/27/2010 EDN 100/AA 065881        J1  A SECONDARY TEACHER                                   1.00   $     35,705.00    1.00 $     32,712.96   05 T02
    07/27/2010 EDN 100/AA 065887        J1  A SECONDARY TEACHER                                   1.00   $     44,452.00    1.00 $     44,452.08   05 T02
    07/27/2010 EDN 100/AA 066263        J1  A ELEM TEACHER                                        1.00   $     51,426.00    1.00 $     51,426.00   05 T04
    07/27/2010 EDN 100/AA 067398        J1  A SECONDARY TEACHER                                   1.00   $     46,609.00    1.00 $     46,608.96   05 T03
    07/27/2010 EDN 100/AA 067660        J1  A ELEM TEACHER                                        1.00   $     44,452.00    1.00 $     46,608.96   05 T03
    07/27/2010 EDN 100/AA 067927        T1  A ELEM TEACHER                                        1.00   $     46,608.96    1.00 $     46,608.96   05 T03
    07/27/2010 EDN 100/AA 068454        J1  A SECONDARY TEACHER                                   1.00   $     52,968.00    1.00 $     46,608.96   05 T03
    07/27/2010 EDN 100/AA 069076        J1  A SECONDARY TEACHER                                   1.00   $     45,785.00    1.00 $     46,608.96   05 T03
    07/27/2010 EDN 100/AA 069961        J1  A ELEM TEACHER                                        1.00   $     45,785.00    1.00 $     45,785.04   05 T02
    07/27/2010 EDN 100/AA 071257        J1  A ELEM TEACHER                                        1.00   $     48,008.00    1.00 $     48,008.16   05 T03
    07/27/2010 EDN 100/AA 071487        J1  A COUNSELOR                                           1.00   $     49,448.00    1.00 $     47,546.16   05 T03
    07/27/2010 EDN 100/AA 071748        J1  A ELEM TEACHER                                        1.00   $     60,729.00    1.00 $     60,729.12   05 T07
    07/27/2010 EDN 100/AA 073610        T1  A SECONDARY TEACHER                                   1.00   $     50,931.12    1.00 $     50,931.12   05 T03


                                                                      Page 59                                                              2011 Budget Briefing
Department of Education                                                                Table 12
                                                                  Personnel Separations

                                Position  Perm/                                             Budgeted            Budgeted   Actual                     BU    SR 
Separation Date   Prog ID/Org   Number Temp MOF                   Position Title                 FTE               Salary     FTE     Actual Salary  Code Level
    07/27/2010    EDN 100/AA    075805      J1  A SECONDARY TEACHER                                   1.00   $     49,448.00    1.00 $     62,550.00   05 T07
    07/27/2010    EDN 100/AA    61438X      J1  A ELEM TEACHER                                        1.00   $     58,442.00    1.00 $     44,452.08   05 T02
    07/27/2010    EDN 100/AA    67386X      T1  A ELEM TEACHER                                        1.00   $     45,785.04    1.00 $     45,785.04   05 T02
    07/27/2010    EDN 100/BV    074882      T1  A SECONDARY TEACHER                                   1.00   $     32,713.00    1.00 $     46,608.96   05 T03
    07/27/2010    EDN 100/DB    079483      T1  N SECONDARY TEACHER                                   1.00   $     47,546.16    1.00 $     47,546.16   05 T03
    07/27/2010    EDN 150/FA    028507      J1  A EDUC ASST III                                       1.00   $     31,769.00    1.00 $     30,430.08   03 SR12
    07/27/2010    EDN 150/FA    034350      J1  A EDUC ASST III                                       1.00   $     37,135.00    1.00 $     35,569.92   03 SR12
    07/27/2010    EDN 150/FA    036566      J1  A EDUC ASST III                                       1.00   $     31,769.00    1.00 $     30,430.08   03 SR12
    07/27/2010    EDN 150/FA    041385      J1  A EDUC ASST III                                       1.00   $     27,154.00    1.00 $     27,019.92   03 SR12
    07/27/2010    EDN 150/FA    048505      J1  A EDUC ASST III                                       1.00   $     30,506.00    1.00 $     29,220.00   03 SR12
    07/27/2010    EDN 150/FA    050399      J1  A EDUC ASST III                                       1.00   $     26,131.00    1.00 $     25,030.08   03 SR12
    07/27/2010    EDN 150/FA    052647      J1  A EDUC ASST III                                       0.50   $     13,066.00    0.50 $     12,515.04   03 SR12
    07/27/2010    EDN 150/FA    052655      J1  A EDUC ASST III                                       0.75   $     23,827.00    0.75 $     18,772.56   03 SR12
    07/27/2010    EDN 150/FA    052770      J1  A EDUC ASST III                                       1.00   $     30,506.00    1.00 $     29,220.00   03 SR12
    07/27/2010    EDN 150/FA    052938      J1  A EDUC ASST III                                       0.88   $     26,693.00    0.88 $     25,567.50   03 SR12
    07/27/2010    EDN 150/FA    055741      J1  A EDUC ASST III                                       1.00   $     26,131.00    1.00 $     26,010.00   03 SR12
    07/27/2010    EDN 150/FA    057176      T1  A EDUC ASST III                                       1.00   $     28,209.00    1.00 $     27,019.92   03 SR12
    07/27/2010    EDN 150/FA    057203      J1  A EDUC ASST III                                       1.00   $     28,209.00    1.00 $     27,019.92   03 SR12
    07/27/2010    EDN 150/FA    057474      T1  A EDUC ASST III                                       0.50   $     13,066.00    0.50 $     12,515.04   03 SR12
    07/27/2010    EDN 150/FA    057604      J1  A EDUC ASST II                                        0.75   $     19,599.00    0.75 $     17,347.50   03 SR10
    07/27/2010    EDN 150/FA    058765      J1  A EDUC ASST III                                       1.00   $     30,506.00    1.00 $     29,220.00   03 SR12
    07/27/2010    EDN 150/FA    058785      J1  A EDUC ASST III                                       1.00   $     27,154.00    1.00 $     26,010.00   03 SR12
    07/27/2010    EDN 150/FA    062202      J1  A GEN EDUC/ARTICLE VI TCHR                            1.00   $     49,448.00    1.00 $     54,033.12   05 T05
    07/27/2010    EDN 150/FA    063313      J1  A SPEC ED TCHR/PRE‐SCHOOL                             1.00   $     45,785.00    1.00 $     44,024.16   05 T02
    07/27/2010    EDN 150/FA    064481      J1  A SPEC ED TEACHER                                     1.00   $     40,567.00    1.00 $     44,452.08   05 T02
    07/27/2010    EDN 150/FA    066937      J1  A SPEC ED TCHR/PRE‐SCHOOL                             1.00   $     58,959.00    1.00 $     43,157.04   05 T02
    07/27/2010    EDN 150/FA    069202      J1  A GEN EDUC/ARTICLE VI TCHR                            1.00   $     64,482.00    1.00 $     64,482.00   05 T06
    07/27/2010    EDN 150/FA    069808      J1  A SPEC ED TEACHER                                     1.00   $     51,426.00    1.00 $     43,157.04   05 T02
    07/27/2010    EDN 150/FA    071902      J1  A SPEC ED TEACHER                                     1.00   $     60,912.00    1.00 $     32,712.96   05 T02
    07/27/2010    EDN 150/FA    073278      J1  A SPEC ED TCHR/PRE‐SCHOOL                             1.00   $     53,483.00    1.00 $     53,483.04   05 T05
    07/27/2010    EDN 150/FA    073310      J1  A SPEC ED TEACHER                                     1.00   $     43,157.04    1.00 $     43,157.04   05 T02
    07/27/2010    EDN 150/FA    073315      J1  A SPEC ED TEACHER                                     1.00   $     55,087.00    1.00 $     55,086.96   05 T05
    07/27/2010    EDN 150/FA    074426      J1  A SPEC ED TEACHER                                     1.00   $     55,622.00    1.00 $     44,452.08   05 T02
    07/27/2010    EDN 150/FA    075455      T1  A SPEC ED TEACHER                                     1.00   $     43,157.00    1.00 $     44,452.08   05 T02
    07/27/2010    EDN 150/FA    075838      T1  A SPEC ED TEACHER                                     1.00   $     43,157.00    1.00 $     48,008.16   05 T03
    07/27/2010    EDN 150/FA    800617      T1  A EDUC ASST III                                       1.00   $     26,131.00    1.00 $     25,030.08   03 SR12


                                                                           Page 60                                                             2011 Budget Briefing
Department of Education                                                                Table 12
                                                                 Personnel Separations

                                Position  Perm/                                            Budgeted            Budgeted   Actual                     BU    SR 
Separation Date   Prog ID/Org   Number Temp MOF                  Position Title                 FTE               Salary     FTE     Actual Salary  Code Level
    07/27/2010    EDN 150/FA    800661      J1  A EDUC ASST III                                      1.00   $     26,131.00    1.00 $     27,019.92   03 SR12
    07/27/2010    EDN 150/FA    801476      J1  A EDUC ASST III                                      1.00   $     25,030.00    1.00 $     25,030.08   03 SR12
    07/27/2010    EDN 150/NB    058110      T1  N EDUC ASST II                                       1.00   $     23,130.00    1.00 $     23,130.00   03 SR10
    07/27/2010    EDN 150/SA    030424      J1  A SPEECH PATHOLOGIST IV                              1.00   $     69,305.00    1.00 $     45,576.00   13 SR22
    07/27/2010    EDN 150/SA    030450      J1  A SPEECH PATHOLOGIST IV                              1.00   $     62,488.00    1.00 $     47,412.00   13 SR22
    07/27/2010    EDN 150/SA    056275      J1  A SPEECH PATHOLOGIST IV                              1.00   $     60,315.00    1.00 $     45,576.00   13 SR22
    07/27/2010    EDN 150/YC    059826      J1  A BEHAVIORAL HLTH SPCLT IV                           1.00   $     47,412.00    1.00 $     47,412.00   13 SR22
    07/27/2010    EDN 150/YK    029389      J1  A SCHOOL HEALTH AIDE                                 1.00   $     21,232.00    1.00 $     20,335.92   03 SR09
    07/27/2010    EDN 200/GC    060020      J1  A EDUCATIONAL SPEC II                                1.00   $     87,340.00    1.00 $     87,340.08   06 E07
    07/28/2010    EDN 100/AA    023244      J1  A EDUC ASST II                                       0.50   $     13,577.00    0.50 $     12,015.00   03 SR10
    07/28/2010    EDN 100/AA    030651      J1  A SCHOOL SECURITY ATTENDANT                          1.00   $     27,154.00    1.00 $     20,539.92   03 SR07
    07/28/2010    EDN 100/AA    037534      T1  A EDUC ASST II                                       0.50   $     14,684.00    0.50 $     11,565.00   03 SR10
    07/28/2010    EDN 100/AA    039112      J1  A EDUC ASST III                                      0.50   $     13,577.00    0.50 $     13,005.00   03 SR12
    07/28/2010    EDN 100/AA    055918      J1  A EDUC ASST III                                      1.00   $     28,209.00    1.00 $     27,019.92   03 SR12
    07/28/2010    EDN 100/AA    060209      J1  A ELEM TEACHER                                       1.00   $     64,482.00    1.00 $     46,608.96   05 T03
    07/28/2010    EDN 100/AA    060274      J1  A ELEM TEACHER                                       1.00   $     63,845.00    1.00 $     51,426.00   05 T04
    07/28/2010    EDN 100/AA    060322      J1  A SECONDARY TEACHER                                  1.00   $     46,609.00    1.00 $     32,712.96   05 T02
    07/28/2010    EDN 100/AA    060329      J1  A ELEM TEACHER                                       1.00   $     45,785.00    1.00 $     46,608.96   05 T03
    07/28/2010    EDN 100/AA    060379      J1  A SECONDARY TEACHER                                  1.00   $     80,465.00    1.00 $     46,608.96   05 T03
    07/28/2010    EDN 100/AA    060496      T1  A ELEM TEACHER                                       1.00   $     43,157.04    1.00 $     43,157.04   05 T02
    07/28/2010    EDN 100/AA    060672      J1  A SECONDARY TEACHER                                  1.00   $     48,008.00    1.00 $     48,008.16   05 T03
    07/28/2010    EDN 100/AA    060690      J1  A SECONDARY TEACHER                                  1.00   $     49,448.00    1.00 $     46,608.96   05 T03
    07/28/2010    EDN 100/AA    060740      J1  A SECONDARY TEACHER                                  1.00   $     46,609.00    1.00 $     46,608.96   05 T03
    07/28/2010    EDN 100/AA    060866      J1  A SECONDARY TEACHER                                  1.00   $     45,785.00    1.00 $     49,448.16   05 T03
    07/28/2010    EDN 100/AA    060911      J1  A SECONDARY TEACHER                                  1.00   $     44,452.00    1.00 $     32,712.96   05 T02
    07/28/2010    EDN 100/AA    060961      J1  A SECONDARY TEACHER                                  1.00   $     43,157.00    1.00 $     46,608.96   05 T03
    07/28/2010    EDN 100/AA    060968      J1  A SECONDARY TEACHER                                  1.00   $     33,694.00    1.00 $     43,157.04   05 T02
    07/28/2010    EDN 100/AA    061073      J1  A ELEM TEACHER                                       1.00   $     58,959.00    1.00 $     46,608.96   05 T03
    07/28/2010    EDN 100/AA    061082      J1  A ELEM TEACHER                                       1.00   $     52,471.00    1.00 $     43,157.04   05 T02
    07/28/2010    EDN 100/AA    061126      J1  A ELEM TEACHER                                       1.00   $     68,351.00    1.00 $     46,608.96   05 T03
    07/28/2010    EDN 100/AA    061192      J1  A SECONDARY TEACHER                                  1.00   $     52,968.00    1.00 $     32,712.96   05 T02
    07/28/2010    EDN 100/AA    061297      J1  A SECONDARY TEACHER                                  1.00   $     49,448.00    1.00 $     47,546.16   05 T03
    07/28/2010    EDN 100/AA    061397      J1  A ELEM TEACHER                                       1.00   $     52,471.00    1.00 $     46,608.96   05 T03
    07/28/2010    EDN 100/AA    061511      J1  A ELEM TEACHER                                       1.00   $     79,170.00    1.00 $     48,008.16   05 T03
    07/28/2010    EDN 100/AA    061524      J1  A ELEM TEACHER                                       1.00   $     49,448.00    1.00 $     49,448.16   05 T03
    07/28/2010    EDN 100/AA    061608      J1  A ELEM TEACHER                                       1.00   $     46,609.00    1.00 $     48,008.16   05 T03


                                                                          Page 61                                                             2011 Budget Briefing
Department of Education                                                                Table 12
                                                                 Personnel Separations

                                Position  Perm/                                            Budgeted            Budgeted   Actual                     BU    SR 
Separation Date   Prog ID/Org   Number Temp MOF                 Position Title                  FTE               Salary     FTE     Actual Salary  Code Level
    07/28/2010    EDN 100/AA    061790      J1  A SECONDARY TEACHER                                  1.00   $     79,170.00    1.00 $     32,712.96   05 T02
    07/28/2010    EDN 100/AA    061930      J1  A SECONDARY TEACHER                                  1.00   $     40,567.00    1.00 $     46,608.96   05 T03
    07/28/2010    EDN 100/AA    062037      J1  A SECONDARY TEACHER                                  1.00   $     47,159.00    1.00 $     33,694.08   05 T02
    07/28/2010    EDN 100/AA    062098      T1  A SECONDARY TEACHER                                  1.00   $     46,608.96    1.00 $     46,608.96   05 T03
    07/28/2010    EDN 100/AA    062184      J1  A SECONDARY TEACHER                                  1.00   $     74,688.00    1.00 $     43,157.04   05 T02
    07/28/2010    EDN 100/AA    062428      J1  A ELEM TEACHER                                       1.00   $     49,448.00    1.00 $     49,448.16   05 T03
    07/28/2010    EDN 100/AA    062455      J1  A SECONDARY TEACHER                                  1.00   $     52,721.00    1.00 $     51,426.00   05 T04
    07/28/2010    EDN 100/AA    062464      J1  A SECONDARY TEACHER                                  1.00   $     49,448.00    1.00 $     43,157.04   05 T02
    07/28/2010    EDN 100/AA    062477      J1  A SECONDARY TEACHER                                  1.00   $     48,008.00    1.00 $     48,008.16   05 T03
    07/28/2010    EDN 100/AA    062516      J1  A ELEM TEACHER                                       0.50   $     22,893.00    0.50 $     22,892.52   45 T02
    07/28/2010    EDN 100/AA    062543      J1  A SECONDARY TEACHER                                  1.00   $     56,740.00    1.00 $     55,086.96   05 T05
    07/28/2010    EDN 100/AA    062655      J1  A ELEM TEACHER                                       1.00   $     58,959.00    1.00 $     44,452.08   05 T02
    07/28/2010    EDN 100/AA    062662      J1  A SECONDARY TEACHER                                  1.00   $     49,448.00    1.00 $     44,452.08   05 T02
    07/28/2010    EDN 100/AA    062730      J1  A ELEM TEACHER                                       1.00   $     48,008.00    1.00 $     46,608.96   05 T03
    07/28/2010    EDN 100/AA    062740      J1  A ELEM TEACHER                                       1.00   $     49,448.00    1.00 $     49,448.16   05 T03
    07/28/2010    EDN 100/AA    062875      J1  A ELEM TEACHER                                       1.00   $     49,448.00    1.00 $     49,448.16   05 T03
    07/28/2010    EDN 100/AA    062895      J1  A SECONDARY TEACHER                                  1.00   $     49,448.00    1.00 $     49,448.16   05 T03
    07/28/2010    EDN 100/AA    062897      J1  A SECONDARY TEACHER                                  1.00   $     48,008.00    1.00 $     46,608.96   05 T03
    07/28/2010    EDN 100/AA    062902      J1  A SECONDARY TEACHER                                  1.00   $     49,448.00    1.00 $     49,448.16   05 T03
    07/28/2010    EDN 100/AA    062919      J1  A ELEM TEACHER                                       1.00   $     80,465.00    1.00 $     48,008.16   05 T03
    07/28/2010    EDN 100/AA    063090      J1  A ELEM TEACHER                                       1.00   $     44,452.00    1.00 $     44,452.08   05 T02
    07/28/2010    EDN 100/AA    063182      J1  A SECONDARY TEACHER                                  1.00   $     43,812.00    1.00 $     46,608.96   05 T03
    07/28/2010    EDN 100/AA    063249      J1  A SECONDARY TEACHER                                  1.00   $     62,002.00    1.00 $     49,448.16   05 T03
    07/28/2010    EDN 100/AA    063293      J1  A SECONDARY TEACHER                                  0.50   $     23,304.00    1.00 $     48,008.16   05 T03
    07/28/2010    EDN 100/AA    063370      J1  A ELEM TEACHER                                       1.00   $     58,959.00    0.50 $     16,356.48   45 T02
    07/28/2010    EDN 100/AA    063379      J1  A SECONDARY TEACHER                                  1.00   $     49,448.00    1.00 $     49,448.16   05 T03
    07/28/2010    EDN 100/AA    063395      J1  A COUNSELOR                                          1.00   $     49,448.00    1.00 $     46,608.96   05 T03
    07/28/2010    EDN 100/AA    063466      J1  A ELEM TEACHER                                       1.00   $     48,204.00    1.00 $     47,159.04   05 T02
    07/28/2010    EDN 100/AA    063500      J1  A SECONDARY TEACHER                                  1.00   $     32,713.00    1.00 $     32,712.96   05 T02
    07/28/2010    EDN 100/AA    063538      J1  A SECONDARY TEACHER                                  1.00   $     49,448.00    1.00 $     49,448.16   05 T03
    07/28/2010    EDN 100/AA    063613      J1  A ELEM TEACHER                                       1.00   $     51,426.00    1.00 $     51,426.00   05 T04
    07/28/2010    EDN 100/AA    063624      T1  A LIBRARIAN                                          0.50   $     29,479.56    0.50 $     29,479.56   45 T07
    07/28/2010    EDN 100/AA    063713      J1  A ELEM TEACHER                                       1.00   $     44,452.00    1.00 $     46,608.96   05 T03
    07/28/2010    EDN 100/AA    063817      J1  A SECONDARY TEACHER                                  1.00   $     54,558.00    1.00 $     43,157.04   05 T02
    07/28/2010    EDN 100/AA    063840      J1  A ELEM TEACHER                                       1.00   $     61,774.00    1.00 $     43,157.04   05 T02
    07/28/2010    EDN 100/AA    064078      J1  A SECONDARY TEACHER                                  1.00   $     41,862.00    1.00 $     48,008.16   05 T03


                                                                         Page 62                                                              2011 Budget Briefing
Department of Education                                                                Table 12
                                                                 Personnel Separations

                                Position  Perm/                                            Budgeted            Budgeted   Actual                     BU    SR 
Separation Date   Prog ID/Org   Number Temp MOF                 Position Title                   FTE              Salary     FTE     Actual Salary  Code Level
    07/28/2010    EDN 100/AA    064127      J1  A SECONDARY TEACHER                                  1.00   $     49,448.00    1.00 $     46,608.96   05 T03
    07/28/2010    EDN 100/AA    064132      T1  A ELEM TEACHER                                       1.00   $     55,622.16    1.00 $     55,622.16   05 T06
    07/28/2010    EDN 100/AA    064276      J1  A ELEM TEACHER                                       1.00   $     56,740.00    1.00 $     56,740.08   05 T05
    07/28/2010    EDN 100/AA    064297      J1  A ELEM TEACHER                                       1.00   $     48,454.00    1.00 $     47,159.04   05 T02
    07/28/2010    EDN 100/AA    064301      J1  A SECONDARY TEACHER                                  1.00   $     49,448.00    1.00 $     46,608.96   05 T03
    07/28/2010    EDN 100/AA    064362      J1  A COUNSELOR                                          1.00   $     48,008.00    1.00 $     48,008.16   05 T03
    07/28/2010    EDN 100/AA    064483      T1  A ELEM TEACHER                                       1.00   $     48,008.16    1.00 $     48,008.16   05 T03
    07/28/2010    EDN 100/AA    064569      J1  A SECONDARY TEACHER                                  1.00   $     48,008.00    1.00 $     46,608.96   05 T03
    07/28/2010    EDN 100/AA    064570      J1  A SECONDARY TEACHER                                  1.00   $     32,713.00    1.00 $     48,008.16   05 T03
    07/28/2010    EDN 100/AA    064588      J1  A SECONDARY TEACHER                                  1.00   $     49,448.00    1.00 $     43,157.04   05 T02
    07/28/2010    EDN 100/AA    064622      J1  A SECONDARY TEACHER                                  1.00   $     49,448.00    1.00 $     49,448.16   05 T03
    07/28/2010    EDN 100/AA    064685      J1  A SECONDARY TEACHER                                  1.00   $     49,448.00    1.00 $     49,448.16   05 T03
    07/28/2010    EDN 100/AA    064694      J1  A ELEM TEACHER                                       1.00   $     49,448.00    1.00 $     49,448.16   05 T03
    07/28/2010    EDN 100/AA    064783      J1  A SECONDARY TEACHER                                  1.00   $     48,008.00    1.00 $     48,008.16   05 T03
    07/28/2010    EDN 100/AA    064937      J1  A SECONDARY TEACHER                                  1.00   $     43,157.00    1.00 $     46,608.96   05 T03
    07/28/2010    EDN 100/AA    064940      J1  A SECONDARY TEACHER                                  1.00   $     51,426.00    1.00 $     46,608.96   05 T03
    07/28/2010    EDN 100/AA    065004      T1  A LIBRARIAN                                          0.50   $     23,304.48    0.50 $     23,304.48   45 T03
    07/28/2010    EDN 100/AA    065131      J1  A LIBRARIAN                                          1.00   $     50,743.00    1.00 $     49,448.16   05 T03
    07/28/2010    EDN 100/AA    065133      J1  A SECONDARY TEACHER                                  1.00   $     61,774.00    1.00 $     68,351.04   05 T07
    07/28/2010    EDN 100/AA    065145      J1  A ELEM TEACHER                                       1.00   $     62,550.00    1.00 $     62,550.00   05 T07
    07/28/2010    EDN 100/AA    065314      J1  A COUNSELOR                                          1.00   $     49,448.00    1.00 $     48,008.16   05 T03
    07/28/2010    EDN 100/AA    065321      J1  A SECONDARY TEACHER                                  1.00   $     47,159.00    1.00 $     43,157.04   05 T02
    07/28/2010    EDN 100/AA    065458      J1  A COUNSELOR                                          1.00   $     48,008.00    1.00 $     48,008.16   05 T03
    07/28/2010    EDN 100/AA    065490      J1  A ELEM TEACHER                                       1.00   $     47,080.00    1.00 $     49,448.16   05 T03
    07/28/2010    EDN 100/AA    065780      J1  A COUNSELOR                                          1.00   $     62,119.00    1.00 $     48,008.16   05 T03
    07/28/2010    EDN 100/AA    065953      J1  A ELEM TEACHER                                       1.00   $     60,729.00    1.00 $     43,157.04   05 T02
    07/28/2010    EDN 100/AA    066094      J1  A ELEM TEACHER                                       1.00   $     45,785.00    1.00 $     46,608.96   05 T03
    07/28/2010    EDN 100/AA    066283      J1  A COUNSELOR                                          1.00   $     43,157.00    1.00 $     48,008.16   05 T03
    07/28/2010    EDN 100/AA    066288      J1  A SECONDARY TEACHER                                  1.00   $     32,713.00    1.00 $     32,712.96   05 T02
    07/28/2010    EDN 100/AA    066290      J1  A SECONDARY TEACHER                                  1.00   $     62,603.00    1.00 $     32,712.96   05 T02
    07/28/2010    EDN 100/AA    066385      J1  A SECONDARY TEACHER                                  1.00   $     54,528.00    1.00 $     43,157.04   05 T02
    07/28/2010    EDN 100/AA    066463      J1  A ELEM TEACHER                                       1.00   $     43,157.00    1.00 $     46,608.96   05 T03
    07/28/2010    EDN 100/AA    066520      J1  A ELEM TEACHER                                       1.00   $     46,609.00    1.00 $     43,157.04   05 T02
    07/28/2010    EDN 100/AA    066706      T1  A SECONDARY TEACHER                                  1.00   $     66,790.00    1.00 $     66,790.08   05 T07
    07/28/2010    EDN 100/AA    066723      J1  A SECONDARY TEACHER                                  1.00   $     46,609.00    1.00 $     32,712.96   05 T02
    07/28/2010    EDN 100/AA    066807      J1  A SECONDARY TEACHER                                  1.00   $     49,448.00    1.00 $     49,448.16   05 T03


                                                                         Page 63                                                              2011 Budget Briefing
Department of Education                                                                Table 12
                                                                 Personnel Separations

                                Position  Perm/                                            Budgeted            Budgeted   Actual                     BU    SR 
Separation Date   Prog ID/Org   Number Temp MOF                 Position Title                  FTE               Salary     FTE     Actual Salary  Code Level
    07/28/2010    EDN 100/AA    066865      J1  A SECONDARY TEACHER                                  1.00   $     45,785.00    1.00 $     32,712.96   05 T02
    07/28/2010    EDN 100/AA    066870      J1  A SECONDARY TEACHER                                  1.00   $     63,845.00    1.00 $     37,481.04   05 T03
    07/28/2010    EDN 100/AA    066871      J1  A SECONDARY TEACHER                                  1.00   $     46,609.00    1.00 $     49,448.16   05 T03
    07/28/2010    EDN 100/AA    067020      J1  A SECONDARY TEACHER                                  1.00   $     46,609.00    1.00 $     48,008.16   05 T03
    07/28/2010    EDN 100/AA    067099      J1  A SECONDARY TEACHER                                  1.00   $     49,448.00    1.00 $     49,448.16   05 T03
    07/28/2010    EDN 100/AA    067110      J1  A ELEM TEACHER                                       1.00   $     72,513.00    1.00 $     43,157.04   05 T02
    07/28/2010    EDN 100/AA    067171      J1  A ELEM TEACHER                                       1.00   $     46,609.00    1.00 $     45,785.04   05 T02
    07/28/2010    EDN 100/AA    067395      J1  A SECONDARY TEACHER                                  1.00   $     45,785.00    1.00 $     46,608.96   05 T03
    07/28/2010    EDN 100/AA    067436      J1  A ELEM TEACHER                                       1.00   $     64,482.00    1.00 $     64,482.00   05 T06
    07/28/2010    EDN 100/AA    067514      J1  A SECONDARY TEACHER                                  1.00   $     80,465.00    1.00 $     46,608.96   05 T03
    07/28/2010    EDN 100/AA    067649      J1  A ELEM TEACHER                                       1.00   $     79,170.00    1.00 $     43,157.04   05 T02
    07/28/2010    EDN 100/AA    067692      J1  A SECONDARY TEACHER                                  1.00   $     79,170.00    1.00 $     46,608.96   05 T03
    07/28/2010    EDN 100/AA    067797      J1  A ELEM TEACHER                                       1.00   $     49,448.00    1.00 $     49,448.16   05 T03
    07/28/2010    EDN 100/AA    067910      T1  A ELEM TEACHER                                       1.00   $     43,157.04    1.00 $     43,157.04   05 T02
    07/28/2010    EDN 100/AA    068035      J1  A SECONDARY TEACHER                                  1.00   $     45,785.00    1.00 $     44,024.16   05 T02
    07/28/2010    EDN 100/AA    068037      J1  A ELEM TEACHER                                       1.00   $     49,448.00    1.00 $     49,448.16   05 T03
    07/28/2010    EDN 100/AA    068090      J1  A SECONDARY TEACHER                                  1.00   $     48,008.00    1.00 $     45,785.04   05 T02
    07/28/2010    EDN 100/AA    068143      J1  A SECONDARY TEACHER                                  1.00   $     79,170.00    1.00 $     46,608.96   05 T03
    07/28/2010    EDN 100/AA    068202      J1  A ELEM TEACHER                                       1.00   $     62,550.00    1.00 $     43,157.04   05 T02
    07/28/2010    EDN 100/AA    068236      J1  A SECONDARY TEACHER                                  1.00   $     60,729.00    1.00 $     32,712.96   05 T02
    07/28/2010    EDN 100/AA    068247      J1  A SECONDARY TEACHER                                  1.00   $     68,351.00    1.00 $     32,712.96   05 T02
    07/28/2010    EDN 100/AA    068412      J1  A SECONDARY TEACHER                                  1.00   $     46,609.00    1.00 $     48,008.16   05 T03
    07/28/2010    EDN 100/AA    068449      J1  A SECONDARY TEACHER                                  1.00   $     43,157.00    1.00 $     44,452.08   05 T02
    07/28/2010    EDN 100/AA    068598      J1  A SECONDARY TEACHER                                  1.00   $     47,159.00    1.00 $     47,159.04   05 T02
    07/28/2010    EDN 100/AA    068602      J1  A SECONDARY TEACHER                                  1.00   $     49,448.00    0.50 $     16,356.48   45 T02
    07/28/2010    EDN 100/AA    068630      J1  A SECONDARY TEACHER                                  1.00   $     46,609.00    1.00 $     40,566.96   05 T02
    07/28/2010    EDN 100/AA    068649      J1  A SECONDARY TEACHER                                  1.00   $     44,452.00    1.00 $     44,452.08   05 T02
    07/28/2010    EDN 100/AA    068683      J1  A SECONDARY TEACHER                                  1.00   $     55,087.00    1.00 $     46,608.96   05 T03
    07/28/2010    EDN 100/AA    068807      J1  A SECONDARY TEACHER                                  1.00   $     48,008.00    1.00 $     46,608.96   05 T03
    07/28/2010    EDN 100/AA    068811      J1  A SECONDARY TEACHER                                  1.00   $     45,785.00    1.00 $     43,157.04   05 T02
    07/28/2010    EDN 100/AA    068966      J1  A SECONDARY TEACHER                                  1.00   $     55,087.00    1.00 $     55,086.96   05 T05
    07/28/2010    EDN 100/AA    068982      J1  A SECONDARY TEACHER                                  1.00   $     48,008.00    1.00 $     48,008.16   05 T03
    07/28/2010    EDN 100/AA    069147      J1  A SECONDARY TEACHER                                  1.00   $     46,609.00    1.00 $     40,566.96   05 T02
    07/28/2010    EDN 100/AA    069255      J1  A ELEM TEACHER                                       1.00   $     63,595.00    1.00 $     45,785.04   05 T02
    07/28/2010    EDN 100/AA    069258      T1  A ELEM TEACHER                                       1.00   $     43,157.04    1.00 $     43,157.04   05 T02
    07/28/2010    EDN 100/AA    069327      J1  A SECONDARY TEACHER                                  1.00   $     32,713.00    1.00 $     46,608.96   05 T03


                                                                         Page 64                                                              2011 Budget Briefing
Department of Education                                                                Table 12
                                                                 Personnel Separations

                                Position  Perm/                                            Budgeted            Budgeted   Actual                     BU    SR 
Separation Date   Prog ID/Org   Number Temp MOF                 Position Title                  FTE               Salary     FTE     Actual Salary  Code Level
    07/28/2010    EDN 100/AA    069344      J1  A ELEM TEACHER                                       1.00   $     50,493.00    1.00 $     47,546.16   05 T03
    07/28/2010    EDN 100/AA    069415      J1  A SECONDARY TEACHER                                  1.00   $     48,474.00    1.00 $     55,575.12   05 T07
    07/28/2010    EDN 100/AA    069471      J1  A ELEM TEACHER                                       1.00   $     43,157.00    1.00 $     57,291.12   05 T06
    07/28/2010    EDN 100/AA    069512      J1  A SECONDARY TEACHER                                  0.50   $     24,004.00    1.00 $     48,008.16   05 T03
    07/28/2010    EDN 100/AA    069526      J1  A ELEM TEACHER                                       1.00   $     45,785.00    1.00 $     45,785.04   05 T02
    07/28/2010    EDN 100/AA    069606      J1  A SECONDARY TEACHER                                  1.00   $     70,400.00    1.00 $     32,712.96   05 T02
    07/28/2010    EDN 100/AA    069794      J1  A ELEM TEACHER                                       1.00   $     48,008.00    1.00 $     48,008.16   05 T03
    07/28/2010    EDN 100/AA    071088      J1  A SECONDARY TEACHER                                  1.00   $     49,448.00    1.00 $     32,712.96   05 T02
    07/28/2010    EDN 100/AA    071135      J1  A ELEM TEACHER                                       1.00   $     44,452.00    1.00 $     44,452.08   05 T02
    07/28/2010    EDN 100/AA    071145      J1  A ELEM TEACHER                                       1.00   $     52,968.00    1.00 $     52,968.00   05 T04
    07/28/2010    EDN 100/AA    071494      J1  A SECONDARY TEACHER                                  1.00   $     48,008.00    0.50 $     24,004.08   45 T03
    07/28/2010    EDN 100/AA    071816      J1  A SECONDARY TEACHER                                  1.00   $     44,452.00    1.00 $     44,452.08   05 T02
    07/28/2010    EDN 100/AA    071955      J1  A SECONDARY TEACHER                                  1.00   $     53,483.00    1.00 $     43,157.04   05 T02
    07/28/2010    EDN 100/AA    071977      J1  A SECONDARY TEACHER                                  1.00   $     49,448.00    1.00 $     49,448.16   05 T03
    07/28/2010    EDN 100/AA    072022      J1  A SECONDARY TEACHER                                  1.00   $     41,862.00    1.00 $     46,608.96   05 T03
    07/28/2010    EDN 100/AA    072035      T1  A SECONDARY TEACHER                                  1.00   $     46,608.96    1.00 $     46,608.96   05 T03
    07/28/2010    EDN 100/AA    072087      T1  A 10‐MO STUDENT SVCS COORD                           1.00   $     63,562.00    1.00 $     52,968.00   05 T04
    07/28/2010    EDN 100/AA    072141      J1  A COUNSELOR                                          1.00   $     49,448.00    1.00 $     49,448.16   05 T03
    07/28/2010    EDN 100/AA    072169      J1  A SECONDARY TEACHER                                  1.00   $     49,448.00    1.00 $     48,008.16   05 T03
    07/28/2010    EDN 100/AA    072279      J1  A ELEM TEACHER                                       1.00   $     58,336.00    1.00 $     58,959.12   05 T07
    07/28/2010    EDN 100/AA    072383      J1  A ELEM TEACHER                                       1.00   $     50,743.00    1.00 $     49,448.16   05 T03
    07/28/2010    EDN 100/AA    072600      T1  A SECONDARY TEACHER                                  0.50   $     16,356.48    0.50 $     16,356.48   45 T02
    07/28/2010    EDN 100/AA    072615      J1  A ELEM TEACHER                                       1.00   $     57,291.00    1.00 $     43,157.04   05 T02
    07/28/2010    EDN 100/AA    072705      J1  A ELEM TEACHER                                       1.00   $     49,448.00    1.00 $     49,448.16   05 T03
    07/28/2010    EDN 100/AA    072749      J1  A ELEM TEACHER                                       1.00   $     44,452.00    1.00 $     46,608.96   05 T03
    07/28/2010    EDN 100/AA    073339      J1  A SECONDARY TEACHER                                  1.00   $     51,426.00    1.00 $     48,008.16   05 T03
    07/28/2010    EDN 100/AA    073543      J1  A ELEM TEACHER                                       1.00   $     49,448.00    1.00 $     49,448.16   05 T03
    07/28/2010    EDN 100/AA    073597      J1  A SECONDARY TEACHER                                  1.00   $     40,567.00    1.00 $     32,712.96   05 T02
    07/28/2010    EDN 100/AA    073612      J1  A SECONDARY TEACHER                                  1.00   $     60,254.00    1.00 $     46,608.96   05 T03
    07/28/2010    EDN 100/AA    073708      T1  A COUNSELOR/HIGH RISK                                1.00   $     49,448.16    1.00 $     49,448.16   05 T03
    07/28/2010    EDN 100/AA    073772      J1  A SECONDARY TEACHER                                  1.00   $     32,713.00    1.00 $     46,608.96   05 T03
    07/28/2010    EDN 100/AA    073842      J1  A SECONDARY TEACHER                                  1.00   $     49,448.00    1.00 $     43,157.04   05 T02
    07/28/2010    EDN 100/AA    073869      J1  A SECONDARY TEACHER                                  1.00   $     32,713.00    1.00 $     43,157.04   05 T02
    07/28/2010    EDN 100/AA    073874      J1  A SECONDARY TEACHER                                  1.00   $     79,170.00    1.00 $     46,608.96   05 T03
    07/28/2010    EDN 100/AA    073960      J1  A COUNSELOR                                          1.00   $     51,426.00    1.00 $     51,426.00   05 T04
    07/28/2010    EDN 100/AA    074061      T1  A ELEM TEACHER                                       1.00   $     46,608.96    1.00 $     46,608.96   05 T03


                                                                         Page 65                                                              2011 Budget Briefing
Department of Education                                                                Table 12
                                                                  Personnel Separations

                                Position  Perm/                                             Budgeted            Budgeted   Actual                     BU    SR 
Separation Date   Prog ID/Org   Number Temp MOF                   Position Title                 FTE               Salary     FTE     Actual Salary  Code Level
    07/28/2010    EDN 100/AA    074246      J1  A SECONDARY TEACHER                                   1.00   $     79,170.00    1.00 $     32,712.96   05 T02
    07/28/2010    EDN 100/AA    074277      J1  A SECONDARY TEACHER                                   1.00   $     33,694.00    1.00 $     58,959.12   05 T07
    07/28/2010    EDN 100/AA    074282      J1  A SECONDARY TEACHER                                   1.00   $     37,481.00    1.00 $     49,448.16   05 T03
    07/28/2010    EDN 100/AA    074365      J1  A COUNSELOR                                           1.00   $     62,603.00    1.00 $     62,603.04   05 T06
    07/28/2010    EDN 100/AA    074391      J1  A SECONDARY TEACHER                                   1.00   $     53,483.00    1.00 $     32,712.96   05 T02
    07/28/2010    EDN 100/AA    074452      J1  A SECONDARY TEACHER                                   1.00   $     45,785.00    1.00 $     44,024.16   05 T02
    07/28/2010    EDN 100/AA    074485      T1  A SECONDARY TEACHER                                   1.00   $     47,546.16    1.00 $     47,546.16   05 T03
    07/28/2010    EDN 100/AA    074530      J1  A SECONDARY TEACHER                                   0.50   $     21,579.00    0.50 $     16,356.48   45 T02
    07/28/2010    EDN 100/AA    074987      J1  A COUNSELOR/HIGH RISK                                 1.00   $     48,008.00    1.00 $     43,157.04   05 T02
    07/28/2010    EDN 100/AA    075196      T1  A 10‐MO STUDENT SVCS COORD                            0.50   $     39,815.00    0.50 $     16,356.48   45 T02
    07/28/2010    EDN 100/AA    075545      T1  A ELEM TEACHER                                        1.00   $     43,157.04    1.00 $     43,157.04   05 T02
    07/28/2010    EDN 100/AA    075981      J1  A COUNSELOR                                           1.00   $     61,774.00    1.00 $     46,608.96   05 T03
    07/28/2010    EDN 100/AA    076221      J1  A ELEM TEACHER                                        1.00   $     68,408.00    1.00 $     68,408.16   05 T06
    07/28/2010    EDN 100/AA    076284      J1  A SECONDARY TEACHER                                   1.00   $     49,448.00    1.00 $     46,608.96   05 T03
    07/28/2010    EDN 100/AA    079581      T1  A SECONDARY TEACHER                                   1.00   $     60,729.12    1.00 $     60,729.12   05 T07
    07/28/2010    EDN 100/AA    60238X      J1  A SECONDARY TEACHER                                   1.00   $     43,157.00    1.00 $     46,608.96   05 T03
    07/28/2010    EDN 100/AA    61848X      J1  A SECONDARY TEACHER                                   1.00   $     52,460.00    1.00 $     46,608.96   05 T03
    07/28/2010    EDN 100/AA    62548X      J1  A SECONDARY TEACHER                                   1.00   $     73,558.00    1.00 $     43,157.04   05 T02
    07/28/2010    EDN 100/AA    63312X      T1  A ELEM TEACHER                                        1.00   $     40,566.96    1.00 $     40,566.96   05 T02
    07/28/2010    EDN 100/AA    63473X      T1  A ELEM TEACHER                                        1.00   $     45,785.04    1.00 $     45,785.04   05 T02
    07/28/2010    EDN 100/AA    63542X      J1  A SPEC ED TEACHER                                     1.00   $     43,157.00    1.00 $     32,712.96   05 T02
    07/28/2010    EDN 100/AA    63567X      T1  A ELEM TEACHER                                        1.00   $     43,157.04    1.00 $     43,157.04   05 T02
    07/28/2010    EDN 100/AA    64794X      T1  A ELEM TEACHER                                        0.50   $     26,230.08    0.50 $     26,230.08   45 T03
    07/28/2010    EDN 100/AA    65181X      T1  A SECONDARY TEACHER                                   1.00   $     37,481.04    1.00 $     37,481.04   05 T03
    07/28/2010    EDN 100/AA    66253X      T1  A ELEM TEACHER                                        1.00   $     43,157.04    1.00 $     43,157.04   05 T02
    07/28/2010    EDN 100/AA    67501X      T1  A SECONDARY TEACHER                                   1.00   $     32,712.96    1.00 $     32,712.96   05 T02
    07/28/2010    EDN 100/AA    71028X      T1  A ELEM TEACHER                                        1.00   $     46,608.96    1.00 $     46,608.96   05 T03
    07/28/2010    EDN 100/AA    72150X      T1  A ELEM TEACHER                                        1.00   $     43,157.04    1.00 $     43,157.04   05 T02
    07/28/2010    EDN 100/AA    73199X      T1  A ELEM TEACHER                                        1.00   $     43,157.04    1.00 $     43,157.04   05 T02
    07/28/2010    EDN 100/AA    73807X      T1  A SECONDARY TEACHER                                   1.00   $     32,712.96    1.00 $     32,712.96   05 T02
    07/28/2010    EDN 100/AA    73817X      J1  A SECONDARY TEACHER                                   1.00   $     45,785.00    1.00 $     43,157.04   05 T02
    07/28/2010    EDN 100/AA    74244X      T1  A SECONDARY TEACHER                                   1.00   $     43,157.04    1.00 $     43,157.04   05 T02
    07/28/2010    EDN 100/AA    74818X      T1  A SECONDARY TEACHER                                   1.00   $     32,712.96    1.00 $     32,712.96   05 T02
    07/28/2010    EDN 100/AA    75070X      T1  A ELEM TEACHER                                        1.00   $     43,157.04    1.00 $     43,157.04   05 T02
    07/28/2010    EDN 100/AA    75073X      J1  A COUNSELOR                                           1.00   $     48,008.00    1.00 $     46,608.96   05 T03
    07/28/2010    EDN 100/AA    75551X      T1  A SPEC ED TEACHER                                     1.00   $     46,608.96    1.00 $     46,608.96   05 T03


                                                                           Page 66                                                             2011 Budget Briefing
Department of Education                                                                Table 12
                                                                  Personnel Separations

                                Position  Perm/                                             Budgeted            Budgeted   Actual                     BU    SR 
Separation Date   Prog ID/Org   Number Temp MOF                   Position Title                 FTE               Salary     FTE     Actual Salary  Code Level
    07/28/2010    EDN 100/AA    75664X      T1  A SECONDARY TEACHER                                   1.00   $     46,608.96    1.00 $     46,608.96   05 T03
    07/28/2010    EDN 100/AA    75791X      T1  A SECONDARY TEACHER                                   1.00   $     32,712.96    1.00 $     32,712.96   05 T02
    07/28/2010    EDN 100/AA    75801X      T1  A ELEM TEACHER                                        1.00   $     46,608.96    1.00 $     46,608.96   05 T03
    07/28/2010    EDN 100/AA    76211X      T1  A SECONDARY TEACHER                                   1.00   $     51,426.00    1.00 $     51,426.00   05 T04
    07/28/2010    EDN 100/AA    76218X      T1  A SECONDARY TEACHER                                   1.00   $     46,608.96    1.00 $     46,608.96   05 T03
    07/28/2010    EDN 100/AA    76283X      T1  A ELEM TEACHER                                        1.00   $     46,608.96    1.00 $     46,608.96   05 T03
    07/28/2010    EDN 100/AA    064810      J1  A SECONDARY TEACHER                                   1.00   $     48,008.00    1.00 $     48,008.16   05 T03
    07/28/2010    EDN 100/BB    072648      J1  A SECONDARY TEACHER                                   1.00   $     51,426.00    1.00 $     58,959.12   05 T07
    07/28/2010    EDN 100/BB    075819      J1  A SECONDARY TEACHER                                   1.00   $     48,008.00    1.00 $     48,008.16   05 T03
    07/28/2010    EDN 100/BJ    062806      T1  A SPECIAL SCH TEACHER                                 1.00   $     46,609.00    1.00 $     46,608.96   05 T03
    07/28/2010    EDN 100/BJ    063850      J1  A SPECIAL SCH TEACHER                                 1.00   $     32,713.00    1.00 $     51,426.00   05 T04
    07/28/2010    EDN 100/BJ    064566      T1  A SPEC ED TEACHER                                     1.00   $     32,713.00    1.00 $     32,712.96   05 T02
    07/28/2010    EDN 100/BJ    073081      J1  A COUNSELOR                                           1.00   $     79,170.00    1.00 $     49,448.16   05 T03
    07/28/2010    EDN 100/BJ    073166      J1  A SECONDARY TEACHER                                   1.00   $     68,351.00    1.00 $     32,712.96   05 T02
    07/28/2010    EDN 100/BJ    073176      J1  A SECONDARY TEACHER                                   1.00   $     33,694.00    1.00 $     48,008.16   05 T03
    07/28/2010    EDN 100/BJ    075684      J1  A SPECIAL SCH TEACHER                                 0.50   $     16,847.00    1.00 $     32,712.96   05 T02
    07/28/2010    EDN 100/BV    073042      T1  A ELEM TEACHER                                        1.00   $     57,291.00    1.00 $     46,608.96   05 T03
    07/28/2010    EDN 100/BV    074857      T1  A ELEM TEACHER                                        1.00   $     49,448.00    1.00 $     48,008.16   05 T03
    07/28/2010    EDN 100/BV    074886      T1  A SECONDARY TEACHER                                   1.00   $     49,448.00    1.00 $     32,712.96   05 T02
    07/28/2010    EDN 100/BV    074897      T1  A SECONDARY TEACHER                                   1.00   $     32,713.00    1.00 $     45,785.04   05 T02
    07/28/2010    EDN 100/DB    079146      T1  N STATE OFFICE TEACHER                                1.00   $     46,608.96    1.00 $     46,608.96   05 T03
    07/28/2010    EDN 100/DB    079804      T1  N ELEM TEACHER                                        1.00   $     44,452.08    1.00 $     44,452.08   05 T02
    07/28/2010    EDN 150/FA    037590      J1  A EDUC ASST III                                       1.00   $     33,032.00    1.00 $     31,639.92   03 SR12
    07/28/2010    EDN 150/FA    046939      J1  A EDUC ASST II                                        1.00   $     31,769.00    0.75 $     17,347.50   03 SR10
    07/28/2010    EDN 150/FA    048779      J1  A EDUC ASST III                                       0.75   $     23,827.00    0.75 $     22,822.56   03 SR12
    07/28/2010    EDN 150/FA    051914      J1  A EDUC ASST III                                       0.75   $     22,879.00    0.50 $     12,515.04   03 SR12
    07/28/2010    EDN 150/FA    054832      T1  A EDUC ASST III                                       0.75   $     19,599.00    0.75 $     18,772.56   03 SR12
    07/28/2010    EDN 150/FA    055131      J1  A EDUC ASST III                                       0.75   $     22,879.00    0.75 $     21,915.00   03 SR12
    07/28/2010    EDN 150/FA    055296      J1  A EDUC ASST II                                        0.50   $     13,066.00    0.50 $     11,565.00   03 SR10
    07/28/2010    EDN 150/FA    055429      J1  A EDUC ASST II                                        0.50   $     13,577.00    0.50 $     11,565.00   03 SR10
    07/28/2010    EDN 150/FA    056734      T1  A EDUC ASST III                                       0.75   $     20,366.00    0.75 $     19,507.50   03 SR12
    07/28/2010    EDN 150/FA    056764      T1  A EDUC ASST II                                        1.00   $     26,131.00    1.00 $     23,130.00   03 SR10
    07/28/2010    EDN 150/FA    057102      J1  A EDUC ASST III                                       1.00   $     30,506.00    1.00 $     29,220.00   03 SR12
    07/28/2010    EDN 150/FA    057154      T1  A EDUC ASST II                                        1.00   $     30,506.00    1.00 $     23,130.00   03 SR10
    07/28/2010    EDN 150/FA    057160      T1  A EDUC ASST III                                       1.00   $     26,131.00    1.00 $     25,030.08   03 SR12
    07/28/2010    EDN 150/FA    057499      T1  A EDUC ASST III                                       0.75   $     21,157.00    0.75 $     18,772.56   03 SR12


                                                                           Page 67                                                             2011 Budget Briefing
Department of Education                                                                Table 12
                                                                  Personnel Separations

                                Position  Perm/                                             Budgeted            Budgeted   Actual                     BU    SR 
Separation Date   Prog ID/Org   Number Temp MOF                   Position Title                 FTE               Salary     FTE     Actual Salary  Code Level
    07/28/2010    EDN 150/FA    057508      J1  A EDUC ASST II                                        1.00   $     27,154.00    0.75 $     17,347.50   03 SR10
    07/28/2010    EDN 150/FA    058006      T1  A EDUC ASST III                                       0.75   $     19,599.00    0.75 $     18,772.56   03 SR12
    07/28/2010    EDN 150/FA    058716      J1  A EDUC ASST III                                       1.00   $     28,209.00    1.00 $     27,019.92   03 SR12
    07/28/2010    EDN 150/FA    060121      J1  A SPEC ED TEACHER                                     1.00   $     63,861.00    1.00 $     32,712.96   05 T02
    07/28/2010    EDN 150/FA    060224      J1  A SPEC ED TEACHER                                     1.00   $     49,448.00    1.00 $     32,712.96   05 T02
    07/28/2010    EDN 150/FA    060295      J1  A SPEC ED TEACHER                                     1.00   $     44,452.00    1.00 $     44,452.08   05 T02
    07/28/2010    EDN 150/FA    060342      J1  A SPEC ED TEACHER                                     1.00   $     44,452.00    1.00 $     44,452.08   05 T02
    07/28/2010    EDN 150/FA    060660      J1  A SPEC ED TEACHER                                     1.00   $     43,157.00    1.00 $     32,712.96   05 T02
    07/28/2010    EDN 150/FA    060705      J1  A SPEC ED TEACHER                                     1.00   $     32,713.00    1.00 $     32,712.96   05 T02
    07/28/2010    EDN 150/FA    060897      J1  A SPEC ED TEACHER                                     1.00   $     50,493.00    1.00 $     40,566.96   05 T02
    07/28/2010    EDN 150/FA    060991      J1  A SPEC ED TEACHER                                     1.00   $     79,170.00    1.00 $     43,157.04   05 T02
    07/28/2010    EDN 150/FA    061033      J1  A SPEC ED TEACHER                                     1.00   $     43,157.00    1.00 $     32,712.96   05 T02
    07/28/2010    EDN 150/FA    061151      J1  A SPEC ED TCHR/PRE‐SCHOOL                             1.00   $     63,297.00    1.00 $     32,712.96   05 T02
    07/28/2010    EDN 150/FA    061377      J1  A SPEC ED TEACHER                                     1.00   $     70,461.00    1.00 $     43,157.04   05 T02
    07/28/2010    EDN 150/FA    061539      J1  A SPEC ED TEACHER                                     1.00   $     59,043.00    1.00 $     43,157.04   05 T02
    07/28/2010    EDN 150/FA    061671      J1  A GEN EDUC/ARTICLE VI TCHR                            1.00   $     45,785.00    1.00 $     46,608.96   05 T03
    07/28/2010    EDN 150/FA    061871      J1  A SPEC ED TEACHER                                     1.00   $     33,694.00    1.00 $     48,008.16   05 T03
    07/28/2010    EDN 150/FA    061876      J1  A SPEC ED TEACHER                                     1.00   $     43,157.00    1.00 $     48,008.16   05 T03
    07/28/2010    EDN 150/FA    062041      J1  A SPEC ED TEACHER                                     1.00   $     43,157.04    1.00 $     43,157.04   05 T02
    07/28/2010    EDN 150/FA    062092      J1  A SPEC ED TEACHER                                     1.00   $     43,157.00    1.00 $     49,448.16   05 T03
    07/28/2010    EDN 150/FA    062235      T1  A SPEC ED TEACHER                                     1.00   $     43,157.04    1.00 $     43,157.04   05 T02
    07/28/2010    EDN 150/FA    062236      J1  A GEN EDUC/ARTICLE VI TCHR                            1.00   $     45,785.00    1.00 $     45,785.04   05 T02
    07/28/2010    EDN 150/FA    062476      J1  A SPEC ED TEACHER                                     1.00   $     49,448.00    1.00 $     32,712.96   05 T02
    07/28/2010    EDN 150/FA    062667      J1  A SPEC ED TEACHER                                     1.00   $     40,567.00    1.00 $     43,157.04   05 T02
    07/28/2010    EDN 150/FA    062668      J1  A GEN EDUC/ARTICLE VI TCHR                            1.00   $     43,157.00    1.00 $     43,157.04   05 T02
    07/28/2010    EDN 150/FA    062970      J1  A SPEC ED TEACHER                                     1.00   $     43,157.00    1.00 $     32,712.96   05 T02
    07/28/2010    EDN 150/FA    063000      J1  A SPEC ED TEACHER                                     1.00   $     44,452.00    1.00 $     48,008.16   05 T03
    07/28/2010    EDN 150/FA    063041      J1  A GEN EDUC/ARTICLE VI TCHR                            1.00   $     53,460.00    1.00 $     43,157.04   05 T02
    07/28/2010    EDN 150/FA    063187      T1  A SPEC ED TEACHER                                     1.00   $     33,694.00    1.00 $     49,448.16   05 T03
    07/28/2010    EDN 150/FA    063434      T1  A SPEC ED TEACHER                                     1.00   $     48,008.00    1.00 $     48,008.16   05 T03
    07/28/2010    EDN 150/FA    063549      T1  A SPEC ED TCHR/PRE‐SCHOOL                             1.00   $     45,785.00    1.00 $     45,785.04   05 T02
    07/28/2010    EDN 150/FA    063599      J1  A SPEC ED TEACHER                                     1.00   $     46,830.00    1.00 $     32,712.96   05 T02
    07/28/2010    EDN 150/FA    063640      T1  A SPEC ED TEACHER                                     1.00   $     32,713.00    1.00 $     32,712.96   05 T02
    07/28/2010    EDN 150/FA    063733      T1  A SPEC ED TEACHER                                     1.00   $     43,157.00    1.00 $     46,608.96   05 T03
    07/28/2010    EDN 150/FA    063986      J1  A SPEC ED TEACHER                                     1.00   $     40,567.00    1.00 $     46,608.96   05 T03
    07/28/2010    EDN 150/FA    064165      J1  A GEN EDUC/ARTICLE VI TCHR                            1.00   $     71,445.00    1.00 $     46,608.96   05 T03


                                                                           Page 68                                                             2011 Budget Briefing
Department of Education                                                                Table 12
                                                                  Personnel Separations

                                Position  Perm/                                             Budgeted            Budgeted   Actual                     BU    SR 
Separation Date   Prog ID/Org   Number Temp MOF                   Position Title                 FTE               Salary     FTE     Actual Salary  Code Level
    07/28/2010    EDN 150/FA    064329      J1  A SPEC ED TEACHER                                     1.00   $     32,713.00    1.00 $     46,608.96   05 T03
    07/28/2010    EDN 150/FA    064442      J1  A SPEC ED TCHR/PRE‐SCHOOL                             1.00   $     48,008.00    1.00 $     43,157.04   05 T02
    07/28/2010    EDN 150/FA    064659      J1  A SPEC ED TEACHER                                     1.00   $     49,448.00    1.00 $     32,712.96   05 T02
    07/28/2010    EDN 150/FA    064862      J1  A SPEC ED TEACHER                                     1.00   $     45,785.00    1.00 $     45,785.04   05 T02
    07/28/2010    EDN 150/FA    064954      T1  A SPEC ED TEACHER                                     1.00   $     48,008.00    1.00 $     43,157.04   05 T02
    07/28/2010    EDN 150/FA    065073      J1  A SPEC ED TEACHER                                     1.00   $     46,609.00    1.00 $     43,157.04   05 T02
    07/28/2010    EDN 150/FA    065091      J1  A SPEC ED TCHR/PRE‐SCHOOL                             1.00   $     43,157.00    1.00 $     43,157.04   05 T02
    07/28/2010    EDN 150/FA    065137      J1  A SPEC ED TEACHER                                     1.00   $     43,157.00    1.00 $     48,008.16   05 T03
    07/28/2010    EDN 150/FA    065160      J1  A SPEC ED TEACHER                                     1.00   $     55,654.00    1.00 $     43,157.04   05 T02
    07/28/2010    EDN 150/FA    065324      T1  A SPEC ED TEACHER                                     1.00   $     32,713.00    1.00 $     45,785.04   05 T02
    07/28/2010    EDN 150/FA    066236      J1  A SPEC ED TEACHER                                     1.00   $     49,448.00    1.00 $     44,452.08   05 T02
    07/28/2010    EDN 150/FA    066274      J1  A SPEC ED TEACHER                                     1.00   $     33,694.08    1.00 $     33,694.08   05 T02
    07/28/2010    EDN 150/FA    066430      J1  A GEN EDUC/ARTICLE VI TCHR                            1.00   $     45,785.00    1.00 $     43,157.04   05 T02
    07/28/2010    EDN 150/FA    066490      J1  A GEN EDUC/ARTICLE VI TCHR                            1.00   $     32,713.00    1.00 $     46,608.96   05 T03
    07/28/2010    EDN 150/FA    066779      J1  A GEN EDUC/ARTICLE VI TCHR                            1.00   $     49,448.00    1.00 $     46,608.96   05 T03
    07/28/2010    EDN 150/FA    066959      T1  A SPEC ED TEACHER                                     1.00   $     49,448.00    1.00 $     32,712.96   05 T02
    07/28/2010    EDN 150/FA    067121      T1  A SPEC ED TEACHER                                     1.00   $     32,713.00    1.00 $     46,608.96   05 T03
    07/28/2010    EDN 150/FA    067122      J1  A SPEC ED TEACHER                                     1.00   $     53,483.00    1.00 $     46,608.96   05 T03
    07/28/2010    EDN 150/FA    067202      J1  A SPEC ED TEACHER                                     1.00   $     58,959.00    1.00 $     32,712.96   05 T02
    07/28/2010    EDN 150/FA    067247      J1  A GEN EDUC/ARTICLE VI TCHR                            1.00   $     46,830.00    1.00 $     43,157.04   05 T02
    07/28/2010    EDN 150/FA    067250      T1  A SPEC ED TEACHER                                     1.00   $     33,694.00    1.00 $     43,157.04   05 T02
    07/28/2010    EDN 150/FA    067292      J1  A GEN EDUC/ARTICLE VI TCHR                            1.00   $     53,483.00    1.00 $     32,712.96   05 T02
    07/28/2010    EDN 150/FA    067383      J1  A SPEC ED TEACHER                                     1.00   $     52,460.00    1.00 $     46,608.96   05 T03
    07/28/2010    EDN 150/FA    067418      J1  A SPEC ED TEACHER                                     1.00   $     52,721.00    1.00 $     46,608.96   05 T03
    07/28/2010    EDN 150/FA    067496      J1  A SPEC ED TEACHER                                     1.00   $     51,426.00    1.00 $     32,712.96   05 T02
    07/28/2010    EDN 150/FA    067500      T1  A SPEC ED TEACHER                                     1.00   $     48,008.16    1.00 $     48,008.16   05 T03
    07/28/2010    EDN 150/FA    067550      T1  A SPEC ED TEACHER                                     1.00   $     43,157.04    1.00 $     43,157.04   05 T02
    07/28/2010    EDN 150/FA    067620      J1  A SPEC ED TEACHER                                     1.00   $     56,917.00    1.00 $     44,452.08   05 T02
    07/28/2010    EDN 150/FA    067662      J1  A SPEC ED TEACHER                                     1.00   $     32,713.00    1.00 $     43,157.04   05 T02
    07/28/2010    EDN 150/FA    067915      J1  A SPEC ED TEACHER                                     1.00   $     66,397.00    1.00 $     33,694.08   05 T02
    07/28/2010    EDN 150/FA    067925      J1  A GEN EDUC/ARTICLE VI TCHR                            1.00   $     41,862.00    1.00 $     46,608.96   05 T03
    07/28/2010    EDN 150/FA    068051      T1  A SPEC ED TEACHER                                     1.00   $     46,608.96    1.00 $     46,608.96   05 T03
    07/28/2010    EDN 150/FA    068214      J1  A SPEC ED TEACHER                                     1.00   $     56,740.00    1.00 $     33,694.08   05 T02
    07/28/2010    EDN 150/FA    068228      T1  A SPEC ED TEACHER                                     1.00   $     32,712.96    1.00 $     32,712.96   05 T02
    07/28/2010    EDN 150/FA    068240      T1  A SPEC ED TEACHER                                     1.00   $     43,157.00    1.00 $     32,712.96   05 T02
    07/28/2010    EDN 150/FA    068455      J1  A GEN EDUC/ARTICLE VI TCHR                            1.00   $     41,862.00    1.00 $     46,608.96   05 T03


                                                                           Page 69                                                             2011 Budget Briefing
Department of Education                                                                Table 12
                                                                  Personnel Separations

                                Position  Perm/                                             Budgeted            Budgeted   Actual                     BU    SR 
Separation Date   Prog ID/Org   Number Temp MOF                   Position Title                 FTE               Salary     FTE     Actual Salary  Code Level
    07/28/2010    EDN 150/FA    068473      J1  A SPEC ED TEACHER                                     1.00   $     33,694.00    1.00 $     46,608.96   05 T03
    07/28/2010    EDN 150/FA    068517      T1  A GEN EDUC/ARTICLE VI TCHR                            1.00   $     48,008.00    1.00 $     48,008.16   05 T03
    07/28/2010    EDN 150/FA    068681      T1  A SPEC ED TEACHER                                     1.00   $     32,713.00    1.00 $     40,566.96   05 T02
    07/28/2010    EDN 150/FA    068739      T1  A GEN EDUC/ARTICLE VI TCHR                            1.00   $     46,609.00    1.00 $     46,608.96   05 T03
    07/28/2010    EDN 150/FA    068781      J1  A SPEC ED TEACHER                                     1.00   $     51,426.00    1.00 $     32,712.96   05 T02
    07/28/2010    EDN 150/FA    068945      T1  A SPEC ED TCHR/PRE‐SCHOOL                             1.00   $     43,157.00    1.00 $     32,712.96   05 T02
    07/28/2010    EDN 150/FA    068946      J1  A SPEC ED TEACHER                                     1.00   $     48,008.16    1.00 $     48,008.16   05 T03
    07/28/2010    EDN 150/FA    069097      J1  A SPEC ED TCHR/PRE‐SCHOOL                             1.00   $     55,087.00    1.00 $     32,712.96   05 T02
    07/28/2010    EDN 150/FA    069243      J1  A SPEC ED TEACHER                                     1.00   $     32,713.00    1.00 $     46,608.96   05 T03
    07/28/2010    EDN 150/FA    069274      T1  A SPEC ED TEACHER                                     1.00   $     44,452.00    1.00 $     46,608.96   05 T03
    07/28/2010    EDN 150/FA    069868      J1  A SPEC ED TEACHER                                     1.00   $     48,008.00    1.00 $     43,157.04   05 T02
    07/28/2010    EDN 150/FA    069946      J1  A SPEC ED TEACHER                                     1.00   $     44,452.00    1.00 $     44,452.08   05 T02
    07/28/2010    EDN 150/FA    071014      J1  A SPEC ED TEACHER                                     1.00   $     48,008.00    1.00 $     43,157.04   05 T02
    07/28/2010    EDN 150/FA    071035      J1  A SPEC ED TEACHER                                     1.00   $     48,008.00    1.00 $     32,712.96   05 T02
    07/28/2010    EDN 150/FA    071140      J1  A SPEC ED TCHR/PRE‐SCHOOL                             1.00   $     43,157.00    0.50 $     21,578.52   45 T02
    07/28/2010    EDN 150/FA    071151      T1  A SPEC ED TEACHER                                     1.00   $     58,959.00    1.00 $     43,157.04   05 T02
    07/28/2010    EDN 150/FA    071266      J1  A SPEC ED TEACHER                                     1.00   $     32,712.96    1.00 $     32,712.96   05 T02
    07/28/2010    EDN 150/FA    071270      J1  A SPEC ED TEACHER                                     1.00   $     48,008.16    1.00 $     48,008.16   05 T03
    07/28/2010    EDN 150/FA    071329      J1  A SPEC ED TEACHER                                     1.00   $     49,448.00    1.00 $     43,157.04   05 T02
    07/28/2010    EDN 150/FA    071707      J1  A SPEC ED TCHR/PRE‐SCHOOL                             1.00   $     45,785.00    1.00 $     46,608.96   05 T03
    07/28/2010    EDN 150/FA    071717      J1  A SPEC ED TEACHER                                     1.00   $     49,448.00    1.00 $     49,448.16   05 T03
    07/28/2010    EDN 150/FA    071745      T1  A SPEC ED TEACHER                                     1.00   $     32,712.96    1.00 $     32,712.96   05 T02
    07/28/2010    EDN 150/FA    071901      J1  A SPEC ED TEACHER                                     1.00   $     43,157.00    1.00 $     43,157.04   05 T02
    07/28/2010    EDN 150/FA    071906      J1  A SPEC ED TEACHER                                     1.00   $     59,043.00    1.00 $     43,157.04   05 T02
    07/28/2010    EDN 150/FA    071921      J1  A GEN EDUC/ARTICLE VI TCHR                            1.00   $     52,460.00    1.00 $     49,448.16   05 T03
    07/28/2010    EDN 150/FA    071982      J1  A SPEC ED TEACHER                                     1.00   $     44,452.00    1.00 $     44,452.08   05 T02
    07/28/2010    EDN 150/FA    072177      J1  A SPEC ED TCHR/PRE‐SCHOOL                             1.00   $     33,694.00    1.00 $     48,008.16   05 T03
    07/28/2010    EDN 150/FA    072203      T1  A SPEC ED TEACHER                                     1.00   $     44,452.00    1.00 $     43,157.04   05 T02
    07/28/2010    EDN 150/FA    072482      T1  A SPEC ED TEACHER                                     1.00   $     32,713.00    1.00 $     43,157.04   05 T02
    07/28/2010    EDN 150/FA    072483      J1  A SPEC ED TEACHER                                     1.00   $     45,785.00    1.00 $     32,712.96   05 T02
    07/28/2010    EDN 150/FA    072542      J1  A SPEC ED TEACHER                                     1.00   $     50,931.00    1.00 $     48,972.96   05 T03
    07/28/2010    EDN 150/FA    072554      J1  A GEN EDUC/ARTICLE VI TCHR                            1.00   $     52,460.00    1.00 $     50,442.00   05 T03
    07/28/2010    EDN 150/FA    072762      J1  A SPEC ED TEACHER                                     1.00   $     43,157.00    1.00 $     46,608.96   05 T03
    07/28/2010    EDN 150/FA    072765      J1  A SPEC ED TEACHER                                     1.00   $     56,667.00    1.00 $     45,785.04   05 T02
    07/28/2010    EDN 150/FA    072767      J1  A SPEC ED TEACHER                                     1.00   $     45,785.00    1.00 $     46,608.96   05 T03
    07/28/2010    EDN 150/FA    072784      J1  A SPEC ED TEACHER                                     1.00   $     44,452.00    1.00 $     44,452.08   05 T02


                                                                           Page 70                                                             2011 Budget Briefing
Department of Education                                                                Table 12
                                                                  Personnel Separations

                                Position  Perm/                                             Budgeted            Budgeted   Actual                     BU    SR 
Separation Date   Prog ID/Org   Number Temp MOF                   Position Title                 FTE               Salary     FTE     Actual Salary  Code Level
    07/28/2010    EDN 150/FA    072786      J1  A SPEC ED TEACHER                                     1.00   $     56,195.00    1.00 $     43,157.04   05 T02
    07/28/2010    EDN 150/FA    073308      J1  A SPEC ED TEACHER                                     1.00   $     49,448.00    1.00 $     46,608.96   05 T03
    07/28/2010    EDN 150/FA    073344      J1  A SPEC ED TEACHER                                     1.00   $     44,452.00    1.00 $     48,008.16   05 T03
    07/28/2010    EDN 150/FA    073477      J1  A SPEC ED TEACHER                                     1.00   $     48,008.00    1.00 $     49,448.16   05 T03
    07/28/2010    EDN 150/FA    073507      J1  A SPEC ED TEACHER                                     1.00   $     40,567.00    1.00 $     46,608.96   05 T03
    07/28/2010    EDN 150/FA    073508      J1  A SPEC ED TEACHER                                     1.00   $     46,609.00    1.00 $     46,608.96   05 T03
    07/28/2010    EDN 150/FA    073673      T1  A SPEC ED TEACHER                                     1.00   $     44,452.08    1.00 $     44,452.08   05 T02
    07/28/2010    EDN 150/FA    073727      T1  A SPEC ED TEACHER                                     0.50   $     27,543.00    1.00 $     32,712.96   05 T02
    07/28/2010    EDN 150/FA    073819      J1  A SPEC ED TEACHER                                     1.00   $     43,157.00    1.00 $     44,452.08   05 T02
    07/28/2010    EDN 150/FA    073837      J1  A SPEC ED TEACHER                                     1.00   $     60,088.00    1.00 $     43,157.04   05 T02
    07/28/2010    EDN 150/FA    073839      J1  A SPEC ED TEACHER                                     1.00   $     45,785.00    1.00 $     43,157.04   05 T02
    07/28/2010    EDN 150/FA    073915      J1  A SPEC ED TEACHER                                     1.00   $     59,617.00    1.00 $     44,452.08   05 T02
    07/28/2010    EDN 150/FA    073933      T1  A SPEC ED TCHR/PRE‐SCHOOL                             1.00   $     53,483.04    1.00 $     53,483.04   05 T05
    07/28/2010    EDN 150/FA    073937      J1  A SPEC ED TEACHER                                     1.00   $     58,959.00    1.00 $     48,008.16   05 T03
    07/28/2010    EDN 150/FA    073938      J1  A SPEC ED TEACHER                                     1.00   $     44,452.00    1.00 $     43,157.04   05 T02
    07/28/2010    EDN 150/FA    074041      T1  A GEN EDUC/ARTICLE VI TCHR                            1.00   $     51,426.00    1.00 $     45,785.04   05 T02
    07/28/2010    EDN 150/FA    074077      J1  A SPEC ED TEACHER                                     1.00   $     48,008.16    1.00 $     48,008.16   05 T03
    07/28/2010    EDN 150/FA    074101      J1  A SPEC ED TEACHER                                     1.00   $     45,785.00    1.00 $     45,785.04   05 T02
    07/28/2010    EDN 150/FA    074146      T1  A SPEC ED TEACHER                                     1.00   $     50,743.00    1.00 $     48,008.16   05 T03
    07/28/2010    EDN 150/FA    074174      J1  A SPEC ED TEACHER                                     1.00   $     43,157.04    1.00 $     43,157.04   05 T02
    07/28/2010    EDN 150/FA    074327      J1  A SPEC ED TEACHER                                     1.00   $     43,157.00    1.00 $     46,608.96   05 T03
    07/28/2010    EDN 150/FA    074328      J1  A SPEC ED TEACHER                                     1.00   $     43,157.00    1.00 $     43,157.04   05 T02
    07/28/2010    EDN 150/FA    074332      J1  A SPEC ED TEACHER                                     1.00   $     49,448.00    1.00 $     43,157.04   05 T02
    07/28/2010    EDN 150/FA    074334      J1  A SPEC ED TEACHER                                     1.00   $     45,785.00    1.00 $     46,608.96   05 T03
    07/28/2010    EDN 150/FA    074335      J1  A SPEC ED TEACHER                                     1.00   $     32,713.00    1.00 $     46,608.96   05 T03
    07/28/2010    EDN 150/FA    074422      J1  A SPEC ED TEACHER                                     1.00   $     45,785.00    1.00 $     45,785.04   05 T02
    07/28/2010    EDN 150/FA    074432      J1  A SPEC ED TEACHER                                     1.00   $     43,157.04    1.00 $     43,157.04   05 T02
    07/28/2010    EDN 150/FA    074658      J1  A SPEC ED TEACHER                                     1.00   $     60,254.00    1.00 $     33,694.08   05 T02
    07/28/2010    EDN 150/FA    074665      T1  A SPEC ED TEACHER                                     1.00   $     32,713.00    1.00 $     46,608.96   05 T03
    07/28/2010    EDN 150/FA    074843      J1  A GEN EDUC/ARTICLE VI TCHR                            1.00   $     44,452.00    1.00 $     44,452.08   05 T02
    07/28/2010    EDN 150/FA    075453      T1  A SPEC ED TEACHER                                     1.00   $     49,448.00    1.00 $     43,157.04   05 T02
    07/28/2010    EDN 150/FA    075456      T1  A GEN EDUC/ARTICLE VI TCHR                            1.00   $     48,008.00    1.00 $     51,426.00   05 T04
    07/28/2010    EDN 150/FA    075513      T1  A SPEC ED TCHR/PRE‐SCHOOL                             1.00   $     32,713.00    1.00 $     43,157.04   05 T02
    07/28/2010    EDN 150/FA    075515      T1  A SPEC ED TCHR/PRE‐SCHOOL                             1.00   $     43,157.00    1.00 $     43,157.04   05 T02
    07/28/2010    EDN 150/FA    075517      T1  A SPEC ED TEACHER                                     1.00   $     45,785.00    1.00 $     45,785.04   05 T02
    07/28/2010    EDN 150/FA    075543      T1  A GEN EDUC/ARTICLE VI TCHR                            1.00   $     57,243.00    1.00 $     40,566.96   05 T02


                                                                           Page 71                                                             2011 Budget Briefing
Department of Education                                                                Table 12
                                                                  Personnel Separations

                                Position  Perm/                                             Budgeted            Budgeted   Actual                     BU    SR 
Separation Date   Prog ID/Org   Number Temp MOF                   Position Title                  FTE              Salary     FTE     Actual Salary  Code Level
    07/28/2010    EDN 150/FA    075582      T1  A SPEC ED TCHR/PRE‐SCHOOL                             1.00   $     43,157.00    1.00 $     46,608.96   05 T03
    07/28/2010    EDN 150/FA    075626      T1  A GEN EDUC/ARTICLE VI TCHR                            1.00   $     48,008.00    1.00 $     44,452.08   05 T02
    07/28/2010    EDN 150/FA    075661      T1  A SPEC ED TEACHER                                     1.00   $     43,157.00    1.00 $     43,157.04   05 T02
    07/28/2010    EDN 150/FA    075692      T1  A GEN EDUC/ARTICLE VI TCHR                            1.00   $     49,448.00    1.00 $     43,157.04   05 T02
    07/28/2010    EDN 150/FA    075694      T1  A SPEC ED TEACHER                                     1.00   $     32,713.00    1.00 $     32,712.96   05 T02
    07/28/2010    EDN 150/FA    075725      J1  A SPEC ED TEACHER                                     1.00   $     46,608.96    1.00 $     46,608.96   05 T03
    07/28/2010    EDN 150/FA    075848      T1  A SPEC ED TEACHER                                     1.00   $     43,157.00    1.00 $     43,157.04   05 T02
    07/28/2010    EDN 150/FA    075858      J1  A SPEC ED TEACHER                                     1.00   $     48,008.00    1.00 $     48,008.16   05 T03
    07/28/2010    EDN 150/FA    075907      J1  A GEN EDUC/ARTICLE VI TCHR                            1.00   $     49,448.00    1.00 $     46,608.96   05 T03
    07/28/2010    EDN 150/FA    075985      J1  A GEN EDUC/ARTICLE VI TCHR                            1.00   $     49,448.00    1.00 $     49,448.16   05 T03
    07/28/2010    EDN 150/FA    075989      J1  A GEN EDUC/ARTICLE VI TCHR                            1.00   $     51,426.00    1.00 $     46,608.96   05 T03
    07/28/2010    EDN 150/FA    076013      J1  A SPEC ED TEACHER                                     1.00   $     48,008.00    1.00 $     46,608.96   05 T03
    07/28/2010    EDN 150/FA    076021      J1  A SPEC ED TEACHER                                     1.00   $     48,008.16    1.00 $     48,008.16   05 T03
    07/28/2010    EDN 150/FA    076024      T1  A SPEC ED TEACHER                                     1.00   $     43,157.00    1.00 $     32,712.96   05 T02
    07/28/2010    EDN 150/FA    076073      J1  A SPEC ED TEACHER                                     1.00   $     32,713.00    1.00 $     32,712.96   05 T02
    07/28/2010    EDN 150/FA    076077      J1  A SPEC ED TCHR/PRE‐SCHOOL                             1.00   $     60,729.00    1.00 $     43,157.04   05 T02
    07/28/2010    EDN 150/FA    076147      J1  A GEN EDUC/ARTICLE VI TCHR                            1.00   $     48,008.00    1.00 $     48,008.16   05 T03
    07/28/2010    EDN 150/FA    076152      J1  A GEN EDUC/ARTICLE VI TCHR                            1.00   $     33,694.00    1.00 $     57,243.12   05 T07
    07/28/2010    EDN 150/FA    076170      J1  A SPEC ED TEACHER                                     1.00   $     43,157.00    1.00 $     46,608.96   05 T03
    07/28/2010    EDN 150/FA    076321      J1  A SPEC ED TCHR/PRE‐SCHOOL                             1.00   $     60,729.00    1.00 $     60,729.12   05 T07
    07/28/2010    EDN 150/FA    076331      J1  A SPEC ED TEACHER                                     1.00   $     45,785.00    1.00 $     45,785.04   05 T02
    07/28/2010    EDN 150/FA    076343      J1  A SPEC ED TEACHER                                     1.00   $     58,959.00    1.00 $     56,691.12   05 T07
    07/28/2010    EDN 150/FA    800152      T1  A EDUC ASST III                                       0.75   $     19,599.00    0.75 $     18,772.56   03 SR12
    07/28/2010    EDN 150/FA    800603      T1  A EDUC ASST III                                       1.00   $     26,131.00    1.00 $     26,010.00   03 SR12
    07/28/2010    EDN 150/FA    801475      J1  A EDUC ASST II                                        0.50   $     11,565.00    0.50 $     11,565.00   03 SR10
    07/28/2010    EDN 150/FA    75781X      J1  A GEN EDUC/ARTICLE VI TCHR                            1.00   $     48,008.00    1.00 $     40,566.96   05 T02
    07/28/2010    EDN 150/FB    060071      J1  A SPECIAL SCH TEACHER                                 1.00   $     51,426.00    1.00 $     58,959.12   05 T07
    07/28/2010    EDN 150/FB    060232      J1  A SPECIAL SCH TEACHER                                 1.00   $     48,008.00    1.00 $     48,008.16   05 T03
    07/28/2010    EDN 150/FB    060267      J1  A SPECIAL SCH TEACHER                                 1.00   $     50,493.00    1.00 $     35,328.96   05 T03
    07/28/2010    EDN 150/FB    72957F      T1  A SPECIAL SCH TEACHER                                 1.00   $     46,609.00    1.00 $     46,608.96   05 T03
    07/28/2010    EDN 150/NB    079376      T1  N DIST OFF TCHR                                       1.00   $     43,157.04    1.00 $     43,157.04   05 T02
    07/28/2010    EDN 150/NB    079690      T1  N DIST OFF TCHR                                       1.00   $     32,712.96    1.00 $     32,712.96   05 T02
    07/28/2010    EDN 150/NB    079872      T1  N DIST OFF TCHR                                       1.00   $     49,448.16    1.00 $     49,448.16   05 T03
    07/28/2010    EDN 150/NB    079879      T1  N DIST OFF TCHR                                      1.00    $     32,712.96    1.00 $     32,712.96   05 T02
    07/28/2010    EDN 150/NB    079957      T1  N DIST OFF TCHR                                      1.00    $     45,785.04    1.00 $     45,785.04   05 T02
    07/28/2010    EDN 150/NB    800175      T1  N EDUC ASST III                                       1.00   $     27,020.00    1.00 $     27,019.92   03 SR12


                                                                           Page 72                                                             2011 Budget Briefing
Department of Education                                                                Table 12
                                                                    Personnel Separations

                                Position  Perm/                                               Budgeted            Budgeted   Actual                     BU    SR 
Separation Date   Prog ID/Org   Number Temp MOF                      Position Title                 FTE              Salary     FTE     Actual Salary  Code Level
    07/28/2010    EDN 150/SA    030495      J1  A COMMUNICATION AIDE                                    0.50   $     14,684.00    0.50 $     14,064.96   03 SR12
    07/28/2010    EDN 150/YC    058648      J1  A BEHAVIORAL SPECIALIST IV                              1.00   $     47,412.00    1.00 $     47,412.00   13 SR22
    07/28/2010    EDN 150/YC    058752      J1  A BEHAVIORAL HLTH SPCLT III                             1.00   $     55,500.00    1.00 $     42,132.00   13 SR20
    07/28/2010    EDN 400/MD    041026      J1  B CAFETERIA HELPER                                      0.50   $     16,614.00    0.50 $     16,614.00   01 BC02
    07/28/2010    EDN 400/MD    056205      J1  B CAFETERIA HELPER                                      0.50   $     16,614.00    0.50 $     16,614.00   01 BC02
    07/29/2010    EDN 100/AA    018131      J1  A SCHOOL CUSTODIAN II                                   1.00   $     36,072.00    1.00 $     33,228.00   01 BC02
    07/29/2010    EDN 100/AA    055138      J1  A EDUC ASST III                                         0.50   $     13,577.00    0.50 $     12,515.04   03 SR12
    07/29/2010    EDN 100/AA    055928      J1  A CLERK III                                             1.00   $     25,668.00    1.00 $     39,480.00   03 SR08
    07/29/2010    EDN 100/AA    066474      J1  A ELEM TEACHER                                          1.00   $     50,743.00    1.00 $     49,448.16   05 T03
    07/29/2010    EDN 100/AA    075191      T1  A 12‐MO STUDENT SVCS COORD                              1.00   $     59,338.00    1.00 $     52,968.00   05 T04
    07/29/2010    EDN 150/FA    042677      J1  A EDUC ASST III                                         0.75   $     21,157.00    0.75 $     18,772.56   03 SR12
    07/29/2010    EDN 150/FA    051914      J1  A EDUC ASST III                                         0.75   $     22,879.00    0.50 $     13,005.00   03 SR12
    07/29/2010    EDN 150/FA    055411      J1  A EDUC ASST II                                          0.50   $     13,577.00    0.50 $     13,509.96   03 SR10
    07/29/2010    EDN 150/YC    058696      T1  A BEHAVIORAL HLTH SPCLT IV                              1.00   $     47,412.00    1.00 $     47,412.00   13 SR22
    07/29/2010    EDN 150/YC    058531      J1  A BEHAVIORAL HLTH SPCLT IV                              1.00   $     51,312.00    1.00 $     51,312.00   13 SR22
    07/29/2010    EDN 150/YG    801198      J1  A BEHAVIORAL HLTH SPCLT IV                              1.00   $     49,332.00    1.00 $     49,332.00   13 SR22
    07/29/2010    EDN 400/MD    032455      T1  N CAFETERIA HELPER                                      0.50   $     16,614.00    0.50 $     16,614.00   01 BC02
    07/30/2010    EDN 100/AA    073719      J1  A VICE PRINCIPAL IV                                     1.00   $     85,640.00    1.00 $     72,040.08   06 E06
    07/30/2010    EDN 100/AA    074644      J1  A VICE PRINCIPAL III                                    1.00   $     77,698.00    1.00 $     72,040.08   06 E05
    07/30/2010    EDN 150/NB    079203      T1  N DIST OFF TCHR                                         1.00   $     46,608.96    1.00 $     46,608.96   05 T03
    07/30/2010    EDN 400/MD    051602      J1  B CAFETERIA HELPER                                      0.50   $     16,614.00    0.50 $     16,614.00   01 BC02
    07/30/2010    EDN 400/MD    057816      J1  B CAFETERIA HELPER                                      0.50   $     16,614.00    0.50 $     16,614.00   01 BC02
    07/31/2010    EDN 100/AA    016565      J1  A SCHOOL CUSTODIAN II                                   1.00   $     33,228.00    1.00 $     33,228.00   01 BC02
    07/31/2010    EDN 100/AA    031106      J1  A SCHOOL CUSTODIAN II                                  1.00    $     33,228.00    1.00 $     33,228.00   01 BC02
    07/31/2010    EDN 100/AA    048420      J1  A CLERK TYPIST II                                       0.50   $     16,212.00    0.50 $     16,212.00   03 SR08
    07/31/2010    EDN 100/AA    056654      J1  A CLERK TYPIST II                                       1.00   $     35,064.00    1.00 $     35,064.00   03 SR08
    07/31/2010    EDN 100/BM    052467      J1  A ATHLETIC HLTH CARE TRAINER                            1.00   $     53,352.00    1.00 $     53,352.00   13 SR22
    07/31/2010    EDN 150/FA    030755      J1  A EDUC ASST III                                         1.00   $     35,705.00    1.00 $     34,200.00   03 SR12
    07/31/2010    EDN 150/FA    056933      J1  A EDUC ASST III                                         1.00   $     30,506.00    1.00 $     29,220.00   03 SR12
    07/31/2010    EDN 150/FA    058943      J1  A EDUC ASST III                                         0.75   $     22,026.00    0.75 $     18,772.56   03 SR12
    07/31/2010    EDN 150/SA    025969      J1  A OCC THERAPIST IV                                      1.00   $     66,576.00    1.00 $     64,920.00   13 SR22
    07/31/2010    EDN 150/YC    058540      T1  A BEHAVIORAL HLTH SPCLT IV                              1.00   $     51,312.00    1.00 $     47,412.00   13 SR22
    07/31/2010    EDN 300/KF    011494      J1  A PRE AUDIT CLERK III                                   1.00   $     52,140.00    1.00 $     51,936.00   03 SR15
    08/01/2010    EDN 100/AA    060201      J1  A ELEM TEACHER                                          1.00   $     74,688.00    1.00 $     70,400.16   05 T07
    08/01/2010    EDN 100/AA    060371      J1  A 12‐MO HS PRIN VIII                                    1.00   $  155,782.00    1.00 $  155,782.08       06 E11
    08/01/2010    EDN 100/AA    060642      J1  A ELEM TEACHER                                          1.00   $     80,465.00    1.00 $     79,170.00   05 T07


                                                                              Page 73                                                            2011 Budget Briefing
Department of Education                                                                Table 12
                                                               Personnel Separations

                            Position  Perm/                                              Budgeted            Budgeted   Actual                     BU    SR 
Separation Date Prog ID/Org Number Temp MOF                    Position Title                 FTE               Salary     FTE     Actual Salary  Code Level
    08/01/2010 EDN 100/AA 062323        J1  A SECONDARY TEACHER                                    1.00   $     79,170.00    1.00 $     79,170.00   05 T07
    08/01/2010 EDN 100/AA 064356        J1  A ELEM TEACHER                                         1.00   $     66,359.00    1.00 $     66,359.04   05 T07
    08/01/2010 EDN 100/AA 064610        J1  A 12‐MO HS PRIN VIII                                   1.00   $  149,353.00    1.00 $  147,353.04       06 E11
    08/01/2010 EDN 100/AA 065364        J1  A ELEM TEACHER                                         1.00   $     62,002.00    1.00 $     62,002.08   05 T05
    08/01/2010 EDN 100/AA 067059        J1  A SECONDARY TEACHER                                    1.00   $     79,170.00    1.00 $     79,170.00   05 T07
    08/01/2010 EDN 100/AA 068885        J1  A ELEM TEACHER                                         1.00   $     79,170.00    1.00 $     79,170.00   05 T07
    08/01/2010 EDN 100/AA 072658        J1  A ELEM TEACHER                                         1.00   $     79,170.00    1.00 $     79,170.00   05 T07
    08/01/2010 EDN 100/AA 073198        J1  A VICE PRINCIPAL IV                                    1.00   $     99,791.00    1.00 $     92,525.04   06 E06
    08/01/2010 EDN 100/AA 073606        J1  A SECONDARY TEACHER                                    1.00   $     74,688.00    1.00 $     74,688.00   05 T07
    08/01/2010 EDN 100/AA 074018        T1  A SECONDARY TEACHER                                    1.00   $     46,608.96    1.00 $     46,608.96   05 T03
    08/01/2010 EDN 100/AA 075208        J1  A 12‐MO STUDENT SVCS COORD                             1.00   $     82,865.00    1.00 $     69,054.00   05 T04
    08/01/2010 EDN 100/AA 076097        J1  A 12‐MO INTER PRIN IV                                  1.00   $  108,527.00    1.00 $  108,527.04       06 E07
    08/01/2010 EDN 100/AA 72977F        T1  A 12‐MO STUDENT SVCS COORD                             1.00   $     95,004.00    1.00 $     79,170.00   05 T07
    08/01/2010 EDN 100/BS 069012        J1  A ROTC INSTRUCTOR                                      1.00   $  106,404.00    1.00 $  109,848.00       55 ROTC
    08/01/2010 EDN 150/FA 062613        J1  A GEN EDUC/ARTICLE VI TCHR                             1.00   $     68,408.00    1.00 $     68,408.16   05 T06
    08/01/2010 EDN 150/FA 071285        J1  A SPEC ED TEACHER                                      1.00   $     49,448.00    1.00 $     49,448.16   05 T03
    08/01/2010 EDN 150/NB 079645        T1  N EDUCATIONAL SPEC II                                  1.00   $  100,367.00    1.00 $  100,367.04       06 E07
    08/01/2010 EDN 150/NB 079809        T1  N 12‐MO DIST OFF TCHR                                  1.00   $     72,513.12    1.00 $     72,513.12   05 T07
    08/03/2010 EDN 100/AA 072206        J1  A ELEM TEACHER                                         1.00   $     58,959.00    1.00 $     58,959.12   05 T07
    08/03/2010 EDN 100/BX 028711        T1  A SCHOOL CUSTODIAN II                                  0.50   $     16,614.00    0.50 $     16,614.00   01 BC02
    08/03/2010 EDN 200/GP 057902        T1  A SECRETARY I                                          1.00   $     33,756.00    1.00 $     33,756.00   03 SR12
    08/04/2010 EDN 100/AA 043993        J1  A EDUC ASST III                                        1.00   $     29,368.00    1.00 $     28,129.92   03 SR12
    08/04/2010 EDN 100/AA 064721        J1  A ELEM TEACHER                                         1.00   $     60,254.00    1.00 $     58,959.12   05 T07
    08/04/2010 EDN 100/AA 068234        J1  A SECONDARY TEACHER                                    1.00   $     61,405.00    1.00 $     61,404.96   05 T04
    08/04/2010 EDN 150/YK 029398        J1  A SCHOOL HEALTH AIDE                                   1.00   $     19,620.00    1.00 $     18,792.96   03 SR09
    08/04/2010 EDN 400/MD 057930        J1  B CAFETERIA HELPER                                     0.50   $     16,614.00    0.50 $     16,614.00   01 BC02
    08/05/2010 EDN 100/AA 016265        J1  A SCHOOL CUSTODIAN II                                  0.50   $     16,614.00    0.50 $     16,614.00   01 BC02
    08/05/2010 EDN 150/FA 053111        J1  A EDUC ASST III                                        1.00   $     27,154.00    1.00 $     26,010.00   03 SR12
    08/05/2010 EDN 150/YC 058469        J1  A BEHAVIORAL HLTH SPCLT IV                             1.00   $     57,708.00    1.00 $     53,352.00   13 SR22
    08/07/2010 EDN 100/BS 073397        T1  A ROTC INSTRUCTOR                                      1.00   $     76,054.00    1.00 $     74,316.00   55 ROTC
    08/07/2010 EDN 100/CB 050395        J1  A PERSONNEL CLERK IV                                   1.00   $     30,036.00    1.00 $     30,036.00   63 SR11
    08/07/2010 EDN 100/DB 079419        T1  N ELEM TEACHER                                         1.00   $     55,086.96    1.00 $     55,086.96   05 T05
    08/07/2010 EDN 150/SA 030419        J1  A SPEECH PATHOLOGIST IV                                1.00   $     69,236.00    1.00 $     45,576.00   13 SR22
    08/11/2010 EDN 100/AA 067629        J1  A ELEM TEACHER                                         1.00   $     48,008.00    1.00 $     43,157.04   05 T02
    08/11/2010 EDN 150/FA 057483        J1  A EDUC ASST III                                        0.50   $     15,253.00    0.50 $     14,610.00   03 SR12
    08/11/2010 EDN 150/FA 800092        T1  A EDUC ASST III                                        1.00   $     30,506.00    1.00 $     25,030.08   03 SR12


                                                                        Page 74                                                             2011 Budget Briefing
Department of Education                                                                Table 12
                                                             Personnel Separations

                            Position  Perm/                                            Budgeted            Budgeted   Actual                     BU    SR 
Separation Date Prog ID/Org Number Temp MOF                   Position Title                 FTE              Salary     FTE     Actual Salary  Code Level
    08/11/2010 EDN 300/KO 045353        J1  A PERSONNEL CLERK V                                  1.00   $     33,756.00    1.00 $     31,212.00   63 SR13
    08/12/2010 EDN 100/AA 016104        J1  A SCHOOL CUSTODIAN II                                1.00   $     33,228.00    1.00 $     33,228.00   01 BC02
    08/12/2010 EDN 150/YC 058514        T1  A BEHAVIORAL HLTH SPCLT IV                           1.00   $     47,412.00    1.00 $     47,412.00   13 SR22
    08/13/2010 EDN 400/MD 059892        T1  N CAFETERIA HELPER                                   0.50   $     16,614.00    0.50 $     16,614.00   01 BC02
    08/14/2010 EDN 100/AA 063817        J1  A SECONDARY TEACHER                                  1.00   $     54,558.00    1.00 $     48,008.16   05 T03
    08/14/2010 EDN 100/AA 600797        T1  A ELEM TEACHER                                       0.50   $     22,892.52    0.50 $     22,892.52   45 T02
    08/14/2010 EDN 100/DB 079509        T1  N DIST OFF TCHR                                      1.00   $     58,959.12    1.00 $     58,959.12   05 T07
    08/14/2010 EDN 150/FA 057059        J1  A EDUC ASST II                                       1.00   $     26,131.00    1.00 $     23,130.00   03 SR10
    08/14/2010 EDN 150/NB 079956        T1  N 12‐MO DIST OFF TCHR                                1.00   $     49,448.16    1.00 $     49,448.16   05 T03
    08/14/2010 EDN 150/SA 034625        J1  A COMMUNICATION AIDE                                 0.75   $     24,774.00    0.75 $     23,729.94   03 SR12
    08/16/2010 EDN 150/FA 800327        J1  A EDUC ASST III                                      1.00   $     29,368.00    1.00 $     28,129.92   03 SR12
    08/17/2010 EDN 150/FA 057207        T1  A EDUC ASST III                                      0.75   $     19,599.00    0.75 $     18,772.56   03 SR12
    08/17/2010 EDN 150/FA 801214        T1  A EDUC ASST III                                      1.00   $     25,030.00    1.00 $     25,030.08   03 SR12
    08/17/2010 EDN 400/OC 016817        J1  A UTILITY WORKER                                     1.00   $     35,700.00    1.00 $     34,164.00   01 BC03
    08/19/2010 EDN 150/FA 071295        J1  A SPEC ED TEACHER                                    1.00   $     49,448.00    1.00 $     32,712.96   05 T02
    08/20/2010 EDN 100/DB 600716        T1  N SECONDARY TEACHER                                  1.00   $     44,452.08    1.00 $     44,452.08   05 T02
    08/20/2010 EDN 150/YK 029462        J1  A SCHOOL HEALTH AIDE                                 1.00   $     22,920.00    1.00 $     21,953.04   03 SR09
    08/20/2010 EDN 300/KD 100026        J1  A PRIVATE SECRETARY II                               1.00   $     46,176.00    1.00 $     60,744.00   63 SR22
    08/20/2010 EDN 400/MD 002089        J1  A SCHOOL FOOD SERVICES MGR III                       1.00   $     52,607.00    1.00 $     45,324.00   02 F206
    08/21/2010 EDN 100/AA 066487        J1  A SECONDARY TEACHER                                  1.00   $     59,010.00    1.00 $     59,010.00   05 T06
    08/21/2010 EDN 150/FA 072568        J1  A SPEC ED TEACHER                                    1.00   $     49,448.00    1.00 $     48,008.16   05 T03
    08/24/2010 EDN 100/AA 004091        J1  A ACCOUNT CLERK III                                  1.00   $     28,836.00    1.00 $     28,836.00   03 SR11
    08/24/2010 EDN 100/AA 801383        T1  A SCHOOL CUSTODIAN II                                0.50   $     16,614.00    0.50 $     16,614.00   01 BC02
    08/24/2010 EDN 150/YC 058078        J1  A HUMAN SVCS PROF IV                                 1.00   $     51,312.00    1.00 $     45,576.00   13 SR22
    08/26/2010 EDN 150/YG 800269        J1  A EDUC ASST II                                       1.00   $     26,131.00    1.00 $     23,130.00   03 SR10
    08/27/2010 EDN 150/YC 058728        J1  A CLINICAL PSYCHOLOGIST VI                           1.00   $     68,160.00    1.00 $     55,500.00   13 SR26
    08/28/2010 EDN 100/AA 058587        J1  A EDUC ASST III                                      1.00   $     29,368.00    1.00 $     28,129.92   03 SR12
    08/28/2010 EDN 150/FA 024757        J1  A EDUC ASST II                                       1.00   $     31,769.00    1.00 $     23,130.00   03 SR10
    08/28/2010 EDN 150/FA 055437        J1  A EDUC ASST II                                       0.75   $     21,157.00    0.75 $     17,347.50   03 SR10
    08/28/2010 EDN 150/FA 800540        J1  A EDUC ASST II                                       0.50   $     13,066.00    0.50 $     11,565.00   03 SR10
    08/28/2010 EDN 150/IC 075089        J1  A COMPLEX AREA TEACHER                               1.00   $     66,359.00    1.00 $     57,291.12   05 T06
    08/31/2010 EDN 100/AA 040558        J1  A SCHOOL CUSTODIAN II                                1.00   $     33,228.00    1.00 $     33,228.00   01 BC02
    09/01/2010 EDN 100/AA 009762        J1  A SCHOOL ADM SERVICES ASST III                       1.00   $     46,176.00    1.00 $     46,176.00   04 SR16
    09/01/2010 EDN 100/AA 016284        J1  A SCHOOL CUSTODIAN III                               1.00   $     35,544.00    1.00 $     35,544.00   01 WS02
    09/01/2010 EDN 100/AA 016632        J1  A SCHOOL CUSTODIAN III                               1.00   $     35,544.00    1.00 $     35,544.00   01 WS02
    09/01/2010 EDN 100/AA 023302        J1  A EDUC ASST III                                      1.00   $     27,154.00    1.00 $     25,030.08   03 SR12


                                                                      Page 75                                                             2011 Budget Briefing
Department of Education                                                                Table 12
                                                                 Personnel Separations

                                Position  Perm/                                            Budgeted            Budgeted   Actual                     BU    SR 
Separation Date   Prog ID/Org   Number Temp MOF                    Position Title               FTE               Salary     FTE     Actual Salary  Code Level
    09/01/2010    EDN 100/AA    033099      J1  A SCHOOL SECURITY ATTENDANT                          1.00   $     26,131.00    1.00 $     25,030.08   03 SR07
    09/01/2010    EDN 100/AA    053269      J1  A EDUC ASST III                                      1.00   $     30,506.00    1.00 $     29,220.00   03 SR12
    09/01/2010    EDN 100/AA    054930      J1  A SCHOOL SECURITY ATTENDANT                          1.00   $     26,700.00    1.00 $     26,700.00   03 SR07
    09/01/2010    EDN 100/AA    060428      J1  A SECONDARY TEACHER                                  1.00   $     79,170.00    1.00 $     79,170.00   05 T07
    09/01/2010    EDN 100/AA    060589      J1  A 12‐MO ELEM PRIN III                                1.00   $  124,714.00    1.00 $  124,714.08       06 E07
    09/01/2010    EDN 100/AA    061418      J1  A ELEM TEACHER                                       1.00   $     62,002.00    1.00 $     62,002.08   05 T05
    09/01/2010    EDN 100/AA    061847      T1  A 12‐MONTH REGISTRAR                                 5.00   $     33,875.04    0.50 $     33,875.04   45 T05
    09/01/2010    EDN 100/AA    062938      J1  A ELEM TEACHER                                       1.00   $     58,959.00    1.00 $     58,959.12   05 T07
    09/01/2010    EDN 100/AA    062957      J1  A LIBRARIAN                                          1.00   $     58,035.00    1.00 $     56,740.08   05 T05
    09/01/2010    EDN 100/AA    064509      J1  A ELEM TEACHER                                       1.00   $     64,427.00    1.00 $     64,427.04   05 T07
    09/01/2010    EDN 100/AA    065791      J1  A 12‐MO HS PRIN VII                                  1.00   $  143,334.00    1.00 $  141,334.08       06 E10
    09/01/2010    EDN 100/AA    073195      J1  A SECONDARY TEACHER                                  1.00   $     49,448.00    1.00 $     49,448.16   05 T03
    09/01/2010    EDN 100/AA    073373      J1  A COUNSELOR                                          1.00   $     49,448.00    1.00 $     49,448.16   05 T03
    09/01/2010    EDN 100/AA    800691      T1  A CLERK TYPIST II                                    0.50   $     13,350.00    0.50 $     13,350.00   03 SR08
    09/01/2010    EDN 150/FA    040669      J1  A EDUC ASST III                                      1.00   $     34,347.00    1.00 $     32,899.92   03 SR12
    09/01/2010    EDN 150/FA    055342      J1  A EDUC ASST III                                      0.50   $     13,577.00    0.50 $     13,005.00   03 SR12
    09/01/2010    EDN 150/FA    056784      T1  A EDUC ASST II                                       0.75   $     22,879.00    0.75 $     17,347.50   03 SR10
    09/01/2010    EDN 150/FA    069734      J1  A SPEC ED TEACHER                                    1.00   $     62,550.00    1.00 $     79,170.00   05 T07
    09/01/2010    EDN 150/FA    800061      J1  A EDUC ASST III                                      1.00   $     28,209.00    1.00 $     27,019.92   03 SR12
    09/01/2010    EDN 200/GN    032182      T1  A BILINGUAL/BICULTURAL S/H ASST                      1.00   $     42,684.00    1.00 $     42,684.00   03 SR11
    09/01/2010    EDN 300/KO    045344      J1  A CLERK TYPIST III                                   1.00   $     36,516.00    1.00 $     36,516.00   63 SR10
    09/01/2010    EDN 300/KO    058235      J1  A PERSONNEL CLERK III                                0.50   $     13,350.00    0.50 $     16,878.00   63 SR09
    09/01/2010    EDN 300/KO    073903      J1  A 12‐MO STATE OFF TCHR                               1.00   $     89,626.00    1.00 $     74,688.00   05 T07
    09/01/2010    EDN 300/UA    010405      J1  A CLERICAL SUPERVISOR I                              1.00   $     42,684.00    1.00 $     30,036.00   04 SR10
    09/02/2010    EDN 150/SA    056179      J1  A SPEECH PATHOLOGIST III                             1.00   $     59,068.00    1.00 $     42,132.00   13 SR20
    09/03/2010    EDN 100/BM    052465      J1  A ATHLETIC HLTH CARE TRAINER                         1.00   $     45,576.00    1.00 $     45,576.00   13 SR22
    09/03/2010    EDN 150/FA    055287      T1  A EDUC ASST III                                      1.00   $     28,209.00    0.50 $     13,509.96   03 SR12
    09/03/2010    EDN 150/FA    066224      J1  A SPEC ED TEACHER                                    1.00   $     45,785.04    1.00 $     45,785.04   05 T02
    09/04/2010    EDN 100/AA    016197      J1  A SCHOOL CUSTODIAN II                                0.50   $     16,614.00    0.50 $     16,614.00   01 BC02
    09/04/2010    EDN 100/AA    069253      J1  A COUNSELOR                                          1.00   $     53,483.00    1.00 $     53,483.04   05 T05
    09/04/2010    EDN 150/FA    052594      J1  A EDUC ASST III                                      0.75   $     20,366.00    0.75 $     18,772.56   03 SR12
    09/04/2010    EDN 150/FA    055404      J1  A EDUC ASST III                                      0.75   $     22,879.00    0.75 $     21,915.00   03 SR12
    09/04/2010    EDN 150/FA    056982      T1  A EDUC ASST III                                      0.50   $     14,104.00    0.50 $     12,515.04   03 SR12
    09/04/2010    EDN 150/FA    074380      J1  A SPEC ED TEACHER                                    1.00   $     49,448.00    1.00 $     45,785.04   05 T02
    09/04/2010    EDN 150/SA    801322      J1  A EDUCATIONAL INTERPRETER I                          1.00   $     60,315.00    1.00 $     30,036.00   03 SR12
    09/04/2010    EDN 150/YG    801520      T1  A EDUC ASST II                                       1.00   $     23,130.00    1.00 $     23,130.00   03 SR10


                                                                          Page 76                                                             2011 Budget Briefing
Department of Education                                                                Table 12
                                                              Personnel Separations

                            Position  Perm/                                             Budgeted            Budgeted   Actual                     BU    SR 
Separation Date Prog ID/Org Number Temp MOF                   Position Title                 FTE               Salary     FTE     Actual Salary  Code Level
    09/04/2010 EDN 400/MD 014668        T1  N CAFETERIA HELPER                                    0.50   $     16,614.00    0.50 $     16,614.00   01 BC02
    09/09/2010 EDN 150/FA 057512        T1  A EDUC ASST III                                       1.00   $     27,154.00    1.00 $     26,010.00   03 SR12
    09/11/2010 EDN 150/FA 056927        T1  A EDUC ASST III                                       1.00   $     27,154.00    1.00 $     25,030.08   03 SR12
    09/11/2010 EDN 150/FA 057603        J1  A EDUC ASST II                                        0.75   $     19,599.00    0.75 $     17,347.50   03 SR10
    09/11/2010 EDN 150/FA 071285        J1  A SPEC ED TEACHER                                     1.00   $     49,448.00    1.00 $     48,008.16   05 T03
    09/11/2010 EDN 300/KF 059641        J1  A PRE AUDIT CLERK II                                  1.00   $     33,756.00    1.00 $     33,756.00   03 SR13
    09/11/2010 EDN 400/MB 019126        T1  N PRGM SPCLT V                                        1.00   $     60,024.00    1.00 $     51,312.00   13 SR24
    09/12/2010 EDN 100/AA 065808        J1  A SECONDARY TEACHER                                   1.00   $     62,550.00    1.00 $     62,550.00   05 T07
    09/14/2010 EDN 150/FA 069010        J1  A GEN EDUC/ARTICLE VI TCHR                            1.00   $     51,426.00    1.00 $     51,426.00   05 T04
    09/15/2010 EDN 150/YC 058093        J1  A SOCIAL WORKER IV                                    1.00   $     49,332.00    1.00 $     49,332.00   13 SR22
    09/16/2010 EDN 100/AA 064209        J1  A ELEM TEACHER                                        1.00   $     45,785.00    1.00 $     46,608.96   05 T03
    09/16/2010 EDN 150/FA 057250        T1  A EDUC ASST III                                       0.75   $     22,026.00    0.75 $     18,772.56   03 SR12
    09/16/2010 EDN 150/FA 057454        J1  A EDUC ASST II                                        0.75   $     20,366.00    0.75 $     18,022.50   03 SR10
    09/18/2010 EDN 100/AA 023580        J1  A SCHOOL ADM SERVICES ASST III                        1.00   $     35,064.00    1.00 $     39,480.00   04 SR16
    09/18/2010 EDN 150/FA 057610        T1  A EDUC ASST III                                       0.75   $     19,599.00    0.75 $     18,772.56   03 SR12
    09/18/2010 EDN 150/FA 068330        J1  A SPEC ED TEACHER                                     1.00   $     72,513.00    1.00 $     72,513.12   05 T07
    09/18/2010 EDN 150/YC 058504        J1  A BEHAVIORAL HLTH SPCLT IV                            1.00   $     47,412.00    1.00 $     49,332.00   13 SR22
    09/18/2010 EDN 300/LJ 800841        J1  A BUSINESS MGMT OFFICER I                             1.00   $     74,381.00    1.00 $     71,760.00   35 EM05
    09/21/2010 EDN 150/FA 073787        J1  A SPEC ED TEACHER                                     1.00   $     43,157.00    1.00 $     62,550.00   05 T07
    09/22/2010 EDN 150/YC 059635        J1  A BEHAVIORAL HLTH SPCLT IV                            1.00   $     49,332.00    1.00 $     49,332.00   13 SR22
    09/24/2010 EDN 300/KO 012321        J1  A PERSONNEL CLERK V                                   1.00   $     33,756.00    1.00 $     36,516.00   63 SR13
    09/25/2010 EDN 100/AA 060915        J1  A ELEM TEACHER                                        1.00   $     79,170.00    1.00 $     60,729.12   05 T07
    09/25/2010 EDN 100/AA 062631        J1  A ELEM TEACHER                                        1.00   $     51,426.00    0.50 $     25,713.00   45 T04
    09/25/2010 EDN 100/AA 064569        J1  A SECONDARY TEACHER                                   1.00   $     48,008.00    1.00 $     30,114.00   05 T01
    09/25/2010 EDN 150/FA 065731        J1  A SPEC ED TEACHER                                     1.00   $     53,483.00    1.00 $     43,157.04   05 T02
    09/25/2010 EDN 150/YC 058640        J1  A BEHAVIORAL HLTH SPCLT III                           1.00   $     45,576.00    1.00 $     42,132.00   13 SR20
    09/28/2010 EDN 150/FA 058931        J1  A EDUC ASST III                                       1.00   $     29,368.00    1.00 $     28,129.92   03 SR12
    09/29/2010 EDN 150/YC 058420        J1  A BEHAVIORAL HLTH SPCLT IV                            1.00   $     57,708.00    1.00 $     57,708.00   13 SR22
    09/30/2010 EDN 150/SA 052965        J1  A SPEECH PATHOLOGIST IV                               1.00   $     60,315.00    1.00 $     45,576.00   13 SR22
    10/01/2010 EDN 100/AA 014749        J1  A CLERK TYPIST II                                     1.00   $     36,516.00    1.00 $     36,516.00   03 SR08
    10/01/2010 EDN 100/AA 016287        J1  A SCHOOL CUSTODIAN II                                 1.00   $     36,960.00    1.00 $     33,228.00   01 BC02
    10/01/2010 EDN 100/AA 021876        J1  A SCHOOL CUSTODIAN II                                 0.50   $     16,614.00    0.50 $     16,614.00   01 BC02
    10/01/2010 EDN 100/AA 056002        J1  A CLERK III                                           1.00   $     30,036.00    1.00 $     30,036.00   03 SR08
    10/01/2010 EDN 100/AA 060424        J1  A SECONDARY TEACHER                                   1.00   $     60,729.00    1.00 $     60,729.12   05 T07
    10/01/2010 EDN 100/AA 063637        J1  A ELEM TEACHER                                        1.00   $     62,603.00    1.00 $     62,603.04   05 T06
    10/01/2010 EDN 100/AA 066153        J1  A 12‐MO HS PRIN VIII                                  1.00   $  149,417.00    1.00 $  149,417.04       06 E11


                                                                       Page 77                                                             2011 Budget Briefing
Department of Education                                                                Table 12
                                                                 Personnel Separations

                                Position  Perm/                                            Budgeted            Budgeted   Actual                     BU    SR 
Separation Date   Prog ID/Org   Number Temp MOF                   Position Title                 FTE              Salary     FTE     Actual Salary  Code Level
    10/01/2010    EDN 100/AA    067639      J1  A ELEM TEACHER                                       1.00   $     49,053.00    1.00 $     45,785.04   05 T02
    10/01/2010    EDN 100/AA    068741      J1  A SECONDARY TEACHER                                  1.00   $     58,959.00    1.00 $     58,959.12   05 T07
    10/01/2010    EDN 100/AA    069061      J1  A 12‐MO ELEM PRIN I                                  1.00   $     99,839.00    1.00 $     99,839.04   06 E05
    10/01/2010    EDN 100/AA    069316      J1  A ELEM TEACHER                                       1.00   $     62,550.00    1.00 $     62,550.00   05 T07
    10/01/2010    EDN 100/AA    075968      J1  A ELEM TEACHER                                       1.00   $     74,688.00    1.00 $     74,688.00   05 T07
    10/01/2010    EDN 100/AA     69316      J1  A ELEM TEACHER                                       1.00   $     62,550.00    1.00 $     62,550.00   05 T07
    10/01/2010    EDN 100/AA     68741      J1  A SECONDARY TEACHER                                  1.00   $     58,959.00    1.00 $     58,959.12   05 T07
    10/01/2010    EDN 100/AA     60424      J1  A SECONDARY TEACHER                                  1.00   $     60,729.00    1.00 $     60,729.12   05 T07
    10/01/2010    EDN 100/AA     63637      J1  A ELEM TEACHER                                       1.00   $     62,603.00    1.00 $     62,603.04   05 T06
    10/01/2010    EDN 100/AA     67639      J1  A ELEM TEACHER                                       1.00   $     49,053.00    1.00 $     45,785.04   05 T02
    10/01/2010    EDN 100/AA     75968      J1  A ELEM TEACHER                                       1.00   $     74,688.00    1.00 $     74,688.00   05 T07
    10/01/2010    EDN 100/AA     56002      J1  A CLERK III                                          1.00   $     30,036.00    1.00 $     30,036.00   03 SR08
    10/01/2010    EDN 100/AA     69061      J1  A 12‐MO ELEM PRIN I                                  1.00   $     99,839.00    1.00 $     99,839.04   06 E05
    10/01/2010    EDN 100/AA     66153      J1  A 12‐MO HS PRIN VIII                                 1.00   $  149,417.00    1.00 $  149,417.04       06 E11
    10/01/2010    EDN 100/AA     38951      J1  A CLERK TYPIST II                                    1.00   $     30,036.00    1.00 $     30,036.00   03 SR08
    10/01/2010    EDN 100/AA     14749      J1  A CLERK TYPIST II                                    1.00   $     36,516.00    1.00 $     36,516.00   03 SR08
    10/01/2010    EDN 100/AA     21876      J1  A SCHOOL CUSTODIAN II                                0.50   $     16,614.00    0.50 $     16,614.00   01 BC02
    10/01/2010    EDN 100/AA     16287      J1  A SCHOOL CUSTODIAN II                                1.00   $     36,960.00    1.00 $     33,228.00   01 BC02
    10/01/2010    EDN 100/AA     16601      J1  A SCHOOL CUSTODIAN II                                0.50   $     16,614.00    0.50 $     16,614.00   01 BC02
    10/01/2010    EDN 150/FA    062546      J1  A SPEC ED TEACHER                                    1.00   $     66,359.00    1.00 $     66,359.04   05 T07
    10/01/2010    EDN 150/FA    073317      J1  A SPEC ED TEACHER                                    1.00   $     60,729.00    1.00 $     62,002.08   05 T05
    10/01/2010    EDN 150/FA    600377      T1  A SPEC ED TEACHER                                    1.00   $     70,400.16    1.00 $     70,400.16   05 T07
    10/01/2010    EDN 150/FA     62546      J1  A SPEC ED TEACHER                                    1.00   $     66,359.00    1.00 $     66,359.04   05 T07
    10/01/2010    EDN 150/FA     73317      J1  A SPEC ED TEACHER                                    1.00   $     60,729.00    1.00 $     62,002.08   05 T05
    10/01/2010    EDN 150/FA    600377      T1  A SPEC ED TEACHER                                    1.00   $     70,400.00    1.00 $     70,400.16   05 T07
    10/01/2010    EDN 150/FA     73269      J1  A SPEC ED TEACHER                                    1.00   $     49,448.00    1.00 $     49,448.16   05 T03
    10/01/2010    EDN 150/NB    079314      T1  N 12‐MO STATE OFF TCHR                               1.00   $     77,312.00    1.00 $     74,688.00   05 T07
    10/01/2010    EDN 150/NB    079999      T1  N 12‐MO DIST OFF TCHR                                1.00   $     79,170.00    1.00 $     79,170.00   05 T07
    10/01/2010    EDN 150/NB     79314      T1  N 12‐MO STATE OFF TCHR                               1.00   $     77,312.00    1.00 $     74,688.00   05 T07
    10/01/2010    EDN 150/NB    800183      T1  N EDUC ASST III                                      1.00   $     28,130.00    1.00 $     28,129.92   03 SR12
    10/01/2010    EDN 150/NB     79999      T1  N 12‐MO DIST OFF TCHR                                1.00   $     79,170.00    1.00 $     79,170.00   05 T07
    10/01/2010    EDN 150/YC    075417      J1  A DISTRICT EDUC SPEC II                              1.00   $  106,105.00    1.00 $  106,104.96       06 E07
    10/01/2010    EDN 150/YC     75417      J1  A DISTRICT EDUC SPEC II                              1.00   $  106,105.00    1.00 $  106,104.96       06 E07
    10/01/2010    EDN 150/YK    029409      J1  A SCHOOL HEALTH AIDE                                 1.00   $     22,063.00    1.00 $     21,132.96   03 SR09
    10/01/2010    EDN 150/YK     29409      J1  A SCHOOL HEALTH AIDE                                 1.00   $     22,063.00    1.00 $     21,132.96   03 SR09
    10/01/2010    EDN 200/GN    029998      T1  A BILINGUAL/BICULTURAL S/H ASST                      1.00   $     39,480.00    1.00 $     39,480.00   03 SR11


                                                                         Page 78                                                              2011 Budget Briefing
Department of Education                                                                Table 12
                                                                  Personnel Separations

                                 Position  Perm/                                            Budgeted            Budgeted   Actual                     BU    SR 
Separation Date    Prog ID/Org   Number Temp MOF                   Position Title                 FTE              Salary     FTE     Actual Salary  Code Level
    10/01/2010    EDN 200/GN      29998      T1  A BILINGUAL/BICULTURAL S/H ASST                      1.00   $     39,480.00    1.00 $     39,480.00   03 SR11
    10/01/2010    EDN 300/KO     075381      J1  A PROF DEV ACADEMY DIRECTOR                          1.00   $     87,340.00    1.00 $  101,772.00     56 E10
    10/01/2010    EDN 300/KO      75381      J1  A PROF DEV ACADEMY DIRECTOR                          1.00   $     87,340.00    1.00 $  101,772.00     56 E10
    10/01/2010    EDN 400/MD     009833      J1  B CAFETERIA HELPER                                   0.50   $     16,614.00    0.50 $     16,614.00   01 BC02
    10/01/2010    EDN 400/MD     009936      J1  B SCHOOL BAKER                                       1.00   $     38,436.00    1.00 $     38,436.00   01 BC06
    10/01/2010    EDN 400/MD     010135      J1  B SCHOOL BAKER                                       1.00   $     38,436.00    1.00 $     38,436.00   01 BC06
    10/01/2010    EDN 400/MD     047344      J1  B CAFETERIA HELPER                                   0.50   $     16,614.00    0.50 $     16,614.00   01 BC02
    10/01/2010    EDN 400/MD      10135      J1  B SCHOOL BAKER                                       1.00   $     38,436.00    1.00 $     38,436.00   01 BC06
    10/01/2010    EDN 400/MD       9936      J1  B SCHOOL BAKER                                       1.00   $     38,436.00    1.00 $     38,436.00   01 BC06
    10/01/2010    EDN 400/MD       9833      J1  B CAFETERIA HELPER                                   0.50   $     16,614.00    0.50 $     16,614.00   01 BC02
    10/01/2010    EDN 400/MD      47344      J1  B CAFETERIA HELPER                                  0.50    $     16,614.00    0.50 $     16,614.00   01 BC02
    10/01/2010    EDN 400/OC     017221      J1  A ACCOUNT CLERK V                                   1.00    $     51,936.00    1.00 $     51,936.00   03 SR15
    10/02/2010    EDN 100/AA      72155      J1  A SECONDARY TEACHER                                 1.00    $     51,426.00    1.00 $     54,136.08   05 T07
    10/02/2010    EDN 100/AA      63777      J1  A SECONDARY TEACHER                                  1.00   $     40,567.00    1.00 $     45,785.04   05 T02
    10/02/2010    EDN 100/AA      60354      J1  A SECONDARY TEACHER                                  1.00   $     49,448.00    1.00 $     49,448.16   05 T03
    10/02/2010    EDN 100/AA      71523      J1  A ELEM TEACHER                                       1.00   $     52,471.00    1.00 $     43,157.04   05 T02
    10/02/2010     EDN 100/BJ     73046      J1  A SPECIAL SCH TEACHER                                1.00   $     48,008.00    1.00 $     48,008.16   05 T03
    10/02/2010    EDN 100/BM     800205      J1  A ATHLETIC HLTH CARE TRAINER                         1.00   $     45,576.00    1.00 $     45,576.00   13 SR22
    10/02/2010    EDN 150/FA      63974      J1  A SPEC ED TEACHER                                    1.00   $     49,448.00    1.00 $     49,448.16   05 T03
    10/02/2010    EDN 150/FA      56696      T1  A EDUC ASST II                                       0.75   $     19,599.00    0.75 $     17,347.50   03 SR10
    10/02/2010    EDN 150/FA     600097      T1  A SPEC ED TEACHER                                    1.00   $     48,008.00    1.00 $     48,008.16   05 T03
    10/02/2010    EDN 150/FA      63640      T1  A SPEC ED TEACHER                                    1.00   $     32,713.00    1.00 $     40,566.96   05 T02
    10/02/2010    EDN 150/NB     800362      T1  N EDUC ASST III                                      1.00   $     25,030.00    1.00 $     25,030.08   03 SR12
    10/02/2010    EDN 150/YC      58360      J1  A BEHAVIORAL HLTH SPCLT III                          1.00   $     53,352.00    1.00 $     45,576.00   13 SR20
    10/04/2010    EDN 100/AA      16225      J1  A SCHOOL CUSTODIAN II                                1.00   $     33,228.00    1.00 $     33,228.00   01 BC02
    10/05/2010    EDN 100/DB     600169      T1  N SECONDARY TEACHER                                  1.00   $     62,002.00    1.00 $     62,002.08   05 T05
    10/05/2010    EDN 150/YC      58377      J1  A BEHAVIORAL HLTH SPCLT IV                           1.00   $     57,708.00    1.00 $     57,708.00   13 SR22
    10/08/2010    EDN 100/AA      62648      J1  A ELEM TEACHER                                       1.00   $     49,448.00    1.00 $     46,608.96   05 T03
    10/08/2010    EDN 100/AA      14692      J1  A CLERK TYPIST II                                    1.00   $     31,212.00    1.00 $     25,668.00   03 SR08
    10/08/2010    EDN 400/MD     801154      T1  N CLERK TYPIST II                                    1.00   $     25,668.00    1.00 $     25,668.00   03 SR08
    10/09/2010    EDN 150/NB      58148      T1  N EDUC ASST III                                      1.00   $     25,030.00    1.00 $     25,030.08   03 SR12
    10/12/2010    EDN 150/FA      58779      J1  A EDUC ASST III                                      1.00   $     29,368.00    1.00 $     28,129.92   03 SR12
    10/13/2010    EDN 100/AA      48468      J1  A SCHOOL CUSTODIAN II                                0.50   $     16,614.00    0.50 $     16,614.00   01 BC02
    10/13/2010    EDN 150/YC      58747      J1  A BEHAVIORAL HLTH SPCLT IV                           1.00   $     47,412.00    1.00 $     47,412.00   13 SR22
    10/15/2010    EDN 100/AA     600841      T1  A SECONDARY TEACHER                                  0.50   $     23,304.00    0.50 $     23,304.48   45 T03
    10/16/2010    EDN 100/AA      62428      J1  A ELEM TEACHER                                       1.00   $     49,448.00    1.00 $     43,157.04   05 T02


                                                                          Page 79                                                              2011 Budget Briefing
Department of Education                                                                Table 12
                                                             Personnel Separations

                            Position  Perm/                                            Budgeted            Budgeted   Actual                     BU    SR 
Separation Date Prog ID/Org Number Temp MOF                   Position Title                FTE               Salary     FTE     Actual Salary  Code Level
    10/16/2010 EDN 100/AA    72169      J1  A SECONDARY TEACHER                                  1.00   $     49,448.00    1.00 $     43,157.04   05 T02
    10/16/2010 EDN 100/AA    52433      J1  A EDUC ASST III                                      0.50   $     14,684.00    0.50 $     14,064.96   03 SR12
    10/16/2010 EDN 100/AA    33125      J1  A SCHOOL SECURITY ATTENDANT                          1.00   $     22,331.00    1.00 $     21,390.00   03 SR07
    10/16/2010 EDN 150/FA    57171      J1  A EDUC ASST II                                       1.00   $     26,131.00    1.00 $     23,130.00   03 SR10
    10/16/2010 EDN 150/NB 801132        T1  N EDUC ASST II                                       1.00   $     23,130.00    1.00 $     23,130.00   03 SR10
    10/19/2010 EDN 100/AA    45157      J1  A CLERK II                                           1.00   $     26,700.00    1.00 $     26,700.00   03 SR06
    10/19/2010 EDN 150/FA 801131        T1  A EDUC ASST II                                       1.00   $     23,130.00    1.00 $     23,130.00   03 SR10
    10/21/2010 EDN 100/AA    55865      J1  A EDUC ASST III                                      0.50   $     14,684.00    1.00 $     28,129.92   03 SR12
    10/21/2010 EDN 100/AA    45148      J1  A CLERK II                                           1.00   $     32,424.00    1.00 $     23,688.00   03 SR06
    10/21/2010 EDN 100/CB    57971      J1  A ADMINISTRATIVE SERVICES ASST                       1.00   $     49,332.00    1.00 $     47,412.00   13 SR22
    10/21/2010 EDN 150/YG    57989      J1  A HUMAN SVCS PROF IV                                 1.00   $     49,332.00    1.00 $     49,332.00   13 SR22
    10/21/2010 EDN 300/KC    17560      J1  A SECRETARY II                                       1.00   $     33,756.00    1.00 $     33,756.00   03 SR14
    10/22/2010 EDN 100/AA    54884      T1  A CLERK III                                          1.00   $     26,700.00    1.00 $     25,668.00   03 SR08
    10/23/2010 EDN 100/AA    62322      J1  A SECONDARY TEACHER                                  1.00   $     69,054.00    1.00 $     51,426.00   05 T04
    10/23/2010 EDN 150/FA    56966      T1  A EDUC ASST III                                      1.00   $     26,131.00    1.00 $     25,030.08   03 SR12
    10/23/2010 EDN 150/FA    56738      T1  A EDUC ASST II                                       0.75   $     21,157.00    0.75 $     17,347.50   03 SR10
    10/23/2010 EDN 150/YC    58647      J1  A BEHAVIORAL SPECIALIST IV                           1.00   $     55,500.00    1.00 $     55,500.00   13 SR22
    10/30/2010 EDN 100/AA    63924      J1  A ELEM TEACHER                                       1.00   $     79,170.00    1.00 $     43,157.04   05 T02
    10/30/2010 EDN 100/AA    68346      J1  A ELEM TEACHER                                       1.00   $     44,452.00    1.00 $     43,157.04   05 T02
    10/30/2010 EDN 100/AA    56444      J1  A CLERK TYPIST II                                    0.50   $     12,834.00    0.50 $     12,834.00   03 SR08
    10/30/2010 EDN 100/AA    30682      J1  A SCHOOL SECURITY ATTENDANT                          1.00   $     28,209.00    1.00 $     27,019.92   03 SR07
    10/30/2010 EDN 100/AA    23043      J1  A SCHOOL CUSTODIAN V                                 1.00   $     41,424.00    1.00 $     41,424.00   02 F202
    10/30/2010 EDN 150/FA    52594      J1  A EDUC ASST II                                       0.75   $     20,366.00    0.75 $     17,347.50   03 SR10
    10/30/2010 EDN 150/FA    57074      J1  A EDUC ASST III                                      1.00   $     29,368.00    1.00 $     25,030.08   03 SR12
    10/30/2010 EDN 150/SA 800337        J1  A SPEECH PATHOLOGIST III                             1.00   $     57,999.00    1.00 $     42,132.00   13 SR20
    10/30/2010 EDN 150/YC    58748      J1  A BEHAVIORAL HLTH SPCLT IV                           1.00   $     49,332.00    1.00 $     45,576.00   13 SR22
    10/30/2010 EDN 150/YG 801199        J1  A BEHAVIORAL HLTH SPCLT III                          1.00   $     42,132.00    1.00 $     42,132.00   13 SR20
    10/30/2010 EDN 150/YK    29327      J1  A SCHOOL HEALTH AIDE                                 1.00   $     24,786.00    1.00 $     23,741.04   03 SR09
    10/30/2010 EDN 400/MD     9388      J1  B SCHOOL COOK II                                     1.00   $     38,436.00    1.00 $     38,436.00   01 BC06
    10/30/2010 EDN 400/MD     9463      J1  B CAFETERIA HELPER                                   1.00   $     33,228.00    1.00 $     33,228.00   01 BC02
    10/30/2010 EDN 400/MD 12598         J1  B CAFETERIA HELPER                                   0.50   $     16,614.00    0.50 $     16,614.00   01 BC02
    11/01/2010 EDN 100/AA    61765      J1  A ELEM TEACHER                                       1.00   $     53,077.00    1.00 $     53,076.96   05 T02
    11/01/2010 EDN 100/AA    61706      J1  A SECONDARY TEACHER                                  1.00   $     67,750.00    1.00 $     67,750.08   05 T05
    11/01/2010 EDN 100/BS    69012      J1  A ROTC INSTRUCTOR                                    1.00   $  106,404.00    1.00 $     95,784.00     55 ROTC
    11/01/2010 EDN 200/GN 60089         J1  A COMPLX SCH RENEW SPEC II                           1.00   $  109,099.00    1.00 $  109,098.96       06 E07
    11/03/2010 EDN 150/FA    29640      J1  A EDUC ASST III                                      0.50   $     15,885.00    0.50 $     15,215.04   03 SR12


                                                                      Page 80                                                             2011 Budget Briefing
Department of Education                                                                Table 12
                                                                  Personnel Separations

                                Position  Perm/                                             Budgeted            Budgeted   Actual                     BU    SR 
Separation Date   Prog ID/Org   Number Temp MOF                   Position Title                 FTE               Salary     FTE     Actual Salary  Code Level
    11/04/2010    EDN 100/AA     71427      J1  A 12‐MO ELEM PRIN III                                 1.00   $  124,714.00    1.00 $  102,654.96       06 E07
    11/04/2010    EDN 100/AA    801608      T1  A CLERK II                                            0.50   $     11,844.00    0.50 $     11,844.00   03 SR06
    11/04/2010    EDN 100/AA     39386      J1  A SCHOOL CUSTODIAN II                                 1.00   $     33,228.00    1.00 $     33,228.00   01 BC02
    11/06/2010    EDN 150/FA     74254      J1  A SPEC ED TEACHER                                     1.00   $     46,609.00    1.00 $     43,157.04   05 T02
    11/06/2010    EDN 150/FA    800098      T1  A EDUC ASST III                                       1.00   $     27,154.00    1.00 $     25,030.08   03 SR12
    11/06/2010    EDN 150/NB     32303      T1  N SECRETARY II                                        1.00   $     33,756.00    1.00 $     33,756.00   03 SR14
    11/06/2010    EDN 150/SA     55683      J1  A SPEECH PATHOLOGIST IV                               1.00   $     60,315.00    1.00 $     45,576.00   13 SR22
    11/06/2010    EDN 150/SA     30926      J1  A COMMUNICATION AIDE                                  0.75   $     20,366.00    0.75 $     19,507.50   03 SR12
    11/06/2010    EDN 300/KO     74640      J1  A PERSONNEL SPECIALIST II                             1.00   $     80,350.00    1.00 $     80,350.08   56 E07
    11/09/2010    EDN 100/AA     73853      J1  A SECONDARY TEACHER                                   1.00   $     51,426.00    1.00 $     51,426.00   05 T04
    11/09/2010    EDN 150/YC    800441      J1  A SCHOOL PSYCHOLOGIST                                 1.00   $     58,716.00    1.00 $     51,312.00   13 SR24
    11/10/2010    EDN 100/AA     68735      J1  A SECONDARY TEACHER                                   1.00   $     62,550.00    1.00 $     62,550.00   05 T07
    11/13/2010    EDN 100/AA     55960      J1  A EDUC ASST III                                       0.50   $     14,104.00    0.50 $     12,515.04   03 SR12
    11/13/2010    EDN 100/AA     65194      J1  A SCH ATHLETIC DIR I                                  1.00   $     73,921.00    1.00 $     62,562.96   06 E01
    11/13/2010    EDN 100/DB     79288      T1  N EDUCATIONAL SPEC II                                 1.00   $     87,340.00    1.00 $     87,340.08   06 E07
    11/13/2010    EDN 150/FA     27653      J1  A EDUC ASST III                                       1.00   $     31,769.00    1.00 $     30,430.08   03 SR12
    11/13/2010    EDN 400/MD     49643      T1  N CAFETERIA HELPER                                    0.50   $     16,614.00    0.50 $     16,614.00   01 BC02
    11/13/2010    EDN 400/MD    801246      T1  N CAFETERIA HELPER                                    0.50   $     16,614.00    0.50 $     16,614.00   01 BC02
    11/13/2010    EDN 400/MD     52940      T1  N CAFETERIA HELPER                                    0.50   $     16,614.00    0.50 $     16,614.00   01 BC02
    11/13/2010    EDN 400/MD     35173      T1  N CAFETERIA HELPER                                    0.50   $     16,614.00    0.50 $     16,614.00   01 BC02
    11/13/2010    EDN 400/MD     59669      T1  N CAFETERIA HELPER                                    0.50   $     16,614.00    0.50 $     16,614.00   01 BC02
    11/13/2010    EDN 400/MD     59895      T1  N CAFETERIA HELPER                                    0.50   $     16,614.00    0.50 $     16,614.00   01 BC02
    11/13/2010    EDN 400/MD     45917      T1  N CAFETERIA HELPER                                    0.50   $     16,614.00    0.50 $     16,614.00   01 BC02
    11/13/2010    EDN 400/MD     57905      J1  B CAFETERIA HELPER                                    0.50   $     16,614.00    0.50 $     16,614.00   01 BC02
    11/16/2010    EDN 150/FA     57455      J1  A EDUC ASST III                                       0.75   $     22,879.00    0.75 $     21,915.00   03 SR12
    11/16/2010    EDN 150/FA     27682      J1  A EDUC ASST III                                       1.00   $     28,209.00    1.00 $     27,019.92   03 SR12
    11/16/2010    EDN 150/FA     56744      T1  A EDUC ASST III                                       0.75   $     20,366.00    0.75 $     19,507.50   03 SR12
    11/20/2010    EDN 100/DB     79480      T1  N ELEM TEACHER                                        1.00   $     49,488.00    1.00 $     49,448.16   05 T03
    11/24/2010    EDN 400/MD    800996      J1  B CAFETERIA HELPER                                    1.00   $     33,228.00    0.50 $     16,614.00   01 BC02
    11/25/2010    EDN 150/FA    800606      T1  A EDUC ASST III                                       1.00   $     27,154.00    1.00 $     26,010.00   03 SR12
    11/27/2010    EDN 150/FA     67106      T1  A GEN EDUC/ARTICLE VI TCHR                            1.00   $     49,448.00    1.00 $     46,608.96   05 T03
    11/30/2010    EDN 100/AA     16441      J1  A SCHOOL CUSTODIAN III                                1.00   $     35,544.00    1.00 $     35,544.00   01 WS02
    11/30/2010    EDN 150/FA     61465      J1  A SPEC ED TEACHER                                     1.00   $     49,448.00    1.00 $     49,448.16   05 T03
    12/01/2010    EDN 100/AA     27201      J1  A CLERK TYPIST II                                     1.00   $     27,756.00    1.00 $     39,480.00   03 SR08
    12/01/2010    EDN 100/AA     45120      J1  A CLERK TYPIST II                                     1.00   $     39,480.00    1.00 $     39,480.00   03 SR08
    12/01/2010    EDN 100/DB    801484      T1  N CLERK TYPIST II                                     1.00   $     25,688.00    1.00 $     25,668.00   03 SR08


                                                                           Page 81                                                             2011 Budget Briefing
Department of Education                                                                Table 12
                                                               Personnel Separations

                            Position  Perm/                                              Budgeted            Budgeted   Actual                     BU    SR 
Separation Date Prog ID/Org Number Temp MOF                   Position Title                  FTE               Salary     FTE     Actual Salary  Code Level
    12/01/2010 EDN 150/FA    61862      J1  A SPEC ED TEACHER                                      1.00   $     60,195.00    1.00 $     62,603.04   05 T06
    12/01/2010 EDN 150/FA    61017      J1  A SPEC ED TEACHER                                      1.00   $     49,448.00    1.00 $     46,608.96   05 T03
    12/01/2010 EDN 150/YG 801073        T1  A EDUC ASST III                                        1.00   $     25,030.00    1.00 $     25,030.08   03 SR12
    12/01/2010 EDN 400/MD 28010         T1  N CAFETERIA HELPER                                     0.50   $     16,614.00    0.50 $     16,614.00   01 BC02
    12/01/2010 EDN 400/MD 10764         J1  B SCHOOL COOK II                                       1.00   $     38,436.00    1.00 $     38,436.00   01 BC06




                                                                       Page 82                                                              2011 Budget Briefing
Department of Education                                                                  Table 13
                                                                 New Hires
  New Hire                      Position  Perm/                                   Budgeted             Budgeted       Actual                     BU     SR 
Effective Date    Prog ID/Org   Number Temp MOF             Position Title             FTE                Salary        FTE      Actual Salary  Code Level
   07/01/2009    EDN 100/AA       44323 J1      A LIBRARY ASSISTANT III                      0.50   $     15,239.00       0.50   $     15,018.00   03 SR07
   07/01/2009    EDN 100/AA       66496 J1      A ELEM TEACHER                               1.00   $     56,257.00       1.00   $     43,157.04   05 T02
   07/01/2009    EDN 100/AA       68490 J1      A SECONDARY TEACHER                          1.00   $     56,257.00       1.00   $     43,157.04   05 T02
   07/01/2009    EDN 100/AA      801297 J1      A SCHOOL CUSTODIAN II                        0.50   $     16,942.00       0.50   $     16,614.00   01 BC02
   07/01/2009    EDN 100/DB       79215 T1      N COMPLEX ACADEMIC OFFICER                   1.00   $     83,772.00       1.00   $     83,772.00   06 E07
   07/01/2009    EDN 150/FA       60243 T1      A SPEC ED TEACHER                            1.00   $     49,448.00       1.00   $     43,157.04   05 T02
   07/01/2009    EDN 150/FA       73473 J1      A SPEC ED TEACHER                            1.00   $     48,008.00       1.00   $     43,157.04   05 T02
   07/01/2009    EDN 150/YC       58408 J1      A BEHAVIORAL HLTH SPCLT III                  1.00   $     49,332.00       1.00   $     42,132.00   13 SR20
   07/01/2009    EDN 150/YC       58421 T1      A BEHAVIORAL HLTH SPCLT IV                   1.00   $     45,576.00       1.00   $     49,332.00   13 SR22
   07/01/2009    EDN 150/YC       75400 J1      A EDUCATIONAL SPEC II                        1.00   $     77,069.00       1.00   $     77,069.04   06 E07
   07/01/2009    EDN 150/YC      800860 T1      A BEHAVIORAL HLTH SPCLT IV                   1.00   $     45,576.00       1.00   $     47,412.00   13 SR22
   07/01/2009    EDN 150/YG       71907 J1      A 12‐MO DIST OFF TCHR                        1.00   $     59,338.00       1.00   $     48,008.16   05 T03
   07/02/2009    EDN 100/AA       72623 J1      A 12‐MO COUNSELOR                            1.00   $     67,508.00       1.00   $     46,608.96   05 T03
   07/02/2009    EDN 100/AA      801344 T1      A LIBRARY ASSISTANT III                      1.00   $     30,478.00       1.00   $     24,648.00   03 SR07
   07/02/2009    EDN 100/BM       48253 J1      A ATHLETIC HLTH CARE TRAINER                 1.00   $     57,708.00       1.00   $     45,576.00   13 SR22
   07/06/2009    EDN 100/AA       14710 J1      A CLERK TYPIST II                            1.00   $     29,865.00       1.00   $     25,667.20   63 SR08
   07/06/2009    EDN 100/AA       30614 J1      A SCHOOL SECURITY ATTENDANT                  1.00   $     25,213.00       1.00   $     24,648.00   63 SR07
   07/06/2009    EDN 100/AA       56583 J1      A CLERK TYPIST II                            1.00   $     29,865.00       1.00   $     25,667.20   63 SR08
   07/06/2009    EDN 100/AA       56648 J1      A CLERK TYPIST II                            1.00   $     29,865.00       1.00   $     25,667.20   63 SR08
   07/06/2009    EDN 100/AA       56669 J1      A CLERK TYPIST II                            0.50   $     14,933.00       0.50   $     12,833.60   63 SR08
   07/06/2009    EDN 100/AA      801196 T1      A CLERK TYPIST II                            1.00   $     29,865.00       1.00   $     25,667.20   63 SR08
   07/06/2009    EDN 100/BV       74735 J1      A EDUCATIONAL SPEC II                        1.00   $     77,069.00       1.00   $     77,069.04   06 E07
   07/06/2009    EDN 150/YG       59555 J1      A BEHAVIORAL HLTH SPCLT III                  1.00   $     47,412.00       1.00   $     42,132.00   13 SR20
   07/09/2009    EDN 100/AA       16620 J1      A SCHOOL CUSTODIAN III                       1.00   $     33,885.00       1.00   $     35,544.00   01 WS02
   07/09/2009    EDN 100/BS       69006 J1      A ROTC INSTRUCTOR                            0.50   $     50,295.00       0.50   $     48,036.00   55 ROTC
   07/13/2009    EDN 100/AA      801062 T1      A CLERK TYPIST II                            0.50   $     14,933.00       0.50   $     12,833.60   63 SR08
   07/13/2009    EDN 150/FA       72528 J1      A 12‐MO SPEC ED TEACHER                      1.00   $     53,343.00       1.00   $     43,157.04   05 T02
   07/13/2009    EDN 150/SA      801327 J1      A EDUCATIONAL INTERPRETER II                 1.00   $     38,388.00       1.00   $     32,424.00   03 SR14
   07/15/2009    EDN 150/FA       67268 J1      A SPEC ED TEACHER                            1.00   $     55,087.00       1.00   $     46,608.96   05 T03
   07/16/2009    EDN 100/AA       16395 J1      A SCHOOL CUSTODIAN II                        0.50   $     16,942.00       0.50   $     16,619.20   61 BC02
   07/16/2009    EDN 100/AA       16395 J1      A SCHOOL CUSTODIAN II                        0.50   $     16,942.00       0.50   $     16,619.20   61 BC02
   07/16/2009    EDN 100/AA       17595 J1      A CLERK TYPIST II                            1.00   $     29,865.00       1.00   $     25,667.20   63 SR08
   07/16/2009    EDN 100/AA       56552 J1      A CLERK TYPIST II                            1.00   $     29,865.00       1.00   $     25,667.20   63 SR08
   07/20/2009    EDN 150/YC       58477 T1      A BEHAVIORAL HEALTH SPCLT III                1.00   $     45,576.00       1.00   $     42,132.00   13 SR20


                                                                   Page 83                                                                 2011 Budget Briefing
Department of Education                                                                  Table 13
                                                                 New Hires
  New Hire                      Position  Perm/                                   Budgeted             Budgeted       Actual                     BU     SR 
Effective Date    Prog ID/Org   Number Temp MOF             Position Title             FTE                Salary        FTE      Actual Salary  Code Level
   07/21/2009    EDN 150/YC       58386 T1      A BEHAVIORAL HEALTH SPCLT III                1.00   $     45,576.00       1.00   $     42,140.80   73 SR20
   07/23/2009    EDN 150/FA       57622 T1      A EDUC ASST II                               0.75   $     27,154.00       1.00   $     25,667.20   63 SR08
   07/27/2009    EDN 150/SA      801325 J1      A EDUCATIONAL INTERPRETER II                 1.00   $     40,697.00       1.00   $     32,424.00   03 SR14
   07/27/2009    EDN 150/SA      801328 J1      A EDUCATIONAL INTERPRETER II                 1.00   $     43,680.00       1.00   $     32,427.20   63 SR14
   07/27/2009    EDN 150/YC       58628 J1      A BEHAVIORAL HLTH SPCLT IV                   1.00   $     57,708.00       1.00   $     42,140.80   73 SR20
   07/27/2009    EDN 400/MD         9538 J1     A SCHOOL COOK II                             1.00   $     38,436.00       1.00   $     38,436.00   01 BC06
   07/28/2009    EDN 100/AA       60414 J1      A SECONDARY TEACHER                          1.00   $     56,257.00       1.00   $     40,566.96   05 A02
   07/28/2009    EDN 100/AA       60498 J1      A ELEM TEACHER                               1.00   $     56,257.00       1.00   $     43,157.04   05 T02
   07/28/2009    EDN 100/AA       60507 J1      A LIBRARIAN                                  1.00   $     56,257.00       1.00   $     48,008.16   05 T03
   07/28/2009    EDN 100/AA       61204 J1      A SECONDARY TEACHER                          1.00   $     56,257.00       1.00   $     32,712.96   05 T02
   07/28/2009    EDN 100/AA       61397 J1      A ELEM TEACHER                               1.00   $     56,257.00       1.00   $     46,608.96   05 T03
   07/28/2009    EDN 100/AA       61426 J1      A SECONDARY TEACHER                          1.00   $     56,257.00       1.00   $     40,566.96   05 A02
   07/28/2009    EDN 100/AA       61444 J1      A SECONDARY TEACHER                          1.00   $     56,257.00       1.00   $     40,566.96   05 A02
   07/28/2009    EDN 100/AA       61468 J1      A ELEM TEACHER                               1.00   $     56,257.00       1.00   $     40,566.96   05 A02
   07/28/2009    EDN 100/AA       62464 J1      A SECONDARY TEACHER                          1.00   $     56,257.00       1.00   $     43,157.04   05 T02
   07/28/2009    EDN 100/AA       62533 J1      A SECONDARY TEACHER                          1.00   $     56,257.00       1.00   $     46,608.96   05 T03
   07/28/2009    EDN 100/AA       62558 J1      A SECONDARY TEACHER                          1.00   $     56,257.00       1.00   $     46,608.96   05 T03
   07/28/2009    EDN 100/AA       62705 J1      A ELEM TEACHER                               1.00   $     56,257.00       1.00   $     43,157.04   05 T02
   07/28/2009    EDN 100/AA       62749 J1      A SECONDARY TEACHER                          0.50   $     28,128.00       0.50   $     21,578.52   45 T02
   07/28/2009    EDN 100/AA       62891 J1      A SECONDARY TEACHER                          1.00   $     56,257.00       1.00   $     40,566.96   05 A02
   07/28/2009    EDN 100/AA       63097 J1      A SECONDARY TEACHER                          1.00   $     56,257.00       1.00   $     40,566.96   05 A02
   07/28/2009    EDN 100/AA       63103 J1      A ELEM TEACHER                               1.00   $     56,257.00       1.00   $     43,157.04   05 T02
   07/28/2009    EDN 100/AA       63554 J1      A SECONDARY TEACHER                          1.00   $     56,257.00       1.00   $     43,157.04   05 T02
   07/28/2009    EDN 100/AA       63587 J1      A ELEM TEACHER                               1.00   $     56,257.00       1.00   $     43,157.04   05 T02
   07/28/2009    EDN 100/AA       63684 T1      A SECONDARY TEACHER                          1.00   $     56,257.00       1.00   $     40,566.96   05 A02
   07/28/2009    EDN 100/AA       63709 J1      A ELEM TEACHER                               1.00   $     56,257.00       1.00   $     44,452.08   05 T02
   07/28/2009    EDN 100/AA       64275 T1      A ELEM TEACHER                               1.00   $     56,257.00       1.00   $     44,452.08   05 T02
   07/28/2009    EDN 100/AA       64276 J1      A ELEM TEACHER                               1.00   $     56,257.00       1.00   $     46,608.96   05 T03
   07/28/2009    EDN 100/AA       64369 J1      A SECONDARY TEACHER                          1.00   $     56,257.00       1.00   $     40,566.96   05 A02
   07/28/2009    EDN 100/AA       64482 J1      A ELEM TEACHER                               1.00   $     56,257.00       1.00   $     46,608.96   05 T03
   07/28/2009    EDN 100/AA       64588 J1      A SECONDARY TEACHER                          1.00   $     56,257.00       1.00   $     43,157.04   05 T02
   07/28/2009    EDN 100/AA       64629 J1      A SECONDARY TEACHER                          1.00   $     56,257.00       1.00   $     32,712.96   05 T02
   07/28/2009    EDN 100/AA       64734 J1      A ELEM TEACHER                               1.00   $     56,257.00       1.00   $     46,608.96   05 T03
   07/28/2009    EDN 100/AA       65002 J1      A SECONDARY TEACHER                          1.00   $     56,257.00       1.00   $     40,566.96   05 A02


                                                                    Page 84                                                                2011 Budget Briefing
Department of Education                                                                  Table 13
                                                                  New Hires
  New Hire                      Position  Perm/                                    Budgeted             Budgeted       Actual                     BU     SR 
Effective Date    Prog ID/Org   Number Temp MOF            Position Title               FTE                Salary        FTE      Actual Salary  Code Level
   07/28/2009    EDN 100/AA       65244 J1      A SECONDARY TEACHER                           1.00   $     56,257.00       1.00   $     40,566.96   05 A02
   07/28/2009    EDN 100/AA       65394 J1      A ELEM TEACHER                                1.00   $     56,257.00       1.00   $     48,008.16   05 T03
   07/28/2009    EDN 100/AA       65624 J1      A ELEM TEACHER                                1.00   $     56,257.00       1.00   $     43,157.04   05 T02
   07/28/2009    EDN 100/AA       65658 J1      A SECONDARY TEACHER                           1.00   $     56,257.00       1.00   $     48,008.16   05 T03
   07/28/2009    EDN 100/AA       65787 J1      A SECONDARY TEACHER                           1.00   $     56,257.00       1.00   $     43,157.04   05 T02
   07/28/2009    EDN 100/AA       65821 J1      A SECONDARY TEACHER                           1.00   $     56,257.00       1.00   $     48,008.16   05 T03
   07/28/2009    EDN 100/AA       65885 J1      A SECONDARY TEACHER                           1.00   $     56,257.00       1.00   $     40,566.96   05 A02
   07/28/2009    EDN 100/AA       65896 J1      A SECONDARY TEACHER                           1.00   $     56,257.00       1.00   $     48,008.16   05 T03
   07/28/2009    EDN 100/AA       65911 J1      A ELEM TEACHER                                1.00   $     56,257.00       1.00   $     43,157.04   05 T02
   07/28/2009    EDN 100/AA       66077 J1      A ELEM TEACHER                                1.00   $     56,257.00       1.00   $     43,157.04   05 T02
   07/28/2009    EDN 100/AA       66241 J1      A ELEM TEACHER                                1.00   $     56,257.00       1.00   $     46,608.96   05 T03
   07/28/2009    EDN 100/AA       66262 J1      A ELEM TEACHER                                1.00   $     56,257.00       1.00   $     46,608.96   05 T03
   07/28/2009    EDN 100/AA       66523 J1      A SECONDARY TEACHER                           1.00   $     56,257.00       1.00   $     40,566.96   05 A02
   07/28/2009    EDN 100/AA       66647 J1      A SECONDARY TEACHER                           1.00   $     56,257.00       1.00   $     43,157.04   05 T02
   07/28/2009    EDN 100/AA       66717 J1      A ELEM TEACHER                                1.00   $     56,257.00       1.00   $     43,157.04   05 T02
   07/28/2009    EDN 100/AA       66723 J1      A SECONDARY TEACHER                           1.00   $     56,257.00       1.00   $     32,712.96   05 T02
   07/28/2009    EDN 100/AA       66842 J1      A SECONDARY TEACHER                           1.00   $     56,257.00       1.00   $     40,566.96   05 A02
   07/28/2009    EDN 100/AA       66865 J1      A SECONDARY TEACHER                           1.00   $     56,257.00       1.00   $     32,712.96   05 T02
   07/28/2009    EDN 100/AA       66873 J1      A SECONDARY TEACHER                           1.00   $     56,257.00       1.00   $     32,712.96   05 T02
   07/28/2009    EDN 100/AA       66938 J1      A ELEM TEACHER                                1.00   $     56,257.00       1.00   $     43,157.04   05 T02
   07/28/2009    EDN 100/AA       66951 J1      A ELEM TEACHER                                1.00   $     56,257.00       1.00   $     46,608.96   05 T03
   07/28/2009    EDN 100/AA       66980 J1      A SECONDARY TEACHER                           1.00   $     56,257.00       1.00   $     43,157.04   05 T02
   07/28/2009    EDN 100/AA       67101 J1      A ELEM TEACHER                                1.00   $     56,257.00       1.00   $     48,008.16   05 T03
   07/28/2009    EDN 100/AA       67107 J1      A ELEM TEACHER                                1.00   $     56,257.00       1.00   $     46,608.96   05 T03
   07/28/2009    EDN 100/AA       67407 J1      A SECONDARY TEACHER                           1.00   $     56,257.00       1.00   $     46,608.96   05 T03
   07/28/2009    EDN 100/AA       67487 J1      A ELEM TEACHER                                1.00   $     56,257.00       1.00   $     43,157.04   05 T02
   07/28/2009    EDN 100/AA       67797 J1      A ELEM TEACHER                                1.00   $     56,257.00       1.00   $     46,608.96   05 T03
   07/28/2009    EDN 100/AA       68103 J1      A SECONDARY TEACHER                           1.00   $     56,257.00       1.00   $     46,608.96   05 T03
   07/28/2009    EDN 100/AA       68202 J1      A ELEM TEACHER                                1.00   $     56,257.00       1.00   $     43,157.04   05 T02
   07/28/2009    EDN 100/AA       68305 J1      A SECONDARY TEACHER                           1.00   $     56,257.00       1.00   $     46,608.96   05 T03
   07/28/2009    EDN 100/AA       68306 J1      A SECONDARY TEACHER                           1.00   $     56,257.00       1.00   $     46,608.96   05 T03
   07/28/2009    EDN 100/AA       68454 J1      A SECONDARY TEACHER                           1.00   $     56,257.00       1.00   $     46,608.96   05 T03
   07/28/2009    EDN 100/AA       68502 J1      A ELEM TEACHER                                1.00   $     56,257.00       1.00   $     46,608.96   05 T03
   07/28/2009    EDN 100/AA       68531 J1      A SECONDARY TEACHER                           1.00   $     56,257.00       1.00   $     44,452.08   05 T02


                                                                     Page 85                                                                2011 Budget Briefing
Department of Education                                                                  Table 13
                                                                  New Hires
  New Hire                      Position  Perm/                                    Budgeted             Budgeted       Actual                     BU     SR 
Effective Date    Prog ID/Org   Number Temp MOF            Position Title               FTE                Salary        FTE      Actual Salary  Code Level
   07/28/2009    EDN 100/AA       68594 J1      A SECONDARY TEACHER                           1.00   $     56,257.00       1.00   $     43,157.04   05 T02
   07/28/2009    EDN 100/AA       68618 J1      A SECONDARY TEACHER                           1.00   $     56,257.00       1.00   $     40,566.96   05 A02
   07/28/2009    EDN 100/AA       68689 J1      A SECONDARY TEACHER                           1.00   $     56,257.00       1.00   $     40,566.96   05 A02
   07/28/2009    EDN 100/AA       68703 J1      A SECONDARY TEACHER                           1.00   $     56,257.00       1.00   $     40,566.96   05 A02
   07/28/2009    EDN 100/AA       68811 J1      A SECONDARY TEACHER                           1.00   $     56,257.00       1.00   $     43,157.04   05 T02
   07/28/2009    EDN 100/AA       68823 J1      A SECONDARY TEACHER                           1.00   $     56,257.00       1.00   $     32,712.96   05 T02
   07/28/2009    EDN 100/AA       68965 J1      A ELEM TEACHER                                1.00   $     56,257.00       1.00   $     46,608.96   05 T03
   07/28/2009    EDN 100/AA       68981 J1      A SECONDARY TEACHER                           1.00   $     56,257.00       1.00   $     48,008.16   05 T03
   07/28/2009    EDN 100/AA       68995 J1      A SECONDARY TEACHER                           1.00   $     56,257.00       1.00   $     40,566.96   05 A02
   07/28/2009    EDN 100/AA       69076 J1      A SECONDARY TEACHER                           1.00   $     56,257.00       1.00   $     46,608.96   05 T03
   07/28/2009    EDN 100/AA       69115 J1      A SECONDARY TEACHER                           1.00   $     56,257.00       1.00   $     46,608.96   05 T03
   07/28/2009    EDN 100/AA       69382 J1      A SECONDARY TEACHER                           1.00   $     56,257.00       1.00   $     40,566.96   05 A02
   07/28/2009    EDN 100/AA       69390 J1      A SECONDARY TEACHER                           1.00   $     56,257.00       1.00   $     46,608.96   05 T03
   07/28/2009    EDN 100/AA       69508 J1      A SECONDARY TEACHER                           1.00   $     56,257.00       1.00   $     43,157.04   05 T02
   07/28/2009    EDN 100/AA       69513 J1      A SECONDARY TEACHER                           1.00   $     56,257.00       1.00   $     46,608.96   05 T03
   07/28/2009    EDN 100/AA       69536 J1      A ELEM TEACHER                                1.00   $     56,257.00       1.00   $     43,157.04   05 T02
   07/28/2009    EDN 100/AA       69607 J1      A ELEM TEACHER                                1.00   $     56,257.00       1.00   $     43,157.04   05 T02
   07/28/2009    EDN 100/AA       69725 J1      A ELEM TEACHER                                1.00   $     56,257.00       1.00   $     43,157.04   05 T02
   07/28/2009    EDN 100/AA       69839 J1      A SECONDARY TEACHER                           1.00   $     56,257.00       1.00   $     44,452.08   05 T02
   07/28/2009    EDN 100/AA       69929 J1      A ELEM TEACHER                                1.00   $     56,257.00       1.00   $     43,157.04   05 T02
   07/28/2009    EDN 100/AA       71336 J1      A SECONDARY TEACHER                           1.00   $     56,257.00       1.00   $     43,157.04   05 T02
   07/28/2009    EDN 100/AA       71617 J1      A SECONDARY TEACHER                           1.00   $     56,257.00       1.00   $     40,566.96   05 A02
   07/28/2009    EDN 100/AA       71770 J1      A SECONDARY TEACHER                           1.00   $     56,257.00       1.00   $     44,452.08   05 T02
   07/28/2009    EDN 100/AA       72029 J1      A SECONDARY TEACHER                           1.00   $     56,257.00       1.00   $     43,157.04   05 T02
   07/28/2009    EDN 100/AA       72114 T1      A ELEM TEACHER                                1.00   $     56,257.00       1.00   $     43,157.04   05 T02
   07/28/2009    EDN 100/AA       72142 J1      A ELEM TEACHER                                1.00   $     56,257.00       1.00   $     46,608.96   05 T03
   07/28/2009    EDN 100/AA       72286 J1      A SECONDARY TEACHER                           1.00   $     56,257.00       1.00   $     46,608.96   05 T03
   07/28/2009    EDN 100/AA       73237 J1      A SECONDARY TEACHER                           1.00   $     56,257.00       1.00   $     43,157.04   05 T02
   07/28/2009    EDN 100/AA       73597 J1      A SECONDARY TEACHER                           1.00   $     56,257.00       1.00   $     32,712.96   05 T02
   07/28/2009    EDN 100/AA       73760 J1      A SECONDARY TEACHER                           1.00   $     56,257.00       1.00   $     46,608.96   05 T03
   07/28/2009    EDN 100/AA       73817 J1      A SECONDARY TEACHER                           0.50   $     28,128.00       0.50   $     21,578.52   45 T02
   07/28/2009    EDN 100/AA       74003 J1      A SECONDARY TEACHER                           1.00   $     56,257.00       1.00   $     46,608.96   05 T03
   07/28/2009    EDN 100/AA       74214 T1      A SECONDARY TEACHER                           0.50   $     28,128.00       0.50   $     22,226.04   45 T02
   07/28/2009    EDN 100/AA       74276 J1      A SECONDARY TEACHER                           1.00   $     56,257.00       1.00   $     40,566.96   05 A02


                                                                     Page 86                                                                2011 Budget Briefing
Department of Education                                                                  Table 13
                                                                  New Hires
  New Hire                       Position  Perm/                                   Budgeted             Budgeted       Actual                     BU     SR 
Effective Date    Prog ID/Org    Number Temp MOF             Position Title             FTE                Salary        FTE      Actual Salary  Code Level
   07/28/2009    EDN 100/AA        74453 J1      A SECONDARY TEACHER                          1.00   $     56,257.00       1.00   $     43,157.04   05 T02
   07/28/2009    EDN 100/AA        74496 J1      A SECONDARY TEACHER                          1.00   $     56,257.00       1.00   $     40,566.96   05 A02
   07/28/2009    EDN 100/AA        76264 J1      A SECONDARY TEACHER                          0.50   $     28,128.00       0.50   $     18,740.52   45 T03
   07/28/2009    EDN 100/AA        76284 J1      A SECONDARY TEACHER                          1.00   $     56,257.00       1.00   $     35,328.96   05 T03
   07/28/2009    EDN 100/AA        79623 T1      A SECONDARY TEACHER                          1.00   $     56,257.00       1.00   $     40,566.96   05 A02
   07/28/2009    EDN 100/AA     63861X       T1  A SPEC ED TEACHER                            1.00   $     56,257.00       1.00   $     46,608.96   05 T03
   07/28/2009    EDN 100/AA     64291X       T1  A ELEM TEACHER                               1.00   $     56,257.00       1.00   $     46,608.96   05 T03
   07/28/2009    EDN 100/AA     64847X       T1  A LIBRARIAN                                  0.50   $     28,128.00       0.50   $     23,304.48   45 T03
   07/28/2009    EDN 100/AA     64976X       T1  A SECONDARY TEACHER                          1.00   $     56,257.00       1.00   $     43,157.04   05 T02
   07/28/2009    EDN 100/AA     64995X       T1  A SECONDARY TEACHER                          1.00   $     56,257.00       1.00   $     43,157.04   05 T02
   07/28/2009    EDN 100/AA     66160X       T1  A SECONDARY TEACHER                          1.00   $     56,257.00       1.00   $     43,157.04   05 T02
   07/28/2009    EDN 100/AA     66253X       T1  A ELEM TEACHER                               1.00   $     56,257.00       1.00   $     43,157.04   05 T02
   07/28/2009    EDN 100/AA     67026X       T1  A SECONDARY TEACHER                          1.00   $     56,257.00       1.00   $     32,712.96   05 T02
   07/28/2009    EDN 100/AA     68558X       T1  A ELEM TEACHER                               1.00   $     56,257.00       1.00   $     46,608.96   05 T03
   07/28/2009    EDN 100/AA     68841X       T1  A SECONDARY TEACHER                          1.00   $     56,257.00       1.00   $     46,608.96   05 T03
   07/28/2009    EDN 100/AA     73391X       T1  A SECONDARY TEACHER                          1.00   $     56,257.00       1.00   $     48,008.16   05 T03
   07/28/2009    EDN 100/AA     74499X       T1  A ELEM TEACHER                               1.00   $     56,257.00       1.00   $     43,157.04   05 T02
   07/28/2009    EDN 100/AA     75937X       T1  A ELEM TEACHER                               1.00   $     56,257.00       1.00   $     46,608.96   05 T03
   07/28/2009    EDN 100/BB        66991 J1      A SECONDARY TEACHER                          1.00   $     80,215.00       1.00   $     43,157.04   05 T02
   07/28/2009    EDN 100/BJ        73082 J1      A SPECIAL SCH TEACHER                        1.00   $     48,008.00       1.00   $     32,712.96   05 T02
   07/28/2009    EDN 100/BV        61880 T1      A ELEM TEACHER                               1.00   $     33,694.00       1.00   $     32,712.96   05 T02
   07/28/2009    EDN 100/BV        74846 T1      A SECONDARY TEACHER                          1.00   $     43,158.00       1.00   $     46,608.96   05 T03
   07/28/2009    EDN 100/DB        79599 T1      N ELEM TEACHER                               1.00   $     43,157.04       1.00   $     43,157.04   05 T02
   07/28/2009    EDN 100/DB        79807 T1      N ELEM TEACHER                               1.00   $     43,157.04       1.00   $     43,157.04   05 T02
   07/28/2009    EDN 100/DB        79922 T1      N ELEM TEACHER                               1.00   $     46,608.96       1.00   $     46,608.96   05 T03
   07/28/2009    EDN 100/DB        79924 T1      N ELEM TEACHER                               1.00   $     43,157.04       1.00   $     43,157.04   05 T02
   07/28/2009    EDN 100/DB        79965 T1      N ELEM TEACHER                               1.00   $     43,157.04       1.00   $     43,157.04   05 T02
   07/28/2009    EDN 150/FA        60116 J1      A SPEC ED TEACHER                            1.00   $     45,785.00       1.00   $     43,157.04   05 T02
   07/28/2009    EDN 150/FA        60197 T1      A SPEC ED TEACHER                            1.00   $     53,483.00       1.00   $     32,712.96   05 T02
   07/28/2009    EDN 150/FA        60280 J1      A SPEC ED TEACHER                            1.00   $     49,448.00       1.00   $     43,157.04   05 T02
   07/28/2009    EDN 150/FA        60382 T1      A SPEC ED TEACHER                            1.00   $     32,713.00       1.00   $     48,008.16   05 T03
   07/28/2009    EDN 150/FA        60386 T1      A SPEC ED TCHR/PRE‐SCHOOL                    1.00   $     40,567.00       1.00   $     43,157.04   05 T02
   07/28/2009    EDN 150/FA        60513 J1      A SPEC ED TEACHER                            1.00   $     45,785.00       1.00   $     43,157.04   05 T02
   07/28/2009    EDN 150/FA        60618 J1      A SPEC ED TEACHER                            1.00   $     45,785.00       1.00   $     43,157.04   05 T02


                                                                    Page 87                                                                 2011 Budget Briefing
Department of Education                                                                  Table 13
                                                                 New Hires
  New Hire                      Position  Perm/                                   Budgeted             Budgeted       Actual                     BU     SR 
Effective Date    Prog ID/Org   Number Temp MOF             Position Title             FTE                Salary        FTE      Actual Salary  Code Level
   07/28/2009    EDN 150/FA       60743 J1      A GEN EDUC/ARTICLE VI TCHR                   1.00   $     48,008.00       1.00   $     44,452.08   05 T02
   07/28/2009    EDN 150/FA       60897 J1      A SPEC ED TEACHER                            1.00   $     50,493.00       1.00   $     40,566.96   05 A02
   07/28/2009    EDN 150/FA       61009 J1      A SPEC ED TCHR/PRE‐SCHOOL                    1.00   $     43,157.00       1.00   $     32,712.96   05 T02
   07/28/2009    EDN 150/FA       61017 J1      A SPEC ED TEACHER                            1.00   $     49,448.00       1.00   $     46,608.96   05 T03
   07/28/2009    EDN 150/FA       61093 J1      A SPEC ED TCHR/PRE‐SCHOOL                    1.00   $     53,483.00       1.00   $     43,157.04   05 T02
   07/28/2009    EDN 150/FA       61149 J1      A GEN EDUC/ARTICLE VI TCHR                   1.00   $     32,713.00       1.00   $     43,157.04   05 T02
   07/28/2009    EDN 150/FA       61476 J1      A SPEC ED TEACHER                            1.00   $     48,008.00       1.00   $     46,608.96   05 T03
   07/28/2009    EDN 150/FA       61671 J1      A GEN EDUC/ARTICLE VI TCHR                   1.00   $     45,785.00       1.00   $     46,608.96   05 T03
   07/28/2009    EDN 150/FA       61817 J1      A SPEC ED TEACHER                            1.00   $     34,705.00       1.00   $     43,157.04   05 T02
   07/28/2009    EDN 150/FA       61876 J1      A SPEC ED TEACHER                            1.00   $     43,157.00       1.00   $     48,008.16   05 T03
   07/28/2009    EDN 150/FA       61951 T1      A SPEC ED TEACHER                            1.00   $     43,157.00       1.00   $     48,008.16   05 T03
   07/28/2009    EDN 150/FA       61969 T1      A SPEC ED TCHR/PRE‐SCHOOL                    1.00   $     43,157.00       1.00   $     46,608.96   05 T03
   07/28/2009    EDN 150/FA       62019 J1      A SPEC ED TEACHER                            1.00   $     43,157.00       1.00   $     43,157.04   05 T02
   07/28/2009    EDN 150/FA       62134 J1      A SPEC ED TEACHER                            1.00   $     32,713.00       1.00   $     43,157.04   05 T02
   07/28/2009    EDN 150/FA       62188 T1      A SPEC ED TEACHER                            1.00   $     64,482.00       1.00   $     48,008.16   05 T03
   07/28/2009    EDN 150/FA       62216 J1      A SPEC ED TEACHER                            1.00   $     33,694.00       1.00   $     43,157.04   05 T02
   07/28/2009    EDN 150/FA       62221 J1      A SPEC ED TEACHER                            1.00   $     33,694.00       1.00   $     43,157.04   05 T02
   07/28/2009    EDN 150/FA       62235 J1      A SPEC ED TEACHER                            1.00   $     33,694.00       1.00   $     43,157.04   05 T02
   07/28/2009    EDN 150/FA       62261 T1      A SPEC ED TEACHER                            1.00   $     43,157.00       1.00   $     48,008.16   05 T03
   07/28/2009    EDN 150/FA       62265 J1      A SPEC ED TEACHER                            1.00   $     32,713.00       1.00   $     43,157.04   05 T02
   07/28/2009    EDN 150/FA       62337 T1      A SPEC ED TEACHER                            1.00   $     39,901.00       1.00   $     46,608.96   05 T03
   07/28/2009    EDN 150/FA       62424 J1      A SPEC ED TEACHER                            1.00   $     49,448.00       1.00   $     46,608.96   05 T03
   07/28/2009    EDN 150/FA       62667 J1      A SPEC ED TEACHER                            1.00   $     40,567.00       1.00   $     43,157.04   05 T02
   07/28/2009    EDN 150/FA       62668 J1      A GEN EDUC/ARTICLE VI TCHR                   1.00   $     43,157.00       1.00   $     43,157.04   05 T02
   07/28/2009    EDN 150/FA       62720 J1      A SPEC ED TEACHER                            1.00   $     33,694.00       1.00   $     40,566.96   05 A02
   07/28/2009    EDN 150/FA       62795 J1      A SPEC ED TEACHER                            1.00   $     44,452.00       1.00   $     43,157.04   05 T02
   07/28/2009    EDN 150/FA       62795 J1      A SPEC ED TEACHER                            1.00   $     44,452.00       1.00   $     46,608.96   05 T03
   07/28/2009    EDN 150/FA       62885 J1      A SPEC ED TEACHER                            1.00   $     49,448.00       1.00   $     32,712.96   05 T02
   07/28/2009    EDN 150/FA       63086 J1      A SPEC ED TEACHER                            1.00   $     49,448.00       1.00   $     40,566.96   05 A02
   07/28/2009    EDN 150/FA       63140 J1      A SPEC ED TEACHER                            1.00   $     49,448.00       1.00   $     40,566.96   05 A02
   07/28/2009    EDN 150/FA       63181 J1      A SPEC ED TEACHER                            1.00   $     43,157.00       1.00   $     43,157.04   05 T02
   07/28/2009    EDN 150/FA       63496 J1      A GEN EDUC/ARTICLE VI TCHR                   1.00   $     45,785.00       1.00   $     40,566.96   05 A02
   07/28/2009    EDN 150/FA       63599 J1      A SPEC ED TEACHER                            1.00   $     46,830.00       1.00   $     32,712.96   05 T02
   07/28/2009    EDN 150/FA       63758 J1      A SPEC ED TEACHER                            1.00   $     44,452.00       1.00   $     43,157.04   05 T02


                                                                   Page 88                                                                 2011 Budget Briefing
Department of Education                                                                  Table 13
                                                                 New Hires
  New Hire                      Position  Perm/                                   Budgeted             Budgeted       Actual                     BU     SR 
Effective Date    Prog ID/Org   Number Temp MOF             Position Title             FTE                Salary        FTE      Actual Salary  Code Level
   07/28/2009    EDN 150/FA       64004 J1      A SPEC ED TEACHER                            1.00   $     49,448.00       1.00   $     43,157.04   05 T02
   07/28/2009    EDN 150/FA       64155 T1      A SPEC ED TEACHER                            1.00   $     32,713.00       1.00   $     46,608.96   05 T03
   07/28/2009    EDN 150/FA       64506 J1      A SPEC ED TEACHER                            1.00   $     48,008.00       1.00   $     43,157.04   05 T02
   07/28/2009    EDN 150/FA       64512 T1      A SPEC ED TEACHER                            1.00   $     48,008.00       1.00   $     40,566.96   05 A02
   07/28/2009    EDN 150/FA       64715 J1      A SPEC ED TEACHER                            1.00   $     41,862.00       1.00   $     48,008.16   05 T03
   07/28/2009    EDN 150/FA       65187 J1      A GEN EDUC/ARTICLE VI TCHR                   1.00   $     45,785.00       1.00   $     40,566.96   05 A02
   07/28/2009    EDN 150/FA       65428 J1      A GEN EDUC/ARTICLE VI TCHR                   1.00   $     68,351.00       1.00   $     46,608.96   05 T03
   07/28/2009    EDN 150/FA       65671 J1      A GEN EDUC/ARTICLE VI TCHR                   1.00   $     52,721.00       1.00   $     48,008.16   05 T03
   07/28/2009    EDN 150/FA       66291 J1      A GEN EDUC/ARTICLE VI TCHR                   1.00   $     32,713.00       1.00   $     48,008.16   05 T03
   07/28/2009    EDN 150/FA       66324 J1      A SPEC ED TEACHER                            1.00   $     52,721.00       1.00   $     40,566.96   05 A02
   07/28/2009    EDN 150/FA       66430 J1      A GEN EDUC/ARTICLE VI TCHR                   1.00   $     45,785.00       1.00   $     43,157.04   05 T02
   07/28/2009    EDN 150/FA       66749 J1      A SPEC ED TEACHER                            1.00   $     40,567.00       1.00   $     40,566.96   05 A02
   07/28/2009    EDN 150/FA       66868 J1      A SPEC ED TEACHER                            1.00   $     48,008.00       1.00   $     43,157.04   05 T02
   07/28/2009    EDN 150/FA       66915 J1      A SPEC ED TEACHER                            1.00   $     50,743.00       1.00   $     46,608.96   05 T03
   07/28/2009    EDN 150/FA       67029 J1      A GEN EDUC/ARTICLE VI TCHR                   1.00   $     43,157.00       1.00   $     40,566.96   05 A02
   07/28/2009    EDN 150/FA       67310 J1      A SPEC ED TEACHER                            1.00   $     43,157.00       1.00   $     43,157.04   05 T02
   07/28/2009    EDN 150/FA       67528 J1      A SPEC ED TEACHER                            1.00   $     46,609.00       1.00   $     46,608.96   05 T03
   07/28/2009    EDN 150/FA       67549 J1      A SPEC ED TEACHER                            1.00   $     70,461.00       1.00   $     48,008.16   05 T03
   07/28/2009    EDN 150/FA       67590 J1      A SPEC ED TEACHER                            1.00   $     58,959.00       1.00   $     43,157.04   05 T02
   07/28/2009    EDN 150/FA       67662 J1      A SPEC ED TEACHER                            1.00   $     32,713.00       1.00   $     43,157.04   05 T02
   07/28/2009    EDN 150/FA       67779 J1      A GEN EDUC/ARTICLE VI TCHR                   1.00   $     60,729.00       1.00   $     43,157.04   05 T02
   07/28/2009    EDN 150/FA       67942 J1      A SPEC ED TEACHER                            1.00   $     33,684.00       1.00   $     40,566.96   05 A02
   07/28/2009    EDN 150/FA       67998 J1      A SPEC ED TEACHER                            1.00   $     43,157.00       1.00   $     48,008.16   05 T03
   07/28/2009    EDN 150/FA       68038 T1      A SPEC ED TEACHER                            1.00   $     46,609.00       1.00   $     46,608.96   05 T03
   07/28/2009    EDN 150/FA       68051 T1      A SPEC ED TEACHER                            1.00   $     43,157.00       1.00   $     46,608.96   05 T03
   07/28/2009    EDN 150/FA       68235 J1      A SPEC ED TEACHER                            1.00   $     44,452.00       1.00   $     40,566.96   05 A02
   07/28/2009    EDN 150/FA       68427 T1      A SPEC ED TEACHER                            1.00   $     43,157.00       1.00   $     40,566.96   05 A02
   07/28/2009    EDN 150/FA       68485 J1      A SPEC ED TEACHER                            1.00   $     44,452.00       1.00   $     40,566.96   05 A02
   07/28/2009    EDN 150/FA       68681 T1      A SPEC ED TEACHER                            1.00   $     32,713.00       1.00   $     40,566.96   05 A02
   07/28/2009    EDN 150/FA       68720 J1      A SPEC ED TEACHER                            1.00   $     66,359.00       1.00   $     46,608.96   05 T03
   07/28/2009    EDN 150/FA       68952 J1      A SPEC ED TEACHER                            1.00   $     45,785.00       1.00   $     44,452.08   05 T02
   07/28/2009    EDN 150/FA       69039 T1      A SPEC ED TEACHER                            1.00   $     49,448.00       1.00   $     48,008.16   05 T03
   07/28/2009    EDN 150/FA       69083 J1      A SPEC ED TEACHER                            1.00   $     45,785.00       1.00   $     40,566.96   05 A02
   07/28/2009    EDN 150/FA       69196 J1      A SPEC ED TEACHER                            1.00   $     52,968.00       1.00   $     43,157.04   05 T02


                                                                   Page 89                                                                 2011 Budget Briefing
Department of Education                                                                  Table 13
                                                                 New Hires
  New Hire                      Position  Perm/                                   Budgeted             Budgeted       Actual                     BU     SR 
Effective Date    Prog ID/Org   Number Temp MOF             Position Title             FTE                Salary        FTE      Actual Salary  Code Level
   07/28/2009    EDN 150/FA       69259 J1      A SPEC ED TEACHER                            1.00   $     44,452.00       1.00   $     43,157.04   05 T02
   07/28/2009    EDN 150/FA       69338 T1      A SPEC ED TCHR/PRE‐SCHOOL                    1.00   $     32,713.00       1.00   $     46,608.96   05 T03
   07/28/2009    EDN 150/FA       69782 J1      A GEN EDUC/ARTICLE VI TCHR                   1.00   $     43,157.00       1.00   $     43,157.04   05 T02
   07/28/2009    EDN 150/FA       69880 J1      A SPEC ED TEACHER                            1.00   $     70,461.00       1.00   $     43,157.04   05 T02
   07/28/2009    EDN 150/FA       71263 J1      A SPEC ED TEACHER                            1.00   $     62,550.00       1.00   $     46,608.96   05 T03
   07/28/2009    EDN 150/FA       71274 J1      A SPEC ED TEACHER                            1.00   $     42,907.00       1.00   $     43,157.04   05 T02
   07/28/2009    EDN 150/FA       71554 J1      A SPEC ED TEACHER                            1.00   $     45,785.00       1.00   $     43,157.04   05 T02
   07/28/2009    EDN 150/FA       71762 J1      A SPEC ED TEACHER                            1.00   $     59,010.00       1.00   $     40,566.96   05 A02
   07/28/2009    EDN 150/FA       71843 J1      A SPEC ED TEACHER                            1.00   $     51,426.00       1.00   $     43,157.04   05 T02
   07/28/2009    EDN 150/FA       72157 T1      A SPEC ED TEACHER                            1.00   $     32,713.00       1.00   $     43,157.04   05 T02
   07/28/2009    EDN 150/FA       72203 T1      A SPEC ED TEACHER                            1.00   $     44,452.00       1.00   $     43,157.04   05 T02
   07/28/2009    EDN 150/FA       72248 J1      A SPEC ED TEACHER                            1.00   $     43,157.00       1.00   $     43,157.04   05 T02
   07/28/2009    EDN 150/FA       72336 J1      A SPEC ED TEACHER                            1.00   $     43,157.00       1.00   $     43,157.04   05 T02
   07/28/2009    EDN 150/FA       72433 J1      A SPEC ED TEACHER                            1.00   $     33,694.00       1.00   $     48,008.16   05 T03
   07/28/2009    EDN 150/FA       72489 J1      A SPEC ED TEACHER                            1.00   $     45,785.00       1.00   $     40,566.96   05 A02
   07/28/2009    EDN 150/FA       72542 J1      A SPEC ED TEACHER                            1.00   $     50,931.00       1.00   $     40,566.96   05 A02
   07/28/2009    EDN 150/FA       72559 J1      A SPEC ED TCHR/PRE‐SCHOOL                    1.00   $     62,550.00       1.00   $     48,008.16   05 T03
   07/28/2009    EDN 150/FA       72577 T1      A SPEC ED TEACHER                            1.00   $     43,157.00       1.00   $     44,452.08   05 T02
   07/28/2009    EDN 150/FA       72731 J1      A SPEC ED TEACHER                            1.00   $     44,452.00       1.00   $     46,608.96   05 T03
   07/28/2009    EDN 150/FA       72754 T1      A SPEC ED TEACHER                            1.00   $     43,157.00       1.00   $     43,157.04   05 T02
   07/28/2009    EDN 150/FA       72762 J1      A SPEC ED TEACHER                            1.00   $     43,157.00       1.00   $     46,608.96   05 T03
   07/28/2009    EDN 150/FA       72771 J1      A SPEC ED TEACHER                            1.00   $     43,157.00       1.00   $     48,008.16   05 T03
   07/28/2009    EDN 150/FA       72789 J1      A SPEC ED TCHR/PRE‐SCHOOL                    1.00   $     51,426.00       1.00   $     32,712.96   05 T02
   07/28/2009    EDN 150/FA       72798 J1      A SPEC ED TEACHER                            1.00   $     49,448.00       1.00   $     48,008.16   05 T03
   07/28/2009    EDN 150/FA       72799 J1      A SPEC ED TEACHER                            1.00   $     49,448.00       1.00   $     43,157.04   05 T02
   07/28/2009    EDN 150/FA       73202 J1      A SPEC ED TCHR/PRE‐SCHOOL                    1.00   $     63,595.00       1.00   $     43,157.04   05 T02
   07/28/2009    EDN 150/FA       73207 J1      A SPEC ED TEACHER                            1.00   $     43,157.00       1.00   $     43,157.04   05 T02
   07/28/2009    EDN 150/FA       73256 T1      A SPEC ED TEACHER                            1.00   $     58,959.00       1.00   $     43,157.04   05 T02
   07/28/2009    EDN 150/FA       73291 T1      A SPEC ED TEACHER                            1.00   $     43,157.00       1.00   $     43,157.04   05 T02
   07/28/2009    EDN 150/FA       73335 T1      A SPEC ED TEACHER                            1.00   $     49,448.00       1.00   $     43,157.04   05 T02
   07/28/2009    EDN 150/FA       73465 J1      A SPEC ED TEACHER                            1.00   $     32,713.00       1.00   $     43,157.04   05 T02
   07/28/2009    EDN 150/FA       73617 T1      A SPEC ED TEACHER                            1.00   $     43,157.00       1.00   $     43,157.04   05 T02
   07/28/2009    EDN 150/FA       73637 J1      A SPEC ED TEACHER                            1.00   $     60,729.00       1.00   $     44,452.08   05 T02
   07/28/2009    EDN 150/FA       73724 J1      A SPEC ED TEACHER                            1.00   $     46,609.00       1.00   $     43,157.04   05 T02


                                                                   Page 90                                                                 2011 Budget Briefing
Department of Education                                                                  Table 13
                                                                 New Hires
  New Hire                      Position  Perm/                                   Budgeted             Budgeted       Actual                     BU     SR 
Effective Date    Prog ID/Org   Number Temp MOF             Position Title             FTE                Salary        FTE      Actual Salary  Code Level
   07/28/2009    EDN 150/FA       73837 J1      A SPEC ED TEACHER                            1.00   $     60,088.00       1.00   $     43,157.04   05 T02
   07/28/2009    EDN 150/FA       73934 J1      A SPEC ED TEACHER                            1.00   $     51,426.00       1.00   $     46,608.96   05 T03
   07/28/2009    EDN 150/FA       73938 J1      A SPEC ED TEACHER                            1.00   $     44,452.00       1.00   $     43,157.04   05 T02
   07/28/2009    EDN 150/FA       74175 J1      A SPEC ED TEACHER                            1.00   $     46,609.00       1.00   $     46,608.96   05 T03
   07/28/2009    EDN 150/FA       74317 J1      A SPEC ED TCHR/PRE‐SCHOOL                    1.00   $     32,713.00       1.00   $     32,712.96   05 T02
   07/28/2009    EDN 150/FA       74333 J1      A SPEC ED TEACHER                            1.00   $     37,481.00       1.00   $     43,157.04   05 T02
   07/28/2009    EDN 150/FA       74421 T1      A SPEC ED TEACHER                            1.00   $     58,959.00       1.00   $     43,157.04   05 T02
   07/28/2009    EDN 150/FA       74482 T1      A SPEC ED TEACHER                            1.00   $     36,389.00       1.00   $     43,157.04   05 T02
   07/28/2009    EDN 150/FA       74655 J1      A SPEC ED TEACHER                            1.00   $     53,483.00       1.00   $     43,157.04   05 T02
   07/28/2009    EDN 150/FA       74661 J1      A SPEC ED TEACHER                            1.00   $     50,743.00       1.00   $     44,452.08   05 T02
   07/28/2009    EDN 150/FA       74676 J1      A SPEC ED TEACHER                            1.00   $     48,008.00       1.00   $     40,566.96   05 A02
   07/28/2009    EDN 150/FA       75452 T1      A GEN EDUC/ARTICLE VI TCHR                   0.50   $     26,484.00       1.00   $     46,608.96   05 T03
   07/28/2009    EDN 150/FA       75453 T1      A SPEC ED TEACHER                            1.00   $     49,448.00       1.00   $     43,157.04   05 T02
   07/28/2009    EDN 150/FA       75455 T1      A SPEC ED TEACHER                            1.00   $     43,157.00       1.00   $     44,452.08   05 T02
   07/28/2009    EDN 150/FA       75487 T1      A SPEC ED TEACHER                            1.00   $     46,609.00       1.00   $     46,608.96   05 T03
   07/28/2009    EDN 150/FA       75492 T1      A SPEC ED TEACHER                            1.00   $     53,483.00       1.00   $     48,008.16   05 T03
   07/28/2009    EDN 150/FA       75503 T1      A SPEC ED TEACHER                            1.00   $     44,452.00       1.00   $     40,566.96   05 A02
   07/28/2009    EDN 150/FA       75536 T1      A GEN EDUC/ARTICLE VI TCHR                   1.00   $     62,550.00       1.00   $     46,608.96   05 T03
   07/28/2009    EDN 150/FA       75646 T1      A SPEC ED TEACHER                            1.00   $     53,483.00       1.00   $     43,157.04   05 T02
   07/28/2009    EDN 150/FA       75686 T1      A SPEC ED TEACHER                            1.00   $     49,448.00       1.00   $     48,008.16   05 T03
   07/28/2009    EDN 150/FA       75725 J1      A SPEC ED TEACHER                            1.00   $     52,968.00       1.00   $     46,608.96   05 T03
   07/28/2009    EDN 150/FA       75838 T1      A SPEC ED TEACHER                            1.00   $     43,157.00       1.00   $     48,008.16   05 T03
   07/28/2009    EDN 150/FA       75848 T1      A SPEC ED TEACHER                            1.00   $     43,157.00       1.00   $     43,157.04   05 T02
   07/28/2009    EDN 150/FA       75929 J1      A GEN EDUC/ARTICLE VI TCHR                   1.00   $     54,263.00       1.00   $     40,566.96   05 A02
   07/28/2009    EDN 150/FA       75941 J1      A GEN EDUC/ARTICLE VI TCHR                   1.00   $     48,008.00       1.00   $     46,608.96   05 T03
   07/28/2009    EDN 150/FA       76077 J1      A SPEC ED TCHR/PRE‐SCHOOL                    1.00   $     60,729.00       1.00   $     43,157.04   05 T02
   07/28/2009    EDN 150/FA       76325 T1      A SPEC ED TEACHER                            1.00   $     46,609.00       1.00   $     40,566.96   05 A02
   07/28/2009    EDN 150/FA       76330 J1      A SPEC ED TEACHER                            1.00   $     32,713.00       1.00   $     43,157.04   05 T02
   07/28/2009    EDN 150/FA       72796 J1      A SPEC ED TEACHER                            1.00   $     43,157.00       1.00   $     43,157.04   05 T02
   07/28/2009    EDN 150/FB       60267 J1      A SPECIAL SCH TEACHER                        1.00   $     50,493.00       1.00   $     32,712.96   05 T02
   07/28/2009    EDN 150/FB       75020 J1      A SPECIAL SCH TEACHER                        1.00   $     51,426.00       1.00   $     43,157.04   05 T02
   07/28/2009    EDN 150/NB       79204 T1      N DIST OFF TCHR                              1.00   $     43,157.04       1.00   $     43,157.04   05 T02
   07/28/2009    EDN 150/NB       79501 T1      N DIST OFF TCHR                              1.00   $     43,157.04       1.00   $     43,157.04   05 T02
   07/28/2009    EDN 150/NB       79538 T1      N DIST OFF TCHR                              1.00   $     32,712.96       1.00   $     32,712.96   05 T02


                                                                   Page 91                                                                 2011 Budget Briefing
Department of Education                                                                  Table 13
                                                                New Hires
  New Hire                      Position  Perm/                                  Budgeted             Budgeted       Actual                     BU     SR 
Effective Date    Prog ID/Org   Number Temp MOF            Position Title             FTE                Salary        FTE      Actual Salary  Code Level
   07/28/2009    EDN 150/SA       30409 J1      A SPEECH PATHOLOGIST II                     1.00   $     57,999.00       1.00   $     38,988.00   13 SR18
   07/28/2009    EDN 150/SA       33038 J1      A SPEECH PATHOLOGIST II                     1.00   $     67,070.00       1.00   $     38,988.00   13 SR18
   07/28/2009    EDN 150/SA       56044 J1      A SPEECH PATHOLOGIST II                     1.00   $     57,999.00       1.00   $     38,988.00   13 SR18
   07/28/2009    EDN 150/SA       56256 J1      A SPEECH PATHOLOGIST IV                     1.00   $     60,315.00       1.00   $     45,576.00   13 SR22
   07/28/2009    EDN 150/YC       58543 J1      A BEHAVIORAL HLTH SPCLT IV                  1.00   $     45,576.00       1.00   $     49,332.00   13 SR22
   07/28/2009    EDN 150/YK      117615 T1      A SCHOOL HEALTH AIDE                        1.00   $     24,786.00       1.00   $     18,078.00   03 SR09
   07/28/2009    EDN 150/YK      801370 T1      A SCHOOL HEALTH AIDE                        1.00   $     18,873.00       1.00   $     26,707.20   63 SR09
   07/28/2009    EDN 200/GN       72467 J1      A COMPLEX AREA TEACHER                      1.00   $     48,008.16       1.00   $     48,008.16   05 T03
   07/29/2009    EDN 100/AA       30636 J1      A SCHOOL SECURITY ATTENDANT                 1.00   $     25,213.00       1.00   $     20,539.92   03 SR07
   07/29/2009    EDN 100/AA       30679 J1      A SCHOOL SECURITY ATTENDANT                 1.00   $     25,213.00       1.00   $     20,539.92   03 SR07
   07/29/2009    EDN 100/AA       57664 J1      A SCHOOL SECURITY ATTENDANT                 1.00   $     25,213.00       1.00   $     20,539.92   03 SR07
   07/29/2009    EDN 100/AA       59935 T1      A SCHOOL SECURITY ATTENDANT                 0.88   $     22,187.00       0.88   $     17,972.43   03 SR07
   07/29/2009    EDN 100/AA       60927 J1      A ELEM TEACHER                              1.00   $     56,257.00       1.00   $     43,157.04   05 T02
   07/29/2009    EDN 100/AA       67259 J1      A ELEM TEACHER                              1.00   $     56,257.00       1.00   $     46,608.96   05 T03
   07/29/2009    EDN 100/AA      801145 T1      A SCHOOL SECURITY ATTENDANT                 1.00   $     25,213.00       1.00   $     20,539.92   03 SR07
   07/29/2009    EDN 100/AA      801234 T1      A EDUC ASST III                             1.00   $     29,647.00       1.00   $     25,030.08   03 SR12
   07/29/2009    EDN 100/AA      801236 T1      A EDUC ASST III                             1.00   $     29,647.00       1.00   $     25,030.08   03 SR12
   07/29/2009    EDN 100/AA      801237 T1      A EDUC ASST II                              1.00   $     29,647.00       1.00   $     23,130.00   03 SR10
   07/29/2009    EDN 100/AA      801361 T1      A EDUC ASST III                             0.75   $     22,235.00       0.75   $     17,347.50   03 SR10
   07/29/2009    EDN 150/FA       52678 J1      A EDUC ASST II                              0.75   $     19,599.00       0.75   $     17,347.50   03 SR10
   07/29/2009    EDN 150/FA       52755 J1      A EDUC ASST II                              0.88   $     30,054.00       0.88   $     20,238.75   03 SR10
   07/29/2009    EDN 150/FA       56845 T1      A EDUC ASST II                              1.00   $     30,506.00       1.00   $     23,130.00   03 SR10
   07/29/2009    EDN 150/FA       57070 J1      A EDUC ASST II                              1.00   $     26,131.00       1.00   $     23,130.00   03 SR10
   07/29/2009    EDN 150/FA       57342 T1      A EDUC ASST II                              0.75   $     19,599.00       0.75   $     17,347.50   03 SR10
   07/29/2009    EDN 150/FA       57575 T1      A EDUC ASST I                               0.50   $     22,865.00       0.88   $     18,716.25   03 SR08
   07/29/2009    EDN 150/FA       57581 T1      A EDUC ASST III                             0.88   $     22,865.00       0.88   $     21,901.32   03 SR12
   07/29/2009    EDN 150/FA       58770 J1      A EDUC ASST II                              1.00   $     29,368.00       1.00   $     23,130.00   03 SR10
   07/29/2009    EDN 150/FA      800103 T1      A EDUC ASST II                              1.00   $     28,209.00       1.00   $     23,130.00   03 SR10
   07/29/2009    EDN 150/FA      800167 T1      A EDUC ASST III                             1.00   $     26,131.00       1.00   $     25,030.08   03 SR12
   07/29/2009    EDN 150/FA      800499 T1      A EDUC ASST III                             1.00   $     26,131.00       1.00   $     25,667.20   63 SR08
   07/29/2009    EDN 150/FA      800499 T1      A EDUC ASST II                              1.00   $     26,131.00       1.00   $     23,130.00   03 SR10
   07/29/2009    EDN 150/FA      800514 T1      A EDUC ASST I                               1.00   $     28,209.00       1.00   $     21,390.00   03 SR08
   07/29/2009    EDN 150/FA      800611 J1      A EDUC ASST I                               1.00   $     26,131.00       1.00   $     21,390.00   03 SR08
   07/29/2009    EDN 150/FA      801259 T1      A EDUC ASST III                             1.00   $     26,131.00       1.00   $     25,030.08   03 SR12


                                                                  Page 92                                                                 2011 Budget Briefing
Department of Education                                                                  Table 13
                                                                 New Hires
  New Hire                    Position  Perm/                                     Budgeted             Budgeted       Actual                     BU     SR 
Effective Date    Prog ID/Org Number Temp MOF             Position Title               FTE                Salary        FTE      Actual Salary  Code Level
   07/29/2009    EDN 150/FA    801295 T1      A EDUC ASST III                                1.00   $     26,131.00       0.75   $     18,772.56   03 SR12
   07/29/2009    EDN 150/NB    800355 T1      N EDUC ASST I                                  1.00   $     21,390.00       1.00   $     21,390.00   03 SR08
   07/29/2009    EDN 150/SA     30506 J1      A COMMUNICATION AID                            0.75   $     25,761.00       0.75   $     18,772.56   03 SR12
   07/29/2009    EDN 400/MD     35836 T1      N CAFETERIA HELPER                             0.50   $     16,614.00       0.50   $     16,614.00   01 BC02
   07/29/2009    EDN 400/MD     41109 J1      B CAFETERIA HELPER                             0.50   $     16,614.00       0.50   $     16,614.00   01 BC02
   07/29/2009    EDN 400/MD     41113 T1      N CAFETERIA HELPER                             0.50   $     16,614.00       0.50   $     16,614.00   01 BC02
   07/29/2009    EDN 400/MD     44465 J1      B CAFETERIA HELPER                             0.50   $     16,614.00       0.50   $     16,614.00   01 BC02
   07/29/2009    EDN 400/MD     45866 T1      N CAFETERIA HELPER                             0.50   $     16,614.00       0.50   $     16,614.00   01 BC02
   07/29/2009    EDN 400/MD     59680 T1      N CAFETERIA HELPER                             0.50   $     16,614.00       0.50   $     16,614.00   01 BC02
   07/29/2009    EDN 400/YA     59162 J1      A BUS DRIVER                                   0.50   $     19,986.00       0.50   $     19,986.00   01 BC07
   07/30/2009    EDN 100/AA     61073 J1      A ELEM TEACHER                                 1.00   $     56,257.00       1.00   $     46,608.96   05 T03
   07/30/2009    EDN 100/AA     66340 J1      A ELEM TEACHER                                 1.00   $     56,257.00       1.00   $     46,608.96   05 T03
   07/30/2009    EDN 100/AA     71978 T1      A ELEM TEACHER                                 1.00   $     56,257.00       1.00   $     48,008.16   05 T03
   07/30/2009    EDN 100/AA     73858 T1      A SECONDARY TEACHER                            1.00   $     56,257.00       1.00   $     43,157.04   05 T02
   07/30/2009    EDN 100/AA     74018 T1      A SECONDARY TEACHER                            1.00   $     56,257.00       1.00   $     46,608.96   05 T03
   07/30/2009    EDN 100/AA     74485 T1      A SECONDARY TEACHER                            1.00   $     56,257.00       1.00   $     40,566.96   05 A02
   07/30/2009    EDN 100/AA     76038 J1      A SECONDARY TEACHER                            1.00   $     56,257.00       1.00   $     43,157.04   05 T02
   07/30/2009    EDN 150/NB     79532 T1      N DIST OFF TCHR                                1.00   $     43,157.04       1.00   $     43,157.04   05 T02
   07/30/2009    EDN 150/SA     30496 J1      A COMMUNICATION AID                            0.50   $     14,684.00       0.50   $     12,515.04   03 SR12
   07/31/2009    EDN 100/AA     61856 J1      A LIBRARIAN                                    1.00   $     56,257.00       1.00   $     43,157.04   05 T02
   07/31/2009    EDN 100/AA     69722 J1      A ELEM TEACHER                                 1.00   $     56,257.00       1.00   $     46,608.96   05 T03
   07/31/2009    EDN 100/DB 79249X        T1  N SECONDARY TEACHER                            1.00   $     40,566.96       1.00   $     40,566.96   05 A02
   07/31/2009    EDN 150/FA     72770 J1      A SPEC ED TEACHER                              1.00   $     46,609.00       1.00   $     32,712.96   05 T02
   07/31/2009    EDN 150/FA     73308 J1      A SPEC ED TEACHER                              1.00   $     49,448.00       1.00   $     46,608.96   05 T03
   07/31/2009    EDN 400/MD     52960 T1      N CAFETERIA HELPER                             0.50   $     16,614.00       0.50   $     16,614.00   01 BC02
   08/03/2009    EDN 100/AA       8087 J1     A CLERK TYPIST II                              1.00   $     29,865.00       1.00   $     25,667.20   63 SR08
   08/03/2009    EDN 100/AA     16646 J1      A SCHOOL CUSTODIAN II                          0.50   $     16,942.00       0.50   $     16,614.00   01 BC02
   08/03/2009    EDN 100/AA     40512 J1      A CLERK II                                     1.00   $     29,178.00       1.00   $     23,691.20   63 SR06
   08/03/2009    EDN 100/AA     41663 J1      A CLERK TYPIST II                              0.50   $     14,933.00       0.50   $     12,833.60   63 SR08
   08/03/2009    EDN 100/AA     45219 J1      A SCHOOL CUSTODIAN II                          0.50   $     16,942.00       0.50   $     16,614.00   01 BC02
   08/03/2009    EDN 100/AA     50897 J1      A CLERK TYPIST II                              1.00   $     29,865.00       1.00   $     25,667.20   63 SR08
   08/03/2009    EDN 100/AA     59168 J1      A CLERK TYPIST II                              0.50   $     14,933.00       0.50   $     12,833.60   63 SR08
   08/03/2009    EDN 100/AA     63504 J1      A SECONDARY TEACHER                            1.00   $     56,257.00       1.00   $     32,712.96   05 T02
   08/03/2009    EDN 100/AA     68145 T1      A ELEM TEACHER                                 1.00   $     56,257.00       1.00   $     43,157.04   05 T02


                                                                    Page 93                                                                2011 Budget Briefing
Department of Education                                                                  Table 13
                                                             New Hires
  New Hire                    Position  Perm/                                 Budgeted             Budgeted       Actual                     BU     SR 
Effective Date    Prog ID/Org Number Temp MOF             Position Title           FTE                Salary        FTE      Actual Salary  Code Level
   08/03/2009    EDN 100/AA     69339 J1      A ELEM TEACHER                             1.00   $     56,257.00       1.00   $     43,157.04   05 T02
   08/03/2009    EDN 100/AA    800685 J1      A CLERK TYPIST II                          1.00   $     29,865.00       1.00   $     25,667.20   63 SR08
   08/03/2009    EDN 100/AA 73199X        T1  A ELEM TEACHER                             1.00   $     56,257.00       1.00   $     43,157.04   05 T02
   08/03/2009    EDN 100/AA 75471X        T1  A ELEM TEACHER                             1.00   $     56,257.00       1.00   $     46,608.96   05 T03
   08/03/2009    EDN 150/FA     55429 J1      A EDUC ASST II                             0.50   $     13,577.00       0.50   $     11,565.00   03 SR10
   08/03/2009    EDN 150/FA     55437 J1      A EDUC ASST II                             0.75   $     21,157.00       0.75   $     17,347.50   03 SR10
   08/03/2009    EDN 150/FA     67168 J1      A SPEC ED TCHR/PRE‐SCHOOL                  1.00   $     49,448.00       1.00   $     43,157.04   05 T02
   08/03/2009    EDN 150/FA     72781 J1      A SPEC ED TEACHER                          1.00   $     54,013.00       1.00   $     43,157.04   05 T02
   08/03/2009    EDN 150/FA     73839 J1      A SPEC ED TEACHER                          1.00   $     45,785.00       1.00   $     43,157.04   05 T02
   08/03/2009    EDN 150/FA    801241 T1      A EDUC ASST III                            1.00   $     26,131.00       1.00   $     25,030.08   03 SR12
   08/03/2009    EDN 150/FA    801283 T1      A EDUC ASST I                              1.00   $     26,131.00       1.00   $     21,390.00   03 SR08
   08/03/2009    EDN 150/NB     32307 T1      N SCHOOL PSYCHOLOGIST                      1.00   $     51,312.00       1.00   $     51,312.00   13 SR24
   08/03/2009    EDN 150/NB     79376 T1      N DIST OFF TCHR                            1.00   $     43,157.04       1.00   $     43,157.04   05 T02
   08/03/2009    EDN 150/YC    800421 J1      A SCHOOL PSYCHOLOGIST                      1.00   $     67,428.00       1.00   $     51,312.00   13 SR24
   08/03/2009    EDN 150/YK     29432 J1      A SCHOOL HEALTH AIDE                       1.00   $     22,920.00       1.00   $     18,078.00   03 SR09
   08/03/2009    EDN 150/YK     29479 J1      A SCHOOL HEALTH AIDE                       1.00   $     26,839.00       1.00   $     26,707.20   63 SR09
   08/03/2009    EDN 400/MD       3646 J1     A SCHOOL COOK II                           1.00   $     38,436.00       1.00   $     38,436.00   01 BC06
   08/03/2009    EDN 400/MD    800708 J1      B CAFETERIA HELPER                         0.50   $     16,614.00       0.50   $     16,619.20   61 BC02
   08/04/2009    EDN 150/YC     31503 J1      A SCHOOL PSYCHOLOGIST                      1.00   $     46,803.00       1.00   $     51,312.00   13 SR24
   08/04/2009    EDN 150/YC    800384 J1      A SCHOOL PSYCHOLOGIST                      1.00   $     48,688.00       1.00   $     51,312.00   13 SR24
   08/05/2009    EDN 150/FA     63790 J1      A SPEC ED TEACHER                          1.00   $     48,008.00       1.00   $     46,608.96   05 T03
   08/05/2009    EDN 150/FA     73738 J1      A SPEC ED TEACHER                          1.00   $     45,785.00       1.00   $     40,566.96   05 A02
   08/05/2009    EDN 150/FA     75698 T1      A SPEC ED TEACHER                          1.00   $     49,448.00       1.00   $     40,566.96   05 A02
   08/05/2009    EDN 150/FA    801258 T1      A EDUC ASST III                            1.00   $     26,131.00       1.00   $     25,030.08   03 SR12
   08/06/2009    EDN 100/AA     61344 J1      A ELEM TEACHER                             0.50   $     28,128.00       0.50   $     23,304.48   45 T03
   08/06/2009    EDN 150/FA     67252 J1      A SPEC ED TEACHER                          1.00   $     53,483.00       1.00   $     43,157.04   05 T02
   08/06/2009    EDN 150/FA     74075 J1      A SPEC ED TEACHER                          1.00   $     40,567.00       1.00   $     46,608.96   05 T03
   08/07/2009    EDN 100/BJ     69923 J1      A SECONDARY TEACHER                        0.50   $     28,370.00       0.50   $     21,578.52   45 T02
   08/07/2009    EDN 150/FA     75840 T1      A SPEC ED TEACHER                          1.00   $     40,567.00       1.00   $     32,712.96   05 T02
   08/07/2009    EDN 150/SA     58826 J1      A SPEECH PATHOLOGIST II                    1.00   $     57,999.00       1.00   $     38,988.00   13 SR18
   08/10/2009    EDN 100/AA     30617 J1      A SCHOOL SECURITY ATTENDANT                1.00   $     25,213.00       1.00   $     24,648.00   63 SR07
   08/10/2009    EDN 100/AA     63964 J1      A ELEM TEACHER                             1.00   $     56,257.00       1.00   $     43,157.04   05 T02
   08/10/2009    EDN 100/AA     68583 J1      A SECONDARY TEACHER                        1.00   $     56,257.00       1.00   $     43,157.04   05 T02
   08/10/2009    EDN 100/AA     68697 J1      A COUNSELOR                                1.00   $     56,257.00       1.00   $     46,608.96   05 T03


                                                               Page 94                                                                 2011 Budget Briefing
Department of Education                                                                  Table 13
                                                                  New Hires
  New Hire                       Position  Perm/                                   Budgeted             Budgeted       Actual                     BU     SR 
Effective Date    Prog ID/Org    Number Temp MOF             Position Title             FTE                Salary        FTE      Actual Salary  Code Level
   08/10/2009    EDN 100/AA     73542X       T1  A ELEM TEACHER                               1.00   $     56,257.00       1.00   $     46,608.96   05 T03
   08/10/2009    EDN 150/FA        68946 J1      A SPEC ED TEACHER                            1.00   $     49,448.00       1.00   $     48,008.16   05 T03
   08/10/2009    EDN 150/YC        58310 J1      A BEHAVIORAL HLTH SPCLT IV                   1.00   $     49,332.00       1.00   $     51,312.00   13 SR22
   08/10/2009    EDN 150/YG        59557 J1      A BEHAVIORAL HEALTH SPCLT III                1.00   $     45,576.00       1.00   $     42,132.00   13 SR20
   08/10/2009    EDN 300/UA        66355 J1      A TELECOMM DIRECTOR                          1.00   $     87,340.00       1.00   $     87,340.08   06 E10
   08/11/2009    EDN 100/AA        71059 J1      A ELEM TEACHER                               0.50   $     28,128.00       0.50   $     21,578.52   45 T02
   08/11/2009    EDN 100/AA       801378 T1      A SCHOOL SECURITY ATTENDANT                  1.00   $     25,213.00       1.00   $     24,648.00   63 SR07
   08/11/2009    EDN 150/FA        63200 J1      A SPEC ED TEACHER                            1.00   $     32,713.00       1.00   $     46,608.96   05 T03
   08/11/2009    EDN 150/FA       800928 T1      A EDUC ASST III                              0.75   $     19,599.00       0.75   $     18,772.56   03 SR12
   08/11/2009    EDN 150/YG       801198 J1      A BEHAVIORAL HLTH SPCLT III                  1.00   $     45,576.00       1.00   $     42,132.00   13 SR20
   08/12/2009    EDN 100/AA        74302 J1      A SECONDARY TEACHER                          1.00   $     56,257.00       1.00   $     32,712.96   05 T02
   08/12/2009    EDN 100/AA     67386X       T1  A ELEM TEACHER                               1.00   $     56,257.00       1.00   $     48,008.16   05 T03
   08/12/2009    EDN 100/DB        79845 T1      N SECONDARY TEACHER                          1.00   $     43,157.04       1.00   $     43,157.04   05 T02
   08/12/2009    EDN 150/FA        71013 J1      A SPEC ED TEACHER                            1.00   $     50,493.00       1.00   $     44,452.08   05 T02
   08/12/2009    EDN 150/YC        58528 T1      A BEHAVIORAL HLTH SPCLT III                  1.00   $     45,576.00       1.00   $     42,132.00   13 SR20
   08/13/2009    EDN 100/AA        57659 J1      A SCHOOL SECURITY ATTENDANT                  1.00   $     25,213.00       1.00   $     24,648.00   63 SR07
   08/13/2009    EDN 150/FA        76153 J1      A GEN EDUC/ARTICLE VI TCHR                   1.00   $     45,785.00       1.00   $     40,566.96   05 A02
   08/14/2009    EDN 100/DB        79621 T1      N ELEM TEACHER                               1.00   $     40,566.96       1.00   $     40,566.96   05 A02
   08/17/2009    EDN 100/AA        16412 J1      A SCHOOL CUSTODIAN II                        0.50   $     16,942.00       0.50   $     16,619.20   61 BC02
   08/17/2009    EDN 100/AA        16603 J1      A SCHOOL CUSTODIAN II                        0.50   $     16,942.00       0.50   $     16,619.20   61 BC02
   08/17/2009    EDN 100/AA        19098 J1      A CLERK TYPIST II                            1.00   $     29,865.00       1.00   $     25,667.20   63 SR08
   08/17/2009    EDN 100/AA        26560 J1      A SCHOOL CUSTODIAN II                        0.50   $     16,942.00       0.50   $     16,619.20   61 BC02
   08/17/2009    EDN 100/AA        30651 J1      A SCHOOL SECURITY ATTENDANT                  1.00   $     25,213.00       1.00   $     20,539.92   03 SR07
   08/17/2009    EDN 100/AA        53176 J1      A SCHOOL CUSTODIAN II                        0.50   $     16,942.00       0.50   $     16,619.20   61 BC02
   08/17/2009    EDN 100/AA        56508 J1      A CLERK TYPIST II                            0.50   $     14,933.00       0.50   $     12,833.60   63 SR08
   08/17/2009    EDN 100/AA        60384 J1      A SECONDARY TEACHER                          1.00   $     56,257.00       1.00   $     44,452.08   05 T02
   08/17/2009    EDN 100/AA        60517 J1      A ELEM TEACHER                               0.50   $     28,128.00       0.50   $     21,578.52   45 T02
   08/17/2009    EDN 100/AA        64791 J1      A SECONDARY TEACHER                          1.00   $     56,257.00       1.00   $     44,452.08   05 T02
   08/17/2009    EDN 100/AA        69800 J1      A ELEM TEACHER                               0.50   $     28,128.00       0.50   $     21,578.52   45 T02
   08/17/2009    EDN 100/AA        74523 J1      A ELEM TEACHER                               1.00   $     56,257.00       1.00   $     43,157.04   05 T02
   08/17/2009    EDN 100/AA     66930X       T1  A SECONDARY TEACHER                          1.00   $     56,257.00       1.00   $     43,157.04   05 T02
   08/17/2009    EDN 100/AA     69553X       T1  A ELEM TEACHER                               1.00   $     56,257.00       1.00   $     43,157.04   05 T02
   08/17/2009    EDN 100/AA     74504X       T1  A ELEM TEACHER                               0.50   $     28,128.00       0.50   $     23,304.48   45 T03
   08/17/2009    EDN 100/DB        79945 T1      N ELEM TEACHER                               1.00   $     40,566.96       1.00   $     40,566.96   05 A02


                                                                    Page 95                                                                 2011 Budget Briefing
Department of Education                                                                  Table 13
                                                             New Hires
  New Hire                    Position  Perm/                                 Budgeted             Budgeted       Actual                     BU     SR 
Effective Date    Prog ID/Org Number Temp MOF             Position Title           FTE                Salary        FTE      Actual Salary  Code Level
   08/17/2009    EDN 150/FA     54501 J1      A EDUC ASST II                             0.75   $     22,879.00       0.75   $     17,347.50   03 SR10
   08/17/2009    EDN 150/FA     57072 J1      A EDUC ASST II                             1.00   $     26,131.00       1.00   $     23,130.00   03 SR10
   08/17/2009    EDN 150/FA     57357 T1      A EDUC ASST II                             0.75   $     19,599.00       0.75   $     17,347.50   03 SR10
   08/17/2009    EDN 150/FA     58995 J1      A EDUC ASST II                             0.75   $     22,026.00       0.75   $     17,347.50   03 SR10
   08/17/2009    EDN 150/FA     66134 T1      A SPEC ED TEACHER                          1.00   $     33,694.00       1.00   $     46,608.96   05 T03
   08/17/2009    EDN 150/FA     68320 J1      A SPEC ED TEACHER                          1.00   $     51,426.00       1.00   $     48,008.16   05 T03
   08/17/2009    EDN 150/FA     71964 J1      A GEN EDUC/ARTICLE VI TCHR                 1.00   $     58,336.00       1.00   $     32,712.96   05 T02
   08/17/2009    EDN 150/YK     29328 J1      A SCHOOL HEALTH AIDE                       1.00   $     21,232.00       1.00   $     18,078.00   03 SR09
   08/17/2009    EDN 300/KO     76183 J1      A PERSONNEL SPECIALIST III                 1.00   $     80,350.00       1.00   $     80,350.08   56 E08
   08/17/2009    EDN 400/OC     25625 J1      A POWER MOWER OPERATOR I                   1.00   $     34,164.00       1.00   $     34,174.40   61 BC03
   08/18/2009    EDN 100/AA     37534 T1      A EDUC ASST II                             0.50   $     14,824.00       0.50   $     11,565.00   03 SR10
   08/18/2009    EDN 100/AA     64980 J1      A SECONDARY TEACHER                        1.00   $     56,257.00       1.00   $     46,608.96   05 T03
   08/18/2009    EDN 100/AA 75769X        T1  A ELEM TEACHER                             1.00   $     56,257.00       1.00   $     46,608.96   05 T03
   08/18/2009    EDN 150/FA     39848 J1      A EDUC ASST III                            1.00   $     30,506.00       1.00   $     25,030.08   03 SR12
   08/18/2009    EDN 150/FA     39869 J1      A EDUC ASST II                             1.00   $     30,506.00       1.00   $     23,130.00   03 SR10
   08/18/2009    EDN 150/FA     62236 J1      A GEN EDUC/ARTICLE VI TCHR                 1.00   $     45,785.00       1.00   $     32,712.96   05 T02
   08/19/2009    EDN 100/AA     68857 J1      A SECONDARY TEACHER                        1.00   $     56,257.00       1.00   $     46,608.96   05 T03
   08/19/2009    EDN 100/AA     73238 J1      A SECONDARY TEACHER                        1.00   $     56,257.00       1.00   $     32,712.96   05 T02
   08/19/2009    EDN 150/SA     55683 J1      A SPEECH PATHOLOGIST II                    1.00   $     60,315.00       1.00   $     38,988.00   13 SR18
   08/19/2009    EDN 150/YC     30689 J1      A SCHOOL PSYCHOLOGIST                      1.00   $     46,803.00       1.00   $     51,312.00   13 SR24
   08/20/2009    EDN 100/AA     30677 J1      A SCHOOL SECURITY ATTENDANT                1.00   $     25,213.00       1.00   $     20,539.92   03 SR07
   08/20/2009    EDN 100/AA     63998 J1      A SECONDARY TEACHER                        1.00   $     56,257.00       1.00   $     43,157.04   05 T02
   08/20/2009    EDN 100/DB     79183 T1      N SECONDARY TEACHER                        1.00   $     40,566.96       1.00   $     40,566.96   05 A02
   08/20/2009    EDN 150/FA     74584 J1      A SPEC ED TEACHER                          1.00   $     32,713.00       1.00   $     43,157.04   05 T02
   08/24/2009    EDN 100/AA     16414 J1      A SCHOOL CUSTODIAN II                      0.50   $     16,942.00       0.50   $     16,619.20   61 BC02
   08/24/2009    EDN 100/AA     63112 J1      A SECONDARY TEACHER                        0.50   $     28,128.00       0.50   $     21,578.52   45 T02
   08/24/2009    EDN 100/AA     68612 J1      A ELEM TEACHER                             1.00   $     56,257.00       1.00   $     43,157.04   05 T02
   08/24/2009    EDN 100/AA    801382 J1      A SCHOOL CUSTODIAN II                      0.50   $     16,942.00       0.50   $     16,619.20   61 BC02
   08/24/2009    EDN 100/AA 75339X        T1  A ELEM TEACHER                             1.00   $     56,257.00       1.00   $     40,566.96   05 A02
   08/24/2009    EDN 150/FA     57159 T1      A EDUC ASST III                            1.00   $     28,209.00       1.00   $     25,030.08   03 SR12
   08/24/2009    EDN 150/FA     62020 J1      A SPEC ED TEACHER                          1.00   $     45,785.00       1.00   $     43,157.04   05 T02
   08/24/2009    EDN 150/FA     71275 J1      A SPEC ED TEACHER                          1.00   $     58,959.00       1.00   $     40,566.96   05 A02
   08/24/2009    EDN 150/FA     73891 J1      A SPEC ED TCHR/PRE‐SCHOOL                  1.00   $     43,157.00       1.00   $     46,608.96   05 T03
   08/25/2009    EDN 100/AA     69301 J1      A ELEM TEACHER                             1.00   $     56,257.00       1.00   $     46,608.96   05 T03


                                                               Page 96                                                                 2011 Budget Briefing
Department of Education                                                                  Table 13
                                                              New Hires
  New Hire                    Position  Perm/                                  Budgeted             Budgeted       Actual                     BU     SR 
Effective Date    Prog ID/Org Number Temp MOF             Position Title            FTE                Salary        FTE      Actual Salary  Code Level
   08/25/2009    EDN 100/AA     74059 J1      A ELEM TEACHER                              1.00   $     56,257.00       1.00   $     46,608.96   05 T03
   08/25/2009    EDN 150/FA    801347 T1      A EDUC ASST II                              1.00   $     26,131.00       1.00   $     23,130.00   03 SR10
   08/25/2009    EDN 150/FA    801348 T1      A EDUC ASST II                              1.00   $     26,131.00       1.00   $     23,130.00   03 SR10
   08/26/2009    EDN 100/AA 63312X        T1  A ELEM TEACHER                              1.00   $     56,257.00       1.00   $     40,566.96   05 A02
   08/26/2009    EDN 150/FA     72581 J1      A SPEC ED TEACHER                           1.00   $     48,008.00       1.00   $     40,566.96   05 A02
   08/26/2009    EDN 400/MD    801152 J1      B CLERK TYPIST II                           0.50   $     16,614.00       1.00   $     25,667.20   63 SR08
   08/27/2009    EDN 100/BM    801115 J1      A ATHLETIC HLTH CARE TRAINER                0.50   $     22,788.00       0.50   $     22,786.40   73 SR22
   08/27/2009    EDN 150/FA     52745 J1      A EDUC ASST II                              1.00   $     31,769.00       1.00   $     23,130.00   03 SR10
   08/28/2009    EDN 100/AA     16498 J1      A SCHOOL CUSTODIAN II                       0.50   $     16,942.00       0.50   $     16,619.20   61 BC02
   08/28/2009    EDN 100/DB     79781 T1      N ELEM TEACHER                              1.00   $     40,566.96       1.00   $     40,566.96   05 A02
   08/28/2009    EDN 150/FA     69274 T1      A SPEC ED TEACHER                           1.00   $     44,452.00       1.00   $     43,157.04   05 T02
   08/28/2009    EDN 150/FA    800195 T1      A EDUC ASST II                              1.00   $     26,131.00       1.00   $     23,130.00   03 SR10
   08/31/2009    EDN 100/AA     55688 T1      A EDUC ASST III                             1.00   $     29,647.00       1.00   $     25,030.08   03 SR12
   08/31/2009    EDN 100/AA     67307 J1      A SECONDARY TEACHER                         1.00   $     56,257.00       1.00   $     43,157.04   05 T02
   08/31/2009    EDN 100/AA 66041X        T1  A ELEM TEACHER                              1.00   $     56,257.00       1.00   $     46,608.96   05 T03
   09/01/2009    EDN 100/AA     11130 J1      A CLERK TYPIST II                           1.00   $     29,865.00       1.00   $     25,667.20   63 SR08
   09/01/2009    EDN 100/AA     16461 J1      A SCHOOL CUSTODIAN II                       0.50   $     16,942.00       0.50   $     16,614.00   01 BC02
   09/01/2009    EDN 100/AA     18689 J1      A SCHOOL CUSTODIAN II                       0.50   $     16,942.00       0.50   $     16,614.00   01 BC02
   09/01/2009    EDN 100/AA     31919 J1      A SCHOOL CUSTODIAN II                       0.50   $     16,942.00       0.50   $     16,619.20   61 BC02
   09/01/2009    EDN 100/AA     41901 J1      A CLERK TYPIST II                           0.50   $     14,933.00       0.50   $     12,833.60   63 SR08
   09/01/2009    EDN 100/AA     59143 J1      A SCHOOL CUSTODIAN II                       0.50   $     16,942.00       0.50   $     16,619.20   61 BC02
   09/01/2009    EDN 100/AA     64920 J1      A SECONDARY TEACHER                         1.00   $     56,257.00       1.00   $     46,608.96   05 T03
   09/01/2009    EDN 100/AA    801141 T1      A SCHOOL CUSTODIAN II                       0.50   $     16,942.00       0.50   $     16,614.00   01 BC02
   09/01/2009    EDN 100/AA    801300 J1      A CLERK TYPIST II                           0.50   $     14,933.00       0.50   $     12,833.60   63 SR08
   09/01/2009    EDN 100/AA    801346 T1      A LIBRARY ASSISTANT II                      1.00   $     30,478.00       1.00   $     22,776.00   03 SR05
   09/01/2009    EDN 100/AA    801406 T1      A EDUC ASST III                             1.00   $     29,647.00       1.00   $     25,030.08   03 SR12
   09/01/2009    EDN 100/AA    801419 J1      A SCHOOL CUSTODIAN II                       1.00   $     33,885.00       1.00   $     33,238.40   61 BC02
   09/01/2009    EDN 100/AA 75709X        T1  A ELEM TEACHER                              1.00   $     56,257.00       1.00   $     46,608.96   05 T03
   09/01/2009    EDN 100/BM     49172 J1      A ATHLETIC HLTH CARE TRAINER                1.00   $     47,412.00       1.00   $     45,572.80   73 SR22
   09/01/2009    EDN 100/BM    800258 J1      A ATHLETIC HLTH CARE TRAINER                1.00   $     49,332.00       1.00   $     45,576.00   13 SR22
   09/01/2009    EDN 150/FA     67550 J1      A SPEC ED TEACHER                           1.00   $     45,785.00       1.00   $     43,157.04   05 T02
   09/01/2009    EDN 150/FA     71961 J1      A SPEC ED TEACHER                           1.00   $     45,785.00       1.00   $     46,608.96   05 T03
   09/01/2009    EDN 150/NB     79505 T1      N 12‐MO DIST OFF TCHR                       1.00   $     46,608.96       1.00   $     46,608.96   05 T03
   09/01/2009    EDN 150/YG     59560 J1      A BEHAVIORAL HLTH SPCLT IV                  1.00   $     49,332.00       1.00   $     47,412.00   13 SR22


                                                                 Page 97                                                                2011 Budget Briefing
Department of Education                                                                  Table 13
                                                                New Hires
  New Hire                       Position  Perm/                                 Budgeted             Budgeted       Actual                     BU     SR 
Effective Date    Prog ID/Org    Number Temp MOF             Position Title           FTE                Salary        FTE      Actual Salary  Code Level
   09/01/2009    EDN 400/MD        59891 T1      N CAFETERIA HELPER                         0.50   $     16,614.00       0.50   $     16,614.00   61 BC02
   09/01/2009    EDN 400/MD        59892 T1      N CAFETERIA HELPER                         0.50   $     16,614.00       0.50   $     16,614.00   61 BC02
   09/01/2009    EDN 400/YA        59163 J1      A BUS DRIVER                               0.50   $     19,986.00       0.50   $     19,986.00   01 BC07
   09/02/2009    EDN 100/AA        61177 J1      A ELEM TEACHER                             1.00   $     56,257.00       1.00   $     43,157.04   05 T02
   09/02/2009    EDN 150/FA        58122 J1      A EDUC ASST III                            0.75   $     19,599.00       0.75   $     18,772.56   03 SR12
   09/03/2009    EDN 100/AA     66348X       T1  A ELEM TEACHER                             1.00   $     56,257.00       1.00   $     43,157.04   05 T02
   09/03/2009    EDN 100/AA     72413X       T1  A COUNSELOR                                0.50   $     28,128.00       0.50   $     23,304.48   45 T03
   09/04/2009    EDN 100/AA        31263 J1      A SCHOOL CUSTODIAN II                      0.50   $     16,942.00       0.50   $     16,614.00   01 BC02
   09/08/2009    EDN 100/AA        64368 J1      A ELEM TEACHER                             1.00   $     56,257.00       1.00   $     44,452.08   05 T02
   09/08/2009    EDN 100/AA       801349 T1      A SCHOOL SECURITY ATTENDANT                1.00   $     25,213.00       1.00   $     24,648.00   63 SR07
   09/08/2009    EDN 100/AA     69847X       T1  A ELEM TEACHER                             1.00   $     56,257.00       1.00   $     46,608.96   05 T03
   09/08/2009    EDN 100/AA     73888X       T1  A ELEM TEACHER                             1.00   $     56,257.00       1.00   $     43,157.04   05 T02
   09/08/2009    EDN 100/AA     75468X       T1  A ELEM TEACHER                             1.00   $     56,257.00       1.00   $     46,608.96   05 T03
   09/08/2009    EDN 100/BS        73437 T1      A ROTC INSTRUCTOR                          1.00   $     82,095.00       1.00   $     76,680.00   55 ROTC
   09/08/2009    EDN 100/DB        79877 T1      N SECONDARY TEACHER                        1.00   $     46,608.96       1.00   $     46,608.96   05 T03
   09/08/2009    EDN 150/FA        57827 T1      A EDUC ASST II                             0.75   $     22,879.00       0.75   $     17,347.50   03 SR10
   09/08/2009    EDN 150/FA        69432 J1      A SPEC ED TEACHER                          1.00   $     80,465.00       1.00   $     43,157.04   05 T02
   09/08/2009    EDN 150/FA       800604 T1      A EDUC ASST III                            1.00   $     26,131.00       1.00   $     25,030.08   03 SR12
   09/08/2009    EDN 150/FA       801368 T1      A EDUC ASST III                            1.00   $     26,131.00       1.00   $     25,030.08   03 SR12
   09/08/2009    EDN 150/SA        30419 J1      A SPEECH PATHOLOGIST IV                    1.00   $     69,236.00       1.00   $     45,576.00   13 SR22
   09/08/2009    EDN 150/SA        56275 J1      A SPEECH PATHOLOGIST IV                    1.00   $     60,315.00       1.00   $     45,576.00   13 SR22
   09/09/2009    EDN 100/AA        69961 J1      A ELEM TEACHER                             1.00   $     56,257.00       1.00   $     43,157.04   05 T02
   09/09/2009    EDN 100/AA     65581X       T1  A SECONDARY TEACHER                        1.00   $     56,257.00       1.00   $     46,608.96   05 T03
   09/09/2009    EDN 150/FA        55725 J1      A EDUC ASST II                             1.00   $     27,154.00       1.00   $     23,130.00   03 SR10
   09/10/2009    EDN 100/AA        65547 J1      A SECONDARY TEACHER                        1.00   $     56,257.00       1.00   $     44,452.08   05 T02
   09/10/2009    EDN 100/AA     75584X       T1  A ELEM TEACHER                             1.00   $     56,257.00       1.00   $     46,608.96   05 T03
   09/10/2009    EDN 150/FA        74672 J1      A SPEC ED TEACHER                          1.00   $     48,008.00       1.00   $     43,157.04   05 T02
   09/10/2009    EDN 150/NB        79262 T1      N DIST OFF TCHR                            1.00   $     43,157.04       1.00   $     43,157.04   05 T02
   09/14/2009    EDN 100/AA          8087 J1     A CLERK TYPIST II                          1.00   $     29,865.00       1.00   $     25,667.20   63 SR08
   09/14/2009    EDN 100/AA     64190X       T1  A ELEM TEACHER                             1.00   $     56,257.00       1.00   $     43,157.04   05 T02
   09/14/2009    EDN 100/AA     67190X       T1  A ELEM TEACHER                             1.00   $     56,257.00       1.00   $     46,608.96   05 T03
   09/14/2009    EDN 100/AA     69894X       J1  A SECONDARY TEACHER                        1.00   $     56,257.00       1.00   $     48,008.16   05 T03
   09/14/2009    EDN 100/AA     69894X       T1  A SECONDARY TEACHER                        1.00   $     56,257.00       1.00   $     32,712.96   05 T02
   09/14/2009    EDN 150/FA        61859 J1      A SPEC ED TCHR/PRE‐SCHOOL                  1.00   $     43,157.00       1.00   $     43,157.04   05 T02


                                                                   Page 98                                                                2011 Budget Briefing
Department of Education                                                                   Table 13
                                                               New Hires
  New Hire                    Position  Perm/                                    Budgeted             Budgeted       Actual                     BU     SR 
Effective Date    Prog ID/Org Number Temp MOF             Position Title              FTE                Salary        FTE      Actual Salary  Code Level
   09/14/2009    EDN 150/FA     65945 J1      A SPEC ED TEACHER                             1.00   $     48,008.00       1.00   $     32,712.96   05 T02
   09/14/2009    EDN 150/FA    801314 T1      A EDUC ASST II                                1.00   $     26,131.00       1.00   $     23,130.00   03 SR10
   09/14/2009    EDN 150/NB    801027 T1      N EDUC ASST II                                1.00   $     23,130.00       1.00   $     23,130.00   03 SR10
   09/14/2009    EDN 150/SA    801326 J1      A EDUCATIONAL INTERPRETER II                  1.00   $     43,680.00       1.00   $     32,424.00   03 SR14
   09/15/2009    EDN 100/AA     22418 J1      A SCHOOL CUSTODIAN II                         0.50   $     16,942.00       0.50   $     16,614.00   01 BC02
   09/15/2009    EDN 150/FA     69535 J1      A SPEC ED TEACHER                             1.00   $     49,448.00       1.00   $     48,008.16   05 T03
   09/15/2009    EDN 150/FA    800160 T1      A EDUC ASST I                                 0.75   $     19,599.00       0.75   $     16,042.50   03 SR08
   09/15/2009    EDN 150/YC     58393 J1      A BEHAVIORAL HLTH SPCLT IV                    1.00   $     47,412.00       1.00   $     42,140.80   73 SR20
   09/15/2009    EDN 150/YC     58464 J1      A BEHAVIORAL HLTH SPCLT III                   1.00   $     57,708.00       1.00   $     42,132.00   13 SR20
   09/16/2009    EDN 100/AA     24405 J1      A SCHOOL CUSTODIAN III                        1.00   $     33,885.00       1.00   $     35,544.00   01 WS02
   09/16/2009    EDN 100/AA     40514 J1      A CLERK TYPIST II                             0.50   $     14,933.00       0.50   $     12,833.60   63 SR08
   09/16/2009    EDN 100/AA     59021 J1      A SCHOOL SECURITY ATTENDANT                   1.00   $     25,213.00       1.00   $     20,539.92   03 SR07
   09/16/2009    EDN 100/AA     60288 J1      A ELEM TEACHER                                1.00   $     56,257.00       1.00   $     46,608.96   05 T03
   09/16/2009    EDN 100/BM    800790 J1      A ATHLETIC HLTH CARE TRAINER                  1.00   $     45,576.00       1.00   $     45,572.80   73 SR22
   09/16/2009    EDN 150/FA     29652 J1      A EDUC ASST III                               1.00   $     26,131.00       1.00   $     25,030.08   03 SR12
   09/16/2009    EDN 150/FA     55446 J1      A EDUC ASST II                                0.75   $     19,599.00       0.75   $     17,347.50   03 SR10
   09/16/2009    EDN 150/FA     56863 J1      A EDUC ASST III                               1.00   $     26,131.00       1.00   $     25,030.08   03 SR12
   09/16/2009    EDN 400/MD       2043 J1     A SCHOOL FOOD SERVICES MGR III                1.00   $     49,391.00       1.00   $     42,576.00   02 F106
   09/16/2009    EDN 400/MD     55387 J1      B CAFETERIA HELPER                            0.50   $     16,614.00       0.50   $     16,619.20   61 BC02
   09/17/2009    EDN 100/AA 60242X        T1  A SECONDARY TEACHER                           1.00   $     56,257.00       1.00   $     40,566.96   05 A02
   09/17/2009    EDN 150/FA     34903 J1      A EDUC ASST II                                1.00   $     27,154.00       1.00   $     23,130.00   03 SR10
   09/17/2009    EDN 150/YC    800430 J1      A SCHOOL PSYCHOLOGIST                         1.00   $     58,716.00       1.00   $     51,312.00   13 SR24
   09/18/2009    EDN 100/AA     64911 J1      A SECONDARY TEACHER                           1.00   $     56,257.00       1.00   $     46,608.96   05 T03
   09/21/2009    EDN 100/AA     64113 J1      A SECONDARY TEACHER                           1.00   $     56,257.00       1.00   $     46,608.96   05 T03
   09/21/2009    EDN 100/AA 60760X        T1  A ELEM TEACHER                                1.00   $     56,257.00       1.00   $     43,157.04   05 T02
   09/22/2009    EDN 100/AA     33123 J1      A SCHOOL SECURITY ATTENDANT                   1.00   $     25,213.00       1.00   $     20,539.92   03 SR07
   09/22/2009    EDN 150/FA    800963 J1      A EDUC ASST III                               0.50   $     13,066.00       0.50   $     12,515.04   03 SR12
   09/22/2009    EDN 150/SA     47336 J1      A SPEECH PATHOLOGIST II                       1.00   $     66,092.00       1.00   $     38,979.20   73 SR18
   09/23/2009    EDN 100/AA     72687 J1      A SECONDARY TEACHER                           1.00   $     56,257.00       1.00   $     46,608.96   05 T03
   09/23/2009    EDN 150/FA     56970 T1      A EDUC ASST III                               1.00   $     28,209.00       1.00   $     25,030.08   03 SR12
   09/23/2009    EDN 150/FA     58814 T1      A EDUC ASST III                               1.00   $     26,131.00       1.00   $     25,030.08   03 SR12
   09/23/2009    EDN 150/NB     79469 T1      N DIST OFF TCHR                               1.00   $     43,157.04       1.00   $     43,157.04   05 T02
   09/25/2009    EDN 150/SA     56278 J1      A SPEECH PATHOLOGIST II                       1.00   $     60,315.00       1.00   $     38,988.00   13 SR18
   09/28/2009    EDN 100/AA     23280 J1      A EDUC ASST III                               1.00   $     29,647.00       1.00   $     25,030.08   03 SR12


                                                                 Page 99                                                                  2011 Budget Briefing
Department of Education                                                                  Table 13
                                                                 New Hires
  New Hire                       Position  Perm/                                  Budgeted             Budgeted       Actual                     BU     SR 
Effective Date    Prog ID/Org    Number Temp MOF             Position Title            FTE                Salary        FTE      Actual Salary  Code Level
   09/28/2009    EDN 100/AA       801394 T1      A DP USER SUPPORT TECH II                   1.00   $     37,923.00       1.00   $     33,758.40   63 SR15
   09/28/2009    EDN 100/AA       801395 T1      A DP USER SUPPORT TECH II                   1.00   $     37,923.00       1.00   $     33,758.40   63 SR15
   09/28/2009    EDN 100/AA     61857X       T1  A ELEM TEACHER                              1.00   $     56,257.00       1.00   $     46,608.96   05 T03
   09/28/2009    EDN 100/AA     62380X       T1  A ELEM TEACHER                              1.00   $     56,257.00       1.00   $     46,608.96   05 T03
   09/28/2009    EDN 100/AA     63928X       T1  A ELEM TEACHER                              1.00   $     56,257.00       1.00   $     46,608.96   05 T03
   09/28/2009    EDN 100/AA     64230X       T1  A ELEM TEACHER                              1.00   $     56,257.00       1.00   $     43,157.04   05 T02
   09/28/2009    EDN 100/BM       801414 J1      A ATHLETIC HLTH CARE TRAINER                1.00   $     45,576.00       1.00   $     45,576.00   13 SR22
   09/28/2009    EDN 100/DB        79567 T1      N ELEM TEACHER                              1.00   $     46,608.96       1.00   $     46,608.96   05 T03
   09/28/2009    EDN 150/FA        65425 J1      A SPEC ED TEACHER                           1.00   $     43,157.00       1.00   $     48,008.16   05 T03
   09/28/2009    EDN 150/YC       800444 J1      A SCHOOL PSYCHOLOGIST                       1.00   $     67,428.00       1.00   $     51,312.00   13 SR24
   09/29/2009    EDN 150/FA        69370 J1      A SPEC ED TEACHER                           1.00   $     55,622.00       1.00   $     46,608.96   05 T03
   09/30/2009    EDN 100/AA        68284 J1      A ELEM TEACHER                              1.00   $     56,257.00       1.00   $     46,608.96   05 T03
   09/30/2009    EDN 150/SA        46663 J1      A SPEECH PATHOLOGIST IV                     1.00   $     67,194.00       1.00   $     45,576.00   13 SR22
   10/01/2009    EDN 100/AA        16331 J1      A SCHOOL CUSTODIAN II                       1.00   $     33,885.00       1.00   $     33,228.00   01 BC02
   10/01/2009    EDN 100/AA        22405 J1      A SCHOOL CUSTODIAN II                       0.50   $     16,942.00       0.50   $     16,614.00   01 BC02
   10/01/2009    EDN 100/AA        24402 J1      A SCHOOL CUSTODIAN II                       0.50   $     16,942.00       0.50   $     16,614.00   01 BC02
   10/01/2009    EDN 100/AA        59966 T1      A SCHOOL CUSTODIAN II                       0.50   $     16,942.00       0.50   $     16,614.00   01 BC02
   10/01/2009    EDN 100/AA        72533 J1      A SECONDARY TEACHER                         1.00   $     56,257.00       1.00   $     46,608.96   05 T03
   10/01/2009    EDN 100/AA       800295 J1      A EDUC ASST II                              0.50   $     14,824.00       0.50   $     11,565.00   03 SR10
   10/01/2009    EDN 100/AA       801142 T1      A SCHOOL CUSTODIAN II                       0.50   $     16,942.00       0.50   $     16,614.00   01 BC02
   10/01/2009    EDN 100/AA       801386 T1      A EDUC ASST II                              0.75   $     22,235.00       0.75   $     17,347.50   03 SR10
   10/01/2009    EDN 100/AA       801403 T1      A SCHOOL CUSTODIAN II                       1.00   $     33,885.00       1.00   $     33,228.00   61 BC02
   10/01/2009    EDN 150/FA        53011 J1      A EDUC ASST III                             0.63   $     19,066.00       0.63   $     15,643.80   03 SR12
   10/01/2009    EDN 150/FA        56735 T1      A EDUC ASST II                              0.75   $     20,366.00       0.75   $     17,347.50   03 SR10
   10/01/2009    EDN 150/FA        57651 J1      A EDUC ASST III                             1.00   $     28,209.00       1.00   $     25,030.08   03 SR12
   10/01/2009    EDN 150/FA       800555 T1      A EDUC ASST III                             0.50   $     13,066.00       0.50   $     12,515.04   03 SR12
   10/01/2009    EDN 150/NB        58148 T1      N EDUC ASST III                             1.00   $     25,030.08       1.00   $     25,030.08   03 SR12
   10/01/2009    EDN 150/YC        58369 J1      A BEHAVIORAL HLTH SPCLT III                 1.00   $     45,576.00       1.00   $     42,132.00   13 SR20
   10/01/2009    EDN 400/MB        59553 T1      N ACCOUNTANT IV                             1.00   $     53,352.00       1.00   $     42,132.00   73 SR22
   10/01/2009    EDN 400/MD        52479 J1      A SCHOOL COOK II                            1.00   $     38,436.00       1.00   $     38,436.00   01 BC06
   10/02/2009    EDN 100/AA        64107 J1      A SECONDARY TEACHER                         1.00   $     56,257.00       1.00   $     46,608.96   05 T03
   10/02/2009    EDN 100/AA     74244X       T1  A SECONDARY TEACHER                         1.00   $     56,257.00       1.00   $     43,157.04   05 T02
   10/02/2009    EDN 150/FA       800659 T1      A EDUC ASST III                             1.00   $     26,131.00       1.00   $     25,030.08   03 SR12
   10/02/2009    EDN 150/NB       801356 T1      N EDUC ASST II                              1.00   $     23,130.00       1.00   $     23,130.00   03 SR10


                                                                   Page 100                                                                2011 Budget Briefing
Department of Education                                                                  Table 13
                                                                  New Hires
  New Hire                       Position  Perm/                                   Budgeted             Budgeted       Actual                     BU     SR 
Effective Date    Prog ID/Org    Number Temp MOF             Position Title             FTE                Salary        FTE      Actual Salary  Code Level
   10/05/2009    EDN 100/AA       801140 T1      A SCHOOL CUSTODIAN II                        0.50   $     16,942.00       0.50   $     16,614.00   01 BC02
   10/06/2009    EDN 150/YC        58360 J1      A BEHAVIORAL HLTH SPCLT III                  1.00   $     53,352.00       1.00   $     42,132.00   73 SR20
   10/12/2009    EDN 100/AA        56071 T1      A CLERK III                                  0.50   $     14,589.00       0.50   $     12,834.00   63 SR08
   10/12/2009    EDN 100/AA        60322 J1      A SECONDARY TEACHER                          1.00   $     56,257.00       1.00   $     32,712.96   05 T02
   10/12/2009    EDN 100/AA        65004 J1      A LIBRARIAN                                  0.50   $     28,128.00       0.50   $     23,304.00   45 T03
   10/12/2009    EDN 100/AA        69729 J1      A SECONDARY TEACHER                          1.00   $     56,257.00       1.00   $     43,157.04   05 T02
   10/12/2009    EDN 100/AA        73842 J1      A SECONDARY TEACHER                          1.00   $     56,257.00       1.00   $     43,157.04   05 T02
   10/12/2009    EDN 150/FA        27608 J1      A EDUC ASST III                              0.50   $     13,066.00       0.50   $     12,515.04   03 SR12
   10/12/2009    EDN 150/FA        28474 J1      A EDUC ASST III                              0.75   $     19,599.00       0.75   $     18,772.56   03 SR12
   10/12/2009    EDN 150/FA        46939 J1      A EDUC ASST II                               1.00   $     31,769.00       0.75   $     17,347.50   03 SR10
   10/12/2009    EDN 150/FA        56944 J1      A EDUC ASST III                              1.00   $     30,506.00       1.00   $     25,030.08   03 SR12
   10/12/2009    EDN 150/FA        57302 T1      A EDUC ASST II                               0.75   $     19,599.00       0.75   $     17,347.50   03 SR10
   10/12/2009    EDN 150/FA        57691 J1      A EDUC ASST III                              0.50   $     13,066.00       0.50   $     12,515.04   03 SR12
   10/12/2009    EDN 150/FA        65279 J1      A GEN EDUC/ARTICLE VI TCHR                   1.00   $     46,609.00       1.00   $     43,157.04   05 T02
   10/12/2009    EDN 150/FA       800562 T1      A EDUC ASST II                               0.50   $     13,066.00       0.50   $     11,565.00   03 SR10
   10/12/2009    EDN 150/FA       800617 T1      A EDUC ASST III                              1.00   $     26,131.00       1.00   $     25,030.08   03 SR12
   10/12/2009    EDN 150/FA       800630 T1      A EDUC ASST II                               1.00   $     26,131.00       1.00   $     23,130.00   03 SR10
   10/12/2009    EDN 150/SA        30494 J1      A COMMUNICATION AID                          0.50   $     15,885.00       0.50   $     12,515.04   03 SR12
   10/13/2009    EDN 100/AA        61532 J1      A COUNSELOR                                  1.00   $     56,257.00       1.00   $     46,608.96   05 T03
   10/13/2009    EDN 100/AA        62069 J1      A SECONDARY TEACHER                          1.00   $     56,257.00       1.00   $     46,608.96   05 T03
   10/13/2009    EDN 100/AA        63803 T1      A ELEM TEACHER                               1.00   $     56,257.00       1.00   $     46,608.96   05 T03
   10/13/2009    EDN 100/AA        64125 J1      A SECONDARY TEACHER                          1.00   $     56,257.00       1.00   $     32,712.96   05 T02
   10/13/2009    EDN 100/AA        68823 J1      A SECONDARY TEACHER                          1.00   $     56,257.00       1.00   $     46,608.96   05 T03
   10/13/2009    EDN 100/AA        74243 J1      A SECONDARY TEACHER                          1.00   $     56,257.00       1.00   $     32,712.96   05 T02
   10/13/2009    EDN 100/AA        75050 J1      A COUNSELOR/HIGH RISK                        1.00   $     56,257.00       1.00   $     46,608.96   05 T03
   10/13/2009    EDN 100/AA       801005 T1      A EDUC ASST III                              1.00   $     29,647.00       1.00   $     25,030.08   03 SR12
   10/13/2009    EDN 100/AA     60124X       T1  A ELEM TEACHER                               1.00   $     56,257.00       1.00   $     46,608.96   05 T03
   10/13/2009    EDN 100/AA     60131X       T1  A ELEM TEACHER                               1.00   $     56,257.00       1.00   $     46,608.96   05 T03
   10/13/2009    EDN 100/AA     62347X       T1  A SECONDARY TEACHER                          1.00   $     56,257.00       1.00   $     46,608.96   05 T03
   10/13/2009    EDN 100/AA     66501X       T1  A ELEM TEACHER                               1.00   $     56,257.00       1.00   $     49,448.16   05 T03
   10/13/2009    EDN 100/AA     67439X       T1  A ELEM TEACHER                               1.00   $     56,257.00       1.00   $     43,157.04   05 T02
   10/13/2009    EDN 100/AA     73843X       T1  A SECONDARY TEACHER                          1.00   $     56,257.00       1.00   $     43,157.04   05 T02
   10/13/2009    EDN 100/AA     75073X       T1  A COUNSELOR                                  1.00   $     56,257.00       1.00   $     46,608.96   05 T03
   10/13/2009    EDN 100/AA     75313X       T1  A ELEM TEACHER                               1.00   $     56,257.00       1.00   $     46,608.96   05 T03


                                                                    Page 101                                                                2011 Budget Briefing
Department of Education                                                                  Table 13
                                                                New Hires
  New Hire                       Position  Perm/                                 Budgeted             Budgeted       Actual                     BU     SR 
Effective Date    Prog ID/Org    Number Temp MOF             Position Title           FTE                Salary        FTE      Actual Salary  Code Level
   10/13/2009    EDN 150/FA        56678 J1      A EDUC ASST III                            0.75   $     19,599.00       0.75   $     18,772.56   03 SR12
   10/13/2009    EDN 150/FA        57185 J1      A EDUC ASST II                             1.00   $     26,131.00       1.00   $     23,130.00   03 SR10
   10/13/2009    EDN 150/FA        61016 J1      A SPEC ED TEACHER                          0.50   $     16,847.00       0.50   $     23,304.00   45 T03
   10/13/2009    EDN 150/FA        62092 J1      A SPEC ED TEACHER                          1.00   $     43,157.00       1.00   $     49,448.16   05 T03
   10/13/2009    EDN 150/FA        63828 J1      A SPEC ED TEACHER                          1.00   $     46,609.00       1.00   $     32,712.96   05 T02
   10/13/2009    EDN 150/FA        64279 J1      A SPEC ED TEACHER                          1.00   $     43,157.00       1.00   $     46,608.96   05 T03
   10/13/2009    EDN 150/FA        64288 J1      A SPEC ED TEACHER                          1.00   $     40,567.00       1.00   $     32,712.96   05 T02
   10/13/2009    EDN 150/FA        67106 T1      A GEN EDUC/ARTICLE VI TCHR                 1.00   $     49,448.00       1.00   $     46,608.96   05 T03
   10/13/2009    EDN 150/FA        68739 T1      A GEN EDUC/ARTICLE VI TCHR                 1.00   $     48,008.00       1.00   $     48,008.16   05 T03
   10/13/2009    EDN 150/FA        69808 J1      A SPEC ED TEACHER                          1.00   $     51,426.00       1.00   $     43,157.04   05 T02
   10/13/2009    EDN 150/FA        73673 T1      A SPEC ED TEACHER                          1.00   $     43,157.00       1.00   $     43,157.04   05 T02
   10/13/2009    EDN 150/FA        75600 J1      A GEN EDUC/ARTICLE VI TCHR                 1.00   $     43,157.00       1.00   $     43,157.04   05 T02
   10/13/2009    EDN 150/FA        76013 J1      A SPEC ED TEACHER                          1.00   $     48,008.00       1.00   $     46,608.96   05 T03
   10/13/2009    EDN 150/FA        76052 J1      A SPEC ED TEACHER                          1.00   $     52,460.00       1.00   $     44,452.08   05 T02
   10/13/2009    EDN 150/FA        76127 T1      A GEN EDUC/ARTICLE VI TCHR                 1.00   $     57,291.00       1.00   $     46,608.96   05 T03
   10/14/2009    EDN 100/AA     76216X       T1  A SECONDARY TEACHER                        1.00   $     56,257.00       1.00   $     32,712.96   05 T02
   10/14/2009    EDN 150/FA        69892 J1      A SPEC ED TEACHER                          1.00   $     52,968.00       1.00   $     46,608.96   05 T03
   10/14/2009    EDN 150/FA        73293 T1      A SPEC ED TEACHER                          1.00   $     33,694.00       1.00   $     32,712.96   05 T02
   10/14/2009    EDN 150/YC        58499 J1      A BEHAVIORAL HLTH SPCLT IV                 1.00   $     53,352.00       1.00   $     53,352.00   13 SR22
   10/15/2009    EDN 100/AA       801139 T1      A CLERK TYPIST I                           0.50   $     14,933.00       0.50   $     11,844.00   63 SR06
   10/15/2009    EDN 100/AA       801345 T1      A CLERK TYPIST II                          1.00   $     29,865.00       1.00   $     25,668.00   63 SR08
   10/15/2009    EDN 100/AA     65639X       T1  A SECONDARY TEACHER                        1.00   $     56,257.00       1.00   $     32,712.96   05 T02
   10/15/2009    EDN 100/AA     67014X       T1  A ELEM TEACHER                             1.00   $     56,257.00       1.00   $     43,157.04   05 T02
   10/15/2009    EDN 150/FA        63134 J1      A SPEC ED TEACHER                          1.00   $     54,448.00       1.00   $     49,448.16   05 T03
   10/16/2009    EDN 100/AA        59984 T1      A SCHOOL CUSTODIAN II                      0.50   $     16,942.00       0.50   $     16,614.00   61 BC02
   10/16/2009    EDN 100/AA       801371 T1      A SCHOOL SECURITY ATTENDANT                1.00   $     25,213.00       1.00   $     20,539.92   03 SR07
   10/16/2009    EDN 100/AA     72814X       T1  A SECONDARY TEACHER                        0.50   $     28,128.00       0.50   $     23,304.00   45 T03
   10/16/2009    EDN 100/DB        79146 T1      N STATE OFFICE TEACHER                     1.00   $     46,608.96       1.00   $     46,608.96   05 T03
   10/16/2009    EDN 150/FA        52647 J1      A EDUC ASST III                            0.50   $     13,066.00       0.50   $     12,515.04   03 SR12
   10/16/2009    EDN 150/FA        57281 T1      A EDUC ASST II                             0.75   $     20,366.00       0.75   $     17,347.50   03 SR10
   10/16/2009    EDN 150/FA        60509 J1      A SPEC ED TCHR/PRE‐SCHOOL                  1.00   $     71,815.00       1.00   $     46,608.96   05 T03
   10/16/2009    EDN 150/FA        65242 J1      A SPEC ED TEACHER                          1.00   $     53,483.00       1.00   $     46,608.96   05 T03
   10/16/2009    EDN 150/FA        74870 J1      A GEN EDUC/ARTICLE VI TCHR                 1.00   $     50,493.00       1.00   $     43,157.04   05 T02
   10/16/2009    EDN 150/FA       800663 T1      A EDUC ASST II                             1.00   $     27,154.00       1.00   $     23,130.00   03 SR10


                                                                  Page 102                                                                2011 Budget Briefing
Department of Education                                                                   Table 13
                                                                 New Hires
  New Hire                       Position  Perm/                                   Budgeted             Budgeted       Actual                     BU     SR 
Effective Date    Prog ID/Org    Number Temp MOF             Position Title             FTE                Salary        FTE      Actual Salary  Code Level
   10/16/2009    EDN 150/YG       800260 J1      A EDUC ASST III                              1.00   $     27,154.00       1.00   $     25,030.08   03 SR12
   10/19/2009    EDN 100/AA     66218X       T1  A ELEM TEACHER                               1.00   $     56,257.00       1.00   $     48,008.16   05 T03
   10/19/2009    EDN 100/AA     72208X       T1  A ELEM TEACHER                               1.00   $     56,257.00       1.00   $     43,157.04   05 T02
   10/19/2009    EDN 100/DB        79485 T1      N ELEM TEACHER                               1.00   $     49,448.16       1.00   $     49,448.16   05 T03
   10/19/2009    EDN 150/FA        56842 T1      A EDUC ASST III                              1.00   $     27,154.00       1.00   $     25,030.08   03 SR12
   10/19/2009    EDN 150/FA        63193 T1      A SPEC ED TEACHER                            1.00   $     32,713.00       1.00   $     32,712.96   05 T02
   10/19/2009    EDN 150/FA        63733 T1      A SPEC ED TEACHER                            1.00   $     43,157.00       1.00   $     46,608.96   05 T03
   10/19/2009    EDN 150/FA        65943 J1      A GEN EDUC/ARTICLE VI TCHR                   1.00   $     68,351.00       1.00   $     43,157.04   05 T02
   10/19/2009    EDN 150/FA        75702 J1      A GEN EDUC/ARTICLE VI TCHR                   1.00   $     49,448.00       1.00   $     49,448.16   05 T03
   10/19/2009    EDN 150/FA        75844 T1      A GEN EDUC/ARTICLE VI TCHR                   1.00   $     45,785.00       1.00   $     46,608.96   05 T03
   10/19/2009    EDN 150/FA       800581 T1      A EDUC ASST III                              1.00   $     26,131.00       1.00   $     25,030.08   03 SR12
   10/19/2009    EDN 150/NB        79759 T1      N DIST OFF TCHR                              1.00   $     43,157.04       1.00   $     43,157.04   05 T02
   10/19/2009    EDN 150/YC        12164 J1      A BEHAVIORAL HLTH SPCLT III                  1.00   $     45,576.00       1.00   $     42,132.00   13 SR20
   10/19/2009    EDN 200/GN        76376 J1      A DIST OFF TCHR                              1.00   $     49,448.16       1.00   $     49,448.16   05 T03
   10/19/2009    EDN 400/MB        19126 T1      N SCHOOL LUNCH SERVICES SUPVR                1.00   $     60,024.00       1.00   $     51,312.00   13 SR24
   10/20/2009    EDN 100/AA        63525 J1      A SECONDARY TEACHER                          1.00   $     56,257.00       1.00   $     43,157.04   05 T02
   10/20/2009    EDN 150/FA        66097 J1      A GEN EDUC/ARTICLE VI TCHR                   1.00   $     48,008.00       1.00   $     48,008.16   05 T03
   10/20/2009    EDN 150/FA        71322 T1      A GEN EDUC/ARTICLE VI TCHR                   1.00   $     45,785.00       1.00   $     43,157.04   05 T02
   10/21/2009    EDN 150/FA        57330 T1      A EDUC ASST III                              0.75   $     19,599.00       0.75   $     18,772.56   03 SR12
   10/22/2009    EDN 100/AA        65287 J1      A ELEM TEACHER                               1.00   $     56,257.00       1.00   $     48,008.16   05 T03
   10/22/2009    EDN 100/DB       801471 T1      N CLERK TYPIST II                            0.50   $     12,834.00       0.50   $     12,834.00   63 SR08
   10/26/2009    EDN 100/AA        55840 J1      A EDUC ASST II                               0.50   $     14,824.00       0.50   $     11,565.00   03 SR10
   10/26/2009    EDN 100/AA        72714 J1      A 12‐MO SECONDARY TEACHER                    1.00   $     67,508.00       1.00   $     48,008.16   05 T03
   10/26/2009    EDN 100/AA        74532 J1      A ELEM TEACHER                               1.00   $     56,257.00       1.00   $     62,550.00   05 T07
   10/26/2009    EDN 100/AA       801470 T1      A SCHOOL SECURITY ATTENDANT                  1.00   $     25,213.00       1.00   $     20,539.92   63 SR07
   10/26/2009    EDN 100/AA     60452X       T1  A ELEM TEACHER                               0.50   $     28,128.00       0.50   $     23,304.00   45 T03
   10/26/2009    EDN 150/FA        57304 T1      A EDUC ASST II                               0.75   $     20,366.00       0.75   $     17,347.50   03 SR10
   10/26/2009    EDN 150/FA        67431 J1      A SPEC ED TEACHER                            1.00   $     49,448.00       1.00   $     48,008.16   05 T03
   10/26/2009    EDN 150/FA        74417 J1      A SPEC ED TEACHER                            1.00   $     49,448.00       1.00   $     48,008.16   05 T03
   10/26/2009    EDN 150/FA       800570 T1      A EDUC ASST III                              0.75   $     19,599.00       1.00   $     25,030.08   03 SR12
   10/26/2009    EDN 150/SA          3082 J1     A OCC THERAPIST IV                           1.00   $     56,388.00       1.00   $     45,576.00   13 SR22
   10/27/2009    EDN 100/AA     62378X       T1  A ELEM TEACHER                               1.00   $     56,257.00       1.00   $     43,157.04   05 T02
   10/27/2009    EDN 150/FA        72767 J1      A SPEC ED TEACHER                            1.00   $     45,785.00       1.00   $     46,608.96   05 T03
   10/27/2009    EDN 150/YC        58410 J1      A BEHAVIORAL HLTH SPCLT III                  1.00   $     45,576.00       1.00   $     42,132.00   13 SR20


                                                                   Page 103                                                                 2011 Budget Briefing
Department of Education                                                                  Table 13
                                                               New Hires
  New Hire                    Position  Perm/                                   Budgeted             Budgeted       Actual                     BU     SR 
Effective Date    Prog ID/Org Number Temp MOF             Position Title             FTE                Salary        FTE      Actual Salary  Code Level
   10/28/2009    EDN 100/AA    801417 T1      A EDUC ASST III                              0.75   $     22,235.00       0.75   $     18,772.56   03 SR12
   10/28/2009    EDN 150/YC     58655 J1      A BEHAVIORAL HLTH SPCLT III                  1.00   $     45,576.00       1.00   $     42,132.00   13 SR20
   10/29/2009    EDN 150/FA     57612 T1      A EDUC ASST II                               0.63   $     21,157.00       0.75   $     17,347.50   03 SR10
   10/29/2009    EDN 150/FA     60876 J1      A SPEC ED TEACHER                            1.00   $     43,157.00       1.00   $     43,157.04   05 T02
   11/02/2009    EDN 100/AA     16197 J1      A SCHOOL CUSTODIAN II                        0.50   $     16,942.00       0.50   $     16,614.00   01 BC02
   11/02/2009    EDN 100/AA     17491 J1      A SCHOOL CUSTODIAN II                        0.50   $     16,942.00       0.50   $     16,614.00   01 BC02
   11/02/2009    EDN 100/AA     18726 J1      A SCHOOL CUSTODIAN II                        0.50   $     16,942.00       0.50   $     16,614.00   01 BC02
   11/02/2009    EDN 100/AA     55800 T1      A EDUC ASST III                              0.50   $     14,824.00       0.50   $     12,515.04   03 SR12
   11/02/2009    EDN 100/AA     63366 J1      A ELEM TEACHER                               1.00   $     56,257.00       1.00   $     48,008.16   05 T03
   11/02/2009    EDN 100/AA     75822 J1      A SECONDARY TEACHER                          1.00   $     56,257.00       1.00   $     32,712.96   05 T02
   11/02/2009    EDN 100/AA    800758 T1      A EDUC ASST I                                0.75   $     22,235.00       0.75   $     16,042.50   03 SR08
   11/02/2009    EDN 100/AA    801426 T1      A EDUC ASST II                               0.75   $     22,235.00       0.75   $     17,347.50   03 SR10
   11/02/2009    EDN 100/AA 62465X        T1  A SECONDARY TEACHER                          1.00   $     56,257.00       1.00   $     43,157.04   05 T02
   11/02/2009    EDN 100/AA 67363X        T1  A ELEM TEACHER                               1.00   $     56,257.00       1.00   $     43,157.04   05 T02
   11/02/2009    EDN 100/AA 71699X        T1  A SECONDARY TEACHER                          1.00   $     56,257.00       1.00   $     43,157.04   05 T02
   11/02/2009    EDN 100/DB     79268 T1      N COMPLEX ACADEMIC OFFICER                   1.00   $     77,069.04       1.00   $     77,069.04   06 E07
   11/02/2009    EDN 150/FA     55402 J1      A EDUC ASST II                               0.75   $     19,599.00       0.75   $     17,347.50   03 SR10
   11/02/2009    EDN 150/FA     56840 J1      A EDUC ASST III                              1.00   $     26,131.00       1.00   $     25,030.08   03 SR12
   11/02/2009    EDN 150/FA     56874 T1      A EDUC ASST III                              1.00   $     28,209.00       1.00   $     25,030.08   03 SR12
   11/02/2009    EDN 150/FA     57059 J1      A EDUC ASST II                               1.00   $     26,131.00       1.00   $     23,130.00   03 SR10
   11/02/2009    EDN 150/FA     57415 T1      A EDUC ASST II                               0.75   $     19,599.00       0.75   $     17,347.50   03 SR10
   11/02/2009    EDN 150/FA     57424 T1      A EDUC ASST II                               0.50   $     13,066.00       0.50   $     11,565.00   03 SR10
   11/02/2009    EDN 150/FA     57491 J1      A EDUC ASST III                              0.50   $     14,104.00       0.50   $     12,515.04   03 SR12
   11/02/2009    EDN 150/FA     57609 T1      A EDUC ASST II                               0.88   $     16,332.00       0.63   $     14,456.25   03 SR10
   11/02/2009    EDN 150/FA     57782 T1      A EDUC ASST II                               0.75   $     19,599.00       0.75   $     17,347.50   03 SR10
   11/02/2009    EDN 150/FA     74418 J1      A SPEC ED TEACHER                            1.00   $     48,008.00       1.00   $     48,008.16   05 T03
   11/02/2009    EDN 150/FA     74542 J1      A SPEC ED TEACHER                            1.00   $     32,713.00       1.00   $     44,452.08   05 T02
   11/02/2009    EDN 150/FA    800152 T1      A EDUC ASST III                              0.75   $     19,599.00       0.75   $     18,772.56   03 SR12
   11/02/2009    EDN 150/FA     74843 J1      A GEN EDUC/ARTICLE VI TCHR                   1.00   $     44,452.00       1.00   $     44,452.08   05 T02
   11/02/2009    EDN 150/NB     58189 T1      N EDUC ASST III                              1.00   $     25,030.08       1.00   $     25,030.08   03 SR12
   11/02/2009    EDN 150/SA    801329 J1      A EDUCATIONAL INTERPRETER II                 1.00   $     38,388.00       1.00   $     32,424.00   03 SR14
   11/02/2009    EDN 150/YG     59573 J1      A BEHAVIORAL HLTH SPCLT III                  1.00   $     45,576.00       1.00   $     42,132.00   13 SR20
   11/02/2009    EDN 150/YG    800885 J1      A EDUC ASST III                              1.00   $     26,131.00       1.00   $     25,030.08   03 SR12
   11/02/2009    EDN 300/KD    100034 J1      A EXECUTIVE SECT TO THE SUPT                 1.00   $     76,944.00       1.00   $     68,388.00   63 SR26


                                                                 Page 104                                                                2011 Budget Briefing
Department of Education                                                                  Table 13
                                                                New Hires
  New Hire                       Position  Perm/                                 Budgeted             Budgeted       Actual                     BU     SR 
Effective Date    Prog ID/Org    Number Temp MOF             Position Title           FTE                Salary        FTE      Actual Salary  Code Level
   11/03/2009    EDN 100/AA     65688X       T1  A ELEM TEACHER                             0.50   $     28,128.00       0.50   $     23,304.00   45 T03
   11/03/2009    EDN 150/FA        68071 J1      A GEN EDUC/ARTICLE VI TCHR                 1.00   $     48,008.00       1.00   $     48,008.16   05 T03
   11/03/2009    EDN 150/SA        56362 J1      A SPEECH PATHOLOGIST II                    1.00   $     60,315.00       1.00   $     38,988.00   13 SR18
   11/04/2009    EDN 150/YC        58364 T1      A BEHAVIORAL HLTH SPCLT IV                 1.00   $     45,576.00       1.00   $     47,412.00   13 SR22
   11/04/2009    EDN 150/YC        58635 J1      A BEHAVIORAL HLTH SPCLT III                1.00   $     55,500.00       1.00   $     42,132.00   13 SR20
   11/04/2009    EDN 150/YC        58747 J1      A BEHAVIORAL HLTH SPCLT IV                 1.00   $     47,412.00       1.00   $     47,412.00   13 SR22
   11/05/2009    EDN 100/AA        60585 J1      A ELEM TEACHER                             1.00   $     56,257.00       1.00   $     51,426.00   05 T04
   11/05/2009    EDN 100/DB        79552 T1      N SECONDARY TEACHER                        1.00   $     45,785.04       1.00   $     45,785.04   05 T02
   11/05/2009    EDN 150/FA        57067 J1      A EDUC ASST III                            1.00   $     26,131.00       1.00   $     25,030.08   03 SR12
   11/05/2009    EDN 150/FA        60391 J1      A SPEC ED TEACHER                          1.00   $     32,713.00       1.00   $     32,712.96   05 T02
   11/09/2009    EDN 100/AA        54479 J1      A EDUC ASST II                             0.50   $     14,824.00       0.50   $     11,565.00   03 SR10
   11/09/2009    EDN 100/AA        61911 J1      A ELEM TEACHER                             1.00   $     56,257.00       1.00   $     44,452.08   05 T02
   11/09/2009    EDN 100/AA        66632 J1      A SECONDARY TEACHER                        1.00   $     56,257.00       1.00   $     46,608.96   05 T03
   11/09/2009    EDN 100/AA       801076 T1      A SCHOOL CUSTODIAN II                      1.00   $     33,885.00       1.00   $     33,228.00   01 BC02
   11/09/2009    EDN 100/AA     73867X       T1  A COUNSELOR                                1.00   $     56,257.00       1.00   $     46,608.96   05 T03
   11/09/2009    EDN 150/FA        58069 J1      A EDUC ASST I                              0.75   $     22,026.00       0.75   $     16,042.50   03 SR08
   11/09/2009    EDN 150/FA       801408 T1      A EDUC ASST II                             1.00   $     26,131.00       1.00   $     23,130.00   63 SR10
   11/09/2009    EDN 150/NB       801167 T1      N EDUC ASST III                            1.00   $     25,030.08       1.00   $     25,030.08   03 SR12
   11/09/2009    EDN 150/YC        58297 J1      A CLINICAL PSYCHOLOGIST V                  1.00   $     68,160.00       1.00   $     51,312.00   73 SR24
   11/10/2009    EDN 100/AA        71978 T1      A ELEM TEACHER                             1.00   $     56,257.00       1.00   $     48,008.16   05 T03
   11/10/2009    EDN 100/DB        79147 T1      N DIST OFF TCHR                            0.50   $     33,180.00       0.50   $     33,180.00   45 T07
   11/10/2009    EDN 150/FA        57094 T1      A EDUC ASST III                            1.00   $     28,209.00       1.00   $     25,030.08   03 SR12
   11/12/2009    EDN 100/AA        62533 J1      A SECONDARY TEACHER                        1.00   $     56,257.00       1.00   $     48,008.16   05 T03
   11/13/2009    EDN 100/AA     75943X       T1  A ELEM TEACHER                             1.00   $     56,257.00       1.00   $     43,157.04   05 T02
   11/13/2009    EDN 150/YC        59801 T1      A BEHAVIORAL HLTH SPCLT III                1.00   $     45,576.00       1.00   $     42,132.00   73 SR20
   11/16/2009    EDN 100/AA        22219 J1      A SCHOOL CUSTODIAN II                      0.50   $     16,942.00       0.50   $     16,614.00   01 BC02
   11/16/2009    EDN 100/AA        27131 J1      A CLERK TYPIST II                          0.50   $     14,933.00       0.50   $     12,834.00   63 SR08
   11/16/2009    EDN 100/AA        59042 J1      A SCHOOL SECURITY ATTENDANT                1.00   $     25,213.00       1.00   $     20,539.92   63 SR07
   11/16/2009    EDN 100/AA        59144 J1      A SCHOOL CUSTODIAN II                      0.50   $     16,942.00       0.50   $     16,614.00   01 BC02
   11/16/2009    EDN 100/AA        71535 J1      A ELEM TEACHER                             1.00   $     56,257.00       1.00   $     49,448.16   05 T03
   11/16/2009    EDN 100/AA        76240 J1      A ELEM TEACHER                             1.00   $     56,257.00       1.00   $     46,608.96   05 T03
   11/16/2009    EDN 100/AA     71561X       T1  A ELEM TEACHER                             1.00   $     56,257.00       1.00   $     43,157.04   05 T02
   11/16/2009    EDN 100/AA     74267X       T1  A ELEM TEACHER                             1.00   $     56,257.00       1.00   $     46,608.96   05 T03
   11/16/2009    EDN 150/FA        57242 T1      A EDUC ASST II                             0.75   $     20,366.00       0.75   $     17,347.50   03 SR10


                                                                  Page 105                                                                2011 Budget Briefing
Department of Education                                                                  Table 13
                                                               New Hires
  New Hire                    Position  Perm/                                   Budgeted             Budgeted       Actual                     BU     SR 
Effective Date    Prog ID/Org Number Temp MOF             Position Title             FTE                Salary        FTE      Actual Salary  Code Level
   11/16/2009    EDN 150/FA     65443 T1      A SPEC ED TEACHER                            1.00   $     43,157.00       1.00   $     43,157.04   05 T02
   11/16/2009    EDN 150/FA     66399 J1      A SPEC ED TEACHER                            1.00   $     32,713.00       1.00   $     43,157.04   05 T02
   11/16/2009    EDN 150/FA     74077 J1      A SPEC ED TEACHER                            1.00   $     49,448.00       1.00   $     48,008.16   05 T03
   11/16/2009    EDN 150/FA     74101 J1      A SPEC ED TEACHER                            1.00   $     45,785.00       1.00   $     49,448.16   05 T03
   11/16/2009    EDN 150/FA    800084 T1      A EDUC ASST III                              1.00   $     26,131.00       1.00   $     25,030.08   03 SR12
   11/16/2009    EDN 150/FA    800121 J1      A EDUC ASST III                              0.75   $     20,366.00       0.75   $     18,772.56   03 SR12
   11/16/2009    EDN 150/FA     74843 J1      A GEN EDUC/ARTICLE VI TCHR                   1.00   $     44,452.00       1.00   $     44,452.08   05 T02
   11/16/2009    EDN 150/YC     58482 T1      A BEHAVIORAL HLTH SPCLT III                  1.00   $     55,500.00       1.00   $     42,132.00   13 SR20
   11/16/2009    EDN 150/YC     58540 T1      A BEHAVIORAL HLTH SPCLT IV                   1.00   $     51,312.00       1.00   $     47,412.00   13 SR22
   11/16/2009    EDN 300/KD    100026 J1      A PRIVATE SECRETARY II                       1.00   $     46,176.00       1.00   $     60,744.00   63 SR22
   11/16/2009    EDN 400/OC    801082 T1      W PROPERTY MGR V                             1.00   $     51,312.00       0.75   $     38,484.00   13 SR24
   11/18/2009    EDN 100/AA 64455X        T1  A ELEM TEACHER                               0.50   $     28,128.00       0.50   $     23,304.00   45 T03
   11/18/2009    EDN 150/FA     67383 J1      A SPEC ED TEACHER                            1.00   $     52,460.00       1.00   $     46,608.96   05 T03
   11/23/2009    EDN 100/AA    801183 T1      A SCHOOL CUSTODIAN II                        1.00   $     33,885.00       1.00   $     33,228.00   01 BC02
   11/23/2009    EDN 100/AA    801483 T1      A LIBRARY ASSISTANT III                      1.00   $     30,478.00       1.00   $     20,539.92   63 SR07
   11/23/2009    EDN 100/AA 62802X        T1  A ELEM TEACHER                               1.00   $     56,257.00       1.00   $     46,608.96   05 T03
   11/23/2009    EDN 150/FA     34905 J1      A EDUC ASST III                              1.00   $     35,705.00       1.00   $     25,030.08   03 SR12
   11/23/2009    EDN 150/FA     56773 T1      A EDUC ASST III                              1.00   $     28,209.00       1.00   $     25,030.08   03 SR12
   11/23/2009    EDN 150/FA     57296 J1      A EDUC ASST II                               1.00   $     30,506.00       1.00   $     23,130.00   03 SR10
   11/23/2009    EDN 150/FA     61467 T1      A SPEC ED TEACHER                            1.00   $     49,448.00       1.00   $     49,448.16   05 T03
   11/23/2009    EDN 150/FA     62408 J1      A GEN EDUC/ARTICLE VI TCHR                   1.00   $     43,157.00       1.00   $     43,157.04   05 T02
   11/23/2009    EDN 150/FA     63411 J1      A GEN EDUC/ARTICLE VI TCHR                   1.00   $     49,448.00       1.00   $     49,448.16   05 T03
   11/23/2009    EDN 150/YK     29330 J1      A SCHOOL HEALTH AIDE                         1.00   $     22,063.00       1.00   $     18,078.00   03 SR09
   11/24/2009    EDN 100/AA     16175 J1      A SCHOOL CUSTODIAN II                        1.00   $     33,885.00       1.00   $     33,228.00   61 BC02
   11/24/2009    EDN 100/AA     16177 J1      A SCHOOL CUSTODIAN II                        1.00   $     33,885.00       1.00   $     33,228.00   61 BC02
   11/24/2009    EDN 150/FA     72796 J1      A SPEC ED TEACHER                            1.00   $     43,157.00       1.00   $     43,157.04   05 T02
   11/25/2009    EDN 150/YC    800567 T1      A SCHOOL PSYCHOLOGIST                        1.00   $     60,756.00       1.00   $     51,312.00   13 SR24
   11/30/2009    EDN 100/AA 67774X        T1  A SECONDARY TEACHER                          1.00   $     56,257.00       1.00   $     45,785.04   05 T02
   11/30/2009    EDN 150/FA     76021 J1      A SPEC ED TEACHER                            1.00   $     33,694.00       1.00   $     48,008.16   05 T03
   11/30/2009    EDN 150/YG    800478 J1      A EDUC ASST II                               1.00   $     26,131.00       1.00   $     23,130.00   03 SR10
   11/30/2009    EDN 300/UA     66812 J1      A ASST SUPT, INFO/TECH SVCS                  1.00   $  115,000.00         1.00   $  114,999.96     96 E00
   12/01/2009    EDN 100/AA     65177 J1      A COUNSELOR                                  1.00   $     56,257.00       1.00   $     46,608.96   05 T03
   12/01/2009    EDN 150/FA     67383 J1      A SPEC ED TEACHER                            1.00   $     52,460.00       1.00   $     46,608.96   05 T03
   12/01/2009    EDN 150/FA     68781 J1      A SPEC ED TEACHER                            1.00   $     51,426.00       1.00   $     32,712.96   05 T02


                                                                 Page 106                                                                2011 Budget Briefing
Department of Education                                                                  Table 13
                                                               New Hires
  New Hire                    Position  Perm/                                   Budgeted             Budgeted       Actual                     BU     SR 
Effective Date    Prog ID/Org Number Temp MOF             Position Title             FTE                Salary        FTE      Actual Salary  Code Level
   12/01/2009    EDN 150/FB     52603 J1      A EDUC ASST III                              1.00   $     28,209.00       1.00   $     25,030.08   03 SR12
   12/01/2009    EDN 150/NB     79554 T1      N DIST OFF TCHR                              1.00   $     58,959.12       1.00   $     58,959.12   05 T07
   12/01/2009    EDN 150/YC     58384 J1      A BEHAVIORAL HLTH SPCLT III                  1.00   $     45,576.00       1.00   $     42,132.00   13 SR20
   12/01/2009    EDN 150/YG    801199 J1      A BEHAVIORAL HLTH SPCLT III                  1.00   $     45,576.00       1.00   $     42,132.00   13 SR20
   12/01/2009    EDN 400/MD    801267 T1      N CAFETERIA HELPER                           0.50   $     16,614.00       0.50   $     16,614.00   01 BC02
   12/01/2009    EDN 400/MD    801269 T1      N CAFETERIA HELPER                           0.50   $     16,614.00       0.50   $     16,614.00   01 BC02
   12/02/2009    EDN 150/YG    800791 J1      A EDUC ASST III                              1.00   $     26,131.00       1.00   $     25,030.08   03 SR12
   12/03/2009    EDN 100/AA 76218X        T1  A SECONDARY TEACHER                          1.00   $     56,257.00       1.00   $     46,608.96   05 T03
   12/03/2009    EDN 150/FA     65159 J1      A SPEC ED TEACHER                            1.00   $     46,609.00       1.00   $     46,608.96   05 T03
   12/03/2009    EDN 150/FA    800540 J1      A EDUC ASST II                               0.50   $     13,066.00       0.50   $     11,565.00   03 SR10
   12/07/2009    EDN 100/AA     60140 J1      A LIBRARIAN                                  1.00   $     56,257.00       1.00   $     46,608.96   05 T03
   12/07/2009    EDN 100/AA     63040 J1      A SECONDARY TEACHER                          1.00   $     56,257.00       1.00   $     32,712.96   05 T02
   12/07/2009    EDN 100/AA     45078 J1      A SCHOOL CUSTODIAN II                        0.50   $     16,614.00       0.50   $     16,619.20   61 BC02
   12/07/2009    EDN 150/FA     67564 J1      A SPEC ED TEACHER                            1.00   $     48,008.00       1.00   $     48,008.16   05 T03
   12/07/2009    EDN 150/FA     62782 J1      A GEN EDUC/ARTICLE VI TCHR                   1.00   $     44,452.00       1.00   $     43,157.04   05 T02
   12/07/2009    EDN 150/FA     65722 J1      A GEN EDUC/ARTICLE VI TCHR                   1.00   $     43,157.04       1.00   $     43,157.04   05 T02
   12/07/2009    EDN 150/FA     55288 J1      A EDUC ASST II                               1.00   $     26,131.00       1.00   $     23,130.00   03 SR10
   12/07/2009    EDN 150/FA    801336 T1      A EDUC ASST III                              1.00   $     26,131.00       1.00   $     25,030.08   03 SR12
   12/07/2009    EDN 150/NB     79347 T1      N DIST OFF TCHR                              1.00   $     48,008.16       1.00   $     48,008.16   05 T03
   12/07/2009    EDN 150/SA     56372 J1      A SPEECH PATHOLOGIST II                      1.00   $     60,315.00       1.00   $     38,988.00   13 SR18
   12/08/2009    EDN 150/FA     73801 J1      A SPEC ED TEACHER                            1.00   $     51,426.00       1.00   $     49,448.16   05 T03
   12/08/2009    EDN 150/FA     74351 J1      A SPEC ED TEACHER                            1.00   $     46,609.00       1.00   $     32,712.96   05 T02
   12/09/2009    EDN 150/FA     74146 T1      A SPEC ED TEACHER                            1.00   $     50,743.00       1.00   $     46,608.96   05 T03
   12/09/2009    EDN 150/FA     57578 T1      A EDUC ASST II                               0.88   $     22,865.00       0.88   $     20,238.75   03 SR10
   12/10/2009    EDN 150/NB    801038 T1      N EDUC ASST III                              1.00   $     25,030.08       1.00   $     25,030.08   03 SR12
   12/14/2009    EDN 150/FA     67620 J1      A SPEC ED TEACHER                            1.00   $     56,917.00       1.00   $     44,452.08   05 T02
   12/14/2009    EDN 150/FA    801242 T1      A EDUC ASST III                              1.00   $     26,131.00       1.00   $     25,030.08   03 SR12
   12/15/2009    EDN 150/FA     61083 J1      A GEN EDUC/ARTICLE VI TCHR                   1.00   $     58,959.00       1.00   $     44,452.08   05 T02
   12/16/2009    EDN 150/FA     75751 T1      A SPEC ED TEACHER                            1.00   $     32,713.00       1.00   $     43,157.04   05 T02
   12/16/2009    EDN 150/FA    800926 T1      A EDUC ASST II                               0.75   $     19,599.00       0.75   $     17,347.50   03 SR10
   12/16/2009    EDN 200/GH     57916 J1      A CLERK IV                                   1.00   $     28,836.00       1.00   $     27,747.20   63 SR10
   12/17/2009    EDN 150/FA     62594 J1      A GEN EDUC/ARTICLE VI TCHR                   1.00   $     59,617.00       1.00   $     49,448.16   05 T03
   01/04/2010    EDN 100/AA    801360 T1      A EDUC ASST III                              0.75   $     18,772.56       0.75   $     18,772.56   03 SR12
   01/04/2010    EDN 100/AA     18691 J1      A SCHOOL CUSTODIAN II                        0.50   $     16,614.00       0.50   $     16,614.00   01 BC02


                                                                 Page 107                                                                2011 Budget Briefing
Department of Education                                                                  Table 13
                                                                New Hires
  New Hire                      Position  Perm/                                  Budgeted             Budgeted       Actual                     BU     SR 
Effective Date    Prog ID/Org   Number Temp MOF            Position Title             FTE                Salary        FTE      Actual Salary  Code Level
   01/04/2010    EDN 100/AA       59767 T1      A SCHOOL SECURITY ATTENDANT                 1.00   $     23,229.00       1.00   $     20,539.92   03 SR07
   01/04/2010    EDN 150/FA       56910 J1      A EDUC ASST I                               0.50   $     13,066.00       0.50   $     10,695.00   03 SR08
   01/04/2010    EDN 150/FA       56738 T1      A EDUC ASST II                              0.75   $     21,157.00       0.75   $     17,347.50   03 SR10
   01/04/2010    EDN 150/FA       55549 J1      A EDUC ASST III                             0.50   $     14,104.00       0.50   $     12,515.04   03 SR12
   01/04/2010    EDN 150/FA       55744 J1      A EDUC ASST III                             0.50   $     13,577.00       0.50   $     12,515.04   03 SR12
   01/04/2010    EDN 150/FA      800166 T1      A EDUC ASST III                             0.88   $     22,865.00       0.88   $     21,901.32   03 SR12
   01/04/2010    EDN 150/SA       56368 J1      A SPEECH PATHOLOGIST II                     1.00   $     60,315.00       1.00   $     38,988.00   13 SR18
   01/05/2010    EDN 100/AA       75218 T1      A 12‐MO STUDENT SVCS COORD                  1.00   $     82,865.00       1.00   $     46,608.96   05 T03
   01/05/2010    EDN 100/AA       55020 J1      A EDUC ASST III                             0.50   $     15,253.00       0.50   $     12,515.04   03 SR12
   01/05/2010    EDN 100/AA       59731 T1      A SCHOOL SECURITY ATTENDANT                 0.50   $     10,722.00       0.50   $     10,269.96   03 SR07
   01/05/2010    EDN 150/FA       58809 T1      A EDUC ASST I                               1.00   $     26,131.00       1.00   $     21,390.00   03 SR08
   01/05/2010    EDN 150/FA       32296 J1      A EDUC ASST II                              1.00   $     26,131.00       1.00   $     23,130.00   03 SR10
   01/05/2010    EDN 150/FA       57177 T1      A EDUC ASST III                             1.00   $     26,131.00       1.00   $     25,030.08   03 SR12
   01/05/2010    EDN 150/FA       57500 T1      A EDUC ASST III                             0.75   $     21,157.00       0.75   $     18,772.56   03 SR12
   01/05/2010    EDN 150/YC       58651 T1      A BEHAVIORAL HLTH SPCLT III                 1.00   $     45,576.00       1.00   $     42,132.00   73 SR20
   01/05/2010    EDN 150/YK       29315 J1      A SCHOOL HEALTH AIDE                        1.00   $     18,873.00       1.00   $     18,078.00   03 SR09
   01/06/2010    EDN 100/AA       60246 J1      A COUNSELOR                                 1.00   $     79,170.00       1.00   $     46,608.96   05 T03
   01/06/2010    EDN 150/FA      800492 T1      A EDUC ASST III                             1.00   $     27,154.00       1.00   $     25,030.08   03 SR12
   01/07/2010    EDN 100/AA       60805 J1      A COUNSELOR                                 1.00   $     79,170.00       1.00   $     46,608.96   05 T03
   01/08/2010    EDN 100/AA       75011 T1      A COUNSELOR                                 0.50   $     23,304.48       0.50   $     23,304.48   45 T03
   01/09/2010    EDN 100/AA       75048 J1      A COUNSELOR/HIGH RISK                       1.00   $     51,426.00       1.00   $     46,608.96   05 T03
   01/10/2010    EDN 100/AA       60125 J1      A ELEM TEACHER                              1.00   $     62,550.00       1.00   $     46,608.96   05 T03
   01/11/2010    EDN 100/AA       60654 J1      A ELEM TEACHER                              1.00   $     79,170.00       1.00   $     32,712.96   05 T02
   01/11/2010    EDN 100/AA      801422 T1      A EDUC ASST III                             0.75   $     18,772.56       0.75   $     18,772.56   03 SR12
   01/11/2010    EDN 100/AA       26560 J1      A SCHOOL CUSTODIAN II                       0.50   $     16,614.00       0.50   $     16,614.00   01 BC02
   01/11/2010    EDN 150/FA       57364 T1      A EDUC ASST II                              0.75   $     21,157.00       0.75   $     17,347.50   03 SR10
   01/11/2010    EDN 150/FA      801337 T1      A EDUC ASST II                              1.00   $     23,130.00       1.00   $     23,130.00   03 SR10
   01/11/2010    EDN 150/FA      801467 T1      A EDUC ASST III                             1.00   $     25,030.08       1.00   $     25,030.08   03 SR12
   01/12/2010    EDN 100/AA       61063 J1      A ELEM TEACHER                              1.00   $     70,400.00       1.00   $     46,608.96   05 T03
   01/12/2010    EDN 150/FA       52574 J1      A EDUC ASST III                             1.00   $     26,131.00       1.00   $     25,030.08   03 SR12
   01/13/2010    EDN 100/AA       61126 J1      A ELEM TEACHER                              1.00   $     68,351.00       1.00   $     46,608.96   05 T03
   01/14/2010    EDN 100/AA       61463 J1      A ELEM TEACHER                              1.00   $     57,291.00       1.00   $     43,157.04   05 T02
   01/15/2010    EDN 100/AA       62387 J1      A ELEM TEACHER                              1.00   $     72,513.00       1.00   $     46,608.96   05 T03
   01/16/2010    EDN 100/AA       62762 J1      A ELEM TEACHER                              1.00   $     53,483.00       1.00   $     46,608.96   05 T03


                                                                 Page 108                                                                 2011 Budget Briefing
Department of Education                                                                  Table 13
                                                                New Hires
  New Hire                      Position  Perm/                                  Budgeted             Budgeted       Actual                     BU     SR 
Effective Date    Prog ID/Org   Number Temp MOF             Position Title            FTE                Salary        FTE      Actual Salary  Code Level
   01/17/2010    EDN 100/AA       62789 J1      A ELEM TEACHER                              1.00   $     46,830.00       1.00   $     43,157.04   05 T02
   01/18/2010    EDN 100/AA       64226 J1      A ELEM TEACHER                              1.00   $     62,550.00       1.00   $     43,157.04   05 T02
   01/19/2010    EDN 100/AA       64748 J1      A ELEM TEACHER                              1.00   $     57,490.00       1.00   $     43,157.04   05 T02
   01/19/2010    EDN 100/AA       59168 J1      A CLERK TYPIST II                           0.50   $     12,834.00       0.50   $     10,695.00   63 SR08
   01/19/2010    EDN 100/AA       36861 J1      A EDUC ASST III                             0.50   $     13,066.00       0.50   $     12,515.04   03 SR12
   01/19/2010    EDN 150/FA       44368 J1      A EDUC ASST II                              0.88   $     26,693.00       0.88   $     20,238.75   03 SR10
   01/19/2010    EDN 150/FA       50862 J1      A EDUC ASST III                             0.50   $     13,066.00       0.50   $     12,515.04   03 SR12
   01/19/2010    EDN 150/FA       57199 T1      A EDUC ASST III                             0.50   $     13,066.00       0.75   $     18,772.56   03 SR12
   01/19/2010    EDN 150/FA       57345 J1      A EDUC ASST III                             0.75   $     19,599.00       0.75   $     18,772.56   03 SR12
   01/19/2010    EDN 150/FA      801214 T1      A EDUC ASST III                             1.00   $     25,030.08       1.00   $     25,030.08   03 SR12
   01/19/2010    EDN 150/FA      801454 J1      A EDUC ASST III                             1.00   $     25,030.08       1.00   $     25,030.08   03 SR12
   01/19/2010    EDN 150/YC       58452 J1      A BEHAVIORAL HLTH SPCLT III                 1.00   $     57,708.00       1.00   $     42,132.00   13 SR20
   01/19/2010    EDN 400/MD       57776 T1      N CAFETERIA HELPER                          0.50   $     16,614.00       0.50   $     16,614.00   01 BC02
   01/19/2010    EDN 400/MD       28147 T1      B CAFETERIA HELPER                          0.50   $     16,614.00       0.50   $     16,614.00   01 BC02
   01/19/2010    EDN 400/MD         2023 J1     A SCHOOL FOOD SERVICES MGR I                1.00   $     43,722.00       1.00   $     39,972.00   02 WF06
   01/19/2010    EDN 500/PC         6226 J1     A SCHOOL ADM SERVICES ASST I                1.00   $     54,012.00       1.00   $     30,036.00   04 SR12
   01/20/2010    EDN 100/AA       65363 T1      A ELEM TEACHER                              1.00   $     46,608.96       1.00   $     46,608.96   05 T03
   01/20/2010    EDN 150/FA       56682 T1      A EDUC ASST II                              0.75   $     19,599.00       0.75   $     17,347.50   03 SR10
   01/20/2010    EDN 150/YG      800884 J1      A EDUC ASST III                             1.00   $     26,131.00       1.00   $     25,030.08   03 SR12
   01/21/2010    EDN 100/AA       66191 J1      A ELEM TEACHER                              1.00   $     49,448.00       1.00   $     46,608.96   05 T03
   01/21/2010    EDN 100/AA       46072 T1      A EDUC ASST II                              0.50   $     11,565.00       0.50   $     11,565.00   03 SR10
   01/21/2010    EDN 150/YC       46659 J1      A BEHAVIORAL HLTH SPCLT IV                  1.00   $     47,412.00       1.00   $     42,132.00   73 SR20
   01/22/2010    EDN 100/AA       66593 J1      A ELEM TEACHER                              1.00   $     64,482.00       1.00   $     46,608.96   05 T03
   01/22/2010    EDN 150/FA       58122 J1      A EDUC ASST III                             0.75   $     19,599.00       0.75   $     18,772.56   03 SR12
   01/23/2010    EDN 100/AA       66936 J1      A ELEM TEACHER                              1.00   $     51,426.00       1.00   $     43,157.04   05 T02
   01/24/2010    EDN 100/AA       67368 J1      A ELEM TEACHER                              1.00   $     74,688.00       1.00   $     43,157.04   05 T02
   01/25/2010    EDN 100/AA       67903 J1      A ELEM TEACHER                              1.00   $     80,215.00       1.00   $     46,608.96   05 T03
   01/25/2010    EDN 150/FA      800279 T1      A EDUC ASST III                             0.75   $     19,599.00       0.75   $     18,772.56   03 SR12
   01/25/2010    EDN 150/FA      801222 T1      A EDUC ASST III                             1.00   $     21,390.00       1.00   $     21,390.00   63 SR08
   01/26/2010    EDN 100/AA       68567 J1      A ELEM TEACHER                              1.00   $     55,087.00       1.00   $     46,608.96   05 T03
   01/27/2010    EDN 100/AA       68725 J1      A ELEM TEACHER                              1.00   $     51,426.00       1.00   $     48,008.16   05 T03
   01/28/2010    EDN 100/AA       68813 J1      A ELEM TEACHER                              1.00   $     46,830.00       1.00   $     43,157.04   05 T02
   01/29/2010    EDN 100/AA       69011 J1      A ELEM TEACHER                              1.00   $     74,688.00       1.00   $     43,157.04   05 T02
   01/30/2010    EDN 100/AA       71601 J1      A ELEM TEACHER                              1.00   $     58,959.00       1.00   $     46,608.96   05 T03


                                                                  Page 109                                                                2011 Budget Briefing
Department of Education                                                                  Table 13
                                                               New Hires
  New Hire                    Position  Perm/                                   Budgeted             Budgeted       Actual                     BU     SR 
Effective Date    Prog ID/Org Number Temp MOF             Position Title             FTE                Salary        FTE      Actual Salary  Code Level
   01/31/2010    EDN 100/AA     71881 J1      A ELEM TEACHER                               1.00   $     43,157.00       1.00   $     43,157.04   05 T02
   02/01/2010    EDN 100/AA     74014 J1      A ELEM TEACHER                               1.00   $     79,170.00       1.00   $     46,608.96   05 T03
   02/01/2010    EDN 100/AA     66155 J1      A SECONDARY TEACHER                          1.00   $     44,452.00       1.00   $     48,008.16   05 T03
   02/01/2010    EDN 100/AA 75664X        A   A SECONDARY TEACHER                          1.00   $     32,712.96       1.00   $     32,712.96   05 T02
   02/01/2010    EDN 100/AA     55689 T1      A EDUC ASST II                               1.00   $     26,131.00       1.00   $     24,147.72   03 SR10
   02/01/2010    EDN 100/AA     16438 J1      A SCHOOL CUSTODIAN II                        0.50   $     16,614.00       0.50   $     16,614.00   01 BC02
   02/01/2010    EDN 100/AA     28097 J1      A SCHOOL CUSTODIAN II                        0.50   $     16,614.00       0.50   $     16,614.00   61 BC02
   02/01/2010    EDN 100/AA     16298 J1      A SCHOOL CUSTODIAN II                        1.00   $     33,228.00       1.00   $     33,228.00   61 BC02
   02/01/2010    EDN 100/AA     16296 J1      A SCHOOL CUSTODIAN III                       1.00   $     35,544.00       1.00   $     35,544.00   61 WS02
   02/01/2010    EDN 100/AA     55557 J1      A CLERK TYPIST II                            1.00   $     28,836.00       1.00   $     25,668.00   63 SR08
   02/01/2010    EDN 100/AA    801445 T1      A EDUC ASST II                               1.00   $     24,147.72       1.00   $     24,147.72   03 SR10
   02/01/2010    EDN 150/FA     65160 J1      A SPEC ED TEACHER                            1.00   $     46,609.00       1.00   $     43,157.04   05 T02
   02/01/2010    EDN 150/FA     71140 J1      A SPEC ED TCHR/PRE‐SCHOOL                    1.00   $     43,157.00       0.50   $     21,579.00   45 T02
   02/01/2010    EDN 150/FA     71670 T1      A SPEC ED TEACHER                            1.00   $     43,157.04       1.00   $     43,157.04   05 T02
   02/01/2010    EDN 150/FA     49621 T1      A EDUC ASST III                              1.00   $     26,131.00       1.00   $     26,131.36   03 SR12
   02/01/2010    EDN 150/FA     57193 T1      A EDUC ASST III                              0.75   $     20,366.00       0.75   $     19,598.52   03 SR12
   02/01/2010    EDN 150/FA     56926 T1      A EDUC ASST III                              1.00   $     28,209.00       1.00   $     26,131.36   03 SR12
   02/01/2010    EDN 150/FA     57024 T1      A EDUC ASST I                                0.75   $     19,599.00       0.75   $     16,748.37   03 SR08
   02/01/2010    EDN 150/FA     56754 T1      A EDUC ASST III                              0.50   $     14,104.00       0.50   $     13,065.68   03 SR12
   02/01/2010    EDN 150/FA     56764 T1      A EDUC ASST II                               1.00   $     26,131.00       1.00   $     24,147.72   03 SR10
   02/01/2010    EDN 150/FA     57214 T1      A EDUC ASST III                              0.75   $     19,599.00       0.75   $     19,598.52   03 SR12
   02/01/2010    EDN 150/FA    801475 J1      A EDUC ASST II                               0.50   $     12,073.86       0.50   $     12,073.86   03 SR10
   02/01/2010    EDN 150/FA    801217 T1      A EDUC ASST II                               1.00   $     24,147.72       1.00   $     24,147.72   03 SR10
   02/01/2010    EDN 150/FA    801448 J1      A EDUC ASST III                              1.00   $     26,131.36       1.00   $     26,131.36   03 SR12
   02/01/2010    EDN 150/FB     61502 J1      A COUNSELOR                                  1.00   $     50,493.00       1.00   $     46,608.96   05 T03
   02/01/2010    EDN 150/NB    800065 T1      N EDUC ASST III                              1.00   $     26,131.36       1.00   $     26,131.36   03 SR12
   02/01/2010    EDN 150/YC     59795 T1      A BEHAVIORAL HLTH SPCLT III                  1.00   $     47,412.00       1.00   $     42,132.00   13 SR20
   02/01/2010    EDN 150/YG    801381 J1      A CLERK TYPIST II                            1.00   $     25,668.00       1.00   $     25,668.00   63 SR08
   02/01/2010    EDN 300/UA    801158 J1      A DATA PROCSSG SYSTS ANAL II                 1.00   $     51,312.00       1.00   $     38,988.00   13 SR18
   02/01/2010    EDN 400/MD     59644 T1      N CAFETERIA HELPER                           0.50   $     16,614.00       0.50   $     16,614.00   01 BC02
   02/01/2010    EDN 400/MD     52940 T1      N CAFETERIA HELPER                           0.50   $     16,614.00       0.50   $     16,614.00   01 BC02
   02/02/2010    EDN 100/AA     71355 J1      A LIBRARIAN                                  1.00   $     68,845.00       1.00   $     46,608.96   05 T03
   02/02/2010    EDN 150/FA    801476 J1      A EDUC ASST III                              1.00   $     26,131.36       1.00   $     26,131.36   03 SR12
   02/03/2010    EDN 100/AA     65300 J1      A SCH ATHLETIC DIR I                         1.00   $     79,242.00       1.00   $     60,006.96   06 E01


                                                                 Page 110                                                                2011 Budget Briefing
Department of Education                                                                  Table 13
                                                             New Hires
  New Hire                    Position  Perm/                                 Budgeted             Budgeted       Actual                     BU     SR 
Effective Date    Prog ID/Org Number Temp MOF             Position Title           FTE                Salary        FTE      Actual Salary  Code Level
   02/03/2010    EDN 100/AA 74818X        A   A SECONDARY TEACHER                        1.00   $     32,712.96       1.00   $     32,712.96   05 T02
   02/03/2010    EDN 150/FA     61377 J1      A SPEC ED TEACHER                          1.00   $     56,740.00       1.00   $     43,157.04   05 T02
   02/04/2010    EDN 100/AA     60968 J1      A SECONDARY TEACHER                        1.00   $     33,694.00       1.00   $     43,157.04   05 T02
   02/05/2010    EDN 100/AA     61686 J1      A SECONDARY TEACHER                        1.00   $     66,397.00       1.00   $     43,157.04   05 T02
   02/06/2010    EDN 100/AA     64441 J1      A SECONDARY TEACHER                        1.00   $     49,535.00       1.00   $     43,157.04   05 T02
   02/07/2010    EDN 100/AA     64559 J1      A SECONDARY TEACHER                        1.00   $     79,170.00       1.00   $     46,608.96   05 T03
   02/08/2010    EDN 100/AA     64671 J1      A SECONDARY TEACHER                        1.00   $     68,408.00       1.00   $     46,608.96   05 T03
   02/08/2010    EDN 100/AA     62233 J1      A SECONDARY TEACHER                        1.00   $     43,157.00       1.00   $     46,608.96   05 T03
   02/08/2010    EDN 100/AA     65030 J1      A SECONDARY TEACHER                        1.00   $     78,808.00       1.00   $     46,608.96   05 T03
   02/08/2010    EDN 100/AA     66713 J1      A SECONDARY TEACHER                        1.00   $     48,008.00       1.00   $     46,608.96   05 T03
   02/08/2010    EDN 100/AA     68383 J1      A ELEM TEACHER                             1.00   $     50,931.00       1.00   $     48,008.16   05 T03
   02/08/2010    EDN 100/AA     16302 J1      A SCHOOL CUSTODIAN II                      0.50   $     16,614.00       0.75   $     24,921.00   01 BC02
   02/08/2010    EDN 150/FA     61399 J1      A SPEC ED TCHR/PRE‐SCHOOL                  1.00   $     63,297.00       1.00   $     46,608.96   05 T03
   02/08/2010    EDN 150/YC    800863 T1      A BEHAVIORAL HLTH SPCLT IV                 1.00   $     45,576.00       1.00   $     47,412.00   13 SR22
   02/08/2010    EDN 400/MD       9523 J1     B SCHOOL COOK II                           1.00   $     38,436.00       1.00   $     38,436.00   01 BC06
   02/09/2010    EDN 100/AA     64940 J1      A SECONDARY TEACHER                        1.00   $     51,426.00       1.00   $     46,608.96   05 T03
   02/09/2010    EDN 150/YC     58369 J1      A BEHAVIORAL HLTH SPCLT III                1.00   $     45,576.00       1.00   $     42,132.00   13 SR20
   02/10/2010    EDN 100/AA     64973 J1      A SECONDARY TEACHER                        1.00   $     67,750.00       1.00   $     46,608.96   05 T03
   02/10/2010    EDN 150/FA     67202 J1      A SPEC ED TEACHER                          1.00   $     49,448.00       1.00   $     32,712.96   05 T02
   02/11/2010    EDN 100/AA     66397 J1      A SECONDARY TEACHER                        1.00   $     60,729.00       1.00   $     46,608.96   05 T03
   02/11/2010    EDN 150/FA     73333 T1      A SPEC ED TEACHER                          1.00   $     45,785.04       1.00   $     45,785.04   05 T02
   02/11/2010    EDN 150/FA     57141 T1      A EDUC ASST II                             1.00   $     27,154.00       1.00   $     24,147.72   03 SR10
   02/12/2010    EDN 100/AA     67597 J1      A SECONDARY TEACHER                        1.00   $     55,603.00       1.00   $     46,608.96   05 T03
   02/13/2010    EDN 100/AA     67692 J1      A SECONDARY TEACHER                        1.00   $     79,170.00       1.00   $     46,608.96   05 T03
   02/14/2010    EDN 100/AA     67832 J1      A SECONDARY TEACHER                        1.00   $     70,400.00       1.00   $     46,608.96   05 T03
   02/15/2010    EDN 100/AA     68893 J1      A SECONDARY TEACHER                        1.00   $     79,170.00       1.00   $     46,608.96   05 T03
   02/16/2010    EDN 100/AA     68998 J1      A SECONDARY TEACHER                        1.00   $     62,550.00       1.00   $     48,008.16   05 T03
   02/16/2010    EDN 100/AA     55261 T1      A CLERK III                                1.00   $     25,668.00       1.00   $     25,668.00   63 SR08
   02/16/2010    EDN 100/AA     56344 J1      A LIBRARY ASSISTANT III                    0.50   $     12,324.00       0.50   $     12,324.00   03 SR07
   02/16/2010    EDN 100/AA     16110 J1      A SCHOOL CUSTODIAN II                      0.50   $     16,614.00       0.50   $     16,614.00   01 BC02
   02/16/2010    EDN 100/AA     42625 J1      A CLERK TYPIST II                          0.50   $     16,878.00       0.50   $     12,834.00   63 SR08
   02/16/2010    EDN 100/AA     45109 J1      A SCHOOL CUSTODIAN II                      1.00   $     33,228.00       1.00   $     33,228.00   01 BC02
   02/16/2010    EDN 100/AA    801405 T1      A SCHOOL SECURITY ATTENDANT                1.00   $     24,648.00       1.00   $     24,648.00   63 SR07
   02/16/2010    EDN 100/DB    800127 T1      N EDUC ASST III                            1.00   $     25,668.00       1.00   $     25,668.00   63 SR08


                                                               Page 111                                                                2011 Budget Briefing
Department of Education                                                                  Table 13
                                                               New Hires
  New Hire                    Position  Perm/                                   Budgeted             Budgeted       Actual                     BU     SR 
Effective Date    Prog ID/Org Number Temp MOF             Position Title             FTE                Salary        FTE      Actual Salary  Code Level
   02/16/2010    EDN 100/DB    800142 T1      N COMMUNICATION AIDE                         1.00   $     30,036.00       1.00   $     30,036.00   63 SR12
   02/16/2010    EDN 150/FA     67250 T1      A SPEC ED TEACHER                            1.00   $     60,195.00       1.00   $     43,157.04   05 T02
   02/16/2010    EDN 150/FA     69429 J1      A GEN EDUC/ARTICLE VI TCHR                   1.00   $     58,959.00       1.00   $     48,008.16   05 T03
   02/16/2010    EDN 150/FA     67200 J1      A SPEC ED TEACHER                            1.00   $     32,712.96       1.00   $     32,712.96   05 T02
   02/16/2010    EDN 150/FA     57584 T1      A EDUC ASST III                              0.88   $     22,865.00       0.88   $     22,864.94   03 SR12
   02/16/2010    EDN 150/FA    801480 J1      A EDUC ASST III                              0.75   $     19,598.52       0.75   $     19,598.52   03 SR12
   02/16/2010    EDN 150/YC    800858 T1      A BEHAVIORAL HLTH SPCLT IV                   0.50   $     22,788.00       0.50   $     24,666.00   13 SR22
   02/16/2010    EDN 150/YK     29446 J1      A SCHOOL HEALTH AIDE                         1.00   $     27,907.00       1.00   $     21,693.00   63 SR09
   02/16/2010    EDN 400/MD     22546 J1      B CAFETERIA HELPER                           1.00   $     33,228.00       0.50   $     16,614.00   01 BC02
   02/17/2010    EDN 100/AA     69150 J1      A SECONDARY TEACHER                          1.00   $     72,513.00       1.00   $     32,712.96   05 T02
   02/17/2010    EDN 100/AA     32482 J1      A SCHOOL CUSTODIAN II                        0.50   $     16,614.00       0.50   $     16,614.00   01 BC02
   02/17/2010    EDN 100/AA     26547 J1      A SCHOOL CUSTODIAN II                        1.00   $     33,228.00       1.00   $     33,228.00   61 BC02
   02/18/2010    EDN 100/AA     69156 J1      A SECONDARY TEACHER                          1.00   $     51,426.00       1.00   $     46,608.96   05 T03
   02/18/2010    EDN 100/AA 76211X        A   A SECONDARY TEACHER                          1.00   $     51,426.00       1.00   $     51,426.00   05 T04
   02/18/2010    EDN 100/AA     65490 J1      A ELEM TEACHER                               1.00   $     47,080.00       1.00   $     49,448.16   05 T03
   02/18/2010    EDN 100/AA     16111 J1      A SCHOOL CUSTODIAN II                        0.50   $     16,614.00       0.50   $     16,614.00   01 BC02
   02/19/2010    EDN 100/AA     69381 J1      A SECONDARY TEACHER                          1.00   $     79,170.00       1.00   $     46,608.96   05 T03
   02/19/2010    EDN 100/AA     68319 J1      A SECONDARY TEACHER                          1.00   $     79,170.00       1.00   $     43,157.04   05 T02
   02/20/2010    EDN 100/AA     71006 J1      A SECONDARY TEACHER                          1.00   $     48,574.00       1.00   $     44,452.08   05 T02
   02/21/2010    EDN 100/AA     71617 J1      A SECONDARY TEACHER                          1.00   $     72,860.00       1.00   $     46,608.96   05 T03
   02/22/2010    EDN 100/AA     72031 J1      A SECONDARY TEACHER                          1.00   $     66,359.00       1.00   $     46,608.96   05 T03
   02/22/2010    EDN 150/FA     76023 T1      A SPEC ED TEACHER                            1.00   $     43,157.00       1.00   $     46,608.96   05 T03
   02/22/2010    EDN 150/FA     68710 J1      A GEN EDUC/ARTICLE VI TCHR                   1.00   $     43,157.00       1.00   $     43,157.04   05 T02
   02/22/2010    EDN 150/FA     68228 J1      A SPEC ED TEACHER                            1.00   $     32,712.96       1.00   $     32,712.96   05 T02
   02/22/2010    EDN 150/SA    800296 J1      A SPEECH PATHOLOGIST IV                      1.00   $     60,436.00       1.00   $     56,247.00   13 SR22
   02/23/2010    EDN 100/AA     72049 J1      A SECONDARY TEACHER                          1.00   $     72,513.00       1.00   $     43,157.04   05 T02
   02/23/2010    EDN 150/YG     59555 J1      A BEHAVIORAL HLTH SPCLT III                  1.00   $     47,412.00       1.00   $     42,132.00   13 SR20
   02/24/2010    EDN 100/AA     72120 J1      A SECONDARY TEACHER                          1.00   $     45,785.00       1.00   $     46,608.96   05 T03
   02/24/2010    EDN 100/AA     22402 J1      A SCHOOL CUSTODIAN II                        0.50   $     16,614.00       0.50   $     16,614.00   61 BC02
   02/25/2010    EDN 100/AA     73753 J1      A SECONDARY TEACHER                          1.00   $     68,351.00       1.00   $     32,712.96   05 T02
   02/25/2010    EDN 150/FA     69412 J1      A SPEC ED TEACHER                            1.00   $     43,157.00       1.00   $     43,157.04   05 T02
   02/25/2010    EDN 150/FA     74332 J1      A SPEC ED TEACHER                            1.00   $     47,080.00       1.00   $     43,157.04   05 T02
   02/26/2010    EDN 100/AA     73874 J1      A SECONDARY TEACHER                          1.00   $     79,170.00       1.00   $     46,608.96   05 T03
   02/26/2010    EDN 100/AA     63562 J1      A SECONDARY TEACHER                          1.00   $     49,448.00       1.00   $     37,481.04   05 T03


                                                                 Page 112                                                                2011 Budget Briefing
Department of Education                                                                  Table 13
                                                                New Hires
  New Hire                      Position  Perm/                                  Budgeted             Budgeted       Actual                     BU     SR 
Effective Date    Prog ID/Org   Number Temp MOF             Position Title            FTE                Salary        FTE      Actual Salary  Code Level
   02/26/2010    EDN 100/AA       63603 J1      A ELEM TEACHER                              1.00   $     66,397.00       1.00   $     46,608.96   05 T03
   02/26/2010    EDN 100/AA       69086 J1      A LIBRARIAN                                 1.00   $     80,465.00       1.00   $     46,608.96   05 T03
   02/26/2010    EDN 100/BJ       73166 J1      A SECONDARY TEACHER                         1.00   $     62,603.00       1.00   $     32,712.96   05 T02
   02/26/2010    EDN 100/DB       79457 T1      N DIST OFF TCHR                             1.00   $     43,157.04       1.00   $     43,157.04   05 T02
   02/26/2010    EDN 150/FA       66617 J1      A SPEC ED TEACHER                           1.00   $     46,609.00       1.00   $     46,608.96   05 T03
   02/26/2010    EDN 150/FA       76024 T1      A SPEC ED TEACHER                           1.00   $     58,959.00       1.00   $     32,712.96   05 T02
   02/26/2010    EDN 150/FA       73933 T1      A SPEC ED TCHR/PRE‐SCHOOL                   1.00   $     53,483.04       1.00   $     53,483.04   05 T05
   02/26/2010    EDN 150/NB       79690 T1      N DIST OFF TCHR                             1.00   $     32,712.96       1.00   $     32,712.96   05 T02
   02/27/2010    EDN 100/AA       74483 J1      A SECONDARY TEACHER                         1.00   $     45,785.00       1.00   $     46,608.96   05 T03
   02/28/2010    EDN 100/BS       73491 T1      A ROTC INSTRUCTOR                           1.00   $  103,290.00         1.00   $     60,612.00   55 ROTC
   03/01/2010    EDN 100/AA       16255 J1      A SCHOOL CUSTODIAN III                      1.00   $     35,544.00       1.00   $     35,544.00   01 WS02
   03/01/2010    EDN 100/AA       33305 J1      A CLERK TYPIST II                           0.50   $     15,606.00       0.50   $     12,834.00   63 SR08
   03/01/2010    EDN 100/AA       36549 J1      A CLERK TYPIST II                           1.00   $     33,756.00       1.00   $     25,668.00   63 SR08
   03/01/2010    EDN 100/AA       38891 J1      A CLERK TYPIST II                           0.50   $     17,532.00       0.50   $     12,834.00   03 SR08
   03/01/2010    EDN 100/AA       40512 J1      A CLERK II                                  0.50   $     12,834.00       1.00   $     23,688.00   63 SR06
   03/01/2010    EDN 100/AA       57659 J1      A SCHOOL SECURITY ATTENDANT                 1.00   $     24,148.00       1.00   $     21,443.72   03 SR07
   03/01/2010    EDN 100/AA      800009 J1      A EDUC ASST II                              1.00   $     29,368.00       1.00   $     24,147.72   03 SR10
   03/01/2010    EDN 100/AA      801502 T1      A CLERK TYPIST II                           0.50   $     12,834.00       0.50   $     12,834.00   63 SR08
   03/01/2010    EDN 100/BV       66120 T1      A SECONDARY TEACHER                         1.00   $     62,550.00       1.00   $     43,157.04   05 T02
   03/01/2010    EDN 100/DB      800129 T1      N EDUC ASST III                             1.00   $     25,668.00       1.00   $     25,668.00   63 SR08
   03/01/2010    EDN 100/DB      800131 T1      N EDUC ASST III                             1.00   $     25,668.00       1.00   $     25,668.00   63 SR08
   03/01/2010    EDN 100/DB      800143 T1      N EDUC ASST III                             1.00   $     25,668.00       1.00   $     25,668.00   63 SR08
   03/01/2010    EDN 100/DB      800145 T1      N EDUC ASST III                             1.00   $     25,668.00       1.00   $     25,668.00   63 SR08
   03/01/2010    EDN 100/DB      800147 T1      N EDUC ASST III                             1.00   $     25,668.00       1.00   $     25,668.00   63 SR08
   03/01/2010    EDN 100/DB      800148 T1      N EDUC ASST III                             1.00   $     25,668.00       1.00   $     25,668.00   63 SR08
   03/01/2010    EDN 150/FA       17916 J1      A EDUC ASST III                             1.00   $     26,131.00       1.00   $     26,131.36   03 SR12
   03/01/2010    EDN 150/FA       47129 J1      A EDUC ASST I                               1.00   $     31,769.00       1.00   $     22,331.16   03 SR08
   03/01/2010    EDN 150/FA       56829 T1      A EDUC ASST II                              1.00   $     26,131.00       1.00   $     24,147.72   03 SR10
   03/01/2010    EDN 150/FA       57228 T1      A EDUC ASST II                              0.75   $     19,599.00       0.75   $     18,110.79   03 SR10
   03/01/2010    EDN 150/FA       57241 T1      A EDUC ASST III                             0.75   $     21,157.00       0.75   $     19,598.52   03 SR12
   03/01/2010    EDN 150/FA       57541 T1      A EDUC ASST II                              0.75   $     20,366.00       0.75   $     18,110.79   03 SR10
   03/01/2010    EDN 150/FA      800500 T1      A EDUC ASST II                              1.00   $     28,209.00       1.00   $     24,147.72   03 SR10
   03/01/2010    EDN 150/FA      801286 T1      A EDUC ASST I                               1.00   $     22,331.16       1.00   $     22,331.16   03 SR08
   03/01/2010    EDN 150/FA      801449 J1      A EDUC ASST III                             1.00   $     26,131.36       1.00   $     26,131.36   03 SR12


                                                                 Page 113                                                                 2011 Budget Briefing
Department of Education                                                                  Table 13
                                                                New Hires
  New Hire                      Position  Perm/                                  Budgeted             Budgeted       Actual                     BU     SR 
Effective Date    Prog ID/Org   Number Temp MOF             Position Title            FTE                Salary        FTE      Actual Salary  Code Level
   03/01/2010    EDN 150/FA      801465 T1      A EDUC ASST II                              1.00   $     24,147.72       1.00   $     24,147.72   03 SR10
   03/01/2010    EDN 150/YC       59733 T1      A CLINICAL PSYCHOLOGIST V                   1.00   $     68,160.00       1.00   $     60,744.00   13 SR24
   03/01/2010    EDN 150/YK       29367 J1      A SCHOOL HEALTH AIDE                        1.00   $     25,812.00       1.00   $     18,873.48   03 SR09
   03/01/2010    EDN 400/MD       59895 T1      N CAFETERIA HELPER                          0.50   $     16,614.00       0.50   $     16,614.00   01 BC02
   03/01/2010    EDN 400/MD       57928 J1      B CAFETERIA HELPER                          0.50   $     16,614.00       0.50   $     16,614.00   01 BC02
   03/02/2010    EDN 150/FA       62858 J1      A GEN EDUC/ARTICLE VI TCHR                  1.00   $     48,008.16       1.00   $     48,008.16   05 T03
   03/02/2010    EDN 150/FA       54846 J1      A EDUC ASST I                               0.63   $     19,066.00       0.63   $     13,956.98   03 SR08
   03/03/2010    EDN 100/AA       55788 J1      A EDUC ASST III                             1.00   $     31,769.00       1.00   $     26,131.36   03 SR12
   03/03/2010    EDN 100/AA      801423 T1      A EDUC ASST III                             0.50   $     13,065.68       0.50   $     13,065.68   03 SR12
   03/03/2010    EDN 150/FA       63442 J1      A GEN EDUC/ARTICLE VI TCHR                  1.00   $     48,008.16       1.00   $     48,008.16   05 T03
   03/04/2010    EDN 150/FA       64504 J1      A GEN EDUC/ARTICLE VI TCHR                  1.00   $     49,448.00       1.00   $     48,008.16   05 T03
   03/05/2010    EDN 150/FA       68105 J1      A GEN EDUC/ARTICLE VI TCHR                  1.00   $     43,157.04       1.00   $     43,157.04   05 T02
   03/06/2010    EDN 150/FA       68739 T1      A GEN EDUC/ARTICLE VI TCHR                  1.00   $     46,608.96       1.00   $     46,608.96   05 T03
   03/07/2010    EDN 150/FA       75472 T1      A GEN EDUC/ARTICLE VI TCHR                  1.00   $     51,426.00       1.00   $     43,157.04   05 T02
   03/08/2010    EDN 100/AA      801489 T1      A SCHOOL SECURITY ATTENDANT                 1.00   $     21,443.72       1.00   $     21,443.72   03 SR07
   03/08/2010    EDN 150/FA       75626 T1      A GEN EDUC/ARTICLE VI TCHR                  1.00   $     48,008.00       1.00   $     44,452.08   05 T02
   03/08/2010    EDN 150/SA       30487 J1      A COMMUNICATION AIDE                        1.00   $     37,135.00       1.00   $     26,131.36   03 SR12
   03/08/2010    EDN 400/MD       59909 J1      A CAFETERIA HELPER                          0.50   $     16,614.00       0.50   $     16,614.00   01 BC02
   03/09/2010    EDN 150/FA       75696 T1      A GEN EDUC/ARTICLE VI TCHR                  1.00   $     49,448.00       1.00   $     46,608.96   05 T03
   03/10/2010    EDN 150/FA       75913 J1      A GEN EDUC/ARTICLE VI TCHR                  1.00   $     48,204.00       1.00   $     32,712.96   05 T02
   03/10/2010    EDN 400/MD      801488 T1      A CAFETERIA HELPER                          0.50   $     16,614.00       0.50   $     16,614.00   01 BC02
   03/11/2010    EDN 150/FA       61151 J1      A SPEC ED TCHR/PRE‐SCHOOL                   1.00   $     63,297.00       1.00   $     32,712.96   05 T02
   03/11/2010    EDN 400/MD       28149 T1      N CAFETERIA HELPER                          0.50   $     16,614.00       0.50   $     16,614.00   01 BC02
   03/12/2010    EDN 150/FA       69097 J1      A SPEC ED TCHR/PRE‐SCHOOL                   1.00   $     55,087.00       1.00   $     32,712.96   05 T02
   03/12/2010    EDN 400/MD       50424 J1      B SCHOOL COOK II                            1.00   $     38,436.00       1.00   $     38,436.00   01 BC06
   03/13/2010    EDN 150/FA       60558 T1      A SPEC ED TEACHER                           1.00   $     43,157.00       1.00   $     43,157.04   05 T02
   03/14/2010    EDN 150/FA       60992 J1      A SPEC ED TEACHER                           1.00   $     55,622.00       1.00   $     46,608.96   05 T03
   03/15/2010    EDN 150/FA       61299 J1      A SPEC ED TEACHER                           1.00   $     45,785.00       1.00   $     48,008.16   05 T03
   03/16/2010    EDN 100/AA       16414 J1      A SCHOOL CUSTODIAN II                       1.00   $     33,228.00       0.50   $     16,614.00   01 BC02
   03/16/2010    EDN 100/AA      801034 T1      A SCHOOL CUSTODIAN II                       0.50   $     16,614.00       0.50   $     16,614.00   01 BC02
   03/16/2010    EDN 100/AA      801383 T1      A SCHOOL CUSTODIAN II                       0.50   $     16,614.00       0.50   $     16,614.00   01 BC02
   03/16/2010    EDN 100/BM       52462 J1      A ATHLETIC HLTH CARE TRAINER                1.00   $     47,412.00       1.00   $     45,576.00   13 SR22
   03/16/2010    EDN 150/FA       65988 J1      A SPEC ED TEACHER                           1.00   $     57,291.00       1.00   $     32,712.96   05 T02
   03/16/2010    EDN 400/OC       33426 J1      A PLUMBER I                                 1.00   $     49,320.00       1.00   $     46,236.00   61 BC10


                                                                  Page 114                                                                2011 Budget Briefing
Department of Education                                                                  Table 13
                                                                New Hires
  New Hire                      Position  Perm/                                  Budgeted             Budgeted       Actual                     BU     SR 
Effective Date    Prog ID/Org   Number Temp MOF             Position Title            FTE                Salary        FTE      Actual Salary  Code Level
   03/17/2010    EDN 150/FA       66614 J1      A SPEC ED TEACHER                           1.00   $     46,609.00       1.00   $     43,157.04   05 T02
   03/18/2010    EDN 100/AA       54936 J1      A SCHOOL CUSTODIAN II                       0.50   $     16,614.00       0.50   $     16,614.00   01 BC02
   03/18/2010    EDN 100/AA      801507 T1      A DP USER SUPPORT TECH II                   1.00   $     33,756.00       1.00   $     33,756.00   63 SR15
   03/18/2010    EDN 150/FA       67513 T1      A SPEC ED TEACHER                           1.00   $     46,608.96       1.00   $     46,608.96   05 T03
   03/19/2010    EDN 150/FA       68083 J1      A SPEC ED TEACHER                           1.00   $     49,448.00       1.00   $     43,157.04   05 T02
   03/20/2010    EDN 150/FA       68239 J1      A SPEC ED TEACHER                           1.00   $     45,785.00       1.00   $     48,008.16   05 T03
   03/21/2010    EDN 150/FA       68427 T1      A SPEC ED TEACHER                           1.00   $     43,157.00       1.00   $     43,157.04   05 T02
   03/22/2010    EDN 100/AA       40982 J1      A SCHOOL CUSTODIAN II                       0.50   $     16,614.00       0.50   $     16,614.00   01 BC02
   03/22/2010    EDN 100/AA      801350 T1      A SCHOOL SECURITY ATTENDANT                 1.00   $     21,443.72       1.00   $     21,443.72   03 SR07
   03/22/2010    EDN 100/AA      801473 T1      A SCHOOL CUSTODIAN II                       0.50   $     16,614.00       0.50   $     16,614.00   01 BC02
   03/22/2010    EDN 100/DB      800135 T1      N EDUC ASST III                             1.00   $     25,668.00       1.00   $     25,668.00   63 SR08
   03/22/2010    EDN 100/DB      800144 T1      N EDUC ASST III                             1.00   $     25,668.00       1.00   $     25,668.00   63 SR08
   03/22/2010    EDN 100/DB      800149 T1      N EDUC ASST II                              1.00   $     25,668.00       1.00   $     25,668.00   63 SR08
   03/22/2010    EDN 150/FA       68744 J1      A SPEC ED TEACHER                           1.00   $     50,493.00       1.00   $     48,008.16   05 T03
   03/22/2010    EDN 150/FA       46187 J1      A EDUC ASST II                              1.00   $     33,032.00       1.00   $     24,147.72   03 SR10
   03/22/2010    EDN 150/FA       47132 J1      A EDUC ASST II                              1.00   $     29,368.00       1.00   $     24,147.72   03 SR10
   03/22/2010    EDN 150/FA       56687 J1      A EDUC ASST I                               0.75   $     20,366.00       0.75   $     16,748.37   03 SR08
   03/22/2010    EDN 150/FA       56756 J1      A EDUC ASST II                              0.50   $     13,066.00       0.50   $     12,073.86   03 SR10
   03/22/2010    EDN 150/FA       56966 T1      A EDUC ASST III                             1.00   $     26,131.00       1.00   $     26,131.36   03 SR12
   03/22/2010    EDN 150/FA       57056 T1      A EDUC ASST II                              1.00   $     29,368.00       1.00   $     24,147.72   03 SR10
   03/22/2010    EDN 150/FA       57268 T1      A EDUC ASST II                              0.50   $     13,066.00       0.75   $     18,110.79   03 SR10
   03/22/2010    EDN 150/FA       58933 J1      A EDUC ASST III                             0.75   $     19,599.00       0.75   $     19,598.52   03 SR12
   03/22/2010    EDN 150/SA       33208 J1      A SPEECH PATHOLOGIST II                     1.00   $     69,305.00       1.00   $     47,621.40   13 SR18
   03/22/2010    EDN 150/YC       58640 J1      A BEHAVIORAL HLTH SPCLT III                 1.00   $     45,576.00       1.00   $     42,132.00   13 SR20
   03/23/2010    EDN 100/AA       40033 J1      A ACCOUNT CLERK IV                          1.00   $     36,516.00       1.00   $     31,212.00   03 SR13
   03/23/2010    EDN 150/FA       71151 T1      A SPEC ED TEACHER                           1.00   $     58,959.00       1.00   $     43,157.04   05 T02
   03/24/2010    EDN 150/FA       71286 J1      A SPEC ED TEACHER                           1.00   $     43,157.04       1.00   $     43,157.04   05 T02
   03/24/2010    EDN 150/FA       57147 T1      A EDUC ASST II                              1.00   $     28,209.00       1.00   $     24,147.72   03 SR10
   03/25/2010    EDN 150/FA       71477 J1      A SPEC ED TEACHER                           1.00   $     45,785.00       1.00   $     43,157.04   05 T02
   03/25/2010    EDN 150/FA       58814 T1      A EDUC ASST III                             1.00   $     26,131.00       1.00   $     26,131.36   03 SR12
   03/25/2010    EDN 150/YC       58457 T1      A BEHAVIORAL HLTH SPCLT III                 1.00   $     45,576.00       1.00   $     42,132.00   13 SR20
   03/25/2010    EDN 400/MD       44463 T1      N CAFETERIA HELPER                          0.50   $     16,614.00       0.50   $     16,614.00   01 BC02
   03/26/2010    EDN 150/FA       71695 T1      A SPEC ED TEACHER                           1.00   $     32,713.00       1.00   $     43,157.04   05 T02
   03/27/2010    EDN 150/FA       72480 J1      A SPEC ED TEACHER                           1.00   $     49,448.00       1.00   $     32,712.96   05 T02


                                                                 Page 115                                                                 2011 Budget Briefing
Department of Education                                                                  Table 13
                                                                New Hires
  New Hire                      Position  Perm/                                  Budgeted             Budgeted       Actual                     BU     SR 
Effective Date    Prog ID/Org   Number Temp MOF             Position Title            FTE                Salary        FTE      Actual Salary  Code Level
   03/28/2010    EDN 150/FA       72567 J1      A SPEC ED TEACHER                           1.00   $     52,226.00       1.00   $     43,157.04   05 T02
   03/29/2010    EDN 150/FA       73204 J1      A SPEC ED TEACHER                           1.00   $     53,483.00       1.00   $     46,608.96   05 T03
   03/29/2010    EDN 150/FA       58006 T1      A EDUC ASST III                             0.75   $     19,599.00       0.75   $     19,598.52   03 SR12
   03/29/2010    EDN 150/SA       56308 J1      A OCCUPATIONAL THERAPIST IV                 1.00   $     60,696.00       1.00   $     54,636.00   13 SR22
   03/29/2010    EDN 150/YG      801198 T1      A BEHAVIORAL HLTH SPCLT IV                    ‐    $     49,332.00       1.00   $     49,332.00   13 SR22
   03/29/2010    EDN 400/MD      801487 T1      A CAFETERIA HELPER                          0.50   $     16,614.00       0.50   $     16,614.00   01 BC02
   03/30/2010    EDN 150/FA       73685 T1      A SPEC ED TEACHER                           1.00   $     43,157.04       1.00   $     43,157.04   05 T02
   03/31/2010    EDN 150/FA       73736 J1      A SPEC ED TEACHER                           1.00   $     43,157.04       1.00   $     43,157.04   05 T02
   04/01/2010    EDN 100/AA      801446 T1      A EDUC ASST II                              1.00   $     24,147.72       1.00   $     24,147.72   03 SR10
   04/01/2010    EDN 150/FA       73906 J1      A SPEC ED TEACHER                           1.00   $     43,157.00       1.00   $     43,157.04   05 T02
   04/01/2010    EDN 150/FA       57422 T1      A EDUC ASST I                               0.63   $     16,972.00       0.63   $     13,956.98   03 SR08
   04/01/2010    EDN 150/FA       57827 T1      A EDUC ASST III                             0.75   $     22,879.00       0.75   $     19,598.52   03 SR12
   04/01/2010    EDN 150/NB      801457 T1      N EDUC ASST II                              1.00   $     24,147.72       1.00   $     24,147.72   03 SR10
   04/01/2010    EDN 150/YC       58519 J1      A BEHAVIORAL HLTH SPCLT IV                  1.00   $     47,412.00       1.00   $     47,412.00   13 SR22
   04/01/2010    EDN 400/MD       59892 T1      N CAFETERIA HELPER                          0.50   $     16,614.00       0.50   $     16,614.00   01 BC02
   04/02/2010    EDN 150/FA       73975 T1      A SPEC ED TEACHER                           1.00   $     46,608.96       1.00   $     46,608.96   05 T03
   04/03/2010    EDN 150/FA       74086 J1      A SPEC ED TEACHER                           1.00   $     79,170.00       1.00   $     32,712.96   05 T02
   04/04/2010    EDN 150/FA       74181 T1      A SPEC ED TEACHER                           1.00   $     43,157.00       1.00   $     46,608.96   05 T03
   04/05/2010    EDN 150/FA       76014 J1      A SPEC ED TEACHER                           1.00   $     33,694.00       1.00   $     32,712.96   05 T02
   04/05/2010    EDN 150/FA       57511 T1      A EDUC ASST II                              0.75   $     20,366.00       0.75   $     18,110.79   63 SR10
   04/05/2010    EDN 150/FA      800660 T1      A EDUC ASST II                              1.00   $     26,131.00       1.00   $     24,147.72   63 SR10
   04/05/2010    EDN 150/SA       30563 J1      A PHYSICAL THERAPIST IV                     1.00   $     57,828.00       1.00   $     56,076.00   13 SR22
   04/05/2010    EDN 150/YG      800266 J1      A EDUC ASST II                              1.00   $     27,154.00       1.00   $     24,147.72   03 SR10
   04/06/2010    EDN 100/AA       56614 J1      A CLERK TYPIST II                           0.75   $     22,527.00       0.75   $     19,251.00   63 SR08
   04/06/2010    EDN 100/AA      801421 T1      A CLERK TYPIST II                           0.50   $     12,834.00       0.50   $     12,834.00   63 SR08
   04/06/2010    EDN 100/DB      800144 T1      N EDUC ASST III                             1.00   $     25,668.00       1.00   $     25,668.00   63 SR08
   04/06/2010    EDN 150/FA       76025 J1      A SPEC ED TEACHER                           1.00   $     54,778.00       1.00   $     46,608.96   05 T03
   04/06/2010    EDN 400/OC       33427 J1      A PLUMBER I                                 1.00   $     49,320.00       1.00   $     46,253.76   61 BC10
   04/06/2010    EDN 500/PC       47280 J1      A CLERK TYPIST II                           0.50   $     12,834.00       0.50   $     12,834.00   63 SR08
   04/07/2010    EDN 300/KO       74637 J1      A PERS REGIONAL OFFICER II                  1.00   $     80,350.00       1.00   $     77,069.04   56 E07
   04/08/2010    EDN 150/YC      800447 J1      A SCHOOL PSYCHOLOGIST                       1.00   $     67,428.00       1.00   $     51,312.00   73 SR24
   04/09/2010    EDN 100/AA       59821 J1      A SCHOOL SECURITY ATTENDANT                 1.00   $     26,131.00       1.00   $     21,443.72   03 SR07
   04/12/2010    EDN 100/AA       18688 J1      A SCHOOL CUSTODIAN II                       0.50   $     16,614.00       0.50   $     16,614.00   01 BC02
   04/12/2010    EDN 100/AA       40155 J1      A SCHOOL CUSTODIAN II                       0.50   $     16,614.00       0.50   $     16,614.00   01 BC02


                                                                 Page 116                                                                 2011 Budget Briefing
Department of Education                                                                  Table 13
                                                                 New Hires
  New Hire                      Position  Perm/                                   Budgeted             Budgeted       Actual                     BU     SR 
Effective Date    Prog ID/Org   Number Temp MOF             Position Title             FTE                Salary        FTE      Actual Salary  Code Level
   04/12/2010    EDN 150/FA       57610 T1      A EDUC ASST III                              0.75   $     19,599.00       0.75   $     19,598.52   63 SR12
   04/12/2010    EDN 150/FA      801407 T1      A EDUC ASST I                                0.50   $     11,165.58       0.50   $     11,165.58   63 SR08
   04/13/2010    EDN 150/YC       58385 J1      A BEHAVIORAL HLTH SPCLT III                  1.00   $     45,576.00       1.00   $     42,132.00   73 SR20
   04/16/2010    EDN 100/AA       22644 J1      A SCHOOL CUSTODIAN II                        0.50   $     16,614.00       0.50   $     16,614.00   01 BC02
   04/16/2010    EDN 100/AA       55138 J1      A EDUC ASST III                              0.50   $     13,577.00       0.50   $     13,065.68   03 SR12
   04/16/2010    EDN 100/AA       56438 J1      A CLERK TYPIST II                            1.00   $     25,668.00       1.00   $     25,668.00   03 SR08
   04/16/2010    EDN 100/AA      801235 T1      A EDUC ASST I                                1.00   $     22,331.16       1.00   $     22,331.16   63 SR08
   04/16/2010    EDN 100/DB      801484 T1      N CLERK TYPIST II                            1.00   $     25,668.00       1.00   $     25,668.00   03 SR08
   04/16/2010    EDN 150/FA       53138 J1      A EDUC ASST II                               0.75   $     19,599.00       0.75   $     18,110.79   03 SR10
   04/16/2010    EDN 150/FA       56972 T1      A EDUC ASST II                               1.00   $     27,154.00       1.00   $     24,147.72   63 SR10
   04/16/2010    EDN 150/FA      801335 T1      A EDUC ASST III                              1.00   $     26,131.36       1.00   $     26,131.36   63 SR12
   04/16/2010    EDN 150/NB       58145 T1      N EDUC ASST II                               1.00   $     24,147.72       1.00   $     24,147.72   63 SR10
   04/16/2010    EDN 150/NB       58147 T1      N EDUC ASST III                              1.00   $     26,131.36       1.00   $     26,131.36   63 SR12
   04/16/2010    EDN 150/SA       30494 J1      A COMMUNICATION AID                          0.50   $     15,885.00       0.50   $     15,017.60   63 SR12
   04/16/2010    EDN 400/MD       55387 J1      B CAFETERIA HELPER                           0.50   $     16,614.00       0.50   $     16,614.00   01 BC02
   04/19/2010    EDN 100/AA       21886 J1      A SCHOOL CUSTODIAN II                        0.50   $     16,614.00       0.50   $     16,614.00   61 BC02
   04/19/2010    EDN 100/AA      801077 T1      A CLERK TYPIST II                            1.00   $     25,668.00       1.00   $     25,668.00   63 SR08
   04/19/2010    EDN 150/FA       56039 T1      A EDUC ASST III                              1.00   $     26,131.00       1.00   $     26,131.36   63 SR12
   04/20/2010    EDN 150/NB      800180 T1      N EDUC ASST I                                0.75   $     16,748.37       0.75   $     16,748.37   63 SR08
   04/20/2010    EDN 150/YG      801308 J1      A BEHAVIORAL HLTH SPCLT III                  1.00   $     42,132.00       1.00   $     42,132.00   13 SR20
   04/21/2010    EDN 100/AA       45206 J1      A CLERK TYPIST II                            1.00   $     25,668.00       1.00   $     25,668.00   63 SR08
   04/21/2010    EDN 100/AA       54875 T1      A CLERK III                                  0.50   $     14,418.00       0.50   $     12,834.00   63 SR08
   04/26/2010    EDN 100/AA       55284 J1      A CLERK III                                  0.50   $     12,834.00       0.50   $     12,834.00   63 SR08
   04/26/2010    EDN 150/YG      800275 J1      A EDUC ASST II                               1.00   $     26,131.00       1.00   $     24,147.72   03 SR10
   04/26/2010    EDN 400/MD       57700 J1      B CAFETERIA HELPER                           0.50   $     16,614.00       0.50   $     16,614.00   01 BC02
   04/29/2010    EDN 150/FA       56765 T1      A EDUC ASST III                              0.50   $     13,577.00       0.50   $     13,065.68   03 SR12
   05/03/2010    EDN 100/AA       56588 J1      A CLERK TYPIST II                            0.50   $     12,834.00       0.50   $     12,834.00   63 SR08
   05/03/2010    EDN 100/AA       56614 J1      A CLERK TYPIST II                            0.75   $     22,527.00       0.75   $     19,251.00   03 SR08
   05/03/2010    EDN 100/AA      801490 T1      A SCHOOL CUSTODIAN II                        0.50   $     16,614.00       0.50   $     16,614.00   61 BC02
   05/03/2010    EDN 100/AA       27114 J1      A CLERK TYPIST II                            1.00   $     27,756.00       1.00   $     25,668.00   63 SR08
   05/03/2010    EDN 100/AA       36421 J1      A CLERK TYPIST II                            1.00   $     31,212.00       1.00   $     25,668.00   63 SR08
   05/03/2010    EDN 150/FA       57369 T1      A EDUC ASST II                               0.75   $     19,599.00       0.75   $     18,110.79   63 SR10
   05/03/2010    EDN 150/FA       57508 J1      A EDUC ASST II                               1.00   $     27,154.00       0.75   $     18,110.79   63 SR10
   05/03/2010    EDN 150/FA       57301 T1      A EDUC ASST II                               0.75   $     20,366.00       0.75   $     18,110.79   63 SR10


                                                                    Page 117                                                               2011 Budget Briefing
Department of Education                                                                  Table 13
                                                                New Hires
  New Hire                      Position  Perm/                                  Budgeted             Budgeted       Actual                     BU     SR 
Effective Date    Prog ID/Org   Number Temp MOF             Position Title            FTE                Salary        FTE      Actual Salary  Code Level
   05/03/2010    EDN 150/FA        55051 J1     A EDUC ASST III                             0.75   $     19,599.00       0.75   $     19,598.52   03 SR12
   05/03/2010    EDN 150/FA        55423 J1     A EDUC ASST III                             0.88   $     22,865.00       0.88   $     22,864.94   03 SR12
   05/03/2010    EDN 150/YC        58483 T1     A BEHAVIORAL HLTH SPCLT III                 1.00   $     45,576.00       1.00   $     42,132.00   73 SR20
   05/03/2010    EDN 150/YG      801071 T1      A EDUC ASST III                             1.00   $     30,036.00       1.00   $     30,036.00   63 SR12
   05/03/2010    EDN 300/KF        66414 J1     A ACCTG OPERATION SPEC III                  1.00   $     84,947.00       1.00   $     87,340.08   06 E08
   05/03/2010    EDN 300/KF        59881 J1     A AUDITOR V                                 1.00   $     62,424.00       1.00   $     60,024.00   13 SR24
   05/03/2010    EDN 400/MD        45866 T1     N CAFETERIA HELPER                          0.50   $     16,614.00       0.50   $     16,614.00   01 BC02
   05/04/2010    EDN 150/NB      800182 T1      N EDUC ASST III                             1.00   $     26,131.36       1.00   $     26,131.36   63 SR12
   05/04/2010    EDN 150/SA        33176 J1     A SPEECH PATHOLOGIST IV                     1.00   $     57,999.00       1.00   $     56,247.00   13 SR22
   05/17/2010    EDN 100/AA      801194 T1      A CLERK TYPIST II                           1.00   $     25,668.00       1.00   $     25,668.00   63 SR08
   05/17/2010    EDN 100/AA        22229 J1     A SCHOOL CUSTODIAN II                       0.50   $     16,614.00       0.50   $     16,614.00   01 BC02
   05/17/2010    EDN 100/AA      801405 T1      A SCHOOL SECURITY ATTENDANT                 1.00   $     21,443.72       1.00   $     21,443.72   63 SR07
   05/17/2010    EDN 100/AA        41721 J1     A CLERK TYPIST II                           1.00   $     30,036.00       0.50   $     12,834.00   63 SR08
   05/17/2010    EDN 100/AA         4091 J1     A ACCOUNT CLERK III                         1.00   $     28,836.00       1.00   $     28,836.00   03 SR11
   05/17/2010    EDN 150/FA        24757 J1     A EDUC ASST II                              1.00   $     31,769.00       1.00   $     24,147.72   03 SR10
   05/17/2010    EDN 150/YC        58091 J1     A SOCIAL WORKER IV                          1.00   $     47,412.00       1.00   $     45,576.00   73 SR22
   05/17/2010    EDN 150/YG      800276 J1      A EDUC ASST II                              1.00   $     27,154.00       1.00   $     24,147.72   03 SR10
   05/17/2010    EDN 200/GN        76371 T1     A DISTRICT EDUC SPEC II                     1.00   $     77,069.04       1.00   $     77,069.04   06 E07
   05/21/2010    EDN 100/AA      801186 T1      A SCHOOL SECURITY ATTENDANT                 1.00   $     24,648.00       1.00   $     24,648.00   63 SR07
   05/21/2010    EDN 100/AA        59748 T1     A SCHOOL SECURITY ATTENDANT                 1.00   $     21,444.00       1.00   $     24,648.00   63 SR07
   05/21/2010    EDN 100/AA      800736 T1      A SCHOOL SECURITY ATTENDANT                 1.00   $     21,444.00       1.00   $     24,648.00   63 SR07
   06/01/2010     EDN 100/AA     14709      J1  A CLERK TYPIST II                           1.00   $     27,756.00       1.00   $     25,668.00   03 SR08
   06/01/2010     EDN 150/YC     58386      T1  A BEHAVIORAL HLTH SPCLT III                 1.00   $     45,576.00       1.00   $     42,132.00   73 SR20
   06/01/2010     EDN 300/KO     69986      J1  A PERSONNEL SPECIALIST II                   1.00   $     81,475.00       1.00   $     77,069.00   56 E07
   06/08/2010     EDN 400/MB     36219      T1  N ACCOUNT CLERK IV                          1.00   $     41,040.00       1.00   $     16,211.00   63 SR13
   06/14/2010     EDN 100/AA     16113      J1  A SCHOOL CUSTODIAN II                       0.50   $     16,614.00       0.50   $     16,614.00   01 BC02
   06/14/2010     EDN 150/YC    800567      T1  A SCHOOL PSYCHOLOGIST                       1.00   $     60,756.00       1.00   $     26,644.00   73 SR24
   06/16/2010     EDN 400/MD      2007      J1  A SCHOOL BAKER                              1.00   $     38,436.00       1.00   $     38,436.00   01 BC06
   06/16/2010     EDN 400/MD    801155      T1  N CLERK TYPIST II                           1.00   $     25,668.00       1.00   $     25,668.00   03 SR08
   06/16/2010     EDN 400/MD    801151      T1  N CLERK TYPIST II                           1.00   $     25,668.00       1.00   $     25,668.00   03 SR08
   06/16/2010     EDN 400/OC     17159      J1  A PLUMBER I                                 1.00   $     49,320.00       1.00   $     46,236.00   01 BC10
   06/21/2010     EDN 100/AA     16157      J1  A SCHOOL CUSTODIAN II                       1.00   $     33,228.00       0.50   $     16,614.00   01 BC02
   06/21/2010     EDN 400/MD    801154      T1  N CLERK TYPIST II                           1.00   $     25,668.00       1.00   $     25,668.00   03 SR08
   06/25/2010     EDN 200/GH     57913      J1  B DATA PROCSSG SYSTS ANAL IV                1.00   $     45,576.00       1.00   $     45,576.00   13 SR22


                                                                  Page 118                                                                2011 Budget Briefing
Department of Education                                                                     Table 13
                                                              New Hires
  New Hire                    Position  Perm/                                     Budgeted             Budgeted       Actual                      BU    SR 
Effective Date    Prog ID/Org Number Temp MOF             Position Title               FTE                Salary        FTE      Actual Salary  Code Level
   06/28/2010     EDN 400/OC 17197        J1  A GENERAL LABORER II                           1.00   $     34,164.00       1.00   $     17,744.00    01 BC03
   07/01/2010    EDN 100/AA     73468 T1      A ELEM TEACHER                                 1.00   $     43,157.04       1.00   $     43,157.04    05 T02
   07/01/2010    EDN 100/AA     56273 T1      A CLERK III                                    0.50   $     15,018.00       0.50   $     12,834.00    03 SR08
   07/01/2010    EDN 100/AA     73013 J1      A 12‐MO STUDENT SVCS COORD                     1.00   $     61,117.00       1.00   $     46,608.96    05 T03
   07/01/2010    EDN 100/AA     56170 J1      A ACCOUNT CLERK II                             1.00   $     25,668.00       1.00   $     25,668.00    03 SR08
   07/01/2010    EDN 100/AA     16610 J1      A SCHOOL CUSTODIAN II                          1.00   $     33,228.00       1.00   $     33,228.00    01 BC02
   07/01/2010    EDN 150/FA     71402 J1      A SPEC ED TEACHER                              1.00   $     33,694.00       1.00   $     43,157.04    05 T02
   07/01/2010    EDN 150/FA     76339 J1      A SPEC ED TEACHER                              1.00   $     57,324.00       1.00   $     43,157.04    05 T02
   07/01/2010    EDN 300/UA     73064 J1      A TELECOMM NETWORK SPEC II                     1.00   $  100,367.00         1.00   $     77,069.04    06 E07
   07/01/2010    EDN 300/UA     73085 J1      A TELECOMM SPEC II                             1.00   $  104,642.00         1.00   $     77,069.04    06 E07
   07/07/2010    EDN 100/AA    801406 T1      A DP USER SUPPORT TECH II                      1.00   $     17,528.40       1.00   $     17,528.40    63 SR15
   07/07/2010    EDN 100/AA    801232 T1      A ACCOUNT CLERK II                             1.00   $     13,327.00       1.00   $     13,327.20    63 SR08
   07/08/2010    EDN 100/AA     71879 J1      A ELEM TEACHER                                 1.00   $     45,785.00       1.00   $     43,157.04    05 T02
   07/08/2010    EDN 100/AA     56533 J1      A ACCOUNT CLERK II                             1.00   $     27,756.00       1.00   $     25,668.00    03 SR08
   07/08/2010    EDN 150/FA     76169 J1      A SPEC ED TEACHER                              1.00   $     58,959.00       1.00   $     43,157.04    05 T02
   07/12/2010    EDN 100/AA     16412 J1      A SCHOOL CUSTODIAN II                          1.00   $     33,228.00       0.50   $     16,614.00    01 BC02
   07/12/2010    EDN 150/FA     56928 T1      A EDUC ASST II                                 1.00   $     27,154.00       1.00   $     25,030.08    03 SR12
   07/12/2010    EDN 150/YC     33165 J1      A SCHOOL PSYCHOLOGIST                          1.00   $     46,803.00       1.00   $     51,312.00    13 SR24
   07/12/2010    EDN 300/KO       5043 J1     A SECRETARY II                                 1.00   $     58,440.00       1.00   $     16,837.20    63 SR14
   07/14/2010    EDN 100/AA    801580 T1      A CLERK TYPIST II                              1.00   $     13,327.20       1.00   $     13,327.20    63 SR08
   07/15/2010    EDN 100/BS     73397 T1      A ROTC INSTRUCTOR                              1.00   $     76,054.00       1.00   $     77,700.00    55 ROTC
   07/15/2010    EDN 100/BS     73383 T1      A ROTC INSTRUCTOR                              1.00   $     88,094.00       1.00   $  112,176.00      55 ROTC
   07/16/2010    EDN 100/AA    801566 T1      A SCHOOL SAFETY AND SECURITY OF                1.00   $     16,210.80       1.00   $     16,210.80    84 SR13
   07/16/2010    EDN 100/AA     56508 J1      A CLERK TYPIST II                              0.50   $     14,418.00       0.50   $       6,663.60   63 SR08
   07/16/2010    EDN 100/AA     56608 J1      A CLERK TYPIST II                              0.50   $     14,418.00       0.50   $     12,834.00    03 SR08
   07/16/2010    EDN 100/AA     56616 J1      A CLERK TYPIST II                              0.50   $     13,878.00       0.50   $     12,834.00    03 SR08
   07/16/2010    EDN 100/AA     45148 J1      A CLERK II                                     1.00   $     32,424.00       1.00   $     23,688.00    03 SR06
   07/16/2010    EDN 100/AA     59720 J1      A SCHOOL CUSTODIAN II                          0.50   $     16,614.00       0.50   $     16,614.00    01 BC02
   07/19/2010    EDN 100/AA    801513 J1      A DP USER SUPPORT TECH II                      1.00   $     17,528.00       1.00   $     17,528.40    63 SR15
   07/19/2010    EDN 150/SA    801320 J1      A EDUCATIONAL INTERPRETER I                    1.00   $     30,036.00       1.00   $     30,036.00    03 SR12
   07/19/2010    EDN 150/SA    801321 J1      A EDUCATIONAL INTERPRETER I                    1.00   $     30,036.00       1.00   $     30,036.00    03 SR12
   07/19/2010    EDN 150/YC     46659 J1      A BEHAVIORAL HLTH SPCLT III                    1.00   $     47,412.00       1.00   $     45,576.00    13 SR22
   07/20/2010    EDN 100/AA    801565 T1      A SCHOOL SAFETY AND SECURITY OF                1.00   $     16,210.80       1.00   $     16,210.80    84 SR13
   07/20/2010    EDN 150/YC     58650 T1      A BEHAVIORAL SPECIALIST III                    1.00   $     49,332.00       1.00   $     21,880.80    73 SR20


                                                                Page 119                                                                   2011 Budget Briefing
Department of Education                                                                     Table 13
                                                                New Hires
  New Hire                      Position  Perm/                                     Budgeted             Budgeted       Actual                     BU    SR 
Effective Date    Prog ID/Org   Number Temp MOF             Position Title               FTE                Salary        FTE      Actual Salary  Code Level
   07/21/2010    EDN 400/MD      801150 T1      N CLERK TYPIST II                              1.00   $     25,668.00       1.00   $     25,668.00   63 SR08
   07/22/2010    EDN 100/AA      801560 T1      A SCHOOL SAFETY AND SECURITY OF                1.00   $     16,210.80       1.00   $     16,210.80   84 SR13
   07/23/2010    EDN 100/AA       55284 J1      A CLERK III                                    0.50   $     12,834.00       0.50   $     12,834.00   03 SR08
   07/23/2010    EDN 100/AA         1837 J1     A SCHOOL ADM SERVICES ASST I                   1.00   $     48,048.00       1.00   $     30,036.00   04 SR12
   07/23/2010    EDN 400/MD         2015 J1     A SCHOOL FOOD SERVICES MGR I                   1.00   $     44,957.00       1.00   $     39,972.00   02 WF06
   07/27/2010    EDN 100/AA      801563 T1      A SCHOOL SAFETY AND SECURITY OF                1.00   $     16,210.80       1.00   $     16,210.80   84 SR13
   07/27/2010    EDN 100/AA      801564 T1      A SCHOOL SAFETY AND SECURITY OF                1.00   $     16,210.80       1.00   $     16,210.80   84 SR13
   07/27/2010    EDN 100/AA      600604 T1      A SECONDARY TEACHER                            1.00   $     40,566.96       1.00   $     40,566.96   05 T02
   07/27/2010    EDN 100/AA      600624 T1      A SECONDARY TEACHER                            1.00   $     43,157.04       1.00   $     43,157.04   05 T02
   07/27/2010    EDN 100/AA      600626 T1      A ELEM TEACHER                                 1.00   $     46,608.96       1.00   $     46,608.96   05 T03
   07/27/2010    EDN 100/AA      600629 T1      A SECONDARY TEACHER                            1.00   $     43,157.04       1.00   $     43,157.04   05 T02
   07/27/2010    EDN 100/AA      600631 T1      A ELEM TEACHER                                 1.00   $     46,608.96       1.00   $     46,608.96   05 T03
   07/27/2010    EDN 100/AA      600635 T1      A SECONDARY TEACHER                            0.50   $     21,578.52       0.50   $     21,578.52   45 T02
   07/27/2010    EDN 100/AA      600637 T1      A ELEM TEACHER                                 1.00   $     48,008.16       1.00   $     48,008.16   05 T03
   07/27/2010    EDN 100/AA      600640 T1      A ELEM TEACHER                                 1.00   $     40,566.96       1.00   $     40,566.96   05 T02
   07/27/2010    EDN 100/AA      600688 T1      A SECONDARY TEACHER                            1.00   $     43,157.04       1.00   $     43,157.04   05 T02
   07/27/2010    EDN 100/AA      600689 T1      A ELEM TEACHER                                 1.00   $     43,157.04       1.00   $     43,157.04   05 T02
   07/27/2010    EDN 100/AA      600693 T1      A SECONDARY TEACHER                            1.00   $     46,608.96       1.00   $     46,608.96   05 T03
   07/27/2010    EDN 100/AA      600695 T1      A ELEM TEACHER                                 1.00   $     43,157.04       1.00   $     43,157.04   05 T02
   07/27/2010    EDN 100/AA      600699 T1      A ELEM TEACHER                                 1.00   $     43,157.04       1.00   $     43,157.04   05 T02
   07/27/2010    EDN 100/AA      600703 T1      A SECONDARY TEACHER                            1.00   $     44,452.08       1.00   $     44,452.08   05 T02
   07/27/2010    EDN 100/AA      600704 T1      A SECONDARY TEACHER                            1.00   $     40,566.96       1.00   $     40,566.96   05 T02
   07/27/2010    EDN 100/AA      600710 T1      A ELEM TEACHER                                 1.00   $     40,566.96       1.00   $     40,566.96   05 T02
   07/27/2010    EDN 100/AA      600723 T1      A ELEM TEACHER                                 1.00   $     46,608.96       1.00   $     46,608.96   05 T03
   07/27/2010    EDN 100/AA      600727 T1      A ELEM TEACHER                                 1.00   $     46,608.96       1.00   $     46,608.96   05 T03
   07/27/2010    EDN 100/AA      600738 T1      A SECONDARY TEACHER                            1.00   $     46,608.96       1.00   $     46,608.96   05 T03
   07/27/2010    EDN 100/AA      600744 T1      A ELEM TEACHER                                 1.00   $     43,157.04       1.00   $     43,157.04   05 T02
   07/27/2010    EDN 100/AA      600769 T1      A SECONDARY TEACHER                            1.00   $     46,608.96       1.00   $     46,608.96   05 T03
   07/27/2010    EDN 100/AA      600773 T1      A ELEM TEACHER                                 1.00   $     32,712.96       1.00   $     32,712.96   05 T02
   07/27/2010    EDN 100/AA      600798 T1      A ELEM TEACHER                                 1.00   $     43,157.04       1.00   $     43,157.04   05 T02
   07/27/2010    EDN 100/AA      600803 T1      A ELEM TEACHER                                 1.00   $     43,157.04       1.00   $     43,157.04   05 T02
   07/27/2010    EDN 100/AA      600808 T1      A ELEM TEACHER                                 1.00   $     46,608.96       1.00   $     46,608.96   05 T03
   07/27/2010    EDN 100/AA      600822 T1      A ELEM TEACHER                                 1.00   $     46,608.96       1.00   $     46,608.96   05 T03
   07/27/2010    EDN 100/AA       68128 J1      A SECONDARY TEACHER                            1.00   $     32,713.00       1.00   $     48,008.16   05 T03


                                                                  Page 120                                                                   2011 Budget Briefing
Department of Education                                                                  Table 13
                                                                  New Hires
  New Hire                      Position  Perm/                                    Budgeted             Budgeted       Actual                     BU    SR 
Effective Date    Prog ID/Org   Number Temp MOF           Position Title                FTE                Salary        FTE      Actual Salary  Code Level
   07/27/2010    EDN 100/AA       64570 J1      A SECONDARY TEACHER                           1.00   $     32,713.00       1.00   $     40,566.96   05 T02
   07/27/2010    EDN 100/AA       74277 J1      A SECONDARY TEACHER                           1.00   $     33,694.00       1.00   $     44,452.08   05 T02
   07/27/2010    EDN 100/AA       73711 J1      A SECONDARY TEACHER                           1.00   $     34,705.00       1.00   $     43,157.04   05 T02
   07/27/2010    EDN 100/AA       64576 J1      A SECONDARY TEACHER                           1.00   $     34,705.00       1.00   $     46,608.96   05 T03
   07/27/2010    EDN 100/AA       65881 J1      A SECONDARY TEACHER                           1.00   $     35,705.00       1.00   $     46,608.96   05 T03
   07/27/2010    EDN 100/AA       74282 J1      A SECONDARY TEACHER                           1.00   $     37,481.00       1.00   $     43,157.04   05 T02
   07/27/2010    EDN 100/AA       72200 J1      A SECONDARY TEACHER                           1.00   $     37,481.00       1.00   $     32,712.96   05 T02
   07/27/2010    EDN 100/AA       72022 J1      A SECONDARY TEACHER                           1.00   $     41,862.00       1.00   $     40,566.96   05 T02
   07/27/2010    EDN 100/AA       64078 J1      A SECONDARY TEACHER                           1.00   $     41,862.00       1.00   $     46,608.96   05 T03
   07/27/2010    EDN 100/AA       71881 J1      A ELEM TEACHER                                1.00   $     43,157.00       1.00   $     43,157.04   05 T02
   07/27/2010    EDN 100/AA       69927 J1      A ELEM TEACHER                                1.00   $     43,157.00       1.00   $     40,566.96   05 T02
   07/27/2010    EDN 100/AA       65697 J1      A ELEM TEACHER                                1.00   $     43,157.00       1.00   $     43,157.04   05 T02
   07/27/2010    EDN 100/AA       64937 J1      A SECONDARY TEACHER                           1.00   $     43,157.00       1.00   $     40,566.96   05 T02
   07/27/2010    EDN 100/AA       64528 J1      A SECONDARY TEACHER                           1.00   $     43,157.00       1.00   $     43,157.04   05 T02
   07/27/2010    EDN 100/AA       62354 J1      A SECONDARY TEACHER                           1.00   $     43,157.00       1.00   $     35,328.96   05 T03
   07/27/2010    EDN 100/AA       63182 J1      A SECONDARY TEACHER                           1.00   $     43,812.00       1.00   $     40,566.96   05 T02
   07/27/2010    EDN 100/AA       68649 J1      A SECONDARY TEACHER                           1.00   $     44,452.00       1.00   $     46,608.96   05 T03
   07/27/2010    EDN 100/AA       68344 J1      A ELEM TEACHER                                1.00   $     44,452.00       1.00   $     43,157.04   05 T02
   07/27/2010    EDN 100/AA       67560 J1      A SECONDARY TEACHER                           1.00   $     44,452.00       1.00   $     43,157.04   05 T02
   07/27/2010    EDN 100/AA       65887 J1      A SECONDARY TEACHER                           1.00   $     44,452.00       1.00   $     32,712.96   05 T02
   07/27/2010    EDN 100/AA       65839 J1      A ELEM TEACHER                                1.00   $     44,452.00       1.00   $     43,157.04   05 T02
   07/27/2010    EDN 100/AA       64958 J1      A SECONDARY TEACHER                           1.00   $     44,452.00       1.00   $     43,157.04   05 T02
   07/27/2010    EDN 100/AA       63090 J1      A ELEM TEACHER                                1.00   $     44,452.00       1.00   $     43,157.04   05 T02
   07/27/2010    EDN 100/AA       61409 J1      A ELEM TEACHER                                1.00   $     44,452.00       1.00   $     40,566.96   05 T02
   07/27/2010    EDN 100/AA       75155 J1      A SECONDARY TEACHER                           1.00   $     45,785.00       1.00   $     46,608.96   05 T03
   07/27/2010    EDN 100/AA       72835 J1      A SECONDARY TEACHER                           1.00   $     45,785.00       1.00   $     46,608.96   05 T03
   07/27/2010    EDN 100/AA       69625 J1      A SECONDARY TEACHER                           1.00   $     45,785.00       1.00   $     43,157.04   05 T02
   07/27/2010    EDN 100/AA       69076 J1      A SECONDARY TEACHER                           1.00   $     45,785.00       1.00   $     43,157.04   05 T02
   07/27/2010    EDN 100/AA       68737 J1      A ELEM TEACHER                                1.00   $     45,785.00       1.00   $     43,157.04   05 T02
   07/27/2010    EDN 100/AA       68347 J1      A ELEM TEACHER                                1.00   $     45,785.00       1.00   $     43,157.04   05 T02
   07/27/2010    EDN 100/AA       64759 J1      A SECONDARY TEACHER                           1.00   $     45,785.00       1.00   $     46,608.96   05 T03
   07/27/2010    EDN 100/AA       63664 J1      A SECONDARY TEACHER                           1.00   $     45,785.00       1.00   $     43,157.04   05 T02
   07/27/2010    EDN 100/AA       62705 J1      A ELEM TEACHER                                1.00   $     45,785.00       1.00   $     43,157.04   05 T02
   07/27/2010    EDN 100/AA       61426 J1      A SECONDARY TEACHER                           1.00   $     45,785.00       1.00   $     48,008.16   05 T03


                                                                    Page 121                                                                2011 Budget Briefing
Department of Education                                                                  Table 13
                                                                  New Hires
  New Hire                      Position  Perm/                                    Budgeted             Budgeted       Actual                     BU    SR 
Effective Date    Prog ID/Org   Number Temp MOF           Position Title                FTE                Salary        FTE      Actual Salary  Code Level
   07/27/2010    EDN 100/AA       61310 J1      A ELEM TEACHER                                1.00   $     45,785.00       1.00   $     43,157.04   05 T02
   07/27/2010    EDN 100/AA       60808 J1      A ELEM TEACHER                                1.00   $     45,785.00       1.00   $     43,157.04   05 T02
   07/27/2010    EDN 100/AA       69147 J1      A SECONDARY TEACHER                           1.00   $     46,609.00       1.00   $     40,566.96   05 T02
   07/27/2010    EDN 100/AA       67171 J1      A ELEM TEACHER                                1.00   $     46,609.00       1.00   $     40,566.96   05 T02
   07/27/2010    EDN 100/AA       66871 J1      A SECONDARY TEACHER                           1.00   $     46,609.00       1.00   $     43,157.04   05 T02
   07/27/2010    EDN 100/AA       66520 J1      A ELEM TEACHER                                1.00   $     46,609.00       1.00   $     48,008.16   05 T03
   07/27/2010    EDN 100/AA       65820 J1      A SECONDARY TEACHER                           1.00   $     46,609.00       1.00   $     46,608.96   05 T03
   07/27/2010    EDN 100/AA       61795 J1      A SECONDARY TEACHER                           1.00   $     46,609.00       1.00   $     48,008.16   05 T03
   07/27/2010    EDN 100/AA       61608 J1      A ELEM TEACHER                                1.00   $     46,609.00       1.00   $     40,566.96   05 T02
   07/27/2010    EDN 100/AA       60716 J1      A SECONDARY TEACHER                           1.00   $     46,609.00       1.00   $     46,608.96   05 T03
   07/27/2010    EDN 100/AA       62037 J1      A SECONDARY TEACHER                           1.00   $     47,159.00       1.00   $     43,157.04   05 T02
   07/27/2010    EDN 100/AA       72285 J1      A SECONDARY TEACHER                           1.00   $     48,008.00       1.00   $     43,157.04   05 T02
   07/27/2010    EDN 100/AA       71659 J1      A ELEM TEACHER                                1.00   $     48,008.00       1.00   $     43,157.04   05 T02
   07/27/2010    EDN 100/AA       68090 J1      A SECONDARY TEACHER                           1.00   $     48,008.00       1.00   $     32,712.96   05 T02
   07/27/2010    EDN 100/AA       65698 J1      A ELEM TEACHER                                1.00   $     48,008.00       1.00   $     48,008.16   05 T03
   07/27/2010    EDN 100/AA       64783 J1      A SECONDARY TEACHER                           1.00   $     48,008.00       1.00   $     32,712.96   05 T02
   07/27/2010    EDN 100/AA       64019 J1      A SECONDARY TEACHER                           1.00   $     48,008.00       1.00   $     43,157.04   05 T02
   07/27/2010    EDN 100/AA       63577 J1      A SECONDARY TEACHER                           1.00   $     48,008.00       1.00   $     46,608.96   05 T03
   07/27/2010    EDN 100/AA       62730 J1      A ELEM TEACHER                                1.00   $     48,008.00       1.00   $     46,608.96   05 T03
   07/27/2010    EDN 100/AA       61858 J1      A ELEM TEACHER                                1.00   $     48,008.00       1.00   $     40,566.96   05 T02
   07/27/2010    EDN 100/AA       60672 J1      A SECONDARY TEACHER                           1.00   $     48,008.00       1.00   $     46,608.96   05 T03
   07/27/2010    EDN 100/AA       63466 J1      A ELEM TEACHER                                1.00   $     48,204.00       1.00   $     43,157.04   05 T02
   07/27/2010    EDN 100/AA       72169 J1      A SECONDARY TEACHER                           1.00   $     49,448.00       1.00   $     43,157.04   05 T02
   07/27/2010    EDN 100/AA       68210 J1      A ELEM TEACHER                                1.00   $     49,448.00       1.00   $     32,712.96   05 T02
   07/27/2010    EDN 100/AA       68037 J1      A ELEM TEACHER                                1.00   $     49,448.00       1.00   $     43,157.04   05 T02
   07/27/2010    EDN 100/AA       67495 J1      A SECONDARY TEACHER                           1.00   $     49,448.00       1.00   $     43,157.04   05 T02
   07/27/2010    EDN 100/AA       66149 J1      A SECONDARY TEACHER                           1.00   $     49,448.00       1.00   $     46,608.96   05 T03
   07/27/2010    EDN 100/AA       65470 J1      A SECONDARY TEACHER                           1.00   $     49,448.00       1.00   $     46,608.96   05 T03
   07/27/2010    EDN 100/AA       64884 J1      A ELEM TEACHER                                1.00   $     49,448.00       1.00   $     43,157.04   05 T02
   07/27/2010    EDN 100/AA       64334 J1      A SECONDARY TEACHER                           1.00   $     49,448.00       1.00   $     46,608.96   05 T03
   07/27/2010    EDN 100/AA       64127 J1      A SECONDARY TEACHER                           1.00   $     49,448.00       1.00   $     46,608.96   05 T03
   07/27/2010    EDN 100/AA       63379 J1      A SECONDARY TEACHER                           1.00   $     49,448.00       1.00   $     43,157.04   05 T02
   07/27/2010    EDN 100/AA       62902 J1      A SECONDARY TEACHER                           1.00   $     49,448.00       1.00   $     40,566.96   05 T02
   07/27/2010    EDN 100/AA       62895 J1      A SECONDARY TEACHER                           1.00   $     49,448.00       1.00   $     40,566.96   05 T02


                                                                    Page 122                                                                2011 Budget Briefing
Department of Education                                                                  Table 13
                                                                  New Hires
  New Hire                      Position  Perm/                                    Budgeted             Budgeted       Actual                     BU    SR 
Effective Date    Prog ID/Org   Number Temp MOF           Position Title                FTE                Salary        FTE      Actual Salary  Code Level
   07/27/2010    EDN 100/AA       62648 J1      A ELEM TEACHER                                1.00   $     49,448.00       1.00   $     46,608.96   05 T03
   07/27/2010    EDN 100/AA       60882 J1      A ELEM TEACHER                                1.00   $     49,448.00       1.00   $     44,452.08   05 T02
   07/27/2010    EDN 100/AA       64859 J1      A ELEM TEACHER                                1.00   $     50,493.00       1.00   $     43,157.04   05 T02
   07/27/2010    EDN 100/AA       72276 J1      A ELEM TEACHER                                1.00   $     50,743.00       1.00   $     43,157.04   05 T02
   07/27/2010    EDN 100/AA       60816 J1      A ELEM TEACHER                                1.00   $     50,743.00       1.00   $     46,608.96   05 T03
   07/27/2010    EDN 100/AA       71182 J1      A ELEM TEACHER                                1.00   $     50,931.00       1.00   $     46,608.96   05 T03
   07/27/2010    EDN 100/AA       62598 J1      A SECONDARY TEACHER                           1.00   $     50,931.00       1.00   $     43,157.04   05 T02
   07/27/2010    EDN 100/AA       62485 J1      A ELEM TEACHER                                1.00   $     50,931.00       1.00   $     43,157.04   05 T02
   07/27/2010    EDN 100/AA       61497 J1      A ELEM TEACHER                                1.00   $     50,931.00       1.00   $     46,608.96   05 T03
   07/27/2010    EDN 100/AA       60635 J1      A ELEM TEACHER                                1.00   $     50,973.00       1.00   $     43,157.04   05 T02
   07/27/2010    EDN 100/AA       67511 J1      A SECONDARY TEACHER                           1.00   $     51,426.00       1.00   $     43,157.04   05 T02
   07/27/2010    EDN 100/AA       65036 J1      A ELEM TEACHER                                1.00   $     51,426.00       1.00   $     43,157.04   05 T02
   07/27/2010    EDN 100/AA       63613 J1      A ELEM TEACHER                                1.00   $     51,426.00       1.00   $     43,157.04   05 T02
   07/27/2010    EDN 100/AA       61092 J1      A ELEM TEACHER                                1.00   $     51,426.00       1.00   $     43,157.04   05 T02
   07/27/2010    EDN 100/AA       68892 J1      A SECONDARY TEACHER                           1.00   $     52,226.00       1.00   $     46,608.96   05 T03
   07/27/2010    EDN 100/AA       63739 J1      A ELEM TEACHER                                1.00   $     52,226.00       1.00   $     43,157.04   05 T02
   07/27/2010    EDN 100/AA       65088 J1      A ELEM TEACHER                                1.00   $     52,460.00       1.00   $     46,608.96   05 T03
   07/27/2010    EDN 100/AA       63612 J1      A ELEM TEACHER                                1.00   $     52,471.00       1.00   $     43,157.04   05 T02
   07/27/2010    EDN 100/AA       62455 J1      A SECONDARY TEACHER                           1.00   $     52,721.00       1.00   $     40,566.96   05 T02
   07/27/2010    EDN 100/AA       68454 J1      A SECONDARY TEACHER                           1.00   $     52,968.00       1.00   $     43,157.04   05 T02
   07/27/2010    EDN 100/AA       66515 J1      A SECONDARY TEACHER                           1.00   $     53,483.00       1.00   $     40,566.96   05 T02
   07/27/2010    EDN 100/AA       60495 J1      A ELEM TEACHER                                1.00   $     53,483.00       1.00   $     46,608.96   05 T03
   07/27/2010    EDN 100/AA       66385 J1      A SECONDARY TEACHER                           1.00   $     54,528.00       1.00   $     40,566.96   05 T02
   07/27/2010    EDN 100/AA       63817 J1      A SECONDARY TEACHER                           1.00   $     54,558.00       1.00   $     32,712.96   05 T02
   07/27/2010    EDN 100/AA       72237 J1      A SECONDARY TEACHER                           1.00   $     55,087.00       1.00   $     32,712.96   05 T02
   07/27/2010    EDN 100/AA       71023 J1      A ELEM TEACHER                                1.00   $     55,087.00       1.00   $     46,608.96   05 T03
   07/27/2010    EDN 100/AA       68683 J1      A SECONDARY TEACHER                           1.00   $     55,087.00       1.00   $     40,566.96   05 T02
   07/27/2010    EDN 100/AA       62654 J1      A ELEM TEACHER                                1.00   $     55,087.00       1.00   $     43,157.04   05 T02
   07/27/2010    EDN 100/AA       63131 J1      A SECONDARY TEACHER                           1.00   $     55,622.00       0.50   $     16,356.48   45 T02
   07/27/2010    EDN 100/AA       62800 J1      A ELEM TEACHER                                1.00   $     55,622.00       1.00   $     43,157.04   05 T02
   07/27/2010    EDN 100/AA       61680 J1      A SECONDARY TEACHER                           1.00   $     55,622.00       1.00   $     46,608.96   05 T03
   07/27/2010    EDN 100/AA       68079 J1      A ELEM TEACHER                                1.00   $     55,853.00       1.00   $     46,608.96   05 T03
   07/27/2010    EDN 100/AA       65247 J1      A ELEM TEACHER                                1.00   $     56,132.00       1.00   $     40,566.96   05 T02
   07/27/2010    EDN 100/AA       62543 J1      A SECONDARY TEACHER                           1.00   $     56,740.00       1.00   $     32,712.96   05 T02


                                                                    Page 123                                                                2011 Budget Briefing
Department of Education                                                                  Table 13
                                                                  New Hires
  New Hire                      Position  Perm/                                    Budgeted             Budgeted       Actual                     BU    SR 
Effective Date    Prog ID/Org   Number Temp MOF           Position Title                FTE                Salary        FTE      Actual Salary  Code Level
   07/27/2010    EDN 100/AA       68109 J1      A SECONDARY TEACHER                           1.00   $     57,324.00       1.00   $     43,157.04   05 T02
   07/27/2010    EDN 100/AA       63869 J1      A ELEM TEACHER                                1.00   $     57,880.00       1.00   $     40,566.96   05 T02
   07/27/2010    EDN 100/AA       72279 J1      A ELEM TEACHER                                1.00   $     58,336.00       1.00   $     43,157.04   05 T02
   07/27/2010    EDN 100/AA       72154 J1      A SECONDARY TEACHER                           1.00   $     58,925.00       1.00   $     46,608.96   05 T03
   07/27/2010    EDN 100/AA       62938 J1      A ELEM TEACHER                                1.00   $     58,959.00       1.00   $     40,566.96   05 T02
   07/27/2010    EDN 100/AA       62753 J1      A ELEM TEACHER                                1.00   $     58,959.00       1.00   $     40,566.96   05 T02
   07/27/2010    EDN 100/AA       69595 J1      A ELEM TEACHER                                1.00   $     59,010.00       1.00   $     40,566.96   05 T02
   07/27/2010    EDN 100/AA       65082 J1      A ELEM TEACHER                                1.00   $     59,010.00       1.00   $     46,608.96   05 T03
   07/27/2010    EDN 100/AA       61436 J1      A ELEM TEACHER                                1.00   $     59,043.00       1.00   $     43,157.04   05 T02
   07/27/2010    EDN 100/AA       67702 J1      A ELEM TEACHER                                1.00   $     60,195.00       1.00   $     46,608.96   05 T03
   07/27/2010    EDN 100/AA       61623 J1      A SECONDARY TEACHER                           1.00   $     60,729.00       1.00   $     43,157.04   05 T02
   07/27/2010    EDN 100/AA       62538 J1      A SECONDARY TEACHER                           1.00   $     60,779.00       1.00   $     43,157.04   05 T02
   07/27/2010    EDN 100/AA       61274 J1      A ELEM TEACHER                                1.00   $     61,405.00       1.00   $     43,157.04   05 T02
   07/27/2010    EDN 100/AA       68066 J1      A ELEM TEACHER                                1.00   $     62,024.00       1.00   $     43,157.04   05 T02
   07/27/2010    EDN 100/AA       66951 J1      A ELEM TEACHER                                1.00   $     62,024.00       1.00   $     43,157.04   05 T02
   07/27/2010    EDN 100/AA       67366 J1      A SECONDARY TEACHER                           1.00   $     62,550.00       1.00   $     43,157.04   05 T02
   07/27/2010    EDN 100/AA       62690 J1      A ELEM TEACHER                                1.00   $     62,550.00       1.00   $     43,157.04   05 T02
   07/27/2010    EDN 100/AA       62530 J1      A SECONDARY TEACHER                           1.00   $     62,550.00       1.00   $     46,608.96   05 T03
   07/27/2010    EDN 100/AA       60888 J1      A ELEM TEACHER                                1.00   $     62,550.00       1.00   $     46,608.96   05 T03
   07/27/2010    EDN 100/AA       71128 J1      A ELEM TEACHER                                1.00   $     62,603.00       1.00   $     40,566.96   05 T02
   07/27/2010    EDN 100/AA       66942 J1      A ELEM TEACHER                                1.00   $     63,047.00       1.00   $     48,008.16   05 T03
   07/27/2010    EDN 100/AA       69255 J1      A ELEM TEACHER                                1.00   $     63,595.00       1.00   $     46,608.96   05 T03
   07/27/2010    EDN 100/AA       66870 J1      A SECONDARY TEACHER                           1.00   $     63,845.00       1.00   $     32,712.96   05 T02
   07/27/2010    EDN 100/AA       71497 J1      A ELEM TEACHER                                1.00   $     64,482.00       1.00   $     43,157.04   05 T02
   07/27/2010    EDN 100/AA       67436 J1      A ELEM TEACHER                                1.00   $     64,482.00       1.00   $     43,157.04   05 T02
   07/27/2010    EDN 100/AA       67567 J1      A ELEM TEACHER                                1.00   $     66,359.00       1.00   $     43,157.04   05 T02
   07/27/2010    EDN 100/AA       67060 J1      A SECONDARY TEACHER                           1.00   $     66,359.00       1.00   $     32,712.96   05 T02
   07/27/2010    EDN 100/AA       66302 J1      A ELEM TEACHER                                1.00   $     66,359.00       1.00   $     43,157.04   05 T02
   07/27/2010    EDN 100/AA       60192 J1      A ELEM TEACHER                                1.00   $     66,359.00       1.00   $     43,157.04   05 T02
   07/27/2010    EDN 100/AA       64392 J1      A ELEM TEACHER                                1.00   $     67,442.00       1.00   $     40,566.96   05 T02
   07/27/2010    EDN 100/AA       74297 J1      A SECONDARY TEACHER                           1.00   $     67,750.00       1.00   $     43,157.04   05 T02
   07/27/2010    EDN 100/AA       65798 J1      A SECONDARY TEACHER                           1.00   $     69,453.00       1.00   $     43,157.04   05 T02
   07/27/2010    EDN 100/AA       67467 J1      A ELEM TEACHER                                1.00   $     69,646.00       1.00   $     46,608.96   05 T03
   07/27/2010    EDN 100/AA       74540 J1      A ELEM TEACHER                                1.00   $     70,400.00       1.00   $     46,608.96   05 T03


                                                                    Page 124                                                                2011 Budget Briefing
Department of Education                                                                  Table 13
                                                                  New Hires
  New Hire                       Position  Perm/                                   Budgeted             Budgeted       Actual                     BU    SR 
Effective Date    Prog ID/Org    Number Temp MOF           Position Title               FTE                Salary        FTE      Actual Salary  Code Level
   07/27/2010    EDN 100/AA        61584 J1      A ELEM TEACHER                               1.00   $     72,513.00       1.00   $     43,157.04   05 T02
   07/27/2010    EDN 100/AA        65934 J1      A ELEM TEACHER                               1.00   $     73,808.00       1.00   $     46,608.96   05 T03
   07/27/2010    EDN 100/AA        68316 J1      A SECONDARY TEACHER                          1.00   $     74,688.00       1.00   $     46,608.96   05 T03
   07/27/2010    EDN 100/AA        66181 J1      A SECONDARY TEACHER                          1.00   $     74,688.00       1.00   $     46,608.96   05 T03
   07/27/2010    EDN 100/AA        61544 J1      A ELEM TEACHER                               1.00   $     74,688.00       1.00   $     43,157.04   05 T02
   07/27/2010    EDN 100/AA        71753 J1      A ELEM TEACHER                               1.00   $     75,983.00       1.00   $     43,157.04   05 T02
   07/27/2010    EDN 100/AA        72747 J1      A ELEM TEACHER                               1.00   $     79,170.00       1.00   $     43,157.04   05 T02
   07/27/2010    EDN 100/AA        72561 J1      A ELEM TEACHER                               1.00   $     79,170.00       1.00   $     43,157.04   05 T02
   07/27/2010    EDN 100/AA        69519 J1      A ELEM TEACHER                               1.00   $     79,170.00       1.00   $     40,566.96   05 T02
   07/27/2010    EDN 100/AA        68624 J1      A SECONDARY TEACHER                          1.00   $     79,170.00       1.00   $     46,608.96   05 T03
   07/27/2010    EDN 100/AA        68478 J1      A SECONDARY TEACHER                          1.00   $     79,170.00       1.00   $     43,157.04   05 T02
   07/27/2010    EDN 100/AA        67073 J1      A ELEM TEACHER                               1.00   $     79,170.00       1.00   $     46,608.96   05 T03
   07/27/2010    EDN 100/AA        66738 J1      A SECONDARY TEACHER                          1.00   $     79,170.00       1.00   $     46,608.96   05 T03
   07/27/2010    EDN 100/AA        65599 J1      A SECONDARY TEACHER                          1.00   $     79,170.00       1.00   $     46,608.96   05 T03
   07/27/2010    EDN 100/AA        64313 J1      A SECONDARY TEACHER                          1.00   $     79,170.00       1.00   $     43,157.04   05 T02
   07/27/2010    EDN 100/AA        64246 J1      A ELEM TEACHER                               1.00   $     79,170.00       1.00   $     46,608.96   05 T03
   07/27/2010    EDN 100/AA        63924 J1      A ELEM TEACHER                               1.00   $     79,170.00       1.00   $     43,157.04   05 T02
   07/27/2010    EDN 100/AA        63311 J1      A ELEM TEACHER                               1.00   $     79,170.00       1.00   $     46,608.96   05 T03
   07/27/2010    EDN 100/AA        62698 J1      A ELEM TEACHER                               1.00   $     79,170.00       1.00   $     43,157.04   05 T02
   07/27/2010    EDN 100/AA        62638 J1      A ELEM TEACHER                               1.00   $     79,170.00       1.00   $     43,157.04   05 T02
   07/27/2010    EDN 100/AA        61708 J1      A SECONDARY TEACHER                          1.00   $     79,170.00       1.00   $     46,608.96   05 T03
   07/27/2010    EDN 100/AA        61308 J1      A ELEM TEACHER                               1.00   $     79,170.00       1.00   $     43,157.04   05 T02
   07/27/2010    EDN 100/AA        69209 J1      A SECONDARY TEACHER                          1.00   $     80,215.00       1.00   $     43,157.04   05 T02
   07/27/2010    EDN 100/AA        62533 J1      A SECONDARY TEACHER                          1.00   $     80,465.00       1.00   $     46,608.96   05 T03
   07/27/2010    EDN 100/AA        61922 J1      A ELEM TEACHER                               1.00   $     80,465.00       1.00   $     43,157.04   05 T02
   07/27/2010    EDN 100/AA        60642 J1      A ELEM TEACHER                               1.00   $     80,465.00       1.00   $     43,157.04   05 T02
   07/27/2010    EDN 100/AA      61213Z      J1  A ELEM TEACHER                               1.00   $     49,448.00       1.00   $     48,008.16   05 T03
   07/27/2010    EDN 100/AA      61347Z      J1  A ELEM TEACHER                               1.00   $     33,694.00       1.00   $     40,566.96   05 T02
   07/27/2010    EDN 100/AA      63937Z      J1  A ELEM TEACHER                               1.00   $     60,729.00       1.00   $     43,157.04   05 T02
   07/27/2010    EDN 100/AA      68951Z      J1  A ELEM TEACHER                               1.00   $     74,688.00       1.00   $     46,608.96   05 T03
   07/27/2010    EDN 100/AA        69106 J1      A ELEM TEACHER                               1.00   $     43,157.04       1.00   $     43,157.04   05 T02
   07/27/2010    EDN 100/AA       600020 T1      A ELEM TEACHER                               1.00   $     46,608.96       1.00   $     46,608.96   05 T03
   07/27/2010    EDN 100/AA       600054 T1      A ELEM TEACHER                               1.00   $     43,157.04       1.00   $     43,157.04   05 T02
   07/27/2010    EDN 100/AA       600057 T1      A ELEM TEACHER                               1.00   $     46,608.96       1.00   $     46,608.96   05 T03


                                                                     Page 125                                                               2011 Budget Briefing
Department of Education                                                                  Table 13
                                                                New Hires
  New Hire                    Position  Perm/                                    Budgeted             Budgeted       Actual                     BU    SR 
Effective Date    Prog ID/Org Number Temp MOF            Position Title               FTE                Salary        FTE      Actual Salary  Code Level
   07/27/2010    EDN 100/AA    600064 T1      A ELEM TEACHER                                1.00   $     43,157.04       1.00   $     43,157.04   05 T02
   07/27/2010    EDN 100/AA    600066 T1      A ELEM TEACHER                                1.00   $     43,157.04       1.00   $     43,157.04   05 T02
   07/27/2010    EDN 100/AA    600123 T1      A ELEM TEACHER                                1.00   $     46,608.96       1.00   $     46,608.96   05 T03
   07/27/2010    EDN 100/AA    600140 T1      A SECONDARY TEACHER                           1.00   $     40,566.96       1.00   $     40,566.96   05 T02
   07/27/2010    EDN 100/AA    600144 T1      A SECONDARY TEACHER                           0.50   $     21,578.52       0.50   $     21,578.52   45 T02
   07/27/2010    EDN 100/AA    600226 T1      A ELEM TEACHER                                1.00   $     46,608.96       1.00   $     46,608.96   05 T03
   07/27/2010    EDN 100/AA    600242 T1      A SECONDARY TEACHER                           0.50   $     21,578.52       0.50   $     21,578.52   45 T02
   07/27/2010    EDN 100/AA    600351 T1      A ELEM TEACHER                                1.00   $     43,157.04       1.00   $     43,157.04   05 T02
   07/27/2010    EDN 100/AA    600386 T1      A ELEM TEACHER                                1.00   $     46,608.96       1.00   $     46,608.96   05 T03
   07/27/2010    EDN 100/AA    600402 T1      A SECONDARY TEACHER                           1.00   $     40,566.96       1.00   $     40,566.96   05 T02
   07/27/2010    EDN 100/AA    600415 T1      A SECONDARY TEACHER                           1.00   $     43,157.04       1.00   $     43,157.04   05 T02
   07/27/2010    EDN 100/AA    600806 T1      A SECONDARY TEACHER                           0.50   $     21,578.52       0.50   $     21,578.52   45 T02
   07/27/2010    EDN 100/AA     79581 T1      A SECONDARY TEACHER                           1.00   $     32,712.96       1.00   $     32,712.96   05 T02
   07/27/2010    EDN 100/AA     74214 T1      A SECONDARY TEACHER                           0.50   $     23,304.48       0.50   $     23,304.48   45 T03
   07/27/2010    EDN 100/AA     73184 T1      A ELEM TEACHER                                1.00   $     40,566.96       1.00   $     40,566.96   05 T02
   07/27/2010    EDN 100/AA     72114 T1      A ELEM TEACHER                                1.00   $     46,608.96       1.00   $     46,608.96   05 T03
   07/27/2010    EDN 100/AA     71107 T1      A ELEM TEACHER                                1.00   $     43,157.04       1.00   $     43,157.04   05 T02
   07/27/2010    EDN 100/AA     67927 T1      A ELEM TEACHER                                1.00   $     44,452.08       1.00   $     44,452.08   05 T02
   07/27/2010    EDN 100/AA     67734 T1      A ELEM TEACHER                                1.00   $     43,157.04       1.00   $     43,157.04   05 T02
   07/27/2010    EDN 100/AA     65334 T1      A SECONDARY TEACHER                           0.50   $     16,356.48       0.50   $     16,356.48   45 T02
   07/27/2010    EDN 100/AA     61651 T1      A ELEM TEACHER                                1.00   $     40,566.96       1.00   $     40,566.96   05 T02
   07/27/2010    EDN 100/AA     61496 T1      A ELEM TEACHER                                1.00   $     46,608.96       1.00   $     46,608.96   05 T03
   07/27/2010    EDN 100/AA  66930X       T1  A SECONDARY TEACHER                           1.00   $     46,608.96       1.00   $     46,608.96   05 T03
   07/27/2010    EDN 100/AA  67386X       T1  A ELEM TEACHER                                1.00   $     43,157.04       1.00   $     43,157.04   05 T02
   07/27/2010    EDN 100/AA  75540Z       T1  A ELEM TEACHER                                1.00   $     46,608.96       1.00   $     46,608.96   05 T03
   07/27/2010    EDN 100/AA     76337 J1      A SECONDARY TEACHER                           0.50   $     39,585.00       1.00   $     43,157.04   05 T02
   07/27/2010    EDN 100/AA     64001 J1      A ELEM TEACHER                                1.00   $     48,008.00       1.00   $     43,157.04   05 T02
   07/27/2010    EDN 100/AA     65193 J1      A SECONDARY TEACHER                           1.00   $     62,550.00       1.00   $     40,566.96   05 T02
   07/27/2010    EDN 100/AA     68247 J1      A SECONDARY TEACHER                           1.00   $     68,351.00       1.00   $     43,157.04   05 T02
   07/27/2010    EDN 100/AA     62737 T1      A SECONDARY TEACHER                           1.00   $     43,157.04       1.00   $     43,157.04   05 T02
   07/27/2010    EDN 100/AA     61856 J1      A LIBRARIAN                                   1.00   $     67,024.00       0.50   $     16,356.48   45 T02
   07/27/2010    EDN 100/AA     61597 J1      A LIBRARIAN                                   1.00   $     80,983.00       1.00   $     35,328.96   05 T03
   07/27/2010    EDN 100/AA    600323 T1      A ELEM TEACHER                                1.00   $     43,157.04       1.00   $     43,157.04   05 T02
   07/27/2010    EDN 100/AA     73647 J1      A COUNSELOR                                   1.00   $     48,008.00       1.00   $     46,608.96   05 T03


                                                                   Page 126                                                               2011 Budget Briefing
Department of Education                                                                  Table 13
                                                                New Hires
  New Hire                      Position  Perm/                                  Budgeted             Budgeted       Actual                     BU    SR 
Effective Date    Prog ID/Org   Number Temp MOF            Position Title             FTE                Salary        FTE      Actual Salary  Code Level
   07/27/2010    EDN 100/AA       65458 J1      A COUNSELOR                                 1.00   $     48,008.00       1.00   $     46,608.96   05 T03
   07/27/2010    EDN 100/AA       64362 J1      A COUNSELOR                                 1.00   $     48,008.00       1.00   $     46,608.96   05 T03
   07/27/2010    EDN 100/AA       73960 J1      A COUNSELOR                                 1.00   $     51,426.00       1.00   $     32,712.96   05 T02
   07/27/2010    EDN 100/AA       64921 J1      A COUNSELOR                                 1.00   $     51,426.00       1.00   $     32,712.96   05 T02
   07/27/2010    EDN 100/AA       61394 J1      A COUNSELOR                                 1.00   $     79,170.00       1.00   $     46,608.96   05 T03
   07/27/2010    EDN 100/AA       68343 J1      A ELEM TEACHER                              1.00   $     45,785.00       1.00   $     43,157.04   05 T02
   07/27/2010    EDN 100/AA       38979 J1      A CLERK TYPIST II                           1.00   $     27,756.00       1.00   $     13,327.20   63 SR08
   07/27/2010    EDN 100/BB       68465 J1      A SECONDARY TEACHER                         1.00   $     79,170.00       1.00   $     32,712.96   05 T02
   07/27/2010    EDN 100/BJ       75684 J1      A SPECIAL SCH TEACHER                       0.50   $     16,847.00       1.00   $     43,157.04   05 T02
   07/27/2010    EDN 100/BJ       73104 T1      A SECONDARY TEACHER                         1.00   $     33,694.00       1.00   $     46,608.96   05 T03
   07/27/2010    EDN 100/BJ       73075 J1      A SECONDARY TEACHER                         1.00   $     49,448.00       1.00   $     32,712.96   05 T02
   07/27/2010    EDN 100/BV       74882 T1      A SECONDARY TEACHER                         1.00   $     32,713.00       1.00   $     46,608.96   05 T03
   07/27/2010    EDN 100/DB      600399 T1      N SECONDARY TEACHER                         1.00   $     40,566.96       1.00   $     40,566.96   05 T02
   07/27/2010    EDN 100/DB      600404 T1      N PRE‐SCH TCHR                              1.00   $     48,008.16       1.00   $     48,008.16   05 T03
   07/27/2010    EDN 100/DB      600405 T1      N ELEM TEACHER                              1.00   $     46,608.96       1.00   $     46,608.96   05 T03
   07/27/2010    EDN 100/DB      600406 T1      N ELEM TEACHER                              1.00   $     48,008.16       1.00   $     48,008.16   05 T03
   07/27/2010    EDN 100/DB      600350 T1      N ELEM TEACHER                              1.00   $     43,157.04       1.00   $     43,157.04   05 T02
   07/27/2010    EDN 100/DB      600928 T1      N ELEM TEACHER                              1.00   $     43,157.04       1.00   $     43,157.04   05 T02
   07/27/2010    EDN 100/DB      600713 T1      N SECONDARY TEACHER                         1.00   $     46,608.96       1.00   $     46,608.96   05 T03
   07/27/2010    EDN 100/DB      600717 T1      N SECONDARY TEACHER                         1.00   $     46,608.96       1.00   $     46,608.96   05 T03
   07/27/2010    EDN 100/DB      600776 T1      N SECONDARY TEACHER                         1.00   $     40,566.96       1.00   $     40,566.96   05 T02
   07/27/2010    EDN 100/DB       79962 T1      N ELEM TEACHER                              1.00   $     43,157.04       1.00   $     43,157.04   05 T02
   07/27/2010    EDN 100/DB       79344 T1      N SECONDARY TEACHER                         1.00   $     40,566.96       1.00   $     40,566.96   05 T02
   07/27/2010    EDN 150/FA       66490 J1      A GEN EDUC/ARTICLE VI TCHR                  1.00   $     32,713.00       1.00   $     40,566.96   05 T02
   07/27/2010    EDN 150/FA       68455 J1      A GEN EDUC/ARTICLE VI TCHR                  1.00   $     41,862.00       1.00   $     43,157.04   05 T02
   07/27/2010    EDN 150/FA       75899 J1      A GEN EDUC/ARTICLE VI TCHR                  1.00   $     43,157.00       1.00   $     46,608.96   05 T03
   07/27/2010    EDN 150/FA       75741 J1      A GEN EDUC/ARTICLE VI TCHR                  1.00   $     43,157.00       1.00   $     43,157.04   05 T02
   07/27/2010    EDN 150/FA       64974 J1      A GEN EDUC/ARTICLE VI TCHR                  1.00   $     43,157.00       1.00   $     46,608.96   05 T03
   07/27/2010    EDN 150/FA       63778 J1      A GEN EDUC/ARTICLE VI TCHR                  1.00   $     43,157.00       1.00   $     40,566.96   05 T02
   07/27/2010    EDN 150/FA       75652 T1      A GEN EDUC/ARTICLE VI TCHR                  1.00   $     44,452.00       1.00   $     43,157.04   05 T02
   07/27/2010    EDN 150/FA       75775 J1      A GEN EDUC/ARTICLE VI TCHR                  1.00   $     44,452.00       1.00   $     46,608.96   05 T03
   07/27/2010    EDN 150/FA       74553 J1      A GEN EDUC/ARTICLE VI TCHR                  1.00   $     44,452.00       1.00   $     46,608.96   05 T03
   07/27/2010    EDN 150/FA       75802 J1      A GEN EDUC/ARTICLE VI TCHR                  1.00   $     45,785.00       1.00   $     40,566.96   05 T02
   07/27/2010    EDN 150/FA       74872 J1      A GEN EDUC/ARTICLE VI TCHR                  1.00   $     45,785.00       1.00   $     43,157.04   05 T02


                                                                  Page 127                                                                2011 Budget Briefing
Department of Education                                                                  Table 13
                                                                New Hires
  New Hire                      Position  Perm/                                  Budgeted             Budgeted       Actual                     BU    SR 
Effective Date    Prog ID/Org   Number Temp MOF            Position Title             FTE                Salary        FTE      Actual Salary  Code Level
   07/27/2010    EDN 150/FA       63088 J1      A GEN EDUC/ARTICLE VI TCHR                  1.00   $     45,785.00       1.00   $     46,608.96   05 T03
   07/27/2010    EDN 150/FA       61671 J1      A GEN EDUC/ARTICLE VI TCHR                  1.00   $     45,785.00       1.00   $     46,608.96   05 T03
   07/27/2010    EDN 150/FA       67247 J1      A GEN EDUC/ARTICLE VI TCHR                  1.00   $     46,830.00       1.00   $     40,566.96   05 T02
   07/27/2010    EDN 150/FA       76147 J1      A GEN EDUC/ARTICLE VI TCHR                  1.00   $     48,008.00       1.00   $     32,712.96   05 T02
   07/27/2010    EDN 150/FA       75941 J1      A GEN EDUC/ARTICLE VI TCHR                  1.00   $     48,008.00       1.00   $     46,608.96   05 T03
   07/27/2010    EDN 150/FA       75907 J1      A GEN EDUC/ARTICLE VI TCHR                  1.00   $     49,448.00       1.00   $     40,566.96   05 T02
   07/27/2010    EDN 150/FA       74529 J1      A GEN EDUC/ARTICLE VI TCHR                  1.00   $     49,448.00       1.00   $     46,608.96   05 T03
   07/27/2010    EDN 150/FA       75622 T1      A GEN EDUC/ARTICLE VI TCHR                  1.00   $     51,426.00       1.00   $     46,608.96   05 T03
   07/27/2010    EDN 150/FA       63682 J1      A GEN EDUC/ARTICLE VI TCHR                  1.00   $     54,558.00       1.00   $     48,008.16   05 T03
   07/27/2010    EDN 150/FA       66013 J1      A GEN EDUC/ARTICLE VI TCHR                  1.00   $     57,324.00       1.00   $     46,608.96   05 T03
   07/27/2010    EDN 150/FA       64165 J1      A GEN EDUC/ARTICLE VI TCHR                  1.00   $     71,445.00       1.00   $     40,566.96   05 T02
   07/27/2010    EDN 150/FA       75895 J1      A GEN EDUC/ARTICLE VI TCHR                  1.00   $     43,157.04       1.00   $     43,157.04   05 T02
   07/27/2010    EDN 150/FA      600214 T1      A GEN EDUC/ARTICLE VI TCHR                  1.00   $     43,157.04       1.00   $     43,157.04   05 T02
   07/27/2010    EDN 150/FA      600823 T1      A GEN EDUC/ARTICLE VI TCHR                  1.00   $     43,157.04       1.00   $     43,157.04   05 T02
   07/27/2010    EDN 150/FA       63327 J1      A SPEC ED TEACHER                           0.50   $     24,724.00       1.00   $     43,157.04   05 T02
   07/27/2010    EDN 150/FA       75694 T1      A SPEC ED TEACHER                           1.00   $     32,713.00       1.00   $     43,157.04   05 T02
   07/27/2010    EDN 150/FA       63640 T1      A SPEC ED TEACHER                           1.00   $     32,713.00       1.00   $     40,566.96   05 T02
   07/27/2010    EDN 150/FA       74542 J1      A SPEC ED TEACHER                           1.00   $     32,713.00       1.00   $     44,452.08   05 T02
   07/27/2010    EDN 150/FA       74335 J1      A SPEC ED TEACHER                           1.00   $     32,713.00       1.00   $     40,566.96   05 T02
   07/27/2010    EDN 150/FA       67662 J1      A SPEC ED TEACHER                           1.00   $     32,713.00       0.50   $     21,578.52   45 T02
   07/27/2010    EDN 150/FA       64393 J1      A SPEC ED TEACHER                           1.00   $     32,713.00       1.00   $     43,157.04   05 T02
   07/27/2010    EDN 150/FA       64329 J1      A SPEC ED TEACHER                           1.00   $     32,713.00       1.00   $     48,008.16   05 T03
   07/27/2010    EDN 150/FA       60705 J1      A SPEC ED TEACHER                           1.00   $     32,713.00       1.00   $     43,157.04   05 T02
   07/27/2010    EDN 150/FA       75590 T1      A SPEC ED TEACHER                           1.00   $     34,705.00       1.00   $     40,566.96   05 T02
   07/27/2010    EDN 150/FA       62667 J1      A SPEC ED TEACHER                           1.00   $     40,567.00       1.00   $     43,157.04   05 T02
   07/27/2010    EDN 150/FA       71274 J1      A SPEC ED TEACHER                           1.00   $     42,907.00       1.00   $     43,157.04   05 T02
   07/27/2010    EDN 150/FA       75848 T1      A SPEC ED TEACHER                           1.00   $     43,157.00       1.00   $     46,608.96   05 T03
   07/27/2010    EDN 150/FA       75661 T1      A SPEC ED TEACHER                           1.00   $     43,157.00       1.00   $     40,566.96   05 T02
   07/27/2010    EDN 150/FA       75515 T1      A SPEC ED TCHR/PRE‐SCHOOL                   1.00   $     43,157.00       1.00   $     43,157.04   05 T02
   07/27/2010    EDN 150/FA       75514 T1      A SPEC ED TEACHER                           1.00   $     43,157.00       1.00   $     43,157.04   05 T02
   07/27/2010    EDN 150/FA       75455 T1      A SPEC ED TEACHER                           1.00   $     43,157.00       1.00   $     46,608.96   05 T03
   07/27/2010    EDN 150/FA       74759 T1      A SPEC ED TEACHER                           1.00   $     43,157.00       1.00   $     43,157.04   05 T02
   07/27/2010    EDN 150/FA       73617 T1      A SPEC ED TEACHER                           1.00   $     43,157.00       1.00   $     32,712.96   05 T02
   07/27/2010    EDN 150/FA       72388 T1      A SPEC ED TEACHER                           1.00   $     43,157.00       1.00   $     40,566.96   05 T02


                                                                  Page 128                                                                2011 Budget Briefing
Department of Education                                                                  Table 13
                                                                New Hires
  New Hire                      Position  Perm/                                  Budgeted             Budgeted       Actual                     BU    SR 
Effective Date    Prog ID/Org   Number Temp MOF            Position Title             FTE                Salary        FTE      Actual Salary  Code Level
   07/27/2010    EDN 150/FA       72305 T1      A SPEC ED TEACHER                           1.00   $     43,157.00       1.00   $     43,157.04   05 T02
   07/27/2010    EDN 150/FA       68240 T1      A SPEC ED TEACHER                           1.00   $     43,157.00       1.00   $     46,608.96   05 T03
   07/27/2010    EDN 150/FA       67812 T1      A SPEC ED TEACHER                           1.00   $     43,157.00       1.00   $     48,008.16   05 T03
   07/27/2010    EDN 150/FA       63733 T1      A SPEC ED TEACHER                           1.00   $     43,157.00       1.00   $     43,157.04   05 T02
   07/27/2010    EDN 150/FA       60558 T1      A SPEC ED TEACHER                           1.00   $     43,157.00       1.00   $     46,608.96   05 T03
   07/27/2010    EDN 150/FA       74327 J1      A SPEC ED TEACHER                           1.00   $     43,157.00       1.00   $     40,566.96   05 T02
   07/27/2010    EDN 150/FA       72762 J1      A SPEC ED TEACHER                           1.00   $     43,157.00       1.00   $     43,157.04   05 T02
   07/27/2010    EDN 150/FA       72389 J1      A SPEC ED TEACHER                           1.00   $     43,157.00       1.00   $     46,608.96   05 T03
   07/27/2010    EDN 150/FA       67600 J1      A SPEC ED TEACHER                           1.00   $     43,157.00       1.00   $     46,608.96   05 T03
   07/27/2010    EDN 150/FA       64279 J1      A SPEC ED TEACHER                           1.00   $     43,157.00       1.00   $     46,608.96   05 T03
   07/27/2010    EDN 150/FA       61033 J1      A SPEC ED TEACHER                           1.00   $     43,157.00       1.00   $     46,608.96   05 T03
   07/27/2010    EDN 150/FA       72203 T1      A SPEC ED TEACHER                           1.00   $     44,452.00       1.00   $     46,608.96   05 T03
   07/27/2010    EDN 150/FA       69274 T1      A SPEC ED TEACHER                           1.00   $     44,452.00       1.00   $     43,157.04   05 T02
   07/27/2010    EDN 150/FA       73938 J1      A SPEC ED TEACHER                           1.00   $     44,452.00       1.00   $     43,157.04   05 T02
   07/27/2010    EDN 150/FA       72250 J1      A SPEC ED TCHR/PRE‐SCHOOL                   1.00   $     44,452.00       1.00   $     43,157.04   05 T02
   07/27/2010    EDN 150/FA       74334 J1      A SPEC ED TEACHER                           1.00   $     45,785.00       1.00   $     40,566.96   05 T02
   07/27/2010    EDN 150/FA       65735 J1      A SPEC ED TEACHER                           1.00   $     45,785.00       1.00   $     40,566.96   05 T02
   07/27/2010    EDN 150/FA       64292 J1      A SPEC ED TEACHER                           1.00   $     45,785.00       1.00   $     40,566.96   05 T02
   07/27/2010    EDN 150/FA       63380 J1      A SPEC ED TEACHER                           1.00   $     45,785.00       1.00   $     43,157.04   05 T02
   07/27/2010    EDN 150/FA       75627 T1      A SPEC ED TEACHER                           1.00   $     46,609.00       1.00   $     43,157.04   05 T02
   07/27/2010    EDN 150/FA       73724 J1      A SPEC ED TEACHER                           1.00   $     46,609.00       1.00   $     43,157.04   05 T02
   07/27/2010    EDN 150/FA       67941 J1      A SPEC ED TEACHER                           1.00   $     46,609.00       1.00   $     43,157.04   05 T02
   07/27/2010    EDN 150/FA       65975 J1      A SPEC ED TEACHER                           1.00   $     47,080.00       1.00   $     46,608.96   05 T03
   07/27/2010    EDN 150/FA       76341 J1      A SPEC ED TEACHER                           1.00   $     48,008.00       1.00   $     43,157.04   05 T02
   07/27/2010    EDN 150/FA       76013 J1      A SPEC ED TEACHER                           1.00   $     48,008.00       1.00   $     32,712.96   05 T02
   07/27/2010    EDN 150/FA       75858 J1      A SPEC ED TEACHER                           1.00   $     48,008.00       1.00   $     48,008.16   05 T03
   07/27/2010    EDN 150/FA       73236 J1      A SPEC ED TEACHER                           1.00   $     48,008.00       1.00   $     43,157.04   05 T02
   07/27/2010    EDN 150/FA       66868 J1      A SPEC ED TEACHER                           1.00   $     48,008.00       1.00   $     43,157.04   05 T02
   07/27/2010    EDN 150/FA       64442 J1      A SPEC ED TCHR/PRE‐SCHOOL                   1.00   $     48,008.00       1.00   $     43,157.04   05 T02
   07/27/2010    EDN 150/FA       73794 J1      A SPEC ED TEACHER                           1.00   $     49,448.00       1.00   $     43,157.04   05 T02
   07/27/2010    EDN 150/FA       73288 J1      A SPEC ED TEACHER                           1.00   $     49,448.00       1.00   $     43,157.04   05 T02
   07/27/2010    EDN 150/FA       72568 J1      A SPEC ED TEACHER                           1.00   $     49,448.00       1.00   $     48,008.16   05 T03
   07/27/2010    EDN 150/FA       71630 J1      A SPEC ED TEACHER                           1.00   $     49,448.00       1.00   $     48,008.16   05 T03
   07/27/2010    EDN 150/FA       68627 J1      A SPEC ED TEACHER                           1.00   $     49,448.00       1.00   $     43,157.04   05 T02


                                                                 Page 129                                                                 2011 Budget Briefing
Department of Education                                                                  Table 13
                                                                New Hires
  New Hire                      Position  Perm/                                  Budgeted             Budgeted       Actual                     BU    SR 
Effective Date    Prog ID/Org   Number Temp MOF             Position Title            FTE                Salary        FTE      Actual Salary  Code Level
   07/27/2010    EDN 150/FA       66236 J1      A SPEC ED TEACHER                           1.00   $     49,448.00       1.00   $     43,157.04   05 T02
   07/27/2010    EDN 150/FA       62476 J1      A SPEC ED TEACHER                           1.00   $     49,448.00       1.00   $     43,157.04   05 T02
   07/27/2010    EDN 150/FA       61611 J1      A SPEC ED TEACHER                           1.00   $     49,448.00       1.00   $     43,157.04   05 T02
   07/27/2010    EDN 150/FA       67444 J1      A SPEC ED TEACHER                           1.00   $     50,493.00       1.00   $     43,157.04   05 T02
   07/27/2010    EDN 150/FA       62681 J1      A SPEC ED TEACHER                           1.00   $     50,493.00       1.00   $     43,812.00   05 T03
   07/27/2010    EDN 150/FA       64845 J1      A SPEC ED TEACHER                           1.00   $     51,426.00       1.00   $     46,608.96   05 T03
   07/27/2010    EDN 150/FA       67383 J1      A SPEC ED TEACHER                           1.00   $     52,460.00       1.00   $     40,566.96   05 T02
   07/27/2010    EDN 150/FA       72755 J1      A SPEC ED TEACHER                           1.00   $     52,471.00       1.00   $     43,157.04   05 T02
   07/27/2010    EDN 150/FA       74323 J1      A SPEC ED TEACHER                           1.00   $     53,483.00       1.00   $     43,157.04   05 T02
   07/27/2010    EDN 150/FA       65731 J1      A SPEC ED TEACHER                           1.00   $     53,483.00       1.00   $     43,157.04   05 T02
   07/27/2010    EDN 150/FA       60194 J1      A SPEC ED TEACHER                           1.00   $     54,013.00       1.00   $     43,157.04   05 T02
   07/27/2010    EDN 150/FA       74426 J1      A SPEC ED TEACHER                           1.00   $     55,622.00       1.00   $     46,608.96   05 T03
   07/27/2010    EDN 150/FA       74072 J1      A SPEC ED TEACHER                           1.00   $     58,959.00       1.00   $     43,157.04   05 T02
   07/27/2010    EDN 150/FA       72663 J1      A SPEC ED TEACHER                           1.00   $     60,195.00       1.00   $     43,157.04   05 T02
   07/27/2010    EDN 150/FA       74424 J1      A SPEC ED TEACHER                           1.00   $     60,779.00       1.00   $     43,157.04   05 T02
   07/27/2010    EDN 150/FA       60121 J1      A SPEC ED TEACHER                           1.00   $     63,861.00       1.00   $     40,566.96   05 T02
   07/27/2010    EDN 150/FA       74748 J1      A SPEC ED TEACHER                           1.00   $     66,359.00       1.00   $     46,608.96   05 T03
   07/27/2010    EDN 150/FA       68720 J1      A SPEC ED TEACHER                           1.00   $     66,359.00       1.00   $     40,566.96   05 T02
   07/27/2010    EDN 150/FA       66674 T1      A SPEC ED TEACHER                           1.00   $     68,351.00       1.00   $     40,566.96   05 T02
   07/27/2010    EDN 150/FA       69802 J1      A SPEC ED TEACHER                           1.00   $     70,400.00       1.00   $     40,566.96   05 T02
   07/27/2010    EDN 150/FA       74808 J1      A SPEC ED TCHR/PRE‐SCHOOL                   1.00   $     74,688.00       1.00   $     43,157.04   05 T02
   07/27/2010    EDN 150/FA       67382 J1      A SPEC ED TEACHER                           1.00   $     79,170.00       1.00   $     40,566.96   05 T02
   07/27/2010    EDN 150/FA       75725 J1      A SPEC ED TEACHER                           1.00   $     43,157.04       1.00   $     43,157.04   05 T02
   07/27/2010    EDN 150/FA       74557 J1      A SPEC ED TEACHER                           1.00   $     32,712.96       1.00   $     32,712.96   05 T02
   07/27/2010    EDN 150/FA       74432 J1      A SPEC ED TEACHER                           1.00   $     43,157.04       1.00   $     43,157.04   05 T02
   07/27/2010    EDN 150/FA       74085 J1      A SPEC ED TEACHER                           1.00   $     48,008.16       1.00   $     48,008.16   05 T03
   07/27/2010    EDN 150/FA       66274 J1      A SPEC ED TEACHER                           1.00   $     40,566.96       1.00   $     40,566.96   05 T02
   07/27/2010    EDN 150/FA      600006 T1      A DIST OFF TCHR                             1.00   $     46,608.96       1.00   $     46,608.96   05 T03
   07/27/2010    EDN 150/FA      600196 T1      A SPEC ED TEACHER                           1.00   $     43,157.04       1.00   $     43,157.04   05 T02
   07/27/2010    EDN 150/FA      600212 T1      A SPEC ED TEACHER                           1.00   $     43,157.04       1.00   $     43,157.04   05 T02
   07/27/2010    EDN 150/FA      600216 T1      A SPEC ED TEACHER                           1.00   $     43,157.04       1.00   $     43,157.04   05 T02
   07/27/2010    EDN 150/FA      600228 T1      A SPEC ED TEACHER                           1.00   $     43,157.04       1.00   $     43,157.04   05 T02
   07/27/2010    EDN 150/FA      600283 T1      A SPEC ED TEACHER                           1.00   $     43,157.04       1.00   $     43,157.04   05 T02
   07/27/2010    EDN 150/FA      600393 T1      A SPEC ED TEACHER                           1.00   $     43,157.04       1.00   $     43,157.04   05 T02


                                                                  Page 130                                                                2011 Budget Briefing
Department of Education                                                                  Table 13
                                                                New Hires
  New Hire                      Position  Perm/                                  Budgeted             Budgeted       Actual                     BU    SR 
Effective Date    Prog ID/Org   Number Temp MOF             Position Title            FTE                Salary        FTE      Actual Salary  Code Level
   07/27/2010    EDN 150/FA      600437 T1      A SPEC ED TEACHER                           1.00   $     48,008.16       1.00   $     48,008.16   05 T03
   07/27/2010    EDN 150/FA      600440 T1      A SPEC ED TEACHER                           0.50   $     23,304.48       0.50   $     23,304.48   45 T03
   07/27/2010    EDN 150/FA      600535 T1      A SPEC ED TEACHER                           1.00   $     43,157.04       1.00   $     43,157.04   05 T02
   07/27/2010    EDN 150/FA      600616 T1      A SPEC ED TEACHER                           1.00   $     43,157.04       1.00   $     43,157.04   05 T02
   07/27/2010    EDN 150/FA      600737 T1      A SPEC ED TEACHER                           1.00   $     32,712.96       1.00   $     32,712.96   05 T02
   07/27/2010    EDN 150/FA      600743 T1      A SPEC ED TEACHER                           1.00   $     43,157.04       1.00   $     43,157.04   05 T02
   07/27/2010    EDN 150/FA      600791 T1      A SPEC ED TEACHER                           1.00   $     43,157.04       1.00   $     43,157.04   05 T02
   07/27/2010    EDN 150/FA       73930 T1      A SPEC ED TEACHER                           1.00   $     46,608.96       1.00   $     46,608.96   05 T03
   07/27/2010    EDN 150/FA       73829 T1      A SPEC ED TEACHER                           1.00   $     43,157.04       1.00   $     43,157.04   05 T02
   07/27/2010    EDN 150/FA       74843 J1      A GEN EDUC/ARTICLE VI TCHR                  1.00   $     46,609.00       1.00   $     46,608.96   05 T03
   07/27/2010    EDN 150/FB       60232 J1      A SPECIAL SCH TEACHER                       1.00   $     48,008.00       1.00   $     43,157.04   05 T02
   07/27/2010    EDN 150/NB      600609 T1      N DIST OFF TCHR                             1.00   $     43,157.04       1.00   $     43,157.04   05 T02
   07/27/2010    EDN 150/SA       29806 J1      A SPEECH PATHOLOGIST IV                     1.00   $     68,234.00       1.00   $     45,576.00   13 SR22
   07/27/2010    EDN 150/SA       30407 J1      A SPEECH PATHOLOGIST IV                     1.00   $     69,305.00       1.00   $     45,576.00   13 SR22
   07/27/2010    EDN 150/SA       30414 J1      A SPEECH PATHOLOGIST II                     1.00   $     69,305.00       1.00   $     38,988.00   13 SR18
   07/27/2010    EDN 150/SA       33093 J1      A SPEECH PATHOLOGIST IV                     1.00   $     69,305.00       1.00   $     45,576.00   13 SR22
   07/27/2010    EDN 150/SA       46780 J1      A SPEECH PATHOLOGIST III                    1.00   $     60,436.00       1.00   $     42,132.00   13 SR20
   07/27/2010    EDN 150/SA       56177 J1      A SPEECH PATHOLOGIST II                     1.00   $     57,999.00       1.00   $     38,988.00   13 SR18
   07/27/2010    EDN 150/SA       56288 J1      A SPEECH PATHOLOGIST II                     1.00   $     58,551.00       1.00   $     20,239.20   73 SR18
   07/27/2010    EDN 150/YC       29132 J1      A SCH PSYCH (DISTRICT‐BASED)                1.00   $     56,994.00       1.00   $     55,500.00   13 SR26
   07/27/2010    EDN 150/YK       29310 J1      A SCHOOL HEALTH AIDE                        1.00   $     20,383.00       1.00   $     13,867.20   63 SR09
   07/27/2010    EDN 400/YA       59107 J1      A BUS DRIVER                                0.50   $     19,986.00       0.50   $     19,986.00   01 BC07
   07/27/2010    EDN 400/YA       59164 J1      A BUS DRIVER                                0.50   $     19,986.00       0.50   $     19,986.00   01 BC07
   07/27/2010    EDN 400/YA       59165 J1      A BUS DRIVER                                0.50   $     19,986.00       0.50   $     19,986.00   01 BC07
   07/28/2010    EDN 100/AA       58998 J1      A EDUC ASST III                             0.50   $     13,066.00       0.50   $     12,515.04   03 SR12
   07/28/2010    EDN 100/AA       65872 J1      A ELEM TEACHER                              1.00   $     55,622.00       1.00   $     43,157.04   05 T02
   07/28/2010    EDN 100/AA       64398 J1      A ELEM TEACHER                              1.00   $     62,550.00       1.00   $     44,452.08   05 T02
   07/28/2010    EDN 100/AA       74018 T1      A SECONDARY TEACHER                         1.00   $     43,157.04       1.00   $     43,157.04   05 T02
   07/28/2010    EDN 100/AA       73858 T1      A SECONDARY TEACHER                         1.00   $     43,157.04       1.00   $     43,157.04   05 T02
   07/28/2010    EDN 100/AA       63166 J1      A ELEM TEACHER                              1.00   $     55,622.00       1.00   $     46,608.96   05 T03
   07/28/2010    EDN 100/AA       60257 J1      A COUNSELOR/ALIENATION                      1.00   $     70,400.00       0.50   $     23,304.48   45 T03
   07/28/2010    EDN 100/AA       50466 J1      A SCHOOL CUSTODIAN II                       0.50   $     16,614.00       0.50   $     16,614.00   01 BC02
   07/28/2010    EDN 100/AA       30595 J1      A SCHOOL SECURITY ATTENDANT                 1.00   $     23,229.00       1.00   $     20,539.92   03 SR07
   07/28/2010    EDN 100/AA       30644 J1      A SCHOOL SECURITY ATTENDANT                 1.00   $     27,154.00       1.00   $     20,539.92   03 SR07


                                                                  Page 131                                                                2011 Budget Briefing
Department of Education                                                                     Table 13
                                                                 New Hires
  New Hire                      Position  Perm/                                     Budgeted             Budgeted        Actual                      BU    SR 
Effective Date    Prog ID/Org   Number Temp MOF             Position Title               FTE                Salary         FTE      Actual Salary  Code Level
   07/28/2010    EDN 150/FA       56704 T1      A EDUC ASST II                                 1.00   $     28,209.00        1.00   $     23,130.00    03 SR10
   07/28/2010    EDN 150/FA       56843 T1      A EDUC ASST II                                 1.00   $     27,154.00        1.00   $     23,130.00    03 SR10
   07/28/2010    EDN 150/FA       57910 J1      A EDUC ASST III                                0.75   $     19,599.00        0.75   $     18,772.56    03 SR12
   07/28/2010    EDN 150/FA       58119 J1      A EDUC ASST I                                  0.75   $     20,366.00        0.75   $     16,042.50    03 SR08
   07/28/2010    EDN 150/FA       52547 J1      A EDUC ASST III                                1.00   $     31,769.00        1.00   $     25,030.08    03 SR12
   07/28/2010    EDN 150/FA       75647 T1      A SPEC ED TEACHER                              1.00   $     51,426.00        1.00   $     32,712.96    05 T02
   07/28/2010    EDN 150/FA       60876 J1      A SPEC ED TEACHER                              1.00   $     43,157.04        1.00   $     43,157.04    05 T02
   07/28/2010    EDN 150/FA      600786 T1      A SPEC ED TEACHER                              1.00   $     43,157.04        1.00   $     43,157.04    05 T02
   07/28/2010    EDN 150/FB      800646 J1      A EDUC ASST II                                 1.00   $     26,131.00        1.00   $     23,130.00    03 SR10
   07/28/2010    EDN 150/FB      801442 J1      A HSEPARENT FOR DEAF/BLIND (FP)                1.00   $     33,756.00        1.00   $     33,756.00    10 HE05
   07/28/2010    EDN 150/NB       79839 T1      N DIST OFF TCHR                                1.00   $     43,157.04        1.00   $     43,157.04    05 T02
   07/28/2010    EDN 150/NB       79796 T1      N DIST OFF TCHR                                1.00   $     43,157.04        1.00   $     43,157.04    05 T02
   07/28/2010    EDN 150/YG      800274 J1      A EDUC ASST II                                 1.00   $     26,131.00        1.00   $     23,130.00    03 SR10
   07/28/2010    EDN 400/MD       24383 T1      N CAFETERIA HELPER                             0.50   $     16,614.00        0.50   $     16,614.00    01 BC02
   08/02/2010    EDN 100/AA      600804 T1      A SECONDARY TEACHER                            1.00   $     43,157.04        1.00   $     43,157.04    05 T02
   08/02/2010    EDN 100/AA      600805 T1      A SECONDARY TEACHER                            1.00   $     46,608.96        1.00   $     46,608.96    05 T03
   08/02/2010    EDN 100/AA       73772 J1      A SECONDARY TEACHER                            1.00   $     32,713.00        1.00   $     43,157.04    05 T02
   08/02/2010    EDN 100/AA       66740 J1      A SECONDARY TEACHER                            1.00   $     48,008.00        1.00   $     32,712.96    05 T02
   08/02/2010    EDN 100/AA       61153 J1      A ELEM TEACHER                                 1.00   $     50,931.00        1.00   $     43,157.04    05 T02
   08/02/2010    EDN 100/AA       67519 J1      A ELEM TEACHER                                 1.00   $     55,087.00        1.00   $     43,157.04    05 T02
   08/02/2010    EDN 100/AA       63730 J1      A ELEM TEACHER                                 1.00   $     60,729.00        1.00   $     43,157.04    05 T02
   08/02/2010    EDN 100/AA       68530 J1      A ELEM TEACHER                                 1.00   $     63,595.00        1.00   $     32,712.96    05 T02
   08/02/2010    EDN 100/AA       73606 J1      A SECONDARY TEACHER                            1.00   $     74,688.00        1.00   $     43,157.04    05 T02
   08/02/2010    EDN 100/AA       72658 J1      A ELEM TEACHER                                 1.00   $     79,170.00        1.00   $     43,157.04    05 T02
   08/02/2010    EDN 100/AA       68885 J1      A ELEM TEACHER                                 1.00   $     79,170.00        1.00   $     46,608.96    05 T03
   08/02/2010    EDN 100/AA       62323 J1      A SECONDARY TEACHER                            1.00   $     79,170.00        1.00   $     46,608.96    05 T03
   08/02/2010    EDN 100/AA       61625 J1      A ELEM TEACHER                                 1.00   $     80,215.00        1.00   $     46,608.96    05 T03
   08/02/2010    EDN 100/AA      600325 T1      A SECONDARY TEACHER                            1.00   $     43,157.04        1.00   $     43,157.04    05 T02
   08/02/2010    EDN 100/AA       71874 T1      A ELEM TEACHER                                 1.00   $     43,157.04        1.00   $     43,157.04    05 T02
   08/02/2010    EDN 100/AA       59774 J1      A CLERK II                                     0.50   $     11,844.00        0.50   $       6,150.60   63 SR06
   08/02/2010    EDN 100/AA      801608 T1      A CLERK II                                     1.00   $       6,151.00       0.50   $       6,150.60   63 SR06
   08/02/2010    EDN 100/AA       16640 J1      A SCHOOL CUSTODIAN II                          0.50   $     16,614.00        0.50   $     16,614.00    01 BC02
   08/02/2010    EDN 100/AA       45221 J1      A SCHOOL CUSTODIAN II                          0.50   $     16,614.00        0.50   $       8,629.20   61 BC02
   08/02/2010    EDN 100/AA       30597 J1      A SCHOOL SECURITY ATTENDANT                    1.00   $     24,148.00        1.00   $     12,798.00    63 SR07


                                                                  Page 132                                                                    2011 Budget Briefing
Department of Education                                                                     Table 13
                                                                New Hires
  New Hire                      Position  Perm/                                     Budgeted             Budgeted       Actual                     BU    SR 
Effective Date    Prog ID/Org   Number Temp MOF            Position Title                FTE                Salary        FTE      Actual Salary  Code Level
   08/02/2010    EDN 100/BO       71312 T1      A SECONDARY TEACHER                            1.00   $     43,157.04       1.00   $     43,157.04   05 T02
   08/02/2010    EDN 100/DB       79752 T1      N SECONDARY TEACHER                            1.00   $     46,608.96       1.00   $     46,608.96   05 T03
   08/02/2010    EDN 150/FA       76152 J1      A GEN EDUC/ARTICLE VI TCHR                     1.00   $     33,694.00       1.00   $     43,157.04   05 T02
   08/02/2010    EDN 150/FA       62673 J1      A GEN EDUC/ARTICLE VI TCHR                     1.00   $     58,336.00       1.00   $     46,608.96   05 T03
   08/02/2010    EDN 150/FA       62613 J1      A GEN EDUC/ARTICLE VI TCHR                     1.00   $     68,408.00       1.00   $     43,157.04   05 T02
   08/02/2010    EDN 150/FA       57326 T1      A EDUC ASST II                                 0.75   $     19,599.00       0.75   $     17,347.50   03 SR10
   08/02/2010    EDN 150/FA       62885 J1      A SPEC ED TEACHER                              1.00   $     49,448.00       1.00   $     46,608.96   05 T03
   08/02/2010    EDN 150/FA       71151 T1      A SPEC ED TEACHER                              1.00   $     58,959.00       1.00   $     32,712.96   05 T02
   08/02/2010    EDN 150/FA       74080 J1      A SPEC ED TEACHER                              1.00   $     79,170.00       1.00   $     43,157.04   05 T02
   08/02/2010    EDN 150/NB      800281 T1      N EDUC ASST I                                  1.00   $     13,327.00       1.00   $     13,327.20   63 SR08
   08/02/2010    EDN 150/YC       58648 J1      A BEHAVIORAL SPECIALIST III                    1.00   $     47,412.00       1.00   $     21,880.80   73 SR20
   08/03/2010    EDN 100/AA      600820 T1      A ELEM TEACHER                                 0.50   $     21,578.52       0.50   $     21,578.52   45 T02
   08/03/2010    EDN 100/AA       62420 J1      A ELEM TEACHER                                 1.00   $     45,785.00       1.00   $     46,608.96   05 T03
   08/03/2010    EDN 100/AA       63659 J1      A ELEM TEACHER                                 1.00   $     46,609.00       1.00   $     43,157.04   05 T02
   08/03/2010    EDN 100/AA       72206 J1      A ELEM TEACHER                                 1.00   $     58,959.00       1.00   $     43,157.04   05 T02
   08/03/2010    EDN 100/AA       72546 J1      A SECONDARY TEACHER                            0.50   $     24,004.08       0.50   $     24,004.08   45 T03
   08/03/2010    EDN 100/AA      600328 T1      A SECONDARY TEACHER                            1.00   $     43,157.04       1.00   $     43,157.04   05 T02
   08/03/2010    EDN 150/FA       34891 J1      A EDUC ASST I                                  1.00   $     34,347.00       0.75   $     16,042.50   03 SR08
   08/03/2010    EDN 150/FA       66325 T1      A SPEC ED TEACHER                              1.00   $     32,713.00       1.00   $     32,712.96   05 T02
   08/03/2010    EDN 150/FA       76025 J1      A SPEC ED TEACHER                              1.00   $     54,778.00       1.00   $     43,157.04   05 T02
   08/04/2010    EDN 100/AA      600697 T1      A ELEM TEACHER                                 1.00   $     43,157.04       1.00   $     43,157.04   05 T02
   08/04/2010    EDN 150/FA       64862 J1      A SPEC ED TEACHER                              1.00   $     45,785.00       1.00   $     40,566.96   05 T02
   08/04/2010    EDN 150/FA       73837 J1      A SPEC ED TEACHER                              1.00   $     60,088.00       1.00   $     43,157.04   05 T02
   08/05/2010    EDN 100/AA      600770 T1      A SECONDARY TEACHER                            1.00   $     32,712.96       1.00   $     32,712.96   05 T02
   08/05/2010    EDN 100/AA       79998 J1      A SECONDARY TEACHER                            0.50   $     22,893.00       1.00   $     46,608.96   05 T03
   08/05/2010    EDN 100/AA       64569 J1      A SECONDARY TEACHER                            1.00   $     48,008.00       1.00   $     32,712.96   05 T02
   08/05/2010    EDN 100/AA       64638 J1      A ELEM TEACHER                                 1.00   $     55,622.00       1.00   $     46,608.96   05 T03
   08/05/2010    EDN 150/FA       75922 J1      A GEN EDUC/ARTICLE VI TCHR                     1.00   $     45,785.00       1.00   $     32,712.96   05 T02
   08/05/2010    EDN 150/YC       58351 J1      A BEHAVIORAL HLTH SPCLT III                    1.00   $     49,332.00       1.00   $     42,132.00   13 SR20
   08/06/2010    EDN 100/AA      600091 T1      A ELEM TEACHER                                 1.00   $     43,157.04       1.00   $     43,157.04   05 T02
   08/06/2010    EDN 150/YK       29466 J1      A SCHOOL HEALTH AIDE                           1.00   $     18,873.00       1.00   $     13,867.20   63 SR09
   08/06/2010    EDN 200/GH       57915 J1      B CLERK IV                                     1.00   $     31,212.00       1.00   $     14,407.20   63 SR10
   08/09/2010    EDN 100/AA      801561 T1      A SCHOOL SAFETY AND SECURITY OF                1.00   $     16,210.80       1.00   $     16,210.80   84 SR13
   08/09/2010    EDN 100/AA      801562 T1      A SCHOOL SAFETY AND SECURITY OF                1.00   $     16,210.80       1.00   $     16,210.80   84 SR13


                                                                  Page 133                                                                   2011 Budget Briefing
Department of Education                                                                      Table 13
                                                                New Hires
  New Hire                      Position  Perm/                                     Budgeted             Budgeted        Actual                      BU    SR 
Effective Date    Prog ID/Org   Number Temp MOF             Position Title               FTE                Salary         FTE      Actual Salary  Code Level
   08/09/2010    EDN 100/AA      600834 T1      A SECONDARY TEACHER                            0.50   $     16,356.48        0.50   $     16,356.48    45 T02
   08/09/2010    EDN 100/AA       67315 J1      A SECONDARY TEACHER                            1.00   $     32,713.00        0.50   $     21,578.52    45 T02
   08/09/2010    EDN 100/AA       67053 J1      A SECONDARY TEACHER                            1.00   $     49,448.00        1.00   $     43,157.04    05 T02
   08/09/2010    EDN 100/AA       60274 J1      A ELEM TEACHER                                 1.00   $     63,845.00        1.00   $     43,157.04    05 T02
   08/09/2010    EDN 100/AA       69682 J1      A ELEM TEACHER                                 1.00   $     66,359.00        1.00   $     43,157.04    05 T02
   08/09/2010    EDN 100/AA      800717 T1      A CLERK TYPIST II                              0.50   $       6,661.00       0.50   $       6,663.60   63 SR08
   08/09/2010    EDN 100/AA       16665 J1      A SCHOOL CUSTODIAN II                          1.00   $     33,228.00        1.00   $     33,228.00    01 BC02
   08/09/2010    EDN 100/BM       49164 J1      A ATHLETIC HLTH CARE TRAINER                   1.00   $     49,332.00        1.00   $     23,652.00    73 SR22
   08/09/2010    EDN 150/FA       57547 T1      A EDUC ASST I                                  0.75   $     22,026.00        0.75   $     16,042.50    03 SR08
   08/09/2010    EDN 150/FA       60513 J1      A SPEC ED TEACHER                              1.00   $     45,785.00        1.00   $     32,712.96    05 T02
   08/09/2010    EDN 300/KF       69252 J1      A FISCAL SPECIALIST III                        1.00   $     91,060.00        1.00   $     87,340.08    06 E08
   08/10/2010    EDN 100/AA       64024 J1      A ELEM TEACHER                                 1.00   $     45,785.00        1.00   $     43,157.04    05 T02
   08/10/2010    EDN 100/AA       61166 J1      A COUNSELOR                                    1.00   $     49,448.00        1.00   $     46,608.96    05 T03
   08/11/2010    EDN 100/AA      600829 T1      A SECONDARY TEACHER                            1.00   $     43,157.04        1.00   $     43,157.04    05 T02
   08/11/2010    EDN 100/AA      600089 T1      A ELEM TEACHER                                 1.00   $     43,157.04        1.00   $     43,157.04    05 T02
   08/11/2010    EDN 150/FA       72786 J1      A SPEC ED TEACHER                              1.00   $     56,195.00        1.00   $     32,712.96    05 T02
   08/12/2010    EDN 100/AA      600828 T1      A COUNSELOR                                    1.00   $     46,608.96        1.00   $     46,608.96    05 T03
   08/12/2010    EDN 200/GH      801610 T1      B CLERK I                                      1.00   $     11,394.00        1.00   $     11,394.00    63 SR04
   08/13/2010    EDN 150/FA       69010 J1      A GEN EDUC/ARTICLE VI TCHR                     1.00   $     51,426.00        1.00   $     46,608.96    05 T03
   08/16/2010    EDN 100/AA       54879 T1      A CLERK III                                    1.00   $     25,668.00        0.50   $     12,834.00    03 SR08
   08/16/2010    EDN 100/AA      801630 T1      A SCHOOL SAFETY AND SECURITY OF                1.00   $     55,500.00        1.00   $     55,500.00    84 SR13
   08/16/2010    EDN 100/AA      801636 T1      A SCHOOL SAFETY AND SECURITY OF                1.00   $     16,210.80        1.00   $     16,210.80    84 SR13
   08/16/2010    EDN 100/AA      600709 T1      A ELEM TEACHER                                 1.00   $     46,608.96        1.00   $     46,608.96    05 T03
   08/16/2010    EDN 100/AA      600830 T1      A ELEM TEACHER                                 1.00   $     43,157.04        1.00   $     43,157.04    05 T02
   08/16/2010    EDN 100/AA      600835 T1      A ELEM TEACHER                                 1.00   $     43,157.04        1.00   $     43,157.04    05 T02
   08/16/2010    EDN 100/AA       67191 J1      A SECONDARY TEACHER                            1.00   $     34,705.00        1.00   $     32,712.96    05 T02
   08/16/2010    EDN 100/AA       54875 T1      A CLERK III                                    0.50   $     14,418.00        0.50   $     12,834.00    03 SR08
   08/16/2010    EDN 100/AA       56321 T1      A CLERK III                                    0.50   $     15,018.00        0.50   $       6,663.60   63 SR08
   08/16/2010    EDN 100/AA      600181 T1      A COUNSELOR                                    1.00   $     32,712.96        1.00   $     32,712.96    05 T02
   08/16/2010    EDN 100/AA      801345 T1      A CLERK TYPIST II                              1.00   $     25,668.00        1.00   $     25,668.00    03 SR08
   08/16/2010    EDN 100/AA       16721 J1      A SCHOOL CUSTODIAN II                          0.50   $     16,614.00        0.50   $       8,629.20   61 BC02
   08/16/2010    EDN 100/DB       79535 T1      N SECONDARY TEACHER                            1.00   $     32,712.96        1.00   $     32,712.96    05 T02
   08/16/2010    EDN 150/FA       60726 J1      A SPEC ED TEACHER                              1.00   $     33,694.00        1.00   $     32,712.96    05 T02
   08/16/2010    EDN 150/FA       62092 J1      A SPEC ED TEACHER                              1.00   $     43,157.00        1.00   $     46,608.96    05 T03


                                                                  Page 134                                                                    2011 Budget Briefing
Department of Education                                                                      Table 13
                                                                New Hires
  New Hire                      Position  Perm/                                     Budgeted             Budgeted        Actual                      BU    SR 
Effective Date    Prog ID/Org   Number Temp MOF             Position Title               FTE                Salary         FTE      Actual Salary  Code Level
   08/16/2010    EDN 150/FA       73028 J1      A SPEC ED TEACHER                              1.00   $     46,830.00        1.00   $     43,157.04    05 T02
   08/16/2010    EDN 150/FA       76054 T1      A SPEC ED TEACHER                              1.00   $     55,654.00        1.00   $     32,712.96    05 T02
   08/16/2010    EDN 150/FA       65027 J1      A SPEC ED TEACHER                              1.00   $     66,416.00        1.00   $     32,712.96    05 T02
   08/16/2010    EDN 150/FA       72492 J1      A SPEC ED TEACHER                              1.00   $     43,157.04        1.00   $     43,157.04    05 T02
   08/16/2010    EDN 150/NB       79776 T1      N DIST OFF TCHR                                1.00   $     46,608.96        1.00   $     46,608.96    05 T03
   08/16/2010    EDN 150/YC      801536 T1      A SCHOOL PSYCHOLOGIST                          1.00   $     51,312.00        1.00   $     51,312.00    13 SR24
   08/16/2010    EDN 150/YK       29370 J1      A SCHOOL HEALTH AIDE                           1.00   $     29,010.00        1.00   $     13,867.20    63 SR09
   08/16/2010    EDN 300/KF       47824 J1      A ACCOUNTANT IV                                1.00   $     45,576.00        1.00   $     45,576.00    13 SR22
   08/16/2010    EDN 300/KF       15713 J1      A AUDITOR V                                    1.00   $     51,312.00        1.00   $     57,708.00    13 SR24
   08/16/2010    EDN 400/MD       54661 J1      B CAFETERIA HELPER                             0.50   $     16,614.00        0.50   $     16,614.00    61 BC02
   08/16/2010    EDN 500/WA       59722 T1      W CLERK TYPIST II                              0.50   $       6,664.00       0.50   $       6,663.60   63 SR08
   08/17/2010    EDN 100/AA      600847 T1      A SECONDARY TEACHER                            1.00   $     43,157.04        1.00   $     43,157.04    05 T02
   08/17/2010    EDN 100/AA       62128 J1      A ELEM TEACHER                                 1.00   $     46,830.00        0.50   $     21,578.52    45 T02
   08/17/2010    EDN 100/AA      600874 T1      A ELEM TEACHER                                 0.50   $     23,304.48        0.50   $     23,304.48    45 T03
   08/17/2010    EDN 150/FA       69436 J1      A SPEC ED TEACHER                              1.00   $     51,426.00        1.00   $     48,008.16    05 T03
   08/18/2010    EDN 100/AA      801639 T1      A SCHOOL SAFETY AND SECURITY OF                1.00   $     16,210.80        1.00   $     16,210.80    84 SR13
   08/18/2010    EDN 100/AA      600831 T1      A ELEM TEACHER                                 1.00   $     43,157.04        1.00   $     43,157.04    05 T02
   08/18/2010    EDN 100/AA      600844 T1      A SECONDARY TEACHER                            1.00   $     46,608.96        1.00   $     46,608.96    05 T03
   08/18/2010    EDN 100/AA      600851 T1      A ELEM TEACHER                                 1.00   $     43,157.04        1.00   $     43,157.04    05 T02
   08/18/2010    EDN 100/BM       52465 J1      A ATHLETIC HLTH CARE TRAINER                   1.00   $     45,576.00        1.00   $     45,576.00    13 SR22
   08/18/2010    EDN 150/FA       61862 J1      A SPEC ED TEACHER                              1.00   $     60,195.00        1.00   $     32,712.96    05 T02
   08/18/2010    EDN 150/FA       68387 T1      A SPEC ED TEACHER                              1.00   $     46,608.96        1.00   $     46,608.96    05 T03
   08/19/2010    EDN 100/AA       65133 J1      A SECONDARY TEACHER                            1.00   $     61,774.00        0.50   $     23,304.48    45 T03
   08/19/2010    EDN 100/AA       63814 J1      A COUNSELOR                                    1.00   $     79,170.00        1.00   $     43,157.04    05 T02
   08/19/2010    EDN 400/MD       42841 J1      B CAFETERIA HELPER                             0.50   $     16,614.00        0.50   $       8,629.20   61 BC02
   08/23/2010    EDN 100/AA      600797 T1      A ELEM TEACHER                                 0.50   $     23,304.48        0.50   $     23,304.48    45 T03
   08/23/2010    EDN 100/AA      600841 T1      A SECONDARY TEACHER                            0.50   $     23,304.48        0.50   $     23,304.48    45 T03
   08/23/2010    EDN 100/AA      600845 T1      A SECONDARY TEACHER                            1.00   $     46,608.96        1.00   $     46,608.96    05 T03
   08/23/2010    EDN 100/AA       67415 J1      A SECONDARY TEACHER                            1.00   $     53,483.00        1.00   $     46,608.96    05 T03
   08/23/2010    EDN 100/AA      600591 T1      A ELEM TEACHER                                 1.00   $     43,157.04        1.00   $     43,157.04    05 T02
   08/23/2010    EDN 100/AA       60507 J1      A LIBRARIAN                                    1.00   $     49,303.00        1.00   $     46,608.96    05 T03
   08/23/2010    EDN 100/AA       60245 J1      A COUNSELOR                                    1.00   $     46,609.00        1.00   $     46,608.96    05 T03
   08/23/2010    EDN 100/AA      800714 T1      A SCHOOL SECURITY ATTENDANT                    0.50   $     10,722.00        0.50   $     10,269.96    03 SR07
   08/23/2010    EDN 100/DB      600814 T1      N SECONDARY TEACHER                            1.00   $     46,608.96        1.00   $     46,608.96    05 T03


                                                                  Page 135                                                                    2011 Budget Briefing
Department of Education                                                                  Table 13
                                                               New Hires
  New Hire                    Position  Perm/                                   Budgeted             Budgeted       Actual                     BU    SR 
Effective Date    Prog ID/Org Number Temp MOF             Position Title             FTE                Salary        FTE      Actual Salary  Code Level
   08/23/2010    EDN 100/DB    600716 T1      N SECONDARY TEACHER                          1.00   $     46,608.96       1.00   $     46,608.96   05 T03
   08/23/2010    EDN 150/FA     75932 T1      A GEN EDUC/ARTICLE VI TCHR                   1.00   $     58,959.00       1.00   $     43,157.04   05 T02
   08/23/2010    EDN 150/FA     56734 T1      A EDUC ASST II                               0.75   $     20,366.00       0.75   $     17,347.50   03 SR10
   08/23/2010    EDN 150/NB     79203 T1      N DIST OFF TCHR                              1.00   $     43,157.04       1.00   $     43,157.04   05 T02
   08/23/2010    EDN 150/YC    800567 T1      A SCHOOL PSYCHOLOGIST                        1.00   $     60,756.00       1.00   $     51,312.00   13 SR24
   08/23/2010    EDN 400/OC     17199 J1      A GENERAL LABORER II                         1.00   $     34,164.00       1.00   $     17,744.40   61 BC03
   08/24/2010    EDN 100/AA    600852 T1      A ELEM TEACHER                               1.00   $     43,157.04       1.00   $     43,157.04   05 T02
   08/24/2010    EDN 100/AA    600853 T1      A ELEM TEACHER                               1.00   $     43,157.04       1.00   $     43,157.04   05 T02
   08/24/2010    EDN 100/AA     61834 J1      A ELEM TEACHER                               1.00   $     72,513.00       1.00   $     43,157.04   05 T02
   08/24/2010    EDN 100/AA    600160 T1      A ELEM TEACHER                               1.00   $     46,608.96       1.00   $     46,608.96   05 T03
   08/24/2010    EDN 100/AA     47790 J1      A CLERK TYPIST II                            0.50   $     15,018.00       0.50   $     12,834.00   63 SR08
   08/24/2010    EDN 150/YC     58542 T1      A BEHAVIORAL HLTH SPCLT III                  1.00   $     55,500.00       1.00   $     21,880.80   73 SR20
   08/25/2010    EDN 100/AA     61797 J1      A ELEM TEACHER                               1.00   $     60,729.00       1.00   $     43,157.04   05 T02
   08/25/2010    EDN 100/AA     23734 J1      A SCHOOL CUSTODIAN V                         1.00   $     40,608.00       1.00   $     20,271.60   82 F202
   08/26/2010    EDN 100/AA    600848 T1      A SECONDARY TEACHER                          1.00   $     43,157.04       1.00   $     43,157.04   05 T02
   08/26/2010    EDN 100/AA     74299 J1      A SECONDARY TEACHER                          1.00   $     68,351.00       1.00   $     46,608.96   05 T03
   08/30/2010    EDN 100/AA    600850 T1      A ELEM TEACHER                               1.00   $     46,608.96       1.00   $     46,608.96   05 T03
   08/30/2010    EDN 100/AA    600854 T1      A ELEM TEACHER                               1.00   $     43,157.04       1.00   $     43,157.04   05 T02
   08/30/2010    EDN 100/AA    600859 T1      A ELEM TEACHER                               1.00   $     43,157.04       1.00   $     43,157.04   05 T02
   08/30/2010    EDN 100/AA     61287 J1      A SECONDARY TEACHER                          1.00   $     63,959.00       1.00   $     43,157.04   05 T02
   08/30/2010    EDN 100/AA     66675 J1      A ELEM TEACHER                               1.00   $     80,215.00       1.00   $     48,008.16   05 T03
   08/30/2010    EDN 100/AA  62790X       J1  A ELEM TEACHER                               1.00   $     45,785.00       1.00   $     43,157.04   05 T02
   08/30/2010    EDN 100/AA     68860 T1      A ELEM TEACHER                               1.00   $     46,608.96       1.00   $     46,608.96   05 T03
   08/30/2010    EDN 100/AA     60237 J1      A LIBRARIAN                                  1.00   $     62,024.00       1.00   $     46,608.96   05 T03
   08/30/2010    EDN 100/AA  62785Z       J1  A LIBRARIAN                                  0.50   $     25,299.00       0.50   $     16,356.48   45 T02
   08/30/2010    EDN 100/AA     67050 J1      A COUNSELOR                                  1.00   $     58,959.00       1.00   $     46,608.96   05 T03
   08/30/2010    EDN 100/DB    600162 T1      N ELEM TEACHER                               1.00   $     43,157.04       1.00   $     43,157.04   05 T02
   08/30/2010    EDN 150/FA     75782 T1      A GEN EDUC/ARTICLE VI TCHR                   1.00   $     50,743.00       1.00   $     43,157.04   05 T02
   08/30/2010    EDN 150/FA    600599 T1      A GEN EDUC/ARTICLE VI TCHR                   1.00   $     43,157.04       1.00   $     43,157.04   05 T02
   08/30/2010    EDN 150/FA     73220 J1      A SPEC ED TEACHER                            1.00   $     44,452.00       1.00   $     46,608.96   05 T03
   08/30/2010    EDN 150/FA     67508 T1      A SPEC ED TEACHER                            1.00   $     62,002.00       1.00   $     32,712.96   05 T02
   08/30/2010    EDN 150/FA    600784 T1      A SPEC ED TEACHER                            1.00   $     32,712.96       1.00   $     32,712.96   05 T02
   08/31/2010    EDN 100/AA    600867 T1      A ELEM TEACHER                               1.00   $     43,157.04       1.00   $     43,157.04   05 T02
   08/31/2010    EDN 100/AA    600875 T1      A ELEM TEACHER                               1.00   $     43,157.04       1.00   $     43,157.04   05 T02


                                                                 Page 136                                                                2011 Budget Briefing
Department of Education                                                                  Table 13
                                                                New Hires
  New Hire                      Position  Perm/                                  Budgeted             Budgeted       Actual                      BU    SR 
Effective Date    Prog ID/Org   Number Temp MOF             Position Title            FTE                Salary        FTE      Actual Salary  Code Level
   08/31/2010    EDN 100/AA       63023 J1      A SECONDARY TEACHER                         1.00   $     54,669.00       1.00   $     32,712.96    05 T02
   08/31/2010    EDN 150/FA       56982 T1      A EDUC ASST III                             0.50   $     14,104.00       0.50   $     12,515.04    03 SR12
   08/31/2010    EDN 150/FA       61465 J1      A SPEC ED TEACHER                           1.00   $     49,448.00       1.00   $     32,712.96    05 T02
   09/01/2010    EDN 100/AA      600849 T1      A 10‐MO STUDENT SVCS COORD                  1.00   $     46,608.96       1.00   $     46,608.96    05 T03
   09/01/2010    EDN 100/AA       64423 J1      A ELEM TEACHER                              1.00   $     49,448.00       1.00   $     43,157.04    05 T02
   09/01/2010    EDN 100/AA       61846 J1      A ELEM TEACHER                              1.00   $     58,959.00       1.00   $     43,157.04    05 T02
   09/01/2010    EDN 100/AA       66487 J1      A SECONDARY TEACHER                         1.00   $     59,010.00       1.00   $     43,157.04    05 T02
   09/01/2010    EDN 100/AA       61418 J1      A ELEM TEACHER                              1.00   $     62,002.00       1.00   $     43,157.04    05 T02
   09/01/2010    EDN 100/AA       59759 J1      A CLERK TYPIST II                           1.00   $     25,668.00       1.00   $     25,668.00    03 SR08
   09/01/2010    EDN 100/AA       16098 J1      A SCHOOL CUSTODIAN II                       0.50   $     16,614.00       0.50   $     16,614.00    01 BC02
   09/01/2010    EDN 100/BS       73494 T1      A ROTC INSTRUCTOR                           1.00   $     82,838.00       1.00   $  105,528.00      55 TTC
   09/01/2010    EDN 100/BV       61880 T1      A ELEM TEACHER                              1.00   $     33,694.00       1.00   $     32,712.96    05 T02
   09/01/2010    EDN 100/DB      801231 T1      N CLERK TYPIST II                           1.00   $     12,834.00       0.50   $     12,834.00    03 SR08
   09/01/2010    EDN 150/FA       60481 J1      A SPEC ED TEACHER                           1.00   $     44,452.00       1.00   $     43,157.04    05 T02
   09/01/2010    EDN 150/FA       72505 J1      A SPEC ED TEACHER                           1.00   $     45,785.00       1.00   $     46,608.96    05 T03
   09/01/2010    EDN 150/FA       68527 J1      A SPEC ED TEACHER                           1.00   $     48,008.00       1.00   $     32,712.96    05 T02
   09/01/2010    EDN 150/SA       30495 J1      A COMMUNICATION AID                         0.50   $     14,684.00       0.50   $     12,515.04    03 SR12
   09/01/2010    EDN 150/SA      801322 J1      A EDUCATIONAL INTERPRETER I                 1.00   $     30,036.00       1.00   $     30,036.00    03 SR12
   09/01/2010    EDN 150/YC       30689 J1      A SCHOOL PSYCHOLOGIST                       1.00   $     46,803.00       1.00   $     51,312.00    13 SR24
   09/02/2010    EDN 100/AA       30840 J1      A CLERK TYPIST II                           0.50   $     12,834.00       0.50   $       6,663.60   63 SR08
   09/02/2010    EDN 150/FA      600792 T1      A SPEC ED TCHR/PRE‐SCHOOL                   1.00   $     43,157.04       1.00   $     43,157.04    05 T02
   09/03/2010    EDN 150/FA      800552 T1      A EDUC ASST II                              1.00   $     27,154.00       1.00   $     23,130.00    03 SR10
   09/03/2010    EDN 150/YC       58752 J1      A BEHAVIORAL HLTH SPCLT III                 1.00   $     55,500.00       1.00   $     21,880.80    73 SR20
   09/07/2010    EDN 100/AA      600865 T1      A ELEM TEACHER                              1.00   $     46,608.96       1.00   $     46,608.96    05 T03
   09/07/2010    EDN 100/AA      600876 T1      A ELEM TEACHER                              1.00   $     46,608.96       1.00   $     46,608.96    05 T03
   09/07/2010    EDN 100/AA      600899 T1      A ELEM TEACHER                              1.00   $     46,608.96       1.00   $     46,608.96    05 T03
   09/07/2010    EDN 100/AA       62746 J1      A ELEM TEACHER                              1.00   $     49,448.00       1.00   $     43,157.04    05 T02
   09/07/2010    EDN 100/AA       16633 J1      A SCHOOL CUSTODIAN II                       1.00   $     33,228.00       1.00   $     33,228.00    01 BC02
   09/07/2010    EDN 150/FA       74380 J1      A SPEC ED TEACHER                           1.00   $     49,448.00       1.00   $     43,157.04    05 T02
   09/07/2010    EDN 150/FB       57889 J1      A EDUC ASST III                             1.00   $     26,131.00       1.00   $     25,030.08    03 SR12
   09/07/2010    EDN 150/NB      600607 T1      N DIST OFF TCHR                             1.00   $     46,608.96       1.00   $     46,608.96    05 T03
   09/07/2010    EDN 150/SA       56256 J1      A SPEECH PATHOLOGIST III                    1.00   $     60,315.00       1.00   $     42,132.00    13 SR20
   09/08/2010    EDN 100/AA      801616 T1      A CLERK TYPIST II                           1.00   $     13,327.20       1.00   $     13,327.20    63 SR08
   09/08/2010    EDN 100/AA      801533 T1      A EDUC ASST III                             1.00   $     25,030.00       1.00   $     25,030.08    03 SR12


                                                                 Page 137                                                                 2011 Budget Briefing
Department of Education                                                                   Table 13
                                                              New Hires
  New Hire                    Position  Perm/                                   Budgeted             Budgeted       Actual                     BU    SR 
Effective Date    Prog ID/Org Number Temp MOF             Position Title             FTE                Salary        FTE      Actual Salary  Code Level
   09/09/2010    EDN 100/AA     68188 J1      A SECONDARY TEACHER                          1.00   $     68,351.00       1.00   $     43,157.04   05 T02
   09/09/2010    EDN 400/OC     16817 J1      A UTILITY WORKER                             1.00   $     35,700.00       1.00   $     17,744.40   61 BC03
   09/10/2010    EDN 100/AA    801698 T1      A DP USER SUPPORT TECH II                    1.00   $     17,528.40       1.00   $     17,528.40   63 SR15
   09/10/2010    EDN 100/AA     54856 T1      A CLERK III                                  0.50   $     13,350.00       0.50   $     12,834.00   03 SR08
   09/10/2010    EDN 100/AA    800698 J1      A CLERK II                                   0.50   $     11,844.00       0.50   $     11,844.00   03 SR06
   09/10/2010    EDN 150/FA     66224 J1      A SPEC ED TEACHER                            1.00   $     44,452.08       1.00   $     44,452.08   05 T02
   09/13/2010    EDN 100/AA    600857 T1      A ELEM TEACHER                               1.00   $     43,157.04       1.00   $     43,157.04   05 T02
   09/13/2010    EDN 100/AA     67692 J1      A SECONDARY TEACHER                          1.00   $     79,170.00       1.00   $     46,608.96   05 T03
   09/13/2010    EDN 100/DB    600864 T1      N ELEM TEACHER                               1.00   $     46,608.96       1.00   $     46,608.96   05 T03
   09/13/2010    EDN 150/FA    600780 T1      A GEN EDUC/ARTICLE VI TCHR                   1.00   $     40,566.96       1.00   $     40,566.96   05 T02
   09/15/2010    EDN 100/AA     39004 J1      A CLERK TYPIST II                            1.00   $     33,756.00       1.00   $     25,668.00   03 SR08
   09/15/2010    EDN 100/AA     30617 J1      A SCHOOL SECURITY ATTENDANT                  1.00   $     23,229.00       1.00   $     20,539.92   03 SR07
   09/16/2010    EDN 100/AA    801605 T1      A SCHOOL SECURITY ATTENDANT                  1.00   $     12,798.00       1.00   $     12,798.00   63 SR07
   09/16/2010    EDN 100/AA    801712 T1      A CLERK II                                   1.00   $     12,301.20       1.00   $     12,301.20   63 SR06
   09/16/2010    EDN 100/AA    600863 T1      A ELEM TEACHER                               1.00   $     46,608.96       1.00   $     46,608.96   05 T03
   09/16/2010    EDN 100/AA     74524 J1      A ELEM TEACHER                               1.00   $     68,351.00       1.00   $     43,157.04   05 T02
   09/16/2010    EDN 100/AA  67785X       T1  A ELEM TEACHER                               1.00   $     43,157.04       1.00   $     43,157.04   05 T02
   09/16/2010    EDN 100/AA     33195 J1      A CLERK TYPIST II                            1.00   $     28,836.00       1.00   $     25,668.00   03 SR08
   09/16/2010    EDN 100/AA     28174 J1      A SCHOOL CUSTODIAN II                        0.50   $     16,614.00       0.50   $     16,614.00   01 BC02
   09/16/2010    EDN 100/BJ    801173 J1      A DP USER SUPPORT TECH II                    1.00   $     25,668.00       1.00   $     17,528.40   63 SR15
   09/16/2010    EDN 100/BJ     40300 J1      A SCHOOL SECURITY ATTENDANT                  1.00   $     23,229.00       1.00   $     12,798.00   63 SR07
   09/16/2010    EDN 150/FA     72767 J1      A SPEC ED TEACHER                            1.00   $     45,785.00       1.00   $     32,712.96   05 T02
   09/16/2010    EDN 150/YC     58745 J1      A CLINICAL PSYCHOLOGIST V                    1.00   $     68,160.00       1.00   $     51,312.00   13 SR24
   09/20/2010    EDN 100/AA    600838 T1      A ELEM TEACHER                               1.00   $     43,157.04       1.00   $     43,157.04   05 T02
   09/20/2010    EDN 100/AA    600911 T1      A ELEM TEACHER                               1.00   $     43,157.04       1.00   $     43,157.04   05 T02
   09/20/2010    EDN 100/AA     65364 J1      A ELEM TEACHER                               1.00   $     62,002.00       1.00   $     43,157.04   05 T02
   09/20/2010    EDN 100/AA     47787 J1      A SCHOOL CUSTODIAN II                        0.50   $     16,614.00       0.50   $     16,614.00   01 BC02
   09/20/2010    EDN 100/AA     22909 J1      A SCHOOL CUSTODIAN II                        1.00   $     33,228.00       0.75   $     24,921.00   01 BC02
   09/20/2010    EDN 100/BB     75819 J1      A SECONDARY TEACHER                          1.00   $     32,712.96       1.00   $     32,712.96   05 T02
   09/20/2010    EDN 100/DB     79845 T1      N SECONDARY TEACHER                          1.00   $     46,608.96       1.00   $     46,608.96   05 T03
   09/20/2010    EDN 150/FA    600157 T1      A SPEC ED TEACHER                            1.00   $     43,157.04       1.00   $     43,157.04   05 T02
   09/20/2010    EDN 150/SA     30554 J1      A PHYSICAL THERAPIST IV                      1.00   $     67,488.00       1.00   $     45,576.00   13 SR22
   09/20/2010    EDN 150/YC     58400 T1      A BEHAVIORAL HEALTH SPCLT III                1.00   $     45,576.00       1.00   $     42,132.00   13 SR20
   09/21/2010    EDN 100/DB    600719 T1      N SECONDARY TEACHER                          1.00   $     43,157.04       1.00   $     43,157.04   05 T02


                                                                Page 138                                                                 2011 Budget Briefing
Department of Education                                                                  Table 13
                                                                New Hires
  New Hire                      Position  Perm/                                  Budgeted             Budgeted       Actual                      BU    SR 
Effective Date    Prog ID/Org   Number Temp MOF             Position Title            FTE                Salary        FTE      Actual Salary  Code Level
   09/21/2010    EDN 400/MD       59680 T1      N CAFETERIA HELPER                          0.50   $     16,614.00       0.50   $     16,614.00    61 BC02
   09/23/2010    EDN 100/AA       62477 J1      A SECONDARY TEACHER                         1.00   $     48,008.00       1.00   $     32,712.96    05 T02
   09/23/2010    EDN 100/AA       68735 J1      A SECONDARY TEACHER                         1.00   $     62,550.00       1.00   $     46,608.96    05 T03
   09/23/2010    EDN 100/BM       49297 J1      A ATHLETIC HLTH CARE TRAINER                1.00   $     47,412.00       1.00   $     23,662.80    73 SR22
   09/23/2010    EDN 150/FA       69243 J1      A SPEC ED TEACHER                           1.00   $     32,713.00       1.00   $     32,712.96    05 T02
   09/23/2010    EDN 150/FB       60267 J1      A SPECIAL SCH TEACHER                       1.00   $     50,493.00       1.00   $     32,712.96    05 T02
   09/24/2010    EDN 100/AA       30605 J1      A SCHOOL SECURITY ATTENDANT                 1.00   $     30,506.00       1.00   $     20,539.92    03 SR07
   09/27/2010    EDN 100/AA       64209 J1      A ELEM TEACHER                              1.00   $     45,785.00       1.00   $     43,157.04    05 T02
   09/27/2010    EDN 100/AA       72152 J1      A SECONDARY TEACHER                         1.00   $     56,740.00       1.00   $     32,712.96    05 T02
   09/27/2010    EDN 100/AA       73374 J1      A COUNSELOR                                 1.00   $     46,609.00       1.00   $     44,452.08    05 T02
   09/27/2010    EDN 100/AA       71371 J1      A COUNSELOR                                 1.00   $     51,426.00       1.00   $     46,608.96    05 T03
   09/27/2010    EDN 150/FA       64712 J1      A SPEC ED TEACHER                           1.00   $     74,688.00       1.00   $     32,712.96    05 T02
   09/27/2010    EDN 150/FA       71554 J1      A SPEC ED TEACHER                           1.00   $     43,157.04       1.00   $     43,157.04    05 T02
   09/27/2010    EDN 150/FA       74843 J1      A GEN EDUC/ARTICLE VI TCHR                  1.00   $     44,452.00       1.00   $     44,452.08    05 T02
   09/28/2010    EDN 100/AA      800690 J1      A CLERK TYPIST II                           0.50   $     12,834.00       0.50   $       6,663.60   63 SR08
   09/28/2010    EDN 150/FA       64006 J1      A SPEC ED TEACHER                           1.00   $     43,157.00       1.00   $     32,712.96    05 T02
   09/28/2010    EDN 150/FA       67202 J1      A SPEC ED TEACHER                           1.00   $     58,959.00       1.00   $     32,712.96    05 T02
   09/29/2010    EDN 100/AA       69102 J1      A ELEM TEACHER                              1.00   $     50,931.00       1.00   $     46,608.96    05 T03
   10/01/2010    EDN 100/AA       69856 J1      A ELEM TEACHER                              1.00   $     54,558.00       1.00   $     46,608.96    05 T03
   10/01/2010    EDN 100/AA       63637 J1      A ELEM TEACHER                              1.00   $     62,603.00       1.00   $     46,608.96    05 T03
   10/01/2010    EDN 100/AA       67639 J1      A ELEM TEACHER                              1.00   $     49,053.00       1.00   $     46,608.96    05 T03
   10/01/2010    EDN 100/AA       74248 J1      A SECONDARY TEACHER                         1.00   $     55,622.00       1.00   $     46,608.96    05 T03
   10/01/2010    EDN 100/AA      801517 J1      A CLERK III                                 0.50   $     12,834.00       0.50   $     12,834.00    03 SR08
   10/01/2010    EDN 150/FA      600967 T1      A SPEC ED TEACHER                           1.00   $     48,008.00       1.00   $     48,008.16    05 T03
   10/01/2010    EDN 150/YC      800861 T1      A BEHAVIORAL HLTH SPCLT III                 1.00   $     45,576.00       1.00   $     42,132.00    13 SR20
   10/01/2010    EDN 150/YC      800860 T1      A BEHAVIORAL HLTH SPCLT III                 1.00   $     45,576.00       1.00   $     42,132.00    13 SR20
   10/01/2010    EDN 150/YG      801521 T1      A EDUC ASST III                             1.00   $     25,030.00       1.00   $     25,030.08    03 SR12
   10/01/2010    EDN 200/GN      600915 T1      A COMPLEX AREA TEACHER                      1.00   $     48,008.00       1.00   $     48,008.16    05 T03
   10/04/2010    EDN 100/AA      801545 T1      A CLERK TYPIST II                           1.00   $     25,668.00       1.00   $     25,668.00    03 SR08
   10/04/2010    EDN 150/SA         3082 J1     A OCC THERAPIST IV                          1.00   $     56,388.00       1.00   $     45,576.00    13 SR22
   10/04/2010    EDN 150/YC       58473 T1      A BEHAVIORAL HLTH SPCLT III                 1.00   $     55,500.00       1.00   $     42,132.00    13 SR20
   10/04/2010    EDN 150/YC       58482 T1      A BEHAVIORAL HLTH SPCLT III                 1.00   $     55,500.00       1.00   $     42,132.00    13 SR20
   10/05/2010    EDN 100/AA      801675 T1      A SCHOOL SECURITY ATTENDANT                 1.00   $     12,798.00       1.00   $     12,798.00    63 SR07
   10/05/2010    EDN 100/AA       56102 J1      A CLERK III                                 0.50   $     15,018.00       0.50   $       6,663.60   63 SR08


                                                                  Page 139                                                                2011 Budget Briefing
Department of Education                                                                     Table 13
                                                              New Hires
  New Hire                    Position  Perm/                                     Budgeted             Budgeted       Actual                     BU    SR 
Effective Date    Prog ID/Org Number Temp MOF            Position Title                FTE                Salary        FTE      Actual Salary  Code Level
   10/05/2010    EDN 100/AA     38979 J1      A CLERK TYPIST II                              1.00   $     27,756.00       1.00   $     13,327.20   63 SR08
   10/05/2010    EDN 100/BM    800205 J1      A ATHLETIC HLTH CARE TRAINER                   1.00   $     45,576.00       1.00   $     23,662.80   73 SR22
   10/06/2010    EDN 150/YC     58486 T1      A BEHAVIORAL HLTH SPCLT III                    1.00   $     47,412.00       1.00   $     42,132.00   13 SR20
   10/06/2010    EDN 150/YC     58380 J1      A BEHAVIORAL HLTH SPCLT III                    1.00   $     57,708.00       1.00   $     42,132.00   13 SR20
   10/12/2010    EDN 100/AA    600924 T1      A COUNSELOR                                    1.00   $     46,609.00       1.00   $     46,608.96   05 T03
   10/12/2010    EDN 100/AA    801624 T1      A EDUC ASST III                                0.75   $     18,773.00       0.75   $     18,772.56   03 SR12
   10/12/2010    EDN 100/AA    600925 T1      A ELEM TEACHER                                 1.00   $     46,609.00       1.00   $     46,608.96   05 T03
   10/12/2010    EDN 100/AA    801674 T1      A SCHOOL SAFETY AND SECURITY OF                1.00   $     16,211.00       1.00   $     16,210.80   84 SR13
   10/12/2010    EDN 100/AA  63715X       T1  A ELEM TEACHER                                 1.00   $     32,713.00       1.00   $     32,712.96   05 T02
   10/12/2010    EDN 100/AA     71523 J1      A ELEM TEACHER                                 1.00   $     52,471.00       1.00   $     48,008.16   05 T03
   10/12/2010    EDN 100/AA     62340 J1      A SECONDARY TEACHER                            1.00   $     48,008.00       1.00   $     46,608.96   05 T03
   10/12/2010    EDN 100/AA     66046 J1      A SECONDARY TEACHER                            1.00   $     49,448.00       1.00   $     46,608.96   05 T03
   10/12/2010    EDN 100/AA     66807 J1      A SECONDARY TEACHER                            1.00   $     49,448.00       1.00   $     32,712.96   05 T02
   10/12/2010    EDN 150/FA     71210 T1      A SPEC ED TEACHER                              1.00   $     49,448.00       1.00   $     43,157.04   05 T02
   10/12/2010    EDN 150/FA     68527 J1      A SPEC ED TEACHER                              1.00   $     48,008.00       1.00   $     43,157.04   05 T02
   10/12/2010    EDN 150/FA     74665 T1      A SPEC ED TEACHER                              1.00   $     32,713.00       1.00   $     43,157.04   05 T02
   10/12/2010    EDN 150/FA    600097 T1      A SPEC ED TEACHER                              1.00   $     48,008.00       1.00   $     48,008.16   05 T03
   10/12/2010    EDN 150/SA     30708 J1      A SCH BASED OCC THRPY ASST (FP)                1.00   $     45,108.00       1.00   $     48,948.00   10 HE10
   10/12/2010    EDN 150/YC     58650 T1      A BEHAVIORAL SPECIALIST III                    1.00   $     49,332.00       1.00   $     42,132.00   13 SR20
   10/12/2010    EDN 150/YK     29315 J1      A SCHOOL HEALTH AIDE                           1.00   $     18,873.00       1.00   $     18,078.00   03 SR09
   10/12/2010    EDN 150/YK     29470 J1      A SCHOOL HEALTH AIDE                           1.00   $     20,383.00       1.00   $     13,867.20   63 SR09
   10/12/2010    EDN 400/MD     51890 J1      B SCHOOL COOK I                                1.00   $     38,436.00       1.00   $     35,544.00   01 BC04
   10/12/2010    EDN 400/MD     53155 J1      B CAFETERIA HELPER                             0.50   $     16,614.00       0.50   $     16,614.00   61 BC02
   10/13/2010    EDN 100/AA     65373 T1      A ELEM TEACHER                                 1.00   $     48,008.00       1.00   $     48,008.16   05 T03
   10/13/2010    EDN 100/DB    600406 T1      N ELEM TEACHER                                 1.00   $     43,157.00       1.00   $     43,157.04   05 T02
   10/13/2010    EDN 150/FA     73317 J1      A SPEC ED TEACHER                              1.00   $     60,729.00       1.00   $     43,157.04   05 T02
   10/15/2010    EDN 150/YC     58631 J1      A BEHAVIORAL HLTH SPCLT III                    1.00   $     47,412.00       1.00   $     21,880.80   73 SR20
   10/18/2010    EDN 100/AA    801578 T1      A CLERK TYPIST I                               1.00   $     23,688.00       1.00   $     23,688.00   03 SR06
   10/18/2010    EDN 100/AA    600968 T1      A ELEM TEACHER                                 1.00   $     43,157.00       1.00   $     43,157.04   05 T02
   10/18/2010    EDN 100/AA    600901 T1      A ELEM TEACHER                                 0.50   $     23,304.00       0.50   $     23,304.48   45 T03
   10/18/2010    EDN 100/AA     65808 J1      A SECONDARY TEACHER                            1.00   $     62,550.00       1.00   $     32,712.96   05 T02
   10/18/2010    EDN 100/AA    801111 T1      A CLERK II                                     0.50   $     11,844.00       0.50   $     11,844.00   03 SR06
   10/18/2010    EDN 100/AA    801376 T1      A SCHOOL CUSTODIAN II                          0.50   $     16,614.00       0.50   $     16,614.00   01 BC02
   10/18/2010    EDN 150/FA     57364 T1      A EDUC ASST III                                0.75   $     21,157.00       0.75   $     18,772.56   03 SR12


                                                                Page 140                                                                   2011 Budget Briefing
Department of Education                                                                     Table 13
                                                                New Hires
  New Hire                      Position  Perm/                                     Budgeted             Budgeted       Actual                     BU    SR 
Effective Date    Prog ID/Org   Number Temp MOF            Position Title                FTE                Salary        FTE      Actual Salary  Code Level
   10/18/2010    EDN 150/YC       58747 J1      A BEHAVIORAL HLTH SPCLT III                    1.00   $     47,412.00       1.00   $     42,132.00   13 SR20
   10/18/2010    EDN 150/YG      801522 T1      A EDUC ASST III                                1.00   $     25,030.00       1.00   $     25,030.08   03 SR12
   10/18/2010    EDN 150/YG      801526 T1      A EDUC ASST III                                1.00   $     25,030.00       1.00   $     25,030.08   03 SR12
   10/18/2010    EDN 150/YG      801525 T1      A EDUC ASST III                                1.00   $     25,030.00       1.00   $     25,030.08   03 SR12
   10/18/2010    EDN 150/YG      801354 T1      A SOCIAL WORKER IV                             1.00   $     21,881.00       1.00   $     21,880.80   73 SR20
   10/19/2010    EDN 100/AA       56456 J1      A CLERK TYPIST II                              0.50   $     12,834.00       0.50   $     12,834.00   03 SR08
   10/19/2010    EDN 150/SA       25969 J1      A OCC THERAPIST IV                             1.00   $     66,576.00       1.00   $     23,662.80   73 SR22
   10/19/2010    EDN 150/YC      800423 J1      A SCHOOL PSYCHOLOGIST                          1.00   $     58,716.00       1.00   $     51,312.00   13 SR24
   10/25/2010    EDN 100/AA       63603 J1      A ELEM TEACHER                                 1.00   $     58,586.00       1.00   $     43,157.04   05 T02
   10/25/2010    EDN 100/AA       61546 J1      A ELEM TEACHER                                 1.00   $     52,471.00       1.00   $     32,712.96   05 T02
   10/25/2010    EDN 100/AA       45354 J1      A LIBRARY ASSISTANT III                        1.00   $     26,700.00       1.00   $     24,648.00   03 SR07
   10/25/2010    EDN 150/FA       48509 J1      A EDUC ASST II                                 1.00   $     31,769.00       1.00   $     23,130.00   03 SR10
   10/25/2010    EDN 150/FA      800039 T1      A EDUC ASST III                                1.00   $     19,599.00       0.75   $     18,772.56   03 SR12
   10/25/2010    EDN 150/FA      600191 T1      A SPEC ED TEACHER                              1.00   $     32,713.00       1.00   $     32,712.96   05 T02
   10/25/2010    EDN 150/FA      600366 T1      A SPEC ED TEACHER                              1.00   $     46,609.00       1.00   $     46,608.96   05 T03
   10/25/2010    EDN 150/FA       68797 J1      A SPEC ED TEACHER                              1.00   $     34,705.00       1.00   $     32,712.96   05 T02
   10/25/2010    EDN 150/YG      801532 T1      A BEHAVIORAL HLTH SPCLT III                    1.00   $     42,132.00       1.00   $     42,132.00   13 SR20
   10/26/2010    EDN 100/AA      600942 T1      A ELEM TEACHER                                 0.50   $     23,304.00       0.50   $     23,304.48   45 T03
   10/26/2010    EDN 100/AA      600943 T1      A LIBRARIAN                                    0.50   $     24,004.00       0.50   $     24,004.08   45 T03
   10/26/2010    EDN 100/AA       61872 J1      A ELEM TEACHER                                 1.00   $     45,785.00       1.00   $     46,608.96   05 T03
   10/26/2010    EDN 100/AA      600164 T1      A ELEM TEACHER                                 1.00   $     46,609.00       1.00   $     46,608.96   05 T03
   10/26/2010    EDN 150/YG      800727 J1      A HUMAN SVCS PROF II                           1.00   $     46,803.00       1.00   $     20,239.20   73 SR18
   10/27/2010    EDN 200/GH      801609 T1      A CLERK I                                      1.00   $     21,948.00       1.00   $     21,948.00   03 SR04
   10/28/2010    EDN 150/NB      800177 T1      N EDUC ASST II                                 1.00   $     23,130.00       1.00   $     23,130.00   03 SR10
   10/29/2010    EDN 100/AA      800717 T1      A CLERK TYPIST II                              0.50   $     12,834.00       0.50   $     12,834.00   03 SR08
   11/01/2010    EDN 100/AA      600940 T1      A ELEM TEACHER                                 1.00   $     46,609.00       1.00   $     46,608.96   05 T03
   11/01/2010    EDN 100/AA      600939 T1      A ELEM TEACHER                                 1.00   $     46,609.00       1.00   $     46,608.96   05 T03
   11/01/2010    EDN 100/AA      600945 T1      A ELEM TEACHER                                 1.00   $     43,157.00       1.00   $     43,157.04   05 T02
   11/01/2010    EDN 100/AA      801808 T1      A LIBRARY ASSISTANT III                        1.00   $     12,798.00       1.00   $     12,798.00   63 SR07
   11/01/2010    EDN 100/AA      801559 T1      A SCHOOL SAFETY AND SECURITY OF                1.00   $     16,211.00       1.00   $     16,210.80   84 SR13
   11/01/2010    EDN 100/AA      600816 T1      A SECONDARY TEACHER                            1.00   $     43,157.00       1.00   $     43,157.04   05 T02
   11/01/2010    EDN 100/AA       63286 J1      A ELEM TEACHER                                 1.00   $     64,427.00       1.00   $     48,008.16   05 T03
   11/01/2010    EDN 100/AA       61588 J1      A ELEM TEACHER                                 1.00   $     68,351.00       1.00   $     43,157.04   05 T02
   11/01/2010    EDN 100/AA       69001 J1      A SECONDARY TEACHER                            1.00   $     79,170.00       1.00   $     32,712.96   05 T02


                                                                  Page 141                                                                   2011 Budget Briefing
Department of Education                                                                      Table 13
                                                                New Hires
  New Hire                      Position  Perm/                                     Budgeted             Budgeted        Actual                      BU    SR 
Effective Date    Prog ID/Org   Number Temp MOF             Position Title               FTE                Salary         FTE      Actual Salary  Code Level
   11/01/2010    EDN 100/AA       53286 J1      A EDUC ASST II                                 0.50   $     13,066.00        0.50   $     11,565.00    03 SR10
   11/01/2010    EDN 100/AA       59745 J1      A ACCOUNT CLERK II                             1.00   $     31,212.00        1.00   $     25,668.00    03 SR08
   11/01/2010    EDN 100/AA      801608 T1      A CLERK II                                     0.50   $     11,844.00        0.50   $     11,844.00    03 SR06
   11/01/2010    EDN 100/AA       56402 J1      A CLERK TYPIST II                              1.00   $     27,756.00        1.00   $     25,668.00    03 SR08
   11/01/2010    EDN 100/AA       56460 J1      A CLERK TYPIST II                              0.50   $     12,834.00        0.50   $       6,663.60   63 SR08
   11/01/2010    EDN 100/AA       30658 J1      A SCHOOL SECURITY ATTENDANT                    1.00   $     21,444.00        1.00   $     12,798.00    63 SR07
   11/01/2010    EDN 100/BM      800797 J1      A ATHLETIC HLTH CARE TRAINER                   0.50   $     22,788.00        1.00   $     23,662.80    73 SR22
   11/01/2010    EDN 100/BS       69012 J1      A ROTC INSTRUCTOR                              1.00   $  106,404.00          0.50   $     46,630.86    55 ROTC
   11/01/2010    EDN 150/FA       57356 T1      A EDUC ASST III                                0.75   $     19,599.00        0.75   $     18,772.56    03 SR12
   11/01/2010    EDN 150/FA       69052 J1      A SPEC ED TEACHER                              1.00   $     51,426.00        1.00   $     46,608.96    05 T03
   11/01/2010    EDN 150/YC       59635 J1      A BEHAVIORAL HLTH SPCLT III                    1.00   $     49,332.00        1.00   $     42,132.00    13 SR20
   11/01/2010    EDN 150/YC      800425 J1      A SCHOOL PSYCHOLOGIST                          1.00   $     58,716.00        1.00   $     51,312.00    13 SR24
   11/01/2010    EDN 200/GN       32278 T1      A BILINGUAL/BICULTURAL S/H ASST                1.00   $     37,968.00        1.00   $     14,968.80    63 SR11
   11/03/2010    EDN 100/AA      801728 T1      A LIBRARY ASSISTANT II                         0.50   $       5,913.00       0.50   $       5,913.00   63 SR05
   11/03/2010    EDN 100/AA       65358 J1      A SCH ATHLETIC DIR I                           1.00   $     62,563.00        1.00   $     60,006.96    06 E01
   11/03/2010    EDN 100/BJ      801647 T1      A SCHOOL SAFETY AND SECURITY OF                0.75   $     12,158.00        0.75   $     12,158.10    84 SR13
   11/04/2010    EDN 100/AA       40512 J1      A CLERK II                                     0.50   $     12,834.00        1.00   $     23,688.00    03 SR06
   11/08/2010    EDN 100/AA       60329 J1      A ELEM TEACHER                                 1.00   $     45,785.00        1.00   $     43,157.04    05 T02
   11/08/2010    EDN 100/AA       68346 J1      A ELEM TEACHER                                 1.00   $     44,452.00        1.00   $     43,157.04    05 T02
   11/08/2010    EDN 100/AA       48420 J1      A CLERK TYPIST II                              0.50   $     16,212.00        0.50   $     12,834.00    03 SR08
   11/08/2010    EDN 100/BM      800799 J1      A ATHLETIC HLTH CARE TRAINER                   1.00   $     45,576.00        1.00   $     45,576.00    13 SR22
   11/08/2010    EDN 150/FA       61209 J1      A SECONDARY TEACHER                            1.00   $     52,721.00        1.00   $     32,712.96    05 T02
   11/08/2010    EDN 150/FA      600590 T1      A SPEC ED TEACHER                              1.00   $     32,713.00        1.00   $     32,712.96    05 T02
   11/09/2010    EDN 100/DB      600754 T1      N ELEM TEACHER                                 0.50   $     21,579.00        0.50   $     21,578.52    45 T02
   11/09/2010    EDN 150/YG      800947 J1      A BEHAVIORAL HLTH SPCLT III                    1.00   $     45,576.00        1.00   $     42,132.00    13 SR20
   11/10/2010    EDN 150/SA       56374 J1      A SPEECH PATHOLOGIST IV                        1.00   $     60,315.00        1.00   $     45,576.00    13 SR22
   11/15/2010    EDN 100/AA      801613 T1      A CLERK I                                      0.50   $     10,974.00        0.50   $     10,974.00    03 SR04
   11/15/2010    EDN 100/AA       74002 J1      A ELEM TEACHER                                 1.00   $     49,053.00        1.00   $     43,157.04    05 T02
   11/15/2010    EDN 100/AA       63777 J1      A SECONDARY TEACHER                            1.00   $     40,567.00        1.00   $     43,157.04    05 T02
   11/15/2010    EDN 100/DR       79197 T1      N EVALUATION SPEC II                           1.00   $     77,069.00        1.00   $     77,069.04    06 E07
   11/15/2010    EDN 150/FA       66449 J1      A SPEC ED TEACHER                              1.00   $     62,550.00        1.00   $     32,712.96    05 T02
   11/15/2010    EDN 150/YC       58531 J1      A BEHAVIORAL HLTH SPCLT III                    1.00   $     51,312.00        1.00   $     42,132.00    13 SR20
   11/15/2010    EDN 150/YC       58540 T1      A BEHAVIORAL HLTH SPCLT IV                     1.00   $     51,312.00        1.00   $     49,332.00    13 SR22
   11/15/2010    EDN 150/YC       58208 J1      A CLINICAL PSYCHOLOGIST V                      1.00   $     77,748.00        1.00   $     51,312.00    13 SR24


                                                                  Page 142                                                                    2011 Budget Briefing
Department of Education                                                                  Table 13
                                                               New Hires
  New Hire                      Position  Perm/                                 Budgeted             Budgeted       Actual                      BU    SR 
Effective Date    Prog ID/Org   Number Temp MOF             Position Title           FTE                Salary        FTE      Actual Salary  Code Level
   11/15/2010    EDN 400/MD       56639 J1      B CAFETERIA HELPER                         0.50   $     16,614.00       0.50   $       8,629.20   61 BC02
   11/16/2010    EDN 100/AA      600926 T1      A SECONDARY TEACHER                        1.00   $     32,713.00       1.00   $     32,712.96    05 T02
   11/16/2010    EDN 100/AA       21886 J1      A SCHOOL CUSTODIAN II                      0.50   $     16,614.00       0.50   $     16,614.00    01 BC02
   11/16/2010    EDN 150/FA       68736 J1      A SPEC ED TEACHER                          1.00   $     49,448.00       1.00   $     43,157.04    05 T02
   11/16/2010    EDN 150/SA      800337 J1      A SPEECH PATHOLOGIST II                    1.00   $     57,999.00       1.00   $     20,239.20    63 SR18
   11/18/2010    EDN 100/AA       56596 J1      A CLERK TYPIST II                          0.50   $     12,834.00       0.50   $     12,834.00    03 SR08
   11/18/2010    EDN 150/FA       57512 T1      A EDUC ASST III                            1.00   $     27,154.00       1.00   $     25,030.08    03 SR12
   11/18/2010    EDN 400/MD       53152 J1      B CAFETERIA HELPER                         1.00   $     33,828.00       0.50   $       8,629.20   61 BC02
   11/19/2010    EDN 150/YK      801514 J1      A SCHOOL HEALTH AIDE                       1.00   $     13,867.00       1.00   $     13,867.20    63 SR09
   11/22/2010    EDN 100/AA      801625 T1      A SCHOOL SECURITY ATTENDANT                1.00   $     20,540.00       1.00   $     20,539.92    03 SR07
   11/22/2010    EDN 100/AA       63924 J1      A ELEM TEACHER                             1.00   $     79,170.00       1.00   $     43,157.04    05 T02
   11/22/2010    EDN 100/AA       51980 J1      A EDUC ASST III                            0.50   $     15,253.00       0.50   $     12,515.04    03 SR12
   11/22/2010    EDN 100/AA      801510 T1      A SCHOOL CUSTODIAN II                      1.00   $     33,228.00       1.00   $     33,228.00    01 BC02
   11/22/2010    EDN 100/DB      600966 T1      N DIST OFF TCHR                            1.00   $     46,609.00       1.00   $     46,608.96    05 T03
   11/22/2010    EDN 150/FA      800617 T1      A EDUC ASST III                            1.00   $     26,131.00       1.00   $     25,030.08    03 SR12
   11/22/2010    EDN 150/FA      600981 T1      A SPEC ED TEACHER                          1.00   $     32,713.00       1.00   $     32,712.96    05 T02
   11/22/2010    EDN 150/NB       57707 T1      N EDUC ASST III                            1.00   $     25,030.00       1.00   $     25,030.08    03 SR12
   11/22/2010    EDN 150/SA       46661 J1      A SPEECH PATHOLOGIST IV                    1.00   $     60,315.00       1.00   $     45,576.00    13 SR22
   11/29/2010    EDN 100/DB      600965 T1      N DIST OFF TCHR                            1.00   $     46,609.00       1.00   $     46,608.96    05 T03
   11/29/2010    EDN 150/FA       67106 T1      A GEN EDUC/ARTICLE VI TCHR                 1.00   $     49,448.00       1.00   $     43,157.04    05 T02
   11/29/2010    EDN 150/FA      600198 T1      A SPEC ED TEACHER                          1.00   $     43,157.00       1.00   $     43,157.04    05 T02
   11/29/2010    EDN 150/FA      601026 T1      A SPEC ED TEACHER                          1.00   $     32,713.00       1.00   $     32,712.96    05 T02
   11/29/2010    EDN 150/NB      800362 T1      N EDUC ASST III                            1.00   $     25,030.00       1.00   $     25,030.08    03 SR12
   11/29/2010    EDN 150/YC       58640 J1      A BEHAVIORAL HLTH SPCLT III                1.00   $     45,576.00       1.00   $     42,132.00    13 SR20
   11/29/2010    EDN 400/MD       28171 T1      N CAFETERIA HELPER                         0.50   $     16,614.00       0.50   $     16,614.00    01 BC02




                                                                 Page 143                                                                2011 Budget Briefing
Department of Education                                                                   Table 14
                                                                    Reduction in Force (RIF) Actions
                                                                              Position Position
                                                                 Current       Salary   Salary Comp Freq  SR     Perm/
 Prog ID/Org   Position #       Position Title   MOF   FTE    Comp Rate  Decrease  Increase  (Mo/Hr) Level BU Temp        Placement Action              Reason
EDN 200/GC           1797   Secretary II         A     1.00   $   3,164.00                      Mo       SR08 03 Perm    Reassign to Vacant   RIF: Budget Reduction
EDN 200/GC           3618   Secretary II         A     1.00   $             ‐                   Mo       SR08 03 Perm    None                 Resigned eff 10/8/10
EDN 200/GC           3903   Secretary II         A     1.00   $   3,420.00                      Mo       SR08 03 Perm    Reassign to Vacant   RIF: Budget Reduction
EDN 150/VA           5571   Secretary II         A     1.00   $   2,702.00                      Mo       SR08 03 Perm    Reassign to Vacant   RIF: Budget Reduction
EDN 200/GC           8268   Secretary II         A     1.00   $   3,290.00                      Mo       SR09 03 Perm    Reassign to Vacant   RIF: Budget Reduction
EDN 200/GP           8914   Secretary I          A     1.00   $   3,164.00                      Mo       SR08 03 Perm    Reassign to Vacant   RIF: Budget Reduction
EDN 150/VA         11427    Secretary II         A     1.00   $   3,848.00                      Mo       SR14 03 Perm    Reassign to Vacant   RIF: Budget Reduction
EDN 200/GC         12020    Secretary II         A     1.00   $   3,557.00                      Mo       SR14 03 Perm    Reassign to Vacant   RIF: Budget Reduction
EDN 300/KO         13863    Personnel Clerk V    A     1.00   $   4,004.00                      Mo       SR13 03 Perm    Reassign to Vacant   RIF: Budget Reduction
EDN 300/KO         19132    Personnel Clerk V    A     1.00   $   3,557.00                      Mo       SR13 03 Perm    Reassign to Vacant   RIF: Budget Reduction
EDN 300/KO         19241    Secretary II         A     1.00   $   4,161.00                      Mo       SR08 03 Perm    Reassign to Vacant   RIF: Budget Reduction
EDN 200/GM         21957    Secretary II         A     1.00   $   3,043.00                      Mo       SR08 03 Perm    Reassign to Vacant   RIF: Budget Reduction
EDN 150/SA         21984    Secretary II         A     1.00   $   3,420.00                      Mo       SR08 03 Perm    Reassign to Vacant   RIF: Budget Reduction
EDN 200/GH         34569    Personnel Clerk V    A     1.00   $   2,922.00                      Mo       SR13 03 Perm    Reassign to Vacant   RIF: Budget Reduction
EDN 150/FD         42306    Secretary II         A     1.00   $   3,290.00                      Mo       SR08 03 Perm    Reassign to Vacant   RIF: Budget Reduction
EDN 200/GP         43015    Secretary I          A     1.00   $             ‐                   Mo       SR08 03 Perm    None                 Transferred eff  10/21/10
EDN 300/KO         45352    Personnel Clerk V    A     1.00   $   2,922.00                      Mo       SR11 03 Perm    Reassign to Vacant   RIF: Budget Reduction
EDN 300/KO         46158    Personnel Clerk V    A     1.00   $   2,922.00                      Mo       SR11 03 Perm    Reassign to Vacant   RIF: Budget Reduction
EDN 150/VA         53148    Secretary II         A     1.00   $   3,043.00                      Mo       SR08 03 Perm    Reassign to Vacant   RIF: Budget Reduction
EDN 150/VA         56324    Secretary II         A     1.00   $   3,701.00                      Mo       SR10 03 Perm    Reassign to Vacant   RIF: Budget Reduction
EDN 200/GD         59169    Secretary II         A     1.00   $   3,043.00                      Mo       SR08 03 Perm    Reassign to Vacant   RIF: Budget Reduction
EDN 150/YC         59674    Secretary II         A     1.00   $   3,868.00                      Mo       SR08 03 Perm    Reassign to Vacant   RIF: Budget Reduction




                                                                                Page 144                                                                2011 Budget Briefing
Department of Education                                                Table 15
                                                        Grievances



                                                        SR      Perm/

           1                 1
Prog ID/Org Position Number Position Title
NONE                                         11-1-1
                                             MOF  FTE  Level BU Temp RIF Date   Grievance Date Current Status




                                                          Page 145                                              2011 Budget Briefing
Department of Education                                                           Table 16
                                      Expenditures Exceeding Federal Fund Ceiling


                                   Ceiling     Date of                                           Recurring   GF Impact   I
Prog ID  Appropriation Ceiling  Increase      Increase        Reason for Exceeding Ceiling         (Y/N)
                                                                                                   -           (Y/N)         ARRA?
NONE I                         "I                         I                                  I               I-I




                                                                Page 146                                            2011 Budget Briefing
Department of Education                                                       Table 17
                                            Intradepartmental Transfers
 From       To           Amount              Date of                                                            Recurring
Prog ID   Prog ID      Transferred           Transfer                  Reason for Transfer                        (Y/N)
                                                       Transfer of positions and operating funds for 
                                                       Indexed Complex Area Allocation (ICAA) under 
EDN 100 EDN 200     $      
                          3,908,836.00      11/18/2009 EDN200                                                       Y

                                                         Transfer of position and payrioll funds to align to 
EDN 300 EDN 100     $           55,500.00   11/18/2009   reorganization of the Office of Fiscal Services            Y
                                                         Transfer of positions and operating funds for ICAA 
EDN 150 EDN 200     $      
                          3,376,231.00      11/18/2009   under EDN200                                               Y
                                                         Transfer of positions and operating funds for ICAA 
EDN 300 EDN 200     $      
                          4,616,620.00      11/18/2009   under EDN200                                               Y
                                                         Transfer of funds to provide federal fund 
                                                         expenditure ceiling for task order with USDOE for 
EDN 100   EDN 300   $           98,039.00   12/16/2009   required EDFacts data reporting system                    N
EDN 150   EDN 100   $      
                          1,059,708.00        1/7/2010   Transfer of funds to cover carryover at schools           N
EDN 200   EDN 100   $         180,799.00      1/7/2010   Transfer of funds to cover carryover at schools           N
EDN 300   EDN 100   $      
                          2,327,709.00        1/7/2010   Transfer of funds to cover carryover at schools           N
EDN 400   EDN 100   $      
                          1,999,190.00        1/7/2010   Transfer of funds to cover carryover at schools           N
EDN 500   EDN 100   $         209,935.00      1/7/2010   Transfer of funds to cover carryover at schools           N
EDN 400   EDN 100   $   29,962,635.00        5/27/2010   Transfer to meet projected salary shortfall               N
EDN 150   EDN 100   $      
                          4,430,909.00       6/24/2010   Transfer to meet projected salary shortfall               N
EDN 400   EDN 100   $   37,155,465.00        6/24/2010   Transfer to meet projected salary shortfall               N
EDN 500   EDN 100   $         890,591.00     6/24/2010   Transfer to meet projected salary shortfall               N
EDN 400   EDN 200   $      
                          1,326,032.00       6/24/2010   Transfer to meet projected salary shortfall               N

EDN 400   EDN 300   $      
                          8,842,665.00       6/24/2010   Transfer for purchase of reading software license         N
EDN 100   EDN 150   $      
                          1,741,000.00       6/30/2010   Transfer for Autism program shortfall                     N
EDN 100   EDN 300   $      
                          1,219,000.00       6/30/2010   Transfer for teacher laptops                              N
EDN 100   EDN 400   $      
                          1,671,000.00       6/30/2010   Transfer for Student Transportation                       N
EDN 200   EDN 300   $         494,000.00     6/30/2010   Transfer for teacher laptops                              N
EDN 500   EDN 400   $         529,000.00     6/30/2010   Transfer for Student Transportation                       N

                                                         Page 147                                                 2011 Budget Briefing
Department of Education                                                      Table 18
                                                          CIP Summary
Priority                               Project Title                                 FY12 $$$               FY13 $$$          MOF
   1       Lump Sum ‐ Project Positions (EDN 400)                              $      
                                                                                     5,200,000.00     $     5,200,000.00       B
   2       Lump Sum ‐ School Building Improvements                             $   10,000,000.00      $   10,000,000.00        B
   3       Lump Sum ‐ Project Adjustment                                       $      
                                                                                     2,000,000.00     $     2,000,000.00       B
   4       Lump Sum ‐ Rel/Construct Temporary Facilities                       $      
                                                                                     5,000,000.00     $     5,000,000.00       B
   5       Lump Sum ‐ ADA Compliance                                           $      
                                                                                     2,500,000.00     $     2,500,000.00       B
   6       Lump Sum ‐ Health And Safety                                        $      
                                                                                     1,500,000.00     $     1,500,000.00       B
   7       Lump Sum ‐ Hazardous Materials Removal                              $      
                                                                                     1,000,000.00     $     1,000,000.00       B
   8       Lump Sum ‐ Electrical/Infrastructure Improvements                   $      
                                                                                     5,800,000.00     $     5,800,000.00       B
   9       Lump Sum ‐ High School Science Facilities Upgrades                  $      
                                                                                     3,000,000.00     $     3,000,000.00       B
   10      Lump Sum ‐ Special Education Renovations                            $         500,000.00   $         500,000.00     B
   11      Lump Sum ‐ Gender Equity                                            $      
                                                                                     1,500,000.00     $     1,500,000.00       B
   12      Lump Sum ‐ Noise/Heat Abatement                                     $      
                                                                                     2,000,000.00     $     2,000,000.00       B
   13      Lump Sum ‐ Minor Renovations & Improvements                         $      
                                                                                     1,500,000.00     $     1,500,000.00       B
   14      Lump Sum ‐ Master Plan/Land Acquisition                             $      
                                                                                     1,000,000.00     $     1,000,000.00       B
   15      Lump Sum ‐ Energy Improvements                                      $      
                                                                                     2,000,000.00     $     2,000,000.00       B
   16      Lump Sum ‐ Playground Equipment/Accessibility                       $         500,000.00   $         500,000.00     B

Note:  Priority of projects are relative to projects listed on this table.




                                                                 Page 148                                                2011 Budget Briefing
Department of Education                                                                 Table 19
                                                         CIP Requests to the New Administration

Priority                                             Project Title                                      FY12 $$$                   FY13 $$$             MOF
   1       Ewa Makai Middle ‐ New School (Additional Funds)                                       $   16,400,000.00          $                      ‐    B
    2      Laie Elementary ‐ Cafeteria Expansion (Add Funds)                                      $          62,000.00       $                      ‐    B
    3      Keaau Middle ‐ Classroom Building (Additional Funds)                                   $     2,500,000.00         $                      ‐    B
    4      Kualapuu Elementary ‐ Water Line                                                       $     2,750,000.00         $                      ‐    B
   5       McKinley High ‐ Building 857 Fire Safety Improvements and Renovations (Construction)   $     6,000,000.00         $                      ‐    B
   6       Kea'au Middle ‐ Administration/District Offices                                        $   15,000,000.00          $                      ‐    B
   7       Kapaa Elementary ‐ Library (Construction)                                              $     6,000,000.00         $                      ‐    B
   8       East Kapolei High  ‐ New School                                                        $        500,000.00        $     5,500,000.00          B
   9       Kapolei II Elementary (Mehana) ‐ New School (FY11 Design Approp., FY12 Const. Funds)   $   42,000,000.00          $                      ‐    B
   10      East Kapolei Middle (DHHL) ‐ New School                                                $     5,300,000.00         $   90,000,000.00           B
   11      Konawaena Middle ‐ Locker/Shower Building (Construction)                               $   10,800,000.00          $                      ‐    B
   12      DOE Data Center ‐ Back‐up Generator/Relocation for Data Ctr                            $     2,200,000.00         $                      ‐    B
   13      Farrington High ‐ Campus Modernization                                                 $     5,000,000.00         $   25,000,000.00           B
   14      Waipahu Elementary ‐ Classroom Building (Construction)                                 $     8,100,000.00         $                      ‐    B
   15      Waimea Middle ‐ Classroom Building (Construction)                                      $   10,500,000.00          $                      ‐    B
   16      Ka'u High and Pahala Elementary ‐ Classroom Building (New or Replacement)              $   12,000,000.00          $                      ‐    B
   17      Mountain View Elementary ‐ Classroom Building (New or Replacement)                     $   12,000,000.00          $                      ‐    B
   18      Kaunakakai Elementary ‐ Classroom Building (New or Replacement)                        $                      ‐   $   10,000,000.00           B
   19      Pahoa High & Intermediate ‐ Locker/Shower/Wrestling Rm                                 $     3,000,000.00         $                      ‐    B
   20      Schofield Area Elementary ‐ New School                                                 $     3,500,000.00         $   20,000,000.00           B
   21      Central Maui Middle ‐ New School                                                       $                      ‐   $        500,000.00         B

Note:  Priority of projects are relative to projects listed on this table.




                                                                             Page 149                                                      2011 Budget Briefing
Department of Education                             Table 20
                                   Organizational Chart
 Year of Change 
   FY11/FY12       Page Number                      Description of Change
NONE




                                         Page 150                           2011 Budget Briefing
Updated as of June 30, 2010




Office of Human Resources/Management Support Services Section ~ Department of Education ~ State of Hawaii ~ Revised June 30, 2010



                                                             RS 11-0309
The Honorable Linda Lingle
                  Governor, State of Hawaii
                         BOARD OF EDUCATION

                     Garrett M. Toguchi, Chairperson
                Lei Ahu Isa, Ph.D., First Vice Chairperson
                Karen Knudsen, Second Vice Chairperson

                Janis Akuna               Donna R. Ikeda
                Eileen Clarke, Ed.D.      Kim Coco Iwamoto, Esq.
                Mary J. Cochran, Esq.     Carol Mon Lee, Esq.
                Margaret A. Cox           John R. Penebacker
                Mark Dannog               Herbert S. Watanabe

         Kathryn S. Matayoshi, Interim Superintendent of Education
               Ronn K. Nozoe, Acting Deputy Superintendent

                Daniel S. Hamada, Assistant Superintendent
           Office of Curriculum, Instruction and Student Support

                James M. Brese, Assistant Superintendent
                       Office of Fiscal Services

               Diana Niles-Hansen, Assistant Superintendent
                        Office of Human Resources

                  David C. Wu, Assistant Superintendent
                 Office of Information Technology Services

               Randolph G. Moore, Assistant Superintendent
              Office of School Facilities and Support Services




711110
FOREWORD



The Department of Education (DOE) Plan of Organization documents the official
organization of state and complex area offices of the department, as approved by
the Superintendent of Education pursuant to Section 302A-1111, Hawaii Revised
Statutes. The Plan of Organization describes the organizational structure,
supervisory relationships among established positions, and the functions of each
state and complex area office in the department. This edition supersedes all
previous editions of the DOE Plan of Organization.

Any change to the organizational structure, supervisory relationships among
established positions, or functional responsibilities described herein must be
submitted for approval. Organizational change requests may be initiated at any
time by the designated head of the office affected. Offices contemplating an
organizational change should inform the Office of Human Resources (OHR),
Management Support Services Section.

The Plan of Organization shall be updated annually to rel1ect routine changes in
the titles, numbers, and salary ranges of established positions. OHR will
coordinate the annual update. OHR shall maintain the Plan of Organization and
distribute the annual update and any intervening approved organizational
changes to all holders of the Plan.




~
Kathryn S. Matayoshi
Interim Superintendent of Education

June 30, 2010
OVERVIEW OF DEPARTMENT OF EDUCATION
STATE OF HAWAII
                                                                                                                                                                                                        DEPARTMENT OF EDUCATION
                                                                                                                                                                                                          ORGANIZATION CHART

                                                                                                                                                                     Educational Officer Classification & Compensation
                                                                                                                                                                       Appeals Board                                      1/
                               Advisory Council for Adult & Community Education                                        BOARD OF EDUCATION
                                                                                                                                                                     Hawaii Teacher Standards Board                       1/
                                                                                                                                                                     Charter School Review Panel                          1/




                                                                           CHARTER SCHOOL                                OFFICE OF THE                       OFFICE OF THE STATE                        Library Svs & Constr
                                                                         ADMINISTRATIVE OFFICE           1/             SUPERINTENDENT                            LIBRARIAN             2/              Act State Adv Council




                                                                                 PUBLIC CHARTER
                                                                                    SCHOOLS              3/




                                                                                                     OFFICE OF SCHOOL                OFFICE OF CURRICULUM,
                                                                                                                                                                           OFFICE OF HUMAN                       OFFICE OF INFORMATION
                                                 OFFICE OF FISCAL SERVICES                         FACILITIES AND SUPPORT            INSTRUCTION & STUDENT
                                                                                                                                                                             RESOURCES                           TECHNOLOGY SERVICES
                                                                                                           SERVICES                         SUPPORT




    HONOLULU DISTRICT OFFICE                  CENTRAL DISTRICT OFFICE                   LEEWARD DISTRICT OFFICE       WINDWARD DISTRICT OFFICE    HAWAII DISTRICT OFFICE         MAUI DISTRICT OFFICE               KAUAI DISTRICT OFFICE


       FARRINGTON / KAISER /                        AIEA / MOANALUA /                                                                             HILO / LAUPAHOEHOE /                                                    KAPAA / KAUAI /
                                                                                            CAMPBELL / KAPOLEI            CASTLE / KAHUKU                                        BALDWIN / KEKAULIKE /
         KALANI COMPLEX                            RADFORD COMPLEX                                               4/                                WAIAKEA COMPLEX                                                       WAIMEA COMPLEX
                             4/                                                               COMPLEX AREA                 COMPLEX AREA      4/                                   MAUI COMPLEX AREA 4/
              AREA                                         AREA                  4/                                                                        AREA        4/                                                     AREA          4/




        KAIMUKI / MCKINLEY /                       LEILEHUA / MILILANI /                                                                                                             HANA / LAHAINA /
                                                                                            WAIANAE / NANAKULI            KAILUA / KALAHEO        KA’U / KEA’AU / PAHOA
        ROOSEVELT COMPLEX                           WAIALUA COMPLEX                                                                                                                  LANAI / MOLOKAI
                             4/                                                               COMPLEX AREA       4/        COMPLEX AREA      4/      COMPLEX AREA       4/
              AREA                                        AREA                    4/                                                                                                 COMPLEX AREA           4/



                                                                                                                                                      HONOKA’A /
1/ Attached to DOE for administrative purposes only in accordance with law.                 PEARL CITY / WAIPAHU                                  KEALAKEHE / KOHALA /
2/ The public library system organization is published separately by the State Librarian.     COMPLEX AREA       4/                               KONAWAENA COMPLEX
3/ See page A-6
                                                                                                                                                         AREA          4/
4/ Each complex area is headed by a Complex Area Superintendent appointed by the                                                                                                                                  A-1               6/30/10
   Superintendent of Education and approved by the Board of Education.
COMPLEX AREA SCHOOLS



HONOLULU DISTRICT                                                                                                     CENTRAL DISTRICT
Farrington/Kaiser/Kalani Complex Area   Kaimuki/McKinley/Roosevelt Complex                                            Aiea/Moanalua Radford Complex Area   Leilehua/Mililani/Waialua Complex Area
                                        Area

Farrington Complex                      Kaimuki Complex                                                               Aiea Complex                         Leilehua Complex

Farrington High                         Kaimuki High                         Community School for Adults              Aiea High                            Leilehua High
Dole Middle                             Jarrett Middle                                                                Aiea Intermediate                    Wahiawa Middle
Kalakaua Middle                         Washington Middle                    Kaimuki Community School                 Aiea Elementary                      Wheeler Middle
Fern Elementary                         Ala Wai Elementary                                                            Pearl Ridge Elementary               Hale Kula Elementary
Kaewai Elementary                       Aliiolani Elementary                 Community School for Adults              Scott Elementary                     Helemano Elementary
Kalihi Elementary                       Hokulani Elementary                                                           Waimalu Elementary                   Iliahi Elementary
Kalihi-kai Elementary                   Jefferson Elementary                 McKinley Community School                Webling Elementary                   Kaala Elementary
Kalihi-uka Elementary                   Kuhio Elementary                                                                                                   Solomon Elementary
Kalihi-waena Elementary                 Lunalilo Elementary                  Special Schools                          Moanalua Complex                     Wahiawa Elementary
Kapalama Elementary                     Palolo Elementary                                                                                                  Wheeler Elementary
Linapuni Elementary                                                          Hawaii School for the Deaf & the Blind   Moanalua High
Puuhale Elementary                      McKinley Complex                     Jefferson Orthopedic Unit                Moanalua Middle                      Mililani Complex
                                                                                                                      Moanalua Elementary
Kaiser Complex                          McKinley High                                                                 Red Hill Elementary                  Mililani High
                                        Central Middle                                                                Salt Lake Elementary                 Mililani Middle
Kaiser High                             Kaahumanu Elementary                                                          Shafter Elementary                   Kipapa Elementary
Niu Valley Middle                       Kaiulani Elementary                                                                                                Mililani ‘Ike Elementary
Aina Haina Elementary                   Kauluwela Elementary                                                          Radford Complex                      Mililani Mauka Elementary
Hahaione Elementary                     Lanakila Elementary                                                                                                Mililani Uka Elementary
Kamiloiki Elementary                    Likelike Elementary                                                           Radford High                         Mililani Waena Elementary
Koko Head Elementary                    Royal Elementary                                                              Aliamanu Middle
                                                                                                                      Aliamanu Elementary                  Waialua Complex
Kalani Complex                          Roosevelt Complex                                                             Hickam Elementary
                                                                                                                      Makalapa Elementary                  Waialua High & Intermediate
Kalani High                             Roosevelt High                                                                Mokulele Elementary                  Haleiwa Elementary
Kaimuki Middle                          Kawananakoa Middle                                                            Nimitz Elementary                    Waialua Elementary
Kahala Elementary                       Stevenson Middle                                                              Pearl Harbor Elementary
Liholiho Elementary                     Lincoln Elementary                                                            Pearl Harbor Kai Elementary
Liliuokalani Elementary                 Maemae Elementary                                                                                                  Community School for Adults
Waikiki Elementary                      Manoa Elementary
Wilson Elementary                       Noelani Elementary                                                            Community School for Adults          Wahiawa Community School
                                        Nuuanu Elementary
Community School for Adults             Pauoa Elementary                                                              Moanalua/Aiea Community School
                                        Anuenue Elementary & High
Farrington Community School


                                                                                                                                                                  A-2               6/30/10
COMPLEX AREA SCHOOLS



LEEWARD DISTRICT                                                                                  WINDWARD DISTRICT

Campbell/Kapolei Complex Area   Waianae/Nanakuli Complex Area   Pearl City/Waipahu Complex Area   Castle/Kahuku Complex Area   Kailua/Kalaheo Complex Area

Campbell Complex                Waianae Complex                 Pearl City Complex                Castle Complex               Kailua Complex

Campbell High                   Waianae High                    Pearl City High                   Castle High                  Kailua High
Ilima Intermediate              Waianae Intermediate            Highlands Intermediate            King Intermediate            Enchanted Lake Elementary
Ewa Elementary                  Leihoku Elementary              Kanoelani Elementary              Ahuimanu Elementary          Kaelepulu Elementary
Ewa Beach Elementary            Maili Elementary                Lehua Elementary                  Heeia Elementary             Keolu Elementary
Holomua Elementary              Makaha Elementary               Manana Elementary                 Kahaluu Elementary           Maunawili Elementary
Iroquois Point Elementary       Waianae Elementary              Momilani Elementary               Kaneohe Elementary           Pope Elementary
Kaimiloa Elementary                                             Palisades Elementary              Kapunahala Elementary        Waimanalo Elem & Intermediate
Keoneula Elementary             Nanakuli Complex                Pearl City Elementary             Parker Elementary            Olomana School
Pohakea Elementary                                              Pearl City Highlands Elementary   Puohala Elementary
                                Nanakuli High & Intermediate    Waiau Elementary                  Waiahole Elementary          Kalaheo Complex
Kapolei Complex                 Nanaikapono Elementary
                                Nanakuli Elementary             Waipahu Complex                   Kahuku Complex               Kalaheo High
Kapolei High                                                                                                                   Kailua Intermediate
Kapolei Middle                                                  Waipahu High                      Kahuku High & Intermediate   Aikahi Elementary
Barbers Point Elementary                                        Waipahu Intermediate              Hauula Elementary            Kailua Elementary
Kapolei Elementary                                              August Ahrens Elementary          Kaaawa Elementary            Kainalu Elementary
Makakilo Elementary                                             Honowai Elementary                Kahuku Elementary            Mokapu Elementary
Mauka Lani Elementary                                           Kaleiopuu Elementary              Laie Elementary
                                                                Waikele Elementary                Sunset Beach Elementary
                                                                Waipahu Elementary                                             Community School for Adults

                                                                                                                               Windward School for Adults
                                                                Community School for Adults

                                                                Waipahu Community School




                                                                                                                                        A-3                 6/30/10
COMPLEX AREA SCHOOLS



HAWAII DISTRICT                                                                                              MAUI DISTRICT

Hilo/Laupahoehoe/Waiakea Complex   Ka’u/Keaau/Pahoa Complex Area       Honokaa/KealakeheKohala/Konawaena     Baldwin/Kekaulike/Maui Complex Area   Hana/Lahaina/Lanai/Molokai Complex
Area                                                                   Complex Area                                                                Area

Hilo Complex                       Ka’u Complex                        Honokaa Complex                       Baldwin Complex                       Hana Complex

Hilo High                          Ka’u High & Pahala Elementary       Honokaa High & Intermediate           Baldwin High                          Hana High & Elementary
Hilo Intermediate                  Naalehu Elementary & Intermediate   Paauilo Elementary & Intermediate     Iao Intermediate
Kalanianaole Elem & Intermediate                                       Honokaa Elementary                    Waihee Elementary                     Lahaina Complex
DeSilva Elementary                 Keaau Complex                       Waimea Elementary                     Wailuku Elementary
Haaheo Elementary                                                                                                                                  Lahainaluna High
Hilo Union Elementary              Keaau High                          Kealakehe Complex                     Kekaulike Complex                     Lahaina Intermediate
Kapiolani Elementary               Keaau Middle                                                                                                    Kamehameha III Elementary
Kaumana Elementary                 Keaau Elementary                    Kealakehe High                        Kekaulike High                        Nahienaena Elementary
Keaukaha Elementary                Mountain View Elementary            Kealakehe Intermediate                Kalama Intermediate
                                                                       Holualoa Elementary                   Haiku Elementary                      Lanai Complex
Laupahoehoe Complex                Pahoa Complex                       Kahakai Elementary                    Kula Elementary
                                                                       Kealakehe Elementary                  Makawao Elementary                    Lanai High & Elementary
Laupahoehoe High & Elementary      Pahoa High & Intermediate           Waikoloa Elementary & Middle          Paia Elementary
                                   Keonepoko Elementary                                                      Pukalani Elementary                   Molokai Complex
Waiakea Complex                    Pahoa Elementary                    Kohala Complex
                                                                                                             Maui Complex                          Molokai High
Waiakea High                                                           Kohala High                                                                 Molokai Middle
Waiakea Intermediate                                                   Kohala Middle                         Maui High                             Kaunakakai Elementary
Waiakea Elementary                                                     Kohala Elementary                     Lokelani Intermediate                 Kilohana Elementary
Waiakeawaena Elementary                                                                                      Maui Waena Intermediate               Maunaloa Elementary
                                                                       Konawaena Complex                     Kahului Elementary
                                                                                                             Kamalii Elementary
Community School for Adults                                            Konawaena High                        Kihei Elementary
                                                                       Konawaena Middle                      Lihikai Elementary
Hilo Community School                                                  Konawaena Elementary                  Pomaikai Elementary
                                                                       Honaunau Elementary
                                                                       Hookena Elementary
                                                                       Ke Kula O Ehunuikaimalino High & El   Community School for Adults

                                                                                                             Maui Community School
                                                                       Community School for Adults

                                                                       Kona Community School




                                                                                                                                                            A-4              6/30/10
COMPLEX AREA SCHOOLS



KAUAI DISTRICT

Kapaa/Kauai/Waimea Complex Area

Kapaa Complex

Kapaa High
Kapaa Middle
Hanalei Elementary
Kapaa Elementary
Kilauea Elementary

Kauai Complex

Kauai High
Kamakahelei Middle
Kaumualii Elementary
Koloa Elementary
Wilcox Elementary

Waimea Complex

Waimea High
Waimea Canyon Middle
Eleele Elementary
Kalaheo Elementary
Kekaha Elementary
Niihau High & Elementary


Community School for Adults

Kauai Community School




                                                         A-5   6/30/10
PUBLIC CHARTER SCHOOLS
                                                            Act 298, Session Laws of Hawaii 2006


“SECTION 1. The charter school system is an important complement to the department of education’s school system, one that empowers local school
boards and their charter schools by allowing more autonomy and flexibility and placing greater responsibility at the school level. The charter school system
is made up of the board of education, the charter school administrative office, the charter school review panel, and individual charter schools with differing
visions, missions, and approaches to meeting the various needs and desires of Hawaii’s communities.

The purposes of the charter school system include: 1) providing administrators, parents, students, and teachers with expanded alternative public school
choices in the types of schools, educational programs, opportunities, and settings, including services for underserved populations, geographical areas, and
communities; and 2) encouraging and, when resources and support are provided, serving as a research venue for the development, use, and dissemination
of alternative and innovate approaches to educational governance, financing, administration, curricula, technology, and teaching strategies.

The purpose of the Act is to improve Hawaii’s charter school system by adopting many of the priority proposals developed by the task force on charter
school governance established by Act 87, SLH 2005.”


Charter School Administrative Office

Pursuant to Section 302B-8, Hawaii Revised Statutes, there is established a Charter School Administrative Office headed by an Executive Director
appointed by the Charter School Review Panel based upon the recommendations of an organization of charter schools operating within the State or from a
list of nominees submitted by the charter schools. The Charter School Administrative Office is attached to the Department of Education for administrative
purposes only. The Executive Director is responsible for the internal organization, operation, and management of the charter school system, including:
1) preparing and executing the budget for the charter schools, including submission of the budget request to the Board, Governor, and the Legislature;
2) allocating annual appropriations to the charter schools and distributing federal funds to charter schools; 3) complying with applicable state laws related to
the administration of the charter schools; 4) preparing contracts between the charter schools and the Department of Education for centralized services to be
provided by the department; 5) preparing contracts between the charter schools and other state agencies for financial or personnel services to be provided
by the agencies to the charter schools; 6) providing independent analysis and recommendations on charter school issues; 7) representing charter schools
and the charter school system in communications with the Board, the Governor, and the Legislature; 8) providing advocacy, assistance, and support for the
development, growth, progress, and success of charter schools and the charter school system; 9) providing guidance and assistance to charter applicants



                                                                                                                                           A-6          6/30/10
and charter schools to enhance the completeness and accuracy of information for panel review; 10) assisting charter applicants and charter schools in
coordinating their interactions with the Panel as needed; 11) assisting the Panel to coordinate with charter schools in panel investigations and evaluations of
charter schools; 12) serving as the conduit to disseminate communications from the Panel, Board, and the Department to all charter schools; 13)
determining the charter school system needs and communicating those needs to the Panel, the Board, and the Department; 14) establishing a dispute
resolution and mediation process; and 15) upon request by one or more charter schools, assisting in the negotiation of a collective bargaining agreement
with the exclusive representative of its employees.


Public Charter Schools

Honolulu District                                Hawaii District                                              Maui District
Education Laboratory (K-12)                      Connections (K-12)                                           Kihei (K-12)
Halau Ku Mana (6-12)                             Hawaii Academy of Arts and Science (K-12)                    Kualapu’u Elementary (K-6)
Halau Lokahi (K-12)                              Innovations (1-8)
Myron B. Thompson Academy (K-12)                 Ka ‘Umeke Ka’eo (K-9)                                        Kauai District
Voyager (K-8)                                    Ke Ana La’ahana (7-12)                                       Kanuikapono (K-10)
Waialae Elementary (K-5)                         Ke Kula ‘o Nawahiokalani’opu’u Iki Laboratory (K-8)          Kawaikini (K-11)
                                                 Kona Pacific (K-6)                                           Ke Kula Ni’ihau O Kekaha Learning Center (K-12)
Leeward District                                 Kanu ‘o ka ‘Aina (K-12)                                      Kula Aupuni Ni’ihau A Kahelelani Aloha (K-12)
Hawaii Technology Academy (K-12)                 Kua ‘o Ka La (K-3; 6-12)
Ka Waihona ‘o ka Na’auao (K-8)                   Volcano School of Arts and Sciences (K-8)
Kamaile Academy (K-9)                            Waters of Life (K-6)
                                                 Waimea Middle (6-8)
Windward District                                West Hawaii Explorations Academy (6-12)
Hakipu’u Learning Center (4-12)
Ke Kula ‘o Samuel M. Kamakau Laboratory (K-12)
Lanikai Elementary (K-6)




                                                                                                                                           A-7         6/30/10
DEPARTMENT OF EDUCATION

                           FUNCTIONAL STATEMENT


The Department of Education (DOE) is a department in the executive branch of
the state government. The department manages the statewide systems of public
schools and public libraries. The legislative appropriations of state general funds
and special funds, and federal funds and grants received to support public school
and public library programs, are administered by the DOE on a statewide basis
and subject to executive branch expenditure restrictions.

As provided by law, the DOE is subject to executive branch policies and controls
relating to state education functional planning, financial administration,
administrative rulemaking, collective bargaining negotiations, and acquisition and
disposition of school land.

The DOE is also dependent on other executive branch agencies which function
as state central service agencies for certain systems support services, such as
legal services (Department of the Attorney General), main frame computers
(Department of Accounting and General Services), and school employee housing
(Department of Human Services – Hawaii Public Housing Authority).

The head of the DOE is the Board of Education (BOE). The BOE is a policy-
making board consisting of 13 members elected on a non-partisan basis, and a
public high school student who is selected by the Hawaii State Student Council
and serves as a non-voting member. The BOE formulates statewide educational
policy, adopts student performance standards and assessment models, monitors
school success, and appoints the Superintendent of Education as the chief
executive officer of the public school system, and the State Librarian as the chief
executive officer of the public library system.

                              Public School System

The Superintendent of Education is assisted by five division-level staff offices,
each headed by an assistant superintendent, in providing system-wide
administrative, professional and technical support services and programs to the
public schools:

   •   The Office of School Facilities and Support Services provides technical
       staff oversight of business, construction and maintenance of facilities, food
       services, and transportation support for the public school system.

   •   The Office of Curriculum, Instruction and Student Support provides
       system-wide leadership in standards-based curriculum and instruction,
       educational accountability, and student support systems.

   •   The Office of Fiscal Services provides system-wide accounting, budget,
       and procurement services and programs.

   •   The Office of Human Resources provides system-wide employment and
       personnel management, assistance, and development services and
       programs.

   •   The Office of Information Technology Services provides system-wide
       information and telecommunication systems, facilities, and support
       services.




                                        A-8                                 6/30/10
Public schools are under the field supervision of 15 regional administrative units
called Complex Areas, each supervised by a complex area superintendent. A
Complex Area consists of one or more school complexes, each school complex
consisting of a high school and its feeder middle and elementary schools.
Complex Learning Support Centers are established to provide shared
instructional and student support services to each school. The schools of each
complex collaboratively manage their Complex Learning Support Center.

The scope of educational programs and services of the public schools regularly
encompasses grades kindergarten through 12 (K-12), and such pre-school
programs and community/adult education programs as may be established by
law. In addition to regular programs of instruction and support services, public
schools offer special programs and services for qualified students with disability,
gifted and talented students, students with limited English language proficiency,
and students who are economically and culturally disadvantaged, school-
alienated, or instructionally confined.

Other public education service programs administered by the public school
system include regulation of private trade, vocational, and technical schools;
public summer schools; Western Association for Schools and Colleges (WASC)
accreditation program for public secondary and adult education schools, and
private secondary schools in Hawaii; the A+ Program for after-school care of
“latchkey” children; and various programs and services funded by the federal
government, trusts, and private agencies that may benefit eligible persons in the
general public as well as public school students.

                              Public Library System

The public library system is administered by the State Librarian. The public
library system operated the Hawaii State Library, the Library for the Blind and
Physically Handicapped, public libraries, community public and school libraries,
and bookmobile services.

Special library services, including interlibrary loans, federal documents
depository and inter-agency (municipal, state, and federal) exchange, are
provided by the Hawaii State Library. The Library for the Blind and Physically
Handicapped provides transcribing services to the blind; produces, maintains,
and makes available specialized collections and services to the blind and
physically handicapped; and assists state-supported residential, medical,
educational, and correctional institutions in their library development and
operations. Materials selection, ordering, cataloging, preparation, and binder
services for all libraries are centrally administered.

               Agencies Attached to the Department of Education

The following agencies are attached to the Department of Education for
administrative purposes only:

   •   Classification/Compensation Appeals Board (as established by Section
       302A-620, Hawaii Revised Statutes): Serves as an appellate body on
       matters of educational officer classification and compensation; adopts
       policies and standards relative to classification and compensation for
       education officers; and adopts rules pursuant to Chapter 91, HRS,
       Administrative Procedure, for the conduct of appeal hearings.

   •   Hawaii Teacher Standards Board (as established by Section 302A-801 to
       803, HRS): Establishes standards for the issuance of public school
       teacher licenses and credentials; adopts policies and standards, including




                                        A-9                                 6/30/10
fees, for teacher licensing and credentialing; and adopts rules pursuant to
    Chapter 91, HRS.

    −    Establishes standards that govern teacher licensing and re-licensing
         in the State of Hawaii.

    −    Sets and administers its own budget.

    −    Adopts, amends, repeals or suspends the policies, standards, or
         rules of the board in accordance with Chapter 91, HRS.

    −    Conducts a cyclical review of standards and makes revisions for
         improvement.

    −    Establishes licensing and related fees.

    −    Establishes penalties.

    −    Submits an annual report to the governor and legislature on the
         board’s operations.

    −    Receives grants or donations from private foundations, and state and
         federal funds.

    −    Issues, renews, revokes, suspends, and reinstates licenses.

    −    Reviews reports from the department of individuals hired on an
         emergency basis.

    −    Applies licensing standards on a case-by-case basis and conducts
         licensing evaluations.

    −    Prepares and disseminates teacher licensing information to schools
         and operational personnel.

    −    Approves teacher preparation programs.

    −    Administers reciprocity agreements with other states relative to
         licensing.

    −    Conducts research and development on teacher licensure systems,
         beginning teacher programs, the assessment of teaching skills, and
         other related topics.

    −    Participates in efforts relating to teacher quality issues, conducts
         professional development related to the board’s standards, and
         promotes high teacher standards and accomplished teaching.

    −    Adopts applicable rules and procedures.

•   Charter School Review Panel (as established by Section 302B-3, HRS):
    Appoints and evaluates the executive director and approves staff and
    salary levels for the Charter School Administrative Office; reviews,
    approves, or denies charter applications for new charter schools; reviews,
    approves, or denies significant amendments to detailed implementation
    plans to maximize the charter school’s financial and academic success,
    long-term organizational viability, and accountability; adopts reporting
    requirements for charter schools; reviews annual self-evaluation reports




                                    A-10                                  6/30/10
from charter schools and takes appropriate action; periodically adopt
    improvements in the panel’s monitoring and oversight of charter schools;
    and periodically adopt improvements in the Charter School Administrative
    Office’s support of charter schools and management of the charter school
    system.

•   Charter School Administrative Office (as established by Section 302B-8,
    HRS): Serves as the conduit to disseminate communications from the
    Charter School Review Panel, BOE, and DOE to all charter schools;
    provides advocacy, assistance, and support for the development, growth,
    progress, and success of charter schools and the charter school system;
    provides independent analyses and recommendations on charter school
    issues; and is responsible for the internal organization, operation, and
    management of the charter school system, including the preparation and
    execution of budgets, allocating annual appropriations and distributing
    federal funds, complying with applicable state laws related to the
    administration of charter schools, and preparing contracts between charter
    schools and the DOE and other state departments.




                                   A-11                               6/30/10
BOARD OF EDUCATION
STATE OF HAWAII
                                                                                                                 DEPARTMENT OF EDUCATION
                                                                                                                   BOARD OF EDUCATION
                                                                                                                    ORGANIZATION CHART




                                                     BOARD OF EDUCATION




                                     COMMITTEE ON                           COMMITTEE ON
COMMITTEE ON      COMMITTEE ON                                                                    COMMITTEE ON            COMMITTEE ON
                                      CURRICULUM,       COMMITTEE ON      LEGISLATION, PUBLIC
ADMINISTRATIVE   BUDGET & FISCAL                                                                   COLLECTIVE              COLLECTIVE
                                     INSTRUCTION &    EXTERNAL AFFAIRS    CHARTER SCHOOLS &
  SERVICES       ACCOUNTABILITY                                                                 BARGAINING, UNIT 05     BARGAINING, UNIT 06
                                   STUDENT SUPPORT                         PUBLIC LIBRARIES




                                                                                                                           B-1                6/30/10
STATE OF HAWAII
                                                                                                                                                                                                                  DEPARTMENT OF EDUCATION
                                                                                                                                                                                                                     BOARD OF EDUCATION
                                                                                                                                                                                                                 POSITION ORGANIZATION CHART
                                                                                                                           BOARD OF EDUCATION

                                                                                                                                   Chairperson
                                                                                                                                     100283

                                                                                                                            First Vice Chairperson
                                                                                                                                     100284

                                                                                                                           Second Vice Chairperson
                                                                                                                                   100288                        Private Secretary I
                                                                                                                                                                   1779 SR-20
                                                                                                                                    Members
                                                                                                                          100280     100281      100282
                                                                                                                          100285     100286      100287
                                                                                                                          101217     101218      101219
                                                                                                                          101220                 102118         3/




                                                                                                                                                                                       Superintendent of Education      State Librarian
                                                                                                                                                                                                 60012                      60002

                                                       BOE Executive Director
                                                                                                Secretary IV
                                                          74729 EO-10
                                                                                               15659 SR-18


                                         DP User Support
                                                                                                 Clerk Steno III
                                           Technician II
                                                                                                 38730 SR-11
                                          59077 SR-15


                                                                                                    Clerk II
                                                                                                  13794 SR-6




                                   BOE Analyst I                                                        BOE Analyst I
                                                               BOE Public Affairs Officer                                                BOE Budget Analyst I
                                  (Senior Analyst)                                                     (Policy Analyst)
                                                                    79315 EO-6            2/                                                79189 EO-6               2/
                                   60009 EO-6                                                           79194 EO-6             2/


                                  12-Month State Office
                                       Teacher
                                        72808           1/


                                      Secretary II
                                     17560 SR-14


1/ Temporary position, General funds
2/ Temporary position, Federal funds
3/ Non-voting student member selected by Hawaii State Student Council per Art. X, Sec. 2, as amended 1988, Hawaii Constitution
                                                                                                                                                                                                                                   B-2    6/30/10
BOARD OF EDUCATION

                           FUNCTIONAL STATEMENT


The Board of Education (Board) heads the Department of Education, as provided
by Section 26-12, Hawaii Revised Statutes (HRS). The Board appoints the
Superintendent of Education (Article X, Section 3 of the Constitution of the State
of Hawaii, and Section 302A-1101, HRS).

The Board formulates statewide educational policy, adopts student performance
standards and assessment models, monitors school success, and appoints the
Superintendent of Education as the chief executive officer of the public school
system, as provided by law (Section 302A-1101, HRS).

The Board formulates policy and appoints the State Librarian as the chief
executive officer of the public library system, as provided by law (Section 312-2,
HRS).

The Board, through the State Librarian, has direct control of the public library
system, excluding school libraries (Section 302A-1120, HRS).

The Board appoints the members of the Charter School Review Panel, which
serves as the charter authorizer for charter schools, with the power and duty to
issue charters, oversee and monitor charter schools, hold charter schools
accountable for their performance, and revoke charters (Section 302A-1102,
HRS).

BOARD OF EDUCATION

The Board:

    •   Appoints and delegates administrative authority to its appointed
        executive officers, the Superintendent of Education and the State
        Librarian, to administer programs of public education and public library
        services, as provided by law and in accordance with Board-adopted
        policies, rules, regulations, and program and financial plans; and
        annually reviews and evaluates the performance of the Superintendent of
        Education and the State Librarian in meeting the Board’s expectations
        and priority directions.

    •   Adopts rules of general or particular applicability and future effect that
        implement, interpret, or prescribe law or policy, or the procedure or
        practice requirements of the Department of Education that affect the
        private rights of, or procedures available to, the public.

    •   Conducts public meetings on the first and third Thursdays of each month,
        except in July and December, and special meetings as required, for the
        purpose of transacting official board business; receives requests and
        petitions from the public; receives reports from the Superintendent of
        Education, the State Librarian, Board committees, advisory councils,
        commissions, student representatives, and other statutorily-established
        organizations; and expresses Board concerns.

    •   Provides policy direction and review for the development of the
        Department of Education’s proposed sections of state strategic plans,
        such as the Hawaii State Plan and the State Education Functional Plan




                                        B-3                                   6/30/10
as provided by Chapter 226, HRS; provides leadership and direction in
        the development of Department of Education-initiated strategic plans.

    •   Establishes goals and priorities for the development and implementation
        of the Department of Education’s program and financial plans as
        provided by Chapter 37, HRS; approves the Department of Education’s
        budget requests.

    •   Adopts a staffing and personnel management plan for the Department of
        Education as provided by Chapters 26, 76, and 78, HRS, and other
        applicable provisions of the HRS.

    •   Adopts policies relating to the statewide systems of public schools and
        public libraries.

    •   Adopts student performance standards and assessment models, and
        monitors school success.

    •   On its own motion or pursuant to a petition, conducts hearings and other
        proceedings for the purpose of obtaining information necessary or helpful
        in the determination of its policies, the carrying out of its duties, and the
        formulation of its rules.

    •   On petition of an interested person, issues a declaratory order as to the
        applicability of any statutory provision or of any rule or order of the
        Board.

    •   Conducts a public affairs program to inform the public about major
        accomplishments and to communicate the Board’s position on public
        policy issues pertaining to the public school and public library systems.

    •   Designates not more than two Board members to serve on the State’s
        team for negotiating collective bargaining agreements with agents of
        Bargaining Units 05 of the Hawaii State Teachers Association and 06 of
        the Hawaii Government Employees Association, in accordance with
        Chapter 89, HRS, Collective Bargaining in Public Employment.

    •   Accepts gifts and donations to the public school and public library
        systems.

    •   Maintains liaison with the Governor and the Legislature on matters
        affecting governance of public education.

    •   Maintains liaison with other state-level and national-level agencies that
        share a common interest in furthering public education in America.


BOARD STANDING COMMITTEES

The functions of Board standing committees are to formulate policies and
standards, and to monitor the Department of Education’s and the Hawaii State
Public Library System’s implementation of Board-adopted goals, objectives, and
standards; to assess the efficiency and effectiveness of public school and public
library systems; to review the operating budgets; to recommend, review, and
monitor proposed legislation; and to recommend issues to the Board for inclusion
in collective bargaining negotiation packages pertaining to their respective
subject areas. The Board standing committees are:




                                        B-4                                   6/30/10
Committee on Administrative Services
          (School Facilities; Human Resources; Personnel Appointments;
          Safety; Food Services; Student Transportation)

      Committee on Budget & Fiscal Accountability
          (Budget; Audit; Program Evaluation)

      Committee on Curriculum, Instruction & Student Support
          (Early Childhood to Adult Education; Special Education & Related
          Services; Hawaiian Education; Academic Assessment &
          Accountability; Guidance & Counseling; Student Discipline; Student
          Activities & Support Services)

      Committee on External Affairs

      Committee on Legislation, Public Charter Schools & Public Libraries

      Committee on Collective Bargaining, Unit 05

      Committee on Collective Bargaining, Unit 06


ADVISORY COUNCILS, COMMISSIONS, AND OTHER ORGANIZATIONS

State Adult and Community Education Advisory Council

As provided by Section 302A-434, HRS, the Board shall appoint an advisory
council for adult and community education to advise the Board on matters
concerning adult and community education. The council shall consist of fifteen
(15) or more representatives of industry, labor, civic organizations, and
education.

Charter School Review Panel

As provided by Section 302A-1101, HRS, the Board shall appoint the Charter
School Review Panel, which shall serve as the charter authorizer for charter
schools, with the power and duty to issue charters, oversee and monitor charter
schools, hold charter schools accountable for their performance, and revoke
charters.

Committee on Weights

As provided by Section 302A-1303.5, HRS, the Board shall determine the
composition of the Committee on Weights based on recommendations from the
Superintendent of Education and the Dean of the University of Hawaii at Manoa
College of Education and shall include principals, teachers, and other members
with the appropriate professional skills, experiences, and qualifications needed to
facilitate the work of the committee. The Committee on Weights is responsible for
developing a Weighted Student Formula for the allocation of moneys to public
schools that takes into account the educational needs of each student.




                                       B-5                                 6/30/10
OFFICE OF THE SUPERINTENDENT
  • Organization Chart
  • Position Organization Chart
  • Functional Statement
STATE OF HAWAII
                                                                                                                                           DEPARTMENT OF EDUCATION
                                                                                                                                         OFFICE OF THE SUPERINTENDENT
                                                                                                                                              ORGANIZATION CHART
                                                                               SUPERINTENDENT




                                                  DEPUTY SUPERINTENDENT                           EXECUTIVE ASSISTANT




                                                                                                    BUSINESS-EDUCATION
                                                                                                       PARTNERSHIP




                                                      FEDERAL COMPLIANCE AND
                        CIVIL RIGHTS COMPLIANCE                                                                         SYSTEMS ACCOUNTABILITY
COMMUNICATIONS OFFICE                                  PROJECT MANAGEMENT                 INTERNAL AUDITOR                                           MILITARY LIAISON OFFICE
                                 OFFICE                                                                                         OFFICE
                                                              OFFICE



                                                         OFFICE OF HAWAII CHILD                                            SYSTEM PLANNING AND
                                                          NUTRITION PROGRAMS                                               IMPROVEMENT SECTION




                                                         HEALTH CARE CONTRACTS                                            SYSTEM EVALUATION AND
                                                            & REIMBURSEMENT                                                 REPORTING SECTION




                                                                                                                           STUDENT ASSESSMENT
                                                          FEDERAL COMPLIANCE
                                                                                                                                SECTION




                                                         COMMUNITY CHILDREN’S
                                                            COUNCIL OFFICE




                                                           SPECIAL PROJECTS
                                                               SECTION
                                                                                                                                                       C-1             6/30/10
STATE OF HAWAII
                                                                                                                                                                                                    DEPARTMENT OF EDUCATION
                                                                                                                                                                                                  OFFICE OF THE SUPERINTENDENT
                                                                                                                                                                                                   POSITION ORGANIZATION CHART

                                                                                                                   OFFICE OF THE                           HAWAII TEACHER
                                                                                  2/                             SUPERINTENDENT                           STANDARDS BOARD              2/
                                                      CHARTER SCHOOL                                          Superintendent of Education
                                                                                                                                                          HTSB Executive Officer
                                                    ADMINISTRATIVE OFFICE                                               60012
                                                                                                                                                            73645      EO-7            1/

                                                                                                                                   Executive Secretary
                                                                                                  Clerk-Typist II
                                                                                                                                  to the Superintendent
                                                                                                  48819 SR-8                                                      Secretary I                Clerk Typist II
                                                                                                                                   100034       SR-26
                                                                                                                                                                52758 SR-12                 59091     SR-8


                                                                                                                                                             Personnel Specialist II
                                                                                                                                                                69987 EO-7


                                                                                                                                                              Educational Spec II
                                                                                                                                                                74675     EO-7
                   DEPUTY                         Administrative Assistant to                                           Special Projects Director
               SUPERINTENDENT                       the Superintendent                                                      79216, 79221
                                                                                       Private Secretary II
                    60000                            60001       EO-10
                                                                                       100042       SR-22                                                          Clerk V
                                                                                                                                                                57914 SR-12

                   Private Secretary II                                                Operations Assistant
                    100026 SR-22                                                         3845    SR-12                                                              Clerk IV
                                                                                                                                                                 57915, 57916
                                                                                                                                                                 57917, 57918
                                                                                                                                                                         SR-10
                                                     Business-Education
                                                   Partnership Specialist II
                                                        60064 EO-7                                                                                             Data Processing
                                                                                                                                                              Systems Analyst IV
                                                                                                                                                                57913 SR-22

                                                          12-Month State Office
                                                               Teacher
                                                                60114



                                                             Clerk Typist II
                                                            17577, 801182         1/
                                                                      SR-8




1/ Temporary position, Federal funds
2/ Attached to the DOE for administrative purposes only                                                                                                                                                              C-2         6/30/10
STATE OF HAWAII
                                                                                                                                                                                                            DEPARTMENT OF EDUCATION
                                                                                                                                                                                                          OFFICE OF THE SUPERINTENDENT
                                                                                                                                Deputy Superintendent                                                      POSITION ORGANIZATION CHART
                                                                                                                                       60000




 COMMUNICATIONS                             CIVIL RIGHTS
                                                                                                                                                   FEDERAL COMPLIANCE &
     OFFICE                           COMPLIANCE OFFICE
                                                                                                                                                   PROJECT MGMT OFFICE
                                      Civil Rights Compliance                                                             Educational Spec II                                            Secretary IV
Communications Director                                                     Secretary IV                                                            Prog Suppt & Dev Director
                                               Director                                                                     79222 EO-7        2/                                         NP SR-18
  67673      EO-10                                                        21803    SR-18                                                                 74635 EO-10
                                       69700           EO-10


        Secretary II                          Civil Rights
                                                                                           OFFICE OF HAWAII CHILD                  HEALTH CARE CONTRACTS &                                                COMMUNITY CHILDREN’S                SPECIAL PROJECTS
      21844    SR-14                       Compliance Spec III                                                                                                           FEDERAL COMPLIANCE
                                                                                            NUTRITION PROGRAMS                         REIMBURSEMENT                                                         COUNCIL OFFICE                         SECTION
                                             69701 EO-8
                                                                                                                                    Health Care Contracts &                                                                                    Felix DOE Contract
                                                                                           Child Nutrition Prog Director                                                  Educational Specialist III        Program Specialist V
                                                                                                                         3/         Reimbursement Manager                                                                                      Compliance Director
       Clerk-Typist II                                                                           800354      SRNA                                                             NP       EO-8                    801075 SR-24        1/
                                                                                                                                        59943 SR-26                                                                                              75380 EO-10
      38743     SR-8                           Civil Rights
                                           Compliance Spec II
                                             72804, 75886        1/                                  Secretary III                            Secretary I                          Secretary II               Program Specialist IV                  Secretary I
                                             75888 EO-7       1/                                   58713     SR-16      1/                 801030    SR-12                        59953 SR-14                   801088, 801089      1/ 1/           58268, 59855        1/ 1/
                                                                                                                                                                                                                801090 SR-22 1/                            SR-12

                                            Legal Assistant III                                      Clerk Typist II                     Program Specialist IV                  Educational Spec II
                                             59675, 800851        1/ 1/                             36109, 801313       2/ 2/               801104 SR-22                          75419 EO-7        2/                                            Educational Spec I
                                                     SR-20                                                    SR-8                                                                                                                                  74340 EO-6          1/

                                                                                                                                                                                Program/Fiscal Audit
                                                                                                                                           Data Processing
                                                                                                                                                                                 Specialist II EO-7                                             Program Suppt & Dev
                                                                                                School Lunch Services                     Systems Analyst IV
                                                                                                                                                                                     NP (4)                                                          Specialist I
                                                                                                     Supervisor                            801135 SR-22
                                                                                                                                                                                                                                                       76187        1/
                                                                                                   19126, 30229       2/ 2/
                                                                                                   36108, 50316       2/ 1/                                                     Program Specialist V
                                                                                                   50317 SR-24        2/                                                          801026 SR-24       5/                                         Felix Project Assistant
                                                                                                                                                                                                                                                    103507 SRNA         4/
                                                                                                                                                                                 Data Processing
                                                                                                     Administrative
                                                                                                                                                                                Systems Analyst IV                                              Program Specialist IV
                                                                                                   Services Assistant
                                                                                                                                                                                  NP     SR-22                                                        (.50 FTE)
                                                                                                    800731 SR-22        2/
                                                                                                                                                                                                                                                   800979 SR-22       2/


                                                                                                     Accountant IV                                                                                                                                   Legal Clerk
                                                                                                    59553 SR-22         2/                                                                                                                         801393 SR-14         5/


                                                                                                    Account Clerk IV
                                                                                                    36219 SR-13          2/


                                                                                                      Commodity
                                                                                                 Distribution Assistant
                                                                                                  41278        SR-15 2/
      1/ Temporary position, General funds
      2/ Temporary position, Federal funds
      3/ Temporary Exempt position, General funds
      4/ Temporary Exempt position, Federal funds
      5/ Temporary position, Revolving funds                                                                                                                                                                                            C-3               6/30/10
STATE OF HAWAII
                                                                                                                                                                                                        DEPARTMENT OF EDUCATION
                                                                                                                                                                                                      OFFICE OF THE SUPERINTENDENT
                                                                                                                                                                                                       POSITION ORGANIZATION CHART




                                                                                                                                                                SYSTEMS
        INTERNAL AUDITOR
                                                        Military Liaison                                                                                  ACCOUNTABILITY OFFICE
                                                    Administrative Assistant
      DOE Auditor Specialist III                                                3/                                                     Secretary IV                Director
                                                      117225        SRNA
          73090 EO-8                                                                                                                 11396    SR-18           68621       EO-10


                Secretary II
               59882 SR-14
                                                                                        SYSTEM PLANNING &                                             SYSTEM EVALUATION &                                            STUDENT ASSESSMENT
                                                                                      IMPROVEMENT SECTION                                              REPORTING SECTION                                                  SECTION

                 Auditor V                                                               Institutional Analyst III            Secretary II             Evaluation Specialist III       Secretary II                  Test Dev & Admin Spec III          Secretary II
               15713, 59880                                                                69285         EO-8               4315     SR-14               60047       EO-8             14585 SR-14                          60019 EO-8                14687      SR-14
               59881 SR-24

                                                                                                                                                            Evaluation Spec II
                                                                                            Institutional Analyst II                                                                                                         Test Inservice
                                                                                                                                                             60068, 60254
                                                                                                69263, 75833                                                                            Secretary I                           Specialist II
                                                                                                                                                             69806, 73402
                                                                                                          EO-7                                                                        43015 SR-12      5/                    60034 EO-7
                                                                                                                                                                      EO-7

                                                                                                                                                            Educational Spec II
                                                                                            Project Management                                                                                                             Educational Spec II
                                                                                                                                                              (Assessment
                                                                                                 Specialist II                                                                                                           (Test Dev Project Mgr)      Account Clerk III
                                                                                                                                                           Reporting Specialist)
                                                                                             NP (2)        EO-7                                                                                                              79287 EO-7         2/   58547 SR-11         2/
                                                                                                                                                             79289 EO-7          2/

                                                                                           Evaluation Specialist II                                          Data Processing
                                                                                                                                                                                                                           Educational Spec II
                                                                                              79195, 79196          2/ 2/                                   Systems Analyst V
                                                                                                                                                                                                                          (NAEP State Coord)
                                                                                              79197, 79198          2/ 2/                                     NP     SR-24
                                                                                                                                                                                                                             79337 EO-7        2/
                                                                                                       EO-7
                                                                                                                                                            Data Processing               12-Month State Office
                                                                                                                                                           Systems Analyst IV                  Teacher                     Test Development
                                                                                            Program Specialist V                                              NP SR-22                          79208           2/
                                                                                                                 4/ 4/                                                                                                        Specialist II            Secretary I
                                                                                              59992, 801024
                                                                                                                 4/                                                                                                         60017, 60098              8914 SR-12
                                                                                              801025 SR-24
                                                                                                                                                                                            Data Processing                 60079 EO-7
                                                                                                                                                              Clerk Typist III
                                                                                                                                                                                           Systems Analyst IV
                                                                                                                                                              NP     SR-10
                                                                                                                                                                                            801087 SR-22      1/          Educational Spec II
                                                                                                Clerk Typist II
                                                                                                                                                                                                                          (Special Population
                                                                                                59993 SR-8             2/
                                                                                                                                                                                                                             Assessment)
                                                                                                                                                                                                                             79288 EO-7       2/

                                                                                                                                                                                                                          Educational Spec II
                                                                                                                                                                                                                         (Student Assessment
                                                                                                                                                                                                                                                       Secretary I
                                                                                                                                                                                                                          Database Support)
                                                                                                                                                                                                                                                      57902 SR-12        1/
                                                                                                                                                                                                                             73596 EO-7       1/



1/ Temporary position, General funds
2/ Temporary position, Federal funds
3/ Temporary Exempt position, Federal funds
4/ Temporary position, Revolving funds
5/ Secretary I, position no. 43015 receives technical supervision from Evaluation Specialist II, position no. 60068                                                                                                                     C-4                 6/30/10
DEPARTMENT OF EDUCATION

                     OFFICE OF THE SUPERINTENDENT

                          FUNCTIONAL STATEMENT


SUPERINTENDENT OF EDUCATION

As the Board of Education’s chief executive officer for the public school system,
the Superintendent of Education is responsible for efficiently and effectively
administering the public school system in accordance with law and educational
policies adopted by the Board of Education.

   •   Executes Board policies.

   •   Recommends to the Board the public school system’s program goals,
       objectives and plans, performance standards, capital improvement plans,
       and budgets.

   •   Develops and establishes with the approval of the Board a comprehensive
       accountability and assessment program for the public school system.

   •   Presents concise reports periodically at board meetings covering, but not
       limited to, the following:

       −   Public school system’s goals, objectives, plans and progress toward
           them.

       −   Major program developments.

       −   Enrollment developments and projections.

       −   Personnel developments.

       −   Budget status, current fiscal year and plans for the next fiscal year.

       −   Major accomplishments and problems.

       −   Outlook for the future.

   •   Assists the Board chairperson and the respective Board of Education
       committee chairpersons in strengthening the roles of Board of Education
       committees.

   •   Provides administrative leadership in collective bargaining and
       maintenance of relationships with professional organizations and unions.

   •   Provides administrative support to the Board of Education, committees,
       advisory councils and commissions.

   •   Maintains liaison on behalf of the Board of Education with the State
       Legislature, governor, the various state departments and the people of the
       State of Hawaii on matters pertaining to the administration of the public
       school system.

   •   Presents for Board approval nominations and appointments of all assistant
       and complex area superintendents.




                                       C-5                                  6/30/10
•   Promotes partnerships between the public school system and various
       sectors of the community: business, trusts and foundations, and other
       government agencies.

The deputy superintendent assists the Superintendent of Education in executing
duties and responsibilities of the office, and is delegated authority to act for the
Superintendent of Education. The deputy superintendent oversees the
department’s Communications, Civil Rights Compliance, Federal Compliance
and Project Management, Systems Accountability, Internal Audit, and Military
Liaison offices. Additionally, the deputy superintendent oversees the
department’s involvement in statewide safety issues.

The executive assistant to the Superintendent of Education provides staff support
to the Superintendent of Education by coordinating the department’s response to
requests for administrative information and action from the Board of Education,
legislature, other Executive Branch agencies, officials from other state and
federal educational agencies, interest groups and the general public.

   •   Maintains control of all incoming and outgoing executive communications
       and records management for the Office of the Superintendent.

   •   Assists the Superintendent of Education in proposing agenda items for
       Board of Education meetings; assures timely availability of staff reports,
       study materials and resource persons from appropriate staff offices; and
       coordinates follow-up staff action on Board requests made to the
       Superintendent of Education.

   •   Serves as the superintendent’s liaison with the legislature, as directed;
       coordinates DOE staff work in response to legislative requests for
       information, legislative reporting, drafting and seeking introduction of
       legislation, monitoring the status of pending legislation, and preparing
       testimony and monitoring committee hearings on proposed legislation.

   •   Assists the Superintendent of Education in coordinating the department’s
       participation in administrative programs and activities of the Executive
       Branch.

   •   Advises and assists the Superintendent of Education in complying with
       state protocol and fulfilling obligations as a public officer in dealing with
       individuals and organizations representing local, national, and
       international interests in public education.

   •   Provides other personalized administrative assistance to enable the
       Superintendent of Education to carry out duties and responsibilities as the
       Board of Education’s executive officer for the public school system.

   •   Coordinates promotion of partners-in-education programs with various
       sectors of the community: business, trusts and foundations, and other
       government agencies.

   •   Coordinates special projects in which other agencies or private
       organizations are involved, as assigned by the superintendent.


SYSTEMS ACCOUNTABILITY OFFICE

The Systems Accountability Office oversees the development and administration
of the student assessment, school evaluation, and system evaluation
components of the department’s accountability system. The office also provides



                                         C-6                                   6/30/10
support related to departmental planning and analysis, evaluation, and student
testing to the superintendent, Board of Education, and schools; governor and
other executive agencies; legislature; and general public.

System Planning and Improvement Section

   •   Formulates state educational plans that set directions, present strategies,
       and provide timelines for accomplishment and array costs.

   •   Develops planning strategies that integrate varied and sometimes
       competing needs of the department.

   •   Performs analyses of policies and issues that have system wide impact
       and recommends solutions to resolve problems.

   •   Performs analyses to systematically review programs in the department’s
       operating budget.

   •   Reviews applications or proposals to conduct surveys or research projects
       in the schools and formulates a recommended action and correspondence
       for the superintendent’s signature.

   •   Develops and implements funding and resource acquisition strategies to
       achieve the department’s mission.

   •   Acts as liaison to other federal and state agencies on system wide
       planning and analytical activities pertaining to the public school system.

   •   Supervises and coordinates the work of community and/or stakeholder
       task forces created to provide varied input to projects and resolves
       sometimes conflicting input from task force members.

   •   Participates in the work of project teams, which often are comprised of
       personnel from within the office, as well as other organizational units
       within the department.

   •   Drafts testimonies, bills, and resolutions, and provides other technical
       assistance and support throughout the legislative process on behalf of the
       Department of Education.

   •   Identifies issues related to program implementation, program
       development, and program improvement.

   •   Ensures that the resolution of those issues is fully communicated within
       and outside the department.

   •   Performs other related activities, as assigned by the office director and
       superintendent.

System Evaluation and Reporting Section

   •   Assists with the coordination of, and support for, the statewide
       assessment and accountability system; develops and implements
       components related to school and system evaluation; conducts research
       and development work on educational indicators and analyses; and
       prepares evaluations reports of school performance and improvement
       efforts.




                                        C-7                                 6/30/10
•   Prepares school by school and statewide accountability information to the
    legislature and other entities.

•   Prepares annual school by school, local education agency, and state
    education agency accountability reports required by the federal No Child
    Left Behind Act.

•   Provides information regarding the performance of schools on educational
    indicators for improvement uses and accountability needs of the
    department, policy makers, and the general public.

•   Provides project and program evaluation information to enable planners
    and managers of staff and line offices of the department to provide the
    most effective and efficient learning opportunities and experiences for
    public school students.

•   Provides evaluation assistance for decision making and accountability
    needs of staff and line offices of the public school system by providing
    consultative services on evaluation of projects and programs.

•   Performs other related activities, as assigned by the office director and
    superintendent.

Student Assessment Section

•   Administers the public school system’s statewide formative and
    summative student assessment program, which included a variety of norm
    and criterion-referenced tests using both traditional and performance-
    based measures.

•   Administers the School Assessment Liaison program, which provides
    classroom level assessment techniques and tools to help schools and
    their staff measure student attainment of the content standards.

•   Administers the department’s participation in and compliance with the
    National Assessment of Educational Progress (NAEP).

•   Identifies assessment instruments and practices that are used to measure
    system, school, and individual student attainment of the Board of
    Education’s content and performance standards.

•   Identifies assessment instruments and practices that are used to measure
    system, school, and individual student attainment of the statutory
    requirements of the federal No Child Left Behind Act.

•   Provides student assessment data used in monitoring school quality and
    student achievement for the statewide assessment and accountability
    system.

•   Provides assessment data for measuring compliance with the Board of
    Education’s policies and regulations and the federal No Child Left Behind
    Act.

•   Analyzes test results and prepares reports on the current status of, and
    longitudinal trends in, student performance.

•   Serves as a clearinghouse of information on student assessment
    techniques and tools.




                                     C-8                                 6/30/10
•   Develops or collaborates with other public agencies in the development of
       innovative assessment techniques for possible statewide and school
       adoption, and for use in the statewide assessment and accountability
       system.

   •   Serves as liaison to community groups, federal offices, and state agencies
       and commissions involved with the development and dissemination of
       tests and information about tests.

   •   Performs other related activities, as assigned by the office director and
       superintendent.


CIVIL RIGHTS COMPLIANCE OFFICE

The Civil Rights Compliance Office supports the executive function of the
Superintendent of Education by promoting equal opportunity in educational
programs and activities, equal employment opportunity, and equal access to
Department of Education programs, services, and activities in compliance with
various federal and state civil rights laws. The Civil Rights Compliance Office
also coordinates the rulemaking activities of the Board of Education pursuant to
Chapter 91, Hawaii Revised Statues.

   •   Coordinates and promotes the public school system’s equal employment
       opportunity program as it relates to non-discrimination on the basis of
       race, color, sex, religion, national origin, ancestry, age, physical or mental
       disability, sexual orientation, marital status, arrest and court record,
       income assignment for child support, National Guard absence, uniformed
       services, breastfeeding, and citizenship status.

   •   Coordinates and promotes the public school system’s equal education
       program as it relates to non-discrimination on the basis of race, color,
       national origin, sex, religion, or disability.

   •   Coordinates and promotes the public school system’s equal access
       program as it relates to non-discrimination on the basis of disability.

       −    Publishes equal opportunity notices and information materials for
            dissemination to the public, students, parents/legal guardians, and/or
            employees.

       −    Provides training to school personnel, students, parents and other
            groups on civil rights compliance matters.

       −    Develops equal employment and equal educational opportunity
            policies for adoption by the Superintendent of Education and the
            Board of Education.

       −    Responds to inquiries concerning the civil rights of students,
            employees, and the public; provides advice and assistance to school
            officials and program managers regarding compliance with federal
            and state civil rights statutes and regulations.

       −    Coordinates the department’s response to compliance reviews and
            complaint investigations conducted by federal and state civil rights
            enforcement agencies such as the U.S. Equal Employment
            Opportunity Commission, U.S. Department of Education’s Office for
            Civil Rights, U.S. Department of Justice, and the Hawaii Civil Rights
            Commission.



                                         C-9                                  6/30/10
−   Coordinates communication and acts as the department’s liaison with
           the State Department of the Attorney General on lawsuits involving
           the Department of Education. Tracks and reports to the Office of the
           Superintendent and the BOE the status, outcome, and corrective
           actions for lawsuits involving the department.

       −   Conducts investigations of alleged civil rights violations in the public
           school system and/or supplements investigations conducted by
           school officials and program managers.

       −   Administers the Elementary School Civil Rights Survey of the U.S.
           Office for Civil Rights; conducts related civil rights compliance
           reviews of the programs, services, and activities of the public school
           system.

   •   Coordinates the department’s administrative rulemaking process to
       comply with state laws, administrative directives and the drafting
       requirements established by the state.

       −   Compiles and publishes the department’s official compilation of
           administrative rules in accordance with state laws.

       −   Reviews proposed administrative rules for their statutory authority
           and consistency with the Hawaii Administrative Rules Format.

       −   Prepares and processes the final form of proposed administrative
           rules for public hearings and, after adoption by the Board of
           Education, for submission to the governor for final approval and for
           filing with the Office of the Lieutenant Governor.


FEDERAL COMPLIANCE AND PROJECT MANAGEMENT OFFICE

The Federal Compliance and Project Management Office provides operational,
technical, and research support to the Office of the Superintendent in the areas
of compliance with federal and state laws and regulations, as well as Hawaii
Board of Education and Superintendent of Education initiatives.

Office of Hawaii Child Nutrition Programs

   •   Responsible for developing and administering the USDA Food Nutrition
       Programs which receive funds and commodities from the USDA grants for
       the State of Hawaii.

   •   Serves as the State Agency (SA) and primary contact with the USDA for
       all issues concerning the administration and operation of all Food Nutrition
       Programs in Hawaii.

   •   Administers and oversees the following USDA Food Nutrition Programs:

       −   National School Lunch Program
       −   School Breakfast Program
       −   Child and Adult Care Food Program
       −   Commodity Distribution Program
       −   Summer Food Service Program
       −   Special Milk Program

   •   Provides program marketing and advocacy initiatives, technical
       assistance, and oversight for all USDA Food Nutrition Programs.



                                       C-10                                  6/30/10
•   Prepares budgets, expenditure plans, and financial reports and projections
      for the SA.

  •   Reviews SA federal grant reports and monitors for compliance with federal
      program requirements.

  •   Provides technical assistance in developing and administering fiscal
      policies and procedures.

  •   Orders, allocates, and distributes commodities.

  •   Coordinates with the USDA to provide food for disaster relief for the State
      of Hawaii.

Health Care Contracts and Reimbursement

  •   Administers the Medicaid Reimbursement Program.

  •   Develops, implements, and evaluates reimbursement regulations,
      methodologies, and rates for health care services, supplies, and
      equipment.

  •   Develops, procures, monitors, and reviews contracts with individual health
      care providers, institutions, and fiscal agents.

  •   Manages and coordinates the use of the Medicaid information system.

  •   Manages and monitors the Third Party Liability recovery program and
      other claims.

Federal Compliance Section

  •   Monitors and ensures that the Department of Education policies and
      procedures will ensure compliance with applicable federal laws, policies,
      and regulations.

  •   Provides technical assistance to department staff regarding compliance
      with federal program laws, policies, and regulations.

  •   Monitors the department implementation of federal funded programs for
      compliance with program and fiduciary requirements.

  •   Ensures department compliance and maintenance of effort with regard to
      federal program laws, including but not limited to, No Child Left Behind,
      Individuals with Disabilities Education Improvement Act, and the Felix
      Consent Decree.

  •   Performs analyses relating to the department’s compliance with applicable
      federal policies, procedures, laws, and regulations.

  •   Conducts fiscal and program audits of department offices and other
      subunits.

  •   Acts as liaison to other federal and State agencies on issues related to
      monitoring and compliance with federal program laws and regulations.

  •   Performs other related activities, as assigned by the office director and the
      superintendent.




                                      C-11                                 6/30/10
Community Children’s Council Office

   •   Supports the establishment of locally based community bodies with
       extensive family participation to advise the department on the delivery of
       Special Education and related services.

   •   Provide local forums statewide for all community members to come
       together as equal partners to discuss and positively affect multiple
       systems’ issues for the benefit of all students, families, and communities.

   •   Provide infrastructure to support and facilitate these community forums.

Special Projects Section

   •   Provides project management, operational, technical, and research
       support to the Office of the Superintendent for new statutory, Board of
       Education, or superintendent initiatives aligned with the Department of
       Education Strategic Plan, School Year 2008-2011, Goal #3: Continuous
       Improvement.


COMMUNICATIONS OFFICE

The Communications Office supports the executive function of the
Superintendent of Education by developing the internal and external
communication programs of the public school system, developing education
partnership programs with the various sectors of society (e.g., parent,
community, business, military, government, etc.) and resolving public conflicts
concerning the programs and activities of the public school system.

   •   Provides communications services to the Superintendent of Education and
       all other offices and schools of the public school system, as needed.

       −   Advises the superintendent and other personnel on public affairs
           implications of proposed actions or decisions.

       −   Attends Board of Education and superintendent’s staff meetings and
           Leadership Team meetings as appropriate.

       −   Drafts letters, memos, public statements and speeches upon request
           of the superintendent.

       −   Advises and assists other state and district offices and schools in
           publicizing their activities.

       −   Prepares departmental news for all personnel, as appropriate.

       −   Publishes the InfoExchange newsletter in conjunction with regular
           Board of Education meetings to report DOE matters to the BOE and
           BOE/DOE matters to the schools and public.

       −   Reviews and recommends for printing all official publications of the
           department.

       −   Develops among all personnel an awareness of the need for good
           public relations and assists key personnel in developing
           communications skills through membership in professional
           organizations, provision of materials and training sessions, as
           needed.



                                       C-12                                 6/30/10
−   Monitors and evaluates communications needs and the department’s
           efforts to meet those needs.

   •   Plans and coordinates activities for communicating with the general public.

       −   Responds to news media, group and public requests for information,
           or refers inquiries to appropriate sources.

       −   Issues news releases on major state-level actions, and departmental
           plans, programs, and activities deemed of interest and importance to
           the general public.

       −   Schedules and handles arrangements for news conferences.

       −   Generates and suggests story ideas for the media.

       −   Prepares informational pamphlets and other materials to serve public
           information needs.

   •   Promotes and maintains good relationships between the department and
       special public and individuals through a variety of appropriate means,
       such as membership on boards and committees.

       −   Provides coordination of information to the superintendent, media,
           schools, and general public as needed on matters relating to school
           closures, bomb threats, and other health, public safety, and civil
           defense emergencies affecting the public schools.


DOE FELIX CONTRACT COMPLIANCE

Provides department coordination and assistance in the tracking and
implementation of activities necessary to meet Felix Compliance benchmarks.
The primary function is to provide coordination, tracking and technical assistance
on matters related to contract development and implementation.

   •   Coordinates Felix benchmarks and contracts.

       −   Tracks and documents all required implementation steps necessary
           to meet Felix benchmarks.

       −   Determines and collects all necessary documentation to show
           compliance efforts.

       −   Works with all program managers in the status determination of
           compliance efforts.

       −   Coordinates department efforts with the Department of the Attorney
           General.

   •   Provides technical assistance, research and advice related to the
       implementation of Felix benchmarks and contracts.


INTERNAL AUDITOR
The internal auditor examines and evaluates the fiscal activities of the
department. The internal auditor and staff provide information as to the




                                      C-13                                 6/30/10
adequacy and effectiveness of the department’s system of internal controls and
the quality of performance, including:
   •   Reliability and integrity of information.
   •   Compliance with policies, procedures, laws, and regulations.
   •   Safeguarding of assets.
   •   Economical and efficient use of resources.
   •   Accomplishment of established objectives and goals for operations
       and programs.
The internal auditor also serves as the department’s liaison with external auditors
and audit sections of other governmental agencies. The internal auditor reports
to the Audit Committee of the Board of Education on matters concerning the
internal audit program of the department.




                                         C-14                              6/30/10
OFFICE OF FISCAL SERVICES
  • Organization Chart
  • Position Organization Chart
  • Functional Statement
STATE OF HAWAII
                                                                                                                            DEPARTMENT OF EDUCATION
                                                                                                                            OFFICE OF FISCAL SERVICES
                                                                OFFICE OF FISCAL SERVICES                                     ORGANIZATION CHART
                                                    ASSISTANT SUPERINTENDENT – CHIEF FINANCIAL OFFICER




                                                                       PROCUREMENT AND CONTRACTS
ACCOUNTING SERVICES BRANCH                                                                                  BUDGET BRANCH
                             REPORTING, ANALYSIS,                               BRANCH
                                AND ACCOUNT
                               RECONCILIATION


                                                                              PROCUREMENT AND
                                                                              CONTRACTS SECTION            BUDGET PREP SECTION
                              CASH MANAGEMENT


     ACCOUNTING SECTION

                                                                          PROCUREMENT, ASSISTANCE,
                                FIXED ASSETS                              COMPLIANCE, AND TRAINING       BUDGET EXECUTION SECTION
                                                                                  SECTION



                             LOSS AND CASUALTY
                             CLAIMS MANAGEMENT




                                PAYROLL UNIT




                                SERVICES AND
     OPERATIONS SECTION
                              PROCEDURES UNIT




                             VENDOR PAYMENT UNIT

                                                                                                                                    D-1       6/30/10
STATE OF HAWAII
                                                                                                                                                                                                      DEPARTMENT OF EDUCATION
                                                                                                                                                                                                      OFFICE OF FISCAL SERVICES
                                                                                                                       OFFICE OF FISCAL                                                              POSITION ORGANIZATION CHART
                                                                                                                            SERVICES
                                                                                                                     Assistant Superintendent
                                                                                        Private Secretary I
                                                                                                                      Chief Financial Officer
                                                                                         59864 SR-20
                                                                                                                              76185

                                                                                        Data Processing
                                                                                       Systems Analyst IV
                                                                                         15599 SR-22




                                                                                                                    ACCOUNTING SERVICES
                                                                                                                          BRANCH

                                                                                           Secretary IV                  Accounting Director
                                                                                           5268 SR-18                     60005     EO-10




                                                              LOSS AND CASUALTY
                              ACCOUNTING SECTION              CLAIMS MANAGEMENT                                                         OPERATIONS SECTION
                                                               Claims Management                                                        Accounting Operations
        Secretary II            Fiscal Specialist III                                                                                                              Secretary II
                                                                    Specialist                                                              Specialist III
       15186 SR-14                 69252 EO-8                                                                                                                     1814 SR-14
                                                                  XXXXX SR-26                                                              66414 EO-8


       Inventory Clerk
       27486 SR-13



REPORTING, ANALYSIS,                                                                                                                                              SERVICES AND                             VENDOR PAYMENT UNIT
                              CASH MANAGEMENT                                                                  PAYROLL UNIT                                     PROCEDURES UNIT
    AND ACCOUNT                                                  FIXED ASSETS
  RECONCILIATION                                                                                          Claims Pre-Audit Supervisor                              Accountant V                            Claims Pre-Audit Supervisor
   Fiscal Specialist II           Accountant V                    Accountant IV                                  4391 SR-22                                        1813 SR-24                                     1811 SR-22
     69290 EO-7                   01790 SR-24                     59797 SR-22


       Accountant IV                 Accountant IV                                  Pre-Audit Clerk III        Pre-Audit Clerk III       Pre-Audit Clerk III
                                                                    Accountant IV                                                                                   Accountant IV    Pre-Audit Clerk III        Pre-Audit Clerk III      Pre-Audit Clerk III
       01791, 03899                 47824, 800785       2/                           18941 SR-15                00349 SR-15               16881 SR-15
                                                                    22467 SR-22                                                                                     12668, 59663      10507 SR-15                11494 SR-15              15250 SR-15
       03972, 11596                         SR-22
                                                                                                                                                                           SR-22
       16131, 800784
       800786 SR-22                                                                 Pre-Audit Clerk II         Pre-Audit Clerk II       Pre-Audit Clerk II
                                    Account Clerk V                                                                                                                                  Pre-Audit Clerk II         Pre-Audit Clerk II       Pre-Audit Clerk II
                                                                                     6608, 11204                 3989, 21917             15104, 21745
                                     18963, 35928                                                                                                                   Accountant III    16262, 21744               12525, 16882             12526, 16883
                                            SR-15                                    18940, 43657                48929, 58248        1/ 37525, 37526                37595 SR-20       27485, 37315               35480, 59626         1/ 35929, 24892
      PUBLIC CHARTER                                                                                                                     54956, 59641
     SCHOOLS PROGRAM                                                                 48930 SR-13                        SR-13                                                         35481 SR-13                         SR-13                   SR-13
                                                                                                                                         59650, 59652 1/ 1/
     Administrative Svcs                                                                                                                 59653 SR-13 1/
         Assistant
       56388 SR-22       1/                                                                                                                                                          Pre-Audit Clerk I
                                                                                                                                          Pre-Audit Clerk I                           17226 SR-11
                                                                                                                                           59656 SR-11 1/
          Clerk Typist IV
          56391 SR-12 1/



                                    1/ Temporary position, General funds
                                                                                                                                                                                                                      D-2                   6/30/10
STATE OF HAWAII
                                                                                                                                                                           DEPARTMENT OF EDUCATION
                                                                                                                                                                           OFFICE OF FISCAL SERVICES
                                                                                                                                                                          POSITION ORGANIZATION CHART



                                               PROCUREMENT AND
                                              CONTRACTS BRANCH                                                                    BUDGET BRANCH
                                             Procurement and Contracts
                                                                                                                                 Budget Branch Director    Secretary IV
                                                      Director
                                                                                                                                    69281 EO-10           19304 SR-18
                                                   60062 EO-10

                        Secretary IV
                       37914 SR-18




                        PROCUREMENT AND                           PROCUREMENT ASSISTANCE,                                                                    BUDGET EXECUTION
                                                                  COMPLIANCE, AND TRAINING           BUDGET PREP SECTION
                       CONTRACTS SECTION                                                                                                                         SECTION
                                                                          SECTION
                       Purchasing Specialist V                   Departmental Contracts Specialist     Budget Specialist III          Secretary III            Budget Specialist III            Secretary III
                           59838 SR-24                                   58240 SR-22                     69262 EO-8                  15363 SR-16                 69284 EO-8                    26829 SR-16


                          Purchasing Specialist IV                       Departmental Contracts
                              38285 SR-22                                      Specialist                                                                         Budget Specialist II
                                                                                                          Budget Specialist II
                                                                            58241, 58242                                                                            60082, 68452
                                                                                                            60040, 68274
                                                                            58244, 58245                                                                            68646, 69286
                                                                                                            69993 EO-7
                                                                                    SR-22                                                                                   EO-7
                          Purchasing Specialist III
                              05299, 47254
                              59090 SR-20             1/


                          Departmental Contracts
                                Specialist
                             03887, 58243
                             58247, 59793
                                     SR-22


                          Purchasing Technician I
                              01792 SR-11




1/ On loan from Food Services; funded by Food Services




                                                                                                                                                                                         D-3                6/30/10
DEPARTMENT OF EDUCATION

                         OFFICE OF FISCAL SERVICES

                          FUNCTIONAL STATEMENT


The Office of Fiscal Services manages the Department of Education’s (DOE)
accounting, budget, and procurement activities and systems to serve the needs
of the schools, school complexes, complex areas, and the state central office.
The office is responsible for the following:
   •   Developing and implementing long-term and short-term financial
       activities.
   •   Leading the department’s accounting, budgeting, and procurement
       operations.
   •   Providing timely, accurate, and user-friendly information and reports
       in each of the respective areas, i.e., clear guidelines/procedures for
       completion of documents, and that the guidelines/procedures are
       aligned with the department’s goals and objectives.

ACCOUNTING SERVICES BRANCH
The Accounting Services Branch provides accounting, payroll, vendor payment,
fixed assets, inventory, and fiscal operations school-, complex area-, and state-
level support in the public school system; and coordinates copy machine services
in the DOE offices located in the Queen Liliu’okalani Building.

Accounting Section
The Accounting Section administers and accounts for all funds, expenditures and
financial commitments incurred by the department through a centralized
accounting system in conformance with the state comptroller’s rules and
regulations. The section assists schools and offices in developing and
implementing corrective actions in response to audit compliance issues. The
section develops training modules and assures that all appropriate personnel are
trained in accounting, cash management, payroll, vendor payments, fixed assets,
and inventory transactions. The section also serves as the department’s liaison
to the State’s Risk Management Program.

   Reporting, Analysis, and Account Reconciliation Functions
   •   Provides regular monthly, quarterly, and annual financial reports and
       detailed transaction reports of the department’s financial operations,
       specialized reports to the courts, legislature, federal government,
       and other reports as required.
   •   Provides financial support for the transfer of funds between No Child
       Left Behind grants.
   •   Prepares monthly BOE financial and ad hoc reports.
   •   Prepares annual financial reports for grants received from federal,
       state agencies, and other non-profit organizations.
       − Prepares the National Public Education Financial Survey to the
         National Center of Education Statistics (NCES) cross-walking
         department expenditures to conform to the Common Core of Data
         which is used to determine state funding allocations for Title I, ESEA
         Programs (Migrant, Handicapped, Neglected and Delinquent




                                        D-4                                  6/30/10
Children), Impact Aid, Indian Education, and Individuals with
       Disability Act (IDEA) grants.
    − Prepares the Annual Survey of Local Government Finance report that
      is aggregated by the U.S. Census Bureau to compare revenue and
      expenditure resources by local education agencies.
    − Prepares the quarterly and annual Principal’s Financial Report from
      each school to report the quarterly activity to the state comptroller for
      the non-appropriated local school funds.
    − Prepares the department’s indirect cost rate proposal to the federal
      government to negotiate a rate agreement for use on the
      department’s federal grants to reimburse the state for central services
      costs.
•   Provides technical and consultative assistance to state, district, and
    school level personnel relative to accounting procedures,
    regulations, and the financial management of their accounts.
•   Prepares the trial balance, income statement, statement of cash
    flows, and all audit schedules, including leases and liability accruals,
    for the department as requested by the external auditors for the
    department’s annual financial and single audit.
•   Provides technical support to external auditors for the department’s
    annual financial and single audit.
•   Updates the department’s Uniform Accounting Codes, which is
    published in the Financial Management System (FMS) User Policy
    and Process Flow Guide, Chapter 2, Accounting Codes.
•   Updates and maintains the FMS accounting code tables and
    develops and maintains interface programs to perform accounting
    functions effectively and efficiently.
•   Develops and establishes accounting processes for new FMS
    requirements.
•   Processes form FMS-AC4, Request for Change of Accounting
    Codes &/or Amounts, from all schools and offices requesting
    corrections for revenues or expenditures in their bond, general,
    federal, special, and trust fund accounts.
•   Reviews and makes corrections to DAGS semi-monthly payroll cost
    interface received from DAGS into the department’s FMS.
•   Maintains and updates the TSEAS Prog Ids for processing and
    accounting for TSEAS cost.
•   Maintains and revises FMS “job coding” system, FMS mid-year and
    year-end close processes, inception-to-date and transactions year
    financial reports, and provides continuous coding for new
    appropriations and projects and FMS enhancements in order to
    accommodate R&M/CIP responsibilities transferred from DAGS.


Public Charter School Program Functions
The Public Charter School Program will assure delivery of SEA/LEA
services required by federal and local legislation and for which the
department is responsible.
•   Respond to queries related to charter schools in relation to
    department responsibilities.
•   Optimize the intent of state legislation related to public charter
    schools by providing oversight of the MOA process and purchase of



                                      D-5                                      6/30/10
services by charter schools.
•   Facilitate the delivery of services “purchased” by charter schools.
•   Prepare invoices and collect payment related to purchase of
    services.
•   Respond to queries related to Budget System and FMS use.
•   Serves as the department’s liaison to the Charter School
    Administrative Office (CSAO) and Charter School Review Panel.

Cash Management Functions
•   Accounts for all cash receipts from schools and offices.
•   Maintains multiple central collections accounts for all receipts from
    schools and offices and to download bank deposit information from
    the commercial bank to school accounts to support general school,
    school lunch, student transportation, and after-school lunch
    collections.
•   Prepares treasury deposit receipts (TDR) to summarize transactions
    from schools by funds, source codes, and object codes to the state
    treasury.
•   Reconciles monthly the multiple central collection account balances
    to the bank statement.
•   Monitors federal grant cash requirements daily and draws-down
    cash semi-monthly and, as needed, for all federal grants received by
    the department through the GAPS, Smart Link, and ASAP payment
    systems.
•   Provides financial data to B&F to monitor selected federal accounts
    to meet the federal Department of Treasury Cash Management
    Improvement System (CMIA) monitoring requirements.


Loss and Casualty Claims Management Functions
•   Serves as the department’s liaison to the State’s Risk Management
    Program.
•   Identifies and evaluates the department's exposure to property and liability
    loss to minimize the total insurance, property, and casualty losses costs.
•   Develops, implements, and monitors effective loss control programs.
•   Develops, formulates, and implements insurance, property, and casualty
    losses management policies and procedures; coordinates and evaluates
    programs with the State's Risk Management Office.
•   Coordinates insurance activities and management of loss documentation
    through assisting the schools and offices with processes and appropriate
    forms for seeking reimbursement for losses through the State’s Risk
    Management Program.
•   Provides training on insurance processes, forms, and yearly requirements.


Fixed Assets Functions
•   Manages repair & maintenance and construction-in-progress
    (R&M/CIP) financial responsibilities received from the Department of
    Accounting and General Services (DAGS) for general, special, and
    bond funds. These responsibilities include providing monthly/annual
    financial reports; posting appropriations, allotments, and cash;




                                     D-6                                    6/30/10
special fund assessments; and providing on-going technical
       assistance.
   •   Reconciles the department’s operating and R&M/CIP fund accounts
       to the DAGS accounts.
   •   Administers, controls, coordinates, monitors, and maintains a
       comprehensive computerized inventory management, accounting,
       and reporting system for the department in compliance with state,
       federal, contract and donated requirements relative to the
       department’s acquisition, transfer, disposal, and claim for lost/stolen
       properties.
   •   Prepares the fixed asset roll forward schedules for the department as
       requested by the external auditors for the department’s annual financial
       and single audit.

Operations Section
  • Supervises the auditing of all payments for employees.
   •   Provides training and assistance to the department in all activities of
       the payroll and vendor payment functions.
   •   Serves as the liaison with other state agencies in payroll and vendor
       payment matters.
   •   Administers and coordinates the Purchasing Card (P-card) program
       for the department.

Services and Procedures Unit
   •   Directs, coordinates, supervises, and participates in the analysis,
       design, development, acceptance, implementation, evaluation,
       improvement, maintenance, and control of the state and the DOE
       computerized central accounting systems or parts thereof.
   •   Provides staff services to develop, recommend, and implement
       procedures which relate to the Operations Section.
   •   Conducts special studies and research, ranging from technical
       accounting matters to day-to-day operational concerns.
   •   Evaluates, monitors, and updates criteria for the reporting of
       mileage and other payments made to employees and independent
       contractors in order to comply with federal and state tax reporting
       requirements.

Payroll Unit
   •   Pays all DOE employees (certificated, classified, hourly) twice a
       month in conjunction with collective bargaining contract provisions.
   •   Posts and maintains records of individual earnings for each DOE
       employee.
   •   Processes and performs final pre-audit of all payroll input for central
       preparation of DOE payrolls under EDP procedures to assure all
       employees are properly compensated. Checks payments
       authorization, legality, and propriety. Effects deductions for
       garnishments, assignments, tax liens, and court orders. Controls
       mandatory withholdings, deductions, and assignments. Prepares
       and processes priority payroll payments.
   •   Maintains leave earnings of the DOE employees. Audits and
       processes all leave requests to ensure hourly/daily charges applied




                                        D-7                                   6/30/10
correctly to leave balances in conjunction with bargaining unit
       contract provisions. Pre-audits hourly/daily earnings reported to
       date on "Applications for transfer of vacation and sick leave credits
       or payments in lieu of vacation." Calculates hourly/daily earnings to
       dollars and effectuates salary change schedule to make payment.
   •   Processes and audits workers’ compensation payments and wage
       separation reports for unemployment insurance purposes.
   •   Verifies employment and wages for financial institutions, Hawaii
       Housing, and the Department of Human Services.
   •   Manages and maintains a centralized billing, collection, and
       accounting program for overpayment collection.
   •   Writes, updates, and maintains the DOE Payroll handbook.
       Provides guidance, assistance, and training to the schools and
       offices of all aspects of payroll.
   •   Pre-audits and processes salary assignment and savings bond
       forms.

Vendor Payment Unit
   •   Pays all DOE vendor obligations within 30 days of receipt of
       goods/services.
   •   Locates and verifies errors, analyzes cause, and adjusts/corrects
       system.
   •   Performs final pre- and post-audit for legality and propriety of claim
       vouchers, covering payment for all DOE obligations; examines
       invoices, approval to pay, contracts, and other authorizing
       documents to confirm validity and accuracy of claims; maintains
       auxiliary records of travel and other claims.
   •   Controls the activities relating to the issuance of the DOE Vendor
       Payment checks, maintains records and authorizations relating to
       disbursement of checks, and maintains cash records and
       authorizations relating to disbursement of checks, and maintains
       cash records of all bank deposits and withdrawals.
   •   Reports expenditures to the statewide Financial Accounting and
       Management Information System (FAMIS) and reimbursement from
       DAGS.
   •   Develops, implements, and updates travel policy guidelines for the
       department; tracks and updates out-of-state travel database for
       future references and inquiry.


BUDGET BRANCH
The Budget Branch assists the chief financial officer (CFO) in the preparation
and execution of the public school system’s operating budget.


Budget Preparation Section
The Budget Preparation Section administers the preparation and development of
the department’s biennial and supplemental operating budgets. The section is
responsible for the following:
   •   Prepares the biennial and supplemental operating budgets for the
       public school system, except for public charter schools.
   •   Prepares current services budget, projecting salary requirements




                                        D-8                                     6/30/10
and reconciling the level of funding to appropriations and ceilings.
   •   Develops and disseminates budget instructions, standards, and
       tables to schools, offices, and attached agencies, such as the
       Hawaii Teacher Standards Board (HTSB).
   •   Assists schools and offices with the preparation of budget requests.
   •    Reviews budget requests for accuracy, adequate justification, and
       adherence to standards.
   •   Coordinates the development of budget priorities and budget
       standards in all resource categories.
       − Recommends appropriate alternatives to meet the department’s
         budget requirements.
       − Performs review and analysis of budget requests from schools,
         offices, and other agencies to address critical needs and priorities.
   •   Coordinates the department’s development of the variance report for
       the multiyear program and financial plan component of the Planning-
       Programming-Budgeting System by providing instructions,
       schedules, and technical assistance to program managers.
   •   Coordinates with the Office of Human Resources (OHR) and
       program managers to monitor manpower requests to assure
       positions established for DOE schools and offices are within the
       budget.
   •   Provides technical assistance in budget preparation and
       presentation to the Board of Education (BOE), governor,
       Department of Budget and Finance (B&F), the legislature, state
       offices, complex area offices, and schools.
   •   Provides training and consultative services staff to develop,
       maintain, update, and enhance the budget preparation system to
       support budget functions.
   •   Prepares publications and communications for budget preparation.

Budget Execution Section
The Budget Execution Section administers the implementation of the
department’s operating budget, monitoring adherence to policies and
procedures, and making adjustments to meet anticipated needs or restrictions.
The section is responsible for the following:
   •   Allocates funds and positions to state and complex area offices and
       schools.
       − Analyzes the appropriations act and legislative worksheets to obtain
         details of approved budgets and legislative intent.
       − Reviews and interprets policies and procedures issued by B&F, and
         implements allotment changes made by the Director of Finance.
       − Analyzes staff recommendations for allocation formulas and other
         criteria for allocating funds and positions to schools and complex area
         offices.
       − Prepares and disseminates initial allocations to state and complex
         area offices, and schools.
       − Adjusts allocations throughout the year to reflect buy/sell of positions,
         transfer of funds between programs, and other authorized flexibility
         measures.
       − Reconciles appropriations, allocations, and allotments throughout the



                                        D-9                                   6/30/10
year.
    − Completes year-end close and carryover process.
•   Develops and disseminates expenditure plan instructions.
    − Prepares allotment requests (A-19).
    − Provides follow-up and liaison work with B&F and the Department of
      Accounting and General Services (DAGS).
    − Reconciles allotments with expenditure plans, the DOE’s Financial
      Management System (FMS) and DAGS’ balances for each
      appropriation and fund.
•   Monitors and manages the department’s budget.
    − Analyzes, solicits input, and implements reductions to appropriations
      and allocations by EDNs and programs.
    − Monitors and manages salary and other payroll accounts.
    − Implements flexibility provisions of lump sum budgeting (buy/sell of
      positions, transfer of funds, and carryover).
    − Reviews programs for budget strategies and more efficient use of
      operating funds.
    − Analyzes the department’s financial plan and makes adjustments
      necessary to meet unanticipated needs or restrictions.
•   Coordinates budget execution matters with external agencies, policy
    makers, and decision makers (B&F, legislature, auditors, BOE,
    superintendent, complex area and school personnel).
    − Researches and prepares reports and testimonies in response to
      inquiries.
    − Recommends appropriate strategies to execute the budgetary
      requirements.
•   Coordinates system support with the Information System Services
    Branch.
    − Maintains tables related to the computerized budget system.
    − Prepares data files and reports required to review and analyze the
      budget.
    − Coordinates and monitors data transfers to data base files, i.e., Data
      Warehouse.
    − Provides budget execution requirements when evaluating various
      information systems.
•   Other responsibilities.
    − Manages the Impact Aid Program, P.L. 103-382.
    − Assists in planning and development of operating biennial budgets,
      supplemental budgets, and other budget functions.
    − Coordinates with other state offices to facilitate budgetary and fiscal
      procedures within the department.
    − Prepares publications and other communications for budget
      execution.
    − Provides budget execution training and consultative services to
      schools through budget hotlines and presentations for school
      administrators, clerical personnel, and other program managers.
    − Coordinates, assists, prepares, and implements the Weighted



                                    D-10                                  6/30/10
Student Formula (WSF) Project Financial Plan.
       − Provides data elements/queries, analyses, and recommendations to
         the Committee on Weights (COW).
       − Assists schools with the coordination and implementation of the
         Academic/Financial Plan.


PROCUREMENT AND CONTRACTS BRANCH
The Procurement and Contracts Branch services all schools and offices by (1)
performing periodic reviews of procurement practices; (2) providing assistance,
advice, guidance, and training in matters relating to procurement and contracting;
(3) developing and revising procurement and contracting policies and
procedures; (4) preparing and formalizing bid specifications, solicitations, and
contract documentation for specific goods, services, and construction as
requested by schools/offices and/or for select commonly-used departmental
commodities or services; and (5) issuing formal solicitations and awards in
compliance with applicable laws and regulations.


Procurement and Contracts Section
The Procurement and Contracts Section is responsible for the following:
   •   Maintains thorough knowledge of current laws, rules, policies, regulations
       and procedures governing the department’s centralized procurement and
       contracting activities; studies laws, rules, regulations, and policies as they
       affect procurement and contracting procedures.
   •   Develops bidding procedures and contract methods for routine to the most
       complex, specialized and technical projects; studies the impact of the
       program on outside activities or the effect of changes of outside activities
       on the program (e.g., changes in commodity prices, business practices,
       shipping strikes, etc.).
   •   Prepares specifications, terms and conditions to meet the minimum
       requirements of the user while assuring maximum competition based on
       the purchaser’s needs; determines whether bids meet specifications and
       legal requirements; and develops specifications for the establishment of
       new price lists.
   •   Prepares procurement notices; tabulates and summarizes bid results,
       analyzes and evaluates offers to determine the most advantageous offer,
       recommends awards, and issues award upon purchaser’s approval.
   •   Prepares resultant contracts in accordance with state and federal laws,
       rules and regulations and with program objectives and requirements;
       prepares any price list addenda or renewals; prepares contract
       modifications and/or terminations according to applicable laws, rules and
       policies.
   •   Reviews for sufficiency the justification and statutory compliance for sole
       source, emergency, exempt or restrictive purchases and recommends
       such action when appropriate.
   •   Assists in the identification of problems or concerns with the terms and
       conditions of the contract; recommends additional terms and conditions
       after careful consideration of the issues in consultation with the Purchaser;
       gathers information for/from vendors and provides clarification to
       questions/concerns regarding the execution of the contract; reviews
       certificates of compliance.
   •   Reviews contracts for compliance with applicable policies, rules,
       regulations and laws and provides technical assistance to program staff in




                                        D-11                                  6/30/10
the development, management, and execution of contracts.
   •   Problem-solves a wide range of complaints which could not be resolved at
       lower levels regarding procedures, policies, product quality, contract
       performance, late payments, unfair or biased actions.

Procurement Assistance, Compliance, and Training (PACT) Section
The Procurement Assistance, Compliance, and Training (PACT) Section is
responsible for the following:
   •   Serves as technical resource to the Chief Procurement Officer,
       administrators, and bidders to ensure compliance with the Procurement
       Code, applicable state and federal administrative rules and regulations
       applicable to purchasing mandates and guidelines, other policies or
       procedures governing state agencies and organizations, and departmental
       policies or procedures.
   •   Conducts periodic reviews of departmental procurement practices,
       including recommending appropriate revisions to procurement policies and
       procedures.
   •   Assists in conducting fact-finding investigations and making
       recommendations in the event vendors fail to perform according to the
       contract term and conditions; and investigates inquiries, complaints or
       controversies from department purchasers and/or vendors or contractors;
       reports findings of facts and may recommend appropriate or corrective
       action or refer the case to the Department of the Attorney General, as
       appropriate.
   •   Conducts periodic audits of school and offices in all areas of procurement
       and contracting to evaluate compliance with the Procurement Code and
       departmental policies and procedures, including the preparation of reports
       and briefing of senior management officials on the findings and
       recommendations to correct procurement and contracting deficiencies or
       refer the case to the Department of the Attorney General, as appropriate.
   •   Assists schools and offices in developing and implementing
       corrective actions in response to audit compliance issues.




                                      D-12                                6/30/10
OFFICE OF SCHOOL FACILITIES AND SUPPORT SERVICES
STATE OF HAWAII
                                                                                                                   DEPARTMENT OF EDUCATION
                                                                                                       OFFICE OF SCHOOL FACILITIES AND SUPPORT SERVICES
                                                                                                                      ORGANIZATION CHART
                                                      OFFICE OF SCHOOL FACILITIES AND
                                                             SUPPORT SERVICES

                                                        ASSISTANT SUPERINTENDENT




STUDENT TRANSPORTATION   SCHOOL FOOD SERVICES   FACILITIES DEVELOPMENT                                    FACILITIES MAINTENANCE
   SERVICES BRANCH             BRANCH                   BRANCH                                                    BRANCH
                                                                                 BUILDING INSPECTION
                                                                                    PLANNING UNIT                                    HONOLULU DISTRICT
                                                                                                                                           UNIT

                                                                                                           REPAIR AND MAINTENANCE
                                                    PLANNING SECTION
                                                                                                             OPERATIONS SECTION
                                                                                   PLANNING UNIT I
                                                                                                                                    CENTRAL DISTRICT UNIT




                                                                                   PLANNING UNIT II
                                                                                                                                    LEEWARD DISTRICT UNIT




                                                                                PROJECT MANAGEMENT                                   WINDWARD DISTRICT
                                                                                       UNIT I                                              UNIT


                                                  PROJECT MANAGEMENT
                                                        SECTION
                                                                                PROJECT MANAGEMENT
                                                                                                                                    SUPPORT DISTRICT UNIT
                                                                                       UNIT II


                                                                                                            PURCHASING SERVICES
                                                                                                                  OFFICE
                                                                                PROJECT MANAGEMENT
                                                                                      UNIT III



                                                                                                           REPAIR AND MAINTENANCE
                                                     CONSTRUCTION                  CONSTRUCTION             ENGINEERING SECTION
                                                  MANAGEMENT SECTION              MANAGEMENT UNIT



                                                                                                                                    E-1            6/30/10
STATE OF HAWAII
                                                                        DEPARTMENT OF EDUCATION
                                                            OFFICE OF SCHOOL FACILITIES AND SUPPORT SERVICES
                                                                           ORGANIZATION CHART




SAFETY AND EMERGENCY
                       AUXILIARY SERVICES BRANCH
PREPAREDNESS BRANCH




                             PROJECT CONTROL
                                 SECTION




                           INFORMATION SYSTEMS


                                                    SCHOOL ENERGY
                                                     CONSERVATION
                                                       PROGRAM
                             SCHOOL SUPPORT
                                PROGRAM

                                                   HAWAII 3Rs PROGRAM




                                                     MAILROOM UNIT




                          REPROGRAPHICS SECTION      PRINTING UNIT




                                                                                         E-2         6/30/10
STATE OF HAWAII
                                                                                                                                                                                            DEPARTMENT OF EDUCATION
                                                                                                                         OFFICE OF SCHOOL                                       OFFICE OF SCHOOL FACILITIES AND SUPPORT SERVICES
                                                                                              Private Secretary I
                                                                                                                     FACILITIES & SUPPORT SVCS                                            POSITION ORGANIZATION CHART
                                                                                                10409 SR-20            Assistant Superintendent
                                                                                                                                60008




                                                                     STUDENT TRANS                                                                SCHOOL FOOD SERVICES
                                                                      SVCS BRANCH                                                                       BRANCH
                                                                   Student Transportation
                                                                                                      Secretary II                                 Food Services Manager                 Secretary III
                                                                     Services Manager
                                                                                                     33949 SR-14                                       9474 EM-05                        6852 SR-16
                                                                       17472 EM-03


                                                                                                                                                                                         Clerk Typist II
                                                    Administrative                                                                                                                                         2/ 2/
                                                                                      Account Clerk III                                               School Lunch Services              26674, 58610
                                                   Services Assistant
                                                                                      801102 SR-11                                                         Supervisor                            SR-8
                                                    38496 SR-22
                                                                                                                                                          9887, 9894
                                                                                                                                                          9899, 15282
                                                       School Bus                         Cashier I                                                       58606, 58607 2/ 2/
                                                     Trans Officer III                  59094 SR-10                                                       58608, 58609 2/ 2/
                                                     17247, 17248                                                                                                SR-24
                                                     17249, 17473
                                                     18016, 28710
                                                     43942, 59092                      Clerk Typist II
                                                            SR-18                      800856 SR-8                                                       Accountant IV
                                                                                                                                                         28842 SR-22           2/

                                                   School Bus Driver     1/
                                                    59096, 59097                                                                                           Commodity
                                                    59098, 59099                                                                                      Distribution Assistant
                                                    59100, 59101                                                                                         10490 SR-15
                                                    59102, 59103
                                                    59104, 59105
                                                    59106, 59107                                                                                         Clerk Typist II
                                                    59108, 59109                                                                                        801148, 801149         3/   3/
                                                    59159, 59162                                                                                        801150, 801151         3/   3/
                                                    59163, 59164                                                                                        801152, 801153         3/   3/
                                                    59165 BC-07                                                                                         801154, 801155         3/   3/
                                                                                                                                                                   SR-8




1/ All School Bus Driver positions are .50 FTE positions
2/ Permanent position, Special funds
3/ Temporary position, Federal funds
                                                                                                                                                                                                                   E-3   6/30/10
STATE OF HAWAII
                                                                                                                                                                                                    DEPARTMENT OF EDUCATION
                                                                                                                                                                                        OFFICE OF SCHOOL FACILITIES AND SUPPORT SERVICES
                                                                                                                                                                                                  POSITION ORGANIZATION CHART



                                                                                                                             FACILITIES
                                                                                                                        DEVELOPMENT BRANCH
                                                                                                                         Public Works Administrator           Secretary IV
                                                                                                                               17048 EM-08                   10127 SR-18
                                                                                        STANDARDS & QUALITY
                                                                                          ASSURANCE UNIT
                                                                                           General Professional VII                                    Facilities Planner III
                                                                                               801485     SR-28                                          60004 EO-8


                                                                                                    Architect V
                                                                                                  30282, 800936
                                                                                                           SR-26



                  PLANNING SECTION                                                                                            PROJECT MANAGEMENT                                                                      CONSTRUCTION
                                                                                                                                    SECTION                                                                        MANAGEMENT SECTION
                     CIP Planner III                      Secretary II                                                          Public Works Manager                Secretary II                                      Public Works Manager
                     69287 EO-8                          16258 SR-14                                                               10521 EM-07                     10169 SR-14                                           21365 EM-07


                                                                                                                                                                   Clerk Typist II
                                                         Clerk Typist II                                                                                                                                Clerk Typist II                     Secretary II
                                                                                                                                                                  38671, 800995
                                                         8915 SR-8                                                                                                                                      48138 SR-8                         43977 SR-14
                                                                                                                                                                            SR-8




BUILDING INSPECTION                    PLANNING UNIT I                     PLANNING UNIT II                     PROJECT MANAGEMENT             PROJECT MANAGEMENT               PROJECT MANAGEMENT                     CONSTRUCTION
   PLANNING UNIT                                                                                                       UNIT I                         UNIT II                          UNIT III                       MANAGEMENT UNIT
 Engineer VI (Buildings)                CIP Planner II                        Planner VI                             Engineer VI                    Engineer VI                       Architect VI                       Engineer VI
    10172 SR-28                         60069 EO-7                          50928 SR-26                             10613 SR-28                    48139 SR-28                       1375 SR-28                         17029 SR-28

                                                                                                                       Engineer V                                                      Architect V
        Engineer V                     Facilities Planner II                    Architect V                                                             Engineer V                                                             Engineer V
                                                                                                                      10617, 12690                                                    6683, 10649
       41692 SR-26                       68017, 73063                         116395 SR-26                                                             2686, 44987                                                           801085 SR-26
                                                                                                                      41181, 800945                                                          SR-26
                                                     EO-7                                                                                              116583 SR-26
                                                                                                                              SR-26
                                                                                                                                                                                                                              Architect V
         Engineer IV                                                             Planner V                                                                                             Architect IV
                                                                                                                                                                                                                            116797, 17030
       110715 SR-24                                                            00105 SR-24                             Engineer IV                      Engineer IV                   5851 SR-24
                                           Engineer V                                                                                                                                                                       17039 SR-26
                                                                                                                      40831 SR-24                      53161 SR-24
                                         800944 SR-26
    Building Construction                                                                                                                                                              Architect III                      Building Construction
         Inspector II                                                                                                                                   Architect V                   10654, 19057                             Inspector III
                                                                                                                      Drafting Tech VI
       41693, 41696                                                                                                                                    12688, 44819                          SR-22                           17032 SR-21
                                                                                                                       10591 SR-17
       112264, 112265                                                                                                                                         SR-26
                SR-19                                                                                                                                                                                                     Building Construction
                                                                                                                                                                                     Drafting Tech VI
                                                                                                                                                                                                                                Inspector II
                                                                                                                                                         Architect III                17018 SR-17
                                                                                                                                                                                                                               9965, 17036
                                                                                                                                                       52725 SR-22
                                                                                                                                                                                                                               17037, 17041
                                                                                                                                                                                                                               17043, 17052
                                                                                                                                                                                                                                       SR-19

                                                                                                                                                                                                                                     E-4                   6/30/10
STATE OF HAWAII
                                                                                                                                                                                            DEPARTMENT OF EDUCATION
                                                                                                                                                                                OFFICE OF SCHOOL FACILITIES AND SUPPORT SERVICES
                                                                                                                                                                                          POSITION ORGANIZATION CHART


                                                                                                                                        FACILITIES
                                                                                                                                  MAINTENANCE BRANCH
                                                                                                                                                                Clerical Supervisor III
                                                                                                                                    Engineering Program
                                                                                                            Secretary IV                                           37312 SR-14
                                                                                                                                       Administrator
                                                                                                           17567 SR-18
                                                                                                                                      17064 EM-08
                                                                                                                                                                       Clerk Typist III
                                                                                                                       Work Program                                    17063, 39961
                                                                                                                        Specialist IV                                          SR-10
                                                                                                                       17057 SR-22
                                                                                                                                                                       Clerk Typist II
                                                                                                                                                                       44048, 51174
                                                                                                                                                                       59948, 59987
                                                                                                                                                                               SR-8



                               REPAIR & MAINTENANCE                                                                               PURCHASING SERVICES                                                     REPAIR & MAINTENANCE
                                OPERATIONS SECTION                                                                                       OFFICE                                                           ENGINEERING SECTION
                                                                                                                                   Procurement & Supply
                                       Engineer VI                  Secretary II                                                                                                                                   Engineer VI                  Secretary II
                                                                                                                                       Specialist III
                                      21367 SR-28                  26465 SR-14                                                                                                                                    17077 SR-28                 112422 SR-14
                                                                                                                                      59832 SR-20

                                                                                                                                         Purchasing Tech I                                        Engineer V                      Engineer V
                                                                                                                                          17059, 28633                                           (Mechanical)                      (Electrical)
                                                                                                                                                  SR-11                                         34313, 55076                     34314 SR-26
  Engineer V              School Custodial                 General                      General Maintenance &                                                                                           SR-26
   (Building)                Svcs Supt                  Professional V                  Services Superintendent
 33286 SR-26               16773 SR-21                  16260 SR-24                          59890 SR-24


                                                                                      HONOLULU DISTRICT UNIT
                                                                                     Bldg Maintenance District Supv
                                                                                             17114 F3-10



                   CARPENTRY AND BUILDING                                                                                      ELECTRICAL AND PLUMBING
                                                                                                                                         SUBUNIT                                          Power Mower Operator
                     MAINTENANCE SUBUNIT
                                                                                                                                                                                               Supervisor
                   Bldg Maintenance Supervisor II                                                                              Bldg Cons & Maintenance Supv I
                                                                                                                                                                                             16785 F1-04
                           17183 F2-09                                                                                                 17163 F1-10


                                                                                                                                                                                               Tractor Operator
CARPENTRY GROUP                           ROOFING AND                              BLDG MAINTENANCE                        ELECTRICAL GROUP       PLUMBING GROUP                                17556, 22055
                                       MAINTENANCE SVCS                                  GROUP
                                                                                                                                                                                                        BC-04
   Carpenter II                        Bldg Mntnce Worker II                       Bldg Mntnce Worker II                      Electrician II           Plumber II
  17078 WS-09                             17120 WS-09                                 43533 WS-09                            17187 WS-10             17156 WS-10
                                                                                                                                                                                                Power Mower
                             Bldg Maintenance        Heavy Truck Driver                Bldg Maintenance                                                                                          Operator I
     Carpenter I                                                                                                                 Electrician I            Plumber I
                                 Worker I               3869, 6020                         Worker I                                                                                             16790, 16791
    17069, 17081                                                                                                                17166, 17171            17159, 17161
                               17129, 17188                  BC-07                       43534, 43535                                                                                           16792, 16806
    17085, 17087                                                                                                                17175 BC-10                    BC-10
                                      BC-09                                              43537, 43538                                                                                                  BC-03
    17184 BC-09
                                                       Utility Worker                    43539, 43541
                                                       11945, 16793                             BC-09
                                                                BC-03                                                                                                                                                            E-5                  6/30/10
STATE OF HAWAII
                                                                                                                                                                                    DEPARTMENT OF EDUCATION
                                                                                                                                                                        OFFICE OF SCHOOL FACILITIES AND SUPPORT SERVICES
                                                                                                                                                                                  POSITION ORGANIZATION CHART




                                                                                         CENTRAL DISTRICT UNIT
                                                                                       Bldg Maintenance District Supv
                                                                                               17147 F3-10


                   CARPENTRY AND BUILDING                                                                                        ELECTRICAL AND PLUMBING
                                                                                                                                                                                  Power Mower Operator
                    MAINTENANCE SUBUNIT                                                                                                   SUBUNIT
                                                                                                                                                                                       Supervisor
                   Building Maintenance Supv II                                                                                 Bldg Cons & Maintenance Supv I
                                                                                                                                                                                     16783 F1-04
                           17177 F2-09                                                                                                  17148 F1-10


                                                                                                                                                                                       Tractor Operator
CARPENTRY GROUP                            ROOFING AND                    BLDG MAINTENANCE                              ELECTRICAL GROUP            PLUMBING GROUP                      25213, 27080
                                        MAINTENANCE SVCS                        GROUP
                                                                                                                                                                                        44199 BC-04
   Carpenter II                         Bldg Mntnce Worker II             Bldg Mntnce Worker II                            Electrician II               Plumber II
  17066 WS-09                              17125 WS-09                       17090 WS-09                                  17164 WS-10                 17151 WS-10

                                                                                                                                                                                        Power Mower
                               Bldg Maintenance
     Carpenter I                                     Heavy Truck Driver       Bldg Maintenance                                Electrician I                Plumber I                      Operator I
                                   Worker I
    17070, 17071                                       16795 BC-07                Worker I                                   17170, 17174                17158, 33428                   16807, 16809
                                 17126, 17133
    17074, 17084                                                                17208, 39788                                 33430 BC-10                        BC-10                   44200 BC-03
                                        BC-09
    17088 BC-09                                                                 39790, 39792
                                                        Utility Worker          43540 BC-09
                               Bldg Maintenance         16820, 18561
                                    Helper                       BC-03                                                                                                                                    E-6    6/30/10
                                 21596 BC-05
STATE OF HAWAII
                                                                                                                                                                                     DEPARTMENT OF EDUCATION
                                                                                                                                                                         OFFICE OF SCHOOL FACILITIES AND SUPPORT SERVICES
                                                                                                                                                                                   POSITION ORGANIZATION CHART




                                                                                            LEEWARD DISTRICT UNIT
                                                                                          Bldg Maintenance District Supv
                                                                                                  17065 F3-10


                   CARPENTRY AND BUILDING                                                                                        ELECTRICAL AND PLUMBING
                                                                                                                                                                                  Power Mower Operator
                    MAINTENANCE SUBUNIT                                                                                                    SUBUNIT
                                                                                                                                                                                       Supervisor
                  Bldg Maintenance Supervisor II                                                                                 Bldg Cons & Maintenance Supv I
                                                                                                                                                                                     16789 F1-04
                          17067 F2-09                                                                                                    17149 F1-10



CARPENTRY GROUP                               ROOFING AND                    BLDG MAINTENANCE                        ELECTRICAL GROUP                PLUMBING GROUP                    Tractor Operator
                                           MAINTENANCE SVCS                        GROUP
                                                                                                                                                                                        16801, 18559
   Carpenter II                            Bldg Mntnce Worker II             Bldg Mntnce Worker II                          Electrician II               Plumber II
                                                                                                                                                                                        24415 BC-04
  17072 WS-09                                 17121 WS-09                       17123 WS-09                                17139 WS-10                 17153 WS-10

                                 Bldg Maintenance
     Carpenter I                                        Heavy Truck Driver       Bldg Maintenance                              Electrician I                Plumber I                   Power Mower
                                     Worker I
    17076, 17083                                          17206 BC-07                Worker I                                 17169, 17172                17154, 33427                    Operator I
                                   17136, 17141
    17092, 17093                                                                   43543, 43549                               33429 BC-10                        BC-10                  16788, 16805
                                          BC-09
    24786 BC-09                                                                    43551, 43552                                                                                         44198 BC-03
                                                          Utility Worker           43553 BC-09
                                 Bldg Maintenance         16797, 16817
                                      Helper                       BC-03
                                   17212 BC-05                                                                                                                                                            E-7     6/30/10
STATE OF HAWAII
                                                                                                                                                                              DEPARTMENT OF EDUCATION
                                                                                                                                                                  OFFICE OF SCHOOL FACILITIES AND SUPPORT SERVICES
                                                                                                                                                                            POSITION ORGANIZATION CHART




                                                                                           WINDWARD DISTRICT UNIT

                                                                                          Bldg Maintenance District Supv
                                                                                                  17089 F3-10


                  CARPENTRY AND BUILDING                                                                                          ELECTRICAL AND PLUMBING
                                                                                                                                                                                Power Mower Operator
                   MAINTENANCE SUBUNIT                                                                                                     SUBUNIT
                                                                                                                                                                                     Supervisor
                  Building Maintenance Supv II                                                                                   Bldg Cons & Maintenance Supv I
                                                                                                                                                                                   16804 F1-04
                          17079 F2-09                                                                                                    21401 F1-10


                                                                                                                                                                                     Tractor Operator
CARPENTRY GROUP                              ROOFING AND                     BLDG MAINTENANCE                        ELECTRICAL GROUP                PLUMBING GROUP                   16799, 16800
                                          MAINTENANCE SVCS                         GROUP                                                                                                      BC-04
   Carpenter II                           Bldg Mntnce Worker II              Bldg Mntnce Worker II                          Electrician II               Plumber II
  17091 WS-09                                17119 WS-09                        43555 WS-09                                17168 WS-10                 17152 WS-10

                                                                                                                                                                                      Power Mower
                                Bldg Maintenance                                 Bldg Maintenance
     Carpenter I                                        General Laborer II                                                     Electrician I                Plumber I                  Operator I
                                    Worker I                                         Worker I
    17082, 17095                                         17197 BC-03                                                          17167. 17173                17160, 33426                16787, 16803
                                  17117, 17186                                     43542, 43544
    17096, 17098                                                                                                              39787 BC-10                        BC-10                16808, 16810
                                  17210 BC-09                                      43545, 43546
    17130 BC-09                                                                                                                                                                              BC-03
                                                                                   43547 BC-09
                                                        General Laborer I
                                   Truck Driver          17202 BC-02
                                  16142 BC-06
                                                                                                                                                                                                        E-8   6/30/10
STATE OF HAWAII
                                                                                                                                                                                DEPARTMENT OF EDUCATION
                                                                                                                                                                    OFFICE OF SCHOOL FACILITIES AND SUPPORT SERVICES
                                                                                                                                                                              POSITION ORGANIZATION CHART




                                                                                                                  SUPPORT DISTRICT UNIT
                                                                                                                 Bldg Maintenance District Supv
                                                                                                                         17176 F3-10


                         GENERAL CONSTRUCTION                                             AUTOMOTIVE SERVICE AND                                               GENERAL CONSTRUCTION                                  AUTOMOTIVE SERVICE AND
                        AND MAINTENANCE GROUP I                                                 REPAIR GROUP                                                  AND MAINTENANCE GROUP II                                    REPAIR GROUP
                        Bldg Cons & Maintenance Supv I                                     Auto Mechanic Supervisor I                                         Cons & Maintenance Supervisor                             Auto Mechanic Supv I
                                17108 F1-10                                                      16778 F1-10                                                         17190 F1-10                                           17214 F1-10


                                                                                                                                                                                                                           Automotive Tech I
MASONRY SERVICES    CONSTRUCTION AND               BUILDING                                                                           GENERAL LABOR               WELDING & FURNITURE
                                                                                                  Auto Technician II                                                                                                        17215, 17216
                    MAINTENANCE SVCS         MAINTENANCE SVCS        Cabinet Maker II                                                    SERVICES                   REPAIR SERVICES           Heavy Truck Driver
                                                                                                   16779 WS-11                                                                                                                      BC-11
     Mason II        Heavy Truck Driver      Bldg Mntnce Worker II    17181 WS-10                                                     General Laborer III              Welder II               17207 BC-07
  17111 WS-10          17209 BC-07              17185 WS-09                                                                            17195 WS-03                   17100 WS-10

                                                                                                  Auto Technician I                                                                                                         Auto Mechanic I
        Mason I                                   Bldg Maintenance      Cabinet Maker I                                                  General Laborer II               Welder I
                          Truck Driver                                                             25668 BC-11                                                                                                               16796 BC-10
     17106, 17110                                     Worker I          17180, 17182                                                      17198, 17199                  17101, 17102
                         18560 BC-06
     17112, 17113                                   17138 BC-09                 BC-10                                                     17219 BC-03                   35790 BC-10
            BC-10                                                                                 Auto Mechanic I
                                                                                                   16780, 16784                                                        Bldg Maintenance
                                                                                                   18558 BC-10                                                              Helper
                                                                                                                                                                         35791 BC-05

                                                                                                Auto Mechanic Helper
                                                                                                                                                                                                                   E-9             6/30/10
                                                                                                   16786 BC-05
STATE OF HAWAII
                                                                                                                                                                                     DEPARTMENT OF EDUCATION
                                                                                                                                                                         OFFICE OF SCHOOL FACILITIES AND SUPPORT SERVICES
                                                                                                                                                                                   POSITION ORGANIZATION CHART

                                                                                                                                                                      Assistant
                                                                                                                                                                    Superintendent
                                                                                                                                                                       60008



                                                                                                                                                               SAFETY AND EMERGENCY
                                                                                                                                                               PREPAREDNESS BRANCH
                                                                                                                                                                   Facilities Director          Secretary II
                                                                                                                                                                    60007 EO-10                16259 SR-14


                                                                                                                                                                                                Clerk Typist II
                                                                                                                                                                                               45351 SR-08



                                                                                                                                                                                         SCHOOL INSPECTION
                                                                                                                                    Safety & Security
                                                                                                                                                                 Program Specialist IV        PROGRAM
                                                                                                                                      Specialist II
                                                                                                                                                                    15763 SR-22            School Inspection
                                                                                                                                     60030, 69632
                                                                                                                                     69283 EO-7                                           Program Specialist II
                                                                                                                                                                                             73067 EO-7

                                                                                                                                                                                                Clerk Typist II
                                                                                                                                        Clerk Typist II                                           (.50 FTE)
                                                                                                                                        801484 SR-8       2/                                    51181 SR-8



                   School Grounds                                                              School Grounds
                Maintenance Supervisor                                                      Maintenance Supervisor
                    16134 F3-04                                                                 16781 F3-04




  HAWAII BASEYARD                                                                   Kauai             1/             Molokai
                                     Truck Driver                              Tractor Operator                    Power Mower
                                    16143 BC-06                                  18709, 49606                       Operator I
    Tractor Operator                                                                    BC-04                     16251 BC-03
     16135, 16136
     16137, 16141
     16178, 16205                                                                  Maui                                Maui
     16210 BC-04                                                           Power Mower Operator II               Tractor Operator
                                                                               16149 WS-03                        36849 BC-04

  Hawaii Power Mower
       Operators                                                                Power Mower
  13 Positions BC-03                                                              Operator I
                                                                                25625, 39934
                                                                                       BC-03



1/ Positions receive administrative supervision by Business Management Officer I – 800812 (Kapaa/Kauai/Waimea Complex Area)
2/ Temporary position, Federal funds; position receives technical supervision from Safety & Security Spec II, position no. 60030                                                                                  E-10   6/30/10
STATE OF HAWAII
                                                                                                                                                                                                  DEPARTMENT OF EDUCATION
                                                                                                                                                                                      OFFICE OF SCHOOL FACILITIES AND SUPPORT SERVICES
                                                                                                                                                                                                POSITION ORGANIZATION CHART




                                                                                                            AUXILIARY SERVICES
                                                                                                                  BRANCH
                                                                                  Administrative
                                                                                                           Auxiliary Services Director               Secretary IV
                                                                                 Services Assistant
                                                                                                                 60003 EO-10                         8413 SR-18
                                                                                  36446 SR-22



                     PROJECT CONTROL                                            INFORMATION SYSTEMS                                  SCHOOL SUPPORT                                                                             REPROGRAPHIC
                         SECTION                                                                                                        PROGRAM                                                                                    SECTION
                                                                                Data Processing Systems
                         Fiscal Specialist II                    Secretary II                                                            Budget Specialist II                                    Secretary II             Reprographic Specialist III
                                                                                       Analyst VI
                           66354 EO-7                           59831 SR-14                                                                60110 EO-7                                           19181 SR-14                    66351 EO-8
                                                                                    801161 SR-26

                                                                                       Data Processing
                                                                                                                      Account Clerk II                           Secretary II                                                                    Account Clerk V
                                                                                      Systems Analyst V
                                                                                                                      800873 SR-8                               57772 SR-14                                                                       19180 SR-15
                                                                                        27741 SR-24

                                                                                       Data Processing
      Staff Services Asst                   Admin Svcs Asst                                                                                               School Custodian II                                                                     Clerk Typist II
                                                                                      Systems Analyst IV
       801081 SR-14         1/               59830 SR-22                                                                                                    29762 BC-02                                                                           44450 SR-8
                                                                                        26871 SR-22
                                                                                                                                                                                                         PRINTING UNIT
                                                                                    Data Processing User
     Property Manager V
                                                                                     Support Technician                                                                                                   Work Program
       801082 SR-24     1/
                                                                                      800992 SR-15                                                                                                         Specialist V
                                                                                                                                                                                                          17056 SR-24
                                                                                                                                                                                                                                                  Compositor II
                                                                                                                                                                                                                                                  21961 WS-9
        Work Program                                                                               SCHOOL ENERGY                   HAWAII 3Rs PROGRAM                      MAILROOM UNIT                         Offset Press
                                         General Professional VI
         Specialist IV                                                                           CONSERVATION PROG                                                                                               Operator IV
                                            800726 SR-26
        10655 SR-22                                                                               Energy Conservation                                                                                           21958 WS-9
                                                                                                                                 Special Projects Coordinator                     Clerk IV                                                        Compositor I
                                                                                                      Coordinator
                                                                                                                                       117073 SRNA            2/                1781 SR-10                                                        19175 BC-9
                                                  School Lands &                                     59887 SR-24                                                                                             Offset Press
          Account Clerk V
                                                 Facilities Specialist                                                                                                                                        Operator II
           17221, 27939
                                                   8534 SR-22                                                                                                                                             15432, 44221 BC-8
                  SR-15                                                                                 Engineer V                                                                  Clerk I                                                   Illustrator - Photographer
                                                                                                       33205 SR-26                                                               14195, 37314                                                        19189, 44170
                                                  Departmental                                                                                                                           SR-4                   Offset Press                                 SR-17
                                                Contracts Specialist                                                                                                                                             Operator III
                                                 801494 SR-22        3/                                                                                                                                         14678 BC-9

                                                                                                                                                                                                             Offset Press
                                                Contracts Assistant II
                                                                                                                                                                                                             Operator II
                                                   1284 SR-15
                                                                                                                                                                                                            21959 BC-8


                                                                                                                                                                                                                  Clerk IV
                                                                                                                                                                                                                19186 SR-10


                                                                                                                                                                                                                  Clerk III
1/ Temporary position, Revolving funds                                                                                                                                                                          19173 SR-8
2/ Temporary Exempt position, General funds
3/ Temporary position, Special funds                                                                                                                                                                                               E-11                    6/30/10
DEPARTMENT OF EDUCATION

                OFFICE OF SCHOOL FACILITIES AND SUPPORT SERVICES

                                  FUNCTIONAL STATEMENT


The Office of School Facilities and Support Services (OSFSS) exercises technical staff
oversight of business, construction and maintenance of facilities, food services, and
transportation support for the public school system. The OSFSS develops and administers
administrative rules and regulations, publishes operational guidelines and provides related in-
service training, monitoring and technical assistance to schools to ensure that the support is
being provided in accordance with laws, policies, and accepted principles of management. The
OSFSS’ technical oversight of the schools' support services is exercised in collaboration with
the Complex Area Superintendent of the respective school districts.

The business branches of the OSFSS directly provide schools and state and district
administrative offices with the following centralized support services: managing the statewide
programs for school food services and school bus transportation services; developing,
managing, and maintaining a statewide school construction program; managing the central
facilities inspection and repair/maintenance programs; providing schools with consulting
services in landscaping, custodial and campus security attendant programs; developing and
monitoring the Neighbor Island Service Level Agreements with the Department of Accounting
and General Services (DAGS); coordinating teacher and custodial personnel housing; providing
training on safety, security, civil defense, hazardous materials disposition, and traffic safety;
maintaining a central mail distribution system; providing a central reprographic activity; and
providing energy conservation staff services.


AUXILIARY SERVICES BRANCH

Provides staff services support to the Facilities Development and Facilities Maintenance
branches, develops and monitors the Neighbor Island Service Level Agreements with the
DAGS, monitors the school’s responsibility in meeting facilities related Energy Conservation
Requirements; and provides management analyses services, including methods and
procedures studies, personnel staffing requirement reviews, organizational analyses, statistical
analyses, development of appropriate reorganization proposals, and management advisory
services. Coordinates the distribution of the DOE mail using an array of carriers and mailing
and addressing options.

Project Control Section

•   Provides various staff services to the Assistant Superintendent and to the OSFSS as a
    whole including general management assistance; operating budget preparation and
    execution; program control; financial management; obtaining project funding and providing
    current and final project costs; tracking of projects; and processing and preparing contracts.

•   Performs Control Functions. Monitors the funds expended in providing planned services to
    assure funds are appropriately expended; identifies deviations from authorized and/or
    planned expenditures. Reviews payments to contractors for services provided in
    accordance with contracts. Develops financial reports at periodic intervals to report
    progress.

•   Receives and evaluates operational data and develops program policies, procedures,
    standards and plans.

•   Participates in the development of the capital improvements program (CIP) and repair and
    maintenance (R&M) budget request.

•   Coordinates or participates in research and development activities in formulating long-range
    goals.

•   Provides allotment services for CIP as well as operating funds and maintains records of
    funds appropriated and allotted and the allocations of same. Maintains system for
    monitoring funding and status of all active projects.

•   Provides to date expenditures and encumbrances for project budget estimates and final
    costs of projects for inventory purposes.

•   Provides contracting services oversight and coordination for Facilities Development
    Branch’s consultant and construction contracts, including calling for bids, assessing

                                              E-12                                          6/30/10
prospective bidders, awarding of contracts, preparing and processing of contracts,
    amendments, and purchase orders thereto, and updating standard contract documents in
    cooperation with legal counsel and line functions.

•   Maintains system for monitoring the status of projects from the call to bids until the issuance
    of notice to proceed and fully executed contracts.

Information Systems

•   Oversees the technical development, implementation, and system maintenance of the
    FACTRAK Information System, Maximo Work Order System, Facility Inventory System, and
    other OSFSS Information Systems initiatives.

•   Administers the procurement, installation, and maintenance of data processing and office
    automation systems, hardware, and software for the Office of School Facilities and Support
    Services.

•   Manages the operation of the Project Management System and Electronic Leave System
    (ELS).

School Support Program

•   For the Neighbor Islands, coordinates the development of major R&M projects, including
    the determination of statewide budgets and priorities and monitoring the projects among
    schools pursuant to the Service Level Agreement.

•   Prepares the budget request for water, sewer, and gas for the schools, prepares monthly
    projections on the status of the funds and processes all bill payments centrally. Annually
    calculates the monthly sewer rates for Oahu schools and submits the proposal to the City &
    County of Honolulu for negotiation and approval.

•   Prepares the budget request for Department-wide courier service and negotiates contracts
    for courier service to all schools and offices for the Department of Education.

•   Prepares the budget request for school service and maintenance contracts, prepares
    monthly projections on the status of the funds and processes all invoice payments centrally.

•   Coordinates the school furniture and equipment program with Facilities Maintenance
    Branch, schools, and districts. Compiles and maintains the specifications for the school
    furniture pricelist.

•   Compiles data and prepares budgetary documents and monitors plans and budgets of the
    EDN 400 R&M program for conformity.

•   Coordinates and develops data and assists in drafting legislative proposals and testimonies
    on matters affecting the Office of School Facilities and Support Services CIP and R&M
    programs.

    Mailroom Unit

    •   Provides pick up and delivery mail service to all schools and DOE offices on Oahu and
        to the District Offices on the outer islands.

    •   Centrally sorts and distributes all incoming and outgoing DOE mail, involving DOE
        employees, students, private businesses and State agencies.

    •   Distributes mail (ranging from employee payroll checks to student data and test
        materials) using an array of carriers, mailing options and mailing equipment.

    School Energy Conservation Program

    •   Administers the DOE energy use and conservation program.

    •   Analyzes school utility consumption patterns and recommends practical energy savings
        methods.

    •   Coordinates development and implementation of energy conservation proposals for
        schools with the Department of Business, Economic Development, and Tourism
        (DBEDT), utility companies, other government organizations, outside organizations.



                                               E-13                                        6/30/10
•   Prepares budget requests for electricity for DOE and determines electricity allocations of
        appropriated funds to schools and DOE organizations.

    •   Provides consultation services on technical problems related to electrical utilities and
        buildings.

    •   Pays the centralized invoices for school electricity bills.

    •   Oversees the School installed air conditioning program.

    Hawaii 3Rs

    •   Coordinates the Hawaii 3Rs program for the Department of Education.

    •   Assists in the coordination of the Joint Venture Education Forum (JVEF) repair and
        maintenance projects with schools and the military.

    •   Coordinates the statewide playground equipment program.

Reprographic Section

•   Provides planning, budgeting, designing, preparation, printing, and distribution services to
    all schools and State and District Offices in the DOE. Printed items include reports,
    announcements, memoranda, operational forms, curriculum guides, manuals, brochures,
    attendance forms, posters, and other educational materials.

•   Manages printing according to scheduled lists, unscheduled job submissions, and control
    quarterly expenditures.

•   Sets quality standards for in-house and commercial printing.

•   Awards commercial printing jobs under $25,000.

•   Reviews and processes purchase orders and invoices related to printing and other
    operational requirements.

•   Provides on-the-job learning opportunities to McKinley High School students by partnering
    with graphic arts curriculum/classes (printing and graphics).

•   Provides consultative services in the technical and creative aspects of preparing materials
    to be printed.

•   Provides graphic services for printing, including artwork, photography, photo typesetting
    and computer-generated type and visuals.

    Printing Unit

    •   Provides consultative services regarding printing production format, paper stock,
        methods of binding, production time and estimates total production costs of all printing
        jobs.

    •   Provides plate making, printing, and binding services.

    •   Provides black/white and color copying services.

    •   Prepares specifications for commercial printing, consults with vendors, and reviews
        quotes.

    •   Provides consultative services on funding, general printing requirements, and
        distributions.

    •   Arranges and coordinates distribution of printed materials to offices, schools, and other
        agencies.


FACILITIES DEVELOPMENT BRANCH

Plans, coordinates, organizes, directs and controls a variety of engineering and architectural
services including land acquisition, planning, designing, project management, construction



                                                E-14                                       6/30/10
inspection, design & construction quality control, contracting, construction management, and
equipping facilities and improvements for the Department of Education.

•   Plans and directs the expenditure of Capital Improvement and Repair and Maintenance
    Funds and other operating funds released to the Department for projects.

    Standards and Quality Assurance Unit

    •   Follows up on warranty requirements. Coordinates with and assists the Attorney General
        in litigation involving Department projects.

    •   Develops/revises design and construction guidelines based on feedback from staff and
        in consultation with the various industry organizations. Disseminates information and
        arranges for staff training where necessary.

    •   Assists in the development, approval, and revision of the Educational Specifications.

Planning Section

Administers and directs the planning activities of the Department’s schools and other facilities.
Provides land acquisition coordination and planning services; formulates and implements the
Department’s CIP and R&M budget requests; reviews office space needs and conducts other
studies as directed.

The branch is organized into the Building Inspection Planning Unit, Planning Unit I and Planning
Unit II.

    Building Inspection Planning Unit

    •   Provides technical support to identify, cost, plan and evaluate repair projects and make
        recommendation on the condition of department facilities.

    •   Provide staff assistance in project tracking activities to prioritize, schedule, budget and
        monitor construction and subsequent warranty period for major R&M projects.

    •   Scope work, formulate requirements, solicit bids and monitor construction activity for
        major R&M projects initiated by staff contract.

    •   Provide for the overall management of repair and maintenance services and implements
        a preventative maintenance program for department facilities.

    •   Administers databases and report generation for repair and maintenance projects.

    Planning Unit I

    •   Maintains annual records on use of classrooms. Prepares and disseminates Classroom
        Utilization Report. Determines classroom requirements and estimates future classroom
        needs.

    •   Reviews, proposes amendments and interprets administrative rule, Chapter 8-39, Use of
        School Buildings, Facilities and Grounds.

    •   Conducts studies for the development of new schools.

    •   Coordinates the preparation of complex development plans with schools and districts.

    •   Assists in determining the feasibility of school service boundary changes, school grade
        reorganizations; alternative means to accommodate overcrowded schools, and the need
        for new schools.

    •   Prepares school capacity deficit summaries by districts for the six-year planning period.

    •   Prepares draft budgets, coordinates with school complexes and districts, and finalizes
        the state budget draft for approval.

    •   Prepares submittal for executive budget requests and for legislative submittal and
        testimonies, and lobbies for the budget.

    •   Prepares expenditure plans, initiates appropriated projects, and monitors expenditures
        and funding.

                                                E-15                                        6/30/10
•   Maintains and disseminates quarterly status of school CIP projects and computer files of
       all ongoing projects, and the CIP Annual Report. Maintains files of all completed
       projects, appropriate statistics related to costs, numbers and locations of projects.

   •   Provides training for school administrators and personnel, school organizations, and
       community members on planning and financing schools and offices, including the CIP
       budgeting and expenditure cycles or understanding of legislative appropriations.

   •   Provides assistance, workshops or briefings for school complexes, school community
       groups or faculties, public or legislative hearings on the relationship of housing
       developments to the need for new school facilities.

   Planning Unit II

   •   Prepares cost estimates and schedules for land, plans, design, construction and
       equipment for proposed projects. This includes analysis and ranking of alternatives by
       cost effectiveness, risk, and other factors for meeting program space needs and
       schedules.

   •   Prepares site selection studies and assists in making presentations to interested groups.
       Coordinates the actual acquisition of the site, including securing subdivision or
       consolidation approvals, state land use boundary change and/or county general plan
       and zoning changes. Prepares tenant relocation plans, coordinates the relocation of all
       tenants from the site, and disburses the appropriate compensation.

   •   Prepares complex development reports when a number of buildings are to be built on a
       site and project development reports (as required) for the individual buildings.

   •   Processes project initiations, makes environmental assessments, provides scope of
       work, prepares engineering estimates of the project cost and schedule, and as
       applicable, preparing an analysis of alternatives for providing the program spaces
       required. Prepares and files environmental notices for each project as necessary.

   •   Coordinates the development of future school sites and existing school properties.

   •   Processes requests for review of environmental impact statements and environmental
       assessments for change of State zoning and county zoning and county zoning
       classifications, subdivision requests, and other county and State requests related to
       housing developments.

   •   Coordinates and organizes responses to developer requests related to future school
       sites, including fair share contributions, State Land Use Commission submittals, and
       county zoning applications.

   •   Researches, analyzes, prepares responses or possible solutions to requests for
       easements, revocable permits, long-term leases, executive orders, return of surplus
       lands, exchange or purchase of land for schools, encroachments or other problems
       related to school sites or department office locations.

Project Management Section

Provides in-house and consultant design services for new facilities and repairs or alterations of
existing facilities. Generally, the Project Management Unit I performs in-house design of
engineering projects and project management services; Project Management Unit II provides
project management services; and Project Management Unit III conducts in-house
architectural design of projects and project management services.

   Project Management Unit I

   •   Schedules projects for implementation and establishes design criteria.

   •   Prepares design calculations, plans, specifications and other bidding documents;
       establishes scope, negotiates fee and coordinates work of special sub-consultants for in-
       house design projects.

   •   Establishes scope, negotiates fee and administers contracts for projects designed
       entirely by consultants.




                                              E-16                                        6/30/10
•   Requests approval to advertise for bids, prepares addenda, evaluates bid results and
    recommends award, include alternates, if applicable.

•   On a selective basis, provides inspection and administration of contracts let for
    construction of facilities and acquisition of furniture and equipment for such
    improvements in specific instances.

•   Reviews shop drawings and submittals for in-house design projects.

•   Investigates, analyzes and recommends corrective measures for buildings which show
    signs of distress and for ground improvement problems.

•   Establishes scope, negotiates fees and administers contracts for projects designed
    entirely by consultants.

•   Provides immediate engineering technical service in responding to investigations and
    safety evaluations of facilities damaged by fire or natural disaster.

•   Provides professional engineering design services and technical supervision over the
    engineering drafting technicians.

•   Assists in final inspection, interprets plans and specifications during construction,
    reviews and approves changes/additions during construction.

Project Management Unit II

•   Negotiates fee and coordinates work of the prime consultant and reviews and approves
    fee for special sub-consultants for subsurface investigation; surveying and hazardous
    material testing and air monitoring.

•   Reviews plans and estimates prepared by consultants and requires modifications in the
    design, as required, to meet budgetary constraints.

•   Prepares project budget estimates based on design estimates of quantities and cost.

•   Requests approval to advertise for bids, evaluates bid results and recommends award of
    alternates, if applicable.

•   Coordinates the incorporation of Federal requirements in the bidding documents and
    prepares necessary material for submittal to Federal agencies as required.

•   Assists in final inspection, interprets plans and specifications during construction,
    reviews and approves changes and additions that become advisable during
    construction.

•   On occasion administers consultant contracts where consultant is responsible for
    contract administration and inspection of a construction contract.

Project Management Unit III

•   Schedules projects for implementation and establishes design criteria.

•   Prepares design calculations, plans, specifications and other bidding documents;
    establishes scope, negotiates fee and coordinates work of special consultants.

•   Requests approval to advertise for bids; prepares addenda to clarify or correct mistakes
    in bid documents; evaluates bid results and recommends award of alternates, if
    applicable.

•   Checks manufacturers' and contractors' shop drawings; advises and clarifies design
    concept and details; prepares post contract drawings and specifications; and assists in
    final inspection for in-house projects.

•   On a selective basis, provides inspection and administration of contracts let for
    construction of facilities and acquisition of furniture and equipment for such
    improvements in specific instances.

•   Establishes scope, negotiates fee and administers contracts for projects designed
    entirely by consultants.



                                            E-17                                        6/30/10
•   Provides immediate architectural technical service in responding to investigations and
        safety evaluations of facilities damaged by fire or natural disaster.

    •   Investigates, analyzes and recommends corrective measures for buildings which show
        signs of distress.

    •   Provides professional architectural design services and technical supervision over the
        architectural drafting technicians.

Construction Management Section

Provides construction inspection; administers construction management services and contracts
for construction of facilities and acquisition of furniture and equipment for such improvements;
and provides services to scope work, formulate requirements, solicit bids and monitor
construction activity for major R&M projects initiated by purchase order.

•   Holds pre-construction conferences with contractors and subcontractors. Coordinates work
    and settles disputes between different contractors working on separate projects on the same
    job site.

•   Inspects for workmanship and adherence and compliance with contract plans and
    specifications, shop drawings, change orders, and General Conditions.

•   Determines and recommends changes, either additions or deletions, which become
    advisable during construction. Prepares cost estimates, Change Orders, and Statement of
    Funds to incorporate changes. Makes field changes during construction to accommodate
    field conditions.

•   Verifies computation of partial and final payments to contractors and Statement of Contract
    Time. Checks payroll affidavits for compliance with State Wage and Hour Law.

•   Prepares weekly construction reports and other special reports as required.

•   Obtains materials for laboratory testing and prepares sample cards for the project record.
    Arranges for testing, reviews all material and equipment test results and takes appropriate
    action.

•   Performs final inspection of projects, recommends acceptance and prepares Contract
    Completion Report.

•   Maintains a complete and accurate daily construction log.

•   Administers consultant contracts where consultant is responsible for contract administration
    and inspection of a construction contract (construction management services).

•   Scopes work, formulates requirements, solicits bids and monitors construction activity for
    major R&M projects initiated by staff contract.

•   Administers consultant contracts where consultant is responsible for contract administration
    and inspection of a construction contract (construction management services).


FACILITIES MAINTENANCE BRANCH

Plans, coordinates, organizes, directs and controls a variety of services, which include
maintaining and repairing public school buildings and facilities; providing technical support to
school HVAC systems and electrical systems; and providing the overall planning and managing
of repair and maintenance support to school facilities.

Develops and administers policies, rules, regulations, and department budgets for the school
custodial, school landscaping and grounds maintenance programs.

Repair and Maintenance Engineering Section

Provides engineering and technical support to maintain school facilities.

Develops technical specifications, estimates and administers maintenance service contracts for
repair and maintenance functions, including but not limited to air conditioning, elevator
maintenance contracts, refuse pickup, program bells, grease trap and fire extinguishers.


                                              E-18                                       6/30/10
•   Provides technical expertise to program operations on the design, construction, operation,
    maintenance, repair, and inspection of electrical and mechanical equipment and systems.

•   Provides evaluations on replacement or modifications of various existing electrical and
    mechanical systems.

•   Scopes work, formulates requirements, solicits bids, and monitors construction activity for 3-
    quote informal bid repair and maintenance contracts.

•   Provides technical reviews of project plans and specifications for CIP and R&M projects.

•   Maintains and inputs into program databases and utilizes information derived from these
    databases to generate reports for repair and maintenance activity.

Repair and Maintenance Operations Section

Supports planning and implements an on-going and comprehensive program of repair and
preventative maintenance of assigned facilities.

•   Generates staff negotiated repair contracts; plans and implements energy conservation
    measures.

•   Provides overall trade and engineering support services in identifying, budgeting, evaluating
    and implementing repair and maintenance activities.

•   Provides technical expertise to program operations on the design, budgeting, construction,
    operation, maintenance, repair, and inspection of mechanical and electrical
    equipment/systems at assigned school facilities.

•   Provides evaluations on replacement or modifications of various existing electrical and
    mechanical systems.

•   Provides school landscaping and grounds maintenance programs.

•   Develops and administers policies, rules, regulations, and department budgets for the
    school custodial program.

    Windward Oahu, Honolulu, Central Oahu and Leeward Oahu Units

    •   Provides for the overall management of repair and maintenance of school buildings and
        facilities; coordinates these functions with school personnel; develops a program of
        preventative maintenance for school buildings and facilities; and administers a variety of
        repair and maintenance contracts for school buildings.

    •   Operates a centralized lawn mowing service for all Oahu public schools.

        Carpentry and Building Maintenance Subunit--Carpentry Group/Building
        Maintenance Group/Roofing & Maintenance Services

        •   Provides carpentry, painting, and building maintenance services in the repair,
            maintenance, and emergency repairs of assigned school buildings.

        •   Develops a program for regular and preventative maintenance of school buildings
            and other facilities.

        •   Administers contracts for a variety of repair and maintenance functions.

        •   Constructs "finished" wood products such as doors, cabinets, and shelving.

        •   Performs minor roofing repairs, inspection, and maintenance work by clearing
            gutters and downspouts.

        •   Provides utility/auxiliary services: Moving, disposal, etc.

        Electrical and Plumbing Subunit--Electrical Group/Plumbing Group

        •   Provides electrical and plumbing services in the repair, maintenance, and
            emergency repairs of assigned school buildings.




                                                E-19                                      6/30/10
•   Develops a program for regular and preventative maintenance for school buildings
           and other facilities.

       •   Administers contracts for a variety of repair and maintenance functions.

    Support District Unit

    Provides for those repair and maintenance services that are not regularly utilized or which
    are so specialized that their operations would be more efficient if they were centralized and
    assigned out to the other districts as needed.

       General Construction and Maintenance Group I

       •   Provides general construction services to maintain school facilities in good condition.

           Masonry Services

           •   Provides masonry support for school facilities.

           Construction and Maintenance Services

           •   Provides transport support by delivering materials and supplies as well as
               transporting new and used school furniture and equipment.

       Automotive Service and Repair Groups I and II

       •   Provides for the control and disposition of all equipment and vehicles in the branch;
           provides for the repair and maintenance of these equipment and vehicles; and
           provides for equipment operators.

       General Construction and Maintenance Group II

       •   Provides general construction and transport services to maintain school facilities in
           good condition.

           Welding and Furniture Repair Services

           •   Provides support in metal repair work and fabrication to school facilities and
               structures, and maintains, repairs, and refurbishes a variety of furniture to meet
               school needs and to preserve the school furniture and equipment inventory.

           General Labor Services

           •   Provides physical labor to support activities such as erecting fencing,
               delivery/pickup of school furniture, and installing sign posts.

School Custodial Services Program

•   Provides training, workshops, and consultative services on school maintenance, custodial
    scheduling, and custodial practices.

•   Develops supply and equipment standards, evaluates new products and recommends
    purchases for custodial or ground maintenance products for schools.

•   Provides emergency response support as needed.

School Landscaping Services Program

•   Operates a centralized lawn mowing service for all Kauai, Maui and Hawaii islands.
•   Provides landscaping plan assistance, drainage assessment and mitigation planning, school
    grounds maintenance technical assistance and training and school beautification
    consultations for all schools.

Purchasing Services Office

•   Provides for the centralized purchasing and storing of equipment and supplies for the
    branch.




                                              E-20                                        6/30/10
•   Provides for the storing, warehousing, and inventorying of materials, supplies and
    equipment.

•   Provides for centralized school furniture purchasing, storing, and distributing.

•   Provides administrative and technical support for state-sponsored events and activities.


SCHOOL FOOD SERVICES BRANCH

The School Food Services Branch develops and administers statewide program plans, budgets,
policies, standards and specifications for food services operations of the public school system.

Fiscal Management

•   Prepares budgets, expenditure plans, and financial projects for the School Food Services
    Program.

•   Provides technical assistance to the Assistant Superintendent in developing and
    administering fiscal policies and internal control procedures governing program
    expenditures, cafeteria cash collections and meal tickets, delivery/receipt/inventory of
    cafeteria supplies and equipment, and other fiscal transactions of the program.

•   Reviews and analyzes financial data of departmental ledgers and prepares financial reports
    to management for decision-making and evaluation.

•   Participates in the United States Department of Agriculture (USDA) disaster relief program
    for the DOE.

•   Coordinates the administration of the USDA Verification of Free and Reduced Price
    Applications; On-Site Reviews and Coordinated Review Efforts.

•   Meets with independent auditors to discuss findings and recommendations of School Food
    Services Program audits.

Technical Support

•   Reviews, analyzes, and develops intermediate and long-range program plans for
    improvement of the School Food Services Program.

•   Develops and administers the DOE School Food Services Program policies, rules,
    regulations, standards, and specifications governing the operations of public school
    cafeterias.

•   Promotes participation in various child nutrition programs throughout the State by
    disseminating information and publications, and in-servicing Complex Area Superintendent’s
    staff, school staff and school food service managers.

•   Researches, tests, and evaluates new products (food, supplies, equipment, and services)
    and prepares bid specifications, and promotes the introduction of new products in the
    statewide public school system.

•   Coordinates the planning of new cafeteria kitchens, and the renovation and replacement of
    existing cafeteria equipment.

•   Maintains liaison with other DOE state offices and State agencies on matters of mutual
    concern.

•   Consolidates reports from schools for reimbursement claims, staffing, and purchasing
    information.

•   Inspects food service operations of the DOE public schools for compliance with applicable
    federal, state, and county laws and administrative regulations and DOE program policies,
    standards, and specifications.

•   Provides technical assistance and consultation to school principals, food service managers,
    and workers on improving their operations, including, but not limited to, efficient and
    effective utilization of facilities, equipment, supplies, and personnel; improved food
    preparation, handling and storage procedures and practices; reliable recordkeeping;



                                               E-21                                        6/30/10
accounting and reporting; dissemination of program information; and maintaining liaison with
    appropriate local field offices of other state agencies and the county governments.

Commodity Distribution

•   Reviews the DOE menu requirements and requests commodity foods from the Office of
    Hawaii Child Nutrition Program (OHCNP).

•   Consults with the OHCNP on food safety notification, and other USDA Commodity
    Distribution concerns.

•   Allocates and distributes federal commodities to public schools in the most cost-efficient
    manner.

•   Reviews use of commodities by recipient schools.

•   Maintains records and prepares reports on commodity inventory and receipts.

•   Administers the Department of Defense fresh fruits and vegetable commodity purchasing
    program for the DOE schools.


SCHOOL SAFETY AND EMERGENCY PREPAREDNESS BRANCH

Develops and administers policies, rules, regulations, and department budgets for the safety
and security and school inspection programs.

•   Administers the safety and security program for the public school system; plans and
    administers a statewide program to improve school safety, security, as well as emergency
    preparedness.

•   Under the direction of the Deputy Superintendent, administers the department’s
    involvement with the State Civil Defense Program. Communicates with State Civil Defense
    and County Civil Defense in times of emergencies or natural disasters. Coordinates the
    designation of school facilities as evacuation shelters with State Civil Defense.

•   Coordinates the traffic safety program for the public school system; maintains liaison with
    the county police departments and other agencies regarding traffic safety, including the
    Junior Police Officers (JPO) program. Serves on the Oahu Traffic Safety Committee to
    resolve school-related safety concerns.

•   Administers the Federal Asbestos Hazard Emergency Response Act (AHERA) for the
    control, abatement, management, inspection and training.

•   Administers and coordinates night security program for selected schools.

•   Administers and coordinates the surveillance camera program. Provides guidance in the
    use of surveillance cameras. Maintains school justification for surveillance camera
    checklists.

•   Coordinates other activities aimed at preventing, managing, and reducing offenses against
    persons, property, and the living-learning environment of schools; and accidents, injuries
    and losses to students, staff, or other users of school facilities.

•   Coordinates and represents the department in developing helicopter landing guidelines and
    approving appropriate sites.

•   Chairs the department's Statewide Safety Committee meetings. Prepares the monthly
    agenda, disseminates meeting minutes. Administers and coordinates the implementation
    of school safety committees.

•   Administers the department's hazardous materials management program, including
    training, recordkeeping, and mitigation or disposal; coordinates and administers Hawaii
    Occupational Safety and Health (HIOSH) hazard communication standards and program;
    and maintains liaison with the Department of Labor and other appropriate agencies
    regarding HIOSH regulations.

•   Coordinates responses to Hawaii Occupational Safety and Health (HIOSH) issues and
    concerns.



                                              E-22                                        6/30/10
•   Coordinates responses to issues and concerns regarding radon, safe drinking water, lead
    in paint, indoor air quality and electrical and magnetic fields issues and concerns.

•   Coordinates the School Safety manager program with the contractor and school
    administrators; attends to operational matters of the program.

•   Administers the school emergency preparedness program. Provides training and technical
    assistance to schools in the development of school emergency responses, including lock
    downs, shelter in place, and emergency evacuations. Provides bomb threat response
    training and technical assistance to schools; compiles and analyzes bomb threat
    information.

•   Administers and implements the Department's picture identification badge program;
    provides ID production services for all school level administrators, schools on military
    bases, and all district and state employees; maintains employee ID database of all IDs
    issued.

•   Manages and coordinates the school fire inspection program. Acts as liaison to State Fire
    Council and County Fire Departments. Represents the Department in all fire inspection
    related matters including fire code violations and fire safety concerns.

•   Coordinates the School Inspection Program with schools; works with the Facilities
    Development Branch, Facilities Maintenance Branch, and the Neighbor Island Department
    of Accounting and General Services to address concerns raised by the school inspections.


STUDENT TRANSPORTATION SERVICES BRANCH

The Student Transportation Services Branch is responsible for the statewide program planning,
budgeting, implementing, enforcing and evaluating of student transportation services for eligible
public school students in accordance with Section 302-406, Hawaii Revised Statutes. The
program provides safe, timely, and efficient student transportation services to eligible students
to attend and participate in schools, designated programs, and other services statewide.

•   Develops and administers contracts that procure the required services from privately-
    operated school bus contractors to transport eligible public school students to and from
    public school and as required by a student’s Individualized Education Program (IEP) or
    Modification Plan (MP).

    -   Researches, analyzes, and prepares bid documents that address department, school,
        and student needs for both regular and special education students.

    -   Modifies contract requirements as necessary to address concerns and to conform to
        amendments to law, rule and/or procedure.

    -   Computes contract annual rate increase/decrease to account for wage, fuel, and
        consumer Price Index adjustments.

    -   Computes the daily cost of school buses covered by contracts to utilize the program’s
        resources efficiently and effectively.

•   Develops, prepares, and issues guidelines and procedures related to student transportation
    requirements to ensure the proper processing of necessary paperwork to ensure services
    are provided on a timely basis.

•   Identifies training needs of its constituency and develops and prepares appropriate training
    modules.

•   Provides information on federal, state, and contract requirements to schools, parents,
    media, and other interested parties.

    -   Provides clarification/interpretation of various laws, rules, policies, procedures, and
        guidelines to contractors, schools, parents, and others as requested.

    -   Provides training/clarification on related student transportation rules, guidelines,
        procedures and responsibilities to school administrators and personnel.

    -   Provides training of student transportation program requirements and responsibilities to
        school bus contractors.




                                                E-23                                           6/30/10
•   Serves as the Department’s primary point of contact/liaison for student transportation
    concerns.

    -   Monitors contractor performance on contracted routes on a regular basis and as
        necessary.

    -   Enforces contract specifications and levies fines and penalties as appropriate.

    -   Receives, investigates, and resolves transportation-related complaints and concerns
        between parents, students, schools, school bus contractors, and the general public.

    -   Reviews, approves, audits, and processes parent mileage transportation reimbursement
        claims for regular education students who reside beyond the qualifying distance from
        established bus stops along public roads as determined by Chapter 27, Hawaii
        Administrative Rules.

    -   Reviews, approves, audits, and processes parent mileage transportation
        reimbursements for special education students as required by an Individualized
        Education Program (IEP) or Modification Plan (MP).

    -   Reviews, approves, audits, and processes parent mileage transportation
        reimbursements for eligible transporters as required by the federal No Child Left Behind
        Act.

•   Reviews, processes, and maintains applicable DOE employment forms for school bus
    contractors’ personnel.

•   Conducts annual criminal history check for school bus drivers and aides.

•   Prepares and provides written and oral testimonies/reports to legislative bills and
    resolutions.

•   Prepares and provides written and oral testimonies/reports to the Board of Education and its
    committees, as necessary.

•   Prepares and provides written responses to inquiries addressed to the Superintendent
    and/or other state officials.

•   Reviews, approves, audits, procures, and distributes monthly Oahu Transit Services bus
    passes for eligible Honolulu District students who do not have access to contracted bus
    services.

•   Assists in the determination of student eligibility for services being requested.

•   Coordinates special education student transportation requests received from school
    administrators.

    -   Coordinates, processes, schedules, and tracks transportation requests submitted by
        schools.

    -   Computes daily compensation cost to contractor for providing mid/post-day or unusual
        transportation requests.

    -   Attends special education meetings when unusual special transportation requests are
        received.

    -   Provides clarification of student transportation requirements and guidelines.

•   Represents the Department at school bus contractors’ and other meetings as necessary.

•   Develops, prints, distributes, and maintains student transportation forms to meet federal,
    state, municipal, and Departmental transportation requirements.

•   Prepares budget requests and other related budget documents and properly performs all
    budget functions.

•   Provides oversight relating to the collection of student bus fares and seeks accountability for
    the collections.

•   Ensures the proper and prompt payment of program claims.



                                               E-24                                       6/30/10
•   Audits deposits into special funds and disburses available funds as required to meet
    contractual obligations.

•   Collects and maintains statistics related to contracted student transportation services for
    evaluation purposes.

•   Operates school buses to address student transportation for the Kona area.




                                               E-25                                        6/30/10
OFFICE OF CURRICULUM, INSTRUCTION, AND STUDENT SUPPORT
STATE OF HAWAII
                                                                              DEPARTMENT OF EDUCATION
                                                               OFFICE OF CURRICULUM, INSTRUCTION, AND STUDENT SUPPORT
                                                                                 ORGANIZATION CHART




           OFFICE OF CURRICULUM, INSTRUCTION, AND STUDENT SUPPORT

                          ASSISTANT SUPERINTENDENT




STUDENT SUPPORT BRANCH                         CURRICULUM AND INSTRUCTION BRANCH




     EXTENDED LEARNING
                                                            SCHOOL LITERACY
   OPPORTUNITIES & STUDENT
                                                       IMPROVEMENT AND INNOVATION
          SUPPORT




   COMPREHENSIVE STUDENT
                                                            SPECIAL EDUCATION
     SUPPORT SERVICES




      SPECIAL PROGRAMS                                     SCHOOL RENEWAL AND
     MANAGEMENT SECTION                                         REDESIGN




                                                           HAWAIIAN EDUCATION
          ATHLETICS
                                                              PROGRAMS




                                                                                                  F-1         6/30/10
STATE OF HAWAII
                                                                                                                                                                                                                DEPARTMENT OF EDUCATION
                                                                                                       OFFICE OF CURRICULUM,                                                                     OFFICE OF CURRICULUM, INSTRUCTION, AND STUDENT SUPPORT
                                                                                                         INSTRUCTION, AND                                                                                      POSITION ORGANIZATION CHART
                                                                                                         STUDENT SUPPORT
                                                                            Private Secretary I
                                                                                                        Assistant Superintendent
                                                                              1784 SR-20
                                                                                                                 67118




                    SPECIAL PROGRAMS                                                                                                                                                       STUDENT SUPPORT
                   MGMT ADMINISTRATION                                                                                                                                                         BRANCH
                                                                                        SCHOOL IMPROVEMENT TEAM
                      Special Programs
                                                                                                                                                              Secretary IV                 Educational Director
                     Management Director
                                                                                                                                                             15083 SR-18                    60010     EO-10
                       60048 EO-10       1/

                                                                   Educational Specialist III                     Educational Specialist III
                       School Specialist II
                                                                       60053 EO-8                                     60022 EO-8
                         75428 EO-7
                                                                                                                                                                                      EXTENDED LRNG OPP &
                                                                                                                                                                                          STDNT SUPPT
                                                                                                                                                                                       School Library Services
                            Clerk Typist II                                         Secretary II                           Secretary II                       Secretary II
                                                                                                                                                                                           Specialist III
                            58858 SR-8                                             11482 SR-14                            11947 SR-14                        3630 SR-14
                                                                                                                                                                                          60026 EO-8




GIFTED & TALENTED                      NON-SCHOOL HOUR                                                                                                                                                                                                                     STUDENT ACTIVITIES
                                          PROGRAMS
                                                                                                                                                   21st CENTURY INSTRUCTIONAL TECHNOLOGIES
                                                                                                                                                                                                                                                                           Educational Specialist II
Educational Specialist II             Educational Specialist II
                                                                                                                                                                                                                                                                               60033, 73056
   60080 EO-7                             60057 EO-7
                                                                                                                                                                                                                                                                                        EO-7

                                                                                                                                                                                                       School Library Services
                                                  Secretary II                          ITV Specialist II                      ITV Specialist II                Teleschool Specialist II                                                 Educational Specialist II
                                                                                                                                                                                                            Specialist II
                                                14163 SR-14            1/               73100     EO-7                          68086 EO-7                          66358 EO-7                                                               60104 EO-7
                                                                                                                                                                                                           60562 EO-7


                                              State Office Teacher                           Secretary II                       State Office Teacher                 TV Production Svcs                        Secretary II             Advanced Tech Ed Spec II
                                                     79317         1/                       21957 SR-14                            74906, 79491      2/ 2/               Supervisor                           6824   SR-14                   60031 EO-7
                                                                                                                                   79492             2/                47750 SR-23      2/

                                          Program Specialist IV                          Program Specialist III                                                                                            12-Month State Office        Advanced Tech Ed Spec II
                                             59925 SR-22        3/                          19190 SR-20                                                                TV Production                                                         66356 EO-7
                                                                                                                                                                                                                Teacher
                                                                                                                                                                        Crew Chief                                               1/
                                                                                                                                                                                                                 79286
                                                                                                                                                                       46593, 46594         2/ 2/
                                                 Clerk Typist II                                                                                                              SR-17                                                      School Library Services
                                                                                         TV Production Tech
                                                   (.50 FTE)                                                                                                                                               State Office Teacher               Specialist II
                                                                                           08912, 19184
                                                 59112 SR-8            1/                                                                                              TV Production                          76113, 79316      2/ 1/        69973 EO-7
                                                                                                  SR-13
                                                                                                                                                                        Technician                            79285, 79146      1/ 1/
                                                                                                                                                                       52011, 52999         2/
                                      Educational Specialist II                                                                                                        53190 SR-13                                                               Clerk Typist II
                                          79869, 79886                 1/ 1/             Audio Visual Tech III                                                                                               Account Clerk III                   36449 SR-8
                                                   EO-7                                    21960 BC-12                                                                                                       47002 SR-11


                                                                                         Clerk Stenographer II
1/ Temporary position, Federal funds                                                        17439 SR-9
2/ Temporary position, Trust funds
3/ Temporary position, Revolving funds
                                                                                                                                                                                                                                                                     F-2                 6/30/10
STATE OF HAWAII
                                                                                                                                                          DEPARTMENT OF EDUCATION
                                                                                                                                           OFFICE OF CURRICULUM, INSTRUCTION, AND STUDENT SUPPORT
                                                                                                                                                         POSITION ORGANIZATION CHART




                                                                                  COMPREHENSIVE
                                                                                STUDENT SUPPT SVCS
                                                                                Educational Specialist III                Secretary II
                                                                                    60050 EO-8                            5077 SR-14




            SCHOOL BASED                   PRIMARY/SECONDARY                          DIAGNOSTIC SUPPORT                                 POSITIVE BEHAVIORAL         504/HOME HOSPITAL
          BEHAVIORAL HEALTH                 PREV INTERVENTION                                                                                  SUPPORT
                                                                                                                                                                     Educational Specialist II
          Educational Specialist II        Educational Specialist II                   Educational Specialist II                         Educational Specialist II
                                                                                                                                                                         74728, 74955
             75400     EO-7                   72880F EO-7                                  79311 EO-7                2/                      73228 EO-7
                                                                                                                                                                                  EO-7


                  Secretary II                     Secretary II          State Office Tchr                Educational Interpreter II              Secretary II               Secretary II
                 59674 SR-14                      53148 SR-14             60273, 61233                       801324, 801325                      5571 SR-14                 11427 SR-14
                                                                                                             801326, 801327
                                                                                                             801328, 801329
              School Psychologist                                         Audiologist IV                     801330 SR-14                                                 Athletic Health Care
                (District Based)                                          44553 SR-22                                                                                    Specialist Coordinator
                58695 SR-26                                                                                                                                                800328 SR-24
                                                                                                             Educational Interpreter I
                                                                                                                801316, 801317
                                                                         Social Worker IV
                                                                                                                801318, 801319
              School Psychologist                                         42545 SR-22                                                                                       Clerk Typist II
                                                                                                                801320, 801321
               800508 SR-24       1/                                                                                                                                        59995, 59996          1/ 1/
                                                                                                                801322, 801323
                                                                                                                                                                                    SR-8
                                                                                                                           SR-12
                                                                       Speech Pathologist IV
               School Psychologist                                       42399 SR-22
                 800023 SR-24 1/

                                                                          Clerk Typist II
               DP Syst Analyst IV                                         13497 SR-8
                59698 SR-22           1/




1/ Temporary position, General funds
2/ Temporary position, Federal funds

                                                                                                                                                                                                   F-3    6/30/10
STATE OF HAWAII
                                                                                                                                                                DEPARTMENT OF EDUCATION
                                                                                                                                                 OFFICE OF CURRICULUM, INSTRUCTION, AND STUDENT SUPPORT
                                                                                                                                                               POSITION ORGANIZATION CHART




                                       SPECIAL PROGRAMS                                                                                                   ATHLETICS
                                      MANAGEMENT SECTION
                                                                                                                                                        DOE Athletics
                                      Special Prog Mgmt Spec III             Secretary II
                                                                                                                                                      Administrative Officer
                                            67674 EO-8                      14050 SR-14
                                                                                                                                                        69838 EO-8


                                                                                                                                                        12-Month State Office
                                               TITLE I                                                                                                       Teacher
                                                                                                                                                           73989, 73990



                                                                                                                                                           Account Clerk III
                                       Educational Specialist II
Educational Specialist II                                                      Special Prog Mgmt Spec II                                                    46557 SR-11
                                           79209, 79790            1/ 1/
    79206 EO-7              1/                                                       79789 EO-7          1/
                                           79792 EO-7              1/



         Secretary II                       State Office Teacher 2/                      Secretary II
       56079 SR-14          1/                 76173, 76174                            14190 SR-14         1/
                                               79499             1/

    Program Specialist IV
                          1/                                                         State Office Teacher
      800802 SR-22                          Community Relations
                                                                                          79574, 79775 1/ 1/
                                             Program Spec Asst
                                              801307 SR-15      1/

                                                                                       Account Clerk III
                                                                                       41723 SR-11         1/


                                                                                        Clerk Typist II
                                                                                        52511 SR-8         1/




   1/ Temporary position, Federal funds
   2/ State Office Teacher position nos. 76143, 76174 & 79499 receive technical supervision from Educational Specialist II, position no. 79209                                      F-4         6/30/10
STATE OF HAWAII
                                                                                                                                                                                                        DEPARTMENT OF EDUCATION
                                                                                                                              Assistant Superintendent                                   OFFICE OF CURRICULUM, INSTRUCTION, AND STUDENT SUPPORT
                                                                                                                                        67118
                                                                                                                                                                                                       POSITION ORGANIZATION CHART

                                                                                                                                   CURRICULUM &
                                                                                                                                INSTRUCTION BRANCH
                                                                                                    Secretary IV                   Educational Director
                                                                                                   5179    SR-18                     60023 EO-10


                                                                                                 School Custodian II
                                                                                                     (.50 FTE)
                                                                                                   57703, 58603
                                                                                                           BC-02
                                                                                                                                  SCHOOL LITERACY
                                                                                                                                IMPROV & INNOVATION
                                                                                                                                Educational Specialist III                Secretary II
                                                                                                                                    60081 EO-8                           4914 SR-14




Educational Specialist II        Educational Specialist II           Educational Specialist II              Educational Specialist II                 Educational Specialist II             Educational Specialist II          Educational Specialist II            Educational Specialist II
   (Language Arts)                  (Reading First)                        (Science)                           (Social Studies)                       (Health/Physical Educ)                       (Fine Arts)               (Career and Technical Ed)             (Literacy Prog Supports)
    60037 EO-7                       79331 EO-7              2/          60024 EO-7                             60025 EO-7                                60020 EO-7                            60032 EO-7                         60054 EO-7                            66419 EO-7



        Secretary II                   State Office Tchr                                                                Secretary II                         State Office Teacher                    Secretary II                      Secretary II                Educational Specialist II
       26567 SR-14                          79328            2/                                                        12020 SR-14                                  79320         2/                1797 SR-14                        3618 SR-14                   (Reading/Multisensory)
                                                                                                                                                                                                                                                                       75399 EO-7               1/

                                                                                                                                                                                                                               JUNIOR RESERVE OFFICER’S
Educational Specialist II                                           Educational Specialist II                    State Office Teacher                           Clerk Typist II                 State Office Teacher            TRAINING CORPS HMSU
 (Eng Lang Learners)                                                    (Mathematics)                                   79334         2/                        58900 SR-8         2/              76171, 76172      3/ 3/                                                  Secretary II
                                                                        60039 EO-7                                                                                                                                                ROTC Instructor
   60058      EO-7                                                                                                                                                                                                                                                         21984 SR-14
                                                                                                                                                                                                                                   69232, 73150               1/
                                                                                                                       Clerk Typist II                                                                                             73393, 73439            1/ 1/
                                                                                                                                                      Educational Specialist II
                                                                                                                         (.50 FTE)
         Secretary II                                                         Secretary II                                                           (Healthy Hawaii Initiative)                                                                                       12-Month State Office
                                                                                                                       58678 SR-8         2/
        3903 SR-14                                                           8268 SR-14                                                                    74927 EO-7            1/                                                   Storekeeper I                         Teacher
                                                                                                                                                                                                                                      34064 SR-11          1/                 75434          1/
                                                                                                                                                                                            Educational Specialist II
Educational Specialist II                                                    Clerk Typist II                                                                     Secretary I                  (World Languages)
                                                                            59583     SR-8        2/                                                            58605 SR-12        1/           68273 EO-7                    Voc/Tech Ed Specialist II
   (NCLB Title III)
                                                                                                                                                                                                                             (Perkins Career & Tech Ed)
    79329 EO-7              2/
                                                                                                                                                                                                                                    79887, 79889        2/ 2/
                                                                                                                                                                                                                                            EO-7
                                                                                                                                                               State Office Tchr
      State Office Tchr                                                                                                                                         68640, 68862       1/ 1/                                                                           Educational Specialist II
           79332            2/                                                                                                                                                                                                     State Office Teacher               (Stnds Res Dev)
                                                                                                                                                                                                                                      79755, 79800      2/ 2/          73595 EO-7               1/
                                                                                                                                                        Special Programs                                                              79801, 79802      2/ 2/
                                                                                                                                                     Management Specialist II
                                                                                                                                                         79628 EO-7           2/


                                                                                                                                                                 Secretary II
                                                                                                                                                               51240 SR-14         2/
                                    1/ Temporary position, General funds
                                    2/ Temporary position, Federal funds
                                    3/ Temporary position, Special funds                                                                                     12-Month State Office                                                                        F-5                 6/30/10
                                                                                                                                                                  Teacher
                                                                                                                                                                   79777           2/
STATE OF HAWAII
                                                                                                                                                                                      DEPARTMENT OF EDUCATION
                                                                                                                                                                       OFFICE OF CURRICULUM, INSTRUCTION, AND STUDENT SUPPORT
                                                                                                                                                                                     POSITION ORGANIZATION CHART




                                                                                                                                          SPECIAL EDUCATION
                                                                                                                                               SECTION
                                                                                                              Secretary II               Educational Specialist III
                                                                                                             5790 SR-14                      60013 EO-8




                                                    SPED COMPLIANCE/PROCEDURE                                                                                                                AUTISM



                                                                                                                                                                                                                                STATE IMPROVEMENT
 Educational Specialist II             Educational Specialist II            Educational Specialist II                     Accountant IV                                                               Educational Spec II
                                                                                                                                                                 Educational Specialist II                                             GRANT
(Data Reqirements - MIS)             (Admin Rules & Procedures)              (Transition Support)                        57687 SR-22            2/                                                     (Autism Center)
                                                                                                                                                                     75401 EO-7              1/
      60059 EO-7                           79859 EO-7            2/             60016F EO-7                                                                                                             76186 EO-7               Educational Specialist II
                                                                                                                                                                                                                                     79645 EO-7              2/
                                                                                                                         Account Clerk IV
         Secretary II                      12-Month State Office                    Secretary II                         53000    SR-13         2/                        Secretary II                  Behavioral Spec IV
       19050 SR-14           2/                 Teacher                            42306 SR-14                                                                          32303 SR-14          2/                                      12-Month State Office
                                                 79737           2/                                                                                                                                                                       Teacher
                                                                                                                             Clerk Typist II                                                                                                79920          2/
                                                                                                                                                                           Registered
    12-Month State Office                                                       12-Month State Office                        40066 SR-8         2/                                                      Speech Lang Path III
                                                                                                                                                                      Professional Nurse V
         Teacher                               Clerk Typist II                       Teacher
                                                                                                                                                                         15778 SR-24
       79925, 79735       2/ 2/                10130 SR-8                             79697           2/                                                                                                                                Neurotraining
                                                                                                                                                                                                                                         Therapist III
                                                                                                                                                                                                           Occupational                 55414 SR-20
                                                                                                                                                                      Physical Therapist V                                                                   2/
       DP User Support                                                                                                                                                                                     Therapist IV
                                       Educational Specialist II                State Office Teacher                                                                    28987 SR-24
         Technician II
                                           (Complaints)                                79205         2/
        58278, 58279
                                           79767 EO-7              2/                                                                                                                                                                    Clerk Typist II
        58721, 59146         2/ 2/                                                                                                                                        Occupational
               SR-15                                                                                                                                                                                    Educational Asst III             58593 SR-8          2/
                                                                                                                                                                          Therapist V
                                                                            Educational Specialist II                                                                                                           (3)
                                                                                                                                                                         28988 SR-24
                                               Secretary II                 (Charter School SPED)
Educational Specialist II                     56324 SR-14                       79312 EO-7              2/
        (IEP)                                                                                                                                                         Speech Pathologist V                 Clerk Typist II
    76085 EO-7               1/                                                                                                                                         800055 SR-24 2/                    59961 SR-8
                                           12-Month State Office                12-Month State Office
                                                Teacher                              Teacher
         Secretary II                         79313, 79791       2/ 2/                79314           2/                                                                 Clerk Typist II
       24497 SR-14           2/                                                                                                                                          56358 SR-8          1/

                                                                                    Clerk Typist II
    12-Month State Office
                                                                                   55545     SR-8       2/
         Teacher
       79484, 79899       2/ 2/
       79905              2/


        Clerk Typist II
                                                       1/ Temporary position, General funds
        30748 SR-8
                                                       2/ Temporary position, Federal funds                                                                                                                                    F-6                  6/30/10
STATE OF HAWAII
                                                                                                                                 DEPARTMENT OF EDUCATION
                                                                                                                  OFFICE OF CURRICULUM, INSTRUCTION, AND STUDENT SUPPORT
                                                                                                                                POSITION ORGANIZATION CHART




                                             SCHOOL RENEWAL &                                                                   HAWAIIAN EDUCATION
                                                 REDESIGN                                                                          PROGRAMS
                 Secretary II                Educational Specialist III                                Secretary II             Educational Specialist III
               12310 SR-14                       60035 EO-8                                           59052 SR-14                   79933 EO-8




                                                                          PROGRAM DATA                      Educational Specialist II
                         P-20 SUPPORT                                                                                                                Educational Specialist II
                                                                                                             (Hawaiian Language
                                                                                                                                                       (Pihana Na Mamo)
                      Educational Specialist II                      Educational Specialist II                   Immersion)
                                                                                                                                                          79497 EO-7              2/
                    (Early Childhood Education)                        (CSSS Database)                          74166 EO-7              1/
                           76056 EO-7           1/                      74953F EO-7
                                                                                                                                                                 Secretary I
                                                                                                                 State Office Teacher
                                                                                                                                                              800751 (.50 FTE)    2/
                        Educational Spec II                                  DP Systems                              74839, 74841 1/ 1/
                                                                                                                                                                   SR-12
                           (GEAR UP)                                          Analyst IV                             74890, 75099 1/ 3/
                          79264 EO-7                2/                      59156 SR-22          2/
                                                                                                                                                         12-Month State Office
                                                                                                                                                               Teacher
                                                                                                            Educational Specialist II
                                                                                                                                                             79530, 79531      2/ 2/
                                                                                                              (Hawaiian Studies)
                          State Office Teacher                                                                                                               79917             2/
                                                                                                                74735 EO-7              1/
                                 79257         2/

                                                                                                                                                             State Office Teacher
                                                                                                                State Office Teacher                                79827         2/
                                Clerk Typist II                                                                    73030, 74920      1/ 1/
                                  (.50 FTE)                                                                        74921             1/
                                    59883           2/                                                                                                        Account Clerk III
                                                                                                                                                              800750 SR-11        2/

                     School/Community Based
                                                                                                                                                               Clerk Typist II
                        Mgmt Specialist II
                                                                                                                                                                 (.50 FTE)
                          60029 EO-7
                                                                                                                                                               801424 SR-8        3/


                              Secretary II
                             59169 SR-14


                          Program Specialist III
                             59072 SR-20         1/




1/ Temporary position, General funds
2/ Temporary position, Federal funds
3/ Temporary position, Trust funds                                                                                                                                                     F-7   6/30/10
DEPARTMENT OF EDUCATION

       OFFICE OF CURRICULUM, INSTRUCTION AND STUDENT SUPPORT

                              FUNCTIONAL STATEMENT


Office of Curriculum, Instruction and Student Support (OCISS)
This office is a flexible organization which supports system-wide accountability, systems
requirements, standards-based curriculum, instruction, and student support. This
includes primary responsibility for coordination and implementation of the Department’s
initiatives to meet the requirements for state and federal mandates. The office is under
the direction of the Assistant Superintendent; the responsibilities of the office are
performed by the Student Support Branch and Curriculum and Instruction Branch.

      Student Support Branch
      This branch provides leadership, support, and research in establishing an array
      of services including extended learning opportunities, monitoring appropriate
      state and federal mandates, and professional development for student support.

             Extended Learning Opportunities and Student Support
             The section provides support for the development and implementation of
             expanded learning opportunities that include the use of instructional
             technologies, multimedia resources and non-traditional environments
             and/or school day.

             •   Provides statewide leadership in extended learning programs,
                 educational resources, multimedia programs and materials, and
                 consultative services that model the use of 21st century skills and new
                 technologies for students, educators, and administrators.

             •   Prepares students and educators for the 21st century workforce
                 through technology rich, standards-based credit courses for students
                 and best practices, online professional development and resources for
                 educators through programs such as Hawaii Virtual Learning Network
                 and distance learning.

             •   Develops, maintains, and provides online, distance learning, and video
                 conferencing programs and systems.

             •   Provides support and technical services to Community Schools for
                 Adults in programs such as Adult Basic Education, Adult General
                 Education, English as a Second Language, English Literacy/Civics,
                 Workplace Literacy, Family Literacy and cultural, recreational and
                 social enhancements, and monitors programs for compliance with
                 state and federal requirements.

             •   Provides support and technical services for student leadership
                 development, enrichment, and acceleration.

             Comprehensive Student Support Services
             This section provides a focused and responsive system of supports to
             strengthen the social, emotional and physical well-being of all students
             and their families and communities to impact student achievement.

             •   Provides leadership and support to schools in implementing a
                 Comprehensive Student Support System (CSSS).

             •   Works with complexes and schools to ensure that supports are
                 available to reduce barriers to learning and facilitate educational
                 achievement.



                                           F-8                                     6/30/10
•   Focuses on preventive and developmentally appropriate supports and
          services for all students; provides for intervention and tertiary services
          to address to students in need.

      •   Provides program direction and guidance for parent and family support
          services, early childhood intervention services, secondary school
          intervention services, psycho-social-emotional services, positive
          behavior support services, and student health services.

      (NCLB) – School Improvement Programs
      This section provides coordination and technical oversight on the State
      Framework for School Improvement and Title I grant administration to
      schools, complex areas, and state offices of the Department.

      •   Administers, on a statewide basis, No Child Left Behind federal
          mandates, and other federal grant programs.

      •   Provides technical assistance to Title I schools through the school
          improvement process to ensure that all children meet challenging state
          academic standards.

      •   Coordinates and develops support services to supplement the
          Framework for School Improvement.

      •   Partners with Charter School Administrative Office to provide
          oversight, technical assistance, and monitoring of Title I charter
          schools.

      •   Provides oversight over all Title I programs assigned to the (NCLB)
          School Improvement Programs Section, including the Private School
          Title I Program.

      Athletics
      This section provides statewide leadership for and the coordination of the
      interscholastic athletics program by serving as consultant and liaison to
      the public school district athletics specialists and main point-of-contact
      between OCISS and the complex areas.

      •   Provides statewide leadership for the interscholastic athletics program
          by serving as consultant and liaison to the public school district
          athletics specialists and main point-of-contact between OCISS and the
          districts.

      •   Provides guidance and consultation in completing systems tasks
          relating to athletic programs.

      •   Plans, develops, and implements staff development activities for
          school personnel involved with athletics to ensure quality and effective
          program implementation and operation.

Curriculum and Instruction Branch
This branch supports schools and complex areas through the research and
development of standards-based education for all students. The branch
develops guidelines and procedures, and provides technical assistance and
support for implementation. The branch monitors organizational effectiveness in
meeting state and federal mandates for student achievement and school
improvement.

      School Literacy Improvement and Innovation
      This section provides leadership and research through the development of
      standards-based curriculum, assessment and instructional tools/resources
      that support literacy and innovations in content areas.


                                    F-9                                        6/30/10
•   Assesses, analyzes, evaluates, and addresses the needs of students,
    complex areas, complexes, and schools in relation to the effective
    implementation of the Hawaii Content and Performance Standards.

•   Researches and develops tools to support instructional programs to
    meet the needs of students and teachers in the various curricular
    areas.

•   Develops curricular guidelines and standards for application
    throughout the school system.

•   Develops curriculum frameworks and other resource materials to guide
    and stimulate curriculum development and standards implementation
    in the schools.

•   Provides professional development opportunities to complex areas and
    complexes in planning, developing, delivering, and assessing
    standards-based education.

Special Education
This section ensures that all children/youth with disabilities have available
a free appropriate public education. The Section ensures that the rights of
children/youth with disabilities and their parents are protected, and
monitors, enforces and reports on the implementation of federal and state
special education requirements.

•   Develops procedures, standards and policies, and rules for the
    education of individuals with disabilities, ages 3 to 20, for application
    throughout the school system.

•   Provides technical assistance and training to complex areas, districts,
    schools, other cooperating agencies, and parents to address the
    Individuals with Disabilities Education Act (IDEA), and the
    corresponding administrative rule.

•   Monitors the activities of schools and complex areas to ensure
    conformance to program standards, established instructional policies,
    and legal and administrative directives.

•   Provides leadership, technical support and training to complex areas,
    schools, and parents in organizing the instructional and student
    support components to maximize the use of available resources.

School Improvement and Redesign
This section provides support through the research and dissemination of
innovative products/best practices and dynamic technical assistance to
continuously improve school quality and performance.

•   Provides leadership, professional development, and technical
    assistance to schools and complex areas in planning and
    implementing School Community Councils (SCC), shared decision-
    making, and school improvement focused on increasing student
    achievement.

•   Coordinates the review and approval process of all SCC waivers and
    exception requests to BOE policy and collective bargaining
    agreements.

•   Provides leadership, support, and technical assistance to schools in
    planning, implementing, and monitoring secondary school redesign
    (middle school reform and high school redesign).



                              F-10                                      6/30/10
•   Provides leadership, coordination, and oversight of the school
    accreditation process.

•   Provides coordination and support in implementing and planning
    school improvement activities.

Hawaiian Education Programs
This section provides the resources needed to fully implement the goals
and objectives of Hawaiian education to include the study of Hawaiian
culture, history, and language in the public schools along with the
achievement of the Hawaii Content and Performance Standards.

•   Provides leadership in the development of culturally relevant
    educational programs which use Hawaiian culture, history, language
    as the foundation for the achievement of the Hawaii Content and
    Performance Standards.

•   Assesses, analyzes, evaluates, plans and develops tools and
    resources to support the needs of students, complex areas,
    complexes, and schools in relation to the effective implementation of
    Hawaiian education programs such as the Hawaiian Studies Program
    and the Hawaiian Language Immersion Program.

•   Works in partnership with Hawaiian organizations and agencies in
    support of the State Constitutional mandate to promote Hawaiian
    education within the public school system.




                            F-11                                     6/30/10
OFFICE OF HUMAN RESOURCES
  • Organization Chart
  • Position Organization Chart
  • Functional Statement
OFFICE OF HUMAN RESOURCES                                      STATE OF HAWAII
                                ASSISTANT SUPERINTENDENT                                  DEPARTMENT OF EDUCATION
                                                                                         OFFICE OF HUMAN RESOURCES
                                                                                             ORGANIZATION CHART



PERSONNEL MANAGEMENT BRANCH    PERSONNEL ASSISTANCE BRANCH    PERSONNEL DEVELOPMENT BRANCH




                                                                   TRAINING & CERTIFICATION
      RECRUITMENT SECTION          LABOR RELATIONS SECTION
                                                                           SECTION




                                    CONTRACT ADMINISTRATION         TECHNOLOGY INTEGRATION
       RECLASSIFICATION UNIT
                                             UNIT                        & EVALUATION



                                                                  INDUCTION, MONITORING &
       EMPLOYEE BACKGROUND
                                        EVALUATIONS UNIT         PROFESSIONAL DEVELOPMENT
            CHECK UNIT
                                                                          SECTION



       CLASSIFICATION &                                             MANAGEMENT SUPPORT
                                    NEGOTIATIONS SECTION
     COMPENSATION SECTION                                             SERVICES SECTION



                                   WORKERS’ COMPENSATION,        PROFESSIONAL DEVELOPMENT &
    RECORDS & TRANSACTIONS
                                     HEALTH BENEFITS &              EDUCATIONAL RESEARCH
           SECTION
                                      AWARDS SECTION                      INSTITUTE



                                     WORKERS’ COMPENSATION
         SUBSTITUTES UNIT                                              CLASSIFIED PROS
                                              UNIT




                                        HEALTH BENEFITS &
       CERTIFICATED PROS
                                          AWARDS UNIT




                                                                                                 G-1       6/30/10
STATE OF HAWAII
                                                                                                                                                                                                     DEPARTMENT OF EDUCATION
                                                                                                                                                                                                    OFFICE OF HUMAN RESOURCES
                                                                                                                      OFFICE OF HUMAN                                                               POSITION ORGANIZATION CHART
                                                                                                                        RESOURCES
                                                                                       Private Secretary I          Assistant Superintendent          Personnel Specialist II
                                                                                          1785 SR-20                         60046                        69986 EO-7




                                                                                                                                                           PERSONNEL
                                                                                                                                                       MANAGEMENT BRANCH
                                                                                                                              Secretary IV                 Personnel Director
                                                                                                                              5043 SR-18                     69985 EO-10




                                                                                  RECRUITMENT                                                                                                         CLASSIFICATION &
                                                                                    SECTION                                                                                                          COMPENSATION SEC
                                                   Secretary II                Personnel Specialist III                                                                            Secretary II       Personnel Specialist III
                                                  08911 SR-14                      69984 EO-8                                                                                     21947 SR-14             69980 EO-8




                                                                                                 RECLASSIFICATION UNIT                 EMP BACKGROUND
Personnel Specialist II
                                                 Personnel Specialist II                                                                   CHECK UNIT                                                                  Personnel Program
    66018, 75392
                                                     60006 EO-7                                     Personnel Specialist II            Personnel Specialist II                                                              Manager
    75405 EO-7
                                                                                                        60044 EO-7                        79303 EO-7               1/                                                    58571 EM05

        Personnel Mgmt          Personnel Management              Personnel Management                    Personnel Mgmt
          Specialist IV              Specialist V                      Specialist VI                        Specialist III                                                                               Personnel Mgmt              Personnel Mgmt
         58722 SR-22                                                                                                                         Personnel Clerk V
                                    59125 SR-24                       59041 SR-26                          4312 SR-20                                                                                      Specialist V                Specialist V
                                                                                                                                              46337 SR-13
                                                                                                                                                                                                         14751 SR-24                   38479, 59040
        Personnel Mgmt                                                     Personnel Mgmt                 Personnel Clerk V                                                                                                            59118 SR-24
                                    Personnel Tech VI
          Specialist III                                                     Specialist V                   3619, 14378                      Personnel Clerk III                                         Personnel Mgmt
                                      58569 SR-15                                                                                                                               Personnel Tech VI
         7142 SR-20                                                         59121, 59122                    19131, 45185                       51561, 58231                                                Specialist III            Personnel Mgmt
                                                                                                                                                                                 19128 SR-15
                                                                            59123, 59124                    801103            1/               58232, 58233                                               17389 SR-20                 Specialist IV
                                          Pers Clerk V                             SR-24                           SR-13                       58234                                                                                 58425 SR-22
   Personnel Technician VI
                                          58570, 59128                                                                                         58235 (.50 FTE)
       59633 SR-15                                                                                                                                                              Personnel Clerk V             Pers Clerk V
                                                 SR-13                     Personnel Mgmt                                                      59050, 59528
                                                                                                                                               59529 (.50 FTE)                   10407 SR-13                 59119 SR-13            Personnel Clerk V
                                                                            Specialist IV
                                                                                                                                                         SR-9                                                                        58573 SR-13
         Personnel Clerk V                                                  58572 SR-22
                                    Personnel Tech VI
          15521, 19238                8762 SR-15                                                                                                                                                             Pers Clerk IV
          42225, 42226
                                                                       Personnel Tech VI                                                                                                                     58305 SR-11           Personnel Clerk IV
          45353, 58220
                                                                        59126 SR-15                                                                                                                                                 58578 SR-11
          58221, 59632                    Pers Clerk V
          801105           1/            58579, 59127
                 SR-13                           SR-13

         Personnel Clerk III
          14063, 15480
                   SR-9            1/ Temporary position, Federal funds
                                                                                                                                                                                                                  G-2                      6/30/10
STATE OF HAWAII
                                                                                                                                                                                                                       DEPARTMENT OF EDUCATION
                                                                                                                                                                                                                      OFFICE OF HUMAN RESOURCES
                                                                                                                                                                                                                      POSITION ORGANIZATION CHART




                      RECORDS &                                                HONOLULU                      CENTRAL                        LEEWARD                  WINDWARD                    HAWAII                      MAUI                      KAUAI
                 TRANSACTIONS SECTION                                       CERTIFICATED PRO             CERTIFICATED PRO               CERTIFICATED PRO          CERTIFICATED PRO          CERTIFICATED PRO           CERTIFICATED PRO          CERTIFICATED PRO

                    Personnel Specialist III                 Secretary II   Personnel Specialist II      Personnel Specialist II        Personnel Specialist II   Personnel Specialist II   Personnel Specialist II    Personnel Specialist II   Personnel Specialist II
                        69978 EO-8                          19239 SR-14       60100      EO-7               67826    EO-7                   67849   EO-7             67857    EO-7              64824 EO-7                 69930 EO-7                66062 EO-7


                                                                                                                                                                                                                                                     Personnel Clerk IV
                                                                                Personnel Clerk IV            Personnel Clerk IV            Personnel Clerk IV        Personnel Clerk IV        Personnel Clerk IV         Personnel Clerk IV
                                                                                                                                                                                                                                                       38729, 45399
                                                                                 15435    SR-11                14790    SR-11                15663     SR-11           15439    SR-11             10411, 56392        2/     15325 SR-11
                                                                                                                                                                                                                                                              SR-11
                                                                                                                                                                                                         SR-11
Personnel Specialist II                  Personnel Specialist II
   67803    EO-7                            69977    EO-7


  Personnel Management                         Personnel Management
       Specialist IV                                Specialist IV
      1782 SR-22                                   58574 SR-22

           Personnel                           Personnel Management
         Technician VI                              Specialist IV
         59530 SR-15                               17387 SR-22

                                                      Personnel
        Personnel Clerk V                            Technician VI
          4311, 14738                                14188 SR-15
          19127, 19129
          19130, 48629
                  SR-13                            Personnel Clerk V
                                                    12321, 14187
                                                    17388, 48496
       Personnel Clerk IV                           58576 SR-13
         59815 SR-11 1/

                                                      Personnel
         SUBSTITUTES                                 Technician VI
            UNIT                                    58575 SR-15

        Personnel Clerk V
         10408 SR-13                               Personnel Clerk V
                                                    15361, 19644
                                                    48495, 58577
       Personnel Clerk IV                           59129 SR-13
         50395, 50396
         50397, 59690          1/                                                  1/ Temporary position, Federal funds
                SR-11                                Clerk Typist II               2/ Position is on loan from Hawaii District Office
                                                     58677 SR-8
                                                                                                                                                                                                                                         G-3             6/30/10
STATE OF HAWAII
                                                                                                                                                                                                         DEPARTMENT OF EDUCATION
                                                                                                                                                                                                        OFFICE OF HUMAN RESOURCES
                                                                                                                                                                                                        POSITION ORGANIZATION CHART
                                                                                                                          Assistant
                                                                                                                        Superintendent
                                                                                                                           60046

                                                                                                                        PERSONNEL
                                                                                                                    ASSISTANCE BRANCH
                                                                                                     Secretary IV      Personnel Director
                                                                                                    58285 SR18           60070 EO-10




                                                LABOR RELATIONS                                                     NEGOTIATIONS SECTION                                   WC, HEALTH BENEFITS &
                                                    SECTION                                                                                         Personnel                AWARDS SECTION
                                                                                                                                                   Management
                                               Personnel Specialist III               Secretary II                   Personnel Specialist III                                Personnel Specialist III            Secretary II
                                                                                                                                                   Specialist III
                                                   60073 EO-8                        19243 SR-14                        76183    EO-8                                            64827 EO-8                     14377 SR-14
                                                                                                                                                  56337 SR-20        1/



                                CONTRACT                              EVALUATIONS UNIT                                  Personnel Specialist II             WORKERS’                               HEALTH BENEFITS &
                          ADMINISTRATION UNIT                                                                               60076 EO-7                  COMPENSATION UNIT                              AWARDS UNIT
                           Personnel Specialist II                                                                                                                                                 Personnel Management
                                                                     Personnel Specialist III                                                            Personnel Specialist II
                               73073, 74640                                                                                                                                                             Specialist IV
                                                                         69981 EO-8                                                                          74633 EO-7
                                       EO-7                                                                                                                                                            19380 SR-22


                                Personnel Clerk IV                                                                                                          Personnel Mangement                           Secretary II
                                                                          Personnel Specialist II                                                                Specialist V
                                 19133 SR-11                                                                                                                                                             19241 SR-14
                                                                              60078 EO-7                                                                        28031, 35778
                                                                                                                                                                40658, 45188
                                                                                                                                                                59120, 59625                            Personnel Clerk V
                                Personnel Clerk III
                                                                                                                                                                42311 (Hawaii)                           13863, 19132
                                  19242 SR-9                                   Personnel Clerk V                                                                45186 (Maui)                             19240, 35168
                                                                                34569 SR-13                                                                     42090 (Kauai)                            42466 SR-13
                                                                                                                                                                       SR-24


                                                                                                                                                               Personnel Clerk V
                                                                                                                                                                15437, 45250
                                                                                                                                                                45352
                                                                                                                                                                46158 (Maui)
                                                                                                                                                                51563 (Hawaii)      1/
                                                                                                                                                                       SR-13

                                                                                                                                                              Personnel Clerk IV
                                                                                                                                                               51562 (.50 FTE)      1/
                                                                                                                                                                         SR-11


                                                                                                                                                              Personnel Clerk III
                                                                                                                                                                 52759 SR-9         1/




1/ Temporary position, General funds                                                                                                                                                                                        G-4   6/30/10
STATE OF HAWAII
                                                                                                                                                                                                                                 DEPARTMENT OF EDUCATION
                                                                                                                                                                                                                                OFFICE OF HUMAN RESOURCES
                                                                                                                                                                                                                                POSITION ORGANIZATION CHART

                                                                                                                          PERSONNEL
                                                                                                                      DEVELOPMENT BRANCH
                                                                                               Secretary IV               Personnel Director
                                                                                              55567 SR-18                  75381 EO-10


                                                                                                         Personnel Clerk III                   Accountant IV
                                                                                                           42145 SR-9                          59037 SR-22       1/


                                                                                                                                            Account Clerk III
                                                                                                                                             55568 SR-11




                       TRAINING /                                                                                                                                                                                                   INDUCTION, MONITORING
                 CERTIFICATION SECTION                                                                                                                                                    IMPD                                          & PROFESSIONAL
                                                                                                                                                                                         (Hawaii)                                    DEVELOPMENT SECTION
                    Personnel Specialist III                                                                                                                                                                                          Personnel Specialist III
                                                                                                                                                                                   Personnel Specialist III
                        75403 EO-8                                                                                                                                                                                                         60051 EO-8
                                                                                                                                                                                       79191 EO-8             1/

   12 Month State Office
                                                Clerk Typist III
        Teacher
                                               45344 SR-10
         74696



                                                                                                                       TECH INTEGRATION &
Personnel Specialist II                                                                                                                                                                                            Personnel Specialist II
                                                                   Personnel Specialist II                                  EVALUATION                                                                                                                 Personnel Specialist I
    73633A (.49 FTE)                                                                                                                                                                                                  74711, 79304               1/
                                                                       73635 EO-7                                       Personnel Specialist II                                                                                                           79267 EO-6            1/
                EO-7                                                                                                                                                                                                           EO-7
                                                                                                                           75389    EO-7

   12-Month State Office                                                                                                                                                                                                                               12-Month State Office
                                                                      12-Month State Office                                                                                                                           12-Month State Office 2/
        Teacher                                                                                          PROG EVALUATOR                 DATABASE SUPPORT                                                                                                     Teacher
                                                                            Teacher                                                                                                                                        Teacher
       73531                                                                                                                                                                                                                                               73903
                                                                          74901, 74738                                                 Computer Programmer IV                                                            73961, 73965
       73533 (Hilo)                                                                                     Personnel Specialist II                                                                                                                            73927 (Kauai)
                                                                          74899, 74929                                                     58727, 58857       1/ 1/                                                      74698, 74737
       73535                                                                                                79333 EO-7                                                                                                                                     74699 (Hilo)
                                                                                                                                  1/                          1/ 1/
                                                                                                                                           800742, 800743                                                                                                  74725
                                                                                                                                           800744 SR-22       1/                                                                                           74736 (Kona)
                                                                                                                                                                                                                        Personnel Mgmt
                                                                      State Office Teacher
                                                                                                                                                                                                                          Specialist IV
                                                                         79305 (.50 FTE) 1/                   Personnel Mgmt
                                                                                                                                                                                                                        801275, 801276       1/ 1/
                                                                                                               Specialist III                                                                                                                1/        State Office Teacher
                                                                                                                                                                                                                        801277 SR-22
                                                                                                              59916 SR-20 1/                                                                                                                              75103, 75104      3/ 3/
                                                                        Personnel Clerk III
                                                                                                                                                                                                                        Personnel Clerk V
                                                                          59798 SR-9           1/
                                                                                                                                                                                                                        801055, 801056       1/ 1/
                                                                                                                                                                                                                                  SR-13




                                                                                                                        1/ Temporary position, Federal funds
                                                                                                                        2/ Positions receive technical supervision from Personnel Specialist II, position no. 74711
                                                                                                                        3/ Temporary position, Trust funds                                                                                       G-5                  6/30/10
STATE OF HAWAII
                                                                                                                                                                                                                                  DEPARTMENT OF EDUCATION
                                                                                                                                                                                                                                 OFFICE OF HUMAN RESOURCES
                                                                                                                                                                                                                                 POSITION ORGANIZATION CHART




                               MANAGEMENT SUPPORT                                                                                                                                                               PROFESSIONAL DEVELOPMENT &
                                                                                                                                                                                                               EDUCATIONAL RESEARCH INSTITUTE
                                 SERVICES SECTION
                                 Personnel Specialist III                                                                                                                                                        Educational Specialist III                 Secretary II
                                     75407 EO-8                                                                                                                                                                       73061 EO-8                           48337 SR-14


                                                                                                                                                                                                                                                          Clerk Typist II
                                                                                                                                                                                                                                                          57804, 59051
                                                                                                                                                                                                                                                                  SR-8
                Personnel Specialist II              Personnel Specialist II
                    76292 EO-7                           76094 EO-7
                                                                                                                                                                                                                                                          Account Clerk II
                                                                                                                                                                                                                                                           59708 SR-8
                      Personnel Mgmt                        Personnel Mgmt
                       Specialist IV                         Specialist IV
                      59703 SR-22           2/              59640 SR-22          2/
                                                                                                                                                                           Educational Specialist II               Educational Specialist II
                                                                                                                                                                                                                                                            Personnel Specialist II
                                                                                                                                                                               74336, 76280               1/        (NCLB State Grants)
                                                                                                                                                                                                                                                            60043, 74338 EO-7
                                                                                                                                                                               79217, 79218            2/ 2/          79211     EO-7                2/
                                                                                                                                                                               79219     EO-7          2/

                                                                                                                                                                                                                         ACE Intern            3/
                                                                                                                                                                                                                        75132, 75133
                                                                                                                                                                                    ACE Intern                          75134, 75135
                                                                                                                                                                                   74339, 74341                         76400, 76401
                                                                                                                                                                                   74343, 74344                         76402, 76403
                                                                                                                                                                                   74716, 74717                         76404, 76405
                                                                                                                                                                                   74719, 74720                         76406, 76407
                                                                                                                                                                                   74721, 74722                         76408, 76409
                                                                                                                                                                                   74723 EO-1                           76410, 76411
                                                                                                                                                                                                                        76412, 76413
                                                                                                                                                                                                                        76414, 76415
                     HONOLULU                    CENTRAL CLASSIFIED            LEEWARD CLASSIFIED             WINDWARD               HAWAII CLASSIFIED          MAUI CLASSIFIED                                         76416, 76417
                   CLASSIFIED PRO                      PRO                           PRO                    CLASSIFIED PRO                  PRO                       PRO                                               76418, 76419
                  Personnel Specialist II        Personnel Specialist II        Personnel Specialist II    Personnel Specialist II   Personnel Specialist II   Personnel Specialist II                                  76420 EO-1
                    67771     EO-7                  67830 EO-7                     67842    EO-7             68467     EO-7             74637    EO-7             68468 EO-7


                      Personnel Clerk IV             Personnel Clerk IV               Personnel Clerk IV       Personnel Clerk IV        Personnel Clerk IV        Personnel Clerk IV
                       10410 SR-11                    19097 SR-11                       15440 SR-11             29196 SR-11               12176 SR-11                41968 SR-11




1/ Temporary position, General funds
2/ Temporary position, Federal funds
3/ Temporary ACE Intern positions, General funds                                                                                                                                                                                                         G-6                 6/30/10
DEPARTMENT OF EDUCATION

                       OFFICE OF HUMAN RESOURCES

                           FUNCTIONAL STATEMENT


The Office of Human Resources (OHR) administers a comprehensive personnel
program for certificated, classified, and casual employees of the public school
system within the framework of established laws, policies, and accepted
principles of personnel management. OHR develops and administers
administrative rules and regulations, publishes operational guidelines, and
provides centralized employment and personnel administration services to
schools and district and state administrative offices to ensure that the support is
being provided efficiently and effectively. OHR collaborates with the state and
district administrative offices for in-service training, monitoring, and technical
assistance. The scope of the comprehensive personnel program includes the
following services:
           • Recruitment, selection, and employment processing
           • Reclassification
           • Certification of educational officers
           • Leave administration
           • Personnel resource accounting and position allocation
           • School administrator training
           • Employee awards and recognition
           • Criminal history record checks/Temporary Disability Insurance
               Program administration
           • HIV guidelines
           • Collective bargaining and negotiations
           • Collective bargaining contract administration
           • Employee grievance administration
           • Health benefits, tax shelter annuity 403(b), Premium Conversion
               Plan, Deferred Compensation Program, PTS Program, Flex
               Spending, service awards, retirement awards
           • Classification and compensation systems
           • Fair labor practices and equal employment opportunity
           • Employee development and training
           • Employee evaluation systems
           • Workers’ Compensation Program administration
           • Employee safety and security administration

Under the direction of the assistant superintendent and the directors of OHR,
these services are provided directly, or coordinated throughout the public school
system, by the following 13 groups: Employee Safety & Security Section;
Recruitment Section; Classification and Compensation Section; Records and
Transactions Section; Certificated Personnel Regional Officers; Labor Relations
Section; Negotiations Section; Benefits Section; Training and Certification
Section; Induction, Monitoring & Professional Development Section;
Management Support Services Section; Professional Development &
Educational Research Institute; and the Classified Personnel Regional Officers.

The Employee Safety & Security Section is a new initiative of OHR under the
direct supervision of the assistant superintendent.




                                        G-7                                 6/30/10
Employee Safety & Security Section

Provides leadership, vision, and direction in the areas of Alcohol and Controlled
Substances and Identity Theft.

   •   Develops and designs a coordinated DOE Alcohol and Controlled
       Substance program in accordance with federal and State laws, rules and
       regulations, collective bargaining agreements, Executive Orders, and
       other applicable requirements.

   •   Develops and designs policies, procedures, and guidelines on alcohol and
       controlled substances.

   •   Develops and designs the alcohol and controlled substances training
       program as well as educational materials and handbooks.

   •   Designs, implements, and administers an Identity Theft program in
       accordance with Chapters 487J, 487N, and 487R, Hawaii Revised
       Statutes.

   •   Administers and develops policies and procedures that support the
       department’s compliance with Chapters 487J, 487N, and 487R, HRS.

The remaining groups are divided into three branches with each branch headed
by a director, who is responsible for the operation and supervision of each group
in the branch.

The Personnel Management Branch includes the Recruitment Section;
Classification and Compensation Section; the Records & Transactions Section,
and the Certificated Personnel Regional Officers.

The Personnel Assistance Branch includes the Labor Relations Section;
Negotiations Section; and Benefits Section.

The Personnel Development Branch includes the Certification & Training
Section; Induction, Monitoring & Professional Development Section;
Management Support Services Section; Professional Development &
Educational Research Institute; and the Classified Personnel Regional Officers.


PERSONNEL MANAGEMENT BRANCH

The Personnel Management Branch administers the recruitment process for the
filling of vacant positions; processing of personnel actions for qualified applicants
selected to fill position vacancies, as well as personnel actions for existing
employees; and classification and compensation system for all positions.


Recruitment Section

   •   Plans and administers a recruitment program for all employees in the
       public school system: identifying and publicizing actual and anticipated
       vacancies; screens and refers, through applicant lists, qualified applicants
       for vacancies; provides guidance and procedures for interview and
       selection; interviews and/or coordinates teacher assessment evaluations;
       processes selected applicants for employment; and responds to related
       inquiries.




                                        G-8                                  6/30/10
•   Maintains and monitors web page used to market school personnel for
    department positions.

•   Plans, develops, and administers the Temporary Contract Employee
    (TCE) Program.

•   Plans and coordinates the assignment and transfer program for
    employees in the public school system.

•   Administers Teacher Reclassification Program.

•   Maintains teacher license area(s) of preparation file; maintains database
    of external administrators who possess a master’s degree in Educational
    Administration and three years of teaching who are interested in seeking
    employment as an educational officer in the State of Hawaii.

•   Administers, plans, develops, and coordinates the Part-Time Temporary
    (PTT) Teacher Program which includes the Casual Personnel System.

•   Administers, plans, develops, and coordinates the teacher’s Job Sharing
    Program, Early Return Program, and Hardship Transfer Program.

•   Determines initial classification for substitute teacher applicants and
    reclassification of existing substitute teachers.

•   Reviews and verifies all summer school hires on the Casual Personnel
    System.

•   Maintains database for DOE Driver Education Certification and issues
    DOE Driver Training and Education Instructor Certificates.

•   Maintains and trains a cadre of qualified interviewers to conduct interviews
    for all teacher applicants.

•   Administers the Recruitment and Retention Program to provide qualified
    teachers and support staff for special education students by utilizing
    contracts such as Teacher-Teacher.com and Teach for America.

•   Ensures contract provisions of recruitment agency’s contracts regarding
    scope of services are appropriately monitored; ensures budget and
    allocation amounts are adequate for funding needs; revises contracts as
    necessary to clarify procedural requirements and/or changes in scope of
    services and compensation; ensures contract funds are appropriately
    spent; works toward building capacity for DOE to assume contracts
    responsibilities when contracts are terminated.

•   Tracks and documents all implementation steps necessary to meet state
    benchmarks for activities relating to personnel recruitment.

•   Administers and processes the hard-to-fill incentive for qualified special
    education teachers and regular education teachers in identified hard-to-fill
    schools.

•   Administers and processes the incentive program for the return of
    qualified teachers who have dual certification to special education.

•   Provides and monitors the relocation bonus for special education teachers
    who are recruited from the continental United States, based upon the time
    zone of the states.



                                     G-9                                   6/30/10
•   Processes Temporary Contract Employee forms for Administrative
       Workload Relief Program.

   •   Processes payment and compliance of requirements through casual
       payroll for the relocation bonus for special education teachers who are
       recruited from the continental United States, based upon the time zone of
       the states.

   •   Provides linkers to the Hawaii Teacher Standards Board for concerns
       related to teacher licensing.

   •   Coordinates job searches and placement for disabled employees with the
       Department of Human Resources Development, vocational rehabilitation
       counselors, and district and state offices.

                        Employee Background Check Unit

   •   Processes criminal history record checks and clearances for all
       employees, prospective employees, provider and subcontractors, and
       Institute of Higher Education (IHE) trainees.

   •   Coordinates exchange of highly confidential information with federal and
       state criminal and investigative agencies when processing classified
       information on prospective employees, providers and subcontractors and
       IHE trainees.

   •   Maintains a confidential, highly classified database on background
       information on all employees of the department.

   •   Processes temporary disability insurance claims for all employees of the
       department.


Classification & Compensation Section

   •   Administers, implements, monitors, and evaluates the establishment,
       reallocation, and abolishment of all DOE positions.

   •   Analyzes departmental classification problems and issues; develops
       program and operational procedures and practices for all DOE positions.

   •   Maintains a compensation plan consisting of all classes of work in the
       classification plan, indicating class titles and appropriate salary schedules.

   •   Maintains a library of civil service class specifications and minimum
       qualification requirements for DOE and other jurisdictions.

   •   Coordinates all amendments to the compensation plan with other
       jurisdictions to help assure the statutory provisions of equal pay are met.

   •   Conducts reviews to determine if labor shortages exist for classes of work
       or group of positions.

   •   Establishes a raised hiring rate or authorizes hiring above the minimum
       salary when a labor shortage is identified in order to better compete in the
       recruitment and fill of positions.

   •   Monitors statewide labor market conditions and participates in wage
       surveys.



                                        G-10                                 6/30/10
•   Conducts departmental classification studies and special projects;
    conducts on-site desk audit reviews of classified and Support Services
    Personnel (SSP) position duties as needed.

•   Recommends the development of new and amended class specifications,
    including minimum qualification requirements; analyzes the scheme of
    classes for program improvement.

•   Recommends bargaining unit designations.

•   Provides management advisory services to departmental offices,
    district/complexes, line managers, and others; develops classification
    procedures and guidelines; provides technical assistance to others in their
    use and application.

•   Represents the department in civil service classification appeals to the
    Merit Appeals Board (MAB).

•   Develops and maintains a departmental classified position management
    system.

•   Maintains position descriptions for all existing positions except for
    teachers and teacher-type positions.

•   Conducts annual reviews of projected school lists to ensure all positions
    are properly identified and assigns position numbers for new positions for
    the upcoming school year.

•   Maintains and establishes occupational group codes for all DOE positions.

•   Under Weighted Student Formula (WSF) in accordance with each school’s
    Academic Financial Plan (AFP), establishes/deletes positions beginning in
    May through February of the new school year. Also
    establishes/deletes/transfers Special Education, General Education
    Article VI positions in accordance with official student enrollment count
    and program needs.

•   Conducts annual review of the principal and vice principal classification
    levels to ensure positions are properly classified by applying formulas to
    the official enrollment count.

•   Supports the Classification/Compensation Appeals Board to review
    classification and compensation actions relating to educational officers.

•   Administers the Educational Officer Recruitment Program which includes
    but is not limited to identifying and publicizing actual and anticipated
    vacancies (principals/vice-principals, 12-month internal, external, and
    Charter School administrators); administers the recruitment of non-DOE
    prospective school level administrative applicants – coordinates, screens,
    and refers applicants; coordinates interview and selection guidelines and
    responds to educational officer recruitment inquiries.

•   Ensures that educational officer selection criteria, procedures, and
    compensation practices comply with federal and state laws, the School
    Code, and the bargaining contract, where applicable.

•   Upon approval by the superintendent, processes the filling of temporary
    appointees to vacant educational officer positions and the filling of




                                     G-11                                   6/30/10
substitutes (retirees, external hires) to school-level educational officer
       vacancies.


Records & Transactions Section

   •   Administers the salary and compensation of all employees; certifies pay
       authorizations; and ensures that employees are paid properly and in a
       timely manner; maintains a personnel record and information system and
       the School List.

   •   Processes all personnel actions from initial appointment to separation for
       all employees during their employment with the department.

   •   Provides employment statistics and reports to comply with requirements of
       federal, state, and DOE equal employment opportunity and affirmative
       action programs; provides reports to the unions and legislature; provides
       employment verification; provides employee information as requested in
       accordance with State Office of Information Practices guidelines.

   •   Develops guidelines and procedures to ensure that personnel transactions
       are processed in accordance with applicable personnel rules and
       regulations, collective bargaining provisions, and departmental regulations
       and procedures.

   •   Provides technical guidance, support, and assistance to departmental
       administrators, supervisors, managers, and staff regarding personnel
       matters.

   •   Provides technical support and assistance for ensuring compliance with
       federal laws such as the Fair Labor Standards Act, the Immigration
       Reform and Control Act, the Drug-Free Workplace Act, and the Americans
       with Disabilities Act.

   •   Plans and administers a records program, including computerized master
       files for public school teachers. Maintains employee information in the
       department’s computerized personnel systems.

   •   Administers the DOE Leave Sharing Program.

   •   Implements and administers coach’s compensation through the Casual
       Personnel System.

   •   Maintains data file on employee bonus and incentives.

   •   Supports the teacher stipends program, Early Returns and Hardship
       Transfers for teachers, and the annual Teacher Transfer Program.

                                    Substitutes Unit

   •   Administers the program to report the hiring and compensation of
       substitute and casual employment.

   •   Administers the program for substitute teachers (maintains and monitors
       TSEAS System).

   •   Prepares Columbus billing data for use of substitute teachers.




                                        G-12                                  6/30/10
Certificated Personnel Regional Officers

Personnel Regional Offices provide employment and personnel administration
services to schools, complexes, and districts, within the framework of established
laws, policies and accepted principles of personnel management. The scope of
the services provided by the Personnel Regional Offices include:
              - Recruitment, selection, and employment processing
              - Certification of teachers and educational officers
              - Leave administration
              - Personnel resource accounting and position allocation
              - Training of school administrators
              - Employee awards and recognition
              - Criminal history checks
              - Employee grievances
              - Employee benefits
              - Classification and compensation
              - Fair labor practices and EEO
              - Employee evaluation system
              - Workers compensation program
              - Substitute employees and casual hires

Personnel Regional Offices foster and maintain positive working relationships
between the DOE, unions, and other agencies.


PERSONNEL ASSISTANCE BRANCH

The Personnel Assistance Branch comprises the following sections, with its
respective functions: Labor Relations Section, which administers the employee
grievance/arbitration program and the performance evaluation programs;
Negotiations Section, which oversees collective bargaining negotiations and
contract interpretations and consult and confer; and WC, Health Benefits and
Awards Section, which oversees workers compensation, certain health benefit
plans, certain awards, and certain other employee benefits (e.g. tax-sheltered
annuities, liaisons to provide benefit information, etc.).


Labor Relations Section

                          Contract Administration Unit

   •   Administers the employee grievance/arbitration program, which includes
       processing employee/union grievances; provides advisory services and
       coordination of grievance hearings at the various levels; serves as the
       department advocate in grievance and arbitration cases; maintains a
       system of grievance recordkeeping and accountability; and conducts
       workshops for first-line supervisors and middle-management personnel on
       the processing of employee grievances and contract administration.

   •   Plans and administers the contract administration, compliance and
       monitoring program for the public school system.

   •   Serves as liaison between the public school system and various unions on
       employer-employee matters as required by state statutes and/or collective
       bargaining agreements.

   •   Provides guidance in the processing of employee disciplinary actions,
       non-renewal of employee contracts and termination of employment for
       disciplinary reasons, maintaining a system of recordkeeping and




                                      G-13                                 6/30/10
accountability for adverse disciplinary actions; and conducts workshops
       for first-line supervisors and middle-management personnel in the
       processing of adverse disciplinary actions.

   •   Fosters and maintains positive and cooperative working relationships with
       the unions.

   •   Coordinates Release Time requests for bargaining unit representation by
       the Hawaii Government Employees Association, Hawaii State Teachers
       Association, and the United Public Workers.

                                  Evaluations Unit

   •   Develops, implements and maintains the evaluation program and
       performance appraisal system for teachers (PEP-T), principals and vice-
       principals (PEP-SL), state and district educational officers (Form 753), and
       classified employees (PAS).

   •   Develops and maintains the profiles or standards for teachers and
       administrators.

Negotiations Section

   •   Provides research, technical information, staff support, and facilitation
       assistance to the negotiations teams and spokespersons for teachers and
       educational officers; may also serve as spokesperson.

   •   Provides research, technical information, and staff support to the
       negotiations teams for the classified bargaining units (Units 1, 2, 3, 4, 9,
       10, and 13).

   •   Assesses the effectiveness of operations and procedures in relation to
       future negotiations.

   •   Coordinates the preparation of the initial intent and new contract language
       interpretation for teachers and educational officers.

   •   Provides staff assistance and maintains records and files on collective
       bargaining and negotiations, as mandated by the legislature or negotiated
       agreements, such as Labor Management Cooperation Committee,
       Grievance Protocol Committee, and Labor Relations Committee.

   •   Maintains liaison between the Board of Education and other state
       agencies in collective bargaining and negotiations matters, e.g., assisting
       in coordinating the preparation of memoranda of understanding necessary
       to implement new provisions of negotiated agreements; and assisting
       other state agencies on collective bargaining matters relating to collective
       bargaining units and employees.

   •   Advises the BOE members serving on the respective School Community
       Councils (SSC) Exception Review Committees for Bargaining Unit 5 and
       Bargaining Unit 6 on issues relating to requests for contract exceptions.

   •   Coordinates, monitors, and maintains the Consult and Confer process and
       all communication to the Union as part of that process.

   •   Maintains the School Code/Standard Practices on personnel policies,
       regulations and procedures as provided for by the Board of Education and
       state statutes which include recommending revisions to conform to the



                                        G-14                                  6/30/10
provisions of negotiated contracts to the Board of Education and providing
       interpretations of approved School Code/Standard Practices provisions.


WC, Health Benefits and Awards Section

                        Workers’ Compensation (WC) Unit

   •   Plans and administers the WC Program for all employees, and students
       and adult volunteers that are providing services to the department.

   •   Determines eligibility for WC benefits.

   •   Processes WC claims and pays for WC benefits as required by WC law.

   •   Monitors WC activities for effectiveness and efficiency.

   •   Represents the DOE at Department of Labor and Industrial Relations
       (DLIR) – Disability Compensation Division hearings.

   •   Provides staff support to the staff of the Department of the Attorney
       General on matters relating to appeals at the DLIR – Labor Appeals Board
       and third-party liability claims.

   •   Assists with returning claimants back to work as soon as possible and
       refers claimants to the Return-to-Work Priority Program.

   •   Ensures compliance with applicable WC laws, related administrative rules,
       and DOE policies and procedures.

   •   Plans and administers certain bloodborne pathogens activities for the
       DOE as follows:
             - Provides and coordinates Hepatitis B vaccinations for all
                qualified DOE employees.
             - Provides access to bloodborne pathogens training information
                involving universal precautions.
             - Processes and pays for medical costs related to post-exposure
                evaluation and follow-up for DOE employees who are exposed
                to bloodborne pathogens while performing work-related tasks.

                         Health Benefits and Awards Unit

   •   Assists with the administering of health benefits plans offered by the
       Hawaii Employer-Union Health Benefits Trust Fund (EUTF). Works with
       the HSTA VEBA Trust Fund for Bargaining Unit 05/45 employees.

   •   Administers the Tax Shelter Annuity 403(b) Program for eligible
       employees in the department.

   •   Coordinates Service (10, 20, 30, 40 and 50 years) and the Retirement
       Awards for eligible employees.

   •   Coordinates certain other awards programs for employees of the
       Department to include Teacher of the Year, Employee of the Year
       (Sustained Superior Performance Award), Certificate of Achievement,
       Team Excellence Award of Merit (TEAM), Teacher in Residence Program,
       and international exchange programs.




                                       G-15                               6/30/10
•   Liaison between the Department and other State agencies (ERS, EUTF,
       DHRD, etc.) to provide information and updates to all employees related
       to the State’s Deferred Compensation Program (DC 001), PTS Deferred
       Compensation Retirement Plan (DC 015), Island Flex Flexible Spending
       Accounts Program, Premium Conversion Plan and the ERS program.

   •   Works with the Payroll Section to provide information and updates on the
       Department’s Post-Separation Vacation Pay Deferral Program.


PERSONNEL DEVELOPMENT BRANCH

The Personnel Development Branch administers training and certification of
educational assistants, special education teachers, and support services
personnel to teachers and speech pathologists; employee evaluation program;
sabbatical leaves; employee awards; compliance and monitoring of federal and
state requirements, such as the Felix consent decree and No Child Left Behind;
maintenance and updates of the departmental organizational charts and
functional statements; review of proposed reorganizations; legislation
coordination, budget/fiscal oversight, and procurement contracts for OHR;
maintenance of various databases to support personnel decision making; and
establishment/tracking of OHR performance measures.

Training & Certification Section

Para Educator Career Ladder Training Program – this program provides
comprehensive, systematic, competency-based training to educational assistants
(EA) and other support service personnel to increase their knowledge and skills
to improve their performance in the classroom. The training includes in-service
workshops to schools, professional development courses, and career ladder
opportunities. This program also assists paraprofessionals to prepare for the
state test of competency that satisfies No Child Left Behind (NCLB) highly
qualified requirements.

   •   Designs, develops and implements training programs for
       paraprofessionals.

   •   Develops and writes Instructional Modules for EA orientation, immediate
       and advanced courses.

   •   Develops, writes and implements in-service and workshop modules for
       complex waiver days and other school requests which address specific
       issues faced by paraprofessionals.

   •   Designs and develops formative and summative evaluation plans for
       paraprofessional training.

   •   Observes and assesses classroom performance.

   •   Coordinates trailing and career ladder opportunities with community
       school for adults, community colleges and universities.

   •   Trains EAs in literacy tutoring and math tutoring.

   •   Provides information and training to high school students interested in
       pursuing a career in education.




                                       G-16                                6/30/10
•   Conducts informational meetings to recruit paraprofessionals into the
       Chaminade Dual Certification in Teaching Program and Leeward
       Community College’s Associate of Arts in Teaching Programs.

   •   Prepares bi-monthly newsletter for distribution to all paraprofessionals.

   •   Creates, copies and distributes flyers, posters, memos regarding
       professional development opportunities.

   •   Coordinates information with TIES for Para Educator website.

Alternative Route to Licensure in Special Education (ARLISE) – provides non-
licensed special education teachers with an opportunity to teach in the classroom
while earning special education licensure.

   •   Recruits, registers, and enrolls teacher candidates statewide into the
       ARLISE Program.

   •   Conducts research on latest research-based instructional practices and
       incorporates it into program curriculum and instruction.

   •   Develops instructional modules that meet national and state competency
       and content standards.

   •   Implements instructional modules via seminar and on-line coursework.

   •   Conducts classroom performance measurement via on-the-job
       assessment of teaching behaviors.

   •   Conducts individual conferences with teachers to provide feedback on
       classroom teaching performance.

   •   Conducts conferences with principals to coordinate teacher progress
       through the licensure program.

   •   Tracks progress of teachers in their progress towards graduation and
       stores data for accountability analyses.

   •   Prepares formative and summative evaluation reports of the ARLISE
       Program.

   •   Provides counseling and resources to help teachers meet program
       requirements.

   •   Prepares documentation for state approval of teacher education (SATE)
       program review.

   •   Meets with partnering universities (City University, Bellevue Washington
       and Chaminade University in Honolulu) to coordinate program instruction.

   •   Provides personnel managers with graduate data to update the HDOE
       personnel file.

Bachelor of Arts in Special Education (BASE) – serves as the City University
(Bellevue Washington) operations center in Hawaii to assist teacher candidates
in completing all requirements toward graduation and licensure as special
education teachers.




                                       G-17                                 6/30/10
•   Recruits, registers and enrolls teacher candidates statewide into the BASE
       Program.

   •   Hires and pays instructors.

   •   Hires and pays evaluators for student teaching.
   •   Procures and arranges for instructional facilities.

   •   Provides text information and course materials to students.

   •   Tracks progress of students in their progress toward graduation and
       stores data for accountability analyses including terms and conditions of
       tuition stipend agreement.

   •   Provides counseling and resources to help students meet program
       requirements.

   •   Prepares documentation for SATE program review.

   •   Conducts periodic reviews for City University staff from Bellevue, WA.

                     Technology Integration & Evaluation Unit

   •   Provides data collection, analyses, and reporting.

   •   Creates web-accessed databases that store performance measures,
       grades, and program status data from the center’s alternative licensure
       programs.

   •   Analyzes training data to determine the degree of success of training
       programs in meeting program objectives.

   •   Provides program managers with formative evaluation data and results
       that assist them in improving training programs to meet planned
       benchmarks.

   •   Provides program managers with summative evaluation data and results
       that assist them in determining the degree of success of training program
       and whether or not the programs should be continued or stopped.

   •   Provides personnel managers with program graduates’ retention rates.

   •   Provides Center staff and trainers with office equipment, computers,
       distance learning equipment, telecommunication capabilities, internet
       access, and e-mail capability.

   •   Provides systematic training in technology use.


Induction, Monitoring & Professional Development Section

The Induction/Professional Development Section supports all teachers in building
their teaching capacity, relative to the Hawaii State Teaching Standards and No
Child Left Behind requirements, in addressing the needs of a diverse student
population and building a support network that includes professional dialogue
among teachers. The section is involved in the development of a comprehensive
Induction Program that will provide beginning teachers with supports based on a
performance-based assessment that will ultimately lead to increased student
achievement. Licensure and re-licensure requirement supports are addressed



                                        G-18                               6/30/10
through ongoing workshops. Professional development activities and
opportunities are provided throughout the year to enable all teachers to meet and
exceed professional teaching standards.



Services and activities:

   •   Provides various training in partnership with New Teacher Center
       University of California Santa Cruz and University of Hawaii Special
       Education Department that focus on the development of a comprehensive
       induction program (i.e. mentor training, administrator training, induction
       institute, formative assessment system for beginning teachers).

   •   Coordinates and collaborates with various complexes in developing and/or
       enhancing their induction program.

   •   Provides additional beginning teacher supports with district/complex area
       support providers and administrators specifically in the area of Special
       Education.

   •   Collects data on mentoring support e.g. New Teacher Center Online
       Survey.

   •   Pilots an Induction Program in Maui.

   •   Provides Praxis Prep workshops. Math: Oahu, Big Island, Kauai, and
       Maui. Reading and writing on Oahu only.

   •   Aligns the Hawaii Teacher Standards, PEP-T to a national continuum of
       teacher professional development.

   •   Develops and expands online and live courses aligned to continuum.

   •   Conducts live professional development courses on the islands of Hawaii,
       Maui, and Oahu during the fall, spring, and summer semesters.

   •   Provides and facilitates professional development online courses that are
       accessible to teachers across the state.

   •   Develops professional development program plans based on Leadership
       Development & Educational Research Institute (LDERI) guidelines.

   •   Develops professional development courses (modules, activities,
       handouts, assignments).

   •   Submits professional development courses to LDERI for approval.

   •   Posts professional development activities on the DOE Learning Catalog.

   •   Updates and posts courses on RRSC, personnel support section website.

   •   Creates and disseminates course and workshop flyers.

   •   Secures facilities and equipment for courses.

   •   Coordinates online logistics with Webed (threaded discussions, access
       codes, log on instructions).




                                      G-19                                6/30/10
•   Develops training packet and trains contracted course instructors.

   •   Provides feedback to course participants on course content application
       through class visitations and review of their learning portfolio.

   •   Develops and conducts inservice/workshops/training based on area needs
       and requests.

   •   Collects money to purchase course materials.


Management Support Services Section

   •   Reviews, analyzes, and recommends reorganization proposals based on
       sound organization principles and in compliance with the governor’s
       administrative directive.

   •   Publishes and maintains the department’s official Plan of Organization;
       coordinates the annual update.

   •   Monitors the Title II NCLB Grant for teacher and administrator quality;
       monitors other federal grants as needed.

   •   Serves as liaison between the department and agencies to ensure correct
       and proper communication in the implementation of compliance activities.

   •   Assists the branch with coordination of legislative bills.

   •   Provides budget and fiscal oversight for OHR.

   •   Establishes and monitors OHR performance measures.

   •   Assists the branch with compliance to procurement requirements.


Professional Development & Educational Research Institute

This section is responsible for program leadership for and coordination of all
activities related to professional development for teachers, administrators, and
educational officers.

   •   Researches and shares information regarding best practices related to
       instruction and school leadership.

   •   Provides coordination necessary to develop and implement an integrated
       professional development program.

   •   Supports teacher leaders and administrators with overall leadership
       development, mentoring and support.

   •   Designs and conducts the training sessions for the Teacher Leader
       Academy, ACE Program, Hawaii Principals Academy, and
       Superintendent’s Academy.

   •   Conducts and participates in focus groups and forums related to
       leadership.




                                        G-20                                6/30/10
•   Plans, develops, conducts, and administers the school
       administration training program for the screening, training, and
       certification of school administrators.

   •   Develops partnerships with the universities in support of
       administrator training.

   •   Provides registration for the employee training programs
       sponsored by the Department of Education.


Classified Personnel Regional Officers

Personnel Regional Offices provide employment and personnel administration
services to schools, complexes and districts, within the framework of established
laws, policies and accepted principles of personnel management. The scope of
the services provided by the Personnel Regional Offices include:
              - Recruitment, selection, and employment processing
              - Leave administration
              - Personnel resource accounting and position allocation
              - Employee awards and recognition
              - Criminal history checks
              - Employee grievances
              - Employee benefits
              - Classification and compensation
              - Fair labor practices and EEO
              - Employee evaluation system
              - Workers compensation program
              - Substitute employees and casual hires

Personnel Regional Offices foster and maintain positive working relationships
between the DOE, unions, and other agencies.




                                       G-21                               6/30/10
OFFICE OF INFORMATION TECHNOLOGY SERVICES
OFFICE OF INFORMATION TECHNOLOGY                           STATE OF HAWAII
                                       SERVICES                                DEPARTMENT OF EDUCATION
                                                                      OFFICE OF INFORMATION TECHNOLOGY SERVICES
                             ASSISTANT SUPERINTENDENT
                                                                                   ORGANIZATION CHART



INFORMATION RESOURCE                  INFORMATION SYSTEM SERVICES     NETWORK SUPPORT SERVICES
 MANAGEMENT BRANCH                              BRANCH                        BRANCH




                                            DECISION SUPPORT / DATA        NETWORK & COMPUTER
   STUDENT INFORMATION
                                              WAREHOUSE SYSTEM              SYSTEM OPERATIONS
     SERVICES SECTION                        DEVELOPMENT SECTION                 SECTION



                                            PERSONNEL & PAYROLL
   LOTUS NOTES SUPPORT                                                      WIDE AREA NETWORK
                                            SYSTEM DEVELOPMENT
         SECTION                                                           MANAGEMENT SECTION
                                                  SECTION



                                                                          SCHOOL LOCAL NETWORK
 INFORMATION MANAGEMENT                   SCHOOL & STUDENT SYSTEM
                                                                           OPERATIONS SUPPORT
   ARCHITECTURE SECTION                     DEVELOPMENT SECTION
                                                                                 SECTION



                                             DESKTOP & SERVER
    STUDENT SERVICES                                                     SCHOOL TECHNOLOGY & T/N
                                          APPLICATION DEVELOPMENT
   APPLICATION SECTION                                                      SUPPORT SECTION
                                                   SECTION



                                          BUDGET SYSTEMS & SPECIAL
   INFORMATION SYSTEMS                                                       VOICE NETWORK
                                          APPLICATION DEVELOPMENT
     TRAINING SECTION                                                      MANAGEMENT SECTION
                                                   SECTION



    INFORMATION ACCESS                      FMS MAINFRAME SYSTEM           INTERNET SERVICES &
      SUPPORT SECTION                       DEVELOPMENT SECTION            OPERATIONS SECTION



                                            FMS WORKSTATION AND
                                            WEB SERVICES SYSTEM
                                            DEVELOPMENT SECTION



                                            LOTUS NOTES APPLICATION
                                             DEVELOPMENT & SYSTEM
                                                 MANAGEMENT
                                                                                                   H-1   6/30/10
STATE OF HAWAII
                                                                                                                                                                                                              DEPARTMENT OF EDUCATION
                                                                                           OFFICE OF INFORMATION                                                                                     OFFICE OF INFORMATION TECHNOLOGY SERVICES
                                                                                           TECHNOLOGY SERVICES
                                                                                                                                                                                                             POSITION ORGANIZATION CHART
                                                               Private Secretary I           Assistant Superintendent
                                                                44792 SR-20                           66812



                                                             General Prof VI
                                                           (PM & CA Specialist)
                                                             800917 SR-26       1/


                                                                                           INFORMATION RESOURCE
                                                                                            MANAGEMENT BRANCH
                                                                                              Information Resource
                                                                                                                                  Secretary IV
                                                                                              Management Director
                                                                                                                                21911 SR-18
                                                                                                60072     EO-10




                  STUDENT INFORMATION                                          LOTUS NOTES SUPPORT                      INFORMATION MANAGEMENT                 STUDENT SERVICES                        INFORMATION SYSTEMS          INFORMATION ACCESS
                    SERVICES SECTION                                                 SECTION                              ARCHITECTURE SECTION                APPLICATION SECTION                         TRAINING SECTION            SUPPORT SECTION
                                                                                                                                                                                                         Information Technology
                   Information Specialist II                                         ITV Specialist II                    Information Specialist II           Educational Specialist III                                            Educational Specialist II
                                                                                                                                                                                                          Training Specialist II
                        60067 EO-7                                                    68087 EO-7                              68622 EO-7                          75388 EO-8                                                            60762 EO-7
                                                                                                                                                                                                              66816 EO-7

  12-Month State Office                                                                DP User Support                                                                                                         DP Systems
                                           Secretary II         2/                                                                Secretary II                    12-Month State Office                                                     Secretary II
       Teacher                                                                           Technician II                                                                                                          Analyst IV
                                          53195 SR-14                                                                            19177 SR-14                           Teacher                                                             35337 SR-14          3/
     72805, 72831                                                                       58269, 58270                                                                                                          801158 SR-22
                                                                                                                                                                     72802, 75141       1/ 1/
     73038, 76282            1/                                                         59154, 59155
                                                                                                                                                                     75147, 75148       1/ 1/
                                                                                                SR-15
                                      Clerical Supervisor II                                                                DOE Decision Support                     75151              1/                    DP User Support
     Data Processing                                                                                                                                                                                            Technician II
                                        11495 SR-12                                                                             Specialist I
    Systems Analyst V                                                                                                                                                                                          44936, 44938
                                                                                                                               69702, 79143         4/
     57920 SR-24                                                                                                                                                                                               44939, 44940
                                                                                                                              79144 EO-6         4/                    DP Systems
                                                                                                                                                                                                               44941, 44942
                                             Clerk IV                                                                                                                   Analyst IV
    Data Processing                                                                                                                                                                                            44943, 44944
                                          25813 SR-10                                                                                                                55541, 801044              1/
   Systems Analyst IV                                                                                                                                                                                          44945, 44946
                                                                                                                                   Research                          801054 SR-22          1/
    57921, 800988                                                                                                                                                                                              44947, 59055
                                                                                                                                 Statistician IV                                                               59150, 59152
             SR-22
                                                                                                                                48871 SR-22                                                                    59153 SR-15
                                                                                                                                                                    DP User Support
     DP User Support                                                                                                                                                  Technician II
       Technician II                                                                                                             DP Systems                          55535, 58602                             DP User Support
      59057, 59151                                                                                                                Analyst IV                                SR-15                               Technician I
      59075 SR-15                                                                                                              801399, 801400         4/ 4/                                                    59919, 59920
                                                                                                                                         SR-22                                                                 59922, 59923
                                                                                                                                                                      Clerk Typist II                                 SR-13
    Clerical Supervisor I                                                                                                                                             58681 SR-8
      10405 SR-10



         Clerk II
       8264, 9498
       9628, 9829
       13793 SR-6


1/ Temporary position, General funds
2/ Position also serves as secretary to ITV Specialist II, position no. 68087
3/ Position also serves as secretary to Information Technology Training Specialist II, position no. 66816                                                                                                                          H-2                  6/30/10
4/ Temporary position, Federal funds
STATE OF HAWAII
                                                                                                                                                                                   DEPARTMENT OF EDUCATION
                                                                                                                                                                          OFFICE OF INFORMATION TECHNOLOGY SERVICES
                                                                                                                                                                                  POSITION ORGANIZATION CHART



                                                                                                      INFORMATION SYSTEM
                                                                                                        SERVICES BRANCH
                                                                                                     Information System Director            Secretary IV
                                                                                                           69845 EO-10                     14820 SR-18




                         Data Processing                                                                                                                        Data Processing
                                                                                                                                                                                      Secretary II
                           Specialist III                                                                                                                         Specialist III
                                                                                                                                                                                     48559 SR-14
                         69266      EO-8                                                                                                                         60014 EO-8



                           Data Processing                                                                                                                         Data Processing
                             Specialist II            Clerk Typist II                                                                                                Specialist II
                           60937      EO-7           32163     SR-8                                                                                                 60938 EO-7




  DECISION SUPP/DATA     PERSONNEL & PAYROLL               SCHOOL & STUDENT           DESKTOP & SERVER               BUDGET SYST & SPECIAL                   FMS MAINFRAME           FMS WORKSTATION &             LOTUS NOTES APP DEV
WAREHOUSE SYST DEV SEC   SYSTEMS DEV SECTION              SYSTEM DEV SECTION         APPLICATION DEV SEC              APPLICATION DEV SEC                  SYSTEM DEV SECTION        WEB SVCS SYST DEV              & SYST MANAGEMENT
 DP Systems Analyst V      DP Systems Analyst VI           DP Systems Analyst VI      DP Systems Analyst V              DP Systems Analyst VI              DP Systems Analyst VI     DP Systems Analyst VI          DP Systems Analyst V
    14788, 800918             14445 SR-26                     15307 SR-26               28749    SR-24                    50437    SR-26                      41050 SR-26               47861 SR-26                  800939     SR-24
            SR-24


                              DP Systems Analyst V                                                                                                                                          DP Systems                     DP Systems
        DP Systems                                            DP Systems Analyst V      DP Systems Analyst V               DP Systems Analyst V               DP Systems Analyst V
                                 17862, 28709                                                                                                                                                Analyst IV                     Analyst IV
         Analyst IV                                              27921, 55534             27734, 801091                       27694, 47862                       41432, 43013
                                 58548 SR-24                                                                                                                                               42957, 47667                   48872, 49233
       47668 SR-22                                               58590, 58601             801110 SR-24                               SR-24                              SR-24
                                                                                                                                                                                                  SR-22                   800783 SR-22
                                                                        SR-24

                                   DP Systems                                                DP Systems                         DP Systems                        DP Systems
                                                                                                                                                                                             Computer
                                    Analyst IV                      DP Systems                Analyst IV                         Analyst IV                        Analyst IV
                                                                                                                                                                                           Programmer V
                                  35493, 47666                       Analyst IV             15776, 23740                       46736, 47669                      25013, 50435
                                                                                                                                                                                           47685 SR-24
                                  59944, 59945                     29192, 47671                    SR-22                       58591, 59693                              SR-22
                                         SR-22                     50436, 800774                                               59694 SR-22
                                                                           SR-22
                                                                                                                                                                                             Computer
                                                                                                                           DP Systems Analyst III                                         Programmer IV
                                                                                                                              59695 SR-20                                                 46737   SR-22


                                                                                                                                Computer
                                                                                                                              Programmer IV
                                                                                                                              41051 SR-22



                                                                                                                                                                                                             H-3               6/30/10
STATE OF HAWAII
                                                                                                                                                                                 DEPARTMENT OF EDUCATION
                                                                                                                                                                        OFFICE OF INFORMATION TECHNOLOGY SERVICES
                                                                                                                                                                                POSITION ORGANIZATION CHART



                                                                                                NETWORK SUPPORT
                                                                                                SERVICES BRANCH
                                                                                                   Telecom Director                   Secretary IV
                                                                                                    66355 EO-10                      36699 SR-18


                                                                                Telecom Network
                                                     Secretary II                  Specialist II
                                                    48541 SR-14       2/      66415, 73098 EO-7           1/




NETWORK & COMPUTER          WIDE AREA NETWORK                          SCHOOL LOCAL                            SCHOOL TECHNOLOGY &
                                                                                                                                                              VOICE NETWORK            INTERNET SERVICES &
SYSTEMS OPERATIONS         MANAGEMENT SECTION                       NETWORK OPERATIONS                          T/N SUPPORT SECTION
                                                                                                                                                            MANAGEMENT SECTION         OPERATIONS SECTION
       SECTION                                                        SUPPORT SECTION                           Telecom Network Spec II
Data Processing Systems                                                Telecom Network                               60060, 60135                                                        Telecom Network
                            DP Systems Analyst VI                                                                                                              Telecom Specialist II
       Analyst VI                                                         Specialist II                              66357, 66818                                                           Specialist I
                               42301 SR-26                                                                                                                       73085    EO-7
    27695     SR-26                                                     73097 EO-7      1/                           69217, 73064                                                         60096     E0-6
                                                                                                                             EO-7
                                   DP Systems                                                                                                                     Automated Systems
       Data Processing                                                        DP Systems
                                    Analyst IV                                                                                                                     Equipment Tech I
      Systems Analyst V                                                        Analyst IV                          Automated Systems
                                  47863, 48841                                                                                                                       7804, 14886
       800755 SR-24                                                          47670 SR-22                          Equipment Supervisor
                                         SR-22                                                                                                                             BC-14
                                                                                                                    30541     F1-14

      Data Processing
                                 Data Processing
     Systems Analyst IV                                                                                               Automated Systems                             Clerk Typist III
                                Systems Analyst V
       48842, 50420                                                                                                    Equipment Tech I                             7136    SR-10
                                 800753 SR-24
              SR-22                                                                                                     30542, 42580
                                                                                                                        43070, 50419
                                                                                                                               BC-14
    Computer Operator II
      35492 SR-15



       DP User Support
         Technician II
        43516, 43517
               SR-15




                                 1/ Temporary position, General funds
                                 2/ Secretary II, position no. 48541 receives technical supervision from Telecommunications Network Specialist II, position no. 66415

                                                                                                                                                                                                 H-4         6/30/10
DEPARTMENT OF EDUCATION

            OFFICE OF INFORMATION TECHNOLOGY SERVICES

                          FUNCTIONAL STATEMENT


The Office of Information Technology Services (OITS) exercises technical
oversight of information and telecommunication systems, facilities, and services
of the public school system and department-wide operations to ensure that
information technology and telecommunications support are being provided
efficiently and effectively, and in accordance with laws, policies, and accepted
principles of management. The scope of OITS’ technical oversight includes
voice, data, video, information systems infrastructure, and support services for
schools and for complex areas and state administrative offices. Support services
to schools are exercised in collaboration with the complex area superintendent.
OITS provides the public school system with leadership and support in the
management and use of information, telecommunication, instructional
technologies and related resources; develops strategic plans, policies,
procedures, and standards for information and telecommunication services;
plans and maintains the information and telecommunication systems
infrastructure, local networking, and statewide connectivity to permit rapid
adaptation to new directions and to limit the risk of obsolescence in meeting the
needs for voice, video, and data communication; manages information,
telecommunication, instructional technologies, and related resources; provides
training and technical support in use of voice, video, data, and information
systems; and provides direct consultative services to schools through the
assignment of staff to school sites. Under the direction of the assistant
superintendent, Office of Information Technology Services, these functions are
provided by three OITS branches: Information System Services Branch,
Information Resource Management Branch, and Network Support Services
Branch.


INFORMATION RESOURCE MANAGEMENT BRANCH

The Information Resource Management Branch develops policies, procedures,
and guidelines relating to information resource management, coordinates the
development of operational plans for the information systems and services of the
public school system, and provides information technology support services for
various department-wide computer applications.

Student Information Services Section

This section is the planning focal point for the department’s policies, procedures,
standards, and guidelines with respect to student information systems and
services. The section also provides operational support to users of the student
information system and services.

   •   Develops and maintains policies, procedures, standards, and guidelines to
       ensure quality processing, communication, and dissemination of student
       information and data.

   •   Provides technical consultation in planning and developing new or
       enhanced student information systems in order to ensure long-term
       compatibility and usability of information and data.




                                        H-5                                 6/30/10
•   Provides data control services for student accounting, federal impact aid
       survey, grade reporting, scheduling, attendance, and other student
       information-related functions.

   •   Conducts the federal impact aid survey.

   •   Provides logistical services for statewide testing programs.

   •   Provides the interface between users and technical staff in the operations
       of the student information system.

   •   Provides and maintains a help desk for users.

Information Access Support Section

This section administers the department’s record management program.

   •   Plans, coordinates, and develops procedures and guidelines for access to
       personally identifiable records within the department.

   •   Serves as the department’s liaison with the Office of Information Practices.

   •   Plans and coordinates the microfilming of student records, including
       providing consultative services to school staff on preparing the records for
       microfilming.

   •   In consultation with the DAGS records management program staff,
       develops and maintains the retention schedule for department unique
       records.

   •   Manages and administers the administrative rule regarding the
       educational rights and privacy of students and parents.

   •   Manages and administers the administrative rule regarding geographic
       exceptions.

Lotus Notes Support Section

This section has functional and user support responsibilities for developing and
maintaining the Lotus Notes groupware that is the backbone of the department’s
electronic communication and dissemination system.

   •   Analyzes the business processes considered for incorporation as a
       function of the groupware.

   •   Plans and designs system-wide functional enhancements to the
       department’s Lotus Notes groupware based on business process analysis.

   •   Provides design and overall direction to the technical staff on the
       programming of enhancements or new uses for the groupware.

   •   Plans and coordinates the implementation of enhancements or new uses
       department-wide.

   •   Provides consultative design services to schools and offices to meet their
       customized functional needs.

   •   Provides training of users on various Lotus Notes applications.




                                        H-6                                  6/30/10
•   Provides help desk support to users.

   •   Creates and maintains user accounts and access levels.

Information Management Architecture Section

This section coordinates the department’s cross-functional information
management (IM) activities. It ensures that IM activities provide the department
personnel with access to data in a useful format when and where needed, data
that is accurate and consistent, and is shared across the organization.

   •   Develops and maintains the department’s information management
       strategy. This includes:

       −    Developing and adapting the department’s information management
            architecture according to evolving departmental information needs;

       −    Ensuring that the department’s technical and application systems are
            aligned with the IM architecture and direction.

   •   Provides information support to state and district offices on data modeling
       and statistical analysis based on programmatic issues. This includes:

       −    Evaluating information requirements and ensuring IM/IT efforts are
            aligned with the intent of the needs; and

       −    Coordinating IM activities between OITS and other DOE offices or
            external agencies.

   •   Administers and conducts statistical research and analysis. This includes:

       −    Disseminating yearly and ad-hoc reports such as student enrollment
            projections; enrollment counts; student attendance; student transfer,
            withdrawal and retention; demographic, population, and
            socioeconomic characteristics of school attendance areas; and other
            applications and analyses of school and student data as required;

       −    Coordinating and managing the collection and retrieval of student
            information and other types of data to respond to requests from
            federal and state agencies and the public;

       −    Serving as the liaison to the National Center for Education Statistics
            (NCES) on state-national data issues; and

       −    Providing functional planning, modeling, and content support for the
            department’s decision support system.

Student Services Application Section

This section provides support for the development, maintenance, and user
training for the department-wide computerized application (eCSSS) that tracks
and manages services to students.

   •   Assists in the analysis of the business process involved in the student
       services that is considered for computerization.

   •   Assists in the development of user requirements.

   •   Provides and maintains a help desk for users.



                                       H-7                                 6/30/10
•   Provides the interface between users and technical staff in the operations
       of student services applications. This includes conducting initial
       troubleshooting of user problems, and where needed, working with
       technical staff to resolve problems.

   •   Assists in the planning and coordination of the implementation of new
       student services applications or enhancements of existing ones.

   •   Provides training and other support to users in using various student
       services applications.

   •   Evaluates the operations of various student services computer systems.

Information Systems Training Section

This section plans, coordinates, administers, and implements a department-wide
education and training program on information processing and
telecommunication systems and services to continually develop the knowledge
and skills of administrators, professional and technical staff, and clerical
personnel to efficiently and effectively use department-wide application systems,
end-user hardware and software, and telecommunication networks. The section
researches and obtains access to databases developed and maintained by
federal and other state agencies, universities, research institutes, and
commercial sources which meet the information and data needs of schools and
offices. It provides training to end users in methods and procedures of accessing
on-line information resources. The section is also responsible for the
development and implementation of the DOE’S Centralized Service Desk (CSD).

   •   Develops and provides a regular program of workshops and seminars for
       end users in the methods and processes of accessing on-line information
       resources, and responds to requests for specific user groups for such
       training.

   •   In coordination with the Information System Services Branch and other
       state program offices that have primary responsibility for various
       application systems, assesses training needs, and develops, conducts,
       and evaluates training courses to ensure reliable implementation and
       operation of department-wide application systems.

   •   In consultation with schools and offices, assesses education and training
       needs, and develops and coordinates an end-user training program to
       develop knowledge and skills in the use and application of
       microcomputers, office automation products, electronic mail and other
       communication hardware and systems in their administrative and
       educational operations.

   •   Plans, develops, and administers other education and training activities to
       upgrade the level of knowledge of department administrators, and to
       expand the technical competencies of information processing and
       communications professionals in OITS.

   •   Coordinates educational activities and training programs with other
       training resources of the department, other agencies, vendors, and
       consultants.

   •   In consultation with various offices and vendors, plans and manages the
       development and implementation of the DOE’s CSD.




                                       H-8                                   6/30/10
INFORMATION SYSTEM SERVICES BRANCH

The Information System Services Branch develops, integrates, and maintains
DOE statewide computer-based application systems on the department’s
multi-user host computers and servers, as well as the Department of Accounting
and General Services’ (DAGS) mainframe computers. In addition, the branch
develops and maintains specialized application systems such as the automated
substitute teacher assignment system, Workers’ Compensation system, TSA
vendor database, Driver’s Education database, etc. When resources allow, ISSB
also develops web-sites for offices that request this service. This branch is
headed by a director and technically supported by two project management
specialists, two technology integration specialists, and a clerical staff consisting
of a secretary and a clerk for the Honolulu location, and a secretary and clerk at
the Kapolei location.

School and Student System Development Section

This section provides systems development, enhancement, and maintenance
support for the department’s school and student information processing systems.

   •   Provides system and database management, system analysis, analysis of
       hardware and software alternatives, and programming support for the
       development and installation of new application systems for information
       processing.

   •   Participates with the Network Support Services Branch in planning the
       installation of necessary data communications networks prior to
       implementing new application systems.

   •   Provides enhancement and maintenance support for existing local and
       statewide application systems to meet user requirements and implement
       new or revised system software and hardware.

   •   Develops documentation required to operate, maintain, and utilize
       computer-based application systems, and provides technical assistance in
       user training on new application systems.

   •   Plans and designs the databases for statewide school application
       systems.

   •   Manages physical database structures and program libraries, and
       performs daily monitoring of all databases to detect and correct conditions
       that may lead to database degradation.

   •   Provides technical support in resolving computer hardware and software,
       as well as data communication problems.

   •   Assists in the technical evaluation and acquisition of new hardware and
       software tools to facilitate the development and enhancement of
       application systems.

   •   Provides assistance in the preparation of technical specifications for bids
       and contracts relating to computer hardware, software, and related
       services, and participates in the selection process.




                                        H-9                                 6/30/10
Personnel and Payroll System Development Section

This section provides systems development, enhancement, and maintenance
support for the department’s personnel and payroll information processing
systems.

   •   Provides system and database management, system analysis, analysis of
       hardware and software alternatives, and programming support for the
       development and installation of new application systems for information
       processing.

   •   Participates with the Network Support Services Branch in planning the
       installation of necessary data communications networks prior to
       implementing new application systems.

   •   Participates with contractors, users, and other state departments as well
       as other organizations in defining requirements and providing
       modifications and enhancements to existing local and statewide
       application systems.

   •   Develops user manuals required to utilize computer-based application
       systems and system and programming documentation to operate,
       enhance and maintain these systems. Also provides technical assistance
       during user training on new application systems.

   •   Plans and designs the databases for application systems.

   •   Manages personnel database structures and program libraries, and
       performs database administration (DBA) functions that include daily
       monitoring of all database relations to detect and correct conditions that
       may lead to database corruption.

   •   Provides technical support in resolving computer hardware, software, and
       data communication problems.

   •   Assists in the technical evaluation and testing of new hardware and
       software tools to facilitate the development and enhancement of personnel
       and payroll application systems.

   •   Provides assistance in the preparation of technical specifications for bids
       and contracts related to computer hardware, software, and related
       services.

Desktop and Server Application Development Section

This section provides systems development, enhancement, and maintenance
support of systems that supplement the department’s statewide information
processing systems. This section also provides operating system support and
server administration for other branch projects.

   •   Provides system and application support for Workers’ Compensation
       system, including software/hardware/network infrastructure, server
       administration, database administration, security policies, system
       enhancement, user technical support, and integration with other DOE
       systems such as FMS.

   •   Provides system and database management, system analysis, analysis of
       hardware and software alternatives, and programming support for the




                                       H-10                                 6/30/10
development and installation of the Hawaii State Test for Essential
       Competencies (HSTEC).

   •   Designs, implements, and provides system administration for internal
       networked servers which support infrastructure for this branch’s daily
       operations as well as other local and statewide applications.

   •   Assists with the Network Support Services Branch in performing
       installation of necessary data communication networks in offices located in
       the Liliuokalani Building.

   •   Provides enhancement and maintenance support for existing local and
       statewide application systems such as HSTEC, the Workers’
       Compensation record keeping system, Driver’s Education system,
       T-SEAS, student suspensions, etc.

   •   Develops documentation required to use, operate, maintain, and enhance
       various computer-based application systems and provides technical
       assistance in user training on new application systems.

   •   Plans and designs the databases for application systems.

   •   Maintains the integrity of the physical database structures and program
       libraries by performing regular monitoring and evaluation operations.

   •   Provides technical support in resolving computer hardware and software
       problems, as well as data communication problems.

   •   Provides assistance to state and district offices in setting up, configuring,
       and trouble-shooting of hardware and software.

   •   Assists in the technical evaluation and acquisition of new hardware and
       software tools that would facilitate development and enhancement of
       systems.

Budget Systems and Special Application Development Section

This section provides systems development, enhancement, and maintenance
support for the department’s Budget Preparation and Budget Execution systems,
as well as special applications such as the casual employee Time and
Attendance system.

   •   Provides system and database management, system analysis, analysis of
       hardware and software alternatives, and programming support for the
       development and enhancement of new budget, casual employee time and
       attendance, and other application systems.

   •   Participates with the Network Support Services Branch in planning the
       installation of necessary data communications networks prior to
       implementing new application systems.

   •   Provides enhancement and maintenance support for statewide budget
       application systems to meet the budget director’s and budget analysts’
       requirements, and also requirements from the legislature and the Budget
       and Accounting Office’s requirements.

   •   Develops documentation required to use, operate, and maintain the
       Budget Preparation and Budget Execution computer-based application




                                        H-11                                  6/30/10
systems and provides technical assistance in user training on new budget
       application systems.

   •   Develops casual employee Time and Attendance system user manuals for
       distribution to all schools and offices. Provides technical assistance and
       user training to the user support technicians on new casual employee and
       other application systems.

   •   Develops documentation required to use, operate, and maintain casual
       employee Time and Attendance computer-based application systems.
       Develops programming documentation to operate, enhance, and maintain
       these systems.

   •   Plans and designs the databases for budget, casual employee Time and
       Attendance, and other application systems.

   •   Manages physical database structures and program libraries, and
       performs regular checks of all databases to detect and correct conditions
       that may undermine the integrity of these databases.

   •   Provides technical support in resolving budget, casual employee Time and
       Attendance, and other application related computer hardware and
       software, as well as data communication problems.

   •   Assists in the technical evaluation and acquisition of new hardware and
       software tools to facilitate the development and enhancement of
       application systems.

FMS Workstation and Web Services System Development Section

This section provides systems development, enhancement, and maintenance
support for the client-level software which runs on the FMS workstation at each
school and office, and provides the user interface to the department’s financial
management systems.

   •   Performs system analysis, analysis of hardware and software alternatives,
       programming support for the maintenance and enhancement to the
       financial management system, and other administrative data systems.

   •   Participates with the Network Support Services Branch in planning the
       installation of necessary data communications infrastructure in support of
       improved versions of financial management and other systems.

   •   Defines requirements for computer-based applications to meet new or
       changing departmental business processes.

   •   Develops user documentation required to utilize, operate, enhance, and
       maintain these computer-based application systems. Also provides
       technical assistance in user training on new application systems.

   •   Plans and designs the databases for application systems.

   •   Provides technical support in resolving computer hardware, software, and
       data communication problems.

   •   Performs technical evaluation and testing of new hardware and software
       tools to facilitate the enhancement of the department-wide financial
       management systems and other administrative data systems.




                                      H-12                                6/30/10
•   Applies web-services technologies to create web-based computer
       applications and associated data bases for financial and other
       administrative needs.

FMS Mainframe System Development Section

This section provides systems development, enhancement, and maintenance
support for the department’s primary financial systems which includes purchase
order processing, payment processing, fixed assets, general ledger, cash
receipts, and other accounting functions residing on a mainframe computer. In
addition, the section provides enhancement and support of the local school fund
accounting system which is used by all schools to keep records of non-
appropriated funds.

   •   Provides system and database management, system analysis, analysis of
       hardware and software alternatives, and programming support for the
       maintenance and enhancement to the financial management system.

   •   Participates with the Network Support Services Branch in planning the
       installation of necessary data communications infrastructure in support of
       the financial management systems.

   •   Participates with contractors and users in defining requirements and
       providing enhancements to existing local and statewide application
       systems to meet user requirements and implement revised system
       software and hardware.

   •   Develops user manuals required to utilize, operate, enhance, and maintain
       these computer-based application systems. Also provides technical
       assistance in user training on new application systems.

   •   Plans and designs the databases for application systems.

   •   Manages the financial system DB2 database structure and program
       libraries, and performs database administration (DBA) functions that
       include daily monitoring of all database relations to detect and correct
       conditions that may otherwise lead to database corruption.

   •   Provides technical support in resolving computer hardware, software, and
       data communication problems.

   •   Performs technical evaluation and testing of new hardware and software
       tools to facilitate the enhancement of the department-wide financial
       management systems.

Decision Support and Data Warehouse System Development Section

This section provides requirements definition, system design, development,
maintenance, operation, and support of decision support applications and
associated integrated data bases. These applications transform and integrate
data from the department’s operational data systems into an integrated data
structure optimized for on-line analysis. They also provide associated user tools
to summarize or drill-down, aggregate or disaggregate, and produce results in
either tabular or graphic forms, referred to as “business intelligence.”

   •   Defines departmental requirements for decision support, business
       intelligence applications.




                                       H-13                                 6/30/10
•   Applies Data Warehouse and other technologies to meet departmental
       needs.

   •   Designs and implements data bases to integrate data from the
       department’s operational systems.

   •   Designs and implements supplementary data structures (multi-
       dimensional cubes) to provide responsive on-line analysis.

   •   Develops extract, transformation and load processes to extract data from
       the various operational systems, transform and eliminate irregularities as
       necessary, and load the data into an integrated data base.

   •   Defines and implements user interface and data display applications to
       provide users the tools to interact with the data.

Lotus Notes Application Development and System Management Section

This section provides application development for schools and offices using the
Lotus Notes platform, system management and administration of the distributed,
multi-server Notes infrastructure, and system administration of Lotus Notes
electronic mail system used for official administrative communications
department-wide.

   •   Manages the DOE-wide Notes distributed server infrastructure.

   •   Performs system administration of all Notes servers. Defines and
       implements the Notes data architecture including both logical and physical
       file structures.

   •   Defines, configures, and implements server data replication and data
       backup policies.

   •   Designs, develops, and supports collaborative computer applications for
       schools and offices utilizing the Lotus Notes application development
       environment and associated programming languages.

   •   Designs, develops, and supports administrative computer applications that
       require workflow processes for schools and offices, utilizing the Lotus
       Notes application development environment and associated programming
       languages.

   •   Manages the Lotus Notes electronic mail statewide system, including
       user-level and organizational-level security certificates, mail accounts, and
       web access.


NETWORK SUPPORT SERVICES BRANCH

The Network Support Services Branch plans, develops the department’s
statewide telecommunications network architecture, infrastructure, and
operational plans including strategic, long-range planning, policies and
standards. The branch plans, designs, installs, and operates the department’s
telecommunication network for data, video, and voice. The branch plans,
installs, and maintains the school local telecommunication networks and supports
operating of the networked resources at schools and offices. The branch
provides direction and guidance in development of technology plans for the
schools, participates in developing standards and evaluation for the department’s
technology adoption and implementation for instructional and administrative



                                       H-14                                 6/30/10
functions. The branch plans, installs, and operates the department’s enterprise-
wide systems for statewide access and utilization of instructional and
administrative uses by all schools and offices.

Network and Computer System Operations Section

This section manages the operation of the department’s telecommunication
systems and the host and distributed computer systems.

   •   Manages operations of enterprise computer host and distributed servers
       for administrative and instructional uses, including servers for network
       access and protection, and the storage area network systems.

   •   Develops and implements procedures and safeguards against
       unauthorized access to departmental systems and networks, and
       manages and grants user authorization to access application systems and
       data.

   •   Plans and implements disaster recovery plans in cooperation with the
       other state agencies and department’s offices.

   •   Plans, installs, and manages the network and computer access and
       security servers such as firewall server, intrusion detection server, Internet
       filtering server, anti-virus server, Internet cache server, load balancing
       server, etc. Monitors the network access for security, and coordinates
       security management with other sections in the branch and other offices in
       the division.

   •   Analyzes usage and performance data to monitor and optimize the
       capacity and effectiveness of the department’s host and distributed
       computer systems and plans for their expansion.

   •   Works with services/system providers and end users in the resolution of
       problems involving the department’s network and computer systems.

   •   Plans, coordinates, and schedules with the Information and
       Communication Systems Division (ICSD) of the state Department of
       Accounting and General Services for the access and use of their computer
       resources and services.

   •   Installs and maintains operating system, database management,
       networking, and system utility software for the department’s host and
       distributed computer systems.

   •   Prepares bid specifications for planned resources and acquires and
       installs major computer hardware and software.

   •   Monitors the operation of the department’s wide area data network (WAN)
       and the local area data networks participating in the department’s WAN.
       Coordinates activities to correct any WAN malfunctions with the Wide
       Area Network Management Section.

   •   Provides the first one of user support in access and use of the
       telecommunication network, networked computer resources and
       applications.

   •   Manages system resources, including the allocation of data storage
       resources, storage area network resources for the department’s host and
       distributed computer systems.



                                       H-15                                  6/30/10
•   Plans and manages the computer data backup library and the safekeeping
       of data files through appropriate backup systems and off-site storage.

Wide Area Network Management Section

This section provides engineering, planning, installing and operating of the WAN
that connects the school networks to the global network through WAN
technologies.

   •   Determines requirements for WAN to support information technology
       infrastructure including data, image, and video communication systems in
       coordination with other state agencies, other offices in the department,
       and the schools.

   •   Manages installation and upgrade of the department’s WAN for data, and
       video for remote school/office sites and central communications center
       sites in accordance with school technology requirements, industry
       standards, and department’s plans/requirements.

   •   Manages daily operations of the WAN for data and video, manages
       telecommunication network services provided by telecommunications
       service providers and WAN hardware/software vendors.

   •   Plans and manages performance of Internet backbone access network
       through the commercial network service provider and manages network
       access to Internet II through the University of Hawaii.

   •   Schedules and monitors the operations of statewide data, image, and
       video communication systems to optimize the use of available
       telecommunication resources. Monitors network performance of the WAN
       through the network management systems and takes appropriate action to
       provide network capacity required by various applications for the schools
       and offices.

   •   Plans, installs, and supports internetworking connections between the
       school local area network (LAN) and the WAN for schools’ access to the
       Internet and the Intranet, sets up and supports Internet services such as
       NAT, DHCP, DNS, Network Security System, Network Management
       System, etc.

   •   Plans and coordinates with other state agencies to implement and
       expand/upgrade the statewide backbone network, such as the state’s
       institutional network (I-Net) to support data, video, and voice
       communication requirements for the department. Manages and operates
       the department’s part of the I-Net to provide high capacity network
       connections.

   •   Evaluates WAN telecommunications hardware, software, and services.
       Develops specifications for competitive bidding and participates in
       evaluation of bids and selection of appropriate vendors and network
       transport service providers.

   •   Researches, analyzes, and assesses the applicability of the advances in
       WAN telecommunication technologies and services to stay abreast of
       major trends and potential applications for improving the department’s
       WAN.

   •   Manages Internet resources such as IP addresses, autonomous system
       number for the department. Allocates IP addresses to schools and



                                      H-16                                6/30/10
offices. Designs, plans, and operates IP (public and private) assignment
       scheme to the schools and offices.

   •   Reviews and approves all requests for data, image, and video
       telecommunication network and services.

School Local Network Operations Support Section

This section provides support in the area of installation, administration, and
management of the Network Operating Systems (NOS) for schools and offices;
and provides support in management and use of the networked resources
effectively and efficiently.

   •   Provides technical consultation and support in planning, designing,
       implementing, and operating the NOS and networked applications of the
       schools operating in the school LAN, across the department’s WAN and
       Internet.

   •   Develops and proposes budget requirements for future network projects
       according to school-identified priorities and technology plans. Assists
       schools in the selection and purchase of equipment and software
       necessary to implement and maintain their technology projects.

   •   Determines the NOS requirements for the school, provides support in
       selection and procurement of the NOS that meets the requirements of
       planned or existing applications. Configures and installs NOS with the
       school technology personnel.

   •   Provides training for the school technology personnel in administration
       and operation of the NOS installed, trains the users in the efficient use and
       management of network applications.

   •   Provides phone support and on-site technical problem resolution on
       school LANs as necessary. Provides remote management and diagnosis
       of the school NOS and LAN operations as necessary.

School Technology and Telecommunication Network Support Section

This section provides schools with support in planning, installing, operating, and
managing technology for instructional and administrative functions. This section
plans, designs, installs, maintains, and repairs the physical telecommunication
network for voice, video, and data in schools and district/state offices.

   •   Supports schools in planning, designing, upgrading, and installing voice,
       video, and data networks in accordance with the school technology plans
       and/or to address specific requirements (e.g., safety/security, special
       student needs, etc.).

   •   Plans, schedules, designs, and installs the school physical network
       infrastructure in accordance with school technology plans,
       industry/building standards, and department standards and requirements.

   •   Maintains and repairs school physical telecommunication network for
       voice, video, and data.

   •   Supports schools in participating in programs and applying for funds for
       school telecommunication network installation, operation, network
       enhancements, and upgrades. Processes program applications on behalf
       of schools (e.g., E-Rate Program).



                                       H-17                                 6/30/10
•   Supports the schools in collecting and managing data needed for
       Standards Based Education.

   •   Participates in project planning (initial planning, review/revision), progress
       monitoring, and final inspections of telecommunication-related Capital
       Improvement Projects (CIP) for the schools.

   •   Assists schools in developing their school technology plans aligned with
       their Standards Implementation Design (SID).

   •   Supports the schools in effective use and application of standard
       statewide computer applications.

   •   Researches, reviews, analyzes, and assesses emerging
       telecommunications technologies and services for possible applications
       and practices to improve instructional and administrative functions and
       improve student performances. Informs and advises schools of possible
       use of these technologies to achieve their instructional and administrative
       objectives.

   •   Evaluates telecommunications hardware, software, and services for
       possible school applications.

   •   Participates in establishing, reviewing, and updating the department’s
       networking policies, standards, and procedures for the installation and
       operation of telecommunication networks for voice, video, and data.
       These reviews are based on the current and emerging technologies and
       their potential benefit of the educational objectives and administrative
       needs of the schools.

   •   Evaluates effectiveness of the technology and telecommunication network
       implementation and use in the functional areas, and makes
       recommendations for improvements.

Voice Network Management Section

This section manages planning, installation, and operation of the voice network
for the department’s schools and offices.

   •   Provides support in planning and installing voice network infrastructure
       according to the school technology plan and planned administrative and
       instructional uses.

   •   Works with telecommunication service providers to secure quality and
       timely service at schools and offices, handles billing issues, and
       communicates to schools awareness of new services available to the
       department. Advises schools to ensure effective use of funds, credits, and
       reimbursements.

   •   Supports the schools in planning, procuring, configuring, installing, and
       upgrading of the voice processing systems, such as KSU, PBX, and Voice
       over IP systems.

   •   Coordinates all voice-related services and equipment installation for
       schools through the Telecom Request process.

   •   Manages repair and maintenance requests by coordinating services
       provided by the section and telecommunication equipment repair service
       providers.




                                        H-18                                  6/30/10
•   Coordinates with other state agencies in the use of the statewide voice
       network system and service projects and contracts.

   •   Installs, analyzes, and tests school and office voice network, voice system
       and components, determining the cause of any problem, and replaces or
       repairs the source of the trouble. Provides periodic preventive
       maintenance of voice network and equipment as needed.

Internet Services and Operations Section

This section provides Internet and Intranet services to all department users and
manages planning, installing, and operating of the various Internet server
hardware and software used to provide the required services.

   •   Manages the department’s Internet/Intranet computer resources; performs
       system management functions of the computer servers; manages user
       accounts; installs, configures, and maintains services such as E-mail, Web
       services, Usenet news, mailing lists, domain name services, Internet chat
       and others.

   •   Provides the security of the Internet servers; works with the Network and
       Computer Operations Section on planning and operations of the firewalls,
       intrusion detection system, web content filtering servers, anti-virus system,
       etc. Investigates computer security break-ins and cyber misconducts
       committed by the department users.

   •   Coordinates efforts to ensure the department’s web sites comply with the
       Americans with Disabilities Act directives and Children Internet Protection
       Act.

   •   Provides second level technical support to users in the schools and offices
       in troubleshooting problems and providing assistance with the Internet
       services offered. Provides support to the school technology personnel in
       the schools, who provide the first level of technical support.

   •   Performs system administration and maintenance functions for the
       Internet and Intranet servers. Applies all software upgrades and patches,
       manages new installation and upgrade of hardware and software.

   •   Evaluates, monitors, and analyzes performance of the Internet and
       Intranet servers and network connections/utilization for effective capacity
       planning and performance optimization.

   •   Participates in planning, designing, and implementing of the department’s
       Internet and Intranet application plans.

   •   Develops training materials, conducts in-service workshops and
       presentations related to using the Internet as a teaching tool to improve
       teacher productivity and student achievement.

   •   Sets up Internet and Intranet client applications and services for the
       schools and offices. Advises users with problems determination and
       resolution for Internet and Intranet application systems.

   •   Provides support in setup and creation of web sites for the schools and
       offices needed to deploy Standards Based Education information.




                                       H-19                                 6/30/10
COMPLEX AREAS
  • Organization Chart
  • Position Organization Chart
  • Functional Statement
STATE OF HAWAII
                                                                                                                                           DEPARTMENT OF EDUCATION
                                                                                                                                           HONOLULU DISTRICT OFFICE
                                                                                                                                              ORGANIZATION CHART



                                                                    HONOLULU DISTRICT OFFICE




           FARRINGTON / KAISER / KALANI
                 COMPLEX AREA                                                                      KAIMUKI / MCKINLEY / ROOSEVELT
                SUPERINTENDENT                                                                              COMPLEX AREA
                                                                                                         SUPERINTENDENT




FARRINGTON COMPLEX               KAISER COMPLEX       KALANI COMPLEX                       KAIMUKI COMPLEX              MCKINLEY COMPLEX         ROOSEVELT COMPLEX
      SCHOOLS                        SCHOOLS             SCHOOLS                               SCHOOLS                      SCHOOLS                  SCHOOLS




    FARRINGTON                       KAISER               KALANI                               KAIMUKI                      MCKINLEY                 ROOSEVELT
 LEARNING SUPPORT               LEARNING SUPPORT     LEARNING SUPPORT                     LEARNING SUPPORT              LEARNING SUPPORT          LEARNING SUPPORT
      CENTER                         CENTER               CENTER                               CENTER                        CENTER                    CENTER




                                 SCHOOL BASED      HAWAII SCHOOL FOR THE
 SPECIAL SERVICES                                                                         SPECIAL EDUCATION                   AUTISM
                               BEHAVIORAL HEALTH     DEAF AND THE BLIND




                                                                                                                                                I-1           6/30/10
STATE OF HAWAII
                                                                                                                                                                                                                  DEPARTMENT OF EDUCATION
                                                                                                                                                                                                                  HONOLULU DISTRICT OFFICE
                                                                                                                                                                                                                 POSITION ORGANIZATION CHART
                                                        FARRINGTON / KAISER /                                                                                              KAIMUKI / MCKINLEY /
                                                        KALANI COMPLEX AREA                                                                                              ROOSEVELT COMPLEX AREA
                       Business Management                   Complex Area                                                                    Business Management               Complex Area
                                                                                       Private Secretary I                                                                                                  Private Secretary I
                              Officer I                     Superintendent                                                                          Officer I                  Superintendent
                                                                                       16257      SR-20                                                                                                     11481      SR-20
                          800842 EM-05                          60088                                                                          800844 EM-05                       60085


                                         Clerk Typist II                                                                                               School Custodian II
                                         800658 SR-8          1/                                                                                         16819 BC-02



                        FARRINGTON COMPLEX                                      KAISER COMPLEX                 KALANI COMPLEX                          KAIMUKI COMPLEX                          MCKINLEY COMPLEX                    ROOSEVELT COMPLEX
                              SCHOOLS                                               SCHOOLS                       SCHOOLS                                  SCHOOLS                                  SCHOOLS                             SCHOOLS
                                   Principals                                      Principals                       Principals                              Principals                              Principals                           Principals


                                Administrative                                      Administrative                  Administrative                          Administrative                          Administrative                       Administrative
                               Services Assistant                                 Services Assistant              Services Assistant                      Services Assistant                       Services Assistant                   Services Assistant
                                57933, 57934                                       57940    SR-22                  57939 SR-22                            57938      SR-22                          57937 SR-22                          57935, 57936
                                           SR-22                                                                                                                                                                                                    SR-22



                  FARRINGTON LEARNING                                          KAISER LEARNING                 KALANI LEARNING                        KAIMUKI LEARNING                       MCKINLEY LEARNING                     ROOSEVELT LEARNING
                    SUPPORT CENTER                                             SUPPORT CENTER                  SUPPORT CENTER                          SUPPORT CENTER                         SUPPORT CENTER                         SUPPORT CENTER
                  Complex School Renewal                                     Complex School Renewal          Complex School Renewal                  Complex School Renewal                 Complex School Renewal                 Complex School Renewal
                        Specialist II                                              Specialist II                   Specialist II                           Specialist II                          Specialist II                          Specialist II
                    60220Z           EO-7                                       74718        EO-7                69227 EO-7                             69137         EO-7                     68045Z      EO-7                       60223       EO-7

    Complex Area Tchr
                                         Educational Asst III                     Complex Area Tchr             District Office Teacher                   Complex Area Tchr                        Complex Area Tchr                    Complex Area Tchr
      60132, 69998                                                      2/                                                              1/                                          1/
                                           28510, 53300                             76351, 72966F 1/                     75030                             75080, 76354                              69994, 72467                         60141, 60370
      72451, 74964Z
                      1/ 2/                         SR-12                                                                                                   60682Z                                   72964F                               74963Z
     76350, 79407

                                                                                                                  Complex Area Tchr
   District Office Teacher                Account Clerk III                                                         61675, 72452                            Clerk Steno II                        Title I Linker Teacher                District PCNC Asst
       67045, 79404           2/          23101     SR-11          2/                                               74962                                  15438      SR-9                                 79273         2/             44766       SR-15
       79417, 79576        2/ 2/
       79661, 79996        2/ 2/
                                            Clerk Steno III                                                      Title I Linker Teacher                                                             DP User Support                       Clerk Typist II
                                          12244       SR-11                                                               79272         2/                                                            Technician II                       24499 SR-8
   Title I Linker Teacher                                                                                                                                                                            59084 SR-15         1/
            79848         2/
                                        Bilingual/Bicultural S/H                                                     Clerk Typist II                                                                                                      Clerk Steno II
                                               Assistant                                                            48491     SR-8     1/                                                                                                15436      SR-9
                                             29998, 29999        1/ 1/
                                             32181, 32182        1/ 1/
                                             32184, 32223        1/ 1/
                                             32278               1/
                                             58664 (.50 FTE) 1/
                                             58666      SR-11 1/




1/ Temporary position, General funds
2/ Temporary position, Federal funds                                                                                                                                                                                              I-2                 6/30/10
STATE OF HAWAII
                                                                                                                                                                                                                       DEPARTMENT OF EDUCATION
                                                                                                                                                                                                                       HONOLULU DISTRICT OFFICE
                                                                                                                                                                                                                      POSITION ORGANIZATION CHART




                                                                                                                            FARRINGTON / KAISER /                                                                      KAIMUKI / MCKINLEY /
                                                                                                                            KALANI COMPLEX AREA                                                                      ROOSEVELT COMPLEX AREA
                                                                                                                         Complex Area Superintendent                                                                  Complex Area Superintendent




                                                                                        SPECIAL SERVICES                                                             District Educational
                                                                                                                                                                                                                                           District Educational
                                                                                                                                                                         Specialist II
                                                                                                                                 Secretary II                                                                                                  Specialist II
                                                                                   District Educational Specialist II                                                  76349, 79895          1/ 2/
                                                                                                                                15362 SR-14                                                                                                  79324      EO-7      2/
                                                                                         67769           EO-7                                                                    EO-7




                                   FARRINGTON COMPLEX                   KAISER COMPLEX                      KALANI COMPLEX                  KAIMUKI COMPLEX                   MCKINLEY COMPLEX           ROOSEVELT COMPLEX




 Complex Area Tchr                      Social Worker IV                 Social Worker IV                                                       Social Worker IV               District Office Teacher      Social Worker IV
                                                                                                             Social Worker IV
     72883Z                              43962 SR-22                      4901, 50472                                                            6284 SR-22                             60063                25967, 34681
                                                                                                              50470 SR-22
                                                                                 SR-22

District Office Teacher
                                      Speech Pathologist IV                                                                                 Speech Pathologist IV                 Social Worker IV        Speech Pathologist IV
    79260, 79613        2/ 2/
                                         29814, 30012                  Speech Pathologist IV              Speech Pathologist IV                30421, 30426                        12165, 50471              30420, 30425
    79771, 79824        2/ 2/
                                         30424, 32049                     30423, 33176                       30427, 30428                      33172, 47110                               SR-22              30429, 33177
                                         33174, 33424                     42465, 56289                       48542, 50761                      56284, 56285                                                  56282, 56287
Speech Pathologist IV                    58826 SR-22                             SR-22                                                         56286 SR-22                                                          SR-22
                                                                                                             55608, 56288
  33178, 800383
                                                                                                                    SR-22                                                      Speech Pathologist IV
           SR-22
                                                                                                                                                                                  30422, 33173
                                        Human Services                 Communication Aide                                                       Human Services                    33175, 43934             District PCNC Asst
  DP User Support                                                                                                                                                                 56281, 56283
                                        Professional IV                  30490                             Communication Aide                   Professional IV                                              44766 SR-15
    Technician II                                                                                                                                                                         SR-22
                                         32320 SR-22                     30931 (.50 FTE)                     30935 SR-12                         9617 SR-22
   58903, 59623         2/ 2/
                                                                                SR-12
          SR-15
                                                                                                                                                                                                          Communication Aide
                                      Communication Aide                                                         Clerk II                   Communication Aide                  Communication Aide          30494 (.50 FTE)
    Clerk Steno II
                                        30484                                Clerk II                          59683 SR-6         2/         30491 (.50 FTE)                      30489, 30928               30936
      (.50 FTE)
                                        30929 (.50 FTE)                  59684 (.50 FTE)       2/                                            30495 (.50 FTE)                             SR-12              30937 (.50 FTE)
   21672     SR-9
                                        30933 (.50 FTE)                            SR-6                                                      30496 (.50 FTE)                                                       SR-12
                                        30934 (.50 FTE)                                                                                      30932 (.50 FTE)
   Clerk Typist II                               SR-12                                                                                                SR-22
   31501, 31524
   34874, 44053         2/
            SR-8
                                                                                                                                                    Clerk II
                                                                                                                                                 59681 SR-6         2/
      Clerk II
  59682 (.50 FTE)       2/
            SR-6
                                1/ Temporary position, General funds
                                2/ Temporary position, Federal funds                                                                                                                                                                 I-3                    6/30/10
STATE OF HAWAII
                                                                                                                                                                                      DEPARTMENT OF EDUCATION
                                                                                                                                                                                      HONOLULU DISTRICT OFFICE
                                                                                                                                                                                     POSITION ORGANIZATION CHART


                                                                                 FARRINGTON / KAISER /
                                                                                 KALANI COMPLEX AREA
                                                                               Complex Area Superintendent




                                                                              SCHOOL BASED BEHAVIORAL
                                                                                          HEALTH
                                                                              District Educational Specialist II
                                                                                   75412            EO-7




                                       FARRINGTON COMPLEX           KAISER COMPLEX                    KALANI COMPLEX        KAIMUKI COMPLEX          MCKINLEY COMPLEX           ROOSEVELT COMPLEX




  12-Month District                      Clinical Psych VIII         Clinical Psych VI                  Clinical Psych VI    Clinical Psych VI         Clinical Psych VI           Clinical Psych VI
   Office Teacher                        58335 (.50 FTE)       1/    58209 (.50 FTE)                    58288 SR-26          58289 SR-26               58207 SR-26                  58208 SR-26
        79612           2/                          SR-30                      SR-26

                                                                                                      School Psychologist   School Psychologist       School Psychologist        School Psychologist
  Clinical Psych VIII                     Clinical Psych VI         School Psychologist                800465 SR-24           800466 SR-24              32307, 800463     2/       56129, 800462     2/
    58201                                 59947 (.50 FTE)            800384, 800464                                                                             SR-24                       SR-24
    58202 (.50 FTE)                                 SR-26                      SR-24
              SR-30                                                                                    Psych Examiner IV    Psych Examiner IV
                                                                                                                                                         Psychological
                                                                                                        36968 SR-22           32246 SR-22                                         Behavioral Health
                                                                                                                                                         Examiner IV
                                         School Psychologist         Behavioral Health                                                                  35556 SR-22                 Specialist IV
                                                                                                                                                                           1/
  Clinical Psych VI                       33165, 800461                Specialist IV                                                                                               58309, 58316
  58290 (.50 FTE)                                  SR-24              58315, 58319                                           Behavioral Health                                     58318, 58328
                                                                                                       Behavioral Health
  59089 (.50 FTE)                                                     58322, 58330                                             Specialist IV                                       58340, 59827
                                                                                                         Specialist IV                                 Behavioral Health
            SR-26                                                     58332 (.50 FTE)     1/                                   58311, 58314                                        59829, 800859             1/
                                                                                                        58307, 58321                                     Specialist IV
                                                                      58333 SR-22                                              58331, 58336                                        800863 SR-22         1/
                                         Psych Examiner IV                                              58324, 58329                                    58317, 58323
                                                                                                                               58342
                                              58825                                                     59826 SR-22                                     58326, 58334
                                                                                                                               800858 (.50 FTE) 1/
 School Psychologist                              SR-22                                                                                                 58341, 58343
                                                                                                                               800862           1/
   (District Based)                                                                                                                                     59828 SR-22               Behavioral Spec IV
  29132       SR-26                                                                                    Behavioral Spec IV                                                           58313, 58338
                                         Behavioral Health                                               58337 SR-22        Behavioral Spec IV                                             SR-22
                                           Specialist IV                                                                      58308 SR-22
 School Psychologist                      58314, 58331
(Complex Area Based)                      58336, 58342
   29155, 32285                           800857 (.50 FTE) 1/
           SR-24                          800860, 800861 1/ 1/
                                                    SR-22

   Clerk Typist II
   58039, 58047         1/               Behavioral Spec IV
   58094 SR-8                              58320 SR-22


1/ Temporary position, General funds
2/ Temporary position, Federal funds                                                                                                                                                                   I-4        6/30/10
STATE OF HAWAII
                                                                                                                                                                                                      DEPARTMENT OF EDUCATION
                                                                                                                                                                                                      HONOLULU DISTRICT OFFICE
                                                                                                                                                                                                     POSITION ORGANIZATION CHART
                                                                                                                                                  KAIMUKI / MCKINLEY /
                                                                                                                                                ROOSEVELT COMPLEX AREA
                                                                                                                                                 Complex Area Superintendent




                                                                                 SPECIAL EDUCATION                                                                                                            AUTISM
                                                                                                                           Secretary II
                                                                             District Educational Specialist II                                                                                   District Educational Specialist II
                                                                                                                         3909     SR-14
                                                                                   60011          EO-7                                                                                                   76101         EO-7          1/




                                                                                                                                                                                                         12-Month District
                                                                                                                                                                                                          Office Teacher
                                       FARRINGTON COMPLEX        KAISER COMPLEX                      KAIMUKI COMPLEX                  KALANI COMPLEX                 ROOSEVELT COMPLEX                     75409, 75410       1/ 1/
                                                                                                                                                                                                           76108              1/


  12-Month District
                                        Physical Therapist IV   District Office Teacher              Physical Therapist IV                12-Month District              12-Month District               Social Worker IV
   Office Teacher
                                           28886 SR-22                   79540          2/              30554 SR-22                        Office Teacher                 Office Teacher                  57987, 57989
   79689, 79835         2/ 2/
                                                                                                                                                79863         2/               79858         2/                  SR-12
   79860, 79598         2/ 2/
                                                                                                          Occupational
                                            Occupational        Physical Therapist IV
                                                                                                          Therapist IV
District Office Teacher                     Therapist IV          801136 SR-22                                                       Physical Therapist IV                 Occupational
                                                                                                         17745, 25969
         79261          2/                 30572 SR-22                                                                                 30558 (.50 FTE)                     Therapist IV
                                                                                                         28717 SR-22
                                                                                                                                                SR-22                     32379 SR-22
                                                                     Occupational
   Human Services
                                                                     Therapist IV                      School Based
   Professional IV
                                                                    56308 SR-22                     Occupational Therapy                   Occupational                  School Based
  57988      SR-22
                                                                                                         Assistant                         Therapist IV               Occupational Therapy
                                                                                                       30708 HE10                         30570 SR-22                      Assistant
School Based Physical                                                                                                                                                    30709 HE10
  Therapist Assistant
 39991          HE10                                                                                School Based Physical               School Based
                                                                                                        Therapist Aide               Occupational Therapy
                                                                                                       22839      HE08                    Assistant
 Educational Asst II                                                                                                                    30715 HE10
  800604                1/
  53040 (.50 FTE)       2/


   Account Clerk II
  34382       SR-8      2/


    Clerk Typist II
    48491, 55829        1/ 2/
    56235 SR-8          1/



1/ Temporary position, General funds
2/ Temporary position, Federal funds                                                                                                                                                                                   I-5                6/30/10
STATE OF HAWAII
                                                                                                                                                                       DEPARTMENT OF EDUCATION
                                                                                                                                                                       HONOLULU DISTRICT OFFICE
                                                                                                                                                                      POSITION ORGANIZATION CHART
                                                                                 FARRINGTON /
                                                                                KAISER / KALANI
                                                                                COMPLEX AREA
                                                                                  Complex Area
                                                                                 Superintendent
                                                                                     60088




                                                                           HAWAII SCHOOL FOR THE
                                                                             DEAF AND THE BLIND
                                                                             12-Month HS Principal V
                                                                                 76175 EO-8




                                                                12-Month Student               Educational Asst III
                                       School Psychologist                                                             Head Houseparent for    School Food Services
                                                               Services Coordinator              18603, 18604
                                         800887 SR-24                                                                       Deaf/Blind              Manager II
                                                                      75411         1/           18605, 19407             11390 HE-07              1943 F1-06
                                                                                                 23320, 23365
                                                                                                 24048, 44596
                                       School Administrative        Clerk III
                                                                                                  47165, 48493         Houseparent for Deaf/
                                        Services Assistant I      56326 SR-8         1/                                                           School Cook II
                                                                                                 52602, 52603                 Blind
                                          1820 SR-12                                                                                               1938, 2025
                                                                                                 57889, 800644             1936, 1940
                                                                                                800645, 800646                                          BC-06
                                                                                                                          11568, 13498
                                                                12-Month Librarian              800647, 800648            22049, 54485
                                          Clerk Typist II            68511                      800649 SR-12              48543 (.50 FTE)
                                          29121, 57995                                                                                           Cafeteria Helper
                                                                                                                          48966 (.50 FTE)
                                                   SR-8                                                                                           1942 BC-02
                                                                                                                         54486, 54487
                                                                    Counselor                 Speech Pathologist IV      801441, 801442
                                                                      61502                      56356, 56357            801443, 801444
                                                                                                        SR-22                     HE-05        Building Maintenance
                                                                                                                                                      Worker I
                                                                Special Education                                                                  1939 BC-09
                                                                    Teacher
                                                                                                   Registered
                                                                 72899F, 75794
                                                                                              Professional Nurse III
                                                                 75795, 75796
                                                                                                 1935 SR-20
                                                                 75797                                                                         School Custodian III
                                                                                                                                                 1944 WS-02
                                                               Special School Tchr
                                                                60071
                                                                60271 (.50 FTE)                                                                  School Custodian
                                                                60232, 60267                                                                     15543
                                                                60268, 60282                                                                     22216 (.50 FTE)
                                                                60283, 60284                                                                     22217 (.50 FTE)
                                                                60334, 61236                                                                              BC-02
                                                                61506
                                                                71708 (.50 FTE)
                                                                72956F, 72957F 1/ 1/
                                                                75020




1/ Temporary position, General funds                                                                                                                                          I-6         6/30/10
STATE OF HAWAII
                                                                                                                                                       DEPARTMENT OF EDUCATION
                                                                                                                                                        CENTRAL DISTRICT OFFICE
                                                                                                                                                          ORGANIZATION CHART



                                                                           CENTRAL DISTRICT OFFICE




             AIEA / MOANALUA / RADFORD                                                                     LEILEHUA / MILILANI / WAIALUA
                    COMPLEX AREA                                                                                 COMPLEX AREA
                  SUPERINTENDENT                                                                                SUPERINTENDENT




                               MOANALUA COMPLEX            RADFORD COMPLEX                     LEILEHUA COMPLEX
AIEA COMPLEX SCHOOLS                                                                                                        MILILANI COMPLEX SCHOOLS        WAIALUA COMPLEX SCHOOLS
                                   SCHOOLS                     SCHOOLS                              SCHOOLS




        AIEA
                                   MOANALUA                     RADFORD                            LEILEHUA                         MILILANI                        WAIALUA
 LEARNING SUPPORT
                            LEARNING SUPPORT CENTER     LEARNING SUPPORT CENTER            LEARNING SUPPORT CENTER          LEARNING SUPPORT CENTER         LEARNING SUPPORT CENTER
      CENTER




                                STUDENT SUPPORT              STUDENT SUPPORT
                                                                                           SCHOOL BASED BEHAVIORAL
                                     SERVICES               SERVICES LEILEHUA /                                                            AUTISM
                                                                                                   HEALTH
                            AIEA / MOANALUA / RADFORD        MILILANI / WAIALUA




                                                                                                                                                            J-1           6/30/10
STATE OF HAWAII
                      AIEA / MOANALUA /
                   RADFORD COMPLEX AREA                                                                                                   LEILEHUA / MILILANI /
                                                                                                                                                                                                   DEPARTMENT OF EDUCATION
                                                         Private Secretary I
                                                                                                                                         WAIALUA COMPLEX AREA                                       CENTRAL DISTRICT OFFICE
                   Complex Area Superintendent
                             67825                       21919       SR-20                                                            Complex Area Superintendent           Private Secretary I   POSITION ORGANIZATION CHART
                                                                                                                                                 60095                      12263      SR-20

                                        District Office Teacher
   Complex Academic                              79145                                                                Complex Academic                       District Educational
        Officer                                                                                                            Officer                                Specialist
  79214, 79215 EO-7 2/ 2/                  Account Clerk III                                                            79268 EO-7     2/                       76347 EO-7           1/
                                          15434      SR-11
 Business Management                                                                                                 Business Management
                                                                                                                                                               Clerk Typist II
        Officer I                           Clerk Typist II                                                                 Officer I
                                                                                                                                                             35675        SR-8
    800805 EM-05                           30546     SR-8                                                               800806 EM-05



   AIEA COMPLEX                         MOANALUA COMPLEX                        RADFORD COMPLEX                      LEILEHUA COMPLEX                       MILILANI COMPLEX                       WAIALUA COMPLEX
     SCHOOLS                                SCHOOLS                                 SCHOOLS                               SCHOOLS                               SCHOOLS                                SCHOOLS
      Principals                                 Principals                          Principals                             Principals                              Principals                          Principals


      Administrative                           Administrative                        Administrative                         Administrative                       Administrative                         Administrative
     Services Assistant                      Services Assistant                     Services Assistant                    Services Assistant                    Services Assistant                     Services Assistant
     57941      SR-22                        57942       SR-22                       57944, 57945                          57946 SR-22                          57943      SR-22                       57947     SR-22
                                                                                             SR-22



   AIEA LEARNING                       MOANALUA LEARNING                        RADFORD LEARNING                     LEILEHUA LEARNING                     MILILANI LEARNING                       WAIALUA LEARNING
  SUPPORT CENTER                         SUPPORT CENTER                          SUPPORT CENTER                       SUPPORT CENTER                        SUPPORT CENTER                          SUPPORT CENTER
Complex School Renewal                 Complex School Renewal                  Complex School Renewal               Complex School Renewal                Complex School Renewal                  Complex School Renewal
      Specialist II                           Specialist II                          Specialist II                        Specialist II                         Specialist II                           Specialist II
    67829      EO-7                     60084               EO-7                 60087           EO-7                60036              EO-7               68505              EO-7                   79773        EO-7

      12-Month District                                                                                                  Complex Area Tchr                    District Office Teacher
                                            Complex Area Tchr                       Complex Area Tchr                                                                                                  Complex Area Tchr
       Office Teacher                                                                                                     62385, 62861Z                           79428, 79432        2/ 2/
                                             73581Z, 74965Z                          72444Z, 76359             1/                                                                                           76360        1/
            79451            2/                                                                                           63190                                   79460, 79721        2/ 2/
                                             76358            1/
                                                                                                                                                                  79728               2/

   District Office Teacher                                                         CSSS Resource Tchr                   District Office Teacher                                                       CSSS Resource Tchr
            62346                                                                        74966                              79437, 79438        2/ 2/         CSSS Resource Tchr                           74967Z
                                                                                                                                                                    75082

    CSSS Resource Tchr                                                            District Office Teacher               CSSS Resource Tchr
          75081                                                                            72740          1/                 74949F                               Literacy Teacher
                                                                                                                                                                        72453

     Complex Area Tchr                                                                                                  Title I Linker Teacher
       72454, 76357               1/                                                                                             79849         2/              Complex Area Tchr
                                                                                                                                                                    67286

    Title I Linker Teacher                                                                                              Bilingual/Bicultural S/H
             79276         2/                                                                                                  Assistant                           Clerk Typist II
                                                                                                                            29991                1/
                                                                                                                                                                  15433      SR-8
                                                                                                                            32152 (.50 FTE)      1/
      District PCNC                                                                                                         32153 (.50 FTE)      1/
        Assistant                                                                                                           30739 (.50 FTE)      1/
    44765        SR-15                                                                                                      40229 (.50 FTE)      1/
                                                                                                                                     SR-11
                                        1/ Temporary position, General funds
       Clerk Typist II                  2/ Temporary position, Federal funds
     15229        SR-8                                                                                                                                                                                           J-2          6/30/10
STATE OF HAWAII
                                                                                                                                                                                                                         DEPARTMENT OF EDUCATION
                                                                                                                                                                                                                          CENTRAL DISTRICT OFFICE
                                                                                                                                                                                                                        POSITION ORGANIZATION CHART
                                                                                               AIEA / MOANALUA / RADFORD              LEILEHUA / MILILANI /
                                                                                                      COMPLEX AREA                   WAIALUA COMPLEX AREA

                                                                                                Complex Area Superintendent         Complex Area Superintendent




                STUDENT SUPPT SVCS                                                      STUDENT SUPPT SVCS                                             SCHOOL BASED
                                                                                                                                                                                                                  AUTISM                         District Educational
             AIEA / MOANALUA /RADFORD                                               LEILEHUA / MILILANI / WAIALUA                                 BEHAVIORAL HEALTH
                                                                                                                                                                                                                                                     Specialist II
           District Educational Specialist II                                      District Educational Specialist II                         District Educational Specialist II                      District Educational Specialist II                                2/
                                                                                                                                                                                                                                                        79322
                  61643         EO-7                                                       68029       EO-7                                         75413           EO-7                                    75732           EO-7

                                                                                                                                   12-Month District                    Behavioral Health                    12-Month District
   Secretary II                     Psych Examiner IV                      Secretary II                     School Psychologist
                                                                                                                                    Office Teacher                        Specialist IV                       Office Teacher
22435      SR-14                      37067, 38297                       1786     SR-14                       46654 SR-24
                                                                                                                                    75376, 79999         1/ 2/           12164, 46659                         75390, 75391         1/ 1/
                                      41122 SR-22
                                                                                                                                                                         58344, 58345                         75730                1/
                                                                         12-Month District     2/                                                                        58346, 58347
12-Month District      2/                                                                                   Psych Examiner IV      Clinical Psych VIII                   58348, 58349
                                                                          Office Teacher
 Office Teacher                                                                                               29137, 29156          58275, 58276                         58350, 58351                        Social Worker IV
                                   Physical Therapist IV                  79232, 79251
 79366, 79367                                                                                                 33307 SR-22           59677 SR-30                          58352, 58353                         12162, 32144
                                      28884 SR-22                         79548, 79751
 79368, 79369                                                                                                                                                            58354, 58355                         50755 SR-22
                                                                          79754, 79784
 79370, 79757                                                                                                                                                            58625, 58626
                                                                          79854, 79943                     Communication Aide
 79825, 79826                                                                                                                      Clinical Psych VI                     58627, 58628
 79911                                                                                                       30459, 30460                                                58630, 58631                         Behavioral Health
                                     Account Clerk III                                                                              58729, 58745
                                                                          Diag TM/Psych                      30463                                                       58632, 58633                           Specialist IV
                                     43843    SR-11        2/                                                                       59733 SR-26          1/
                                                                             Examiner                        51213 (.50 FTE)                                             58634, 58635                          59555, 59556
                                                                              69159                                   SR-12                                              58636, 58746                          59557, 59559
District Office Tchr
                                                                                                                                                                         58747, 58748                          59560, 59561
  79776, 79782         2/ 2/           Clerk Typist II                                                                            School Psychologist
                                                                                                                                                                         58749, 58750                          801198, 801199
                                       44536, 56233             1/     Speech Pathologist IV                  Clerk Typist II       (District Based)
                                                                                                                                                                         58751, 58752                          801200, 801201
                                               SR-8                       30417, 30418                       30547, 46719          29133       SR-26                                                           801202, 801203
                                                                                                                                                                         59147, 59148
                                                                          30419, 33042                       46721 (.50 FTE)                                                                                   801204 SR-22
                                                                                                                                                                         59635, 59636            1/
                                                                          33043, 37409                       47701       SR-8
                                       Occupational                                                                                                                      59795 SR-22        1/
                                                                          46656, 46658                                            School Psychologist
                                       Therapist IV                       46663                                                    800419, 800420                                                           Behavioral Spec IV
                                       3082, 28719                        50312 (.50 FTE)
                                                                                                                 Janitor II        800421, 800422                      Behavioral Spec IV                     59558 SR-22
                                       30569, 30574                       55681, 56177
                                                                                                              19038 (.50 FTE)      800423, 800424                        27257, 58629
                                       56311 SR-22                        56179, 56180
                                                                                                                       BC-02       800932 SR-24                          59073, 59074
                                                                          56181, 56182                                                                                                                      Educational Asst III
                                                                                                                                                                                  SR-22
                                     School Based                         56183, 56185                                                                                                                       800260, 800261
                                  Occupational Therapy                    56186, 56187                                                                                                                       800262, 800263
                                       Assistant                          56188, 56189                                             Social Worker IV
                                                                                                                                                                                                             800264, 800265
                                     30713, 30716                         56190, 56191                                              29142, 29144                       Educational Asst III
                                                                                                                                                                                                             800266, 800267
                                     30717 HE-10                          56192, 56193                                              32145, 50754                         58108, 58109       2/ 2/
                                                                                                                                                                                                             800268, 800269
                                                                          800335, 800337                                            50756, 50757                         58110, 58598       2/ 2/
                                                                                                                                                                                                             800270, 800271
                                                                          800469, SR-22                                             52742 SR-22                          800560, 800561 2/ 2/
                                                                                                                                                                                                             800272, 800273
                                                                                                                                                                                 SR-12
                                                                                                                                                                                                             800274, 800275
                                                                                                                                                                                                             800276 SR-12

                                                                                                                                                                          Clerk Typist II
                                                                                                                                                                          58040, 58048      1/                 Clerk Typist II
                                                                                                                                                                          58095, 59994           1/           29559, 801381         2/
                                                                                                                                                                                   SR-8                                 SR-8



                                1/ Temporary position, General funds
                                2/ Temporary position, Federal funds                                                                                                                                                                       J-3                 6/30/10
STATE OF HAWAII
                                                                                                                            DEPARTMENT OF EDUCATION
                                                                                                                             LEEWARD DISTRICT OFFICE
                                                                                                                               ORGANIZATION CHART




                                                           LEEWARD DISTRICT OFFICE




              CAMPBELL / KAPOLEI                              WAIANAE / NANAKULI                                   PEARL CITY / WAIPAHU
                COMPLEX AREA                                    COMPLEX AREA                                          COMPLEX AREA
               SUPERINTENDENT                                  SUPERINTENDENT                                        SUPERINTENDENT




CAMPBELL COMPLEX             KAPOLEI COMPLEX   WAIANAE COMPLEX              NANAKULI COMPLEX        PEARL CITY COMPLEX             WAIPAHU COMPLEX
    SCHOOLS                     SCHOOLS            SCHOOLS                      SCHOOLS                  SCHOOLS                       SCHOOLS




    CAMPBELL                     KAPOLEI           WAIANAE                      NANAKULI               PEARL CITY                      WAIPAHU
LEARNING SUPPORT            LEARNING SUPPORT   LEARNING SUPPORT             LEARNING SUPPORT        LEARNING SUPPORT               LEARNING SUPPORT
     CENTER                      CENTER             CENTER                       CENTER                  CENTER                        CENTER



           STUDENT SUPPORT SERVICES                       SCHOOL BASED BEHAVIORAL
              CAMPBELL / KAPOLEI                                  HEALTH                       STUDENT SUPPORT SERVICES
                                                                                                                                          AUTISM
                                                                                                  PEARL CITY / WAIPAHU




                                                                                                                                    K-1            6/30/10
STATE OF HAWAII
                                                                                                                                                                            DEPARTMENT OF EDUCATION
                                                                                                                                                                             LEEWARD DISTRICT OFFICE
                                                                                                                                                                           POSITION ORGANIZATION CHART


                    CAMPBELL / KAPOLEI                                                            WAIANAE / NANAKULI                                                        PEARL CITY / WAIPAHU
                      COMPLEX AREA                                                                 COMPLEX AREA                                                                COMPLEX AREA
                       Complex Area                                                                  Complex Area                                                               Complex Area
                                                      Private Secretary I                                                         Private Secretary I                                                        Private Secretary I
                       Superintendent                                                                Superintendent                                                             Superintendent
                                                      14791      SR-20                                                             11394 SR-20                                                               8913       SR-20
                          67840                                                                         60086                                                                       68264

 Business Management                                                          Business Management                 Complex Academic                       Business Management
                                                                                                                                                                                                Account Clerk III
        Officer I                                                                    Officer I                         Officer                                  Officer I
                                                                                                                                                                                                 51186 SR-11
    800813 EM-05                                                                 800843 EM-05                       76300 EO-7                              800814 EM-05



 CAMPBELL COMPLEX                        KAPOLEI COMPLEX                      WAIANAE COMPLEX                    NANAKULI COMPLEX                       PEARL CITY COMPLEX                      WAIPAHU COMPLEX
     SCHOOLS                                SCHOOLS                               SCHOOLS                            SCHOOLS                                 SCHOOLS                                SCHOOLS
      Principals                              Principals                            Principals                            Principals                          Principals                              Principals


      Administrative
                                              Administrative                         Administrative                        Administrative                      Administrative                          Administrative
     Services Assistant
                                             Services Assistant                    Services Assistant                    Services Assistant                  Services Assistant                      Services Assistant
      57950, 57951
                                              57952 SR-22                          57954      SR-22                      57953      SR-22                    57948      SR-22                        57949      SR-22
               SR-22



CAMPBELL LEARNING                      KAPOLEI LEARNING                       WAIANAE LEARNING                   NANAKULI LEARNING                      PEARL CITY LEARNING                     WAIPAHU LEARNING
  SUPPORT CENTER                        SUPPORT CENTER                         SUPPORT CENTER                     SUPPORT CENTER                          SUPPORT CENTER                         SUPPORT CENTER
Complex School Renewal                Complex School Renewal                 Complex School Renewal             Complex School Renewal                  Complex School Renewal                 Complex School Renewal
      Specialist II                         Specialist II                          Specialist II                      Specialist II                           Specialist II                          Specialist II
   60018       EO-7                      76084         EO-7                   60066              EO-7             60015          EO-7                     67846          EO-7                    60089           EO-7

   District Office Teacher                                                                                                                                  Complex Area Tchr                     District Office Teacher
                                           District Office Teacher                Complex Area Tchr                    District Office Teacher
      71562, 76363Z        1/ 1/                                                                                                                              63188, 64377                                 79963          2/
                                                    79467          2/              72450, 74950F,                               79426          2/
      79509                2/                                                                                                                                 64400, 72455
                                                                                   76364, 76368     1/ 1/
                                                                                                                                                              74970, 76365       1/                CSSS Resource Tchr
                                                                                                                                                              76366           1/                         74968
     Complex Area Tchr                      Complex Area Tchr                                                           Complex Area Tchr
       72456, 74969                           75083, 76367              1/       District Office Teacher                     64544
       73565                                                                              79427          2/                                                District Office Teacher                   Complex Area Tchr
                                                                                                                                                                    79465      2/                        73572
                                            Secondary Teacher                                                          CSSS Resource Tchr
     Secondary Teacher
                                                 66531                           Title I Linker Teacher                      75084
       71311, 71315                                                                                                                                         Bilingual/Bicultural S/H
                                                                                          79852         2/                                                                                         Title I Linker Teacher
       71316                                                                                                                                                       Assistant                                79274         2/
                                            Educational Asst III                                                           District PCNC                         29992 (.50 FTE)       1/
                                            47278       SR-12                                                                Assistant                           29996, 32337          1/ 1/
      Account Clerk III                                                              Clerk Typist II
                                                                                                                         44764       SR-15                      40375 (.50 FTE)        1/
      801420 SR-11        2/                                                         23300 SR-8                                                                                                       Clerk Typist III
                                                                                                                                                                40376 (.50 FTE)        1/
                                                                                                                                                                                                      801170 SR-10        1/
                                                                                                                                                                54917 (.50 FTE)        1/
                                               Clerk Typist II                                                                                                  58599 (.50 FTE)        2/
       Clerk Typist III                        800888 SR-8         1/                                                                                                                  2/
                                                                                                                                                                58600 (.50 FTE)
      801171 SR-10        1/                                                                                                                                    801411 (.50 FTE)       1/
                                                                                                                                                                801412 (.50 FTE)       1/
                                                                                                                                                                         SR-11
                                   1/ Temporary position, General funds
                                   2/ Temporary position, Federal funds
                                                                                                                                                                                               K-2                   6/30/10
STATE OF HAWAII
                                                                                                                                                                                                              DEPARTMENT OF EDUCATION
    CAMPBELL / KAPOLEI                                                          PEARL CITY / WAIPAHU                                                     WAIANAE / NANAKULI
      COMPLEX AREA                                                                COMPLEX AREA                                                             COMPLEX AREA                                        LEEWARD DISTRICT OFFICE
Complex Area Superintendent                                                Complex Area Superintendent                                                 Complex Area Superintendent                           POSITION ORGANIZATION CHART



 STUDENT SUPPORT SERVICES                      STUDENT SUPPORT SERVICES                                             AUTISM                                                                  SCHOOL BASED BEHAVIORAL
    CAMPBELL / KAPOLEI                             PEARL CITY / WAIPAHU                                                                                                                                 HEALTH
District Educational Specialist II              District Educational Specialist II                      District Educational Specialist II                                                  District Educational Specialist II
       67909         EO-7                             69114           EO-7                                     75733         EO-7                                                                 75414           EO-7

                                                                                                               12-Month District Office                                                                                 Behavioral Health
            Secretary II                                    Secretary II                                                                                                         Secretary II
                                                                                                                     Teacher                                                                                              Specialist V
          12188     SR-14                                32349      SR-14            2/                                                                                       59678      SR-14
                                                                                                                    61512, 75420                  1/                                                                    59879      SR-24
                                                                                                                    75731                    1/
       12-Month District Office                        12-Month District Office                                                                                                                                         Behavioral Health
                                                                                                                                                                            12-Month District Office
             Teacher                                         Teacher                                                                                                                                                      Specialist IV
                                     2/ 2/                                                                      District Office Teacher                                           Teacher
           79624, 79866                                    79505, 79515              2/   2/                                                                                                                             58356, 58357
                                                                                                                         61730                                                  73907, 79651            1/ 2/
           79888, 79956              2/ 2/                 79518, 79577              2/   2/                                                                                                                             58358, 58360           1/
           79972                     2/                    79595, 79650              2/   2/                                                                                                                             58361, 58362
                                                           79704, 79850              2/   2/                                                                                                                             58363, 58364                1/
                                                           79867, 79955              2/   2/                   Educational Assistant III                                   Clinical Psychologist VIII                    58365, 58367
        District Office Teacher                            79973                     2/                           800521, 800522                                                 58204, 58291                1/          58369, 58370
                 79283               2/                                                                           800523, 800524                                                 58292 SR-30            1/               58371, 58372
                                                                                                                  800525, 800815                                                                                         58374, 58375
                                                      Occupational Therapist IV                                   800816, 800817                                                                                         58376, 58377
       Speech Pathologist IV                              28716, 30578                                            800818, 800819                                            Clinical Psychologist VI
                                                                                                                                                                                                        1/               58378, 58380
       27393, 29813, 29816                                         SR-22                                          800820, 800821                                                 58210, 58211
                                                                                                                                                                                                                         58381, 58383
       30444, 30445, 30446                                                                                        800822, 800823                                                 58294, 58297           1/
                                                                                                                                                                                                                         58384, 58385
       30447, 30449, 30450                                                                                        800824, 800825                                                        SR-26
                                                     School Based Occupational                                                                                                                                           58637, 58638
       30451, 30452, 30453                                                                                        800826, 800827
                                                         Therapy Assistant                                                                                                                                               58639, 58640           1/
       33040, 33179, 33180                                                                                        800828, 800829
                                                          30714, 39994                                                                                                                                                   58641, 58642           1/
          33182 (.50 FTE)                                                                                         800830, 800831                  1/                         School Psychologist
                                                                  HE-10                                                                                                                                                  58643, 58644
       33183, 33184, 33185                                                                                        800832, 800833             1/                                (District Based)
                                                                                                                                                                                                                         58645, 58646           1/
       37328, 46661, 46662                                                                                        800834, 800835             1/ 1/                            29131       SR-26
                                                                                                                                                                                                                         58649, 58651                1/
       47672, 47673, 48826                                                                                        800836, 800837
                                                        Physical Therapist IV                                                                                                                                            59801, 59802           1/
       50361, 52965, 55719                                                                                        800838, 800839                  1/
                                                           12023, 28883                                                                                                      School Psychologist                         59803, 59804
       56360, 56361, 56362                                                                                                  SR-12
                                                                   SR-22                                                                                                       30688, 800445                                     SR-22
       56363, 56364, 56365
       56366, 56367, 56368                                                                                                                                                    800446, 800447
       56369, 56370, 56371                             School Based Physical                                                                                                  800448, 800449                         Behavioral Specialist IV
                                                           Therapist Aide                                         Behavioral Health                                           800450, 800567                 1/
       56372, 56373, 56374                                                                                                                                                                                               58359, 58366
                                                         7629        HE-08                                          Specialist IV                                             800568 SR-24
      58996, 800934 (.50 FTE)                                                                                                                                                                                            58368, 58373
                                                                                                                   59886, 800946
                      SR-22                                                                                                                                                                                              58379, 58382
                                                                                                                   800947, 800948
                                                                                                                                                                           Psychological Examiner IV                     58647, 58648
                                                       Educational Assistant III                                   801308 SR-24
        Communication Aide                                                                                                                                                      27697, 29815                             58650 SR-22            1/
                                                          800507 SR-12               2/
          30479, 30481                                                                                                                                                          34870, 36292
          30482, 30485                                                                                                                                                          46157, 46975
                                                                                                                    Clerk Typist II                                                     SR-22                             Clerk Typist II
          30487, 32334                                      Clerk Typist II
                                                                                                                    800853 SR-8              1/                                                                           31332, 58041          1/
          32667 SR-12                                       23543, 44127             2/
                                                                                     1/                                                                                                                                   58049, 58096
                                                            56238     SR-8                                                                                                     Social Worker IV                           800673 SR-8           1/
            Clerk Typist II                                                                                                                                                     4900, 6283
            31331, 33189                                                                                                                                                        25273, 27304
            34666, 56343                  2/                                                                                                                                    29140, 29141
                    SR-8                                                                                                                                                        32151, 46976
                                                                                                                                                                                50473, 50474
              Janitor II                                                                                                                                                        50475, 50476
           31685 (.50 FTE)                                                                     1/ Temporary position, General funds                                             52595 SR-22
                    BC-02                                                                      2/ Temporary position, Federal funds                                                                                          K-3                     6/30/10
STATE OF HAWAII
                                                                                                                                          DEPARTMENT OF EDUCATION
                                                                                                                                          WINDWARD DISTRICT OFFICE
                                                                                                                                             ORGANIZATION CHART




                                                            WINDWARD DISTRICT OFFICE




                      CASTLE / KAHUKU                                                                    KAILUA / KALAHEO
                       COMPLEX AREA                                                                       COMPLEX AREA
                      SUPERINTENDENT                                                                     SUPERINTENDENT




    CASTLE COMPLEX                         KAHUKU COMPLEX                              KAILUA COMPLEX
                                                                                                                        KALAHEO COMPLEX SCHOOLS
       SCHOOLS                                SCHOOLS                                      SCHOOLS




         CASTLE                               KAHUKU                                        KAILUA                                  KALAHEO
LEARNING SUPPORT CENTER               LEARNING SUPPORT CENTER                      LEARNING SUPPORT CENTER                  LEARNING SUPPORT CENTER




                      SPECIAL EDUCATION / SPECIAL                   SCHOOL BASED
                                                                                                              AUTISM
                               SERVICES                           BEHAVIORAL HEALTH




                                                                                                                                                 L-1       6/30/10
STATE OF HAWAII
                                                                                                                                                                                                                DEPARTMENT OF EDUCATION
                                                                                                                                                                                                                WINDWARD DISTRICT OFFICE
                                                                                                                                                                                                               POSITION ORGANIZATION CHART
                                                                 CASTLE / KAHUKU                                                                                          KAILUA / KALAHEO
                                                                  COMPLEX AREA                                                                                             COMPLEX AREA
                                                                   Complex Area               Private Secretary I                                                           Complex Area              Private Secretary I
                                                                   Superintendent               1812 SR-20                                                                  Superintendent              21918 SR-20
                                                                      60091                                                                                                    67855


                                            Complex Academic                                   Account Clerk III                                       Business Management                              District PCNC
                                                 Officer                                       31012 SR-11                                                    Officer I                                   Assistant
                                               79269 EO-7           2/                                                                                    800841 EM-05                                  44763 SR-15

                                                                                                  Clerk II
                                                                                               59955 (.75 FTE        1/
                                           Business Management                                                                                                                                         Account Clerk III
                                                                                               801435 SR-6           3/
                                                  Officer I                                                                                                                                            800752 SR-11         1/
                                              800840 EM-05
                                                                                                  Janitor II
                                                                                                40598 BC-02


                                                                                                                                                       KAILUA COMPLEX                        KALAHEO COMPLEX
                                         CASTLE COMPLEX                                        KAHUKU COMPLEX                                              SCHOOLS                               SCHOOLS
                                            SCHOOLS                                               SCHOOLS
                                                                                                                                                           Principals                            Principals
                                             Principals                                              Principals

                                                                                                                                                                                                 Administrative
                                                                                                     Administrative                                                                             Services Assistant
                                             Administrative
                                                                                                    Services Assistant                                                                           57956 SR-22
                                            Services Assistant
                                                                                                     57958, 57959
                                             57957 SR-22
                                                                                                              SR-22



                                         CASTLE LEARNING                                      KAHUKU LEARNING                                          KAILUA LEARNING                    KALAHEO LEARNING
    District Educational
                                         SUPPORT CENTER                                        SUPPORT CENTER                                          SUPPORT CENTER                      SUPPORT CENTER
        Specialist II
      76371     EO-7       1/          Complex School Renewal                                Complex School Renewal                                  Complex School Renewal              Complex School Renewal
                                             Specialist II                                         Specialist II                                           Specialist II                       Specialist II
                                           60093      EO-7                                       60041 EO-7                                             67858       EO-7                     60061      EO-7

                                                                                                                                                            Clerk Typist II
                                            Complex Area Tchr                District Office Teacher                                                                                          District Office Teacher
                                                                                                                                                           41896 (.50 FTE)
                                                 72457                                67139          1/                                                                                                67114
                                                                                                                                                                     SR-8


                                              Clerk Typist II                 Complex Area Tchr                                                                                                Complex Area Tchr
                                              14792 SR-8                        69964, 73639                        Bilingual/Bicultural S/H                                                        72458
                                                                                                                     Assistant (.50 FTE)
                                                                                                                         32136, 32159        1/ 1/
                                                                                                                                  SR-11
                                                                              Title I Linker Teacher                                                                                           Title I Linker Teacher
                                                                                       79853         2/                                                                                                 79275         2/




1/ Temporary position, General funds
2/ Temporary position, Federal funds
3/ Temporary position, Trust funds                                                                                                                                                                                               L-2   6/30/10
STATE OF HAWAII
                                                                                                                                                                                                 DEPARTMENT OF EDUCATION
                                                                CASTLE / KAHUKU                                                              KAILUA / KALAHEO                                    WINDWARD DISTRICT OFFICE
                                                                 COMPLEX AREA                                                                 COMPLEX AREA                                      POSITION ORGANIZATION CHART
                                                                  Complex Area                                                                 Complex Area
                                                                  Superintendent                                                               Superintendent


                                                             SPECIAL EDUCATION /                                                           SPECIAL EDUCATION /
                                                               SPECIAL SERVICES                                                             SPECIAL SERVICES
                                                                                                                                                                                     Secretary II
                                                            District Educational Spec II                                                  District Educational Spec II
                                                                                                                                                                                    21671 SR-14
                                                                    68481 EO-7                                                                    67983 EO-7


                                                                                     Secretary II                            Account Clerk II                     Clerk Typist II
                                                                                    4881 SR-14                               35423 SR-8             2/            46770 SR-8


                                                                                    Clerk Typist II
                                                                                    32931, 44050          2/
                                                                                            SR-8




                         CASTLE COMPLEX                                             KAHUKU COMPLEX                   KAILUA COMPLEX                                                  KALAHEO COMPLEX



                                                                                                                      12-Month District
     12-Month District                  School Based Physical                         12-Month District                                                             12-Month District               Speech Pathologist IV
                                                                                                                       Office Teacher
      Office Teacher                     Therapist Assistant                           Office Teacher                                       2/ 2/                    Office Teacher                    29805, 30436
                                                                                                                        79694, 79816
      60754, 73240         1/ 1/           40296 HE-10                                      79443              2/                                                          79815           2/          30437, 30438
                                                                                                                        79818, 79840        2/ 2/
      79809, 79813         2/ 2/                                                                                                                                                                       33210, 46779
                                                                                                                                                                                                       46780, 54992
                                       Speech Pathologist IV                        School Psychologist              Complex Area Tchr                            Complex Area Tchr                    56147, 56148
  District Office Teacher                  30439, 30440                               32092 SR-24                         76382        1/                             72886F                                  SR-22
       79373, 79439       2/ 2/            30442, 30443
       79440, 79883       2/ 2/            32177, 33207
                                           33208, 33211
                                           36966, 40301                            Speech Pathologist IV            District Office Teacher                        Psych Examiner IV                Communication Aide
                                           56150, 56198                               31336, 33247                      79374, 79375        2/ 2/                    33158, 35178                     30467, 32221
    Psych Examiner IV                        SR-22                                    46778, 56149                      79441, 79821        2/ 2/                           SR-22                            SR-12
      29158, 33035                                                                    56151 SR-22
                SR-22
                                       Communication Aide                                                                                                             Occupational                     Clerk Typist II
                                                                                                                     Psych Examiner IV
                                         30464, 30468                                                                                                                 Therapist IV                       (.50 FTE)
                                                                                    Communication Aide                34212 SR-22
                                         30470, 32222                                                                                                                32738 SR-22                       56320 SR-8           1/
   Physical Therapist IV                                                              30469 SR-12
                                                   SR-12
      28885 SR-22
                                                                                                                    Speech Pathologist IV                           School Based
                                          Clerk Typist II                                                              30441                                     Occupational Therapy
       Occupational                         (.50 FTE)                                                                  33209 (.50 FTE                                 Assistant
       Therapist IV                       56234 SR-8           1/                                                      46781 (.50 FTE)                              59548 HE-10
      28718 SR-22                                                                                                      47336
                                                                                                                       54961 (.50 FTE)
     School Based                                                                                                      56146, 56199
  Occupational Therapy                                                                                                 800296     SR-22
       Assistant
     30710, 30711                                                                                                   Communication Aide
                HE-10                                                                                                 30465, 30466
                                                                                                                             SR-12
1/ Temporary positon, General funds
2/ Temporary position, Federal funds                                                                                                                                                                        L-3                  6/30/10
STATE OF HAWAII
                                                                                                                                                                                                        DEPARTMENT OF EDUCATION
                                                                                                                                                                                                        WINDWARD DISTRICT OFFICE
                                                                CASTLE / KAHUKU                                                                                    KAILUA / KALAHEO                    POSITION ORGANIZATION CHART
                                                                 COMPLEX AREA                                                                                       COMPLEX AREA
                                                                  Complex Area                                                                                       Complex Area
                                                                  Superintendent                                                                                     Superintendent


                                                                  SCHOOL BASED                                                                                           AUTISM
                                                              BEHAVIORAL HEALTH
                                                                                                       Secretary II                                                                                      Secretary II
                                                             District Educational Spec II                                                                       District Educational Spec II
                                                                                                      58180 SR-14                                                                                      801000 SR-14      2/
                                                                    75415 EO-7                                                                                         75734 EO-7

                                            School Psychologist                      Clerk Typist II
                                                                                                           1/                                                           12-Month District
                                              (District Based)                       58042, 58050
                                                                                                                 1/                                                      Office Teacher
                                               29130 SR-26                           58098, 59998
                                                                                                                                                                         75418, 76105          1/ 1/
                                                                                              SR-8

                                              Clinical Psych VI
                                               58205 SR-26                                                                                                           District Office Teacher
                                                                                                                                                                              79448          2/


 CASTLE COMPLEX                         KAHUKU COMPLEX                                      KAILUA COMPLEX                      KALAHEO COMPLEX                      Speech Pathologist IV
                                                                                                                                                                        35116 SR-22


 School Psychologist                                                                                                                                                  Educational Asst III
                                        School Psychologist                                 School Psychologist                  School Psychologist
  800441, 800444                                                                                                                                                       800877, 800878
                                          800440 SR-24                                       800442 SR-24                          800443 SR-24
            SR-24                                                                                                                                                      800879, 800880
                                                                                                                                                                       800881, 800882
                                         Behavioral Health                                                                                                             800883, 800884
 Mental Health Supv I                                                                       Mental Health Supv I                 Mental Health Supv I                  800885, 800886
                                           Specialist V
   58168 SR-24                                                                                59554 SR-24                          58170 SR-24                                  SR-12
                                         59799     SR-24

  Behavioral Health                      Behavioral Health                                   Behavioral Health                    Behavioral Health
    Specialist IV                          Specialist IV                                       Specialist IV                        Specialist IV
   58392, 58393                           58397, 58398                                        58386, 58387            1/ 1/        58410, 58411
   58395, 58396                           58401, 58404                                        58415, 58416                         58412, 58414
   58400, 58408            1/             58405, 58406                                        58418, 58420                         58417, 58422
   58413, 58704                           58407 SR-22                                         58423, 58424                         58653, 58656
   59573 SR-22                                                                                58655, 59938                 1/      59939, 59940
                                                                                                      SR-22                               SR-22
                                      Behavioral Specialist IV
Behavioral Specialist IV
                                          58402, 58403
   58389, 58390
                                                  SR-22                                Behavioral Specialist IV                 Behavioral Specialist IV
   58391, 58657
                                                                                          58705 SR-22                              58409 SR-22
            SR-22

                                          Social Worker IV
   Social Worker IV                                                                          Social Worker IV                      Social Worker IV
                                           27649 SR-22
    11356, 32096                                                                              27648, 41123                          32093, 50752
    56231 (.50 FTE)                                                                           50753, 52792                                 SR-22
             SR-22                                                                                   SR-22
                                           Clerk Typist II
                                           55830 SR-8             1/                                                                Clerk Typist II
   Human Services                                                                                                                   58102 SR-8             1/
                                                                                               Clerk Typist II
    Professional IV                                                                                                   1/
                                                                                               58101 SR-8
   50751 (.50 FTE)
             SR-22
                                1/ Temporary position, General funds
    Clerk Typist II
                                2/ Temporary position, Federal funds                                                                                                                                                    L-4   6/30/10
    58103 SR-8             1/
STATE OF HAWAII
                                                                                                                                                      DEPARTMENT OF EDUCATION
                                                                                                                                                        HAWAII DISTRICT OFFICE
                                                                                                                                                         ORGANIZATION CHART




                                                                         HAWAII DISTRICT OFFICE




                                                                                                                          HONOKA’A / KEALAKEHE / KOHALA /
     HILO / LAUPAHOEHOE / WAIAKEA                                    KA’U / KEA’AU / PAHOA
                                                                                                                                   KONAWAENA
    COMPLEX AREA SUPERINTENDENT                                  COMPLEX AREA SUPERINTENDENT
                                                                                                                          COMPLEX AREA SUPERINTENDENT




                                                                     KA’U / KEA’AU /
  HILO COMPLEX         LAUPAHOEHOE      WAIAKEA COMPLEX                                       HONOKA’A COMPLEX        KEALAKEHE              KOHALA COMPLEX           KONAWAENA
                                                                    PAHOA COMPLEX
     SCHOOLS         COMPLEX SCHOOLS        SCHOOLS                                               SCHOOLS          COMPLEX SCHOOLS              SCHOOLS             COMPLEX SCHOOLS
                                                                       SCHOOLS




      HILO             LAUPAHOEHOE          WAIAKEA                KA’U / KEA’AU / PAHOA          HONOKA’A            KEALAKEHE                  KOHALA                KONAWAENA
LEARNING SUPPORT     LEARNING SUPPORT   LEARNING SUPPORT            LEARNING SUPPORT          LEARNING SUPPORT     LEARNING SUPPORT         LEARNING SUPPORT        LEARNING SUPPORT
     CENTER               CENTER             CENTER                        CENTER                  CENTER               CENTER                   CENTER                  CENTER




                                                             SCHOOL BASED                              ATHLETICS AND
                                                           BEHAVIORAL HEALTH                         STUDENT ACTIVITIES




                                                                                                                                                              M-1           6/30/10
STATE OF HAWAII
                                                                                                                                                                                                                        DEPARTMENT OF EDUCATION
                                                                                                                                                                                                                          HAWAII DISTRICT OFFICE
                                                                                                                                                                                                                       POSITION ORGANIZATION CHART
                      HILO / LAUPAHOEHOE /                                                        KA’U / KEA’AU / PAHOA                                    HONOKA’A / KEALAKEHE / KOHALA /
                     WAIAKEA COMPLEX AREA                                                            COMPLEX AREA                                            KONAWAENA COMPLEX AREA
                    Complex Area Superintendent                                                 Complex Area Superintendent                                  Complex Area Superintendent
                               64819                                                                       64814                                                       69905

    Business Management                                                        Business Management                                               Business Management
                                        Private Secretary I                                                          Private Secretary I                                         Private Secretary I
           Officer I                                                                  Officer I                                                         Officer I
                                           1818 SR-20                                                                 12255 SR-20                                                  43970 SR-20
       800810 EM-05                                                               800811 EM-05                                                      800809 EM-05

                                         Account Clerk III
                                                                                                                        Clerk Typist II
                                         48490 (.50 FTE)                                                                                   1/
                                                                                                                       59863     SR-8
                                         59877     SR-11        2/


 HILO / LAUPAHOEHOE                    WAIAKEA COMPLEX                     KA’U / KEA’AU / PAHOA                                                 HONOKA’A COMPLEX             KEALAKEHE COMPLEX                  KOHALA COMPLEX                KONAWAENA COMPLEX
 COMPLEX SCHOOLS                           SCHOOLS                          COMPLEX SCHOOLS                                                          SCHOOLS                       SCHOOLS                          SCHOOLS                         SCHOOLS
       Principals                             Principals                           Principals                                                         Principals                     Principals                       Principals                       Principals


       Administrative                       Administrative                        Administrative                                                      Administrative                 Administrative                                                   Administrative
      Services Assistant                   Services Assistant                    Services Assistant                                                  Services Assistant             Services Assistant                                               Services Assistant
       57961 SR-22                          57960 SR-22                        57962, 57964 SR-22                                                     57963 SR-22                    57965 SR-22                                                       57966 SR-22




   HILO / LAUPAHOEHOE                  WAIAKEA LEARNING                      KA’U / KEA’AU / PAHOA                 KA’U / KEA’AU / PAHOA         HONOKA’A LEARNING            KEALAKEHE LEARNING                 KOHALA LEARNING               KONAWAENA LEARNING
LEARNING SUPPORT CENTER                SUPPORT CENTER                     LEARNING SUPPORT CENTER               LEARNING SUPPORT CENTER           SUPPORT CENTER                SUPPORT CENTER                   SUPPORT CENTER                  SUPPORT CENTER
Complex School Renewal                  District Educational               Complex School Renewal                Complex School Renewal         Complex School Renewal        Complex School Renewal           Complex School Renewal           Complex School Renewal
      Specialist II                         Specialist II                        Specialist II                         Specialist II                  Specialist II                 Specialist II                    Specialist II                   Specialist II
    67772 EO-7                             76301 EO-7                1/      60083          EO-7                   76083          EO-7              60055 EO-7                    64825 EO-7                       76082 EO-7         1/            64826 EO-7


    District Office Teacher              District Office Teacher                                                                                     Complex Area Tchr            District Office Teacher           Complex Area Tchr               Complex Area Tchr
             79421          2/               63409, 75095        1/ 3/                                                                                 75089, 76375                        66997          1/             75088                       72967F, 73152
                                                                          District Office Teacher              Secondary Teacher                                                                                                                     74501
                                                                              65389, 69988                          64893
      Complex Area Tchr                                                       75096, 79405
                                           Complex Area Tchr                                      3/ 2/                                                                             Complex Area Tchr              Title I Linker Teacher
       60128, 64725                                                           79564                                                                                                                                                                Bilingual/Bicultural S/H
                                            72445Z, 75087Z      1/                                2/                                                                                  72461, 74973                          79489         2/
       72806, 72887F    1/                                                                                                                                                                                                                          Assistant (.50 FTE)
                                            76374Z           1/                                                 Account Clerk III
       74975, 76373        1/                                                                                                                                                                                                                          48834 SR-11          1/
                                                                                                                 800864 (.50 FTE) 1/
                                                                           Complex Area Tchr                             SR-11                                                      Secondary Teacher                 Clerk Typist II
    Bilingual/Bicultural S/H                                                61609Z, 72460                                                                                                67686                        801099 SR-8         1/
                                          Title I Linker Teacher                                                                                                                                                                                       Clerk Typist II
           Assistant                                                        74974Z, 75086
                                                   79855         2/                                                                                                                                                                                    16130 SR-8
           (.50 FTE)
         31104, 32180        1/ 1/                                                                               Clerk Typist II
                 SR-11                                                                                            5061 SR-8
                                              Clerk Typist II             Title I Linker Teacher
                                               9725 SR-8                           79270         2/
     School Custodian II                                                                                         District PCNC
      48827 (.50 FTE)                                                                                              Assistant
      16139 BC-02                                                                                                44762 SR-15

                                                                                                             Bilingual/Bicultural S/H
                                                                                                                    Assistant
       1/ Temporary position, General funds                                                                         (.50 FTE)
       2/ Temporary position, Federal funds                                                                          801440           1/
       3/ Temporary position, Trust funds                                                                                                                                                                                               M-2                  6/30/10
STATE OF HAWAII
                                                                                                                                                                                     DEPARTMENT OF EDUCATION
                                                                                                                                                                                       HAWAII DISTRICT OFFICE
                                                                                                                                                                                    POSITION ORGANIZATION CHART
                                                   HILO / LAUPAHOEHOE /                                                                           KA’U / KEA’AU / PAHOA
                                                  WAIAKEA COMPLEX AREA                                                                               COMPLEX AREA
                                                        Complex Area                                                                                  Complex Area
                                                       Superintendent                                                                                 Superintendent

                                                   EAST HAWAII REGIONAL                                                                               SOUTH HAWAII
                                                          SPED OFFICE                                                                           REGIONAL SPED OFFICE
                          Secretary II                                                                                                                                                Secretary II
                                                   District Educational Spec II                                                                 District Educational Spec II
                         1819 SR-14                                                                                                                                                 55386 SR-14      2/
                                                           69482 EO-7                                                                                 79795       EO-7       2/



                                       12-Month District                School Psychologist
                                        Office Teacher                    (District Based)
                                        75385, 79953       1/ 2/           29129 SR-26
                                        79954, 79978       2/ 2/
                                        79979              2/              Clerk Typist II
                                                                           44255, 49258             2/
                                   District Office Tchr                    55455               2/
                                      79371, 79377         2/ 2/           56323 (.50 FTE)     1/
                                     79379, 79606          2/ 2/                      SR-8


                                              HILO / LAUPAHOEHOE COMPLEX                                 WAIAKEA COMPLEX                   KA’U / KEA’AU / PAHOA COMPLEX




                                  School Psychologist                  Speech Pathologist IV             School Psychologist       12-Month District                Speech Pathologist IV
                                    (District Based)                      30434, 33037                    800427 SR-24              Office Teacher                     29804, 29809
                                     29808 SR-26                          49165 (.75 FTE)                                           74594, 79688        1/ 2/          30430, 30431
                                                                          56250, 58742                                              79744, 79808        2/ 2/          30432, 33038
                                                                                  SR-22                    Human Services                                              46652, SR-22
                                                                                                           Professional IV
                                  School Psychologist                                                       12197, 12198
                                   800425, 800757                                                                    SR-22       District Office Teacher
                                                                        Communication Aide                                                                            Behavioral Health
                                             SR-24                                                                                        79378          2/
                                                                            (.75 FTE)                                                                                   Specialist IV
                                                                          30505, 30506                                                                                 800866 SR-22
                                                                                    SR-12                 Psych Examiner IV
                                       Social Worker IV                                                    29159   SR-22          School Psychologist
                                                                                                                                                                     Communication Aide
                                        50479, 52967                                                                               800428, 800431
                                                                                                                                                                         (.75 FTE)
                                                  SR-22                 Educational Asst III                                                  SR-24
                                                                                                                                                                       30501, 30504
                                                                         800845, 800846                  Physical Therapist IV                                                  SR-12
                                                                         800847 SR-12                      30555     SR-22
                                                                                                                                    Human Services
                                                                                                                                    Professional IV                      Clerk Typist II
                                                                                                             Occupational            29139, 50477                       30842, 43047        2/ 2/
                                                                                                             Therapist IV                     SR-22                     43734      SR-8
                                                                                                            28713, 30571
                                                                                                            59532 SR-22
                                                                                                                                   Social Worker IV                  Educational Asst III
                                                                                                                                   30843 SR-22                        800848, 800849
                                                                                                         Speech Pathologist IV                                        800850 SR-12
                                                                                                            33036, 33039
                                                                                                                    SR-22         Psych Examiner IV
                                                                                                                                    32380, 54465
                                                                                                                                             SR-22
                                                                                                         Communication Aide
                                                                                                          34625 (.75 FTE)
1/ Temporary position, General funds                                                                                 SR-12
2/ Temporary position, Federal funds                                                                                                                                                                 M-3   6/30/10
STATE OF HAWAII
                                                                                                                                                                                                               DEPARTMENT OF EDUCATION
                                                                                                                                                                                                                 HAWAII DISTRICT OFFICE
                                                                                                                                                                                                              POSITION ORGANIZATION CHART
                                                                         HONOKA’A / KEALAKEHE / KOHALA /
                                                                           KONAWAENA COMPLEX AREA

                                                                          Complex Area Superintendent




              WEST HAWAII REGIONAL                                                                                              NORTH HAWAII                                         SCHOOL BASED BEHAVIORAL                   District Educational
                     SPED OFFICE                                                                                          REGIONAL SPED OFFICE                                         HEALTH, EAST HAWAII                         Specialist II
                                                      Secretary II                                                                                               Secretary II
              District Educational Spec II                                                                                District Educational Spec II                               District Educational Spec II                     Autism
                                                     8745 SR-14                                                                                                 58286 SR-14     2/                                                                      1/
                     64815 EO-7                                                                                                  79393 EO-7            2/                                    75416 EO-7                           76102 EO-7

                                                    Clerk Typist II                                                                                                                          Clinical Psych VI
                                                     23359                                                                                                                                    58214, 58300               1/
                                                    56322 (.50 FTE) 1/                                                                                                                        58302                 1/
                                                              SR-8                                                                                                                                     SR-26

                                                                                                                                                                                            Behavioral Health
                                                                                                                                                                                              Specialist V
               KEALAKEHE COMPLEX                                     KONAWAENA COMPLEX                                KOHALA / HONOKA’A COMPLEX                                                                     1/ 1/
                                                                                                                                                                                             58299, 58301
                                                                                                                                                                                             58436
                                                                                                                                                                                                     SR-24
  12-Month District                                                        12-Month District
                                  Physical Therapist IV                                                      12-Month District                    Occupational
   Office Teacher                                                           Office Teacher                                                                                                  Behavioral Health
                                     30245 SR-22                                                              Office Teacher                       Therapist IV
        79372          2/                                                   75097, 75386         3/ 1/                                                                                        Specialist IV
                                                                                                              71907, 79295         1/ 2/         30576    SR-22
                                                                            79534, 79703         2/ 2/                                                                                       58427, 58428
                                        Occupational                                                                                                                                         58429, 58430
 School Psychologist                                                                                                                                                                         58431, 58432
                                        Therapist IV
   30689, 800432                                                         District Office Teacher           District Office Teacher            Speech Pathologist IV                          58433, 58434           1/
                                       38472, 56314
           SR-24                                                                  79394          2/            79376, 79966        2/ 2/         31395, 46650                                                       1/
                                              SR-22                                                                                                                                          58435, 58437
                                                                                                                                                 55745, 56256                                58438, 58440           1/ 1/
                                                                                                                                                        SR-22                                58441, 58442              1/
  Social Worker IV                Speech Pathologist IV                   School Psychologist               School Psychologist                                                              58443, 58444
  50768    SR-22                     35537, 38296                          800430, 800459             2/     800426, 800429                                                                  58445, 58446           1/
                                     46651, 50770                                    SR-24                             SR-24                   Communication Aide                            58447, 58448
                                     56253 SR-22                                                                                                   (.75 FTE)                                 58449, 58450                1/
                                                                                                                                                 30502, 34624                                58451, 58452
  Psych Examiner IV                                                                                                                                      SR-12
   50767 SR-22                                                             Social Worker IV                  Social Worker IV                                                                58454, 58455
                                   Communication Aide                                                                                                                                        58456, 58466              1/
                                                                           50478    SR-22                     27280, 54466
                                    800599 (.75 FTE) 2/                                                                                                                                      58467, 58469           1/
                                                                                                                     SR-22                        Clerk Typist II
                                               SR-8                                                                                                                                          58473, 58487           1/ 1/
                                                                                                                                                  54467, 58851        2/ 2/
                                                                                                                                                                                             58488, 58652              1/
                                                                           Human Services                                                                 SR-8                                                      1/ 1/
                                                                                                                                                                                             58654, 58696
                                        Clerk Typist II                     Professional IV                  Psych Examiner IV                                                               58697 SR-22            1/
                                       55293      SR-8    2/               57990     SR-22                   52951     SR-22

                                                                                                                                                                                           Behavioral Spec IV
                                                                         Speech Pathologist IV
                                                                                                            Educational Asst III                                                             58439, 58453
                                                                            30433, 54464
                                                                                                             800933 SR-12                                                                           SR-22
                                                                                   SR-22

                                                                         Communication Aide
                                                                                                                                                                                              Clerk Typist II
                                                                          30503 (.75 FTE)
                                                                                                                                                                                              58099, 58043               1/
                                                                                    SR-12
                                                                                                                                                                                              58051, 800666              1/

                                                                            Clerk Typist II
1/ Temporary position, General funds                                       38737      SR-8       2/
2/ Temporary position, Federal funds                                                                                                                                                                                          M-4                     6/30/10
STATE OF HAWAII
                                                                                                                          DEPARTMENT OF EDUCATION
                                                                                                                            HAWAII DISTRICT OFFICE
                                                                                                                         POSITION ORGANIZATION CHART
                                       HONOKA’A / KEALAKEHE / KOHALA /            KA’U / KEA’AU / PAHOA COMPLEX
                                         KONAWAENA COMPLEX AREA                                AREA
                                          Complex Area Superintendent               Complex Area Superintendent



                                           SCHOOL BASED BEHAVIORAL                        ATHLETICS AND
                                             HEALTH, WEST HAWAII                      STUDENT ACTIVITIES
                                           District Educational Spec II              District Educational Spec II
                                                79321        EO-7       2/                  73666 EO-7


                                                  Clinical Psych VIII                        Account Clerk III
                                                   58206 SR-30                               33118 (.50 FTE)
                                                                                                      SR-11

                                                   Clinical Psych VI
                                                    58212, 58213                              Clerk Typist II
                                                    58303, 58304      1/ 1/                   45504 SR-8            1/
                                                                SR-26



                                                  Behavioral Health
                                                    Specialist V
                                                  58474      SR-24      1/



                                                  Behavioral Health
                                                    Specialist IV
                                                   58457, 58458         1/ 1/
                                                   58459, 58460
                                                   58461, 58462         1/
                                                   58463, 58464
                                                   58465, 58468
                                                   58470, 58471
                                                   58472, 58475
                                                   58476, 58477         1/ 1/
                                                   58478, 58479            1/
                                                   58480, 58481         1/ 1/
                                                   58482, 58483         1/ 1/
                                                   58484, 58485            1/
                                                   58486, 58489         1/
                                                   58490, 58491            1/
                                                   59115 (.50 FTE)      2/
                                                           SR-22



                                                    Clerk Typist II
                                                   59697, 800665             1/
                                                             SR-8




1/ Temporary position, General funds
2/ Temporary position, Federal funds                                                                                            M-5         6/30/10
STATE OF HAWAII
                                                                                                                                              DEPARTMENT OF EDUCATION
                                                                                                                                                MAUI DISTRICT OFFICE
                                                                                                                                                 ORGANIZATION CHART


                                                                       MAUI DISTRICT OFFICE




          BALDWIN / KEKAULIKE / MAUI                                                                       HANA / LAHAINA / LANAI / MOLOKAI
               COMPLEX AREA                                                                                         COMPLEX AREA
              SUPERINTENDENT                                                                                       SUPERINTENDENT




BALDWIN COMPLEX           KEKAULIKE COMPLEX         MAUI COMPLEX                HANA COMPLEX        LAHAINA COMPLEX            MOLOKAI COMPLEX            LANAI COMPLEX
    SCHOOLS                   SCHOOLS                 SCHOOLS                     SCHOOLS               SCHOOLS                   SCHOOLS                   SCHOOLS




    BALDWIN                   KEKAULIKE                 MAUI                        HANA                 LAHAINA                   MOLOKAI                     LANAI
LEARNING SUPPORT           LEARNING SUPPORT       LEARNING SUPPORT            LEARNING SUPPORT      LEARNING SUPPORT           LEARNING SUPPORT          LEARNING SUPPORT
     CENTER                    CENTER                  CENTER                      CENTER                CENTER                     CENTER                    CENTER




                                                                                                                SCHOOL BASED
                   ATHLETICS                  EDUCATIONAL TECHNOLOGY            SPECIAL EDUCATION
                                                                                                              BEHAVIORAL HEALTH




                                                                                                                                                   N-1            6/30/10
STATE OF HAWAII
                                                                                                                                                                                                                                      DEPARTMENT OF EDUCATION
                                                                                                                                                                                                                                         MAUI DISTRICT OFFICE
                                                                                                                                                                                                                                     POSITION ORGANIZATION CHART
                                                           BALDWIN / KEKAULIKE /                                                                                                         HANA / LAHAINA / LANAI /
                                                            MAUI COMPLEX AREA                                                                                                            MOLOKAI COMPLEX AREA
                                                                Complex Area                                                                                                                 Complex Area
                              Private Secretary I                                                                                                                                                                           Private Secretary
                                                               Superintendent                                                                                                                Superintendent
                                 1816 SR-20                                                                                                                                                                                  19051 SR-20
                                                                   65542                                                                                                                          65534

                                                                            Business Management                                                                          Business Management                 Clerk Typist II
                                              Account Clerk V
                                                                                   Officer I                                                                                    Officer I                      (.50 FTE)
                                               3985 SR-15
                                                                              800807 EM-05                                                                                  800808 EM-05                  51238, 59808 SR-8 1/ 1/



 BALDWIN COMPLEX                      KEKAULIKE COMPLEX                           MAUI COMPLEX                                                                         HANA / LAHAINA                        MOLOKAI / LANAI
     SCHOOLS                              SCHOOLS                                   SCHOOLS                                                                           COMPLEX SCHOOLS                       COMPLEX SCHOOLS
       Principals                             Principals                              Principals                                                                            Principals                              Principals


      Administrative                         Administrative                          Administrative                                                                         Administrative                        Administrative
     Services Assistant                     Services Assistant                      Services Assistant                                                                     Services Assistant                    Services Assistant
      57967 SR-22                            57968 SR-22                             57970 SR-22                                                                            57969 SR-22                           57971 SR-22



 BALDWIN LEARNING                     KEKAULIKE LEARNING                         MAUI LEARNING                                  ATHLETICS                              HANA / LAHAINA                        MOLOKAI / LANAI                          EDUCATIONAL
  SUPPORT CENTER                        SUPPORT CENTER                          SUPPORT CENTER                                                                      LEARNING SUPPT CNTR                   LEARNING SUPPT CNTR                         TECHNOLOGY
Complex School Renewal                Complex School Renewal                  Complex School Renewal                     District Educational Spec II               Complex School Renewal                Complex School Renewal                Telecommunications Spec II
      Specialist II                         Specialist II                           Specialist II                                60231 EO-7                               Specialist II                         Specialist II                             (OITS)
    66815 EO-7                            65545 EO-7                              73068 EO-7                                                                            65539 EO-7                            73088 EO-7                               60135 EO-7          4/

                                                                                                                              District Office Teacher
        Secretary II                      District Office Teacher                 District Office Teacher                              61699          1/                 District Office Teacher                      Secretary II                        Secretary II
       41034 SR-14                             72462, 79453          2/                72464, 79347          2/                                                              79463, 79638        2/ 2/              24498 SR-14                          47022 SR-14
                                                                                       79454, 79555       2/ 2/

    District Office Teacher                    Clerk Typist II                                                                                                             Complex Area Tchr                    Complex Area Tchr                     District Office Teacher
         69186, 72463                           9422 SR-8                          Title I Linker Teacher                                                                    76195, 76196    1/ 1/                76197, 76198    1/ 1/                   76376, 76377        1/ 1/
         72564                                                                              79856         2/

                                                                                                                                                                                                                                                      Television Production
                                                                                                                                                                          Secondary Teacher                    District Office Teacher
                                                                                                                                                                                                                                                           Crew Chief
                                                                                       Clerk Typist II                                                                         68474                                    75098          3/
                                                                                                                                                                                                                                                         48568 SR-17
                                                                                       14603 SR-8

                                                                                                                                                                                                                                                      Television Production
                                                                                                                                                                                                               Title I Linker Teacher
                                                                                                                                                                                                                                                           Technician
                                                                                                                                                                                                                        79271         2/
                                                                                                                                                                                                                                                        59615     SR-13     3/




                                          1/ Temporary position, General funds
                                          2/ Temporary position, Federal funds
                                          3/ Temporary position, Trust funds
                                          4/ Position no. 60135 receives technical supervision from position no. 66355, Telecom Director, Office of Information Technology Services
                                                                                                                                                                                                                                                N-2                  6/30/10
STATE OF HAWAII
                                                        Complex Area                                                                                   Complex Area                                            DEPARTMENT OF EDUCATION
                                                        Superintendent                                                                                 Superintendent                                             MAUI DISTRICT OFFICE
                                                            65542                                                                                         65534
                                                                                                                                                                                                              POSITION ORGANIZATION CHART



                                                                            Secretary II                Educational Director
                                                                         12061      SR-14               75474        EO-10



                                                                                                                           School Custodian II
                                                                                        Clerk Typist II
                                                                                                                              16253
                                                                                        31049, 44484
                                                                                                                              37392 (.50 FTE)
                                                                                        44485 SR-8
                                                                                                                                       BC-02




                                                                                                                                                    SPECIAL EDUCATION
                  SPECIAL EDUCATION                                                            SPECIAL EDUCATION                                                                                         SPECIAL EDUCATION
                                                                                                                                                    KEKAULIKE / BALDWIN
               HANA / LAHAINA COMPLEXES                                                          MAUI COMPLEX                                                                                         MOLOKAI / LANAI COMPLEXES
                                                                                                                                                        COMPLEXES
               District Educational Spec II                                                 District Educational Spec II                         District Educational Spec II                          District Educational Spec II
                       65535 EO-7                                                                   65543 EO-7                                           75735 EO-7                                           75384 EO-7



INTENSIVE LEARNING                                                                                                                                       12-Month District                                                  Behavioral Health Spec V
                                                                              12-Month District                 Speech Pathologist IV                                                        Secretary II
     CENTER                                                                                                                                               Office Teacher                                                       Molokai Complex
                                                                               Office Teacher                      29806, 29807                                                            58217 SR-14                                               1/
                                                                                                                                                               79811            2/                                             58671     SR-24
                                                                               75393, 76106         1/ 1/          30401, 30402
District Office Teacher                 Secretary II                                                               30403, 30405
         79543          2/            42661    SR-14         2/                                                    30406, 32097                       District Office Teacher           District Office Teacher                       Behavioral Health
                                                                                                                   33073, 35268                                79351          2/                 79578          2/                      Specialist IV
                                                                            District Office Teacher                                                                                                                                                        1/
                                                                                                                   43765, 43766                                                                                                        58419, 58498
                                                                                64699, 68677        1/ 1/
                                   District Office Teacher                                                         48241 (.75 FTE)                                                                                                     58502, 58537
 Educational Asst III                   79346, 79348         2/ 2/                                                 50895, 54423                                                                                                        58538, 58543
                                                                                                                                                       School Psychologist               School Psychologist                                  SR-22
  800094, 800095 2/ 2/                  79349 (.50 FTE)      2/                                                    55682, 55683
                                                                              Behavioral Health                                                          31503, 800433                    800438 SR-24
  800096 SR-12        2/                79350, 79579         2/ 2/                                                 55684, 56275
                                        79868                2/                 Specialist IV                      56276, 56277                          800434, 800435
                                        79870 (.50 FTE)      2/                59835, 59836                        56278, 56279                          800436, 800437                                                               Behavioral Spec IV
                                                                               59837 SR-22                                                               800439, 800470                    Social Worker IV
                                                                                                                   56280, 800634                                                                                                        58536 SR-22
                                                                                                                                                         801233 SR-24                       22581, 42195
                                                                                                                   800935 (.50 FTE)                                                                SR-22
                                        Occupational                                                               801019 (.50 FTE)
                                                                                                                                                                                                                            Mental Health Supervisor I
                                        Therapist IV                                                               801434 SR-22
                                                                                                                                                                                                                                 Lanai Complex
                                       28684, 30575                                                                                                     Psych Examiner IV               Speech Pathologist IV                                          1/
                                                                                                                                                                                                                               59531       SR-24
                                       56309 SR-22                                                                                                        30568, 44571                     47674 SR-22
                                                                                                                 Communication Aide                       54422 (.50 FTE)
                                                                                                                     (.75 FTE)                            800019 (.50 FTE)                                                            Behavioral Health
                                                                                                                   30474, 30477                                    SR-22                Communication Aide                              Specialist IV
                                    Physical Therapist IV
                                                                                                                   30926, 30927                                                             (.75 FTE)                                  58495, 58500             1/
                                       30557 SR-22
                                                                                                                           SR-12                                                          30475, 30476                                 58519, 58514             1/
                                                                                                                                                         Social Worker IV                         SR-12                                58531, 58540             1/
                                                                                                                  Educational Asst III                    12064, 12065                                                                        SR-22
                                                                                                                   800471, 800472                         27506, 50764                      Clerk Typist II
                                                                                                                   800473, 800474                         50765, 54420                        (.50 FTE)
                                                                                                                                                         801353, 801354         1/ 1/      42088     SR-8                             Behavioral Spec IV
                                                                                                                   800475, 800476
                                                                                                                                                         801355 SR-22           1/                                                      58518 SR-22
                                                                                                                   800477, 800478
                                                                                                                   800479, 800480
                                                                                                                               SR-12
1/ Temporary position, General funds
2/ Temporary position, Federal funds                                                                                                                                                                                     N-3                      6/30/10
STATE OF HAWAII
                                                                                                                                                                                                       DEPARTMENT OF EDUCATION
                                                                                                                                                                                                          MAUI DISTRICT OFFICE
                                                                                                                                                                                                      POSITION ORGANIZATION CHART




                                                                                 SCHOOL BASED
                                                                             BEHAVIORAL HEALTH                       Clerk Typist II
                                                                            District Educational Spec II             58044, 58052      1/
                                                                                    75417 EO-7                       58100, 59997           1/
                                                                                                                                                                INTENSIVE LEARNING CENTER
                                                                                                                             SR-8



                                        School Psychologist                 Behavioral Health Spec V                       Behavioral Health Spec V
                                                                                                                                                                   Behavioral Health Spec V
                                          (District-Based)                    Kekaulike Complex                                Maui Complex
                                                                                                                                                                            58670
                                          29128 SR-26                           59638 SR-24          1/                        59637 SR-24          1/


                                                                                                                                                                         Behavioral Health
                                       Clinical Psychologist VI                    Behavioral Health                              Behavioral Health
                                                                                                                                                                           Specialist IV
                                            58669 SR-26                              Specialist IV                                  Specialist IV                                             1/ 1/
                                                                                                                                                      1/                  58388, 58421
                                                                                    58517, 58520                                   58399, 58501
                                                                                                                                                                                  SR-22
                                                                                    58521, 58527                                   58539, 58499
                                            Behavioral Health                       58528 SR-22            1/                             SR-22
                                              Specialist IV
                                             58505, 58506         1/
                                             58507, 58515                          Behavioral Spec IV                            Behavioral Spec IV
                                             58525 SR-22          1/                 58508, 58541          1/                      58516, 58534
                                                                                     58545 SR-22                                   58535 SR-22        1/

                                            Behavioral Spec IV
                                              58492 SR-22                   Behavioral Health Spec V                       Behavioral Health Spec V
                                                                               Baldwin Complex                                      59003           1/
                                                                                59639 SR-24          1/                                SR-24
                                       Clinical Psychologist VI
                                            58215, 58668
                                                    SR-26                          Behavioral Health
                                                                                                                                  Behavioral Health
                                                                                     Specialist IV
                                                                                                                                    Specialist IV
                                                                                    58493, 58494                1/
                                                                                                                                   58513, 58526            1/
                                            Behavioral Health                       58503, 58504           1/
                                                                                                                                           SR-22
                                              Specialist IV                         58509, 58511           1/ 1/
                                             58497, 58510              1/           58512, 58532
                                             58522, 58523              1/                   SR-22
                                             58524, 58529
                                             58530, 58533
                                             58542, 58544         1/
                                                     SR-22




1/ Temporary position, General funds                                                                                                                                                                        N-4         6/30/10
STATE OF HAWAII
                                                                                                          DEPARTMENT OF EDUCATION
                                                                                                            KAUAI DISTRICT OFFICE
                                                                                                            ORGANIZATION CHART

                                          KAUAI DISTRICT OFFICE




                           KAPAA / KAUAI / WAIMEA
                        COMPLEX AREA SUPERINTENDENT




      KAPAA COMPLEX SCHOOLS                  KAUAI COMPLEX SCHOOLS               WAIMEA COMPLEX SCHOOLS




      KAPAA LEARNING SUPPORT                                                    WAIMEA LEARNING SUPPORT
                                         KAUAI LEARNING SUPPORT CENTER
              CENTER                                                                     CENTER




SPECIAL SERVICES /                                                       MOKIHANA SCHOOL BASED
                                         CURRICULUM
SPECIAL EDUCATION                                                          BEHAVIORAL HEALTH




                                                                                                               O-1        6/30/10
STATE OF HAWAII
                                                                                                                                                           DEPARTMENT OF EDUCATION
                                                                                                                                                              KAUAI DISTRICT OFFICE
                                                                                                                                                          POSITION ORGANIZATION CHART
                                                                    KAPAA / KAUAI / WAIMEA
                                                                       COMPLEX AREA
                                                                        Complex Area
                                       Private Secretary I
                                                                        Superintendent
                                         1815 SR-20
                                                                             66026




                                             KAPAA COMPLEX                                   KAUAI COMPLEX                WAIMEA COMPLEX            Business Management
                                               SCHOOLS                                         SCHOOLS                       SCHOOLS                       Officer I
                                                                                                                                                        800812 EM5
                                                 Principals                                    Principals                     Principals

                                                                                                                                                         Administrative
                                                                                                                                                        Services Assistant
                                                                                                                                                         57972, 57973
                                                                                                                                                         57974 SR-22
                                           KAPAA LEARNING                                 KAUAI LEARNING                 WAIMEA LEARNING
                                           SUPPORT CENTER                                SUPPORT CENTER                  SUPPORT CENTER
                                                                                                                                                       School Custodian II
                                         Complex School Renewal                        Complex School Renewal           Complex School Renewal           16115 BC-02
                                              Specialist II                                  Specialist II                    Specialist II
                                             67701 EO-7                                    67000 EO-7                       66020 EO-7


                                             District Office Teacher                             Secretary II                   Secretary II
                                                      72513          1/                         14604 SR-14                    21946 SR-14


                                               Complex Area Tchr                              Complex Area Tchr              Complex Area Tchr
                                                    76193        1/                             76192, 76194    1/ 1/             76191        1/


                                                  Clerk Typist II                             District PCNC Asst
                                                   9957 SR-8                                   801439 SR-15        2/




1/ Temporary position, General funds
2/ Temporary position, Federal funds                                                                                                                                         O-2   6/30/10
STATE OF HAWAII
                                                                                                                                                                                                            DEPARTMENT OF EDUCATION
                                                                                                                                                                                                               KAUAI DISTRICT OFFICE
                                                                                                                                                                                                           POSITION ORGANIZATION CHART




                                                            SPECIAL SERVICES /                                                                        CURRICULUM                                        MOKIHANA SCHOOL BASED
                                                           SPECIAL EDUCATION                                                                                                                                BEHAVIORAL HEALTH
                                                                                                  Secretary II
                                                       District Educational Specialist II                                                     District Educational Specialist II                        District Educational Specialist II
                                                                                                 11979 SR-14     3/
                                                                 66015 EO-7                                                                             66019 EO-7                                                75028 EO-7


                                                                                                                                                      District Office Teacher           12-Month District Office                    Human Services
                                                                                                                                                          69959, 71166                        Teacher                               Professional IV
12-Month District Office
                                          KAPAA COMPLEX                           KAUAI COMPLEX                       WAIMEA COMPLEX                                                           75422             1/                  58078, 58079
      Teacher
                         2/ 2/                                                                                                                                                                                                       58080, 58081
    79783, 79820
                         2/ 2/                                                                                                                                                                                                       58082, 58084
    79880, 79977                                                                                                                                     Complex Area Teacher
                                                                                                                                                                                                                                     58085, 58086
                                                                                                                                                           76379Z         1/             District Office Teacher                     58087, 58088
                                           Social Worker IV                         Psychological                         Psychological                                                           76107          1/
                                                                                                                                                                                                                                     800727, 800729
 District Office Teacher                    36461, 50481                             Examiner IV                           Examiner IV                                                                                                       SR-22
     79326, 79327        2/ 2/                     SR-22                            27394 SR-22                          37884 SR-22                   Secondary Teacher
                         2/ 2/                                                                                                                                                          Clinical Psychologist VIII
     79365, 79631                                                                                                                                           66031
                         2/ 2/                                                                                                                                                                59027, 59814
     79872, 79903                                                                                                                                                                                                                   Social Worker IV
                                                                                                                                                                                                        SR-30
                                        Speech Pathologist IV                      Social Worker IV                                                                                                                                  58083, 58089
                                                                                                                        Social Worker IV
                                           30407, 33114                             12082, 36698                                                      Title I Linker Teacher                                                         58090, 58091
      Occupational                                                                                                       31329 SR-22                                                    Clinical Psychologist VI
                                           56044, 56045                                    SR-22                                                               79857               2/                                                58092, 58093
      Therapist IV                                                                                                                                                                           58728, 59732             1/
                                                  SR-22                                                                                                                                                                              800728 SR-22
     35841 SR-22                                                                                                                                                                                     SR-26
                                                                                Speech Pathologist IV
                                                                                                                        Human Services               Bilingual/Bicultural S/H
                                                                                   30409, 33093                                                                                           School Psychologist                         Clerk Typist II
 Physical Therapist IV                   Communication Aide                                                             Professional IV                     Assistant
                                                                                   33115, 43929                                                                               1/           800467, 800468                              (.50 FTE)
    30563 SR-22                              (.75 FTE)                                                                   50480 SR-22                      30000 SR-11
                                                                                   56046, 56047                                                                                                      SR-24                           59130, 59131         1/   1/
                                          30498     SR-12
                                                                                          SR-22                                                                                                                                      59132, 59133         1/   1/
School Based Physical                                                                                                                                                                      Behavioral Health                         59134, 59135         1/   1/
                                                                                                                      Speech Pathologist IV               Clerk Typist II                                                                                 1/   1/
 Therapist Assistant                                                                                                                                                                         Specialist V                            59136, 59137
                                                                                 Communication Aide                      30408, 56048                     44024 SR-8                                                                                      1/   1/
   56239 HE-10                                                                                                                                                                              58163 SR-24                              59138, 59139
                                                                                     (.75 FTE)                                    SR-22                                                                                              59140, 59141         1/   1/
                                                                                   30910 SR-12                                                                                                                                                SR-8
   Educ Assistant III
   800674 (.75 FTE)                                                                                                   Communication Aide
   801071, 801072         1/ 1/                                                                                           (.75 FTE)                                                                                                  Clerk Typist II
   801073 SR-12           1/                                                                                            30499, 30500                                                                                                 58045, 58053         1/
                                                                                                                                 SR-12                                                                                               59001, 800654             1/
     Clerk Typist II                                                                                                                                                                                                                          SR-8
     21673, 56237             1/
             SR-8




1/ Temporary position, General funds
2/ Temporary position, Federal funds
3/ Position also serves as secretary to District Educational Specialist II, position no. 66019
                                                                                                                                                                                                                              O-3                       6/30/10
DEPARTMENT OF EDUCATION

                               COMPLEX AREAS

                          FUNCTIONAL STATEMENT


Public schools are assigned, for administrative purposes, to complex areas of
one or more school complexes, each consisting of a high school and its feeder
middle and elementary schools. There are fifteen (15) complex areas in the
statewide public school system. Each complex area is supervised by a complex
area superintendent to assist individual schools and school complexes in
meeting the Hawaii Content and Performance Standards, Hawaii Goals for
Education, and the education renewal initiatives of the state and federal
government. Complex area superintendents exercise supervision over school
renewal specialists and other educational support personnel and monitor the
provision of centralized fiscal, personnel, and facilities support by other DOE
state offices to facilitate school renewal efforts.

COMPLEX AREA SUPERINTENDENT

   •   Supervises schools in a complex area and provides area-wide program
       coordination and support of special education, special services, and
       federal-funded programs.

   •   Provides area-wide program coordination and support of special
       education, special services, school-based mental health and federal-
       funded programs.

   •   School-Based Support Services: Occupational and Physical Therapy
       Program

       −   Administers the Occupational and Physical Therapy Program (OT/PT

       −   Coordinates with the schools to identify health problems and
           occupational and/or physical therapy needs as related to the students’
           educational programs in the district.

       −   Assures appropriate resources to the schools to provide occupational
           and/or physical therapy services to support the educational program of
           identified students.

       −   Consults with school personnel, families and others to assure that
           there is integration of educationally related OT/PT strategies into the
           school curriculum and home.

       −   Collects appropriate data to assure compliance of timelines and that
           eligible students are receiving the necessary occupational and/or
           physical therapy services.

       −   Collaborates and coordinates with the state office to assure that there
           is conformance with program standards and established procedural
           guidelines.

       −   Coordinates with the state office for orientation of new occupational
           and/or physical therapists.

       −   Coordinates with the schools to assure appropriate office space for
           the therapy staff within the district.



                                        P-1                                 6/30/10
•   Reviews each school’s strategic and academic/financial plans for, and
       progress towards, attaining effective school status.

   •   Provides consultation and professional assistance to schools and
       complexes to ensure sound planning, effective implementation, and
       efficient use of available school resources for curriculum, instruction, and
       student services reform aspects of school renewal.

   •   Facilitates, monitors, and assesses the effectiveness and responsiveness
       of fiscal, facilities, personnel, information and telecommunications, and
       other administrative support services that are centrally administered by
       DOE state offices and other state agencies; maintains liaison between
       schools and the central services agencies to assure that services meet
       current operational and projected school renewal requirements.

   •   Coordinates schools’ requests for assignment of school renewal
       specialists from Office of Curriculum, Instruction and Student Support or
       from other complex areas or complexes to assist a particular school or
       complex in its restructuring efforts; exercises field supervision over school
       renewal specialists who are assigned to assist the schools and
       complexes.

   •   Promotes collaboration among schools in each complex to articulate their
       educational programs and student performance expectations, coordinate
       school renewal and improvement efforts, and share resources.

   •   Coordinates sharing of resources among complexes in the area, and
       cooperative support arrangements between complex areas.

   •   Develops and maintains collaborative partnerships with the University of
       Hawaii and other institutions of higher learning to support school renewal
       efforts of the complex area schools.

   •   Maintains liaison with government, community, and business
       organizations and officials on matters of mutual interest involving the
       complex area’s schools.

   •   Conducts meetings and hearings to ensure administrative due process for
       students and employees of the complex area in accordance with law and
       department rules and regulations.

Schools

Public schools assigned to the complex areas include elementary, intermediate
and middle schools, high schools, special schools for qualified students with
disabilities, and institutionalized juvenile delinquents, offering instruction in
grades K-12; and community schools for adults.

Complex Learning Support Centers

Complex learning support centers facilitate sharing of curriculum and
instructional resources among schools of a school complex, which consists of a
high school and its feeder elementary and intermediate or middle schools. The
complex learning support centers provide technical support to schools in the
complex. In addition, there is much collaboration between and among support
centers.




                                        P-2                                  6/30/10

2011 DOE Budget Presentation

  • 1.
    Senate Committee onWays and Means Budget Briefing Department of Education Kathryn S. Matayoshi Superintendent of Education January 5, 2011
  • 2.
    Our Mission The HawaiiDepartment of Education, in partnership with the family and the community, is committed to having all public school graduates achieve the General Learner Outcomes and content and performance standards in order to realize their individual goals and aspirations. All graduates will be fully prepared for post-secondary education and/or careers and their roles as responsible citizens. 2
  • 3.
  • 4.
    Organizational Overview Board of Education Curriculum, Instruction, Student  Support; Fiscal; Facilities; Human  State Level Resources; Information Technology 15 Complex Areas by Complex Area Complex Area Region 258 Schools Schools Schools Schools 4
  • 5.
    Percent of Studentswith Special Needs 2010 Special Education, 5% English Second Language Learners, 3% Economically Section 504, Disadvantaged, 33% 1% Multiple Special Needs, 13% No Special Needs, 46% Total may not be exactly 100% due to rounding Source:  Hawaii State Department of Education, System Evaluation & Reporting Section Composite of selected enrollment rosters, unduplicated count 54% of our students require additional resources! 5
  • 6.
    DOE Official Enrollment– Includes Special Education and Pre-Kindergarten FY 2008-09 172,078 FY 2009-10 172,327 FY 2010-11 171,288 FY 2011-12 projection 171,765 6
  • 7.
    HSA Results Steady growth! 7
  • 8.
    HSA Results Sustained and continuous growth! 8
  • 9.
    Department of Education Percent of Classes Taught by Highly Qualified Teachers (HQT) By Complex Area SY 2007-08 to 2009-10 100.0% Statewide: SY 2007-08 70.3% SY 2008-09 72.9% 90.0% SY 2009-10 80.2% 80.0% 70.0% 60.0% 50.0% 40.0% 30.0% 20.0% 10.0% 0.0% SY 2007-08 SY 2008-09 SY 2009-10 9
  • 10.
    CHAPTER 302A, HRS Act 238 (SLH 2000) and Act 51 (SLH 2004) •Act 238 set the foundation for educational accountability •Act 51 allows school decision making to target resources based on student characteristics (Weighted Student Formula) 10
  • 11.
    Budget Reductions: Impacts onDOE Operations • Reduction in Force (RIF) • Furloughs • Program eliminations and reductions • Reorganizations 11
  • 12.
    Actions to IncreaseRevenues: • Increased Afterschool Plus (A+) parent fees • Increased school lunch price for adults • Added new fees at Community Schools for Adults • Proposed increase in bus fares • Proposed increase in school lunch price for students 12
  • 13.
    Actions to ReduceExpenditures: • Reduced school bus service • Consolidated school bus routes • Increased qualifying distance for school bus service • Consolidating two Community Schools for Adults to one (McKinley CSA and Farrington CSA) • Conducted school consolidation studies • Continued a limited hiring freeze for non-school level vacancies • Renegotiated vendor contracts and a lease • Established mandatory DOE price list for PCs • Standardized telecommunication services 13
  • 14.
    Examples of Impactof Economic Conditions since 2008: •81.5 resource teacher positions deleted from Office of Curriculum, Instruction, and Student Support and Office of Human Resources •210 general fund FTEs deleted from state offices (-25%) •99 general fund FTEs deleted from centralized services (-5%) •14 general fund FTEs deleted from complex areas (-4%) •371 general fund FTEs deleted from schools (-2%) •More online training and videoconference meetings •Continued reduction in state-directed professional development 14
  • 15.
    Furloughs and SchoolDays School year 2009-10: 17 days for 10-month employees 18 days for 12-month employees School year 2010-11: Act 143/10 paid for restoration of 11 days 6 non-student furlough days for 10-month employees 13 furlough days for 12-month employees School year 2011-12: Contract negotiations for FY 12, FY 13 ongoing 15
  • 16.
    American Recovery andReinvestment Act (ARRA) Stimulus Funds Funding ending 9/30/11 • ARRA-Title I and ARRA-IDEA • Using ARRA Title I funds for Extended Learning Opportunities • Using ARRA-IDEA funds for special education services and Response to Intervention • State Fiscal Stabilization Funds (SFSF) • Using SFSF Part A allocation from Governor to offset general fund teacher salaries • Approximately 1,885 teacher FTEs “saved” (using USDE calculation methodology) • Allocation of SFSF Part B funds to DOE for 18 projects by Governor Lingle 16
  • 17.
  • 18.
    “I believe enormousopportunities for improving the productivity of our education system lie ahead if we are smart, innovative, and courageous in rethinking the status quo.” Arne Duncan, Secretary of U.S. Department of Education November 17, 2010 18
  • 19.
    Race to theTop (RTTT) • RTTT grants are aimed at rewarding states that have “ambitious yet achievable” plans for implementing compelling and comprehensive education reform • Hawaii will receive $74.9 million, the maximum for a state its size, over a four-year period “The money is meant to start reforms, to leverage reforms. This is not to replace our general fund budget reductions.” Kathryn S. Matayoshi, Superintendent 19
  • 20.
    The U.S. Departmentof Education’s Race to the Top 4 Core Reforms + 1 Turn Around from DOE Lowest-Performing Schools Great Teachers and Leaders Alignment and performance Data Systems monitoring of organizational functions to Standards and support Assessments reform outcomes 20 20
  • 21.
    Standards and Assessments 2011‐2015 Objective 2010‐2011 Outcome 2010‐2011 Activities Adopt Common Core  BOE adopted Common  Align Hawaii standards  state standards in  Core Standards and benchmarks with  literacy and mathematics college and career  •Internationally  Crosswalked HCPS III  readiness Benchmarked with Common Core  •In partnership and  Standards Provide professional  development with 47  development and  other states, the District SMARTER Balanced  instructional materials  of Columbia, and two  Assessment  to teachers territories Consortium participant  and joint‐state grant  Collaborate with  applicant Adopt statewide            assessment  common curriculum and  consortium to develop  assessments new assessments 21
  • 22.
    Data Systems 2011‐2015 Objective 2010‐2011 Outcome 2010‐2011 Activities Put real‐time student  Data Governance Implement Data for  data in the hands of  Research agenda School Improvement  people who need it most Formative benchmark‐ project •Teachers and Principals based assessments to  HSA On‐line multiple  •Educational Leaders monitor progress of all  opportunities for  •Parents students students and data for  •Community members  Web‐based secure user  teachers and partners interface with data  •Policy makers Introduce school  warehouse dashboard   22
  • 23.
    Great Teachers and Leaders 2011‐2015 Objective 2010‐2011 Outcome 2010‐2011 Activities Annual performance‐ Negotiated evaluation tools  Align teacher training  based evaluation of  and incentives and professional  effectiveness for  development systems  teachers and principals, Highly qualified and effective  with rigorous  including teachers and leaders at  curriculum student/school learning  schools. Outline and develop  growth as significant  new alternative routes  factor in evaluation  Performance pay for  principals and teachers to principal and teacher  criteria certification  Employment, retention,  Outline and institute  assignment, and  essential components  compensation all tied to  of standardized  effectiveness induction and  mentoring program  Utilize PD development  framework  23
  • 24.
    Turn Around  Lowest‐Performing Schools 2011‐2015 Objective 2010‐2011 Outcome 2010‐2011 Activities Identify 5% of lowest  All secondary schools  Provide all students  performing schools in “planning for  with rigorous, interest‐ restructuring” include  focused, CCR course  Provide additional  in their plans required  options (e.g.,  actions to become CCR resources strategically  Signature School) targeted to ensure  Expansion of dual  dramatic student  credit courses Enter into  achievement gains partnerships with  Enhanced and  expanded AYP  community partners  Consider all options to  response team analysis  and organizations improve student  to include CCR outcomes Deploy OHR “Pods”  •Including change of  a.k.a.  Regional Service  personnel Centers •School closure 24
  • 25.
    Realign DOE Organization 2011‐2015 Objective 2010‐2011 Outcome 2010‐2011 Activities Reduce paperwork and  Reorganization of: Create and staff Office  operational  of School Reform inefficiencies •Office of Human  Ensure teachers have  Resources Generate Balanced  more time to teach and  •Office of Information  Score Card to monitor  principals have more  Technology Services system performance  time to lead •Office of Curriculum,  of key education  Instruction and  reform activities Align department  Student Support resources to actively  •Office of  Provide program  support classroom  Superintendent management support  teacher to become  for key  initiatives highly effective to support attainment  Automate! of strategic goals. 25
  • 26.
    Race to theTop (RTTT) The four-year, $74.9 million grant will help kick-start reforms across Hawaii’s public school system. Here is how it will be spent: $33.2 Cultivate, reward, and leverage effective teaching and school leadership by million instituting performance-based contracts for teachers and principals tied, in part, to student performance growth. Funds will also go to professional development, bonuses for highly effective teachers, and other initiatives. $18.7 Turn around the lowest-performing schools by targeting programs in “zones of school million innovation,” expanding pre-kindergarten opportunities, and extending classroom time. $9.3 million Boost student achievement and classroom rigor by implementing the national common core standards curriculum, aimed at standardizing what students across the country learn. $7.2 million Improve student performance data collection and use, allowing teachers, parents, schools, and the DOE to quickly see when a student is struggling and track how a student performs from kindergarten through graduation (and through college). $6.5 million Reorganize to improve and streamline how the Department of Education monitors and supports reforms. 26
  • 27.
  • 28.
    DOE Budget Programs EDN Title Description 100 School Based Budgeting Classroom instruction; curriculum programs; at- risk programs. 150 Comprehensive Student Special education; school-based behavioral health; Support Services autism; other related services. 200 Instructional Support Support for curriculum, instruction and students; assessment; system accountability/monitoring; and complex areas. 300 State Administration Board of Education; Superintendent; communications; civil rights compliance; fiscal services; human resources; and information technology. 400 School Support School food services; utilities; facilities planning; construction; repairs and maintenance; student transportation. 500 School Community Services After-school Plus (A+) program; adult education. 28
  • 29.
    Modified Zero BasedBudgeting (for state level and centralized programs) • Goal: reallocate existing funds to cover recurring unbudgeted needs within B&F general fund ceiling • Identify items for additional budget request • “Modified” ZBB because: • Not required to justify positions; budgeted positions remained constant, no new positions allowed • Provided base amount of non-salary funds for programs with positions • Additional funds could be requested above the base amount, along with justification 29
  • 30.
    B&F Instructions forFY 12 & 13 • Restore $86.4M general fund furlough savings • Restore $43.0M non-recurring WSF reduction • Total general fund restorations = $129.4M • Adjusted DOE general fund ceiling = $1,382.8M • Departments could: Request tradeoffs/transfers, but no significant increases in expenditures • List program increases for consideration by the new administration 30
  • 31.
    General Funds ($in Millions) FY11 FY12 Executive EDN Act 180/10 Budget* Variance 100 $705.2 $791.4 $86.2 150 306.6 322.2 15.6 200 22.0 46.2 24.2 300 42.9 43.7 0.8 400 171.8 174.2 2.4 500 4.9 5.1 0.2 Total $1,253.4 $1,382.8 $129.4 *FY13 Executive General Fund Budget is the same as FY 12 31
  • 32.
    General Fund BudgetFY 2011-12 $74,269,699 5% $990,970,580 72% $298,731,345 22% Central Services Total Complex Area Total $18,847,845 School Total 1% State Offices Total 32
  • 33.
    General Fund FTEsFY 2011-12 21,159.28 FTEs 614.5 3% 1,752.5 8% 18,485.775 306.5 87% 2% Central Services Total Complex Area Total School Total State Offices Total 33
  • 34.
    DOE Centralized Services •Electricity bills and other utilities • Network infrastructure support/development • School food services • Student transportation • Diagnostic services for SPED services qualification • Personnel hiring, recruitment, and recordkeeping • Workers’ Compensation • Unemployment benefits administration • Financial accounting and reporting • IT development, implementation, operations • Litigation support • Autism, school based behavioral health • Special education provision and recordkeeping 34
  • 35.
    DOE Statewide Responsibilities •Strategic Planning • Student Achievement Standards Development • Budget Preparation and Execution • Teacher Certification (Hawaii Teacher Standards Board) • Hawaii State Assessments • Policy Development • Internal Audit • Compliance with US DOE and State Regulations • Federal Reporting Requirements • Inter-governmental Relationship Management 35
  • 36.
    History of BudgetReductions Starting FY 2008-09 Annual Amount Description ($10.3 M) 2008 Legislative reduction in Act 158/08, beginning FY 2008-09 (5.7 M) “Non-recurring costs” reduced by Department of Budget and Finance (B&F) in Fiscal Biennium 2009-11 budget, including -9.00 FTEs (40.0 M) Reductions approved by Board of Education October 9, 2008, including -239.5 FTEs (43.0 M) 2009 Legislative reduction to EDN 100 in Act 162/09; a proviso in section 163 states it shall be restored in Fiscal Biennium 2011-13 (0.3 M) 2009 Legislative reduction to programs in EDN 150 and 400 (127.7 M) Executive and BOE approved reduction FY 2010-11 (15.0 M) Executive reduction FY 2010-11 (2.1 M) Act 180/10: A+ subsidy deleted; $22M was reduced from categorical, state, and complex area programs and added to WSF ($244.1 M) Cumulative impact thru FY 2010-11 129.4 M Annual restorations in Fiscal Biennium 2011-13 Executive Budget ($114.7 M) TOTAL: Cumulative annual impact on general funds FY12, FY 13 36
  • 37.
    Total Department ofEducation Budget ($ in Millions) All Means of FY11 FY12 Executive Financing Act 180/10 Budget Variance General $1,253.4 $1,382.8 $129.4 Federal (ceiling) 252.0 263.6 11.6 Special (ceiling) 42.0 46.3 4.3 Trust (ceiling) 13.7 33.0 19.3 Interdept Transfer 14.2 10.6 (3.6) Revolving (ceiling) 22.8 30.4 7.6 Federal Stimulus* 53.8 47.9 (5.9) TOTAL $1,651.9 $1,814.6 $162.7 *Federal Stimulus: FY11 = ARRA SFSF Part A FY 12 = Education Jobs and Race to the Top 37
  • 38.
    Additional General FundItems for Consideration Description (in alphabetical order) Annual Amount Athletics – restoration of prior cuts $1.5 M Families for R.E.A.L. program $1.0 M Lease payments for new Enterprise Resource $5.0 M Planning project (fiscal systems) Skilled nursing services – contract for services $2.1 M previously provided by DOH Student Transportation shortfall $19.6 M TOTAL $29.2 M 38
  • 39.
    Act 167/10 Instructional Time SY 11-12 SY 13-14 SY 15-16 SY 12-13 SY 14-15 (potential) Minimum days per year 180 180 190 Minimum hours per year-elementary 915 1,080 1,140 Minimum hours per year-secondary 990 1,080 1,140 Requires collective bargaining 39
  • 40.
  • 41.
    Capital Improvement Program(CIP) Decision Matrix determines the priorities Health and Safety Classroom Capacity Program Needs Support Facility Projects State / Complex Area Improvements 41
  • 42.
    Capital Improvement Program Periodic Ongoing repair New facilities Rehabilitation Infrastructure and at existing New Schools maintenance of older Upgrades schools facilities 42
  • 43.
    CIP Request ($in Millions) BOE request: FY 2011-12 FY 2012-13 Lump sums $191.2 $159.7 Additional funds 19.0 New schools 51.3 116.0 Other improvements 93.3 35.0 Total $354.8 $310.7 Executive budget Lump sums $45.0 $45.0 43
  • 44.
    Ongoing Repair, Maintenance, and Minor Improvements • “Best practice” is to provide between 2% and 4% of the replacement cost of a facility for its annual maintenance • The replacement cost of DOE facilities is about $5 billion. Using the middle of the range – 3% – results in an annual cost of $150 million 44
  • 45.
    Major Repair &Maintenance Backlog ($ in Millions) 800 700 $700 $710 $660 600 $620 500 $525 $475 400 $421 $340 $380 $349 $392 300 200 100 0 Sep-04 Sep-05 Sep-06 Sep-07 Sep-08 Sep-09 Sep-10 Aug-01 Apr-04 Mar-02 Dec-03 45
  • 46.
    Need for NewSchools – 6 Year Plan • Growth areas need more schools: • Central Oahu: Schofield (elementary), Royal Kunia (elementary), Koa Ridge (elementary, middle, high) • Leeward Oahu: Ewa-Kapolei (elementary, middle, high) • Maui: West Maui, (elementary) Central Maui (middle), Kihei (high) • Hawaii: South Kohala, North Kona (both elementary) • Six-year need is $1.1 billion 46
  • 47.
    Air Conditioning Expectations •Hawaii residents in the 21st century expect air conditioning in their offices, cars, and (in some areas) homes • This expectation extends to most schools • The cost ranges from $3 to $10 million per school • For 229 (89%) schools not yet air conditioned, the cost is about $1.5 billion 47
  • 48.
    Energy Initiatives • First‘energy neutral’ portable classroom at Ewa Elementary to be completed spring 2011 • Contract awarded for power purchase agreement for solar power with re-roof at four Oahu high schools • Study underway for solar power for Kauai schools • Sustainability audit for Keoneula Elementary School completed summer 2010 (with UH) • “Share the savings” program with schools continues to reduce electricity consumption • Ewa Makai Middle School opens this month with LEED silver designation expected 48
  • 49.
    Electricity Consumption andCost KWH COST 155,000,000 $45,000,000 150,000,000 $40,000,000 $35,000,000 145,000,000 $30,000,000 140,000,000 $25,000,000 135,000,000 $20,000,000 KWH $15,000,000 130,000,000 COST ($) $10,000,000 125,000,000 $5,000,000 120,000,000 $0 49
  • 50.
    Re-engineering Facilities • Awardedfirst design-build project (new classroom building on Lanai) • Included re-roofing in Oahu photovoltaic system installation project • Extended roof life through roof maintenance contracts • Used electronic procurement to streamline process 50
  • 51.
    Consolidation of Schools •Presents opportunities for a) saving about $500,000 per school, and b) improving educational opportunities for students • Public wants small schools closed, but not my small school • School closure falls under BOE authority 51
  • 52.
    Criteria for SchoolConsolidation Study 1/3 of School Square Footage in Disrepair/ Replacement Good Condition School Academic Program Requirements 1/3 Excess Excess Classroom Space Impact on educational opportunity due to enrollment decline, staff reductions 52
  • 53.
    School Consolidation Studies • Completed • Aina Haina-Wailupe Valley (closed Wailupe Valley) • Keanae-Hana (closed Keanae) • North Kohala schools (no consolidation) • Waiahole-Kaaawa-Hauula (no consolidation) • Maunaloa-Kualapuu-Kaunakakai (no consolidation) • Waialua complex (no consolidation) • In process • Kalani complex elementary schools • Kaiser complex elementary schools • Farrington complex elementary schools • McKinley complex elementary schools • Roosevelt complex elementary schools • Kaimuki complex elementary schools 53
  • 54.
    “…the legacy ofthe factory model of schooling is that tens of billions of dollars are tied up in unproductive use of time and technology, in underused school buildings, in antiquated compensation systems, and in inefficient school finance systems.” Arne Duncan’s November 17, 2010 remarks 54
  • 55.
  • 56.
    Weighted $ Value Per Relative Characteristic Student* Weight Weighted Base per student $3,606.34 1.0000 Economically 360.63 0.1000 Student Disadvantaged Formula English Language Learner Non Proficient 1,167.32 0.3237 Limited Proficiency 583.66 0.1618 Fully Proficient 194.55 0.0539 Student  K-2 Class Size 540.95 0.1500 Characteristics Transient 180.32 0.0500 and “Weights”  Elementary 124.98 0.0347 for SY 2011‐12 Middle School 361.90 0.1004 *Rounded to the  High School 86.44 0.0240 nearest two decimal  Geographically Isolated $50K per school places Gifted & Talented 955.68 0.2650 Neighbor Island 14.43 0.0040 56
  • 57.
    DOE FY 2011-12Budget $1.8 Billion All Means of Finance Weighted Student Formula (WSF) $787.4 Million Federal Funds Special $150.0 Million Education (SPED) Other Programs $202.7 Million $112.7 Million Other SPED & Student Student Support Transportation Programs $52.3 Million $171.4 Million Food Services Other Centrally Facilities (Repairs Utilities $107.7 Million Expended & Maintenance) $48.3 Million $59.5 Million $122.6 Million 57
  • 58.
    Summary WSF Categorical, Expended by Principals SPED, for Students 69% Federal ≈ $7,294 per student (excludes fringe benefits) Centralized Expenses for Students 24% ≈ $2,557 per student Other Centralized Expenses for Schools 7% 93% of Budget ≈ $714 per student Expenditures per student are based on SY 2011-12 Projected Enrollment Count 58
  • 59.
    Where can Ifind the latest information on WSF? Detailed information is available on the Department’s website at: http://reach.k12.hi.us/empowerment/wsf/ 59
  • 60.
    DEPARTMENT OF EDUCATION  FISCAL BIENNIUM 2011‐2013 BUDGET  BUDGET BRIEFING  SENATE COMMITTEE ON WAYS AND MEANS  JANUARY 5, 2011    TABLE OF CONTENTS    Mission Statement ........................................................................................................    1 Economic Impact ..........................................................................................................    1 Alternatives Considered  ...............................................................................................    . 2 Table 1:      Department‐wide Budget Summary ............................................................    5 Table 2:      Priority List of Functions ..............................................................................    6 Table 3:      Resources by Program ID  ............................................................................    . 7 Table 4:      Current Year (FY11) Restrictions ................................................................ 10  Table 5:      Proposed Biennium Budget Reductions ..................................................... 11  Table 6:      Proposed Biennium Budget Additions ....................................................... 12  Table 7:      Operating Budget Requests to the New Administration ............................ 15  Table 8:      Non‐general funds (excluding Federal Funds) ............................................ 16  Table 9:      Emergency Appropriation Requests .......................................................... 18  Table 10:    Budget Decisions  ...................................................................................... 19  Table 11:    Vacancy Report (forthcoming) .................................................................. 24  Table 12:    Personnel Separations .............................................................................. 25  Table 13:    New Hires ................................................................................................. 83  Table 14:    Reduction in Force (RIF) Actions .............................................................. 144  Table 15:    RIF Related Grievances ............................................................................ 145  Table 16:    Expenditures Exceeding Federal Fund Ceiling .......................................... 146  Table 17:    Intradepartmental Transfers ................................................................... 147  Table 18:    Capital Improvement Program (CIP) Budget Summary ............................ 148  Table 19:    CIP Requests to the New Administration  ................................................ 149  . Table 20:    Changes to Organizational Chart ............................................................. 150  Organizational Chart 
  • 61.
    Department of Education  2011 Budget Briefing Testimony      Mission Statement    The Hawaii Department of Education, in partnership with the family and the community, is  committed to having all public school graduates achieve the General Learner Outcomes and  content and performance standards in order to realize their individual goals and aspirations.    All graduates will be fully prepared for post‐secondary education and/or careers and their role  as responsible citizens.    Economic Impact    Brief discussion of how the current economic and fiscal conditions are affecting your  department’s operations:    1. Furloughs have been implemented for all employees at all organizational levels.      a. For School Year (SY) 2009‐10, there were a total of 17 days that schools were  closed due to school level employees being on furlough.  Also, all 12‐month  employees had a total of 18 furlough days.    b. For SY 2010‐11, there are no furlough days taken on school instructional days.   However, 10‐month employees still have 6 furlough days (to be taken on non‐ instructional days), and 12‐month employees have 13 furlough days through  June 30, 2011.  Furlough calendars for SY 2010‐11 can be found at:  http://doe.k12.hi.us/news/furlough/calendars1011/index.htm    2. As a result of budget reductions, the Department eliminated funding for 405 FTEs and  implemented reduction‐in‐force (RIF) procedures.    3. Due to recent budget reductions, funds for for casual (hourly) hires, such as part‐time  temporary teachers, tutors, athletic coaches, classroom cleaners, and substitute  teachers have been reduced.    4. There have also been reductions in funds for supplies, textbooks, equipment, and other  operating expenses.    5. There continues to be a significant shortfall in contract costs for student transportation  services.  In order to mitigate some of the shortfall, the following measures have been  implemented:  Page 1   
  • 62.
    a. Increasing the fare for a one way ride from $0.35 to $0.75.    b. Increasing the qualifying distance for school bus service for students in grades 6‐ 12 from one mile to 1.5 miles from home.    c. Discontinuing services for high school students who reside along select Oahu  island school bus routes where City busing services are available.    d. Elimination and/or consolidation of routes.    6. The DOE is expected to pay for unfunded responsibilities previously paid by other  agencies:      a. The Department of Health will no longer provide the nursing staff who provide  services to DOE students, and as a result, the DOE has been forced to fund the  cost of these services.  For Fiscal Year (FY) 2011‐12, the estimated additional cost  to the DOE is $2,081,631.    b. The Department of Land and Natural Resources now requires the DOE to pay all  costs of land transactions when DOE acquires property, such as access roads to  schools.    7. Hiring freezes affect many complex area and state office positions; combined with the  reduced work time due to furloughs, there are delays in completing assignments.    8. There has been a reduction in state‐directed professional development.    9. Adjusting pay for furloughs using the Department’s manual system has increased the  workload for the Payroll Section.  Alternatives Considered  Generating additional revenue for the state:  As a result of the DOE receiving funds through the American Recovery and Reinvestment Act  (ARRA) State Fiscal Stabilization Fund (SFSF), Part A (Educational Services Fund) for FY 2009‐10  and FY 2010‐11, the state was able to reduce the general fund requirements for the DOE by $43  million each year, thus indirectly generating general fund revenues for the state.  Page 2   
  • 63.
    Bus fares for students have been increased to $0.75 one way to partially offset the increased  costs of the student transportation contracts.  This will not result in any increased revenue to  the state.  Shifting general funded operational costs to non‐general funds:  Since the Legislature eliminated the general fund subsidy for the A+ Program for FY 2010‐11,  the Board of Education approved a fee increase to $80 per month for the first child in order to  approach becoming self‐sufficient.  The price for adult school lunches has also been increased.  The price for student lunches  currently has not been increased.  The Adult Education Program has a new fee structure, and will charge fees for enrollment, a  one‐time fee for initial/intake assessment placement, and a fee for Competency‐Based High  School Mastery Tests.  Outsourcing activities performed by eliminated personnel:  The Department has not done this.  Consolidation or elimination of programs within your department:  School consolidations and closures continue to be studied.   Wailupe Valley Elementary and  Keanae Schools were recently closed.  The Department is currently in the process of conducting  consolidation studies for elementary schools in the Kalani, Kaiser, Farrington, McKinley,  Roosevelt, and Kaimuki complexes.  Also, Jefferson Orthopedic Unit, Challenger Center, Onizuka Memorial Space Museum,  Nanaikapono Community/School Museum, Keakealani Outdoor Educational Center, Kokee  Discovery Center, School Inspection, NCEE‐Based Reading Program, Literacy Training for IDEIA  and Section 504 Students, and Families for R.E.A.L. programs no longer have categorical general  funds.  Currently the Office of Human Resources and Office of Information and Technology Services are  in the process of reorganizing which may result in the consolidation of programs.  Their budgets  were already reduced in FY 2010‐11 in anticipation of efficiencies from reorganization.  Using the authority for budget flexibility granted to the Department in HRS §37‐74,  11  programs previously allocated for separate purposes were consolidated into an Indexed  Complex Area Allocation and allocated to Complex Area Superintendents (CASs) as a lump sum.   This has allowed the CASs to prioritize the use of the funds to meet the support needs of their  individual schools.  Page 3   
  • 64.
  • 65.
    Department of Education Table 1 Department‐wide Budget Summary Fiscal Year (FY) 2011  Act 180/10 Restriction Emergency  Total FY11 Appropriation Appropriation (a)  (b)  (c)  (d)  MOF $    1,253,433,452.00 $                         ‐ $                          ‐ $    1,253,433,452.00 A $          41,984,233.00 $                         ‐ $                          ‐ $          41,984,233.00 B $         251,952,082.00 $                         ‐ $                          ‐ $         251,952,082.00 N $          13,716,215.00 $                         ‐ $                          ‐ $          13,716,215.00 T $          14,265,874.00 $                         ‐ $                          ‐ $          14,265,874.00 U $          53,764,304.00 $                         ‐ $                          ‐ $          53,764,304.00 V $          22,805,313.00 $                         ‐ $                          ‐ $          22,805,313.00 W $                             ‐ $                         ‐ $                          ‐ $                             ‐ X $    1,651,921,473.00 $                         ‐ $                          ‐ $    1,651,921,473.00 Total Fiscal Year (FY) 2012  Act 180/10 Reductions Additions  Total FY12 Appropriation (a)  (b)  (c)  (d)  MOF $    1,253,433,452.00 $                         ‐ $    129,386,017.00 $    1,382,819,469.00 A $          41,984,233.00 $                         ‐ $        4,353,927.00 $          46,338,160.00 B $         251,952,082.00 $                         ‐ $      11,661,654.00 $         263,613,736.00 N $          13,716,215.00 $                         ‐ $      19,273,785.00 $          32,990,000.00 T $          14,265,874.00 $                         ‐ $       (3,715,874.00) $          10,550,000.00 U $          53,764,304.00 $    (53,764,304.00) $      47,882,617.00 $          47,882,617.00 V $          22,805,313.00 $                         ‐ $        7,601,750.00 $          30,407,063.00 W $                             ‐ $                         ‐ $                          ‐ $                             ‐ X $    1,651,921,473.00 $    (53,764,304.00) $    216,443,876.00 $    1,814,601,045.00 Total Fiscal Year (FY) 2013  Act 180/10 Reductions Additions  Total FY13 Appropriation (a)  (b)  (c)  (d)  MOF $    1,253,433,452.00 $                         ‐ $    129,386,017.00 $    1,382,819,469.00 A $          41,984,233.00 $                         ‐ $        5,814,644.00 $          47,798,877.00 B $         251,952,082.00 $                         ‐ $      12,821,352.00 $         264,773,434.00 N $          13,716,215.00 $                         ‐ $      19,273,785.00 $          32,990,000.00 T $          14,265,874.00 $                         ‐ $       (3,715,874.00) $          10,550,000.00 U $          53,764,304.00 $    (53,764,304.00) $      20,073,434.00 $          20,073,434.00 V $          22,805,313.00 $                         ‐ $        7,601,450.00 $          30,406,763.00 W $                             ‐ $                         ‐ $                          ‐ $                             ‐ X $    1,651,921,473.00 $    (53,764,304.00) $    191,254,808.00 $    1,789,411,977.00 Total Page 5 2011 Budget Briefing
  • 66.
    Department of Education Table 2 Priority List of Functions Pri # Description of Function* Activities Prog ID(s) Statutory Reference EDN 100 Achievement – ensure each student achieves  Classroom instruction EDN 150 proficiency on the Hawaii State Assessment as  Student evaluation and assessment HRS §302A 1 specified in the Hawaii Content and Performance  Curriculum support, performance standards EDN 200 (multiple sections) Standards.  Complex area administration  State administration EDN 300  School administration EDN 100  Comprehensive student support services including school-based behavioral health, special education and related EDN 150 Safety and well being – promote each student’s services, and services to student with autism spectrum HRS §302A 2 physical, emotional, and social well being in a secure disorder (multiple sections) and supportive learning environment.  Repair and maintenance of school facilities  Utility payments for school facilities EDN 400  Student transportation  School food services  Classroom instruction Civic Responsibility – guide each student’s growth  Student activities EDN 100 as an informed and concerned citizen who actively HRS §302A 3  Athletics contributes to the well being of others, society, and the (multiple sections)  Community Schools for Adults environment. EDN 500  Afterschool Plus (A+) program * From HRS §302A-1004 (4) Page 6 2011 Budget Briefing
  • 67.
    Department of Education Table 3 Resources by Program ID As budgeted in Act 180/10 (FY11) Governor's Submittal (FY12) Governor's Submittal (FY13) Prog ID/Org Program Title Pos (P) Pos (T) $$$ Pos (P) Pos (T) $$$ Pos (P) Pos (T) $$$ MOF EDN 100/AA WEIGHTED STUDENT FORMULA 12,036.10     563.00 $   661,828,143.00 12,289.10      540.80 $   746,946,307.00 12,289.10     540.80 $   746,946,307.00 A EDN 100/AB REGULAR INSTRUCTION              ‐            ‐ $     40,440,343.00              ‐             ‐ $     40,440,343.00              ‐            ‐ $      40,440,343.00 N EDN 100/BB VOC TECH EDUCATION          80.00            ‐ $        5,611,105.00          80.00             ‐ $        5,726,846.00          80.00            ‐ $        5,726,846.00 A EDN 100/BB VOC TECH EDUCATION              ‐            ‐ $        3,500,000.00              ‐             ‐ $        3,500,000.00              ‐            ‐ $        3,500,000.00 N EDN 100/BF ENVIRONMENTAL EDUC (CATEGOR)            3.50            ‐ $                         ‐              ‐             ‐ $                         ‐              ‐            ‐ $                         ‐ A EDN 100/BG SPACE EDUCATION            4.00          1.00 $                         ‐              ‐             ‐ $                         ‐              ‐            ‐ $                         ‐ A EDN 100/BH SUMM SCH & OTH NON HOUR SUPPOR              ‐            ‐ $        6,000,000.00              ‐             ‐ $        6,000,000.00              ‐            ‐ $        6,000,000.00 B EDN 100/BJ AT RISK PROGRAMS          73.50        17.00 $        4,752,201.00          73.50          22.00 $        5,264,973.00          73.50        22.00 $        5,264,973.00 A EDN 100/BL STUDENT ACTIVITIES              ‐            ‐ $             89,080.00              ‐             ‐ $           128,520.00              ‐            ‐ $           128,520.00 A EDN 100/BM ATHLETICS          75.00            ‐ $        8,679,955.00          75.00             ‐ $        9,334,913.00          75.00            ‐ $        9,334,913.00 A EDN 100/BO PEER EDUCATION PROGRAM              ‐        15.00 $           700,585.00              ‐          15.00 $           853,297.00              ‐        15.00 $           853,297.00 A EDN 100/BQ LEARNING CENTERS              ‐        14.50 $        1,458,568.00              ‐          14.50 $        1,553,804.00              ‐        14.50 $        1,553,804.00 A EDN 100/BR DRIVER EDUCATION              ‐            ‐ $        4,478,539.00              ‐             ‐ $        4,000,000.00              ‐            ‐ $        4,000,000.00 U EDN 100/BS JR RESERVE OFFICER TRNG CORP          10.00        44.00 $        1,927,095.00          10.00          44.00 $        1,884,387.00          10.00        44.00 $        1,884,387.00 A EDN 100/BV HAWAIIAN LANGUAGE IMMERSION PG            8.00        34.00 $        2,335,033.00            8.00         34.00 $        2,417,768.00            8.00        34.00 $        2,417,768.00 A EDN 100/BX OTHER INSTRUCTIONAL SERVICES          15.00          6.50 $           659,239.00          13.00             ‐ $        1,631,193.00          13.00            ‐ $        1,631,193.00 A EDN 100/BX OTHER INSTRUCTIONAL SERVICES              ‐            ‐ $             30,000.00              ‐             ‐ $             30,000.00              ‐            ‐ $             30,000.00 B EDN 100/CB SCHOOL ADMINISTN(CATEGORICAL)          69.50          5.00 $        3,809,082.00            3.00           5.00 $           506,132.00            3.00          5.00 $           506,132.00 A EDN 100/CB SCHOOL ADMINISTN(CATEGORICAL)              ‐            ‐ $           750,000.00              ‐             ‐ $           750,000.00              ‐            ‐ $           750,000.00 B EDN 100/CB SCHOOL ADMINISTN(CATEGORICAL)              ‐            ‐ $        3,389,438.00              ‐             ‐ $        3,389,438.00              ‐            ‐ $        3,389,438.00 W EDN 100/CJ HAWAIIAN STUDIES              ‐          3.00 $        2,612,921.00              ‐           3.00 $        2,667,785.00              ‐          3.00 $        2,667,785.00 A EDN 100/CN EMPLOYEE BENEFITS PROGRAM              ‐            ‐ $        9,700,467.00              ‐             ‐ $     11,056,798.00              ‐            ‐ $      11,056,798.00 A EDN 100/CN EMPLOYEE BENEFITS PROGRAM              ‐            ‐ $        2,000,000.00              ‐             ‐ $        3,500,000.00              ‐            ‐ $        3,500,000.00 N EDN 100/CQ HAW CONTENT/PERFORMANCE STANDS            1.00            ‐ $           860,792.00            1.00             ‐ $        1,107,491.00            1.00            ‐ $        1,107,491.00 A EDN 100/DB NO CHILD LEFT BEHIND              ‐            ‐ $   113,882,271.00              ‐             ‐ $   113,384,485.00              ‐            ‐ $   113,385,485.00 N EDN 100/DE COMPREHENSIVE SCH HEALTH PROG              ‐            ‐ $           300,000.00              ‐             ‐ $           259,984.00              ‐            ‐ $           259,984.00 N EDN 100/DH EDUCATION OF NATIVE HAWAIIANS              ‐            ‐ $           300,000.00              ‐             ‐ $           420,000.00              ‐            ‐ $           420,000.00 N EDN 100/DL OTHER DISCRETIONARY GRANTS              ‐            ‐ $        4,576,166.00              ‐             ‐ $        3,378,695.00              ‐            ‐ $        3,158,279.00 N EDN 100/DQ STUDENT SCHOLARSHIPS              ‐            ‐ $           210,000.00              ‐             ‐ $           230,000.00              ‐            ‐ $           235,000.00 N EDN 100/DR DEPARTMENT OF DEFENSE              ‐            ‐ $        2,500,000.00              ‐             ‐ $        2,500,000.00              ‐            ‐ $        2,500,000.00 N EDN 100/DS LEARN & SERVE AMERICA              ‐            ‐ $             63,656.00              ‐             ‐ $           969,519.00              ‐            ‐ $                         ‐ N EDN 100/DU FOREIGN LANGUAGES ASSISTANCE              ‐            ‐ $           206,607.00              ‐             ‐ $           400,000.00              ‐            ‐ $                         ‐ N EDN 100/EI HALE O'ULU(POS)              ‐            ‐ $           190,000.00              ‐             ‐ $           342,000.00              ‐            ‐ $           342,000.00 A EDN 100/RR RECONCILE EDN100 TO ACT180/10              ‐            ‐ $             42,241.00              ‐             ‐ $                         ‐              ‐            ‐ $                         ‐ A EDN 100/VV AMERICAN RECOV/REINVESTMT ACT              ‐            ‐ $     53,764,299.00              ‐             ‐ $     28,525,743.00              ‐            ‐ $                         ‐ V EDN 100/XA ALU LIKE, INC              ‐            ‐ $        1,050,000.00              ‐             ‐ $           230,000.00              ‐            ‐ $           230,000.00 T EDN 100/XB DONATIONS & GIFTS              ‐            ‐ $        1,500,000.00              ‐             ‐ $        8,060,000.00              ‐            ‐ $        8,060,000.00 T EDN 100/XC ATHLETICS(TRUST FUNDS)              ‐            ‐ $        1,500,000.00              ‐             ‐ $        2,700,000.00              ‐            ‐ $        2,700,000.00 T EDN 100/XE FOUNDATION & OTHER GRANTS              ‐            ‐ $        7,966,215.00              ‐             ‐ $     16,000,000.00              ‐            ‐ $      16,000,000.00 T EDN 100/XF OLELO‐EDUC PROG ON PUBLIC TV              ‐            ‐ $        1,200,000.00              ‐             ‐ $        1,200,000.00              ‐            ‐ $        1,200,000.00 T EDN 100/XH OFFICE OF HAWAIIAN AFFAIRS              ‐            ‐ $           500,000.00              ‐             ‐ $           800,000.00              ‐            ‐ $           800,000.00 T EDN 150/FA SPECIAL ED IN REGULAR SCHOOLS    4,186.00 1,229.00 $   185,981,086.00    4,130.00   1,023.87 $   202,690,471.00    4,130.00 1,023.87 $   202,690,471.00 A EDN 150/FA SPECIAL ED IN REGULAR SCHOOLS              ‐            ‐ $        4,998,245.00              ‐             ‐ $        4,998,245.00              ‐            ‐ $        4,998,245.00 N EDN 150/FB SPECIAL SCHOOLS          90.00          4.00 $        3,037,106.00          61.00           3.00 $        2,837,572.00          61.00          3.00 $        2,837,572.00 A EDN 150/FC EXTENDED SCHOOL YEAR              ‐            ‐ $        2,712,541.00              ‐             ‐ $        2,770,000.00              ‐            ‐ $        2,770,000.00 A Page 7 2011 Budget Briefing
  • 68.
    Department of Education Table 3 Resources by Program ID As budgeted in Act 180/10 (FY11) Governor's Submittal (FY12) Governor's Submittal (FY13) Prog ID/Org Program Title Pos (P) Pos (T) $$$ Pos (P) Pos (T) $$$ Pos (P) Pos (T) $$$ MOF EDN 150/FD OTHER SPECIAL EDUCATION SVCS            2.00            ‐ $        3,265,610.00            1.00             ‐ $        3,787,472.00            1.00            ‐ $        3,787,472.00 A EDN 150/IC CSSS RESOURCE TEACHERS          47.00            ‐ $        2,219,963.00              ‐             ‐ $                         ‐              ‐            ‐ $                         ‐ A EDN 150/ID PRIMARY PREVENTION/INTERVENTN            7.00            ‐ $           427,152.00              ‐             ‐ $                         ‐              ‐            ‐ $                         ‐ A EDN 150/II HOME/HOSPITAL INSTRUCTION              ‐            ‐ $        1,035,334.00              ‐             ‐ $                         ‐              ‐            ‐ $                         ‐ A EDN 150/NB SPECIAL EDUCATION F/T DISABLED            2.00        32.00 $     39,134,501.00            2.00         32.00 $     39,737,500.00            2.00        32.00 $      39,737,500.00 N EDN 150/ND PRESCHOOL FOR THE DISABLED              ‐          1.00 $           978,634.00              ‐           1.00 $           978,634.00              ‐          1.00 $           978,634.00 N EDN 150/RA SPECIAL OLYMPICS(POS)              ‐            ‐ $           110,231.00              ‐             ‐ $             99,208.00              ‐            ‐ $             99,208.00 A EDN 150/RR RECONCILE EDN150 TO ACT180/10              ‐            ‐ $          (162,770.00)              ‐             ‐ $                         ‐              ‐            ‐ $                         ‐ A EDN 150/SA EDUC ASSESSMT/PRESCPTV SVCS        481.50          7.00 $     26,736,057.00        476.50             ‐ $     30,927,910.00        476.50            ‐ $      30,927,910.00 A EDN 150/TA TRAINING & RETENTION              ‐            ‐ $           769,774.00              ‐             ‐ $        2,150,498.00              ‐            ‐ $        2,150,498.00 A EDN 150/TA TRAINING & RETENTION              ‐            ‐ $           100,000.00              ‐             ‐ $           100,000.00              ‐            ‐ $           100,000.00 B EDN 150/VA STUDENT SUPPORT SERVICES          31.50          5.00 $        2,413,316.00            8.50           3.00 $        1,399,774.00            8.50          3.00 $        1,399,774.00 A EDN 150/VC INTEGRATED SPECIAL ED DATABASE            2.00            ‐ $           193,366.00            2.00             ‐ $           682,752.00            2.00            ‐ $           682,752.00 A EDN 150/VV AMERICAN RECOV/REINVESTMT ACT              ‐            ‐ $                       1.00              ‐             ‐ $                         ‐              ‐            ‐ $                         ‐ V EDN 150/YC SCHOOL BASED BEHAVIORAL HEALTH        417.50     107.50 $     31,305,155.00        483.00           2.00 $     31,518,217.00        483.00          2.00 $      31,518,217.00 A EDN 150/YD TARGETED TECHNICAL ASSISTANCE              ‐          4.00 $           332,265.00            4.00             ‐ $           339,184.00            4.00            ‐ $           339,184.00 A EDN 150/YE TECHNICAL SUPPORT‐MAUI DIST            4.50          7.50 $           390,779.00          10.00           0.50 $           425,290.00          10.00          0.50 $           425,290.00 A EDN 150/YG SERVICES FOR CHILDREN W/AUTISM        117.00        25.00 $     40,135,675.00        126.00          16.00 $     42,527,441.00        126.00        16.00 $      42,527,441.00 A EDN 150/YK OTHER RELATED SERVICES        253.00        17.80 $        5,570,042.00              ‐             ‐ $             54,900.00              ‐            ‐ $             54,900.00 A EDN 150/YK OTHER RELATED SERVICES            4.00            ‐ $        2,106,297.00            4.00             ‐ $        3,500,000.00            4.00            ‐ $        3,500,000.00 W EDN 200/GB INSTRUCTIONAL DEVLPMT‐ADM SVCS            2.00            ‐ $           256,405.00            3.00             ‐ $           252,895.00            3.00            ‐ $           252,895.00 A EDN 200/GC CURRICULUM & INSTRUCTION BRANC          25.00          2.00 $        1,595,442.00          19.00           1.00 $        1,473,957.00          19.00          1.00 $        1,473,957.00 A EDN 200/GC CURRICULUM & INSTRUCTION BRANC              ‐          2.00 $           500,000.00              ‐             ‐ $                         ‐              ‐            ‐ $                         ‐ N EDN 200/GC CURRICULUM & INSTRUCTION BRANC              ‐            ‐ $           787,335.00              ‐             ‐ $           250,000.00              ‐            ‐ $           250,000.00 U EDN 200/GD SCH LEADERSHIP & IMPROVEMENT            6.00          1.00 $           810,093.00          25.00           1.00 $        5,212,791.00          25.00          1.00 $        5,212,791.00 A EDN 200/GG ADVANCED TECHNOLOGY RESEARCH            7.00            ‐ $           446,875.00            7.00             ‐ $        1,575,095.00            7.00            ‐ $        1,575,095.00 A EDN 200/GH TEACHER IMPROVEMENT SERVICES            6.00            ‐ $           723,085.00            5.00             ‐ $        2,698,325.00            5.00            ‐ $        2,698,325.00 A EDN 200/GH TEACHER IMPROVEMENT SERVICES            6.00            ‐ $        1,841,692.00            6.00             ‐ $        2,000,000.00            6.00            ‐ $        2,000,000.00 B EDN 200/GJ LEADERSHIP DEVELOPMENT          19.00        26.00 $        3,000,483.00          20.00          21.00 $        2,953,068.00          20.00        21.00 $        2,953,068.00 A EDN 200/GM TECHNOLOGY EDUCATION          14.00            ‐ $        1,311,850.00          13.00             ‐ $           962,849.00          13.00            ‐ $           962,849.00 A EDN 200/GN SCHOOL COMPLEX RESOURCE SVCS          95.50        29.00 $        6,991,964.00        296.00             ‐ $     18,422,555.00        296.00            ‐ $      18,422,555.00 A EDN 200/GP SYSTEMS ACCOUNTABILITY          21.00          2.00 $        6,316,877.00          20.00             ‐ $     11,954,811.00          20.00            ‐ $      11,954,811.00 A EDN 200/GP SYSTEMS ACCOUNTABILITY              ‐          1.00 $           132,516.00              ‐           1.00 $           187,000.00              ‐          1.00 $           187,000.00 N EDN 200/GQ HOMELESS CONCERNS            2.00            ‐ $           503,114.00            2.00             ‐ $           739,328.00            2.00            ‐ $           739,328.00 A EDN 200/GQ HOMELESS CONCERNS              ‐            ‐ $                         ‐              ‐           2.00 $           500,000.00              ‐          2.00 $           500,000.00 N EDN 200/RR RECONCILE EDN200 TO ACT180/10              ‐            ‐ $           474,265.00              ‐             ‐ $                         ‐              ‐            ‐ $                         ‐ A EDN 200/VV AMERICAN RECOV/REINVESTMT ACT              ‐            ‐ $                       1.00              ‐             ‐ $     19,356,874.00              ‐            ‐ $      20,073,434.00 V EDN 300/KC BOARD OF EDUCATION            8.00            ‐ $           530,934.00            8.00             ‐ $           541,395.00            8.00            ‐ $           541,395.00 A EDN 300/KD OFFICE OF THE SUPERINTENDENT          17.00          2.00 $        1,270,633.00          23.00           1.00 $        1,787,055.00          23.00          1.00 $        1,787,055.00 A EDN 300/KF FISCAL SERVICES          89.00            ‐ $        4,195,636.00          90.00             ‐ $        5,366,750.00          90.00            ‐ $        5,366,750.00 A EDN 300/KH CIVIL RIGHTS COMPLIANCE OFFICE            4.00            ‐ $           287,141.00            4.00             ‐ $           380,762.00            4.00            ‐ $           380,762.00 A EDN 300/KO PERSONNEL SERVICES        189.00          0.50 $     13,924,499.00        173.00             ‐ $     11,966,386.00        173.00            ‐ $      11,966,386.00 A EDN 300/LJ COMPLEX AREA ADMINISTRATION          53.00            ‐ $        3,966,939.00              ‐             ‐ $                         ‐              ‐            ‐ $                         ‐ A EDN 300/RR RECONCILE EDN300 TO ACT180/10              ‐            ‐ $          (406,227.00)              ‐             ‐ $                         ‐              ‐            ‐ $                         ‐ A EDN 300/UA INFO & TELECOMMUNICATION SVCS        149.00          5.00 $     18,748,407.00        152.00           2.00 $      23,631,637.00        152.00          2.00 $      23,631,637.00 A Page 8 2011 Budget Briefing
  • 69.
    Department of Education Table 3 Resources by Program ID As budgeted in Act 180/10 (FY11) Governor's Submittal (FY12) Governor's Submittal (FY13) Prog ID/Org Program Title Pos (P) Pos (T) $$$ Pos (P) Pos (T) $$$ Pos (P) Pos (T) $$$ MOF EDN 300/UA INFO & TELECOMMUNICATION SVCS              ‐            ‐ $             35,000.00              ‐             ‐ $             35,000.00              ‐            ‐ $             35,000.00 N EDN 300/VV AMERICAN RECOV/REINVESTMT ACT              ‐            ‐ $                       1.00              ‐             ‐ $                         ‐              ‐            ‐ $                         ‐ V EDN 400/MB FOOD SERVICE ADMINISTRATION            7.00            ‐ $           506,468.00            7.00             ‐ $           443,926.00            7.00            ‐ $           443,926.00 A EDN 400/MB FOOD SERVICE ADMINISTRATION              ‐        12.00 $           654,771.00              ‐          12.00 $        1,500,000.00              ‐        12.00 $        1,500,000.00 N EDN 400/MB FOOD SERVICE ADMINISTRATION            8.00            ‐ $           522,825.00            8.00             ‐ $           522,825.00            8.00            ‐ $           522,825.00 B EDN 400/MC OFFICE/HAW CHILD NUTRITION PRG              ‐          2.00 $           170,527.00              ‐           2.00 $           185,843.00              ‐          2.00 $           185,843.00 A EDN 400/MC OFFICE/HAW CHILD NUTRITION PRG              ‐            ‐ $        2,000,000.00              ‐             ‐ $        4,500,000.00              ‐            ‐ $        4,500,000.00 W EDN 400/MD FOOD SERVICES        315.00            ‐ $     29,641,245.00        315.00             ‐ $     23,728,629.00        315.00            ‐ $      23,728,629.00 A EDN 400/MD FOOD SERVICES            3.00     100.50 $     34,300,144.00            3.00      100.50 $     45,740,109.00            3.00     100.50 $      48,027,115.00 N EDN 400/MD FOOD SERVICES        718.50          6.00 $     26,739,716.00        718.50           6.00 $     31,104,335.00        718.50          6.00 $      32,565,052.00 B EDN 400/OB BUSINESS SERVICES ADMINISTRATN          18.00            ‐ $        1,244,811.00          18.00             ‐ $        1,189,710.00          18.00            ‐ $        1,189,710.00 A EDN 400/OC FACILITIES SERVICES        269.50            ‐ $     23,724,632.00        269.00           1.00 $     38,686,531.00        269.00          1.00 $      38,686,531.00 A EDN 400/OC FACILITIES SERVICES              ‐          2.00 $        5,022,625.00              ‐           2.00 $        5,022,625.00              ‐          2.00 $        5,022,325.00 W EDN 400/OD SCHOOL CUST CENTRALIZED SVCS          10.00            ‐ $           525,597.00          10.50             ‐ $           568,076.00          10.50            ‐ $           568,076.00 A EDN 400/OE UTILITIES              ‐            ‐ $     56,108,608.00              ‐             ‐ $     59,464,910.00              ‐            ‐ $      59,464,910.00 A EDN 400/OF SCHOOL INSPECTION              ‐          1.00 $                         ‐              ‐             ‐ $                         ‐              ‐            ‐ $                         ‐ A EDN 400/OG COMMUNITY USE/SCH FACILITIES              ‐            ‐ $        2,000,000.00              ‐             ‐ $        2,000,000.00              ‐            ‐ $        2,000,000.00 B EDN 400/OI R&M OF SCHOOL FACILITIES            0.50          1.00 $     10,338,808.00              ‐             ‐ $                         ‐              ‐            ‐ $                         ‐ A EDN 400/OI R&M OF SCHOOL FACILITIES              ‐            ‐ $           200,000.00              ‐             ‐ $           200,000.00              ‐            ‐ $           200,000.00 B EDN 400/OJ ENVIRONMENTAL SERVICES              ‐            ‐ $           296,644.00              ‐             ‐ $           647,200.00              ‐            ‐ $           647,200.00 A EDN 400/RR RECONCILE EDN400 TO ACT180/10              ‐            ‐ $              (4,386.00)              ‐             ‐ $                         ‐              ‐            ‐ $                         ‐ A EDN 400/VV AMERICAN RECOV/REINVESTMT ACT              ‐            ‐ $                       1.00              ‐             ‐ $                         ‐              ‐            ‐ $                         ‐ V EDN 400/YA STUDENT TRANSPORTATION          21.00            ‐ $     49,284,062.00          20.50             ‐ $     49,279,193.00          20.50            ‐ $      49,279,193.00 A EDN 400/YA STUDENT TRANSPORTATION            4.00            ‐ $        1,991,953.00            4.00             ‐ $        3,000,000.00            4.00            ‐ $        3,000,000.00 W EDN 500/PB STATE ADMIN SVCS‐ADULT ED            1.00          1.00 $             90,975.00            1.00             ‐ $           120,577.00            1.00            ‐ $           120,577.00 A EDN 500/PB STATE ADMIN SVCS‐ADULT ED              ‐          0.50 $           163,849.00              ‐           0.50 $           163,843.00              ‐          0.50 $           243,849.00 N EDN 500/PC ADULT COMMUNITY EDUCATION          34.50        19.50 $        4,770,980.00          42.00           6.00 $        4,952,312.00          42.00          6.00 $        4,952,312.00 A EDN 500/PC ADULT COMMUNITY EDUCATION              ‐          1.50 $        3,075,379.00              ‐           1.50 $           790,379.00              ‐          1.50 $        1,167,000.00 N EDN 500/PC ADULT COMMUNITY EDUCATION              ‐            ‐ $        3,800,000.00              ‐             ‐ $        3,631,000.00              ‐            ‐ $        3,631,000.00 B EDN 500/PC ADULT COMMUNITY EDUCATION              ‐            ‐ $                         ‐              ‐             ‐ $        4,000,000.00              ‐            ‐ $        4,000,000.00 T EDN 500/PC ADULT COMMUNITY EDUCATION              ‐            ‐ $           795,000.00              ‐             ‐ $           795,000.00              ‐            ‐ $           795,000.00 W EDN 500/RR RECONCILE EDN500 TO ACT180/10              ‐            ‐ $             56,877.00              ‐             ‐ $                         ‐              ‐            ‐ $                         ‐ A EDN 500/VV AMERICAN RECOV/REINVESTMT ACT              ‐            ‐ $                       1.00              ‐             ‐ $                         ‐              ‐            ‐ $                         ‐ V EDN 500/WA AFTER SCHOOL PLUS (A+) PROG              ‐            ‐ $        9,000,000.00              ‐             ‐ $        6,300,000.00              ‐            ‐ $        6,300,000.00 U EDN 500/WA AFTER SCHOOL PLUS (A+) PROG              ‐            ‐ $        7,500,000.00              ‐             ‐ $     10,200,000.00              ‐            ‐ $      10,200,000.00 W Page 9 2011 Budget Briefing
  • 70.
    Department of Education Table 4  Current Year (FY11) Restrictions Prog ID Restriction $$$ Impact MOF As of Dec. 28, 2010 no restriction has been imposed.   As of Dec. 28, 2010, the Department is placed on quarterly allocations, so of the fiscal year 2010‐11  appropriation, 87.5% for general funds and 75% for all other means of finance has been released to  the Department. Page 10 2011 Budget Briefing
  • 71.
    Department of Education Table 5  Proposed FY12 and FY13 Reductions Pos (P)  Pos (T)  Pos (P)  Pos (T)  Description of Reduction Impact of Reduction Prog ID FY12  FY12   $$$ FY12  FY13  FY13  $$$ FY13  MOF Carry‐over? (Y/N) Ceiling change to more accurately  reflect the needs of the program No major impact EDN 400/MB        ‐        ‐ $           (36,513.00)        ‐        ‐ $           (36,513.00) B N Ceiling change to more accurately  reflect the needs of the program No major impact EDN 500/PC        ‐        ‐ $         (169,000.00)        ‐        ‐ $         (169,000.00) B N Ceiling change to more accurately  reflect the needs of the program No major impact EDN 100/DB        ‐        ‐ $       (1,907,093.00)        ‐        ‐ $       (1,906,093.00) N N Ceiling change to more accurately  reflect the needs of the program No major impact EDN 100/DE        ‐        ‐ $           (40,016.00)        ‐        ‐ $           (40,016.00) N N Ceiling change to more accurately  reflect the needs of the program No major impact EDN 100/DL        ‐        ‐ $       (1,197,471.00)        ‐        ‐ $       (1,417,887.00) N N Ceiling change to more accurately  reflect the needs of the program No major impact EDN 100/DS        ‐        ‐ $                         ‐        ‐        ‐ $           (63,656.00) N N Ceiling change to more accurately  reflect the needs of the program No major impact EDN 100/DU        ‐        ‐ $                         ‐        ‐        ‐ $         (206,607.00) N N Ceiling change to more accurately  reflect the needs of the program No major impact EDN 150/NB        ‐        ‐ $         (532,387.00)        ‐        ‐ $         (532,387.00) N N Ceiling change to more accurately  reflect the needs of the program No major impact EDN 500/PB        ‐        ‐ $               (6,182.00)        ‐        ‐ $              73,824.00 N N Ceiling change to more accurately  reflect the needs of the program No major impact EDN 500/PC        ‐        ‐ $       (2,299,603.00)        ‐        ‐ $       (1,922,982.00) N N Ceiling change to more accurately  reflect the needs of the program No major impact EDN 100/XA        ‐        ‐ $         (820,000.00)        ‐        ‐ $         (820,000.00) T N Ceiling change to more accurately  reflect the needs of the program No major impact EDN 100/BR        ‐        ‐ $         (485,585.00)        ‐        ‐ $         (485,585.00) U N Ceiling change to more accurately  reflect the needs of the program No major impact EDN 200/GC        ‐        ‐ $         (550,000.00)        ‐        ‐ $         (550,000.00) U N Ceiling change to more accurately  reflect the needs of the program No major impact EDN 500/WA        ‐        ‐ $       (2,700,000.00)        ‐        ‐ $       (2,700,000.00) U N Ceiling change to more accurately  reflect the needs of the program No major impact EDN 100/CB        ‐        ‐ $               (3,023.00)        ‐        ‐ $               (3,023.00) W N Ceiling change to more accurately  reflect the needs of the program No major impact EDN 400/OC        ‐        ‐ $                         ‐        ‐        ‐ $                 (300.00) W N Elimination of non‐recurring  expenditure ceiling No major impact EDN 100/VV        ‐        ‐ $   (53,764,299.00)        ‐        ‐ $   (53,764,299.00) V N Elimination of non‐recurring  expenditure ceiling No major impact EDN 150/VV        ‐        ‐ $                     (1.00)        ‐        ‐ $                     (1.00) V N Elimination of non‐recurring  expenditure ceiling No major impact EDN 200/VV        ‐        ‐ $                     (1.00)        ‐        ‐ $                     (1.00) V N Elimination of non‐recurring  expenditure ceiling No major impact EDN 300/VV        ‐        ‐ $                     (1.00)        ‐        ‐ $                     (1.00) V N Elimination of non‐recurring  expenditure ceiling No major impact EDN 400/VV        ‐        ‐ $                     (1.00)        ‐        ‐ $                     (1.00) V N Elimination of non‐recurring  expenditure ceiling No major impact EDN 500/VV       ‐       ‐ $                     (1.00)       ‐       ‐ $                     (1.00) V N Page 11 2011 Budget Briefing
  • 72.
    Department of Education Table 6 Proposed FY12 and FY13 Additions Type  Pos (P)   Pos (T)   Pos (P)   Pos (T)  (FE / HS/ O) Description of Addition Prog ID FY12  FY12  $$$ FY12  FY13  FY13  $$$ FY13  MOF O Restoration of furlough reduction EDN 100/AA       ‐       ‐ $   52,489,126.00       ‐       ‐ $   52,489,126.00 A Restoration of Legislative reduction related to  O ARRA EDN 100/AA        ‐        ‐ $   43,000,000.00        ‐        ‐ $   43,000,000.00 A O Restoration of furlough reduction EDN 100/BB       ‐       ‐ $        413,543.00       ‐       ‐ $        413,543.00 A O Restoration of furlough reduction EDN 100/BF       ‐       ‐ $           13,190.00       ‐       ‐ $           13,190.00 A O Restoration of furlough reduction EDN 100/BG       ‐       ‐ $           21,519.00       ‐       ‐ $           21,519.00 A O Restoration of furlough reduction EDN 100/BJ       ‐       ‐ $        369,695.00       ‐       ‐ $        369,695.00 A O Restoration of furlough reduction EDN 100/BM       ‐       ‐ $        296,792.00       ‐       ‐ $        296,792.00 A O Restoration of furlough reduction EDN 100/BO       ‐       ‐ $           74,857.00       ‐       ‐ $           74,857.00 A O Restoration of furlough reduction EDN 100/BQ       ‐       ‐ $           64,230.00       ‐       ‐ $           64,230.00 A O Restoration of furlough reduction EDN 100/BR       ‐       ‐ $             7,046.00       ‐       ‐ $             7,046.00 U O Restoration of furlough reduction EDN 100/BV       ‐       ‐ $        139,940.00       ‐       ‐ $        139,940.00 A O Restoration of furlough reduction EDN 100/BX       ‐       ‐ $           92,369.00       ‐       ‐ $           92,369.00 A O Restoration of furlough reduction EDN 100/CB       ‐       ‐ $        338,941.00       ‐       ‐ $        338,941.00 A O Restoration of furlough reduction EDN 100/CB       ‐       ‐ $             3,023.00       ‐       ‐ $             3,023.00 W O Restoration of furlough reduction EDN 100/CJ       ‐       ‐ $           15,876.00       ‐       ‐ $           15,876.00 A Ceiling change to more accurately reflect the  O needs of the program EDN 100/CN        ‐        ‐ $     1,500,000.00        ‐        ‐ $     1,500,000.00 N O Restoration of furlough reduction EDN 100/DB       ‐       ‐ $     1,409,307.00       ‐       ‐ $     1,409,307.00 N Ceiling change to more accurately reflect the  O needs of the program EDN 100/DH        ‐        ‐ $          120,000.00        ‐        ‐ $          120,000.00 N Ceiling change to more accurately reflect the  O needs of the program EDN 100/DQ        ‐        ‐ $           20,000.00        ‐        ‐ $           25,000.00 N Ceiling change to more accurately reflect the  O needs of the program EDN 100/DS        ‐        ‐ $          905,863.00        ‐        ‐ $                         ‐ N Ceiling change to more accurately reflect the  O needs of the program EDN 100/DU        ‐        ‐ $          193,393.00        ‐        ‐ $                         ‐ N Ceiling change to more accurately reflect the  O needs of the program EDN 100/VV        ‐        ‐ $   28,525,743.00        ‐        ‐ $                         ‐ V Ceiling change to more accurately reflect the  O needs of the program EDN 100/XB        ‐        ‐ $     6,560,000.00        ‐        ‐ $     6,560,000.00 T Ceiling change to more accurately reflect the  O needs of the program EDN 100/XC        ‐        ‐ $     1,200,000.00        ‐        ‐ $     1,200,000.00 T Ceiling change to more accurately reflect the  O needs of the program EDN 100/XE       ‐       ‐ $     8,012,300.00       ‐       ‐ $     8,012,300.00 T Page 12 2011 Budget Briefing
  • 73.
    Department of Education Table 6 Proposed FY12 and FY13 Additions Type  Pos (P)   Pos (T)   Pos (P)   Pos (T)  (FE / HS/ O) Description of Addition Prog ID FY12  FY12  $$$ FY12  FY13  FY13  $$$ FY13  MOF O Restoration of furlough reduction EDN 100/XE       ‐       ‐ $           21,485.00       ‐       ‐ $           21,485.00 T Ceiling change to more accurately reflect the  O needs of the program EDN 100/XH        ‐        ‐ $          300,000.00        ‐        ‐ $          300,000.00 T O Restoration of furlough reduction EDN 150/FA       ‐       ‐ $   17,501,517.00       ‐       ‐ $   17,501,517.00 A O Restoration of furlough reduction EDN 150/FB       ‐       ‐ $        299,613.00       ‐       ‐ $        299,613.00 A O Restoration of furlough reduction EDN 150/FD       ‐       ‐ $           12,287.00       ‐       ‐ $           12,287.00 A O Restoration of furlough reduction EDN 150/IC       ‐       ‐ $        175,797.00       ‐       ‐ $        175,797.00 A O Restoration of furlough reduction EDN 150/ID       ‐       ‐ $           45,580.00       ‐       ‐ $           45,580.00 A O Restoration of furlough reduction EDN 150/NB       ‐       ‐ $     1,135,386.00       ‐       ‐ $     1,135,386.00 N O Restoration of furlough reduction EDN 150/SA       ‐       ‐ $     2,010,228.00       ‐       ‐ $     2,010,228.00 A O Restoration of furlough reduction EDN 150/VA       ‐       ‐ $        359,696.00       ‐       ‐ $        359,696.00 A O Restoration of furlough reduction EDN 150/VC       ‐       ‐ $             8,264.00       ‐       ‐ $             8,264.00 A O Restoration of furlough reduction EDN 150/YC       ‐       ‐ $     2,072,506.00       ‐       ‐ $     2,072,506.00 A O Restoration of furlough reduction EDN 150/YD       ‐       ‐ $           16,352.00       ‐       ‐ $           16,352.00 A O Restoration of furlough reduction EDN 150/YE       ‐       ‐ $           46,306.00       ‐       ‐ $           46,306.00 A O Restoration of furlough reduction EDN 150/YG       ‐       ‐ $        327,127.00       ‐       ‐ $        327,127.00 A O Restoration of furlough reduction EDN 150/YK       ‐       ‐ $        610,825.00       ‐       ‐ $        610,825.00 A Ceiling change to more accurately reflect the  O needs of the program EDN 150/YK        ‐        ‐ $     1,393,703.00 $     1,393,703.00 W O Restoration of furlough reduction EDN 200/GC       ‐       ‐ $           12,665.00       ‐       ‐ $           12,665.00 U O Restoration of furlough reduction EDN 200/GH       ‐       ‐ $     1,476,655.00       ‐       ‐ $     1,476,655.00 A Ceiling change to more accurately reflect the  O needs of the program EDN 200/GH        ‐        ‐ $          135,389.00        ‐        ‐ $          135,389.00 B O Restoration of furlough reduction EDN 200/GH       ‐       ‐ $           22,919.00       ‐       ‐ $           22,919.00 B O Restoration of furlough reduction EDN 200/GJ       ‐       ‐ $        163,082.00       ‐       ‐ $        163,082.00 A Ceiling change to more accurately reflect the  O needs of the program EDN 200/GP        ‐        ‐ $           26,000.00        ‐        ‐ $           26,000.00 N O Restoration of furlough reduction EDN 200/GP       ‐       ‐ $           28,484.00       ‐       ‐ $           28,484.00 N Ceiling change to more accurately reflect the  O needs of the program EDN 200/VV        ‐        ‐ $   19,356,874.00        ‐        ‐ $   20,073,434.00 V O Restoration of furlough reduction EDN 300/KC       ‐       ‐ $           28,501.00       ‐       ‐ $           28,501.00 A O Restoration of furlough reduction EDN 300/KD       ‐       ‐ $        104,809.00       ‐       ‐ $        104,809.00 A O Restoration of furlough reduction EDN 300/KF       ‐       ‐ $        416,141.00       ‐       ‐ $        416,141.00 A O Restoration of furlough reduction EDN 300/KH       ‐       ‐ $           49,942.00       ‐       ‐ $           49,942.00 A O Restoration of furlough reduction EDN 300/KO       ‐       ‐ $     1,026,924.00       ‐       ‐ $     1,026,924.00 A Page 13 2011 Budget Briefing
  • 74.
    Department of Education Table 6 Proposed FY12 and FY13 Additions Type  Pos (P)   Pos (T)   Pos (P)   Pos (T)  (FE / HS/ O) Description of Addition Prog ID FY12  FY12  $$$ FY12  FY13  FY13  $$$ FY13  MOF O Restoration of furlough reduction EDN 300/LJ       ‐       ‐ $        171,626.00       ‐       ‐ $        171,626.00 A O Restoration of furlough reduction EDN 300/UA       ‐       ‐ $        735,912.00       ‐       ‐ $        735,912.00 A O Restoration of furlough reduction EDN 400/MB       ‐       ‐ $           39,048.00       ‐       ‐ $           39,048.00 A O Restoration of furlough reduction EDN 400/MB       ‐       ‐ $           36,513.00       ‐       ‐ $           36,513.00 B Ceiling change to more accurately reflect the  O needs of the program EDN 400/MB        ‐        ‐ $          800,000.00        ‐        ‐ $          800,000.00 N O Restoration of furlough reduction EDN 400/MB       ‐       ‐ $           45,229.00       ‐       ‐ $           45,229.00 N Ceiling change to more accurately reflect the  O needs of the program EDN 400/MC        ‐        ‐ $     2,500,000.00        ‐        ‐ $     2,500,000.00 W O Restoration of furlough reduction EDN 400/MD       ‐       ‐ $     2,865,011.00       ‐       ‐ $     2,865,011.00 A Ceiling change to more accurately reflect the  O needs of the program EDN 400/MD        ‐        ‐ $     4,353,333.00        ‐        ‐ $     5,814,050.00 B O Restoration of furlough reduction EDN 400/MD       ‐       ‐ $           11,286.00       ‐       ‐ $           11,286.00 B Ceiling change to more accurately reflect the  O needs of the program EDN 400/MD        ‐        ‐ $   10,928,588.00        ‐        ‐ $   13,215,594.00 N O Restoration of furlough reduction EDN 400/MD       ‐       ‐ $        511,377.00       ‐       ‐ $        511,377.00 N O Restoration of furlough reduction EDN 400/OB       ‐       ‐ $           69,439.00       ‐       ‐ $           69,439.00 A O Restoration of furlough reduction EDN 400/OC       ‐       ‐ $        963,598.00       ‐       ‐ $        963,598.00 A O Restoration of furlough reduction EDN 400/OD       ‐       ‐ $           27,605.00       ‐       ‐ $           27,605.00 A O Restoration of furlough reduction EDN 400/OF       ‐       ‐ $             9,010.00       ‐       ‐ $             9,010.00 A O Restoration of furlough reduction EDN 400/YA       ‐       ‐ $           58,427.00       ‐       ‐ $           58,427.00 A Ceiling change to more accurately reflect the  O needs of the program EDN 400/YA        ‐        ‐ $     1,000,000.00        ‐        ‐ $     1,000,000.00 W O Restoration of furlough reduction EDN 400/YA       ‐       ‐ $             8,047.00       ‐       ‐ $             8,047.00 W O Restoration of furlough reduction EDN 500/PB       ‐       ‐ $           16,861.00       ‐       ‐ $           16,861.00 A O Restoration of furlough reduction EDN 500/PB       ‐       ‐ $             6,176.00       ‐       ‐ $             6,176.00 N O Restoration of furlough reduction EDN 500/PC       ‐       ‐ $        334,420.00       ‐       ‐ $        334,420.00 A O Restoration of furlough reduction EDN 500/PC       ‐       ‐ $           14,603.00       ‐       ‐ $           14,603.00 N Ceiling change to more accurately reflect the  O needs of the program EDN 500/PC        ‐        ‐ $     4,000,000.00        ‐        ‐ $     4,000,000.00 T O Restoration of furlough reduction EDN 500/WA       ‐       ‐ $           12,830.00       ‐       ‐ $           12,830.00 A Ceiling change to more accurately reflect the  O needs of the program EDN 500/WA       ‐       ‐ $     2,700,000.00       ‐       ‐ $     2,700,000.00 W Page 14 2011 Budget Briefing
  • 75.
    Department of Education Table 7 Operating Budget Requests to the New Administration Pos (P)  Pos (T)  Pos (P)  Pos (T)  Description of Addition Prog ID FY12  FY12   $$$ FY12  FY13  FY13  $$$ FY13  MOF Additional funds for compensation for coaches  and Assistant Athletic Directors EDN 100/BM        ‐        ‐ $     1,136,565.00        ‐        ‐ $     1,136,565.00 A Additional funds for transportation costs and  supplies for the athletic program EDN 100/BM        ‐        ‐ $         396,208.00        ‐        ‐ $         396,208.00 A Additional temporary positions funds for Families  for R.E.A.L. EDN 100/BX        ‐     14.00 $     1,000,000.00        ‐     14.00 $     1,000,000.00 A Additional funds for contracted nursing services  for elegible students EDN 150/SA        ‐        ‐ $     2,081,691.00        ‐        ‐ $     2,081,691.00 A Additional funds for a new enterprise resource  planning (ERP) system EDN 300/KF        ‐        ‐ $     5,000,000.00        ‐        ‐ $     5,000,000.00 A Additional funds for student transportation  contract costs EDN 400/YA        ‐        ‐ $   19,582,270.00        ‐        ‐ $   19,582,270.00 A Ceiling change to more accurately reflect the  needs of the program EDN 100/CB        ‐        ‐ $         750,000.00        ‐        ‐ $         750,000.00 B Ceiling change to more accurately reflect the  needs of the program EDN 400/OG       ‐       ‐ $     2,800,000.00       ‐       ‐ $     2,800,000.00 B Page 15 2011 Budget Briefing
  • 76.
    Department of Education Table 8 Non‐general funds (excluding Federal Funds) Unencumbered Cash  Name of Fund Balance*  MOF Statutory Reference Adult Education Revolving Fund $                             356,131.00  W HRS §302A‐435 Adult Education Special Fund $                             678,382.00  B HRS §302A‐435 After‐School Plus Program Revolving Fund $                             888,288.00  W HRS §302A‐1149.5 Alu Like Projects $                                66,068.00  T HRS §302A‐1122 Arts in Public Places $                                76,693.00  U HRS §302A‐420 Athletic Trust Fund $                          1,255,230.00  T HRS §302A‐1122 Community Use of School Facilities $                          3,170,000.00  B HRS §302A‐1148 Donations and Gifts $                          7,157,920.00  T HRS §302A‐1122 HRS §431:10C‐115 and  Driver Education Fund $                          2,342,636.00  U §431:10G‐107 Education Design and Construction Project Assessment Fund $                             917,888.00  W HRS §302A‐1508 Education Research and Development Revolving Fund $                                  1,879.00  W HRS §302A‐305 Federal Grants Search, Development, and Application Revolving  Fund $                          2,878,198.00  W HRS §302A‐1405 Felix Response Team Title VI‐E $                                  4,156.00  B HRS §302A‐420 Food Distribution Program Revolving Fund $                                              ‐    W HRS §302A‐1315 Foundation and Other Grants $                        10,387,477.00  T HRS §302A‐1122 Hawaii School‐Level Minor R&M Special Fund $                                95,691.00  B HRS §302A‐1504.5 Hawaii Teachers Standards Board $                          2,440,695.00  B HRS §302A‐806 Human Resources Stipend Prog Spec Fund $                             175,313.00  B HRS §302A‐707 Office of Hawaiian Affairs $                             596,121.00  T HRS §302A‐1122 Office of Hawaiian Affairs ‐ Ceded Lands $                             105,547.00  T Executive Order 03‐03 OLELO ‐ Educational Program Public TV $                             966,442.00  T HRS §302A‐1122 Federal Maximization Revolving Fund $                          1,654,743.00  W HRS §302A‐1406 Regular Instruction ‐ High School (Lahainaluna Boarding Dept‐ Special Fund) $                                22,616.00  B HRS §302A‐420 School Bus Fare Revolving Fund $                          3,354,742.00  W HRS §302A‐407.5 School Community Services (A+ Interdepartmental Transfer‐DHS) $                          1,395,903.00  U HRS §302A‐408 School Food Service $                        13,312,813.00  B HRS §302A‐405 Page 16 2011 Budget Briefing
  • 77.
    Department of Education Table 8 Non‐general funds (excluding Federal Funds) Unencumbered Cash  Name of Fund Balance*  MOF Statutory Reference School Special Fee (Reimbursement for Lost Textbook and  Equipment) $                          1,180,960.00  B HRS §302A‐1130.5‐6 Summer School and Intersession Fund $                             440,125.00  B HRS §302A‐1310 Teacher Housing $                                55,553.00  W HRS §302A‐833 *  Balances are as of 10‐31‐10 since data through November was  not available as of 12‐22‐10. Page 17 2011 Budget Briefing
  • 78.
    Department of Education Table 9 Emergency Appropriation Requests Prog ID Description of Request FTE $$$ MOF NONE Page 18 2011 Budget Briefing
  • 79.
    Department of Education Table 10 Budget Decisions Department Request FY12 Department Request FY13 Budget & Finance FY12 Budget & Finance FY13 Governor's Decision FY12 Governor's Decision FY13 Prog ID/Org Description MOF Pos (P) Pos (T) $$$ Pos (P) Pos (T) $$$ Pos (P) Pos (T) $$$ Pos (P) Pos (T) $$$ Pos (P) Pos (T) $$$ Pos (P) Pos (T) $$$ Transfer out to reflect Committee on  EDN 150/YK Weights recommendation A   (253.00)     (17.80) $     (6,104,068.00)   (253.00)     (17.80) $     (6,104,068.00)   (253.00)     (17.80) $     (6,104,068.00)   (253.00)     (17.80) $     (6,104,068.00)   (253.00)     (17.80) $     (6,104,068.00)   (253.00)     (17.80) $     (6,104,068.00) Transfer in to reflect Committee on  EDN 100/AA Weights recommendation A    253.00      17.80 $       6,104,068.00    253.00      17.80 $       6,104,068.00    253.00      17.80 $       6,104,068.00    253.00      17.80 $       6,104,068.00    253.00      17.80 $       6,104,068.00    253.00      17.80 $       6,104,068.00 Transfer out to reflect program structure  EDN 150/VA change A     (12.00)            ‐ $          (938,408.00)     (12.00)            ‐ $          (938,408.00)     (12.00)            ‐ $          (938,408.00)     (12.00)            ‐ $          (938,408.00)     (12.00)            ‐ $          (938,408.00)     (12.00)            ‐ $          (938,408.00) Transfer in to reflect program structure  EDN 200/GD change A      12.00            ‐ $          938,408.00      12.00            ‐ $          938,408.00      12.00            ‐ $          938,408.00      12.00            ‐ $          938,408.00      12.00            ‐ $          938,408.00      12.00            ‐ $          938,408.00 EDN 100/CB Transfer to EDN 200/GN A     (66.50)            ‐ $     (3,634,176.00)    (66.50)         ‐ $     (3,634,176.00)    (66.50)         ‐ $     (3,634,176.00)     (66.50)         ‐ $     (3,634,176.00)    (66.50)         ‐ $     (3,634,176.00)    (66.50)         ‐ $     (3,634,176.00) EDN 200/GN Transfer from EDN 100/CB A      66.50            ‐ $       3,634,176.00     66.50         ‐ $       3,634,176.00     66.50         ‐ $       3,634,176.00      66.50         ‐ $       3,634,176.00     66.50         ‐ $       3,634,176.00     66.50         ‐ $       3,634,176.00 EDN 150/FB Transfer to EDN 200/GD A       (6.00)            ‐ $         (352,768.00)      (6.00)         ‐ $         (352,768.00)      (6.00)         ‐ $         (352,768.00)       (6.00)         ‐ $         (352,768.00)      (6.00)         ‐ $         (352,768.00)      (6.00)         ‐ $         (352,768.00) EDN 200/GD Transfer from EDN 150/FB A          6.00            ‐ $          352,768.00       6.00         ‐ $          352,768.00       6.00         ‐ $          352,768.00          6.00         ‐ $          352,768.00       6.00         ‐ $          352,768.00       6.00         ‐ $          352,768.00 EDN 150/IC Transfer to EDN 200/GN A     (47.00)            ‐ $     (2,425,096.00)    (47.00)         ‐ $     (2,425,096.00)    (47.00)         ‐ $     (2,425,096.00)     (47.00)         ‐ $     (2,425,096.00)    (47.00)         ‐ $     (2,425,096.00)    (47.00)         ‐ $     (2,425,096.00) EDN 200/GN Transfer from EDN 150/IC A      47.00            ‐ $       2,425,096.00     47.00         ‐ $       2,425,096.00     47.00         ‐ $       2,425,096.00      47.00         ‐ $       2,425,096.00     47.00         ‐ $       2,425,096.00     47.00         ‐ $       2,425,096.00 EDN 150/ID Transfer to EDN 200/GN A       (7.00)            ‐ $         (441,776.00)      (7.00)         ‐ $         (441,776.00)      (7.00)         ‐ $         (441,776.00)       (7.00)         ‐ $         (441,776.00)      (7.00)         ‐ $         (441,776.00)      (7.00)         ‐ $         (441,776.00) EDN 200/GN Transfer from EDN 150/ID A          7.00            ‐ $          441,776.00       7.00         ‐ $          441,776.00       7.00         ‐ $          441,776.00          7.00         ‐ $          441,776.00       7.00         ‐ $          441,776.00       7.00         ‐ $          441,776.00 EDN 150/VA Transfer to EDN 300/KF A       (1.00)            ‐ $           (77,069.00)      (1.00)         ‐ $           (77,069.00)      (1.00)         ‐ $           (77,069.00)       (1.00)         ‐ $           (77,069.00)      (1.00)         ‐ $           (77,069.00)      (1.00)         ‐ $           (77,069.00) EDN 300/KF Transfer from EDN 150/VA A          1.00            ‐ $            77,069.00       1.00         ‐ $            77,069.00       1.00         ‐ $            77,069.00          1.00         ‐ $            77,069.00       1.00         ‐ $            77,069.00       1.00         ‐ $            77,069.00 EDN 150/VA Transfer to EDN 200/GN A       (7.00)            ‐ $         (258,216.00)      (7.00)         ‐ $         (258,216.00)      (7.00)         ‐ $         (258,216.00)       (7.00)         ‐ $         (258,216.00)      (7.00)         ‐ $         (258,216.00)      (7.00)         ‐ $         (258,216.00) EDN 200/GN Transfer from EDN 150/VA A          7.00            ‐ $          258,216.00       7.00         ‐ $          258,216.00       7.00         ‐ $          258,216.00          7.00         ‐ $          258,216.00       7.00         ‐ $          258,216.00       7.00         ‐ $          258,216.00 EDN 150/YC Transfer to EDN 200/GB A       (1.00)            ‐ $           (77,069.00)      (1.00)         ‐ $           (77,069.00)      (1.00)         ‐ $           (77,069.00)       (1.00)         ‐ $           (77,069.00)      (1.00)         ‐ $           (77,069.00)      (1.00)         ‐ $           (77,069.00) EDN 200/GB Transfer from EDN 150/YC A          1.00            ‐ $            77,069.00       1.00         ‐ $            77,069.00       1.00         ‐ $            77,069.00          1.00         ‐ $            77,069.00       1.00         ‐ $            77,069.00       1.00         ‐ $            77,069.00 EDN 150/YC Transfer to EDN 200/GN A     (22.00)            ‐ $     (1,097,436.00)    (22.00)         ‐ $     (1,097,436.00)    (22.00)         ‐ $     (1,097,436.00)     (22.00)         ‐ $     (1,097,436.00)    (22.00)         ‐ $     (1,097,436.00)    (22.00)         ‐ $     (1,097,436.00) EDN 200/GN Transfer from EDN 150/YC A      22.00            ‐ $       1,097,436.00     22.00         ‐ $       1,097,436.00     22.00         ‐ $       1,097,436.00      22.00         ‐ $       1,097,436.00     22.00         ‐ $       1,097,436.00     22.00         ‐ $       1,097,436.00 EDN 150/YC Transfer to EDN 300/KF A       (7.00)            ‐ $         (333,000.00)      (7.00)         ‐ $         (333,000.00)      (7.00)         ‐ $         (333,000.00)       (7.00)         ‐ $         (333,000.00)      (7.00)         ‐ $         (333,000.00)      (7.00)         ‐ $         (333,000.00) EDN 300/KF Transfer from EDN 150/YC A          7.00            ‐ $          333,000.00       7.00         ‐ $          333,000.00       7.00         ‐ $          333,000.00          7.00         ‐ $          333,000.00       7.00         ‐ $          333,000.00       7.00         ‐ $          333,000.00 EDN 300/KF Transfer to EDN 100/CB A       (1.00)            ‐ $           (42,132.00)      (1.00)         ‐ $           (42,132.00)      (1.00)         ‐ $           (42,132.00)       (1.00)         ‐ $           (42,132.00)      (1.00)         ‐ $           (42,132.00)      (1.00)         ‐ $           (42,132.00) EDN 100/CB Transfer from EDN 300/KF A          1.00            ‐ $            42,132.00       1.00         ‐ $            42,132.00       1.00         ‐ $            42,132.00          1.00         ‐ $            42,132.00       1.00         ‐ $            42,132.00       1.00         ‐ $            42,132.00 EDN 300/KF Transfer to EDN 300/KD A       (5.00)            ‐ $         (293,188.00)      (5.00)         ‐ $         (293,188.00)      (5.00)         ‐ $         (293,188.00)       (5.00)         ‐ $         (293,188.00)      (5.00)         ‐ $         (293,188.00)      (5.00)         ‐ $         (293,188.00) EDN 300/KD Transfer from EDN 300/KF A          5.00            ‐ $          293,188.00       5.00         ‐ $          293,188.00       5.00         ‐ $          293,188.00          5.00         ‐ $          293,188.00       5.00         ‐ $          293,188.00       5.00         ‐ $          293,188.00 EDN 300/LJ Transfer to EDN 200/GD A       (2.00)            ‐ $         (198,268.00)      (2.00)         ‐ $         (198,268.00)      (2.00)         ‐ $         (198,268.00)       (2.00)         ‐ $         (198,268.00)      (2.00)         ‐ $         (198,268.00)      (2.00)         ‐ $         (198,268.00) EDN 200/GD Transfer from EDN 300/LJ A          2.00            ‐ $          198,268.00       2.00         ‐ $          198,268.00       2.00         ‐ $          198,268.00          2.00         ‐ $          198,268.00       2.00         ‐ $          198,268.00       2.00         ‐ $          198,268.00 EDN 300/LJ Transfer to EDN 200/GN A     (51.00)            ‐ $     (3,849,418.00)    (51.00)         ‐ $     (3,849,418.00)    (51.00)         ‐ $     (3,849,418.00)     (51.00)         ‐ $     (3,849,418.00)    (51.00)         ‐ $     (3,849,418.00)    (51.00)         ‐ $     (3,849,418.00) EDN 200/GN Transfer from EDN 300/LJ A      51.00            ‐ $       3,849,418.00     51.00         ‐ $       3,849,418.00     51.00         ‐ $       3,849,418.00      51.00         ‐ $       3,849,418.00     51.00         ‐ $       3,849,418.00     51.00         ‐ $       3,849,418.00 EDN 400/OB Transfer to EDN 400/OC A       (1.00)            ‐ $           (77,069.00)      (1.00)         ‐ $           (77,069.00)      (1.00)         ‐ $           (77,069.00)       (1.00)         ‐ $           (77,069.00)      (1.00)         ‐ $           (77,069.00)      (1.00)         ‐ $           (77,069.00) EDN 400/OC Transfer from EDN 400/OB A          1.00            ‐ $            77,069.00       1.00         ‐ $            77,069.00       1.00         ‐ $            77,069.00          1.00         ‐ $            77,069.00       1.00         ‐ $            77,069.00       1.00         ‐ $            77,069.00 EDN 400/OC Transfer to EDN 400/OD A       (1.50)            ‐ $           (49,842.00)      (1.50)         ‐ $           (49,842.00)      (1.50)         ‐ $           (49,842.00)       (1.50)         ‐ $           (49,842.00)      (1.50)         ‐ $           (49,842.00)      (1.50)         ‐ $           (49,842.00) EDN 400/OD Transfer from EDN 400/OC A          1.50            ‐ $            49,842.00       1.50         ‐ $            49,842.00       1.50         ‐ $            49,842.00          1.50         ‐ $            49,842.00       1.50         ‐ $            49,842.00       1.50         ‐ $            49,842.00 EDN 400/OC Transfer to EDN 400/OB A       (1.00)            ‐ $           (51,312.00)      (1.00)         ‐ $           (51,312.00)      (1.00)         ‐ $           (51,312.00)       (1.00)         ‐ $           (51,312.00)      (1.00)         ‐ $           (51,312.00)      (1.00)         ‐ $           (51,312.00) EDN 400/OB Transfer from EDN 400/OC A          1.00            ‐ $            51,312.00       1.00         ‐ $            51,312.00       1.00         ‐ $            51,312.00          1.00         ‐ $            51,312.00       1.00         ‐ $            51,312.00       1.00         ‐ $            51,312.00 EDN 400/OD Transfer to EDN 200/GG A       (1.00)            ‐ $           (33,228.00)      (1.00)         ‐ $           (33,228.00)      (1.00)         ‐ $           (33,228.00)       (1.00)         ‐ $           (33,228.00)      (1.00)         ‐ $           (33,228.00)      (1.00)         ‐ $           (33,228.00) EDN 200/GG Transfer from EDN 400/OD A          1.00            ‐ $            33,228.00       1.00         ‐ $            33,228.00       1.00         ‐ $            33,228.00          1.00         ‐ $            33,228.00       1.00         ‐ $            33,228.00       1.00         ‐ $            33,228.00 EDN 400/OI Transfer to EDN 400/OC A       (0.50)       (1.00) $           (80,514.00)      (0.50)      (1.00) $           (80,514.00)      (0.50)      (1.00) $           (80,514.00)       (0.50)      (1.00) $           (80,514.00)      (0.50)      (1.00) $           (80,514.00)      (0.50)      (1.00) $           (80,514.00) EDN 400/OC Transfer from EDN 400/OI A          0.50          1.00 $            80,514.00       0.50       1.00 $            80,514.00       0.50       1.00 $            80,514.00          0.50       1.00 $            80,514.00       0.50       1.00 $            80,514.00       0.50       1.00 $            80,514.00 EDN 400/YA Transfer to EDN 400/OC A       (0.50)            ‐ $           (13,350.00)      (0.50)         ‐ $           (13,350.00)      (0.50)         ‐ $           (13,350.00)       (0.50)         ‐ $           (13,350.00)      (0.50)         ‐ $           (13,350.00)      (0.50)         ‐ $           (13,350.00) EDN 400/OC Transfer from EDN 400/YA A          0.50            ‐ $            13,350.00       0.50         ‐ $            13,350.00       0.50         ‐ $            13,350.00          0.50         ‐ $            13,350.00       0.50         ‐ $            13,350.00       0.50         ‐ $            13,350.00 EDN 200/GC Transfer to EDN 200/GQ N            ‐       (2.00) $         (500,000.00)         ‐      (2.00) $         (500,000.00)         ‐      (2.00) $         (500,000.00)            ‐      (2.00) $         (500,000.00)         ‐      (2.00) $         (500,000.00)         ‐      (2.00) $         (500,000.00) EDN 200/GQ Transfer from EDN 200/GC N            ‐          2.00 $          500,000.00         ‐       2.00 $          500,000.00         ‐       2.00 $          500,000.00            ‐       2.00 $          500,000.00         ‐       2.00 $          500,000.00         ‐       2.00 $          500,000.00 EDN 100/AA To realign budget to reflect current use A $   (16,475,030.00) $   (16,475,030.00) $   (16,475,030.00) $   (16,475,030.00) $   (16,475,030.00) $   (16,475,030.00) EDN 100/BB To realign budget to reflect current use A $         (297,802.00) $         (297,802.00) $         (297,802.00) $         (297,802.00) $         (297,802.00) $         (297,802.00) EDN 100/BF To realign budget to reflect current use A $           (13,190.00) $           (13,190.00) $           (13,190.00) $           (13,190.00) $           (13,190.00) $           (13,190.00) EDN 100/BG To realign budget to reflect current use A $           (21,519.00) $           (21,519.00) $           (21,519.00) $           (21,519.00) $           (21,519.00) $           (21,519.00) EDN 100/BJ To realign budget to reflect current use A $          143,077.00 $          143,077.00 $          143,077.00 $          143,077.00 $          143,077.00 $          143,077.00 EDN 100/BL To realign budget to reflect current use A $            39,440.00 $            39,440.00 $            39,440.00 $            39,440.00 $            39,440.00 $            39,440.00 EDN 100/BM To realign budget to reflect current use A $          358,166.00 $          358,166.00 $          358,166.00 $          358,166.00 $          358,166.00 $          358,166.00 EDN 100/BO To realign budget to reflect current use A $            77,855.00 $            77,855.00 $            77,855.00 $            77,855.00 $            77,855.00 $            77,855.00 EDN 100/BQ To realign budget to reflect current use A $            31,006.00 $            31,006.00 $            31,006.00 $            31,006.00 $            31,006.00 $            31,006.00 EDN 100/BS To realign budget to reflect current use A $           (42,708.00) $           (42,708.00) $           (42,708.00) $           (42,708.00) $           (42,708.00) $           (42,708.00) EDN 100/BV To realign budget to reflect current use A $           (57,205.00) $           (57,205.00) $           (57,205.00) $           (57,205.00) $           (57,205.00) $           (57,205.00) EDN 100/BX To realign budget to reflect current use A $          879,585.00 $          879,585.00 $          879,585.00 $          879,585.00 $          879,585.00 $          879,585.00 EDN 100/CB To realign budget to reflect current use A $           (49,847.00) $           (49,847.00) $           (49,847.00) $           (49,847.00) $           (49,847.00) $           (49,847.00) EDN 100/CJ To realign budget to reflect current use A $            38,988.00 $            38,988.00 $            38,988.00 $            38,988.00 $            38,988.00 $            38,988.00 EDN 100/CN To realign budget to reflect current use A $       1,356,331.00 $       1,356,331.00 $       1,356,331.00 $       1,356,331.00 $       1,356,331.00 $       1,356,331.00 EDN 100/CQ To realign budget to reflect current use A $          246,699.00 $          246,699.00 $          246,699.00 $          246,699.00 $          246,699.00 $          246,699.00 EDN 100/EI To realign budget to reflect current use A $          152,000.00 $          152,000.00 $          152,000.00 $          152,000.00 $          152,000.00 $          152,000.00 Page 19 2011 Budget Briefing
  • 80.
    Department of Education Table 10 Budget Decisions Department Request FY12 Department Request FY13 Budget & Finance FY12 Budget & Finance FY13 Governor's Decision FY12 Governor's Decision FY13 Prog ID/Org Description MOF Pos (P) Pos (T) $$$ Pos (P) Pos (T) $$$ Pos (P) Pos (T) $$$ Pos (P) Pos (T) $$$ Pos (P) Pos (T) $$$ Pos (P) Pos (T) $$$ EDN  100/RR To realign budget to reflect current use A $           (42,241.00) $           (42,241.00) $           (42,241.00) $           (42,241.00) $           (42,241.00) $           (42,241.00) EDN 150/FA To realign budget to reflect current use A $         (792,132.00) $         (792,132.00) $         (792,132.00) $         (792,132.00) $         (792,132.00) $         (792,132.00) EDN 150/FB To realign budget to reflect current use A $         (146,379.00) $         (146,379.00) $         (146,379.00) $         (146,379.00) $         (146,379.00) $         (146,379.00) EDN 150/FC To realign budget to reflect current use A $            57,459.00 $            57,459.00 $            57,459.00 $            57,459.00 $            57,459.00 $            57,459.00 EDN 150/FD To realign budget to reflect current use A $          509,575.00 $          509,575.00 $          509,575.00 $          509,575.00 $          509,575.00 $          509,575.00 EDN 150/IC To realign budget to reflect current use A $            29,336.00 $            29,336.00 $            29,336.00 $            29,336.00 $            29,336.00 $            29,336.00 EDN 150/ID To realign budget to reflect current use A $           (30,956.00) $           (30,956.00) $           (30,956.00) $           (30,956.00) $           (30,956.00) $           (30,956.00) EDN 150/II To realign budget to reflect current use A $     (1,035,334.00) $     (1,035,334.00) $     (1,035,334.00) $     (1,035,334.00) $     (1,035,334.00) $     (1,035,334.00) EDN 150/RA To realign budget to reflect current use A $           (11,023.00) $           (11,023.00) $           (11,023.00) $           (11,023.00) $           (11,023.00) $           (11,023.00) EDN  150/RR To realign budget to reflect current use A $          162,770.00 $          162,770.00 $          162,770.00 $          162,770.00 $          162,770.00 $          162,770.00 EDN 150/SA To realign budget to reflect current use A $       2,181,625.00 $       2,181,625.00 $       2,181,625.00 $       2,181,625.00 $       2,181,625.00 $       2,181,625.00 EDN 150/TA To realign budget to reflect current use A $       1,380,724.00 $       1,380,724.00 $       1,380,724.00 $       1,380,724.00 $       1,380,724.00 $       1,380,724.00 EDN 150/VA To realign budget to reflect current use A $           (99,545.00) $           (99,545.00) $           (99,545.00) $           (99,545.00) $           (99,545.00) $           (99,545.00) EDN 150/VC To realign budget to reflect current use A $          481,122.00 $          481,122.00 $          481,122.00 $          481,122.00 $          481,122.00 $          481,122.00 EDN 150/YC To realign budget to reflect current use A $         (351,939.00) $         (351,939.00) $         (351,939.00) $         (351,939.00) $         (351,939.00) $         (351,939.00) EDN 150/YD To realign budget to reflect current use A $             (9,433.00) $             (9,433.00) $             (9,433.00) $             (9,433.00) $             (9,433.00) $             (9,433.00) EDN 150/YE To realign budget to reflect current use A $           (11,795.00) $           (11,795.00) $           (11,795.00) $           (11,795.00) $           (11,795.00) $           (11,795.00) EDN 150/YG To realign budget to reflect current use A $       2,064,639.00 $       2,064,639.00 $       2,064,639.00 $       2,064,639.00 $       2,064,639.00 $       2,064,639.00 EDN 150/YK To realign budget to reflect current use A $           (21,899.00) $           (21,899.00) $           (21,899.00) $           (21,899.00) $           (21,899.00) $           (21,899.00) EDN 200/GB To realign budget to reflect current use A $           (80,579.00) $           (80,579.00) $           (80,579.00) $           (80,579.00) $           (80,579.00) $           (80,579.00) EDN 200/GC To realign budget to reflect current use A $         (121,485.00) $         (121,485.00) $         (121,485.00) $         (121,485.00) $         (121,485.00) $         (121,485.00) EDN 200/GD To realign budget to reflect current use A $       2,913,254.00 $       2,913,254.00 $       2,913,254.00 $       2,913,254.00 $       2,913,254.00 $       2,913,254.00 EDN 200/GG To realign budget to reflect current use A $       1,094,992.00 $       1,094,992.00 $       1,094,992.00 $       1,094,992.00 $       1,094,992.00 $       1,094,992.00 EDN 200/GH To realign budget to reflect current use A $          498,585.00 $          498,585.00 $          498,585.00 $          498,585.00 $          498,585.00 $          498,585.00 EDN 200/GJ To realign budget to reflect current use A $         (210,497.00) $         (210,497.00) $         (210,497.00) $         (210,497.00) $         (210,497.00) $         (210,497.00) EDN 200/GM To realign budget to reflect current use A $         (349,001.00) $         (349,001.00) $         (349,001.00) $         (349,001.00) $         (349,001.00) $         (349,001.00) EDN 200/GN To realign budget to reflect current use A $         (275,527.00) $         (275,527.00) $         (275,527.00) $         (275,527.00) $         (275,527.00) $         (275,527.00) EDN 200/GP To realign budget to reflect current use A $       5,637,934.00 $       5,637,934.00 $       5,637,934.00 $       5,637,934.00 $       5,637,934.00 $       5,637,934.00 EDN 200/GQ To realign budget to reflect current use A $          236,214.00 $          236,214.00 $          236,214.00 $          236,214.00 $          236,214.00 $          236,214.00 EDN  200/RR To realign budget to reflect current use A $         (474,265.00) $         (474,265.00) $         (474,265.00) $         (474,265.00) $         (474,265.00) $         (474,265.00) EDN 300/KC To realign budget to reflect current use A $           (18,040.00) $           (18,040.00) $           (18,040.00) $           (18,040.00) $           (18,040.00) $           (18,040.00) EDN 300/KD To realign budget to reflect current use A $          118,425.00 $          118,425.00 $          118,425.00 $          118,425.00 $          118,425.00 $          118,425.00 EDN 300/KF To realign budget to reflect current use A $          680,224.00 $          680,224.00 $          680,224.00 $          680,224.00 $          680,224.00 $          680,224.00 EDN 300/KH To realign budget to reflect current use A $            43,679.00 $            43,679.00 $            43,679.00 $            43,679.00 $            43,679.00 $            43,679.00 EDN 300/KO To realign budget to reflect current use A $     (2,985,037.00) $     (2,985,037.00) $     (2,985,037.00) $     (2,985,037.00) $     (2,985,037.00) $     (2,985,037.00) EDN 300/LJ To realign budget to reflect current use A $           (90,879.00) $           (90,879.00) $           (90,879.00) $           (90,879.00) $           (90,879.00) $           (90,879.00) EDN  300/RR To realign budget to reflect current use A $          406,227.00 $          406,227.00 $          406,227.00 $          406,227.00 $          406,227.00 $          406,227.00 EDN 300/UA To realign budget to reflect current use A $       4,147,318.00 $       4,147,318.00 $       4,147,318.00 $       4,147,318.00 $       4,147,318.00 $       4,147,318.00 EDN 400/MB To realign budget to reflect current use A $         (101,590.00) $         (101,590.00) $         (101,590.00) $         (101,590.00) $         (101,590.00) $         (101,590.00) EDN 400/MC To realign budget to reflect current use A $            15,316.00 $            15,316.00 $            15,316.00 $            15,316.00 $            15,316.00 $            15,316.00 EDN 400/MD To realign budget to reflect current use A $     (8,777,627.00) $     (8,777,627.00) $     (8,777,627.00) $     (8,777,627.00) $     (8,777,627.00) $     (8,777,627.00) EDN 400/OB To realign budget to reflect current use A $           (98,783.00) $           (98,783.00) $           (98,783.00) $           (98,783.00) $           (98,783.00) $           (98,783.00) EDN 400/OC To realign budget to reflect current use A $      13,928,522.00 $    13,928,522.00 $    13,928,522.00 $    13,928,522.00 $    13,928,522.00 $    13,928,522.00 EDN 400/OD To realign budget to reflect current use A $             (1,740.00) $             (1,740.00) $             (1,740.00) $             (1,740.00) $             (1,740.00) $             (1,740.00) EDN 400/OE To realign budget to reflect current use A $       3,356,302.00 $       3,356,302.00 $       3,356,302.00 $       3,356,302.00 $       3,356,302.00 $       3,356,302.00 EDN 400/OF To realign budget to reflect current use A $             (9,010.00) $             (9,010.00) $             (9,010.00) $             (9,010.00) $             (9,010.00) $             (9,010.00) EDN 400/OI To realign budget to reflect current use A $   (10,258,294.00) $   (10,258,294.00) $   (10,258,294.00) $   (10,258,294.00) $   (10,258,294.00) $   (10,258,294.00) EDN 400/OJ To realign budget to reflect current use A $          350,556.00 $          350,556.00 $          350,556.00 $          350,556.00 $          350,556.00 $          350,556.00 EDN  400/RR To realign budget to reflect current use A $              4,386.00 $              4,386.00 $              4,386.00 $              4,386.00 $              4,386.00 $              4,386.00 EDN 400/YA To realign budget to reflect current use A $           (49,946.00) $           (49,946.00) $           (49,946.00) $           (49,946.00) $           (49,946.00) $           (49,946.00) EDN 500/PB To realign budget to reflect current use A $            12,741.00 $            12,741.00 $            12,741.00 $            12,741.00 $            12,741.00 $            12,741.00 EDN 500/PC To realign budget to reflect current use A $         (153,088.00) $         (153,088.00) $         (153,088.00) $         (153,088.00) $         (153,088.00) $         (153,088.00) EDN  500/RR To realign budget to reflect current use A $           (56,877.00) $           (56,877.00) $           (56,877.00) $           (56,877.00) $           (56,877.00) $           (56,877.00) EDN 500/WA To realign budget to reflect current use A $           (12,830.00) $           (12,830.00) $           (12,830.00) $           (12,830.00) $           (12,830.00) $           (12,830.00) Reduce unfunded temporary FTEs in  EDN 100/AA Weighted Student Formula A            ‐     (40.00) $                        ‐            ‐     (40.00) $                        ‐            ‐     (40.00) $                        ‐            ‐     (40.00) $                        ‐            ‐     (40.00) $                        ‐            ‐     (40.00) $                        ‐ Reduce FTEs as a result of BOE and  EDN 100/BF Legislative reductions A       (3.50)            ‐ $                        ‐       (3.50)            ‐ $                        ‐       (3.50)            ‐ $                        ‐       (3.50)            ‐ $                        ‐       (3.50)            ‐ $                        ‐       (3.50)            ‐ $                        ‐ Reduce FTEs as a result of BOE and  EDN 100/BG Legislative reductions A       (4.00)       (1.00) $                        ‐       (4.00)       (1.00) $                        ‐       (4.00)       (1.00) $                        ‐       (4.00)       (1.00) $                        ‐       (4.00)       (1.00) $                        ‐       (4.00)       (1.00) $                        ‐ Reduce FTEs as a result of BOE and  EDN 100/BX Legislative reductions A       (2.00)       (6.50) $                        ‐       (2.00)       (6.50) $                        ‐       (2.00)       (6.50) $                        ‐       (2.00)       (6.50) $                        ‐       (2.00)       (6.50) $                        ‐       (2.00)       (6.50) $                        ‐ Reduce FTEs as a result of BOE and  EDN 100/CB Legislative reductions A       (1.00)            ‐ $                        ‐       (1.00)            ‐ $                        ‐       (1.00)            ‐ $                        ‐       (1.00)            ‐ $                        ‐       (1.00)            ‐ $                        ‐       (1.00)            ‐ $                        ‐ Page 20 2011 Budget Briefing
  • 81.
    Department of Education Table 10 Budget Decisions Department Request FY12 Department Request FY13 Budget & Finance FY12 Budget & Finance FY13 Governor's Decision FY12 Governor's Decision FY13 Prog ID/Org Description MOF Pos (P) Pos (T) $$$ Pos (P) Pos (T) $$$ Pos (P) Pos (T) $$$ Pos (P) Pos (T) $$$ Pos (P) Pos (T) $$$ Pos (P) Pos (T) $$$ Reduce FTEs as a result of BOE and  EDN 150/FA Legislative reductions A   (153.88)   (107.25) $                        ‐   (153.88)   (107.25) $                        ‐   (153.88)   (107.25) $                        ‐   (153.88)   (107.25) $                        ‐   (153.88)   (107.25) $                        ‐   (153.88)   (107.25) $                        ‐ Reduce FTEs as a result of BOE and  EDN 150/FB Legislative reductions A     (24.00)            ‐ $                        ‐     (24.00)            ‐ $                        ‐     (24.00)            ‐ $                        ‐     (24.00)            ‐ $                        ‐     (24.00)            ‐ $                        ‐     (24.00)            ‐ $                        ‐ Reduce FTEs as a result of BOE and  EDN 150/FD Legislative reductions A       (1.00)            ‐ $                        ‐       (1.00)            ‐ $                        ‐       (1.00)            ‐ $                        ‐       (1.00)            ‐ $                        ‐       (1.00)            ‐ $                        ‐       (1.00)            ‐ $                        ‐ Reduce FTEs as a result of BOE and  EDN 150/SA Legislative reductions A     (12.00)            ‐ $                        ‐     (12.00)            ‐ $                        ‐     (12.00)            ‐ $                        ‐     (12.00)            ‐ $                        ‐     (12.00)            ‐ $                        ‐     (12.00)            ‐ $                        ‐ Reduce FTEs as a result of BOE and  EDN 150/VA Legislative reductions A       (4.00)       (1.00) $                        ‐       (4.00)       (1.00) $                        ‐       (4.00)       (1.00) $                        ‐       (4.00)       (1.00) $                        ‐       (4.00)       (1.00) $                        ‐       (4.00)       (1.00) $                        ‐ Reduce FTEs as a result of BOE and  EDN 150/YC Legislative reductions A       (3.00)       (7.00) $                        ‐       (3.00)       (7.00) $                        ‐       (3.00)       (7.00) $                        ‐       (3.00)       (7.00) $                        ‐       (3.00)       (7.00) $                        ‐       (3.00)       (7.00) $                        ‐ Reduce FTEs as a result of BOE and  EDN 150/YE Legislative reductions A       (1.50)            ‐ $                        ‐       (1.50)            ‐ $                        ‐       (1.50)            ‐ $                        ‐       (1.50)            ‐ $                        ‐       (1.50)            ‐ $                        ‐       (1.50)            ‐ $                        ‐ Reduce FTEs as a result of BOE and  EDN 200/GC Legislative reductions A       (7.00)            ‐ $                        ‐       (7.00)            ‐ $                        ‐       (7.00)            ‐ $                        ‐       (7.00)            ‐ $                        ‐       (7.00)            ‐ $                        ‐       (7.00)            ‐ $                        ‐ Reduce FTEs as a result of BOE and  EDN 200/GD Legislative reductions A       (1.00)            ‐ $                        ‐       (1.00)            ‐ $                        ‐       (1.00)            ‐ $                        ‐       (1.00)            ‐ $                        ‐       (1.00)            ‐ $                        ‐       (1.00)            ‐ $                        ‐ Reduce FTEs as a result of BOE and  EDN 200/GG Legislative reductions A       (1.00)            ‐ $                        ‐       (1.00)            ‐ $                        ‐       (1.00)            ‐ $                        ‐       (1.00)            ‐ $                        ‐       (1.00)            ‐ $                        ‐       (1.00)            ‐ $                        ‐ Reduce FTEs as a result of BOE and  EDN 200/GH Legislative reductions A       (1.00)            ‐ $                        ‐       (1.00)            ‐ $                        ‐       (1.00)            ‐ $                        ‐       (1.00)            ‐ $                        ‐       (1.00)            ‐ $                        ‐       (1.00)            ‐ $                        ‐ Reduce FTEs as a result of BOE and  EDN 200/GJ Legislative reductions A            ‐       (4.00) $                        ‐            ‐       (4.00) $                        ‐            ‐       (4.00) $                        ‐            ‐       (4.00) $                        ‐            ‐       (4.00) $                        ‐            ‐       (4.00) $                        ‐ Reduce FTEs as a result of BOE and  EDN 200/GM Legislative reductions A       (1.00)            ‐ $                        ‐       (1.00)            ‐ $                        ‐       (1.00)            ‐ $                        ‐       (1.00)            ‐ $                        ‐       (1.00)            ‐ $                        ‐       (1.00)            ‐ $                        ‐ Reduce FTEs as a result of BOE and  EDN 200/GN Legislative reductions A     (23.00)       (6.00) $                        ‐     (23.00)       (6.00) $                        ‐     (23.00)       (6.00) $                        ‐     (23.00)       (6.00) $                        ‐     (23.00)       (6.00) $                        ‐     (23.00)       (6.00) $                        ‐ Reduce FTEs as a result of BOE and  EDN 200/GP Legislative reductions A       (2.00)       (1.00) $                        ‐       (2.00)       (1.00) $                        ‐       (2.00)       (1.00) $                        ‐       (2.00)       (1.00) $                        ‐       (2.00)       (1.00) $                        ‐       (2.00)       (1.00) $                        ‐ Reduce FTEs as a result of BOE and  EDN 300/KF Legislative reductions A       (1.00)            ‐ $                        ‐       (1.00)            ‐ $                        ‐       (1.00)            ‐ $                        ‐       (1.00)            ‐ $                        ‐       (1.00)            ‐ $                        ‐       (1.00)            ‐ $                        ‐ Reduce FTEs as a result of BOE and  EDN 300/KO Legislative reductions A     (16.00)       (0.50) $                        ‐     (16.00)       (0.50) $                        ‐     (16.00)       (0.50) $                        ‐     (16.00)       (0.50) $                        ‐     (16.00)       (0.50) $                        ‐     (16.00)       (0.50) $                        ‐ Reduce FTEs as a result of BOE and  EDN 400/OF Legislative reductions A            ‐       (1.00) $                        ‐            ‐       (1.00) $                        ‐            ‐       (1.00) $                        ‐            ‐       (1.00) $                        ‐            ‐       (1.00) $                        ‐            ‐       (1.00) $                        ‐ Reduce FTEs as a result of BOE and  EDN 500/PB Legislative reductions A            ‐       (1.00) $                        ‐            ‐       (1.00) $                        ‐            ‐       (1.00) $                        ‐            ‐       (1.00) $                        ‐            ‐       (1.00) $                        ‐            ‐       (1.00) $                        ‐ Reduce FTEs as a result of BOE and  EDN 500/PC Legislative reductions A       (4.00)       (2.00) $                        ‐       (4.00)       (2.00) $                        ‐       (4.00)       (2.00) $                        ‐       (4.00)       (2.00) $                        ‐       (4.00)       (2.00) $                        ‐       (4.00)       (2.00) $                        ‐ Convert positions from temporary to  EDN 150/FA permanent A      97.88     (97.88) $                        ‐      97.88     (97.88) $                        ‐      97.88     (97.88) $                        ‐      97.88     (97.88) $                        ‐      97.88     (97.88) $                        ‐      97.88     (97.88) $                        ‐ Convert positions from temporary to  EDN 150/FB permanent A          1.00       (1.00) $                        ‐          1.00       (1.00) $                        ‐          1.00       (1.00) $                        ‐          1.00       (1.00) $                        ‐          1.00       (1.00) $                        ‐          1.00       (1.00) $                        ‐ Convert positions from temporary to  EDN 150/SA permanent A          7.00       (7.00) $                        ‐          7.00       (7.00) $                        ‐          7.00       (7.00) $                        ‐          7.00       (7.00) $                        ‐          7.00       (7.00) $                        ‐          7.00       (7.00) $                        ‐ Convert positions from temporary to  EDN 150/VA permanent A          1.00       (1.00) $                        ‐          1.00       (1.00) $                        ‐          1.00       (1.00) $                        ‐          1.00       (1.00) $                        ‐          1.00       (1.00) $                        ‐          1.00       (1.00) $                        ‐ Convert positions from temporary to  EDN 150/YC permanent A      98.50     (98.50) $                        ‐      98.50     (98.50) $                        ‐      98.50     (98.50) $                        ‐      98.50     (98.50) $                        ‐      98.50     (98.50) $                        ‐      98.50     (98.50) $                        ‐ Convert positions from temporary to  EDN 150/YD permanent A          4.00       (4.00) $                        ‐          4.00       (4.00) $                        ‐          4.00       (4.00) $                        ‐          4.00       (4.00) $                        ‐          4.00       (4.00) $                        ‐          4.00       (4.00) $                        ‐ Convert positions from temporary to  EDN 150/YE permanent A          7.00       (7.00) $                        ‐          7.00       (7.00) $                        ‐          7.00       (7.00) $                        ‐          7.00       (7.00) $                        ‐          7.00       (7.00) $                        ‐          7.00       (7.00) $                        ‐ Convert positions from temporary to  EDN 150/YG permanent A          9.00       (9.00) $                        ‐          9.00       (9.00) $                        ‐          9.00       (9.00) $                        ‐          9.00       (9.00) $                        ‐          9.00       (9.00) $                        ‐          9.00       (9.00) $                        ‐ Convert positions from temporary to  EDN 200/GC permanent A          1.00       (1.00) $                        ‐          1.00       (1.00) $                        ‐          1.00       (1.00) $                        ‐          1.00       (1.00) $                        ‐          1.00       (1.00) $                        ‐          1.00       (1.00) $                        ‐ Convert positions from temporary to  EDN 200/GJ permanent A          1.00       (1.00) $                        ‐          1.00       (1.00) $                        ‐          1.00       (1.00) $                        ‐          1.00       (1.00) $                        ‐          1.00       (1.00) $                        ‐          1.00       (1.00) $                        ‐ Convert positions from temporary to  EDN 200/GN permanent A      23.00     (23.00) $                        ‐      23.00     (23.00) $                        ‐      23.00     (23.00) $                        ‐      23.00     (23.00) $                        ‐      23.00     (23.00) $                        ‐      23.00     (23.00) $                        ‐ Convert positions from temporary to  EDN 200/GP permanent A          1.00       (1.00) $                        ‐          1.00       (1.00) $                        ‐          1.00       (1.00) $                        ‐          1.00       (1.00) $                        ‐          1.00       (1.00) $                        ‐          1.00       (1.00) $                        ‐ Convert positions from temporary to  EDN 300/KD permanent A          1.00       (1.00) $                        ‐          1.00       (1.00) $                        ‐          1.00       (1.00) $                        ‐          1.00       (1.00) $                        ‐          1.00       (1.00) $                        ‐          1.00       (1.00) $                        ‐ Page 21 2011 Budget Briefing
  • 82.
    Department of Education Table 10 Budget Decisions Department Request FY12 Department Request FY13 Budget & Finance FY12 Budget & Finance FY13 Governor's Decision FY12 Governor's Decision FY13 Prog ID/Org Description MOF Pos (P) Pos (T) $$$ Pos (P) Pos (T) $$$ Pos (P) Pos (T) $$$ Pos (P) Pos (T) $$$ Pos (P) Pos (T) $$$ Pos (P) Pos (T) $$$ Convert positions from temporary to  EDN 300/UA permanent A          3.00       (3.00) $                        ‐          3.00       (3.00) $                        ‐          3.00       (3.00) $                        ‐          3.00       (3.00) $                        ‐          3.00       (3.00) $                        ‐          3.00       (3.00) $                        ‐ Convert positions from temporary to  EDN 500/PC permanent A      11.50     (11.50) $                        ‐      11.50     (11.50) $                        ‐      11.50     (11.50) $                        ‐      11.50     (11.50) $                        ‐      11.50     (11.50) $                        ‐      11.50     (11.50) $                        ‐ Add 5 temporary positions for Olomana  EDN 100/BJ School A            ‐          5.00 $                        ‐            ‐          5.00 $                        ‐            ‐          5.00 $                        ‐            ‐          5.00 $                        ‐            ‐          5.00 $                        ‐            ‐          5.00 $                        ‐ Ceiling change to more accurately reflect  EDN 100/CN the needs of the program N            ‐            ‐ $       1,500,000.00            ‐            ‐ $       1,500,000.00            ‐            ‐ $       1,500,000.00            ‐            ‐ $       1,500,000.00            ‐            ‐ $       1,500,000.00            ‐            ‐ $       1,500,000.00 Ceiling change to more accurately reflect  EDN 100/DB the needs of the program N            ‐            ‐ $     (1,907,093.00)            ‐            ‐ $     (1,906,093.00)            ‐            ‐ $     (1,907,093.00)            ‐            ‐ $     (1,906,093.00)            ‐            ‐ $     (1,907,093.00)            ‐            ‐ $     (1,906,093.00) Ceiling change to more accurately reflect  EDN 100/DE the needs of the program N            ‐            ‐ $           (40,016.00)            ‐            ‐ $           (40,016.00)            ‐            ‐ $           (40,016.00)            ‐            ‐ $           (40,016.00)            ‐            ‐ $           (40,016.00)            ‐            ‐ $           (40,016.00) Ceiling change to more accurately reflect  EDN 100/DH the needs of the program N            ‐            ‐ $          120,000.00            ‐            ‐ $          120,000.00            ‐            ‐ $          120,000.00            ‐            ‐ $          120,000.00            ‐            ‐ $          120,000.00            ‐            ‐ $          120,000.00 Ceiling change to more accurately reflect  EDN 100/DL the needs of the program N            ‐            ‐ $     (1,197,471.00)            ‐            ‐ $     (1,417,887.00)            ‐            ‐ $     (1,197,471.00)            ‐            ‐ $     (1,417,887.00)            ‐            ‐ $     (1,197,471.00)            ‐            ‐ $     (1,417,887.00) Ceiling change to more accurately reflect  EDN 100/DQ the needs of the program N            ‐            ‐ $            20,000.00            ‐            ‐ $            25,000.00            ‐            ‐ $            20,000.00            ‐            ‐ $            25,000.00            ‐            ‐ $            20,000.00            ‐            ‐ $            25,000.00 Ceiling change to more accurately reflect  EDN 100/DS the needs of the program N            ‐            ‐ $          905,863.00            ‐            ‐ $           (63,656.00)            ‐            ‐ $          905,863.00            ‐            ‐ $           (63,656.00)            ‐            ‐ $          905,863.00            ‐            ‐ $           (63,656.00) Ceiling change to more accurately reflect  EDN 100/DU the needs of the program N            ‐            ‐ $          193,393.00            ‐            ‐ $          (206,607.00)            ‐            ‐ $          193,393.00            ‐            ‐ $          (206,607.00)            ‐            ‐ $          193,393.00            ‐            ‐ $          (206,607.00) Ceiling change to more accurately reflect  EDN 150/NB the needs of the program N            ‐            ‐ $          (532,387.00)            ‐            ‐ $          (532,387.00)            ‐            ‐ $          (532,387.00)            ‐            ‐ $          (532,387.00)            ‐            ‐ $          (532,387.00)            ‐            ‐ $          (532,387.00) Ceiling change to more accurately reflect  EDN 200/GP the needs of the program N            ‐            ‐ $            26,000.00            ‐            ‐ $            26,000.00            ‐            ‐ $            26,000.00            ‐            ‐ $            26,000.00            ‐            ‐ $            26,000.00            ‐            ‐ $            26,000.00 Ceiling change to more accurately reflect  EDN 400/MB the needs of the program N            ‐            ‐ $          800,000.00            ‐            ‐ $          800,000.00            ‐            ‐ $          800,000.00            ‐            ‐ $          800,000.00            ‐            ‐ $          800,000.00            ‐            ‐ $          800,000.00 Ceiling change to more accurately reflect  EDN 400/MD the needs of the program N            ‐            ‐ $      10,928,588.00            ‐            ‐ $      13,215,594.00            ‐            ‐ $      10,928,588.00            ‐            ‐ $      13,215,594.00            ‐            ‐ $      10,928,588.00            ‐            ‐ $      13,215,594.00 Ceiling change to more accurately reflect  EDN 500/PB the needs of the program N            ‐            ‐ $             (6,182.00)            ‐            ‐ $            73,824.00            ‐            ‐ $             (6,182.00)            ‐            ‐ $            73,824.00            ‐            ‐ $             (6,182.00)            ‐            ‐ $            73,824.00 Ceiling change to more accurately reflect  EDN 500/PC the needs of the program N            ‐            ‐ $     (2,299,603.00)            ‐            ‐ $     (1,922,982.00)            ‐            ‐ $     (2,299,603.00)            ‐            ‐ $     (1,922,982.00)            ‐            ‐ $     (2,299,603.00)            ‐            ‐ $     (1,922,982.00) Ceiling change to more accurately reflect  EDN 100/VV the needs of the program V            ‐            ‐ $      28,525,743.00            ‐            ‐ $                        ‐            ‐            ‐ $      28,525,743.00            ‐            ‐ $                        ‐            ‐            ‐ $      28,525,743.00            ‐            ‐ $                        ‐ Ceiling change to more accurately reflect  EDN 200/VV the needs of the program V            ‐            ‐ $      19,356,874.00            ‐            ‐ $      20,073,434.00            ‐            ‐ $      19,356,874.00            ‐            ‐ 20,073,434.00            $      ‐            ‐ $      19,356,874.00            ‐            ‐ $      20,073,434.00 Ceiling change to more accurately reflect  EDN 100/XA the needs of the program T            ‐            ‐ $          (820,000.00)            ‐            ‐ $          (820,000.00)            ‐            ‐ $          (820,000.00)            ‐            ‐ $          (820,000.00)            ‐            ‐ $          (820,000.00)            ‐            ‐ $          (820,000.00) Ceiling change to more accurately reflect  EDN 100/XB the needs of the program T            ‐            ‐ $       6,560,000.00            ‐            ‐ $       6,560,000.00            ‐            ‐ $       6,560,000.00            ‐            ‐ $       6,560,000.00            ‐            ‐ $       6,560,000.00            ‐            ‐ $       6,560,000.00 Ceiling change to more accurately reflect  EDN 100/XC the needs of the program T            ‐            ‐ $       1,200,000.00            ‐            ‐ $       1,200,000.00            ‐            ‐ $       1,200,000.00            ‐            ‐ $       1,200,000.00            ‐            ‐ $       1,200,000.00            ‐            ‐ $       1,200,000.00 Ceiling change to more accurately reflect  EDN 100/XE the needs of the program T            ‐            ‐ $       8,012,300.00            ‐            ‐ $       8,012,300.00            ‐            ‐ $       8,012,300.00            ‐            ‐ $       8,012,300.00            ‐            ‐ $       8,012,300.00            ‐            ‐ $       8,012,300.00 Ceiling change to more accurately reflect  EDN 100/XH the needs of the program T            ‐            ‐ $          300,000.00            ‐            ‐ $          300,000.00            ‐            ‐ $          300,000.00            ‐            ‐ $          300,000.00            ‐            ‐ $          300,000.00            ‐            ‐ $          300,000.00 Ceiling change to more accurately reflect  EDN 500/PC the needs of the program T            ‐            ‐ $       4,000,000.00            ‐            ‐ $       4,000,000.00            ‐            ‐ $       4,000,000.00            ‐            ‐ $       4,000,000.00            ‐            ‐ $       4,000,000.00            ‐            ‐ $       4,000,000.00 Ceiling change to more accurately reflect  EDN 100/BR the needs of the program U            ‐            ‐ $          (485,585.00)            ‐            ‐ $          (485,585.00)            ‐            ‐ $          (485,585.00)            ‐            ‐ $          (485,585.00)            ‐            ‐ $          (485,585.00)            ‐            ‐ $          (485,585.00) Ceiling change to more accurately reflect  EDN 200/GC the needs of the program U            ‐            ‐ $          (550,000.00)            ‐            ‐ $          (550,000.00)            ‐            ‐ $          (550,000.00)            ‐            ‐ $          (550,000.00)            ‐            ‐ $          (550,000.00)            ‐            ‐ $          (550,000.00) Ceiling change to more accurately reflect  EDN 500/WA the needs of the program U            ‐            ‐ $     (2,700,000.00)            ‐            ‐ $     (2,700,000.00)            ‐            ‐ $     (2,700,000.00)            ‐            ‐ $     (2,700,000.00)            ‐            ‐ $     (2,700,000.00)            ‐            ‐ $     (2,700,000.00) Ceiling change to more accurately reflect  EDN 200/GH the needs of the program B            ‐            ‐ $          135,389.00            ‐            ‐ $          135,389.00            ‐            ‐ $          135,389.00            ‐            ‐ $          135,389.00            ‐            ‐ $          135,389.00            ‐            ‐ $          135,389.00 Ceiling change to more accurately reflect  EDN 400/MB the needs of the program B            ‐            ‐ $           (36,513.00)            ‐            ‐ $           (36,513.00)            ‐            ‐ $           (36,513.00)            ‐            ‐ $           (36,513.00)            ‐            ‐ $           (36,513.00)            ‐            ‐ $           (36,513.00) Ceiling change to more accurately reflect  EDN 400/MD the needs of the program B            ‐            ‐ $       4,353,333.00            ‐            ‐ $       5,814,050.00            ‐            ‐ $       4,353,333.00            ‐            ‐ $       5,814,050.00            ‐            ‐ $       4,353,333.00            ‐            ‐ $       5,814,050.00 Ceiling change to more accurately reflect  EDN 500/PC the needs of the program B            ‐            ‐ $          (169,000.00)            ‐            ‐ $          (169,000.00)            ‐            ‐ $          (169,000.00)            ‐            ‐ $          (169,000.00)            ‐            ‐ $          (169,000.00)            ‐            ‐ $          (169,000.00) Ceiling change to more accurately reflect  EDN 100/CB the needs of the program W            ‐            ‐ $             (3,023.00)            ‐            ‐ $             (3,023.00)            ‐            ‐ $             (3,023.00)            ‐            ‐ $             (3,023.00)            ‐            ‐ $             (3,023.00)            ‐            ‐ $             (3,023.00) Page 22 2011 Budget Briefing
  • 83.
    Department of Education Table 10 Budget Decisions Department Request FY12 Department Request FY13 Budget & Finance FY12 Budget & Finance FY13 Governor's Decision FY12 Governor's Decision FY13 Prog ID/Org Description MOF Pos (P) Pos (T) $$$ Pos (P) Pos (T) $$$ Pos (P) Pos (T) $$$ Pos (P) Pos (T) $$$ Pos (P) Pos (T) $$$ Pos (P) Pos (T) $$$ Ceiling change to more accurately reflect  EDN 150/YK the needs of the program W            ‐            ‐ $       1,393,703.00            ‐            ‐ $       1,393,703.00            ‐            ‐ $       1,393,703.00            ‐            ‐ $       1,393,703.00            ‐            ‐ $       1,393,703.00            ‐            ‐ $       1,393,703.00 Ceiling change to more accurately reflect  EDN 400/MC the needs of the program W            ‐            ‐ $       2,500,000.00            ‐            ‐ $       2,500,000.00            ‐            ‐ $       2,500,000.00            ‐            ‐ $       2,500,000.00            ‐            ‐ $       2,500,000.00            ‐            ‐ $       2,500,000.00 Ceiling change to more accurately reflect  EDN 400/OC the needs of the program W            ‐            ‐ $                        ‐            ‐            ‐ $                (300.00)            ‐            ‐ $                        ‐            ‐            ‐ $                (300.00)            ‐            ‐ $                        ‐            ‐            ‐ $                (300.00) Ceiling change to more accurately reflect  EDN 400/YA the needs of the program W            ‐            ‐ $       1,000,000.00            ‐            ‐ $       1,000,000.00            ‐            ‐ $       1,000,000.00            ‐            ‐ $       1,000,000.00            ‐            ‐ $       1,000,000.00            ‐            ‐ $       1,000,000.00 Ceiling change to more accurately reflect  EDN 500/WA the needs of the program W            ‐            ‐ $       2,700,000.00            ‐            ‐ $       2,700,000.00            ‐            ‐ $       2,700,000.00            ‐            ‐ $       2,700,000.00            ‐            ‐ $       2,700,000.00            ‐            ‐ $       2,700,000.00 Page 23 2011 Budget Briefing
  • 84.
    Department of Education Table 11 Vacancy Report Position  Exempt  Budgeted  Actual Salary  Authority to Hire  Date of Vacancy Position Title Number (Y/N) Amount  Last Paid  MOF Prog ID (Y/N) Report to be provided at a later date (estimated completion date of January 28, 2011) I I Page 24 2011 Budget Briefing
  • 85.
    Department of Education Table 12 Personnel Separations Position  Perm/  Budgeted   Budgeted   Actual  BU  SR  Separation Date Prog ID/Org Number Temp MOF Position Title FTE  Salary  FTE  Actual Salary  Code Level 07/01/2009 EDN 100/AA 1844 J1 A SCHOOL ADM SERVICES ASST III 1.00 $     44,419.00 1.00 $     54,012.00 04 SR16 07/01/2009 EDN 100/AA 12538 J1 A SCHOOL ADM SERVICES ASST III 1.00 $     44,419.00 1.00 $     48,048.00 04 SR16 07/01/2009 EDN 100/AA 16298 J1 A SCHOOL CUSTODIAN II 1.00 $     33,885.00 1.00 $     33,228.00 01 BC02 07/01/2009 EDN 100/AA 16449 J1 A SCHOOL CUSTODIAN II 1.00 $     33,885.00 1.00 $     33,228.00 01 BC02 07/01/2009 EDN 100/AA 17547 J1 A SCHOOL CUSTODIAN II 1.00 $     33,885.00 1.00 $     33,228.00 01 BC02 07/01/2009 EDN 100/AA 23307 J1 A EDUC ASST II 0.50 $     14,824.00 0.50 $     12,515.04 03 SR10 07/01/2009 EDN 100/AA 33097 J1 A SCHOOL SECURITY ATTENDANT 1.00 $     25,213.00 1.00 $     27,019.92 03 SR07 07/01/2009 EDN 100/AA 37532 J1 A EDUC ASST III 0.50 $     14,824.00 0.50 $     16,449.96 03 SR12 07/01/2009 EDN 100/AA 38356 J1 A CLERK TYPIST II 1.00 $     29,865.00 1.00 $     39,480.00 03 SR08 07/01/2009 EDN 100/AA 38554 J1 A CLERK TYPIST II 1.00 $     29,865.00 1.00 $     32,424.00 03 SR08 07/01/2009 EDN 100/AA 51987 J1 A EDUC ASST III 1.00 $     29,647.00 1.00 $     29,220.00 03 SR12 07/01/2009 EDN 100/AA 51988 J1 A EDUC ASST III 0.50 $     14,824.00 0.50 $     14,064.96 03 SR12 07/01/2009 EDN 100/AA 55262 T1 A CLERK III 1.00 $     29,178.00 1.00 $     25,668.00 03 SR08 07/01/2009 EDN 100/AA 55346 T1 A CLERK III 1.00 $     29,178.00 1.00 $     31,212.00 03 SR08 07/01/2009 EDN 100/AA 55812 J1 A EDUC ASST III 0.50 $     14,824.00 0.50 $     14,610.00 03 SR12 07/01/2009 EDN 100/AA 55866 T1 A EDUC ASST III 1.00 $     29,647.00 1.00 $     29,220.00 03 SR12 07/01/2009 EDN 100/AA 56067 T1 A CLERK III 1.00 $     29,178.00 1.00 $     27,756.00 03 SR08 07/01/2009 EDN 100/AA 56074 T1 A CLERK III 0.50 $     14,589.00 0.50 $     13,878.00 03 SR08 07/01/2009 EDN 100/AA 56077 T1 A CLERK III 1.00 $     29,178.00 1.00 $     30,036.00 03 SR08 07/01/2009 EDN 100/AA 56244 T1 A CLERK III 1.00 $     29,178.00 1.00 $     27,756.00 03 SR08 07/01/2009 EDN 100/AA 56268 T1 A CLERK II 1.00 $     29,178.00 1.00 $     25,668.00 03 SR06 07/01/2009 EDN 100/AA 56581 J1 A CLERK TYPIST II 1.00 $     29,865.00 1.00 $     26,700.00 03 SR08 07/01/2009 EDN 100/AA 56795 T1 A CLERK III 1.00 $     29,178.00 1.00 $     27,756.00 03 SR08 07/01/2009 EDN 100/AA 58732 J1 A CLERK I 0.50 $     14,589.00 0.50 $     12,324.00 03 SR04 07/01/2009 EDN 100/AA 59059 J1 A SCHOOL SECURITY ATTENDANT 1.00 $     25,213.00 1.00 $     22,249.92 03 SR07 07/01/2009 EDN 100/AA 64125 J1 A SECONDARY TEACHER 1.00 $     56,257.00 1.00 $     32,712.96 05 T02 07/01/2009 EDN 100/AA 67695 J1 A ELEM TEACHER 1.00 $     74,688.00 1.00 $     46,608.96 05 T03 07/01/2009 EDN 100/AA 71535 J1 A ELEM TEACHER 1.00 $     56,257.00 1.00 $     44,452.08 05 T02 07/01/2009 EDN 100/AA 71617 J1 A SECONDARY TEACHER 1.00 $     72,860.00 1.00 $     40,566.96 05 A02 07/01/2009 EDN 100/AA 72714 J1 A 12‐MO SECONDARY TEACHER 1.00 $     67,508.00 1.00 $     46,608.96 05 T03 07/01/2009 EDN 100/AA 800694 T1 A CLERK TYPIST II 0.50 $     14,933.00 0.50 $     13,350.00 03 SR08 07/01/2009 EDN 100/AA 800795 T1 A CLERK II 0.50 $     14,589.00 0.50 $     11,844.00 03 SR06 07/01/2009 EDN 100/AA 800801 T1 A EDUC ASST II 0.50 $     14,824.00 0.50 $     11,565.00 03 SR10 07/01/2009 EDN 100/AA 800876 T1 A SCHOOL SECURITY ATTENDANT 1.00 $     25,213.00 1.00 $     21,390.00 03 SR07 07/01/2009 EDN 100/AA 800931 T1 A LIBRARY ASSISTANT II 0.50 $     15,239.00 0.50 $     11,388.00 03 SR05 07/01/2009 EDN 100/AA 801143 T1 A SCHOOL CUSTODIAN II 0.50 $     16,942.00 0.50 $     16,614.00 01 BC02 Page 25 2011 Budget Briefing
  • 86.
    Department of Education Table 12 Personnel Separations Position  Perm/  Budgeted   Budgeted   Actual  BU  SR  Separation Date Prog ID/Org Number Temp MOF Position Title FTE  Salary  FTE  Actual Salary  Code Level 07/01/2009 EDN 100/AA 801181 T1 A LIBRARY ASSISTANT III 0.50 $     15,239.00 0.50 $     12,324.00 03 SR07 07/01/2009 EDN 100/AA 801208 T1 A EDUC ASST II 0.75 $     22,235.00 0.75 $     17,347.50 03 SR10 07/01/2009 EDN 100/BB 59972 J1 A GEN PROF IV(TRANS PGM COORD I) 0.50 $     22,788.00 0.50 $     22,788.00 13 SR22 07/01/2009 EDN 100/CB 59992 T1 W CLERK TYPIST II 1.00 $     26,700.00 1.00 $     26,700.00 03 SR08 07/01/2009 EDN 100/DB 15606 T1 N CLERK TYPIST III 1.00 $     30,036.00 1.00 $     30,036.00 03 SR10 07/01/2009 EDN 100/DB 59691 T1 N SECRETARY I 1.00 $     31,212.00 1.00 $     31,212.00 63 SR12 07/01/2009 EDN 150/FA 26533 J1 A EDUC ASST III 1.00 $     26,131.00 1.00 $     34,200.00 03 SR12 07/01/2009 EDN 150/FA 37977 J1 A EDUC ASST III 1.00 $     34,347.00 1.00 $     32,899.92 03 SR12 07/01/2009 EDN 150/FA 39847 J1 A EDUC ASST III 1.00 $     37,135.00 1.00 $     35,569.92 03 SR12 07/01/2009 EDN 150/FA 41335 T1 A EDUC ASST II 0.75 $     20,366.00 0.75 $     18,022.50 03 SR10 07/01/2009 EDN 150/FA 47127 J1 A EDUC ASST III 1.00 $     35,705.00 1.00 $     34,200.00 03 SR12 07/01/2009 EDN 150/FA 55070 J1 A EDUC ASST III 1.00 $     40,173.00 1.00 $     38,479.92 03 SR12 07/01/2009 EDN 150/FA 55887 J1 A EDUC ASST III 1.00 $     31,769.00 1.00 $     30,430.08 03 SR12 07/01/2009 EDN 150/FA 56781 J1 A EDUC ASST III 1.00 $     28,209.00 1.00 $     27,019.92 03 SR12 07/01/2009 EDN 150/FA 56837 T1 A EDUC ASST III 1.00 $     27,154.00 1.00 $     26,010.00 03 SR12 07/01/2009 EDN 150/FA 56865 T1 A EDUC ASST II 1.00 $     26,131.00 1.00 $     23,130.00 03 SR10 07/01/2009 EDN 150/FA 57184 T1 A EDUC ASST III 1.00 $     27,154.00 1.00 $     25,030.08 03 SR12 07/01/2009 EDN 150/FA 57632 T1 A EDUC ASST III 0.75 $     21,157.00 0.75 $     20,264.94 03 SR12 07/01/2009 EDN 150/FA 58767 J1 A EDUC ASST II 1.00 $     26,131.00 1.00 $     23,130.00 03 SR10 07/01/2009 EDN 150/FA 58778 T1 A EDUC ASST II 1.00 $     27,154.00 1.00 $     23,130.00 03 SR10 07/01/2009 EDN 150/FA 73559 J1 A SPEC ED TCHR/PRE‐SCHOOL 1.00 $     79,170.00 1.00 $     51,426.00 05 T04 07/01/2009 EDN 150/FA 800154 T1 A EDUC ASST I 1.00 $     26,131.00 1.00 $     21,390.00 03 SR08 07/01/2009 EDN 150/FA 800159 T1 A EDUC ASST II 0.75 $     19,599.00 0.75 $     17,347.50 03 SR10 07/01/2009 EDN 150/FA 800170 T1 A EDUC ASST III 0.75 $     21,157.00 0.75 $     20,264.94 03 SR12 07/01/2009 EDN 150/FA 800492 T1 A EDUC ASST III 1.00 $     27,154.00 1.00 $     26,010.00 03 SR12 07/01/2009 EDN 150/FA 800500 T1 A EDUC ASST III 1.00 $     28,209.00 1.00 $     25,009.92 03 SR12 07/01/2009 EDN 150/FA 800596 T1 A EDUC ASST III 1.00 $     26,131.00 1.00 $     25,030.08 03 SR12 07/01/2009 EDN 150/FB 13497 J1 A CLERK TYPIST II 1.00 $     27,756.00 1.00 $     27,756.00 03 SR08 07/01/2009 EDN 150/NB 58147 T1 N EDUC ASST III 1.00 $     25,030.08 1.00 $     25,030.08 03 SR12 07/01/2009 EDN 150/NB 800236 T1 N EDUC ASST II 1.00 $     23,130.00 1.00 $     23,130.00 03 SR10 07/01/2009 EDN 150/NB 801027 T1 N EDUC ASST III 1.00 $     25,030.08 1.00 $     25,030.08 03 SR12 07/01/2009 EDN 150/NB 801038 T1 N EDUC ASST I 1.00 $     21,390.00 1.00 $     21,390.00 03 SR08 07/01/2009 EDN 150/SA 33208 J1 A SPEECH PATHOLOGIST IV 1.00 $     69,305.00 1.00 $     67,488.00 13 SR22 07/01/2009 EDN 150/SA 116805 J1 A EDUCATIONAL INTERPRETER 1.00 $     29,940.00 1.00 $     29,940.00 03 SRNA 07/01/2009 EDN 150/SA 116807 J1 A EDUCATIONAL INTERPRETER COORD 1.00 $     43,680.00 1.00 $     34,284.00 13 SRNA 07/01/2009 EDN 150/SA 116808 J1 A EDUCATIONAL INTERPRETER COORD 1.00 $     38,388.00 1.00 $     38,388.00 13 SRNA Page 26 2011 Budget Briefing
  • 87.
    Department of Education Table 12 Personnel Separations Position  Perm/  Budgeted   Budgeted   Actual  BU  SR  Separation Date Prog ID/Org Number Temp MOF Position Title FTE  Salary  FTE  Actual Salary  Code Level 07/01/2009 EDN 150/SA 116810 J1 A EDUCATIONAL INTERPRETER COORD 1.00 $     38,388.00 1.00 $     38,388.00 13 SRNA 07/01/2009 EDN 150/SA 800317 J1 A EDUCATIONAL INTERPRETER 1.00 $     31,138.00 1.00 $     31,140.00 03 SRNA 07/01/2009 EDN 150/SA 800319 J1 A EDUCATIONAL INTERPRETER 1.00 $     32,223.00 1.00 $     32,220.00 03 SRNA 07/01/2009 EDN 150/YC 32092 J1 A PSYCHOLOGICAL EXAMINER IV 1.00 $     54,788.00 1.00 $     53,352.00 13 SR22 07/01/2009 EDN 150/YC 58402 J1 A BEHAVIORAL SPECIALIST IV 1.00 $     57,708.00 1.00 $     57,708.00 13 SR22 07/01/2009 EDN 150/YK 29479 J1 A SCHOOL HEALTH AIDE 1.00 $     26,839.00 1.00 $     25,707.12 03 SR09 07/01/2009 EDN 150/YK 800991 T1 A SCHOOL HEALTH AIDE 1.00 $     18,873.00 1.00 $     18,078.00 03 SR09 07/01/2009 EDN 200/GM 14583 J1 A SECRETARY IV 1.00 $     58,440.00 1.00 $     58,440.00 03 SR18 07/01/2009 EDN 200/GN 14604 J1 A SECRETARY II 1.00 $     48,048.00 1.00 $     48,048.00 03 SR14 07/01/2009 EDN 200/GN 29993 T1 A BILINGUAL/BICULTURAL S/H ASST 1.00 $     31,212.00 1.00 $     31,212.00 03 SR11 07/01/2009 EDN 200/GN 32179 T1 A BILINGUAL/BICULTURAL S/H ASST 0.50 $     19,740.00 0.50 $     19,740.00 03 SR11 07/01/2009 EDN 300/UA 44936 J1 A DP USER SUPPORT TECH II 1.00 $     56,592.00 1.00 $     51,936.00 03 SR15 07/01/2009 EDN 400/MD 35115 J1 B FOOD SERVICES DRIVER 1.00 $     34,164.00 1.00 $     34,164.00 01 BC03 07/01/2009 EDN 400/MD 51925 J1 A SCHOOL FOOD SERVICES MGR II 1.00 $     43,722.00 1.00 $     42,576.00 02 F106 07/01/2009 EDN 400/OC 17065 J1 A BUILDING MTNCE DISTRICT SUPVR 1.00 $     58,404.00 1.00 $     58,404.00 02 F310 07/01/2009 EDN 400/OC 17092 J1 A CARPENTER I 1.00 $     48,096.00 1.00 $     44,544.00 01 BC09 07/01/2009 EDN 500/PC 6226 J1 A SCHOOL ADM SERVICES ASST IV 1.00 $     54,012.00 1.00 $     54,012.00 04 SR18 07/02/2009 EDN 100/AA 56344 J1 A LIBRARY ASSISTANT III 0.50 $     15,239.00 0.50 $     12,324.00 03 SR07 07/07/2009 EDN 150/YC 58369 J1 A BEHAVIORAL HLTH SPCLT III 1.00 $     45,576.00 1.00 $     42,132.00 13 SR20 07/09/2009 EDN 100/AA 60507 J1 A LIBRARIAN 1.00 $     49,303.00 1.00 $     48,008.16 05 T03 07/09/2009 EDN 100/BM 800790 J1 A ATHLETIC HLTH CARE TRAINER 1.00 $     45,576.00 1.00 $     45,576.00 13 SR22 07/10/2009 EDN 150/SA 800296 J1 A SPEECH PATHOLOGIST II 1.00 $     60,436.00 1.00 $     40,548.00 13 SR18 07/11/2009 EDN 100/AA 22229 J1 A SCHOOL CUSTODIAN II 0.50 $     16,942.00 0.50 $     16,614.00 01 BC02 07/11/2009 EDN 100/AA 56589 J1 A CLERK TYPIST II 0.50 $     14,933.00 0.50 $     15,018.00 03 SR08 07/11/2009 EDN 100/AA 72120 J1 A SECONDARY TEACHER 1.00 $     56,257.00 1.00 $     43,157.04 05 T02 07/16/2009 EDN 100/AA 58251 J1 A ACCOUNT CLERK II 1.00 $     34,121.00 1.00 $     28,836.00 03 SR08 07/16/2009 EDN 100/BM 800530 J1 A ATHLETIC HLTH CARE TRAINER 1.00 $     47,412.00 1.00 $     47,412.00 13 SR22 07/16/2009 EDN 150/FA 56765 T1 A EDUC ASST III 0.50 $     13,577.00 0.50 $     13,005.00 03 SR12 07/16/2009 EDN 150/FA 800926 T1 A EDUC ASST II 0.75 $     19,599.00 0.75 $     17,347.50 03 SR10 07/16/2009 EDN 150/YC 58337 J1 A BEHAVIORAL SPECIALIST IV 1.00 $     49,332.00 1.00 $     49,332.00 13 SR22 07/16/2009 EDN 150/YC 58504 J1 A BEHAVIORAL HLTH SPCLT IV 1.00 $     47,412.00 1.00 $     47,412.00 13 SR22 07/18/2009 EDN 150/YC 58543 J1 A BEHAVIORAL HLTH SPCLT IV 1.00 $     45,576.00 1.00 $     47,412.00 13 SR22 07/22/2009 EDN 150/FA 76153 J1 A GEN EDUC/ARTICLE VI TCHR 1.00 $     45,785.00 1.00 $     46,608.96 05 T03 07/22/2009 EDN 150/YG 59560 J1 A BEHAVIORAL HLTH SPCLT IV 1.00 $     49,332.00 1.00 $     49,332.00 13 SR22 07/23/2009 EDN 100/AA 54908 J1 A SCHOOL CUSTODIAN II 1.00 $     33,885.00 1.00 $     32,856.00 01 BC02 07/23/2009 EDN 400/MD 1990 J1 A SCHOOL FOOD SERVICES MGR II 1.00 $     48,429.00 1.00 $     47,160.00 02 F206 Page 27 2011 Budget Briefing
  • 88.
    Department of Education Table 12 Personnel Separations Position  Perm/  Budgeted   Budgeted   Actual  BU  SR  Separation Date Prog ID/Org Number Temp MOF Position Title FTE  Salary  FTE  Actual Salary  Code Level 07/24/2009 EDN 100/AA 64001 J1 A ELEM TEACHER 1.00 $     48,008.00 1.00 $     49,448.16 05 T03 07/24/2009 EDN 100/AA 64528 J1 A SECONDARY TEACHER 1.00 $     52,968.00 1.00 $     32,712.96 05 T02 07/24/2009 EDN 100/AA 65363 T1 A ELEM TEACHER 1.00 $     60,729.12 1.00 $     60,729.12 05 T07 07/24/2009 EDN 100/AA 66035 J1 A SECONDARY TEACHER 1.00 $     56,257.00 1.00 $     53,076.96 05 T02 07/24/2009 EDN 100/AA 67057 J1 A SECONDARY TEACHER 0.50 $     21,579.00 1.00 $     45,785.04 05 T02 07/24/2009 EDN 100/AA 68737 J1 A ELEM TEACHER 1.00 $     45,785.00 1.00 $     51,426.00 05 T04 07/24/2009 EDN 100/AA 69291 J1 A SECONDARY TEACHER 1.00 $     56,257.00 1.00 $     70,400.16 05 T07 07/24/2009 EDN 100/AA 73816 J1 A SECONDARY TEACHER 1.00 $     52,968.00 1.00 $     52,968.00 05 T04 07/24/2009 EDN 100/AA 60689 J1 A ELEM TEACHER 1.00 $     56,257.00 1.00 $     62,550.00 05 T07 07/24/2009 EDN 100/AA 63835 T1 A SECONDARY TEACHER 1.00 $     56,257.00 1.00 $     46,608.96 05 T03 07/24/2009 EDN 150/FA 56928 T1 A EDUC ASST II 1.00 $     27,154.00 1.00 $     25,030.08 03 SR10 07/24/2009 EDN 150/FA 61016 J1 A SPEC ED TEACHER 0.50 $     16,847.00 0.50 $     23,304.48 45 T03 07/24/2009 EDN 150/FA 62858 J1 A GEN EDUC/ARTICLE VI TCHR 1.00 $     43,157.00 1.00 $     72,513.12 05 T07 07/24/2009 EDN 150/FA 64504 J1 A GEN EDUC/ARTICLE VI TCHR 1.00 $     49,448.00 1.00 $     43,157.04 05 T02 07/24/2009 EDN 150/FA 66868 J1 A SPEC ED TEACHER 1.00 $     48,008.00 1.00 $     43,157.04 05 T02 07/24/2009 EDN 150/FA 67292 J1 A GEN EDUC/ARTICLE VI TCHR 1.00 $     53,483.00 1.00 $     55,086.96 05 T05 07/24/2009 EDN 150/FA 71961 J1 A SPEC ED TEACHER 1.00 $     45,785.00 1.00 $     46,608.96 05 T03 07/24/2009 EDN 150/FA 73514 J1 A SPEC ED TEACHER 1.00 $     43,157.04 1.00 $     43,157.04 05 T02 07/24/2009 EDN 150/FA 73728 T1 A SPEC ED TEACHER 1.00 $     32,713.00 1.00 $     43,157.04 05 T02 07/24/2009 EDN 150/FA 74542 J1 A SPEC ED TEACHER 1.00 $     32,713.00 1.00 $     44,452.08 05 T02 07/24/2009 EDN 150/FA 75844 T1 A GEN EDUC/ARTICLE VI TCHR 1.00 $     45,785.00 1.00 $     43,157.04 05 T02 07/24/2009 EDN 150/FA 76154 J1 A SPEC ED TEACHER 1.00 $     51,426.00 1.00 $     43,157.04 05 T02 07/24/2009 EDN 150/YC 58419 T1 A BEHAVIORAL HLTH SPCLT IV 1.00 $     47,412.00 1.00 $     49,332.00 13 SR22 07/25/2009 EDN 150/YC 58208 J1 A CLINICAL PSYCHOLOGIST VI 1.00 $     77,748.00 1.00 $     67,488.00 13 SR26 07/27/2009 EDN 150/FA 71992 J1 A SPEC ED TEACHER 1.00 $     72,513.00 1.00 $     72,513.12 05 T07 07/28/2009 EDN 150/FA 34905 J1 A EDUC ASST III 1.00 $     35,705.00 1.00 $     34,200.00 03 SR12 07/28/2009 EDN 150/FA 52556 J1 A EDUC ASST III 1.00 $     30,506.00 1.00 $     29,220.00 03 SR12 07/28/2009 EDN 150/FA 56880 J1 A EDUC ASST III 1.00 $     30,506.00 1.00 $     29,220.00 03 SR12 07/28/2009 EDN 150/FA 57897 T1 A EDUC ASST III 1.00 $     29,368.00 1.00 $     28,129.92 03 SR12 07/28/2009 EDN 150/FA 58063 J1 A EDUC ASST II 0.75 $     20,366.00 0.75 $     19,507.50 03 SR10 07/28/2009 EDN 150/FA 58978 J1 A EDUC ASST III 0.75 $     21,157.00 0.75 $     18,772.56 03 SR12 07/28/2009 EDN 150/FA 800208 J1 A EDUC ASST III 1.00 $     30,506.00 1.00 $     25,030.08 03 SR12 07/28/2009 EDN 150/YK 29504 J1 A SCHOOL HEALTH AIDE 1.00 $     21,232.00 1.00 $     18,078.00 03 SR09 07/29/2009 EDN 150/FA 24757 J1 A EDUC ASST III 1.00 $     31,769.00 1.00 $     30,430.08 03 SR12 07/29/2009 EDN 150/FA 29599 J1 A EDUC ASST III 1.00 $     27,154.00 1.00 $     26,010.00 03 SR12 07/29/2009 EDN 150/FA 30756 J1 A EDUC ASST III 1.00 $     30,506.00 1.00 $     29,220.00 03 SR12 Page 28 2011 Budget Briefing
  • 89.
    Department of Education Table 12 Personnel Separations Position  Perm/  Budgeted   Budgeted   Actual  BU  SR  Separation Date Prog ID/Org Number Temp MOF Position Title FTE  Salary  FTE  Actual Salary  Code Level 07/29/2009 EDN 150/FA 46236 J1 A EDUC ASST III 1.00 $     29,368.00 1.00 $     25,030.08 03 SR12 07/29/2009 EDN 150/FA 52655 J1 A EDUC ASST III 0.75 $     23,827.00 0.75 $     22,822.56 03 SR12 07/29/2009 EDN 150/FA 52678 J1 A EDUC ASST II 0.75 $     19,599.00 0.75 $     17,347.50 03 SR10 07/29/2009 EDN 150/FA 53114 J1 A EDUC ASST II 0.50 $     13,577.00 0.50 $     11,565.00 03 SR10 07/29/2009 EDN 150/FA 54846 J1 A EDUC ASST II 0.63 $     19,066.00 0.63 $     14,456.25 03 SR10 07/29/2009 EDN 150/FA 55402 J1 A EDUC ASST II 0.75 $     19,599.00 0.75 $     17,347.50 03 SR10 07/29/2009 EDN 150/FA 55453 J1 A EDUC ASST III 0.75 $     19,599.00 0.75 $     18,772.56 03 SR12 07/29/2009 EDN 150/FA 56766 J1 A EDUC ASST II 0.75 $     22,879.00 0.75 $     18,022.50 03 SR10 07/29/2009 EDN 150/FA 57059 J1 A EDUC ASST II 1.00 $     26,131.00 1.00 $     23,130.00 03 SR10 07/29/2009 EDN 150/FA 57282 J1 A EDUC ASST III 0.75 $     21,157.00 0.75 $     18,772.56 03 SR12 07/29/2009 EDN 150/FA 57301 T1 A EDUC ASST III 0.75 $     20,366.00 0.75 $     19,507.50 03 SR12 07/29/2009 EDN 150/FA 57475 T1 A EDUC ASST III 0.75 $     19,599.00 0.75 $     18,772.56 03 SR12 07/29/2009 EDN 150/FA 57651 J1 A EDUC ASST III 1.00 $     28,209.00 1.00 $     27,019.92 03 SR12 07/29/2009 EDN 150/FA 800084 T1 A EDUC ASST III 1.00 $     26,131.00 1.00 $     29,220.00 03 SR12 07/29/2009 EDN 150/FA 800600 J1 A EDUC ASST III 0.50 $     13,577.00 0.50 $     13,005.00 03 SR12 07/29/2009 EDN 150/FA 801291 T1 A EDUC ASST III 1.00 $     26,131.00 1.00 $     25,030.08 03 SR12 07/29/2009 EDN 150/NB 800355 T1 N EDUC ASST I 1.00 $     21,390.00 1.00 $     21,390.00 03 SR08 07/29/2009 EDN 300/KO 19644 J1 A PERSONNEL CLERK IV 1.00 $     33,756.00 1.00 $     28,836.00 63 SR11 07/30/2009 EDN 100/AA 66340 J1 A ELEM TEACHER 1.00 $     56,257.00 1.00 $     51,426.00 05 T04 07/30/2009 EDN 150/YC 58372 J1 A BEHAVIORAL HLTH SPCLT IV 1.00 $     45,576.00 1.00 $     45,576.00 13 SR22 07/31/2009 EDN 150/FA 57630 T1 A EDUC ASST I 0.75 $     19,599.00 0.75 $     16,042.50 03 SR08 07/31/2009 EDN 150/YG 800478 J1 A EDUC ASST III 1.00 $     26,131.00 1.00 $     25,030.08 03 SR12 07/31/2009 EDN 400/MD 31649 T1 N CAFETERIA HELPER 0.50 $     16,614.00 0.50 $     16,614.00 01 BC02 08/01/2009 EDN 100/AA 10554 J1 A SCHOOL ADM SERVICES ASST III 1.00 $     44,419.00 1.00 $     44,412.00 04 SR16 08/01/2009 EDN 100/AA 16435 J1 A SCHOOL CUSTODIAN III 1.00 $     33,885.00 1.00 $     35,544.00 01 WS02 08/01/2009 EDN 100/AA 60196 J1 A SECONDARY TEACHER 1.00 $     56,257.00 1.00 $     54,669.12 05 T02 08/01/2009 EDN 100/AA 61576 J1 A VICE PRINCIPAL I 1.00 $     81,503.00 1.00 $     80,514.00 06 E03 08/01/2009 EDN 100/AA 62835 J1 A ELEM TEACHER 1.00 $     56,257.00 1.00 $     79,170.00 05 T07 08/01/2009 EDN 100/AA 64026 J1 A ELEM TEACHER 1.00 $     56,257.00 1.00 $     79,170.00 05 T07 08/01/2009 EDN 100/AA 64755 J1 A 12‐MO HS PRIN VIII 1.00 $  145,154.00 1.00 $  155,782.08 06 E11 08/01/2009 EDN 100/AA 64905 J1 A SECONDARY TEACHER 1.00 $     56,257.00 1.00 $     60,729.12 05 T07 08/01/2009 EDN 100/AA 65227 J1 A 12‐MO INTER PRIN V 1.00 $  126,104.00 1.00 $  110,046.00 06 E08 08/01/2009 EDN 100/AA 65547 J1 A SECONDARY TEACHER 1.00 $     56,257.00 1.00 $     59,043.12 05 T03 08/01/2009 EDN 100/AA 67864 J1 A SECONDARY TEACHER 1.00 $     56,257.00 1.00 $     68,351.04 05 T07 08/01/2009 EDN 100/AA 69125 J1 A 12‐MONTH REGISTRAR 1.00 $     67,508.00 1.00 $     72,513.12 05 T07 08/01/2009 EDN 100/AA 69339 J1 A ELEM TEACHER 1.00 $     56,257.00 1.00 $     74,688.00 05 T06 Page 29 2011 Budget Briefing
  • 90.
    Department of Education Table 12 Personnel Separations Position  Perm/  Budgeted   Budgeted   Actual  BU  SR  Separation Date Prog ID/Org Number Temp MOF Position Title FTE  Salary  FTE  Actual Salary  Code Level 08/01/2009 EDN 100/AA 69513 J1 A SECONDARY TEACHER 1.00 $     56,257.00 1.00 $     48,574.08 05 T02 08/01/2009 EDN 100/AA 73631 J1 A 12‐MO HS PRIN VIII 1.00 $  145,154.00 1.00 $  155,782.08 06 E11 08/01/2009 EDN 100/AA 62095X T1 A ELEM TEACHER 1.00 $     56,257.00 1.00 $     46,608.96 05 T03 08/01/2009 EDN 100/AA 72976F T1 A 12‐MO STUDENT SVCS COORD 1.00 $     67,508.00 1.00 $     79,170.00 05 T07 08/01/2009 EDN 100/AA 72990F T1 A 10‐MO STUDENT SVCS COORD 1.00 $     56,257.00 1.00 $     57,999.12 05 T02 08/01/2009 EDN 100/AA 76238X T1 A ELEM TEACHER 1.00 $     56,257.00 1.00 $     53,076.96 05 T02 08/01/2009 EDN 150/FA 60599 J1 A GEN EDUC/ARTICLE VI TCHR 1.00 $     43,157.00 1.00 $     79,170.00 05 T07 08/01/2009 EDN 150/FA 67549 J1 A SPEC ED TEACHER 1.00 $     70,461.00 1.00 $     70,461.12 05 T06 08/01/2009 EDN 150/FA 67915 J1 A SPEC ED TEACHER 1.00 $     66,397.00 1.00 $     66,396.96 05 T03 08/01/2009 EDN 150/FA 68366 J1 A GEN EDUC/ARTICLE VI TCHR 1.00 $     61,405.00 1.00 $     61,404.96 05 T04 08/01/2009 EDN 150/FA 73505 J1 A SPEC ED TEACHER 1.00 $     58,959.00 1.00 $     44,452.08 05 T02 08/01/2009 EDN 150/FA 75572 T1 A SPEC ED TEACHER 1.00 $     66,359.00 1.00 $     66,359.04 05 T07 08/01/2009 EDN 150/SA 56362 J1 A SPEECH PATHOLOGIST II 1.00 $     60,315.00 1.00 $     38,988.00 13 SR18 08/01/2009 EDN 150/YG 57990 J1 A HUMAN SVCS PROF IV 1.00 $     45,576.00 1.00 $     45,576.00 13 SR22 08/01/2009 EDN 300/KF 66414 J1 A ACCTG OPERATION SPEC III 1.00 $     84,947.00 1.00 $     84,947.04 06 E08 08/01/2009 EDN 400/MD 2060 J1 A SCHOOL FOOD SERVICES MGR III 1.00 $     50,376.00 1.00 $     49,056.00 02 F206 08/01/2009 EDN 400/MD 32340 J1 B CAFETERIA HELPER 0.50 $     16,614.00 0.50 $     16,614.00 01 BC02 08/06/2009 EDN 100/AA 30644 J1 A SCHOOL SECURITY ATTENDANT 1.00 $     25,213.00 1.00 $     24,070.08 03 SR07 08/06/2009 EDN 100/AA 55800 T1 A EDUC ASST III 0.50 $     14,824.00 0.50 $     13,509.96 03 SR12 08/08/2009 EDN 100/AA 55970 J1 A EDUC ASST III 0.50 $     14,824.00 0.50 $     14,610.00 03 SR12 08/08/2009 EDN 150/FA 57130 J1 A EDUC ASST II 0.75 $     20,366.00 0.75 $     19,507.50 03 SR10 08/08/2009 EDN 150/YC 800568 J1 A SCHOOL PSYCHOLOGIST 1.00 $     58,716.00 1.00 $     51,312.00 13 SR24 08/08/2009 EDN 400/YA 59108 J1 A BUS DRIVER 0.50 $     19,986.00 0.50 $     19,986.00 01 BC07 08/13/2009 EDN 100/AA 54856 T1 A CLERK III 0.50 $     14,589.00 0.50 $     13,350.00 03 SR08 08/15/2009 EDN 100/AA 46072 T1 A EDUC ASST II 0.50 $     14,824.00 0.50 $     12,015.00 03 SR10 08/15/2009 EDN 100/AA 55116 T1 A CLERK II 0.88 $     25,677.00 0.88 $     20,727.00 03 SR06 08/15/2009 EDN 100/AA 64791 J1 A SECONDARY TEACHER 1.00 $     56,257.00 1.00 $     57,880.08 05 T04 08/15/2009 EDN 100/AA 64920 J1 A SECONDARY TEACHER 1.00 $     56,257.00 1.00 $     62,550.00 05 T07 08/15/2009 EDN 150/FA 51914 J1 A EDUC ASST III 0.75 $     22,879.00 0.75 $     21,915.00 03 SR12 08/15/2009 EDN 150/YC 58341 J1 A BEHAVIORAL HEALTH SPCLT IV 1.00 $     49,332.00 1.00 $     49,332.00 13 SR22 08/15/2009 EDN 150/YC 58858 J1 A CLERK TYPIST II 1.00 $     28,836.00 1.00 $     28,836.00 03 SR08 08/15/2009 EDN 400/MD 2027 J1 A SCHOOL BAKER 1.00 $     38,436.00 1.00 $     38,436.00 01 BC06 08/15/2009 EDN 400/MD 59669 T1 N CAFETERIA HELPER 0.50 $     16,614.00 0.50 $     16,428.00 01 BC02 08/18/2009 EDN 100/AA 60956 J1 A SECONDARY TEACHER 1.00 $     56,257.00 1.00 $     51,426.00 05 T04 08/19/2009 EDN 100/AA 68857 J1 A SECONDARY TEACHER 1.00 $     56,257.00 1.00 $     56,740.08 05 T05 08/19/2009 EDN 100/AA 73238 J1 A SECONDARY TEACHER 1.00 $     56,257.00 1.00 $     57,880.08 05 T04 Page 30 2011 Budget Briefing
  • 91.
    Department of Education Table 12 Personnel Separations Position  Perm/  Budgeted   Budgeted   Actual  BU  SR  Separation Date Prog ID/Org Number Temp MOF Position Title FTE  Salary  FTE  Actual Salary  Code Level 08/20/2009 EDN 100/AA 75822 J1 A SECONDARY TEACHER 1.00 $     56,257.00 1.00 $     45,785.04 05 T02 08/21/2009 EDN 100/AA 54880 T1 A CLERK III 0.75 $     21,884.00 0.75 $     20,817.00 03 SR08 08/21/2009 EDN 100/AA 56109 T1 A CLERK III 1.00 $     29,178.00 1.00 $     27,756.00 03 SR08 08/21/2009 EDN 100/AA 74386 J1 A LIBRARIAN 1.00 $     56,257.00 1.00 $     54,558.00 05 T04 08/21/2009 EDN 150/FA 67431 J1 A SPEC ED TEACHER 1.00 $     49,448.00 1.00 $     48,008.16 05 T03 08/21/2009 EDN 150/YC 58540 T1 A BEHAVIORAL HLTH SPCLT IV 1.00 $     51,312.00 1.00 $     51,312.00 13 SR22 08/21/2009 EDN 200/GN 76379 J1 A COMPLEX AREA TEACHER 1.00 $     61,404.96 1.00 $     61,404.96 05 T04 08/25/2009 EDN 100/AA 65004 J1 A LIBRARIAN 1.00 $     56,257.00 1.00 $     49,448.16 05 T03 08/25/2009 EDN 150/FA 57790 J1 A EDUC ASST III 0.75 $     19,599.00 0.75 $     18,772.56 03 SR12 08/29/2009 EDN 100/AA 16471 J1 A SCHOOL CUSTODIAN III 1.00 $     33,885.00 1.00 $     35,544.00 01 WS02 08/29/2009 EDN 100/AA 33478 J1 A CLERK TYPIST II 1.00 $     29,865.00 1.00 $     27,756.00 03 SR08 08/29/2009 EDN 100/AA 60972 J1 A SECONDARY TEACHER 1.00 $     56,257.00 1.00 $     59,010.00 05 T06 08/29/2009 EDN 100/BS 73384 T1 A ROTC INSTRUCTOR 1.00 $     69,494.00 1.00 $     74,292.00 55 ROTC 08/29/2009 EDN 100/BS 73437 T1 A ROTC INSTRUCTOR 1.00 $     82,095.00 1.00 $     84,876.00 55 ROTC 08/29/2009 EDN 150/FA 40737 J1 A EDUC ASST III 1.00 $     33,032.00 1.00 $     31,639.92 03 SR12 08/29/2009 EDN 150/NB 800180 T1 N EDUC ASST III 0.75 $     19,507.50 0.75 $     19,507.50 03 SR12 08/29/2009 EDN 150/YC 800447 J1 A SCHOOL PSYCHOLOGIST 1.00 $     67,428.00 1.00 $     60,024.00 13 SR24 08/30/2009 EDN 100/AA 73873 J1 A SECONDARY TEACHER 1.00 $     56,257.00 1.00 $     68,351.04 05 T07 09/01/2009 EDN 100/AA 1881 J1 A SCHOOL ADM SERVICES ASST II 1.00 $     44,419.00 1.00 $     36,516.00 04 SR14 09/01/2009 EDN 100/AA 1933 J1 A SCHOOL ADM SERVICES ASST III 1.00 $     44,419.00 1.00 $     48,048.00 04 SR16 09/01/2009 EDN 100/AA 12589 J1 A SCHOOL ADM SERVICES ASST III 1.00 $     44,419.00 1.00 $     51,936.00 04 SR16 09/01/2009 EDN 100/AA 16214 J1 A SCHOOL CUSTODIAN II 1.00 $     33,885.00 1.00 $     33,228.00 01 BC02 09/01/2009 EDN 100/AA 16303 J1 A SCHOOL CUSTODIAN II 1.00 $     33,885.00 1.00 $     33,228.00 01 BC02 09/01/2009 EDN 100/AA 16498 J1 A SCHOOL CUSTODIAN II 0.50 $     16,942.00 0.50 $     16,614.00 01 BC02 09/01/2009 EDN 100/AA 28841 J1 A CLERK TYPIST II 1.00 $     29,865.00 1.00 $     39,480.00 03 SR08 09/01/2009 EDN 100/AA 41039 J1 A ACCOUNT CLERK III 1.00 $     34,121.00 1.00 $     39,480.00 03 SR11 09/01/2009 EDN 100/AA 41901 J1 A CLERK TYPIST II 0.50 $     14,933.00 0.50 $     12,834.00 03 SR08 09/01/2009 EDN 100/AA 55876 T1 A EDUC ASST II 0.50 $     14,824.00 0.50 $     13,005.00 03 SR10 09/01/2009 EDN 100/AA 56476 J1 A CLERK TYPIST II 1.00 $     29,865.00 1.00 $     33,756.00 03 SR08 09/01/2009 EDN 100/AA 60322 J1 A SECONDARY TEACHER 1.00 $     56,257.00 1.00 $     55,086.96 05 T05 09/01/2009 EDN 100/AA 61680 J1 A SECONDARY TEACHER 1.00 $     56,257.00 1.00 $     55,622.16 05 T06 09/01/2009 EDN 100/AA 71677 J1 A SECONDARY TEACHER 0.50 $     28,128.00 0.50 $     32,573.00 45 T04 09/01/2009 EDN 100/AA 73823 T1 A SECONDARY TEACHER 1.00 $     56,257.00 1.00 $     49,448.16 05 T03 09/01/2009 EDN 150/FA 60121 J1 A SPEC ED TEACHER 1.00 $     63,861.00 1.00 $     46,608.96 05 T03 09/01/2009 EDN 150/FA 62021 J1 A SPEC ED TEACHER 1.00 $     43,157.00 1.00 $     59,043.12 05 T03 09/01/2009 EDN 150/NB 79347 T1 N DIST OFF TCHR 1.00 $     48,008.16 1.00 $     48,008.16 05 T03 Page 31 2011 Budget Briefing
  • 92.
    Department of Education Table 12 Personnel Separations Position  Perm/  Budgeted   Budgeted   Actual  BU  SR  Separation Date Prog ID/Org Number Temp MOF Position Title FTE  Salary  FTE  Actual Salary  Code Level 09/01/2009 EDN 150/NB 79505 T1 N 12‐MO DIST OFF TCHR 1.00 $     68,351.04 1.00 $     68,351.04 05 T07 09/01/2009 EDN 150/SA 4901 J1 A SOCIAL WORKER IV 1.00 $     69,305.00 1.00 $     67,488.00 13 SR22 09/01/2009 EDN 150/SA 28988 J1 A OCCUPATIONAL THERAPIST V 1.00 $     75,960.00 1.00 $     75,960.00 23 SR24 09/01/2009 EDN 300/KO 75407 J1 A PERSONNEL SPECIALIST III 1.00 $     91,060.00 1.00 $     91,060.08 56 E08 09/01/2009 EDN 300/UA 35492 J1 A COMPUTER OPERATOR II 1.00 $     51,936.00 1.00 $     51,936.00 03 SR15 09/01/2009 EDN 300/UA 66812 J1 A ASST SUPT, INFO/TECH SVCS 1.00 $  115,000.00 1.00 $  114,999.96 96 E00 09/01/2009 EDN 400/MD 2051 J1 A SCHOOL FOOD SERVICES MGR III 1.00 $     50,376.00 1.00 $     49,056.00 02 F206 09/01/2009 EDN 400/MD 9256 J1 A SCHOOL BAKER 1.00 $     38,436.00 1.00 $     38,436.00 01 BC06 09/01/2009 EDN 400/MD 9486 J1 B SCHOOL COOK II 1.00 $     38,436.00 1.00 $     38,436.00 01 BC06 09/01/2009 EDN 400/OC 17138 J1 A BUILDING MAINTENANCE WORKER I 1.00 $     44,544.00 1.00 $     44,544.00 01 BC09 09/01/2009 EDN 500/PC 69907 J1 A 12‐MO CSA PRIN V 1.00 $  137,459.00 1.00 $  137,459.04 06 E09 09/05/2009 EDN 150/FA 64288 J1 A SPEC ED TEACHER 1.00 $     40,567.00 1.00 $     46,608.96 05 T03 09/05/2009 EDN 150/FA 75646 T1 A SPEC ED TEACHER 1.00 $     53,483.00 1.00 $     43,157.04 05 T02 09/05/2009 EDN 150/YK 29367 J1 A SCHOOL HEALTH AIDE 1.00 $     25,812.00 1.00 $     24,724.08 03 SR09 09/05/2009 EDN 400/MD 9279 J1 N CAFETERIA HELPER 0.50 $     16,614.00 0.50 $     16,614.00 01 BC02 09/09/2009 EDN 100/AA 69729 J1 A SECONDARY TEACHER 1.00 $     56,257.00 1.00 $     45,785.04 05 T02 09/09/2009 EDN 100/DL 58678 T1 N CLERK TYPIST II 0.50 $     13,350.00 0.50 $     13,350.00 03 SR08 09/12/2009 EDN 150/FA 800209 T1 A EDUC ASST III 1.00 $     27,154.00 1.00 $     26,010.00 03 SR12 09/12/2009 EDN 150/FA 800576 J1 A EDUC ASST III 1.00 $     28,209.00 1.00 $     27,019.92 03 SR12 09/12/2009 EDN 400/MD 50885 J1 B CAFETERIA HELPER 0.50 $     16,614.00 0.50 $     16,614.00 01 BC02 09/15/2009 EDN 150/FA 33283 J1 A EDUC ASST III 0.75 $     21,157.00 0.75 $     20,264.94 03 SR12 09/16/2009 EDN 100/AA 800690 J1 A CLERK TYPIST II 0.50 $     14,933.00 0.50 $     12,834.00 03 SR08 09/16/2009 EDN 150/YC 58405 J1 A BEHAVIORAL HLTH SPCLT III 1.00 $     45,576.00 1.00 $     42,132.00 13 SR20 09/16/2009 EDN 400/MD 9913 J1 B FOOD SERVICES DRIVER 1.00 $     34,164.00 1.00 $     34,164.00 01 BC03 09/16/2009 EDN 400/MD 57901 J1 B CAFETERIA HELPER 0.50 $     16,614.00 0.50 $     16,614.00 01 BC02 09/19/2009 EDN 150/FA 58154 T1 A EDUC ASST III 1.00 $     26,131.00 1.00 $     25,030.08 03 SR12 09/19/2009 EDN 150/FA 58154 T1 A EDUC ASST II 1.00 $     26,131.00 1.00 $     24,147.72 03 SR10 09/22/2009 EDN 150/NB 55293 T1 N CLERK TYPIST II 1.00 $     31,212.00 1.00 $     31,212.00 03 SR08 09/23/2009 EDN 150/YC 75428 J1 A FISCAL SPECIALIST II 1.00 $     77,069.00 1.00 $     77,069.04 06 E07 09/24/2009 EDN 100/AA 28446 J1 A SCHOOL CUSTODIAN II 0.50 $     16,942.00 0.50 $     16,614.00 01 BC02 09/26/2009 EDN 150/SA 801326 J1 A EDUCATIONAL INTERPRETER II 1.00 $     43,680.00 1.00 $     32,424.00 03 SR14 10/01/2009 EDN 100/AA 1845 J1 A SCHOOL ADM SERVICES ASST IV 1.00 $     44,419.00 1.00 $     58,440.00 04 SR18 10/01/2009 EDN 100/AA 16159 J1 A SCHOOL CUSTODIAN II 1.00 $     33,885.00 1.00 $     33,228.00 01 BC02 10/01/2009 EDN 100/AA 16296 J1 A SCHOOL CUSTODIAN III 1.00 $     33,885.00 1.00 $     35,544.00 01 WS02 10/01/2009 EDN 100/AA 16638 J1 A SCHOOL CUSTODIAN III 1.00 $     33,885.00 1.00 $     35,544.00 01 WS02 10/01/2009 EDN 100/AA 19309 J1 A SCHOOL CUSTODIAN II 0.50 $     16,942.00 0.50 $     16,614.00 01 BC02 Page 32 2011 Budget Briefing
  • 93.
    Department of Education Table 12 Personnel Separations Position  Perm/  Budgeted   Budgeted   Actual  BU  SR  Separation Date Prog ID/Org Number Temp MOF Position Title FTE  Salary  FTE  Actual Salary  Code Level 10/01/2009 EDN 100/AA 36293 J1 A CLERK TYPIST II 0.50 $     14,933.00 0.50 $     17,532.00 03 SR08 10/01/2009 EDN 100/AA 42040 J1 A CLERK TYPIST II 0.50 $     14,933.00 0.50 $     16,878.00 03 SR08 10/01/2009 EDN 100/AA 45219 J1 A SCHOOL CUSTODIAN II 0.50 $     16,942.00 0.50 $     16,614.00 01 BC02 10/01/2009 EDN 100/AA 56060 J1 A CLERK III 1.00 $     29,178.00 1.00 $     39,480.00 03 SR08 10/01/2009 EDN 100/AA 60326 J1 A SECONDARY TEACHER 1.00 $     56,257.00 1.00 $     66,359.04 05 T07 10/01/2009 EDN 100/AA 61873 J1 A VICE PRINCIPAL IV 1.00 $     81,503.00 1.00 $  100,574.16 06 E06 10/01/2009 EDN 100/AA 63192 J1 A SECONDARY TEACHER 1.00 $     56,257.00 1.00 $     79,170.00 05 T07 10/01/2009 EDN 100/AA 72623 J1 A 12‐MO COUNSELOR 1.00 $     67,508.00 1.00 $     46,608.96 05 T03 10/01/2009 EDN 100/AA 74532 J1 A ELEM TEACHER 1.00 $     56,257.00 1.00 $     45,785.04 05 T02 10/01/2009 EDN 100/AA 75361 T1 A 10‐MO STUDENT SVCS COORD 1.00 $     56,257.00 1.00 $     74,688.00 05 T07 10/01/2009 EDN 100/AA 800758 T1 A EDUC ASST II 0.75 $     22,235.00 0.75 $     17,347.50 03 SR10 10/01/2009 EDN 150/FA 800563 J1 A EDUC ASST I 0.50 $     13,577.00 0.50 $     11,124.96 03 SR08 10/01/2009 EDN 150/SA 30424 J1 A SPEECH PATHOLOGIST IV 1.00 $     69,305.00 1.00 $     67,488.00 13 SR22 10/01/2009 EDN 150/SA 800314 J1 A EDUCATIONAL INTERPRETER 1.00 $     32,223.00 1.00 $     32,220.00 03 SRNA 10/01/2009 EDN 150/SA 800316 J1 A EDUCATIONAL INTERPRETER 1.00 $     29,940.00 1.00 $     28,788.00 03 SRNA 10/01/2009 EDN 150/SA 800318 J1 A EDUCATIONAL INTERPRETER 1.00 $     32,223.00 1.00 $     32,220.00 03 SRNA 10/01/2009 EDN 150/SA 800321 J1 A EDUCATIONAL INTERPRETER 1.00 $     32,223.00 1.00 $     32,220.00 03 SRNA 10/01/2009 EDN 150/YC 58384 J1 A BEHAVIORAL HLTH SPCLT III 1.00 $     45,576.00 1.00 $     42,132.00 13 SR20 10/01/2009 EDN 150/YK 29427 J1 A SCHOOL HEALTH AIDE 1.00 $     27,907.00 1.00 $     26,730.96 03 SR09 10/01/2009 EDN 300/KD 48819 J1 A CLERK TYPIST II 1.00 $     25,668.00 1.00 $     25,668.00 03 SR08 10/01/2009 EDN 300/KD 100026 J1 A PRIVATE SECRETARY II 1.00 $     46,176.00 1.00 $     46,176.00 63 SR22 10/01/2009 EDN 300/KF 59881 J1 A AUDITOR V 1.00 $     62,424.00 1.00 $     62,424.00 13 SR24 10/01/2009 EDN 400/MB 59553 T1 N ACCOUNTANT IV 1.00 $     53,352.00 1.00 $     49,332.00 13 SR20 10/01/2009 EDN 400/MD 15963 J1 A SCHOOL FOOD SERVICES MGR II 1.00 $     46,409.00 1.00 $     45,192.00 02 F106 10/01/2009 EDN 400/MD 23942 J1 B CAFETERIA HELPER 0.50 $     16,614.00 0.50 $     16,614.00 01 BC02 10/01/2009 EDN 400/MD 46012 J1 B CAFETERIA HELPER 0.50 $     16,614.00 0.50 $     16,614.00 01 BC02 10/03/2009 EDN 100/AA 59984 T1 A SCHOOL CUSTODIAN II 0.50 $     16,942.00 0.50 $     16,614.00 01 BC02 10/03/2009 EDN 100/AA 68823 J1 A SECONDARY TEACHER 1.00 $     56,257.00 1.00 $     32,712.96 05 T02 10/03/2009 EDN 100/AA 72284 J1 A SECONDARY TEACHER 1.00 $     56,257.00 1.00 $     46,608.96 05 T03 10/03/2009 EDN 100/AA 69894X J1 A SECONDARY TEACHER 1.00 $     56,257.00 1.00 $     32,712.96 05 T02 10/03/2009 EDN 100/AA 68823 J1 A SECONDARY TEACHER 1.00 $     56,257.00 1.00 $     32,712.96 05 T02 10/03/2009 EDN 100/AA 72284 J1 A SECONDARY TEACHER 1.00 $     56,257.00 1.00 $     46,608.96 05 T03 10/03/2009 EDN 150/FA 56704 T1 A EDUC ASST III 1.00 $     28,209.00 1.00 $     29,220.00 03 SR12 10/03/2009 EDN 150/FA 57193 T1 A EDUC ASST I 0.75 $     20,366.00 0.75 $     16,687.44 03 SR08 10/03/2009 EDN 150/FA 65604 J1 A SPEC ED TEACHER 1.00 $     61,405.00 1.00 $     61,404.96 05 T04 10/03/2009 EDN 150/FA 71762 J1 A SPEC ED TEACHER 1.00 $     59,010.00 1.00 $     40,566.96 05 A02 Page 33 2011 Budget Briefing
  • 94.
    Department of Education Table 12 Personnel Separations Position  Perm/  Budgeted   Budgeted   Actual  BU  SR  Separation Date Prog ID/Org Number Temp MOF Position Title FTE  Salary  FTE  Actual Salary  Code Level 10/03/2009 EDN 150/FA 72796 J1 A SPEC ED TEACHER 1.00 $     43,157.00 1.00 $     43,157.04 05 T02 10/03/2009 EDN 400/MD 59667 J1 B CAFETERIA HELPER 0.50 $     16,614.00 0.50 $     16,614.00 01 BC02 10/06/2009 EDN 100/AA 39615 J1 A SCHOOL CUSTODIAN II 0.50 $     16,942.00 0.50 $     16,614.00 01 BC02 10/07/2009 EDN 150/SA 32738 J1 A OCCUPATIONAL THERAPIST IV 1.00 $     56,388.00 1.00 $     45,576.00 13 SR22 10/10/2009 EDN 150/FA 17916 J1 A EDUC ASST II 1.00 $     26,131.00 1.00 $     23,130.00 03 SR10 10/10/2009 EDN 400/MD 800970 J1 B SCHOOL COOK II 1.00 $     38,436.00 1.00 $     38,436.00 01 BC06 10/13/2009 EDN 100/BB 79801 T1 N STATE OFFICE TEACHER 1.00 $     58,959.12 1.00 $     58,959.12 05 T07 10/16/2009 EDN 150/FA 56972 T1 A EDUC ASST III 1.00 $     27,154.00 1.00 $     26,010.00 03 SR12 10/17/2009 EDN 100/AA 45354 J1 A LIBRARY ASSISTANT III 1.00 $     30,478.00 1.00 $     26,700.00 03 SR07 10/17/2009 EDN 100/AA 60585 J1 A ELEM TEACHER 1.00 $     56,257.00 1.00 $     60,729.12 05 T07 10/17/2009 EDN 100/AA 76240 J1 A ELEM TEACHER 1.00 $     56,257.00 1.00 $     57,324.00 05 T03 10/17/2009 EDN 150/FA 57214 T1 A EDUC ASST I 0.75 $     19,599.00 0.75 $     16,042.50 03 SR08 10/17/2009 EDN 150/FA 57461 J1 A EDUC ASST I 0.75 $     22,879.00 0.75 $     16,042.50 03 SR08 10/17/2009 EDN 150/FA 62594 J1 A GEN EDUC/ARTICLE VI TCHR 1.00 $     59,617.00 1.00 $     59,616.96 05 T04 10/17/2009 EDN 150/FA 65943 J1 A GEN EDUC/ARTICLE VI TCHR 1.00 $     68,351.00 1.00 $     68,351.04 05 T07 10/17/2009 EDN 150/FA 65943 J1 A GEN EDUC/ARTICLE VI TCHR 1.00 $     68,351.00 1.00 $     68,351.04 05 T07 10/17/2009 EDN 150/FA 800200 T1 A EDUC ASST III 1.00 $     29,368.00 1.00 $     28,129.92 03 SR12 10/17/2009 EDN 150/FA 800556 T1 A EDUC ASST III 0.75 $     19,599.00 0.75 $     19,507.50 03 SR12 10/20/2009 EDN 150/FA 67019 T1 A GEN EDUC/ARTICLE VI TCHR 1.00 $     79,170.00 1.00 $     46,608.96 05 T03 10/21/2009 EDN 100/AA 16646 J1 A SCHOOL CUSTODIAN II 0.50 $     16,942.00 0.50 $     16,614.00 01 BC02 10/22/2009 EDN 400/MD 59892 T1 N CAFETERIA HELPER 0.50 $     16,614.00 0.50 $     16,614.00 61 BC02 10/23/2009 EDN 100/AA 65177 J1 A COUNSELOR 1.00 $     56,257.00 1.00 $     58,959.12 05 T07 10/23/2009 EDN 100/AA 72714 J1 A 12‐MO SECONDARY TEACHER 1.00 $     67,508.00 1.00 $     46,608.96 05 T03 10/23/2009 EDN 100/AA 65177 J1 A COUNSELOR 1.00 $     56,257.00 1.00 $     58,959.12 05 T07 10/23/2009 EDN 150/FA 37171 J1 A EDUC ASST III 1.00 $     27,154.00 1.00 $     26,010.00 03 SR12 10/23/2009 EDN 150/FA 57141 T1 A EDUC ASST III 1.00 $     27,154.00 1.00 $     25,030.08 03 SR12 10/23/2009 EDN 300/KO 69986 J1 A PERSONNEL SPECIALIST II 1.00 $     81,475.00 1.00 $     81,474.96 56 E07 10/24/2009 EDN 400/MD 56639 J1 B CAFETERIA HELPER 0.50 $     16,614.00 0.50 $     16,614.00 01 BC02 10/27/2009 EDN 150/YC 58215 J1 A CLINICAL PSYCHOLOGIST VI 1.00 $     68,160.00 1.00 $     55,500.00 13 SR26 10/28/2009 EDN 100/AA 56614 J1 A CLERK TYPIST II 0.75 $     22,399.00 0.75 $     22,527.00 03 SR08 10/29/2009 EDN 150/FA 73204 J1 A SPEC ED TEACHER 1.00 $     53,483.00 1.00 $     43,157.04 05 T02 10/30/2009 EDN 100/AA 30605 J1 A SCHOOL SECURITY ATTENDANT 1.00 $     25,213.00 1.00 $     29,220.00 03 SR07 10/30/2009 EDN 100/AA 71978 T1 A ELEM TEACHER 1.00 $     56,257.00 1.00 $     48,008.16 05 T03 10/30/2009 EDN 150/FA 38962 J1 A EDUC ASST III 1.00 $     35,705.00 1.00 $     34,200.00 03 SR12 10/30/2009 EDN 150/FA 47651 J1 A EDUC ASST III 1.00 $     33,032.00 1.00 $     31,639.92 03 SR12 10/30/2009 EDN 150/FA 57472 T1 A EDUC ASST I 0.50 $     13,066.00 0.50 $     10,695.00 03 SR08 Page 34 2011 Budget Briefing
  • 95.
    Department of Education Table 12 Personnel Separations Position  Perm/  Budgeted   Budgeted   Actual  BU  SR  Separation Date Prog ID/Org Number Temp MOF Position Title FTE  Salary  FTE  Actual Salary  Code Level 10/30/2009 EDN 150/YC 58297 J1 A CLINICAL PSYCHOLOGIST VI 1.00 $     68,160.00 1.00 $     55,500.00 13 SR26 10/30/2009 EDN 150/YK 29383 J1 A SCHOOL HEALTH AIDE 1.00 $     18,873.00 1.00 $     21,132.96 03 SR09 10/30/2009 EDN 300/KD 100034 J1 A EXECUTIVE SECT TO THE SUPT 1.00 $     76,944.00 1.00 $     76,944.00 63 SR26 10/30/2009 EDN 300/KF 19304 J1 A SECRETARY IV 1.00 $     58,440.00 1.00 $     58,440.00 03 SR18 10/30/2009 EDN 300/UA 43517 J1 A DP USER SUPPORT TECH II 1.00 $     51,936.00 1.00 $     51,936.00 03 SR15 10/30/2009 EDN 400/OC 17176 J1 A BUILDING MTNCE DISTRICT SUPVR 1.00 $     61,980.00 1.00 $     61,980.00 02 F310 10/31/2009 EDN 100/AA 16713 J1 A SCHOOL CUSTODIAN II 1.00 $     33,885.00 1.00 $     33,228.00 01 BC02 10/31/2009 EDN 400/MD 21753 J1 B CAFETERIA HELPER 1.00 $     33,228.00 1.00 $     33,228.00 01 BC02 10/31/2009 EDN 400/MD 51921 J1 B CAFETERIA HELPER 0.50 $     16,614.00 0.50 $     16,614.00 01 BC02 11/01/2009 EDN 150/YG 75409 T1 A 12‐MO DIST OFF TCHR 1.00 $     89,626.00 1.00 $     74,688.00 05 T06 11/01/2009 EDN 200/GN 76377 J1 A DIST OFF TCHR 1.00 $     74,688.00 1.00 $     74,688.00 05 T06 11/01/2009 EDN 500/PC 73653 T1 A 12‐MO CSA PRIN VI 1.00 $  147,353.00 1.00 $  147,353.04 06 E10 11/06/2009 EDN 100/AA 62533 J1 A SECONDARY TEACHER 1.00 $     56,257.00 1.00 $     46,608.96 05 T03 11/06/2009 EDN 100/AA 74267X T1 A ELEM TEACHER 1.00 $     56,257.00 1.00 $     46,608.96 05 T03 11/06/2009 EDN 150/FA 69429 J1 A GEN EDUC/ARTICLE VI TCHR 1.00 $     55,087.00 1.00 $     55,086.96 05 T05 11/10/2009 EDN 100/AA 56616 J1 A CLERK TYPIST II 0.50 $     14,933.00 0.50 $     13,878.00 03 SR08 11/11/2009 EDN 150/FA 58122 J1 A EDUC ASST III 0.75 $     19,599.00 0.75 $     18,772.56 03 SR12 11/13/2009 EDN 150/SA 800634 J1 A SPEECH PATHOLOGIST IV 1.00 $     60,315.00 1.00 $     45,576.00 13 SR22 11/14/2009 EDN 100/AA 30840 J1 A CLERK TYPIST II 0.50 $     14,933.00 0.50 $     12,834.00 03 SR08 11/14/2009 EDN 150/FA 64411 J1 A GEN EDUC/ARTICLE VI TCHR 1.00 $     51,426.00 1.00 $     51,426.00 05 T04 11/14/2009 EDN 150/FA 68710 J1 A GEN EDUC/ARTICLE VI TCHR 1.00 $     44,452.00 1.00 $     46,608.96 05 T03 11/14/2009 EDN 150/FA 74843 J1 A GEN EDUC/ARTICLE VI TCHR 1.00 $     44,452.00 1.00 $     44,452.08 05 T02 11/14/2009 EDN 300/KD 100026 J1 A PRIVATE SECRETARY II 1.00 $     46,176.00 1.00 $     44,412.00 63 SR22 11/14/2009 EDN 400/MD 30114 T1 N CAFETERIA HELPER 0.50 $     16,614.00 0.50 $     16,614.00 01 BC02 11/14/2009 EDN 400/MD 32418 T1 N CAFETERIA HELPER 0.50 $     16,614.00 0.50 $     16,614.00 01 BC02 11/14/2009 EDN 400/MD 35836 T1 N CAFETERIA HELPER 0.50 $     16,614.00 0.50 $     16,614.00 01 BC02 11/14/2009 EDN 400/MD 38355 T1 N CAFETERIA HELPER 0.50 $     16,614.00 0.50 $     16,614.00 01 BC02 11/14/2009 EDN 400/MD 42841 J1 B CAFETERIA HELPER 0.50 $     16,614.00 0.50 $     16,614.00 01 BC02 11/14/2009 EDN 400/MD 42850 J1 B CAFETERIA HELPER 0.50 $     16,614.00 0.50 $     16,614.00 01 BC02 11/14/2009 EDN 400/MD 42853 T1 N CAFETERIA HELPER 0.50 $     16,614.00 0.50 $     16,614.00 01 BC02 11/14/2009 EDN 400/MD 42887 T1 N CAFETERIA HELPER 0.50 $     16,614.00 0.50 $     16,614.00 01 BC02 11/14/2009 EDN 400/MD 42942 T1 N CAFETERIA HELPER 0.50 $     16,614.00 0.50 $     16,614.00 01 BC02 11/14/2009 EDN 400/MD 43002 T1 B CAFETERIA HELPER 0.50 $     16,614.00 0.50 $     16,614.00 01 BC02 11/14/2009 EDN 400/MD 48766 J1 B CAFETERIA HELPER 0.50 $     16,614.00 0.50 $     16,614.00 01 BC02 11/14/2009 EDN 400/MD 49632 J1 B CAFETERIA HELPER 0.50 $     16,614.00 0.50 $     16,614.00 01 BC02 11/14/2009 EDN 400/MD 50814 T1 N CAFETERIA HELPER 0.50 $     16,614.00 0.50 $     16,614.00 01 BC02 Page 35 2011 Budget Briefing
  • 96.
    Department of Education Table 12 Personnel Separations Position  Perm/  Budgeted   Budgeted   Actual  BU  SR  Separation Date Prog ID/Org Number Temp MOF Position Title FTE  Salary  FTE  Actual Salary  Code Level 11/14/2009 EDN 400/MD 50837 J1 B CAFETERIA HELPER 0.50 $     16,614.00 0.50 $     16,614.00 01 BC02 11/14/2009 EDN 400/MD 52795 T1 N CAFETERIA HELPER 0.50 $     16,614.00 0.50 $     16,614.00 01 BC02 11/14/2009 EDN 400/MD 54515 J1 B CAFETERIA HELPER 0.50 $     16,614.00 0.50 $     16,614.00 01 BC02 11/14/2009 EDN 400/MD 55508 J1 B CAFETERIA HELPER 0.50 $     16,614.00 0.50 $     16,614.00 01 BC02 11/14/2009 EDN 400/MD 57698 J1 B CAFETERIA HELPER 0.50 $     16,614.00 0.50 $     16,614.00 01 BC02 11/14/2009 EDN 400/MD 57813 J1 B CAFETERIA HELPER 0.50 $     16,614.00 0.50 $     16,614.00 01 BC02 11/14/2009 EDN 400/MD 58552 J1 B CAFETERIA HELPER 0.50 $     16,614.00 0.50 $     16,614.00 01 BC02 11/14/2009 EDN 400/MD 58620 J1 B CAFETERIA HELPER 0.50 $     16,614.00 0.50 $     16,614.00 01 BC02 11/14/2009 EDN 400/MD 58660 J1 B CAFETERIA HELPER 0.50 $     16,614.00 0.50 $     16,614.00 01 BC02 11/14/2009 EDN 400/MD 58662 J1 B CAFETERIA HELPER 0.50 $     16,614.00 0.50 $     16,614.00 01 BC02 11/14/2009 EDN 400/MD 59891 T1 N CAFETERIA HELPER 0.50 $     16,614.00 0.50 $     16,614.00 61 BC02 11/14/2009 EDN 400/MD 59893 T1 N CAFETERIA HELPER 0.50 $     16,614.00 0.50 $     16,614.00 01 BC02 11/14/2009 EDN 400/MD 59898 T1 N CAFETERIA HELPER 0.50 $     16,614.00 0.50 $     16,614.00 01 BC02 11/14/2009 EDN 400/MD 59908 J1 A CAFETERIA HELPER 0.50 $     16,614.00 0.50 $     16,614.00 01 BC02 11/14/2009 EDN 400/MD 800999 J1 B CAFETERIA HELPER 0.50 $     16,614.00 0.50 $     16,614.00 01 BC02 11/14/2009 EDN 400/MD 801265 T1 N CAFETERIA HELPER 0.50 $     16,614.00 0.50 $     16,614.00 01 BC02 11/14/2009 EDN 400/MD 801266 T1 N CAFETERIA HELPER 0.50 $     16,614.00 0.50 $     16,614.00 01 BC02 11/14/2009 EDN 400/MD 801281 T1 A CAFETERIA HELPER 0.50 $     16,614.00 0.50 $     16,614.00 01 BC02 11/17/2009 EDN 400/MD 9219 J1 B CAFETERIA HELPER 0.50 $     16,614.00 0.50 $     16,614.00 01 BC02 11/18/2009 EDN 400/OC 17173 J1 A ELECTRICIAN I 1.00 $     49,320.00 1.00 $     46,236.00 01 BC10 11/19/2009 EDN 100/CB 72806 T1 A DIST OFF TCHR 1.00 $     44,452.00 1.00 $     59,043.12 05 T03 11/19/2009 EDN 150/YC 58482 T1 A BEHAVIORAL HLTH SPCLT III 1.00 $     55,500.00 1.00 $     42,132.00 13 SR20 11/20/2009 EDN 100/AA 63293 J1 A SECONDARY TEACHER 1.00 $     56,257.00 1.00 $     45,785.04 05 T02 11/20/2009 EDN 100/AA 62802X T1 A ELEM TEACHER 1.00 $     56,257.00 1.00 $     48,008.16 05 T03 11/21/2009 EDN 100/AA 801034 T1 A SCHOOL CUSTODIAN II 0.50 $     16,942.00 0.50 $     16,614.00 01 BC02 11/24/2009 EDN 100/AA 18688 J1 A SCHOOL CUSTODIAN II 0.50 $     16,942.00 0.50 $     16,614.00 01 BC02 11/25/2009 EDN 400/OD 50299 J1 A JANITOR II 0.50 $     16,614.00 0.50 $     16,614.00 01 BC02 11/27/2009 EDN 100/AA 55977 J1 A EDUC ASST III 1.00 $     29,647.00 1.00 $     31,639.92 03 SR12 11/27/2009 EDN 300/KF 69252 J1 A FISCAL SPECIALIST III 1.00 $     91,060.00 1.00 $     81,474.96 06 E08 12/01/2009 EDN 100/AA 16515 J1 A SCHOOL CUSTODIAN III 1.00 $     33,885.00 1.00 $     35,544.00 01 WS02 12/01/2009 EDN 100/AA 16515 J1 A SCHOOL CUSTODIAN III 1.00 $     33,885.00 1.00 $     35,544.00 01 WS02 12/01/2009 EDN 100/AA 18038 J1 A CLERK TYPIST II 1.00 $     29,865.00 1.00 $     36,516.00 03 SR08 12/01/2009 EDN 100/AA 18038 J1 A CLERK TYPIST II 1.00 $     29,865.00 1.00 $     36,516.00 03 SR08 12/01/2009 EDN 100/AA 53299 J1 A CLERK II 0.50 $     14,589.00 0.50 $     15,606.00 03 SR06 12/01/2009 EDN 100/AA 53299 J1 A CLERK II 0.50 $     14,589.00 0.50 $     15,606.00 03 SR06 12/01/2009 EDN 100/AA 801304 T1 A EDUC ASST II 0.50 $     14,824.00 0.50 $     11,565.00 03 SR10 Page 36 2011 Budget Briefing
  • 97.
    Department of Education Table 12 Personnel Separations Position  Perm/  Budgeted   Budgeted   Actual  BU  SR  Separation Date Prog ID/Org Number Temp MOF Position Title FTE  Salary  FTE  Actual Salary  Code Level 12/01/2009 EDN 100/AA 801304 T1 A EDUC ASST II 0.50 $     14,824.00 0.50 $     11,565.00 03 SR10 12/01/2009 EDN 100/AA 60140 J1 A LIBRARIAN 1.00 $     56,257.00 1.00 $     79,170.00 05 T07 12/01/2009 EDN 100/AA 60226 J1 A ELEM TEACHER 1.00 $     56,257.00 1.00 $     79,170.00 05 T07 12/01/2009 EDN 100/AA 62233 J1 A SECONDARY TEACHER 1.00 $     56,257.00 1.00 $     79,170.00 05 T07 12/01/2009 EDN 100/AA 63268 J1 A COUNSELOR 1.00 $     56,257.00 1.00 $     70,400.16 05 T07 12/01/2009 EDN 100/AA 65061 J1 A SECONDARY TEACHER 1.00 $     56,257.00 1.00 $     48,008.16 05 T03 12/01/2009 EDN 100/AA 74246 J1 A SECONDARY TEACHER 1.00 $     56,257.00 1.00 $     79,170.00 05 T07 12/01/2009 EDN 150/FA 57432 J1 A EDUC ASST III 0.75 $     19,599.00 0.75 $     21,097.44 03 SR12 12/01/2009 EDN 150/FA 57432 J1 A EDUC ASST III 0.75 $     19,599.00 0.75 $     21,097.44 03 SR12 12/01/2009 EDN 150/FA 800049 J1 A EDUC ASST III 0.75 $     21,157.00 0.75 $     20,264.94 03 SR12 12/01/2009 EDN 150/FA 800049 J1 A EDUC ASST III 0.75 $     21,157.00 0.75 $     20,264.94 03 SR12 12/01/2009 EDN 150/FA 800091 T1 A EDUC ASST II 0.75 $     21,157.00 0.75 $     17,347.50 03 SR10 12/01/2009 EDN 150/FA 800091 T1 A EDUC ASST II 0.75 $     21,157.00 0.75 $     17,347.50 03 SR10 12/01/2009 EDN 150/SA 30487 J1 A COMMUNICATION AID 1.00 $     37,135.00 1.00 $     35,569.92 03 SR12 12/01/2009 EDN 150/SA 30487 J1 A COMMUNICATION AID 1.00 $     37,135.00 1.00 $     35,569.92 03 SR12 12/01/2009 EDN 150/YG 800273 J1 A EDUC ASST III 1.00 $     28,209.00 1.00 $     27,019.92 03 SR12 12/01/2009 EDN 150/YG 800478 J1 A EDUC ASST II 1.00 $     26,131.00 1.00 $     23,130.00 03 SR10 12/01/2009 EDN 400/MD 9346 J1 A SCHOOL BAKER 1.00 $     38,436.00 1.00 $     38,436.00 01 BC06 12/01/2009 EDN 400/MD 9346 J1 A SCHOOL BAKER 1.00 $     38,436.00 1.00 $     38,436.00 01 BC06 12/02/2009 EDN 150/YC 55830 T1 A CLERK TYPIST II 1.00 $     30,036.00 1.00 $     30,036.00 03 SR08 12/03/2009 EDN 100/AA 69156 J1 A SECONDARY TEACHER 1.00 $     56,257.00 1.00 $     51,426.00 05 T04 12/03/2009 EDN 150/FA 67169 J1 A SPEC ED TCHR/PRE‐SCHOOL 1.00 $     50,931.00 1.00 $     50,931.12 05 T03 12/04/2009 EDN 150/FA 35871 T1 A EDUC ASST III 1.00 $     26,131.00 1.00 $     25,030.08 03 SR12 12/04/2009 EDN 150/FA 58933 J1 A EDUC ASST III 0.75 $     19,599.00 0.75 $     20,264.94 03 SR12 12/07/2009 EDN 150/FA 75472 T1 A GEN EDUC/ARTICLE VI TCHR 1.00 $     51,426.00 1.00 $     51,426.00 05 T04 12/10/2009 EDN 150/YC 58519 J1 A BEHAVIORAL HLTH SPCLT IV 1.00 $     47,412.00 1.00 $     47,412.00 13 SR22 12/10/2009 EDN 150/YC 58631 J1 A BEHAVIORAL HLTH SPCLT III 1.00 $     47,412.00 1.00 $     42,132.00 13 SR20 12/11/2009 EDN 150/NB 800214 T1 N EDUC ASST III 1.00 $     25,030.08 1.00 $     25,030.08 03 SR12 12/16/2009 EDN 150/FA 66522 J1 A GEN EDUC/ARTICLE VI TCHR 1.00 $     49,448.00 1.00 $     49,448.16 05 T03 12/16/2009 EDN 150/YC 58247 J1 A DEPARTMENTAL CONTRACTS SPCLT 1.00 $     57,708.00 1.00 $     57,708.00 13 SR22 12/17/2009 EDN 150/FA 58943 J1 A EDUC ASST II 0.75 $     22,026.00 0.75 $     17,347.50 03 SR10 12/18/2009 EDN 100/AA 800949 T1 A EDUC ASST II 0.50 $     14,824.00 0.50 $     11,565.00 03 SR10 12/18/2009 EDN 150/FA 71034 J1 A SPEC ED TEACHER 1.00 $     62,603.00 1.00 $     48,008.16 05 T03 12/18/2009 EDN 400/YA 17249 J1 A SCHOOL BUS TRANSP OFFCR II 1.00 $     39,480.00 1.00 $     36,516.00 03 SR16 12/22/2009 EDN 100/AA 66191 J1 A ELEM TEACHER 1.00 $     56,257.00 1.00 $     49,448.16 05 T03 12/23/2009 EDN 100/AA 56445 J1 A CLERK TYPIST II 1.00 $     29,865.00 1.00 $     27,756.00 03 SR08 Page 37 2011 Budget Briefing
  • 98.
    Department of Education Table 12 Personnel Separations Position  Perm/  Budgeted   Budgeted   Actual  BU  SR  Separation Date Prog ID/Org Number Temp MOF Position Title FTE  Salary  FTE  Actual Salary  Code Level 12/25/2009 EDN 100/AA 55557 J1 A CLERK TYPIST II 1.00 $     29,865.00 1.00 $     25,668.00 03 SR08 12/25/2009 EDN 100/AA 55557 J1 A CLERK TYPIST II 1.00 $     28,836.00 1.00 $     25,668.00 63 SR08 12/25/2009 EDN 150/YG 800727 J1 A HUMAN SVCS PROF II 1.00 $     46,803.00 1.00 $     38,988.00 13 SR18 12/30/2009 EDN 100/‐‐ 801182 T1 N CLERK TYPIST II 1.00 $     25,668.00 1.00 $     25,668.00 03 SR08 12/30/2009 EDN 100/AA 60125 J1 A ELEM TEACHER 1.00 $     56,257.00 1.00 $     62,550.00 05 T07 12/30/2009 EDN 100/AA 60246 J1 A COUNSELOR 1.00 $     56,257.00 1.00 $     79,170.00 05 T07 12/30/2009 EDN 100/AA 60290 J1 A SECONDARY TEACHER 1.00 $     56,257.00 1.00 $     79,170.00 05 T07 12/30/2009 EDN 100/AA 60654 J1 A ELEM TEACHER 1.00 $     56,257.00 1.00 $     79,170.00 05 T07 12/30/2009 EDN 100/AA 60679 J1 A LIBRARIAN 1.00 $     56,257.00 1.00 $     72,513.12 05 T07 12/30/2009 EDN 100/AA 60805 J1 A COUNSELOR 1.00 $     56,257.00 1.00 $     79,170.00 05 T07 12/30/2009 EDN 100/AA 61063 J1 A ELEM TEACHER 1.00 $     56,257.00 1.00 $     70,400.16 05 T07 12/30/2009 EDN 100/AA 61065 J1 A ELEM TEACHER 1.00 $     56,257.00 1.00 $     79,170.00 05 T07 12/30/2009 EDN 100/AA 61126 J1 A ELEM TEACHER 1.00 $     56,257.00 1.00 $     68,351.04 05 T07 12/30/2009 EDN 100/AA 61156 J1 A ELEM TEACHER 1.00 $     56,257.00 1.00 $     79,170.00 05 T07 12/30/2009 EDN 100/AA 61214 J1 A ELEM TEACHER 1.00 $     56,257.00 1.00 $     79,170.00 05 T07 12/30/2009 EDN 100/AA 61489 J1 A ELEM TEACHER 1.00 $     56,257.00 1.00 $     72,513.12 05 T07 12/30/2009 EDN 100/AA 61587 J1 A COUNSELOR 1.00 $     56,257.00 1.00 $     79,170.00 05 T07 12/30/2009 EDN 100/AA 61677 J1 A 12‐MONTH SAC TEACHER 1.00 $     67,508.00 1.00 $     79,170.00 05 T07 12/30/2009 EDN 100/AA 61741 J1 A LIBRARIAN 1.00 $     56,257.00 0.50 $     33,179.52 45 T07 12/30/2009 EDN 100/AA 62059 J1 A 12‐MO ELEM PRIN III 1.00 $  119,109.00 1.00 $  117,966.96 06 E07 12/30/2009 EDN 100/AA 62185 J1 A SECONDARY TEACHER 1.00 $     56,257.00 1.00 $     79,170.00 05 T07 12/30/2009 EDN 100/AA 62366 J1 A SECONDARY TEACHER 1.00 $     56,257.00 1.00 $     74,688.00 05 T06 12/30/2009 EDN 100/AA 62387 J1 A ELEM TEACHER 1.00 $     56,257.00 1.00 $     72,513.12 05 T07 12/30/2009 EDN 100/AA 62444 J1 A 12‐MO ELEM PRIN III 1.00 $  119,109.00 1.00 $  131,843.04 06 E07 12/30/2009 EDN 100/AA 62487 J1 A VICE PRINCIPAL III 1.00 $     81,503.00 1.00 $     75,108.00 06 E05 12/30/2009 EDN 100/AA 62745 J1 A ELEM TEACHER 1.00 $     56,257.00 1.00 $     70,400.16 05 T07 12/30/2009 EDN 100/AA 62853 J1 A ELEM TEACHER 1.00 $     56,257.00 1.00 $     79,170.00 05 T07 12/30/2009 EDN 100/AA 63440 J1 A ELEM TEACHER 1.00 $     56,257.00 1.00 $     79,170.00 05 T07 12/30/2009 EDN 100/AA 63470 J1 A ELEM TEACHER 1.00 $     56,257.00 1.00 $     79,170.00 05 T07 12/30/2009 EDN 100/AA 63562 J1 A SECONDARY TEACHER 1.00 $     56,257.00 1.00 $     79,170.00 05 T07 12/30/2009 EDN 100/AA 63943 J1 A 12‐MO ELEM PRIN II 1.00 $  111,781.00 1.00 $  126,460.08 06 E06 12/30/2009 EDN 100/AA 64010 J1 A 12‐MO ELEM PRIN III 1.00 $  119,109.00 1.00 $  131,843.04 06 E07 12/30/2009 EDN 100/AA 64159 J1 A LIBRARIAN 1.00 $     56,257.00 1.00 $     79,170.00 05 T07 12/30/2009 EDN 100/AA 64178 J1 A ELEM TEACHER 1.00 $     56,257.00 1.00 $     79,170.00 05 T07 12/30/2009 EDN 100/AA 64753 J1 A SECONDARY TEACHER 0.50 $     28,128.00 0.50 $     26,484.00 45 T04 12/30/2009 EDN 100/AA 64973 J1 A SECONDARY TEACHER 1.00 $     56,257.00 1.00 $     67,750.08 05 T05 Page 38 2011 Budget Briefing
  • 99.
    Department of Education Table 12 Personnel Separations Position  Perm/  Budgeted   Budgeted   Actual  BU  SR  Separation Date Prog ID/Org Number Temp MOF Position Title FTE  Salary  FTE  Actual Salary  Code Level 12/30/2009 EDN 100/AA 65065 J1 A 12‐MO ELEM PRIN I 1.00 $  104,518.00 1.00 $  121,294.08 06 E05 12/30/2009 EDN 100/AA 65474 J1 A 12‐MO ELEM PRIN III 1.00 $  119,109.00 1.00 $  131,843.04 06 E07 12/30/2009 EDN 100/AA 65741 J1 A ELEM TEACHER 0.50 $     28,128.00 0.50 $     33,875.04 45 T05 12/30/2009 EDN 100/AA 66155 J1 A SECONDARY TEACHER 1.00 $     56,257.00 1.00 $     79,170.00 05 T07 12/30/2009 EDN 100/AA 66593 J1 A ELEM TEACHER 1.00 $     56,257.00 1.00 $     64,482.00 05 T06 12/30/2009 EDN 100/AA 66713 J1 A SECONDARY TEACHER 1.00 $     56,257.00 1.00 $     72,513.12 05 T07 12/30/2009 EDN 100/AA 67056 J1 A ELEM TEACHER 1.00 $     56,257.00 1.00 $     79,170.00 05 T07 12/30/2009 EDN 100/AA 67368 J1 A ELEM TEACHER 1.00 $     56,257.00 1.00 $     74,688.00 05 T07 12/30/2009 EDN 100/AA 67422 J1 A LIBRARIAN 1.00 $     56,257.00 1.00 $     62,550.00 05 T07 12/30/2009 EDN 100/AA 67584 J1 A SECONDARY TEACHER 1.00 $     56,257.00 1.00 $     79,170.00 05 T07 12/30/2009 EDN 100/AA 67597 J1 A SECONDARY TEACHER 1.00 $     56,257.00 1.00 $     54,558.00 05 T04 12/30/2009 EDN 100/AA 67692 J1 A SECONDARY TEACHER 1.00 $     56,257.00 1.00 $     79,170.00 05 T07 12/30/2009 EDN 100/AA 67832 J1 A SECONDARY TEACHER 1.00 $     56,257.00 1.00 $     70,400.16 05 T07 12/30/2009 EDN 100/AA 67965 J1 A 12‐MO MT ELEM PRIN V 1.00 $  155,394.00 1.00 $  141,334.08 06 E09 12/30/2009 EDN 100/AA 68184 J1 A SCH ATHLETIC DIR III 1.00 $     78,259.00 1.00 $     92,334.00 06 E03 12/30/2009 EDN 100/AA 68492 J1 A SECONDARY TEACHER 1.00 $     56,257.00 1.00 $     52,460.16 05 T03 12/30/2009 EDN 100/AA 68893 J1 A SECONDARY TEACHER 1.00 $     56,257.00 1.00 $     79,170.00 05 T07 12/30/2009 EDN 100/AA 69001 J1 A SECONDARY TEACHER 1.00 $     56,257.00 1.00 $     79,170.00 05 T07 12/30/2009 EDN 100/AA 69011 J1 A ELEM TEACHER 1.00 $     56,257.00 1.00 $     74,688.00 05 T07 12/30/2009 EDN 100/AA 69135 J1 A 12‐MO ELEM PRIN III 1.00 $  119,109.00 1.00 $  124,714.08 06 E07 12/30/2009 EDN 100/AA 69150 J1 A SECONDARY TEACHER 1.00 $     56,257.00 1.00 $     72,513.12 05 T07 12/30/2009 EDN 100/AA 69209 J1 A SECONDARY TEACHER 1.00 $     56,257.00 1.00 $     79,170.00 05 T07 12/30/2009 EDN 100/AA 69381 J1 A SECONDARY TEACHER 1.00 $     56,257.00 1.00 $     79,170.00 05 T07 12/30/2009 EDN 100/AA 69698 J1 A 12‐MONTH SAC TEACHER 1.00 $     67,508.00 1.00 $     71,814.96 05 T05 12/30/2009 EDN 100/AA 72031 J1 A SECONDARY TEACHER 1.00 $     56,257.00 1.00 $     66,359.04 05 T07 12/30/2009 EDN 100/AA 72049 J1 A SECONDARY TEACHER 1.00 $     56,257.00 1.00 $     72,513.12 05 T07 12/30/2009 EDN 100/AA 72595 T1 A ELEM TEACHER 1.00 $     56,257.00 1.00 $     79,170.00 05 T07 12/30/2009 EDN 100/AA 73125 T1 A 12‐MO STUDENT SVCS COORD 1.00 $     67,508.00 1.00 $     69,054.00 05 T04 12/30/2009 EDN 100/AA 73619 J1 A 12‐MO ELEM PRIN II 1.00 $  111,781.00 1.00 $  124,714.08 06 E06 12/30/2009 EDN 100/AA 73753 J1 A SECONDARY TEACHER 1.00 $     56,257.00 1.00 $     68,351.04 05 T07 12/30/2009 EDN 100/AA 73825 J1 A 12‐MONTH REGISTRAR 1.00 $     67,508.00 1.00 $     79,170.00 05 T07 12/30/2009 EDN 100/AA 73851 J1 A SECONDARY TEACHER 1.00 $     56,257.00 1.00 $     60,815.04 05 T03 12/30/2009 EDN 100/AA 73874 J1 A SECONDARY TEACHER 1.00 $     56,257.00 1.00 $     79,170.00 05 T07 12/30/2009 EDN 100/AA 74014 J1 A ELEM TEACHER 1.00 $     56,257.00 1.00 $     79,170.00 05 T07 12/30/2009 EDN 100/AA 74289 J1 A SECONDARY TEACHER 1.00 $     56,257.00 1.00 $     79,170.00 05 T07 12/30/2009 EDN 100/AA 74541 J1 A COUNSELOR/ALIENATION 1.00 $     56,257.00 1.00 $     79,170.00 05 T07 Page 39 2011 Budget Briefing
  • 100.
    Department of Education Table 12 Personnel Separations Position  Perm/  Budgeted   Budgeted   Actual  BU  SR  Separation Date Prog ID/Org Number Temp MOF Position Title FTE  Salary  FTE  Actual Salary  Code Level 12/30/2009 EDN 100/AA 74799 J1 A ELEM TEACHER 1.00 $     56,257.00 1.00 $     70,400.16 05 T07 12/30/2009 EDN 100/AA 75184 T1 A 12‐MO STUDENT SVCS COORD 1.00 $     67,508.00 1.00 $     79,170.00 05 T07 12/30/2009 EDN 100/AA 75213 T1 A 12‐MO STUDENT SVCS COORD 1.00 $     67,508.00 1.00 $     79,170.00 05 T07 12/30/2009 EDN 100/AA 75218 T1 A 12‐MO STUDENT SVCS COORD 1.00 $     67,508.00 1.00 $     69,054.00 05 T04 12/30/2009 EDN 100/AA 72924F J1 A COUNSELOR/HIGH RISK 1.00 $     56,257.00 1.00 $     74,688.00 05 T07 12/30/2009 EDN 100/AA 72946F J1 A COUNSELOR/HIGH RISK 1.00 $     56,257.00 1.00 $     62,550.00 05 T07 12/30/2009 EDN 100/AA 72989F T1 A 12‐MO STUDENT SVCS COORD 1.00 $     67,508.00 1.00 $     79,170.00 05 T07 12/30/2009 EDN 100/BJ 61501 J1 A SPECIAL SCH TEACHER 1.00 $     79,170.00 1.00 $     79,170.00 05 T07 12/30/2009 EDN 100/BJ 73166 J1 A SECONDARY TEACHER 1.00 $     68,351.00 1.00 $     68,351.04 05 T07 12/30/2009 EDN 100/BS 73139 T1 A ROTC INSTRUCTOR 1.00 $  100,254.00 1.00 $     95,352.00 55 ROTC 12/30/2009 EDN 100/BS 73491 T1 A ROTC INSTRUCTOR 1.00 $  103,290.00 1.00 $     98,280.00 55 ROTC 12/30/2009 EDN 100/CJ 74921 T1 A STATE OFFICE TEACHER 1.00 $     79,170.00 1.00 $     79,170.00 05 T07 12/30/2009 EDN 100/DB 79460 T1 N DIST OFF TCHR 1.00 $     79,170.00 1.00 $     79,170.00 05 T07 12/30/2009 EDN 150/FA 61151 J1 A SPEC ED TCHR/PRE‐SCHOOL 1.00 $     63,297.00 1.00 $     62,002.08 05 T05 12/30/2009 EDN 150/FA 61377 J1 A SPEC ED TEACHER 1.00 $     70,461.00 1.00 $     70,461.12 05 T06 12/30/2009 EDN 150/FA 61407 J1 A SPEC ED TEACHER 1.00 $     43,157.00 1.00 $     74,688.00 05 T07 12/30/2009 EDN 150/FA 65988 J1 A SPEC ED TEACHER 1.00 $     57,291.00 1.00 $     57,291.12 05 T06 12/30/2009 EDN 150/FA 66247 J1 A SPEC ED TEACHER 1.00 $     75,400.00 1.00 $     70,400.16 05 T07 12/30/2009 EDN 150/FA 66674 T1 A SPEC ED TEACHER 1.00 $     68,351.00 1.00 $     68,351.04 05 T07 12/30/2009 EDN 150/FA 67970 J1 A SPEC ED TEACHER 1.00 $     49,448.00 1.00 $     66,396.96 05 T03 12/30/2009 EDN 150/FA 69412 J1 A SPEC ED TEACHER 1.00 $     79,170.00 1.00 $     79,170.00 05 T07 12/30/2009 EDN 150/FA 73300 J1 A SPEC ED TEACHER 1.00 $     74,688.00 1.00 $     74,688.00 05 T07 12/30/2009 EDN 150/FA 74086 J1 A SPEC ED TEACHER 1.00 $     79,170.00 1.00 $     79,170.00 05 T07 12/30/2009 EDN 150/FA 75626 T1 A GEN EDUC/ARTICLE VI TCHR 1.00 $     48,008.00 1.00 $     66,396.96 05 T03 12/30/2009 EDN 150/FA 75920 J1 A GEN EDUC/ARTICLE VI TCHR 1.00 $     66,416.00 1.00 $     79,170.00 05 T07 12/30/2009 EDN 150/FA 74825 J1 A SPEC ED TCHR/PRE‐SCHOOL 1.00 $     74,688.00 1.00 $     74,688.00 05 T07 12/30/2009 EDN 150/FA 74825 J1 A SPEC ED TCHR/PRE‐SCHOOL 1.00 $     74,688.00 1.00 $     46,608.96 05 T03 12/30/2009 EDN 150/IC 74967 J1 A CSSS RESOURCE TEACHER 1.00 $     60,729.00 1.00 $     60,729.12 05 T07 12/30/2009 EDN 150/NB 79450 T1 N 12‐MO DIST OFF TCHR 1.00 $     79,170.00 1.00 $     79,170.00 05 T07 12/30/2009 EDN 150/NB 79697 T1 N 12‐MO STATE OFF TCHR 1.00 $     87,016.00 1.00 $     79,170.00 05 T07 12/30/2009 EDN 150/NB 79973 T1 N 12‐MO DIST OFF TCHR 1.00 $     74,688.00 1.00 $     74,688.00 05 T07 12/30/2009 EDN 150/YC 75028 J1 A DISTRICT EDUC SPEC II 1.00 $  103,196.00 1.00 $  103,196.16 06 E07 12/30/2009 EDN 200/GH 73645 J1 B HTSB EXEC OFFICER 1.00 $  107,591.00 1.00 $  107,591.04 56 E10 12/30/2009 EDN 200/GN 67846 J1 A COMPLX SCH RENEW SPEC II 1.00 $     89,803.00 1.00 $     89,802.96 06 E07 12/30/2009 EDN 200/GN 72455 J1 A COMPLEX AREA TEACHER 1.00 $     73,351.00 1.00 $     68,351.04 05 T07 12/30/2009 EDN 300/KD 60012 J1 A SUPT OF  EDUCATION 1.00 $  150,000.00 1.00 $  150,000.00 96 E00 Page 40 2011 Budget Briefing
  • 101.
    Department of Education Table 12 Personnel Separations Position  Perm/  Budgeted   Budgeted   Actual  BU  SR  Separation Date Prog ID/Org Number Temp MOF Position Title FTE  Salary  FTE  Actual Salary  Code Level 12/30/2009 EDN 300/KO 69984 J1 A PERSONNEL SPECIALIST III 1.00 $  100,367.00 1.00 $  100,367.04 56 E08 12/30/2009 EDN 300/KO 69985 J1 A PERSONNEL DIRECTOR 1.00 $  120,253.00 1.00 $  120,252.96 56 E10 12/30/2009 EDN 300/KO 74736 J1 A 12‐MO STATE OFF TCHR 1.00 $     95,004.00 1.00 $     79,170.00 05 T07 12/30/2009 EDN 300/UA 73085 J1 A TELECOMM SPEC II 1.00 $  104,642.00 1.00 $  104,642.16 06 E07 12/30/2009 EDN 500/PC 75002 T1 A 12‐MONTH REGISTRAR 1.00 $     95,004.00 1.00 $     79,170.00 05 T07 12/31/2009 EDN 100/AA 1837 J1 A SCHOOL ADM SERVICES ASST II 1.00 $     44,419.00 1.00 $     48,048.00 04 SR14 12/31/2009 EDN 100/AA 1916 J1 A SCHOOL ADM SERVICES ASST III 1.00 $     44,419.00 1.00 $     46,176.00 04 SR16 12/31/2009 EDN 100/AA 9472 J1 A SCHOOL ADM SERVICES ASST III 1.00 $     44,419.00 1.00 $     54,012.00 04 SR16 12/31/2009 EDN 100/AA 10058 J1 A CLERK TYPIST II 1.00 $     29,865.00 1.00 $     33,756.00 03 SR08 12/31/2009 EDN 100/AA 10126 J1 A SCHOOL ADM SERVICES ASST III 1.00 $     44,419.00 1.00 $     54,012.00 04 SR16 12/31/2009 EDN 100/AA 11366 J1 A SCHOOL ADM SERVICES ASST III 1.00 $     44,419.00 1.00 $     41,040.00 04 SR16 12/31/2009 EDN 100/AA 12126 J1 A CLERK STENOGRAPHER II 1.00 $     29,178.00 1.00 $     41,040.00 03 SR09 12/31/2009 EDN 100/AA 13952 J1 A LIBRARY ASSISTANT IV 1.00 $     30,478.00 1.00 $     35,064.00 03 SR09 12/31/2009 EDN 100/AA 16085 J1 A SCHOOL CUSTODIAN IV 1.00 $     33,885.00 1.00 $     38,928.00 02 F102 12/31/2009 EDN 100/AA 16293 J1 A SCHOOL CUSTODIAN II 1.00 $     33,885.00 1.00 $     33,228.00 01 BC02 12/31/2009 EDN 100/AA 16612 J1 A SCHOOL CUSTODIAN III 1.00 $     33,885.00 1.00 $     35,544.00 01 WS02 12/31/2009 EDN 100/AA 16671 J1 A SCHOOL CUSTODIAN II 1.00 $     33,885.00 1.00 $     33,228.00 01 BC02 12/31/2009 EDN 100/AA 17530 J1 A SCHOOL CUSTODIAN III 1.00 $     33,885.00 1.00 $     35,544.00 01 WS02 12/31/2009 EDN 100/AA 17540 J1 A SCHOOL CUSTODIAN III 1.00 $     33,885.00 1.00 $     35,544.00 01 WS02 12/31/2009 EDN 100/AA 18040 J1 A CLERK TYPIST II 1.00 $     29,865.00 1.00 $     35,064.00 03 SR08 12/31/2009 EDN 100/AA 19312 J1 A SCHOOL CUSTODIAN II 1.00 $     33,885.00 1.00 $     33,228.00 01 BC02 12/31/2009 EDN 100/AA 23350 J1 A CLERK TYPIST II 1.00 $     29,865.00 1.00 $     39,480.00 03 SR08 12/31/2009 EDN 100/AA 23362 J1 A CLERK III 1.00 $     29,178.00 1.00 $     33,756.00 03 SR08 12/31/2009 EDN 100/AA 23656 J1 A SCHOOL & SWMG POOL CUSTODN IV 1.00 $     40,122.00 1.00 $     41,436.00 02 F105 12/31/2009 EDN 100/AA 28384 J1 A SCHOOL CUSTODIAN II 1.00 $     33,885.00 1.00 $     33,228.00 01 BC02 12/31/2009 EDN 100/AA 28385 J1 A SCHOOL CUSTODIAN II 1.00 $     33,885.00 1.00 $     33,228.00 01 BC02 12/31/2009 EDN 100/AA 29986 J1 A SCHOOL CUSTODIAN II 1.00 $     33,885.00 1.00 $     33,228.00 01 BC02 12/31/2009 EDN 100/AA 35644 T1 A EDUC ASST III 0.50 $     14,824.00 1.00 $     31,639.92 03 SR12 12/31/2009 EDN 100/AA 36387 J1 A ACCOUNT CLERK III 1.00 $     34,121.00 1.00 $     39,480.00 03 SR11 12/31/2009 EDN 100/AA 39067 J1 A SCHOOL CUSTODIAN II 1.00 $     33,885.00 1.00 $     33,228.00 01 BC02 12/31/2009 EDN 100/AA 51954 J1 A EDUC ASST III 0.50 $     14,824.00 0.50 $     14,610.00 03 SR12 12/31/2009 EDN 100/AA 53032 J1 A SCHOOL CUSTODIAN II 0.50 $     16,942.00 0.50 $     16,614.00 01 BC02 12/31/2009 EDN 100/AA 55020 J1 A EDUC ASST III 0.50 $     14,824.00 0.50 $     14,610.00 03 SR12 12/31/2009 EDN 100/AA 55141 J1 A EDUC ASST III 1.00 $     29,647.00 1.00 $     34,200.00 03 SR12 12/31/2009 EDN 100/AA 59821 J1 A SCHOOL SECURITY ATTENDANT 1.00 $     25,213.00 1.00 $     25,030.08 03 SR07 12/31/2009 EDN 100/AA 59823 J1 A SCHOOL CUSTODIAN IV 1.00 $     33,885.00 1.00 $     36,684.00 02 F102 Page 41 2011 Budget Briefing
  • 102.
    Department of Education Table 12 Personnel Separations Position  Perm/  Budgeted   Budgeted   Actual  BU  SR  Separation Date Prog ID/Org Number Temp MOF Position Title FTE  Salary  FTE  Actual Salary  Code Level 12/31/2009 EDN 100/AA 71776 J1 A ELEM TEACHER 1.00 $     56,257.00 1.00 $     48,008.16 05 T03 12/31/2009 EDN 100/CB 57962 J1 A ADMINISTRATIVE SERVICES ASST 1.00 $     57,708.00 1.00 $     57,708.00 13 SR22 12/31/2009 EDN 150/FA 30976 J1 A EDUC ASST III 1.00 $     37,135.00 1.00 $     35,569.92 03 SR12 12/31/2009 EDN 150/FA 32300 J1 A EDUC ASST III 1.00 $     37,135.00 1.00 $     35,569.92 03 SR12 12/31/2009 EDN 150/FA 34891 J1 A EDUC ASST III 1.00 $     34,347.00 1.00 $     32,899.92 03 SR12 12/31/2009 EDN 150/FA 37537 J1 A EDUC ASST III 1.00 $     34,347.00 1.00 $     32,899.92 03 SR12 12/31/2009 EDN 150/FA 39187 J1 A EDUC ASST III 1.00 $     34,347.00 1.00 $     32,899.92 03 SR12 12/31/2009 EDN 150/FA 48509 J1 A EDUC ASST III 1.00 $     31,769.00 1.00 $     30,430.08 03 SR12 12/31/2009 EDN 150/FA 58951 J1 A EDUC ASST III 1.00 $     37,135.00 1.00 $     35,569.92 03 SR12 12/31/2009 EDN 150/FB 24048 J1 A EDUC ASST III 1.00 $     37,135.00 1.00 $     35,569.92 03 SR12 12/31/2009 EDN 150/NB 32349 T1 N SECRETARY II 1.00 $     42,684.00 1.00 $     42,684.00 03 SR14 12/31/2009 EDN 150/NB 43843 T1 N ACCOUNT CLERK III 1.00 $     37,968.00 1.00 $     37,968.00 03 SR11 12/31/2009 EDN 150/SA 11979 J1 A SECRETARY II 1.00 $     49,932.00 1.00 $     49,932.00 03 SR14 12/31/2009 EDN 150/SA 28987 J1 A PHYSICAL THERAPIST V 1.00 $     75,960.00 1.00 $     75,960.00 23 SR24 12/31/2009 EDN 150/SA 29804 J1 A SPEECH PATHOLOGIST IV 1.00 $     60,315.00 1.00 $     45,576.00 13 SR22 12/31/2009 EDN 150/SA 30460 J1 A COMMUNICATION AIDE 1.00 $     35,705.00 1.00 $     34,200.00 03 SR12 12/31/2009 EDN 150/SA 30708 J1 A SCH BASED OCC THRPY ASST (FP) 1.00 $     45,108.00 1.00 $     45,108.00 10 HE10 12/31/2009 EDN 150/SA 32176 J1 A SPEECH PATHOLOGIST IV 0.50 $     34,618.00 0.50 $     32,460.00 13 SR22 12/31/2009 EDN 150/SA 33093 J1 A SPEECH PATHOLOGIST IV 1.00 $     69,305.00 1.00 $     67,488.00 13 SR22 12/31/2009 EDN 150/SA 33174 J1 A SPEECH PATHOLOGIST IV 1.00 $     69,305.00 1.00 $     67,488.00 13 SR22 12/31/2009 EDN 150/SA 58180 J1 A SECRETARY II 1.00 $     39,480.00 1.00 $     39,480.00 03 SR14 12/31/2009 EDN 150/YC 58491 T1 A BEHAVIORAL HLTH SPCLT IV 1.00 $     51,312.00 1.00 $     45,576.00 13 SR22 12/31/2009 EDN 300/KO 5043 J1 A SECRETARY IV 1.00 $     58,440.00 1.00 $     42,684.00 63 SR18 12/31/2009 EDN 300/KO 15325 J1 A PERSONNEL CLERK IV 1.00 $     44,412.00 1.00 $     44,412.00 63 SR11 12/31/2009 EDN 300/LJ 19051 J1 A PRIVATE SECRETARY I 1.00 $     58,440.00 1.00 $     58,440.00 63 SR20 12/31/2009 EDN 300/UA 14886 J1 A AUTOMATED SYSTS EQUIP TECH I 1.00 $     53,532.00 1.00 $     53,532.00 01 BC14 12/31/2009 EDN 400/MD 1981 J1 A SCHOOL FOOD SERVICES MGR III 1.00 $     48,429.00 1.00 $     47,160.00 02 F206 12/31/2009 EDN 400/MD 2021 J1 A SCHOOL FOOD SERVICES MGR IV 1.00 $     54,739.00 1.00 $     53,304.00 02 F306 12/31/2009 EDN 400/MD 9287 J1 B CAFETERIA HELPER 1.00 $     33,228.00 1.00 $     33,228.00 01 BC02 12/31/2009 EDN 400/MD 9510 J1 B SCHOOL COOK II 1.00 $     38,436.00 1.00 $     38,436.00 01 BC06 12/31/2009 EDN 400/MD 12629 J1 B SCHOOL BAKER 1.00 $     38,436.00 1.00 $     38,436.00 01 BC06 12/31/2009 EDN 400/MD 14498 J1 B SCHOOL BAKER 1.00 $     38,436.00 1.00 $     38,436.00 01 BC06 12/31/2009 EDN 400/MD 14645 J1 B CAFETERIA HELPER 0.50 $     16,614.00 0.50 $     16,614.00 01 BC02 12/31/2009 EDN 400/MD 14655 J1 B CAFETERIA HELPER 0.50 $     16,614.00 0.50 $     16,614.00 01 BC02 12/31/2009 EDN 400/MD 21610 J1 B CAFETERIA HELPER 1.00 $     33,228.00 1.00 $     33,228.00 01 BC02 12/31/2009 EDN 400/MD 22191 J1 B CAFETERIA HELPER 1.00 $     33,228.00 1.00 $     33,228.00 01 BC02 Page 42 2011 Budget Briefing
  • 103.
    Department of Education Table 12 Personnel Separations Position  Perm/  Budgeted   Budgeted   Actual  BU  SR  Separation Date Prog ID/Org Number Temp MOF Position Title FTE  Salary  FTE  Actual Salary  Code Level 12/31/2009 EDN 400/MD 23822 J1 B CAFETERIA HELPER 0.50 $     16,614.00 0.50 $     16,614.00 01 BC02 12/31/2009 EDN 400/MD 26387 J1 A SCHOOL FOOD SERVICES MGR V 1.00 $     57,130.00 1.00 $     55,632.00 02 GF06 12/31/2009 EDN 400/MD 54715 J1 A SCHOOL FOOD SERVICES MGR III 1.00 $     56,592.00 1.00 $     47,160.00 02 F206 12/31/2009 EDN 400/OC 17149 J1 A BLDG CONSTR & MTNCE SUPVR I 1.00 $     50,520.00 1.00 $     50,520.00 02 F110 12/31/2009 EDN 400/YA 17248 J1 A SCHOOL BUS TRANSP OFFCR III 1.00 $     54,012.00 1.00 $     54,012.00 03 SR18 12/31/2009 EDN 400/YA 28710 J1 A SCHOOL BUS TRANSP OFFCR III 1.00 $     49,932.00 1.00 $     49,932.00 03 SR18 12/31/2009 EDN 500/PC 8111 J1 A SCHOOL ADM SERVICES ASST IV 1.00 $     58,440.00 1.00 $     58,440.00 04 SR18 01/01/2010 EDN 100/AA 1852 J1 A SCHOOL ADM SERVICES ASST II 1.00 $     44,419.00 1.00 $     41,040.00 04 SR14 01/01/2010 EDN 100/AA 1852 J1 A SCHOOL ADM SERVICES ASST II 1.00 $     41,040.00 1.00 $     41,040.00 04 SR14 01/01/2010 EDN 100/AA 16764 J1 A SCHOOL CUSTODIAN II 1.00 $     33,885.00 1.00 $     33,228.00 01 BC02 01/01/2010 EDN 100/AA 16764 J1 A SCHOOL CUSTODIAN II 1.00 $     33,228.00 1.00 $     33,228.00 01 BC02 01/01/2010 EDN 100/AA 22909 J1 A SCHOOL CUSTODIAN II 1.00 $     33,885.00 0.75 $     24,921.00 01 BC02 01/01/2010 EDN 100/AA 22909 J1 A SCHOOL CUSTODIAN II 1.00 $     33,228.00 0.75 $     24,921.00 01 BC02 01/01/2010 EDN 100/AA 33958 J1 A CLERK TYPIST II 1.00 $     29,865.00 1.00 $     30,036.00 03 SR08 01/01/2010 EDN 100/AA 33958 J1 A CLERK TYPIST II 1.00 $     30,036.00 1.00 $     30,036.00 03 SR08 01/01/2010 EDN 100/AA 55891 J1 A CLERK III 1.00 $     29,178.00 1.00 $     32,424.00 03 SR08 01/01/2010 EDN 100/AA 55891 J1 A CLERK III 1.00 $     28,836.00 1.00 $     32,424.00 03 SR08 01/01/2010 EDN 100/AA 62159 J1 A ELEM TEACHER 1.00 $     53,483.00 1.00 $     53,483.04 05 T05 01/01/2010 EDN 100/AA 62762 J1 A ELEM TEACHER 1.00 $     53,483.00 1.00 $     44,452.08 05 T02 01/01/2010 EDN 100/AA 66936 J1 A ELEM TEACHER 1.00 $     51,426.00 1.00 $     45,785.04 05 T02 01/01/2010 EDN 100/BB 61976 J1 A SECONDARY TEACHER 1.00 $     49,448.00 1.00 $     49,448.16 05 T03 01/01/2010 EDN 100/CB 103507 T1 W FELIX PROJECT ASSISTANT 1.00 $     38,748.00 1.00 $     38,748.00 13 SRNA 01/01/2010 EDN 150/FA 43959 J1 A EDUC ASST III 1.00 $     30,506.00 1.00 $     28,129.92 03 SR12 01/01/2010 EDN 150/FA 43959 J1 A EDUC ASST III 1.00 $     30,506.00 1.00 $     28,129.92 03 SR12 01/01/2010 EDN 150/FA 66561 T1 A SPEC ED TEACHER 1.00 $     32,712.96 1.00 $     32,712.96 05 T02 01/01/2010 EDN 150/FA 68739 T1 A GEN EDUC/ARTICLE VI TCHR 1.00 $     48,008.16 1.00 $     48,008.16 05 T03 01/01/2010 EDN 150/FA 72697 J1 A SPEC ED TEACHER 1.00 $     46,609.00 1.00 $     46,608.96 05 T03 01/01/2010 EDN 150/SA 33176 J1 A SPEECH PATHOLOGIST IV 1.00 $     57,999.00 1.00 $     45,576.00 13 SR22 01/01/2010 EDN 150/SA 33176 J1 A SPEECH PATHOLOGIST IV 1.00 $     57,999.00 1.00 $     45,576.00 13 SR22 01/02/2010 EDN 150/FA 800955 J1 A EDUC ASST II 1.00 $     26,131.00 1.00 $     23,130.00 03 SR10 01/03/2010 EDN 100/AA 72376 T1 A ELEM TEACHER 1.00 $     45,785.04 1.00 $     45,785.04 05 T02 01/03/2010 EDN 100/AA 72981F J1 A 12‐MO STUDENT SVCS COORD 1.00 $     64,180.00 1.00 $     51,426.00 05 T05 01/04/2010 EDN 100/AA 18691 J1 A SCHOOL CUSTODIAN II 0.50 $     16,614.00 0.50 $     16,614.00 01 BC02 01/04/2010 EDN 100/AA 23302 J1 A EDUC ASST III 1.00 $     27,154.00 1.00 $     27,019.92 03 SR12 01/04/2010 EDN 100/AA 63131 J1 A SECONDARY TEACHER 1.00 $     55,622.00 1.00 $     55,622.16 05 T06 01/04/2010 EDN 100/AA 64381 J1 A LIBRARIAN 1.00 $     67,654.00 1.00 $     63,807.12 05 T07 Page 43 2011 Budget Briefing
  • 104.
    Department of Education Table 12 Personnel Separations Position  Perm/  Budgeted   Budgeted   Actual  BU  SR  Separation Date Prog ID/Org Number Temp MOF Position Title FTE  Salary  FTE  Actual Salary  Code Level 01/04/2010 EDN 100/AA 66350 J1 A SECONDARY TEACHER 1.00 $     54,778.00 1.00 $     48,008.16 05 T03 01/04/2010 EDN 100/AA 68813 J1 A ELEM TEACHER 1.00 $     46,830.00 1.00 $     49,448.16 05 T03 01/04/2010 EDN 100/AA 73237 J1 A SECONDARY TEACHER 0.50 $     34,275.00 1.00 $     43,157.04 05 T02 01/04/2010 EDN 100/AA 73237 J1 A SECONDARY TEACHER 0.50 $     34,275.00 1.00 $     43,157.04 05 T02 01/04/2010 EDN 100/AA 75011 T1 A COUNSELOR 0.50 $     16,847.04 0.50 $     16,847.04 45 T02 01/04/2010 EDN 150/FA 60870 J1 A SPEC ED TEACHER 1.00 $     32,713.00 1.00 $     32,712.96 05 T02 01/04/2010 EDN 150/FA 61481 J1 A GEN EDUC/ARTICLE VI TCHR 1.00 $     44,452.08 1.00 $     44,452.08 05 T02 01/04/2010 EDN 150/FA 62716 J1 A SPEC ED TEACHER 1.00 $     34,705.00 1.00 $     34,704.96 05 T02 01/04/2010 EDN 150/FA 64129 J1 A SPEC ED TEACHER 1.00 $     34,705.00 1.00 $     34,704.96 05 T02 01/04/2010 EDN 150/FA 72386 J1 A SPEC ED TEACHER 1.00 $     34,705.00 1.00 $     34,704.96 05 T02 01/04/2010 EDN 150/FA 72559 J1 A SPEC ED TCHR/PRE‐SCHOOL 1.00 $     62,550.00 1.00 $     48,008.16 05 T03 01/04/2010 EDN 150/FA 73637 J1 A SPEC ED TEACHER 1.00 $     60,729.00 1.00 $     44,452.08 05 T02 01/05/2010 EDN 100/AA 18044 J1 A CLERK TYPIST II 1.00 $     33,756.00 1.00 $     25,668.00 03 SR08 01/05/2010 EDN 100/AA 801097 T1 A EDUC ASST III 1.00 $     25,030.08 1.00 $     25,030.08 03 SR12 01/05/2010 EDN 150/FA 57304 T1 A EDUC ASST II 0.75 $     20,366.00 0.75 $     17,347.50 03 SR10 01/05/2010 EDN 150/FA 801468 T1 A EDUC ASST III 1.00 $     25,030.08 1.00 $     25,030.08 03 SR12 01/05/2010 EDN 150/VC 55541 J1 A DATA PROCSSG SYSTS ANAL III 1.00 $     45,576.00 1.00 $     42,132.00 13 SR20 01/05/2010 EDN 150/YC 58393 J1 A BEHAVIORAL HLTH SPCLT III 1.00 $     47,412.00 1.00 $     42,132.00 13 SR20 01/05/2010 EDN 150/YG 801198 J1 A BEHAVIORAL HLTH SPCLT III 1.00 $     42,132.00 1.00 $     42,132.00 13 SR20 01/06/2010 EDN 100/AA 53286 J1 A EDUC ASST II 0.50 $     13,066.00 0.50 $     12,515.04 03 SR10 01/06/2010 EDN 150/FA 55886 J1 A EDUC ASST III 1.00 $     26,131.00 1.00 $     25,030.08 03 SR12 01/06/2010 EDN 150/FA 800090 J1 A EDUC ASST III 0.75 $     21,157.00 0.75 $     20,264.94 03 SR12 01/06/2010 EDN 150/YC 58640 J1 A BEHAVIORAL HLTH SPCLT IV 1.00 $     45,576.00 1.00 $     45,576.00 13 SR22 01/08/2010 EDN 100/AA 16720 J1 A SCHOOL CUSTODIAN II 1.00 $     33,228.00 1.00 $     33,228.00 01 BC02 01/08/2010 EDN 100/AA 71881 J1 A ELEM TEACHER 1.00 $     43,157.00 1.00 $     57,291.12 05 T06 01/09/2010 EDN 100/AA 30617 J1 A SCHOOL SECURITY ATTENDANT 1.00 $     23,229.00 1.00 $     22,249.92 03 SR07 01/09/2010 EDN 100/AA 801263 T1 A EDUC ASST III 0.50 $     12,515.04 0.50 $     12,515.04 03 SR12 01/12/2010 EDN 100/AA 56792 T1 A CLERK III 0.50 $     14,418.00 0.50 $     14,418.00 03 SR08 01/14/2010 EDN 400/OC 39787 J1 A ELECTRICIAN I 1.00 $     49,320.00 1.00 $     46,236.00 01 BC10 01/19/2010 EDN 100/AA 73172 T1 A ELEM TEACHER 1.00 $     44,024.16 1.00 $     44,024.16 05 T02 01/20/2010 EDN 100/AA 63395 J1 A COUNSELOR 1.00 $     49,448.00 1.00 $     48,008.16 05 T03 01/20/2010 EDN 150/FA 56974 T1 A EDUC ASST II 1.00 $     26,131.00 1.00 $     23,130.00 03 SR10 01/20/2010 EDN 150/FA 58196 T1 A EDUC ASST III 0.75 $     22,026.00 0.75 $     21,097.44 03 SR12 01/20/2010 EDN 150/SA 30578 J1 A OCC THERAPIST IV 1.00 $     56,388.00 1.00 $     45,576.00 13 SR22 01/22/2010 EDN 100/AA 65771 J1 A COUNSELOR 1.00 $     48,008.00 1.00 $     48,008.16 05 T03 01/23/2010 EDN 150/FA 57827 T1 A EDUC ASST II 0.75 $     22,879.00 0.75 $     17,347.50 03 SR10 Page 44 2011 Budget Briefing
  • 105.
    Department of Education Table 12 Personnel Separations Position  Perm/  Budgeted   Budgeted   Actual  BU  SR  Separation Date Prog ID/Org Number Temp MOF Position Title FTE  Salary  FTE  Actual Salary  Code Level 01/25/2010 EDN 100/BV 73686 T1 A SECONDARY TEACHER 1.00 $     45,785.00 1.00 $     32,712.96 05 T02 01/27/2010 EDN 150/SA 800335 J1 A SPEECH PATHOLOGIST IV 1.00 $     66,062.00 1.00 $     51,312.00 13 SR22 01/28/2010 EDN 100/AA 72199 J1 A SECONDARY TEACHER 1.00 $     68,351.00 1.00 $     43,157.04 05 T02 01/29/2010 EDN 100/AA 55138 J1 A EDUC ASST III 0.50 $     13,577.00 0.50 $     12,515.04 03 SR12 01/29/2010 EDN 100/CB 57935 J1 A ADMINISTRATIVE SERVICES ASST 1.00 $     60,024.00 1.00 $     60,024.00 13 SR22 01/29/2010 EDN 150/FA 46187 J1 A EDUC ASST III 1.00 $     33,032.00 1.00 $     31,639.92 03 SR12 01/29/2010 EDN 150/FA 46187 J1 A EDUC ASST II 1.00 $     33,032.00 1.00 $     23,130.00 03 SR10 01/29/2010 EDN 150/FA 58928 J1 A EDUC ASST III 0.50 $     14,684.00 0.50 $     14,064.96 03 SR12 01/30/2010 EDN 400/MD 9337 J1 B SCHOOL COOK II 1.00 $     38,436.00 1.00 $     38,436.00 01 BC06 01/30/2010 EDN 400/MD 28006 J1 B CAFETERIA HELPER 0.50 $     16,614.00 0.50 $     16,614.00 01 BC02 01/31/2010 EDN 100/AA 74693 J1 A LIBRARIAN 1.00 $     73,808.00 1.00 $     72,513.12 05 T07 01/31/2010 EDN 150/FA 65160 J1 A SPEC ED TEACHER 1.00 $     55,654.00 1.00 $     55,654.08 05 T03 01/31/2010 EDN 150/FA 73229 J1 A SPEC ED TEACHER 1.00 $     57,999.00 1.00 $     57,999.12 05 T02 02/02/2010 EDN 100/BM 801112 J1 A ATHLETIC HLTH CARE TRAINER 1.00 $     45,576.00 1.00 $     45,576.00 13 SR22 02/02/2010 EDN 150/FA 76023 T1 A SPEC ED TEACHER 1.00 $     43,157.00 1.00 $     48,008.16 05 T03 02/03/2010 EDN 150/FA 57274 T1 A EDUC ASST II 0.75 $     21,157.00 0.75 $     19,598.52 03 SR10 02/04/2010 EDN 150/SA 37409 J1 A SPEECH PATHOLOGIST II 1.00 $     47,621.40 1.00 $     47,621.40 13 SR18 02/05/2010 EDN 100/AA 16636 J1 A SCHOOL CUSTODIAN II 0.50 $     16,614.00 0.50 $     16,614.00 01 BC02 02/05/2010 EDN 100/AA 30681 J1 A SCHOOL SECURITY ATTENDANT 1.00 $     28,209.00 1.00 $     28,208.84 03 SR07 02/05/2010 EDN 400/MD 21602 J1 B CAFETERIA HELPER 0.50 $     16,614.00 0.50 $     16,614.00 01 BC02 02/10/2010 EDN 100/AA 30595 J1 A SCHOOL SECURITY ATTENDANT 1.00 $     23,229.00 1.00 $     21,443.72 03 SR07 02/10/2010 EDN 100/AA 68319 J1 A SECONDARY TEACHER 1.00 $     79,170.00 1.00 $     32,712.96 05 T02 02/11/2010 EDN 150/YG 801071 T1 A EDUC ASST II 1.00 $     27,756.00 1.00 $     27,756.00 03 SR10 02/13/2010 EDN 100/AA 63603 J1 A ELEM TEACHER 1.00 $     66,397.00 1.00 $     57,291.12 05 T06 02/20/2010 EDN 100/AA 45206 J1 A CLERK TYPIST II 1.00 $     25,668.00 1.00 $     25,668.00 03 SR08 02/20/2010 EDN 150/SA 4900 J1 A SOCIAL WORKER IV 1.00 $     56,994.00 1.00 $     56,994.12 13 SR22 02/20/2010 EDN 300/UA 44941 J1 A DP USER SUPPORT TECH II 1.00 $     39,480.00 1.00 $     39,480.00 03 SR15 02/24/2010 EDN 300/KO 42466 J1 A PERSONNEL CLERK III 1.00 $     32,424.00 1.00 $     26,700.00 63 SR09 02/26/2010 EDN 150/FA 72389 J1 A SPEC ED TEACHER 1.00 $     59,617.00 1.00 $     46,608.96 05 T03 02/26/2010 EDN 150/YC 800444 J1 A SCHOOL PSYCHOLOGIST 1.00 $     67,428.00 1.00 $     58,716.00 13 SR24 02/27/2010 EDN 100/AA 16678 J1 A SCHOOL CUSTODIAN V 1.00 $     40,608.00 1.00 $     40,608.00 02 F202 02/27/2010 EDN 100/AA 23734 J1 A SCHOOL CUSTODIAN V 1.00 $     40,608.00 1.00 $     40,608.00 02 F202 02/27/2010 EDN 100/AA 29289 J1 A SCHOOL CUSTODIAN III 1.00 $     35,544.00 1.00 $     35,544.00 01 WS02 02/27/2010 EDN 100/AA 50920 J1 A SCHOOL CUSTODIAN IV 1.00 $     36,684.00 1.00 $     36,684.00 02 F102 02/27/2010 EDN 100/AA 55154 T1 A CLERK III 1.00 $     30,036.00 0.50 $     15,018.00 03 SR08 02/27/2010 EDN 100/AA 56059 J1 A CLERK III 1.00 $     30,036.00 1.00 $     30,036.00 03 SR08 Page 45 2011 Budget Briefing
  • 106.
    Department of Education Table 12 Personnel Separations Position  Perm/  Budgeted   Budgeted   Actual  BU  SR  Separation Date Prog ID/Org Number Temp MOF Position Title FTE  Salary  FTE  Actual Salary  Code Level 02/27/2010 EDN 100/AA 56801 J1 A CLERK TYPIST II 0.50 $     13,878.00 0.50 $     13,878.00 03 SR08 02/27/2010 EDN 300/KF 26829 J1 A SECRETARY III 1.00 $     54,012.00 1.00 $     54,012.00 03 SR16 02/27/2010 EDN 400/MD 11415 J1 B SCHOOL COOK II 1.00 $     38,436.00 1.00 $     38,436.00 01 BC06 02/27/2010 EDN 400/MD 23825 J1 B SCHOOL COOK II 1.00 $     38,436.00 1.00 $     38,436.00 01 BC06 02/28/2010 EDN 100/AA 69100 J1 A 12‐MO ELEM PRIN II 1.00 $  101,240.00 1.00 $  108,527.04 06 E06 02/28/2010 EDN 100/AA 72817 J1 A 12‐MONTH REGISTRAR 1.00 $     93,968.00 1.00 $     79,170.00 05 T07 02/28/2010 EDN 100/AA 74864 J1 A ELEM TEACHER 1.00 $     68,351.00 1.00 $     74,688.00 05 T07 02/28/2010 EDN 150/FB 60283 J1 A SPECIAL SCH TEACHER 1.00 $     48,008.00 1.00 $     79,170.00 05 T07 03/01/2010 EDN 100/AA 64456X J1 A COUNSELOR/ALIENATION 0.50 $     30,739.50 0.50 $     30,739.56 05 T02 03/01/2010 EDN 150/ND 79850 T1 N 12‐MO DIST OFF TCHR 1.00 $     51,426.00 1.00 $     51,426.00 05 T04 03/02/2010 EDN 150/FA 64279 J1 A SPEC ED TEACHER 1.00 $     43,157.00 1.00 $     46,608.96 05 T03 03/04/2010 EDN 150/FA 75858 J1 A SPEC ED TEACHER 1.00 $     48,008.00 1.00 $     44,452.08 05 T02 03/07/2010 EDN 100/AA 17533 J1 A SCHOOL CUSTODIAN II 1.00 $     33,228.00 1.00 $     33,228.00 01 BC02 03/09/2010 EDN 150/FA 54473 J1 A EDUC ASST III 1.00 $     30,506.00 1.00 $     30,505.68 03 SR12 03/11/2010 EDN 150/FA 73906 J1 A SPEC ED TEACHER 1.00 $     43,157.00 1.00 $     48,008.16 05 T03 03/11/2010 EDN 150/FA 75913 J1 A GEN EDUC/ARTICLE VI TCHR 1.00 $     48,204.00 1.00 $     32,712.96 05 T02 03/20/2010 EDN 150/YK 118067 J1 A SCHOOL HEALTH AIDE 1.00 $     20,383.00 1.00 $     20,383.08 03 SR09 03/23/2010 EDN 150/SA 22581 J1 A SOCIAL WORKER IV 1.00 $     54,788.00 1.00 $     54,788.40 13 SR22 03/24/2010 EDN 150/FA 57491 J1 A EDUC ASST III 0.50 $     14,104.00 0.50 $     13,065.68 03 SR12 03/26/2010 EDN 150/FA 57690 J1 A EDUC ASST III 1.00 $     26,131.00 1.00 $     26,131.36 03 SR12 03/26/2010 EDN 150/FA 67998 J1 A SPEC ED TEACHER 1.00 $     43,157.00 1.00 $     48,008.16 05 T03 03/31/2010 EDN 100/AA 61856 J1 A LIBRARIAN 1.00 $     67,024.00 1.00 $     43,157.04 05 T02 03/31/2010 EDN 100/AA 66302 J1 A ELEM TEACHER 1.00 $     66,359.00 1.00 $     66,359.04 05 T07 03/31/2010 EDN 100/AA 69295 J1 A 12‐MO ELEM PRIN IV 1.00 $  124,714.00 1.00 $  130,023.12 06 E08 03/31/2010 EDN 150/FA 73680 J1 A SPEC ED TEACHER 1.00 $     52,460.00 1.00 $     52,460.16 05 T03 03/31/2010 EDN 400/MD 52479 J1 B SCHOOL COOK II 1.00 $     38,436.00 1.00 $     38,436.00 01 BC06 04/01/2010 EDN 100/AA 72600 T1 A SECONDARY TEACHER 0.50 $     26,484.00 0.50 $     26,484.00 45 T04 04/01/2010 EDN 100/AA 16095 J1 A SCHOOL CUSTODIAN III 1.00 $     35,544.00 1.00 $     35,544.00 01 WS02 04/01/2010 EDN 100/AA 30597 J1 A SCHOOL SECURITY ATTENDANT 1.00 $     24,148.00 1.00 $     24,147.72 03 SR07 04/01/2010 EDN 150/NB 800182 T1 N EDUC ASST III 1.00 $     30,505.68 1.00 $     30,505.68 03 SR12 04/01/2010 EDN 200/GG 6824 J1 A SECRETARY II 1.00 $     49,932.00 1.00 $     49,932.00 03 SR14 04/01/2010 EDN 300/KF 18940 J1 A PRE AUDIT CLERK II 1.00 $     48,048.00 1.00 $     48,048.00 03 SR13 04/01/2010 EDN 400/OB 10409 J1 A PRIVATE SECRETARY I 1.00 $     54,012.00 1.00 $     54,012.00 63 SR20 04/02/2010 EDN 150/FA 57199 T1 A EDUC ASST III 0.50 $     13,066.00 0.75 $     19,598.52 03 SR12 04/02/2010 EDN 150/FA 57201 J1 A EDUC ASST II 0.75 $     20,366.00 0.75 $     18,815.49 03 SR10 04/02/2010 EDN 300/KF 37315 J1 A PRE AUDIT CLERK II 1.00 $     31,212.00 1.00 $     33,756.00 03 SR13 Page 46 2011 Budget Briefing
  • 107.
    Department of Education Table 12 Personnel Separations Position  Perm/  Budgeted   Budgeted   Actual  BU  SR  Separation Date Prog ID/Org Number Temp MOF Position Title FTE  Salary  FTE  Actual Salary  Code Level 04/03/2010 EDN 100/AA 67733 J1 A ELEM TEACHER 1.00 $     51,426.00 1.00 $     51,426.00 05 T04 04/06/2010 EDN 100/AA 801106 T1 A LIBRARY ASSISTANT III 0.50 $     12,324.00 0.50 $     12,324.00 03 SR07 04/07/2010 EDN 150/FA 58792 J1 A EDUC ASST III 1.00 $     29,368.00 1.00 $     29,367.68 03 SR12 04/07/2010 EDN 400/MD 52987 J1 B CAFETERIA HELPER 0.50 $     16,614.00 0.50 $     16,614.00 01 BC02 04/10/2010 EDN 100/AA 36421 J1 A CLERK TYPIST II 1.00 $     31,212.00 1.00 $     31,212.00 03 SR08 04/10/2010 EDN 150/FA 54471 J1 A EDUC ASST III 1.00 $     30,506.00 1.00 $     26,131.36 03 SR12 04/10/2010 EDN 150/FA 63200 J1 A SPEC ED TEACHER 1.00 $     32,713.00 1.00 $     44,452.08 05 T02 04/13/2010 EDN 100/AA 67057 J1 A SECONDARY TEACHER 0.50 $     21,578.00 0.50 $     45,785.04 05 T02 04/13/2010 EDN 100/AA 55098 J1 A CLERK III 1.00 $     32,424.00 1.00 $     32,424.00 03 SR08 04/14/2010 EDN 150/YC 58214 J1 A CLINICAL PSYCHOLOGIST VI 1.00 $     68,160.00 1.00 $     68,160.00 13 SR26 04/16/2010 EDN 100/AA 16372 J1 A SCHOOL CUSTODIAN II 0.50 $     16,614.00 0.50 $     16,614.00 01 BC02 04/16/2010 EDN 100/AA 21886 J1 A SCHOOL CUSTODIAN II 0.50 $     16,614.00 0.50 $     16,614.00 01 BC02 04/16/2010 EDN 150/SA 30494 J1 A COMMUNICATION AID 0.50 $     15,885.00 0.50 $     13,065.68 03 SR12 04/16/2010 EDN 300/KO 14063 J1 A PERSONNEL CLERK III 1.00 $     27,756.00 1.00 $     27,756.00 63 SR09 04/17/2010 EDN 100/AA 801236 T1 A EDUC ASST III 1.00 $     26,131.36 1.00 $     26,131.36 03 SR12 04/20/2010 EDN 150/FA 58122 J1 A EDUC ASST III 0.75 $     19,599.00 0.75 $     19,598.52 03 SR12 04/21/2010 EDN 100/AA 16213 J1 A SCHOOL CUSTODIAN III 1.00 $     35,544.00 1.00 $     35,544.00 01 WS02 04/23/2010 EDN 150/FA 801290 T1 A EDUC ASST II 1.00 $     24,147.72 1.00 $     24,147.72 03 SR10 04/29/2010 EDN 150/YK 29448 J1 A SCHOOL HEALTH AIDE 1.00 $     20,383.00 1.00 $     20,383.08 03 SR09 04/30/2010 EDN 100/AA 46927 J1 A SCHOOL CUSTODIAN II 0.50 $     16,614.00 0.50 $     16,614.00 01 BC02 04/30/2010 EDN 100/AA 60258 J1 A 12‐MO INTER PRIN V 1.00 $  133,688.00 1.00 $  133,688.16 06 E08 04/30/2010 EDN 100/AA 72079 T1 A 10‐MO STUDENT SVCS COORD 0.50 $     37,201.00 0.50 $     31,001.00 45 T05 04/30/2010 EDN 100/AA 73679 J1 A SECONDARY TEACHER 1.00 $     84,170.00 1.00 $     79,170.00 05 T07 04/30/2010 EDN 150/FA 47269 J1 A EDUC ASST III 0.75 $     25,761.00 0.75 $     25,760.67 03 SR12 04/30/2010 EDN 150/FA 47754 J1 A EDUC ASST III 0.75 $     20,366.00 0.75 $     20,365.83 03 SR12 04/30/2010 EDN 150/FA 73506 J1 A SPEC ED TEACHER 1.00 $     58,959.00 1.00 $     43,157.04 05 T02 04/30/2010 EDN 150/IC 72967F J1 A COMPLEX AREA TEACHER 1.00 $     79,170.00 1.00 $     79,170.00 05 T07 04/30/2010 EDN 150/SA 56177 J1 A SPEECH PATHOLOGIST IV 1.00 $     57,999.00 1.00 $     57,999.00 13 SR22 04/30/2010 EDN 400/MD 14437 J1 B CAFETERIA HELPER 0.50 $     16,614.00 0.50 $     16,614.00 01 BC02 04/30/2010 EDN 400/MD 15424 J1 B CAFETERIA HELPER 1.00 $     33,228.00 1.00 $     33,228.00 01 BC02 05/06/2010 EDN 100/AA 64474 J1 A SECONDARY TEACHER 1.00 $     32,713.00 1.00 $     32,712.96 05 T02 05/06/2010 EDN 100/BM 48253 J1 A ATHLETIC HLTH CARE TRAINER 1.00 $     57,708.00 1.00 $     57,708.00 13 SR22 05/06/2010 EDN 100/BM 48253 J1 A ATHLETIC HLTH CARE TRAINER 1.00 $     57,708.00 1.00 $     45,576.00 13 SR22 05/07/2010 EDN 150/FA 56735 T1 A EDUC ASST II 0.75 $     20,366.00 0.75 $     18,110.79 03 SR10 05/13/2010 EDN 100/AA 44302 J1 A EDUC ASST III 1.00 $     29,368.00 1.00 $     27,154.44 03 SR12 05/14/2010 EDN 100/AA 40560 J1 A SCHOOL CUSTODIAN II 1.00 $     33,228.00 1.00 $     33,228.00 01 BC02 Page 47 2011 Budget Briefing
  • 108.
    Department of Education Table 12 Personnel Separations Position  Perm/  Budgeted   Budgeted   Actual  BU  SR  Separation Date Prog ID/Org Number Temp MOF Position Title FTE  Salary  FTE  Actual Salary  Code Level 05/14/2010 EDN 100/AA 42553 J1 A SCHOOL CUSTODIAN II 0.50 $     16,614.00 0.50 $     16,614.00 01 BC02 05/14/2010 EDN 150/FA 58069 J1 A EDUC ASST I 0.75 $     22,026.00 0.75 $     16,748.37 03 SR08 05/14/2010 EDN 150/YC 58351 J1 A BEHAVIORAL HLTH SPCLT III 1.00 $     49,332.00 1.00 $     42,132.00 13 SR20 05/14/2010 EDN 150/YK 29466 J1 A SCHOOL HEALTH AIDE 1.00 $     18,873.00 1.00 $     19,619.92 03 SR09 05/14/2010 EDN 400/MD 2043 J1 A SCHOOL FOOD SERVICES MGR III 1.00 $     49,391.00 1.00 $     43,722.36 02 F106 05/19/2010 EDN 150/SA 33038 J1 A SPEECH PATHOLOGIST II 1.00 $     67,070.00 1.00 $     49,577.40 13 SR18 05/19/2010 EDN 400/MB 36219 T1 N ACCOUNT CLERK IV 1.00 $     41,040.00 1.00 $     41,040.00 03 SR13 05/20/2010 EDN 150/YC 58486 T1 A BEHAVIORAL HLTH SPCLT IV 1.00 $     47,412.00 1.00 $     45,576.00 13 SR22 05/21/2010 EDN 100/AA 40155 J1 A SCHOOL CUSTODIAN II 0.50 $     16,614.00 0.50 $     16,614.00 01 BC02 05/21/2010 EDN 400/MD 30067 T1 N CAFETERIA HELPER 0.50 $     16,614.00 0.50 $     16,614.00 01 BC02 05/21/2010 EDN 400/OC 69287 J1 A CIP PLANNER III 1.00 $     93,626.00 1.00 $     93,626.16 06 E08 05/24/2010 EDN 100/AA 62931 J1 A ELEM TEACHER 1.00 $     54,263.00 1.00 $     52,968.00 05 T04 05/27/2010 EDN 100/AA 60588 J1 A SECONDARY TEACHER 0.50 $     25,466.00 0.50 $     16,356.48 45 T02 05/27/2010 EDN 100/AA 61672 T1 A ELEM TEACHER 1.00 $     62,550.00 1.00 $     62,550.00 05 T07 05/27/2010 EDN 100/AA 62001 J1 A ELEM TEACHER 1.00 $     62,024.00 1.00 $     58,392.96 05 T07 05/27/2010 EDN 100/AA 64313 J1 A SECONDARY TEACHER 1.00 $     79,170.00 1.00 $     43,157.04 05 T02 05/27/2010 EDN 100/AA 64334 J1 A SECONDARY TEACHER 1.00 $     49,448.00 1.00 $     46,608.96 05 T03 05/27/2010 EDN 100/AA 66897 J1 A ELEM TEACHER 1.00 $     51,426.00 1.00 $     51,426.00 05 T04 05/27/2010 EDN 100/AA 67338 J1 A ELEM TEACHER 1.00 $     51,426.00 1.00 $     49,448.16 05 T04 05/27/2010 EDN 100/AA 74987 J1 A COUNSELOR/HIGH RISK 1.00 $     48,008.00 1.00 $     43,157.04 05 T02 05/27/2010 EDN 150/FA 64393 J1 A SPEC ED TEACHER 1.00 $     32,713.00 1.00 $     32,712.96 05 T02 05/27/2010 EDN 150/FA 67513 T1 A SPEC ED TEACHER 1.00 $     46,608.96 1.00 $     46,608.96 05 T03 05/27/2010 EDN 150/FA 71154 J1 A SPEC ED TEACHER 1.00 $     44,452.00 1.00 $     49,448.16 05 T03 05/27/2010 EDN 150/FA 74269 J1 A SPEC ED TEACHER 1.00 $     32,713.00 1.00 $     32,712.96 05 T02 05/27/2010 EDN 150/FA 74529 J1 A GEN EDUC/ARTICLE VI TCHR 1.00 $     49,448.00 1.00 $     49,448.16 05 T03 05/27/2010 EDN 150/NB 79349 T1 N DIST OFF TCHR 0.50 $     26,741.52 0.50 $     26,741.52 45 T06 05/28/2010 EDN 100/AA 16270 J1 A SCHOOL CUSTODIAN II 0.50 $     16,614.00 0.50 $     16,614.00 01 BC02 05/28/2010 EDN 100/AA 47805 J1 A SCHOOL CUSTODIAN II 1.00 $     33,228.00 1.00 $     33,228.00 01 BC02 05/28/2010 EDN 100/AA 65669 J1 A ELEM TEACHER 1.00 $     49,448.00 1.00 $     49,448.16 05 T03 05/28/2010 EDN 150/FA 32041 J1 A EDUC ASST III 1.00 $     30,506.00 1.00 $     30,505.68 03 SR12 05/28/2010 EDN 150/FA 32211 J1 A EDUC ASST III 1.00 $     37,135.00 1.00 $     37,135.04 03 SR12 05/28/2010 EDN 150/FA 52674 J1 A EDUC ASST III 0.50 $     15,253.00 0.50 $     15,252.84 03 SR12 05/28/2010 EDN 150/FA 54662 J1 A EDUC ASST III 1.00 $     30,506.00 1.00 $     30,505.68 03 SR12 05/28/2010 EDN 150/FA 55536 J1 A EDUC ASST III 0.50 $     15,253.00 0.50 $     15,252.84 03 SR12 05/28/2010 EDN 150/FA 800047 J1 A EDUC ASST III 0.75 $     19,599.00 0.75 $     19,598.52 03 SR12 05/28/2010 EDN 150/SA 30433 J1 A SPEECH PATHOLOGIST IV 1.00 $     69,305.00 1.00 $     70,625.16 13 SR22 Page 48 2011 Budget Briefing
  • 109.
    Department of Education Table 12 Personnel Separations Position  Perm/  Budgeted   Budgeted   Actual  BU  SR  Separation Date Prog ID/Org Number Temp MOF Position Title FTE  Salary  FTE  Actual Salary  Code Level 05/28/2010 EDN 150/SA 56256 J1 A SPEECH PATHOLOGIST IV 1.00 $     60,315.00 1.00 $     58,563.00 13 SR22 05/28/2010 EDN 150/SA 56288 J1 A SPEECH PATHOLOGIST IV 1.00 $     58,551.00 1.00 $     60,436.20 13 SR22 05/28/2010 EDN 400/OC 43541 J1 A BUILDING MAINTENANCE WORKER I 1.00 $     44,544.00 1.00 $     44,544.00 01 BC09 05/29/2010 EDN 100/AA 23337 J1 A EDUC ASST III 1.00 $     35,705.00 1.00 $     35,704.80 03 SR12 05/29/2010 EDN 100/AA 24255 J1 A SCHOOL CUSTODIAN II 1.00 $     33,228.00 1.00 $     33,228.00 01 BC02 05/29/2010 EDN 100/AA 38892 J1 A CLERK TYPIST II 0.50 $     14,418.00 0.50 $     14,418.00 03 SR08 05/29/2010 EDN 100/AA 51955 J1 A EDUC ASST III 0.75 $     23,827.00 0.75 $     23,826.72 03 SR12 05/29/2010 EDN 100/AA 56099 J1 A CLERK III 0.50 $     15,018.00 0.50 $     15,018.00 03 SR08 05/29/2010 EDN 100/AA 56597 J1 A CLERK TYPIST II 0.50 $     16,878.00 0.50 $     16,878.00 03 SR08 05/29/2010 EDN 100/AA 801346 T1 A LIBRARY ASSISTANT II 1.00 $     22,776.00 1.00 $     22,776.00 03 SR05 05/29/2010 EDN 100/CB 57949 J1 A ADMINISTRATIVE SERVICES ASST 1.00 $     67,488.00 1.00 $     64,920.00 13 SR22 05/29/2010 EDN 100/CB 57951 J1 A ADMINISTRATIVE SERVICES ASST 1.00 $     55,500.00 1.00 $     55,500.00 13 SR22 05/29/2010 EDN 150/FA 30760 J1 A EDUC ASST III 1.00 $     34,347.00 1.00 $     34,347.56 03 SR12 05/29/2010 EDN 150/FA 57344 T1 A EDUC ASST III 0.75 $     22,026.00 0.75 $     22,025.76 03 SR12 05/29/2010 EDN 150/FA 57485 J1 A EDUC ASST III 0.75 $     30,130.00 0.75 $     30,129.81 03 SR12 05/29/2010 EDN 150/FA 800798 T1 A EDUC ASST III 0.75 $     19,599.00 0.75 $     19,598.52 03 SR12 05/29/2010 EDN 150/SA 11356 J1 A SOCIAL WORKER IV 1.00 $     69,305.00 1.00 $     69,305.16 13 SR22 05/29/2010 EDN 150/SA 30407 J1 A SPEECH PATHOLOGIST IV 1.00 $     69,305.00 1.00 $     70,457.16 13 SR22 05/29/2010 EDN 150/SA 30414 J1 A SPEECH PATHOLOGIST IV 1.00 $     69,305.00 1.00 $     70,457.16 13 SR22 05/29/2010 EDN 150/SA 30456 J1 A COMMUNICATION AID 1.00 $     34,347.00 1.00 $     34,347.56 03 SR12 05/29/2010 EDN 150/SA 32151 J1 A SOCIAL WORKER IV 1.00 $     69,305.00 1.00 $     69,305.16 13 SR22 05/29/2010 EDN 150/SA 36461 J1 A SOCIAL WORKER IV 1.00 $     56,994.00 1.00 $     56,994.12 13 SR22 05/29/2010 EDN 150/SA 46976 J1 A SOCIAL WORKER IV 1.00 $     64,105.00 1.00 $     64,104.60 13 SR22 05/29/2010 EDN 150/YK 29370 J1 A SCHOOL HEALTH AIDE 1.00 $     29,010.00 1.00 $     29,009.68 03 SR09 05/29/2010 EDN 300/KO 10411 J1 A PERSONNEL CLERK IV 1.00 $     44,412.00 1.00 $     44,412.00 63 SR11 05/29/2010 EDN 300/KO 58234 J1 A PERSONNEL CLERK III 1.00 $     41,040.00 1.00 $     41,040.00 63 SR09 05/29/2010 EDN 400/MD 9335 J1 A SCHOOL BAKER 1.00 $     38,436.00 1.00 $     38,436.00 01 BC06 05/29/2010 EDN 400/MD 9511 J1 B CAFETERIA HELPER 1.00 $     33,228.00 1.00 $     33,228.00 01 BC02 05/29/2010 EDN 400/MD 38158 J1 B CAFETERIA HELPER 0.50 $     16,614.00 0.50 $     16,614.00 01 BC02 05/29/2010 EDN 400/MD 51922 J1 A SCHOOL FOOD SERVICES MGR V 1.00 $     64,176.00 1.00 $     64,180.80 02 GF06 05/29/2010 EDN 400/MD 59545 J1 B SCHOOL COOK II 1.00 $     38,436.00 1.00 $     38,436.00 01 BC06 05/29/2010 EDN 400/MD 801288 T1 A CAFETERIA HELPER 0.50 $     16,614.00 0.50 $     16,614.00 01 BC02 05/30/2010 EDN 100/AA 61858 J1 A ELEM TEACHER 1.00 $     48,008.00 1.00 $     48,008.16 05 T03 05/31/2010 EDN 100/AA 60471 J1 A 12‐MO ELEM PRIN II 1.00 $  114,733.00 1.00 $  114,732.96 06 E06 05/31/2010 EDN 100/AA 60610 J1 A ELEM TEACHER 1.00 $     73,110.00 1.00 $     71,814.96 05 T05 05/31/2010 EDN 100/AA 60624 J1 A ELEM TEACHER 1.00 $     74,688.00 1.00 $     74,688.00 05 T07 Page 49 2011 Budget Briefing
  • 110.
    Department of Education Table 12 Personnel Separations Position  Perm/  Budgeted   Budgeted   Actual  BU  SR  Separation Date Prog ID/Org Number Temp MOF Position Title FTE  Salary  FTE  Actual Salary  Code Level 05/31/2010 EDN 100/AA 60784 J1 A COUNSELOR 1.00 $     79,170.00 1.00 $     79,170.00 05 T07 05/31/2010 EDN 100/AA 60828 J1 A SECONDARY TEACHER 1.00 $     79,170.00 1.00 $     79,170.00 05 T07 05/31/2010 EDN 100/AA 60907 J1 A SECONDARY TEACHER 1.00 $     68,351.00 1.00 $     68,351.04 05 T07 05/31/2010 EDN 100/AA 61054 J1 A ELEM TEACHER 0.50 $     27,811.00 1.00 $     63,861.12 05 T05 05/31/2010 EDN 100/AA 61120 J1 A ELEM TEACHER 0.50 $     37,344.00 0.50 $     37,344.00 45 T07 05/31/2010 EDN 100/AA 61308 J1 A ELEM TEACHER 1.00 $     79,170.00 1.00 $     79,170.00 05 T07 05/31/2010 EDN 100/AA 61324 J1 A ELEM TEACHER 1.00 $     63,248.00 1.00 $     63,248.16 05 T04 05/31/2010 EDN 100/AA 61394 J1 A COUNSELOR 1.00 $     79,170.00 1.00 $     79,170.00 05 T07 05/31/2010 EDN 100/AA 61443 J1 A SECONDARY TEACHER 0.50 $     24,724.00 0.50 $     24,724.08 45 T03 05/31/2010 EDN 100/AA 61477 J1 A ELEM TEACHER 1.00 $     74,688.00 1.00 $     74,688.00 05 T06 05/31/2010 EDN 100/AA 61528 J1 A ELEM TEACHER 1.00 $     79,170.00 1.00 $     79,170.00 05 T07 05/31/2010 EDN 100/AA 61548 J1 A ELEM TEACHER 1.00 $     79,170.00 1.00 $     79,170.00 05 T07 05/31/2010 EDN 100/AA 62322 J1 A SECONDARY TEACHER 1.00 $     69,054.00 1.00 $     69,054.00 05 T04 05/31/2010 EDN 100/AA 62326 J1 A SECONDARY TEACHER 0.50 $     18,194.50 0.50 $     79,170.00 05 T07 05/31/2010 EDN 100/AA 62326 J1 A SECONDARY TEACHER 0.50 $     18,194.50 0.50 $     79,170.00 05 T07 05/31/2010 EDN 100/AA 62381 J1 A SECONDARY TEACHER 1.00 $     79,170.00 1.00 $     79,170.00 05 T07 05/31/2010 EDN 100/AA 62638 J1 A ELEM TEACHER 1.00 $     79,170.00 1.00 $     79,170.00 05 T07 05/31/2010 EDN 100/AA 62992 J1 A LIBRARIAN 1.00 $     80,465.00 1.00 $     79,170.00 05 T07 05/31/2010 EDN 100/AA 63199 J1 A ELEM TEACHER 1.00 $     79,170.00 1.00 $     79,170.00 05 T07 05/31/2010 EDN 100/AA 63286 J1 A ELEM TEACHER 1.00 $     64,427.00 1.00 $     64,427.04 05 T07 05/31/2010 EDN 100/AA 63311 J1 A ELEM TEACHER 1.00 $     79,170.00 1.00 $     79,170.00 05 T07 05/31/2010 EDN 100/AA 63439 J1 A ELEM TEACHER 1.00 $     80,215.00 1.00 $     79,170.00 05 T07 05/31/2010 EDN 100/AA 63464 J1 A ELEM TEACHER 1.00 $     66,397.00 1.00 $     66,396.96 05 T03 05/31/2010 EDN 100/AA 63528 J1 A LIBRARIAN 1.00 $     75,983.00 1.00 $     74,688.00 05 T07 05/31/2010 EDN 100/AA 63869 J1 A ELEM TEACHER 1.00 $     57,880.00 1.00 $     57,880.08 05 T04 05/31/2010 EDN 100/AA 63924 J1 A ELEM TEACHER 1.00 $     79,170.00 1.00 $     79,170.00 05 T07 05/31/2010 EDN 100/AA 64212 J1 A ELEM TEACHER 1.00 $     79,170.00 1.00 $     79,170.00 05 T07 05/31/2010 EDN 100/AA 64246 J1 A ELEM TEACHER 1.00 $     79,170.00 1.00 $     79,170.00 05 T07 05/31/2010 EDN 100/AA 64335 J1 A 12‐MO INTER PRIN VI 1.00 $  135,564.00 1.00 $  135,564.00 06 E09 05/31/2010 EDN 100/AA 64467 J1 A SECONDARY TEACHER 0.50 $     24,724.00 0.50 $     35,200.08 05 T07 05/31/2010 EDN 100/AA 64467 J1 A SECONDARY TEACHER 0.50 $     24,724.00 0.50 $     35,200.08 05 T07 05/31/2010 EDN 100/AA 64858 J1 A ELEM TEACHER 1.00 $     75,983.00 1.00 $     74,688.00 05 T07 05/31/2010 EDN 100/AA 64890 J1 A SECONDARY TEACHER 1.00 $     65,145.00 1.00 $     65,145.12 05 T04 05/31/2010 EDN 100/AA 64981 J1 A SECONDARY TEACHER 1.00 $     71,815.00 1.00 $     71,814.96 05 T05 05/31/2010 EDN 100/AA 65013 J1 A ELEM TEACHER 1.00 $     59,617.00 1.00 $     59,616.96 05 T04 05/31/2010 EDN 100/AA 65071 J1 A ELEM TEACHER 1.00 $     80,215.00 1.00 $     79,170.00 05 T07 Page 50 2011 Budget Briefing
  • 111.
    Department of Education Table 12 Personnel Separations Position  Perm/  Budgeted   Budgeted   Actual  BU  SR  Separation Date Prog ID/Org Number Temp MOF Position Title FTE  Salary  FTE  Actual Salary  Code Level 05/31/2010 EDN 100/AA 65097 J1 A ELEM TEACHER 1.00 $     63,595.00 1.00 $     62,550.00 05 T07 05/31/2010 EDN 100/AA 65108 J1 A LIBRARIAN 1.00 $     80,465.00 1.00 $     79,170.00 05 T07 05/31/2010 EDN 100/AA 65113 T1 A SECONDARY TEACHER 1.00 $     72,513.12 1.00 $     72,513.12 05 T07 05/31/2010 EDN 100/AA 65193 J1 A SECONDARY TEACHER 1.00 $     62,550.00 1.00 $     62,550.00 05 T07 05/31/2010 EDN 100/AA 65236 J1 A LIBRARIAN 1.00 $     71,695.00 1.00 $     70,400.16 05 T07 05/31/2010 EDN 100/AA 65303 J1 A ELEM TEACHER 1.00 $     61,774.00 1.00 $     43,157.04 05 T02 05/31/2010 EDN 100/AA 65372 J1 A SECONDARY TEACHER 1.00 $     75,733.00 1.00 $     74,688.00 05 T07 05/31/2010 EDN 100/AA 65404 J1 A ELEM TEACHER 1.00 $     72,513.00 1.00 $     72,513.12 05 T07 05/31/2010 EDN 100/AA 65413 J1 A ELEM TEACHER 1.00 $     70,400.00 1.00 $     70,400.16 05 T07 05/31/2010 EDN 100/AA 65513 J1 A ELEM TEACHER 1.00 $     73,558.00 1.00 $     72,513.12 05 T07 05/31/2010 EDN 100/AA 65599 J1 A SECONDARY TEACHER 1.00 $     79,170.00 1.00 $     79,170.00 05 T07 05/31/2010 EDN 100/AA 65934 J1 A ELEM TEACHER 1.00 $     73,808.00 1.00 $     72,513.12 05 T07 05/31/2010 EDN 100/AA 65948 J1 A SECONDARY TEACHER 1.00 $     79,170.00 1.00 $     79,170.00 05 T07 05/31/2010 EDN 100/AA 66078 T1 A COUNSELOR 0.50 $     33,875.04 0.50 $     33,875.04 05 T05 05/31/2010 EDN 100/AA 66078 T1 A COUNSELOR 0.50 $     33,875.04 0.50 $     33,875.04 05 T05 05/31/2010 EDN 100/AA 66084 J1 A ELEM TEACHER 1.00 $     79,170.00 1.00 $     79,170.00 05 T07 05/31/2010 EDN 100/AA 66548 J1 A ELEM TEACHER 1.00 $     56,740.00 1.00 $     56,740.08 05 T05 05/31/2010 EDN 100/AA 66769 J1 A LIBRARIAN 1.00 $     80,465.00 1.00 $     79,170.00 05 T07 05/31/2010 EDN 100/AA 66867 J1 A COUNSELOR/HIGH RISK 0.50 $     32,241.00 0.50 $     32,241.00 05 T06 05/31/2010 EDN 100/AA 66867 J1 A COUNSELOR/HIGH RISK 0.50 $     32,241.00 0.50 $     32,241.00 05 T06 05/31/2010 EDN 100/AA 66942 J1 A ELEM TEACHER 1.00 $     63,047.00 1.00 $     62,002.08 05 T05 05/31/2010 EDN 100/AA 67044 J1 A ELEM TEACHER 1.00 $     80,215.00 1.00 $     79,170.00 05 T07 05/31/2010 EDN 100/AA 67073 J1 A ELEM TEACHER 1.00 $     79,170.00 1.00 $     79,170.00 05 T07 05/31/2010 EDN 100/AA 67408 J1 A SECONDARY TEACHER 1.00 $     80,215.00 1.00 $     79,170.00 05 T07 05/31/2010 EDN 100/AA 67479 J1 A ELEM TEACHER 1.00 $     43,157.00 0.50 $     25,465.56 45 T03 05/31/2010 EDN 100/AA 67529 J1 A ELEM TEACHER 1.00 $     68,408.00 1.00 $     68,408.16 05 T06 05/31/2010 EDN 100/AA 67570 J1 A ELEM TEACHER 1.00 $     72,513.00 1.00 $     72,513.12 05 T07 05/31/2010 EDN 100/AA 67609 J1 A ELEM TEACHER 1.00 $     73,558.00 1.00 $     72,513.12 05 T07 05/31/2010 EDN 100/AA 67636 J1 A ELEM TEACHER 1.00 $     80,465.00 1.00 $     79,170.00 05 T07 05/31/2010 EDN 100/AA 67751 J1 A VICE PRINCIPAL III 1.00 $     94,393.00 1.00 $     87,520.08 06 E05 05/31/2010 EDN 100/AA 68000 J1 A SECONDARY TEACHER 1.00 $     63,248.00 1.00 $     63,248.16 05 T04 05/31/2010 EDN 100/AA 68091 J1 A ELEM TEACHER 1.00 $     79,170.00 1.00 $     79,170.00 05 T07 05/31/2010 EDN 100/AA 68164 J1 A SECONDARY TEACHER 1.00 $     79,170.00 1.00 $     79,170.00 05 T07 05/31/2010 EDN 100/AA 68448 J1 A LIBRARIAN 1.00 $     69,646.00 1.00 $     68,351.04 05 T07 05/31/2010 EDN 100/AA 68478 J1 A SECONDARY TEACHER 1.00 $     79,170.00 1.00 $     79,170.00 05 T07 05/31/2010 EDN 100/AA 68624 J1 A SECONDARY TEACHER 1.00 $     79,170.00 1.00 $     79,170.00 05 T07 Page 51 2011 Budget Briefing
  • 112.
    Department of Education Table 12 Personnel Separations Position  Perm/  Budgeted   Budgeted   Actual  BU  SR  Separation Date Prog ID/Org Number Temp MOF Position Title FTE  Salary  FTE  Actual Salary  Code Level 05/31/2010 EDN 100/AA 68731 J1 A ELEM TEACHER 1.00 $     79,170.00 1.00 $     79,170.00 05 T07 05/31/2010 EDN 100/AA 68757 J1 A SECONDARY TEACHER 1.00 $     73,558.00 1.00 $     72,513.12 05 T07 05/31/2010 EDN 100/AA 68867 J1 A ELEM TEACHER 1.00 $     79,170.00 1.00 $     79,170.00 05 T07 05/31/2010 EDN 100/AA 69183 J1 A SECONDARY TEACHER 1.00 $     79,170.00 1.00 $     79,170.00 05 T07 05/31/2010 EDN 100/AA 69185 J1 A ELEM TEACHER 1.00 $     72,513.00 1.00 $     72,513.12 05 T07 05/31/2010 EDN 100/AA 69519 J1 A ELEM TEACHER 1.00 $     79,170.00 1.00 $     79,170.00 05 T07 05/31/2010 EDN 100/AA 69595 J1 A ELEM TEACHER 1.00 $     59,010.00 1.00 $     66,359.04 05 T07 05/31/2010 EDN 100/AA 69616 J1 A ELEM TEACHER 1.00 $     74,688.00 1.00 $     74,688.00 05 T07 05/31/2010 EDN 100/AA 69634 J1 A ELEM TEACHER 1.00 $     55,964.00 1.00 $     54,669.12 05 T02 05/31/2010 EDN 100/AA 69665 J1 A SECONDARY TEACHER 1.00 $     62,024.00 1.00 $     60,729.12 05 T07 05/31/2010 EDN 100/AA 69836 J1 A ELEM TEACHER 1.00 $     70,400.00 1.00 $     70,400.16 05 T07 05/31/2010 EDN 100/AA 71023 J1 A ELEM TEACHER 1.00 $     55,087.00 1.00 $     43,157.04 05 T02 05/31/2010 EDN 100/AA 71309 J1 A ELEM TEACHER 1.00 $     64,482.00 1.00 $     64,482.00 05 T06 05/31/2010 EDN 100/AA 71385 J1 A COUNSELOR 1.00 $     68,351.00 1.00 $     68,351.04 05 T07 05/31/2010 EDN 100/AA 71389 J1 A COUNSELOR 1.00 $     49,448.00 1.00 $     67,750.08 05 T05 05/31/2010 EDN 100/AA 71497 J1 A ELEM TEACHER 1.00 $     64,482.00 1.00 $     64,482.00 05 T06 05/31/2010 EDN 100/AA 71696 J1 A ELEM TEACHER 1.00 $     69,646.00 1.00 $     68,351.04 05 T07 05/31/2010 EDN 100/AA 71856 J1 A 12‐MONTH REGISTRAR 1.00 $     95,004.00 1.00 $     79,170.00 05 T07 05/31/2010 EDN 100/AA 72032 J1 A SECONDARY TEACHER 1.00 $     68,351.00 1.00 $     68,351.04 05 T07 05/31/2010 EDN 100/AA 72561 J1 A ELEM TEACHER 1.00 $     79,170.00 1.00 $     79,170.00 05 T07 05/31/2010 EDN 100/AA 72603 J1 A 12‐MO ELEM TEACHER 1.00 $     82,021.00 1.00 $     68,351.04 05 T07 05/31/2010 EDN 100/AA 72747 J1 A ELEM TEACHER 1.00 $     79,170.00 1.00 $     79,170.00 05 T07 05/31/2010 EDN 100/AA 72942 T1 A SECONDARY TEACHER 1.00 $     45,785.00 0.50 $     29,808.48 45 T04 05/31/2010 EDN 100/AA 73447 J1 A SECONDARY TEACHER 1.00 $     63,861.00 1.00 $     63,861.12 05 T05 05/31/2010 EDN 100/AA 73748 J1 A SECONDARY TEACHER 1.00 $     80,465.00 1.00 $     79,170.00 05 T07 05/31/2010 EDN 100/AA 74294 J1 A SECONDARY TEACHER 1.00 $     80,215.00 1.00 $     79,170.00 05 T07 05/31/2010 EDN 100/AA 74540 J1 A ELEM TEACHER 1.00 $     70,400.00 1.00 $     70,400.16 05 T07 05/31/2010 EDN 100/AA 74567 J1 A ELEM TEACHER 1.00 $     74,688.00 1.00 $     74,688.00 05 T07 05/31/2010 EDN 100/AA 74597 J1 A ELEM TEACHER 1.00 $     80,465.00 1.00 $     79,170.00 05 T07 05/31/2010 EDN 100/AA 75365 T1 A 10‐MO STUDENT SVCS COORD 1.00 $     84,480.00 1.00 $     70,400.16 05 T07 05/31/2010 EDN 100/AA 75966 J1 A ELEM TEACHER 1.00 $     79,170.00 1.00 $     79,170.00 05 T07 05/31/2010 EDN 100/AA 76337 J1 A SECONDARY TEACHER 0.50 $     39,585.00 0.50 $     39,585.00 05 T07 05/31/2010 EDN 100/AA 76337 J1 A SECONDARY TEACHER 0.50 $     39,585.00 0.50 $     39,585.00 05 T07 05/31/2010 EDN 100/AA 79344 T1 A SECONDARY TEACHER 0.50 $     39,585.00 0.50 $     39,585.00 05 T07 05/31/2010 EDN 100/BB 62315 J1 A SECONDARY TEACHER 1.00 $     79,170.00 1.00 $     79,170.00 05 T07 05/31/2010 EDN 100/BB 68465 J1 A SECONDARY TEACHER 1.00 $     79,170.00 1.00 $     79,170.00 05 T07 Page 52 2011 Budget Briefing
  • 113.
    Department of Education Table 12 Personnel Separations Position  Perm/  Budgeted   Budgeted   Actual  BU  SR  Separation Date Prog ID/Org Number Temp MOF Position Title FTE  Salary  FTE  Actual Salary  Code Level 05/31/2010 EDN 100/BJ 73075 J1 A SECONDARY TEACHER 1.00 $     49,448.00 1.00 $     64,482.00 05 T06 05/31/2010 EDN 100/CB 67286 J1 A COMPLEX AREA TEACHER 1.00 $     79,170.00 1.00 $     79,170.00 05 T07 05/31/2010 EDN 100/DB 79217 T1 N EDUCATIONAL SPEC II 1.00 $     94,937.04 1.00 $     94,937.04 56 E07 05/31/2010 EDN 100/DB 79344 T1 N SECONDARY TEACHER 0.50 $     39,585.00 0.50 $     39,585.00 05 T07 05/31/2010 EDN 100/DB 79428 T1 N DIST OFF TCHR 1.00 $     79,170.00 1.00 $     79,170.00 05 T07 05/31/2010 EDN 100/DB 79634 T1 N ELEM TEACHER 1.00 $     43,157.04 1.00 $     43,157.04 05 T02 05/31/2010 EDN 150/FA 60456 J1 A SPEC ED TEACHER 1.00 $     59,044.00 1.00 $     57,999.12 05 T02 05/31/2010 EDN 150/FA 62167 J1 A SPEC ED TEACHER 1.00 $     61,405.00 1.00 $     61,404.96 05 T04 05/31/2010 EDN 150/FA 63176 J1 A SPEC ED TEACHER 1.00 $     45,785.00 1.00 $     45,785.04 05 T02 05/31/2010 EDN 150/FA 64922 T1 A SPEC ED TEACHER 1.00 $     79,170.00 1.00 $     79,170.00 05 T07 05/31/2010 EDN 150/FA 66013 J1 A GEN EDUC/ARTICLE VI TCHR 1.00 $     57,324.00 1.00 $     57,324.00 05 T03 05/31/2010 EDN 150/FA 66449 J1 A SPEC ED TEACHER 1.00 $     62,550.00 1.00 $     62,550.00 05 T07 05/31/2010 EDN 150/FA 66669 J1 A SPEC ED TEACHER 1.00 $     57,291.00 1.00 $     57,291.12 05 T06 05/31/2010 EDN 150/FA 67113 J1 A SPEC ED TEACHER 1.00 $     79,170.00 1.00 $     79,170.00 05 T07 05/31/2010 EDN 150/FA 69582 J1 A SPEC ED TEACHER 1.00 $     70,400.00 1.00 $     70,400.16 05 T07 05/31/2010 EDN 150/FA 69672 J1 A GEN EDUC/ARTICLE VI TCHR 1.00 $     79,170.00 1.00 $     79,170.00 05 T07 05/31/2010 EDN 150/FA 71172 J1 A SPEC ED TEACHER 1.00 $     46,609.00 1.00 $     79,170.00 05 T07 05/31/2010 EDN 150/FA 71343 J1 A SPEC ED TCHR/PRE‐SCHOOL 1.00 $     47,080.00 1.00 $     74,688.00 05 T07 05/31/2010 EDN 150/FA 73291 T1 A SPEC ED TEACHER 1.00 $     43,157.04 1.00 $     43,157.04 05 T02 05/31/2010 EDN 150/FA 73331 J1 A SPEC ED TCHR/PRE‐SCHOOL 1.00 $     75,733.00 1.00 $     74,688.00 05 T07 05/31/2010 EDN 150/FA 73488 J1 A SPEC ED TEACHER 1.00 $     79,170.00 1.00 $     79,170.00 05 T07 05/31/2010 EDN 150/FA 74090 J1 A SPEC ED TCHR/PRE‐SCHOOL 1.00 $     79,170.00 1.00 $     79,170.00 05 T07 05/31/2010 EDN 150/FA 74808 J1 A SPEC ED TCHR/PRE‐SCHOOL 1.00 $     74,688.00 1.00 $     79,170.00 05 T07 05/31/2010 EDN 150/FA C4062 T1 A GEN EDUC/ARTICLE VI TCHR 1.00 $     79,170.00 1.00 $     79,170.00 05 T07 05/31/2010 EDN 150/NB 79346 T1 N DIST OFF TCHR 1.00 $     68,351.04 1.00 $     68,351.04 05 T07 05/31/2010 EDN 150/NB 79377 T1 N DIST OFF TCHR 1.00 $     74,688.00 1.00 $     74,688.00 05 T07 05/31/2010 EDN 200/GC 60023 J1 A EDUCATIONAL DIRECTOR 1.00 $  123,642.00 1.00 $  123,642.00 06 E10 05/31/2010 EDN 200/GN 76351 T1 A COMPLEX AREA TEACHER 1.00 $     68,408.16 1.00 $     68,408.16 05 T06 05/31/2010 EDN 300/KF 68274 J1 A BUDGET SPECIALIST II 1.00 $     81,475.00 1.00 $     81,474.96 06 E07 06/01/2010 EDN 100/AA 28388 J1 A SCHOOL CUSTODIAN II 1.00 $     33,228.00 1.00 $     33,228.00 01 BC02 06/01/2010 EDN 100/AA 30606 J1 A SCHOOL SECURITY ATTENDANT 1.00 $     30,506.00 1.00 $     30,505.68 03 SR07 06/01/2010 EDN 100/AA 55790 J1 A EDUC ASST III 1.00 $     31,769.00 1.00 $     31,768.96 03 SR12 06/02/2010 EDN 150/YC 30689 J1 A SCHOOL PSYCHOLOGIST 1.00 $     46,803.00 1.00 $     51,312.00 13 SR24 06/11/2010 EDN 100/AA 41721 J1 A CLERK TYPIST II 1.00 $     30,036.00 0.50 $       6,663.60 63 SR08 06/12/2010 EDN 100/AA 45103 J1 A SCHOOL CUSTODIAN II 0.50 $     16,614.00 0.50 $     16,614.00 01 BC02 06/15/2010 EDN 150/YC 58385 J1 A BEHAVIORAL HLTH SPCLT IV 1.00 $     45,576.00 1.00 $     45,576.00 13 SR22 Page 53 2011 Budget Briefing
  • 114.
    Department of Education Table 12 Personnel Separations Position  Perm/  Budgeted   Budgeted   Actual  BU  SR  Separation Date Prog ID/Org Number Temp MOF Position Title FTE  Salary  FTE  Actual Salary  Code Level 06/15/2010 EDN 150/YC 58385 J1 A BEHAVIORAL HLTH SPCLT III 1.00 $     45,576.00 1.00 $     42,132.00 73 SR20 06/21/2010 EDN 100/AA 16157 J1 A SCHOOL CUSTODIAN II 1.00 $     33,228.00 0.50 $       8,629.20 61 BC02 07/01/2010 EDN 100/AA 1831 J1 A SCHOOL ADM SERVICES ASST II 1.00 $     41,040.00 1.00 $     41,040.00 04 SR14 07/01/2010 EDN 100/AA 1838 J1 A SCHOOL ADM SERVICES ASST II 1.00 $     49,932.00 1.00 $     49,932.00 04 SR14 07/01/2010 EDN 100/AA 4970 J1 A ACCOUNT CLERK IV 1.00 $     42,684.00 1.00 $     42,684.00 03 SR13 07/01/2010 EDN 100/AA 16513 J1 A SCHOOL CUSTODIAN III 1.00 $     35,544.00 1.00 $     35,544.00 01 WS02 07/01/2010 EDN 100/AA 16568 J1 A SCHOOL CUSTODIAN II 1.00 $     33,228.00 1.00 $     33,228.00 01 BC02 07/01/2010 EDN 100/AA 16645 J1 A SCHOOL CUSTODIAN III 1.00 $     35,544.00 1.00 $     35,544.00 01 WS02 07/01/2010 EDN 100/AA 19255 J1 A SCHOOL CUSTODIAN II 1.00 $     33,228.00 1.00 $     33,228.00 01 BC02 07/01/2010 EDN 100/AA 29524 J1 A SCHOOL CUSTODIAN II 1.00 $     33,228.00 1.00 $     33,228.00 01 BC02 07/01/2010 EDN 100/AA 46072 T1 A EDUC ASST II 0.50 $     11,565.00 0.50 $     11,565.00 03 SR10 07/01/2010 EDN 100/AA 53003 J1 A SCHOOL CUSTODIAN II 0.50 $     16,614.00 0.50 $     16,614.00 01 BC02 07/01/2010 EDN 100/AA 54836 J1 A EDUC ASST III 1.00 $     31,769.00 1.00 $     30,430.08 03 SR12 07/01/2010 EDN 100/AA 54841 J1 A EDUC ASST III 1.00 $     31,769.00 1.00 $     30,430.08 03 SR12 07/01/2010 EDN 100/AA 54842 J1 A EDUC ASST III 0.50 $     14,684.00 0.50 $     14,064.96 03 SR12 07/01/2010 EDN 100/AA 55260 T1 A CLERK III 1.00 $     28,836.00 0.50 $     14,418.00 03 SR08 07/01/2010 EDN 100/AA 55695 T1 A EDUC ASST III 1.00 $     28,209.00 1.00 $     27,019.92 03 SR12 07/01/2010 EDN 100/AA 55710 J1 A CLERK III 1.00 $     32,424.00 1.00 $     32,424.00 03 SR08 07/01/2010 EDN 100/AA 55875 T1 A EDUC ASST III 1.00 $     30,506.00 1.00 $     29,220.00 03 SR12 07/01/2010 EDN 100/AA 56071 T1 A CLERK III 0.50 $     14,418.00 0.50 $     12,834.00 63 SR08 07/01/2010 EDN 100/AA 60812 J1 A ELEM TEACHER 1.00 $     79,170.00 1.00 $     79,170.00 05 T07 07/01/2010 EDN 100/AA 61106 J1 A 12‐MO ELEM PRIN II 1.00 $  108,527.00 1.00 $  108,527.04 06 E06 07/01/2010 EDN 100/AA 61422 J1 A ELEM TEACHER 1.00 $     71,445.00 1.00 $     70,400.16 05 T07 07/01/2010 EDN 100/AA 63366 J1 A ELEM TEACHER 1.00 $     66,359.00 1.00 $     66,359.04 05 T07 07/01/2010 EDN 100/AA 63629 J1 A SECONDARY TEACHER 1.00 $     80,215.00 1.00 $     79,170.00 05 T07 07/01/2010 EDN 100/AA 64376 J1 A SECONDARY TEACHER 1.00 $     74,688.00 1.00 $     74,688.00 05 T06 07/01/2010 EDN 100/AA 64431 J1 A SECONDARY TEACHER 1.00 $     61,479.00 1.00 $     61,479.12 05 T02 07/01/2010 EDN 100/AA 64462 J1 A SECONDARY TEACHER 1.00 $     79,170.00 1.00 $     79,170.00 05 T07 07/01/2010 EDN 100/AA 65834 J1 A SCH ATHLETIC DIR II 1.00 $     76,004.00 1.00 $     76,004.16 06 E02 07/01/2010 EDN 100/AA 66124 J1 A ELEM TEACHER 1.00 $     49,448.00 1.00 $     60,729.12 05 T07 07/01/2010 EDN 100/AA 66604 J1 A ELEM TEACHER 1.00 $     79,170.00 1.00 $     79,170.00 05 T07 07/01/2010 EDN 100/AA 67175 J1 A ELEM TEACHER 1.00 $     66,359.00 1.00 $     66,359.04 05 T07 07/01/2010 EDN 100/AA 69735 J1 A ELEM TEACHER 1.00 $     58,442.00 1.00 $     60,779.04 05 T06 07/01/2010 EDN 100/AA 72064 J1 A 12‐MO STUDENT SVCS COORD 1.00 $     95,004.00 1.00 $     79,170.00 05 T07 07/01/2010 EDN 100/AA 72414 T1 A SECONDARY TEACHER 1.00 $     49,448.16 1.00 $     49,448.16 05 T03 07/01/2010 EDN 100/AA 73409 J1 A SECONDARY TEACHER 0.50 $     39,585.00 1.00 $     79,170.00 05 T07 Page 54 2011 Budget Briefing
  • 115.
    Department of Education Table 12 Personnel Separations Position  Perm/  Budgeted   Budgeted   Actual  BU  SR  Separation Date Prog ID/Org Number Temp MOF Position Title FTE  Salary  FTE  Actual Salary  Code Level 07/01/2010 EDN 100/AA 73593 J1 A SECONDARY TEACHER 1.00 $     62,002.00 1.00 $     62,002.08 05 T05 07/01/2010 EDN 100/AA 73625 J1 A 12‐MO MT INTER PRIN VII 1.00 $  143,025.00 1.00 $  130,023.12 06 E10 07/01/2010 EDN 100/AA 75357 J1 A 12‐MO STUDENT SVCS COORD 1.00 $     95,004.00 1.00 $     79,170.00 05 T07 07/01/2010 EDN 100/AA 800350 J1 A EDUC ASST III 0.50 $     13,577.00 0.50 $     13,005.00 03 SR12 07/01/2010 EDN 100/AA 800543 T1 A EDUC ASST III 0.50 $     15,885.00 0.50 $     15,215.04 03 SR12 07/01/2010 EDN 100/AA 800764 T1 A DP USER SUPPORT TECH II 1.00 $     17,528.40 1.00 $     17,528.40 63 SR15 07/01/2010 EDN 100/AA 801164 T1 A EDUC ASST III 1.00 $     25,030.08 1.00 $     25,030.08 03 SR12 07/01/2010 EDN 100/AA 801235 T1 A EDUC ASST I 1.00 $     21,390.00 1.00 $     21,390.00 63 SR08 07/01/2010 EDN 100/AA 801272 T1 A EDUC ASST III 0.50 $     12,515.04 0.50 $     12,515.04 03 SR12 07/01/2010 EDN 100/AA 801438 T1 A SCHOOL SECURITY ATTENDANT 1.00 $     12,798.00 1.00 $     12,798.00 63 SR07 07/01/2010 EDN 100/AA 801446 T1 A EDUC ASST II 1.00 $     23,130.00 1.00 $     23,130.00 03 SR10 07/01/2010 EDN 100/AA 801470 T1 A SCHOOL SECURITY ATTENDANT 1.00 $     12,798.00 1.00 $     12,798.00 63 SR07 07/01/2010 EDN 100/AA 027114 J1 A CLERK TYPIST II           1.00 $     27,756.00    1.00 $     25,668.00 63 SR08 07/01/2010 EDN 100/AA 056273 T1 A CLERK III           0.50 $     15,018.00    0.50 $     15,018.00 03 SR08 07/01/2010 EDN 100/AA 060586 J1 A ELEM TEACHER           1.00 $     45,785.00    1.00 $     44,024.16 05 T02 07/01/2010 EDN 100/AA 060988 J1 A 12‐MO HS PRIN VI           1.00 $  119,967.00    1.00 $  117,966.96 06 E09 07/01/2010 EDN 100/AA 061300 J1 A 12‐MO ELEM PRIN II           1.00 $  126,460.00    1.00 $  126,460.08 06 E06 07/01/2010 EDN 100/AA 066164 J1 A 12‐MONTH REGISTRAR           1.00 $     84,480.00    1.00 $     70,400.16 05 T07 07/01/2010 EDN 100/AA 066603 J1 A 12‐MONTH REGISTRAR           1.00 $     70,751.00    1.00 $     60,729.12 05 T07 07/01/2010 EDN 100/AA 067053 J1 A SECONDARY TEACHER           1.00 $     49,448.00    1.00 $     48,474.00 05 T04 07/01/2010 EDN 100/AA 069953 J1 A SECONDARY TEACHER           1.00 $     49,448.00    1.00 $     49,448.16 05 T03 07/01/2010 EDN 100/AA 071096 J1 A SECONDARY TEACHER           1.00 $     48,008.00    1.00 $     48,008.16 05 T03 07/01/2010 EDN 100/AA 072100 J1 A SECONDARY TEACHER           1.00 $     49,448.00    1.00 $     49,448.16 05 T03 07/01/2010 EDN 100/AA 072623 J1 A 12‐MO COUNSELOR           1.00 $     75,060.00    1.00 $     62,550.00 05 T07 07/01/2010 EDN 100/AA 073010 J1 A 12‐MONTH REGISTRAR           1.00 $     89,626.00    1.00 $     74,688.00 05 T07 07/01/2010 EDN 100/AA 073184 T1 A ELEM TEACHER           1.00 $     48,008.16    1.00 $     48,008.16 05 T03 07/01/2010 EDN 100/AA 073456 T1 A 12‐MO STUDENT SVCS COORD           1.00 $     61,711.00    1.00 $     51,426.00 05 T04 07/01/2010 EDN 100/AA 075187 T1 A 12‐MO STUDENT SVCS COORD           1.00 $     66,747.00    1.00 $     55,622.16 05 T06 07/01/2010 EDN 100/AA 801361 T1 A EDUC ASST II           0.75 $     17,348.00    0.75 $     17,347.50 03 SR10 07/01/2010 EDN 100/BM 052456 J1 A ATHLETIC HLTH CARE TRAINER           1.00 $     45,576.00    1.00 $     47,412.00 13 SR22 07/01/2010 EDN 100/BM 052463 J1 A ATHLETIC HLTH CARE TRAINER           1.00 $     53,352.00    1.00 $     45,576.00 13 SR22 07/01/2010 EDN 100/BS 073383 T1 A ROTC INSTRUCTOR           1.00 $     88,094.00    1.00 $     86,628.00 55 ROTC 07/01/2010 EDN 100/BS 073861 T1 A ROTC INSTRUCTOR           1.00 $     70,615.00    1.00 $     59,712.00 55 ROTC 07/01/2010 EDN 100/BX 028680 J1 A SCHOOL MUSEUM COORDINATOR           1.00 $     33,756.00    1.00 $     33,756.00 03 SR13 07/01/2010 EDN 100/DB 51240 T1 N SECRETARY II 1.00 $     39,480.00 1.00 $     39,480.00 03 SR14 07/01/2010 EDN 100/DB 59156 T1 N DATA PROCSSG SYSTS ANAL II 1.00 $     38,988.00 1.00 $     38,988.00 13 SR18 Page 55 2011 Budget Briefing
  • 116.
    Department of Education Table 12 Personnel Separations Position  Perm/  Budgeted   Budgeted   Actual  BU  SR  Separation Date Prog ID/Org Number Temp MOF Position Title FTE  Salary  FTE  Actual Salary  Code Level 07/01/2010 EDN 100/DB 79440 T1 N DIST OFF TCHR 1.00 $     74,688.00 1.00 $     74,688.00 05 T07 07/01/2010 EDN 100/DB 079218 T1 N EDUCATIONAL SPEC II           1.00 $  100,367.04    1.00 $  100,367.04 56 E07 07/01/2010 EDN 150/FA 30975 J1 A EDUC ASST III 1.00 $     33,032.00 1.00 $     31,639.92 03 SR12 07/01/2010 EDN 150/FA 52574 J1 A EDUC ASST III 1.00 $     26,131.00 1.00 $     25,030.08 03 SR12 07/01/2010 EDN 150/FA 52732 J1 A EDUC ASST III 1.00 $     31,769.00 1.00 $     30,430.08 03 SR12 07/01/2010 EDN 150/FA 55291 T1 A EDUC ASST III 1.00 $     26,131.00 1.00 $     25,030.08 03 SR12 07/01/2010 EDN 150/FA 56732 J1 A EDUC ASST III 0.75 $     22,026.00 0.75 $     21,097.44 03 SR12 07/01/2010 EDN 150/FA 56842 T1 A EDUC ASST III 1.00 $     27,154.00 1.00 $     25,030.08 03 SR12 07/01/2010 EDN 150/FA 56845 T1 A EDUC ASST II 1.00 $     30,506.00 1.00 $     23,130.00 03 SR10 07/01/2010 EDN 150/FA 56972 T1 A EDUC ASST II 1.00 $     27,154.00 1.00 $     23,130.00 63 SR10 07/01/2010 EDN 150/FA 57049 T1 A EDUC ASST II 1.00 $     27,154.00 1.00 $     23,130.00 03 SR10 07/01/2010 EDN 150/FA 57050 J1 A EDUC ASST III 1.00 $     28,209.00 1.00 $     27,019.92 03 SR12 07/01/2010 EDN 150/FA 57159 T1 A EDUC ASST III 1.00 $     28,209.00 1.00 $     25,030.08 03 SR12 07/01/2010 EDN 150/FA 57376 T1 A EDUC ASST III 1.00 $     26,131.00 1.00 $     25,030.08 03 SR12 07/01/2010 EDN 150/FA 57446 T1 A EDUC ASST II 0.75 $     19,599.00 0.75 $     17,347.50 03 SR10 07/01/2010 EDN 150/FA 58912 T1 A EDUC ASST III 1.00 $     27,154.00 1.00 $     26,010.00 03 SR12 07/01/2010 EDN 150/FA 75501 T1 A SPEC ED TEACHER 1.00 $     79,170.00 1.00 $     79,170.00 05 T07 07/01/2010 EDN 150/FA 800064 J1 A EDUC ASST III 1.00 $     29,368.00 1.00 $     25,030.08 03 SR12 07/01/2010 EDN 150/FA 800493 T1 A EDUC ASST III 1.00 $     26,131.00 1.00 $     25,030.08 03 SR12 07/01/2010 EDN 150/FA 800514 T1 A EDUC ASST I 1.00 $     28,209.00 1.00 $     21,390.00 03 SR08 07/01/2010 EDN 150/FA 800580 T1 A EDUC ASST III 0.50 $     13,577.00 0.50 $     13,005.00 03 SR12 07/01/2010 EDN 150/FA 800586 T1 A EDUC ASST III 1.00 $     28,209.00 1.00 $     25,030.08 03 SR12 07/01/2010 EDN 150/FA 800660 T1 A EDUC ASST II 1.00 $     26,131.00 1.00 $     23,130.00 63 SR10 07/01/2010 EDN 150/FA 801332 T1 A EDUC ASST III 1.00 $     25,030.08 1.00 $     25,030.08 03 SR12 07/01/2010 EDN 150/FA 801336 T1 A EDUC ASST III 1.00 $     25,030.08 1.00 $     25,030.08 03 SR12 07/01/2010 EDN 150/FA 801449 T1 A EDUC ASST III 1.00 $     25,030.08 1.00 $     25,030.08 03 SR12 07/01/2010 EDN 150/FA 801465 T1 A EDUC ASST II 1.00 $     23,130.00 1.00 $     23,130.00 03 SR10 07/01/2010 EDN 150/FA 028501 J1 A EDUC ASST III           1.00 $     34,347.00    1.00 $     32,899.92 03 SR12 07/01/2010 EDN 150/FA 040628 J1 A EDUC ASST III           1.00 $     35,705.00    1.00 $     34,200.00 03 SR12 07/01/2010 EDN 150/FA 056971 T1 A EDUC ASST III           1.00 $     26,131.00    1.00 $     26,010.00 03 SR12 07/01/2010 EDN 150/FA 057214 T1 A EDUC ASST III           0.75 $     19,599.00    0.75 $     18,772.56 03 SR12 07/01/2010 EDN 150/FA 057228 T1 A EDUC ASST II           0.75 $     19,599.00    0.75 $     17,347.50 03 SR10 07/01/2010 EDN 150/FA 057241 T1 A EDUC ASST III           0.75 $     21,157.00    0.75 $     18,772.56 03 SR12 07/01/2010 EDN 150/FA 057500 T1 A EDUC ASST III           0.75 $     21,157.00    0.75 $     18,772.56 03 SR12 07/01/2010 EDN 150/FA 060391 T1 A SPEC ED TEACHER           1.00 $     32,712.96    1.00 $     32,712.96 05 T02 07/01/2010 EDN 150/FA 067704 J1 A SPEC ED TEACHER           1.00 $     57,291.00    1.00 $     57,291.12 05 T06 Page 56 2011 Budget Briefing
  • 117.
    Department of Education Table 12 Personnel Separations Position  Perm/  Budgeted   Budgeted   Actual  BU  SR  Separation Date Prog ID/Org Number Temp MOF Position Title FTE  Salary  FTE  Actual Salary  Code Level 07/01/2010 EDN 150/FA 074089 J1 A 12‐MO SPEC ED TEACHER           1.00 $     53,343.00    1.00 $     43,157.04 05 T02 07/01/2010 EDN 150/FA 075857 J1 A SPEC ED TEACHER           1.00 $     63,861.00    1.00 $     63,861.12 05 T05 07/01/2010 EDN 150/FA 800153 T1 A EDUC ASST I           0.88 $     23,760.00    0.88 $     19,468.68 03 SR08 07/01/2010 EDN 150/FA 800160 T1 A EDUC ASST I           0.75 $     19,599.00    0.75 $     16,042.50 03 SR08 07/01/2010 EDN 150/FA 800924 T1 A EDUC ASST III           0.75 $     19,599.00    0.75 $     18,772.56 03 SR12 07/01/2010 EDN 150/FA 801335 T1 A EDUC ASST III           1.00 $     25,030.00    1.00 $     25,030.08 63 SR12 07/01/2010 EDN 150/FA 801347 T1 A EDUC ASST II           1.00 $     23,130.00    1.00 $     23,130.00 03 SR10 07/01/2010 EDN 150/FA 801348 T1 A EDUC ASST II           1.00 $     23,130.00    1.00 $     23,130.00 03 SR10 07/01/2010 EDN 150/NB 58145 T1 N EDUC ASST II 1.00 $     23,130.00 1.00 $     23,130.00 63 SR10 07/01/2010 EDN 150/NB 58147 T1 N EDUC ASST III 1.00 $     25,030.08 1.00 $     25,030.08 63 SR12 07/01/2010 EDN 150/NB 58188 T1 N EDUC ASST III 1.00 $     27,019.92 1.00 $     27,019.92 03 SR12 07/01/2010 EDN 150/NB 58189 T1 N EDUC ASST III 1.00 $     25,030.08 1.00 $     25,030.08 03 SR12 07/01/2010 EDN 150/NB 79920 T1 N 12‐MO STATE OFF TCHR 1.00 $     87,016.00 1.00 $     74,688.00 05 T07 07/01/2010 EDN 150/NB 800025 T1 N EDUC ASST II 1.00 $     23,130.00 1.00 $     23,130.00 03 SR10 07/01/2010 EDN 150/NB 800065 T1 N EDUC ASST III 1.00 $     25,030.08 1.00 $     25,030.08 03 SR12 07/01/2010 EDN 150/NB 800504 T1 N EDUC ASST III 1.00 $     25,030.08 1.00 $     25,030.08 03 SR12 07/01/2010 EDN 150/NB 800997 T1 N EDUC ASST II 1.00 $     23,130.00 1.00 $     23,130.00 03 SR10 07/01/2010 EDN 150/NB 801038 T1 N EDUC ASST III 1.00 $     25,030.08 1.00 $     25,030.08 03 SR12 07/01/2010 EDN 150/NB 801162 T1 N EDUC ASST II 1.00 $     23,130.00 1.00 $     23,130.00 03 SR10 07/01/2010 EDN 150/NB 801356 T1 N EDUC ASST II 1.00 $     23,130.00 1.00 $     23,130.00 03 SR10 07/01/2010 EDN 150/NB 079369 T1 N 12‐MO DIST OFF TCHR           1.00 $     74,688.00    1.00 $     74,688.00 05 T06 07/01/2010 EDN 150/NB 079955 T1 N 12‐MO DIST OFF TCHR           1.00 $     58,392.96    1.00 $     58,392.96 05 T07 07/01/2010 EDN 150/NB 079979 T1 N 12‐MO DIST OFF TCHR           1.00 $     74,688.00    1.00 $     74,688.00 05 T07 07/01/2010 EDN 150/ND 079694 T1 N 12‐MO DIST OFF TCHR           1.00 $     72,513.12    1.00 $     72,513.12 05 T07 07/01/2010 EDN 150/SA 030407 J1 A SPEECH PATHOLOGIST IV           1.00 $     69,305.00    1.00 $     67,488.00 13 SR22 07/01/2010 EDN 150/YK 29500 J1 A SCHOOL HEALTH AIDE 1.00 $     29,010.00 1.00 $     27,786.96 03 SR09 07/01/2010 EDN 150/YK 029451 J1 A SCHOOL HEALTH AIDE           1.00 $     20,383.00    1.00 $     18,078.00 03 SR09 07/01/2010 EDN 200/GC 026567 J1 A SECRETARY II           1.00 $     39,480.00    1.00 $     39,480.00 03 SR14 07/01/2010 EDN 200/GH 57915 J1 B CLERK IV 1.00 $     31,212.00 1.00 $     31,212.00 03 SR10 07/01/2010 EDN 200/GN 032278 T1 A BILINGUAL/BICULTURAL S/H ASST           1.00 $     37,968.00    1.00 $     37,968.00 03 SR11 07/01/2010 EDN 200/GN 060015 J1 A COMPLX SCH RENEW SPEC II           1.00 $  106,105.00    1.00 $  106,104.96 06 E07 07/01/2010 EDN 200/GN 064825 J1 A COMPLX SCH RENEW SPEC II           1.00 $     96,267.00    1.00 $     96,267.12 06 E07 07/01/2010 EDN 200/GN 066020 J1 A COMPLX SCH RENEW SPEC II           1.00 $  106,105.00    1.00 $  106,104.96 06 E07 07/01/2010 EDN 200/GN 067000 J1 A COMPLX SCH RENEW SPEC II           1.00 $     97,615.00    1.00 $     97,614.96 06 E07 07/01/2010 EDN 300/KO 15437 J1 A PERSONNEL CLERK V 1.00 $     32,424.00 1.00 $     32,424.00 63 SR13 07/01/2010 EDN 300/KO 51562 T1 A PERSONNEL CLERK IV 0.50 $     16,212.00 0.50 $     16,212.00 63 SR11 Page 57 2011 Budget Briefing
  • 118.
    Department of Education Table 12 Personnel Separations Position  Perm/  Budgeted   Budgeted   Actual  BU  SR  Separation Date Prog ID/Org Number Temp MOF Position Title FTE  Salary  FTE  Actual Salary  Code Level 07/01/2010 EDN 300/KO 015361 J1 A PERSONNEL CLERK IV           1.00 $     32,424.00    1.00 $     30,036.00 63 SR11 07/01/2010 EDN 300/KO 074698 J1 A 12‐MO STATE OFF TCHR           1.00 $     69,577.00    1.00 $     79,170.00 05 T07 07/01/2010 EDN 300/LJ 11394 J1 A PRIVATE SECRETARY I 1.00 $     63,204.00 1.00 $     63,204.00 63 SR20 07/01/2010 EDN 300/UA 76282 T1 A 12‐MO STATE OFF TCHR 1.00 $     95,004.00 1.00 $     79,170.00 05 T07 07/01/2010 EDN 300/UA 800917 T1 A GEN PROF VI           1.00 $     67,488.00    1.00 $     67,488.00 13 SR26 07/01/2010 EDN 400/MD 11058 J1 B SCHOOL COOK II 1.00 $     38,436.00 1.00 $     38,436.00 01 BC06 07/01/2010 EDN 400/MD 11500 J1 B SCHOOL COOK II 1.00 $     38,436.00 1.00 $     38,436.00 01 BC06 07/01/2010 EDN 400/MD 22454 J1 B FOOD SERVICES DRIVER 1.00 $     34,164.00 1.00 $     34,164.00 01 BC03 07/01/2010 EDN 400/MD 801163 T1 N CLERK TYPIST II 0.50 $     12,834.00 0.50 $     12,834.00 03 SR08 07/01/2010 EDN 400/MD 054591 J1 B CAFETERIA HELPER           0.50 $     16,614.00    0.50 $     16,614.00 01 BC02 07/01/2010 EDN 400/OC 17175 J1 A ELECTRICIAN I 1.00 $     49,320.00 1.00 $     46,236.00 01 BC10 07/01/2010 EDN 400/OC 017084 J1 A CARPENTER I           1.00 $     48,096.00    1.00 $     44,544.00 01 BC09 07/01/2010 EDN 400/YA 59092 J1 W SCHOOL BUS TRANSP OFFCR III 1.00 $     41,040.00 1.00 $     41,040.00 03 SR18 07/01/2010 EDN 500/PC 9891 J1 A SCHOOL ADM SERVICES ASST IV 1.00 $     58,440.00 1.00 $     58,440.00 04 SR18 07/01/2010 EDN 500/PC 39268 J1 A ACCOUNT CLERK II 1.00 $     30,036.00 1.00 $     25,668.00 63 SR08 07/01/2010 EDN 500/PC 59721 T1 A CLERK TYPIST II 1.00 $     13,327.20 1.00 $     13,327.20 63 SR08 07/01/2010 EDN 500/PC 063064 J1 A 12‐MO CSA PRIN V           1.00 $  137,459.00    1.00 $  137,459.04 06 E09 07/01/2010 EDN 500/WA 51238 T1 A CLERK TYPIST II 0.50 $     15,606.00 0.50 $     15,606.00 03 SR08 07/02/2010 EDN 150/FA 050332 J1 A EDUC ASST II           0.50 $     13,577.00    0.50 $     12,015.00 03 SR10 07/03/2010 EDN 100/AA 050865 J1 A SCHOOL CUSTODIAN II           0.50 $     16,614.00    0.50 $     16,614.00 01 BC02 07/03/2010 EDN 100/BM 049297 J1 A ATHLETIC HLTH CARE TRAINER           1.00 $     47,412.00    1.00 $     47,412.00 13 SR22 07/03/2010 EDN 100/BM 800788 J1 A ATHLETIC HLTH CARE TRAINER           1.00 $     45,576.00    1.00 $     45,576.00 13 SR22 07/03/2010 EDN 150/YC 058369 J1 A BEHAVIORAL HLTH SPCLT III           1.00 $     45,576.00    1.00 $     42,132.00 13 SR20 07/07/2010 EDN 150/YC 058650 T1 A BEHAVIORAL SPECIALIST IV           1.00 $     49,332.00    1.00 $     49,332.00 13 SR22 07/08/2010 EDN 300/UA 059152 J1 A DP USER SUPPORT TECH II           1.00 $     35,064.00    1.00 $     33,756.00 03 SR15 07/10/2010 EDN 100/AA 056614 J1 A CLERK TYPIST II           0.75 $     22,527.00    0.75 $     19,251.00 03 SR08 07/10/2010 EDN 150/YC 058201 J1 A CLINICAL PSYCHOLOGIST VIII           1.00 $     96,828.00    1.00 $     67,488.00 23 SR30 07/13/2010 EDN 400/MD 009824 J1 B SCHOOL COOK II           1.00 $     38,436.00    1.00 $     38,436.00 01 BC06 07/14/2010 EDN 100/AA 072120 J1 A SECONDARY TEACHER           1.00 $     45,785.00    1.00 $     46,608.96 05 T03 07/15/2010 EDN 150/FA 052514 J1 A EDUC ASST III           0.50 $     15,253.00    0.50 $     14,610.00 03 SR12 07/15/2010 EDN 150/FA 057121 J1 A EDUC ASST III           0.50 $     14,684.00    0.50 $     14,064.96 03 SR12 07/15/2010 EDN 150/FA 057364 T1 A EDUC ASST II           0.75 $     21,157.00    0.75 $     17,347.50 03 SR10 07/16/2010 EDN 100/AA 800890 T1 A CLERK TYPIST II           0.50 $     12,834.00    0.50 $     12,834.00 03 SR08 07/16/2010 EDN 100/BM 052473 J1 A ATHLETIC HLTH CARE TRAINER           1.00 $     45,576.00    1.00 $     45,576.00 13 SR22 07/16/2010 EDN 150/FA 058769 J1 A EDUC ASST III           0.50 $     13,066.00    0.50 $     12,515.04 03 SR12 07/16/2010 EDN 150/FA 058834 J1 A EDUC ASST III           1.00 $     29,368.00    1.00 $     27,019.92 03 SR12 Page 58 2011 Budget Briefing
  • 119.
    Department of Education Table 12 Personnel Separations Position  Perm/  Budgeted   Budgeted   Actual  BU  SR  Separation Date Prog ID/Org Number Temp MOF Position Title FTE  Salary  FTE  Actual Salary  Code Level 07/16/2010 EDN 300/UA 048841 J1 A DATA PROCSSG SYSTS ANAL IV           1.00 $     47,412.00    1.00 $     47,412.00 13 SR22 07/17/2010 EDN 150/YC 058459 J1 A BEHAVIORAL HLTH SPCLT IV           1.00 $     49,332.00    1.00 $     55,500.00 13 SR22 07/22/2010 EDN 300/KO 060046 J1 A ASST SUPT,HUMAN RES           1.00 $  115,000.00    1.00 $  114,999.96 96 E00 07/23/2010 EDN 150/FA 057070 J1 A EDUC ASST II           1.00 $     26,131.00    1.00 $     23,130.00 03 SR10 07/23/2010 EDN 150/FA 057338 T1 A EDUC ASST II           0.75 $     19,599.00    0.75 $     17,347.50 03 SR10 07/23/2010 EDN 150/YC 059940 J1 A BEHAVIORAL HLTH SPCLT IV           1.00 $     45,576.00    1.00 $     45,576.00 13 SR22 07/24/2010 EDN 100/AA 016827 J1 A SCHOOL CUSTODIAN III           1.00 $     35,544.00    1.00 $     35,544.00 01 WS02 07/24/2010 EDN 100/AA 801380 T1 A SCHOOL CUSTODIAN II           0.50 $     16,614.00    0.50 $     16,614.00 01 BC02 07/24/2010 EDN 150/SA 056191 J1 A SPEECH PATHOLOGIST III           1.00 $     57,999.00    1.00 $     42,132.00 13 SR20 07/24/2010 EDN 400/MD 023887 J1 B CAFETERIA HELPER           0.50 $     16,614.00    0.50 $     16,614.00 01 BC02 07/24/2010 EDN 400/MD 038202 T1 N CAFETERIA HELPER           0.50 $     16,614.00    0.50 $     16,614.00 01 BC02 07/27/2010 EDN 100/AA 023293 J1 A EDUC ASST III           1.00 $     26,131.00    1.00 $     25,030.08 03 SR12 07/27/2010 EDN 100/AA 051983 J1 A EDUC ASST III           1.00 $     31,769.00    1.00 $     30,430.08 03 SR12 07/27/2010 EDN 100/AA 054857 T1 A CLERK III           0.50 $     15,018.00    0.50 $     15,018.00 03 SR08 07/27/2010 EDN 100/AA 055688 T1 A EDUC ASST III           1.00 $     26,131.00    1.00 $     25,030.08 03 SR12 07/27/2010 EDN 100/AA 055817 J1 A EDUC ASST III           1.00 $     34,347.00    1.00 $     32,899.92 03 SR12 07/27/2010 EDN 100/AA 060173 J1 A SECONDARY TEACHER           1.00 $     51,426.00    1.00 $     48,008.16 05 T03 07/27/2010 EDN 100/AA 060926 J1 A SECONDARY TEACHER           1.00 $     40,567.00    1.00 $     46,608.96 05 T03 07/27/2010 EDN 100/AA 061156 J1 A ELEM TEACHER           1.00 $     79,170.00    1.00 $     46,608.96 05 T03 07/27/2010 EDN 100/AA 063740 T1 A SECONDARY TEACHER           1.00 $     43,157.04    1.00 $     43,157.04 05 T02 07/27/2010 EDN 100/AA 064496 J1 A ELEM TEACHER           1.00 $     50,743.00    1.00 $     49,448.16 05 T03 07/27/2010 EDN 100/AA 065460 J1 A SECONDARY TEACHER           1.00 $     67,654.00    1.00 $     63,807.12 05 T07 07/27/2010 EDN 100/AA 065697 J1 A ELEM TEACHER           1.00 $     43,157.00    1.00 $     48,008.16 05 T03 07/27/2010 EDN 100/AA 065881 J1 A SECONDARY TEACHER           1.00 $     35,705.00    1.00 $     32,712.96 05 T02 07/27/2010 EDN 100/AA 065887 J1 A SECONDARY TEACHER           1.00 $     44,452.00    1.00 $     44,452.08 05 T02 07/27/2010 EDN 100/AA 066263 J1 A ELEM TEACHER           1.00 $     51,426.00    1.00 $     51,426.00 05 T04 07/27/2010 EDN 100/AA 067398 J1 A SECONDARY TEACHER           1.00 $     46,609.00    1.00 $     46,608.96 05 T03 07/27/2010 EDN 100/AA 067660 J1 A ELEM TEACHER           1.00 $     44,452.00    1.00 $     46,608.96 05 T03 07/27/2010 EDN 100/AA 067927 T1 A ELEM TEACHER           1.00 $     46,608.96    1.00 $     46,608.96 05 T03 07/27/2010 EDN 100/AA 068454 J1 A SECONDARY TEACHER           1.00 $     52,968.00    1.00 $     46,608.96 05 T03 07/27/2010 EDN 100/AA 069076 J1 A SECONDARY TEACHER           1.00 $     45,785.00    1.00 $     46,608.96 05 T03 07/27/2010 EDN 100/AA 069961 J1 A ELEM TEACHER           1.00 $     45,785.00    1.00 $     45,785.04 05 T02 07/27/2010 EDN 100/AA 071257 J1 A ELEM TEACHER           1.00 $     48,008.00    1.00 $     48,008.16 05 T03 07/27/2010 EDN 100/AA 071487 J1 A COUNSELOR           1.00 $     49,448.00    1.00 $     47,546.16 05 T03 07/27/2010 EDN 100/AA 071748 J1 A ELEM TEACHER           1.00 $     60,729.00    1.00 $     60,729.12 05 T07 07/27/2010 EDN 100/AA 073610 T1 A SECONDARY TEACHER           1.00 $     50,931.12    1.00 $     50,931.12 05 T03 Page 59 2011 Budget Briefing
  • 120.
    Department of Education Table 12 Personnel Separations Position  Perm/  Budgeted   Budgeted   Actual  BU  SR  Separation Date Prog ID/Org Number Temp MOF Position Title FTE  Salary  FTE  Actual Salary  Code Level 07/27/2010 EDN 100/AA 075805 J1 A SECONDARY TEACHER           1.00 $     49,448.00    1.00 $     62,550.00 05 T07 07/27/2010 EDN 100/AA 61438X J1 A ELEM TEACHER           1.00 $     58,442.00    1.00 $     44,452.08 05 T02 07/27/2010 EDN 100/AA 67386X T1 A ELEM TEACHER           1.00 $     45,785.04    1.00 $     45,785.04 05 T02 07/27/2010 EDN 100/BV 074882 T1 A SECONDARY TEACHER           1.00 $     32,713.00    1.00 $     46,608.96 05 T03 07/27/2010 EDN 100/DB 079483 T1 N SECONDARY TEACHER           1.00 $     47,546.16    1.00 $     47,546.16 05 T03 07/27/2010 EDN 150/FA 028507 J1 A EDUC ASST III           1.00 $     31,769.00    1.00 $     30,430.08 03 SR12 07/27/2010 EDN 150/FA 034350 J1 A EDUC ASST III           1.00 $     37,135.00    1.00 $     35,569.92 03 SR12 07/27/2010 EDN 150/FA 036566 J1 A EDUC ASST III           1.00 $     31,769.00    1.00 $     30,430.08 03 SR12 07/27/2010 EDN 150/FA 041385 J1 A EDUC ASST III           1.00 $     27,154.00    1.00 $     27,019.92 03 SR12 07/27/2010 EDN 150/FA 048505 J1 A EDUC ASST III           1.00 $     30,506.00    1.00 $     29,220.00 03 SR12 07/27/2010 EDN 150/FA 050399 J1 A EDUC ASST III           1.00 $     26,131.00    1.00 $     25,030.08 03 SR12 07/27/2010 EDN 150/FA 052647 J1 A EDUC ASST III           0.50 $     13,066.00    0.50 $     12,515.04 03 SR12 07/27/2010 EDN 150/FA 052655 J1 A EDUC ASST III           0.75 $     23,827.00    0.75 $     18,772.56 03 SR12 07/27/2010 EDN 150/FA 052770 J1 A EDUC ASST III           1.00 $     30,506.00    1.00 $     29,220.00 03 SR12 07/27/2010 EDN 150/FA 052938 J1 A EDUC ASST III           0.88 $     26,693.00    0.88 $     25,567.50 03 SR12 07/27/2010 EDN 150/FA 055741 J1 A EDUC ASST III           1.00 $     26,131.00    1.00 $     26,010.00 03 SR12 07/27/2010 EDN 150/FA 057176 T1 A EDUC ASST III           1.00 $     28,209.00    1.00 $     27,019.92 03 SR12 07/27/2010 EDN 150/FA 057203 J1 A EDUC ASST III           1.00 $     28,209.00    1.00 $     27,019.92 03 SR12 07/27/2010 EDN 150/FA 057474 T1 A EDUC ASST III           0.50 $     13,066.00    0.50 $     12,515.04 03 SR12 07/27/2010 EDN 150/FA 057604 J1 A EDUC ASST II           0.75 $     19,599.00    0.75 $     17,347.50 03 SR10 07/27/2010 EDN 150/FA 058765 J1 A EDUC ASST III           1.00 $     30,506.00    1.00 $     29,220.00 03 SR12 07/27/2010 EDN 150/FA 058785 J1 A EDUC ASST III           1.00 $     27,154.00    1.00 $     26,010.00 03 SR12 07/27/2010 EDN 150/FA 062202 J1 A GEN EDUC/ARTICLE VI TCHR           1.00 $     49,448.00    1.00 $     54,033.12 05 T05 07/27/2010 EDN 150/FA 063313 J1 A SPEC ED TCHR/PRE‐SCHOOL           1.00 $     45,785.00    1.00 $     44,024.16 05 T02 07/27/2010 EDN 150/FA 064481 J1 A SPEC ED TEACHER           1.00 $     40,567.00    1.00 $     44,452.08 05 T02 07/27/2010 EDN 150/FA 066937 J1 A SPEC ED TCHR/PRE‐SCHOOL           1.00 $     58,959.00    1.00 $     43,157.04 05 T02 07/27/2010 EDN 150/FA 069202 J1 A GEN EDUC/ARTICLE VI TCHR           1.00 $     64,482.00    1.00 $     64,482.00 05 T06 07/27/2010 EDN 150/FA 069808 J1 A SPEC ED TEACHER           1.00 $     51,426.00    1.00 $     43,157.04 05 T02 07/27/2010 EDN 150/FA 071902 J1 A SPEC ED TEACHER           1.00 $     60,912.00    1.00 $     32,712.96 05 T02 07/27/2010 EDN 150/FA 073278 J1 A SPEC ED TCHR/PRE‐SCHOOL           1.00 $     53,483.00    1.00 $     53,483.04 05 T05 07/27/2010 EDN 150/FA 073310 J1 A SPEC ED TEACHER           1.00 $     43,157.04    1.00 $     43,157.04 05 T02 07/27/2010 EDN 150/FA 073315 J1 A SPEC ED TEACHER           1.00 $     55,087.00    1.00 $     55,086.96 05 T05 07/27/2010 EDN 150/FA 074426 J1 A SPEC ED TEACHER           1.00 $     55,622.00    1.00 $     44,452.08 05 T02 07/27/2010 EDN 150/FA 075455 T1 A SPEC ED TEACHER           1.00 $     43,157.00    1.00 $     44,452.08 05 T02 07/27/2010 EDN 150/FA 075838 T1 A SPEC ED TEACHER           1.00 $     43,157.00    1.00 $     48,008.16 05 T03 07/27/2010 EDN 150/FA 800617 T1 A EDUC ASST III           1.00 $     26,131.00    1.00 $     25,030.08 03 SR12 Page 60 2011 Budget Briefing
  • 121.
    Department of Education Table 12 Personnel Separations Position  Perm/  Budgeted   Budgeted   Actual  BU  SR  Separation Date Prog ID/Org Number Temp MOF Position Title FTE  Salary  FTE  Actual Salary  Code Level 07/27/2010 EDN 150/FA 800661 J1 A EDUC ASST III           1.00 $     26,131.00    1.00 $     27,019.92 03 SR12 07/27/2010 EDN 150/FA 801476 J1 A EDUC ASST III           1.00 $     25,030.00    1.00 $     25,030.08 03 SR12 07/27/2010 EDN 150/NB 058110 T1 N EDUC ASST II           1.00 $     23,130.00    1.00 $     23,130.00 03 SR10 07/27/2010 EDN 150/SA 030424 J1 A SPEECH PATHOLOGIST IV           1.00 $     69,305.00    1.00 $     45,576.00 13 SR22 07/27/2010 EDN 150/SA 030450 J1 A SPEECH PATHOLOGIST IV           1.00 $     62,488.00    1.00 $     47,412.00 13 SR22 07/27/2010 EDN 150/SA 056275 J1 A SPEECH PATHOLOGIST IV           1.00 $     60,315.00    1.00 $     45,576.00 13 SR22 07/27/2010 EDN 150/YC 059826 J1 A BEHAVIORAL HLTH SPCLT IV           1.00 $     47,412.00    1.00 $     47,412.00 13 SR22 07/27/2010 EDN 150/YK 029389 J1 A SCHOOL HEALTH AIDE           1.00 $     21,232.00    1.00 $     20,335.92 03 SR09 07/27/2010 EDN 200/GC 060020 J1 A EDUCATIONAL SPEC II           1.00 $     87,340.00    1.00 $     87,340.08 06 E07 07/28/2010 EDN 100/AA 023244 J1 A EDUC ASST II           0.50 $     13,577.00    0.50 $     12,015.00 03 SR10 07/28/2010 EDN 100/AA 030651 J1 A SCHOOL SECURITY ATTENDANT           1.00 $     27,154.00    1.00 $     20,539.92 03 SR07 07/28/2010 EDN 100/AA 037534 T1 A EDUC ASST II           0.50 $     14,684.00    0.50 $     11,565.00 03 SR10 07/28/2010 EDN 100/AA 039112 J1 A EDUC ASST III           0.50 $     13,577.00    0.50 $     13,005.00 03 SR12 07/28/2010 EDN 100/AA 055918 J1 A EDUC ASST III           1.00 $     28,209.00    1.00 $     27,019.92 03 SR12 07/28/2010 EDN 100/AA 060209 J1 A ELEM TEACHER           1.00 $     64,482.00    1.00 $     46,608.96 05 T03 07/28/2010 EDN 100/AA 060274 J1 A ELEM TEACHER           1.00 $     63,845.00    1.00 $     51,426.00 05 T04 07/28/2010 EDN 100/AA 060322 J1 A SECONDARY TEACHER           1.00 $     46,609.00    1.00 $     32,712.96 05 T02 07/28/2010 EDN 100/AA 060329 J1 A ELEM TEACHER           1.00 $     45,785.00    1.00 $     46,608.96 05 T03 07/28/2010 EDN 100/AA 060379 J1 A SECONDARY TEACHER           1.00 $     80,465.00    1.00 $     46,608.96 05 T03 07/28/2010 EDN 100/AA 060496 T1 A ELEM TEACHER           1.00 $     43,157.04    1.00 $     43,157.04 05 T02 07/28/2010 EDN 100/AA 060672 J1 A SECONDARY TEACHER           1.00 $     48,008.00    1.00 $     48,008.16 05 T03 07/28/2010 EDN 100/AA 060690 J1 A SECONDARY TEACHER           1.00 $     49,448.00    1.00 $     46,608.96 05 T03 07/28/2010 EDN 100/AA 060740 J1 A SECONDARY TEACHER           1.00 $     46,609.00    1.00 $     46,608.96 05 T03 07/28/2010 EDN 100/AA 060866 J1 A SECONDARY TEACHER           1.00 $     45,785.00    1.00 $     49,448.16 05 T03 07/28/2010 EDN 100/AA 060911 J1 A SECONDARY TEACHER           1.00 $     44,452.00    1.00 $     32,712.96 05 T02 07/28/2010 EDN 100/AA 060961 J1 A SECONDARY TEACHER           1.00 $     43,157.00    1.00 $     46,608.96 05 T03 07/28/2010 EDN 100/AA 060968 J1 A SECONDARY TEACHER           1.00 $     33,694.00    1.00 $     43,157.04 05 T02 07/28/2010 EDN 100/AA 061073 J1 A ELEM TEACHER           1.00 $     58,959.00    1.00 $     46,608.96 05 T03 07/28/2010 EDN 100/AA 061082 J1 A ELEM TEACHER           1.00 $     52,471.00    1.00 $     43,157.04 05 T02 07/28/2010 EDN 100/AA 061126 J1 A ELEM TEACHER           1.00 $     68,351.00    1.00 $     46,608.96 05 T03 07/28/2010 EDN 100/AA 061192 J1 A SECONDARY TEACHER           1.00 $     52,968.00    1.00 $     32,712.96 05 T02 07/28/2010 EDN 100/AA 061297 J1 A SECONDARY TEACHER           1.00 $     49,448.00    1.00 $     47,546.16 05 T03 07/28/2010 EDN 100/AA 061397 J1 A ELEM TEACHER           1.00 $     52,471.00    1.00 $     46,608.96 05 T03 07/28/2010 EDN 100/AA 061511 J1 A ELEM TEACHER           1.00 $     79,170.00    1.00 $     48,008.16 05 T03 07/28/2010 EDN 100/AA 061524 J1 A ELEM TEACHER           1.00 $     49,448.00    1.00 $     49,448.16 05 T03 07/28/2010 EDN 100/AA 061608 J1 A ELEM TEACHER           1.00 $     46,609.00    1.00 $     48,008.16 05 T03 Page 61 2011 Budget Briefing
  • 122.
    Department of Education Table 12 Personnel Separations Position  Perm/  Budgeted   Budgeted   Actual  BU  SR  Separation Date Prog ID/Org Number Temp MOF Position Title FTE  Salary  FTE  Actual Salary  Code Level 07/28/2010 EDN 100/AA 061790 J1 A SECONDARY TEACHER           1.00 $     79,170.00    1.00 $     32,712.96 05 T02 07/28/2010 EDN 100/AA 061930 J1 A SECONDARY TEACHER           1.00 $     40,567.00    1.00 $     46,608.96 05 T03 07/28/2010 EDN 100/AA 062037 J1 A SECONDARY TEACHER           1.00 $     47,159.00    1.00 $     33,694.08 05 T02 07/28/2010 EDN 100/AA 062098 T1 A SECONDARY TEACHER           1.00 $     46,608.96    1.00 $     46,608.96 05 T03 07/28/2010 EDN 100/AA 062184 J1 A SECONDARY TEACHER           1.00 $     74,688.00    1.00 $     43,157.04 05 T02 07/28/2010 EDN 100/AA 062428 J1 A ELEM TEACHER           1.00 $     49,448.00    1.00 $     49,448.16 05 T03 07/28/2010 EDN 100/AA 062455 J1 A SECONDARY TEACHER           1.00 $     52,721.00    1.00 $     51,426.00 05 T04 07/28/2010 EDN 100/AA 062464 J1 A SECONDARY TEACHER           1.00 $     49,448.00    1.00 $     43,157.04 05 T02 07/28/2010 EDN 100/AA 062477 J1 A SECONDARY TEACHER           1.00 $     48,008.00    1.00 $     48,008.16 05 T03 07/28/2010 EDN 100/AA 062516 J1 A ELEM TEACHER           0.50 $     22,893.00    0.50 $     22,892.52 45 T02 07/28/2010 EDN 100/AA 062543 J1 A SECONDARY TEACHER           1.00 $     56,740.00    1.00 $     55,086.96 05 T05 07/28/2010 EDN 100/AA 062655 J1 A ELEM TEACHER           1.00 $     58,959.00    1.00 $     44,452.08 05 T02 07/28/2010 EDN 100/AA 062662 J1 A SECONDARY TEACHER           1.00 $     49,448.00    1.00 $     44,452.08 05 T02 07/28/2010 EDN 100/AA 062730 J1 A ELEM TEACHER           1.00 $     48,008.00    1.00 $     46,608.96 05 T03 07/28/2010 EDN 100/AA 062740 J1 A ELEM TEACHER           1.00 $     49,448.00    1.00 $     49,448.16 05 T03 07/28/2010 EDN 100/AA 062875 J1 A ELEM TEACHER           1.00 $     49,448.00    1.00 $     49,448.16 05 T03 07/28/2010 EDN 100/AA 062895 J1 A SECONDARY TEACHER           1.00 $     49,448.00    1.00 $     49,448.16 05 T03 07/28/2010 EDN 100/AA 062897 J1 A SECONDARY TEACHER           1.00 $     48,008.00    1.00 $     46,608.96 05 T03 07/28/2010 EDN 100/AA 062902 J1 A SECONDARY TEACHER           1.00 $     49,448.00    1.00 $     49,448.16 05 T03 07/28/2010 EDN 100/AA 062919 J1 A ELEM TEACHER           1.00 $     80,465.00    1.00 $     48,008.16 05 T03 07/28/2010 EDN 100/AA 063090 J1 A ELEM TEACHER           1.00 $     44,452.00    1.00 $     44,452.08 05 T02 07/28/2010 EDN 100/AA 063182 J1 A SECONDARY TEACHER           1.00 $     43,812.00    1.00 $     46,608.96 05 T03 07/28/2010 EDN 100/AA 063249 J1 A SECONDARY TEACHER           1.00 $     62,002.00    1.00 $     49,448.16 05 T03 07/28/2010 EDN 100/AA 063293 J1 A SECONDARY TEACHER           0.50 $     23,304.00    1.00 $     48,008.16 05 T03 07/28/2010 EDN 100/AA 063370 J1 A ELEM TEACHER           1.00 $     58,959.00    0.50 $     16,356.48 45 T02 07/28/2010 EDN 100/AA 063379 J1 A SECONDARY TEACHER           1.00 $     49,448.00    1.00 $     49,448.16 05 T03 07/28/2010 EDN 100/AA 063395 J1 A COUNSELOR           1.00 $     49,448.00    1.00 $     46,608.96 05 T03 07/28/2010 EDN 100/AA 063466 J1 A ELEM TEACHER           1.00 $     48,204.00    1.00 $     47,159.04 05 T02 07/28/2010 EDN 100/AA 063500 J1 A SECONDARY TEACHER           1.00 $     32,713.00    1.00 $     32,712.96 05 T02 07/28/2010 EDN 100/AA 063538 J1 A SECONDARY TEACHER           1.00 $     49,448.00    1.00 $     49,448.16 05 T03 07/28/2010 EDN 100/AA 063613 J1 A ELEM TEACHER           1.00 $     51,426.00    1.00 $     51,426.00 05 T04 07/28/2010 EDN 100/AA 063624 T1 A LIBRARIAN           0.50 $     29,479.56    0.50 $     29,479.56 45 T07 07/28/2010 EDN 100/AA 063713 J1 A ELEM TEACHER           1.00 $     44,452.00    1.00 $     46,608.96 05 T03 07/28/2010 EDN 100/AA 063817 J1 A SECONDARY TEACHER           1.00 $     54,558.00    1.00 $     43,157.04 05 T02 07/28/2010 EDN 100/AA 063840 J1 A ELEM TEACHER           1.00 $     61,774.00    1.00 $     43,157.04 05 T02 07/28/2010 EDN 100/AA 064078 J1 A SECONDARY TEACHER           1.00 $     41,862.00    1.00 $     48,008.16 05 T03 Page 62 2011 Budget Briefing
  • 123.
    Department of Education Table 12 Personnel Separations Position  Perm/  Budgeted   Budgeted   Actual  BU  SR  Separation Date Prog ID/Org Number Temp MOF Position Title FTE  Salary  FTE  Actual Salary  Code Level 07/28/2010 EDN 100/AA 064127 J1 A SECONDARY TEACHER           1.00 $     49,448.00    1.00 $     46,608.96 05 T03 07/28/2010 EDN 100/AA 064132 T1 A ELEM TEACHER           1.00 $     55,622.16    1.00 $     55,622.16 05 T06 07/28/2010 EDN 100/AA 064276 J1 A ELEM TEACHER           1.00 $     56,740.00    1.00 $     56,740.08 05 T05 07/28/2010 EDN 100/AA 064297 J1 A ELEM TEACHER           1.00 $     48,454.00    1.00 $     47,159.04 05 T02 07/28/2010 EDN 100/AA 064301 J1 A SECONDARY TEACHER           1.00 $     49,448.00    1.00 $     46,608.96 05 T03 07/28/2010 EDN 100/AA 064362 J1 A COUNSELOR           1.00 $     48,008.00    1.00 $     48,008.16 05 T03 07/28/2010 EDN 100/AA 064483 T1 A ELEM TEACHER           1.00 $     48,008.16    1.00 $     48,008.16 05 T03 07/28/2010 EDN 100/AA 064569 J1 A SECONDARY TEACHER           1.00 $     48,008.00    1.00 $     46,608.96 05 T03 07/28/2010 EDN 100/AA 064570 J1 A SECONDARY TEACHER           1.00 $     32,713.00    1.00 $     48,008.16 05 T03 07/28/2010 EDN 100/AA 064588 J1 A SECONDARY TEACHER           1.00 $     49,448.00    1.00 $     43,157.04 05 T02 07/28/2010 EDN 100/AA 064622 J1 A SECONDARY TEACHER           1.00 $     49,448.00    1.00 $     49,448.16 05 T03 07/28/2010 EDN 100/AA 064685 J1 A SECONDARY TEACHER           1.00 $     49,448.00    1.00 $     49,448.16 05 T03 07/28/2010 EDN 100/AA 064694 J1 A ELEM TEACHER           1.00 $     49,448.00    1.00 $     49,448.16 05 T03 07/28/2010 EDN 100/AA 064783 J1 A SECONDARY TEACHER           1.00 $     48,008.00    1.00 $     48,008.16 05 T03 07/28/2010 EDN 100/AA 064937 J1 A SECONDARY TEACHER           1.00 $     43,157.00    1.00 $     46,608.96 05 T03 07/28/2010 EDN 100/AA 064940 J1 A SECONDARY TEACHER           1.00 $     51,426.00    1.00 $     46,608.96 05 T03 07/28/2010 EDN 100/AA 065004 T1 A LIBRARIAN           0.50 $     23,304.48    0.50 $     23,304.48 45 T03 07/28/2010 EDN 100/AA 065131 J1 A LIBRARIAN           1.00 $     50,743.00    1.00 $     49,448.16 05 T03 07/28/2010 EDN 100/AA 065133 J1 A SECONDARY TEACHER           1.00 $     61,774.00    1.00 $     68,351.04 05 T07 07/28/2010 EDN 100/AA 065145 J1 A ELEM TEACHER           1.00 $     62,550.00    1.00 $     62,550.00 05 T07 07/28/2010 EDN 100/AA 065314 J1 A COUNSELOR           1.00 $     49,448.00    1.00 $     48,008.16 05 T03 07/28/2010 EDN 100/AA 065321 J1 A SECONDARY TEACHER           1.00 $     47,159.00    1.00 $     43,157.04 05 T02 07/28/2010 EDN 100/AA 065458 J1 A COUNSELOR           1.00 $     48,008.00    1.00 $     48,008.16 05 T03 07/28/2010 EDN 100/AA 065490 J1 A ELEM TEACHER           1.00 $     47,080.00    1.00 $     49,448.16 05 T03 07/28/2010 EDN 100/AA 065780 J1 A COUNSELOR           1.00 $     62,119.00    1.00 $     48,008.16 05 T03 07/28/2010 EDN 100/AA 065953 J1 A ELEM TEACHER           1.00 $     60,729.00    1.00 $     43,157.04 05 T02 07/28/2010 EDN 100/AA 066094 J1 A ELEM TEACHER           1.00 $     45,785.00    1.00 $     46,608.96 05 T03 07/28/2010 EDN 100/AA 066283 J1 A COUNSELOR           1.00 $     43,157.00    1.00 $     48,008.16 05 T03 07/28/2010 EDN 100/AA 066288 J1 A SECONDARY TEACHER           1.00 $     32,713.00    1.00 $     32,712.96 05 T02 07/28/2010 EDN 100/AA 066290 J1 A SECONDARY TEACHER           1.00 $     62,603.00    1.00 $     32,712.96 05 T02 07/28/2010 EDN 100/AA 066385 J1 A SECONDARY TEACHER           1.00 $     54,528.00    1.00 $     43,157.04 05 T02 07/28/2010 EDN 100/AA 066463 J1 A ELEM TEACHER           1.00 $     43,157.00    1.00 $     46,608.96 05 T03 07/28/2010 EDN 100/AA 066520 J1 A ELEM TEACHER           1.00 $     46,609.00    1.00 $     43,157.04 05 T02 07/28/2010 EDN 100/AA 066706 T1 A SECONDARY TEACHER           1.00 $     66,790.00    1.00 $     66,790.08 05 T07 07/28/2010 EDN 100/AA 066723 J1 A SECONDARY TEACHER           1.00 $     46,609.00    1.00 $     32,712.96 05 T02 07/28/2010 EDN 100/AA 066807 J1 A SECONDARY TEACHER           1.00 $     49,448.00    1.00 $     49,448.16 05 T03 Page 63 2011 Budget Briefing
  • 124.
    Department of Education Table 12 Personnel Separations Position  Perm/  Budgeted   Budgeted   Actual  BU  SR  Separation Date Prog ID/Org Number Temp MOF Position Title FTE  Salary  FTE  Actual Salary  Code Level 07/28/2010 EDN 100/AA 066865 J1 A SECONDARY TEACHER           1.00 $     45,785.00    1.00 $     32,712.96 05 T02 07/28/2010 EDN 100/AA 066870 J1 A SECONDARY TEACHER           1.00 $     63,845.00    1.00 $     37,481.04 05 T03 07/28/2010 EDN 100/AA 066871 J1 A SECONDARY TEACHER           1.00 $     46,609.00    1.00 $     49,448.16 05 T03 07/28/2010 EDN 100/AA 067020 J1 A SECONDARY TEACHER           1.00 $     46,609.00    1.00 $     48,008.16 05 T03 07/28/2010 EDN 100/AA 067099 J1 A SECONDARY TEACHER           1.00 $     49,448.00    1.00 $     49,448.16 05 T03 07/28/2010 EDN 100/AA 067110 J1 A ELEM TEACHER           1.00 $     72,513.00    1.00 $     43,157.04 05 T02 07/28/2010 EDN 100/AA 067171 J1 A ELEM TEACHER           1.00 $     46,609.00    1.00 $     45,785.04 05 T02 07/28/2010 EDN 100/AA 067395 J1 A SECONDARY TEACHER           1.00 $     45,785.00    1.00 $     46,608.96 05 T03 07/28/2010 EDN 100/AA 067436 J1 A ELEM TEACHER           1.00 $     64,482.00    1.00 $     64,482.00 05 T06 07/28/2010 EDN 100/AA 067514 J1 A SECONDARY TEACHER           1.00 $     80,465.00    1.00 $     46,608.96 05 T03 07/28/2010 EDN 100/AA 067649 J1 A ELEM TEACHER           1.00 $     79,170.00    1.00 $     43,157.04 05 T02 07/28/2010 EDN 100/AA 067692 J1 A SECONDARY TEACHER           1.00 $     79,170.00    1.00 $     46,608.96 05 T03 07/28/2010 EDN 100/AA 067797 J1 A ELEM TEACHER           1.00 $     49,448.00    1.00 $     49,448.16 05 T03 07/28/2010 EDN 100/AA 067910 T1 A ELEM TEACHER           1.00 $     43,157.04    1.00 $     43,157.04 05 T02 07/28/2010 EDN 100/AA 068035 J1 A SECONDARY TEACHER           1.00 $     45,785.00    1.00 $     44,024.16 05 T02 07/28/2010 EDN 100/AA 068037 J1 A ELEM TEACHER           1.00 $     49,448.00    1.00 $     49,448.16 05 T03 07/28/2010 EDN 100/AA 068090 J1 A SECONDARY TEACHER           1.00 $     48,008.00    1.00 $     45,785.04 05 T02 07/28/2010 EDN 100/AA 068143 J1 A SECONDARY TEACHER           1.00 $     79,170.00    1.00 $     46,608.96 05 T03 07/28/2010 EDN 100/AA 068202 J1 A ELEM TEACHER           1.00 $     62,550.00    1.00 $     43,157.04 05 T02 07/28/2010 EDN 100/AA 068236 J1 A SECONDARY TEACHER           1.00 $     60,729.00    1.00 $     32,712.96 05 T02 07/28/2010 EDN 100/AA 068247 J1 A SECONDARY TEACHER           1.00 $     68,351.00    1.00 $     32,712.96 05 T02 07/28/2010 EDN 100/AA 068412 J1 A SECONDARY TEACHER           1.00 $     46,609.00    1.00 $     48,008.16 05 T03 07/28/2010 EDN 100/AA 068449 J1 A SECONDARY TEACHER           1.00 $     43,157.00    1.00 $     44,452.08 05 T02 07/28/2010 EDN 100/AA 068598 J1 A SECONDARY TEACHER           1.00 $     47,159.00    1.00 $     47,159.04 05 T02 07/28/2010 EDN 100/AA 068602 J1 A SECONDARY TEACHER           1.00 $     49,448.00    0.50 $     16,356.48 45 T02 07/28/2010 EDN 100/AA 068630 J1 A SECONDARY TEACHER           1.00 $     46,609.00    1.00 $     40,566.96 05 T02 07/28/2010 EDN 100/AA 068649 J1 A SECONDARY TEACHER           1.00 $     44,452.00    1.00 $     44,452.08 05 T02 07/28/2010 EDN 100/AA 068683 J1 A SECONDARY TEACHER           1.00 $     55,087.00    1.00 $     46,608.96 05 T03 07/28/2010 EDN 100/AA 068807 J1 A SECONDARY TEACHER           1.00 $     48,008.00    1.00 $     46,608.96 05 T03 07/28/2010 EDN 100/AA 068811 J1 A SECONDARY TEACHER           1.00 $     45,785.00    1.00 $     43,157.04 05 T02 07/28/2010 EDN 100/AA 068966 J1 A SECONDARY TEACHER           1.00 $     55,087.00    1.00 $     55,086.96 05 T05 07/28/2010 EDN 100/AA 068982 J1 A SECONDARY TEACHER           1.00 $     48,008.00    1.00 $     48,008.16 05 T03 07/28/2010 EDN 100/AA 069147 J1 A SECONDARY TEACHER           1.00 $     46,609.00    1.00 $     40,566.96 05 T02 07/28/2010 EDN 100/AA 069255 J1 A ELEM TEACHER           1.00 $     63,595.00    1.00 $     45,785.04 05 T02 07/28/2010 EDN 100/AA 069258 T1 A ELEM TEACHER           1.00 $     43,157.04    1.00 $     43,157.04 05 T02 07/28/2010 EDN 100/AA 069327 J1 A SECONDARY TEACHER           1.00 $     32,713.00    1.00 $     46,608.96 05 T03 Page 64 2011 Budget Briefing
  • 125.
    Department of Education Table 12 Personnel Separations Position  Perm/  Budgeted   Budgeted   Actual  BU  SR  Separation Date Prog ID/Org Number Temp MOF Position Title FTE  Salary  FTE  Actual Salary  Code Level 07/28/2010 EDN 100/AA 069344 J1 A ELEM TEACHER           1.00 $     50,493.00    1.00 $     47,546.16 05 T03 07/28/2010 EDN 100/AA 069415 J1 A SECONDARY TEACHER           1.00 $     48,474.00    1.00 $     55,575.12 05 T07 07/28/2010 EDN 100/AA 069471 J1 A ELEM TEACHER           1.00 $     43,157.00    1.00 $     57,291.12 05 T06 07/28/2010 EDN 100/AA 069512 J1 A SECONDARY TEACHER           0.50 $     24,004.00    1.00 $     48,008.16 05 T03 07/28/2010 EDN 100/AA 069526 J1 A ELEM TEACHER           1.00 $     45,785.00    1.00 $     45,785.04 05 T02 07/28/2010 EDN 100/AA 069606 J1 A SECONDARY TEACHER           1.00 $     70,400.00    1.00 $     32,712.96 05 T02 07/28/2010 EDN 100/AA 069794 J1 A ELEM TEACHER           1.00 $     48,008.00    1.00 $     48,008.16 05 T03 07/28/2010 EDN 100/AA 071088 J1 A SECONDARY TEACHER           1.00 $     49,448.00    1.00 $     32,712.96 05 T02 07/28/2010 EDN 100/AA 071135 J1 A ELEM TEACHER           1.00 $     44,452.00    1.00 $     44,452.08 05 T02 07/28/2010 EDN 100/AA 071145 J1 A ELEM TEACHER           1.00 $     52,968.00    1.00 $     52,968.00 05 T04 07/28/2010 EDN 100/AA 071494 J1 A SECONDARY TEACHER           1.00 $     48,008.00    0.50 $     24,004.08 45 T03 07/28/2010 EDN 100/AA 071816 J1 A SECONDARY TEACHER           1.00 $     44,452.00    1.00 $     44,452.08 05 T02 07/28/2010 EDN 100/AA 071955 J1 A SECONDARY TEACHER           1.00 $     53,483.00    1.00 $     43,157.04 05 T02 07/28/2010 EDN 100/AA 071977 J1 A SECONDARY TEACHER           1.00 $     49,448.00    1.00 $     49,448.16 05 T03 07/28/2010 EDN 100/AA 072022 J1 A SECONDARY TEACHER           1.00 $     41,862.00    1.00 $     46,608.96 05 T03 07/28/2010 EDN 100/AA 072035 T1 A SECONDARY TEACHER           1.00 $     46,608.96    1.00 $     46,608.96 05 T03 07/28/2010 EDN 100/AA 072087 T1 A 10‐MO STUDENT SVCS COORD           1.00 $     63,562.00    1.00 $     52,968.00 05 T04 07/28/2010 EDN 100/AA 072141 J1 A COUNSELOR           1.00 $     49,448.00    1.00 $     49,448.16 05 T03 07/28/2010 EDN 100/AA 072169 J1 A SECONDARY TEACHER           1.00 $     49,448.00    1.00 $     48,008.16 05 T03 07/28/2010 EDN 100/AA 072279 J1 A ELEM TEACHER           1.00 $     58,336.00    1.00 $     58,959.12 05 T07 07/28/2010 EDN 100/AA 072383 J1 A ELEM TEACHER           1.00 $     50,743.00    1.00 $     49,448.16 05 T03 07/28/2010 EDN 100/AA 072600 T1 A SECONDARY TEACHER           0.50 $     16,356.48    0.50 $     16,356.48 45 T02 07/28/2010 EDN 100/AA 072615 J1 A ELEM TEACHER           1.00 $     57,291.00    1.00 $     43,157.04 05 T02 07/28/2010 EDN 100/AA 072705 J1 A ELEM TEACHER           1.00 $     49,448.00    1.00 $     49,448.16 05 T03 07/28/2010 EDN 100/AA 072749 J1 A ELEM TEACHER           1.00 $     44,452.00    1.00 $     46,608.96 05 T03 07/28/2010 EDN 100/AA 073339 J1 A SECONDARY TEACHER           1.00 $     51,426.00    1.00 $     48,008.16 05 T03 07/28/2010 EDN 100/AA 073543 J1 A ELEM TEACHER           1.00 $     49,448.00    1.00 $     49,448.16 05 T03 07/28/2010 EDN 100/AA 073597 J1 A SECONDARY TEACHER           1.00 $     40,567.00    1.00 $     32,712.96 05 T02 07/28/2010 EDN 100/AA 073612 J1 A SECONDARY TEACHER           1.00 $     60,254.00    1.00 $     46,608.96 05 T03 07/28/2010 EDN 100/AA 073708 T1 A COUNSELOR/HIGH RISK           1.00 $     49,448.16    1.00 $     49,448.16 05 T03 07/28/2010 EDN 100/AA 073772 J1 A SECONDARY TEACHER           1.00 $     32,713.00    1.00 $     46,608.96 05 T03 07/28/2010 EDN 100/AA 073842 J1 A SECONDARY TEACHER           1.00 $     49,448.00    1.00 $     43,157.04 05 T02 07/28/2010 EDN 100/AA 073869 J1 A SECONDARY TEACHER           1.00 $     32,713.00    1.00 $     43,157.04 05 T02 07/28/2010 EDN 100/AA 073874 J1 A SECONDARY TEACHER           1.00 $     79,170.00    1.00 $     46,608.96 05 T03 07/28/2010 EDN 100/AA 073960 J1 A COUNSELOR           1.00 $     51,426.00    1.00 $     51,426.00 05 T04 07/28/2010 EDN 100/AA 074061 T1 A ELEM TEACHER           1.00 $     46,608.96    1.00 $     46,608.96 05 T03 Page 65 2011 Budget Briefing
  • 126.
    Department of Education Table 12 Personnel Separations Position  Perm/  Budgeted   Budgeted   Actual  BU  SR  Separation Date Prog ID/Org Number Temp MOF Position Title FTE  Salary  FTE  Actual Salary  Code Level 07/28/2010 EDN 100/AA 074246 J1 A SECONDARY TEACHER           1.00 $     79,170.00    1.00 $     32,712.96 05 T02 07/28/2010 EDN 100/AA 074277 J1 A SECONDARY TEACHER           1.00 $     33,694.00    1.00 $     58,959.12 05 T07 07/28/2010 EDN 100/AA 074282 J1 A SECONDARY TEACHER           1.00 $     37,481.00    1.00 $     49,448.16 05 T03 07/28/2010 EDN 100/AA 074365 J1 A COUNSELOR           1.00 $     62,603.00    1.00 $     62,603.04 05 T06 07/28/2010 EDN 100/AA 074391 J1 A SECONDARY TEACHER           1.00 $     53,483.00    1.00 $     32,712.96 05 T02 07/28/2010 EDN 100/AA 074452 J1 A SECONDARY TEACHER           1.00 $     45,785.00    1.00 $     44,024.16 05 T02 07/28/2010 EDN 100/AA 074485 T1 A SECONDARY TEACHER           1.00 $     47,546.16    1.00 $     47,546.16 05 T03 07/28/2010 EDN 100/AA 074530 J1 A SECONDARY TEACHER           0.50 $     21,579.00    0.50 $     16,356.48 45 T02 07/28/2010 EDN 100/AA 074987 J1 A COUNSELOR/HIGH RISK           1.00 $     48,008.00    1.00 $     43,157.04 05 T02 07/28/2010 EDN 100/AA 075196 T1 A 10‐MO STUDENT SVCS COORD           0.50 $     39,815.00    0.50 $     16,356.48 45 T02 07/28/2010 EDN 100/AA 075545 T1 A ELEM TEACHER           1.00 $     43,157.04    1.00 $     43,157.04 05 T02 07/28/2010 EDN 100/AA 075981 J1 A COUNSELOR           1.00 $     61,774.00    1.00 $     46,608.96 05 T03 07/28/2010 EDN 100/AA 076221 J1 A ELEM TEACHER           1.00 $     68,408.00    1.00 $     68,408.16 05 T06 07/28/2010 EDN 100/AA 076284 J1 A SECONDARY TEACHER           1.00 $     49,448.00    1.00 $     46,608.96 05 T03 07/28/2010 EDN 100/AA 079581 T1 A SECONDARY TEACHER           1.00 $     60,729.12    1.00 $     60,729.12 05 T07 07/28/2010 EDN 100/AA 60238X J1 A SECONDARY TEACHER           1.00 $     43,157.00    1.00 $     46,608.96 05 T03 07/28/2010 EDN 100/AA 61848X J1 A SECONDARY TEACHER           1.00 $     52,460.00    1.00 $     46,608.96 05 T03 07/28/2010 EDN 100/AA 62548X J1 A SECONDARY TEACHER           1.00 $     73,558.00    1.00 $     43,157.04 05 T02 07/28/2010 EDN 100/AA 63312X T1 A ELEM TEACHER           1.00 $     40,566.96    1.00 $     40,566.96 05 T02 07/28/2010 EDN 100/AA 63473X T1 A ELEM TEACHER           1.00 $     45,785.04    1.00 $     45,785.04 05 T02 07/28/2010 EDN 100/AA 63542X J1 A SPEC ED TEACHER           1.00 $     43,157.00    1.00 $     32,712.96 05 T02 07/28/2010 EDN 100/AA 63567X T1 A ELEM TEACHER           1.00 $     43,157.04    1.00 $     43,157.04 05 T02 07/28/2010 EDN 100/AA 64794X T1 A ELEM TEACHER           0.50 $     26,230.08    0.50 $     26,230.08 45 T03 07/28/2010 EDN 100/AA 65181X T1 A SECONDARY TEACHER           1.00 $     37,481.04    1.00 $     37,481.04 05 T03 07/28/2010 EDN 100/AA 66253X T1 A ELEM TEACHER           1.00 $     43,157.04    1.00 $     43,157.04 05 T02 07/28/2010 EDN 100/AA 67501X T1 A SECONDARY TEACHER           1.00 $     32,712.96    1.00 $     32,712.96 05 T02 07/28/2010 EDN 100/AA 71028X T1 A ELEM TEACHER           1.00 $     46,608.96    1.00 $     46,608.96 05 T03 07/28/2010 EDN 100/AA 72150X T1 A ELEM TEACHER           1.00 $     43,157.04    1.00 $     43,157.04 05 T02 07/28/2010 EDN 100/AA 73199X T1 A ELEM TEACHER           1.00 $     43,157.04    1.00 $     43,157.04 05 T02 07/28/2010 EDN 100/AA 73807X T1 A SECONDARY TEACHER           1.00 $     32,712.96    1.00 $     32,712.96 05 T02 07/28/2010 EDN 100/AA 73817X J1 A SECONDARY TEACHER           1.00 $     45,785.00    1.00 $     43,157.04 05 T02 07/28/2010 EDN 100/AA 74244X T1 A SECONDARY TEACHER           1.00 $     43,157.04    1.00 $     43,157.04 05 T02 07/28/2010 EDN 100/AA 74818X T1 A SECONDARY TEACHER           1.00 $     32,712.96    1.00 $     32,712.96 05 T02 07/28/2010 EDN 100/AA 75070X T1 A ELEM TEACHER           1.00 $     43,157.04    1.00 $     43,157.04 05 T02 07/28/2010 EDN 100/AA 75073X J1 A COUNSELOR           1.00 $     48,008.00    1.00 $     46,608.96 05 T03 07/28/2010 EDN 100/AA 75551X T1 A SPEC ED TEACHER           1.00 $     46,608.96    1.00 $     46,608.96 05 T03 Page 66 2011 Budget Briefing
  • 127.
    Department of Education Table 12 Personnel Separations Position  Perm/  Budgeted   Budgeted   Actual  BU  SR  Separation Date Prog ID/Org Number Temp MOF Position Title FTE  Salary  FTE  Actual Salary  Code Level 07/28/2010 EDN 100/AA 75664X T1 A SECONDARY TEACHER           1.00 $     46,608.96    1.00 $     46,608.96 05 T03 07/28/2010 EDN 100/AA 75791X T1 A SECONDARY TEACHER           1.00 $     32,712.96    1.00 $     32,712.96 05 T02 07/28/2010 EDN 100/AA 75801X T1 A ELEM TEACHER           1.00 $     46,608.96    1.00 $     46,608.96 05 T03 07/28/2010 EDN 100/AA 76211X T1 A SECONDARY TEACHER           1.00 $     51,426.00    1.00 $     51,426.00 05 T04 07/28/2010 EDN 100/AA 76218X T1 A SECONDARY TEACHER           1.00 $     46,608.96    1.00 $     46,608.96 05 T03 07/28/2010 EDN 100/AA 76283X T1 A ELEM TEACHER           1.00 $     46,608.96    1.00 $     46,608.96 05 T03 07/28/2010 EDN 100/AA 064810 J1 A SECONDARY TEACHER           1.00 $     48,008.00    1.00 $     48,008.16 05 T03 07/28/2010 EDN 100/BB 072648 J1 A SECONDARY TEACHER           1.00 $     51,426.00    1.00 $     58,959.12 05 T07 07/28/2010 EDN 100/BB 075819 J1 A SECONDARY TEACHER           1.00 $     48,008.00    1.00 $     48,008.16 05 T03 07/28/2010 EDN 100/BJ 062806 T1 A SPECIAL SCH TEACHER           1.00 $     46,609.00    1.00 $     46,608.96 05 T03 07/28/2010 EDN 100/BJ 063850 J1 A SPECIAL SCH TEACHER           1.00 $     32,713.00    1.00 $     51,426.00 05 T04 07/28/2010 EDN 100/BJ 064566 T1 A SPEC ED TEACHER           1.00 $     32,713.00    1.00 $     32,712.96 05 T02 07/28/2010 EDN 100/BJ 073081 J1 A COUNSELOR           1.00 $     79,170.00    1.00 $     49,448.16 05 T03 07/28/2010 EDN 100/BJ 073166 J1 A SECONDARY TEACHER           1.00 $     68,351.00    1.00 $     32,712.96 05 T02 07/28/2010 EDN 100/BJ 073176 J1 A SECONDARY TEACHER           1.00 $     33,694.00    1.00 $     48,008.16 05 T03 07/28/2010 EDN 100/BJ 075684 J1 A SPECIAL SCH TEACHER           0.50 $     16,847.00    1.00 $     32,712.96 05 T02 07/28/2010 EDN 100/BV 073042 T1 A ELEM TEACHER           1.00 $     57,291.00    1.00 $     46,608.96 05 T03 07/28/2010 EDN 100/BV 074857 T1 A ELEM TEACHER           1.00 $     49,448.00    1.00 $     48,008.16 05 T03 07/28/2010 EDN 100/BV 074886 T1 A SECONDARY TEACHER           1.00 $     49,448.00    1.00 $     32,712.96 05 T02 07/28/2010 EDN 100/BV 074897 T1 A SECONDARY TEACHER           1.00 $     32,713.00    1.00 $     45,785.04 05 T02 07/28/2010 EDN 100/DB 079146 T1 N STATE OFFICE TEACHER           1.00 $     46,608.96    1.00 $     46,608.96 05 T03 07/28/2010 EDN 100/DB 079804 T1 N ELEM TEACHER           1.00 $     44,452.08    1.00 $     44,452.08 05 T02 07/28/2010 EDN 150/FA 037590 J1 A EDUC ASST III           1.00 $     33,032.00    1.00 $     31,639.92 03 SR12 07/28/2010 EDN 150/FA 046939 J1 A EDUC ASST II           1.00 $     31,769.00    0.75 $     17,347.50 03 SR10 07/28/2010 EDN 150/FA 048779 J1 A EDUC ASST III           0.75 $     23,827.00    0.75 $     22,822.56 03 SR12 07/28/2010 EDN 150/FA 051914 J1 A EDUC ASST III           0.75 $     22,879.00    0.50 $     12,515.04 03 SR12 07/28/2010 EDN 150/FA 054832 T1 A EDUC ASST III           0.75 $     19,599.00    0.75 $     18,772.56 03 SR12 07/28/2010 EDN 150/FA 055131 J1 A EDUC ASST III           0.75 $     22,879.00    0.75 $     21,915.00 03 SR12 07/28/2010 EDN 150/FA 055296 J1 A EDUC ASST II           0.50 $     13,066.00    0.50 $     11,565.00 03 SR10 07/28/2010 EDN 150/FA 055429 J1 A EDUC ASST II           0.50 $     13,577.00    0.50 $     11,565.00 03 SR10 07/28/2010 EDN 150/FA 056734 T1 A EDUC ASST III           0.75 $     20,366.00    0.75 $     19,507.50 03 SR12 07/28/2010 EDN 150/FA 056764 T1 A EDUC ASST II           1.00 $     26,131.00    1.00 $     23,130.00 03 SR10 07/28/2010 EDN 150/FA 057102 J1 A EDUC ASST III           1.00 $     30,506.00    1.00 $     29,220.00 03 SR12 07/28/2010 EDN 150/FA 057154 T1 A EDUC ASST II           1.00 $     30,506.00    1.00 $     23,130.00 03 SR10 07/28/2010 EDN 150/FA 057160 T1 A EDUC ASST III           1.00 $     26,131.00    1.00 $     25,030.08 03 SR12 07/28/2010 EDN 150/FA 057499 T1 A EDUC ASST III           0.75 $     21,157.00    0.75 $     18,772.56 03 SR12 Page 67 2011 Budget Briefing
  • 128.
    Department of Education Table 12 Personnel Separations Position  Perm/  Budgeted   Budgeted   Actual  BU  SR  Separation Date Prog ID/Org Number Temp MOF Position Title FTE  Salary  FTE  Actual Salary  Code Level 07/28/2010 EDN 150/FA 057508 J1 A EDUC ASST II           1.00 $     27,154.00    0.75 $     17,347.50 03 SR10 07/28/2010 EDN 150/FA 058006 T1 A EDUC ASST III           0.75 $     19,599.00    0.75 $     18,772.56 03 SR12 07/28/2010 EDN 150/FA 058716 J1 A EDUC ASST III           1.00 $     28,209.00    1.00 $     27,019.92 03 SR12 07/28/2010 EDN 150/FA 060121 J1 A SPEC ED TEACHER           1.00 $     63,861.00    1.00 $     32,712.96 05 T02 07/28/2010 EDN 150/FA 060224 J1 A SPEC ED TEACHER           1.00 $     49,448.00    1.00 $     32,712.96 05 T02 07/28/2010 EDN 150/FA 060295 J1 A SPEC ED TEACHER           1.00 $     44,452.00    1.00 $     44,452.08 05 T02 07/28/2010 EDN 150/FA 060342 J1 A SPEC ED TEACHER           1.00 $     44,452.00    1.00 $     44,452.08 05 T02 07/28/2010 EDN 150/FA 060660 J1 A SPEC ED TEACHER           1.00 $     43,157.00    1.00 $     32,712.96 05 T02 07/28/2010 EDN 150/FA 060705 J1 A SPEC ED TEACHER           1.00 $     32,713.00    1.00 $     32,712.96 05 T02 07/28/2010 EDN 150/FA 060897 J1 A SPEC ED TEACHER           1.00 $     50,493.00    1.00 $     40,566.96 05 T02 07/28/2010 EDN 150/FA 060991 J1 A SPEC ED TEACHER           1.00 $     79,170.00    1.00 $     43,157.04 05 T02 07/28/2010 EDN 150/FA 061033 J1 A SPEC ED TEACHER           1.00 $     43,157.00    1.00 $     32,712.96 05 T02 07/28/2010 EDN 150/FA 061151 J1 A SPEC ED TCHR/PRE‐SCHOOL           1.00 $     63,297.00    1.00 $     32,712.96 05 T02 07/28/2010 EDN 150/FA 061377 J1 A SPEC ED TEACHER           1.00 $     70,461.00    1.00 $     43,157.04 05 T02 07/28/2010 EDN 150/FA 061539 J1 A SPEC ED TEACHER           1.00 $     59,043.00    1.00 $     43,157.04 05 T02 07/28/2010 EDN 150/FA 061671 J1 A GEN EDUC/ARTICLE VI TCHR           1.00 $     45,785.00    1.00 $     46,608.96 05 T03 07/28/2010 EDN 150/FA 061871 J1 A SPEC ED TEACHER           1.00 $     33,694.00    1.00 $     48,008.16 05 T03 07/28/2010 EDN 150/FA 061876 J1 A SPEC ED TEACHER           1.00 $     43,157.00    1.00 $     48,008.16 05 T03 07/28/2010 EDN 150/FA 062041 J1 A SPEC ED TEACHER           1.00 $     43,157.04    1.00 $     43,157.04 05 T02 07/28/2010 EDN 150/FA 062092 J1 A SPEC ED TEACHER           1.00 $     43,157.00    1.00 $     49,448.16 05 T03 07/28/2010 EDN 150/FA 062235 T1 A SPEC ED TEACHER           1.00 $     43,157.04    1.00 $     43,157.04 05 T02 07/28/2010 EDN 150/FA 062236 J1 A GEN EDUC/ARTICLE VI TCHR           1.00 $     45,785.00    1.00 $     45,785.04 05 T02 07/28/2010 EDN 150/FA 062476 J1 A SPEC ED TEACHER           1.00 $     49,448.00    1.00 $     32,712.96 05 T02 07/28/2010 EDN 150/FA 062667 J1 A SPEC ED TEACHER           1.00 $     40,567.00    1.00 $     43,157.04 05 T02 07/28/2010 EDN 150/FA 062668 J1 A GEN EDUC/ARTICLE VI TCHR           1.00 $     43,157.00    1.00 $     43,157.04 05 T02 07/28/2010 EDN 150/FA 062970 J1 A SPEC ED TEACHER           1.00 $     43,157.00    1.00 $     32,712.96 05 T02 07/28/2010 EDN 150/FA 063000 J1 A SPEC ED TEACHER           1.00 $     44,452.00    1.00 $     48,008.16 05 T03 07/28/2010 EDN 150/FA 063041 J1 A GEN EDUC/ARTICLE VI TCHR           1.00 $     53,460.00    1.00 $     43,157.04 05 T02 07/28/2010 EDN 150/FA 063187 T1 A SPEC ED TEACHER           1.00 $     33,694.00    1.00 $     49,448.16 05 T03 07/28/2010 EDN 150/FA 063434 T1 A SPEC ED TEACHER           1.00 $     48,008.00    1.00 $     48,008.16 05 T03 07/28/2010 EDN 150/FA 063549 T1 A SPEC ED TCHR/PRE‐SCHOOL           1.00 $     45,785.00    1.00 $     45,785.04 05 T02 07/28/2010 EDN 150/FA 063599 J1 A SPEC ED TEACHER           1.00 $     46,830.00    1.00 $     32,712.96 05 T02 07/28/2010 EDN 150/FA 063640 T1 A SPEC ED TEACHER           1.00 $     32,713.00    1.00 $     32,712.96 05 T02 07/28/2010 EDN 150/FA 063733 T1 A SPEC ED TEACHER           1.00 $     43,157.00    1.00 $     46,608.96 05 T03 07/28/2010 EDN 150/FA 063986 J1 A SPEC ED TEACHER           1.00 $     40,567.00    1.00 $     46,608.96 05 T03 07/28/2010 EDN 150/FA 064165 J1 A GEN EDUC/ARTICLE VI TCHR           1.00 $     71,445.00    1.00 $     46,608.96 05 T03 Page 68 2011 Budget Briefing
  • 129.
    Department of Education Table 12 Personnel Separations Position  Perm/  Budgeted   Budgeted   Actual  BU  SR  Separation Date Prog ID/Org Number Temp MOF Position Title FTE  Salary  FTE  Actual Salary  Code Level 07/28/2010 EDN 150/FA 064329 J1 A SPEC ED TEACHER           1.00 $     32,713.00    1.00 $     46,608.96 05 T03 07/28/2010 EDN 150/FA 064442 J1 A SPEC ED TCHR/PRE‐SCHOOL           1.00 $     48,008.00    1.00 $     43,157.04 05 T02 07/28/2010 EDN 150/FA 064659 J1 A SPEC ED TEACHER           1.00 $     49,448.00    1.00 $     32,712.96 05 T02 07/28/2010 EDN 150/FA 064862 J1 A SPEC ED TEACHER           1.00 $     45,785.00    1.00 $     45,785.04 05 T02 07/28/2010 EDN 150/FA 064954 T1 A SPEC ED TEACHER           1.00 $     48,008.00    1.00 $     43,157.04 05 T02 07/28/2010 EDN 150/FA 065073 J1 A SPEC ED TEACHER           1.00 $     46,609.00    1.00 $     43,157.04 05 T02 07/28/2010 EDN 150/FA 065091 J1 A SPEC ED TCHR/PRE‐SCHOOL           1.00 $     43,157.00    1.00 $     43,157.04 05 T02 07/28/2010 EDN 150/FA 065137 J1 A SPEC ED TEACHER           1.00 $     43,157.00    1.00 $     48,008.16 05 T03 07/28/2010 EDN 150/FA 065160 J1 A SPEC ED TEACHER           1.00 $     55,654.00    1.00 $     43,157.04 05 T02 07/28/2010 EDN 150/FA 065324 T1 A SPEC ED TEACHER           1.00 $     32,713.00    1.00 $     45,785.04 05 T02 07/28/2010 EDN 150/FA 066236 J1 A SPEC ED TEACHER           1.00 $     49,448.00    1.00 $     44,452.08 05 T02 07/28/2010 EDN 150/FA 066274 J1 A SPEC ED TEACHER           1.00 $     33,694.08    1.00 $     33,694.08 05 T02 07/28/2010 EDN 150/FA 066430 J1 A GEN EDUC/ARTICLE VI TCHR           1.00 $     45,785.00    1.00 $     43,157.04 05 T02 07/28/2010 EDN 150/FA 066490 J1 A GEN EDUC/ARTICLE VI TCHR           1.00 $     32,713.00    1.00 $     46,608.96 05 T03 07/28/2010 EDN 150/FA 066779 J1 A GEN EDUC/ARTICLE VI TCHR           1.00 $     49,448.00    1.00 $     46,608.96 05 T03 07/28/2010 EDN 150/FA 066959 T1 A SPEC ED TEACHER           1.00 $     49,448.00    1.00 $     32,712.96 05 T02 07/28/2010 EDN 150/FA 067121 T1 A SPEC ED TEACHER           1.00 $     32,713.00    1.00 $     46,608.96 05 T03 07/28/2010 EDN 150/FA 067122 J1 A SPEC ED TEACHER           1.00 $     53,483.00    1.00 $     46,608.96 05 T03 07/28/2010 EDN 150/FA 067202 J1 A SPEC ED TEACHER           1.00 $     58,959.00    1.00 $     32,712.96 05 T02 07/28/2010 EDN 150/FA 067247 J1 A GEN EDUC/ARTICLE VI TCHR           1.00 $     46,830.00    1.00 $     43,157.04 05 T02 07/28/2010 EDN 150/FA 067250 T1 A SPEC ED TEACHER           1.00 $     33,694.00    1.00 $     43,157.04 05 T02 07/28/2010 EDN 150/FA 067292 J1 A GEN EDUC/ARTICLE VI TCHR           1.00 $     53,483.00    1.00 $     32,712.96 05 T02 07/28/2010 EDN 150/FA 067383 J1 A SPEC ED TEACHER           1.00 $     52,460.00    1.00 $     46,608.96 05 T03 07/28/2010 EDN 150/FA 067418 J1 A SPEC ED TEACHER           1.00 $     52,721.00    1.00 $     46,608.96 05 T03 07/28/2010 EDN 150/FA 067496 J1 A SPEC ED TEACHER           1.00 $     51,426.00    1.00 $     32,712.96 05 T02 07/28/2010 EDN 150/FA 067500 T1 A SPEC ED TEACHER           1.00 $     48,008.16    1.00 $     48,008.16 05 T03 07/28/2010 EDN 150/FA 067550 T1 A SPEC ED TEACHER           1.00 $     43,157.04    1.00 $     43,157.04 05 T02 07/28/2010 EDN 150/FA 067620 J1 A SPEC ED TEACHER           1.00 $     56,917.00    1.00 $     44,452.08 05 T02 07/28/2010 EDN 150/FA 067662 J1 A SPEC ED TEACHER           1.00 $     32,713.00    1.00 $     43,157.04 05 T02 07/28/2010 EDN 150/FA 067915 J1 A SPEC ED TEACHER           1.00 $     66,397.00    1.00 $     33,694.08 05 T02 07/28/2010 EDN 150/FA 067925 J1 A GEN EDUC/ARTICLE VI TCHR           1.00 $     41,862.00    1.00 $     46,608.96 05 T03 07/28/2010 EDN 150/FA 068051 T1 A SPEC ED TEACHER           1.00 $     46,608.96    1.00 $     46,608.96 05 T03 07/28/2010 EDN 150/FA 068214 J1 A SPEC ED TEACHER           1.00 $     56,740.00    1.00 $     33,694.08 05 T02 07/28/2010 EDN 150/FA 068228 T1 A SPEC ED TEACHER           1.00 $     32,712.96    1.00 $     32,712.96 05 T02 07/28/2010 EDN 150/FA 068240 T1 A SPEC ED TEACHER           1.00 $     43,157.00    1.00 $     32,712.96 05 T02 07/28/2010 EDN 150/FA 068455 J1 A GEN EDUC/ARTICLE VI TCHR           1.00 $     41,862.00    1.00 $     46,608.96 05 T03 Page 69 2011 Budget Briefing
  • 130.
    Department of Education Table 12 Personnel Separations Position  Perm/  Budgeted   Budgeted   Actual  BU  SR  Separation Date Prog ID/Org Number Temp MOF Position Title FTE  Salary  FTE  Actual Salary  Code Level 07/28/2010 EDN 150/FA 068473 J1 A SPEC ED TEACHER           1.00 $     33,694.00    1.00 $     46,608.96 05 T03 07/28/2010 EDN 150/FA 068517 T1 A GEN EDUC/ARTICLE VI TCHR           1.00 $     48,008.00    1.00 $     48,008.16 05 T03 07/28/2010 EDN 150/FA 068681 T1 A SPEC ED TEACHER           1.00 $     32,713.00    1.00 $     40,566.96 05 T02 07/28/2010 EDN 150/FA 068739 T1 A GEN EDUC/ARTICLE VI TCHR           1.00 $     46,609.00    1.00 $     46,608.96 05 T03 07/28/2010 EDN 150/FA 068781 J1 A SPEC ED TEACHER           1.00 $     51,426.00    1.00 $     32,712.96 05 T02 07/28/2010 EDN 150/FA 068945 T1 A SPEC ED TCHR/PRE‐SCHOOL           1.00 $     43,157.00    1.00 $     32,712.96 05 T02 07/28/2010 EDN 150/FA 068946 J1 A SPEC ED TEACHER           1.00 $     48,008.16    1.00 $     48,008.16 05 T03 07/28/2010 EDN 150/FA 069097 J1 A SPEC ED TCHR/PRE‐SCHOOL           1.00 $     55,087.00    1.00 $     32,712.96 05 T02 07/28/2010 EDN 150/FA 069243 J1 A SPEC ED TEACHER           1.00 $     32,713.00    1.00 $     46,608.96 05 T03 07/28/2010 EDN 150/FA 069274 T1 A SPEC ED TEACHER           1.00 $     44,452.00    1.00 $     46,608.96 05 T03 07/28/2010 EDN 150/FA 069868 J1 A SPEC ED TEACHER           1.00 $     48,008.00    1.00 $     43,157.04 05 T02 07/28/2010 EDN 150/FA 069946 J1 A SPEC ED TEACHER           1.00 $     44,452.00    1.00 $     44,452.08 05 T02 07/28/2010 EDN 150/FA 071014 J1 A SPEC ED TEACHER           1.00 $     48,008.00    1.00 $     43,157.04 05 T02 07/28/2010 EDN 150/FA 071035 J1 A SPEC ED TEACHER           1.00 $     48,008.00    1.00 $     32,712.96 05 T02 07/28/2010 EDN 150/FA 071140 J1 A SPEC ED TCHR/PRE‐SCHOOL           1.00 $     43,157.00    0.50 $     21,578.52 45 T02 07/28/2010 EDN 150/FA 071151 T1 A SPEC ED TEACHER           1.00 $     58,959.00    1.00 $     43,157.04 05 T02 07/28/2010 EDN 150/FA 071266 J1 A SPEC ED TEACHER           1.00 $     32,712.96    1.00 $     32,712.96 05 T02 07/28/2010 EDN 150/FA 071270 J1 A SPEC ED TEACHER           1.00 $     48,008.16    1.00 $     48,008.16 05 T03 07/28/2010 EDN 150/FA 071329 J1 A SPEC ED TEACHER           1.00 $     49,448.00    1.00 $     43,157.04 05 T02 07/28/2010 EDN 150/FA 071707 J1 A SPEC ED TCHR/PRE‐SCHOOL           1.00 $     45,785.00    1.00 $     46,608.96 05 T03 07/28/2010 EDN 150/FA 071717 J1 A SPEC ED TEACHER           1.00 $     49,448.00    1.00 $     49,448.16 05 T03 07/28/2010 EDN 150/FA 071745 T1 A SPEC ED TEACHER           1.00 $     32,712.96    1.00 $     32,712.96 05 T02 07/28/2010 EDN 150/FA 071901 J1 A SPEC ED TEACHER           1.00 $     43,157.00    1.00 $     43,157.04 05 T02 07/28/2010 EDN 150/FA 071906 J1 A SPEC ED TEACHER           1.00 $     59,043.00    1.00 $     43,157.04 05 T02 07/28/2010 EDN 150/FA 071921 J1 A GEN EDUC/ARTICLE VI TCHR           1.00 $     52,460.00    1.00 $     49,448.16 05 T03 07/28/2010 EDN 150/FA 071982 J1 A SPEC ED TEACHER           1.00 $     44,452.00    1.00 $     44,452.08 05 T02 07/28/2010 EDN 150/FA 072177 J1 A SPEC ED TCHR/PRE‐SCHOOL           1.00 $     33,694.00    1.00 $     48,008.16 05 T03 07/28/2010 EDN 150/FA 072203 T1 A SPEC ED TEACHER           1.00 $     44,452.00    1.00 $     43,157.04 05 T02 07/28/2010 EDN 150/FA 072482 T1 A SPEC ED TEACHER           1.00 $     32,713.00    1.00 $     43,157.04 05 T02 07/28/2010 EDN 150/FA 072483 J1 A SPEC ED TEACHER           1.00 $     45,785.00    1.00 $     32,712.96 05 T02 07/28/2010 EDN 150/FA 072542 J1 A SPEC ED TEACHER           1.00 $     50,931.00    1.00 $     48,972.96 05 T03 07/28/2010 EDN 150/FA 072554 J1 A GEN EDUC/ARTICLE VI TCHR           1.00 $     52,460.00    1.00 $     50,442.00 05 T03 07/28/2010 EDN 150/FA 072762 J1 A SPEC ED TEACHER           1.00 $     43,157.00    1.00 $     46,608.96 05 T03 07/28/2010 EDN 150/FA 072765 J1 A SPEC ED TEACHER           1.00 $     56,667.00    1.00 $     45,785.04 05 T02 07/28/2010 EDN 150/FA 072767 J1 A SPEC ED TEACHER           1.00 $     45,785.00    1.00 $     46,608.96 05 T03 07/28/2010 EDN 150/FA 072784 J1 A SPEC ED TEACHER           1.00 $     44,452.00    1.00 $     44,452.08 05 T02 Page 70 2011 Budget Briefing
  • 131.
    Department of Education Table 12 Personnel Separations Position  Perm/  Budgeted   Budgeted   Actual  BU  SR  Separation Date Prog ID/Org Number Temp MOF Position Title FTE  Salary  FTE  Actual Salary  Code Level 07/28/2010 EDN 150/FA 072786 J1 A SPEC ED TEACHER           1.00 $     56,195.00    1.00 $     43,157.04 05 T02 07/28/2010 EDN 150/FA 073308 J1 A SPEC ED TEACHER           1.00 $     49,448.00    1.00 $     46,608.96 05 T03 07/28/2010 EDN 150/FA 073344 J1 A SPEC ED TEACHER           1.00 $     44,452.00    1.00 $     48,008.16 05 T03 07/28/2010 EDN 150/FA 073477 J1 A SPEC ED TEACHER           1.00 $     48,008.00    1.00 $     49,448.16 05 T03 07/28/2010 EDN 150/FA 073507 J1 A SPEC ED TEACHER           1.00 $     40,567.00    1.00 $     46,608.96 05 T03 07/28/2010 EDN 150/FA 073508 J1 A SPEC ED TEACHER           1.00 $     46,609.00    1.00 $     46,608.96 05 T03 07/28/2010 EDN 150/FA 073673 T1 A SPEC ED TEACHER           1.00 $     44,452.08    1.00 $     44,452.08 05 T02 07/28/2010 EDN 150/FA 073727 T1 A SPEC ED TEACHER           0.50 $     27,543.00    1.00 $     32,712.96 05 T02 07/28/2010 EDN 150/FA 073819 J1 A SPEC ED TEACHER           1.00 $     43,157.00    1.00 $     44,452.08 05 T02 07/28/2010 EDN 150/FA 073837 J1 A SPEC ED TEACHER           1.00 $     60,088.00    1.00 $     43,157.04 05 T02 07/28/2010 EDN 150/FA 073839 J1 A SPEC ED TEACHER           1.00 $     45,785.00    1.00 $     43,157.04 05 T02 07/28/2010 EDN 150/FA 073915 J1 A SPEC ED TEACHER           1.00 $     59,617.00    1.00 $     44,452.08 05 T02 07/28/2010 EDN 150/FA 073933 T1 A SPEC ED TCHR/PRE‐SCHOOL           1.00 $     53,483.04    1.00 $     53,483.04 05 T05 07/28/2010 EDN 150/FA 073937 J1 A SPEC ED TEACHER           1.00 $     58,959.00    1.00 $     48,008.16 05 T03 07/28/2010 EDN 150/FA 073938 J1 A SPEC ED TEACHER           1.00 $     44,452.00    1.00 $     43,157.04 05 T02 07/28/2010 EDN 150/FA 074041 T1 A GEN EDUC/ARTICLE VI TCHR           1.00 $     51,426.00    1.00 $     45,785.04 05 T02 07/28/2010 EDN 150/FA 074077 J1 A SPEC ED TEACHER           1.00 $     48,008.16    1.00 $     48,008.16 05 T03 07/28/2010 EDN 150/FA 074101 J1 A SPEC ED TEACHER           1.00 $     45,785.00    1.00 $     45,785.04 05 T02 07/28/2010 EDN 150/FA 074146 T1 A SPEC ED TEACHER           1.00 $     50,743.00    1.00 $     48,008.16 05 T03 07/28/2010 EDN 150/FA 074174 J1 A SPEC ED TEACHER           1.00 $     43,157.04    1.00 $     43,157.04 05 T02 07/28/2010 EDN 150/FA 074327 J1 A SPEC ED TEACHER           1.00 $     43,157.00    1.00 $     46,608.96 05 T03 07/28/2010 EDN 150/FA 074328 J1 A SPEC ED TEACHER           1.00 $     43,157.00    1.00 $     43,157.04 05 T02 07/28/2010 EDN 150/FA 074332 J1 A SPEC ED TEACHER           1.00 $     49,448.00    1.00 $     43,157.04 05 T02 07/28/2010 EDN 150/FA 074334 J1 A SPEC ED TEACHER           1.00 $     45,785.00    1.00 $     46,608.96 05 T03 07/28/2010 EDN 150/FA 074335 J1 A SPEC ED TEACHER           1.00 $     32,713.00    1.00 $     46,608.96 05 T03 07/28/2010 EDN 150/FA 074422 J1 A SPEC ED TEACHER           1.00 $     45,785.00    1.00 $     45,785.04 05 T02 07/28/2010 EDN 150/FA 074432 J1 A SPEC ED TEACHER           1.00 $     43,157.04    1.00 $     43,157.04 05 T02 07/28/2010 EDN 150/FA 074658 J1 A SPEC ED TEACHER           1.00 $     60,254.00    1.00 $     33,694.08 05 T02 07/28/2010 EDN 150/FA 074665 T1 A SPEC ED TEACHER           1.00 $     32,713.00    1.00 $     46,608.96 05 T03 07/28/2010 EDN 150/FA 074843 J1 A GEN EDUC/ARTICLE VI TCHR           1.00 $     44,452.00    1.00 $     44,452.08 05 T02 07/28/2010 EDN 150/FA 075453 T1 A SPEC ED TEACHER           1.00 $     49,448.00    1.00 $     43,157.04 05 T02 07/28/2010 EDN 150/FA 075456 T1 A GEN EDUC/ARTICLE VI TCHR           1.00 $     48,008.00    1.00 $     51,426.00 05 T04 07/28/2010 EDN 150/FA 075513 T1 A SPEC ED TCHR/PRE‐SCHOOL           1.00 $     32,713.00    1.00 $     43,157.04 05 T02 07/28/2010 EDN 150/FA 075515 T1 A SPEC ED TCHR/PRE‐SCHOOL           1.00 $     43,157.00    1.00 $     43,157.04 05 T02 07/28/2010 EDN 150/FA 075517 T1 A SPEC ED TEACHER           1.00 $     45,785.00    1.00 $     45,785.04 05 T02 07/28/2010 EDN 150/FA 075543 T1 A GEN EDUC/ARTICLE VI TCHR           1.00 $     57,243.00    1.00 $     40,566.96 05 T02 Page 71 2011 Budget Briefing
  • 132.
    Department of Education Table 12 Personnel Separations Position  Perm/  Budgeted   Budgeted   Actual  BU  SR  Separation Date Prog ID/Org Number Temp MOF Position Title FTE  Salary  FTE  Actual Salary  Code Level 07/28/2010 EDN 150/FA 075582 T1 A SPEC ED TCHR/PRE‐SCHOOL           1.00 $     43,157.00    1.00 $     46,608.96 05 T03 07/28/2010 EDN 150/FA 075626 T1 A GEN EDUC/ARTICLE VI TCHR           1.00 $     48,008.00    1.00 $     44,452.08 05 T02 07/28/2010 EDN 150/FA 075661 T1 A SPEC ED TEACHER           1.00 $     43,157.00    1.00 $     43,157.04 05 T02 07/28/2010 EDN 150/FA 075692 T1 A GEN EDUC/ARTICLE VI TCHR           1.00 $     49,448.00    1.00 $     43,157.04 05 T02 07/28/2010 EDN 150/FA 075694 T1 A SPEC ED TEACHER           1.00 $     32,713.00    1.00 $     32,712.96 05 T02 07/28/2010 EDN 150/FA 075725 J1 A SPEC ED TEACHER           1.00 $     46,608.96    1.00 $     46,608.96 05 T03 07/28/2010 EDN 150/FA 075848 T1 A SPEC ED TEACHER           1.00 $     43,157.00    1.00 $     43,157.04 05 T02 07/28/2010 EDN 150/FA 075858 J1 A SPEC ED TEACHER           1.00 $     48,008.00    1.00 $     48,008.16 05 T03 07/28/2010 EDN 150/FA 075907 J1 A GEN EDUC/ARTICLE VI TCHR           1.00 $     49,448.00    1.00 $     46,608.96 05 T03 07/28/2010 EDN 150/FA 075985 J1 A GEN EDUC/ARTICLE VI TCHR           1.00 $     49,448.00    1.00 $     49,448.16 05 T03 07/28/2010 EDN 150/FA 075989 J1 A GEN EDUC/ARTICLE VI TCHR           1.00 $     51,426.00    1.00 $     46,608.96 05 T03 07/28/2010 EDN 150/FA 076013 J1 A SPEC ED TEACHER           1.00 $     48,008.00    1.00 $     46,608.96 05 T03 07/28/2010 EDN 150/FA 076021 J1 A SPEC ED TEACHER           1.00 $     48,008.16    1.00 $     48,008.16 05 T03 07/28/2010 EDN 150/FA 076024 T1 A SPEC ED TEACHER           1.00 $     43,157.00    1.00 $     32,712.96 05 T02 07/28/2010 EDN 150/FA 076073 J1 A SPEC ED TEACHER           1.00 $     32,713.00    1.00 $     32,712.96 05 T02 07/28/2010 EDN 150/FA 076077 J1 A SPEC ED TCHR/PRE‐SCHOOL           1.00 $     60,729.00    1.00 $     43,157.04 05 T02 07/28/2010 EDN 150/FA 076147 J1 A GEN EDUC/ARTICLE VI TCHR           1.00 $     48,008.00    1.00 $     48,008.16 05 T03 07/28/2010 EDN 150/FA 076152 J1 A GEN EDUC/ARTICLE VI TCHR           1.00 $     33,694.00    1.00 $     57,243.12 05 T07 07/28/2010 EDN 150/FA 076170 J1 A SPEC ED TEACHER           1.00 $     43,157.00    1.00 $     46,608.96 05 T03 07/28/2010 EDN 150/FA 076321 J1 A SPEC ED TCHR/PRE‐SCHOOL           1.00 $     60,729.00    1.00 $     60,729.12 05 T07 07/28/2010 EDN 150/FA 076331 J1 A SPEC ED TEACHER           1.00 $     45,785.00    1.00 $     45,785.04 05 T02 07/28/2010 EDN 150/FA 076343 J1 A SPEC ED TEACHER           1.00 $     58,959.00    1.00 $     56,691.12 05 T07 07/28/2010 EDN 150/FA 800152 T1 A EDUC ASST III           0.75 $     19,599.00    0.75 $     18,772.56 03 SR12 07/28/2010 EDN 150/FA 800603 T1 A EDUC ASST III           1.00 $     26,131.00    1.00 $     26,010.00 03 SR12 07/28/2010 EDN 150/FA 801475 J1 A EDUC ASST II           0.50 $     11,565.00    0.50 $     11,565.00 03 SR10 07/28/2010 EDN 150/FA 75781X J1 A GEN EDUC/ARTICLE VI TCHR           1.00 $     48,008.00    1.00 $     40,566.96 05 T02 07/28/2010 EDN 150/FB 060071 J1 A SPECIAL SCH TEACHER           1.00 $     51,426.00    1.00 $     58,959.12 05 T07 07/28/2010 EDN 150/FB 060232 J1 A SPECIAL SCH TEACHER           1.00 $     48,008.00    1.00 $     48,008.16 05 T03 07/28/2010 EDN 150/FB 060267 J1 A SPECIAL SCH TEACHER           1.00 $     50,493.00    1.00 $     35,328.96 05 T03 07/28/2010 EDN 150/FB 72957F T1 A SPECIAL SCH TEACHER           1.00 $     46,609.00    1.00 $     46,608.96 05 T03 07/28/2010 EDN 150/NB 079376 T1 N DIST OFF TCHR           1.00 $     43,157.04    1.00 $     43,157.04 05 T02 07/28/2010 EDN 150/NB 079690 T1 N DIST OFF TCHR           1.00 $     32,712.96    1.00 $     32,712.96 05 T02 07/28/2010 EDN 150/NB 079872 T1 N DIST OFF TCHR           1.00 $     49,448.16    1.00 $     49,448.16 05 T03 07/28/2010 EDN 150/NB 079879 T1 N DIST OFF TCHR           1.00 $     32,712.96    1.00 $     32,712.96 05 T02 07/28/2010 EDN 150/NB 079957 T1 N DIST OFF TCHR           1.00 $     45,785.04    1.00 $     45,785.04 05 T02 07/28/2010 EDN 150/NB 800175 T1 N EDUC ASST III           1.00 $     27,020.00    1.00 $     27,019.92 03 SR12 Page 72 2011 Budget Briefing
  • 133.
    Department of Education Table 12 Personnel Separations Position  Perm/  Budgeted   Budgeted   Actual  BU  SR  Separation Date Prog ID/Org Number Temp MOF Position Title FTE  Salary  FTE  Actual Salary  Code Level 07/28/2010 EDN 150/SA 030495 J1 A COMMUNICATION AIDE           0.50 $     14,684.00    0.50 $     14,064.96 03 SR12 07/28/2010 EDN 150/YC 058648 J1 A BEHAVIORAL SPECIALIST IV           1.00 $     47,412.00    1.00 $     47,412.00 13 SR22 07/28/2010 EDN 150/YC 058752 J1 A BEHAVIORAL HLTH SPCLT III           1.00 $     55,500.00    1.00 $     42,132.00 13 SR20 07/28/2010 EDN 400/MD 041026 J1 B CAFETERIA HELPER           0.50 $     16,614.00    0.50 $     16,614.00 01 BC02 07/28/2010 EDN 400/MD 056205 J1 B CAFETERIA HELPER           0.50 $     16,614.00    0.50 $     16,614.00 01 BC02 07/29/2010 EDN 100/AA 018131 J1 A SCHOOL CUSTODIAN II           1.00 $     36,072.00    1.00 $     33,228.00 01 BC02 07/29/2010 EDN 100/AA 055138 J1 A EDUC ASST III           0.50 $     13,577.00    0.50 $     12,515.04 03 SR12 07/29/2010 EDN 100/AA 055928 J1 A CLERK III           1.00 $     25,668.00    1.00 $     39,480.00 03 SR08 07/29/2010 EDN 100/AA 066474 J1 A ELEM TEACHER           1.00 $     50,743.00    1.00 $     49,448.16 05 T03 07/29/2010 EDN 100/AA 075191 T1 A 12‐MO STUDENT SVCS COORD           1.00 $     59,338.00    1.00 $     52,968.00 05 T04 07/29/2010 EDN 150/FA 042677 J1 A EDUC ASST III           0.75 $     21,157.00    0.75 $     18,772.56 03 SR12 07/29/2010 EDN 150/FA 051914 J1 A EDUC ASST III           0.75 $     22,879.00    0.50 $     13,005.00 03 SR12 07/29/2010 EDN 150/FA 055411 J1 A EDUC ASST II           0.50 $     13,577.00    0.50 $     13,509.96 03 SR10 07/29/2010 EDN 150/YC 058696 T1 A BEHAVIORAL HLTH SPCLT IV           1.00 $     47,412.00    1.00 $     47,412.00 13 SR22 07/29/2010 EDN 150/YC 058531 J1 A BEHAVIORAL HLTH SPCLT IV           1.00 $     51,312.00    1.00 $     51,312.00 13 SR22 07/29/2010 EDN 150/YG 801198 J1 A BEHAVIORAL HLTH SPCLT IV           1.00 $     49,332.00    1.00 $     49,332.00 13 SR22 07/29/2010 EDN 400/MD 032455 T1 N CAFETERIA HELPER           0.50 $     16,614.00    0.50 $     16,614.00 01 BC02 07/30/2010 EDN 100/AA 073719 J1 A VICE PRINCIPAL IV           1.00 $     85,640.00    1.00 $     72,040.08 06 E06 07/30/2010 EDN 100/AA 074644 J1 A VICE PRINCIPAL III           1.00 $     77,698.00    1.00 $     72,040.08 06 E05 07/30/2010 EDN 150/NB 079203 T1 N DIST OFF TCHR           1.00 $     46,608.96    1.00 $     46,608.96 05 T03 07/30/2010 EDN 400/MD 051602 J1 B CAFETERIA HELPER           0.50 $     16,614.00    0.50 $     16,614.00 01 BC02 07/30/2010 EDN 400/MD 057816 J1 B CAFETERIA HELPER           0.50 $     16,614.00    0.50 $     16,614.00 01 BC02 07/31/2010 EDN 100/AA 016565 J1 A SCHOOL CUSTODIAN II           1.00 $     33,228.00    1.00 $     33,228.00 01 BC02 07/31/2010 EDN 100/AA 031106 J1 A SCHOOL CUSTODIAN II           1.00 $     33,228.00    1.00 $     33,228.00 01 BC02 07/31/2010 EDN 100/AA 048420 J1 A CLERK TYPIST II           0.50 $     16,212.00    0.50 $     16,212.00 03 SR08 07/31/2010 EDN 100/AA 056654 J1 A CLERK TYPIST II           1.00 $     35,064.00    1.00 $     35,064.00 03 SR08 07/31/2010 EDN 100/BM 052467 J1 A ATHLETIC HLTH CARE TRAINER           1.00 $     53,352.00    1.00 $     53,352.00 13 SR22 07/31/2010 EDN 150/FA 030755 J1 A EDUC ASST III           1.00 $     35,705.00    1.00 $     34,200.00 03 SR12 07/31/2010 EDN 150/FA 056933 J1 A EDUC ASST III           1.00 $     30,506.00    1.00 $     29,220.00 03 SR12 07/31/2010 EDN 150/FA 058943 J1 A EDUC ASST III           0.75 $     22,026.00    0.75 $     18,772.56 03 SR12 07/31/2010 EDN 150/SA 025969 J1 A OCC THERAPIST IV           1.00 $     66,576.00    1.00 $     64,920.00 13 SR22 07/31/2010 EDN 150/YC 058540 T1 A BEHAVIORAL HLTH SPCLT IV           1.00 $     51,312.00    1.00 $     47,412.00 13 SR22 07/31/2010 EDN 300/KF 011494 J1 A PRE AUDIT CLERK III           1.00 $     52,140.00    1.00 $     51,936.00 03 SR15 08/01/2010 EDN 100/AA 060201 J1 A ELEM TEACHER           1.00 $     74,688.00    1.00 $     70,400.16 05 T07 08/01/2010 EDN 100/AA 060371 J1 A 12‐MO HS PRIN VIII           1.00 $  155,782.00    1.00 $  155,782.08 06 E11 08/01/2010 EDN 100/AA 060642 J1 A ELEM TEACHER           1.00 $     80,465.00    1.00 $     79,170.00 05 T07 Page 73 2011 Budget Briefing
  • 134.
    Department of Education Table 12 Personnel Separations Position  Perm/  Budgeted   Budgeted   Actual  BU  SR  Separation Date Prog ID/Org Number Temp MOF Position Title FTE  Salary  FTE  Actual Salary  Code Level 08/01/2010 EDN 100/AA 062323 J1 A SECONDARY TEACHER           1.00 $     79,170.00    1.00 $     79,170.00 05 T07 08/01/2010 EDN 100/AA 064356 J1 A ELEM TEACHER           1.00 $     66,359.00    1.00 $     66,359.04 05 T07 08/01/2010 EDN 100/AA 064610 J1 A 12‐MO HS PRIN VIII           1.00 $  149,353.00    1.00 $  147,353.04 06 E11 08/01/2010 EDN 100/AA 065364 J1 A ELEM TEACHER           1.00 $     62,002.00    1.00 $     62,002.08 05 T05 08/01/2010 EDN 100/AA 067059 J1 A SECONDARY TEACHER           1.00 $     79,170.00    1.00 $     79,170.00 05 T07 08/01/2010 EDN 100/AA 068885 J1 A ELEM TEACHER           1.00 $     79,170.00    1.00 $     79,170.00 05 T07 08/01/2010 EDN 100/AA 072658 J1 A ELEM TEACHER           1.00 $     79,170.00    1.00 $     79,170.00 05 T07 08/01/2010 EDN 100/AA 073198 J1 A VICE PRINCIPAL IV           1.00 $     99,791.00    1.00 $     92,525.04 06 E06 08/01/2010 EDN 100/AA 073606 J1 A SECONDARY TEACHER           1.00 $     74,688.00    1.00 $     74,688.00 05 T07 08/01/2010 EDN 100/AA 074018 T1 A SECONDARY TEACHER           1.00 $     46,608.96    1.00 $     46,608.96 05 T03 08/01/2010 EDN 100/AA 075208 J1 A 12‐MO STUDENT SVCS COORD           1.00 $     82,865.00    1.00 $     69,054.00 05 T04 08/01/2010 EDN 100/AA 076097 J1 A 12‐MO INTER PRIN IV           1.00 $  108,527.00    1.00 $  108,527.04 06 E07 08/01/2010 EDN 100/AA 72977F T1 A 12‐MO STUDENT SVCS COORD           1.00 $     95,004.00    1.00 $     79,170.00 05 T07 08/01/2010 EDN 100/BS 069012 J1 A ROTC INSTRUCTOR           1.00 $  106,404.00    1.00 $  109,848.00 55 ROTC 08/01/2010 EDN 150/FA 062613 J1 A GEN EDUC/ARTICLE VI TCHR           1.00 $     68,408.00    1.00 $     68,408.16 05 T06 08/01/2010 EDN 150/FA 071285 J1 A SPEC ED TEACHER           1.00 $     49,448.00    1.00 $     49,448.16 05 T03 08/01/2010 EDN 150/NB 079645 T1 N EDUCATIONAL SPEC II           1.00 $  100,367.00    1.00 $  100,367.04 06 E07 08/01/2010 EDN 150/NB 079809 T1 N 12‐MO DIST OFF TCHR           1.00 $     72,513.12    1.00 $     72,513.12 05 T07 08/03/2010 EDN 100/AA 072206 J1 A ELEM TEACHER           1.00 $     58,959.00    1.00 $     58,959.12 05 T07 08/03/2010 EDN 100/BX 028711 T1 A SCHOOL CUSTODIAN II           0.50 $     16,614.00    0.50 $     16,614.00 01 BC02 08/03/2010 EDN 200/GP 057902 T1 A SECRETARY I           1.00 $     33,756.00    1.00 $     33,756.00 03 SR12 08/04/2010 EDN 100/AA 043993 J1 A EDUC ASST III           1.00 $     29,368.00    1.00 $     28,129.92 03 SR12 08/04/2010 EDN 100/AA 064721 J1 A ELEM TEACHER           1.00 $     60,254.00    1.00 $     58,959.12 05 T07 08/04/2010 EDN 100/AA 068234 J1 A SECONDARY TEACHER           1.00 $     61,405.00    1.00 $     61,404.96 05 T04 08/04/2010 EDN 150/YK 029398 J1 A SCHOOL HEALTH AIDE           1.00 $     19,620.00    1.00 $     18,792.96 03 SR09 08/04/2010 EDN 400/MD 057930 J1 B CAFETERIA HELPER           0.50 $     16,614.00    0.50 $     16,614.00 01 BC02 08/05/2010 EDN 100/AA 016265 J1 A SCHOOL CUSTODIAN II           0.50 $     16,614.00    0.50 $     16,614.00 01 BC02 08/05/2010 EDN 150/FA 053111 J1 A EDUC ASST III           1.00 $     27,154.00    1.00 $     26,010.00 03 SR12 08/05/2010 EDN 150/YC 058469 J1 A BEHAVIORAL HLTH SPCLT IV           1.00 $     57,708.00    1.00 $     53,352.00 13 SR22 08/07/2010 EDN 100/BS 073397 T1 A ROTC INSTRUCTOR           1.00 $     76,054.00    1.00 $     74,316.00 55 ROTC 08/07/2010 EDN 100/CB 050395 J1 A PERSONNEL CLERK IV           1.00 $     30,036.00    1.00 $     30,036.00 63 SR11 08/07/2010 EDN 100/DB 079419 T1 N ELEM TEACHER           1.00 $     55,086.96    1.00 $     55,086.96 05 T05 08/07/2010 EDN 150/SA 030419 J1 A SPEECH PATHOLOGIST IV           1.00 $     69,236.00    1.00 $     45,576.00 13 SR22 08/11/2010 EDN 100/AA 067629 J1 A ELEM TEACHER           1.00 $     48,008.00    1.00 $     43,157.04 05 T02 08/11/2010 EDN 150/FA 057483 J1 A EDUC ASST III           0.50 $     15,253.00    0.50 $     14,610.00 03 SR12 08/11/2010 EDN 150/FA 800092 T1 A EDUC ASST III           1.00 $     30,506.00    1.00 $     25,030.08 03 SR12 Page 74 2011 Budget Briefing
  • 135.
    Department of Education Table 12 Personnel Separations Position  Perm/  Budgeted   Budgeted   Actual  BU  SR  Separation Date Prog ID/Org Number Temp MOF Position Title FTE  Salary  FTE  Actual Salary  Code Level 08/11/2010 EDN 300/KO 045353 J1 A PERSONNEL CLERK V           1.00 $     33,756.00    1.00 $     31,212.00 63 SR13 08/12/2010 EDN 100/AA 016104 J1 A SCHOOL CUSTODIAN II           1.00 $     33,228.00    1.00 $     33,228.00 01 BC02 08/12/2010 EDN 150/YC 058514 T1 A BEHAVIORAL HLTH SPCLT IV           1.00 $     47,412.00    1.00 $     47,412.00 13 SR22 08/13/2010 EDN 400/MD 059892 T1 N CAFETERIA HELPER           0.50 $     16,614.00    0.50 $     16,614.00 01 BC02 08/14/2010 EDN 100/AA 063817 J1 A SECONDARY TEACHER           1.00 $     54,558.00    1.00 $     48,008.16 05 T03 08/14/2010 EDN 100/AA 600797 T1 A ELEM TEACHER           0.50 $     22,892.52    0.50 $     22,892.52 45 T02 08/14/2010 EDN 100/DB 079509 T1 N DIST OFF TCHR           1.00 $     58,959.12    1.00 $     58,959.12 05 T07 08/14/2010 EDN 150/FA 057059 J1 A EDUC ASST II           1.00 $     26,131.00    1.00 $     23,130.00 03 SR10 08/14/2010 EDN 150/NB 079956 T1 N 12‐MO DIST OFF TCHR           1.00 $     49,448.16    1.00 $     49,448.16 05 T03 08/14/2010 EDN 150/SA 034625 J1 A COMMUNICATION AIDE           0.75 $     24,774.00    0.75 $     23,729.94 03 SR12 08/16/2010 EDN 150/FA 800327 J1 A EDUC ASST III           1.00 $     29,368.00    1.00 $     28,129.92 03 SR12 08/17/2010 EDN 150/FA 057207 T1 A EDUC ASST III           0.75 $     19,599.00    0.75 $     18,772.56 03 SR12 08/17/2010 EDN 150/FA 801214 T1 A EDUC ASST III           1.00 $     25,030.00    1.00 $     25,030.08 03 SR12 08/17/2010 EDN 400/OC 016817 J1 A UTILITY WORKER           1.00 $     35,700.00    1.00 $     34,164.00 01 BC03 08/19/2010 EDN 150/FA 071295 J1 A SPEC ED TEACHER           1.00 $     49,448.00    1.00 $     32,712.96 05 T02 08/20/2010 EDN 100/DB 600716 T1 N SECONDARY TEACHER           1.00 $     44,452.08    1.00 $     44,452.08 05 T02 08/20/2010 EDN 150/YK 029462 J1 A SCHOOL HEALTH AIDE           1.00 $     22,920.00    1.00 $     21,953.04 03 SR09 08/20/2010 EDN 300/KD 100026 J1 A PRIVATE SECRETARY II           1.00 $     46,176.00    1.00 $     60,744.00 63 SR22 08/20/2010 EDN 400/MD 002089 J1 A SCHOOL FOOD SERVICES MGR III           1.00 $     52,607.00    1.00 $     45,324.00 02 F206 08/21/2010 EDN 100/AA 066487 J1 A SECONDARY TEACHER           1.00 $     59,010.00    1.00 $     59,010.00 05 T06 08/21/2010 EDN 150/FA 072568 J1 A SPEC ED TEACHER           1.00 $     49,448.00    1.00 $     48,008.16 05 T03 08/24/2010 EDN 100/AA 004091 J1 A ACCOUNT CLERK III           1.00 $     28,836.00    1.00 $     28,836.00 03 SR11 08/24/2010 EDN 100/AA 801383 T1 A SCHOOL CUSTODIAN II           0.50 $     16,614.00    0.50 $     16,614.00 01 BC02 08/24/2010 EDN 150/YC 058078 J1 A HUMAN SVCS PROF IV           1.00 $     51,312.00    1.00 $     45,576.00 13 SR22 08/26/2010 EDN 150/YG 800269 J1 A EDUC ASST II           1.00 $     26,131.00    1.00 $     23,130.00 03 SR10 08/27/2010 EDN 150/YC 058728 J1 A CLINICAL PSYCHOLOGIST VI           1.00 $     68,160.00    1.00 $     55,500.00 13 SR26 08/28/2010 EDN 100/AA 058587 J1 A EDUC ASST III           1.00 $     29,368.00    1.00 $     28,129.92 03 SR12 08/28/2010 EDN 150/FA 024757 J1 A EDUC ASST II           1.00 $     31,769.00    1.00 $     23,130.00 03 SR10 08/28/2010 EDN 150/FA 055437 J1 A EDUC ASST II           0.75 $     21,157.00    0.75 $     17,347.50 03 SR10 08/28/2010 EDN 150/FA 800540 J1 A EDUC ASST II           0.50 $     13,066.00    0.50 $     11,565.00 03 SR10 08/28/2010 EDN 150/IC 075089 J1 A COMPLEX AREA TEACHER           1.00 $     66,359.00    1.00 $     57,291.12 05 T06 08/31/2010 EDN 100/AA 040558 J1 A SCHOOL CUSTODIAN II           1.00 $     33,228.00    1.00 $     33,228.00 01 BC02 09/01/2010 EDN 100/AA 009762 J1 A SCHOOL ADM SERVICES ASST III           1.00 $     46,176.00    1.00 $     46,176.00 04 SR16 09/01/2010 EDN 100/AA 016284 J1 A SCHOOL CUSTODIAN III           1.00 $     35,544.00    1.00 $     35,544.00 01 WS02 09/01/2010 EDN 100/AA 016632 J1 A SCHOOL CUSTODIAN III           1.00 $     35,544.00    1.00 $     35,544.00 01 WS02 09/01/2010 EDN 100/AA 023302 J1 A EDUC ASST III           1.00 $     27,154.00    1.00 $     25,030.08 03 SR12 Page 75 2011 Budget Briefing
  • 136.
    Department of Education Table 12 Personnel Separations Position  Perm/  Budgeted   Budgeted   Actual  BU  SR  Separation Date Prog ID/Org Number Temp MOF Position Title FTE  Salary  FTE  Actual Salary  Code Level 09/01/2010 EDN 100/AA 033099 J1 A SCHOOL SECURITY ATTENDANT           1.00 $     26,131.00    1.00 $     25,030.08 03 SR07 09/01/2010 EDN 100/AA 053269 J1 A EDUC ASST III           1.00 $     30,506.00    1.00 $     29,220.00 03 SR12 09/01/2010 EDN 100/AA 054930 J1 A SCHOOL SECURITY ATTENDANT           1.00 $     26,700.00    1.00 $     26,700.00 03 SR07 09/01/2010 EDN 100/AA 060428 J1 A SECONDARY TEACHER           1.00 $     79,170.00    1.00 $     79,170.00 05 T07 09/01/2010 EDN 100/AA 060589 J1 A 12‐MO ELEM PRIN III           1.00 $  124,714.00    1.00 $  124,714.08 06 E07 09/01/2010 EDN 100/AA 061418 J1 A ELEM TEACHER           1.00 $     62,002.00    1.00 $     62,002.08 05 T05 09/01/2010 EDN 100/AA 061847 T1 A 12‐MONTH REGISTRAR           5.00 $     33,875.04    0.50 $     33,875.04 45 T05 09/01/2010 EDN 100/AA 062938 J1 A ELEM TEACHER           1.00 $     58,959.00    1.00 $     58,959.12 05 T07 09/01/2010 EDN 100/AA 062957 J1 A LIBRARIAN           1.00 $     58,035.00    1.00 $     56,740.08 05 T05 09/01/2010 EDN 100/AA 064509 J1 A ELEM TEACHER           1.00 $     64,427.00    1.00 $     64,427.04 05 T07 09/01/2010 EDN 100/AA 065791 J1 A 12‐MO HS PRIN VII           1.00 $  143,334.00    1.00 $  141,334.08 06 E10 09/01/2010 EDN 100/AA 073195 J1 A SECONDARY TEACHER           1.00 $     49,448.00    1.00 $     49,448.16 05 T03 09/01/2010 EDN 100/AA 073373 J1 A COUNSELOR           1.00 $     49,448.00    1.00 $     49,448.16 05 T03 09/01/2010 EDN 100/AA 800691 T1 A CLERK TYPIST II           0.50 $     13,350.00    0.50 $     13,350.00 03 SR08 09/01/2010 EDN 150/FA 040669 J1 A EDUC ASST III           1.00 $     34,347.00    1.00 $     32,899.92 03 SR12 09/01/2010 EDN 150/FA 055342 J1 A EDUC ASST III           0.50 $     13,577.00    0.50 $     13,005.00 03 SR12 09/01/2010 EDN 150/FA 056784 T1 A EDUC ASST II           0.75 $     22,879.00    0.75 $     17,347.50 03 SR10 09/01/2010 EDN 150/FA 069734 J1 A SPEC ED TEACHER           1.00 $     62,550.00    1.00 $     79,170.00 05 T07 09/01/2010 EDN 150/FA 800061 J1 A EDUC ASST III           1.00 $     28,209.00    1.00 $     27,019.92 03 SR12 09/01/2010 EDN 200/GN 032182 T1 A BILINGUAL/BICULTURAL S/H ASST           1.00 $     42,684.00    1.00 $     42,684.00 03 SR11 09/01/2010 EDN 300/KO 045344 J1 A CLERK TYPIST III           1.00 $     36,516.00    1.00 $     36,516.00 63 SR10 09/01/2010 EDN 300/KO 058235 J1 A PERSONNEL CLERK III           0.50 $     13,350.00    0.50 $     16,878.00 63 SR09 09/01/2010 EDN 300/KO 073903 J1 A 12‐MO STATE OFF TCHR           1.00 $     89,626.00    1.00 $     74,688.00 05 T07 09/01/2010 EDN 300/UA 010405 J1 A CLERICAL SUPERVISOR I           1.00 $     42,684.00    1.00 $     30,036.00 04 SR10 09/02/2010 EDN 150/SA 056179 J1 A SPEECH PATHOLOGIST III           1.00 $     59,068.00    1.00 $     42,132.00 13 SR20 09/03/2010 EDN 100/BM 052465 J1 A ATHLETIC HLTH CARE TRAINER           1.00 $     45,576.00    1.00 $     45,576.00 13 SR22 09/03/2010 EDN 150/FA 055287 T1 A EDUC ASST III           1.00 $     28,209.00    0.50 $     13,509.96 03 SR12 09/03/2010 EDN 150/FA 066224 J1 A SPEC ED TEACHER           1.00 $     45,785.04    1.00 $     45,785.04 05 T02 09/04/2010 EDN 100/AA 016197 J1 A SCHOOL CUSTODIAN II           0.50 $     16,614.00    0.50 $     16,614.00 01 BC02 09/04/2010 EDN 100/AA 069253 J1 A COUNSELOR           1.00 $     53,483.00    1.00 $     53,483.04 05 T05 09/04/2010 EDN 150/FA 052594 J1 A EDUC ASST III           0.75 $     20,366.00    0.75 $     18,772.56 03 SR12 09/04/2010 EDN 150/FA 055404 J1 A EDUC ASST III           0.75 $     22,879.00    0.75 $     21,915.00 03 SR12 09/04/2010 EDN 150/FA 056982 T1 A EDUC ASST III           0.50 $     14,104.00    0.50 $     12,515.04 03 SR12 09/04/2010 EDN 150/FA 074380 J1 A SPEC ED TEACHER           1.00 $     49,448.00    1.00 $     45,785.04 05 T02 09/04/2010 EDN 150/SA 801322 J1 A EDUCATIONAL INTERPRETER I           1.00 $     60,315.00    1.00 $     30,036.00 03 SR12 09/04/2010 EDN 150/YG 801520 T1 A EDUC ASST II           1.00 $     23,130.00    1.00 $     23,130.00 03 SR10 Page 76 2011 Budget Briefing
  • 137.
    Department of Education Table 12 Personnel Separations Position  Perm/  Budgeted   Budgeted   Actual  BU  SR  Separation Date Prog ID/Org Number Temp MOF Position Title FTE  Salary  FTE  Actual Salary  Code Level 09/04/2010 EDN 400/MD 014668 T1 N CAFETERIA HELPER           0.50 $     16,614.00    0.50 $     16,614.00 01 BC02 09/09/2010 EDN 150/FA 057512 T1 A EDUC ASST III           1.00 $     27,154.00    1.00 $     26,010.00 03 SR12 09/11/2010 EDN 150/FA 056927 T1 A EDUC ASST III           1.00 $     27,154.00    1.00 $     25,030.08 03 SR12 09/11/2010 EDN 150/FA 057603 J1 A EDUC ASST II           0.75 $     19,599.00    0.75 $     17,347.50 03 SR10 09/11/2010 EDN 150/FA 071285 J1 A SPEC ED TEACHER           1.00 $     49,448.00    1.00 $     48,008.16 05 T03 09/11/2010 EDN 300/KF 059641 J1 A PRE AUDIT CLERK II           1.00 $     33,756.00    1.00 $     33,756.00 03 SR13 09/11/2010 EDN 400/MB 019126 T1 N PRGM SPCLT V           1.00 $     60,024.00    1.00 $     51,312.00 13 SR24 09/12/2010 EDN 100/AA 065808 J1 A SECONDARY TEACHER           1.00 $     62,550.00    1.00 $     62,550.00 05 T07 09/14/2010 EDN 150/FA 069010 J1 A GEN EDUC/ARTICLE VI TCHR           1.00 $     51,426.00    1.00 $     51,426.00 05 T04 09/15/2010 EDN 150/YC 058093 J1 A SOCIAL WORKER IV           1.00 $     49,332.00    1.00 $     49,332.00 13 SR22 09/16/2010 EDN 100/AA 064209 J1 A ELEM TEACHER           1.00 $     45,785.00    1.00 $     46,608.96 05 T03 09/16/2010 EDN 150/FA 057250 T1 A EDUC ASST III           0.75 $     22,026.00    0.75 $     18,772.56 03 SR12 09/16/2010 EDN 150/FA 057454 J1 A EDUC ASST II           0.75 $     20,366.00    0.75 $     18,022.50 03 SR10 09/18/2010 EDN 100/AA 023580 J1 A SCHOOL ADM SERVICES ASST III           1.00 $     35,064.00    1.00 $     39,480.00 04 SR16 09/18/2010 EDN 150/FA 057610 T1 A EDUC ASST III           0.75 $     19,599.00    0.75 $     18,772.56 03 SR12 09/18/2010 EDN 150/FA 068330 J1 A SPEC ED TEACHER           1.00 $     72,513.00    1.00 $     72,513.12 05 T07 09/18/2010 EDN 150/YC 058504 J1 A BEHAVIORAL HLTH SPCLT IV           1.00 $     47,412.00    1.00 $     49,332.00 13 SR22 09/18/2010 EDN 300/LJ 800841 J1 A BUSINESS MGMT OFFICER I           1.00 $     74,381.00    1.00 $     71,760.00 35 EM05 09/21/2010 EDN 150/FA 073787 J1 A SPEC ED TEACHER           1.00 $     43,157.00    1.00 $     62,550.00 05 T07 09/22/2010 EDN 150/YC 059635 J1 A BEHAVIORAL HLTH SPCLT IV           1.00 $     49,332.00    1.00 $     49,332.00 13 SR22 09/24/2010 EDN 300/KO 012321 J1 A PERSONNEL CLERK V           1.00 $     33,756.00    1.00 $     36,516.00 63 SR13 09/25/2010 EDN 100/AA 060915 J1 A ELEM TEACHER           1.00 $     79,170.00    1.00 $     60,729.12 05 T07 09/25/2010 EDN 100/AA 062631 J1 A ELEM TEACHER           1.00 $     51,426.00    0.50 $     25,713.00 45 T04 09/25/2010 EDN 100/AA 064569 J1 A SECONDARY TEACHER           1.00 $     48,008.00    1.00 $     30,114.00 05 T01 09/25/2010 EDN 150/FA 065731 J1 A SPEC ED TEACHER           1.00 $     53,483.00    1.00 $     43,157.04 05 T02 09/25/2010 EDN 150/YC 058640 J1 A BEHAVIORAL HLTH SPCLT III           1.00 $     45,576.00    1.00 $     42,132.00 13 SR20 09/28/2010 EDN 150/FA 058931 J1 A EDUC ASST III           1.00 $     29,368.00    1.00 $     28,129.92 03 SR12 09/29/2010 EDN 150/YC 058420 J1 A BEHAVIORAL HLTH SPCLT IV           1.00 $     57,708.00    1.00 $     57,708.00 13 SR22 09/30/2010 EDN 150/SA 052965 J1 A SPEECH PATHOLOGIST IV           1.00 $     60,315.00    1.00 $     45,576.00 13 SR22 10/01/2010 EDN 100/AA 014749 J1 A CLERK TYPIST II           1.00 $     36,516.00    1.00 $     36,516.00 03 SR08 10/01/2010 EDN 100/AA 016287 J1 A SCHOOL CUSTODIAN II           1.00 $     36,960.00    1.00 $     33,228.00 01 BC02 10/01/2010 EDN 100/AA 021876 J1 A SCHOOL CUSTODIAN II           0.50 $     16,614.00    0.50 $     16,614.00 01 BC02 10/01/2010 EDN 100/AA 056002 J1 A CLERK III           1.00 $     30,036.00    1.00 $     30,036.00 03 SR08 10/01/2010 EDN 100/AA 060424 J1 A SECONDARY TEACHER           1.00 $     60,729.00    1.00 $     60,729.12 05 T07 10/01/2010 EDN 100/AA 063637 J1 A ELEM TEACHER           1.00 $     62,603.00    1.00 $     62,603.04 05 T06 10/01/2010 EDN 100/AA 066153 J1 A 12‐MO HS PRIN VIII           1.00 $  149,417.00    1.00 $  149,417.04 06 E11 Page 77 2011 Budget Briefing
  • 138.
    Department of Education Table 12 Personnel Separations Position  Perm/  Budgeted   Budgeted   Actual  BU  SR  Separation Date Prog ID/Org Number Temp MOF Position Title FTE  Salary  FTE  Actual Salary  Code Level 10/01/2010 EDN 100/AA 067639 J1 A ELEM TEACHER           1.00 $     49,053.00    1.00 $     45,785.04 05 T02 10/01/2010 EDN 100/AA 068741 J1 A SECONDARY TEACHER           1.00 $     58,959.00    1.00 $     58,959.12 05 T07 10/01/2010 EDN 100/AA 069061 J1 A 12‐MO ELEM PRIN I           1.00 $     99,839.00    1.00 $     99,839.04 06 E05 10/01/2010 EDN 100/AA 069316 J1 A ELEM TEACHER           1.00 $     62,550.00    1.00 $     62,550.00 05 T07 10/01/2010 EDN 100/AA 075968 J1 A ELEM TEACHER           1.00 $     74,688.00    1.00 $     74,688.00 05 T07 10/01/2010 EDN 100/AA 69316 J1 A ELEM TEACHER           1.00 $     62,550.00    1.00 $     62,550.00 05 T07 10/01/2010 EDN 100/AA 68741 J1 A SECONDARY TEACHER           1.00 $     58,959.00    1.00 $     58,959.12 05 T07 10/01/2010 EDN 100/AA 60424 J1 A SECONDARY TEACHER           1.00 $     60,729.00    1.00 $     60,729.12 05 T07 10/01/2010 EDN 100/AA 63637 J1 A ELEM TEACHER           1.00 $     62,603.00    1.00 $     62,603.04 05 T06 10/01/2010 EDN 100/AA 67639 J1 A ELEM TEACHER           1.00 $     49,053.00    1.00 $     45,785.04 05 T02 10/01/2010 EDN 100/AA 75968 J1 A ELEM TEACHER           1.00 $     74,688.00    1.00 $     74,688.00 05 T07 10/01/2010 EDN 100/AA 56002 J1 A CLERK III           1.00 $     30,036.00    1.00 $     30,036.00 03 SR08 10/01/2010 EDN 100/AA 69061 J1 A 12‐MO ELEM PRIN I           1.00 $     99,839.00    1.00 $     99,839.04 06 E05 10/01/2010 EDN 100/AA 66153 J1 A 12‐MO HS PRIN VIII           1.00 $  149,417.00    1.00 $  149,417.04 06 E11 10/01/2010 EDN 100/AA 38951 J1 A CLERK TYPIST II           1.00 $     30,036.00    1.00 $     30,036.00 03 SR08 10/01/2010 EDN 100/AA 14749 J1 A CLERK TYPIST II           1.00 $     36,516.00    1.00 $     36,516.00 03 SR08 10/01/2010 EDN 100/AA 21876 J1 A SCHOOL CUSTODIAN II           0.50 $     16,614.00    0.50 $     16,614.00 01 BC02 10/01/2010 EDN 100/AA 16287 J1 A SCHOOL CUSTODIAN II           1.00 $     36,960.00    1.00 $     33,228.00 01 BC02 10/01/2010 EDN 100/AA 16601 J1 A SCHOOL CUSTODIAN II           0.50 $     16,614.00    0.50 $     16,614.00 01 BC02 10/01/2010 EDN 150/FA 062546 J1 A SPEC ED TEACHER           1.00 $     66,359.00    1.00 $     66,359.04 05 T07 10/01/2010 EDN 150/FA 073317 J1 A SPEC ED TEACHER           1.00 $     60,729.00    1.00 $     62,002.08 05 T05 10/01/2010 EDN 150/FA 600377 T1 A SPEC ED TEACHER           1.00 $     70,400.16    1.00 $     70,400.16 05 T07 10/01/2010 EDN 150/FA 62546 J1 A SPEC ED TEACHER           1.00 $     66,359.00    1.00 $     66,359.04 05 T07 10/01/2010 EDN 150/FA 73317 J1 A SPEC ED TEACHER           1.00 $     60,729.00    1.00 $     62,002.08 05 T05 10/01/2010 EDN 150/FA 600377 T1 A SPEC ED TEACHER           1.00 $     70,400.00    1.00 $     70,400.16 05 T07 10/01/2010 EDN 150/FA 73269 J1 A SPEC ED TEACHER           1.00 $     49,448.00    1.00 $     49,448.16 05 T03 10/01/2010 EDN 150/NB 079314 T1 N 12‐MO STATE OFF TCHR           1.00 $     77,312.00    1.00 $     74,688.00 05 T07 10/01/2010 EDN 150/NB 079999 T1 N 12‐MO DIST OFF TCHR           1.00 $     79,170.00    1.00 $     79,170.00 05 T07 10/01/2010 EDN 150/NB 79314 T1 N 12‐MO STATE OFF TCHR           1.00 $     77,312.00    1.00 $     74,688.00 05 T07 10/01/2010 EDN 150/NB 800183 T1 N EDUC ASST III           1.00 $     28,130.00    1.00 $     28,129.92 03 SR12 10/01/2010 EDN 150/NB 79999 T1 N 12‐MO DIST OFF TCHR           1.00 $     79,170.00    1.00 $     79,170.00 05 T07 10/01/2010 EDN 150/YC 075417 J1 A DISTRICT EDUC SPEC II           1.00 $  106,105.00    1.00 $  106,104.96 06 E07 10/01/2010 EDN 150/YC 75417 J1 A DISTRICT EDUC SPEC II           1.00 $  106,105.00    1.00 $  106,104.96 06 E07 10/01/2010 EDN 150/YK 029409 J1 A SCHOOL HEALTH AIDE           1.00 $     22,063.00    1.00 $     21,132.96 03 SR09 10/01/2010 EDN 150/YK 29409 J1 A SCHOOL HEALTH AIDE           1.00 $     22,063.00    1.00 $     21,132.96 03 SR09 10/01/2010 EDN 200/GN 029998 T1 A BILINGUAL/BICULTURAL S/H ASST           1.00 $     39,480.00    1.00 $     39,480.00 03 SR11 Page 78 2011 Budget Briefing
  • 139.
    Department of Education Table 12 Personnel Separations Position  Perm/  Budgeted   Budgeted   Actual  BU  SR  Separation Date Prog ID/Org Number Temp MOF Position Title FTE  Salary  FTE  Actual Salary  Code Level 10/01/2010 EDN 200/GN 29998 T1 A BILINGUAL/BICULTURAL S/H ASST           1.00 $     39,480.00    1.00 $     39,480.00 03 SR11 10/01/2010 EDN 300/KO 075381 J1 A PROF DEV ACADEMY DIRECTOR           1.00 $     87,340.00    1.00 $  101,772.00 56 E10 10/01/2010 EDN 300/KO 75381 J1 A PROF DEV ACADEMY DIRECTOR           1.00 $     87,340.00    1.00 $  101,772.00 56 E10 10/01/2010 EDN 400/MD 009833 J1 B CAFETERIA HELPER           0.50 $     16,614.00    0.50 $     16,614.00 01 BC02 10/01/2010 EDN 400/MD 009936 J1 B SCHOOL BAKER           1.00 $     38,436.00    1.00 $     38,436.00 01 BC06 10/01/2010 EDN 400/MD 010135 J1 B SCHOOL BAKER           1.00 $     38,436.00    1.00 $     38,436.00 01 BC06 10/01/2010 EDN 400/MD 047344 J1 B CAFETERIA HELPER           0.50 $     16,614.00    0.50 $     16,614.00 01 BC02 10/01/2010 EDN 400/MD 10135 J1 B SCHOOL BAKER           1.00 $     38,436.00    1.00 $     38,436.00 01 BC06 10/01/2010 EDN 400/MD 9936 J1 B SCHOOL BAKER           1.00 $     38,436.00    1.00 $     38,436.00 01 BC06 10/01/2010 EDN 400/MD 9833 J1 B CAFETERIA HELPER           0.50 $     16,614.00    0.50 $     16,614.00 01 BC02 10/01/2010 EDN 400/MD 47344 J1 B CAFETERIA HELPER           0.50 $     16,614.00    0.50 $     16,614.00 01 BC02 10/01/2010 EDN 400/OC 017221 J1 A ACCOUNT CLERK V           1.00 $     51,936.00    1.00 $     51,936.00 03 SR15 10/02/2010 EDN 100/AA 72155 J1 A SECONDARY TEACHER           1.00 $     51,426.00    1.00 $     54,136.08 05 T07 10/02/2010 EDN 100/AA 63777 J1 A SECONDARY TEACHER           1.00 $     40,567.00    1.00 $     45,785.04 05 T02 10/02/2010 EDN 100/AA 60354 J1 A SECONDARY TEACHER           1.00 $     49,448.00    1.00 $     49,448.16 05 T03 10/02/2010 EDN 100/AA 71523 J1 A ELEM TEACHER           1.00 $     52,471.00    1.00 $     43,157.04 05 T02 10/02/2010 EDN 100/BJ 73046 J1 A SPECIAL SCH TEACHER           1.00 $     48,008.00    1.00 $     48,008.16 05 T03 10/02/2010 EDN 100/BM 800205 J1 A ATHLETIC HLTH CARE TRAINER           1.00 $     45,576.00    1.00 $     45,576.00 13 SR22 10/02/2010 EDN 150/FA 63974 J1 A SPEC ED TEACHER           1.00 $     49,448.00    1.00 $     49,448.16 05 T03 10/02/2010 EDN 150/FA 56696 T1 A EDUC ASST II           0.75 $     19,599.00    0.75 $     17,347.50 03 SR10 10/02/2010 EDN 150/FA 600097 T1 A SPEC ED TEACHER           1.00 $     48,008.00    1.00 $     48,008.16 05 T03 10/02/2010 EDN 150/FA 63640 T1 A SPEC ED TEACHER           1.00 $     32,713.00    1.00 $     40,566.96 05 T02 10/02/2010 EDN 150/NB 800362 T1 N EDUC ASST III           1.00 $     25,030.00    1.00 $     25,030.08 03 SR12 10/02/2010 EDN 150/YC 58360 J1 A BEHAVIORAL HLTH SPCLT III           1.00 $     53,352.00    1.00 $     45,576.00 13 SR20 10/04/2010 EDN 100/AA 16225 J1 A SCHOOL CUSTODIAN II           1.00 $     33,228.00    1.00 $     33,228.00 01 BC02 10/05/2010 EDN 100/DB 600169 T1 N SECONDARY TEACHER           1.00 $     62,002.00    1.00 $     62,002.08 05 T05 10/05/2010 EDN 150/YC 58377 J1 A BEHAVIORAL HLTH SPCLT IV           1.00 $     57,708.00    1.00 $     57,708.00 13 SR22 10/08/2010 EDN 100/AA 62648 J1 A ELEM TEACHER           1.00 $     49,448.00    1.00 $     46,608.96 05 T03 10/08/2010 EDN 100/AA 14692 J1 A CLERK TYPIST II           1.00 $     31,212.00    1.00 $     25,668.00 03 SR08 10/08/2010 EDN 400/MD 801154 T1 N CLERK TYPIST II           1.00 $     25,668.00    1.00 $     25,668.00 03 SR08 10/09/2010 EDN 150/NB 58148 T1 N EDUC ASST III           1.00 $     25,030.00    1.00 $     25,030.08 03 SR12 10/12/2010 EDN 150/FA 58779 J1 A EDUC ASST III           1.00 $     29,368.00    1.00 $     28,129.92 03 SR12 10/13/2010 EDN 100/AA 48468 J1 A SCHOOL CUSTODIAN II           0.50 $     16,614.00    0.50 $     16,614.00 01 BC02 10/13/2010 EDN 150/YC 58747 J1 A BEHAVIORAL HLTH SPCLT IV           1.00 $     47,412.00    1.00 $     47,412.00 13 SR22 10/15/2010 EDN 100/AA 600841 T1 A SECONDARY TEACHER           0.50 $     23,304.00    0.50 $     23,304.48 45 T03 10/16/2010 EDN 100/AA 62428 J1 A ELEM TEACHER           1.00 $     49,448.00    1.00 $     43,157.04 05 T02 Page 79 2011 Budget Briefing
  • 140.
    Department of Education Table 12 Personnel Separations Position  Perm/  Budgeted   Budgeted   Actual  BU  SR  Separation Date Prog ID/Org Number Temp MOF Position Title FTE  Salary  FTE  Actual Salary  Code Level 10/16/2010 EDN 100/AA 72169 J1 A SECONDARY TEACHER           1.00 $     49,448.00    1.00 $     43,157.04 05 T02 10/16/2010 EDN 100/AA 52433 J1 A EDUC ASST III           0.50 $     14,684.00    0.50 $     14,064.96 03 SR12 10/16/2010 EDN 100/AA 33125 J1 A SCHOOL SECURITY ATTENDANT           1.00 $     22,331.00    1.00 $     21,390.00 03 SR07 10/16/2010 EDN 150/FA 57171 J1 A EDUC ASST II           1.00 $     26,131.00    1.00 $     23,130.00 03 SR10 10/16/2010 EDN 150/NB 801132 T1 N EDUC ASST II           1.00 $     23,130.00    1.00 $     23,130.00 03 SR10 10/19/2010 EDN 100/AA 45157 J1 A CLERK II           1.00 $     26,700.00    1.00 $     26,700.00 03 SR06 10/19/2010 EDN 150/FA 801131 T1 A EDUC ASST II           1.00 $     23,130.00    1.00 $     23,130.00 03 SR10 10/21/2010 EDN 100/AA 55865 J1 A EDUC ASST III           0.50 $     14,684.00    1.00 $     28,129.92 03 SR12 10/21/2010 EDN 100/AA 45148 J1 A CLERK II           1.00 $     32,424.00    1.00 $     23,688.00 03 SR06 10/21/2010 EDN 100/CB 57971 J1 A ADMINISTRATIVE SERVICES ASST           1.00 $     49,332.00    1.00 $     47,412.00 13 SR22 10/21/2010 EDN 150/YG 57989 J1 A HUMAN SVCS PROF IV           1.00 $     49,332.00    1.00 $     49,332.00 13 SR22 10/21/2010 EDN 300/KC 17560 J1 A SECRETARY II           1.00 $     33,756.00    1.00 $     33,756.00 03 SR14 10/22/2010 EDN 100/AA 54884 T1 A CLERK III           1.00 $     26,700.00    1.00 $     25,668.00 03 SR08 10/23/2010 EDN 100/AA 62322 J1 A SECONDARY TEACHER           1.00 $     69,054.00    1.00 $     51,426.00 05 T04 10/23/2010 EDN 150/FA 56966 T1 A EDUC ASST III           1.00 $     26,131.00    1.00 $     25,030.08 03 SR12 10/23/2010 EDN 150/FA 56738 T1 A EDUC ASST II           0.75 $     21,157.00    0.75 $     17,347.50 03 SR10 10/23/2010 EDN 150/YC 58647 J1 A BEHAVIORAL SPECIALIST IV           1.00 $     55,500.00    1.00 $     55,500.00 13 SR22 10/30/2010 EDN 100/AA 63924 J1 A ELEM TEACHER           1.00 $     79,170.00    1.00 $     43,157.04 05 T02 10/30/2010 EDN 100/AA 68346 J1 A ELEM TEACHER           1.00 $     44,452.00    1.00 $     43,157.04 05 T02 10/30/2010 EDN 100/AA 56444 J1 A CLERK TYPIST II           0.50 $     12,834.00    0.50 $     12,834.00 03 SR08 10/30/2010 EDN 100/AA 30682 J1 A SCHOOL SECURITY ATTENDANT           1.00 $     28,209.00    1.00 $     27,019.92 03 SR07 10/30/2010 EDN 100/AA 23043 J1 A SCHOOL CUSTODIAN V           1.00 $     41,424.00    1.00 $     41,424.00 02 F202 10/30/2010 EDN 150/FA 52594 J1 A EDUC ASST II           0.75 $     20,366.00    0.75 $     17,347.50 03 SR10 10/30/2010 EDN 150/FA 57074 J1 A EDUC ASST III           1.00 $     29,368.00    1.00 $     25,030.08 03 SR12 10/30/2010 EDN 150/SA 800337 J1 A SPEECH PATHOLOGIST III           1.00 $     57,999.00    1.00 $     42,132.00 13 SR20 10/30/2010 EDN 150/YC 58748 J1 A BEHAVIORAL HLTH SPCLT IV           1.00 $     49,332.00    1.00 $     45,576.00 13 SR22 10/30/2010 EDN 150/YG 801199 J1 A BEHAVIORAL HLTH SPCLT III           1.00 $     42,132.00    1.00 $     42,132.00 13 SR20 10/30/2010 EDN 150/YK 29327 J1 A SCHOOL HEALTH AIDE           1.00 $     24,786.00    1.00 $     23,741.04 03 SR09 10/30/2010 EDN 400/MD 9388 J1 B SCHOOL COOK II           1.00 $     38,436.00    1.00 $     38,436.00 01 BC06 10/30/2010 EDN 400/MD 9463 J1 B CAFETERIA HELPER           1.00 $     33,228.00    1.00 $     33,228.00 01 BC02 10/30/2010 EDN 400/MD 12598 J1 B CAFETERIA HELPER           0.50 $     16,614.00    0.50 $     16,614.00 01 BC02 11/01/2010 EDN 100/AA 61765 J1 A ELEM TEACHER           1.00 $     53,077.00    1.00 $     53,076.96 05 T02 11/01/2010 EDN 100/AA 61706 J1 A SECONDARY TEACHER           1.00 $     67,750.00    1.00 $     67,750.08 05 T05 11/01/2010 EDN 100/BS 69012 J1 A ROTC INSTRUCTOR           1.00 $  106,404.00    1.00 $     95,784.00 55 ROTC 11/01/2010 EDN 200/GN 60089 J1 A COMPLX SCH RENEW SPEC II           1.00 $  109,099.00    1.00 $  109,098.96 06 E07 11/03/2010 EDN 150/FA 29640 J1 A EDUC ASST III           0.50 $     15,885.00    0.50 $     15,215.04 03 SR12 Page 80 2011 Budget Briefing
  • 141.
    Department of Education Table 12 Personnel Separations Position  Perm/  Budgeted   Budgeted   Actual  BU  SR  Separation Date Prog ID/Org Number Temp MOF Position Title FTE  Salary  FTE  Actual Salary  Code Level 11/04/2010 EDN 100/AA 71427 J1 A 12‐MO ELEM PRIN III           1.00 $  124,714.00    1.00 $  102,654.96 06 E07 11/04/2010 EDN 100/AA 801608 T1 A CLERK II           0.50 $     11,844.00    0.50 $     11,844.00 03 SR06 11/04/2010 EDN 100/AA 39386 J1 A SCHOOL CUSTODIAN II           1.00 $     33,228.00    1.00 $     33,228.00 01 BC02 11/06/2010 EDN 150/FA 74254 J1 A SPEC ED TEACHER           1.00 $     46,609.00    1.00 $     43,157.04 05 T02 11/06/2010 EDN 150/FA 800098 T1 A EDUC ASST III           1.00 $     27,154.00    1.00 $     25,030.08 03 SR12 11/06/2010 EDN 150/NB 32303 T1 N SECRETARY II           1.00 $     33,756.00    1.00 $     33,756.00 03 SR14 11/06/2010 EDN 150/SA 55683 J1 A SPEECH PATHOLOGIST IV           1.00 $     60,315.00    1.00 $     45,576.00 13 SR22 11/06/2010 EDN 150/SA 30926 J1 A COMMUNICATION AIDE           0.75 $     20,366.00    0.75 $     19,507.50 03 SR12 11/06/2010 EDN 300/KO 74640 J1 A PERSONNEL SPECIALIST II           1.00 $     80,350.00    1.00 $     80,350.08 56 E07 11/09/2010 EDN 100/AA 73853 J1 A SECONDARY TEACHER           1.00 $     51,426.00    1.00 $     51,426.00 05 T04 11/09/2010 EDN 150/YC 800441 J1 A SCHOOL PSYCHOLOGIST           1.00 $     58,716.00    1.00 $     51,312.00 13 SR24 11/10/2010 EDN 100/AA 68735 J1 A SECONDARY TEACHER           1.00 $     62,550.00    1.00 $     62,550.00 05 T07 11/13/2010 EDN 100/AA 55960 J1 A EDUC ASST III           0.50 $     14,104.00    0.50 $     12,515.04 03 SR12 11/13/2010 EDN 100/AA 65194 J1 A SCH ATHLETIC DIR I           1.00 $     73,921.00    1.00 $     62,562.96 06 E01 11/13/2010 EDN 100/DB 79288 T1 N EDUCATIONAL SPEC II           1.00 $     87,340.00    1.00 $     87,340.08 06 E07 11/13/2010 EDN 150/FA 27653 J1 A EDUC ASST III           1.00 $     31,769.00    1.00 $     30,430.08 03 SR12 11/13/2010 EDN 400/MD 49643 T1 N CAFETERIA HELPER           0.50 $     16,614.00    0.50 $     16,614.00 01 BC02 11/13/2010 EDN 400/MD 801246 T1 N CAFETERIA HELPER           0.50 $     16,614.00    0.50 $     16,614.00 01 BC02 11/13/2010 EDN 400/MD 52940 T1 N CAFETERIA HELPER           0.50 $     16,614.00    0.50 $     16,614.00 01 BC02 11/13/2010 EDN 400/MD 35173 T1 N CAFETERIA HELPER           0.50 $     16,614.00    0.50 $     16,614.00 01 BC02 11/13/2010 EDN 400/MD 59669 T1 N CAFETERIA HELPER           0.50 $     16,614.00    0.50 $     16,614.00 01 BC02 11/13/2010 EDN 400/MD 59895 T1 N CAFETERIA HELPER           0.50 $     16,614.00    0.50 $     16,614.00 01 BC02 11/13/2010 EDN 400/MD 45917 T1 N CAFETERIA HELPER           0.50 $     16,614.00    0.50 $     16,614.00 01 BC02 11/13/2010 EDN 400/MD 57905 J1 B CAFETERIA HELPER           0.50 $     16,614.00    0.50 $     16,614.00 01 BC02 11/16/2010 EDN 150/FA 57455 J1 A EDUC ASST III           0.75 $     22,879.00    0.75 $     21,915.00 03 SR12 11/16/2010 EDN 150/FA 27682 J1 A EDUC ASST III           1.00 $     28,209.00    1.00 $     27,019.92 03 SR12 11/16/2010 EDN 150/FA 56744 T1 A EDUC ASST III           0.75 $     20,366.00    0.75 $     19,507.50 03 SR12 11/20/2010 EDN 100/DB 79480 T1 N ELEM TEACHER           1.00 $     49,488.00    1.00 $     49,448.16 05 T03 11/24/2010 EDN 400/MD 800996 J1 B CAFETERIA HELPER           1.00 $     33,228.00    0.50 $     16,614.00 01 BC02 11/25/2010 EDN 150/FA 800606 T1 A EDUC ASST III           1.00 $     27,154.00    1.00 $     26,010.00 03 SR12 11/27/2010 EDN 150/FA 67106 T1 A GEN EDUC/ARTICLE VI TCHR           1.00 $     49,448.00    1.00 $     46,608.96 05 T03 11/30/2010 EDN 100/AA 16441 J1 A SCHOOL CUSTODIAN III           1.00 $     35,544.00    1.00 $     35,544.00 01 WS02 11/30/2010 EDN 150/FA 61465 J1 A SPEC ED TEACHER           1.00 $     49,448.00    1.00 $     49,448.16 05 T03 12/01/2010 EDN 100/AA 27201 J1 A CLERK TYPIST II           1.00 $     27,756.00    1.00 $     39,480.00 03 SR08 12/01/2010 EDN 100/AA 45120 J1 A CLERK TYPIST II           1.00 $     39,480.00    1.00 $     39,480.00 03 SR08 12/01/2010 EDN 100/DB 801484 T1 N CLERK TYPIST II           1.00 $     25,688.00    1.00 $     25,668.00 03 SR08 Page 81 2011 Budget Briefing
  • 142.
    Department of Education Table 12 Personnel Separations Position  Perm/  Budgeted   Budgeted   Actual  BU  SR  Separation Date Prog ID/Org Number Temp MOF Position Title FTE  Salary  FTE  Actual Salary  Code Level 12/01/2010 EDN 150/FA 61862 J1 A SPEC ED TEACHER           1.00 $     60,195.00    1.00 $     62,603.04 05 T06 12/01/2010 EDN 150/FA 61017 J1 A SPEC ED TEACHER           1.00 $     49,448.00    1.00 $     46,608.96 05 T03 12/01/2010 EDN 150/YG 801073 T1 A EDUC ASST III           1.00 $     25,030.00    1.00 $     25,030.08 03 SR12 12/01/2010 EDN 400/MD 28010 T1 N CAFETERIA HELPER           0.50 $     16,614.00    0.50 $     16,614.00 01 BC02 12/01/2010 EDN 400/MD 10764 J1 B SCHOOL COOK II           1.00 $     38,436.00    1.00 $     38,436.00 01 BC06 Page 82 2011 Budget Briefing
  • 143.
    Department of Education Table 13 New Hires New Hire  Position  Perm/  Budgeted  Budgeted  Actual  BU  SR  Effective Date Prog ID/Org Number Temp MOF Position Title FTE  Salary  FTE  Actual Salary  Code Level 07/01/2009 EDN 100/AA 44323 J1 A LIBRARY ASSISTANT III              0.50 $     15,239.00     0.50 $     15,018.00 03 SR07 07/01/2009 EDN 100/AA 66496 J1 A ELEM TEACHER              1.00 $     56,257.00     1.00 $     43,157.04 05 T02 07/01/2009 EDN 100/AA 68490 J1 A SECONDARY TEACHER              1.00 $     56,257.00     1.00 $     43,157.04 05 T02 07/01/2009 EDN 100/AA 801297 J1 A SCHOOL CUSTODIAN II              0.50 $     16,942.00     0.50 $     16,614.00 01 BC02 07/01/2009 EDN 100/DB 79215 T1 N COMPLEX ACADEMIC OFFICER              1.00 $     83,772.00     1.00 $     83,772.00 06 E07 07/01/2009 EDN 150/FA 60243 T1 A SPEC ED TEACHER              1.00 $     49,448.00     1.00 $     43,157.04 05 T02 07/01/2009 EDN 150/FA 73473 J1 A SPEC ED TEACHER              1.00 $     48,008.00     1.00 $     43,157.04 05 T02 07/01/2009 EDN 150/YC 58408 J1 A BEHAVIORAL HLTH SPCLT III              1.00 $     49,332.00     1.00 $     42,132.00 13 SR20 07/01/2009 EDN 150/YC 58421 T1 A BEHAVIORAL HLTH SPCLT IV              1.00 $     45,576.00     1.00 $     49,332.00 13 SR22 07/01/2009 EDN 150/YC 75400 J1 A EDUCATIONAL SPEC II              1.00 $     77,069.00     1.00 $     77,069.04 06 E07 07/01/2009 EDN 150/YC 800860 T1 A BEHAVIORAL HLTH SPCLT IV              1.00 $     45,576.00     1.00 $     47,412.00 13 SR22 07/01/2009 EDN 150/YG 71907 J1 A 12‐MO DIST OFF TCHR              1.00 $     59,338.00     1.00 $     48,008.16 05 T03 07/02/2009 EDN 100/AA 72623 J1 A 12‐MO COUNSELOR              1.00 $     67,508.00     1.00 $     46,608.96 05 T03 07/02/2009 EDN 100/AA 801344 T1 A LIBRARY ASSISTANT III              1.00 $     30,478.00     1.00 $     24,648.00 03 SR07 07/02/2009 EDN 100/BM 48253 J1 A ATHLETIC HLTH CARE TRAINER              1.00 $     57,708.00     1.00 $     45,576.00 13 SR22 07/06/2009 EDN 100/AA 14710 J1 A CLERK TYPIST II              1.00 $     29,865.00     1.00 $     25,667.20 63 SR08 07/06/2009 EDN 100/AA 30614 J1 A SCHOOL SECURITY ATTENDANT              1.00 $     25,213.00     1.00 $     24,648.00 63 SR07 07/06/2009 EDN 100/AA 56583 J1 A CLERK TYPIST II              1.00 $     29,865.00     1.00 $     25,667.20 63 SR08 07/06/2009 EDN 100/AA 56648 J1 A CLERK TYPIST II              1.00 $     29,865.00     1.00 $     25,667.20 63 SR08 07/06/2009 EDN 100/AA 56669 J1 A CLERK TYPIST II              0.50 $     14,933.00     0.50 $     12,833.60 63 SR08 07/06/2009 EDN 100/AA 801196 T1 A CLERK TYPIST II              1.00 $     29,865.00     1.00 $     25,667.20 63 SR08 07/06/2009 EDN 100/BV 74735 J1 A EDUCATIONAL SPEC II              1.00 $     77,069.00     1.00 $     77,069.04 06 E07 07/06/2009 EDN 150/YG 59555 J1 A BEHAVIORAL HLTH SPCLT III              1.00 $     47,412.00     1.00 $     42,132.00 13 SR20 07/09/2009 EDN 100/AA 16620 J1 A SCHOOL CUSTODIAN III              1.00 $     33,885.00     1.00 $     35,544.00 01 WS02 07/09/2009 EDN 100/BS 69006 J1 A ROTC INSTRUCTOR              0.50 $     50,295.00     0.50 $     48,036.00 55 ROTC 07/13/2009 EDN 100/AA 801062 T1 A CLERK TYPIST II              0.50 $     14,933.00     0.50 $     12,833.60 63 SR08 07/13/2009 EDN 150/FA 72528 J1 A 12‐MO SPEC ED TEACHER              1.00 $     53,343.00     1.00 $     43,157.04 05 T02 07/13/2009 EDN 150/SA 801327 J1 A EDUCATIONAL INTERPRETER II              1.00 $     38,388.00     1.00 $     32,424.00 03 SR14 07/15/2009 EDN 150/FA 67268 J1 A SPEC ED TEACHER              1.00 $     55,087.00     1.00 $     46,608.96 05 T03 07/16/2009 EDN 100/AA 16395 J1 A SCHOOL CUSTODIAN II              0.50 $     16,942.00     0.50 $     16,619.20 61 BC02 07/16/2009 EDN 100/AA 16395 J1 A SCHOOL CUSTODIAN II              0.50 $     16,942.00     0.50 $     16,619.20 61 BC02 07/16/2009 EDN 100/AA 17595 J1 A CLERK TYPIST II              1.00 $     29,865.00     1.00 $     25,667.20 63 SR08 07/16/2009 EDN 100/AA 56552 J1 A CLERK TYPIST II              1.00 $     29,865.00     1.00 $     25,667.20 63 SR08 07/20/2009 EDN 150/YC 58477 T1 A BEHAVIORAL HEALTH SPCLT III              1.00 $     45,576.00     1.00 $     42,132.00 13 SR20 Page 83 2011 Budget Briefing
  • 144.
    Department of Education Table 13 New Hires New Hire  Position  Perm/  Budgeted  Budgeted  Actual  BU  SR  Effective Date Prog ID/Org Number Temp MOF Position Title FTE  Salary  FTE  Actual Salary  Code Level 07/21/2009 EDN 150/YC 58386 T1 A BEHAVIORAL HEALTH SPCLT III              1.00 $     45,576.00     1.00 $     42,140.80 73 SR20 07/23/2009 EDN 150/FA 57622 T1 A EDUC ASST II              0.75 $     27,154.00     1.00 $     25,667.20 63 SR08 07/27/2009 EDN 150/SA 801325 J1 A EDUCATIONAL INTERPRETER II              1.00 $     40,697.00     1.00 $     32,424.00 03 SR14 07/27/2009 EDN 150/SA 801328 J1 A EDUCATIONAL INTERPRETER II              1.00 $     43,680.00     1.00 $     32,427.20 63 SR14 07/27/2009 EDN 150/YC 58628 J1 A BEHAVIORAL HLTH SPCLT IV              1.00 $     57,708.00     1.00 $     42,140.80 73 SR20 07/27/2009 EDN 400/MD 9538 J1 A SCHOOL COOK II              1.00 $     38,436.00     1.00 $     38,436.00 01 BC06 07/28/2009 EDN 100/AA 60414 J1 A SECONDARY TEACHER              1.00 $     56,257.00     1.00 $     40,566.96 05 A02 07/28/2009 EDN 100/AA 60498 J1 A ELEM TEACHER              1.00 $     56,257.00     1.00 $     43,157.04 05 T02 07/28/2009 EDN 100/AA 60507 J1 A LIBRARIAN              1.00 $     56,257.00     1.00 $     48,008.16 05 T03 07/28/2009 EDN 100/AA 61204 J1 A SECONDARY TEACHER              1.00 $     56,257.00     1.00 $     32,712.96 05 T02 07/28/2009 EDN 100/AA 61397 J1 A ELEM TEACHER              1.00 $     56,257.00     1.00 $     46,608.96 05 T03 07/28/2009 EDN 100/AA 61426 J1 A SECONDARY TEACHER              1.00 $     56,257.00     1.00 $     40,566.96 05 A02 07/28/2009 EDN 100/AA 61444 J1 A SECONDARY TEACHER              1.00 $     56,257.00     1.00 $     40,566.96 05 A02 07/28/2009 EDN 100/AA 61468 J1 A ELEM TEACHER              1.00 $     56,257.00     1.00 $     40,566.96 05 A02 07/28/2009 EDN 100/AA 62464 J1 A SECONDARY TEACHER              1.00 $     56,257.00     1.00 $     43,157.04 05 T02 07/28/2009 EDN 100/AA 62533 J1 A SECONDARY TEACHER              1.00 $     56,257.00     1.00 $     46,608.96 05 T03 07/28/2009 EDN 100/AA 62558 J1 A SECONDARY TEACHER              1.00 $     56,257.00     1.00 $     46,608.96 05 T03 07/28/2009 EDN 100/AA 62705 J1 A ELEM TEACHER              1.00 $     56,257.00     1.00 $     43,157.04 05 T02 07/28/2009 EDN 100/AA 62749 J1 A SECONDARY TEACHER              0.50 $     28,128.00     0.50 $     21,578.52 45 T02 07/28/2009 EDN 100/AA 62891 J1 A SECONDARY TEACHER              1.00 $     56,257.00     1.00 $     40,566.96 05 A02 07/28/2009 EDN 100/AA 63097 J1 A SECONDARY TEACHER              1.00 $     56,257.00     1.00 $     40,566.96 05 A02 07/28/2009 EDN 100/AA 63103 J1 A ELEM TEACHER              1.00 $     56,257.00     1.00 $     43,157.04 05 T02 07/28/2009 EDN 100/AA 63554 J1 A SECONDARY TEACHER              1.00 $     56,257.00     1.00 $     43,157.04 05 T02 07/28/2009 EDN 100/AA 63587 J1 A ELEM TEACHER              1.00 $     56,257.00     1.00 $     43,157.04 05 T02 07/28/2009 EDN 100/AA 63684 T1 A SECONDARY TEACHER              1.00 $     56,257.00     1.00 $     40,566.96 05 A02 07/28/2009 EDN 100/AA 63709 J1 A ELEM TEACHER              1.00 $     56,257.00     1.00 $     44,452.08 05 T02 07/28/2009 EDN 100/AA 64275 T1 A ELEM TEACHER              1.00 $     56,257.00     1.00 $     44,452.08 05 T02 07/28/2009 EDN 100/AA 64276 J1 A ELEM TEACHER              1.00 $     56,257.00     1.00 $     46,608.96 05 T03 07/28/2009 EDN 100/AA 64369 J1 A SECONDARY TEACHER              1.00 $     56,257.00     1.00 $     40,566.96 05 A02 07/28/2009 EDN 100/AA 64482 J1 A ELEM TEACHER              1.00 $     56,257.00     1.00 $     46,608.96 05 T03 07/28/2009 EDN 100/AA 64588 J1 A SECONDARY TEACHER              1.00 $     56,257.00     1.00 $     43,157.04 05 T02 07/28/2009 EDN 100/AA 64629 J1 A SECONDARY TEACHER              1.00 $     56,257.00     1.00 $     32,712.96 05 T02 07/28/2009 EDN 100/AA 64734 J1 A ELEM TEACHER              1.00 $     56,257.00     1.00 $     46,608.96 05 T03 07/28/2009 EDN 100/AA 65002 J1 A SECONDARY TEACHER              1.00 $     56,257.00     1.00 $     40,566.96 05 A02 Page 84 2011 Budget Briefing
  • 145.
    Department of Education Table 13 New Hires New Hire  Position  Perm/  Budgeted  Budgeted  Actual  BU  SR  Effective Date Prog ID/Org Number Temp MOF Position Title FTE  Salary  FTE  Actual Salary  Code Level 07/28/2009 EDN 100/AA 65244 J1 A SECONDARY TEACHER              1.00 $     56,257.00     1.00 $     40,566.96 05 A02 07/28/2009 EDN 100/AA 65394 J1 A ELEM TEACHER              1.00 $     56,257.00     1.00 $     48,008.16 05 T03 07/28/2009 EDN 100/AA 65624 J1 A ELEM TEACHER              1.00 $     56,257.00     1.00 $     43,157.04 05 T02 07/28/2009 EDN 100/AA 65658 J1 A SECONDARY TEACHER              1.00 $     56,257.00     1.00 $     48,008.16 05 T03 07/28/2009 EDN 100/AA 65787 J1 A SECONDARY TEACHER              1.00 $     56,257.00     1.00 $     43,157.04 05 T02 07/28/2009 EDN 100/AA 65821 J1 A SECONDARY TEACHER              1.00 $     56,257.00     1.00 $     48,008.16 05 T03 07/28/2009 EDN 100/AA 65885 J1 A SECONDARY TEACHER              1.00 $     56,257.00     1.00 $     40,566.96 05 A02 07/28/2009 EDN 100/AA 65896 J1 A SECONDARY TEACHER              1.00 $     56,257.00     1.00 $     48,008.16 05 T03 07/28/2009 EDN 100/AA 65911 J1 A ELEM TEACHER              1.00 $     56,257.00     1.00 $     43,157.04 05 T02 07/28/2009 EDN 100/AA 66077 J1 A ELEM TEACHER              1.00 $     56,257.00     1.00 $     43,157.04 05 T02 07/28/2009 EDN 100/AA 66241 J1 A ELEM TEACHER              1.00 $     56,257.00     1.00 $     46,608.96 05 T03 07/28/2009 EDN 100/AA 66262 J1 A ELEM TEACHER              1.00 $     56,257.00     1.00 $     46,608.96 05 T03 07/28/2009 EDN 100/AA 66523 J1 A SECONDARY TEACHER              1.00 $     56,257.00     1.00 $     40,566.96 05 A02 07/28/2009 EDN 100/AA 66647 J1 A SECONDARY TEACHER              1.00 $     56,257.00     1.00 $     43,157.04 05 T02 07/28/2009 EDN 100/AA 66717 J1 A ELEM TEACHER              1.00 $     56,257.00     1.00 $     43,157.04 05 T02 07/28/2009 EDN 100/AA 66723 J1 A SECONDARY TEACHER              1.00 $     56,257.00     1.00 $     32,712.96 05 T02 07/28/2009 EDN 100/AA 66842 J1 A SECONDARY TEACHER              1.00 $     56,257.00     1.00 $     40,566.96 05 A02 07/28/2009 EDN 100/AA 66865 J1 A SECONDARY TEACHER              1.00 $     56,257.00     1.00 $     32,712.96 05 T02 07/28/2009 EDN 100/AA 66873 J1 A SECONDARY TEACHER              1.00 $     56,257.00     1.00 $     32,712.96 05 T02 07/28/2009 EDN 100/AA 66938 J1 A ELEM TEACHER              1.00 $     56,257.00     1.00 $     43,157.04 05 T02 07/28/2009 EDN 100/AA 66951 J1 A ELEM TEACHER              1.00 $     56,257.00     1.00 $     46,608.96 05 T03 07/28/2009 EDN 100/AA 66980 J1 A SECONDARY TEACHER              1.00 $     56,257.00     1.00 $     43,157.04 05 T02 07/28/2009 EDN 100/AA 67101 J1 A ELEM TEACHER              1.00 $     56,257.00     1.00 $     48,008.16 05 T03 07/28/2009 EDN 100/AA 67107 J1 A ELEM TEACHER              1.00 $     56,257.00     1.00 $     46,608.96 05 T03 07/28/2009 EDN 100/AA 67407 J1 A SECONDARY TEACHER              1.00 $     56,257.00     1.00 $     46,608.96 05 T03 07/28/2009 EDN 100/AA 67487 J1 A ELEM TEACHER              1.00 $     56,257.00     1.00 $     43,157.04 05 T02 07/28/2009 EDN 100/AA 67797 J1 A ELEM TEACHER              1.00 $     56,257.00     1.00 $     46,608.96 05 T03 07/28/2009 EDN 100/AA 68103 J1 A SECONDARY TEACHER              1.00 $     56,257.00     1.00 $     46,608.96 05 T03 07/28/2009 EDN 100/AA 68202 J1 A ELEM TEACHER              1.00 $     56,257.00     1.00 $     43,157.04 05 T02 07/28/2009 EDN 100/AA 68305 J1 A SECONDARY TEACHER              1.00 $     56,257.00     1.00 $     46,608.96 05 T03 07/28/2009 EDN 100/AA 68306 J1 A SECONDARY TEACHER              1.00 $     56,257.00     1.00 $     46,608.96 05 T03 07/28/2009 EDN 100/AA 68454 J1 A SECONDARY TEACHER              1.00 $     56,257.00     1.00 $     46,608.96 05 T03 07/28/2009 EDN 100/AA 68502 J1 A ELEM TEACHER              1.00 $     56,257.00     1.00 $     46,608.96 05 T03 07/28/2009 EDN 100/AA 68531 J1 A SECONDARY TEACHER              1.00 $     56,257.00     1.00 $     44,452.08 05 T02 Page 85 2011 Budget Briefing
  • 146.
    Department of Education Table 13 New Hires New Hire  Position  Perm/  Budgeted  Budgeted  Actual  BU  SR  Effective Date Prog ID/Org Number Temp MOF Position Title FTE  Salary  FTE  Actual Salary  Code Level 07/28/2009 EDN 100/AA 68594 J1 A SECONDARY TEACHER              1.00 $     56,257.00     1.00 $     43,157.04 05 T02 07/28/2009 EDN 100/AA 68618 J1 A SECONDARY TEACHER              1.00 $     56,257.00     1.00 $     40,566.96 05 A02 07/28/2009 EDN 100/AA 68689 J1 A SECONDARY TEACHER              1.00 $     56,257.00     1.00 $     40,566.96 05 A02 07/28/2009 EDN 100/AA 68703 J1 A SECONDARY TEACHER              1.00 $     56,257.00     1.00 $     40,566.96 05 A02 07/28/2009 EDN 100/AA 68811 J1 A SECONDARY TEACHER              1.00 $     56,257.00     1.00 $     43,157.04 05 T02 07/28/2009 EDN 100/AA 68823 J1 A SECONDARY TEACHER              1.00 $     56,257.00     1.00 $     32,712.96 05 T02 07/28/2009 EDN 100/AA 68965 J1 A ELEM TEACHER              1.00 $     56,257.00     1.00 $     46,608.96 05 T03 07/28/2009 EDN 100/AA 68981 J1 A SECONDARY TEACHER              1.00 $     56,257.00     1.00 $     48,008.16 05 T03 07/28/2009 EDN 100/AA 68995 J1 A SECONDARY TEACHER              1.00 $     56,257.00     1.00 $     40,566.96 05 A02 07/28/2009 EDN 100/AA 69076 J1 A SECONDARY TEACHER              1.00 $     56,257.00     1.00 $     46,608.96 05 T03 07/28/2009 EDN 100/AA 69115 J1 A SECONDARY TEACHER              1.00 $     56,257.00     1.00 $     46,608.96 05 T03 07/28/2009 EDN 100/AA 69382 J1 A SECONDARY TEACHER              1.00 $     56,257.00     1.00 $     40,566.96 05 A02 07/28/2009 EDN 100/AA 69390 J1 A SECONDARY TEACHER              1.00 $     56,257.00     1.00 $     46,608.96 05 T03 07/28/2009 EDN 100/AA 69508 J1 A SECONDARY TEACHER              1.00 $     56,257.00     1.00 $     43,157.04 05 T02 07/28/2009 EDN 100/AA 69513 J1 A SECONDARY TEACHER              1.00 $     56,257.00     1.00 $     46,608.96 05 T03 07/28/2009 EDN 100/AA 69536 J1 A ELEM TEACHER              1.00 $     56,257.00     1.00 $     43,157.04 05 T02 07/28/2009 EDN 100/AA 69607 J1 A ELEM TEACHER              1.00 $     56,257.00     1.00 $     43,157.04 05 T02 07/28/2009 EDN 100/AA 69725 J1 A ELEM TEACHER              1.00 $     56,257.00     1.00 $     43,157.04 05 T02 07/28/2009 EDN 100/AA 69839 J1 A SECONDARY TEACHER              1.00 $     56,257.00     1.00 $     44,452.08 05 T02 07/28/2009 EDN 100/AA 69929 J1 A ELEM TEACHER              1.00 $     56,257.00     1.00 $     43,157.04 05 T02 07/28/2009 EDN 100/AA 71336 J1 A SECONDARY TEACHER              1.00 $     56,257.00     1.00 $     43,157.04 05 T02 07/28/2009 EDN 100/AA 71617 J1 A SECONDARY TEACHER              1.00 $     56,257.00     1.00 $     40,566.96 05 A02 07/28/2009 EDN 100/AA 71770 J1 A SECONDARY TEACHER              1.00 $     56,257.00     1.00 $     44,452.08 05 T02 07/28/2009 EDN 100/AA 72029 J1 A SECONDARY TEACHER              1.00 $     56,257.00     1.00 $     43,157.04 05 T02 07/28/2009 EDN 100/AA 72114 T1 A ELEM TEACHER              1.00 $     56,257.00     1.00 $     43,157.04 05 T02 07/28/2009 EDN 100/AA 72142 J1 A ELEM TEACHER              1.00 $     56,257.00     1.00 $     46,608.96 05 T03 07/28/2009 EDN 100/AA 72286 J1 A SECONDARY TEACHER              1.00 $     56,257.00     1.00 $     46,608.96 05 T03 07/28/2009 EDN 100/AA 73237 J1 A SECONDARY TEACHER              1.00 $     56,257.00     1.00 $     43,157.04 05 T02 07/28/2009 EDN 100/AA 73597 J1 A SECONDARY TEACHER              1.00 $     56,257.00     1.00 $     32,712.96 05 T02 07/28/2009 EDN 100/AA 73760 J1 A SECONDARY TEACHER              1.00 $     56,257.00     1.00 $     46,608.96 05 T03 07/28/2009 EDN 100/AA 73817 J1 A SECONDARY TEACHER              0.50 $     28,128.00     0.50 $     21,578.52 45 T02 07/28/2009 EDN 100/AA 74003 J1 A SECONDARY TEACHER              1.00 $     56,257.00     1.00 $     46,608.96 05 T03 07/28/2009 EDN 100/AA 74214 T1 A SECONDARY TEACHER              0.50 $     28,128.00     0.50 $     22,226.04 45 T02 07/28/2009 EDN 100/AA 74276 J1 A SECONDARY TEACHER              1.00 $     56,257.00     1.00 $     40,566.96 05 A02 Page 86 2011 Budget Briefing
  • 147.
    Department of Education Table 13 New Hires New Hire  Position  Perm/  Budgeted  Budgeted  Actual  BU  SR  Effective Date Prog ID/Org Number Temp MOF Position Title FTE  Salary  FTE  Actual Salary  Code Level 07/28/2009 EDN 100/AA 74453 J1 A SECONDARY TEACHER              1.00 $     56,257.00     1.00 $     43,157.04 05 T02 07/28/2009 EDN 100/AA 74496 J1 A SECONDARY TEACHER              1.00 $     56,257.00     1.00 $     40,566.96 05 A02 07/28/2009 EDN 100/AA 76264 J1 A SECONDARY TEACHER              0.50 $     28,128.00     0.50 $     18,740.52 45 T03 07/28/2009 EDN 100/AA 76284 J1 A SECONDARY TEACHER              1.00 $     56,257.00     1.00 $     35,328.96 05 T03 07/28/2009 EDN 100/AA 79623 T1 A SECONDARY TEACHER              1.00 $     56,257.00     1.00 $     40,566.96 05 A02 07/28/2009 EDN 100/AA 63861X T1 A SPEC ED TEACHER              1.00 $     56,257.00     1.00 $     46,608.96 05 T03 07/28/2009 EDN 100/AA 64291X T1 A ELEM TEACHER              1.00 $     56,257.00     1.00 $     46,608.96 05 T03 07/28/2009 EDN 100/AA 64847X T1 A LIBRARIAN              0.50 $     28,128.00     0.50 $     23,304.48 45 T03 07/28/2009 EDN 100/AA 64976X T1 A SECONDARY TEACHER              1.00 $     56,257.00     1.00 $     43,157.04 05 T02 07/28/2009 EDN 100/AA 64995X T1 A SECONDARY TEACHER              1.00 $     56,257.00     1.00 $     43,157.04 05 T02 07/28/2009 EDN 100/AA 66160X T1 A SECONDARY TEACHER              1.00 $     56,257.00     1.00 $     43,157.04 05 T02 07/28/2009 EDN 100/AA 66253X T1 A ELEM TEACHER              1.00 $     56,257.00     1.00 $     43,157.04 05 T02 07/28/2009 EDN 100/AA 67026X T1 A SECONDARY TEACHER              1.00 $     56,257.00     1.00 $     32,712.96 05 T02 07/28/2009 EDN 100/AA 68558X T1 A ELEM TEACHER              1.00 $     56,257.00     1.00 $     46,608.96 05 T03 07/28/2009 EDN 100/AA 68841X T1 A SECONDARY TEACHER              1.00 $     56,257.00     1.00 $     46,608.96 05 T03 07/28/2009 EDN 100/AA 73391X T1 A SECONDARY TEACHER              1.00 $     56,257.00     1.00 $     48,008.16 05 T03 07/28/2009 EDN 100/AA 74499X T1 A ELEM TEACHER              1.00 $     56,257.00     1.00 $     43,157.04 05 T02 07/28/2009 EDN 100/AA 75937X T1 A ELEM TEACHER              1.00 $     56,257.00     1.00 $     46,608.96 05 T03 07/28/2009 EDN 100/BB 66991 J1 A SECONDARY TEACHER              1.00 $     80,215.00     1.00 $     43,157.04 05 T02 07/28/2009 EDN 100/BJ 73082 J1 A SPECIAL SCH TEACHER              1.00 $     48,008.00     1.00 $     32,712.96 05 T02 07/28/2009 EDN 100/BV 61880 T1 A ELEM TEACHER              1.00 $     33,694.00     1.00 $     32,712.96 05 T02 07/28/2009 EDN 100/BV 74846 T1 A SECONDARY TEACHER              1.00 $     43,158.00     1.00 $     46,608.96 05 T03 07/28/2009 EDN 100/DB 79599 T1 N ELEM TEACHER              1.00 $     43,157.04     1.00 $     43,157.04 05 T02 07/28/2009 EDN 100/DB 79807 T1 N ELEM TEACHER              1.00 $     43,157.04     1.00 $     43,157.04 05 T02 07/28/2009 EDN 100/DB 79922 T1 N ELEM TEACHER              1.00 $     46,608.96     1.00 $     46,608.96 05 T03 07/28/2009 EDN 100/DB 79924 T1 N ELEM TEACHER              1.00 $     43,157.04     1.00 $     43,157.04 05 T02 07/28/2009 EDN 100/DB 79965 T1 N ELEM TEACHER              1.00 $     43,157.04     1.00 $     43,157.04 05 T02 07/28/2009 EDN 150/FA 60116 J1 A SPEC ED TEACHER              1.00 $     45,785.00     1.00 $     43,157.04 05 T02 07/28/2009 EDN 150/FA 60197 T1 A SPEC ED TEACHER              1.00 $     53,483.00     1.00 $     32,712.96 05 T02 07/28/2009 EDN 150/FA 60280 J1 A SPEC ED TEACHER              1.00 $     49,448.00     1.00 $     43,157.04 05 T02 07/28/2009 EDN 150/FA 60382 T1 A SPEC ED TEACHER              1.00 $     32,713.00     1.00 $     48,008.16 05 T03 07/28/2009 EDN 150/FA 60386 T1 A SPEC ED TCHR/PRE‐SCHOOL              1.00 $     40,567.00     1.00 $     43,157.04 05 T02 07/28/2009 EDN 150/FA 60513 J1 A SPEC ED TEACHER              1.00 $     45,785.00     1.00 $     43,157.04 05 T02 07/28/2009 EDN 150/FA 60618 J1 A SPEC ED TEACHER              1.00 $     45,785.00     1.00 $     43,157.04 05 T02 Page 87 2011 Budget Briefing
  • 148.
    Department of Education Table 13 New Hires New Hire  Position  Perm/  Budgeted  Budgeted  Actual  BU  SR  Effective Date Prog ID/Org Number Temp MOF Position Title FTE  Salary  FTE  Actual Salary  Code Level 07/28/2009 EDN 150/FA 60743 J1 A GEN EDUC/ARTICLE VI TCHR              1.00 $     48,008.00     1.00 $     44,452.08 05 T02 07/28/2009 EDN 150/FA 60897 J1 A SPEC ED TEACHER              1.00 $     50,493.00     1.00 $     40,566.96 05 A02 07/28/2009 EDN 150/FA 61009 J1 A SPEC ED TCHR/PRE‐SCHOOL              1.00 $     43,157.00     1.00 $     32,712.96 05 T02 07/28/2009 EDN 150/FA 61017 J1 A SPEC ED TEACHER              1.00 $     49,448.00     1.00 $     46,608.96 05 T03 07/28/2009 EDN 150/FA 61093 J1 A SPEC ED TCHR/PRE‐SCHOOL              1.00 $     53,483.00     1.00 $     43,157.04 05 T02 07/28/2009 EDN 150/FA 61149 J1 A GEN EDUC/ARTICLE VI TCHR              1.00 $     32,713.00     1.00 $     43,157.04 05 T02 07/28/2009 EDN 150/FA 61476 J1 A SPEC ED TEACHER              1.00 $     48,008.00     1.00 $     46,608.96 05 T03 07/28/2009 EDN 150/FA 61671 J1 A GEN EDUC/ARTICLE VI TCHR              1.00 $     45,785.00     1.00 $     46,608.96 05 T03 07/28/2009 EDN 150/FA 61817 J1 A SPEC ED TEACHER              1.00 $     34,705.00     1.00 $     43,157.04 05 T02 07/28/2009 EDN 150/FA 61876 J1 A SPEC ED TEACHER              1.00 $     43,157.00     1.00 $     48,008.16 05 T03 07/28/2009 EDN 150/FA 61951 T1 A SPEC ED TEACHER              1.00 $     43,157.00     1.00 $     48,008.16 05 T03 07/28/2009 EDN 150/FA 61969 T1 A SPEC ED TCHR/PRE‐SCHOOL              1.00 $     43,157.00     1.00 $     46,608.96 05 T03 07/28/2009 EDN 150/FA 62019 J1 A SPEC ED TEACHER              1.00 $     43,157.00     1.00 $     43,157.04 05 T02 07/28/2009 EDN 150/FA 62134 J1 A SPEC ED TEACHER              1.00 $     32,713.00     1.00 $     43,157.04 05 T02 07/28/2009 EDN 150/FA 62188 T1 A SPEC ED TEACHER              1.00 $     64,482.00     1.00 $     48,008.16 05 T03 07/28/2009 EDN 150/FA 62216 J1 A SPEC ED TEACHER              1.00 $     33,694.00     1.00 $     43,157.04 05 T02 07/28/2009 EDN 150/FA 62221 J1 A SPEC ED TEACHER              1.00 $     33,694.00     1.00 $     43,157.04 05 T02 07/28/2009 EDN 150/FA 62235 J1 A SPEC ED TEACHER              1.00 $     33,694.00     1.00 $     43,157.04 05 T02 07/28/2009 EDN 150/FA 62261 T1 A SPEC ED TEACHER              1.00 $     43,157.00     1.00 $     48,008.16 05 T03 07/28/2009 EDN 150/FA 62265 J1 A SPEC ED TEACHER              1.00 $     32,713.00     1.00 $     43,157.04 05 T02 07/28/2009 EDN 150/FA 62337 T1 A SPEC ED TEACHER              1.00 $     39,901.00     1.00 $     46,608.96 05 T03 07/28/2009 EDN 150/FA 62424 J1 A SPEC ED TEACHER              1.00 $     49,448.00     1.00 $     46,608.96 05 T03 07/28/2009 EDN 150/FA 62667 J1 A SPEC ED TEACHER              1.00 $     40,567.00     1.00 $     43,157.04 05 T02 07/28/2009 EDN 150/FA 62668 J1 A GEN EDUC/ARTICLE VI TCHR              1.00 $     43,157.00     1.00 $     43,157.04 05 T02 07/28/2009 EDN 150/FA 62720 J1 A SPEC ED TEACHER              1.00 $     33,694.00     1.00 $     40,566.96 05 A02 07/28/2009 EDN 150/FA 62795 J1 A SPEC ED TEACHER              1.00 $     44,452.00     1.00 $     43,157.04 05 T02 07/28/2009 EDN 150/FA 62795 J1 A SPEC ED TEACHER              1.00 $     44,452.00     1.00 $     46,608.96 05 T03 07/28/2009 EDN 150/FA 62885 J1 A SPEC ED TEACHER              1.00 $     49,448.00     1.00 $     32,712.96 05 T02 07/28/2009 EDN 150/FA 63086 J1 A SPEC ED TEACHER              1.00 $     49,448.00     1.00 $     40,566.96 05 A02 07/28/2009 EDN 150/FA 63140 J1 A SPEC ED TEACHER              1.00 $     49,448.00     1.00 $     40,566.96 05 A02 07/28/2009 EDN 150/FA 63181 J1 A SPEC ED TEACHER              1.00 $     43,157.00     1.00 $     43,157.04 05 T02 07/28/2009 EDN 150/FA 63496 J1 A GEN EDUC/ARTICLE VI TCHR              1.00 $     45,785.00     1.00 $     40,566.96 05 A02 07/28/2009 EDN 150/FA 63599 J1 A SPEC ED TEACHER              1.00 $     46,830.00     1.00 $     32,712.96 05 T02 07/28/2009 EDN 150/FA 63758 J1 A SPEC ED TEACHER              1.00 $     44,452.00     1.00 $     43,157.04 05 T02 Page 88 2011 Budget Briefing
  • 149.
    Department of Education Table 13 New Hires New Hire  Position  Perm/  Budgeted  Budgeted  Actual  BU  SR  Effective Date Prog ID/Org Number Temp MOF Position Title FTE  Salary  FTE  Actual Salary  Code Level 07/28/2009 EDN 150/FA 64004 J1 A SPEC ED TEACHER              1.00 $     49,448.00     1.00 $     43,157.04 05 T02 07/28/2009 EDN 150/FA 64155 T1 A SPEC ED TEACHER              1.00 $     32,713.00     1.00 $     46,608.96 05 T03 07/28/2009 EDN 150/FA 64506 J1 A SPEC ED TEACHER              1.00 $     48,008.00     1.00 $     43,157.04 05 T02 07/28/2009 EDN 150/FA 64512 T1 A SPEC ED TEACHER              1.00 $     48,008.00     1.00 $     40,566.96 05 A02 07/28/2009 EDN 150/FA 64715 J1 A SPEC ED TEACHER              1.00 $     41,862.00     1.00 $     48,008.16 05 T03 07/28/2009 EDN 150/FA 65187 J1 A GEN EDUC/ARTICLE VI TCHR              1.00 $     45,785.00     1.00 $     40,566.96 05 A02 07/28/2009 EDN 150/FA 65428 J1 A GEN EDUC/ARTICLE VI TCHR              1.00 $     68,351.00     1.00 $     46,608.96 05 T03 07/28/2009 EDN 150/FA 65671 J1 A GEN EDUC/ARTICLE VI TCHR              1.00 $     52,721.00     1.00 $     48,008.16 05 T03 07/28/2009 EDN 150/FA 66291 J1 A GEN EDUC/ARTICLE VI TCHR              1.00 $     32,713.00     1.00 $     48,008.16 05 T03 07/28/2009 EDN 150/FA 66324 J1 A SPEC ED TEACHER              1.00 $     52,721.00     1.00 $     40,566.96 05 A02 07/28/2009 EDN 150/FA 66430 J1 A GEN EDUC/ARTICLE VI TCHR              1.00 $     45,785.00     1.00 $     43,157.04 05 T02 07/28/2009 EDN 150/FA 66749 J1 A SPEC ED TEACHER              1.00 $     40,567.00     1.00 $     40,566.96 05 A02 07/28/2009 EDN 150/FA 66868 J1 A SPEC ED TEACHER              1.00 $     48,008.00     1.00 $     43,157.04 05 T02 07/28/2009 EDN 150/FA 66915 J1 A SPEC ED TEACHER              1.00 $     50,743.00     1.00 $     46,608.96 05 T03 07/28/2009 EDN 150/FA 67029 J1 A GEN EDUC/ARTICLE VI TCHR              1.00 $     43,157.00     1.00 $     40,566.96 05 A02 07/28/2009 EDN 150/FA 67310 J1 A SPEC ED TEACHER              1.00 $     43,157.00     1.00 $     43,157.04 05 T02 07/28/2009 EDN 150/FA 67528 J1 A SPEC ED TEACHER              1.00 $     46,609.00     1.00 $     46,608.96 05 T03 07/28/2009 EDN 150/FA 67549 J1 A SPEC ED TEACHER              1.00 $     70,461.00     1.00 $     48,008.16 05 T03 07/28/2009 EDN 150/FA 67590 J1 A SPEC ED TEACHER              1.00 $     58,959.00     1.00 $     43,157.04 05 T02 07/28/2009 EDN 150/FA 67662 J1 A SPEC ED TEACHER              1.00 $     32,713.00     1.00 $     43,157.04 05 T02 07/28/2009 EDN 150/FA 67779 J1 A GEN EDUC/ARTICLE VI TCHR              1.00 $     60,729.00     1.00 $     43,157.04 05 T02 07/28/2009 EDN 150/FA 67942 J1 A SPEC ED TEACHER              1.00 $     33,684.00     1.00 $     40,566.96 05 A02 07/28/2009 EDN 150/FA 67998 J1 A SPEC ED TEACHER              1.00 $     43,157.00     1.00 $     48,008.16 05 T03 07/28/2009 EDN 150/FA 68038 T1 A SPEC ED TEACHER              1.00 $     46,609.00     1.00 $     46,608.96 05 T03 07/28/2009 EDN 150/FA 68051 T1 A SPEC ED TEACHER              1.00 $     43,157.00     1.00 $     46,608.96 05 T03 07/28/2009 EDN 150/FA 68235 J1 A SPEC ED TEACHER              1.00 $     44,452.00     1.00 $     40,566.96 05 A02 07/28/2009 EDN 150/FA 68427 T1 A SPEC ED TEACHER              1.00 $     43,157.00     1.00 $     40,566.96 05 A02 07/28/2009 EDN 150/FA 68485 J1 A SPEC ED TEACHER              1.00 $     44,452.00     1.00 $     40,566.96 05 A02 07/28/2009 EDN 150/FA 68681 T1 A SPEC ED TEACHER              1.00 $     32,713.00     1.00 $     40,566.96 05 A02 07/28/2009 EDN 150/FA 68720 J1 A SPEC ED TEACHER              1.00 $     66,359.00     1.00 $     46,608.96 05 T03 07/28/2009 EDN 150/FA 68952 J1 A SPEC ED TEACHER              1.00 $     45,785.00     1.00 $     44,452.08 05 T02 07/28/2009 EDN 150/FA 69039 T1 A SPEC ED TEACHER              1.00 $     49,448.00     1.00 $     48,008.16 05 T03 07/28/2009 EDN 150/FA 69083 J1 A SPEC ED TEACHER              1.00 $     45,785.00     1.00 $     40,566.96 05 A02 07/28/2009 EDN 150/FA 69196 J1 A SPEC ED TEACHER              1.00 $     52,968.00     1.00 $     43,157.04 05 T02 Page 89 2011 Budget Briefing
  • 150.
    Department of Education Table 13 New Hires New Hire  Position  Perm/  Budgeted  Budgeted  Actual  BU  SR  Effective Date Prog ID/Org Number Temp MOF Position Title FTE  Salary  FTE  Actual Salary  Code Level 07/28/2009 EDN 150/FA 69259 J1 A SPEC ED TEACHER              1.00 $     44,452.00     1.00 $     43,157.04 05 T02 07/28/2009 EDN 150/FA 69338 T1 A SPEC ED TCHR/PRE‐SCHOOL              1.00 $     32,713.00     1.00 $     46,608.96 05 T03 07/28/2009 EDN 150/FA 69782 J1 A GEN EDUC/ARTICLE VI TCHR              1.00 $     43,157.00     1.00 $     43,157.04 05 T02 07/28/2009 EDN 150/FA 69880 J1 A SPEC ED TEACHER              1.00 $     70,461.00     1.00 $     43,157.04 05 T02 07/28/2009 EDN 150/FA 71263 J1 A SPEC ED TEACHER              1.00 $     62,550.00     1.00 $     46,608.96 05 T03 07/28/2009 EDN 150/FA 71274 J1 A SPEC ED TEACHER              1.00 $     42,907.00     1.00 $     43,157.04 05 T02 07/28/2009 EDN 150/FA 71554 J1 A SPEC ED TEACHER              1.00 $     45,785.00     1.00 $     43,157.04 05 T02 07/28/2009 EDN 150/FA 71762 J1 A SPEC ED TEACHER              1.00 $     59,010.00     1.00 $     40,566.96 05 A02 07/28/2009 EDN 150/FA 71843 J1 A SPEC ED TEACHER              1.00 $     51,426.00     1.00 $     43,157.04 05 T02 07/28/2009 EDN 150/FA 72157 T1 A SPEC ED TEACHER              1.00 $     32,713.00     1.00 $     43,157.04 05 T02 07/28/2009 EDN 150/FA 72203 T1 A SPEC ED TEACHER              1.00 $     44,452.00     1.00 $     43,157.04 05 T02 07/28/2009 EDN 150/FA 72248 J1 A SPEC ED TEACHER              1.00 $     43,157.00     1.00 $     43,157.04 05 T02 07/28/2009 EDN 150/FA 72336 J1 A SPEC ED TEACHER              1.00 $     43,157.00     1.00 $     43,157.04 05 T02 07/28/2009 EDN 150/FA 72433 J1 A SPEC ED TEACHER              1.00 $     33,694.00     1.00 $     48,008.16 05 T03 07/28/2009 EDN 150/FA 72489 J1 A SPEC ED TEACHER              1.00 $     45,785.00     1.00 $     40,566.96 05 A02 07/28/2009 EDN 150/FA 72542 J1 A SPEC ED TEACHER              1.00 $     50,931.00     1.00 $     40,566.96 05 A02 07/28/2009 EDN 150/FA 72559 J1 A SPEC ED TCHR/PRE‐SCHOOL              1.00 $     62,550.00     1.00 $     48,008.16 05 T03 07/28/2009 EDN 150/FA 72577 T1 A SPEC ED TEACHER              1.00 $     43,157.00     1.00 $     44,452.08 05 T02 07/28/2009 EDN 150/FA 72731 J1 A SPEC ED TEACHER              1.00 $     44,452.00     1.00 $     46,608.96 05 T03 07/28/2009 EDN 150/FA 72754 T1 A SPEC ED TEACHER              1.00 $     43,157.00     1.00 $     43,157.04 05 T02 07/28/2009 EDN 150/FA 72762 J1 A SPEC ED TEACHER              1.00 $     43,157.00     1.00 $     46,608.96 05 T03 07/28/2009 EDN 150/FA 72771 J1 A SPEC ED TEACHER              1.00 $     43,157.00     1.00 $     48,008.16 05 T03 07/28/2009 EDN 150/FA 72789 J1 A SPEC ED TCHR/PRE‐SCHOOL              1.00 $     51,426.00     1.00 $     32,712.96 05 T02 07/28/2009 EDN 150/FA 72798 J1 A SPEC ED TEACHER              1.00 $     49,448.00     1.00 $     48,008.16 05 T03 07/28/2009 EDN 150/FA 72799 J1 A SPEC ED TEACHER              1.00 $     49,448.00     1.00 $     43,157.04 05 T02 07/28/2009 EDN 150/FA 73202 J1 A SPEC ED TCHR/PRE‐SCHOOL              1.00 $     63,595.00     1.00 $     43,157.04 05 T02 07/28/2009 EDN 150/FA 73207 J1 A SPEC ED TEACHER              1.00 $     43,157.00     1.00 $     43,157.04 05 T02 07/28/2009 EDN 150/FA 73256 T1 A SPEC ED TEACHER              1.00 $     58,959.00     1.00 $     43,157.04 05 T02 07/28/2009 EDN 150/FA 73291 T1 A SPEC ED TEACHER              1.00 $     43,157.00     1.00 $     43,157.04 05 T02 07/28/2009 EDN 150/FA 73335 T1 A SPEC ED TEACHER              1.00 $     49,448.00     1.00 $     43,157.04 05 T02 07/28/2009 EDN 150/FA 73465 J1 A SPEC ED TEACHER              1.00 $     32,713.00     1.00 $     43,157.04 05 T02 07/28/2009 EDN 150/FA 73617 T1 A SPEC ED TEACHER              1.00 $     43,157.00     1.00 $     43,157.04 05 T02 07/28/2009 EDN 150/FA 73637 J1 A SPEC ED TEACHER              1.00 $     60,729.00     1.00 $     44,452.08 05 T02 07/28/2009 EDN 150/FA 73724 J1 A SPEC ED TEACHER              1.00 $     46,609.00     1.00 $     43,157.04 05 T02 Page 90 2011 Budget Briefing
  • 151.
    Department of Education Table 13 New Hires New Hire  Position  Perm/  Budgeted  Budgeted  Actual  BU  SR  Effective Date Prog ID/Org Number Temp MOF Position Title FTE  Salary  FTE  Actual Salary  Code Level 07/28/2009 EDN 150/FA 73837 J1 A SPEC ED TEACHER              1.00 $     60,088.00     1.00 $     43,157.04 05 T02 07/28/2009 EDN 150/FA 73934 J1 A SPEC ED TEACHER              1.00 $     51,426.00     1.00 $     46,608.96 05 T03 07/28/2009 EDN 150/FA 73938 J1 A SPEC ED TEACHER              1.00 $     44,452.00     1.00 $     43,157.04 05 T02 07/28/2009 EDN 150/FA 74175 J1 A SPEC ED TEACHER              1.00 $     46,609.00     1.00 $     46,608.96 05 T03 07/28/2009 EDN 150/FA 74317 J1 A SPEC ED TCHR/PRE‐SCHOOL              1.00 $     32,713.00     1.00 $     32,712.96 05 T02 07/28/2009 EDN 150/FA 74333 J1 A SPEC ED TEACHER              1.00 $     37,481.00     1.00 $     43,157.04 05 T02 07/28/2009 EDN 150/FA 74421 T1 A SPEC ED TEACHER              1.00 $     58,959.00     1.00 $     43,157.04 05 T02 07/28/2009 EDN 150/FA 74482 T1 A SPEC ED TEACHER              1.00 $     36,389.00     1.00 $     43,157.04 05 T02 07/28/2009 EDN 150/FA 74655 J1 A SPEC ED TEACHER              1.00 $     53,483.00     1.00 $     43,157.04 05 T02 07/28/2009 EDN 150/FA 74661 J1 A SPEC ED TEACHER              1.00 $     50,743.00     1.00 $     44,452.08 05 T02 07/28/2009 EDN 150/FA 74676 J1 A SPEC ED TEACHER              1.00 $     48,008.00     1.00 $     40,566.96 05 A02 07/28/2009 EDN 150/FA 75452 T1 A GEN EDUC/ARTICLE VI TCHR              0.50 $     26,484.00     1.00 $     46,608.96 05 T03 07/28/2009 EDN 150/FA 75453 T1 A SPEC ED TEACHER              1.00 $     49,448.00     1.00 $     43,157.04 05 T02 07/28/2009 EDN 150/FA 75455 T1 A SPEC ED TEACHER              1.00 $     43,157.00     1.00 $     44,452.08 05 T02 07/28/2009 EDN 150/FA 75487 T1 A SPEC ED TEACHER              1.00 $     46,609.00     1.00 $     46,608.96 05 T03 07/28/2009 EDN 150/FA 75492 T1 A SPEC ED TEACHER              1.00 $     53,483.00     1.00 $     48,008.16 05 T03 07/28/2009 EDN 150/FA 75503 T1 A SPEC ED TEACHER              1.00 $     44,452.00     1.00 $     40,566.96 05 A02 07/28/2009 EDN 150/FA 75536 T1 A GEN EDUC/ARTICLE VI TCHR              1.00 $     62,550.00     1.00 $     46,608.96 05 T03 07/28/2009 EDN 150/FA 75646 T1 A SPEC ED TEACHER              1.00 $     53,483.00     1.00 $     43,157.04 05 T02 07/28/2009 EDN 150/FA 75686 T1 A SPEC ED TEACHER              1.00 $     49,448.00     1.00 $     48,008.16 05 T03 07/28/2009 EDN 150/FA 75725 J1 A SPEC ED TEACHER              1.00 $     52,968.00     1.00 $     46,608.96 05 T03 07/28/2009 EDN 150/FA 75838 T1 A SPEC ED TEACHER              1.00 $     43,157.00     1.00 $     48,008.16 05 T03 07/28/2009 EDN 150/FA 75848 T1 A SPEC ED TEACHER              1.00 $     43,157.00     1.00 $     43,157.04 05 T02 07/28/2009 EDN 150/FA 75929 J1 A GEN EDUC/ARTICLE VI TCHR              1.00 $     54,263.00     1.00 $     40,566.96 05 A02 07/28/2009 EDN 150/FA 75941 J1 A GEN EDUC/ARTICLE VI TCHR              1.00 $     48,008.00     1.00 $     46,608.96 05 T03 07/28/2009 EDN 150/FA 76077 J1 A SPEC ED TCHR/PRE‐SCHOOL              1.00 $     60,729.00     1.00 $     43,157.04 05 T02 07/28/2009 EDN 150/FA 76325 T1 A SPEC ED TEACHER              1.00 $     46,609.00     1.00 $     40,566.96 05 A02 07/28/2009 EDN 150/FA 76330 J1 A SPEC ED TEACHER              1.00 $     32,713.00     1.00 $     43,157.04 05 T02 07/28/2009 EDN 150/FA 72796 J1 A SPEC ED TEACHER              1.00 $     43,157.00     1.00 $     43,157.04 05 T02 07/28/2009 EDN 150/FB 60267 J1 A SPECIAL SCH TEACHER              1.00 $     50,493.00     1.00 $     32,712.96 05 T02 07/28/2009 EDN 150/FB 75020 J1 A SPECIAL SCH TEACHER              1.00 $     51,426.00     1.00 $     43,157.04 05 T02 07/28/2009 EDN 150/NB 79204 T1 N DIST OFF TCHR              1.00 $     43,157.04     1.00 $     43,157.04 05 T02 07/28/2009 EDN 150/NB 79501 T1 N DIST OFF TCHR              1.00 $     43,157.04     1.00 $     43,157.04 05 T02 07/28/2009 EDN 150/NB 79538 T1 N DIST OFF TCHR              1.00 $     32,712.96     1.00 $     32,712.96 05 T02 Page 91 2011 Budget Briefing
  • 152.
    Department of Education Table 13 New Hires New Hire  Position  Perm/  Budgeted  Budgeted  Actual  BU  SR  Effective Date Prog ID/Org Number Temp MOF Position Title FTE  Salary  FTE  Actual Salary  Code Level 07/28/2009 EDN 150/SA 30409 J1 A SPEECH PATHOLOGIST II              1.00 $     57,999.00     1.00 $     38,988.00 13 SR18 07/28/2009 EDN 150/SA 33038 J1 A SPEECH PATHOLOGIST II              1.00 $     67,070.00     1.00 $     38,988.00 13 SR18 07/28/2009 EDN 150/SA 56044 J1 A SPEECH PATHOLOGIST II              1.00 $     57,999.00     1.00 $     38,988.00 13 SR18 07/28/2009 EDN 150/SA 56256 J1 A SPEECH PATHOLOGIST IV              1.00 $     60,315.00     1.00 $     45,576.00 13 SR22 07/28/2009 EDN 150/YC 58543 J1 A BEHAVIORAL HLTH SPCLT IV              1.00 $     45,576.00     1.00 $     49,332.00 13 SR22 07/28/2009 EDN 150/YK 117615 T1 A SCHOOL HEALTH AIDE              1.00 $     24,786.00     1.00 $     18,078.00 03 SR09 07/28/2009 EDN 150/YK 801370 T1 A SCHOOL HEALTH AIDE              1.00 $     18,873.00     1.00 $     26,707.20 63 SR09 07/28/2009 EDN 200/GN 72467 J1 A COMPLEX AREA TEACHER              1.00 $     48,008.16     1.00 $     48,008.16 05 T03 07/29/2009 EDN 100/AA 30636 J1 A SCHOOL SECURITY ATTENDANT              1.00 $     25,213.00     1.00 $     20,539.92 03 SR07 07/29/2009 EDN 100/AA 30679 J1 A SCHOOL SECURITY ATTENDANT              1.00 $     25,213.00     1.00 $     20,539.92 03 SR07 07/29/2009 EDN 100/AA 57664 J1 A SCHOOL SECURITY ATTENDANT              1.00 $     25,213.00     1.00 $     20,539.92 03 SR07 07/29/2009 EDN 100/AA 59935 T1 A SCHOOL SECURITY ATTENDANT              0.88 $     22,187.00     0.88 $     17,972.43 03 SR07 07/29/2009 EDN 100/AA 60927 J1 A ELEM TEACHER              1.00 $     56,257.00     1.00 $     43,157.04 05 T02 07/29/2009 EDN 100/AA 67259 J1 A ELEM TEACHER              1.00 $     56,257.00     1.00 $     46,608.96 05 T03 07/29/2009 EDN 100/AA 801145 T1 A SCHOOL SECURITY ATTENDANT              1.00 $     25,213.00     1.00 $     20,539.92 03 SR07 07/29/2009 EDN 100/AA 801234 T1 A EDUC ASST III              1.00 $     29,647.00     1.00 $     25,030.08 03 SR12 07/29/2009 EDN 100/AA 801236 T1 A EDUC ASST III              1.00 $     29,647.00     1.00 $     25,030.08 03 SR12 07/29/2009 EDN 100/AA 801237 T1 A EDUC ASST II              1.00 $     29,647.00     1.00 $     23,130.00 03 SR10 07/29/2009 EDN 100/AA 801361 T1 A EDUC ASST III              0.75 $     22,235.00     0.75 $     17,347.50 03 SR10 07/29/2009 EDN 150/FA 52678 J1 A EDUC ASST II              0.75 $     19,599.00     0.75 $     17,347.50 03 SR10 07/29/2009 EDN 150/FA 52755 J1 A EDUC ASST II              0.88 $     30,054.00     0.88 $     20,238.75 03 SR10 07/29/2009 EDN 150/FA 56845 T1 A EDUC ASST II              1.00 $     30,506.00     1.00 $     23,130.00 03 SR10 07/29/2009 EDN 150/FA 57070 J1 A EDUC ASST II              1.00 $     26,131.00     1.00 $     23,130.00 03 SR10 07/29/2009 EDN 150/FA 57342 T1 A EDUC ASST II              0.75 $     19,599.00     0.75 $     17,347.50 03 SR10 07/29/2009 EDN 150/FA 57575 T1 A EDUC ASST I              0.50 $     22,865.00     0.88 $     18,716.25 03 SR08 07/29/2009 EDN 150/FA 57581 T1 A EDUC ASST III              0.88 $     22,865.00     0.88 $     21,901.32 03 SR12 07/29/2009 EDN 150/FA 58770 J1 A EDUC ASST II              1.00 $     29,368.00     1.00 $     23,130.00 03 SR10 07/29/2009 EDN 150/FA 800103 T1 A EDUC ASST II              1.00 $     28,209.00     1.00 $     23,130.00 03 SR10 07/29/2009 EDN 150/FA 800167 T1 A EDUC ASST III              1.00 $     26,131.00     1.00 $     25,030.08 03 SR12 07/29/2009 EDN 150/FA 800499 T1 A EDUC ASST III              1.00 $     26,131.00     1.00 $     25,667.20 63 SR08 07/29/2009 EDN 150/FA 800499 T1 A EDUC ASST II              1.00 $     26,131.00     1.00 $     23,130.00 03 SR10 07/29/2009 EDN 150/FA 800514 T1 A EDUC ASST I              1.00 $     28,209.00     1.00 $     21,390.00 03 SR08 07/29/2009 EDN 150/FA 800611 J1 A EDUC ASST I              1.00 $     26,131.00     1.00 $     21,390.00 03 SR08 07/29/2009 EDN 150/FA 801259 T1 A EDUC ASST III              1.00 $     26,131.00     1.00 $     25,030.08 03 SR12 Page 92 2011 Budget Briefing
  • 153.
    Department of Education Table 13 New Hires New Hire  Position  Perm/  Budgeted  Budgeted  Actual  BU  SR  Effective Date Prog ID/Org Number Temp MOF Position Title FTE  Salary  FTE  Actual Salary  Code Level 07/29/2009 EDN 150/FA 801295 T1 A EDUC ASST III              1.00 $     26,131.00     0.75 $     18,772.56 03 SR12 07/29/2009 EDN 150/NB 800355 T1 N EDUC ASST I              1.00 $     21,390.00     1.00 $     21,390.00 03 SR08 07/29/2009 EDN 150/SA 30506 J1 A COMMUNICATION AID              0.75 $     25,761.00     0.75 $     18,772.56 03 SR12 07/29/2009 EDN 400/MD 35836 T1 N CAFETERIA HELPER              0.50 $     16,614.00     0.50 $     16,614.00 01 BC02 07/29/2009 EDN 400/MD 41109 J1 B CAFETERIA HELPER              0.50 $     16,614.00     0.50 $     16,614.00 01 BC02 07/29/2009 EDN 400/MD 41113 T1 N CAFETERIA HELPER              0.50 $     16,614.00     0.50 $     16,614.00 01 BC02 07/29/2009 EDN 400/MD 44465 J1 B CAFETERIA HELPER              0.50 $     16,614.00     0.50 $     16,614.00 01 BC02 07/29/2009 EDN 400/MD 45866 T1 N CAFETERIA HELPER              0.50 $     16,614.00     0.50 $     16,614.00 01 BC02 07/29/2009 EDN 400/MD 59680 T1 N CAFETERIA HELPER              0.50 $     16,614.00     0.50 $     16,614.00 01 BC02 07/29/2009 EDN 400/YA 59162 J1 A BUS DRIVER              0.50 $     19,986.00     0.50 $     19,986.00 01 BC07 07/30/2009 EDN 100/AA 61073 J1 A ELEM TEACHER              1.00 $     56,257.00     1.00 $     46,608.96 05 T03 07/30/2009 EDN 100/AA 66340 J1 A ELEM TEACHER              1.00 $     56,257.00     1.00 $     46,608.96 05 T03 07/30/2009 EDN 100/AA 71978 T1 A ELEM TEACHER              1.00 $     56,257.00     1.00 $     48,008.16 05 T03 07/30/2009 EDN 100/AA 73858 T1 A SECONDARY TEACHER              1.00 $     56,257.00     1.00 $     43,157.04 05 T02 07/30/2009 EDN 100/AA 74018 T1 A SECONDARY TEACHER              1.00 $     56,257.00     1.00 $     46,608.96 05 T03 07/30/2009 EDN 100/AA 74485 T1 A SECONDARY TEACHER              1.00 $     56,257.00     1.00 $     40,566.96 05 A02 07/30/2009 EDN 100/AA 76038 J1 A SECONDARY TEACHER              1.00 $     56,257.00     1.00 $     43,157.04 05 T02 07/30/2009 EDN 150/NB 79532 T1 N DIST OFF TCHR              1.00 $     43,157.04     1.00 $     43,157.04 05 T02 07/30/2009 EDN 150/SA 30496 J1 A COMMUNICATION AID              0.50 $     14,684.00     0.50 $     12,515.04 03 SR12 07/31/2009 EDN 100/AA 61856 J1 A LIBRARIAN              1.00 $     56,257.00     1.00 $     43,157.04 05 T02 07/31/2009 EDN 100/AA 69722 J1 A ELEM TEACHER              1.00 $     56,257.00     1.00 $     46,608.96 05 T03 07/31/2009 EDN 100/DB 79249X T1 N SECONDARY TEACHER              1.00 $     40,566.96     1.00 $     40,566.96 05 A02 07/31/2009 EDN 150/FA 72770 J1 A SPEC ED TEACHER              1.00 $     46,609.00     1.00 $     32,712.96 05 T02 07/31/2009 EDN 150/FA 73308 J1 A SPEC ED TEACHER              1.00 $     49,448.00     1.00 $     46,608.96 05 T03 07/31/2009 EDN 400/MD 52960 T1 N CAFETERIA HELPER              0.50 $     16,614.00     0.50 $     16,614.00 01 BC02 08/03/2009 EDN 100/AA 8087 J1 A CLERK TYPIST II              1.00 $     29,865.00     1.00 $     25,667.20 63 SR08 08/03/2009 EDN 100/AA 16646 J1 A SCHOOL CUSTODIAN II              0.50 $     16,942.00     0.50 $     16,614.00 01 BC02 08/03/2009 EDN 100/AA 40512 J1 A CLERK II              1.00 $     29,178.00     1.00 $     23,691.20 63 SR06 08/03/2009 EDN 100/AA 41663 J1 A CLERK TYPIST II              0.50 $     14,933.00     0.50 $     12,833.60 63 SR08 08/03/2009 EDN 100/AA 45219 J1 A SCHOOL CUSTODIAN II              0.50 $     16,942.00     0.50 $     16,614.00 01 BC02 08/03/2009 EDN 100/AA 50897 J1 A CLERK TYPIST II              1.00 $     29,865.00     1.00 $     25,667.20 63 SR08 08/03/2009 EDN 100/AA 59168 J1 A CLERK TYPIST II              0.50 $     14,933.00     0.50 $     12,833.60 63 SR08 08/03/2009 EDN 100/AA 63504 J1 A SECONDARY TEACHER              1.00 $     56,257.00     1.00 $     32,712.96 05 T02 08/03/2009 EDN 100/AA 68145 T1 A ELEM TEACHER              1.00 $     56,257.00     1.00 $     43,157.04 05 T02 Page 93 2011 Budget Briefing
  • 154.
    Department of Education Table 13 New Hires New Hire  Position  Perm/  Budgeted  Budgeted  Actual  BU  SR  Effective Date Prog ID/Org Number Temp MOF Position Title FTE  Salary  FTE  Actual Salary  Code Level 08/03/2009 EDN 100/AA 69339 J1 A ELEM TEACHER              1.00 $     56,257.00     1.00 $     43,157.04 05 T02 08/03/2009 EDN 100/AA 800685 J1 A CLERK TYPIST II              1.00 $     29,865.00     1.00 $     25,667.20 63 SR08 08/03/2009 EDN 100/AA 73199X T1 A ELEM TEACHER              1.00 $     56,257.00     1.00 $     43,157.04 05 T02 08/03/2009 EDN 100/AA 75471X T1 A ELEM TEACHER              1.00 $     56,257.00     1.00 $     46,608.96 05 T03 08/03/2009 EDN 150/FA 55429 J1 A EDUC ASST II              0.50 $     13,577.00     0.50 $     11,565.00 03 SR10 08/03/2009 EDN 150/FA 55437 J1 A EDUC ASST II              0.75 $     21,157.00     0.75 $     17,347.50 03 SR10 08/03/2009 EDN 150/FA 67168 J1 A SPEC ED TCHR/PRE‐SCHOOL              1.00 $     49,448.00     1.00 $     43,157.04 05 T02 08/03/2009 EDN 150/FA 72781 J1 A SPEC ED TEACHER              1.00 $     54,013.00     1.00 $     43,157.04 05 T02 08/03/2009 EDN 150/FA 73839 J1 A SPEC ED TEACHER              1.00 $     45,785.00     1.00 $     43,157.04 05 T02 08/03/2009 EDN 150/FA 801241 T1 A EDUC ASST III              1.00 $     26,131.00     1.00 $     25,030.08 03 SR12 08/03/2009 EDN 150/FA 801283 T1 A EDUC ASST I              1.00 $     26,131.00     1.00 $     21,390.00 03 SR08 08/03/2009 EDN 150/NB 32307 T1 N SCHOOL PSYCHOLOGIST              1.00 $     51,312.00     1.00 $     51,312.00 13 SR24 08/03/2009 EDN 150/NB 79376 T1 N DIST OFF TCHR              1.00 $     43,157.04     1.00 $     43,157.04 05 T02 08/03/2009 EDN 150/YC 800421 J1 A SCHOOL PSYCHOLOGIST              1.00 $     67,428.00     1.00 $     51,312.00 13 SR24 08/03/2009 EDN 150/YK 29432 J1 A SCHOOL HEALTH AIDE              1.00 $     22,920.00     1.00 $     18,078.00 03 SR09 08/03/2009 EDN 150/YK 29479 J1 A SCHOOL HEALTH AIDE              1.00 $     26,839.00     1.00 $     26,707.20 63 SR09 08/03/2009 EDN 400/MD 3646 J1 A SCHOOL COOK II              1.00 $     38,436.00     1.00 $     38,436.00 01 BC06 08/03/2009 EDN 400/MD 800708 J1 B CAFETERIA HELPER              0.50 $     16,614.00     0.50 $     16,619.20 61 BC02 08/04/2009 EDN 150/YC 31503 J1 A SCHOOL PSYCHOLOGIST              1.00 $     46,803.00     1.00 $     51,312.00 13 SR24 08/04/2009 EDN 150/YC 800384 J1 A SCHOOL PSYCHOLOGIST              1.00 $     48,688.00     1.00 $     51,312.00 13 SR24 08/05/2009 EDN 150/FA 63790 J1 A SPEC ED TEACHER              1.00 $     48,008.00     1.00 $     46,608.96 05 T03 08/05/2009 EDN 150/FA 73738 J1 A SPEC ED TEACHER              1.00 $     45,785.00     1.00 $     40,566.96 05 A02 08/05/2009 EDN 150/FA 75698 T1 A SPEC ED TEACHER              1.00 $     49,448.00     1.00 $     40,566.96 05 A02 08/05/2009 EDN 150/FA 801258 T1 A EDUC ASST III              1.00 $     26,131.00     1.00 $     25,030.08 03 SR12 08/06/2009 EDN 100/AA 61344 J1 A ELEM TEACHER              0.50 $     28,128.00     0.50 $     23,304.48 45 T03 08/06/2009 EDN 150/FA 67252 J1 A SPEC ED TEACHER              1.00 $     53,483.00     1.00 $     43,157.04 05 T02 08/06/2009 EDN 150/FA 74075 J1 A SPEC ED TEACHER              1.00 $     40,567.00     1.00 $     46,608.96 05 T03 08/07/2009 EDN 100/BJ 69923 J1 A SECONDARY TEACHER              0.50 $     28,370.00     0.50 $     21,578.52 45 T02 08/07/2009 EDN 150/FA 75840 T1 A SPEC ED TEACHER              1.00 $     40,567.00     1.00 $     32,712.96 05 T02 08/07/2009 EDN 150/SA 58826 J1 A SPEECH PATHOLOGIST II              1.00 $     57,999.00     1.00 $     38,988.00 13 SR18 08/10/2009 EDN 100/AA 30617 J1 A SCHOOL SECURITY ATTENDANT              1.00 $     25,213.00     1.00 $     24,648.00 63 SR07 08/10/2009 EDN 100/AA 63964 J1 A ELEM TEACHER              1.00 $     56,257.00     1.00 $     43,157.04 05 T02 08/10/2009 EDN 100/AA 68583 J1 A SECONDARY TEACHER              1.00 $     56,257.00     1.00 $     43,157.04 05 T02 08/10/2009 EDN 100/AA 68697 J1 A COUNSELOR              1.00 $     56,257.00     1.00 $     46,608.96 05 T03 Page 94 2011 Budget Briefing
  • 155.
    Department of Education Table 13 New Hires New Hire  Position  Perm/  Budgeted  Budgeted  Actual  BU  SR  Effective Date Prog ID/Org Number Temp MOF Position Title FTE  Salary  FTE  Actual Salary  Code Level 08/10/2009 EDN 100/AA 73542X T1 A ELEM TEACHER              1.00 $     56,257.00     1.00 $     46,608.96 05 T03 08/10/2009 EDN 150/FA 68946 J1 A SPEC ED TEACHER              1.00 $     49,448.00     1.00 $     48,008.16 05 T03 08/10/2009 EDN 150/YC 58310 J1 A BEHAVIORAL HLTH SPCLT IV              1.00 $     49,332.00     1.00 $     51,312.00 13 SR22 08/10/2009 EDN 150/YG 59557 J1 A BEHAVIORAL HEALTH SPCLT III              1.00 $     45,576.00     1.00 $     42,132.00 13 SR20 08/10/2009 EDN 300/UA 66355 J1 A TELECOMM DIRECTOR              1.00 $     87,340.00     1.00 $     87,340.08 06 E10 08/11/2009 EDN 100/AA 71059 J1 A ELEM TEACHER              0.50 $     28,128.00     0.50 $     21,578.52 45 T02 08/11/2009 EDN 100/AA 801378 T1 A SCHOOL SECURITY ATTENDANT              1.00 $     25,213.00     1.00 $     24,648.00 63 SR07 08/11/2009 EDN 150/FA 63200 J1 A SPEC ED TEACHER              1.00 $     32,713.00     1.00 $     46,608.96 05 T03 08/11/2009 EDN 150/FA 800928 T1 A EDUC ASST III              0.75 $     19,599.00     0.75 $     18,772.56 03 SR12 08/11/2009 EDN 150/YG 801198 J1 A BEHAVIORAL HLTH SPCLT III              1.00 $     45,576.00     1.00 $     42,132.00 13 SR20 08/12/2009 EDN 100/AA 74302 J1 A SECONDARY TEACHER              1.00 $     56,257.00     1.00 $     32,712.96 05 T02 08/12/2009 EDN 100/AA 67386X T1 A ELEM TEACHER              1.00 $     56,257.00     1.00 $     48,008.16 05 T03 08/12/2009 EDN 100/DB 79845 T1 N SECONDARY TEACHER              1.00 $     43,157.04     1.00 $     43,157.04 05 T02 08/12/2009 EDN 150/FA 71013 J1 A SPEC ED TEACHER              1.00 $     50,493.00     1.00 $     44,452.08 05 T02 08/12/2009 EDN 150/YC 58528 T1 A BEHAVIORAL HLTH SPCLT III              1.00 $     45,576.00     1.00 $     42,132.00 13 SR20 08/13/2009 EDN 100/AA 57659 J1 A SCHOOL SECURITY ATTENDANT              1.00 $     25,213.00     1.00 $     24,648.00 63 SR07 08/13/2009 EDN 150/FA 76153 J1 A GEN EDUC/ARTICLE VI TCHR              1.00 $     45,785.00     1.00 $     40,566.96 05 A02 08/14/2009 EDN 100/DB 79621 T1 N ELEM TEACHER              1.00 $     40,566.96     1.00 $     40,566.96 05 A02 08/17/2009 EDN 100/AA 16412 J1 A SCHOOL CUSTODIAN II              0.50 $     16,942.00     0.50 $     16,619.20 61 BC02 08/17/2009 EDN 100/AA 16603 J1 A SCHOOL CUSTODIAN II              0.50 $     16,942.00     0.50 $     16,619.20 61 BC02 08/17/2009 EDN 100/AA 19098 J1 A CLERK TYPIST II              1.00 $     29,865.00     1.00 $     25,667.20 63 SR08 08/17/2009 EDN 100/AA 26560 J1 A SCHOOL CUSTODIAN II              0.50 $     16,942.00     0.50 $     16,619.20 61 BC02 08/17/2009 EDN 100/AA 30651 J1 A SCHOOL SECURITY ATTENDANT              1.00 $     25,213.00     1.00 $     20,539.92 03 SR07 08/17/2009 EDN 100/AA 53176 J1 A SCHOOL CUSTODIAN II              0.50 $     16,942.00     0.50 $     16,619.20 61 BC02 08/17/2009 EDN 100/AA 56508 J1 A CLERK TYPIST II              0.50 $     14,933.00     0.50 $     12,833.60 63 SR08 08/17/2009 EDN 100/AA 60384 J1 A SECONDARY TEACHER              1.00 $     56,257.00     1.00 $     44,452.08 05 T02 08/17/2009 EDN 100/AA 60517 J1 A ELEM TEACHER              0.50 $     28,128.00     0.50 $     21,578.52 45 T02 08/17/2009 EDN 100/AA 64791 J1 A SECONDARY TEACHER              1.00 $     56,257.00     1.00 $     44,452.08 05 T02 08/17/2009 EDN 100/AA 69800 J1 A ELEM TEACHER              0.50 $     28,128.00     0.50 $     21,578.52 45 T02 08/17/2009 EDN 100/AA 74523 J1 A ELEM TEACHER              1.00 $     56,257.00     1.00 $     43,157.04 05 T02 08/17/2009 EDN 100/AA 66930X T1 A SECONDARY TEACHER              1.00 $     56,257.00     1.00 $     43,157.04 05 T02 08/17/2009 EDN 100/AA 69553X T1 A ELEM TEACHER              1.00 $     56,257.00     1.00 $     43,157.04 05 T02 08/17/2009 EDN 100/AA 74504X T1 A ELEM TEACHER              0.50 $     28,128.00     0.50 $     23,304.48 45 T03 08/17/2009 EDN 100/DB 79945 T1 N ELEM TEACHER              1.00 $     40,566.96     1.00 $     40,566.96 05 A02 Page 95 2011 Budget Briefing
  • 156.
    Department of Education Table 13 New Hires New Hire  Position  Perm/  Budgeted  Budgeted  Actual  BU  SR  Effective Date Prog ID/Org Number Temp MOF Position Title FTE  Salary  FTE  Actual Salary  Code Level 08/17/2009 EDN 150/FA 54501 J1 A EDUC ASST II              0.75 $     22,879.00     0.75 $     17,347.50 03 SR10 08/17/2009 EDN 150/FA 57072 J1 A EDUC ASST II              1.00 $     26,131.00     1.00 $     23,130.00 03 SR10 08/17/2009 EDN 150/FA 57357 T1 A EDUC ASST II              0.75 $     19,599.00     0.75 $     17,347.50 03 SR10 08/17/2009 EDN 150/FA 58995 J1 A EDUC ASST II              0.75 $     22,026.00     0.75 $     17,347.50 03 SR10 08/17/2009 EDN 150/FA 66134 T1 A SPEC ED TEACHER              1.00 $     33,694.00     1.00 $     46,608.96 05 T03 08/17/2009 EDN 150/FA 68320 J1 A SPEC ED TEACHER              1.00 $     51,426.00     1.00 $     48,008.16 05 T03 08/17/2009 EDN 150/FA 71964 J1 A GEN EDUC/ARTICLE VI TCHR              1.00 $     58,336.00     1.00 $     32,712.96 05 T02 08/17/2009 EDN 150/YK 29328 J1 A SCHOOL HEALTH AIDE              1.00 $     21,232.00     1.00 $     18,078.00 03 SR09 08/17/2009 EDN 300/KO 76183 J1 A PERSONNEL SPECIALIST III              1.00 $     80,350.00     1.00 $     80,350.08 56 E08 08/17/2009 EDN 400/OC 25625 J1 A POWER MOWER OPERATOR I              1.00 $     34,164.00     1.00 $     34,174.40 61 BC03 08/18/2009 EDN 100/AA 37534 T1 A EDUC ASST II              0.50 $     14,824.00     0.50 $     11,565.00 03 SR10 08/18/2009 EDN 100/AA 64980 J1 A SECONDARY TEACHER              1.00 $     56,257.00     1.00 $     46,608.96 05 T03 08/18/2009 EDN 100/AA 75769X T1 A ELEM TEACHER              1.00 $     56,257.00     1.00 $     46,608.96 05 T03 08/18/2009 EDN 150/FA 39848 J1 A EDUC ASST III              1.00 $     30,506.00     1.00 $     25,030.08 03 SR12 08/18/2009 EDN 150/FA 39869 J1 A EDUC ASST II              1.00 $     30,506.00     1.00 $     23,130.00 03 SR10 08/18/2009 EDN 150/FA 62236 J1 A GEN EDUC/ARTICLE VI TCHR              1.00 $     45,785.00     1.00 $     32,712.96 05 T02 08/19/2009 EDN 100/AA 68857 J1 A SECONDARY TEACHER              1.00 $     56,257.00     1.00 $     46,608.96 05 T03 08/19/2009 EDN 100/AA 73238 J1 A SECONDARY TEACHER              1.00 $     56,257.00     1.00 $     32,712.96 05 T02 08/19/2009 EDN 150/SA 55683 J1 A SPEECH PATHOLOGIST II              1.00 $     60,315.00     1.00 $     38,988.00 13 SR18 08/19/2009 EDN 150/YC 30689 J1 A SCHOOL PSYCHOLOGIST              1.00 $     46,803.00     1.00 $     51,312.00 13 SR24 08/20/2009 EDN 100/AA 30677 J1 A SCHOOL SECURITY ATTENDANT              1.00 $     25,213.00     1.00 $     20,539.92 03 SR07 08/20/2009 EDN 100/AA 63998 J1 A SECONDARY TEACHER              1.00 $     56,257.00     1.00 $     43,157.04 05 T02 08/20/2009 EDN 100/DB 79183 T1 N SECONDARY TEACHER              1.00 $     40,566.96     1.00 $     40,566.96 05 A02 08/20/2009 EDN 150/FA 74584 J1 A SPEC ED TEACHER              1.00 $     32,713.00     1.00 $     43,157.04 05 T02 08/24/2009 EDN 100/AA 16414 J1 A SCHOOL CUSTODIAN II              0.50 $     16,942.00     0.50 $     16,619.20 61 BC02 08/24/2009 EDN 100/AA 63112 J1 A SECONDARY TEACHER              0.50 $     28,128.00     0.50 $     21,578.52 45 T02 08/24/2009 EDN 100/AA 68612 J1 A ELEM TEACHER              1.00 $     56,257.00     1.00 $     43,157.04 05 T02 08/24/2009 EDN 100/AA 801382 J1 A SCHOOL CUSTODIAN II              0.50 $     16,942.00     0.50 $     16,619.20 61 BC02 08/24/2009 EDN 100/AA 75339X T1 A ELEM TEACHER              1.00 $     56,257.00     1.00 $     40,566.96 05 A02 08/24/2009 EDN 150/FA 57159 T1 A EDUC ASST III              1.00 $     28,209.00     1.00 $     25,030.08 03 SR12 08/24/2009 EDN 150/FA 62020 J1 A SPEC ED TEACHER              1.00 $     45,785.00     1.00 $     43,157.04 05 T02 08/24/2009 EDN 150/FA 71275 J1 A SPEC ED TEACHER              1.00 $     58,959.00     1.00 $     40,566.96 05 A02 08/24/2009 EDN 150/FA 73891 J1 A SPEC ED TCHR/PRE‐SCHOOL              1.00 $     43,157.00     1.00 $     46,608.96 05 T03 08/25/2009 EDN 100/AA 69301 J1 A ELEM TEACHER              1.00 $     56,257.00     1.00 $     46,608.96 05 T03 Page 96 2011 Budget Briefing
  • 157.
    Department of Education Table 13 New Hires New Hire  Position  Perm/  Budgeted  Budgeted  Actual  BU  SR  Effective Date Prog ID/Org Number Temp MOF Position Title FTE  Salary  FTE  Actual Salary  Code Level 08/25/2009 EDN 100/AA 74059 J1 A ELEM TEACHER              1.00 $     56,257.00     1.00 $     46,608.96 05 T03 08/25/2009 EDN 150/FA 801347 T1 A EDUC ASST II              1.00 $     26,131.00     1.00 $     23,130.00 03 SR10 08/25/2009 EDN 150/FA 801348 T1 A EDUC ASST II              1.00 $     26,131.00     1.00 $     23,130.00 03 SR10 08/26/2009 EDN 100/AA 63312X T1 A ELEM TEACHER              1.00 $     56,257.00     1.00 $     40,566.96 05 A02 08/26/2009 EDN 150/FA 72581 J1 A SPEC ED TEACHER              1.00 $     48,008.00     1.00 $     40,566.96 05 A02 08/26/2009 EDN 400/MD 801152 J1 B CLERK TYPIST II              0.50 $     16,614.00     1.00 $     25,667.20 63 SR08 08/27/2009 EDN 100/BM 801115 J1 A ATHLETIC HLTH CARE TRAINER              0.50 $     22,788.00     0.50 $     22,786.40 73 SR22 08/27/2009 EDN 150/FA 52745 J1 A EDUC ASST II              1.00 $     31,769.00     1.00 $     23,130.00 03 SR10 08/28/2009 EDN 100/AA 16498 J1 A SCHOOL CUSTODIAN II              0.50 $     16,942.00     0.50 $     16,619.20 61 BC02 08/28/2009 EDN 100/DB 79781 T1 N ELEM TEACHER              1.00 $     40,566.96     1.00 $     40,566.96 05 A02 08/28/2009 EDN 150/FA 69274 T1 A SPEC ED TEACHER              1.00 $     44,452.00     1.00 $     43,157.04 05 T02 08/28/2009 EDN 150/FA 800195 T1 A EDUC ASST II              1.00 $     26,131.00     1.00 $     23,130.00 03 SR10 08/31/2009 EDN 100/AA 55688 T1 A EDUC ASST III              1.00 $     29,647.00     1.00 $     25,030.08 03 SR12 08/31/2009 EDN 100/AA 67307 J1 A SECONDARY TEACHER              1.00 $     56,257.00     1.00 $     43,157.04 05 T02 08/31/2009 EDN 100/AA 66041X T1 A ELEM TEACHER              1.00 $     56,257.00     1.00 $     46,608.96 05 T03 09/01/2009 EDN 100/AA 11130 J1 A CLERK TYPIST II              1.00 $     29,865.00     1.00 $     25,667.20 63 SR08 09/01/2009 EDN 100/AA 16461 J1 A SCHOOL CUSTODIAN II              0.50 $     16,942.00     0.50 $     16,614.00 01 BC02 09/01/2009 EDN 100/AA 18689 J1 A SCHOOL CUSTODIAN II              0.50 $     16,942.00     0.50 $     16,614.00 01 BC02 09/01/2009 EDN 100/AA 31919 J1 A SCHOOL CUSTODIAN II              0.50 $     16,942.00     0.50 $     16,619.20 61 BC02 09/01/2009 EDN 100/AA 41901 J1 A CLERK TYPIST II              0.50 $     14,933.00     0.50 $     12,833.60 63 SR08 09/01/2009 EDN 100/AA 59143 J1 A SCHOOL CUSTODIAN II              0.50 $     16,942.00     0.50 $     16,619.20 61 BC02 09/01/2009 EDN 100/AA 64920 J1 A SECONDARY TEACHER              1.00 $     56,257.00     1.00 $     46,608.96 05 T03 09/01/2009 EDN 100/AA 801141 T1 A SCHOOL CUSTODIAN II              0.50 $     16,942.00     0.50 $     16,614.00 01 BC02 09/01/2009 EDN 100/AA 801300 J1 A CLERK TYPIST II              0.50 $     14,933.00     0.50 $     12,833.60 63 SR08 09/01/2009 EDN 100/AA 801346 T1 A LIBRARY ASSISTANT II              1.00 $     30,478.00     1.00 $     22,776.00 03 SR05 09/01/2009 EDN 100/AA 801406 T1 A EDUC ASST III              1.00 $     29,647.00     1.00 $     25,030.08 03 SR12 09/01/2009 EDN 100/AA 801419 J1 A SCHOOL CUSTODIAN II              1.00 $     33,885.00     1.00 $     33,238.40 61 BC02 09/01/2009 EDN 100/AA 75709X T1 A ELEM TEACHER              1.00 $     56,257.00     1.00 $     46,608.96 05 T03 09/01/2009 EDN 100/BM 49172 J1 A ATHLETIC HLTH CARE TRAINER              1.00 $     47,412.00     1.00 $     45,572.80 73 SR22 09/01/2009 EDN 100/BM 800258 J1 A ATHLETIC HLTH CARE TRAINER              1.00 $     49,332.00     1.00 $     45,576.00 13 SR22 09/01/2009 EDN 150/FA 67550 J1 A SPEC ED TEACHER              1.00 $     45,785.00     1.00 $     43,157.04 05 T02 09/01/2009 EDN 150/FA 71961 J1 A SPEC ED TEACHER              1.00 $     45,785.00     1.00 $     46,608.96 05 T03 09/01/2009 EDN 150/NB 79505 T1 N 12‐MO DIST OFF TCHR              1.00 $     46,608.96     1.00 $     46,608.96 05 T03 09/01/2009 EDN 150/YG 59560 J1 A BEHAVIORAL HLTH SPCLT IV              1.00 $     49,332.00     1.00 $     47,412.00 13 SR22 Page 97 2011 Budget Briefing
  • 158.
    Department of Education Table 13 New Hires New Hire  Position  Perm/  Budgeted  Budgeted  Actual  BU  SR  Effective Date Prog ID/Org Number Temp MOF Position Title FTE  Salary  FTE  Actual Salary  Code Level 09/01/2009 EDN 400/MD 59891 T1 N CAFETERIA HELPER              0.50 $     16,614.00     0.50 $     16,614.00 61 BC02 09/01/2009 EDN 400/MD 59892 T1 N CAFETERIA HELPER              0.50 $     16,614.00     0.50 $     16,614.00 61 BC02 09/01/2009 EDN 400/YA 59163 J1 A BUS DRIVER              0.50 $     19,986.00     0.50 $     19,986.00 01 BC07 09/02/2009 EDN 100/AA 61177 J1 A ELEM TEACHER              1.00 $     56,257.00     1.00 $     43,157.04 05 T02 09/02/2009 EDN 150/FA 58122 J1 A EDUC ASST III              0.75 $     19,599.00     0.75 $     18,772.56 03 SR12 09/03/2009 EDN 100/AA 66348X T1 A ELEM TEACHER              1.00 $     56,257.00     1.00 $     43,157.04 05 T02 09/03/2009 EDN 100/AA 72413X T1 A COUNSELOR              0.50 $     28,128.00     0.50 $     23,304.48 45 T03 09/04/2009 EDN 100/AA 31263 J1 A SCHOOL CUSTODIAN II              0.50 $     16,942.00     0.50 $     16,614.00 01 BC02 09/08/2009 EDN 100/AA 64368 J1 A ELEM TEACHER              1.00 $     56,257.00     1.00 $     44,452.08 05 T02 09/08/2009 EDN 100/AA 801349 T1 A SCHOOL SECURITY ATTENDANT              1.00 $     25,213.00     1.00 $     24,648.00 63 SR07 09/08/2009 EDN 100/AA 69847X T1 A ELEM TEACHER              1.00 $     56,257.00     1.00 $     46,608.96 05 T03 09/08/2009 EDN 100/AA 73888X T1 A ELEM TEACHER              1.00 $     56,257.00     1.00 $     43,157.04 05 T02 09/08/2009 EDN 100/AA 75468X T1 A ELEM TEACHER              1.00 $     56,257.00     1.00 $     46,608.96 05 T03 09/08/2009 EDN 100/BS 73437 T1 A ROTC INSTRUCTOR              1.00 $     82,095.00     1.00 $     76,680.00 55 ROTC 09/08/2009 EDN 100/DB 79877 T1 N SECONDARY TEACHER              1.00 $     46,608.96     1.00 $     46,608.96 05 T03 09/08/2009 EDN 150/FA 57827 T1 A EDUC ASST II              0.75 $     22,879.00     0.75 $     17,347.50 03 SR10 09/08/2009 EDN 150/FA 69432 J1 A SPEC ED TEACHER              1.00 $     80,465.00     1.00 $     43,157.04 05 T02 09/08/2009 EDN 150/FA 800604 T1 A EDUC ASST III              1.00 $     26,131.00     1.00 $     25,030.08 03 SR12 09/08/2009 EDN 150/FA 801368 T1 A EDUC ASST III              1.00 $     26,131.00     1.00 $     25,030.08 03 SR12 09/08/2009 EDN 150/SA 30419 J1 A SPEECH PATHOLOGIST IV              1.00 $     69,236.00     1.00 $     45,576.00 13 SR22 09/08/2009 EDN 150/SA 56275 J1 A SPEECH PATHOLOGIST IV              1.00 $     60,315.00     1.00 $     45,576.00 13 SR22 09/09/2009 EDN 100/AA 69961 J1 A ELEM TEACHER              1.00 $     56,257.00     1.00 $     43,157.04 05 T02 09/09/2009 EDN 100/AA 65581X T1 A SECONDARY TEACHER              1.00 $     56,257.00     1.00 $     46,608.96 05 T03 09/09/2009 EDN 150/FA 55725 J1 A EDUC ASST II              1.00 $     27,154.00     1.00 $     23,130.00 03 SR10 09/10/2009 EDN 100/AA 65547 J1 A SECONDARY TEACHER              1.00 $     56,257.00     1.00 $     44,452.08 05 T02 09/10/2009 EDN 100/AA 75584X T1 A ELEM TEACHER              1.00 $     56,257.00     1.00 $     46,608.96 05 T03 09/10/2009 EDN 150/FA 74672 J1 A SPEC ED TEACHER              1.00 $     48,008.00     1.00 $     43,157.04 05 T02 09/10/2009 EDN 150/NB 79262 T1 N DIST OFF TCHR              1.00 $     43,157.04     1.00 $     43,157.04 05 T02 09/14/2009 EDN 100/AA 8087 J1 A CLERK TYPIST II              1.00 $     29,865.00     1.00 $     25,667.20 63 SR08 09/14/2009 EDN 100/AA 64190X T1 A ELEM TEACHER              1.00 $     56,257.00     1.00 $     43,157.04 05 T02 09/14/2009 EDN 100/AA 67190X T1 A ELEM TEACHER              1.00 $     56,257.00     1.00 $     46,608.96 05 T03 09/14/2009 EDN 100/AA 69894X J1 A SECONDARY TEACHER              1.00 $     56,257.00     1.00 $     48,008.16 05 T03 09/14/2009 EDN 100/AA 69894X T1 A SECONDARY TEACHER              1.00 $     56,257.00     1.00 $     32,712.96 05 T02 09/14/2009 EDN 150/FA 61859 J1 A SPEC ED TCHR/PRE‐SCHOOL              1.00 $     43,157.00     1.00 $     43,157.04 05 T02 Page 98 2011 Budget Briefing
  • 159.
    Department of Education Table 13 New Hires New Hire  Position  Perm/  Budgeted  Budgeted  Actual  BU  SR  Effective Date Prog ID/Org Number Temp MOF Position Title FTE  Salary  FTE  Actual Salary  Code Level 09/14/2009 EDN 150/FA 65945 J1 A SPEC ED TEACHER              1.00 $     48,008.00     1.00 $     32,712.96 05 T02 09/14/2009 EDN 150/FA 801314 T1 A EDUC ASST II              1.00 $     26,131.00     1.00 $     23,130.00 03 SR10 09/14/2009 EDN 150/NB 801027 T1 N EDUC ASST II              1.00 $     23,130.00     1.00 $     23,130.00 03 SR10 09/14/2009 EDN 150/SA 801326 J1 A EDUCATIONAL INTERPRETER II              1.00 $     43,680.00     1.00 $     32,424.00 03 SR14 09/15/2009 EDN 100/AA 22418 J1 A SCHOOL CUSTODIAN II              0.50 $     16,942.00     0.50 $     16,614.00 01 BC02 09/15/2009 EDN 150/FA 69535 J1 A SPEC ED TEACHER              1.00 $     49,448.00     1.00 $     48,008.16 05 T03 09/15/2009 EDN 150/FA 800160 T1 A EDUC ASST I              0.75 $     19,599.00     0.75 $     16,042.50 03 SR08 09/15/2009 EDN 150/YC 58393 J1 A BEHAVIORAL HLTH SPCLT IV              1.00 $     47,412.00     1.00 $     42,140.80 73 SR20 09/15/2009 EDN 150/YC 58464 J1 A BEHAVIORAL HLTH SPCLT III              1.00 $     57,708.00     1.00 $     42,132.00 13 SR20 09/16/2009 EDN 100/AA 24405 J1 A SCHOOL CUSTODIAN III              1.00 $     33,885.00     1.00 $     35,544.00 01 WS02 09/16/2009 EDN 100/AA 40514 J1 A CLERK TYPIST II              0.50 $     14,933.00     0.50 $     12,833.60 63 SR08 09/16/2009 EDN 100/AA 59021 J1 A SCHOOL SECURITY ATTENDANT              1.00 $     25,213.00     1.00 $     20,539.92 03 SR07 09/16/2009 EDN 100/AA 60288 J1 A ELEM TEACHER              1.00 $     56,257.00     1.00 $     46,608.96 05 T03 09/16/2009 EDN 100/BM 800790 J1 A ATHLETIC HLTH CARE TRAINER              1.00 $     45,576.00     1.00 $     45,572.80 73 SR22 09/16/2009 EDN 150/FA 29652 J1 A EDUC ASST III              1.00 $     26,131.00     1.00 $     25,030.08 03 SR12 09/16/2009 EDN 150/FA 55446 J1 A EDUC ASST II              0.75 $     19,599.00     0.75 $     17,347.50 03 SR10 09/16/2009 EDN 150/FA 56863 J1 A EDUC ASST III              1.00 $     26,131.00     1.00 $     25,030.08 03 SR12 09/16/2009 EDN 400/MD 2043 J1 A SCHOOL FOOD SERVICES MGR III              1.00 $     49,391.00     1.00 $     42,576.00 02 F106 09/16/2009 EDN 400/MD 55387 J1 B CAFETERIA HELPER              0.50 $     16,614.00     0.50 $     16,619.20 61 BC02 09/17/2009 EDN 100/AA 60242X T1 A SECONDARY TEACHER              1.00 $     56,257.00     1.00 $     40,566.96 05 A02 09/17/2009 EDN 150/FA 34903 J1 A EDUC ASST II              1.00 $     27,154.00     1.00 $     23,130.00 03 SR10 09/17/2009 EDN 150/YC 800430 J1 A SCHOOL PSYCHOLOGIST              1.00 $     58,716.00     1.00 $     51,312.00 13 SR24 09/18/2009 EDN 100/AA 64911 J1 A SECONDARY TEACHER              1.00 $     56,257.00     1.00 $     46,608.96 05 T03 09/21/2009 EDN 100/AA 64113 J1 A SECONDARY TEACHER              1.00 $     56,257.00     1.00 $     46,608.96 05 T03 09/21/2009 EDN 100/AA 60760X T1 A ELEM TEACHER              1.00 $     56,257.00     1.00 $     43,157.04 05 T02 09/22/2009 EDN 100/AA 33123 J1 A SCHOOL SECURITY ATTENDANT              1.00 $     25,213.00     1.00 $     20,539.92 03 SR07 09/22/2009 EDN 150/FA 800963 J1 A EDUC ASST III              0.50 $     13,066.00     0.50 $     12,515.04 03 SR12 09/22/2009 EDN 150/SA 47336 J1 A SPEECH PATHOLOGIST II              1.00 $     66,092.00     1.00 $     38,979.20 73 SR18 09/23/2009 EDN 100/AA 72687 J1 A SECONDARY TEACHER              1.00 $     56,257.00     1.00 $     46,608.96 05 T03 09/23/2009 EDN 150/FA 56970 T1 A EDUC ASST III              1.00 $     28,209.00     1.00 $     25,030.08 03 SR12 09/23/2009 EDN 150/FA 58814 T1 A EDUC ASST III              1.00 $     26,131.00     1.00 $     25,030.08 03 SR12 09/23/2009 EDN 150/NB 79469 T1 N DIST OFF TCHR              1.00 $     43,157.04     1.00 $     43,157.04 05 T02 09/25/2009 EDN 150/SA 56278 J1 A SPEECH PATHOLOGIST II              1.00 $     60,315.00     1.00 $     38,988.00 13 SR18 09/28/2009 EDN 100/AA 23280 J1 A EDUC ASST III              1.00 $     29,647.00     1.00 $     25,030.08 03 SR12 Page 99 2011 Budget Briefing
  • 160.
    Department of Education Table 13 New Hires New Hire  Position  Perm/  Budgeted  Budgeted  Actual  BU  SR  Effective Date Prog ID/Org Number Temp MOF Position Title FTE  Salary  FTE  Actual Salary  Code Level 09/28/2009 EDN 100/AA 801394 T1 A DP USER SUPPORT TECH II              1.00 $     37,923.00     1.00 $     33,758.40 63 SR15 09/28/2009 EDN 100/AA 801395 T1 A DP USER SUPPORT TECH II              1.00 $     37,923.00     1.00 $     33,758.40 63 SR15 09/28/2009 EDN 100/AA 61857X T1 A ELEM TEACHER              1.00 $     56,257.00     1.00 $     46,608.96 05 T03 09/28/2009 EDN 100/AA 62380X T1 A ELEM TEACHER              1.00 $     56,257.00     1.00 $     46,608.96 05 T03 09/28/2009 EDN 100/AA 63928X T1 A ELEM TEACHER              1.00 $     56,257.00     1.00 $     46,608.96 05 T03 09/28/2009 EDN 100/AA 64230X T1 A ELEM TEACHER              1.00 $     56,257.00     1.00 $     43,157.04 05 T02 09/28/2009 EDN 100/BM 801414 J1 A ATHLETIC HLTH CARE TRAINER              1.00 $     45,576.00     1.00 $     45,576.00 13 SR22 09/28/2009 EDN 100/DB 79567 T1 N ELEM TEACHER              1.00 $     46,608.96     1.00 $     46,608.96 05 T03 09/28/2009 EDN 150/FA 65425 J1 A SPEC ED TEACHER              1.00 $     43,157.00     1.00 $     48,008.16 05 T03 09/28/2009 EDN 150/YC 800444 J1 A SCHOOL PSYCHOLOGIST              1.00 $     67,428.00     1.00 $     51,312.00 13 SR24 09/29/2009 EDN 150/FA 69370 J1 A SPEC ED TEACHER              1.00 $     55,622.00     1.00 $     46,608.96 05 T03 09/30/2009 EDN 100/AA 68284 J1 A ELEM TEACHER              1.00 $     56,257.00     1.00 $     46,608.96 05 T03 09/30/2009 EDN 150/SA 46663 J1 A SPEECH PATHOLOGIST IV              1.00 $     67,194.00     1.00 $     45,576.00 13 SR22 10/01/2009 EDN 100/AA 16331 J1 A SCHOOL CUSTODIAN II              1.00 $     33,885.00     1.00 $     33,228.00 01 BC02 10/01/2009 EDN 100/AA 22405 J1 A SCHOOL CUSTODIAN II              0.50 $     16,942.00     0.50 $     16,614.00 01 BC02 10/01/2009 EDN 100/AA 24402 J1 A SCHOOL CUSTODIAN II              0.50 $     16,942.00     0.50 $     16,614.00 01 BC02 10/01/2009 EDN 100/AA 59966 T1 A SCHOOL CUSTODIAN II              0.50 $     16,942.00     0.50 $     16,614.00 01 BC02 10/01/2009 EDN 100/AA 72533 J1 A SECONDARY TEACHER              1.00 $     56,257.00     1.00 $     46,608.96 05 T03 10/01/2009 EDN 100/AA 800295 J1 A EDUC ASST II              0.50 $     14,824.00     0.50 $     11,565.00 03 SR10 10/01/2009 EDN 100/AA 801142 T1 A SCHOOL CUSTODIAN II              0.50 $     16,942.00     0.50 $     16,614.00 01 BC02 10/01/2009 EDN 100/AA 801386 T1 A EDUC ASST II              0.75 $     22,235.00     0.75 $     17,347.50 03 SR10 10/01/2009 EDN 100/AA 801403 T1 A SCHOOL CUSTODIAN II              1.00 $     33,885.00     1.00 $     33,228.00 61 BC02 10/01/2009 EDN 150/FA 53011 J1 A EDUC ASST III              0.63 $     19,066.00     0.63 $     15,643.80 03 SR12 10/01/2009 EDN 150/FA 56735 T1 A EDUC ASST II              0.75 $     20,366.00     0.75 $     17,347.50 03 SR10 10/01/2009 EDN 150/FA 57651 J1 A EDUC ASST III              1.00 $     28,209.00     1.00 $     25,030.08 03 SR12 10/01/2009 EDN 150/FA 800555 T1 A EDUC ASST III              0.50 $     13,066.00     0.50 $     12,515.04 03 SR12 10/01/2009 EDN 150/NB 58148 T1 N EDUC ASST III              1.00 $     25,030.08     1.00 $     25,030.08 03 SR12 10/01/2009 EDN 150/YC 58369 J1 A BEHAVIORAL HLTH SPCLT III              1.00 $     45,576.00     1.00 $     42,132.00 13 SR20 10/01/2009 EDN 400/MB 59553 T1 N ACCOUNTANT IV              1.00 $     53,352.00     1.00 $     42,132.00 73 SR22 10/01/2009 EDN 400/MD 52479 J1 A SCHOOL COOK II              1.00 $     38,436.00     1.00 $     38,436.00 01 BC06 10/02/2009 EDN 100/AA 64107 J1 A SECONDARY TEACHER              1.00 $     56,257.00     1.00 $     46,608.96 05 T03 10/02/2009 EDN 100/AA 74244X T1 A SECONDARY TEACHER              1.00 $     56,257.00     1.00 $     43,157.04 05 T02 10/02/2009 EDN 150/FA 800659 T1 A EDUC ASST III              1.00 $     26,131.00     1.00 $     25,030.08 03 SR12 10/02/2009 EDN 150/NB 801356 T1 N EDUC ASST II              1.00 $     23,130.00     1.00 $     23,130.00 03 SR10 Page 100 2011 Budget Briefing
  • 161.
    Department of Education Table 13 New Hires New Hire  Position  Perm/  Budgeted  Budgeted  Actual  BU  SR  Effective Date Prog ID/Org Number Temp MOF Position Title FTE  Salary  FTE  Actual Salary  Code Level 10/05/2009 EDN 100/AA 801140 T1 A SCHOOL CUSTODIAN II              0.50 $     16,942.00     0.50 $     16,614.00 01 BC02 10/06/2009 EDN 150/YC 58360 J1 A BEHAVIORAL HLTH SPCLT III              1.00 $     53,352.00     1.00 $     42,132.00 73 SR20 10/12/2009 EDN 100/AA 56071 T1 A CLERK III              0.50 $     14,589.00     0.50 $     12,834.00 63 SR08 10/12/2009 EDN 100/AA 60322 J1 A SECONDARY TEACHER              1.00 $     56,257.00     1.00 $     32,712.96 05 T02 10/12/2009 EDN 100/AA 65004 J1 A LIBRARIAN              0.50 $     28,128.00     0.50 $     23,304.00 45 T03 10/12/2009 EDN 100/AA 69729 J1 A SECONDARY TEACHER              1.00 $     56,257.00     1.00 $     43,157.04 05 T02 10/12/2009 EDN 100/AA 73842 J1 A SECONDARY TEACHER              1.00 $     56,257.00     1.00 $     43,157.04 05 T02 10/12/2009 EDN 150/FA 27608 J1 A EDUC ASST III              0.50 $     13,066.00     0.50 $     12,515.04 03 SR12 10/12/2009 EDN 150/FA 28474 J1 A EDUC ASST III              0.75 $     19,599.00     0.75 $     18,772.56 03 SR12 10/12/2009 EDN 150/FA 46939 J1 A EDUC ASST II              1.00 $     31,769.00     0.75 $     17,347.50 03 SR10 10/12/2009 EDN 150/FA 56944 J1 A EDUC ASST III              1.00 $     30,506.00     1.00 $     25,030.08 03 SR12 10/12/2009 EDN 150/FA 57302 T1 A EDUC ASST II              0.75 $     19,599.00     0.75 $     17,347.50 03 SR10 10/12/2009 EDN 150/FA 57691 J1 A EDUC ASST III              0.50 $     13,066.00     0.50 $     12,515.04 03 SR12 10/12/2009 EDN 150/FA 65279 J1 A GEN EDUC/ARTICLE VI TCHR              1.00 $     46,609.00     1.00 $     43,157.04 05 T02 10/12/2009 EDN 150/FA 800562 T1 A EDUC ASST II              0.50 $     13,066.00     0.50 $     11,565.00 03 SR10 10/12/2009 EDN 150/FA 800617 T1 A EDUC ASST III              1.00 $     26,131.00     1.00 $     25,030.08 03 SR12 10/12/2009 EDN 150/FA 800630 T1 A EDUC ASST II              1.00 $     26,131.00     1.00 $     23,130.00 03 SR10 10/12/2009 EDN 150/SA 30494 J1 A COMMUNICATION AID              0.50 $     15,885.00     0.50 $     12,515.04 03 SR12 10/13/2009 EDN 100/AA 61532 J1 A COUNSELOR              1.00 $     56,257.00     1.00 $     46,608.96 05 T03 10/13/2009 EDN 100/AA 62069 J1 A SECONDARY TEACHER              1.00 $     56,257.00     1.00 $     46,608.96 05 T03 10/13/2009 EDN 100/AA 63803 T1 A ELEM TEACHER              1.00 $     56,257.00     1.00 $     46,608.96 05 T03 10/13/2009 EDN 100/AA 64125 J1 A SECONDARY TEACHER              1.00 $     56,257.00     1.00 $     32,712.96 05 T02 10/13/2009 EDN 100/AA 68823 J1 A SECONDARY TEACHER              1.00 $     56,257.00     1.00 $     46,608.96 05 T03 10/13/2009 EDN 100/AA 74243 J1 A SECONDARY TEACHER              1.00 $     56,257.00     1.00 $     32,712.96 05 T02 10/13/2009 EDN 100/AA 75050 J1 A COUNSELOR/HIGH RISK              1.00 $     56,257.00     1.00 $     46,608.96 05 T03 10/13/2009 EDN 100/AA 801005 T1 A EDUC ASST III              1.00 $     29,647.00     1.00 $     25,030.08 03 SR12 10/13/2009 EDN 100/AA 60124X T1 A ELEM TEACHER              1.00 $     56,257.00     1.00 $     46,608.96 05 T03 10/13/2009 EDN 100/AA 60131X T1 A ELEM TEACHER              1.00 $     56,257.00     1.00 $     46,608.96 05 T03 10/13/2009 EDN 100/AA 62347X T1 A SECONDARY TEACHER              1.00 $     56,257.00     1.00 $     46,608.96 05 T03 10/13/2009 EDN 100/AA 66501X T1 A ELEM TEACHER              1.00 $     56,257.00     1.00 $     49,448.16 05 T03 10/13/2009 EDN 100/AA 67439X T1 A ELEM TEACHER              1.00 $     56,257.00     1.00 $     43,157.04 05 T02 10/13/2009 EDN 100/AA 73843X T1 A SECONDARY TEACHER              1.00 $     56,257.00     1.00 $     43,157.04 05 T02 10/13/2009 EDN 100/AA 75073X T1 A COUNSELOR              1.00 $     56,257.00     1.00 $     46,608.96 05 T03 10/13/2009 EDN 100/AA 75313X T1 A ELEM TEACHER              1.00 $     56,257.00     1.00 $     46,608.96 05 T03 Page 101 2011 Budget Briefing
  • 162.
    Department of Education Table 13 New Hires New Hire  Position  Perm/  Budgeted  Budgeted  Actual  BU  SR  Effective Date Prog ID/Org Number Temp MOF Position Title FTE  Salary  FTE  Actual Salary  Code Level 10/13/2009 EDN 150/FA 56678 J1 A EDUC ASST III              0.75 $     19,599.00     0.75 $     18,772.56 03 SR12 10/13/2009 EDN 150/FA 57185 J1 A EDUC ASST II              1.00 $     26,131.00     1.00 $     23,130.00 03 SR10 10/13/2009 EDN 150/FA 61016 J1 A SPEC ED TEACHER              0.50 $     16,847.00     0.50 $     23,304.00 45 T03 10/13/2009 EDN 150/FA 62092 J1 A SPEC ED TEACHER              1.00 $     43,157.00     1.00 $     49,448.16 05 T03 10/13/2009 EDN 150/FA 63828 J1 A SPEC ED TEACHER              1.00 $     46,609.00     1.00 $     32,712.96 05 T02 10/13/2009 EDN 150/FA 64279 J1 A SPEC ED TEACHER              1.00 $     43,157.00     1.00 $     46,608.96 05 T03 10/13/2009 EDN 150/FA 64288 J1 A SPEC ED TEACHER              1.00 $     40,567.00     1.00 $     32,712.96 05 T02 10/13/2009 EDN 150/FA 67106 T1 A GEN EDUC/ARTICLE VI TCHR              1.00 $     49,448.00     1.00 $     46,608.96 05 T03 10/13/2009 EDN 150/FA 68739 T1 A GEN EDUC/ARTICLE VI TCHR              1.00 $     48,008.00     1.00 $     48,008.16 05 T03 10/13/2009 EDN 150/FA 69808 J1 A SPEC ED TEACHER              1.00 $     51,426.00     1.00 $     43,157.04 05 T02 10/13/2009 EDN 150/FA 73673 T1 A SPEC ED TEACHER              1.00 $     43,157.00     1.00 $     43,157.04 05 T02 10/13/2009 EDN 150/FA 75600 J1 A GEN EDUC/ARTICLE VI TCHR              1.00 $     43,157.00     1.00 $     43,157.04 05 T02 10/13/2009 EDN 150/FA 76013 J1 A SPEC ED TEACHER              1.00 $     48,008.00     1.00 $     46,608.96 05 T03 10/13/2009 EDN 150/FA 76052 J1 A SPEC ED TEACHER              1.00 $     52,460.00     1.00 $     44,452.08 05 T02 10/13/2009 EDN 150/FA 76127 T1 A GEN EDUC/ARTICLE VI TCHR              1.00 $     57,291.00     1.00 $     46,608.96 05 T03 10/14/2009 EDN 100/AA 76216X T1 A SECONDARY TEACHER              1.00 $     56,257.00     1.00 $     32,712.96 05 T02 10/14/2009 EDN 150/FA 69892 J1 A SPEC ED TEACHER              1.00 $     52,968.00     1.00 $     46,608.96 05 T03 10/14/2009 EDN 150/FA 73293 T1 A SPEC ED TEACHER              1.00 $     33,694.00     1.00 $     32,712.96 05 T02 10/14/2009 EDN 150/YC 58499 J1 A BEHAVIORAL HLTH SPCLT IV              1.00 $     53,352.00     1.00 $     53,352.00 13 SR22 10/15/2009 EDN 100/AA 801139 T1 A CLERK TYPIST I              0.50 $     14,933.00     0.50 $     11,844.00 63 SR06 10/15/2009 EDN 100/AA 801345 T1 A CLERK TYPIST II              1.00 $     29,865.00     1.00 $     25,668.00 63 SR08 10/15/2009 EDN 100/AA 65639X T1 A SECONDARY TEACHER              1.00 $     56,257.00     1.00 $     32,712.96 05 T02 10/15/2009 EDN 100/AA 67014X T1 A ELEM TEACHER              1.00 $     56,257.00     1.00 $     43,157.04 05 T02 10/15/2009 EDN 150/FA 63134 J1 A SPEC ED TEACHER              1.00 $     54,448.00     1.00 $     49,448.16 05 T03 10/16/2009 EDN 100/AA 59984 T1 A SCHOOL CUSTODIAN II              0.50 $     16,942.00     0.50 $     16,614.00 61 BC02 10/16/2009 EDN 100/AA 801371 T1 A SCHOOL SECURITY ATTENDANT              1.00 $     25,213.00     1.00 $     20,539.92 03 SR07 10/16/2009 EDN 100/AA 72814X T1 A SECONDARY TEACHER              0.50 $     28,128.00     0.50 $     23,304.00 45 T03 10/16/2009 EDN 100/DB 79146 T1 N STATE OFFICE TEACHER              1.00 $     46,608.96     1.00 $     46,608.96 05 T03 10/16/2009 EDN 150/FA 52647 J1 A EDUC ASST III              0.50 $     13,066.00     0.50 $     12,515.04 03 SR12 10/16/2009 EDN 150/FA 57281 T1 A EDUC ASST II              0.75 $     20,366.00     0.75 $     17,347.50 03 SR10 10/16/2009 EDN 150/FA 60509 J1 A SPEC ED TCHR/PRE‐SCHOOL              1.00 $     71,815.00     1.00 $     46,608.96 05 T03 10/16/2009 EDN 150/FA 65242 J1 A SPEC ED TEACHER              1.00 $     53,483.00     1.00 $     46,608.96 05 T03 10/16/2009 EDN 150/FA 74870 J1 A GEN EDUC/ARTICLE VI TCHR              1.00 $     50,493.00     1.00 $     43,157.04 05 T02 10/16/2009 EDN 150/FA 800663 T1 A EDUC ASST II              1.00 $     27,154.00     1.00 $     23,130.00 03 SR10 Page 102 2011 Budget Briefing
  • 163.
    Department of Education Table 13 New Hires New Hire  Position  Perm/  Budgeted  Budgeted  Actual  BU  SR  Effective Date Prog ID/Org Number Temp MOF Position Title FTE  Salary  FTE  Actual Salary  Code Level 10/16/2009 EDN 150/YG 800260 J1 A EDUC ASST III              1.00 $     27,154.00     1.00 $     25,030.08 03 SR12 10/19/2009 EDN 100/AA 66218X T1 A ELEM TEACHER              1.00 $     56,257.00     1.00 $     48,008.16 05 T03 10/19/2009 EDN 100/AA 72208X T1 A ELEM TEACHER              1.00 $     56,257.00     1.00 $     43,157.04 05 T02 10/19/2009 EDN 100/DB 79485 T1 N ELEM TEACHER              1.00 $     49,448.16     1.00 $     49,448.16 05 T03 10/19/2009 EDN 150/FA 56842 T1 A EDUC ASST III              1.00 $     27,154.00     1.00 $     25,030.08 03 SR12 10/19/2009 EDN 150/FA 63193 T1 A SPEC ED TEACHER              1.00 $     32,713.00     1.00 $     32,712.96 05 T02 10/19/2009 EDN 150/FA 63733 T1 A SPEC ED TEACHER              1.00 $     43,157.00     1.00 $     46,608.96 05 T03 10/19/2009 EDN 150/FA 65943 J1 A GEN EDUC/ARTICLE VI TCHR              1.00 $     68,351.00     1.00 $     43,157.04 05 T02 10/19/2009 EDN 150/FA 75702 J1 A GEN EDUC/ARTICLE VI TCHR              1.00 $     49,448.00     1.00 $     49,448.16 05 T03 10/19/2009 EDN 150/FA 75844 T1 A GEN EDUC/ARTICLE VI TCHR              1.00 $     45,785.00     1.00 $     46,608.96 05 T03 10/19/2009 EDN 150/FA 800581 T1 A EDUC ASST III              1.00 $     26,131.00     1.00 $     25,030.08 03 SR12 10/19/2009 EDN 150/NB 79759 T1 N DIST OFF TCHR              1.00 $     43,157.04     1.00 $     43,157.04 05 T02 10/19/2009 EDN 150/YC 12164 J1 A BEHAVIORAL HLTH SPCLT III              1.00 $     45,576.00     1.00 $     42,132.00 13 SR20 10/19/2009 EDN 200/GN 76376 J1 A DIST OFF TCHR              1.00 $     49,448.16     1.00 $     49,448.16 05 T03 10/19/2009 EDN 400/MB 19126 T1 N SCHOOL LUNCH SERVICES SUPVR              1.00 $     60,024.00     1.00 $     51,312.00 13 SR24 10/20/2009 EDN 100/AA 63525 J1 A SECONDARY TEACHER              1.00 $     56,257.00     1.00 $     43,157.04 05 T02 10/20/2009 EDN 150/FA 66097 J1 A GEN EDUC/ARTICLE VI TCHR              1.00 $     48,008.00     1.00 $     48,008.16 05 T03 10/20/2009 EDN 150/FA 71322 T1 A GEN EDUC/ARTICLE VI TCHR              1.00 $     45,785.00     1.00 $     43,157.04 05 T02 10/21/2009 EDN 150/FA 57330 T1 A EDUC ASST III              0.75 $     19,599.00     0.75 $     18,772.56 03 SR12 10/22/2009 EDN 100/AA 65287 J1 A ELEM TEACHER              1.00 $     56,257.00     1.00 $     48,008.16 05 T03 10/22/2009 EDN 100/DB 801471 T1 N CLERK TYPIST II              0.50 $     12,834.00     0.50 $     12,834.00 63 SR08 10/26/2009 EDN 100/AA 55840 J1 A EDUC ASST II              0.50 $     14,824.00     0.50 $     11,565.00 03 SR10 10/26/2009 EDN 100/AA 72714 J1 A 12‐MO SECONDARY TEACHER              1.00 $     67,508.00     1.00 $     48,008.16 05 T03 10/26/2009 EDN 100/AA 74532 J1 A ELEM TEACHER              1.00 $     56,257.00     1.00 $     62,550.00 05 T07 10/26/2009 EDN 100/AA 801470 T1 A SCHOOL SECURITY ATTENDANT              1.00 $     25,213.00     1.00 $     20,539.92 63 SR07 10/26/2009 EDN 100/AA 60452X T1 A ELEM TEACHER              0.50 $     28,128.00     0.50 $     23,304.00 45 T03 10/26/2009 EDN 150/FA 57304 T1 A EDUC ASST II              0.75 $     20,366.00     0.75 $     17,347.50 03 SR10 10/26/2009 EDN 150/FA 67431 J1 A SPEC ED TEACHER              1.00 $     49,448.00     1.00 $     48,008.16 05 T03 10/26/2009 EDN 150/FA 74417 J1 A SPEC ED TEACHER              1.00 $     49,448.00     1.00 $     48,008.16 05 T03 10/26/2009 EDN 150/FA 800570 T1 A EDUC ASST III              0.75 $     19,599.00     1.00 $     25,030.08 03 SR12 10/26/2009 EDN 150/SA 3082 J1 A OCC THERAPIST IV              1.00 $     56,388.00     1.00 $     45,576.00 13 SR22 10/27/2009 EDN 100/AA 62378X T1 A ELEM TEACHER              1.00 $     56,257.00     1.00 $     43,157.04 05 T02 10/27/2009 EDN 150/FA 72767 J1 A SPEC ED TEACHER              1.00 $     45,785.00     1.00 $     46,608.96 05 T03 10/27/2009 EDN 150/YC 58410 J1 A BEHAVIORAL HLTH SPCLT III              1.00 $     45,576.00     1.00 $     42,132.00 13 SR20 Page 103 2011 Budget Briefing
  • 164.
    Department of Education Table 13 New Hires New Hire  Position  Perm/  Budgeted  Budgeted  Actual  BU  SR  Effective Date Prog ID/Org Number Temp MOF Position Title FTE  Salary  FTE  Actual Salary  Code Level 10/28/2009 EDN 100/AA 801417 T1 A EDUC ASST III              0.75 $     22,235.00     0.75 $     18,772.56 03 SR12 10/28/2009 EDN 150/YC 58655 J1 A BEHAVIORAL HLTH SPCLT III              1.00 $     45,576.00     1.00 $     42,132.00 13 SR20 10/29/2009 EDN 150/FA 57612 T1 A EDUC ASST II              0.63 $     21,157.00     0.75 $     17,347.50 03 SR10 10/29/2009 EDN 150/FA 60876 J1 A SPEC ED TEACHER              1.00 $     43,157.00     1.00 $     43,157.04 05 T02 11/02/2009 EDN 100/AA 16197 J1 A SCHOOL CUSTODIAN II              0.50 $     16,942.00     0.50 $     16,614.00 01 BC02 11/02/2009 EDN 100/AA 17491 J1 A SCHOOL CUSTODIAN II              0.50 $     16,942.00     0.50 $     16,614.00 01 BC02 11/02/2009 EDN 100/AA 18726 J1 A SCHOOL CUSTODIAN II              0.50 $     16,942.00     0.50 $     16,614.00 01 BC02 11/02/2009 EDN 100/AA 55800 T1 A EDUC ASST III              0.50 $     14,824.00     0.50 $     12,515.04 03 SR12 11/02/2009 EDN 100/AA 63366 J1 A ELEM TEACHER              1.00 $     56,257.00     1.00 $     48,008.16 05 T03 11/02/2009 EDN 100/AA 75822 J1 A SECONDARY TEACHER              1.00 $     56,257.00     1.00 $     32,712.96 05 T02 11/02/2009 EDN 100/AA 800758 T1 A EDUC ASST I              0.75 $     22,235.00     0.75 $     16,042.50 03 SR08 11/02/2009 EDN 100/AA 801426 T1 A EDUC ASST II              0.75 $     22,235.00     0.75 $     17,347.50 03 SR10 11/02/2009 EDN 100/AA 62465X T1 A SECONDARY TEACHER              1.00 $     56,257.00     1.00 $     43,157.04 05 T02 11/02/2009 EDN 100/AA 67363X T1 A ELEM TEACHER              1.00 $     56,257.00     1.00 $     43,157.04 05 T02 11/02/2009 EDN 100/AA 71699X T1 A SECONDARY TEACHER              1.00 $     56,257.00     1.00 $     43,157.04 05 T02 11/02/2009 EDN 100/DB 79268 T1 N COMPLEX ACADEMIC OFFICER              1.00 $     77,069.04     1.00 $     77,069.04 06 E07 11/02/2009 EDN 150/FA 55402 J1 A EDUC ASST II              0.75 $     19,599.00     0.75 $     17,347.50 03 SR10 11/02/2009 EDN 150/FA 56840 J1 A EDUC ASST III              1.00 $     26,131.00     1.00 $     25,030.08 03 SR12 11/02/2009 EDN 150/FA 56874 T1 A EDUC ASST III              1.00 $     28,209.00     1.00 $     25,030.08 03 SR12 11/02/2009 EDN 150/FA 57059 J1 A EDUC ASST II              1.00 $     26,131.00     1.00 $     23,130.00 03 SR10 11/02/2009 EDN 150/FA 57415 T1 A EDUC ASST II              0.75 $     19,599.00     0.75 $     17,347.50 03 SR10 11/02/2009 EDN 150/FA 57424 T1 A EDUC ASST II              0.50 $     13,066.00     0.50 $     11,565.00 03 SR10 11/02/2009 EDN 150/FA 57491 J1 A EDUC ASST III              0.50 $     14,104.00     0.50 $     12,515.04 03 SR12 11/02/2009 EDN 150/FA 57609 T1 A EDUC ASST II              0.88 $     16,332.00     0.63 $     14,456.25 03 SR10 11/02/2009 EDN 150/FA 57782 T1 A EDUC ASST II              0.75 $     19,599.00     0.75 $     17,347.50 03 SR10 11/02/2009 EDN 150/FA 74418 J1 A SPEC ED TEACHER              1.00 $     48,008.00     1.00 $     48,008.16 05 T03 11/02/2009 EDN 150/FA 74542 J1 A SPEC ED TEACHER              1.00 $     32,713.00     1.00 $     44,452.08 05 T02 11/02/2009 EDN 150/FA 800152 T1 A EDUC ASST III              0.75 $     19,599.00     0.75 $     18,772.56 03 SR12 11/02/2009 EDN 150/FA 74843 J1 A GEN EDUC/ARTICLE VI TCHR              1.00 $     44,452.00     1.00 $     44,452.08 05 T02 11/02/2009 EDN 150/NB 58189 T1 N EDUC ASST III              1.00 $     25,030.08     1.00 $     25,030.08 03 SR12 11/02/2009 EDN 150/SA 801329 J1 A EDUCATIONAL INTERPRETER II              1.00 $     38,388.00     1.00 $     32,424.00 03 SR14 11/02/2009 EDN 150/YG 59573 J1 A BEHAVIORAL HLTH SPCLT III              1.00 $     45,576.00     1.00 $     42,132.00 13 SR20 11/02/2009 EDN 150/YG 800885 J1 A EDUC ASST III              1.00 $     26,131.00     1.00 $     25,030.08 03 SR12 11/02/2009 EDN 300/KD 100034 J1 A EXECUTIVE SECT TO THE SUPT              1.00 $     76,944.00     1.00 $     68,388.00 63 SR26 Page 104 2011 Budget Briefing
  • 165.
    Department of Education Table 13 New Hires New Hire  Position  Perm/  Budgeted  Budgeted  Actual  BU  SR  Effective Date Prog ID/Org Number Temp MOF Position Title FTE  Salary  FTE  Actual Salary  Code Level 11/03/2009 EDN 100/AA 65688X T1 A ELEM TEACHER              0.50 $     28,128.00     0.50 $     23,304.00 45 T03 11/03/2009 EDN 150/FA 68071 J1 A GEN EDUC/ARTICLE VI TCHR              1.00 $     48,008.00     1.00 $     48,008.16 05 T03 11/03/2009 EDN 150/SA 56362 J1 A SPEECH PATHOLOGIST II              1.00 $     60,315.00     1.00 $     38,988.00 13 SR18 11/04/2009 EDN 150/YC 58364 T1 A BEHAVIORAL HLTH SPCLT IV              1.00 $     45,576.00     1.00 $     47,412.00 13 SR22 11/04/2009 EDN 150/YC 58635 J1 A BEHAVIORAL HLTH SPCLT III              1.00 $     55,500.00     1.00 $     42,132.00 13 SR20 11/04/2009 EDN 150/YC 58747 J1 A BEHAVIORAL HLTH SPCLT IV              1.00 $     47,412.00     1.00 $     47,412.00 13 SR22 11/05/2009 EDN 100/AA 60585 J1 A ELEM TEACHER              1.00 $     56,257.00     1.00 $     51,426.00 05 T04 11/05/2009 EDN 100/DB 79552 T1 N SECONDARY TEACHER              1.00 $     45,785.04     1.00 $     45,785.04 05 T02 11/05/2009 EDN 150/FA 57067 J1 A EDUC ASST III              1.00 $     26,131.00     1.00 $     25,030.08 03 SR12 11/05/2009 EDN 150/FA 60391 J1 A SPEC ED TEACHER              1.00 $     32,713.00     1.00 $     32,712.96 05 T02 11/09/2009 EDN 100/AA 54479 J1 A EDUC ASST II              0.50 $     14,824.00     0.50 $     11,565.00 03 SR10 11/09/2009 EDN 100/AA 61911 J1 A ELEM TEACHER              1.00 $     56,257.00     1.00 $     44,452.08 05 T02 11/09/2009 EDN 100/AA 66632 J1 A SECONDARY TEACHER              1.00 $     56,257.00     1.00 $     46,608.96 05 T03 11/09/2009 EDN 100/AA 801076 T1 A SCHOOL CUSTODIAN II              1.00 $     33,885.00     1.00 $     33,228.00 01 BC02 11/09/2009 EDN 100/AA 73867X T1 A COUNSELOR              1.00 $     56,257.00     1.00 $     46,608.96 05 T03 11/09/2009 EDN 150/FA 58069 J1 A EDUC ASST I              0.75 $     22,026.00     0.75 $     16,042.50 03 SR08 11/09/2009 EDN 150/FA 801408 T1 A EDUC ASST II              1.00 $     26,131.00     1.00 $     23,130.00 63 SR10 11/09/2009 EDN 150/NB 801167 T1 N EDUC ASST III              1.00 $     25,030.08     1.00 $     25,030.08 03 SR12 11/09/2009 EDN 150/YC 58297 J1 A CLINICAL PSYCHOLOGIST V              1.00 $     68,160.00     1.00 $     51,312.00 73 SR24 11/10/2009 EDN 100/AA 71978 T1 A ELEM TEACHER              1.00 $     56,257.00     1.00 $     48,008.16 05 T03 11/10/2009 EDN 100/DB 79147 T1 N DIST OFF TCHR              0.50 $     33,180.00     0.50 $     33,180.00 45 T07 11/10/2009 EDN 150/FA 57094 T1 A EDUC ASST III              1.00 $     28,209.00     1.00 $     25,030.08 03 SR12 11/12/2009 EDN 100/AA 62533 J1 A SECONDARY TEACHER              1.00 $     56,257.00     1.00 $     48,008.16 05 T03 11/13/2009 EDN 100/AA 75943X T1 A ELEM TEACHER              1.00 $     56,257.00     1.00 $     43,157.04 05 T02 11/13/2009 EDN 150/YC 59801 T1 A BEHAVIORAL HLTH SPCLT III              1.00 $     45,576.00     1.00 $     42,132.00 73 SR20 11/16/2009 EDN 100/AA 22219 J1 A SCHOOL CUSTODIAN II              0.50 $     16,942.00     0.50 $     16,614.00 01 BC02 11/16/2009 EDN 100/AA 27131 J1 A CLERK TYPIST II              0.50 $     14,933.00     0.50 $     12,834.00 63 SR08 11/16/2009 EDN 100/AA 59042 J1 A SCHOOL SECURITY ATTENDANT              1.00 $     25,213.00     1.00 $     20,539.92 63 SR07 11/16/2009 EDN 100/AA 59144 J1 A SCHOOL CUSTODIAN II              0.50 $     16,942.00     0.50 $     16,614.00 01 BC02 11/16/2009 EDN 100/AA 71535 J1 A ELEM TEACHER              1.00 $     56,257.00     1.00 $     49,448.16 05 T03 11/16/2009 EDN 100/AA 76240 J1 A ELEM TEACHER              1.00 $     56,257.00     1.00 $     46,608.96 05 T03 11/16/2009 EDN 100/AA 71561X T1 A ELEM TEACHER              1.00 $     56,257.00     1.00 $     43,157.04 05 T02 11/16/2009 EDN 100/AA 74267X T1 A ELEM TEACHER              1.00 $     56,257.00     1.00 $     46,608.96 05 T03 11/16/2009 EDN 150/FA 57242 T1 A EDUC ASST II              0.75 $     20,366.00     0.75 $     17,347.50 03 SR10 Page 105 2011 Budget Briefing
  • 166.
    Department of Education Table 13 New Hires New Hire  Position  Perm/  Budgeted  Budgeted  Actual  BU  SR  Effective Date Prog ID/Org Number Temp MOF Position Title FTE  Salary  FTE  Actual Salary  Code Level 11/16/2009 EDN 150/FA 65443 T1 A SPEC ED TEACHER              1.00 $     43,157.00     1.00 $     43,157.04 05 T02 11/16/2009 EDN 150/FA 66399 J1 A SPEC ED TEACHER              1.00 $     32,713.00     1.00 $     43,157.04 05 T02 11/16/2009 EDN 150/FA 74077 J1 A SPEC ED TEACHER              1.00 $     49,448.00     1.00 $     48,008.16 05 T03 11/16/2009 EDN 150/FA 74101 J1 A SPEC ED TEACHER              1.00 $     45,785.00     1.00 $     49,448.16 05 T03 11/16/2009 EDN 150/FA 800084 T1 A EDUC ASST III              1.00 $     26,131.00     1.00 $     25,030.08 03 SR12 11/16/2009 EDN 150/FA 800121 J1 A EDUC ASST III              0.75 $     20,366.00     0.75 $     18,772.56 03 SR12 11/16/2009 EDN 150/FA 74843 J1 A GEN EDUC/ARTICLE VI TCHR              1.00 $     44,452.00     1.00 $     44,452.08 05 T02 11/16/2009 EDN 150/YC 58482 T1 A BEHAVIORAL HLTH SPCLT III              1.00 $     55,500.00     1.00 $     42,132.00 13 SR20 11/16/2009 EDN 150/YC 58540 T1 A BEHAVIORAL HLTH SPCLT IV              1.00 $     51,312.00     1.00 $     47,412.00 13 SR22 11/16/2009 EDN 300/KD 100026 J1 A PRIVATE SECRETARY II              1.00 $     46,176.00     1.00 $     60,744.00 63 SR22 11/16/2009 EDN 400/OC 801082 T1 W PROPERTY MGR V              1.00 $     51,312.00     0.75 $     38,484.00 13 SR24 11/18/2009 EDN 100/AA 64455X T1 A ELEM TEACHER              0.50 $     28,128.00     0.50 $     23,304.00 45 T03 11/18/2009 EDN 150/FA 67383 J1 A SPEC ED TEACHER              1.00 $     52,460.00     1.00 $     46,608.96 05 T03 11/23/2009 EDN 100/AA 801183 T1 A SCHOOL CUSTODIAN II              1.00 $     33,885.00     1.00 $     33,228.00 01 BC02 11/23/2009 EDN 100/AA 801483 T1 A LIBRARY ASSISTANT III              1.00 $     30,478.00     1.00 $     20,539.92 63 SR07 11/23/2009 EDN 100/AA 62802X T1 A ELEM TEACHER              1.00 $     56,257.00     1.00 $     46,608.96 05 T03 11/23/2009 EDN 150/FA 34905 J1 A EDUC ASST III              1.00 $     35,705.00     1.00 $     25,030.08 03 SR12 11/23/2009 EDN 150/FA 56773 T1 A EDUC ASST III              1.00 $     28,209.00     1.00 $     25,030.08 03 SR12 11/23/2009 EDN 150/FA 57296 J1 A EDUC ASST II              1.00 $     30,506.00     1.00 $     23,130.00 03 SR10 11/23/2009 EDN 150/FA 61467 T1 A SPEC ED TEACHER              1.00 $     49,448.00     1.00 $     49,448.16 05 T03 11/23/2009 EDN 150/FA 62408 J1 A GEN EDUC/ARTICLE VI TCHR              1.00 $     43,157.00     1.00 $     43,157.04 05 T02 11/23/2009 EDN 150/FA 63411 J1 A GEN EDUC/ARTICLE VI TCHR              1.00 $     49,448.00     1.00 $     49,448.16 05 T03 11/23/2009 EDN 150/YK 29330 J1 A SCHOOL HEALTH AIDE              1.00 $     22,063.00     1.00 $     18,078.00 03 SR09 11/24/2009 EDN 100/AA 16175 J1 A SCHOOL CUSTODIAN II              1.00 $     33,885.00     1.00 $     33,228.00 61 BC02 11/24/2009 EDN 100/AA 16177 J1 A SCHOOL CUSTODIAN II              1.00 $     33,885.00     1.00 $     33,228.00 61 BC02 11/24/2009 EDN 150/FA 72796 J1 A SPEC ED TEACHER              1.00 $     43,157.00     1.00 $     43,157.04 05 T02 11/25/2009 EDN 150/YC 800567 T1 A SCHOOL PSYCHOLOGIST              1.00 $     60,756.00     1.00 $     51,312.00 13 SR24 11/30/2009 EDN 100/AA 67774X T1 A SECONDARY TEACHER              1.00 $     56,257.00     1.00 $     45,785.04 05 T02 11/30/2009 EDN 150/FA 76021 J1 A SPEC ED TEACHER              1.00 $     33,694.00     1.00 $     48,008.16 05 T03 11/30/2009 EDN 150/YG 800478 J1 A EDUC ASST II              1.00 $     26,131.00     1.00 $     23,130.00 03 SR10 11/30/2009 EDN 300/UA 66812 J1 A ASST SUPT, INFO/TECH SVCS              1.00 $  115,000.00     1.00 $  114,999.96 96 E00 12/01/2009 EDN 100/AA 65177 J1 A COUNSELOR              1.00 $     56,257.00     1.00 $     46,608.96 05 T03 12/01/2009 EDN 150/FA 67383 J1 A SPEC ED TEACHER              1.00 $     52,460.00     1.00 $     46,608.96 05 T03 12/01/2009 EDN 150/FA 68781 J1 A SPEC ED TEACHER              1.00 $     51,426.00     1.00 $     32,712.96 05 T02 Page 106 2011 Budget Briefing
  • 167.
    Department of Education Table 13 New Hires New Hire  Position  Perm/  Budgeted  Budgeted  Actual  BU  SR  Effective Date Prog ID/Org Number Temp MOF Position Title FTE  Salary  FTE  Actual Salary  Code Level 12/01/2009 EDN 150/FB 52603 J1 A EDUC ASST III              1.00 $     28,209.00     1.00 $     25,030.08 03 SR12 12/01/2009 EDN 150/NB 79554 T1 N DIST OFF TCHR              1.00 $     58,959.12     1.00 $     58,959.12 05 T07 12/01/2009 EDN 150/YC 58384 J1 A BEHAVIORAL HLTH SPCLT III              1.00 $     45,576.00     1.00 $     42,132.00 13 SR20 12/01/2009 EDN 150/YG 801199 J1 A BEHAVIORAL HLTH SPCLT III              1.00 $     45,576.00     1.00 $     42,132.00 13 SR20 12/01/2009 EDN 400/MD 801267 T1 N CAFETERIA HELPER              0.50 $     16,614.00     0.50 $     16,614.00 01 BC02 12/01/2009 EDN 400/MD 801269 T1 N CAFETERIA HELPER              0.50 $     16,614.00     0.50 $     16,614.00 01 BC02 12/02/2009 EDN 150/YG 800791 J1 A EDUC ASST III              1.00 $     26,131.00     1.00 $     25,030.08 03 SR12 12/03/2009 EDN 100/AA 76218X T1 A SECONDARY TEACHER              1.00 $     56,257.00     1.00 $     46,608.96 05 T03 12/03/2009 EDN 150/FA 65159 J1 A SPEC ED TEACHER              1.00 $     46,609.00     1.00 $     46,608.96 05 T03 12/03/2009 EDN 150/FA 800540 J1 A EDUC ASST II              0.50 $     13,066.00     0.50 $     11,565.00 03 SR10 12/07/2009 EDN 100/AA 60140 J1 A LIBRARIAN              1.00 $     56,257.00     1.00 $     46,608.96 05 T03 12/07/2009 EDN 100/AA 63040 J1 A SECONDARY TEACHER              1.00 $     56,257.00     1.00 $     32,712.96 05 T02 12/07/2009 EDN 100/AA 45078 J1 A SCHOOL CUSTODIAN II              0.50 $     16,614.00     0.50 $     16,619.20 61 BC02 12/07/2009 EDN 150/FA 67564 J1 A SPEC ED TEACHER              1.00 $     48,008.00     1.00 $     48,008.16 05 T03 12/07/2009 EDN 150/FA 62782 J1 A GEN EDUC/ARTICLE VI TCHR              1.00 $     44,452.00     1.00 $     43,157.04 05 T02 12/07/2009 EDN 150/FA 65722 J1 A GEN EDUC/ARTICLE VI TCHR              1.00 $     43,157.04     1.00 $     43,157.04 05 T02 12/07/2009 EDN 150/FA 55288 J1 A EDUC ASST II              1.00 $     26,131.00     1.00 $     23,130.00 03 SR10 12/07/2009 EDN 150/FA 801336 T1 A EDUC ASST III              1.00 $     26,131.00     1.00 $     25,030.08 03 SR12 12/07/2009 EDN 150/NB 79347 T1 N DIST OFF TCHR              1.00 $     48,008.16     1.00 $     48,008.16 05 T03 12/07/2009 EDN 150/SA 56372 J1 A SPEECH PATHOLOGIST II              1.00 $     60,315.00     1.00 $     38,988.00 13 SR18 12/08/2009 EDN 150/FA 73801 J1 A SPEC ED TEACHER              1.00 $     51,426.00     1.00 $     49,448.16 05 T03 12/08/2009 EDN 150/FA 74351 J1 A SPEC ED TEACHER              1.00 $     46,609.00     1.00 $     32,712.96 05 T02 12/09/2009 EDN 150/FA 74146 T1 A SPEC ED TEACHER              1.00 $     50,743.00     1.00 $     46,608.96 05 T03 12/09/2009 EDN 150/FA 57578 T1 A EDUC ASST II              0.88 $     22,865.00     0.88 $     20,238.75 03 SR10 12/10/2009 EDN 150/NB 801038 T1 N EDUC ASST III              1.00 $     25,030.08     1.00 $     25,030.08 03 SR12 12/14/2009 EDN 150/FA 67620 J1 A SPEC ED TEACHER              1.00 $     56,917.00     1.00 $     44,452.08 05 T02 12/14/2009 EDN 150/FA 801242 T1 A EDUC ASST III              1.00 $     26,131.00     1.00 $     25,030.08 03 SR12 12/15/2009 EDN 150/FA 61083 J1 A GEN EDUC/ARTICLE VI TCHR              1.00 $     58,959.00     1.00 $     44,452.08 05 T02 12/16/2009 EDN 150/FA 75751 T1 A SPEC ED TEACHER              1.00 $     32,713.00     1.00 $     43,157.04 05 T02 12/16/2009 EDN 150/FA 800926 T1 A EDUC ASST II              0.75 $     19,599.00     0.75 $     17,347.50 03 SR10 12/16/2009 EDN 200/GH 57916 J1 A CLERK IV              1.00 $     28,836.00     1.00 $     27,747.20 63 SR10 12/17/2009 EDN 150/FA 62594 J1 A GEN EDUC/ARTICLE VI TCHR              1.00 $     59,617.00     1.00 $     49,448.16 05 T03 01/04/2010 EDN 100/AA 801360 T1 A EDUC ASST III              0.75 $     18,772.56     0.75 $     18,772.56 03 SR12 01/04/2010 EDN 100/AA 18691 J1 A SCHOOL CUSTODIAN II              0.50 $     16,614.00     0.50 $     16,614.00 01 BC02 Page 107 2011 Budget Briefing
  • 168.
    Department of Education Table 13 New Hires New Hire  Position  Perm/  Budgeted  Budgeted  Actual  BU  SR  Effective Date Prog ID/Org Number Temp MOF Position Title FTE  Salary  FTE  Actual Salary  Code Level 01/04/2010 EDN 100/AA 59767 T1 A SCHOOL SECURITY ATTENDANT              1.00 $     23,229.00     1.00 $     20,539.92 03 SR07 01/04/2010 EDN 150/FA 56910 J1 A EDUC ASST I              0.50 $     13,066.00     0.50 $     10,695.00 03 SR08 01/04/2010 EDN 150/FA 56738 T1 A EDUC ASST II              0.75 $     21,157.00     0.75 $     17,347.50 03 SR10 01/04/2010 EDN 150/FA 55549 J1 A EDUC ASST III              0.50 $     14,104.00     0.50 $     12,515.04 03 SR12 01/04/2010 EDN 150/FA 55744 J1 A EDUC ASST III              0.50 $     13,577.00     0.50 $     12,515.04 03 SR12 01/04/2010 EDN 150/FA 800166 T1 A EDUC ASST III              0.88 $     22,865.00     0.88 $     21,901.32 03 SR12 01/04/2010 EDN 150/SA 56368 J1 A SPEECH PATHOLOGIST II              1.00 $     60,315.00     1.00 $     38,988.00 13 SR18 01/05/2010 EDN 100/AA 75218 T1 A 12‐MO STUDENT SVCS COORD              1.00 $     82,865.00     1.00 $     46,608.96 05 T03 01/05/2010 EDN 100/AA 55020 J1 A EDUC ASST III              0.50 $     15,253.00     0.50 $     12,515.04 03 SR12 01/05/2010 EDN 100/AA 59731 T1 A SCHOOL SECURITY ATTENDANT              0.50 $     10,722.00     0.50 $     10,269.96 03 SR07 01/05/2010 EDN 150/FA 58809 T1 A EDUC ASST I              1.00 $     26,131.00     1.00 $     21,390.00 03 SR08 01/05/2010 EDN 150/FA 32296 J1 A EDUC ASST II              1.00 $     26,131.00     1.00 $     23,130.00 03 SR10 01/05/2010 EDN 150/FA 57177 T1 A EDUC ASST III              1.00 $     26,131.00     1.00 $     25,030.08 03 SR12 01/05/2010 EDN 150/FA 57500 T1 A EDUC ASST III              0.75 $     21,157.00     0.75 $     18,772.56 03 SR12 01/05/2010 EDN 150/YC 58651 T1 A BEHAVIORAL HLTH SPCLT III              1.00 $     45,576.00     1.00 $     42,132.00 73 SR20 01/05/2010 EDN 150/YK 29315 J1 A SCHOOL HEALTH AIDE              1.00 $     18,873.00     1.00 $     18,078.00 03 SR09 01/06/2010 EDN 100/AA 60246 J1 A COUNSELOR              1.00 $     79,170.00     1.00 $     46,608.96 05 T03 01/06/2010 EDN 150/FA 800492 T1 A EDUC ASST III              1.00 $     27,154.00     1.00 $     25,030.08 03 SR12 01/07/2010 EDN 100/AA 60805 J1 A COUNSELOR              1.00 $     79,170.00     1.00 $     46,608.96 05 T03 01/08/2010 EDN 100/AA 75011 T1 A COUNSELOR              0.50 $     23,304.48     0.50 $     23,304.48 45 T03 01/09/2010 EDN 100/AA 75048 J1 A COUNSELOR/HIGH RISK              1.00 $     51,426.00     1.00 $     46,608.96 05 T03 01/10/2010 EDN 100/AA 60125 J1 A ELEM TEACHER              1.00 $     62,550.00     1.00 $     46,608.96 05 T03 01/11/2010 EDN 100/AA 60654 J1 A ELEM TEACHER              1.00 $     79,170.00     1.00 $     32,712.96 05 T02 01/11/2010 EDN 100/AA 801422 T1 A EDUC ASST III              0.75 $     18,772.56     0.75 $     18,772.56 03 SR12 01/11/2010 EDN 100/AA 26560 J1 A SCHOOL CUSTODIAN II              0.50 $     16,614.00     0.50 $     16,614.00 01 BC02 01/11/2010 EDN 150/FA 57364 T1 A EDUC ASST II              0.75 $     21,157.00     0.75 $     17,347.50 03 SR10 01/11/2010 EDN 150/FA 801337 T1 A EDUC ASST II              1.00 $     23,130.00     1.00 $     23,130.00 03 SR10 01/11/2010 EDN 150/FA 801467 T1 A EDUC ASST III              1.00 $     25,030.08     1.00 $     25,030.08 03 SR12 01/12/2010 EDN 100/AA 61063 J1 A ELEM TEACHER              1.00 $     70,400.00     1.00 $     46,608.96 05 T03 01/12/2010 EDN 150/FA 52574 J1 A EDUC ASST III              1.00 $     26,131.00     1.00 $     25,030.08 03 SR12 01/13/2010 EDN 100/AA 61126 J1 A ELEM TEACHER              1.00 $     68,351.00     1.00 $     46,608.96 05 T03 01/14/2010 EDN 100/AA 61463 J1 A ELEM TEACHER              1.00 $     57,291.00     1.00 $     43,157.04 05 T02 01/15/2010 EDN 100/AA 62387 J1 A ELEM TEACHER              1.00 $     72,513.00     1.00 $     46,608.96 05 T03 01/16/2010 EDN 100/AA 62762 J1 A ELEM TEACHER              1.00 $     53,483.00     1.00 $     46,608.96 05 T03 Page 108 2011 Budget Briefing
  • 169.
    Department of Education Table 13 New Hires New Hire  Position  Perm/  Budgeted  Budgeted  Actual  BU  SR  Effective Date Prog ID/Org Number Temp MOF Position Title FTE  Salary  FTE  Actual Salary  Code Level 01/17/2010 EDN 100/AA 62789 J1 A ELEM TEACHER              1.00 $     46,830.00     1.00 $     43,157.04 05 T02 01/18/2010 EDN 100/AA 64226 J1 A ELEM TEACHER              1.00 $     62,550.00     1.00 $     43,157.04 05 T02 01/19/2010 EDN 100/AA 64748 J1 A ELEM TEACHER              1.00 $     57,490.00     1.00 $     43,157.04 05 T02 01/19/2010 EDN 100/AA 59168 J1 A CLERK TYPIST II              0.50 $     12,834.00     0.50 $     10,695.00 63 SR08 01/19/2010 EDN 100/AA 36861 J1 A EDUC ASST III              0.50 $     13,066.00     0.50 $     12,515.04 03 SR12 01/19/2010 EDN 150/FA 44368 J1 A EDUC ASST II              0.88 $     26,693.00     0.88 $     20,238.75 03 SR10 01/19/2010 EDN 150/FA 50862 J1 A EDUC ASST III              0.50 $     13,066.00     0.50 $     12,515.04 03 SR12 01/19/2010 EDN 150/FA 57199 T1 A EDUC ASST III              0.50 $     13,066.00     0.75 $     18,772.56 03 SR12 01/19/2010 EDN 150/FA 57345 J1 A EDUC ASST III              0.75 $     19,599.00     0.75 $     18,772.56 03 SR12 01/19/2010 EDN 150/FA 801214 T1 A EDUC ASST III              1.00 $     25,030.08     1.00 $     25,030.08 03 SR12 01/19/2010 EDN 150/FA 801454 J1 A EDUC ASST III              1.00 $     25,030.08     1.00 $     25,030.08 03 SR12 01/19/2010 EDN 150/YC 58452 J1 A BEHAVIORAL HLTH SPCLT III              1.00 $     57,708.00     1.00 $     42,132.00 13 SR20 01/19/2010 EDN 400/MD 57776 T1 N CAFETERIA HELPER              0.50 $     16,614.00     0.50 $     16,614.00 01 BC02 01/19/2010 EDN 400/MD 28147 T1 B CAFETERIA HELPER              0.50 $     16,614.00     0.50 $     16,614.00 01 BC02 01/19/2010 EDN 400/MD 2023 J1 A SCHOOL FOOD SERVICES MGR I              1.00 $     43,722.00     1.00 $     39,972.00 02 WF06 01/19/2010 EDN 500/PC 6226 J1 A SCHOOL ADM SERVICES ASST I              1.00 $     54,012.00     1.00 $     30,036.00 04 SR12 01/20/2010 EDN 100/AA 65363 T1 A ELEM TEACHER              1.00 $     46,608.96     1.00 $     46,608.96 05 T03 01/20/2010 EDN 150/FA 56682 T1 A EDUC ASST II              0.75 $     19,599.00     0.75 $     17,347.50 03 SR10 01/20/2010 EDN 150/YG 800884 J1 A EDUC ASST III              1.00 $     26,131.00     1.00 $     25,030.08 03 SR12 01/21/2010 EDN 100/AA 66191 J1 A ELEM TEACHER              1.00 $     49,448.00     1.00 $     46,608.96 05 T03 01/21/2010 EDN 100/AA 46072 T1 A EDUC ASST II              0.50 $     11,565.00     0.50 $     11,565.00 03 SR10 01/21/2010 EDN 150/YC 46659 J1 A BEHAVIORAL HLTH SPCLT IV              1.00 $     47,412.00     1.00 $     42,132.00 73 SR20 01/22/2010 EDN 100/AA 66593 J1 A ELEM TEACHER              1.00 $     64,482.00     1.00 $     46,608.96 05 T03 01/22/2010 EDN 150/FA 58122 J1 A EDUC ASST III              0.75 $     19,599.00     0.75 $     18,772.56 03 SR12 01/23/2010 EDN 100/AA 66936 J1 A ELEM TEACHER              1.00 $     51,426.00     1.00 $     43,157.04 05 T02 01/24/2010 EDN 100/AA 67368 J1 A ELEM TEACHER              1.00 $     74,688.00     1.00 $     43,157.04 05 T02 01/25/2010 EDN 100/AA 67903 J1 A ELEM TEACHER              1.00 $     80,215.00     1.00 $     46,608.96 05 T03 01/25/2010 EDN 150/FA 800279 T1 A EDUC ASST III              0.75 $     19,599.00     0.75 $     18,772.56 03 SR12 01/25/2010 EDN 150/FA 801222 T1 A EDUC ASST III              1.00 $     21,390.00     1.00 $     21,390.00 63 SR08 01/26/2010 EDN 100/AA 68567 J1 A ELEM TEACHER              1.00 $     55,087.00     1.00 $     46,608.96 05 T03 01/27/2010 EDN 100/AA 68725 J1 A ELEM TEACHER              1.00 $     51,426.00     1.00 $     48,008.16 05 T03 01/28/2010 EDN 100/AA 68813 J1 A ELEM TEACHER              1.00 $     46,830.00     1.00 $     43,157.04 05 T02 01/29/2010 EDN 100/AA 69011 J1 A ELEM TEACHER              1.00 $     74,688.00     1.00 $     43,157.04 05 T02 01/30/2010 EDN 100/AA 71601 J1 A ELEM TEACHER              1.00 $     58,959.00     1.00 $     46,608.96 05 T03 Page 109 2011 Budget Briefing
  • 170.
    Department of Education Table 13 New Hires New Hire  Position  Perm/  Budgeted  Budgeted  Actual  BU  SR  Effective Date Prog ID/Org Number Temp MOF Position Title FTE  Salary  FTE  Actual Salary  Code Level 01/31/2010 EDN 100/AA 71881 J1 A ELEM TEACHER              1.00 $     43,157.00     1.00 $     43,157.04 05 T02 02/01/2010 EDN 100/AA 74014 J1 A ELEM TEACHER              1.00 $     79,170.00     1.00 $     46,608.96 05 T03 02/01/2010 EDN 100/AA 66155 J1 A SECONDARY TEACHER              1.00 $     44,452.00     1.00 $     48,008.16 05 T03 02/01/2010 EDN 100/AA 75664X A A SECONDARY TEACHER              1.00 $     32,712.96     1.00 $     32,712.96 05 T02 02/01/2010 EDN 100/AA 55689 T1 A EDUC ASST II              1.00 $     26,131.00     1.00 $     24,147.72 03 SR10 02/01/2010 EDN 100/AA 16438 J1 A SCHOOL CUSTODIAN II              0.50 $     16,614.00     0.50 $     16,614.00 01 BC02 02/01/2010 EDN 100/AA 28097 J1 A SCHOOL CUSTODIAN II              0.50 $     16,614.00     0.50 $     16,614.00 61 BC02 02/01/2010 EDN 100/AA 16298 J1 A SCHOOL CUSTODIAN II              1.00 $     33,228.00     1.00 $     33,228.00 61 BC02 02/01/2010 EDN 100/AA 16296 J1 A SCHOOL CUSTODIAN III              1.00 $     35,544.00     1.00 $     35,544.00 61 WS02 02/01/2010 EDN 100/AA 55557 J1 A CLERK TYPIST II              1.00 $     28,836.00     1.00 $     25,668.00 63 SR08 02/01/2010 EDN 100/AA 801445 T1 A EDUC ASST II              1.00 $     24,147.72     1.00 $     24,147.72 03 SR10 02/01/2010 EDN 150/FA 65160 J1 A SPEC ED TEACHER              1.00 $     46,609.00     1.00 $     43,157.04 05 T02 02/01/2010 EDN 150/FA 71140 J1 A SPEC ED TCHR/PRE‐SCHOOL              1.00 $     43,157.00     0.50 $     21,579.00 45 T02 02/01/2010 EDN 150/FA 71670 T1 A SPEC ED TEACHER              1.00 $     43,157.04     1.00 $     43,157.04 05 T02 02/01/2010 EDN 150/FA 49621 T1 A EDUC ASST III              1.00 $     26,131.00     1.00 $     26,131.36 03 SR12 02/01/2010 EDN 150/FA 57193 T1 A EDUC ASST III              0.75 $     20,366.00     0.75 $     19,598.52 03 SR12 02/01/2010 EDN 150/FA 56926 T1 A EDUC ASST III              1.00 $     28,209.00     1.00 $     26,131.36 03 SR12 02/01/2010 EDN 150/FA 57024 T1 A EDUC ASST I              0.75 $     19,599.00     0.75 $     16,748.37 03 SR08 02/01/2010 EDN 150/FA 56754 T1 A EDUC ASST III              0.50 $     14,104.00     0.50 $     13,065.68 03 SR12 02/01/2010 EDN 150/FA 56764 T1 A EDUC ASST II              1.00 $     26,131.00     1.00 $     24,147.72 03 SR10 02/01/2010 EDN 150/FA 57214 T1 A EDUC ASST III              0.75 $     19,599.00     0.75 $     19,598.52 03 SR12 02/01/2010 EDN 150/FA 801475 J1 A EDUC ASST II              0.50 $     12,073.86     0.50 $     12,073.86 03 SR10 02/01/2010 EDN 150/FA 801217 T1 A EDUC ASST II              1.00 $     24,147.72     1.00 $     24,147.72 03 SR10 02/01/2010 EDN 150/FA 801448 J1 A EDUC ASST III              1.00 $     26,131.36     1.00 $     26,131.36 03 SR12 02/01/2010 EDN 150/FB 61502 J1 A COUNSELOR              1.00 $     50,493.00     1.00 $     46,608.96 05 T03 02/01/2010 EDN 150/NB 800065 T1 N EDUC ASST III              1.00 $     26,131.36     1.00 $     26,131.36 03 SR12 02/01/2010 EDN 150/YC 59795 T1 A BEHAVIORAL HLTH SPCLT III              1.00 $     47,412.00     1.00 $     42,132.00 13 SR20 02/01/2010 EDN 150/YG 801381 J1 A CLERK TYPIST II              1.00 $     25,668.00     1.00 $     25,668.00 63 SR08 02/01/2010 EDN 300/UA 801158 J1 A DATA PROCSSG SYSTS ANAL II              1.00 $     51,312.00     1.00 $     38,988.00 13 SR18 02/01/2010 EDN 400/MD 59644 T1 N CAFETERIA HELPER              0.50 $     16,614.00     0.50 $     16,614.00 01 BC02 02/01/2010 EDN 400/MD 52940 T1 N CAFETERIA HELPER              0.50 $     16,614.00     0.50 $     16,614.00 01 BC02 02/02/2010 EDN 100/AA 71355 J1 A LIBRARIAN              1.00 $     68,845.00     1.00 $     46,608.96 05 T03 02/02/2010 EDN 150/FA 801476 J1 A EDUC ASST III              1.00 $     26,131.36     1.00 $     26,131.36 03 SR12 02/03/2010 EDN 100/AA 65300 J1 A SCH ATHLETIC DIR I              1.00 $     79,242.00     1.00 $     60,006.96 06 E01 Page 110 2011 Budget Briefing
  • 171.
    Department of Education Table 13 New Hires New Hire  Position  Perm/  Budgeted  Budgeted  Actual  BU  SR  Effective Date Prog ID/Org Number Temp MOF Position Title FTE  Salary  FTE  Actual Salary  Code Level 02/03/2010 EDN 100/AA 74818X A A SECONDARY TEACHER              1.00 $     32,712.96     1.00 $     32,712.96 05 T02 02/03/2010 EDN 150/FA 61377 J1 A SPEC ED TEACHER              1.00 $     56,740.00     1.00 $     43,157.04 05 T02 02/04/2010 EDN 100/AA 60968 J1 A SECONDARY TEACHER              1.00 $     33,694.00     1.00 $     43,157.04 05 T02 02/05/2010 EDN 100/AA 61686 J1 A SECONDARY TEACHER              1.00 $     66,397.00     1.00 $     43,157.04 05 T02 02/06/2010 EDN 100/AA 64441 J1 A SECONDARY TEACHER              1.00 $     49,535.00     1.00 $     43,157.04 05 T02 02/07/2010 EDN 100/AA 64559 J1 A SECONDARY TEACHER              1.00 $     79,170.00     1.00 $     46,608.96 05 T03 02/08/2010 EDN 100/AA 64671 J1 A SECONDARY TEACHER              1.00 $     68,408.00     1.00 $     46,608.96 05 T03 02/08/2010 EDN 100/AA 62233 J1 A SECONDARY TEACHER              1.00 $     43,157.00     1.00 $     46,608.96 05 T03 02/08/2010 EDN 100/AA 65030 J1 A SECONDARY TEACHER              1.00 $     78,808.00     1.00 $     46,608.96 05 T03 02/08/2010 EDN 100/AA 66713 J1 A SECONDARY TEACHER              1.00 $     48,008.00     1.00 $     46,608.96 05 T03 02/08/2010 EDN 100/AA 68383 J1 A ELEM TEACHER              1.00 $     50,931.00     1.00 $     48,008.16 05 T03 02/08/2010 EDN 100/AA 16302 J1 A SCHOOL CUSTODIAN II              0.50 $     16,614.00     0.75 $     24,921.00 01 BC02 02/08/2010 EDN 150/FA 61399 J1 A SPEC ED TCHR/PRE‐SCHOOL              1.00 $     63,297.00     1.00 $     46,608.96 05 T03 02/08/2010 EDN 150/YC 800863 T1 A BEHAVIORAL HLTH SPCLT IV              1.00 $     45,576.00     1.00 $     47,412.00 13 SR22 02/08/2010 EDN 400/MD 9523 J1 B SCHOOL COOK II              1.00 $     38,436.00     1.00 $     38,436.00 01 BC06 02/09/2010 EDN 100/AA 64940 J1 A SECONDARY TEACHER              1.00 $     51,426.00     1.00 $     46,608.96 05 T03 02/09/2010 EDN 150/YC 58369 J1 A BEHAVIORAL HLTH SPCLT III              1.00 $     45,576.00     1.00 $     42,132.00 13 SR20 02/10/2010 EDN 100/AA 64973 J1 A SECONDARY TEACHER              1.00 $     67,750.00     1.00 $     46,608.96 05 T03 02/10/2010 EDN 150/FA 67202 J1 A SPEC ED TEACHER              1.00 $     49,448.00     1.00 $     32,712.96 05 T02 02/11/2010 EDN 100/AA 66397 J1 A SECONDARY TEACHER              1.00 $     60,729.00     1.00 $     46,608.96 05 T03 02/11/2010 EDN 150/FA 73333 T1 A SPEC ED TEACHER              1.00 $     45,785.04     1.00 $     45,785.04 05 T02 02/11/2010 EDN 150/FA 57141 T1 A EDUC ASST II              1.00 $     27,154.00     1.00 $     24,147.72 03 SR10 02/12/2010 EDN 100/AA 67597 J1 A SECONDARY TEACHER              1.00 $     55,603.00     1.00 $     46,608.96 05 T03 02/13/2010 EDN 100/AA 67692 J1 A SECONDARY TEACHER              1.00 $     79,170.00     1.00 $     46,608.96 05 T03 02/14/2010 EDN 100/AA 67832 J1 A SECONDARY TEACHER              1.00 $     70,400.00     1.00 $     46,608.96 05 T03 02/15/2010 EDN 100/AA 68893 J1 A SECONDARY TEACHER              1.00 $     79,170.00     1.00 $     46,608.96 05 T03 02/16/2010 EDN 100/AA 68998 J1 A SECONDARY TEACHER              1.00 $     62,550.00     1.00 $     48,008.16 05 T03 02/16/2010 EDN 100/AA 55261 T1 A CLERK III              1.00 $     25,668.00     1.00 $     25,668.00 63 SR08 02/16/2010 EDN 100/AA 56344 J1 A LIBRARY ASSISTANT III              0.50 $     12,324.00     0.50 $     12,324.00 03 SR07 02/16/2010 EDN 100/AA 16110 J1 A SCHOOL CUSTODIAN II              0.50 $     16,614.00     0.50 $     16,614.00 01 BC02 02/16/2010 EDN 100/AA 42625 J1 A CLERK TYPIST II              0.50 $     16,878.00     0.50 $     12,834.00 63 SR08 02/16/2010 EDN 100/AA 45109 J1 A SCHOOL CUSTODIAN II              1.00 $     33,228.00     1.00 $     33,228.00 01 BC02 02/16/2010 EDN 100/AA 801405 T1 A SCHOOL SECURITY ATTENDANT              1.00 $     24,648.00     1.00 $     24,648.00 63 SR07 02/16/2010 EDN 100/DB 800127 T1 N EDUC ASST III              1.00 $     25,668.00     1.00 $     25,668.00 63 SR08 Page 111 2011 Budget Briefing
  • 172.
    Department of Education Table 13 New Hires New Hire  Position  Perm/  Budgeted  Budgeted  Actual  BU  SR  Effective Date Prog ID/Org Number Temp MOF Position Title FTE  Salary  FTE  Actual Salary  Code Level 02/16/2010 EDN 100/DB 800142 T1 N COMMUNICATION AIDE              1.00 $     30,036.00     1.00 $     30,036.00 63 SR12 02/16/2010 EDN 150/FA 67250 T1 A SPEC ED TEACHER              1.00 $     60,195.00     1.00 $     43,157.04 05 T02 02/16/2010 EDN 150/FA 69429 J1 A GEN EDUC/ARTICLE VI TCHR              1.00 $     58,959.00     1.00 $     48,008.16 05 T03 02/16/2010 EDN 150/FA 67200 J1 A SPEC ED TEACHER              1.00 $     32,712.96     1.00 $     32,712.96 05 T02 02/16/2010 EDN 150/FA 57584 T1 A EDUC ASST III              0.88 $     22,865.00     0.88 $     22,864.94 03 SR12 02/16/2010 EDN 150/FA 801480 J1 A EDUC ASST III              0.75 $     19,598.52     0.75 $     19,598.52 03 SR12 02/16/2010 EDN 150/YC 800858 T1 A BEHAVIORAL HLTH SPCLT IV              0.50 $     22,788.00     0.50 $     24,666.00 13 SR22 02/16/2010 EDN 150/YK 29446 J1 A SCHOOL HEALTH AIDE              1.00 $     27,907.00     1.00 $     21,693.00 63 SR09 02/16/2010 EDN 400/MD 22546 J1 B CAFETERIA HELPER              1.00 $     33,228.00     0.50 $     16,614.00 01 BC02 02/17/2010 EDN 100/AA 69150 J1 A SECONDARY TEACHER              1.00 $     72,513.00     1.00 $     32,712.96 05 T02 02/17/2010 EDN 100/AA 32482 J1 A SCHOOL CUSTODIAN II              0.50 $     16,614.00     0.50 $     16,614.00 01 BC02 02/17/2010 EDN 100/AA 26547 J1 A SCHOOL CUSTODIAN II              1.00 $     33,228.00     1.00 $     33,228.00 61 BC02 02/18/2010 EDN 100/AA 69156 J1 A SECONDARY TEACHER              1.00 $     51,426.00     1.00 $     46,608.96 05 T03 02/18/2010 EDN 100/AA 76211X A A SECONDARY TEACHER              1.00 $     51,426.00     1.00 $     51,426.00 05 T04 02/18/2010 EDN 100/AA 65490 J1 A ELEM TEACHER              1.00 $     47,080.00     1.00 $     49,448.16 05 T03 02/18/2010 EDN 100/AA 16111 J1 A SCHOOL CUSTODIAN II              0.50 $     16,614.00     0.50 $     16,614.00 01 BC02 02/19/2010 EDN 100/AA 69381 J1 A SECONDARY TEACHER              1.00 $     79,170.00     1.00 $     46,608.96 05 T03 02/19/2010 EDN 100/AA 68319 J1 A SECONDARY TEACHER              1.00 $     79,170.00     1.00 $     43,157.04 05 T02 02/20/2010 EDN 100/AA 71006 J1 A SECONDARY TEACHER              1.00 $     48,574.00     1.00 $     44,452.08 05 T02 02/21/2010 EDN 100/AA 71617 J1 A SECONDARY TEACHER              1.00 $     72,860.00     1.00 $     46,608.96 05 T03 02/22/2010 EDN 100/AA 72031 J1 A SECONDARY TEACHER              1.00 $     66,359.00     1.00 $     46,608.96 05 T03 02/22/2010 EDN 150/FA 76023 T1 A SPEC ED TEACHER              1.00 $     43,157.00     1.00 $     46,608.96 05 T03 02/22/2010 EDN 150/FA 68710 J1 A GEN EDUC/ARTICLE VI TCHR              1.00 $     43,157.00     1.00 $     43,157.04 05 T02 02/22/2010 EDN 150/FA 68228 J1 A SPEC ED TEACHER              1.00 $     32,712.96     1.00 $     32,712.96 05 T02 02/22/2010 EDN 150/SA 800296 J1 A SPEECH PATHOLOGIST IV              1.00 $     60,436.00     1.00 $     56,247.00 13 SR22 02/23/2010 EDN 100/AA 72049 J1 A SECONDARY TEACHER              1.00 $     72,513.00     1.00 $     43,157.04 05 T02 02/23/2010 EDN 150/YG 59555 J1 A BEHAVIORAL HLTH SPCLT III              1.00 $     47,412.00     1.00 $     42,132.00 13 SR20 02/24/2010 EDN 100/AA 72120 J1 A SECONDARY TEACHER              1.00 $     45,785.00     1.00 $     46,608.96 05 T03 02/24/2010 EDN 100/AA 22402 J1 A SCHOOL CUSTODIAN II              0.50 $     16,614.00     0.50 $     16,614.00 61 BC02 02/25/2010 EDN 100/AA 73753 J1 A SECONDARY TEACHER              1.00 $     68,351.00     1.00 $     32,712.96 05 T02 02/25/2010 EDN 150/FA 69412 J1 A SPEC ED TEACHER              1.00 $     43,157.00     1.00 $     43,157.04 05 T02 02/25/2010 EDN 150/FA 74332 J1 A SPEC ED TEACHER              1.00 $     47,080.00     1.00 $     43,157.04 05 T02 02/26/2010 EDN 100/AA 73874 J1 A SECONDARY TEACHER              1.00 $     79,170.00     1.00 $     46,608.96 05 T03 02/26/2010 EDN 100/AA 63562 J1 A SECONDARY TEACHER              1.00 $     49,448.00     1.00 $     37,481.04 05 T03 Page 112 2011 Budget Briefing
  • 173.
    Department of Education Table 13 New Hires New Hire  Position  Perm/  Budgeted  Budgeted  Actual  BU  SR  Effective Date Prog ID/Org Number Temp MOF Position Title FTE  Salary  FTE  Actual Salary  Code Level 02/26/2010 EDN 100/AA 63603 J1 A ELEM TEACHER              1.00 $     66,397.00     1.00 $     46,608.96 05 T03 02/26/2010 EDN 100/AA 69086 J1 A LIBRARIAN              1.00 $     80,465.00     1.00 $     46,608.96 05 T03 02/26/2010 EDN 100/BJ 73166 J1 A SECONDARY TEACHER              1.00 $     62,603.00     1.00 $     32,712.96 05 T02 02/26/2010 EDN 100/DB 79457 T1 N DIST OFF TCHR              1.00 $     43,157.04     1.00 $     43,157.04 05 T02 02/26/2010 EDN 150/FA 66617 J1 A SPEC ED TEACHER              1.00 $     46,609.00     1.00 $     46,608.96 05 T03 02/26/2010 EDN 150/FA 76024 T1 A SPEC ED TEACHER              1.00 $     58,959.00     1.00 $     32,712.96 05 T02 02/26/2010 EDN 150/FA 73933 T1 A SPEC ED TCHR/PRE‐SCHOOL              1.00 $     53,483.04     1.00 $     53,483.04 05 T05 02/26/2010 EDN 150/NB 79690 T1 N DIST OFF TCHR              1.00 $     32,712.96     1.00 $     32,712.96 05 T02 02/27/2010 EDN 100/AA 74483 J1 A SECONDARY TEACHER              1.00 $     45,785.00     1.00 $     46,608.96 05 T03 02/28/2010 EDN 100/BS 73491 T1 A ROTC INSTRUCTOR              1.00 $  103,290.00     1.00 $     60,612.00 55 ROTC 03/01/2010 EDN 100/AA 16255 J1 A SCHOOL CUSTODIAN III              1.00 $     35,544.00     1.00 $     35,544.00 01 WS02 03/01/2010 EDN 100/AA 33305 J1 A CLERK TYPIST II              0.50 $     15,606.00     0.50 $     12,834.00 63 SR08 03/01/2010 EDN 100/AA 36549 J1 A CLERK TYPIST II              1.00 $     33,756.00     1.00 $     25,668.00 63 SR08 03/01/2010 EDN 100/AA 38891 J1 A CLERK TYPIST II              0.50 $     17,532.00     0.50 $     12,834.00 03 SR08 03/01/2010 EDN 100/AA 40512 J1 A CLERK II              0.50 $     12,834.00     1.00 $     23,688.00 63 SR06 03/01/2010 EDN 100/AA 57659 J1 A SCHOOL SECURITY ATTENDANT              1.00 $     24,148.00     1.00 $     21,443.72 03 SR07 03/01/2010 EDN 100/AA 800009 J1 A EDUC ASST II              1.00 $     29,368.00     1.00 $     24,147.72 03 SR10 03/01/2010 EDN 100/AA 801502 T1 A CLERK TYPIST II              0.50 $     12,834.00     0.50 $     12,834.00 63 SR08 03/01/2010 EDN 100/BV 66120 T1 A SECONDARY TEACHER              1.00 $     62,550.00     1.00 $     43,157.04 05 T02 03/01/2010 EDN 100/DB 800129 T1 N EDUC ASST III              1.00 $     25,668.00     1.00 $     25,668.00 63 SR08 03/01/2010 EDN 100/DB 800131 T1 N EDUC ASST III              1.00 $     25,668.00     1.00 $     25,668.00 63 SR08 03/01/2010 EDN 100/DB 800143 T1 N EDUC ASST III              1.00 $     25,668.00     1.00 $     25,668.00 63 SR08 03/01/2010 EDN 100/DB 800145 T1 N EDUC ASST III              1.00 $     25,668.00     1.00 $     25,668.00 63 SR08 03/01/2010 EDN 100/DB 800147 T1 N EDUC ASST III              1.00 $     25,668.00     1.00 $     25,668.00 63 SR08 03/01/2010 EDN 100/DB 800148 T1 N EDUC ASST III              1.00 $     25,668.00     1.00 $     25,668.00 63 SR08 03/01/2010 EDN 150/FA 17916 J1 A EDUC ASST III              1.00 $     26,131.00     1.00 $     26,131.36 03 SR12 03/01/2010 EDN 150/FA 47129 J1 A EDUC ASST I              1.00 $     31,769.00     1.00 $     22,331.16 03 SR08 03/01/2010 EDN 150/FA 56829 T1 A EDUC ASST II              1.00 $     26,131.00     1.00 $     24,147.72 03 SR10 03/01/2010 EDN 150/FA 57228 T1 A EDUC ASST II              0.75 $     19,599.00     0.75 $     18,110.79 03 SR10 03/01/2010 EDN 150/FA 57241 T1 A EDUC ASST III              0.75 $     21,157.00     0.75 $     19,598.52 03 SR12 03/01/2010 EDN 150/FA 57541 T1 A EDUC ASST II              0.75 $     20,366.00     0.75 $     18,110.79 03 SR10 03/01/2010 EDN 150/FA 800500 T1 A EDUC ASST II              1.00 $     28,209.00     1.00 $     24,147.72 03 SR10 03/01/2010 EDN 150/FA 801286 T1 A EDUC ASST I              1.00 $     22,331.16     1.00 $     22,331.16 03 SR08 03/01/2010 EDN 150/FA 801449 J1 A EDUC ASST III              1.00 $     26,131.36     1.00 $     26,131.36 03 SR12 Page 113 2011 Budget Briefing
  • 174.
    Department of Education Table 13 New Hires New Hire  Position  Perm/  Budgeted  Budgeted  Actual  BU  SR  Effective Date Prog ID/Org Number Temp MOF Position Title FTE  Salary  FTE  Actual Salary  Code Level 03/01/2010 EDN 150/FA 801465 T1 A EDUC ASST II              1.00 $     24,147.72     1.00 $     24,147.72 03 SR10 03/01/2010 EDN 150/YC 59733 T1 A CLINICAL PSYCHOLOGIST V              1.00 $     68,160.00     1.00 $     60,744.00 13 SR24 03/01/2010 EDN 150/YK 29367 J1 A SCHOOL HEALTH AIDE              1.00 $     25,812.00     1.00 $     18,873.48 03 SR09 03/01/2010 EDN 400/MD 59895 T1 N CAFETERIA HELPER              0.50 $     16,614.00     0.50 $     16,614.00 01 BC02 03/01/2010 EDN 400/MD 57928 J1 B CAFETERIA HELPER              0.50 $     16,614.00     0.50 $     16,614.00 01 BC02 03/02/2010 EDN 150/FA 62858 J1 A GEN EDUC/ARTICLE VI TCHR              1.00 $     48,008.16     1.00 $     48,008.16 05 T03 03/02/2010 EDN 150/FA 54846 J1 A EDUC ASST I              0.63 $     19,066.00     0.63 $     13,956.98 03 SR08 03/03/2010 EDN 100/AA 55788 J1 A EDUC ASST III              1.00 $     31,769.00     1.00 $     26,131.36 03 SR12 03/03/2010 EDN 100/AA 801423 T1 A EDUC ASST III              0.50 $     13,065.68     0.50 $     13,065.68 03 SR12 03/03/2010 EDN 150/FA 63442 J1 A GEN EDUC/ARTICLE VI TCHR              1.00 $     48,008.16     1.00 $     48,008.16 05 T03 03/04/2010 EDN 150/FA 64504 J1 A GEN EDUC/ARTICLE VI TCHR              1.00 $     49,448.00     1.00 $     48,008.16 05 T03 03/05/2010 EDN 150/FA 68105 J1 A GEN EDUC/ARTICLE VI TCHR              1.00 $     43,157.04     1.00 $     43,157.04 05 T02 03/06/2010 EDN 150/FA 68739 T1 A GEN EDUC/ARTICLE VI TCHR              1.00 $     46,608.96     1.00 $     46,608.96 05 T03 03/07/2010 EDN 150/FA 75472 T1 A GEN EDUC/ARTICLE VI TCHR              1.00 $     51,426.00     1.00 $     43,157.04 05 T02 03/08/2010 EDN 100/AA 801489 T1 A SCHOOL SECURITY ATTENDANT              1.00 $     21,443.72     1.00 $     21,443.72 03 SR07 03/08/2010 EDN 150/FA 75626 T1 A GEN EDUC/ARTICLE VI TCHR              1.00 $     48,008.00     1.00 $     44,452.08 05 T02 03/08/2010 EDN 150/SA 30487 J1 A COMMUNICATION AIDE              1.00 $     37,135.00     1.00 $     26,131.36 03 SR12 03/08/2010 EDN 400/MD 59909 J1 A CAFETERIA HELPER              0.50 $     16,614.00     0.50 $     16,614.00 01 BC02 03/09/2010 EDN 150/FA 75696 T1 A GEN EDUC/ARTICLE VI TCHR              1.00 $     49,448.00     1.00 $     46,608.96 05 T03 03/10/2010 EDN 150/FA 75913 J1 A GEN EDUC/ARTICLE VI TCHR              1.00 $     48,204.00     1.00 $     32,712.96 05 T02 03/10/2010 EDN 400/MD 801488 T1 A CAFETERIA HELPER              0.50 $     16,614.00     0.50 $     16,614.00 01 BC02 03/11/2010 EDN 150/FA 61151 J1 A SPEC ED TCHR/PRE‐SCHOOL              1.00 $     63,297.00     1.00 $     32,712.96 05 T02 03/11/2010 EDN 400/MD 28149 T1 N CAFETERIA HELPER              0.50 $     16,614.00     0.50 $     16,614.00 01 BC02 03/12/2010 EDN 150/FA 69097 J1 A SPEC ED TCHR/PRE‐SCHOOL              1.00 $     55,087.00     1.00 $     32,712.96 05 T02 03/12/2010 EDN 400/MD 50424 J1 B SCHOOL COOK II              1.00 $     38,436.00     1.00 $     38,436.00 01 BC06 03/13/2010 EDN 150/FA 60558 T1 A SPEC ED TEACHER              1.00 $     43,157.00     1.00 $     43,157.04 05 T02 03/14/2010 EDN 150/FA 60992 J1 A SPEC ED TEACHER              1.00 $     55,622.00     1.00 $     46,608.96 05 T03 03/15/2010 EDN 150/FA 61299 J1 A SPEC ED TEACHER              1.00 $     45,785.00     1.00 $     48,008.16 05 T03 03/16/2010 EDN 100/AA 16414 J1 A SCHOOL CUSTODIAN II              1.00 $     33,228.00     0.50 $     16,614.00 01 BC02 03/16/2010 EDN 100/AA 801034 T1 A SCHOOL CUSTODIAN II              0.50 $     16,614.00     0.50 $     16,614.00 01 BC02 03/16/2010 EDN 100/AA 801383 T1 A SCHOOL CUSTODIAN II              0.50 $     16,614.00     0.50 $     16,614.00 01 BC02 03/16/2010 EDN 100/BM 52462 J1 A ATHLETIC HLTH CARE TRAINER              1.00 $     47,412.00     1.00 $     45,576.00 13 SR22 03/16/2010 EDN 150/FA 65988 J1 A SPEC ED TEACHER              1.00 $     57,291.00     1.00 $     32,712.96 05 T02 03/16/2010 EDN 400/OC 33426 J1 A PLUMBER I              1.00 $     49,320.00     1.00 $     46,236.00 61 BC10 Page 114 2011 Budget Briefing
  • 175.
    Department of Education Table 13 New Hires New Hire  Position  Perm/  Budgeted  Budgeted  Actual  BU  SR  Effective Date Prog ID/Org Number Temp MOF Position Title FTE  Salary  FTE  Actual Salary  Code Level 03/17/2010 EDN 150/FA 66614 J1 A SPEC ED TEACHER              1.00 $     46,609.00     1.00 $     43,157.04 05 T02 03/18/2010 EDN 100/AA 54936 J1 A SCHOOL CUSTODIAN II              0.50 $     16,614.00     0.50 $     16,614.00 01 BC02 03/18/2010 EDN 100/AA 801507 T1 A DP USER SUPPORT TECH II              1.00 $     33,756.00     1.00 $     33,756.00 63 SR15 03/18/2010 EDN 150/FA 67513 T1 A SPEC ED TEACHER              1.00 $     46,608.96     1.00 $     46,608.96 05 T03 03/19/2010 EDN 150/FA 68083 J1 A SPEC ED TEACHER              1.00 $     49,448.00     1.00 $     43,157.04 05 T02 03/20/2010 EDN 150/FA 68239 J1 A SPEC ED TEACHER              1.00 $     45,785.00     1.00 $     48,008.16 05 T03 03/21/2010 EDN 150/FA 68427 T1 A SPEC ED TEACHER              1.00 $     43,157.00     1.00 $     43,157.04 05 T02 03/22/2010 EDN 100/AA 40982 J1 A SCHOOL CUSTODIAN II              0.50 $     16,614.00     0.50 $     16,614.00 01 BC02 03/22/2010 EDN 100/AA 801350 T1 A SCHOOL SECURITY ATTENDANT              1.00 $     21,443.72     1.00 $     21,443.72 03 SR07 03/22/2010 EDN 100/AA 801473 T1 A SCHOOL CUSTODIAN II              0.50 $     16,614.00     0.50 $     16,614.00 01 BC02 03/22/2010 EDN 100/DB 800135 T1 N EDUC ASST III              1.00 $     25,668.00     1.00 $     25,668.00 63 SR08 03/22/2010 EDN 100/DB 800144 T1 N EDUC ASST III              1.00 $     25,668.00     1.00 $     25,668.00 63 SR08 03/22/2010 EDN 100/DB 800149 T1 N EDUC ASST II              1.00 $     25,668.00     1.00 $     25,668.00 63 SR08 03/22/2010 EDN 150/FA 68744 J1 A SPEC ED TEACHER              1.00 $     50,493.00     1.00 $     48,008.16 05 T03 03/22/2010 EDN 150/FA 46187 J1 A EDUC ASST II              1.00 $     33,032.00     1.00 $     24,147.72 03 SR10 03/22/2010 EDN 150/FA 47132 J1 A EDUC ASST II              1.00 $     29,368.00     1.00 $     24,147.72 03 SR10 03/22/2010 EDN 150/FA 56687 J1 A EDUC ASST I              0.75 $     20,366.00     0.75 $     16,748.37 03 SR08 03/22/2010 EDN 150/FA 56756 J1 A EDUC ASST II              0.50 $     13,066.00     0.50 $     12,073.86 03 SR10 03/22/2010 EDN 150/FA 56966 T1 A EDUC ASST III              1.00 $     26,131.00     1.00 $     26,131.36 03 SR12 03/22/2010 EDN 150/FA 57056 T1 A EDUC ASST II              1.00 $     29,368.00     1.00 $     24,147.72 03 SR10 03/22/2010 EDN 150/FA 57268 T1 A EDUC ASST II              0.50 $     13,066.00     0.75 $     18,110.79 03 SR10 03/22/2010 EDN 150/FA 58933 J1 A EDUC ASST III              0.75 $     19,599.00     0.75 $     19,598.52 03 SR12 03/22/2010 EDN 150/SA 33208 J1 A SPEECH PATHOLOGIST II              1.00 $     69,305.00     1.00 $     47,621.40 13 SR18 03/22/2010 EDN 150/YC 58640 J1 A BEHAVIORAL HLTH SPCLT III              1.00 $     45,576.00     1.00 $     42,132.00 13 SR20 03/23/2010 EDN 100/AA 40033 J1 A ACCOUNT CLERK IV              1.00 $     36,516.00     1.00 $     31,212.00 03 SR13 03/23/2010 EDN 150/FA 71151 T1 A SPEC ED TEACHER              1.00 $     58,959.00     1.00 $     43,157.04 05 T02 03/24/2010 EDN 150/FA 71286 J1 A SPEC ED TEACHER              1.00 $     43,157.04     1.00 $     43,157.04 05 T02 03/24/2010 EDN 150/FA 57147 T1 A EDUC ASST II              1.00 $     28,209.00     1.00 $     24,147.72 03 SR10 03/25/2010 EDN 150/FA 71477 J1 A SPEC ED TEACHER              1.00 $     45,785.00     1.00 $     43,157.04 05 T02 03/25/2010 EDN 150/FA 58814 T1 A EDUC ASST III              1.00 $     26,131.00     1.00 $     26,131.36 03 SR12 03/25/2010 EDN 150/YC 58457 T1 A BEHAVIORAL HLTH SPCLT III              1.00 $     45,576.00     1.00 $     42,132.00 13 SR20 03/25/2010 EDN 400/MD 44463 T1 N CAFETERIA HELPER              0.50 $     16,614.00     0.50 $     16,614.00 01 BC02 03/26/2010 EDN 150/FA 71695 T1 A SPEC ED TEACHER              1.00 $     32,713.00     1.00 $     43,157.04 05 T02 03/27/2010 EDN 150/FA 72480 J1 A SPEC ED TEACHER              1.00 $     49,448.00     1.00 $     32,712.96 05 T02 Page 115 2011 Budget Briefing
  • 176.
    Department of Education Table 13 New Hires New Hire  Position  Perm/  Budgeted  Budgeted  Actual  BU  SR  Effective Date Prog ID/Org Number Temp MOF Position Title FTE  Salary  FTE  Actual Salary  Code Level 03/28/2010 EDN 150/FA 72567 J1 A SPEC ED TEACHER              1.00 $     52,226.00     1.00 $     43,157.04 05 T02 03/29/2010 EDN 150/FA 73204 J1 A SPEC ED TEACHER              1.00 $     53,483.00     1.00 $     46,608.96 05 T03 03/29/2010 EDN 150/FA 58006 T1 A EDUC ASST III              0.75 $     19,599.00     0.75 $     19,598.52 03 SR12 03/29/2010 EDN 150/SA 56308 J1 A OCCUPATIONAL THERAPIST IV              1.00 $     60,696.00     1.00 $     54,636.00 13 SR22 03/29/2010 EDN 150/YG 801198 T1 A BEHAVIORAL HLTH SPCLT IV                ‐ $     49,332.00     1.00 $     49,332.00 13 SR22 03/29/2010 EDN 400/MD 801487 T1 A CAFETERIA HELPER              0.50 $     16,614.00     0.50 $     16,614.00 01 BC02 03/30/2010 EDN 150/FA 73685 T1 A SPEC ED TEACHER              1.00 $     43,157.04     1.00 $     43,157.04 05 T02 03/31/2010 EDN 150/FA 73736 J1 A SPEC ED TEACHER              1.00 $     43,157.04     1.00 $     43,157.04 05 T02 04/01/2010 EDN 100/AA 801446 T1 A EDUC ASST II              1.00 $     24,147.72     1.00 $     24,147.72 03 SR10 04/01/2010 EDN 150/FA 73906 J1 A SPEC ED TEACHER              1.00 $     43,157.00     1.00 $     43,157.04 05 T02 04/01/2010 EDN 150/FA 57422 T1 A EDUC ASST I              0.63 $     16,972.00     0.63 $     13,956.98 03 SR08 04/01/2010 EDN 150/FA 57827 T1 A EDUC ASST III              0.75 $     22,879.00     0.75 $     19,598.52 03 SR12 04/01/2010 EDN 150/NB 801457 T1 N EDUC ASST II              1.00 $     24,147.72     1.00 $     24,147.72 03 SR10 04/01/2010 EDN 150/YC 58519 J1 A BEHAVIORAL HLTH SPCLT IV              1.00 $     47,412.00     1.00 $     47,412.00 13 SR22 04/01/2010 EDN 400/MD 59892 T1 N CAFETERIA HELPER              0.50 $     16,614.00     0.50 $     16,614.00 01 BC02 04/02/2010 EDN 150/FA 73975 T1 A SPEC ED TEACHER              1.00 $     46,608.96     1.00 $     46,608.96 05 T03 04/03/2010 EDN 150/FA 74086 J1 A SPEC ED TEACHER              1.00 $     79,170.00     1.00 $     32,712.96 05 T02 04/04/2010 EDN 150/FA 74181 T1 A SPEC ED TEACHER              1.00 $     43,157.00     1.00 $     46,608.96 05 T03 04/05/2010 EDN 150/FA 76014 J1 A SPEC ED TEACHER              1.00 $     33,694.00     1.00 $     32,712.96 05 T02 04/05/2010 EDN 150/FA 57511 T1 A EDUC ASST II              0.75 $     20,366.00     0.75 $     18,110.79 63 SR10 04/05/2010 EDN 150/FA 800660 T1 A EDUC ASST II              1.00 $     26,131.00     1.00 $     24,147.72 63 SR10 04/05/2010 EDN 150/SA 30563 J1 A PHYSICAL THERAPIST IV              1.00 $     57,828.00     1.00 $     56,076.00 13 SR22 04/05/2010 EDN 150/YG 800266 J1 A EDUC ASST II              1.00 $     27,154.00     1.00 $     24,147.72 03 SR10 04/06/2010 EDN 100/AA 56614 J1 A CLERK TYPIST II              0.75 $     22,527.00     0.75 $     19,251.00 63 SR08 04/06/2010 EDN 100/AA 801421 T1 A CLERK TYPIST II              0.50 $     12,834.00     0.50 $     12,834.00 63 SR08 04/06/2010 EDN 100/DB 800144 T1 N EDUC ASST III              1.00 $     25,668.00     1.00 $     25,668.00 63 SR08 04/06/2010 EDN 150/FA 76025 J1 A SPEC ED TEACHER              1.00 $     54,778.00     1.00 $     46,608.96 05 T03 04/06/2010 EDN 400/OC 33427 J1 A PLUMBER I              1.00 $     49,320.00     1.00 $     46,253.76 61 BC10 04/06/2010 EDN 500/PC 47280 J1 A CLERK TYPIST II              0.50 $     12,834.00     0.50 $     12,834.00 63 SR08 04/07/2010 EDN 300/KO 74637 J1 A PERS REGIONAL OFFICER II              1.00 $     80,350.00     1.00 $     77,069.04 56 E07 04/08/2010 EDN 150/YC 800447 J1 A SCHOOL PSYCHOLOGIST              1.00 $     67,428.00     1.00 $     51,312.00 73 SR24 04/09/2010 EDN 100/AA 59821 J1 A SCHOOL SECURITY ATTENDANT              1.00 $     26,131.00     1.00 $     21,443.72 03 SR07 04/12/2010 EDN 100/AA 18688 J1 A SCHOOL CUSTODIAN II              0.50 $     16,614.00     0.50 $     16,614.00 01 BC02 04/12/2010 EDN 100/AA 40155 J1 A SCHOOL CUSTODIAN II              0.50 $     16,614.00     0.50 $     16,614.00 01 BC02 Page 116 2011 Budget Briefing
  • 177.
    Department of Education Table 13 New Hires New Hire  Position  Perm/  Budgeted  Budgeted  Actual  BU  SR  Effective Date Prog ID/Org Number Temp MOF Position Title FTE  Salary  FTE  Actual Salary  Code Level 04/12/2010 EDN 150/FA 57610 T1 A EDUC ASST III              0.75 $     19,599.00     0.75 $     19,598.52 63 SR12 04/12/2010 EDN 150/FA 801407 T1 A EDUC ASST I              0.50 $     11,165.58     0.50 $     11,165.58 63 SR08 04/13/2010 EDN 150/YC 58385 J1 A BEHAVIORAL HLTH SPCLT III              1.00 $     45,576.00     1.00 $     42,132.00 73 SR20 04/16/2010 EDN 100/AA 22644 J1 A SCHOOL CUSTODIAN II              0.50 $     16,614.00     0.50 $     16,614.00 01 BC02 04/16/2010 EDN 100/AA 55138 J1 A EDUC ASST III              0.50 $     13,577.00     0.50 $     13,065.68 03 SR12 04/16/2010 EDN 100/AA 56438 J1 A CLERK TYPIST II              1.00 $     25,668.00     1.00 $     25,668.00 03 SR08 04/16/2010 EDN 100/AA 801235 T1 A EDUC ASST I              1.00 $     22,331.16     1.00 $     22,331.16 63 SR08 04/16/2010 EDN 100/DB 801484 T1 N CLERK TYPIST II              1.00 $     25,668.00     1.00 $     25,668.00 03 SR08 04/16/2010 EDN 150/FA 53138 J1 A EDUC ASST II              0.75 $     19,599.00     0.75 $     18,110.79 03 SR10 04/16/2010 EDN 150/FA 56972 T1 A EDUC ASST II              1.00 $     27,154.00     1.00 $     24,147.72 63 SR10 04/16/2010 EDN 150/FA 801335 T1 A EDUC ASST III              1.00 $     26,131.36     1.00 $     26,131.36 63 SR12 04/16/2010 EDN 150/NB 58145 T1 N EDUC ASST II              1.00 $     24,147.72     1.00 $     24,147.72 63 SR10 04/16/2010 EDN 150/NB 58147 T1 N EDUC ASST III              1.00 $     26,131.36     1.00 $     26,131.36 63 SR12 04/16/2010 EDN 150/SA 30494 J1 A COMMUNICATION AID              0.50 $     15,885.00     0.50 $     15,017.60 63 SR12 04/16/2010 EDN 400/MD 55387 J1 B CAFETERIA HELPER              0.50 $     16,614.00     0.50 $     16,614.00 01 BC02 04/19/2010 EDN 100/AA 21886 J1 A SCHOOL CUSTODIAN II              0.50 $     16,614.00     0.50 $     16,614.00 61 BC02 04/19/2010 EDN 100/AA 801077 T1 A CLERK TYPIST II              1.00 $     25,668.00     1.00 $     25,668.00 63 SR08 04/19/2010 EDN 150/FA 56039 T1 A EDUC ASST III              1.00 $     26,131.00     1.00 $     26,131.36 63 SR12 04/20/2010 EDN 150/NB 800180 T1 N EDUC ASST I              0.75 $     16,748.37     0.75 $     16,748.37 63 SR08 04/20/2010 EDN 150/YG 801308 J1 A BEHAVIORAL HLTH SPCLT III              1.00 $     42,132.00     1.00 $     42,132.00 13 SR20 04/21/2010 EDN 100/AA 45206 J1 A CLERK TYPIST II              1.00 $     25,668.00     1.00 $     25,668.00 63 SR08 04/21/2010 EDN 100/AA 54875 T1 A CLERK III              0.50 $     14,418.00     0.50 $     12,834.00 63 SR08 04/26/2010 EDN 100/AA 55284 J1 A CLERK III              0.50 $     12,834.00     0.50 $     12,834.00 63 SR08 04/26/2010 EDN 150/YG 800275 J1 A EDUC ASST II              1.00 $     26,131.00     1.00 $     24,147.72 03 SR10 04/26/2010 EDN 400/MD 57700 J1 B CAFETERIA HELPER              0.50 $     16,614.00     0.50 $     16,614.00 01 BC02 04/29/2010 EDN 150/FA 56765 T1 A EDUC ASST III              0.50 $     13,577.00     0.50 $     13,065.68 03 SR12 05/03/2010 EDN 100/AA 56588 J1 A CLERK TYPIST II              0.50 $     12,834.00     0.50 $     12,834.00 63 SR08 05/03/2010 EDN 100/AA 56614 J1 A CLERK TYPIST II              0.75 $     22,527.00     0.75 $     19,251.00 03 SR08 05/03/2010 EDN 100/AA 801490 T1 A SCHOOL CUSTODIAN II              0.50 $     16,614.00     0.50 $     16,614.00 61 BC02 05/03/2010 EDN 100/AA 27114 J1 A CLERK TYPIST II              1.00 $     27,756.00     1.00 $     25,668.00 63 SR08 05/03/2010 EDN 100/AA 36421 J1 A CLERK TYPIST II              1.00 $     31,212.00     1.00 $     25,668.00 63 SR08 05/03/2010 EDN 150/FA 57369 T1 A EDUC ASST II              0.75 $     19,599.00     0.75 $     18,110.79 63 SR10 05/03/2010 EDN 150/FA 57508 J1 A EDUC ASST II              1.00 $     27,154.00     0.75 $     18,110.79 63 SR10 05/03/2010 EDN 150/FA 57301 T1 A EDUC ASST II              0.75 $     20,366.00     0.75 $     18,110.79 63 SR10 Page 117 2011 Budget Briefing
  • 178.
    Department of Education Table 13 New Hires New Hire  Position  Perm/  Budgeted  Budgeted  Actual  BU  SR  Effective Date Prog ID/Org Number Temp MOF Position Title FTE  Salary  FTE  Actual Salary  Code Level 05/03/2010 EDN 150/FA 55051 J1 A EDUC ASST III              0.75 $     19,599.00     0.75 $     19,598.52 03 SR12 05/03/2010 EDN 150/FA 55423 J1 A EDUC ASST III              0.88 $     22,865.00     0.88 $     22,864.94 03 SR12 05/03/2010 EDN 150/YC 58483 T1 A BEHAVIORAL HLTH SPCLT III              1.00 $     45,576.00     1.00 $     42,132.00 73 SR20 05/03/2010 EDN 150/YG 801071 T1 A EDUC ASST III              1.00 $     30,036.00     1.00 $     30,036.00 63 SR12 05/03/2010 EDN 300/KF 66414 J1 A ACCTG OPERATION SPEC III              1.00 $     84,947.00     1.00 $     87,340.08 06 E08 05/03/2010 EDN 300/KF 59881 J1 A AUDITOR V              1.00 $     62,424.00     1.00 $     60,024.00 13 SR24 05/03/2010 EDN 400/MD 45866 T1 N CAFETERIA HELPER              0.50 $     16,614.00     0.50 $     16,614.00 01 BC02 05/04/2010 EDN 150/NB 800182 T1 N EDUC ASST III              1.00 $     26,131.36     1.00 $     26,131.36 63 SR12 05/04/2010 EDN 150/SA 33176 J1 A SPEECH PATHOLOGIST IV              1.00 $     57,999.00     1.00 $     56,247.00 13 SR22 05/17/2010 EDN 100/AA 801194 T1 A CLERK TYPIST II              1.00 $     25,668.00     1.00 $     25,668.00 63 SR08 05/17/2010 EDN 100/AA 22229 J1 A SCHOOL CUSTODIAN II              0.50 $     16,614.00     0.50 $     16,614.00 01 BC02 05/17/2010 EDN 100/AA 801405 T1 A SCHOOL SECURITY ATTENDANT              1.00 $     21,443.72     1.00 $     21,443.72 63 SR07 05/17/2010 EDN 100/AA 41721 J1 A CLERK TYPIST II              1.00 $     30,036.00     0.50 $     12,834.00 63 SR08 05/17/2010 EDN 100/AA 4091 J1 A ACCOUNT CLERK III              1.00 $     28,836.00     1.00 $     28,836.00 03 SR11 05/17/2010 EDN 150/FA 24757 J1 A EDUC ASST II              1.00 $     31,769.00     1.00 $     24,147.72 03 SR10 05/17/2010 EDN 150/YC 58091 J1 A SOCIAL WORKER IV              1.00 $     47,412.00     1.00 $     45,576.00 73 SR22 05/17/2010 EDN 150/YG 800276 J1 A EDUC ASST II              1.00 $     27,154.00     1.00 $     24,147.72 03 SR10 05/17/2010 EDN 200/GN 76371 T1 A DISTRICT EDUC SPEC II              1.00 $     77,069.04     1.00 $     77,069.04 06 E07 05/21/2010 EDN 100/AA 801186 T1 A SCHOOL SECURITY ATTENDANT              1.00 $     24,648.00     1.00 $     24,648.00 63 SR07 05/21/2010 EDN 100/AA 59748 T1 A SCHOOL SECURITY ATTENDANT              1.00 $     21,444.00     1.00 $     24,648.00 63 SR07 05/21/2010 EDN 100/AA 800736 T1 A SCHOOL SECURITY ATTENDANT              1.00 $     21,444.00     1.00 $     24,648.00 63 SR07 06/01/2010 EDN 100/AA 14709 J1 A CLERK TYPIST II              1.00 $     27,756.00     1.00 $     25,668.00 03 SR08 06/01/2010 EDN 150/YC 58386 T1 A BEHAVIORAL HLTH SPCLT III              1.00 $     45,576.00     1.00 $     42,132.00 73 SR20 06/01/2010 EDN 300/KO 69986 J1 A PERSONNEL SPECIALIST II              1.00 $     81,475.00     1.00 $     77,069.00 56 E07 06/08/2010 EDN 400/MB 36219 T1 N ACCOUNT CLERK IV              1.00 $     41,040.00     1.00 $     16,211.00 63 SR13 06/14/2010 EDN 100/AA 16113 J1 A SCHOOL CUSTODIAN II              0.50 $     16,614.00     0.50 $     16,614.00 01 BC02 06/14/2010 EDN 150/YC 800567 T1 A SCHOOL PSYCHOLOGIST              1.00 $     60,756.00     1.00 $     26,644.00 73 SR24 06/16/2010 EDN 400/MD 2007 J1 A SCHOOL BAKER              1.00 $     38,436.00     1.00 $     38,436.00 01 BC06 06/16/2010 EDN 400/MD 801155 T1 N CLERK TYPIST II              1.00 $     25,668.00     1.00 $     25,668.00 03 SR08 06/16/2010 EDN 400/MD 801151 T1 N CLERK TYPIST II              1.00 $     25,668.00     1.00 $     25,668.00 03 SR08 06/16/2010 EDN 400/OC 17159 J1 A PLUMBER I              1.00 $     49,320.00     1.00 $     46,236.00 01 BC10 06/21/2010 EDN 100/AA 16157 J1 A SCHOOL CUSTODIAN II              1.00 $     33,228.00     0.50 $     16,614.00 01 BC02 06/21/2010 EDN 400/MD 801154 T1 N CLERK TYPIST II              1.00 $     25,668.00     1.00 $     25,668.00 03 SR08 06/25/2010 EDN 200/GH 57913 J1 B DATA PROCSSG SYSTS ANAL IV              1.00 $     45,576.00     1.00 $     45,576.00 13 SR22 Page 118 2011 Budget Briefing
  • 179.
    Department of Education Table 13 New Hires New Hire  Position  Perm/  Budgeted  Budgeted  Actual  BU  SR  Effective Date Prog ID/Org Number Temp MOF Position Title FTE  Salary  FTE  Actual Salary  Code Level 06/28/2010 EDN 400/OC 17197 J1 A GENERAL LABORER II              1.00 $     34,164.00     1.00 $     17,744.00 01 BC03 07/01/2010 EDN 100/AA 73468 T1 A ELEM TEACHER              1.00 $     43,157.04     1.00 $     43,157.04 05 T02 07/01/2010 EDN 100/AA 56273 T1 A CLERK III              0.50 $     15,018.00     0.50 $     12,834.00 03 SR08 07/01/2010 EDN 100/AA 73013 J1 A 12‐MO STUDENT SVCS COORD              1.00 $     61,117.00     1.00 $     46,608.96 05 T03 07/01/2010 EDN 100/AA 56170 J1 A ACCOUNT CLERK II              1.00 $     25,668.00     1.00 $     25,668.00 03 SR08 07/01/2010 EDN 100/AA 16610 J1 A SCHOOL CUSTODIAN II              1.00 $     33,228.00     1.00 $     33,228.00 01 BC02 07/01/2010 EDN 150/FA 71402 J1 A SPEC ED TEACHER              1.00 $     33,694.00     1.00 $     43,157.04 05 T02 07/01/2010 EDN 150/FA 76339 J1 A SPEC ED TEACHER              1.00 $     57,324.00     1.00 $     43,157.04 05 T02 07/01/2010 EDN 300/UA 73064 J1 A TELECOMM NETWORK SPEC II              1.00 $  100,367.00     1.00 $     77,069.04 06 E07 07/01/2010 EDN 300/UA 73085 J1 A TELECOMM SPEC II              1.00 $  104,642.00     1.00 $     77,069.04 06 E07 07/07/2010 EDN 100/AA 801406 T1 A DP USER SUPPORT TECH II              1.00 $     17,528.40     1.00 $     17,528.40 63 SR15 07/07/2010 EDN 100/AA 801232 T1 A ACCOUNT CLERK II              1.00 $     13,327.00     1.00 $     13,327.20 63 SR08 07/08/2010 EDN 100/AA 71879 J1 A ELEM TEACHER              1.00 $     45,785.00     1.00 $     43,157.04 05 T02 07/08/2010 EDN 100/AA 56533 J1 A ACCOUNT CLERK II              1.00 $     27,756.00     1.00 $     25,668.00 03 SR08 07/08/2010 EDN 150/FA 76169 J1 A SPEC ED TEACHER              1.00 $     58,959.00     1.00 $     43,157.04 05 T02 07/12/2010 EDN 100/AA 16412 J1 A SCHOOL CUSTODIAN II              1.00 $     33,228.00     0.50 $     16,614.00 01 BC02 07/12/2010 EDN 150/FA 56928 T1 A EDUC ASST II              1.00 $     27,154.00     1.00 $     25,030.08 03 SR12 07/12/2010 EDN 150/YC 33165 J1 A SCHOOL PSYCHOLOGIST              1.00 $     46,803.00     1.00 $     51,312.00 13 SR24 07/12/2010 EDN 300/KO 5043 J1 A SECRETARY II              1.00 $     58,440.00     1.00 $     16,837.20 63 SR14 07/14/2010 EDN 100/AA 801580 T1 A CLERK TYPIST II              1.00 $     13,327.20     1.00 $     13,327.20 63 SR08 07/15/2010 EDN 100/BS 73397 T1 A ROTC INSTRUCTOR              1.00 $     76,054.00     1.00 $     77,700.00 55 ROTC 07/15/2010 EDN 100/BS 73383 T1 A ROTC INSTRUCTOR              1.00 $     88,094.00     1.00 $  112,176.00 55 ROTC 07/16/2010 EDN 100/AA 801566 T1 A SCHOOL SAFETY AND SECURITY OF              1.00 $     16,210.80     1.00 $     16,210.80 84 SR13 07/16/2010 EDN 100/AA 56508 J1 A CLERK TYPIST II              0.50 $     14,418.00     0.50 $       6,663.60 63 SR08 07/16/2010 EDN 100/AA 56608 J1 A CLERK TYPIST II              0.50 $     14,418.00     0.50 $     12,834.00 03 SR08 07/16/2010 EDN 100/AA 56616 J1 A CLERK TYPIST II              0.50 $     13,878.00     0.50 $     12,834.00 03 SR08 07/16/2010 EDN 100/AA 45148 J1 A CLERK II              1.00 $     32,424.00     1.00 $     23,688.00 03 SR06 07/16/2010 EDN 100/AA 59720 J1 A SCHOOL CUSTODIAN II              0.50 $     16,614.00     0.50 $     16,614.00 01 BC02 07/19/2010 EDN 100/AA 801513 J1 A DP USER SUPPORT TECH II              1.00 $     17,528.00     1.00 $     17,528.40 63 SR15 07/19/2010 EDN 150/SA 801320 J1 A EDUCATIONAL INTERPRETER I              1.00 $     30,036.00     1.00 $     30,036.00 03 SR12 07/19/2010 EDN 150/SA 801321 J1 A EDUCATIONAL INTERPRETER I              1.00 $     30,036.00     1.00 $     30,036.00 03 SR12 07/19/2010 EDN 150/YC 46659 J1 A BEHAVIORAL HLTH SPCLT III              1.00 $     47,412.00     1.00 $     45,576.00 13 SR22 07/20/2010 EDN 100/AA 801565 T1 A SCHOOL SAFETY AND SECURITY OF              1.00 $     16,210.80     1.00 $     16,210.80 84 SR13 07/20/2010 EDN 150/YC 58650 T1 A BEHAVIORAL SPECIALIST III              1.00 $     49,332.00     1.00 $     21,880.80 73 SR20 Page 119 2011 Budget Briefing
  • 180.
    Department of Education Table 13 New Hires New Hire  Position  Perm/  Budgeted  Budgeted  Actual  BU  SR  Effective Date Prog ID/Org Number Temp MOF Position Title FTE  Salary  FTE  Actual Salary  Code Level 07/21/2010 EDN 400/MD 801150 T1 N CLERK TYPIST II              1.00 $     25,668.00     1.00 $     25,668.00 63 SR08 07/22/2010 EDN 100/AA 801560 T1 A SCHOOL SAFETY AND SECURITY OF              1.00 $     16,210.80     1.00 $     16,210.80 84 SR13 07/23/2010 EDN 100/AA 55284 J1 A CLERK III              0.50 $     12,834.00     0.50 $     12,834.00 03 SR08 07/23/2010 EDN 100/AA 1837 J1 A SCHOOL ADM SERVICES ASST I              1.00 $     48,048.00     1.00 $     30,036.00 04 SR12 07/23/2010 EDN 400/MD 2015 J1 A SCHOOL FOOD SERVICES MGR I              1.00 $     44,957.00     1.00 $     39,972.00 02 WF06 07/27/2010 EDN 100/AA 801563 T1 A SCHOOL SAFETY AND SECURITY OF              1.00 $     16,210.80     1.00 $     16,210.80 84 SR13 07/27/2010 EDN 100/AA 801564 T1 A SCHOOL SAFETY AND SECURITY OF              1.00 $     16,210.80     1.00 $     16,210.80 84 SR13 07/27/2010 EDN 100/AA 600604 T1 A SECONDARY TEACHER              1.00 $     40,566.96     1.00 $     40,566.96 05 T02 07/27/2010 EDN 100/AA 600624 T1 A SECONDARY TEACHER              1.00 $     43,157.04     1.00 $     43,157.04 05 T02 07/27/2010 EDN 100/AA 600626 T1 A ELEM TEACHER              1.00 $     46,608.96     1.00 $     46,608.96 05 T03 07/27/2010 EDN 100/AA 600629 T1 A SECONDARY TEACHER              1.00 $     43,157.04     1.00 $     43,157.04 05 T02 07/27/2010 EDN 100/AA 600631 T1 A ELEM TEACHER              1.00 $     46,608.96     1.00 $     46,608.96 05 T03 07/27/2010 EDN 100/AA 600635 T1 A SECONDARY TEACHER              0.50 $     21,578.52     0.50 $     21,578.52 45 T02 07/27/2010 EDN 100/AA 600637 T1 A ELEM TEACHER              1.00 $     48,008.16     1.00 $     48,008.16 05 T03 07/27/2010 EDN 100/AA 600640 T1 A ELEM TEACHER              1.00 $     40,566.96     1.00 $     40,566.96 05 T02 07/27/2010 EDN 100/AA 600688 T1 A SECONDARY TEACHER              1.00 $     43,157.04     1.00 $     43,157.04 05 T02 07/27/2010 EDN 100/AA 600689 T1 A ELEM TEACHER              1.00 $     43,157.04     1.00 $     43,157.04 05 T02 07/27/2010 EDN 100/AA 600693 T1 A SECONDARY TEACHER              1.00 $     46,608.96     1.00 $     46,608.96 05 T03 07/27/2010 EDN 100/AA 600695 T1 A ELEM TEACHER              1.00 $     43,157.04     1.00 $     43,157.04 05 T02 07/27/2010 EDN 100/AA 600699 T1 A ELEM TEACHER              1.00 $     43,157.04     1.00 $     43,157.04 05 T02 07/27/2010 EDN 100/AA 600703 T1 A SECONDARY TEACHER              1.00 $     44,452.08     1.00 $     44,452.08 05 T02 07/27/2010 EDN 100/AA 600704 T1 A SECONDARY TEACHER              1.00 $     40,566.96     1.00 $     40,566.96 05 T02 07/27/2010 EDN 100/AA 600710 T1 A ELEM TEACHER              1.00 $     40,566.96     1.00 $     40,566.96 05 T02 07/27/2010 EDN 100/AA 600723 T1 A ELEM TEACHER              1.00 $     46,608.96     1.00 $     46,608.96 05 T03 07/27/2010 EDN 100/AA 600727 T1 A ELEM TEACHER              1.00 $     46,608.96     1.00 $     46,608.96 05 T03 07/27/2010 EDN 100/AA 600738 T1 A SECONDARY TEACHER              1.00 $     46,608.96     1.00 $     46,608.96 05 T03 07/27/2010 EDN 100/AA 600744 T1 A ELEM TEACHER              1.00 $     43,157.04     1.00 $     43,157.04 05 T02 07/27/2010 EDN 100/AA 600769 T1 A SECONDARY TEACHER              1.00 $     46,608.96     1.00 $     46,608.96 05 T03 07/27/2010 EDN 100/AA 600773 T1 A ELEM TEACHER              1.00 $     32,712.96     1.00 $     32,712.96 05 T02 07/27/2010 EDN 100/AA 600798 T1 A ELEM TEACHER              1.00 $     43,157.04     1.00 $     43,157.04 05 T02 07/27/2010 EDN 100/AA 600803 T1 A ELEM TEACHER              1.00 $     43,157.04     1.00 $     43,157.04 05 T02 07/27/2010 EDN 100/AA 600808 T1 A ELEM TEACHER              1.00 $     46,608.96     1.00 $     46,608.96 05 T03 07/27/2010 EDN 100/AA 600822 T1 A ELEM TEACHER              1.00 $     46,608.96     1.00 $     46,608.96 05 T03 07/27/2010 EDN 100/AA 68128 J1 A SECONDARY TEACHER              1.00 $     32,713.00     1.00 $     48,008.16 05 T03 Page 120 2011 Budget Briefing
  • 181.
    Department of Education Table 13 New Hires New Hire  Position  Perm/  Budgeted  Budgeted  Actual  BU  SR  Effective Date Prog ID/Org Number Temp MOF Position Title FTE  Salary  FTE  Actual Salary  Code Level 07/27/2010 EDN 100/AA 64570 J1 A SECONDARY TEACHER              1.00 $     32,713.00     1.00 $     40,566.96 05 T02 07/27/2010 EDN 100/AA 74277 J1 A SECONDARY TEACHER              1.00 $     33,694.00     1.00 $     44,452.08 05 T02 07/27/2010 EDN 100/AA 73711 J1 A SECONDARY TEACHER              1.00 $     34,705.00     1.00 $     43,157.04 05 T02 07/27/2010 EDN 100/AA 64576 J1 A SECONDARY TEACHER              1.00 $     34,705.00     1.00 $     46,608.96 05 T03 07/27/2010 EDN 100/AA 65881 J1 A SECONDARY TEACHER              1.00 $     35,705.00     1.00 $     46,608.96 05 T03 07/27/2010 EDN 100/AA 74282 J1 A SECONDARY TEACHER              1.00 $     37,481.00     1.00 $     43,157.04 05 T02 07/27/2010 EDN 100/AA 72200 J1 A SECONDARY TEACHER              1.00 $     37,481.00     1.00 $     32,712.96 05 T02 07/27/2010 EDN 100/AA 72022 J1 A SECONDARY TEACHER              1.00 $     41,862.00     1.00 $     40,566.96 05 T02 07/27/2010 EDN 100/AA 64078 J1 A SECONDARY TEACHER              1.00 $     41,862.00     1.00 $     46,608.96 05 T03 07/27/2010 EDN 100/AA 71881 J1 A ELEM TEACHER              1.00 $     43,157.00     1.00 $     43,157.04 05 T02 07/27/2010 EDN 100/AA 69927 J1 A ELEM TEACHER              1.00 $     43,157.00     1.00 $     40,566.96 05 T02 07/27/2010 EDN 100/AA 65697 J1 A ELEM TEACHER              1.00 $     43,157.00     1.00 $     43,157.04 05 T02 07/27/2010 EDN 100/AA 64937 J1 A SECONDARY TEACHER              1.00 $     43,157.00     1.00 $     40,566.96 05 T02 07/27/2010 EDN 100/AA 64528 J1 A SECONDARY TEACHER              1.00 $     43,157.00     1.00 $     43,157.04 05 T02 07/27/2010 EDN 100/AA 62354 J1 A SECONDARY TEACHER              1.00 $     43,157.00     1.00 $     35,328.96 05 T03 07/27/2010 EDN 100/AA 63182 J1 A SECONDARY TEACHER              1.00 $     43,812.00     1.00 $     40,566.96 05 T02 07/27/2010 EDN 100/AA 68649 J1 A SECONDARY TEACHER              1.00 $     44,452.00     1.00 $     46,608.96 05 T03 07/27/2010 EDN 100/AA 68344 J1 A ELEM TEACHER              1.00 $     44,452.00     1.00 $     43,157.04 05 T02 07/27/2010 EDN 100/AA 67560 J1 A SECONDARY TEACHER              1.00 $     44,452.00     1.00 $     43,157.04 05 T02 07/27/2010 EDN 100/AA 65887 J1 A SECONDARY TEACHER              1.00 $     44,452.00     1.00 $     32,712.96 05 T02 07/27/2010 EDN 100/AA 65839 J1 A ELEM TEACHER              1.00 $     44,452.00     1.00 $     43,157.04 05 T02 07/27/2010 EDN 100/AA 64958 J1 A SECONDARY TEACHER              1.00 $     44,452.00     1.00 $     43,157.04 05 T02 07/27/2010 EDN 100/AA 63090 J1 A ELEM TEACHER              1.00 $     44,452.00     1.00 $     43,157.04 05 T02 07/27/2010 EDN 100/AA 61409 J1 A ELEM TEACHER              1.00 $     44,452.00     1.00 $     40,566.96 05 T02 07/27/2010 EDN 100/AA 75155 J1 A SECONDARY TEACHER              1.00 $     45,785.00     1.00 $     46,608.96 05 T03 07/27/2010 EDN 100/AA 72835 J1 A SECONDARY TEACHER              1.00 $     45,785.00     1.00 $     46,608.96 05 T03 07/27/2010 EDN 100/AA 69625 J1 A SECONDARY TEACHER              1.00 $     45,785.00     1.00 $     43,157.04 05 T02 07/27/2010 EDN 100/AA 69076 J1 A SECONDARY TEACHER              1.00 $     45,785.00     1.00 $     43,157.04 05 T02 07/27/2010 EDN 100/AA 68737 J1 A ELEM TEACHER              1.00 $     45,785.00     1.00 $     43,157.04 05 T02 07/27/2010 EDN 100/AA 68347 J1 A ELEM TEACHER              1.00 $     45,785.00     1.00 $     43,157.04 05 T02 07/27/2010 EDN 100/AA 64759 J1 A SECONDARY TEACHER              1.00 $     45,785.00     1.00 $     46,608.96 05 T03 07/27/2010 EDN 100/AA 63664 J1 A SECONDARY TEACHER              1.00 $     45,785.00     1.00 $     43,157.04 05 T02 07/27/2010 EDN 100/AA 62705 J1 A ELEM TEACHER              1.00 $     45,785.00     1.00 $     43,157.04 05 T02 07/27/2010 EDN 100/AA 61426 J1 A SECONDARY TEACHER              1.00 $     45,785.00     1.00 $     48,008.16 05 T03 Page 121 2011 Budget Briefing
  • 182.
    Department of Education Table 13 New Hires New Hire  Position  Perm/  Budgeted  Budgeted  Actual  BU  SR  Effective Date Prog ID/Org Number Temp MOF Position Title FTE  Salary  FTE  Actual Salary  Code Level 07/27/2010 EDN 100/AA 61310 J1 A ELEM TEACHER              1.00 $     45,785.00     1.00 $     43,157.04 05 T02 07/27/2010 EDN 100/AA 60808 J1 A ELEM TEACHER              1.00 $     45,785.00     1.00 $     43,157.04 05 T02 07/27/2010 EDN 100/AA 69147 J1 A SECONDARY TEACHER              1.00 $     46,609.00     1.00 $     40,566.96 05 T02 07/27/2010 EDN 100/AA 67171 J1 A ELEM TEACHER              1.00 $     46,609.00     1.00 $     40,566.96 05 T02 07/27/2010 EDN 100/AA 66871 J1 A SECONDARY TEACHER              1.00 $     46,609.00     1.00 $     43,157.04 05 T02 07/27/2010 EDN 100/AA 66520 J1 A ELEM TEACHER              1.00 $     46,609.00     1.00 $     48,008.16 05 T03 07/27/2010 EDN 100/AA 65820 J1 A SECONDARY TEACHER              1.00 $     46,609.00     1.00 $     46,608.96 05 T03 07/27/2010 EDN 100/AA 61795 J1 A SECONDARY TEACHER              1.00 $     46,609.00     1.00 $     48,008.16 05 T03 07/27/2010 EDN 100/AA 61608 J1 A ELEM TEACHER              1.00 $     46,609.00     1.00 $     40,566.96 05 T02 07/27/2010 EDN 100/AA 60716 J1 A SECONDARY TEACHER              1.00 $     46,609.00     1.00 $     46,608.96 05 T03 07/27/2010 EDN 100/AA 62037 J1 A SECONDARY TEACHER              1.00 $     47,159.00     1.00 $     43,157.04 05 T02 07/27/2010 EDN 100/AA 72285 J1 A SECONDARY TEACHER              1.00 $     48,008.00     1.00 $     43,157.04 05 T02 07/27/2010 EDN 100/AA 71659 J1 A ELEM TEACHER              1.00 $     48,008.00     1.00 $     43,157.04 05 T02 07/27/2010 EDN 100/AA 68090 J1 A SECONDARY TEACHER              1.00 $     48,008.00     1.00 $     32,712.96 05 T02 07/27/2010 EDN 100/AA 65698 J1 A ELEM TEACHER              1.00 $     48,008.00     1.00 $     48,008.16 05 T03 07/27/2010 EDN 100/AA 64783 J1 A SECONDARY TEACHER              1.00 $     48,008.00     1.00 $     32,712.96 05 T02 07/27/2010 EDN 100/AA 64019 J1 A SECONDARY TEACHER              1.00 $     48,008.00     1.00 $     43,157.04 05 T02 07/27/2010 EDN 100/AA 63577 J1 A SECONDARY TEACHER              1.00 $     48,008.00     1.00 $     46,608.96 05 T03 07/27/2010 EDN 100/AA 62730 J1 A ELEM TEACHER              1.00 $     48,008.00     1.00 $     46,608.96 05 T03 07/27/2010 EDN 100/AA 61858 J1 A ELEM TEACHER              1.00 $     48,008.00     1.00 $     40,566.96 05 T02 07/27/2010 EDN 100/AA 60672 J1 A SECONDARY TEACHER              1.00 $     48,008.00     1.00 $     46,608.96 05 T03 07/27/2010 EDN 100/AA 63466 J1 A ELEM TEACHER              1.00 $     48,204.00     1.00 $     43,157.04 05 T02 07/27/2010 EDN 100/AA 72169 J1 A SECONDARY TEACHER              1.00 $     49,448.00     1.00 $     43,157.04 05 T02 07/27/2010 EDN 100/AA 68210 J1 A ELEM TEACHER              1.00 $     49,448.00     1.00 $     32,712.96 05 T02 07/27/2010 EDN 100/AA 68037 J1 A ELEM TEACHER              1.00 $     49,448.00     1.00 $     43,157.04 05 T02 07/27/2010 EDN 100/AA 67495 J1 A SECONDARY TEACHER              1.00 $     49,448.00     1.00 $     43,157.04 05 T02 07/27/2010 EDN 100/AA 66149 J1 A SECONDARY TEACHER              1.00 $     49,448.00     1.00 $     46,608.96 05 T03 07/27/2010 EDN 100/AA 65470 J1 A SECONDARY TEACHER              1.00 $     49,448.00     1.00 $     46,608.96 05 T03 07/27/2010 EDN 100/AA 64884 J1 A ELEM TEACHER              1.00 $     49,448.00     1.00 $     43,157.04 05 T02 07/27/2010 EDN 100/AA 64334 J1 A SECONDARY TEACHER              1.00 $     49,448.00     1.00 $     46,608.96 05 T03 07/27/2010 EDN 100/AA 64127 J1 A SECONDARY TEACHER              1.00 $     49,448.00     1.00 $     46,608.96 05 T03 07/27/2010 EDN 100/AA 63379 J1 A SECONDARY TEACHER              1.00 $     49,448.00     1.00 $     43,157.04 05 T02 07/27/2010 EDN 100/AA 62902 J1 A SECONDARY TEACHER              1.00 $     49,448.00     1.00 $     40,566.96 05 T02 07/27/2010 EDN 100/AA 62895 J1 A SECONDARY TEACHER              1.00 $     49,448.00     1.00 $     40,566.96 05 T02 Page 122 2011 Budget Briefing
  • 183.
    Department of Education Table 13 New Hires New Hire  Position  Perm/  Budgeted  Budgeted  Actual  BU  SR  Effective Date Prog ID/Org Number Temp MOF Position Title FTE  Salary  FTE  Actual Salary  Code Level 07/27/2010 EDN 100/AA 62648 J1 A ELEM TEACHER              1.00 $     49,448.00     1.00 $     46,608.96 05 T03 07/27/2010 EDN 100/AA 60882 J1 A ELEM TEACHER              1.00 $     49,448.00     1.00 $     44,452.08 05 T02 07/27/2010 EDN 100/AA 64859 J1 A ELEM TEACHER              1.00 $     50,493.00     1.00 $     43,157.04 05 T02 07/27/2010 EDN 100/AA 72276 J1 A ELEM TEACHER              1.00 $     50,743.00     1.00 $     43,157.04 05 T02 07/27/2010 EDN 100/AA 60816 J1 A ELEM TEACHER              1.00 $     50,743.00     1.00 $     46,608.96 05 T03 07/27/2010 EDN 100/AA 71182 J1 A ELEM TEACHER              1.00 $     50,931.00     1.00 $     46,608.96 05 T03 07/27/2010 EDN 100/AA 62598 J1 A SECONDARY TEACHER              1.00 $     50,931.00     1.00 $     43,157.04 05 T02 07/27/2010 EDN 100/AA 62485 J1 A ELEM TEACHER              1.00 $     50,931.00     1.00 $     43,157.04 05 T02 07/27/2010 EDN 100/AA 61497 J1 A ELEM TEACHER              1.00 $     50,931.00     1.00 $     46,608.96 05 T03 07/27/2010 EDN 100/AA 60635 J1 A ELEM TEACHER              1.00 $     50,973.00     1.00 $     43,157.04 05 T02 07/27/2010 EDN 100/AA 67511 J1 A SECONDARY TEACHER              1.00 $     51,426.00     1.00 $     43,157.04 05 T02 07/27/2010 EDN 100/AA 65036 J1 A ELEM TEACHER              1.00 $     51,426.00     1.00 $     43,157.04 05 T02 07/27/2010 EDN 100/AA 63613 J1 A ELEM TEACHER              1.00 $     51,426.00     1.00 $     43,157.04 05 T02 07/27/2010 EDN 100/AA 61092 J1 A ELEM TEACHER              1.00 $     51,426.00     1.00 $     43,157.04 05 T02 07/27/2010 EDN 100/AA 68892 J1 A SECONDARY TEACHER              1.00 $     52,226.00     1.00 $     46,608.96 05 T03 07/27/2010 EDN 100/AA 63739 J1 A ELEM TEACHER              1.00 $     52,226.00     1.00 $     43,157.04 05 T02 07/27/2010 EDN 100/AA 65088 J1 A ELEM TEACHER              1.00 $     52,460.00     1.00 $     46,608.96 05 T03 07/27/2010 EDN 100/AA 63612 J1 A ELEM TEACHER              1.00 $     52,471.00     1.00 $     43,157.04 05 T02 07/27/2010 EDN 100/AA 62455 J1 A SECONDARY TEACHER              1.00 $     52,721.00     1.00 $     40,566.96 05 T02 07/27/2010 EDN 100/AA 68454 J1 A SECONDARY TEACHER              1.00 $     52,968.00     1.00 $     43,157.04 05 T02 07/27/2010 EDN 100/AA 66515 J1 A SECONDARY TEACHER              1.00 $     53,483.00     1.00 $     40,566.96 05 T02 07/27/2010 EDN 100/AA 60495 J1 A ELEM TEACHER              1.00 $     53,483.00     1.00 $     46,608.96 05 T03 07/27/2010 EDN 100/AA 66385 J1 A SECONDARY TEACHER              1.00 $     54,528.00     1.00 $     40,566.96 05 T02 07/27/2010 EDN 100/AA 63817 J1 A SECONDARY TEACHER              1.00 $     54,558.00     1.00 $     32,712.96 05 T02 07/27/2010 EDN 100/AA 72237 J1 A SECONDARY TEACHER              1.00 $     55,087.00     1.00 $     32,712.96 05 T02 07/27/2010 EDN 100/AA 71023 J1 A ELEM TEACHER              1.00 $     55,087.00     1.00 $     46,608.96 05 T03 07/27/2010 EDN 100/AA 68683 J1 A SECONDARY TEACHER              1.00 $     55,087.00     1.00 $     40,566.96 05 T02 07/27/2010 EDN 100/AA 62654 J1 A ELEM TEACHER              1.00 $     55,087.00     1.00 $     43,157.04 05 T02 07/27/2010 EDN 100/AA 63131 J1 A SECONDARY TEACHER              1.00 $     55,622.00     0.50 $     16,356.48 45 T02 07/27/2010 EDN 100/AA 62800 J1 A ELEM TEACHER              1.00 $     55,622.00     1.00 $     43,157.04 05 T02 07/27/2010 EDN 100/AA 61680 J1 A SECONDARY TEACHER              1.00 $     55,622.00     1.00 $     46,608.96 05 T03 07/27/2010 EDN 100/AA 68079 J1 A ELEM TEACHER              1.00 $     55,853.00     1.00 $     46,608.96 05 T03 07/27/2010 EDN 100/AA 65247 J1 A ELEM TEACHER              1.00 $     56,132.00     1.00 $     40,566.96 05 T02 07/27/2010 EDN 100/AA 62543 J1 A SECONDARY TEACHER              1.00 $     56,740.00     1.00 $     32,712.96 05 T02 Page 123 2011 Budget Briefing
  • 184.
    Department of Education Table 13 New Hires New Hire  Position  Perm/  Budgeted  Budgeted  Actual  BU  SR  Effective Date Prog ID/Org Number Temp MOF Position Title FTE  Salary  FTE  Actual Salary  Code Level 07/27/2010 EDN 100/AA 68109 J1 A SECONDARY TEACHER              1.00 $     57,324.00     1.00 $     43,157.04 05 T02 07/27/2010 EDN 100/AA 63869 J1 A ELEM TEACHER              1.00 $     57,880.00     1.00 $     40,566.96 05 T02 07/27/2010 EDN 100/AA 72279 J1 A ELEM TEACHER              1.00 $     58,336.00     1.00 $     43,157.04 05 T02 07/27/2010 EDN 100/AA 72154 J1 A SECONDARY TEACHER              1.00 $     58,925.00     1.00 $     46,608.96 05 T03 07/27/2010 EDN 100/AA 62938 J1 A ELEM TEACHER              1.00 $     58,959.00     1.00 $     40,566.96 05 T02 07/27/2010 EDN 100/AA 62753 J1 A ELEM TEACHER              1.00 $     58,959.00     1.00 $     40,566.96 05 T02 07/27/2010 EDN 100/AA 69595 J1 A ELEM TEACHER              1.00 $     59,010.00     1.00 $     40,566.96 05 T02 07/27/2010 EDN 100/AA 65082 J1 A ELEM TEACHER              1.00 $     59,010.00     1.00 $     46,608.96 05 T03 07/27/2010 EDN 100/AA 61436 J1 A ELEM TEACHER              1.00 $     59,043.00     1.00 $     43,157.04 05 T02 07/27/2010 EDN 100/AA 67702 J1 A ELEM TEACHER              1.00 $     60,195.00     1.00 $     46,608.96 05 T03 07/27/2010 EDN 100/AA 61623 J1 A SECONDARY TEACHER              1.00 $     60,729.00     1.00 $     43,157.04 05 T02 07/27/2010 EDN 100/AA 62538 J1 A SECONDARY TEACHER              1.00 $     60,779.00     1.00 $     43,157.04 05 T02 07/27/2010 EDN 100/AA 61274 J1 A ELEM TEACHER              1.00 $     61,405.00     1.00 $     43,157.04 05 T02 07/27/2010 EDN 100/AA 68066 J1 A ELEM TEACHER              1.00 $     62,024.00     1.00 $     43,157.04 05 T02 07/27/2010 EDN 100/AA 66951 J1 A ELEM TEACHER              1.00 $     62,024.00     1.00 $     43,157.04 05 T02 07/27/2010 EDN 100/AA 67366 J1 A SECONDARY TEACHER              1.00 $     62,550.00     1.00 $     43,157.04 05 T02 07/27/2010 EDN 100/AA 62690 J1 A ELEM TEACHER              1.00 $     62,550.00     1.00 $     43,157.04 05 T02 07/27/2010 EDN 100/AA 62530 J1 A SECONDARY TEACHER              1.00 $     62,550.00     1.00 $     46,608.96 05 T03 07/27/2010 EDN 100/AA 60888 J1 A ELEM TEACHER              1.00 $     62,550.00     1.00 $     46,608.96 05 T03 07/27/2010 EDN 100/AA 71128 J1 A ELEM TEACHER              1.00 $     62,603.00     1.00 $     40,566.96 05 T02 07/27/2010 EDN 100/AA 66942 J1 A ELEM TEACHER              1.00 $     63,047.00     1.00 $     48,008.16 05 T03 07/27/2010 EDN 100/AA 69255 J1 A ELEM TEACHER              1.00 $     63,595.00     1.00 $     46,608.96 05 T03 07/27/2010 EDN 100/AA 66870 J1 A SECONDARY TEACHER              1.00 $     63,845.00     1.00 $     32,712.96 05 T02 07/27/2010 EDN 100/AA 71497 J1 A ELEM TEACHER              1.00 $     64,482.00     1.00 $     43,157.04 05 T02 07/27/2010 EDN 100/AA 67436 J1 A ELEM TEACHER              1.00 $     64,482.00     1.00 $     43,157.04 05 T02 07/27/2010 EDN 100/AA 67567 J1 A ELEM TEACHER              1.00 $     66,359.00     1.00 $     43,157.04 05 T02 07/27/2010 EDN 100/AA 67060 J1 A SECONDARY TEACHER              1.00 $     66,359.00     1.00 $     32,712.96 05 T02 07/27/2010 EDN 100/AA 66302 J1 A ELEM TEACHER              1.00 $     66,359.00     1.00 $     43,157.04 05 T02 07/27/2010 EDN 100/AA 60192 J1 A ELEM TEACHER              1.00 $     66,359.00     1.00 $     43,157.04 05 T02 07/27/2010 EDN 100/AA 64392 J1 A ELEM TEACHER              1.00 $     67,442.00     1.00 $     40,566.96 05 T02 07/27/2010 EDN 100/AA 74297 J1 A SECONDARY TEACHER              1.00 $     67,750.00     1.00 $     43,157.04 05 T02 07/27/2010 EDN 100/AA 65798 J1 A SECONDARY TEACHER              1.00 $     69,453.00     1.00 $     43,157.04 05 T02 07/27/2010 EDN 100/AA 67467 J1 A ELEM TEACHER              1.00 $     69,646.00     1.00 $     46,608.96 05 T03 07/27/2010 EDN 100/AA 74540 J1 A ELEM TEACHER              1.00 $     70,400.00     1.00 $     46,608.96 05 T03 Page 124 2011 Budget Briefing
  • 185.
    Department of Education Table 13 New Hires New Hire  Position  Perm/  Budgeted  Budgeted  Actual  BU  SR  Effective Date Prog ID/Org Number Temp MOF Position Title FTE  Salary  FTE  Actual Salary  Code Level 07/27/2010 EDN 100/AA 61584 J1 A ELEM TEACHER              1.00 $     72,513.00     1.00 $     43,157.04 05 T02 07/27/2010 EDN 100/AA 65934 J1 A ELEM TEACHER              1.00 $     73,808.00     1.00 $     46,608.96 05 T03 07/27/2010 EDN 100/AA 68316 J1 A SECONDARY TEACHER              1.00 $     74,688.00     1.00 $     46,608.96 05 T03 07/27/2010 EDN 100/AA 66181 J1 A SECONDARY TEACHER              1.00 $     74,688.00     1.00 $     46,608.96 05 T03 07/27/2010 EDN 100/AA 61544 J1 A ELEM TEACHER              1.00 $     74,688.00     1.00 $     43,157.04 05 T02 07/27/2010 EDN 100/AA 71753 J1 A ELEM TEACHER              1.00 $     75,983.00     1.00 $     43,157.04 05 T02 07/27/2010 EDN 100/AA 72747 J1 A ELEM TEACHER              1.00 $     79,170.00     1.00 $     43,157.04 05 T02 07/27/2010 EDN 100/AA 72561 J1 A ELEM TEACHER              1.00 $     79,170.00     1.00 $     43,157.04 05 T02 07/27/2010 EDN 100/AA 69519 J1 A ELEM TEACHER              1.00 $     79,170.00     1.00 $     40,566.96 05 T02 07/27/2010 EDN 100/AA 68624 J1 A SECONDARY TEACHER              1.00 $     79,170.00     1.00 $     46,608.96 05 T03 07/27/2010 EDN 100/AA 68478 J1 A SECONDARY TEACHER              1.00 $     79,170.00     1.00 $     43,157.04 05 T02 07/27/2010 EDN 100/AA 67073 J1 A ELEM TEACHER              1.00 $     79,170.00     1.00 $     46,608.96 05 T03 07/27/2010 EDN 100/AA 66738 J1 A SECONDARY TEACHER              1.00 $     79,170.00     1.00 $     46,608.96 05 T03 07/27/2010 EDN 100/AA 65599 J1 A SECONDARY TEACHER              1.00 $     79,170.00     1.00 $     46,608.96 05 T03 07/27/2010 EDN 100/AA 64313 J1 A SECONDARY TEACHER              1.00 $     79,170.00     1.00 $     43,157.04 05 T02 07/27/2010 EDN 100/AA 64246 J1 A ELEM TEACHER              1.00 $     79,170.00     1.00 $     46,608.96 05 T03 07/27/2010 EDN 100/AA 63924 J1 A ELEM TEACHER              1.00 $     79,170.00     1.00 $     43,157.04 05 T02 07/27/2010 EDN 100/AA 63311 J1 A ELEM TEACHER              1.00 $     79,170.00     1.00 $     46,608.96 05 T03 07/27/2010 EDN 100/AA 62698 J1 A ELEM TEACHER              1.00 $     79,170.00     1.00 $     43,157.04 05 T02 07/27/2010 EDN 100/AA 62638 J1 A ELEM TEACHER              1.00 $     79,170.00     1.00 $     43,157.04 05 T02 07/27/2010 EDN 100/AA 61708 J1 A SECONDARY TEACHER              1.00 $     79,170.00     1.00 $     46,608.96 05 T03 07/27/2010 EDN 100/AA 61308 J1 A ELEM TEACHER              1.00 $     79,170.00     1.00 $     43,157.04 05 T02 07/27/2010 EDN 100/AA 69209 J1 A SECONDARY TEACHER              1.00 $     80,215.00     1.00 $     43,157.04 05 T02 07/27/2010 EDN 100/AA 62533 J1 A SECONDARY TEACHER              1.00 $     80,465.00     1.00 $     46,608.96 05 T03 07/27/2010 EDN 100/AA 61922 J1 A ELEM TEACHER              1.00 $     80,465.00     1.00 $     43,157.04 05 T02 07/27/2010 EDN 100/AA 60642 J1 A ELEM TEACHER              1.00 $     80,465.00     1.00 $     43,157.04 05 T02 07/27/2010 EDN 100/AA  61213Z J1 A ELEM TEACHER              1.00 $     49,448.00     1.00 $     48,008.16 05 T03 07/27/2010 EDN 100/AA  61347Z J1 A ELEM TEACHER              1.00 $     33,694.00     1.00 $     40,566.96 05 T02 07/27/2010 EDN 100/AA  63937Z J1 A ELEM TEACHER              1.00 $     60,729.00     1.00 $     43,157.04 05 T02 07/27/2010 EDN 100/AA  68951Z J1 A ELEM TEACHER              1.00 $     74,688.00     1.00 $     46,608.96 05 T03 07/27/2010 EDN 100/AA 69106 J1 A ELEM TEACHER              1.00 $     43,157.04     1.00 $     43,157.04 05 T02 07/27/2010 EDN 100/AA 600020 T1 A ELEM TEACHER              1.00 $     46,608.96     1.00 $     46,608.96 05 T03 07/27/2010 EDN 100/AA 600054 T1 A ELEM TEACHER              1.00 $     43,157.04     1.00 $     43,157.04 05 T02 07/27/2010 EDN 100/AA 600057 T1 A ELEM TEACHER              1.00 $     46,608.96     1.00 $     46,608.96 05 T03 Page 125 2011 Budget Briefing
  • 186.
    Department of Education Table 13 New Hires New Hire  Position  Perm/  Budgeted  Budgeted  Actual  BU  SR  Effective Date Prog ID/Org Number Temp MOF Position Title FTE  Salary  FTE  Actual Salary  Code Level 07/27/2010 EDN 100/AA 600064 T1 A ELEM TEACHER              1.00 $     43,157.04     1.00 $     43,157.04 05 T02 07/27/2010 EDN 100/AA 600066 T1 A ELEM TEACHER              1.00 $     43,157.04     1.00 $     43,157.04 05 T02 07/27/2010 EDN 100/AA 600123 T1 A ELEM TEACHER              1.00 $     46,608.96     1.00 $     46,608.96 05 T03 07/27/2010 EDN 100/AA 600140 T1 A SECONDARY TEACHER              1.00 $     40,566.96     1.00 $     40,566.96 05 T02 07/27/2010 EDN 100/AA 600144 T1 A SECONDARY TEACHER              0.50 $     21,578.52     0.50 $     21,578.52 45 T02 07/27/2010 EDN 100/AA 600226 T1 A ELEM TEACHER              1.00 $     46,608.96     1.00 $     46,608.96 05 T03 07/27/2010 EDN 100/AA 600242 T1 A SECONDARY TEACHER              0.50 $     21,578.52     0.50 $     21,578.52 45 T02 07/27/2010 EDN 100/AA 600351 T1 A ELEM TEACHER              1.00 $     43,157.04     1.00 $     43,157.04 05 T02 07/27/2010 EDN 100/AA 600386 T1 A ELEM TEACHER              1.00 $     46,608.96     1.00 $     46,608.96 05 T03 07/27/2010 EDN 100/AA 600402 T1 A SECONDARY TEACHER              1.00 $     40,566.96     1.00 $     40,566.96 05 T02 07/27/2010 EDN 100/AA 600415 T1 A SECONDARY TEACHER              1.00 $     43,157.04     1.00 $     43,157.04 05 T02 07/27/2010 EDN 100/AA 600806 T1 A SECONDARY TEACHER              0.50 $     21,578.52     0.50 $     21,578.52 45 T02 07/27/2010 EDN 100/AA 79581 T1 A SECONDARY TEACHER              1.00 $     32,712.96     1.00 $     32,712.96 05 T02 07/27/2010 EDN 100/AA 74214 T1 A SECONDARY TEACHER              0.50 $     23,304.48     0.50 $     23,304.48 45 T03 07/27/2010 EDN 100/AA 73184 T1 A ELEM TEACHER              1.00 $     40,566.96     1.00 $     40,566.96 05 T02 07/27/2010 EDN 100/AA 72114 T1 A ELEM TEACHER              1.00 $     46,608.96     1.00 $     46,608.96 05 T03 07/27/2010 EDN 100/AA 71107 T1 A ELEM TEACHER              1.00 $     43,157.04     1.00 $     43,157.04 05 T02 07/27/2010 EDN 100/AA 67927 T1 A ELEM TEACHER              1.00 $     44,452.08     1.00 $     44,452.08 05 T02 07/27/2010 EDN 100/AA 67734 T1 A ELEM TEACHER              1.00 $     43,157.04     1.00 $     43,157.04 05 T02 07/27/2010 EDN 100/AA 65334 T1 A SECONDARY TEACHER              0.50 $     16,356.48     0.50 $     16,356.48 45 T02 07/27/2010 EDN 100/AA 61651 T1 A ELEM TEACHER              1.00 $     40,566.96     1.00 $     40,566.96 05 T02 07/27/2010 EDN 100/AA 61496 T1 A ELEM TEACHER              1.00 $     46,608.96     1.00 $     46,608.96 05 T03 07/27/2010 EDN 100/AA  66930X T1 A SECONDARY TEACHER              1.00 $     46,608.96     1.00 $     46,608.96 05 T03 07/27/2010 EDN 100/AA  67386X T1 A ELEM TEACHER              1.00 $     43,157.04     1.00 $     43,157.04 05 T02 07/27/2010 EDN 100/AA  75540Z T1 A ELEM TEACHER              1.00 $     46,608.96     1.00 $     46,608.96 05 T03 07/27/2010 EDN 100/AA 76337 J1 A SECONDARY TEACHER              0.50 $     39,585.00     1.00 $     43,157.04 05 T02 07/27/2010 EDN 100/AA 64001 J1 A ELEM TEACHER              1.00 $     48,008.00     1.00 $     43,157.04 05 T02 07/27/2010 EDN 100/AA 65193 J1 A SECONDARY TEACHER              1.00 $     62,550.00     1.00 $     40,566.96 05 T02 07/27/2010 EDN 100/AA 68247 J1 A SECONDARY TEACHER              1.00 $     68,351.00     1.00 $     43,157.04 05 T02 07/27/2010 EDN 100/AA 62737 T1 A SECONDARY TEACHER              1.00 $     43,157.04     1.00 $     43,157.04 05 T02 07/27/2010 EDN 100/AA 61856 J1 A LIBRARIAN              1.00 $     67,024.00     0.50 $     16,356.48 45 T02 07/27/2010 EDN 100/AA 61597 J1 A LIBRARIAN              1.00 $     80,983.00     1.00 $     35,328.96 05 T03 07/27/2010 EDN 100/AA 600323 T1 A ELEM TEACHER              1.00 $     43,157.04     1.00 $     43,157.04 05 T02 07/27/2010 EDN 100/AA 73647 J1 A COUNSELOR              1.00 $     48,008.00     1.00 $     46,608.96 05 T03 Page 126 2011 Budget Briefing
  • 187.
    Department of Education Table 13 New Hires New Hire  Position  Perm/  Budgeted  Budgeted  Actual  BU  SR  Effective Date Prog ID/Org Number Temp MOF Position Title FTE  Salary  FTE  Actual Salary  Code Level 07/27/2010 EDN 100/AA 65458 J1 A COUNSELOR              1.00 $     48,008.00     1.00 $     46,608.96 05 T03 07/27/2010 EDN 100/AA 64362 J1 A COUNSELOR              1.00 $     48,008.00     1.00 $     46,608.96 05 T03 07/27/2010 EDN 100/AA 73960 J1 A COUNSELOR              1.00 $     51,426.00     1.00 $     32,712.96 05 T02 07/27/2010 EDN 100/AA 64921 J1 A COUNSELOR              1.00 $     51,426.00     1.00 $     32,712.96 05 T02 07/27/2010 EDN 100/AA 61394 J1 A COUNSELOR              1.00 $     79,170.00     1.00 $     46,608.96 05 T03 07/27/2010 EDN 100/AA 68343 J1 A ELEM TEACHER              1.00 $     45,785.00     1.00 $     43,157.04 05 T02 07/27/2010 EDN 100/AA 38979 J1 A CLERK TYPIST II              1.00 $     27,756.00     1.00 $     13,327.20 63 SR08 07/27/2010 EDN 100/BB 68465 J1 A SECONDARY TEACHER              1.00 $     79,170.00     1.00 $     32,712.96 05 T02 07/27/2010 EDN 100/BJ 75684 J1 A SPECIAL SCH TEACHER              0.50 $     16,847.00     1.00 $     43,157.04 05 T02 07/27/2010 EDN 100/BJ 73104 T1 A SECONDARY TEACHER              1.00 $     33,694.00     1.00 $     46,608.96 05 T03 07/27/2010 EDN 100/BJ 73075 J1 A SECONDARY TEACHER              1.00 $     49,448.00     1.00 $     32,712.96 05 T02 07/27/2010 EDN 100/BV 74882 T1 A SECONDARY TEACHER              1.00 $     32,713.00     1.00 $     46,608.96 05 T03 07/27/2010 EDN 100/DB 600399 T1 N SECONDARY TEACHER              1.00 $     40,566.96     1.00 $     40,566.96 05 T02 07/27/2010 EDN 100/DB 600404 T1 N PRE‐SCH TCHR              1.00 $     48,008.16     1.00 $     48,008.16 05 T03 07/27/2010 EDN 100/DB 600405 T1 N ELEM TEACHER              1.00 $     46,608.96     1.00 $     46,608.96 05 T03 07/27/2010 EDN 100/DB 600406 T1 N ELEM TEACHER              1.00 $     48,008.16     1.00 $     48,008.16 05 T03 07/27/2010 EDN 100/DB 600350 T1 N ELEM TEACHER              1.00 $     43,157.04     1.00 $     43,157.04 05 T02 07/27/2010 EDN 100/DB 600928 T1 N ELEM TEACHER              1.00 $     43,157.04     1.00 $     43,157.04 05 T02 07/27/2010 EDN 100/DB 600713 T1 N SECONDARY TEACHER              1.00 $     46,608.96     1.00 $     46,608.96 05 T03 07/27/2010 EDN 100/DB 600717 T1 N SECONDARY TEACHER              1.00 $     46,608.96     1.00 $     46,608.96 05 T03 07/27/2010 EDN 100/DB 600776 T1 N SECONDARY TEACHER              1.00 $     40,566.96     1.00 $     40,566.96 05 T02 07/27/2010 EDN 100/DB 79962 T1 N ELEM TEACHER              1.00 $     43,157.04     1.00 $     43,157.04 05 T02 07/27/2010 EDN 100/DB 79344 T1 N SECONDARY TEACHER              1.00 $     40,566.96     1.00 $     40,566.96 05 T02 07/27/2010 EDN 150/FA 66490 J1 A GEN EDUC/ARTICLE VI TCHR              1.00 $     32,713.00     1.00 $     40,566.96 05 T02 07/27/2010 EDN 150/FA 68455 J1 A GEN EDUC/ARTICLE VI TCHR              1.00 $     41,862.00     1.00 $     43,157.04 05 T02 07/27/2010 EDN 150/FA 75899 J1 A GEN EDUC/ARTICLE VI TCHR              1.00 $     43,157.00     1.00 $     46,608.96 05 T03 07/27/2010 EDN 150/FA 75741 J1 A GEN EDUC/ARTICLE VI TCHR              1.00 $     43,157.00     1.00 $     43,157.04 05 T02 07/27/2010 EDN 150/FA 64974 J1 A GEN EDUC/ARTICLE VI TCHR              1.00 $     43,157.00     1.00 $     46,608.96 05 T03 07/27/2010 EDN 150/FA 63778 J1 A GEN EDUC/ARTICLE VI TCHR              1.00 $     43,157.00     1.00 $     40,566.96 05 T02 07/27/2010 EDN 150/FA 75652 T1 A GEN EDUC/ARTICLE VI TCHR              1.00 $     44,452.00     1.00 $     43,157.04 05 T02 07/27/2010 EDN 150/FA 75775 J1 A GEN EDUC/ARTICLE VI TCHR              1.00 $     44,452.00     1.00 $     46,608.96 05 T03 07/27/2010 EDN 150/FA 74553 J1 A GEN EDUC/ARTICLE VI TCHR              1.00 $     44,452.00     1.00 $     46,608.96 05 T03 07/27/2010 EDN 150/FA 75802 J1 A GEN EDUC/ARTICLE VI TCHR              1.00 $     45,785.00     1.00 $     40,566.96 05 T02 07/27/2010 EDN 150/FA 74872 J1 A GEN EDUC/ARTICLE VI TCHR              1.00 $     45,785.00     1.00 $     43,157.04 05 T02 Page 127 2011 Budget Briefing
  • 188.
    Department of Education Table 13 New Hires New Hire  Position  Perm/  Budgeted  Budgeted  Actual  BU  SR  Effective Date Prog ID/Org Number Temp MOF Position Title FTE  Salary  FTE  Actual Salary  Code Level 07/27/2010 EDN 150/FA 63088 J1 A GEN EDUC/ARTICLE VI TCHR              1.00 $     45,785.00     1.00 $     46,608.96 05 T03 07/27/2010 EDN 150/FA 61671 J1 A GEN EDUC/ARTICLE VI TCHR              1.00 $     45,785.00     1.00 $     46,608.96 05 T03 07/27/2010 EDN 150/FA 67247 J1 A GEN EDUC/ARTICLE VI TCHR              1.00 $     46,830.00     1.00 $     40,566.96 05 T02 07/27/2010 EDN 150/FA 76147 J1 A GEN EDUC/ARTICLE VI TCHR              1.00 $     48,008.00     1.00 $     32,712.96 05 T02 07/27/2010 EDN 150/FA 75941 J1 A GEN EDUC/ARTICLE VI TCHR              1.00 $     48,008.00     1.00 $     46,608.96 05 T03 07/27/2010 EDN 150/FA 75907 J1 A GEN EDUC/ARTICLE VI TCHR              1.00 $     49,448.00     1.00 $     40,566.96 05 T02 07/27/2010 EDN 150/FA 74529 J1 A GEN EDUC/ARTICLE VI TCHR              1.00 $     49,448.00     1.00 $     46,608.96 05 T03 07/27/2010 EDN 150/FA 75622 T1 A GEN EDUC/ARTICLE VI TCHR              1.00 $     51,426.00     1.00 $     46,608.96 05 T03 07/27/2010 EDN 150/FA 63682 J1 A GEN EDUC/ARTICLE VI TCHR              1.00 $     54,558.00     1.00 $     48,008.16 05 T03 07/27/2010 EDN 150/FA 66013 J1 A GEN EDUC/ARTICLE VI TCHR              1.00 $     57,324.00     1.00 $     46,608.96 05 T03 07/27/2010 EDN 150/FA 64165 J1 A GEN EDUC/ARTICLE VI TCHR              1.00 $     71,445.00     1.00 $     40,566.96 05 T02 07/27/2010 EDN 150/FA 75895 J1 A GEN EDUC/ARTICLE VI TCHR              1.00 $     43,157.04     1.00 $     43,157.04 05 T02 07/27/2010 EDN 150/FA 600214 T1 A GEN EDUC/ARTICLE VI TCHR              1.00 $     43,157.04     1.00 $     43,157.04 05 T02 07/27/2010 EDN 150/FA 600823 T1 A GEN EDUC/ARTICLE VI TCHR              1.00 $     43,157.04     1.00 $     43,157.04 05 T02 07/27/2010 EDN 150/FA 63327 J1 A SPEC ED TEACHER              0.50 $     24,724.00     1.00 $     43,157.04 05 T02 07/27/2010 EDN 150/FA 75694 T1 A SPEC ED TEACHER              1.00 $     32,713.00     1.00 $     43,157.04 05 T02 07/27/2010 EDN 150/FA 63640 T1 A SPEC ED TEACHER              1.00 $     32,713.00     1.00 $     40,566.96 05 T02 07/27/2010 EDN 150/FA 74542 J1 A SPEC ED TEACHER              1.00 $     32,713.00     1.00 $     44,452.08 05 T02 07/27/2010 EDN 150/FA 74335 J1 A SPEC ED TEACHER              1.00 $     32,713.00     1.00 $     40,566.96 05 T02 07/27/2010 EDN 150/FA 67662 J1 A SPEC ED TEACHER              1.00 $     32,713.00     0.50 $     21,578.52 45 T02 07/27/2010 EDN 150/FA 64393 J1 A SPEC ED TEACHER              1.00 $     32,713.00     1.00 $     43,157.04 05 T02 07/27/2010 EDN 150/FA 64329 J1 A SPEC ED TEACHER              1.00 $     32,713.00     1.00 $     48,008.16 05 T03 07/27/2010 EDN 150/FA 60705 J1 A SPEC ED TEACHER              1.00 $     32,713.00     1.00 $     43,157.04 05 T02 07/27/2010 EDN 150/FA 75590 T1 A SPEC ED TEACHER              1.00 $     34,705.00     1.00 $     40,566.96 05 T02 07/27/2010 EDN 150/FA 62667 J1 A SPEC ED TEACHER              1.00 $     40,567.00     1.00 $     43,157.04 05 T02 07/27/2010 EDN 150/FA 71274 J1 A SPEC ED TEACHER              1.00 $     42,907.00     1.00 $     43,157.04 05 T02 07/27/2010 EDN 150/FA 75848 T1 A SPEC ED TEACHER              1.00 $     43,157.00     1.00 $     46,608.96 05 T03 07/27/2010 EDN 150/FA 75661 T1 A SPEC ED TEACHER              1.00 $     43,157.00     1.00 $     40,566.96 05 T02 07/27/2010 EDN 150/FA 75515 T1 A SPEC ED TCHR/PRE‐SCHOOL              1.00 $     43,157.00     1.00 $     43,157.04 05 T02 07/27/2010 EDN 150/FA 75514 T1 A SPEC ED TEACHER              1.00 $     43,157.00     1.00 $     43,157.04 05 T02 07/27/2010 EDN 150/FA 75455 T1 A SPEC ED TEACHER              1.00 $     43,157.00     1.00 $     46,608.96 05 T03 07/27/2010 EDN 150/FA 74759 T1 A SPEC ED TEACHER              1.00 $     43,157.00     1.00 $     43,157.04 05 T02 07/27/2010 EDN 150/FA 73617 T1 A SPEC ED TEACHER              1.00 $     43,157.00     1.00 $     32,712.96 05 T02 07/27/2010 EDN 150/FA 72388 T1 A SPEC ED TEACHER              1.00 $     43,157.00     1.00 $     40,566.96 05 T02 Page 128 2011 Budget Briefing
  • 189.
    Department of Education Table 13 New Hires New Hire  Position  Perm/  Budgeted  Budgeted  Actual  BU  SR  Effective Date Prog ID/Org Number Temp MOF Position Title FTE  Salary  FTE  Actual Salary  Code Level 07/27/2010 EDN 150/FA 72305 T1 A SPEC ED TEACHER              1.00 $     43,157.00     1.00 $     43,157.04 05 T02 07/27/2010 EDN 150/FA 68240 T1 A SPEC ED TEACHER              1.00 $     43,157.00     1.00 $     46,608.96 05 T03 07/27/2010 EDN 150/FA 67812 T1 A SPEC ED TEACHER              1.00 $     43,157.00     1.00 $     48,008.16 05 T03 07/27/2010 EDN 150/FA 63733 T1 A SPEC ED TEACHER              1.00 $     43,157.00     1.00 $     43,157.04 05 T02 07/27/2010 EDN 150/FA 60558 T1 A SPEC ED TEACHER              1.00 $     43,157.00     1.00 $     46,608.96 05 T03 07/27/2010 EDN 150/FA 74327 J1 A SPEC ED TEACHER              1.00 $     43,157.00     1.00 $     40,566.96 05 T02 07/27/2010 EDN 150/FA 72762 J1 A SPEC ED TEACHER              1.00 $     43,157.00     1.00 $     43,157.04 05 T02 07/27/2010 EDN 150/FA 72389 J1 A SPEC ED TEACHER              1.00 $     43,157.00     1.00 $     46,608.96 05 T03 07/27/2010 EDN 150/FA 67600 J1 A SPEC ED TEACHER              1.00 $     43,157.00     1.00 $     46,608.96 05 T03 07/27/2010 EDN 150/FA 64279 J1 A SPEC ED TEACHER              1.00 $     43,157.00     1.00 $     46,608.96 05 T03 07/27/2010 EDN 150/FA 61033 J1 A SPEC ED TEACHER              1.00 $     43,157.00     1.00 $     46,608.96 05 T03 07/27/2010 EDN 150/FA 72203 T1 A SPEC ED TEACHER              1.00 $     44,452.00     1.00 $     46,608.96 05 T03 07/27/2010 EDN 150/FA 69274 T1 A SPEC ED TEACHER              1.00 $     44,452.00     1.00 $     43,157.04 05 T02 07/27/2010 EDN 150/FA 73938 J1 A SPEC ED TEACHER              1.00 $     44,452.00     1.00 $     43,157.04 05 T02 07/27/2010 EDN 150/FA 72250 J1 A SPEC ED TCHR/PRE‐SCHOOL              1.00 $     44,452.00     1.00 $     43,157.04 05 T02 07/27/2010 EDN 150/FA 74334 J1 A SPEC ED TEACHER              1.00 $     45,785.00     1.00 $     40,566.96 05 T02 07/27/2010 EDN 150/FA 65735 J1 A SPEC ED TEACHER              1.00 $     45,785.00     1.00 $     40,566.96 05 T02 07/27/2010 EDN 150/FA 64292 J1 A SPEC ED TEACHER              1.00 $     45,785.00     1.00 $     40,566.96 05 T02 07/27/2010 EDN 150/FA 63380 J1 A SPEC ED TEACHER              1.00 $     45,785.00     1.00 $     43,157.04 05 T02 07/27/2010 EDN 150/FA 75627 T1 A SPEC ED TEACHER              1.00 $     46,609.00     1.00 $     43,157.04 05 T02 07/27/2010 EDN 150/FA 73724 J1 A SPEC ED TEACHER              1.00 $     46,609.00     1.00 $     43,157.04 05 T02 07/27/2010 EDN 150/FA 67941 J1 A SPEC ED TEACHER              1.00 $     46,609.00     1.00 $     43,157.04 05 T02 07/27/2010 EDN 150/FA 65975 J1 A SPEC ED TEACHER              1.00 $     47,080.00     1.00 $     46,608.96 05 T03 07/27/2010 EDN 150/FA 76341 J1 A SPEC ED TEACHER              1.00 $     48,008.00     1.00 $     43,157.04 05 T02 07/27/2010 EDN 150/FA 76013 J1 A SPEC ED TEACHER              1.00 $     48,008.00     1.00 $     32,712.96 05 T02 07/27/2010 EDN 150/FA 75858 J1 A SPEC ED TEACHER              1.00 $     48,008.00     1.00 $     48,008.16 05 T03 07/27/2010 EDN 150/FA 73236 J1 A SPEC ED TEACHER              1.00 $     48,008.00     1.00 $     43,157.04 05 T02 07/27/2010 EDN 150/FA 66868 J1 A SPEC ED TEACHER              1.00 $     48,008.00     1.00 $     43,157.04 05 T02 07/27/2010 EDN 150/FA 64442 J1 A SPEC ED TCHR/PRE‐SCHOOL              1.00 $     48,008.00     1.00 $     43,157.04 05 T02 07/27/2010 EDN 150/FA 73794 J1 A SPEC ED TEACHER              1.00 $     49,448.00     1.00 $     43,157.04 05 T02 07/27/2010 EDN 150/FA 73288 J1 A SPEC ED TEACHER              1.00 $     49,448.00     1.00 $     43,157.04 05 T02 07/27/2010 EDN 150/FA 72568 J1 A SPEC ED TEACHER              1.00 $     49,448.00     1.00 $     48,008.16 05 T03 07/27/2010 EDN 150/FA 71630 J1 A SPEC ED TEACHER              1.00 $     49,448.00     1.00 $     48,008.16 05 T03 07/27/2010 EDN 150/FA 68627 J1 A SPEC ED TEACHER              1.00 $     49,448.00     1.00 $     43,157.04 05 T02 Page 129 2011 Budget Briefing
  • 190.
    Department of Education Table 13 New Hires New Hire  Position  Perm/  Budgeted  Budgeted  Actual  BU  SR  Effective Date Prog ID/Org Number Temp MOF Position Title FTE  Salary  FTE  Actual Salary  Code Level 07/27/2010 EDN 150/FA 66236 J1 A SPEC ED TEACHER              1.00 $     49,448.00     1.00 $     43,157.04 05 T02 07/27/2010 EDN 150/FA 62476 J1 A SPEC ED TEACHER              1.00 $     49,448.00     1.00 $     43,157.04 05 T02 07/27/2010 EDN 150/FA 61611 J1 A SPEC ED TEACHER              1.00 $     49,448.00     1.00 $     43,157.04 05 T02 07/27/2010 EDN 150/FA 67444 J1 A SPEC ED TEACHER              1.00 $     50,493.00     1.00 $     43,157.04 05 T02 07/27/2010 EDN 150/FA 62681 J1 A SPEC ED TEACHER              1.00 $     50,493.00     1.00 $     43,812.00 05 T03 07/27/2010 EDN 150/FA 64845 J1 A SPEC ED TEACHER              1.00 $     51,426.00     1.00 $     46,608.96 05 T03 07/27/2010 EDN 150/FA 67383 J1 A SPEC ED TEACHER              1.00 $     52,460.00     1.00 $     40,566.96 05 T02 07/27/2010 EDN 150/FA 72755 J1 A SPEC ED TEACHER              1.00 $     52,471.00     1.00 $     43,157.04 05 T02 07/27/2010 EDN 150/FA 74323 J1 A SPEC ED TEACHER              1.00 $     53,483.00     1.00 $     43,157.04 05 T02 07/27/2010 EDN 150/FA 65731 J1 A SPEC ED TEACHER              1.00 $     53,483.00     1.00 $     43,157.04 05 T02 07/27/2010 EDN 150/FA 60194 J1 A SPEC ED TEACHER              1.00 $     54,013.00     1.00 $     43,157.04 05 T02 07/27/2010 EDN 150/FA 74426 J1 A SPEC ED TEACHER              1.00 $     55,622.00     1.00 $     46,608.96 05 T03 07/27/2010 EDN 150/FA 74072 J1 A SPEC ED TEACHER              1.00 $     58,959.00     1.00 $     43,157.04 05 T02 07/27/2010 EDN 150/FA 72663 J1 A SPEC ED TEACHER              1.00 $     60,195.00     1.00 $     43,157.04 05 T02 07/27/2010 EDN 150/FA 74424 J1 A SPEC ED TEACHER              1.00 $     60,779.00     1.00 $     43,157.04 05 T02 07/27/2010 EDN 150/FA 60121 J1 A SPEC ED TEACHER              1.00 $     63,861.00     1.00 $     40,566.96 05 T02 07/27/2010 EDN 150/FA 74748 J1 A SPEC ED TEACHER              1.00 $     66,359.00     1.00 $     46,608.96 05 T03 07/27/2010 EDN 150/FA 68720 J1 A SPEC ED TEACHER              1.00 $     66,359.00     1.00 $     40,566.96 05 T02 07/27/2010 EDN 150/FA 66674 T1 A SPEC ED TEACHER              1.00 $     68,351.00     1.00 $     40,566.96 05 T02 07/27/2010 EDN 150/FA 69802 J1 A SPEC ED TEACHER              1.00 $     70,400.00     1.00 $     40,566.96 05 T02 07/27/2010 EDN 150/FA 74808 J1 A SPEC ED TCHR/PRE‐SCHOOL              1.00 $     74,688.00     1.00 $     43,157.04 05 T02 07/27/2010 EDN 150/FA 67382 J1 A SPEC ED TEACHER              1.00 $     79,170.00     1.00 $     40,566.96 05 T02 07/27/2010 EDN 150/FA 75725 J1 A SPEC ED TEACHER              1.00 $     43,157.04     1.00 $     43,157.04 05 T02 07/27/2010 EDN 150/FA 74557 J1 A SPEC ED TEACHER              1.00 $     32,712.96     1.00 $     32,712.96 05 T02 07/27/2010 EDN 150/FA 74432 J1 A SPEC ED TEACHER              1.00 $     43,157.04     1.00 $     43,157.04 05 T02 07/27/2010 EDN 150/FA 74085 J1 A SPEC ED TEACHER              1.00 $     48,008.16     1.00 $     48,008.16 05 T03 07/27/2010 EDN 150/FA 66274 J1 A SPEC ED TEACHER              1.00 $     40,566.96     1.00 $     40,566.96 05 T02 07/27/2010 EDN 150/FA 600006 T1 A DIST OFF TCHR              1.00 $     46,608.96     1.00 $     46,608.96 05 T03 07/27/2010 EDN 150/FA 600196 T1 A SPEC ED TEACHER              1.00 $     43,157.04     1.00 $     43,157.04 05 T02 07/27/2010 EDN 150/FA 600212 T1 A SPEC ED TEACHER              1.00 $     43,157.04     1.00 $     43,157.04 05 T02 07/27/2010 EDN 150/FA 600216 T1 A SPEC ED TEACHER              1.00 $     43,157.04     1.00 $     43,157.04 05 T02 07/27/2010 EDN 150/FA 600228 T1 A SPEC ED TEACHER              1.00 $     43,157.04     1.00 $     43,157.04 05 T02 07/27/2010 EDN 150/FA 600283 T1 A SPEC ED TEACHER              1.00 $     43,157.04     1.00 $     43,157.04 05 T02 07/27/2010 EDN 150/FA 600393 T1 A SPEC ED TEACHER              1.00 $     43,157.04     1.00 $     43,157.04 05 T02 Page 130 2011 Budget Briefing
  • 191.
    Department of Education Table 13 New Hires New Hire  Position  Perm/  Budgeted  Budgeted  Actual  BU  SR  Effective Date Prog ID/Org Number Temp MOF Position Title FTE  Salary  FTE  Actual Salary  Code Level 07/27/2010 EDN 150/FA 600437 T1 A SPEC ED TEACHER              1.00 $     48,008.16     1.00 $     48,008.16 05 T03 07/27/2010 EDN 150/FA 600440 T1 A SPEC ED TEACHER              0.50 $     23,304.48     0.50 $     23,304.48 45 T03 07/27/2010 EDN 150/FA 600535 T1 A SPEC ED TEACHER              1.00 $     43,157.04     1.00 $     43,157.04 05 T02 07/27/2010 EDN 150/FA 600616 T1 A SPEC ED TEACHER              1.00 $     43,157.04     1.00 $     43,157.04 05 T02 07/27/2010 EDN 150/FA 600737 T1 A SPEC ED TEACHER              1.00 $     32,712.96     1.00 $     32,712.96 05 T02 07/27/2010 EDN 150/FA 600743 T1 A SPEC ED TEACHER              1.00 $     43,157.04     1.00 $     43,157.04 05 T02 07/27/2010 EDN 150/FA 600791 T1 A SPEC ED TEACHER              1.00 $     43,157.04     1.00 $     43,157.04 05 T02 07/27/2010 EDN 150/FA 73930 T1 A SPEC ED TEACHER              1.00 $     46,608.96     1.00 $     46,608.96 05 T03 07/27/2010 EDN 150/FA 73829 T1 A SPEC ED TEACHER              1.00 $     43,157.04     1.00 $     43,157.04 05 T02 07/27/2010 EDN 150/FA 74843 J1 A GEN EDUC/ARTICLE VI TCHR              1.00 $     46,609.00     1.00 $     46,608.96 05 T03 07/27/2010 EDN 150/FB 60232 J1 A SPECIAL SCH TEACHER              1.00 $     48,008.00     1.00 $     43,157.04 05 T02 07/27/2010 EDN 150/NB 600609 T1 N DIST OFF TCHR              1.00 $     43,157.04     1.00 $     43,157.04 05 T02 07/27/2010 EDN 150/SA 29806 J1 A SPEECH PATHOLOGIST IV              1.00 $     68,234.00     1.00 $     45,576.00 13 SR22 07/27/2010 EDN 150/SA 30407 J1 A SPEECH PATHOLOGIST IV              1.00 $     69,305.00     1.00 $     45,576.00 13 SR22 07/27/2010 EDN 150/SA 30414 J1 A SPEECH PATHOLOGIST II              1.00 $     69,305.00     1.00 $     38,988.00 13 SR18 07/27/2010 EDN 150/SA 33093 J1 A SPEECH PATHOLOGIST IV              1.00 $     69,305.00     1.00 $     45,576.00 13 SR22 07/27/2010 EDN 150/SA 46780 J1 A SPEECH PATHOLOGIST III              1.00 $     60,436.00     1.00 $     42,132.00 13 SR20 07/27/2010 EDN 150/SA 56177 J1 A SPEECH PATHOLOGIST II              1.00 $     57,999.00     1.00 $     38,988.00 13 SR18 07/27/2010 EDN 150/SA 56288 J1 A SPEECH PATHOLOGIST II              1.00 $     58,551.00     1.00 $     20,239.20 73 SR18 07/27/2010 EDN 150/YC 29132 J1 A SCH PSYCH (DISTRICT‐BASED)              1.00 $     56,994.00     1.00 $     55,500.00 13 SR26 07/27/2010 EDN 150/YK 29310 J1 A SCHOOL HEALTH AIDE              1.00 $     20,383.00     1.00 $     13,867.20 63 SR09 07/27/2010 EDN 400/YA 59107 J1 A BUS DRIVER              0.50 $     19,986.00     0.50 $     19,986.00 01 BC07 07/27/2010 EDN 400/YA 59164 J1 A BUS DRIVER              0.50 $     19,986.00     0.50 $     19,986.00 01 BC07 07/27/2010 EDN 400/YA 59165 J1 A BUS DRIVER              0.50 $     19,986.00     0.50 $     19,986.00 01 BC07 07/28/2010 EDN 100/AA 58998 J1 A EDUC ASST III              0.50 $     13,066.00     0.50 $     12,515.04 03 SR12 07/28/2010 EDN 100/AA 65872 J1 A ELEM TEACHER              1.00 $     55,622.00     1.00 $     43,157.04 05 T02 07/28/2010 EDN 100/AA 64398 J1 A ELEM TEACHER              1.00 $     62,550.00     1.00 $     44,452.08 05 T02 07/28/2010 EDN 100/AA 74018 T1 A SECONDARY TEACHER              1.00 $     43,157.04     1.00 $     43,157.04 05 T02 07/28/2010 EDN 100/AA 73858 T1 A SECONDARY TEACHER              1.00 $     43,157.04     1.00 $     43,157.04 05 T02 07/28/2010 EDN 100/AA 63166 J1 A ELEM TEACHER              1.00 $     55,622.00     1.00 $     46,608.96 05 T03 07/28/2010 EDN 100/AA 60257 J1 A COUNSELOR/ALIENATION              1.00 $     70,400.00     0.50 $     23,304.48 45 T03 07/28/2010 EDN 100/AA 50466 J1 A SCHOOL CUSTODIAN II              0.50 $     16,614.00     0.50 $     16,614.00 01 BC02 07/28/2010 EDN 100/AA 30595 J1 A SCHOOL SECURITY ATTENDANT              1.00 $     23,229.00     1.00 $     20,539.92 03 SR07 07/28/2010 EDN 100/AA 30644 J1 A SCHOOL SECURITY ATTENDANT              1.00 $     27,154.00     1.00 $     20,539.92 03 SR07 Page 131 2011 Budget Briefing
  • 192.
    Department of Education Table 13 New Hires New Hire  Position  Perm/  Budgeted  Budgeted  Actual  BU  SR  Effective Date Prog ID/Org Number Temp MOF Position Title FTE  Salary  FTE  Actual Salary  Code Level 07/28/2010 EDN 150/FA 56704 T1 A EDUC ASST II              1.00 $     28,209.00     1.00 $     23,130.00 03 SR10 07/28/2010 EDN 150/FA 56843 T1 A EDUC ASST II              1.00 $     27,154.00     1.00 $     23,130.00 03 SR10 07/28/2010 EDN 150/FA 57910 J1 A EDUC ASST III              0.75 $     19,599.00     0.75 $     18,772.56 03 SR12 07/28/2010 EDN 150/FA 58119 J1 A EDUC ASST I              0.75 $     20,366.00     0.75 $     16,042.50 03 SR08 07/28/2010 EDN 150/FA 52547 J1 A EDUC ASST III              1.00 $     31,769.00     1.00 $     25,030.08 03 SR12 07/28/2010 EDN 150/FA 75647 T1 A SPEC ED TEACHER              1.00 $     51,426.00     1.00 $     32,712.96 05 T02 07/28/2010 EDN 150/FA 60876 J1 A SPEC ED TEACHER              1.00 $     43,157.04     1.00 $     43,157.04 05 T02 07/28/2010 EDN 150/FA 600786 T1 A SPEC ED TEACHER              1.00 $     43,157.04     1.00 $     43,157.04 05 T02 07/28/2010 EDN 150/FB 800646 J1 A EDUC ASST II              1.00 $     26,131.00     1.00 $     23,130.00 03 SR10 07/28/2010 EDN 150/FB 801442 J1 A HSEPARENT FOR DEAF/BLIND (FP)              1.00 $     33,756.00     1.00 $     33,756.00 10 HE05 07/28/2010 EDN 150/NB 79839 T1 N DIST OFF TCHR              1.00 $     43,157.04     1.00 $     43,157.04 05 T02 07/28/2010 EDN 150/NB 79796 T1 N DIST OFF TCHR              1.00 $     43,157.04     1.00 $     43,157.04 05 T02 07/28/2010 EDN 150/YG 800274 J1 A EDUC ASST II              1.00 $     26,131.00     1.00 $     23,130.00 03 SR10 07/28/2010 EDN 400/MD 24383 T1 N CAFETERIA HELPER              0.50 $     16,614.00     0.50 $     16,614.00 01 BC02 08/02/2010 EDN 100/AA 600804 T1 A SECONDARY TEACHER              1.00 $     43,157.04     1.00 $     43,157.04 05 T02 08/02/2010 EDN 100/AA 600805 T1 A SECONDARY TEACHER              1.00 $     46,608.96     1.00 $     46,608.96 05 T03 08/02/2010 EDN 100/AA 73772 J1 A SECONDARY TEACHER              1.00 $     32,713.00     1.00 $     43,157.04 05 T02 08/02/2010 EDN 100/AA 66740 J1 A SECONDARY TEACHER              1.00 $     48,008.00     1.00 $     32,712.96 05 T02 08/02/2010 EDN 100/AA 61153 J1 A ELEM TEACHER              1.00 $     50,931.00     1.00 $     43,157.04 05 T02 08/02/2010 EDN 100/AA 67519 J1 A ELEM TEACHER              1.00 $     55,087.00     1.00 $     43,157.04 05 T02 08/02/2010 EDN 100/AA 63730 J1 A ELEM TEACHER              1.00 $     60,729.00     1.00 $     43,157.04 05 T02 08/02/2010 EDN 100/AA 68530 J1 A ELEM TEACHER              1.00 $     63,595.00     1.00 $     32,712.96 05 T02 08/02/2010 EDN 100/AA 73606 J1 A SECONDARY TEACHER              1.00 $     74,688.00     1.00 $     43,157.04 05 T02 08/02/2010 EDN 100/AA 72658 J1 A ELEM TEACHER              1.00 $     79,170.00     1.00 $     43,157.04 05 T02 08/02/2010 EDN 100/AA 68885 J1 A ELEM TEACHER              1.00 $     79,170.00     1.00 $     46,608.96 05 T03 08/02/2010 EDN 100/AA 62323 J1 A SECONDARY TEACHER              1.00 $     79,170.00     1.00 $     46,608.96 05 T03 08/02/2010 EDN 100/AA 61625 J1 A ELEM TEACHER              1.00 $     80,215.00     1.00 $     46,608.96 05 T03 08/02/2010 EDN 100/AA 600325 T1 A SECONDARY TEACHER              1.00 $     43,157.04     1.00 $     43,157.04 05 T02 08/02/2010 EDN 100/AA 71874 T1 A ELEM TEACHER              1.00 $     43,157.04     1.00 $     43,157.04 05 T02 08/02/2010 EDN 100/AA 59774 J1 A CLERK II              0.50 $     11,844.00     0.50 $       6,150.60 63 SR06 08/02/2010 EDN 100/AA 801608 T1 A CLERK II              1.00 $       6,151.00     0.50 $       6,150.60 63 SR06 08/02/2010 EDN 100/AA 16640 J1 A SCHOOL CUSTODIAN II              0.50 $     16,614.00     0.50 $     16,614.00 01 BC02 08/02/2010 EDN 100/AA 45221 J1 A SCHOOL CUSTODIAN II              0.50 $     16,614.00     0.50 $       8,629.20 61 BC02 08/02/2010 EDN 100/AA 30597 J1 A SCHOOL SECURITY ATTENDANT              1.00 $     24,148.00     1.00 $     12,798.00 63 SR07 Page 132 2011 Budget Briefing
  • 193.
    Department of Education Table 13 New Hires New Hire  Position  Perm/  Budgeted  Budgeted  Actual  BU  SR  Effective Date Prog ID/Org Number Temp MOF Position Title FTE  Salary  FTE  Actual Salary  Code Level 08/02/2010 EDN 100/BO 71312 T1 A SECONDARY TEACHER              1.00 $     43,157.04     1.00 $     43,157.04 05 T02 08/02/2010 EDN 100/DB 79752 T1 N SECONDARY TEACHER              1.00 $     46,608.96     1.00 $     46,608.96 05 T03 08/02/2010 EDN 150/FA 76152 J1 A GEN EDUC/ARTICLE VI TCHR              1.00 $     33,694.00     1.00 $     43,157.04 05 T02 08/02/2010 EDN 150/FA 62673 J1 A GEN EDUC/ARTICLE VI TCHR              1.00 $     58,336.00     1.00 $     46,608.96 05 T03 08/02/2010 EDN 150/FA 62613 J1 A GEN EDUC/ARTICLE VI TCHR              1.00 $     68,408.00     1.00 $     43,157.04 05 T02 08/02/2010 EDN 150/FA 57326 T1 A EDUC ASST II              0.75 $     19,599.00     0.75 $     17,347.50 03 SR10 08/02/2010 EDN 150/FA 62885 J1 A SPEC ED TEACHER              1.00 $     49,448.00     1.00 $     46,608.96 05 T03 08/02/2010 EDN 150/FA 71151 T1 A SPEC ED TEACHER              1.00 $     58,959.00     1.00 $     32,712.96 05 T02 08/02/2010 EDN 150/FA 74080 J1 A SPEC ED TEACHER              1.00 $     79,170.00     1.00 $     43,157.04 05 T02 08/02/2010 EDN 150/NB 800281 T1 N EDUC ASST I              1.00 $     13,327.00     1.00 $     13,327.20 63 SR08 08/02/2010 EDN 150/YC 58648 J1 A BEHAVIORAL SPECIALIST III              1.00 $     47,412.00     1.00 $     21,880.80 73 SR20 08/03/2010 EDN 100/AA 600820 T1 A ELEM TEACHER              0.50 $     21,578.52     0.50 $     21,578.52 45 T02 08/03/2010 EDN 100/AA 62420 J1 A ELEM TEACHER              1.00 $     45,785.00     1.00 $     46,608.96 05 T03 08/03/2010 EDN 100/AA 63659 J1 A ELEM TEACHER              1.00 $     46,609.00     1.00 $     43,157.04 05 T02 08/03/2010 EDN 100/AA 72206 J1 A ELEM TEACHER              1.00 $     58,959.00     1.00 $     43,157.04 05 T02 08/03/2010 EDN 100/AA 72546 J1 A SECONDARY TEACHER              0.50 $     24,004.08     0.50 $     24,004.08 45 T03 08/03/2010 EDN 100/AA 600328 T1 A SECONDARY TEACHER              1.00 $     43,157.04     1.00 $     43,157.04 05 T02 08/03/2010 EDN 150/FA 34891 J1 A EDUC ASST I              1.00 $     34,347.00     0.75 $     16,042.50 03 SR08 08/03/2010 EDN 150/FA 66325 T1 A SPEC ED TEACHER              1.00 $     32,713.00     1.00 $     32,712.96 05 T02 08/03/2010 EDN 150/FA 76025 J1 A SPEC ED TEACHER              1.00 $     54,778.00     1.00 $     43,157.04 05 T02 08/04/2010 EDN 100/AA 600697 T1 A ELEM TEACHER              1.00 $     43,157.04     1.00 $     43,157.04 05 T02 08/04/2010 EDN 150/FA 64862 J1 A SPEC ED TEACHER              1.00 $     45,785.00     1.00 $     40,566.96 05 T02 08/04/2010 EDN 150/FA 73837 J1 A SPEC ED TEACHER              1.00 $     60,088.00     1.00 $     43,157.04 05 T02 08/05/2010 EDN 100/AA 600770 T1 A SECONDARY TEACHER              1.00 $     32,712.96     1.00 $     32,712.96 05 T02 08/05/2010 EDN 100/AA 79998 J1 A SECONDARY TEACHER              0.50 $     22,893.00     1.00 $     46,608.96 05 T03 08/05/2010 EDN 100/AA 64569 J1 A SECONDARY TEACHER              1.00 $     48,008.00     1.00 $     32,712.96 05 T02 08/05/2010 EDN 100/AA 64638 J1 A ELEM TEACHER              1.00 $     55,622.00     1.00 $     46,608.96 05 T03 08/05/2010 EDN 150/FA 75922 J1 A GEN EDUC/ARTICLE VI TCHR              1.00 $     45,785.00     1.00 $     32,712.96 05 T02 08/05/2010 EDN 150/YC 58351 J1 A BEHAVIORAL HLTH SPCLT III              1.00 $     49,332.00     1.00 $     42,132.00 13 SR20 08/06/2010 EDN 100/AA 600091 T1 A ELEM TEACHER              1.00 $     43,157.04     1.00 $     43,157.04 05 T02 08/06/2010 EDN 150/YK 29466 J1 A SCHOOL HEALTH AIDE              1.00 $     18,873.00     1.00 $     13,867.20 63 SR09 08/06/2010 EDN 200/GH 57915 J1 B CLERK IV              1.00 $     31,212.00     1.00 $     14,407.20 63 SR10 08/09/2010 EDN 100/AA 801561 T1 A SCHOOL SAFETY AND SECURITY OF              1.00 $     16,210.80     1.00 $     16,210.80 84 SR13 08/09/2010 EDN 100/AA 801562 T1 A SCHOOL SAFETY AND SECURITY OF              1.00 $     16,210.80     1.00 $     16,210.80 84 SR13 Page 133 2011 Budget Briefing
  • 194.
    Department of Education Table 13 New Hires New Hire  Position  Perm/  Budgeted  Budgeted  Actual  BU  SR  Effective Date Prog ID/Org Number Temp MOF Position Title FTE  Salary  FTE  Actual Salary  Code Level 08/09/2010 EDN 100/AA 600834 T1 A SECONDARY TEACHER              0.50 $     16,356.48     0.50 $     16,356.48 45 T02 08/09/2010 EDN 100/AA 67315 J1 A SECONDARY TEACHER              1.00 $     32,713.00     0.50 $     21,578.52 45 T02 08/09/2010 EDN 100/AA 67053 J1 A SECONDARY TEACHER              1.00 $     49,448.00     1.00 $     43,157.04 05 T02 08/09/2010 EDN 100/AA 60274 J1 A ELEM TEACHER              1.00 $     63,845.00     1.00 $     43,157.04 05 T02 08/09/2010 EDN 100/AA 69682 J1 A ELEM TEACHER              1.00 $     66,359.00     1.00 $     43,157.04 05 T02 08/09/2010 EDN 100/AA 800717 T1 A CLERK TYPIST II              0.50 $       6,661.00     0.50 $       6,663.60 63 SR08 08/09/2010 EDN 100/AA 16665 J1 A SCHOOL CUSTODIAN II              1.00 $     33,228.00     1.00 $     33,228.00 01 BC02 08/09/2010 EDN 100/BM 49164 J1 A ATHLETIC HLTH CARE TRAINER              1.00 $     49,332.00     1.00 $     23,652.00 73 SR22 08/09/2010 EDN 150/FA 57547 T1 A EDUC ASST I              0.75 $     22,026.00     0.75 $     16,042.50 03 SR08 08/09/2010 EDN 150/FA 60513 J1 A SPEC ED TEACHER              1.00 $     45,785.00     1.00 $     32,712.96 05 T02 08/09/2010 EDN 300/KF 69252 J1 A FISCAL SPECIALIST III              1.00 $     91,060.00     1.00 $     87,340.08 06 E08 08/10/2010 EDN 100/AA 64024 J1 A ELEM TEACHER              1.00 $     45,785.00     1.00 $     43,157.04 05 T02 08/10/2010 EDN 100/AA 61166 J1 A COUNSELOR              1.00 $     49,448.00     1.00 $     46,608.96 05 T03 08/11/2010 EDN 100/AA 600829 T1 A SECONDARY TEACHER              1.00 $     43,157.04     1.00 $     43,157.04 05 T02 08/11/2010 EDN 100/AA 600089 T1 A ELEM TEACHER              1.00 $     43,157.04     1.00 $     43,157.04 05 T02 08/11/2010 EDN 150/FA 72786 J1 A SPEC ED TEACHER              1.00 $     56,195.00     1.00 $     32,712.96 05 T02 08/12/2010 EDN 100/AA 600828 T1 A COUNSELOR              1.00 $     46,608.96     1.00 $     46,608.96 05 T03 08/12/2010 EDN 200/GH 801610 T1 B CLERK I              1.00 $     11,394.00     1.00 $     11,394.00 63 SR04 08/13/2010 EDN 150/FA 69010 J1 A GEN EDUC/ARTICLE VI TCHR              1.00 $     51,426.00     1.00 $     46,608.96 05 T03 08/16/2010 EDN 100/AA 54879 T1 A CLERK III              1.00 $     25,668.00     0.50 $     12,834.00 03 SR08 08/16/2010 EDN 100/AA 801630 T1 A SCHOOL SAFETY AND SECURITY OF              1.00 $     55,500.00     1.00 $     55,500.00 84 SR13 08/16/2010 EDN 100/AA 801636 T1 A SCHOOL SAFETY AND SECURITY OF              1.00 $     16,210.80     1.00 $     16,210.80 84 SR13 08/16/2010 EDN 100/AA 600709 T1 A ELEM TEACHER              1.00 $     46,608.96     1.00 $     46,608.96 05 T03 08/16/2010 EDN 100/AA 600830 T1 A ELEM TEACHER              1.00 $     43,157.04     1.00 $     43,157.04 05 T02 08/16/2010 EDN 100/AA 600835 T1 A ELEM TEACHER              1.00 $     43,157.04     1.00 $     43,157.04 05 T02 08/16/2010 EDN 100/AA 67191 J1 A SECONDARY TEACHER              1.00 $     34,705.00     1.00 $     32,712.96 05 T02 08/16/2010 EDN 100/AA 54875 T1 A CLERK III              0.50 $     14,418.00     0.50 $     12,834.00 03 SR08 08/16/2010 EDN 100/AA 56321 T1 A CLERK III              0.50 $     15,018.00     0.50 $       6,663.60 63 SR08 08/16/2010 EDN 100/AA 600181 T1 A COUNSELOR              1.00 $     32,712.96     1.00 $     32,712.96 05 T02 08/16/2010 EDN 100/AA 801345 T1 A CLERK TYPIST II              1.00 $     25,668.00     1.00 $     25,668.00 03 SR08 08/16/2010 EDN 100/AA 16721 J1 A SCHOOL CUSTODIAN II              0.50 $     16,614.00     0.50 $       8,629.20 61 BC02 08/16/2010 EDN 100/DB 79535 T1 N SECONDARY TEACHER              1.00 $     32,712.96     1.00 $     32,712.96 05 T02 08/16/2010 EDN 150/FA 60726 J1 A SPEC ED TEACHER              1.00 $     33,694.00     1.00 $     32,712.96 05 T02 08/16/2010 EDN 150/FA 62092 J1 A SPEC ED TEACHER              1.00 $     43,157.00     1.00 $     46,608.96 05 T03 Page 134 2011 Budget Briefing
  • 195.
    Department of Education Table 13 New Hires New Hire  Position  Perm/  Budgeted  Budgeted  Actual  BU  SR  Effective Date Prog ID/Org Number Temp MOF Position Title FTE  Salary  FTE  Actual Salary  Code Level 08/16/2010 EDN 150/FA 73028 J1 A SPEC ED TEACHER              1.00 $     46,830.00     1.00 $     43,157.04 05 T02 08/16/2010 EDN 150/FA 76054 T1 A SPEC ED TEACHER              1.00 $     55,654.00     1.00 $     32,712.96 05 T02 08/16/2010 EDN 150/FA 65027 J1 A SPEC ED TEACHER              1.00 $     66,416.00     1.00 $     32,712.96 05 T02 08/16/2010 EDN 150/FA 72492 J1 A SPEC ED TEACHER              1.00 $     43,157.04     1.00 $     43,157.04 05 T02 08/16/2010 EDN 150/NB 79776 T1 N DIST OFF TCHR              1.00 $     46,608.96     1.00 $     46,608.96 05 T03 08/16/2010 EDN 150/YC 801536 T1 A SCHOOL PSYCHOLOGIST              1.00 $     51,312.00     1.00 $     51,312.00 13 SR24 08/16/2010 EDN 150/YK 29370 J1 A SCHOOL HEALTH AIDE              1.00 $     29,010.00     1.00 $     13,867.20 63 SR09 08/16/2010 EDN 300/KF 47824 J1 A ACCOUNTANT IV              1.00 $     45,576.00     1.00 $     45,576.00 13 SR22 08/16/2010 EDN 300/KF 15713 J1 A AUDITOR V              1.00 $     51,312.00     1.00 $     57,708.00 13 SR24 08/16/2010 EDN 400/MD 54661 J1 B CAFETERIA HELPER              0.50 $     16,614.00     0.50 $     16,614.00 61 BC02 08/16/2010 EDN 500/WA 59722 T1 W CLERK TYPIST II              0.50 $       6,664.00     0.50 $       6,663.60 63 SR08 08/17/2010 EDN 100/AA 600847 T1 A SECONDARY TEACHER              1.00 $     43,157.04     1.00 $     43,157.04 05 T02 08/17/2010 EDN 100/AA 62128 J1 A ELEM TEACHER              1.00 $     46,830.00     0.50 $     21,578.52 45 T02 08/17/2010 EDN 100/AA 600874 T1 A ELEM TEACHER              0.50 $     23,304.48     0.50 $     23,304.48 45 T03 08/17/2010 EDN 150/FA 69436 J1 A SPEC ED TEACHER              1.00 $     51,426.00     1.00 $     48,008.16 05 T03 08/18/2010 EDN 100/AA 801639 T1 A SCHOOL SAFETY AND SECURITY OF              1.00 $     16,210.80     1.00 $     16,210.80 84 SR13 08/18/2010 EDN 100/AA 600831 T1 A ELEM TEACHER              1.00 $     43,157.04     1.00 $     43,157.04 05 T02 08/18/2010 EDN 100/AA 600844 T1 A SECONDARY TEACHER              1.00 $     46,608.96     1.00 $     46,608.96 05 T03 08/18/2010 EDN 100/AA 600851 T1 A ELEM TEACHER              1.00 $     43,157.04     1.00 $     43,157.04 05 T02 08/18/2010 EDN 100/BM 52465 J1 A ATHLETIC HLTH CARE TRAINER              1.00 $     45,576.00     1.00 $     45,576.00 13 SR22 08/18/2010 EDN 150/FA 61862 J1 A SPEC ED TEACHER              1.00 $     60,195.00     1.00 $     32,712.96 05 T02 08/18/2010 EDN 150/FA 68387 T1 A SPEC ED TEACHER              1.00 $     46,608.96     1.00 $     46,608.96 05 T03 08/19/2010 EDN 100/AA 65133 J1 A SECONDARY TEACHER              1.00 $     61,774.00     0.50 $     23,304.48 45 T03 08/19/2010 EDN 100/AA 63814 J1 A COUNSELOR              1.00 $     79,170.00     1.00 $     43,157.04 05 T02 08/19/2010 EDN 400/MD 42841 J1 B CAFETERIA HELPER              0.50 $     16,614.00     0.50 $       8,629.20 61 BC02 08/23/2010 EDN 100/AA 600797 T1 A ELEM TEACHER              0.50 $     23,304.48     0.50 $     23,304.48 45 T03 08/23/2010 EDN 100/AA 600841 T1 A SECONDARY TEACHER              0.50 $     23,304.48     0.50 $     23,304.48 45 T03 08/23/2010 EDN 100/AA 600845 T1 A SECONDARY TEACHER              1.00 $     46,608.96     1.00 $     46,608.96 05 T03 08/23/2010 EDN 100/AA 67415 J1 A SECONDARY TEACHER              1.00 $     53,483.00     1.00 $     46,608.96 05 T03 08/23/2010 EDN 100/AA 600591 T1 A ELEM TEACHER              1.00 $     43,157.04     1.00 $     43,157.04 05 T02 08/23/2010 EDN 100/AA 60507 J1 A LIBRARIAN              1.00 $     49,303.00     1.00 $     46,608.96 05 T03 08/23/2010 EDN 100/AA 60245 J1 A COUNSELOR              1.00 $     46,609.00     1.00 $     46,608.96 05 T03 08/23/2010 EDN 100/AA 800714 T1 A SCHOOL SECURITY ATTENDANT              0.50 $     10,722.00     0.50 $     10,269.96 03 SR07 08/23/2010 EDN 100/DB 600814 T1 N SECONDARY TEACHER              1.00 $     46,608.96     1.00 $     46,608.96 05 T03 Page 135 2011 Budget Briefing
  • 196.
    Department of Education Table 13 New Hires New Hire  Position  Perm/  Budgeted  Budgeted  Actual  BU  SR  Effective Date Prog ID/Org Number Temp MOF Position Title FTE  Salary  FTE  Actual Salary  Code Level 08/23/2010 EDN 100/DB 600716 T1 N SECONDARY TEACHER              1.00 $     46,608.96     1.00 $     46,608.96 05 T03 08/23/2010 EDN 150/FA 75932 T1 A GEN EDUC/ARTICLE VI TCHR              1.00 $     58,959.00     1.00 $     43,157.04 05 T02 08/23/2010 EDN 150/FA 56734 T1 A EDUC ASST II              0.75 $     20,366.00     0.75 $     17,347.50 03 SR10 08/23/2010 EDN 150/NB 79203 T1 N DIST OFF TCHR              1.00 $     43,157.04     1.00 $     43,157.04 05 T02 08/23/2010 EDN 150/YC 800567 T1 A SCHOOL PSYCHOLOGIST              1.00 $     60,756.00     1.00 $     51,312.00 13 SR24 08/23/2010 EDN 400/OC 17199 J1 A GENERAL LABORER II              1.00 $     34,164.00     1.00 $     17,744.40 61 BC03 08/24/2010 EDN 100/AA 600852 T1 A ELEM TEACHER              1.00 $     43,157.04     1.00 $     43,157.04 05 T02 08/24/2010 EDN 100/AA 600853 T1 A ELEM TEACHER              1.00 $     43,157.04     1.00 $     43,157.04 05 T02 08/24/2010 EDN 100/AA 61834 J1 A ELEM TEACHER              1.00 $     72,513.00     1.00 $     43,157.04 05 T02 08/24/2010 EDN 100/AA 600160 T1 A ELEM TEACHER              1.00 $     46,608.96     1.00 $     46,608.96 05 T03 08/24/2010 EDN 100/AA 47790 J1 A CLERK TYPIST II              0.50 $     15,018.00     0.50 $     12,834.00 63 SR08 08/24/2010 EDN 150/YC 58542 T1 A BEHAVIORAL HLTH SPCLT III              1.00 $     55,500.00     1.00 $     21,880.80 73 SR20 08/25/2010 EDN 100/AA 61797 J1 A ELEM TEACHER              1.00 $     60,729.00     1.00 $     43,157.04 05 T02 08/25/2010 EDN 100/AA 23734 J1 A SCHOOL CUSTODIAN V              1.00 $     40,608.00     1.00 $     20,271.60 82 F202 08/26/2010 EDN 100/AA 600848 T1 A SECONDARY TEACHER              1.00 $     43,157.04     1.00 $     43,157.04 05 T02 08/26/2010 EDN 100/AA 74299 J1 A SECONDARY TEACHER              1.00 $     68,351.00     1.00 $     46,608.96 05 T03 08/30/2010 EDN 100/AA 600850 T1 A ELEM TEACHER              1.00 $     46,608.96     1.00 $     46,608.96 05 T03 08/30/2010 EDN 100/AA 600854 T1 A ELEM TEACHER              1.00 $     43,157.04     1.00 $     43,157.04 05 T02 08/30/2010 EDN 100/AA 600859 T1 A ELEM TEACHER              1.00 $     43,157.04     1.00 $     43,157.04 05 T02 08/30/2010 EDN 100/AA 61287 J1 A SECONDARY TEACHER              1.00 $     63,959.00     1.00 $     43,157.04 05 T02 08/30/2010 EDN 100/AA 66675 J1 A ELEM TEACHER              1.00 $     80,215.00     1.00 $     48,008.16 05 T03 08/30/2010 EDN 100/AA  62790X J1 A ELEM TEACHER              1.00 $     45,785.00     1.00 $     43,157.04 05 T02 08/30/2010 EDN 100/AA 68860 T1 A ELEM TEACHER              1.00 $     46,608.96     1.00 $     46,608.96 05 T03 08/30/2010 EDN 100/AA 60237 J1 A LIBRARIAN              1.00 $     62,024.00     1.00 $     46,608.96 05 T03 08/30/2010 EDN 100/AA  62785Z J1 A LIBRARIAN              0.50 $     25,299.00     0.50 $     16,356.48 45 T02 08/30/2010 EDN 100/AA 67050 J1 A COUNSELOR              1.00 $     58,959.00     1.00 $     46,608.96 05 T03 08/30/2010 EDN 100/DB 600162 T1 N ELEM TEACHER              1.00 $     43,157.04     1.00 $     43,157.04 05 T02 08/30/2010 EDN 150/FA 75782 T1 A GEN EDUC/ARTICLE VI TCHR              1.00 $     50,743.00     1.00 $     43,157.04 05 T02 08/30/2010 EDN 150/FA 600599 T1 A GEN EDUC/ARTICLE VI TCHR              1.00 $     43,157.04     1.00 $     43,157.04 05 T02 08/30/2010 EDN 150/FA 73220 J1 A SPEC ED TEACHER              1.00 $     44,452.00     1.00 $     46,608.96 05 T03 08/30/2010 EDN 150/FA 67508 T1 A SPEC ED TEACHER              1.00 $     62,002.00     1.00 $     32,712.96 05 T02 08/30/2010 EDN 150/FA 600784 T1 A SPEC ED TEACHER              1.00 $     32,712.96     1.00 $     32,712.96 05 T02 08/31/2010 EDN 100/AA 600867 T1 A ELEM TEACHER              1.00 $     43,157.04     1.00 $     43,157.04 05 T02 08/31/2010 EDN 100/AA 600875 T1 A ELEM TEACHER              1.00 $     43,157.04     1.00 $     43,157.04 05 T02 Page 136 2011 Budget Briefing
  • 197.
    Department of Education Table 13 New Hires New Hire  Position  Perm/  Budgeted  Budgeted  Actual  BU  SR  Effective Date Prog ID/Org Number Temp MOF Position Title FTE  Salary  FTE  Actual Salary  Code Level 08/31/2010 EDN 100/AA 63023 J1 A SECONDARY TEACHER              1.00 $     54,669.00     1.00 $     32,712.96 05 T02 08/31/2010 EDN 150/FA 56982 T1 A EDUC ASST III              0.50 $     14,104.00     0.50 $     12,515.04 03 SR12 08/31/2010 EDN 150/FA 61465 J1 A SPEC ED TEACHER              1.00 $     49,448.00     1.00 $     32,712.96 05 T02 09/01/2010 EDN 100/AA 600849 T1 A 10‐MO STUDENT SVCS COORD              1.00 $     46,608.96     1.00 $     46,608.96 05 T03 09/01/2010 EDN 100/AA 64423 J1 A ELEM TEACHER              1.00 $     49,448.00     1.00 $     43,157.04 05 T02 09/01/2010 EDN 100/AA 61846 J1 A ELEM TEACHER              1.00 $     58,959.00     1.00 $     43,157.04 05 T02 09/01/2010 EDN 100/AA 66487 J1 A SECONDARY TEACHER              1.00 $     59,010.00     1.00 $     43,157.04 05 T02 09/01/2010 EDN 100/AA 61418 J1 A ELEM TEACHER              1.00 $     62,002.00     1.00 $     43,157.04 05 T02 09/01/2010 EDN 100/AA 59759 J1 A CLERK TYPIST II              1.00 $     25,668.00     1.00 $     25,668.00 03 SR08 09/01/2010 EDN 100/AA 16098 J1 A SCHOOL CUSTODIAN II              0.50 $     16,614.00     0.50 $     16,614.00 01 BC02 09/01/2010 EDN 100/BS 73494 T1 A ROTC INSTRUCTOR              1.00 $     82,838.00     1.00 $  105,528.00 55 TTC 09/01/2010 EDN 100/BV 61880 T1 A ELEM TEACHER              1.00 $     33,694.00     1.00 $     32,712.96 05 T02 09/01/2010 EDN 100/DB 801231 T1 N CLERK TYPIST II              1.00 $     12,834.00     0.50 $     12,834.00 03 SR08 09/01/2010 EDN 150/FA 60481 J1 A SPEC ED TEACHER              1.00 $     44,452.00     1.00 $     43,157.04 05 T02 09/01/2010 EDN 150/FA 72505 J1 A SPEC ED TEACHER              1.00 $     45,785.00     1.00 $     46,608.96 05 T03 09/01/2010 EDN 150/FA 68527 J1 A SPEC ED TEACHER              1.00 $     48,008.00     1.00 $     32,712.96 05 T02 09/01/2010 EDN 150/SA 30495 J1 A COMMUNICATION AID              0.50 $     14,684.00     0.50 $     12,515.04 03 SR12 09/01/2010 EDN 150/SA 801322 J1 A EDUCATIONAL INTERPRETER I              1.00 $     30,036.00     1.00 $     30,036.00 03 SR12 09/01/2010 EDN 150/YC 30689 J1 A SCHOOL PSYCHOLOGIST              1.00 $     46,803.00     1.00 $     51,312.00 13 SR24 09/02/2010 EDN 100/AA 30840 J1 A CLERK TYPIST II              0.50 $     12,834.00     0.50 $       6,663.60 63 SR08 09/02/2010 EDN 150/FA 600792 T1 A SPEC ED TCHR/PRE‐SCHOOL              1.00 $     43,157.04     1.00 $     43,157.04 05 T02 09/03/2010 EDN 150/FA 800552 T1 A EDUC ASST II              1.00 $     27,154.00     1.00 $     23,130.00 03 SR10 09/03/2010 EDN 150/YC 58752 J1 A BEHAVIORAL HLTH SPCLT III              1.00 $     55,500.00     1.00 $     21,880.80 73 SR20 09/07/2010 EDN 100/AA 600865 T1 A ELEM TEACHER              1.00 $     46,608.96     1.00 $     46,608.96 05 T03 09/07/2010 EDN 100/AA 600876 T1 A ELEM TEACHER              1.00 $     46,608.96     1.00 $     46,608.96 05 T03 09/07/2010 EDN 100/AA 600899 T1 A ELEM TEACHER              1.00 $     46,608.96     1.00 $     46,608.96 05 T03 09/07/2010 EDN 100/AA 62746 J1 A ELEM TEACHER              1.00 $     49,448.00     1.00 $     43,157.04 05 T02 09/07/2010 EDN 100/AA 16633 J1 A SCHOOL CUSTODIAN II              1.00 $     33,228.00     1.00 $     33,228.00 01 BC02 09/07/2010 EDN 150/FA 74380 J1 A SPEC ED TEACHER              1.00 $     49,448.00     1.00 $     43,157.04 05 T02 09/07/2010 EDN 150/FB 57889 J1 A EDUC ASST III              1.00 $     26,131.00     1.00 $     25,030.08 03 SR12 09/07/2010 EDN 150/NB 600607 T1 N DIST OFF TCHR              1.00 $     46,608.96     1.00 $     46,608.96 05 T03 09/07/2010 EDN 150/SA 56256 J1 A SPEECH PATHOLOGIST III              1.00 $     60,315.00     1.00 $     42,132.00 13 SR20 09/08/2010 EDN 100/AA 801616 T1 A CLERK TYPIST II              1.00 $     13,327.20     1.00 $     13,327.20 63 SR08 09/08/2010 EDN 100/AA 801533 T1 A EDUC ASST III              1.00 $     25,030.00     1.00 $     25,030.08 03 SR12 Page 137 2011 Budget Briefing
  • 198.
    Department of Education Table 13 New Hires New Hire  Position  Perm/  Budgeted  Budgeted  Actual  BU  SR  Effective Date Prog ID/Org Number Temp MOF Position Title FTE  Salary  FTE  Actual Salary  Code Level 09/09/2010 EDN 100/AA 68188 J1 A SECONDARY TEACHER              1.00 $     68,351.00     1.00 $     43,157.04 05 T02 09/09/2010 EDN 400/OC 16817 J1 A UTILITY WORKER              1.00 $     35,700.00     1.00 $     17,744.40 61 BC03 09/10/2010 EDN 100/AA 801698 T1 A DP USER SUPPORT TECH II              1.00 $     17,528.40     1.00 $     17,528.40 63 SR15 09/10/2010 EDN 100/AA 54856 T1 A CLERK III              0.50 $     13,350.00     0.50 $     12,834.00 03 SR08 09/10/2010 EDN 100/AA 800698 J1 A CLERK II              0.50 $     11,844.00     0.50 $     11,844.00 03 SR06 09/10/2010 EDN 150/FA 66224 J1 A SPEC ED TEACHER              1.00 $     44,452.08     1.00 $     44,452.08 05 T02 09/13/2010 EDN 100/AA 600857 T1 A ELEM TEACHER              1.00 $     43,157.04     1.00 $     43,157.04 05 T02 09/13/2010 EDN 100/AA 67692 J1 A SECONDARY TEACHER              1.00 $     79,170.00     1.00 $     46,608.96 05 T03 09/13/2010 EDN 100/DB 600864 T1 N ELEM TEACHER              1.00 $     46,608.96     1.00 $     46,608.96 05 T03 09/13/2010 EDN 150/FA 600780 T1 A GEN EDUC/ARTICLE VI TCHR              1.00 $     40,566.96     1.00 $     40,566.96 05 T02 09/15/2010 EDN 100/AA 39004 J1 A CLERK TYPIST II              1.00 $     33,756.00     1.00 $     25,668.00 03 SR08 09/15/2010 EDN 100/AA 30617 J1 A SCHOOL SECURITY ATTENDANT              1.00 $     23,229.00     1.00 $     20,539.92 03 SR07 09/16/2010 EDN 100/AA 801605 T1 A SCHOOL SECURITY ATTENDANT              1.00 $     12,798.00     1.00 $     12,798.00 63 SR07 09/16/2010 EDN 100/AA 801712 T1 A CLERK II              1.00 $     12,301.20     1.00 $     12,301.20 63 SR06 09/16/2010 EDN 100/AA 600863 T1 A ELEM TEACHER              1.00 $     46,608.96     1.00 $     46,608.96 05 T03 09/16/2010 EDN 100/AA 74524 J1 A ELEM TEACHER              1.00 $     68,351.00     1.00 $     43,157.04 05 T02 09/16/2010 EDN 100/AA  67785X T1 A ELEM TEACHER              1.00 $     43,157.04     1.00 $     43,157.04 05 T02 09/16/2010 EDN 100/AA 33195 J1 A CLERK TYPIST II              1.00 $     28,836.00     1.00 $     25,668.00 03 SR08 09/16/2010 EDN 100/AA 28174 J1 A SCHOOL CUSTODIAN II              0.50 $     16,614.00     0.50 $     16,614.00 01 BC02 09/16/2010 EDN 100/BJ 801173 J1 A DP USER SUPPORT TECH II              1.00 $     25,668.00     1.00 $     17,528.40 63 SR15 09/16/2010 EDN 100/BJ 40300 J1 A SCHOOL SECURITY ATTENDANT              1.00 $     23,229.00     1.00 $     12,798.00 63 SR07 09/16/2010 EDN 150/FA 72767 J1 A SPEC ED TEACHER              1.00 $     45,785.00     1.00 $     32,712.96 05 T02 09/16/2010 EDN 150/YC 58745 J1 A CLINICAL PSYCHOLOGIST V              1.00 $     68,160.00     1.00 $     51,312.00 13 SR24 09/20/2010 EDN 100/AA 600838 T1 A ELEM TEACHER              1.00 $     43,157.04     1.00 $     43,157.04 05 T02 09/20/2010 EDN 100/AA 600911 T1 A ELEM TEACHER              1.00 $     43,157.04     1.00 $     43,157.04 05 T02 09/20/2010 EDN 100/AA 65364 J1 A ELEM TEACHER              1.00 $     62,002.00     1.00 $     43,157.04 05 T02 09/20/2010 EDN 100/AA 47787 J1 A SCHOOL CUSTODIAN II              0.50 $     16,614.00     0.50 $     16,614.00 01 BC02 09/20/2010 EDN 100/AA 22909 J1 A SCHOOL CUSTODIAN II              1.00 $     33,228.00     0.75 $     24,921.00 01 BC02 09/20/2010 EDN 100/BB 75819 J1 A SECONDARY TEACHER              1.00 $     32,712.96     1.00 $     32,712.96 05 T02 09/20/2010 EDN 100/DB 79845 T1 N SECONDARY TEACHER              1.00 $     46,608.96     1.00 $     46,608.96 05 T03 09/20/2010 EDN 150/FA 600157 T1 A SPEC ED TEACHER              1.00 $     43,157.04     1.00 $     43,157.04 05 T02 09/20/2010 EDN 150/SA 30554 J1 A PHYSICAL THERAPIST IV              1.00 $     67,488.00     1.00 $     45,576.00 13 SR22 09/20/2010 EDN 150/YC 58400 T1 A BEHAVIORAL HEALTH SPCLT III              1.00 $     45,576.00     1.00 $     42,132.00 13 SR20 09/21/2010 EDN 100/DB 600719 T1 N SECONDARY TEACHER              1.00 $     43,157.04     1.00 $     43,157.04 05 T02 Page 138 2011 Budget Briefing
  • 199.
    Department of Education Table 13 New Hires New Hire  Position  Perm/  Budgeted  Budgeted  Actual  BU  SR  Effective Date Prog ID/Org Number Temp MOF Position Title FTE  Salary  FTE  Actual Salary  Code Level 09/21/2010 EDN 400/MD 59680 T1 N CAFETERIA HELPER              0.50 $     16,614.00     0.50 $     16,614.00 61 BC02 09/23/2010 EDN 100/AA 62477 J1 A SECONDARY TEACHER              1.00 $     48,008.00     1.00 $     32,712.96 05 T02 09/23/2010 EDN 100/AA 68735 J1 A SECONDARY TEACHER              1.00 $     62,550.00     1.00 $     46,608.96 05 T03 09/23/2010 EDN 100/BM 49297 J1 A ATHLETIC HLTH CARE TRAINER              1.00 $     47,412.00     1.00 $     23,662.80 73 SR22 09/23/2010 EDN 150/FA 69243 J1 A SPEC ED TEACHER              1.00 $     32,713.00     1.00 $     32,712.96 05 T02 09/23/2010 EDN 150/FB 60267 J1 A SPECIAL SCH TEACHER              1.00 $     50,493.00     1.00 $     32,712.96 05 T02 09/24/2010 EDN 100/AA 30605 J1 A SCHOOL SECURITY ATTENDANT              1.00 $     30,506.00     1.00 $     20,539.92 03 SR07 09/27/2010 EDN 100/AA 64209 J1 A ELEM TEACHER              1.00 $     45,785.00     1.00 $     43,157.04 05 T02 09/27/2010 EDN 100/AA 72152 J1 A SECONDARY TEACHER              1.00 $     56,740.00     1.00 $     32,712.96 05 T02 09/27/2010 EDN 100/AA 73374 J1 A COUNSELOR              1.00 $     46,609.00     1.00 $     44,452.08 05 T02 09/27/2010 EDN 100/AA 71371 J1 A COUNSELOR              1.00 $     51,426.00     1.00 $     46,608.96 05 T03 09/27/2010 EDN 150/FA 64712 J1 A SPEC ED TEACHER              1.00 $     74,688.00     1.00 $     32,712.96 05 T02 09/27/2010 EDN 150/FA 71554 J1 A SPEC ED TEACHER              1.00 $     43,157.04     1.00 $     43,157.04 05 T02 09/27/2010 EDN 150/FA 74843 J1 A GEN EDUC/ARTICLE VI TCHR              1.00 $     44,452.00     1.00 $     44,452.08 05 T02 09/28/2010 EDN 100/AA 800690 J1 A CLERK TYPIST II              0.50 $     12,834.00     0.50 $       6,663.60 63 SR08 09/28/2010 EDN 150/FA 64006 J1 A SPEC ED TEACHER              1.00 $     43,157.00     1.00 $     32,712.96 05 T02 09/28/2010 EDN 150/FA 67202 J1 A SPEC ED TEACHER              1.00 $     58,959.00     1.00 $     32,712.96 05 T02 09/29/2010 EDN 100/AA 69102 J1 A ELEM TEACHER              1.00 $     50,931.00     1.00 $     46,608.96 05 T03 10/01/2010 EDN 100/AA 69856 J1 A ELEM TEACHER              1.00 $     54,558.00     1.00 $     46,608.96 05 T03 10/01/2010 EDN 100/AA 63637 J1 A ELEM TEACHER              1.00 $     62,603.00     1.00 $     46,608.96 05 T03 10/01/2010 EDN 100/AA 67639 J1 A ELEM TEACHER              1.00 $     49,053.00     1.00 $     46,608.96 05 T03 10/01/2010 EDN 100/AA 74248 J1 A SECONDARY TEACHER              1.00 $     55,622.00     1.00 $     46,608.96 05 T03 10/01/2010 EDN 100/AA 801517 J1 A CLERK III              0.50 $     12,834.00     0.50 $     12,834.00 03 SR08 10/01/2010 EDN 150/FA 600967 T1 A SPEC ED TEACHER              1.00 $     48,008.00     1.00 $     48,008.16 05 T03 10/01/2010 EDN 150/YC 800861 T1 A BEHAVIORAL HLTH SPCLT III              1.00 $     45,576.00     1.00 $     42,132.00 13 SR20 10/01/2010 EDN 150/YC 800860 T1 A BEHAVIORAL HLTH SPCLT III              1.00 $     45,576.00     1.00 $     42,132.00 13 SR20 10/01/2010 EDN 150/YG 801521 T1 A EDUC ASST III              1.00 $     25,030.00     1.00 $     25,030.08 03 SR12 10/01/2010 EDN 200/GN 600915 T1 A COMPLEX AREA TEACHER              1.00 $     48,008.00     1.00 $     48,008.16 05 T03 10/04/2010 EDN 100/AA 801545 T1 A CLERK TYPIST II              1.00 $     25,668.00     1.00 $     25,668.00 03 SR08 10/04/2010 EDN 150/SA 3082 J1 A OCC THERAPIST IV              1.00 $     56,388.00     1.00 $     45,576.00 13 SR22 10/04/2010 EDN 150/YC 58473 T1 A BEHAVIORAL HLTH SPCLT III              1.00 $     55,500.00     1.00 $     42,132.00 13 SR20 10/04/2010 EDN 150/YC 58482 T1 A BEHAVIORAL HLTH SPCLT III              1.00 $     55,500.00     1.00 $     42,132.00 13 SR20 10/05/2010 EDN 100/AA 801675 T1 A SCHOOL SECURITY ATTENDANT              1.00 $     12,798.00     1.00 $     12,798.00 63 SR07 10/05/2010 EDN 100/AA 56102 J1 A CLERK III              0.50 $     15,018.00     0.50 $       6,663.60 63 SR08 Page 139 2011 Budget Briefing
  • 200.
    Department of Education Table 13 New Hires New Hire  Position  Perm/  Budgeted  Budgeted  Actual  BU  SR  Effective Date Prog ID/Org Number Temp MOF Position Title FTE  Salary  FTE  Actual Salary  Code Level 10/05/2010 EDN 100/AA 38979 J1 A CLERK TYPIST II              1.00 $     27,756.00     1.00 $     13,327.20 63 SR08 10/05/2010 EDN 100/BM 800205 J1 A ATHLETIC HLTH CARE TRAINER              1.00 $     45,576.00     1.00 $     23,662.80 73 SR22 10/06/2010 EDN 150/YC 58486 T1 A BEHAVIORAL HLTH SPCLT III              1.00 $     47,412.00     1.00 $     42,132.00 13 SR20 10/06/2010 EDN 150/YC 58380 J1 A BEHAVIORAL HLTH SPCLT III              1.00 $     57,708.00     1.00 $     42,132.00 13 SR20 10/12/2010 EDN 100/AA 600924 T1 A COUNSELOR              1.00 $     46,609.00     1.00 $     46,608.96 05 T03 10/12/2010 EDN 100/AA 801624 T1 A EDUC ASST III              0.75 $     18,773.00     0.75 $     18,772.56 03 SR12 10/12/2010 EDN 100/AA 600925 T1 A ELEM TEACHER              1.00 $     46,609.00     1.00 $     46,608.96 05 T03 10/12/2010 EDN 100/AA 801674 T1 A SCHOOL SAFETY AND SECURITY OF              1.00 $     16,211.00     1.00 $     16,210.80 84 SR13 10/12/2010 EDN 100/AA  63715X T1 A ELEM TEACHER              1.00 $     32,713.00     1.00 $     32,712.96 05 T02 10/12/2010 EDN 100/AA 71523 J1 A ELEM TEACHER              1.00 $     52,471.00     1.00 $     48,008.16 05 T03 10/12/2010 EDN 100/AA 62340 J1 A SECONDARY TEACHER              1.00 $     48,008.00     1.00 $     46,608.96 05 T03 10/12/2010 EDN 100/AA 66046 J1 A SECONDARY TEACHER              1.00 $     49,448.00     1.00 $     46,608.96 05 T03 10/12/2010 EDN 100/AA 66807 J1 A SECONDARY TEACHER              1.00 $     49,448.00     1.00 $     32,712.96 05 T02 10/12/2010 EDN 150/FA 71210 T1 A SPEC ED TEACHER              1.00 $     49,448.00     1.00 $     43,157.04 05 T02 10/12/2010 EDN 150/FA 68527 J1 A SPEC ED TEACHER              1.00 $     48,008.00     1.00 $     43,157.04 05 T02 10/12/2010 EDN 150/FA 74665 T1 A SPEC ED TEACHER              1.00 $     32,713.00     1.00 $     43,157.04 05 T02 10/12/2010 EDN 150/FA 600097 T1 A SPEC ED TEACHER              1.00 $     48,008.00     1.00 $     48,008.16 05 T03 10/12/2010 EDN 150/SA 30708 J1 A SCH BASED OCC THRPY ASST (FP)              1.00 $     45,108.00     1.00 $     48,948.00 10 HE10 10/12/2010 EDN 150/YC 58650 T1 A BEHAVIORAL SPECIALIST III              1.00 $     49,332.00     1.00 $     42,132.00 13 SR20 10/12/2010 EDN 150/YK 29315 J1 A SCHOOL HEALTH AIDE              1.00 $     18,873.00     1.00 $     18,078.00 03 SR09 10/12/2010 EDN 150/YK 29470 J1 A SCHOOL HEALTH AIDE              1.00 $     20,383.00     1.00 $     13,867.20 63 SR09 10/12/2010 EDN 400/MD 51890 J1 B SCHOOL COOK I              1.00 $     38,436.00     1.00 $     35,544.00 01 BC04 10/12/2010 EDN 400/MD 53155 J1 B CAFETERIA HELPER              0.50 $     16,614.00     0.50 $     16,614.00 61 BC02 10/13/2010 EDN 100/AA 65373 T1 A ELEM TEACHER              1.00 $     48,008.00     1.00 $     48,008.16 05 T03 10/13/2010 EDN 100/DB 600406 T1 N ELEM TEACHER              1.00 $     43,157.00     1.00 $     43,157.04 05 T02 10/13/2010 EDN 150/FA 73317 J1 A SPEC ED TEACHER              1.00 $     60,729.00     1.00 $     43,157.04 05 T02 10/15/2010 EDN 150/YC 58631 J1 A BEHAVIORAL HLTH SPCLT III              1.00 $     47,412.00     1.00 $     21,880.80 73 SR20 10/18/2010 EDN 100/AA 801578 T1 A CLERK TYPIST I              1.00 $     23,688.00     1.00 $     23,688.00 03 SR06 10/18/2010 EDN 100/AA 600968 T1 A ELEM TEACHER              1.00 $     43,157.00     1.00 $     43,157.04 05 T02 10/18/2010 EDN 100/AA 600901 T1 A ELEM TEACHER              0.50 $     23,304.00     0.50 $     23,304.48 45 T03 10/18/2010 EDN 100/AA 65808 J1 A SECONDARY TEACHER              1.00 $     62,550.00     1.00 $     32,712.96 05 T02 10/18/2010 EDN 100/AA 801111 T1 A CLERK II              0.50 $     11,844.00     0.50 $     11,844.00 03 SR06 10/18/2010 EDN 100/AA 801376 T1 A SCHOOL CUSTODIAN II              0.50 $     16,614.00     0.50 $     16,614.00 01 BC02 10/18/2010 EDN 150/FA 57364 T1 A EDUC ASST III              0.75 $     21,157.00     0.75 $     18,772.56 03 SR12 Page 140 2011 Budget Briefing
  • 201.
    Department of Education Table 13 New Hires New Hire  Position  Perm/  Budgeted  Budgeted  Actual  BU  SR  Effective Date Prog ID/Org Number Temp MOF Position Title FTE  Salary  FTE  Actual Salary  Code Level 10/18/2010 EDN 150/YC 58747 J1 A BEHAVIORAL HLTH SPCLT III              1.00 $     47,412.00     1.00 $     42,132.00 13 SR20 10/18/2010 EDN 150/YG 801522 T1 A EDUC ASST III              1.00 $     25,030.00     1.00 $     25,030.08 03 SR12 10/18/2010 EDN 150/YG 801526 T1 A EDUC ASST III              1.00 $     25,030.00     1.00 $     25,030.08 03 SR12 10/18/2010 EDN 150/YG 801525 T1 A EDUC ASST III              1.00 $     25,030.00     1.00 $     25,030.08 03 SR12 10/18/2010 EDN 150/YG 801354 T1 A SOCIAL WORKER IV              1.00 $     21,881.00     1.00 $     21,880.80 73 SR20 10/19/2010 EDN 100/AA 56456 J1 A CLERK TYPIST II              0.50 $     12,834.00     0.50 $     12,834.00 03 SR08 10/19/2010 EDN 150/SA 25969 J1 A OCC THERAPIST IV              1.00 $     66,576.00     1.00 $     23,662.80 73 SR22 10/19/2010 EDN 150/YC 800423 J1 A SCHOOL PSYCHOLOGIST              1.00 $     58,716.00     1.00 $     51,312.00 13 SR24 10/25/2010 EDN 100/AA 63603 J1 A ELEM TEACHER              1.00 $     58,586.00     1.00 $     43,157.04 05 T02 10/25/2010 EDN 100/AA 61546 J1 A ELEM TEACHER              1.00 $     52,471.00     1.00 $     32,712.96 05 T02 10/25/2010 EDN 100/AA 45354 J1 A LIBRARY ASSISTANT III              1.00 $     26,700.00     1.00 $     24,648.00 03 SR07 10/25/2010 EDN 150/FA 48509 J1 A EDUC ASST II              1.00 $     31,769.00     1.00 $     23,130.00 03 SR10 10/25/2010 EDN 150/FA 800039 T1 A EDUC ASST III              1.00 $     19,599.00     0.75 $     18,772.56 03 SR12 10/25/2010 EDN 150/FA 600191 T1 A SPEC ED TEACHER              1.00 $     32,713.00     1.00 $     32,712.96 05 T02 10/25/2010 EDN 150/FA 600366 T1 A SPEC ED TEACHER              1.00 $     46,609.00     1.00 $     46,608.96 05 T03 10/25/2010 EDN 150/FA 68797 J1 A SPEC ED TEACHER              1.00 $     34,705.00     1.00 $     32,712.96 05 T02 10/25/2010 EDN 150/YG 801532 T1 A BEHAVIORAL HLTH SPCLT III              1.00 $     42,132.00     1.00 $     42,132.00 13 SR20 10/26/2010 EDN 100/AA 600942 T1 A ELEM TEACHER              0.50 $     23,304.00     0.50 $     23,304.48 45 T03 10/26/2010 EDN 100/AA 600943 T1 A LIBRARIAN              0.50 $     24,004.00     0.50 $     24,004.08 45 T03 10/26/2010 EDN 100/AA 61872 J1 A ELEM TEACHER              1.00 $     45,785.00     1.00 $     46,608.96 05 T03 10/26/2010 EDN 100/AA 600164 T1 A ELEM TEACHER              1.00 $     46,609.00     1.00 $     46,608.96 05 T03 10/26/2010 EDN 150/YG 800727 J1 A HUMAN SVCS PROF II              1.00 $     46,803.00     1.00 $     20,239.20 73 SR18 10/27/2010 EDN 200/GH 801609 T1 A CLERK I              1.00 $     21,948.00     1.00 $     21,948.00 03 SR04 10/28/2010 EDN 150/NB 800177 T1 N EDUC ASST II              1.00 $     23,130.00     1.00 $     23,130.00 03 SR10 10/29/2010 EDN 100/AA 800717 T1 A CLERK TYPIST II              0.50 $     12,834.00     0.50 $     12,834.00 03 SR08 11/01/2010 EDN 100/AA 600940 T1 A ELEM TEACHER              1.00 $     46,609.00     1.00 $     46,608.96 05 T03 11/01/2010 EDN 100/AA 600939 T1 A ELEM TEACHER              1.00 $     46,609.00     1.00 $     46,608.96 05 T03 11/01/2010 EDN 100/AA 600945 T1 A ELEM TEACHER              1.00 $     43,157.00     1.00 $     43,157.04 05 T02 11/01/2010 EDN 100/AA 801808 T1 A LIBRARY ASSISTANT III              1.00 $     12,798.00     1.00 $     12,798.00 63 SR07 11/01/2010 EDN 100/AA 801559 T1 A SCHOOL SAFETY AND SECURITY OF              1.00 $     16,211.00     1.00 $     16,210.80 84 SR13 11/01/2010 EDN 100/AA 600816 T1 A SECONDARY TEACHER              1.00 $     43,157.00     1.00 $     43,157.04 05 T02 11/01/2010 EDN 100/AA 63286 J1 A ELEM TEACHER              1.00 $     64,427.00     1.00 $     48,008.16 05 T03 11/01/2010 EDN 100/AA 61588 J1 A ELEM TEACHER              1.00 $     68,351.00     1.00 $     43,157.04 05 T02 11/01/2010 EDN 100/AA 69001 J1 A SECONDARY TEACHER              1.00 $     79,170.00     1.00 $     32,712.96 05 T02 Page 141 2011 Budget Briefing
  • 202.
    Department of Education Table 13 New Hires New Hire  Position  Perm/  Budgeted  Budgeted  Actual  BU  SR  Effective Date Prog ID/Org Number Temp MOF Position Title FTE  Salary  FTE  Actual Salary  Code Level 11/01/2010 EDN 100/AA 53286 J1 A EDUC ASST II              0.50 $     13,066.00     0.50 $     11,565.00 03 SR10 11/01/2010 EDN 100/AA 59745 J1 A ACCOUNT CLERK II              1.00 $     31,212.00     1.00 $     25,668.00 03 SR08 11/01/2010 EDN 100/AA 801608 T1 A CLERK II              0.50 $     11,844.00     0.50 $     11,844.00 03 SR06 11/01/2010 EDN 100/AA 56402 J1 A CLERK TYPIST II              1.00 $     27,756.00     1.00 $     25,668.00 03 SR08 11/01/2010 EDN 100/AA 56460 J1 A CLERK TYPIST II              0.50 $     12,834.00     0.50 $       6,663.60 63 SR08 11/01/2010 EDN 100/AA 30658 J1 A SCHOOL SECURITY ATTENDANT              1.00 $     21,444.00     1.00 $     12,798.00 63 SR07 11/01/2010 EDN 100/BM 800797 J1 A ATHLETIC HLTH CARE TRAINER              0.50 $     22,788.00     1.00 $     23,662.80 73 SR22 11/01/2010 EDN 100/BS 69012 J1 A ROTC INSTRUCTOR              1.00 $  106,404.00     0.50 $     46,630.86 55 ROTC 11/01/2010 EDN 150/FA 57356 T1 A EDUC ASST III              0.75 $     19,599.00     0.75 $     18,772.56 03 SR12 11/01/2010 EDN 150/FA 69052 J1 A SPEC ED TEACHER              1.00 $     51,426.00     1.00 $     46,608.96 05 T03 11/01/2010 EDN 150/YC 59635 J1 A BEHAVIORAL HLTH SPCLT III              1.00 $     49,332.00     1.00 $     42,132.00 13 SR20 11/01/2010 EDN 150/YC 800425 J1 A SCHOOL PSYCHOLOGIST              1.00 $     58,716.00     1.00 $     51,312.00 13 SR24 11/01/2010 EDN 200/GN 32278 T1 A BILINGUAL/BICULTURAL S/H ASST              1.00 $     37,968.00     1.00 $     14,968.80 63 SR11 11/03/2010 EDN 100/AA 801728 T1 A LIBRARY ASSISTANT II              0.50 $       5,913.00     0.50 $       5,913.00 63 SR05 11/03/2010 EDN 100/AA 65358 J1 A SCH ATHLETIC DIR I              1.00 $     62,563.00     1.00 $     60,006.96 06 E01 11/03/2010 EDN 100/BJ 801647 T1 A SCHOOL SAFETY AND SECURITY OF              0.75 $     12,158.00     0.75 $     12,158.10 84 SR13 11/04/2010 EDN 100/AA 40512 J1 A CLERK II              0.50 $     12,834.00     1.00 $     23,688.00 03 SR06 11/08/2010 EDN 100/AA 60329 J1 A ELEM TEACHER              1.00 $     45,785.00     1.00 $     43,157.04 05 T02 11/08/2010 EDN 100/AA 68346 J1 A ELEM TEACHER              1.00 $     44,452.00     1.00 $     43,157.04 05 T02 11/08/2010 EDN 100/AA 48420 J1 A CLERK TYPIST II              0.50 $     16,212.00     0.50 $     12,834.00 03 SR08 11/08/2010 EDN 100/BM 800799 J1 A ATHLETIC HLTH CARE TRAINER              1.00 $     45,576.00     1.00 $     45,576.00 13 SR22 11/08/2010 EDN 150/FA 61209 J1 A SECONDARY TEACHER              1.00 $     52,721.00     1.00 $     32,712.96 05 T02 11/08/2010 EDN 150/FA 600590 T1 A SPEC ED TEACHER              1.00 $     32,713.00     1.00 $     32,712.96 05 T02 11/09/2010 EDN 100/DB 600754 T1 N ELEM TEACHER              0.50 $     21,579.00     0.50 $     21,578.52 45 T02 11/09/2010 EDN 150/YG 800947 J1 A BEHAVIORAL HLTH SPCLT III              1.00 $     45,576.00     1.00 $     42,132.00 13 SR20 11/10/2010 EDN 150/SA 56374 J1 A SPEECH PATHOLOGIST IV              1.00 $     60,315.00     1.00 $     45,576.00 13 SR22 11/15/2010 EDN 100/AA 801613 T1 A CLERK I              0.50 $     10,974.00     0.50 $     10,974.00 03 SR04 11/15/2010 EDN 100/AA 74002 J1 A ELEM TEACHER              1.00 $     49,053.00     1.00 $     43,157.04 05 T02 11/15/2010 EDN 100/AA 63777 J1 A SECONDARY TEACHER              1.00 $     40,567.00     1.00 $     43,157.04 05 T02 11/15/2010 EDN 100/DR 79197 T1 N EVALUATION SPEC II              1.00 $     77,069.00     1.00 $     77,069.04 06 E07 11/15/2010 EDN 150/FA 66449 J1 A SPEC ED TEACHER              1.00 $     62,550.00     1.00 $     32,712.96 05 T02 11/15/2010 EDN 150/YC 58531 J1 A BEHAVIORAL HLTH SPCLT III              1.00 $     51,312.00     1.00 $     42,132.00 13 SR20 11/15/2010 EDN 150/YC 58540 T1 A BEHAVIORAL HLTH SPCLT IV              1.00 $     51,312.00     1.00 $     49,332.00 13 SR22 11/15/2010 EDN 150/YC 58208 J1 A CLINICAL PSYCHOLOGIST V              1.00 $     77,748.00     1.00 $     51,312.00 13 SR24 Page 142 2011 Budget Briefing
  • 203.
    Department of Education Table 13 New Hires New Hire  Position  Perm/  Budgeted  Budgeted  Actual  BU  SR  Effective Date Prog ID/Org Number Temp MOF Position Title FTE  Salary  FTE  Actual Salary  Code Level 11/15/2010 EDN 400/MD 56639 J1 B CAFETERIA HELPER              0.50 $     16,614.00     0.50 $       8,629.20 61 BC02 11/16/2010 EDN 100/AA 600926 T1 A SECONDARY TEACHER              1.00 $     32,713.00     1.00 $     32,712.96 05 T02 11/16/2010 EDN 100/AA 21886 J1 A SCHOOL CUSTODIAN II              0.50 $     16,614.00     0.50 $     16,614.00 01 BC02 11/16/2010 EDN 150/FA 68736 J1 A SPEC ED TEACHER              1.00 $     49,448.00     1.00 $     43,157.04 05 T02 11/16/2010 EDN 150/SA 800337 J1 A SPEECH PATHOLOGIST II              1.00 $     57,999.00     1.00 $     20,239.20 63 SR18 11/18/2010 EDN 100/AA 56596 J1 A CLERK TYPIST II              0.50 $     12,834.00     0.50 $     12,834.00 03 SR08 11/18/2010 EDN 150/FA 57512 T1 A EDUC ASST III              1.00 $     27,154.00     1.00 $     25,030.08 03 SR12 11/18/2010 EDN 400/MD 53152 J1 B CAFETERIA HELPER              1.00 $     33,828.00     0.50 $       8,629.20 61 BC02 11/19/2010 EDN 150/YK 801514 J1 A SCHOOL HEALTH AIDE              1.00 $     13,867.00     1.00 $     13,867.20 63 SR09 11/22/2010 EDN 100/AA 801625 T1 A SCHOOL SECURITY ATTENDANT              1.00 $     20,540.00     1.00 $     20,539.92 03 SR07 11/22/2010 EDN 100/AA 63924 J1 A ELEM TEACHER              1.00 $     79,170.00     1.00 $     43,157.04 05 T02 11/22/2010 EDN 100/AA 51980 J1 A EDUC ASST III              0.50 $     15,253.00     0.50 $     12,515.04 03 SR12 11/22/2010 EDN 100/AA 801510 T1 A SCHOOL CUSTODIAN II              1.00 $     33,228.00     1.00 $     33,228.00 01 BC02 11/22/2010 EDN 100/DB 600966 T1 N DIST OFF TCHR              1.00 $     46,609.00     1.00 $     46,608.96 05 T03 11/22/2010 EDN 150/FA 800617 T1 A EDUC ASST III              1.00 $     26,131.00     1.00 $     25,030.08 03 SR12 11/22/2010 EDN 150/FA 600981 T1 A SPEC ED TEACHER              1.00 $     32,713.00     1.00 $     32,712.96 05 T02 11/22/2010 EDN 150/NB 57707 T1 N EDUC ASST III              1.00 $     25,030.00     1.00 $     25,030.08 03 SR12 11/22/2010 EDN 150/SA 46661 J1 A SPEECH PATHOLOGIST IV              1.00 $     60,315.00     1.00 $     45,576.00 13 SR22 11/29/2010 EDN 100/DB 600965 T1 N DIST OFF TCHR              1.00 $     46,609.00     1.00 $     46,608.96 05 T03 11/29/2010 EDN 150/FA 67106 T1 A GEN EDUC/ARTICLE VI TCHR              1.00 $     49,448.00     1.00 $     43,157.04 05 T02 11/29/2010 EDN 150/FA 600198 T1 A SPEC ED TEACHER              1.00 $     43,157.00     1.00 $     43,157.04 05 T02 11/29/2010 EDN 150/FA 601026 T1 A SPEC ED TEACHER              1.00 $     32,713.00     1.00 $     32,712.96 05 T02 11/29/2010 EDN 150/NB 800362 T1 N EDUC ASST III              1.00 $     25,030.00     1.00 $     25,030.08 03 SR12 11/29/2010 EDN 150/YC 58640 J1 A BEHAVIORAL HLTH SPCLT III              1.00 $     45,576.00     1.00 $     42,132.00 13 SR20 11/29/2010 EDN 400/MD 28171 T1 N CAFETERIA HELPER              0.50 $     16,614.00     0.50 $     16,614.00 01 BC02 Page 143 2011 Budget Briefing
  • 204.
    Department of Education Table 14 Reduction in Force (RIF) Actions Position Position  Current Salary Salary Comp Freq  SR  Perm/ Prog ID/Org Position # Position Title MOF FTE  Comp Rate  Decrease  Increase  (Mo/Hr) Level BU Temp Placement Action Reason EDN 200/GC 1797 Secretary II A 1.00 $   3,164.00 Mo SR08 03 Perm Reassign to Vacant RIF: Budget Reduction EDN 200/GC 3618 Secretary II A 1.00 $             ‐ Mo SR08 03 Perm None Resigned eff 10/8/10 EDN 200/GC 3903 Secretary II A 1.00 $   3,420.00 Mo SR08 03 Perm Reassign to Vacant RIF: Budget Reduction EDN 150/VA 5571 Secretary II A 1.00 $   2,702.00 Mo SR08 03 Perm Reassign to Vacant RIF: Budget Reduction EDN 200/GC 8268 Secretary II A 1.00 $   3,290.00 Mo SR09 03 Perm Reassign to Vacant RIF: Budget Reduction EDN 200/GP 8914 Secretary I A 1.00 $   3,164.00 Mo SR08 03 Perm Reassign to Vacant RIF: Budget Reduction EDN 150/VA 11427 Secretary II A 1.00 $   3,848.00 Mo SR14 03 Perm Reassign to Vacant RIF: Budget Reduction EDN 200/GC 12020 Secretary II A 1.00 $   3,557.00 Mo SR14 03 Perm Reassign to Vacant RIF: Budget Reduction EDN 300/KO 13863 Personnel Clerk V A 1.00 $   4,004.00 Mo SR13 03 Perm Reassign to Vacant RIF: Budget Reduction EDN 300/KO 19132 Personnel Clerk V A 1.00 $   3,557.00 Mo SR13 03 Perm Reassign to Vacant RIF: Budget Reduction EDN 300/KO 19241 Secretary II A 1.00 $   4,161.00 Mo SR08 03 Perm Reassign to Vacant RIF: Budget Reduction EDN 200/GM 21957 Secretary II A 1.00 $   3,043.00 Mo SR08 03 Perm Reassign to Vacant RIF: Budget Reduction EDN 150/SA 21984 Secretary II A 1.00 $   3,420.00 Mo SR08 03 Perm Reassign to Vacant RIF: Budget Reduction EDN 200/GH 34569 Personnel Clerk V A 1.00 $   2,922.00 Mo SR13 03 Perm Reassign to Vacant RIF: Budget Reduction EDN 150/FD 42306 Secretary II A 1.00 $   3,290.00 Mo SR08 03 Perm Reassign to Vacant RIF: Budget Reduction EDN 200/GP 43015 Secretary I A 1.00 $             ‐ Mo SR08 03 Perm None Transferred eff  10/21/10 EDN 300/KO 45352 Personnel Clerk V A 1.00 $   2,922.00 Mo SR11 03 Perm Reassign to Vacant RIF: Budget Reduction EDN 300/KO 46158 Personnel Clerk V A 1.00 $   2,922.00 Mo SR11 03 Perm Reassign to Vacant RIF: Budget Reduction EDN 150/VA 53148 Secretary II A 1.00 $   3,043.00 Mo SR08 03 Perm Reassign to Vacant RIF: Budget Reduction EDN 150/VA 56324 Secretary II A 1.00 $   3,701.00 Mo SR10 03 Perm Reassign to Vacant RIF: Budget Reduction EDN 200/GD 59169 Secretary II A 1.00 $   3,043.00 Mo SR08 03 Perm Reassign to Vacant RIF: Budget Reduction EDN 150/YC 59674 Secretary II A 1.00 $   3,868.00 Mo SR08 03 Perm Reassign to Vacant RIF: Budget Reduction Page 144 2011 Budget Briefing
  • 205.
    Department of Education Table 15 Grievances SR  Perm/ 1 1 Prog ID/Org Position Number Position Title NONE 11-1-1 MOF  FTE  Level BU Temp RIF Date Grievance Date Current Status Page 145 2011 Budget Briefing
  • 206.
    Department of Education Table 16 Expenditures Exceeding Federal Fund Ceiling  Ceiling  Date of  Recurring GF Impact I Prog ID  Appropriation Ceiling  Increase  Increase Reason for Exceeding Ceiling (Y/N) - (Y/N) ARRA? NONE I "I I I I-I Page 146 2011 Budget Briefing
  • 207.
    Department of Education Table 17 Intradepartmental Transfers From To  Amount Date of  Recurring Prog ID Prog ID Transferred  Transfer Reason for Transfer (Y/N) Transfer of positions and operating funds for  Indexed Complex Area Allocation (ICAA) under  EDN 100 EDN 200 $       3,908,836.00 11/18/2009 EDN200 Y Transfer of position and payrioll funds to align to  EDN 300 EDN 100 $           55,500.00 11/18/2009 reorganization of the Office of Fiscal Services Y Transfer of positions and operating funds for ICAA  EDN 150 EDN 200 $       3,376,231.00 11/18/2009 under EDN200 Y Transfer of positions and operating funds for ICAA  EDN 300 EDN 200 $       4,616,620.00 11/18/2009 under EDN200 Y Transfer of funds to provide federal fund  expenditure ceiling for task order with USDOE for  EDN 100 EDN 300 $           98,039.00 12/16/2009 required EDFacts data reporting system N EDN 150 EDN 100 $       1,059,708.00 1/7/2010 Transfer of funds to cover carryover at schools N EDN 200 EDN 100 $         180,799.00 1/7/2010 Transfer of funds to cover carryover at schools N EDN 300 EDN 100 $       2,327,709.00 1/7/2010 Transfer of funds to cover carryover at schools N EDN 400 EDN 100 $       1,999,190.00 1/7/2010 Transfer of funds to cover carryover at schools N EDN 500 EDN 100 $         209,935.00 1/7/2010 Transfer of funds to cover carryover at schools N EDN 400 EDN 100 $   29,962,635.00 5/27/2010 Transfer to meet projected salary shortfall N EDN 150 EDN 100 $       4,430,909.00 6/24/2010 Transfer to meet projected salary shortfall N EDN 400 EDN 100 $   37,155,465.00 6/24/2010 Transfer to meet projected salary shortfall N EDN 500 EDN 100 $         890,591.00 6/24/2010 Transfer to meet projected salary shortfall N EDN 400 EDN 200 $       1,326,032.00 6/24/2010 Transfer to meet projected salary shortfall N EDN 400 EDN 300 $       8,842,665.00 6/24/2010 Transfer for purchase of reading software license N EDN 100 EDN 150 $       1,741,000.00 6/30/2010 Transfer for Autism program shortfall N EDN 100 EDN 300 $       1,219,000.00 6/30/2010 Transfer for teacher laptops N EDN 100 EDN 400 $       1,671,000.00 6/30/2010 Transfer for Student Transportation N EDN 200 EDN 300 $         494,000.00 6/30/2010 Transfer for teacher laptops N EDN 500 EDN 400 $         529,000.00 6/30/2010 Transfer for Student Transportation N Page 147 2011 Budget Briefing
  • 208.
    Department of Education Table 18 CIP Summary Priority Project Title FY12 $$$ FY13 $$$ MOF 1 Lump Sum ‐ Project Positions (EDN 400) $       5,200,000.00 $     5,200,000.00 B 2 Lump Sum ‐ School Building Improvements $   10,000,000.00 $   10,000,000.00 B 3 Lump Sum ‐ Project Adjustment $       2,000,000.00 $     2,000,000.00 B 4 Lump Sum ‐ Rel/Construct Temporary Facilities $       5,000,000.00 $     5,000,000.00 B 5 Lump Sum ‐ ADA Compliance $       2,500,000.00 $     2,500,000.00 B 6 Lump Sum ‐ Health And Safety $       1,500,000.00 $     1,500,000.00 B 7 Lump Sum ‐ Hazardous Materials Removal $       1,000,000.00 $     1,000,000.00 B 8 Lump Sum ‐ Electrical/Infrastructure Improvements $       5,800,000.00 $     5,800,000.00 B 9 Lump Sum ‐ High School Science Facilities Upgrades $       3,000,000.00 $     3,000,000.00 B 10 Lump Sum ‐ Special Education Renovations $         500,000.00 $         500,000.00 B 11 Lump Sum ‐ Gender Equity $       1,500,000.00 $     1,500,000.00 B 12 Lump Sum ‐ Noise/Heat Abatement $       2,000,000.00 $     2,000,000.00 B 13 Lump Sum ‐ Minor Renovations & Improvements $       1,500,000.00 $     1,500,000.00 B 14 Lump Sum ‐ Master Plan/Land Acquisition $       1,000,000.00 $     1,000,000.00 B 15 Lump Sum ‐ Energy Improvements $       2,000,000.00 $     2,000,000.00 B 16 Lump Sum ‐ Playground Equipment/Accessibility $         500,000.00 $         500,000.00 B Note:  Priority of projects are relative to projects listed on this table. Page 148 2011 Budget Briefing
  • 209.
    Department of Education Table 19 CIP Requests to the New Administration Priority Project Title FY12 $$$ FY13 $$$ MOF 1 Ewa Makai Middle ‐ New School (Additional Funds) $   16,400,000.00 $                      ‐ B 2 Laie Elementary ‐ Cafeteria Expansion (Add Funds) $          62,000.00 $                      ‐ B 3 Keaau Middle ‐ Classroom Building (Additional Funds) $     2,500,000.00 $                      ‐ B 4 Kualapuu Elementary ‐ Water Line $     2,750,000.00 $                      ‐ B 5 McKinley High ‐ Building 857 Fire Safety Improvements and Renovations (Construction) $     6,000,000.00 $                      ‐ B 6 Kea'au Middle ‐ Administration/District Offices $   15,000,000.00 $                      ‐ B 7 Kapaa Elementary ‐ Library (Construction) $     6,000,000.00 $                      ‐ B 8 East Kapolei High  ‐ New School $        500,000.00 $     5,500,000.00 B 9 Kapolei II Elementary (Mehana) ‐ New School (FY11 Design Approp., FY12 Const. Funds) $   42,000,000.00 $                      ‐ B 10 East Kapolei Middle (DHHL) ‐ New School $     5,300,000.00 $   90,000,000.00 B 11 Konawaena Middle ‐ Locker/Shower Building (Construction) $   10,800,000.00 $                      ‐ B 12 DOE Data Center ‐ Back‐up Generator/Relocation for Data Ctr $     2,200,000.00 $                      ‐ B 13 Farrington High ‐ Campus Modernization $     5,000,000.00 $   25,000,000.00 B 14 Waipahu Elementary ‐ Classroom Building (Construction) $     8,100,000.00 $                      ‐ B 15 Waimea Middle ‐ Classroom Building (Construction) $   10,500,000.00 $                      ‐ B 16 Ka'u High and Pahala Elementary ‐ Classroom Building (New or Replacement) $   12,000,000.00 $                      ‐ B 17 Mountain View Elementary ‐ Classroom Building (New or Replacement) $   12,000,000.00 $                      ‐ B 18 Kaunakakai Elementary ‐ Classroom Building (New or Replacement) $                      ‐ $   10,000,000.00 B 19 Pahoa High & Intermediate ‐ Locker/Shower/Wrestling Rm $     3,000,000.00 $                      ‐ B 20 Schofield Area Elementary ‐ New School $     3,500,000.00 $   20,000,000.00 B 21 Central Maui Middle ‐ New School $                      ‐ $        500,000.00 B Note:  Priority of projects are relative to projects listed on this table. Page 149 2011 Budget Briefing
  • 210.
    Department of Education Table 20 Organizational Chart Year of Change  FY11/FY12 Page Number Description of Change NONE Page 150 2011 Budget Briefing
  • 211.
    Updated as ofJune 30, 2010 Office of Human Resources/Management Support Services Section ~ Department of Education ~ State of Hawaii ~ Revised June 30, 2010 RS 11-0309
  • 212.
    The Honorable LindaLingle Governor, State of Hawaii BOARD OF EDUCATION Garrett M. Toguchi, Chairperson Lei Ahu Isa, Ph.D., First Vice Chairperson Karen Knudsen, Second Vice Chairperson Janis Akuna Donna R. Ikeda Eileen Clarke, Ed.D. Kim Coco Iwamoto, Esq. Mary J. Cochran, Esq. Carol Mon Lee, Esq. Margaret A. Cox John R. Penebacker Mark Dannog Herbert S. Watanabe Kathryn S. Matayoshi, Interim Superintendent of Education Ronn K. Nozoe, Acting Deputy Superintendent Daniel S. Hamada, Assistant Superintendent Office of Curriculum, Instruction and Student Support James M. Brese, Assistant Superintendent Office of Fiscal Services Diana Niles-Hansen, Assistant Superintendent Office of Human Resources David C. Wu, Assistant Superintendent Office of Information Technology Services Randolph G. Moore, Assistant Superintendent Office of School Facilities and Support Services 711110
  • 213.
    FOREWORD The Department ofEducation (DOE) Plan of Organization documents the official organization of state and complex area offices of the department, as approved by the Superintendent of Education pursuant to Section 302A-1111, Hawaii Revised Statutes. The Plan of Organization describes the organizational structure, supervisory relationships among established positions, and the functions of each state and complex area office in the department. This edition supersedes all previous editions of the DOE Plan of Organization. Any change to the organizational structure, supervisory relationships among established positions, or functional responsibilities described herein must be submitted for approval. Organizational change requests may be initiated at any time by the designated head of the office affected. Offices contemplating an organizational change should inform the Office of Human Resources (OHR), Management Support Services Section. The Plan of Organization shall be updated annually to rel1ect routine changes in the titles, numbers, and salary ranges of established positions. OHR will coordinate the annual update. OHR shall maintain the Plan of Organization and distribute the annual update and any intervening approved organizational changes to all holders of the Plan. ~ Kathryn S. Matayoshi Interim Superintendent of Education June 30, 2010
  • 214.
  • 215.
    STATE OF HAWAII DEPARTMENT OF EDUCATION ORGANIZATION CHART Educational Officer Classification & Compensation Appeals Board 1/ Advisory Council for Adult & Community Education BOARD OF EDUCATION Hawaii Teacher Standards Board 1/ Charter School Review Panel 1/ CHARTER SCHOOL OFFICE OF THE OFFICE OF THE STATE Library Svs & Constr ADMINISTRATIVE OFFICE 1/ SUPERINTENDENT LIBRARIAN 2/ Act State Adv Council PUBLIC CHARTER SCHOOLS 3/ OFFICE OF SCHOOL OFFICE OF CURRICULUM, OFFICE OF HUMAN OFFICE OF INFORMATION OFFICE OF FISCAL SERVICES FACILITIES AND SUPPORT INSTRUCTION & STUDENT RESOURCES TECHNOLOGY SERVICES SERVICES SUPPORT HONOLULU DISTRICT OFFICE CENTRAL DISTRICT OFFICE LEEWARD DISTRICT OFFICE WINDWARD DISTRICT OFFICE HAWAII DISTRICT OFFICE MAUI DISTRICT OFFICE KAUAI DISTRICT OFFICE FARRINGTON / KAISER / AIEA / MOANALUA / HILO / LAUPAHOEHOE / KAPAA / KAUAI / CAMPBELL / KAPOLEI CASTLE / KAHUKU BALDWIN / KEKAULIKE / KALANI COMPLEX RADFORD COMPLEX 4/ WAIAKEA COMPLEX WAIMEA COMPLEX 4/ COMPLEX AREA COMPLEX AREA 4/ MAUI COMPLEX AREA 4/ AREA AREA 4/ AREA 4/ AREA 4/ KAIMUKI / MCKINLEY / LEILEHUA / MILILANI / HANA / LAHAINA / WAIANAE / NANAKULI KAILUA / KALAHEO KA’U / KEA’AU / PAHOA ROOSEVELT COMPLEX WAIALUA COMPLEX LANAI / MOLOKAI 4/ COMPLEX AREA 4/ COMPLEX AREA 4/ COMPLEX AREA 4/ AREA AREA 4/ COMPLEX AREA 4/ HONOKA’A / 1/ Attached to DOE for administrative purposes only in accordance with law. PEARL CITY / WAIPAHU KEALAKEHE / KOHALA / 2/ The public library system organization is published separately by the State Librarian. COMPLEX AREA 4/ KONAWAENA COMPLEX 3/ See page A-6 AREA 4/ 4/ Each complex area is headed by a Complex Area Superintendent appointed by the A-1 6/30/10 Superintendent of Education and approved by the Board of Education.
  • 216.
    COMPLEX AREA SCHOOLS HONOLULUDISTRICT CENTRAL DISTRICT Farrington/Kaiser/Kalani Complex Area Kaimuki/McKinley/Roosevelt Complex Aiea/Moanalua Radford Complex Area Leilehua/Mililani/Waialua Complex Area Area Farrington Complex Kaimuki Complex Aiea Complex Leilehua Complex Farrington High Kaimuki High Community School for Adults Aiea High Leilehua High Dole Middle Jarrett Middle Aiea Intermediate Wahiawa Middle Kalakaua Middle Washington Middle Kaimuki Community School Aiea Elementary Wheeler Middle Fern Elementary Ala Wai Elementary Pearl Ridge Elementary Hale Kula Elementary Kaewai Elementary Aliiolani Elementary Community School for Adults Scott Elementary Helemano Elementary Kalihi Elementary Hokulani Elementary Waimalu Elementary Iliahi Elementary Kalihi-kai Elementary Jefferson Elementary McKinley Community School Webling Elementary Kaala Elementary Kalihi-uka Elementary Kuhio Elementary Solomon Elementary Kalihi-waena Elementary Lunalilo Elementary Special Schools Moanalua Complex Wahiawa Elementary Kapalama Elementary Palolo Elementary Wheeler Elementary Linapuni Elementary Hawaii School for the Deaf & the Blind Moanalua High Puuhale Elementary McKinley Complex Jefferson Orthopedic Unit Moanalua Middle Mililani Complex Moanalua Elementary Kaiser Complex McKinley High Red Hill Elementary Mililani High Central Middle Salt Lake Elementary Mililani Middle Kaiser High Kaahumanu Elementary Shafter Elementary Kipapa Elementary Niu Valley Middle Kaiulani Elementary Mililani ‘Ike Elementary Aina Haina Elementary Kauluwela Elementary Radford Complex Mililani Mauka Elementary Hahaione Elementary Lanakila Elementary Mililani Uka Elementary Kamiloiki Elementary Likelike Elementary Radford High Mililani Waena Elementary Koko Head Elementary Royal Elementary Aliamanu Middle Aliamanu Elementary Waialua Complex Kalani Complex Roosevelt Complex Hickam Elementary Makalapa Elementary Waialua High & Intermediate Kalani High Roosevelt High Mokulele Elementary Haleiwa Elementary Kaimuki Middle Kawananakoa Middle Nimitz Elementary Waialua Elementary Kahala Elementary Stevenson Middle Pearl Harbor Elementary Liholiho Elementary Lincoln Elementary Pearl Harbor Kai Elementary Liliuokalani Elementary Maemae Elementary Community School for Adults Waikiki Elementary Manoa Elementary Wilson Elementary Noelani Elementary Community School for Adults Wahiawa Community School Nuuanu Elementary Community School for Adults Pauoa Elementary Moanalua/Aiea Community School Anuenue Elementary & High Farrington Community School A-2 6/30/10
  • 217.
    COMPLEX AREA SCHOOLS LEEWARDDISTRICT WINDWARD DISTRICT Campbell/Kapolei Complex Area Waianae/Nanakuli Complex Area Pearl City/Waipahu Complex Area Castle/Kahuku Complex Area Kailua/Kalaheo Complex Area Campbell Complex Waianae Complex Pearl City Complex Castle Complex Kailua Complex Campbell High Waianae High Pearl City High Castle High Kailua High Ilima Intermediate Waianae Intermediate Highlands Intermediate King Intermediate Enchanted Lake Elementary Ewa Elementary Leihoku Elementary Kanoelani Elementary Ahuimanu Elementary Kaelepulu Elementary Ewa Beach Elementary Maili Elementary Lehua Elementary Heeia Elementary Keolu Elementary Holomua Elementary Makaha Elementary Manana Elementary Kahaluu Elementary Maunawili Elementary Iroquois Point Elementary Waianae Elementary Momilani Elementary Kaneohe Elementary Pope Elementary Kaimiloa Elementary Palisades Elementary Kapunahala Elementary Waimanalo Elem & Intermediate Keoneula Elementary Nanakuli Complex Pearl City Elementary Parker Elementary Olomana School Pohakea Elementary Pearl City Highlands Elementary Puohala Elementary Nanakuli High & Intermediate Waiau Elementary Waiahole Elementary Kalaheo Complex Kapolei Complex Nanaikapono Elementary Nanakuli Elementary Waipahu Complex Kahuku Complex Kalaheo High Kapolei High Kailua Intermediate Kapolei Middle Waipahu High Kahuku High & Intermediate Aikahi Elementary Barbers Point Elementary Waipahu Intermediate Hauula Elementary Kailua Elementary Kapolei Elementary August Ahrens Elementary Kaaawa Elementary Kainalu Elementary Makakilo Elementary Honowai Elementary Kahuku Elementary Mokapu Elementary Mauka Lani Elementary Kaleiopuu Elementary Laie Elementary Waikele Elementary Sunset Beach Elementary Waipahu Elementary Community School for Adults Windward School for Adults Community School for Adults Waipahu Community School A-3 6/30/10
  • 218.
    COMPLEX AREA SCHOOLS HAWAIIDISTRICT MAUI DISTRICT Hilo/Laupahoehoe/Waiakea Complex Ka’u/Keaau/Pahoa Complex Area Honokaa/KealakeheKohala/Konawaena Baldwin/Kekaulike/Maui Complex Area Hana/Lahaina/Lanai/Molokai Complex Area Complex Area Area Hilo Complex Ka’u Complex Honokaa Complex Baldwin Complex Hana Complex Hilo High Ka’u High & Pahala Elementary Honokaa High & Intermediate Baldwin High Hana High & Elementary Hilo Intermediate Naalehu Elementary & Intermediate Paauilo Elementary & Intermediate Iao Intermediate Kalanianaole Elem & Intermediate Honokaa Elementary Waihee Elementary Lahaina Complex DeSilva Elementary Keaau Complex Waimea Elementary Wailuku Elementary Haaheo Elementary Lahainaluna High Hilo Union Elementary Keaau High Kealakehe Complex Kekaulike Complex Lahaina Intermediate Kapiolani Elementary Keaau Middle Kamehameha III Elementary Kaumana Elementary Keaau Elementary Kealakehe High Kekaulike High Nahienaena Elementary Keaukaha Elementary Mountain View Elementary Kealakehe Intermediate Kalama Intermediate Holualoa Elementary Haiku Elementary Lanai Complex Laupahoehoe Complex Pahoa Complex Kahakai Elementary Kula Elementary Kealakehe Elementary Makawao Elementary Lanai High & Elementary Laupahoehoe High & Elementary Pahoa High & Intermediate Waikoloa Elementary & Middle Paia Elementary Keonepoko Elementary Pukalani Elementary Molokai Complex Waiakea Complex Pahoa Elementary Kohala Complex Maui Complex Molokai High Waiakea High Kohala High Molokai Middle Waiakea Intermediate Kohala Middle Maui High Kaunakakai Elementary Waiakea Elementary Kohala Elementary Lokelani Intermediate Kilohana Elementary Waiakeawaena Elementary Maui Waena Intermediate Maunaloa Elementary Konawaena Complex Kahului Elementary Kamalii Elementary Community School for Adults Konawaena High Kihei Elementary Konawaena Middle Lihikai Elementary Hilo Community School Konawaena Elementary Pomaikai Elementary Honaunau Elementary Hookena Elementary Ke Kula O Ehunuikaimalino High & El Community School for Adults Maui Community School Community School for Adults Kona Community School A-4 6/30/10
  • 219.
    COMPLEX AREA SCHOOLS KAUAIDISTRICT Kapaa/Kauai/Waimea Complex Area Kapaa Complex Kapaa High Kapaa Middle Hanalei Elementary Kapaa Elementary Kilauea Elementary Kauai Complex Kauai High Kamakahelei Middle Kaumualii Elementary Koloa Elementary Wilcox Elementary Waimea Complex Waimea High Waimea Canyon Middle Eleele Elementary Kalaheo Elementary Kekaha Elementary Niihau High & Elementary Community School for Adults Kauai Community School A-5 6/30/10
  • 220.
    PUBLIC CHARTER SCHOOLS Act 298, Session Laws of Hawaii 2006 “SECTION 1. The charter school system is an important complement to the department of education’s school system, one that empowers local school boards and their charter schools by allowing more autonomy and flexibility and placing greater responsibility at the school level. The charter school system is made up of the board of education, the charter school administrative office, the charter school review panel, and individual charter schools with differing visions, missions, and approaches to meeting the various needs and desires of Hawaii’s communities. The purposes of the charter school system include: 1) providing administrators, parents, students, and teachers with expanded alternative public school choices in the types of schools, educational programs, opportunities, and settings, including services for underserved populations, geographical areas, and communities; and 2) encouraging and, when resources and support are provided, serving as a research venue for the development, use, and dissemination of alternative and innovate approaches to educational governance, financing, administration, curricula, technology, and teaching strategies. The purpose of the Act is to improve Hawaii’s charter school system by adopting many of the priority proposals developed by the task force on charter school governance established by Act 87, SLH 2005.” Charter School Administrative Office Pursuant to Section 302B-8, Hawaii Revised Statutes, there is established a Charter School Administrative Office headed by an Executive Director appointed by the Charter School Review Panel based upon the recommendations of an organization of charter schools operating within the State or from a list of nominees submitted by the charter schools. The Charter School Administrative Office is attached to the Department of Education for administrative purposes only. The Executive Director is responsible for the internal organization, operation, and management of the charter school system, including: 1) preparing and executing the budget for the charter schools, including submission of the budget request to the Board, Governor, and the Legislature; 2) allocating annual appropriations to the charter schools and distributing federal funds to charter schools; 3) complying with applicable state laws related to the administration of the charter schools; 4) preparing contracts between the charter schools and the Department of Education for centralized services to be provided by the department; 5) preparing contracts between the charter schools and other state agencies for financial or personnel services to be provided by the agencies to the charter schools; 6) providing independent analysis and recommendations on charter school issues; 7) representing charter schools and the charter school system in communications with the Board, the Governor, and the Legislature; 8) providing advocacy, assistance, and support for the development, growth, progress, and success of charter schools and the charter school system; 9) providing guidance and assistance to charter applicants A-6 6/30/10
  • 221.
    and charter schoolsto enhance the completeness and accuracy of information for panel review; 10) assisting charter applicants and charter schools in coordinating their interactions with the Panel as needed; 11) assisting the Panel to coordinate with charter schools in panel investigations and evaluations of charter schools; 12) serving as the conduit to disseminate communications from the Panel, Board, and the Department to all charter schools; 13) determining the charter school system needs and communicating those needs to the Panel, the Board, and the Department; 14) establishing a dispute resolution and mediation process; and 15) upon request by one or more charter schools, assisting in the negotiation of a collective bargaining agreement with the exclusive representative of its employees. Public Charter Schools Honolulu District Hawaii District Maui District Education Laboratory (K-12) Connections (K-12) Kihei (K-12) Halau Ku Mana (6-12) Hawaii Academy of Arts and Science (K-12) Kualapu’u Elementary (K-6) Halau Lokahi (K-12) Innovations (1-8) Myron B. Thompson Academy (K-12) Ka ‘Umeke Ka’eo (K-9) Kauai District Voyager (K-8) Ke Ana La’ahana (7-12) Kanuikapono (K-10) Waialae Elementary (K-5) Ke Kula ‘o Nawahiokalani’opu’u Iki Laboratory (K-8) Kawaikini (K-11) Kona Pacific (K-6) Ke Kula Ni’ihau O Kekaha Learning Center (K-12) Leeward District Kanu ‘o ka ‘Aina (K-12) Kula Aupuni Ni’ihau A Kahelelani Aloha (K-12) Hawaii Technology Academy (K-12) Kua ‘o Ka La (K-3; 6-12) Ka Waihona ‘o ka Na’auao (K-8) Volcano School of Arts and Sciences (K-8) Kamaile Academy (K-9) Waters of Life (K-6) Waimea Middle (6-8) Windward District West Hawaii Explorations Academy (6-12) Hakipu’u Learning Center (4-12) Ke Kula ‘o Samuel M. Kamakau Laboratory (K-12) Lanikai Elementary (K-6) A-7 6/30/10
  • 222.
    DEPARTMENT OF EDUCATION FUNCTIONAL STATEMENT The Department of Education (DOE) is a department in the executive branch of the state government. The department manages the statewide systems of public schools and public libraries. The legislative appropriations of state general funds and special funds, and federal funds and grants received to support public school and public library programs, are administered by the DOE on a statewide basis and subject to executive branch expenditure restrictions. As provided by law, the DOE is subject to executive branch policies and controls relating to state education functional planning, financial administration, administrative rulemaking, collective bargaining negotiations, and acquisition and disposition of school land. The DOE is also dependent on other executive branch agencies which function as state central service agencies for certain systems support services, such as legal services (Department of the Attorney General), main frame computers (Department of Accounting and General Services), and school employee housing (Department of Human Services – Hawaii Public Housing Authority). The head of the DOE is the Board of Education (BOE). The BOE is a policy- making board consisting of 13 members elected on a non-partisan basis, and a public high school student who is selected by the Hawaii State Student Council and serves as a non-voting member. The BOE formulates statewide educational policy, adopts student performance standards and assessment models, monitors school success, and appoints the Superintendent of Education as the chief executive officer of the public school system, and the State Librarian as the chief executive officer of the public library system. Public School System The Superintendent of Education is assisted by five division-level staff offices, each headed by an assistant superintendent, in providing system-wide administrative, professional and technical support services and programs to the public schools: • The Office of School Facilities and Support Services provides technical staff oversight of business, construction and maintenance of facilities, food services, and transportation support for the public school system. • The Office of Curriculum, Instruction and Student Support provides system-wide leadership in standards-based curriculum and instruction, educational accountability, and student support systems. • The Office of Fiscal Services provides system-wide accounting, budget, and procurement services and programs. • The Office of Human Resources provides system-wide employment and personnel management, assistance, and development services and programs. • The Office of Information Technology Services provides system-wide information and telecommunication systems, facilities, and support services. A-8 6/30/10
  • 223.
    Public schools areunder the field supervision of 15 regional administrative units called Complex Areas, each supervised by a complex area superintendent. A Complex Area consists of one or more school complexes, each school complex consisting of a high school and its feeder middle and elementary schools. Complex Learning Support Centers are established to provide shared instructional and student support services to each school. The schools of each complex collaboratively manage their Complex Learning Support Center. The scope of educational programs and services of the public schools regularly encompasses grades kindergarten through 12 (K-12), and such pre-school programs and community/adult education programs as may be established by law. In addition to regular programs of instruction and support services, public schools offer special programs and services for qualified students with disability, gifted and talented students, students with limited English language proficiency, and students who are economically and culturally disadvantaged, school- alienated, or instructionally confined. Other public education service programs administered by the public school system include regulation of private trade, vocational, and technical schools; public summer schools; Western Association for Schools and Colleges (WASC) accreditation program for public secondary and adult education schools, and private secondary schools in Hawaii; the A+ Program for after-school care of “latchkey” children; and various programs and services funded by the federal government, trusts, and private agencies that may benefit eligible persons in the general public as well as public school students. Public Library System The public library system is administered by the State Librarian. The public library system operated the Hawaii State Library, the Library for the Blind and Physically Handicapped, public libraries, community public and school libraries, and bookmobile services. Special library services, including interlibrary loans, federal documents depository and inter-agency (municipal, state, and federal) exchange, are provided by the Hawaii State Library. The Library for the Blind and Physically Handicapped provides transcribing services to the blind; produces, maintains, and makes available specialized collections and services to the blind and physically handicapped; and assists state-supported residential, medical, educational, and correctional institutions in their library development and operations. Materials selection, ordering, cataloging, preparation, and binder services for all libraries are centrally administered. Agencies Attached to the Department of Education The following agencies are attached to the Department of Education for administrative purposes only: • Classification/Compensation Appeals Board (as established by Section 302A-620, Hawaii Revised Statutes): Serves as an appellate body on matters of educational officer classification and compensation; adopts policies and standards relative to classification and compensation for education officers; and adopts rules pursuant to Chapter 91, HRS, Administrative Procedure, for the conduct of appeal hearings. • Hawaii Teacher Standards Board (as established by Section 302A-801 to 803, HRS): Establishes standards for the issuance of public school teacher licenses and credentials; adopts policies and standards, including A-9 6/30/10
  • 224.
    fees, for teacherlicensing and credentialing; and adopts rules pursuant to Chapter 91, HRS. − Establishes standards that govern teacher licensing and re-licensing in the State of Hawaii. − Sets and administers its own budget. − Adopts, amends, repeals or suspends the policies, standards, or rules of the board in accordance with Chapter 91, HRS. − Conducts a cyclical review of standards and makes revisions for improvement. − Establishes licensing and related fees. − Establishes penalties. − Submits an annual report to the governor and legislature on the board’s operations. − Receives grants or donations from private foundations, and state and federal funds. − Issues, renews, revokes, suspends, and reinstates licenses. − Reviews reports from the department of individuals hired on an emergency basis. − Applies licensing standards on a case-by-case basis and conducts licensing evaluations. − Prepares and disseminates teacher licensing information to schools and operational personnel. − Approves teacher preparation programs. − Administers reciprocity agreements with other states relative to licensing. − Conducts research and development on teacher licensure systems, beginning teacher programs, the assessment of teaching skills, and other related topics. − Participates in efforts relating to teacher quality issues, conducts professional development related to the board’s standards, and promotes high teacher standards and accomplished teaching. − Adopts applicable rules and procedures. • Charter School Review Panel (as established by Section 302B-3, HRS): Appoints and evaluates the executive director and approves staff and salary levels for the Charter School Administrative Office; reviews, approves, or denies charter applications for new charter schools; reviews, approves, or denies significant amendments to detailed implementation plans to maximize the charter school’s financial and academic success, long-term organizational viability, and accountability; adopts reporting requirements for charter schools; reviews annual self-evaluation reports A-10 6/30/10
  • 225.
    from charter schoolsand takes appropriate action; periodically adopt improvements in the panel’s monitoring and oversight of charter schools; and periodically adopt improvements in the Charter School Administrative Office’s support of charter schools and management of the charter school system. • Charter School Administrative Office (as established by Section 302B-8, HRS): Serves as the conduit to disseminate communications from the Charter School Review Panel, BOE, and DOE to all charter schools; provides advocacy, assistance, and support for the development, growth, progress, and success of charter schools and the charter school system; provides independent analyses and recommendations on charter school issues; and is responsible for the internal organization, operation, and management of the charter school system, including the preparation and execution of budgets, allocating annual appropriations and distributing federal funds, complying with applicable state laws related to the administration of charter schools, and preparing contracts between charter schools and the DOE and other state departments. A-11 6/30/10
  • 226.
  • 227.
    STATE OF HAWAII DEPARTMENT OF EDUCATION BOARD OF EDUCATION ORGANIZATION CHART BOARD OF EDUCATION COMMITTEE ON COMMITTEE ON COMMITTEE ON COMMITTEE ON COMMITTEE ON COMMITTEE ON CURRICULUM, COMMITTEE ON LEGISLATION, PUBLIC ADMINISTRATIVE BUDGET & FISCAL COLLECTIVE COLLECTIVE INSTRUCTION & EXTERNAL AFFAIRS CHARTER SCHOOLS & SERVICES ACCOUNTABILITY BARGAINING, UNIT 05 BARGAINING, UNIT 06 STUDENT SUPPORT PUBLIC LIBRARIES B-1 6/30/10
  • 228.
    STATE OF HAWAII DEPARTMENT OF EDUCATION BOARD OF EDUCATION POSITION ORGANIZATION CHART BOARD OF EDUCATION Chairperson 100283 First Vice Chairperson 100284 Second Vice Chairperson 100288 Private Secretary I 1779 SR-20 Members 100280 100281 100282 100285 100286 100287 101217 101218 101219 101220 102118 3/ Superintendent of Education State Librarian 60012 60002 BOE Executive Director Secretary IV 74729 EO-10 15659 SR-18 DP User Support Clerk Steno III Technician II 38730 SR-11 59077 SR-15 Clerk II 13794 SR-6 BOE Analyst I BOE Analyst I BOE Public Affairs Officer BOE Budget Analyst I (Senior Analyst) (Policy Analyst) 79315 EO-6 2/ 79189 EO-6 2/ 60009 EO-6 79194 EO-6 2/ 12-Month State Office Teacher 72808 1/ Secretary II 17560 SR-14 1/ Temporary position, General funds 2/ Temporary position, Federal funds 3/ Non-voting student member selected by Hawaii State Student Council per Art. X, Sec. 2, as amended 1988, Hawaii Constitution B-2 6/30/10
  • 229.
    BOARD OF EDUCATION FUNCTIONAL STATEMENT The Board of Education (Board) heads the Department of Education, as provided by Section 26-12, Hawaii Revised Statutes (HRS). The Board appoints the Superintendent of Education (Article X, Section 3 of the Constitution of the State of Hawaii, and Section 302A-1101, HRS). The Board formulates statewide educational policy, adopts student performance standards and assessment models, monitors school success, and appoints the Superintendent of Education as the chief executive officer of the public school system, as provided by law (Section 302A-1101, HRS). The Board formulates policy and appoints the State Librarian as the chief executive officer of the public library system, as provided by law (Section 312-2, HRS). The Board, through the State Librarian, has direct control of the public library system, excluding school libraries (Section 302A-1120, HRS). The Board appoints the members of the Charter School Review Panel, which serves as the charter authorizer for charter schools, with the power and duty to issue charters, oversee and monitor charter schools, hold charter schools accountable for their performance, and revoke charters (Section 302A-1102, HRS). BOARD OF EDUCATION The Board: • Appoints and delegates administrative authority to its appointed executive officers, the Superintendent of Education and the State Librarian, to administer programs of public education and public library services, as provided by law and in accordance with Board-adopted policies, rules, regulations, and program and financial plans; and annually reviews and evaluates the performance of the Superintendent of Education and the State Librarian in meeting the Board’s expectations and priority directions. • Adopts rules of general or particular applicability and future effect that implement, interpret, or prescribe law or policy, or the procedure or practice requirements of the Department of Education that affect the private rights of, or procedures available to, the public. • Conducts public meetings on the first and third Thursdays of each month, except in July and December, and special meetings as required, for the purpose of transacting official board business; receives requests and petitions from the public; receives reports from the Superintendent of Education, the State Librarian, Board committees, advisory councils, commissions, student representatives, and other statutorily-established organizations; and expresses Board concerns. • Provides policy direction and review for the development of the Department of Education’s proposed sections of state strategic plans, such as the Hawaii State Plan and the State Education Functional Plan B-3 6/30/10
  • 230.
    as provided byChapter 226, HRS; provides leadership and direction in the development of Department of Education-initiated strategic plans. • Establishes goals and priorities for the development and implementation of the Department of Education’s program and financial plans as provided by Chapter 37, HRS; approves the Department of Education’s budget requests. • Adopts a staffing and personnel management plan for the Department of Education as provided by Chapters 26, 76, and 78, HRS, and other applicable provisions of the HRS. • Adopts policies relating to the statewide systems of public schools and public libraries. • Adopts student performance standards and assessment models, and monitors school success. • On its own motion or pursuant to a petition, conducts hearings and other proceedings for the purpose of obtaining information necessary or helpful in the determination of its policies, the carrying out of its duties, and the formulation of its rules. • On petition of an interested person, issues a declaratory order as to the applicability of any statutory provision or of any rule or order of the Board. • Conducts a public affairs program to inform the public about major accomplishments and to communicate the Board’s position on public policy issues pertaining to the public school and public library systems. • Designates not more than two Board members to serve on the State’s team for negotiating collective bargaining agreements with agents of Bargaining Units 05 of the Hawaii State Teachers Association and 06 of the Hawaii Government Employees Association, in accordance with Chapter 89, HRS, Collective Bargaining in Public Employment. • Accepts gifts and donations to the public school and public library systems. • Maintains liaison with the Governor and the Legislature on matters affecting governance of public education. • Maintains liaison with other state-level and national-level agencies that share a common interest in furthering public education in America. BOARD STANDING COMMITTEES The functions of Board standing committees are to formulate policies and standards, and to monitor the Department of Education’s and the Hawaii State Public Library System’s implementation of Board-adopted goals, objectives, and standards; to assess the efficiency and effectiveness of public school and public library systems; to review the operating budgets; to recommend, review, and monitor proposed legislation; and to recommend issues to the Board for inclusion in collective bargaining negotiation packages pertaining to their respective subject areas. The Board standing committees are: B-4 6/30/10
  • 231.
    Committee on AdministrativeServices (School Facilities; Human Resources; Personnel Appointments; Safety; Food Services; Student Transportation) Committee on Budget & Fiscal Accountability (Budget; Audit; Program Evaluation) Committee on Curriculum, Instruction & Student Support (Early Childhood to Adult Education; Special Education & Related Services; Hawaiian Education; Academic Assessment & Accountability; Guidance & Counseling; Student Discipline; Student Activities & Support Services) Committee on External Affairs Committee on Legislation, Public Charter Schools & Public Libraries Committee on Collective Bargaining, Unit 05 Committee on Collective Bargaining, Unit 06 ADVISORY COUNCILS, COMMISSIONS, AND OTHER ORGANIZATIONS State Adult and Community Education Advisory Council As provided by Section 302A-434, HRS, the Board shall appoint an advisory council for adult and community education to advise the Board on matters concerning adult and community education. The council shall consist of fifteen (15) or more representatives of industry, labor, civic organizations, and education. Charter School Review Panel As provided by Section 302A-1101, HRS, the Board shall appoint the Charter School Review Panel, which shall serve as the charter authorizer for charter schools, with the power and duty to issue charters, oversee and monitor charter schools, hold charter schools accountable for their performance, and revoke charters. Committee on Weights As provided by Section 302A-1303.5, HRS, the Board shall determine the composition of the Committee on Weights based on recommendations from the Superintendent of Education and the Dean of the University of Hawaii at Manoa College of Education and shall include principals, teachers, and other members with the appropriate professional skills, experiences, and qualifications needed to facilitate the work of the committee. The Committee on Weights is responsible for developing a Weighted Student Formula for the allocation of moneys to public schools that takes into account the educational needs of each student. B-5 6/30/10
  • 232.
    OFFICE OF THESUPERINTENDENT • Organization Chart • Position Organization Chart • Functional Statement
  • 233.
    STATE OF HAWAII DEPARTMENT OF EDUCATION OFFICE OF THE SUPERINTENDENT ORGANIZATION CHART SUPERINTENDENT DEPUTY SUPERINTENDENT EXECUTIVE ASSISTANT BUSINESS-EDUCATION PARTNERSHIP FEDERAL COMPLIANCE AND CIVIL RIGHTS COMPLIANCE SYSTEMS ACCOUNTABILITY COMMUNICATIONS OFFICE PROJECT MANAGEMENT INTERNAL AUDITOR MILITARY LIAISON OFFICE OFFICE OFFICE OFFICE OFFICE OF HAWAII CHILD SYSTEM PLANNING AND NUTRITION PROGRAMS IMPROVEMENT SECTION HEALTH CARE CONTRACTS SYSTEM EVALUATION AND & REIMBURSEMENT REPORTING SECTION STUDENT ASSESSMENT FEDERAL COMPLIANCE SECTION COMMUNITY CHILDREN’S COUNCIL OFFICE SPECIAL PROJECTS SECTION C-1 6/30/10
  • 234.
    STATE OF HAWAII DEPARTMENT OF EDUCATION OFFICE OF THE SUPERINTENDENT POSITION ORGANIZATION CHART OFFICE OF THE HAWAII TEACHER 2/ SUPERINTENDENT STANDARDS BOARD 2/ CHARTER SCHOOL Superintendent of Education HTSB Executive Officer ADMINISTRATIVE OFFICE 60012 73645 EO-7 1/ Executive Secretary Clerk-Typist II to the Superintendent 48819 SR-8 Secretary I Clerk Typist II 100034 SR-26 52758 SR-12 59091 SR-8 Personnel Specialist II 69987 EO-7 Educational Spec II 74675 EO-7 DEPUTY Administrative Assistant to Special Projects Director SUPERINTENDENT the Superintendent 79216, 79221 Private Secretary II 60000 60001 EO-10 100042 SR-22 Clerk V 57914 SR-12 Private Secretary II Operations Assistant 100026 SR-22 3845 SR-12 Clerk IV 57915, 57916 57917, 57918 SR-10 Business-Education Partnership Specialist II 60064 EO-7 Data Processing Systems Analyst IV 57913 SR-22 12-Month State Office Teacher 60114 Clerk Typist II 17577, 801182 1/ SR-8 1/ Temporary position, Federal funds 2/ Attached to the DOE for administrative purposes only C-2 6/30/10
  • 235.
    STATE OF HAWAII DEPARTMENT OF EDUCATION OFFICE OF THE SUPERINTENDENT Deputy Superintendent POSITION ORGANIZATION CHART 60000 COMMUNICATIONS CIVIL RIGHTS FEDERAL COMPLIANCE & OFFICE COMPLIANCE OFFICE PROJECT MGMT OFFICE Civil Rights Compliance Educational Spec II Secretary IV Communications Director Secretary IV Prog Suppt & Dev Director Director 79222 EO-7 2/ NP SR-18 67673 EO-10 21803 SR-18 74635 EO-10 69700 EO-10 Secretary II Civil Rights OFFICE OF HAWAII CHILD HEALTH CARE CONTRACTS & COMMUNITY CHILDREN’S SPECIAL PROJECTS 21844 SR-14 Compliance Spec III FEDERAL COMPLIANCE NUTRITION PROGRAMS REIMBURSEMENT COUNCIL OFFICE SECTION 69701 EO-8 Health Care Contracts & Felix DOE Contract Child Nutrition Prog Director Educational Specialist III Program Specialist V 3/ Reimbursement Manager Compliance Director Clerk-Typist II 800354 SRNA NP EO-8 801075 SR-24 1/ 59943 SR-26 75380 EO-10 38743 SR-8 Civil Rights Compliance Spec II 72804, 75886 1/ Secretary III Secretary I Secretary II Program Specialist IV Secretary I 75888 EO-7 1/ 58713 SR-16 1/ 801030 SR-12 59953 SR-14 801088, 801089 1/ 1/ 58268, 59855 1/ 1/ 801090 SR-22 1/ SR-12 Legal Assistant III Clerk Typist II Program Specialist IV Educational Spec II 59675, 800851 1/ 1/ 36109, 801313 2/ 2/ 801104 SR-22 75419 EO-7 2/ Educational Spec I SR-20 SR-8 74340 EO-6 1/ Program/Fiscal Audit Data Processing Specialist II EO-7 Program Suppt & Dev School Lunch Services Systems Analyst IV NP (4) Specialist I Supervisor 801135 SR-22 76187 1/ 19126, 30229 2/ 2/ 36108, 50316 2/ 1/ Program Specialist V 50317 SR-24 2/ 801026 SR-24 5/ Felix Project Assistant 103507 SRNA 4/ Data Processing Administrative Systems Analyst IV Program Specialist IV Services Assistant NP SR-22 (.50 FTE) 800731 SR-22 2/ 800979 SR-22 2/ Accountant IV Legal Clerk 59553 SR-22 2/ 801393 SR-14 5/ Account Clerk IV 36219 SR-13 2/ Commodity Distribution Assistant 41278 SR-15 2/ 1/ Temporary position, General funds 2/ Temporary position, Federal funds 3/ Temporary Exempt position, General funds 4/ Temporary Exempt position, Federal funds 5/ Temporary position, Revolving funds C-3 6/30/10
  • 236.
    STATE OF HAWAII DEPARTMENT OF EDUCATION OFFICE OF THE SUPERINTENDENT POSITION ORGANIZATION CHART SYSTEMS INTERNAL AUDITOR Military Liaison ACCOUNTABILITY OFFICE Administrative Assistant DOE Auditor Specialist III 3/ Secretary IV Director 117225 SRNA 73090 EO-8 11396 SR-18 68621 EO-10 Secretary II 59882 SR-14 SYSTEM PLANNING & SYSTEM EVALUATION & STUDENT ASSESSMENT IMPROVEMENT SECTION REPORTING SECTION SECTION Auditor V Institutional Analyst III Secretary II Evaluation Specialist III Secretary II Test Dev & Admin Spec III Secretary II 15713, 59880 69285 EO-8 4315 SR-14 60047 EO-8 14585 SR-14 60019 EO-8 14687 SR-14 59881 SR-24 Evaluation Spec II Institutional Analyst II Test Inservice 60068, 60254 69263, 75833 Secretary I Specialist II 69806, 73402 EO-7 43015 SR-12 5/ 60034 EO-7 EO-7 Educational Spec II Project Management Educational Spec II (Assessment Specialist II (Test Dev Project Mgr) Account Clerk III Reporting Specialist) NP (2) EO-7 79287 EO-7 2/ 58547 SR-11 2/ 79289 EO-7 2/ Evaluation Specialist II Data Processing Educational Spec II 79195, 79196 2/ 2/ Systems Analyst V (NAEP State Coord) 79197, 79198 2/ 2/ NP SR-24 79337 EO-7 2/ EO-7 Data Processing 12-Month State Office Systems Analyst IV Teacher Test Development Program Specialist V NP SR-22 79208 2/ 4/ 4/ Specialist II Secretary I 59992, 801024 4/ 60017, 60098 8914 SR-12 801025 SR-24 Data Processing 60079 EO-7 Clerk Typist III Systems Analyst IV NP SR-10 801087 SR-22 1/ Educational Spec II Clerk Typist II (Special Population 59993 SR-8 2/ Assessment) 79288 EO-7 2/ Educational Spec II (Student Assessment Secretary I Database Support) 57902 SR-12 1/ 73596 EO-7 1/ 1/ Temporary position, General funds 2/ Temporary position, Federal funds 3/ Temporary Exempt position, Federal funds 4/ Temporary position, Revolving funds 5/ Secretary I, position no. 43015 receives technical supervision from Evaluation Specialist II, position no. 60068 C-4 6/30/10
  • 237.
    DEPARTMENT OF EDUCATION OFFICE OF THE SUPERINTENDENT FUNCTIONAL STATEMENT SUPERINTENDENT OF EDUCATION As the Board of Education’s chief executive officer for the public school system, the Superintendent of Education is responsible for efficiently and effectively administering the public school system in accordance with law and educational policies adopted by the Board of Education. • Executes Board policies. • Recommends to the Board the public school system’s program goals, objectives and plans, performance standards, capital improvement plans, and budgets. • Develops and establishes with the approval of the Board a comprehensive accountability and assessment program for the public school system. • Presents concise reports periodically at board meetings covering, but not limited to, the following: − Public school system’s goals, objectives, plans and progress toward them. − Major program developments. − Enrollment developments and projections. − Personnel developments. − Budget status, current fiscal year and plans for the next fiscal year. − Major accomplishments and problems. − Outlook for the future. • Assists the Board chairperson and the respective Board of Education committee chairpersons in strengthening the roles of Board of Education committees. • Provides administrative leadership in collective bargaining and maintenance of relationships with professional organizations and unions. • Provides administrative support to the Board of Education, committees, advisory councils and commissions. • Maintains liaison on behalf of the Board of Education with the State Legislature, governor, the various state departments and the people of the State of Hawaii on matters pertaining to the administration of the public school system. • Presents for Board approval nominations and appointments of all assistant and complex area superintendents. C-5 6/30/10
  • 238.
    Promotes partnerships between the public school system and various sectors of the community: business, trusts and foundations, and other government agencies. The deputy superintendent assists the Superintendent of Education in executing duties and responsibilities of the office, and is delegated authority to act for the Superintendent of Education. The deputy superintendent oversees the department’s Communications, Civil Rights Compliance, Federal Compliance and Project Management, Systems Accountability, Internal Audit, and Military Liaison offices. Additionally, the deputy superintendent oversees the department’s involvement in statewide safety issues. The executive assistant to the Superintendent of Education provides staff support to the Superintendent of Education by coordinating the department’s response to requests for administrative information and action from the Board of Education, legislature, other Executive Branch agencies, officials from other state and federal educational agencies, interest groups and the general public. • Maintains control of all incoming and outgoing executive communications and records management for the Office of the Superintendent. • Assists the Superintendent of Education in proposing agenda items for Board of Education meetings; assures timely availability of staff reports, study materials and resource persons from appropriate staff offices; and coordinates follow-up staff action on Board requests made to the Superintendent of Education. • Serves as the superintendent’s liaison with the legislature, as directed; coordinates DOE staff work in response to legislative requests for information, legislative reporting, drafting and seeking introduction of legislation, monitoring the status of pending legislation, and preparing testimony and monitoring committee hearings on proposed legislation. • Assists the Superintendent of Education in coordinating the department’s participation in administrative programs and activities of the Executive Branch. • Advises and assists the Superintendent of Education in complying with state protocol and fulfilling obligations as a public officer in dealing with individuals and organizations representing local, national, and international interests in public education. • Provides other personalized administrative assistance to enable the Superintendent of Education to carry out duties and responsibilities as the Board of Education’s executive officer for the public school system. • Coordinates promotion of partners-in-education programs with various sectors of the community: business, trusts and foundations, and other government agencies. • Coordinates special projects in which other agencies or private organizations are involved, as assigned by the superintendent. SYSTEMS ACCOUNTABILITY OFFICE The Systems Accountability Office oversees the development and administration of the student assessment, school evaluation, and system evaluation components of the department’s accountability system. The office also provides C-6 6/30/10
  • 239.
    support related todepartmental planning and analysis, evaluation, and student testing to the superintendent, Board of Education, and schools; governor and other executive agencies; legislature; and general public. System Planning and Improvement Section • Formulates state educational plans that set directions, present strategies, and provide timelines for accomplishment and array costs. • Develops planning strategies that integrate varied and sometimes competing needs of the department. • Performs analyses of policies and issues that have system wide impact and recommends solutions to resolve problems. • Performs analyses to systematically review programs in the department’s operating budget. • Reviews applications or proposals to conduct surveys or research projects in the schools and formulates a recommended action and correspondence for the superintendent’s signature. • Develops and implements funding and resource acquisition strategies to achieve the department’s mission. • Acts as liaison to other federal and state agencies on system wide planning and analytical activities pertaining to the public school system. • Supervises and coordinates the work of community and/or stakeholder task forces created to provide varied input to projects and resolves sometimes conflicting input from task force members. • Participates in the work of project teams, which often are comprised of personnel from within the office, as well as other organizational units within the department. • Drafts testimonies, bills, and resolutions, and provides other technical assistance and support throughout the legislative process on behalf of the Department of Education. • Identifies issues related to program implementation, program development, and program improvement. • Ensures that the resolution of those issues is fully communicated within and outside the department. • Performs other related activities, as assigned by the office director and superintendent. System Evaluation and Reporting Section • Assists with the coordination of, and support for, the statewide assessment and accountability system; develops and implements components related to school and system evaluation; conducts research and development work on educational indicators and analyses; and prepares evaluations reports of school performance and improvement efforts. C-7 6/30/10
  • 240.
    Prepares school by school and statewide accountability information to the legislature and other entities. • Prepares annual school by school, local education agency, and state education agency accountability reports required by the federal No Child Left Behind Act. • Provides information regarding the performance of schools on educational indicators for improvement uses and accountability needs of the department, policy makers, and the general public. • Provides project and program evaluation information to enable planners and managers of staff and line offices of the department to provide the most effective and efficient learning opportunities and experiences for public school students. • Provides evaluation assistance for decision making and accountability needs of staff and line offices of the public school system by providing consultative services on evaluation of projects and programs. • Performs other related activities, as assigned by the office director and superintendent. Student Assessment Section • Administers the public school system’s statewide formative and summative student assessment program, which included a variety of norm and criterion-referenced tests using both traditional and performance- based measures. • Administers the School Assessment Liaison program, which provides classroom level assessment techniques and tools to help schools and their staff measure student attainment of the content standards. • Administers the department’s participation in and compliance with the National Assessment of Educational Progress (NAEP). • Identifies assessment instruments and practices that are used to measure system, school, and individual student attainment of the Board of Education’s content and performance standards. • Identifies assessment instruments and practices that are used to measure system, school, and individual student attainment of the statutory requirements of the federal No Child Left Behind Act. • Provides student assessment data used in monitoring school quality and student achievement for the statewide assessment and accountability system. • Provides assessment data for measuring compliance with the Board of Education’s policies and regulations and the federal No Child Left Behind Act. • Analyzes test results and prepares reports on the current status of, and longitudinal trends in, student performance. • Serves as a clearinghouse of information on student assessment techniques and tools. C-8 6/30/10
  • 241.
    Develops or collaborates with other public agencies in the development of innovative assessment techniques for possible statewide and school adoption, and for use in the statewide assessment and accountability system. • Serves as liaison to community groups, federal offices, and state agencies and commissions involved with the development and dissemination of tests and information about tests. • Performs other related activities, as assigned by the office director and superintendent. CIVIL RIGHTS COMPLIANCE OFFICE The Civil Rights Compliance Office supports the executive function of the Superintendent of Education by promoting equal opportunity in educational programs and activities, equal employment opportunity, and equal access to Department of Education programs, services, and activities in compliance with various federal and state civil rights laws. The Civil Rights Compliance Office also coordinates the rulemaking activities of the Board of Education pursuant to Chapter 91, Hawaii Revised Statues. • Coordinates and promotes the public school system’s equal employment opportunity program as it relates to non-discrimination on the basis of race, color, sex, religion, national origin, ancestry, age, physical or mental disability, sexual orientation, marital status, arrest and court record, income assignment for child support, National Guard absence, uniformed services, breastfeeding, and citizenship status. • Coordinates and promotes the public school system’s equal education program as it relates to non-discrimination on the basis of race, color, national origin, sex, religion, or disability. • Coordinates and promotes the public school system’s equal access program as it relates to non-discrimination on the basis of disability. − Publishes equal opportunity notices and information materials for dissemination to the public, students, parents/legal guardians, and/or employees. − Provides training to school personnel, students, parents and other groups on civil rights compliance matters. − Develops equal employment and equal educational opportunity policies for adoption by the Superintendent of Education and the Board of Education. − Responds to inquiries concerning the civil rights of students, employees, and the public; provides advice and assistance to school officials and program managers regarding compliance with federal and state civil rights statutes and regulations. − Coordinates the department’s response to compliance reviews and complaint investigations conducted by federal and state civil rights enforcement agencies such as the U.S. Equal Employment Opportunity Commission, U.S. Department of Education’s Office for Civil Rights, U.S. Department of Justice, and the Hawaii Civil Rights Commission. C-9 6/30/10
  • 242.
    Coordinates communication and acts as the department’s liaison with the State Department of the Attorney General on lawsuits involving the Department of Education. Tracks and reports to the Office of the Superintendent and the BOE the status, outcome, and corrective actions for lawsuits involving the department. − Conducts investigations of alleged civil rights violations in the public school system and/or supplements investigations conducted by school officials and program managers. − Administers the Elementary School Civil Rights Survey of the U.S. Office for Civil Rights; conducts related civil rights compliance reviews of the programs, services, and activities of the public school system. • Coordinates the department’s administrative rulemaking process to comply with state laws, administrative directives and the drafting requirements established by the state. − Compiles and publishes the department’s official compilation of administrative rules in accordance with state laws. − Reviews proposed administrative rules for their statutory authority and consistency with the Hawaii Administrative Rules Format. − Prepares and processes the final form of proposed administrative rules for public hearings and, after adoption by the Board of Education, for submission to the governor for final approval and for filing with the Office of the Lieutenant Governor. FEDERAL COMPLIANCE AND PROJECT MANAGEMENT OFFICE The Federal Compliance and Project Management Office provides operational, technical, and research support to the Office of the Superintendent in the areas of compliance with federal and state laws and regulations, as well as Hawaii Board of Education and Superintendent of Education initiatives. Office of Hawaii Child Nutrition Programs • Responsible for developing and administering the USDA Food Nutrition Programs which receive funds and commodities from the USDA grants for the State of Hawaii. • Serves as the State Agency (SA) and primary contact with the USDA for all issues concerning the administration and operation of all Food Nutrition Programs in Hawaii. • Administers and oversees the following USDA Food Nutrition Programs: − National School Lunch Program − School Breakfast Program − Child and Adult Care Food Program − Commodity Distribution Program − Summer Food Service Program − Special Milk Program • Provides program marketing and advocacy initiatives, technical assistance, and oversight for all USDA Food Nutrition Programs. C-10 6/30/10
  • 243.
    Prepares budgets, expenditure plans, and financial reports and projections for the SA. • Reviews SA federal grant reports and monitors for compliance with federal program requirements. • Provides technical assistance in developing and administering fiscal policies and procedures. • Orders, allocates, and distributes commodities. • Coordinates with the USDA to provide food for disaster relief for the State of Hawaii. Health Care Contracts and Reimbursement • Administers the Medicaid Reimbursement Program. • Develops, implements, and evaluates reimbursement regulations, methodologies, and rates for health care services, supplies, and equipment. • Develops, procures, monitors, and reviews contracts with individual health care providers, institutions, and fiscal agents. • Manages and coordinates the use of the Medicaid information system. • Manages and monitors the Third Party Liability recovery program and other claims. Federal Compliance Section • Monitors and ensures that the Department of Education policies and procedures will ensure compliance with applicable federal laws, policies, and regulations. • Provides technical assistance to department staff regarding compliance with federal program laws, policies, and regulations. • Monitors the department implementation of federal funded programs for compliance with program and fiduciary requirements. • Ensures department compliance and maintenance of effort with regard to federal program laws, including but not limited to, No Child Left Behind, Individuals with Disabilities Education Improvement Act, and the Felix Consent Decree. • Performs analyses relating to the department’s compliance with applicable federal policies, procedures, laws, and regulations. • Conducts fiscal and program audits of department offices and other subunits. • Acts as liaison to other federal and State agencies on issues related to monitoring and compliance with federal program laws and regulations. • Performs other related activities, as assigned by the office director and the superintendent. C-11 6/30/10
  • 244.
    Community Children’s CouncilOffice • Supports the establishment of locally based community bodies with extensive family participation to advise the department on the delivery of Special Education and related services. • Provide local forums statewide for all community members to come together as equal partners to discuss and positively affect multiple systems’ issues for the benefit of all students, families, and communities. • Provide infrastructure to support and facilitate these community forums. Special Projects Section • Provides project management, operational, technical, and research support to the Office of the Superintendent for new statutory, Board of Education, or superintendent initiatives aligned with the Department of Education Strategic Plan, School Year 2008-2011, Goal #3: Continuous Improvement. COMMUNICATIONS OFFICE The Communications Office supports the executive function of the Superintendent of Education by developing the internal and external communication programs of the public school system, developing education partnership programs with the various sectors of society (e.g., parent, community, business, military, government, etc.) and resolving public conflicts concerning the programs and activities of the public school system. • Provides communications services to the Superintendent of Education and all other offices and schools of the public school system, as needed. − Advises the superintendent and other personnel on public affairs implications of proposed actions or decisions. − Attends Board of Education and superintendent’s staff meetings and Leadership Team meetings as appropriate. − Drafts letters, memos, public statements and speeches upon request of the superintendent. − Advises and assists other state and district offices and schools in publicizing their activities. − Prepares departmental news for all personnel, as appropriate. − Publishes the InfoExchange newsletter in conjunction with regular Board of Education meetings to report DOE matters to the BOE and BOE/DOE matters to the schools and public. − Reviews and recommends for printing all official publications of the department. − Develops among all personnel an awareness of the need for good public relations and assists key personnel in developing communications skills through membership in professional organizations, provision of materials and training sessions, as needed. C-12 6/30/10
  • 245.
    Monitors and evaluates communications needs and the department’s efforts to meet those needs. • Plans and coordinates activities for communicating with the general public. − Responds to news media, group and public requests for information, or refers inquiries to appropriate sources. − Issues news releases on major state-level actions, and departmental plans, programs, and activities deemed of interest and importance to the general public. − Schedules and handles arrangements for news conferences. − Generates and suggests story ideas for the media. − Prepares informational pamphlets and other materials to serve public information needs. • Promotes and maintains good relationships between the department and special public and individuals through a variety of appropriate means, such as membership on boards and committees. − Provides coordination of information to the superintendent, media, schools, and general public as needed on matters relating to school closures, bomb threats, and other health, public safety, and civil defense emergencies affecting the public schools. DOE FELIX CONTRACT COMPLIANCE Provides department coordination and assistance in the tracking and implementation of activities necessary to meet Felix Compliance benchmarks. The primary function is to provide coordination, tracking and technical assistance on matters related to contract development and implementation. • Coordinates Felix benchmarks and contracts. − Tracks and documents all required implementation steps necessary to meet Felix benchmarks. − Determines and collects all necessary documentation to show compliance efforts. − Works with all program managers in the status determination of compliance efforts. − Coordinates department efforts with the Department of the Attorney General. • Provides technical assistance, research and advice related to the implementation of Felix benchmarks and contracts. INTERNAL AUDITOR The internal auditor examines and evaluates the fiscal activities of the department. The internal auditor and staff provide information as to the C-13 6/30/10
  • 246.
    adequacy and effectivenessof the department’s system of internal controls and the quality of performance, including: • Reliability and integrity of information. • Compliance with policies, procedures, laws, and regulations. • Safeguarding of assets. • Economical and efficient use of resources. • Accomplishment of established objectives and goals for operations and programs. The internal auditor also serves as the department’s liaison with external auditors and audit sections of other governmental agencies. The internal auditor reports to the Audit Committee of the Board of Education on matters concerning the internal audit program of the department. C-14 6/30/10
  • 247.
    OFFICE OF FISCALSERVICES • Organization Chart • Position Organization Chart • Functional Statement
  • 248.
    STATE OF HAWAII DEPARTMENT OF EDUCATION OFFICE OF FISCAL SERVICES OFFICE OF FISCAL SERVICES ORGANIZATION CHART ASSISTANT SUPERINTENDENT – CHIEF FINANCIAL OFFICER PROCUREMENT AND CONTRACTS ACCOUNTING SERVICES BRANCH BUDGET BRANCH REPORTING, ANALYSIS, BRANCH AND ACCOUNT RECONCILIATION PROCUREMENT AND CONTRACTS SECTION BUDGET PREP SECTION CASH MANAGEMENT ACCOUNTING SECTION PROCUREMENT, ASSISTANCE, FIXED ASSETS COMPLIANCE, AND TRAINING BUDGET EXECUTION SECTION SECTION LOSS AND CASUALTY CLAIMS MANAGEMENT PAYROLL UNIT SERVICES AND OPERATIONS SECTION PROCEDURES UNIT VENDOR PAYMENT UNIT D-1 6/30/10
  • 249.
    STATE OF HAWAII DEPARTMENT OF EDUCATION OFFICE OF FISCAL SERVICES OFFICE OF FISCAL POSITION ORGANIZATION CHART SERVICES Assistant Superintendent Private Secretary I Chief Financial Officer 59864 SR-20 76185 Data Processing Systems Analyst IV 15599 SR-22 ACCOUNTING SERVICES BRANCH Secretary IV Accounting Director 5268 SR-18 60005 EO-10 LOSS AND CASUALTY ACCOUNTING SECTION CLAIMS MANAGEMENT OPERATIONS SECTION Claims Management Accounting Operations Secretary II Fiscal Specialist III Secretary II Specialist Specialist III 15186 SR-14 69252 EO-8 1814 SR-14 XXXXX SR-26 66414 EO-8 Inventory Clerk 27486 SR-13 REPORTING, ANALYSIS, SERVICES AND VENDOR PAYMENT UNIT CASH MANAGEMENT PAYROLL UNIT PROCEDURES UNIT AND ACCOUNT FIXED ASSETS RECONCILIATION Claims Pre-Audit Supervisor Accountant V Claims Pre-Audit Supervisor Fiscal Specialist II Accountant V Accountant IV 4391 SR-22 1813 SR-24 1811 SR-22 69290 EO-7 01790 SR-24 59797 SR-22 Accountant IV Accountant IV Pre-Audit Clerk III Pre-Audit Clerk III Pre-Audit Clerk III Accountant IV Accountant IV Pre-Audit Clerk III Pre-Audit Clerk III Pre-Audit Clerk III 01791, 03899 47824, 800785 2/ 18941 SR-15 00349 SR-15 16881 SR-15 22467 SR-22 12668, 59663 10507 SR-15 11494 SR-15 15250 SR-15 03972, 11596 SR-22 SR-22 16131, 800784 800786 SR-22 Pre-Audit Clerk II Pre-Audit Clerk II Pre-Audit Clerk II Account Clerk V Pre-Audit Clerk II Pre-Audit Clerk II Pre-Audit Clerk II 6608, 11204 3989, 21917 15104, 21745 18963, 35928 Accountant III 16262, 21744 12525, 16882 12526, 16883 SR-15 18940, 43657 48929, 58248 1/ 37525, 37526 37595 SR-20 27485, 37315 35480, 59626 1/ 35929, 24892 PUBLIC CHARTER 54956, 59641 SCHOOLS PROGRAM 48930 SR-13 SR-13 35481 SR-13 SR-13 SR-13 59650, 59652 1/ 1/ Administrative Svcs 59653 SR-13 1/ Assistant 56388 SR-22 1/ Pre-Audit Clerk I Pre-Audit Clerk I 17226 SR-11 59656 SR-11 1/ Clerk Typist IV 56391 SR-12 1/ 1/ Temporary position, General funds D-2 6/30/10
  • 250.
    STATE OF HAWAII DEPARTMENT OF EDUCATION OFFICE OF FISCAL SERVICES POSITION ORGANIZATION CHART PROCUREMENT AND CONTRACTS BRANCH BUDGET BRANCH Procurement and Contracts Budget Branch Director Secretary IV Director 69281 EO-10 19304 SR-18 60062 EO-10 Secretary IV 37914 SR-18 PROCUREMENT AND PROCUREMENT ASSISTANCE, BUDGET EXECUTION COMPLIANCE, AND TRAINING BUDGET PREP SECTION CONTRACTS SECTION SECTION SECTION Purchasing Specialist V Departmental Contracts Specialist Budget Specialist III Secretary III Budget Specialist III Secretary III 59838 SR-24 58240 SR-22 69262 EO-8 15363 SR-16 69284 EO-8 26829 SR-16 Purchasing Specialist IV Departmental Contracts 38285 SR-22 Specialist Budget Specialist II Budget Specialist II 58241, 58242 60082, 68452 60040, 68274 58244, 58245 68646, 69286 69993 EO-7 SR-22 EO-7 Purchasing Specialist III 05299, 47254 59090 SR-20 1/ Departmental Contracts Specialist 03887, 58243 58247, 59793 SR-22 Purchasing Technician I 01792 SR-11 1/ On loan from Food Services; funded by Food Services D-3 6/30/10
  • 251.
    DEPARTMENT OF EDUCATION OFFICE OF FISCAL SERVICES FUNCTIONAL STATEMENT The Office of Fiscal Services manages the Department of Education’s (DOE) accounting, budget, and procurement activities and systems to serve the needs of the schools, school complexes, complex areas, and the state central office. The office is responsible for the following: • Developing and implementing long-term and short-term financial activities. • Leading the department’s accounting, budgeting, and procurement operations. • Providing timely, accurate, and user-friendly information and reports in each of the respective areas, i.e., clear guidelines/procedures for completion of documents, and that the guidelines/procedures are aligned with the department’s goals and objectives. ACCOUNTING SERVICES BRANCH The Accounting Services Branch provides accounting, payroll, vendor payment, fixed assets, inventory, and fiscal operations school-, complex area-, and state- level support in the public school system; and coordinates copy machine services in the DOE offices located in the Queen Liliu’okalani Building. Accounting Section The Accounting Section administers and accounts for all funds, expenditures and financial commitments incurred by the department through a centralized accounting system in conformance with the state comptroller’s rules and regulations. The section assists schools and offices in developing and implementing corrective actions in response to audit compliance issues. The section develops training modules and assures that all appropriate personnel are trained in accounting, cash management, payroll, vendor payments, fixed assets, and inventory transactions. The section also serves as the department’s liaison to the State’s Risk Management Program. Reporting, Analysis, and Account Reconciliation Functions • Provides regular monthly, quarterly, and annual financial reports and detailed transaction reports of the department’s financial operations, specialized reports to the courts, legislature, federal government, and other reports as required. • Provides financial support for the transfer of funds between No Child Left Behind grants. • Prepares monthly BOE financial and ad hoc reports. • Prepares annual financial reports for grants received from federal, state agencies, and other non-profit organizations. − Prepares the National Public Education Financial Survey to the National Center of Education Statistics (NCES) cross-walking department expenditures to conform to the Common Core of Data which is used to determine state funding allocations for Title I, ESEA Programs (Migrant, Handicapped, Neglected and Delinquent D-4 6/30/10
  • 252.
    Children), Impact Aid,Indian Education, and Individuals with Disability Act (IDEA) grants. − Prepares the Annual Survey of Local Government Finance report that is aggregated by the U.S. Census Bureau to compare revenue and expenditure resources by local education agencies. − Prepares the quarterly and annual Principal’s Financial Report from each school to report the quarterly activity to the state comptroller for the non-appropriated local school funds. − Prepares the department’s indirect cost rate proposal to the federal government to negotiate a rate agreement for use on the department’s federal grants to reimburse the state for central services costs. • Provides technical and consultative assistance to state, district, and school level personnel relative to accounting procedures, regulations, and the financial management of their accounts. • Prepares the trial balance, income statement, statement of cash flows, and all audit schedules, including leases and liability accruals, for the department as requested by the external auditors for the department’s annual financial and single audit. • Provides technical support to external auditors for the department’s annual financial and single audit. • Updates the department’s Uniform Accounting Codes, which is published in the Financial Management System (FMS) User Policy and Process Flow Guide, Chapter 2, Accounting Codes. • Updates and maintains the FMS accounting code tables and develops and maintains interface programs to perform accounting functions effectively and efficiently. • Develops and establishes accounting processes for new FMS requirements. • Processes form FMS-AC4, Request for Change of Accounting Codes &/or Amounts, from all schools and offices requesting corrections for revenues or expenditures in their bond, general, federal, special, and trust fund accounts. • Reviews and makes corrections to DAGS semi-monthly payroll cost interface received from DAGS into the department’s FMS. • Maintains and updates the TSEAS Prog Ids for processing and accounting for TSEAS cost. • Maintains and revises FMS “job coding” system, FMS mid-year and year-end close processes, inception-to-date and transactions year financial reports, and provides continuous coding for new appropriations and projects and FMS enhancements in order to accommodate R&M/CIP responsibilities transferred from DAGS. Public Charter School Program Functions The Public Charter School Program will assure delivery of SEA/LEA services required by federal and local legislation and for which the department is responsible. • Respond to queries related to charter schools in relation to department responsibilities. • Optimize the intent of state legislation related to public charter schools by providing oversight of the MOA process and purchase of D-5 6/30/10
  • 253.
    services by charterschools. • Facilitate the delivery of services “purchased” by charter schools. • Prepare invoices and collect payment related to purchase of services. • Respond to queries related to Budget System and FMS use. • Serves as the department’s liaison to the Charter School Administrative Office (CSAO) and Charter School Review Panel. Cash Management Functions • Accounts for all cash receipts from schools and offices. • Maintains multiple central collections accounts for all receipts from schools and offices and to download bank deposit information from the commercial bank to school accounts to support general school, school lunch, student transportation, and after-school lunch collections. • Prepares treasury deposit receipts (TDR) to summarize transactions from schools by funds, source codes, and object codes to the state treasury. • Reconciles monthly the multiple central collection account balances to the bank statement. • Monitors federal grant cash requirements daily and draws-down cash semi-monthly and, as needed, for all federal grants received by the department through the GAPS, Smart Link, and ASAP payment systems. • Provides financial data to B&F to monitor selected federal accounts to meet the federal Department of Treasury Cash Management Improvement System (CMIA) monitoring requirements. Loss and Casualty Claims Management Functions • Serves as the department’s liaison to the State’s Risk Management Program. • Identifies and evaluates the department's exposure to property and liability loss to minimize the total insurance, property, and casualty losses costs. • Develops, implements, and monitors effective loss control programs. • Develops, formulates, and implements insurance, property, and casualty losses management policies and procedures; coordinates and evaluates programs with the State's Risk Management Office. • Coordinates insurance activities and management of loss documentation through assisting the schools and offices with processes and appropriate forms for seeking reimbursement for losses through the State’s Risk Management Program. • Provides training on insurance processes, forms, and yearly requirements. Fixed Assets Functions • Manages repair & maintenance and construction-in-progress (R&M/CIP) financial responsibilities received from the Department of Accounting and General Services (DAGS) for general, special, and bond funds. These responsibilities include providing monthly/annual financial reports; posting appropriations, allotments, and cash; D-6 6/30/10
  • 254.
    special fund assessments;and providing on-going technical assistance. • Reconciles the department’s operating and R&M/CIP fund accounts to the DAGS accounts. • Administers, controls, coordinates, monitors, and maintains a comprehensive computerized inventory management, accounting, and reporting system for the department in compliance with state, federal, contract and donated requirements relative to the department’s acquisition, transfer, disposal, and claim for lost/stolen properties. • Prepares the fixed asset roll forward schedules for the department as requested by the external auditors for the department’s annual financial and single audit. Operations Section • Supervises the auditing of all payments for employees. • Provides training and assistance to the department in all activities of the payroll and vendor payment functions. • Serves as the liaison with other state agencies in payroll and vendor payment matters. • Administers and coordinates the Purchasing Card (P-card) program for the department. Services and Procedures Unit • Directs, coordinates, supervises, and participates in the analysis, design, development, acceptance, implementation, evaluation, improvement, maintenance, and control of the state and the DOE computerized central accounting systems or parts thereof. • Provides staff services to develop, recommend, and implement procedures which relate to the Operations Section. • Conducts special studies and research, ranging from technical accounting matters to day-to-day operational concerns. • Evaluates, monitors, and updates criteria for the reporting of mileage and other payments made to employees and independent contractors in order to comply with federal and state tax reporting requirements. Payroll Unit • Pays all DOE employees (certificated, classified, hourly) twice a month in conjunction with collective bargaining contract provisions. • Posts and maintains records of individual earnings for each DOE employee. • Processes and performs final pre-audit of all payroll input for central preparation of DOE payrolls under EDP procedures to assure all employees are properly compensated. Checks payments authorization, legality, and propriety. Effects deductions for garnishments, assignments, tax liens, and court orders. Controls mandatory withholdings, deductions, and assignments. Prepares and processes priority payroll payments. • Maintains leave earnings of the DOE employees. Audits and processes all leave requests to ensure hourly/daily charges applied D-7 6/30/10
  • 255.
    correctly to leavebalances in conjunction with bargaining unit contract provisions. Pre-audits hourly/daily earnings reported to date on "Applications for transfer of vacation and sick leave credits or payments in lieu of vacation." Calculates hourly/daily earnings to dollars and effectuates salary change schedule to make payment. • Processes and audits workers’ compensation payments and wage separation reports for unemployment insurance purposes. • Verifies employment and wages for financial institutions, Hawaii Housing, and the Department of Human Services. • Manages and maintains a centralized billing, collection, and accounting program for overpayment collection. • Writes, updates, and maintains the DOE Payroll handbook. Provides guidance, assistance, and training to the schools and offices of all aspects of payroll. • Pre-audits and processes salary assignment and savings bond forms. Vendor Payment Unit • Pays all DOE vendor obligations within 30 days of receipt of goods/services. • Locates and verifies errors, analyzes cause, and adjusts/corrects system. • Performs final pre- and post-audit for legality and propriety of claim vouchers, covering payment for all DOE obligations; examines invoices, approval to pay, contracts, and other authorizing documents to confirm validity and accuracy of claims; maintains auxiliary records of travel and other claims. • Controls the activities relating to the issuance of the DOE Vendor Payment checks, maintains records and authorizations relating to disbursement of checks, and maintains cash records and authorizations relating to disbursement of checks, and maintains cash records of all bank deposits and withdrawals. • Reports expenditures to the statewide Financial Accounting and Management Information System (FAMIS) and reimbursement from DAGS. • Develops, implements, and updates travel policy guidelines for the department; tracks and updates out-of-state travel database for future references and inquiry. BUDGET BRANCH The Budget Branch assists the chief financial officer (CFO) in the preparation and execution of the public school system’s operating budget. Budget Preparation Section The Budget Preparation Section administers the preparation and development of the department’s biennial and supplemental operating budgets. The section is responsible for the following: • Prepares the biennial and supplemental operating budgets for the public school system, except for public charter schools. • Prepares current services budget, projecting salary requirements D-8 6/30/10
  • 256.
    and reconciling thelevel of funding to appropriations and ceilings. • Develops and disseminates budget instructions, standards, and tables to schools, offices, and attached agencies, such as the Hawaii Teacher Standards Board (HTSB). • Assists schools and offices with the preparation of budget requests. • Reviews budget requests for accuracy, adequate justification, and adherence to standards. • Coordinates the development of budget priorities and budget standards in all resource categories. − Recommends appropriate alternatives to meet the department’s budget requirements. − Performs review and analysis of budget requests from schools, offices, and other agencies to address critical needs and priorities. • Coordinates the department’s development of the variance report for the multiyear program and financial plan component of the Planning- Programming-Budgeting System by providing instructions, schedules, and technical assistance to program managers. • Coordinates with the Office of Human Resources (OHR) and program managers to monitor manpower requests to assure positions established for DOE schools and offices are within the budget. • Provides technical assistance in budget preparation and presentation to the Board of Education (BOE), governor, Department of Budget and Finance (B&F), the legislature, state offices, complex area offices, and schools. • Provides training and consultative services staff to develop, maintain, update, and enhance the budget preparation system to support budget functions. • Prepares publications and communications for budget preparation. Budget Execution Section The Budget Execution Section administers the implementation of the department’s operating budget, monitoring adherence to policies and procedures, and making adjustments to meet anticipated needs or restrictions. The section is responsible for the following: • Allocates funds and positions to state and complex area offices and schools. − Analyzes the appropriations act and legislative worksheets to obtain details of approved budgets and legislative intent. − Reviews and interprets policies and procedures issued by B&F, and implements allotment changes made by the Director of Finance. − Analyzes staff recommendations for allocation formulas and other criteria for allocating funds and positions to schools and complex area offices. − Prepares and disseminates initial allocations to state and complex area offices, and schools. − Adjusts allocations throughout the year to reflect buy/sell of positions, transfer of funds between programs, and other authorized flexibility measures. − Reconciles appropriations, allocations, and allotments throughout the D-9 6/30/10
  • 257.
    year. − Completes year-end close and carryover process. • Develops and disseminates expenditure plan instructions. − Prepares allotment requests (A-19). − Provides follow-up and liaison work with B&F and the Department of Accounting and General Services (DAGS). − Reconciles allotments with expenditure plans, the DOE’s Financial Management System (FMS) and DAGS’ balances for each appropriation and fund. • Monitors and manages the department’s budget. − Analyzes, solicits input, and implements reductions to appropriations and allocations by EDNs and programs. − Monitors and manages salary and other payroll accounts. − Implements flexibility provisions of lump sum budgeting (buy/sell of positions, transfer of funds, and carryover). − Reviews programs for budget strategies and more efficient use of operating funds. − Analyzes the department’s financial plan and makes adjustments necessary to meet unanticipated needs or restrictions. • Coordinates budget execution matters with external agencies, policy makers, and decision makers (B&F, legislature, auditors, BOE, superintendent, complex area and school personnel). − Researches and prepares reports and testimonies in response to inquiries. − Recommends appropriate strategies to execute the budgetary requirements. • Coordinates system support with the Information System Services Branch. − Maintains tables related to the computerized budget system. − Prepares data files and reports required to review and analyze the budget. − Coordinates and monitors data transfers to data base files, i.e., Data Warehouse. − Provides budget execution requirements when evaluating various information systems. • Other responsibilities. − Manages the Impact Aid Program, P.L. 103-382. − Assists in planning and development of operating biennial budgets, supplemental budgets, and other budget functions. − Coordinates with other state offices to facilitate budgetary and fiscal procedures within the department. − Prepares publications and other communications for budget execution. − Provides budget execution training and consultative services to schools through budget hotlines and presentations for school administrators, clerical personnel, and other program managers. − Coordinates, assists, prepares, and implements the Weighted D-10 6/30/10
  • 258.
    Student Formula (WSF)Project Financial Plan. − Provides data elements/queries, analyses, and recommendations to the Committee on Weights (COW). − Assists schools with the coordination and implementation of the Academic/Financial Plan. PROCUREMENT AND CONTRACTS BRANCH The Procurement and Contracts Branch services all schools and offices by (1) performing periodic reviews of procurement practices; (2) providing assistance, advice, guidance, and training in matters relating to procurement and contracting; (3) developing and revising procurement and contracting policies and procedures; (4) preparing and formalizing bid specifications, solicitations, and contract documentation for specific goods, services, and construction as requested by schools/offices and/or for select commonly-used departmental commodities or services; and (5) issuing formal solicitations and awards in compliance with applicable laws and regulations. Procurement and Contracts Section The Procurement and Contracts Section is responsible for the following: • Maintains thorough knowledge of current laws, rules, policies, regulations and procedures governing the department’s centralized procurement and contracting activities; studies laws, rules, regulations, and policies as they affect procurement and contracting procedures. • Develops bidding procedures and contract methods for routine to the most complex, specialized and technical projects; studies the impact of the program on outside activities or the effect of changes of outside activities on the program (e.g., changes in commodity prices, business practices, shipping strikes, etc.). • Prepares specifications, terms and conditions to meet the minimum requirements of the user while assuring maximum competition based on the purchaser’s needs; determines whether bids meet specifications and legal requirements; and develops specifications for the establishment of new price lists. • Prepares procurement notices; tabulates and summarizes bid results, analyzes and evaluates offers to determine the most advantageous offer, recommends awards, and issues award upon purchaser’s approval. • Prepares resultant contracts in accordance with state and federal laws, rules and regulations and with program objectives and requirements; prepares any price list addenda or renewals; prepares contract modifications and/or terminations according to applicable laws, rules and policies. • Reviews for sufficiency the justification and statutory compliance for sole source, emergency, exempt or restrictive purchases and recommends such action when appropriate. • Assists in the identification of problems or concerns with the terms and conditions of the contract; recommends additional terms and conditions after careful consideration of the issues in consultation with the Purchaser; gathers information for/from vendors and provides clarification to questions/concerns regarding the execution of the contract; reviews certificates of compliance. • Reviews contracts for compliance with applicable policies, rules, regulations and laws and provides technical assistance to program staff in D-11 6/30/10
  • 259.
    the development, management,and execution of contracts. • Problem-solves a wide range of complaints which could not be resolved at lower levels regarding procedures, policies, product quality, contract performance, late payments, unfair or biased actions. Procurement Assistance, Compliance, and Training (PACT) Section The Procurement Assistance, Compliance, and Training (PACT) Section is responsible for the following: • Serves as technical resource to the Chief Procurement Officer, administrators, and bidders to ensure compliance with the Procurement Code, applicable state and federal administrative rules and regulations applicable to purchasing mandates and guidelines, other policies or procedures governing state agencies and organizations, and departmental policies or procedures. • Conducts periodic reviews of departmental procurement practices, including recommending appropriate revisions to procurement policies and procedures. • Assists in conducting fact-finding investigations and making recommendations in the event vendors fail to perform according to the contract term and conditions; and investigates inquiries, complaints or controversies from department purchasers and/or vendors or contractors; reports findings of facts and may recommend appropriate or corrective action or refer the case to the Department of the Attorney General, as appropriate. • Conducts periodic audits of school and offices in all areas of procurement and contracting to evaluate compliance with the Procurement Code and departmental policies and procedures, including the preparation of reports and briefing of senior management officials on the findings and recommendations to correct procurement and contracting deficiencies or refer the case to the Department of the Attorney General, as appropriate. • Assists schools and offices in developing and implementing corrective actions in response to audit compliance issues. D-12 6/30/10
  • 260.
    OFFICE OF SCHOOLFACILITIES AND SUPPORT SERVICES
  • 261.
    STATE OF HAWAII DEPARTMENT OF EDUCATION OFFICE OF SCHOOL FACILITIES AND SUPPORT SERVICES ORGANIZATION CHART OFFICE OF SCHOOL FACILITIES AND SUPPORT SERVICES ASSISTANT SUPERINTENDENT STUDENT TRANSPORTATION SCHOOL FOOD SERVICES FACILITIES DEVELOPMENT FACILITIES MAINTENANCE SERVICES BRANCH BRANCH BRANCH BRANCH BUILDING INSPECTION PLANNING UNIT HONOLULU DISTRICT UNIT REPAIR AND MAINTENANCE PLANNING SECTION OPERATIONS SECTION PLANNING UNIT I CENTRAL DISTRICT UNIT PLANNING UNIT II LEEWARD DISTRICT UNIT PROJECT MANAGEMENT WINDWARD DISTRICT UNIT I UNIT PROJECT MANAGEMENT SECTION PROJECT MANAGEMENT SUPPORT DISTRICT UNIT UNIT II PURCHASING SERVICES OFFICE PROJECT MANAGEMENT UNIT III REPAIR AND MAINTENANCE CONSTRUCTION CONSTRUCTION ENGINEERING SECTION MANAGEMENT SECTION MANAGEMENT UNIT E-1 6/30/10
  • 262.
    STATE OF HAWAII DEPARTMENT OF EDUCATION OFFICE OF SCHOOL FACILITIES AND SUPPORT SERVICES ORGANIZATION CHART SAFETY AND EMERGENCY AUXILIARY SERVICES BRANCH PREPAREDNESS BRANCH PROJECT CONTROL SECTION INFORMATION SYSTEMS SCHOOL ENERGY CONSERVATION PROGRAM SCHOOL SUPPORT PROGRAM HAWAII 3Rs PROGRAM MAILROOM UNIT REPROGRAPHICS SECTION PRINTING UNIT E-2 6/30/10
  • 263.
    STATE OF HAWAII DEPARTMENT OF EDUCATION OFFICE OF SCHOOL OFFICE OF SCHOOL FACILITIES AND SUPPORT SERVICES Private Secretary I FACILITIES & SUPPORT SVCS POSITION ORGANIZATION CHART 10409 SR-20 Assistant Superintendent 60008 STUDENT TRANS SCHOOL FOOD SERVICES SVCS BRANCH BRANCH Student Transportation Secretary II Food Services Manager Secretary III Services Manager 33949 SR-14 9474 EM-05 6852 SR-16 17472 EM-03 Clerk Typist II Administrative 2/ 2/ Account Clerk III School Lunch Services 26674, 58610 Services Assistant 801102 SR-11 Supervisor SR-8 38496 SR-22 9887, 9894 9899, 15282 School Bus Cashier I 58606, 58607 2/ 2/ Trans Officer III 59094 SR-10 58608, 58609 2/ 2/ 17247, 17248 SR-24 17249, 17473 18016, 28710 43942, 59092 Clerk Typist II SR-18 800856 SR-8 Accountant IV 28842 SR-22 2/ School Bus Driver 1/ 59096, 59097 Commodity 59098, 59099 Distribution Assistant 59100, 59101 10490 SR-15 59102, 59103 59104, 59105 59106, 59107 Clerk Typist II 59108, 59109 801148, 801149 3/ 3/ 59159, 59162 801150, 801151 3/ 3/ 59163, 59164 801152, 801153 3/ 3/ 59165 BC-07 801154, 801155 3/ 3/ SR-8 1/ All School Bus Driver positions are .50 FTE positions 2/ Permanent position, Special funds 3/ Temporary position, Federal funds E-3 6/30/10
  • 264.
    STATE OF HAWAII DEPARTMENT OF EDUCATION OFFICE OF SCHOOL FACILITIES AND SUPPORT SERVICES POSITION ORGANIZATION CHART FACILITIES DEVELOPMENT BRANCH Public Works Administrator Secretary IV 17048 EM-08 10127 SR-18 STANDARDS & QUALITY ASSURANCE UNIT General Professional VII Facilities Planner III 801485 SR-28 60004 EO-8 Architect V 30282, 800936 SR-26 PLANNING SECTION PROJECT MANAGEMENT CONSTRUCTION SECTION MANAGEMENT SECTION CIP Planner III Secretary II Public Works Manager Secretary II Public Works Manager 69287 EO-8 16258 SR-14 10521 EM-07 10169 SR-14 21365 EM-07 Clerk Typist II Clerk Typist II Clerk Typist II Secretary II 38671, 800995 8915 SR-8 48138 SR-8 43977 SR-14 SR-8 BUILDING INSPECTION PLANNING UNIT I PLANNING UNIT II PROJECT MANAGEMENT PROJECT MANAGEMENT PROJECT MANAGEMENT CONSTRUCTION PLANNING UNIT UNIT I UNIT II UNIT III MANAGEMENT UNIT Engineer VI (Buildings) CIP Planner II Planner VI Engineer VI Engineer VI Architect VI Engineer VI 10172 SR-28 60069 EO-7 50928 SR-26 10613 SR-28 48139 SR-28 1375 SR-28 17029 SR-28 Engineer V Architect V Engineer V Facilities Planner II Architect V Engineer V Engineer V 10617, 12690 6683, 10649 41692 SR-26 68017, 73063 116395 SR-26 2686, 44987 801085 SR-26 41181, 800945 SR-26 EO-7 116583 SR-26 SR-26 Architect V Engineer IV Planner V Architect IV 116797, 17030 110715 SR-24 00105 SR-24 Engineer IV Engineer IV 5851 SR-24 Engineer V 17039 SR-26 40831 SR-24 53161 SR-24 800944 SR-26 Building Construction Architect III Building Construction Inspector II Architect V 10654, 19057 Inspector III Drafting Tech VI 41693, 41696 12688, 44819 SR-22 17032 SR-21 10591 SR-17 112264, 112265 SR-26 SR-19 Building Construction Drafting Tech VI Inspector II Architect III 17018 SR-17 9965, 17036 52725 SR-22 17037, 17041 17043, 17052 SR-19 E-4 6/30/10
  • 265.
    STATE OF HAWAII DEPARTMENT OF EDUCATION OFFICE OF SCHOOL FACILITIES AND SUPPORT SERVICES POSITION ORGANIZATION CHART FACILITIES MAINTENANCE BRANCH Clerical Supervisor III Engineering Program Secretary IV 37312 SR-14 Administrator 17567 SR-18 17064 EM-08 Clerk Typist III Work Program 17063, 39961 Specialist IV SR-10 17057 SR-22 Clerk Typist II 44048, 51174 59948, 59987 SR-8 REPAIR & MAINTENANCE PURCHASING SERVICES REPAIR & MAINTENANCE OPERATIONS SECTION OFFICE ENGINEERING SECTION Procurement & Supply Engineer VI Secretary II Engineer VI Secretary II Specialist III 21367 SR-28 26465 SR-14 17077 SR-28 112422 SR-14 59832 SR-20 Purchasing Tech I Engineer V Engineer V 17059, 28633 (Mechanical) (Electrical) SR-11 34313, 55076 34314 SR-26 Engineer V School Custodial General General Maintenance & SR-26 (Building) Svcs Supt Professional V Services Superintendent 33286 SR-26 16773 SR-21 16260 SR-24 59890 SR-24 HONOLULU DISTRICT UNIT Bldg Maintenance District Supv 17114 F3-10 CARPENTRY AND BUILDING ELECTRICAL AND PLUMBING SUBUNIT Power Mower Operator MAINTENANCE SUBUNIT Supervisor Bldg Maintenance Supervisor II Bldg Cons & Maintenance Supv I 16785 F1-04 17183 F2-09 17163 F1-10 Tractor Operator CARPENTRY GROUP ROOFING AND BLDG MAINTENANCE ELECTRICAL GROUP PLUMBING GROUP 17556, 22055 MAINTENANCE SVCS GROUP BC-04 Carpenter II Bldg Mntnce Worker II Bldg Mntnce Worker II Electrician II Plumber II 17078 WS-09 17120 WS-09 43533 WS-09 17187 WS-10 17156 WS-10 Power Mower Bldg Maintenance Heavy Truck Driver Bldg Maintenance Operator I Carpenter I Electrician I Plumber I Worker I 3869, 6020 Worker I 16790, 16791 17069, 17081 17166, 17171 17159, 17161 17129, 17188 BC-07 43534, 43535 16792, 16806 17085, 17087 17175 BC-10 BC-10 BC-09 43537, 43538 BC-03 17184 BC-09 Utility Worker 43539, 43541 11945, 16793 BC-09 BC-03 E-5 6/30/10
  • 266.
    STATE OF HAWAII DEPARTMENT OF EDUCATION OFFICE OF SCHOOL FACILITIES AND SUPPORT SERVICES POSITION ORGANIZATION CHART CENTRAL DISTRICT UNIT Bldg Maintenance District Supv 17147 F3-10 CARPENTRY AND BUILDING ELECTRICAL AND PLUMBING Power Mower Operator MAINTENANCE SUBUNIT SUBUNIT Supervisor Building Maintenance Supv II Bldg Cons & Maintenance Supv I 16783 F1-04 17177 F2-09 17148 F1-10 Tractor Operator CARPENTRY GROUP ROOFING AND BLDG MAINTENANCE ELECTRICAL GROUP PLUMBING GROUP 25213, 27080 MAINTENANCE SVCS GROUP 44199 BC-04 Carpenter II Bldg Mntnce Worker II Bldg Mntnce Worker II Electrician II Plumber II 17066 WS-09 17125 WS-09 17090 WS-09 17164 WS-10 17151 WS-10 Power Mower Bldg Maintenance Carpenter I Heavy Truck Driver Bldg Maintenance Electrician I Plumber I Operator I Worker I 17070, 17071 16795 BC-07 Worker I 17170, 17174 17158, 33428 16807, 16809 17126, 17133 17074, 17084 17208, 39788 33430 BC-10 BC-10 44200 BC-03 BC-09 17088 BC-09 39790, 39792 Utility Worker 43540 BC-09 Bldg Maintenance 16820, 18561 Helper BC-03 E-6 6/30/10 21596 BC-05
  • 267.
    STATE OF HAWAII DEPARTMENT OF EDUCATION OFFICE OF SCHOOL FACILITIES AND SUPPORT SERVICES POSITION ORGANIZATION CHART LEEWARD DISTRICT UNIT Bldg Maintenance District Supv 17065 F3-10 CARPENTRY AND BUILDING ELECTRICAL AND PLUMBING Power Mower Operator MAINTENANCE SUBUNIT SUBUNIT Supervisor Bldg Maintenance Supervisor II Bldg Cons & Maintenance Supv I 16789 F1-04 17067 F2-09 17149 F1-10 CARPENTRY GROUP ROOFING AND BLDG MAINTENANCE ELECTRICAL GROUP PLUMBING GROUP Tractor Operator MAINTENANCE SVCS GROUP 16801, 18559 Carpenter II Bldg Mntnce Worker II Bldg Mntnce Worker II Electrician II Plumber II 24415 BC-04 17072 WS-09 17121 WS-09 17123 WS-09 17139 WS-10 17153 WS-10 Bldg Maintenance Carpenter I Heavy Truck Driver Bldg Maintenance Electrician I Plumber I Power Mower Worker I 17076, 17083 17206 BC-07 Worker I 17169, 17172 17154, 33427 Operator I 17136, 17141 17092, 17093 43543, 43549 33429 BC-10 BC-10 16788, 16805 BC-09 24786 BC-09 43551, 43552 44198 BC-03 Utility Worker 43553 BC-09 Bldg Maintenance 16797, 16817 Helper BC-03 17212 BC-05 E-7 6/30/10
  • 268.
    STATE OF HAWAII DEPARTMENT OF EDUCATION OFFICE OF SCHOOL FACILITIES AND SUPPORT SERVICES POSITION ORGANIZATION CHART WINDWARD DISTRICT UNIT Bldg Maintenance District Supv 17089 F3-10 CARPENTRY AND BUILDING ELECTRICAL AND PLUMBING Power Mower Operator MAINTENANCE SUBUNIT SUBUNIT Supervisor Building Maintenance Supv II Bldg Cons & Maintenance Supv I 16804 F1-04 17079 F2-09 21401 F1-10 Tractor Operator CARPENTRY GROUP ROOFING AND BLDG MAINTENANCE ELECTRICAL GROUP PLUMBING GROUP 16799, 16800 MAINTENANCE SVCS GROUP BC-04 Carpenter II Bldg Mntnce Worker II Bldg Mntnce Worker II Electrician II Plumber II 17091 WS-09 17119 WS-09 43555 WS-09 17168 WS-10 17152 WS-10 Power Mower Bldg Maintenance Bldg Maintenance Carpenter I General Laborer II Electrician I Plumber I Operator I Worker I Worker I 17082, 17095 17197 BC-03 17167. 17173 17160, 33426 16787, 16803 17117, 17186 43542, 43544 17096, 17098 39787 BC-10 BC-10 16808, 16810 17210 BC-09 43545, 43546 17130 BC-09 BC-03 43547 BC-09 General Laborer I Truck Driver 17202 BC-02 16142 BC-06 E-8 6/30/10
  • 269.
    STATE OF HAWAII DEPARTMENT OF EDUCATION OFFICE OF SCHOOL FACILITIES AND SUPPORT SERVICES POSITION ORGANIZATION CHART SUPPORT DISTRICT UNIT Bldg Maintenance District Supv 17176 F3-10 GENERAL CONSTRUCTION AUTOMOTIVE SERVICE AND GENERAL CONSTRUCTION AUTOMOTIVE SERVICE AND AND MAINTENANCE GROUP I REPAIR GROUP AND MAINTENANCE GROUP II REPAIR GROUP Bldg Cons & Maintenance Supv I Auto Mechanic Supervisor I Cons & Maintenance Supervisor Auto Mechanic Supv I 17108 F1-10 16778 F1-10 17190 F1-10 17214 F1-10 Automotive Tech I MASONRY SERVICES CONSTRUCTION AND BUILDING GENERAL LABOR WELDING & FURNITURE Auto Technician II 17215, 17216 MAINTENANCE SVCS MAINTENANCE SVCS Cabinet Maker II SERVICES REPAIR SERVICES Heavy Truck Driver 16779 WS-11 BC-11 Mason II Heavy Truck Driver Bldg Mntnce Worker II 17181 WS-10 General Laborer III Welder II 17207 BC-07 17111 WS-10 17209 BC-07 17185 WS-09 17195 WS-03 17100 WS-10 Auto Technician I Auto Mechanic I Mason I Bldg Maintenance Cabinet Maker I General Laborer II Welder I Truck Driver 25668 BC-11 16796 BC-10 17106, 17110 Worker I 17180, 17182 17198, 17199 17101, 17102 18560 BC-06 17112, 17113 17138 BC-09 BC-10 17219 BC-03 35790 BC-10 BC-10 Auto Mechanic I 16780, 16784 Bldg Maintenance 18558 BC-10 Helper 35791 BC-05 Auto Mechanic Helper E-9 6/30/10 16786 BC-05
  • 270.
    STATE OF HAWAII DEPARTMENT OF EDUCATION OFFICE OF SCHOOL FACILITIES AND SUPPORT SERVICES POSITION ORGANIZATION CHART Assistant Superintendent 60008 SAFETY AND EMERGENCY PREPAREDNESS BRANCH Facilities Director Secretary II 60007 EO-10 16259 SR-14 Clerk Typist II 45351 SR-08 SCHOOL INSPECTION Safety & Security Program Specialist IV PROGRAM Specialist II 15763 SR-22 School Inspection 60030, 69632 69283 EO-7 Program Specialist II 73067 EO-7 Clerk Typist II Clerk Typist II (.50 FTE) 801484 SR-8 2/ 51181 SR-8 School Grounds School Grounds Maintenance Supervisor Maintenance Supervisor 16134 F3-04 16781 F3-04 HAWAII BASEYARD Kauai 1/ Molokai Truck Driver Tractor Operator Power Mower 16143 BC-06 18709, 49606 Operator I Tractor Operator BC-04 16251 BC-03 16135, 16136 16137, 16141 16178, 16205 Maui Maui 16210 BC-04 Power Mower Operator II Tractor Operator 16149 WS-03 36849 BC-04 Hawaii Power Mower Operators Power Mower 13 Positions BC-03 Operator I 25625, 39934 BC-03 1/ Positions receive administrative supervision by Business Management Officer I – 800812 (Kapaa/Kauai/Waimea Complex Area) 2/ Temporary position, Federal funds; position receives technical supervision from Safety & Security Spec II, position no. 60030 E-10 6/30/10
  • 271.
    STATE OF HAWAII DEPARTMENT OF EDUCATION OFFICE OF SCHOOL FACILITIES AND SUPPORT SERVICES POSITION ORGANIZATION CHART AUXILIARY SERVICES BRANCH Administrative Auxiliary Services Director Secretary IV Services Assistant 60003 EO-10 8413 SR-18 36446 SR-22 PROJECT CONTROL INFORMATION SYSTEMS SCHOOL SUPPORT REPROGRAPHIC SECTION PROGRAM SECTION Data Processing Systems Fiscal Specialist II Secretary II Budget Specialist II Secretary II Reprographic Specialist III Analyst VI 66354 EO-7 59831 SR-14 60110 EO-7 19181 SR-14 66351 EO-8 801161 SR-26 Data Processing Account Clerk II Secretary II Account Clerk V Systems Analyst V 800873 SR-8 57772 SR-14 19180 SR-15 27741 SR-24 Data Processing Staff Services Asst Admin Svcs Asst School Custodian II Clerk Typist II Systems Analyst IV 801081 SR-14 1/ 59830 SR-22 29762 BC-02 44450 SR-8 26871 SR-22 PRINTING UNIT Data Processing User Property Manager V Support Technician Work Program 801082 SR-24 1/ 800992 SR-15 Specialist V 17056 SR-24 Compositor II 21961 WS-9 Work Program SCHOOL ENERGY HAWAII 3Rs PROGRAM MAILROOM UNIT Offset Press General Professional VI Specialist IV CONSERVATION PROG Operator IV 800726 SR-26 10655 SR-22 Energy Conservation 21958 WS-9 Special Projects Coordinator Clerk IV Compositor I Coordinator 117073 SRNA 2/ 1781 SR-10 19175 BC-9 School Lands & 59887 SR-24 Offset Press Account Clerk V Facilities Specialist Operator II 17221, 27939 8534 SR-22 15432, 44221 BC-8 SR-15 Engineer V Clerk I Illustrator - Photographer 33205 SR-26 14195, 37314 19189, 44170 Departmental SR-4 Offset Press SR-17 Contracts Specialist Operator III 801494 SR-22 3/ 14678 BC-9 Offset Press Contracts Assistant II Operator II 1284 SR-15 21959 BC-8 Clerk IV 19186 SR-10 Clerk III 1/ Temporary position, Revolving funds 19173 SR-8 2/ Temporary Exempt position, General funds 3/ Temporary position, Special funds E-11 6/30/10
  • 272.
    DEPARTMENT OF EDUCATION OFFICE OF SCHOOL FACILITIES AND SUPPORT SERVICES FUNCTIONAL STATEMENT The Office of School Facilities and Support Services (OSFSS) exercises technical staff oversight of business, construction and maintenance of facilities, food services, and transportation support for the public school system. The OSFSS develops and administers administrative rules and regulations, publishes operational guidelines and provides related in- service training, monitoring and technical assistance to schools to ensure that the support is being provided in accordance with laws, policies, and accepted principles of management. The OSFSS’ technical oversight of the schools' support services is exercised in collaboration with the Complex Area Superintendent of the respective school districts. The business branches of the OSFSS directly provide schools and state and district administrative offices with the following centralized support services: managing the statewide programs for school food services and school bus transportation services; developing, managing, and maintaining a statewide school construction program; managing the central facilities inspection and repair/maintenance programs; providing schools with consulting services in landscaping, custodial and campus security attendant programs; developing and monitoring the Neighbor Island Service Level Agreements with the Department of Accounting and General Services (DAGS); coordinating teacher and custodial personnel housing; providing training on safety, security, civil defense, hazardous materials disposition, and traffic safety; maintaining a central mail distribution system; providing a central reprographic activity; and providing energy conservation staff services. AUXILIARY SERVICES BRANCH Provides staff services support to the Facilities Development and Facilities Maintenance branches, develops and monitors the Neighbor Island Service Level Agreements with the DAGS, monitors the school’s responsibility in meeting facilities related Energy Conservation Requirements; and provides management analyses services, including methods and procedures studies, personnel staffing requirement reviews, organizational analyses, statistical analyses, development of appropriate reorganization proposals, and management advisory services. Coordinates the distribution of the DOE mail using an array of carriers and mailing and addressing options. Project Control Section • Provides various staff services to the Assistant Superintendent and to the OSFSS as a whole including general management assistance; operating budget preparation and execution; program control; financial management; obtaining project funding and providing current and final project costs; tracking of projects; and processing and preparing contracts. • Performs Control Functions. Monitors the funds expended in providing planned services to assure funds are appropriately expended; identifies deviations from authorized and/or planned expenditures. Reviews payments to contractors for services provided in accordance with contracts. Develops financial reports at periodic intervals to report progress. • Receives and evaluates operational data and develops program policies, procedures, standards and plans. • Participates in the development of the capital improvements program (CIP) and repair and maintenance (R&M) budget request. • Coordinates or participates in research and development activities in formulating long-range goals. • Provides allotment services for CIP as well as operating funds and maintains records of funds appropriated and allotted and the allocations of same. Maintains system for monitoring funding and status of all active projects. • Provides to date expenditures and encumbrances for project budget estimates and final costs of projects for inventory purposes. • Provides contracting services oversight and coordination for Facilities Development Branch’s consultant and construction contracts, including calling for bids, assessing E-12 6/30/10
  • 273.
    prospective bidders, awardingof contracts, preparing and processing of contracts, amendments, and purchase orders thereto, and updating standard contract documents in cooperation with legal counsel and line functions. • Maintains system for monitoring the status of projects from the call to bids until the issuance of notice to proceed and fully executed contracts. Information Systems • Oversees the technical development, implementation, and system maintenance of the FACTRAK Information System, Maximo Work Order System, Facility Inventory System, and other OSFSS Information Systems initiatives. • Administers the procurement, installation, and maintenance of data processing and office automation systems, hardware, and software for the Office of School Facilities and Support Services. • Manages the operation of the Project Management System and Electronic Leave System (ELS). School Support Program • For the Neighbor Islands, coordinates the development of major R&M projects, including the determination of statewide budgets and priorities and monitoring the projects among schools pursuant to the Service Level Agreement. • Prepares the budget request for water, sewer, and gas for the schools, prepares monthly projections on the status of the funds and processes all bill payments centrally. Annually calculates the monthly sewer rates for Oahu schools and submits the proposal to the City & County of Honolulu for negotiation and approval. • Prepares the budget request for Department-wide courier service and negotiates contracts for courier service to all schools and offices for the Department of Education. • Prepares the budget request for school service and maintenance contracts, prepares monthly projections on the status of the funds and processes all invoice payments centrally. • Coordinates the school furniture and equipment program with Facilities Maintenance Branch, schools, and districts. Compiles and maintains the specifications for the school furniture pricelist. • Compiles data and prepares budgetary documents and monitors plans and budgets of the EDN 400 R&M program for conformity. • Coordinates and develops data and assists in drafting legislative proposals and testimonies on matters affecting the Office of School Facilities and Support Services CIP and R&M programs. Mailroom Unit • Provides pick up and delivery mail service to all schools and DOE offices on Oahu and to the District Offices on the outer islands. • Centrally sorts and distributes all incoming and outgoing DOE mail, involving DOE employees, students, private businesses and State agencies. • Distributes mail (ranging from employee payroll checks to student data and test materials) using an array of carriers, mailing options and mailing equipment. School Energy Conservation Program • Administers the DOE energy use and conservation program. • Analyzes school utility consumption patterns and recommends practical energy savings methods. • Coordinates development and implementation of energy conservation proposals for schools with the Department of Business, Economic Development, and Tourism (DBEDT), utility companies, other government organizations, outside organizations. E-13 6/30/10
  • 274.
    Prepares budget requests for electricity for DOE and determines electricity allocations of appropriated funds to schools and DOE organizations. • Provides consultation services on technical problems related to electrical utilities and buildings. • Pays the centralized invoices for school electricity bills. • Oversees the School installed air conditioning program. Hawaii 3Rs • Coordinates the Hawaii 3Rs program for the Department of Education. • Assists in the coordination of the Joint Venture Education Forum (JVEF) repair and maintenance projects with schools and the military. • Coordinates the statewide playground equipment program. Reprographic Section • Provides planning, budgeting, designing, preparation, printing, and distribution services to all schools and State and District Offices in the DOE. Printed items include reports, announcements, memoranda, operational forms, curriculum guides, manuals, brochures, attendance forms, posters, and other educational materials. • Manages printing according to scheduled lists, unscheduled job submissions, and control quarterly expenditures. • Sets quality standards for in-house and commercial printing. • Awards commercial printing jobs under $25,000. • Reviews and processes purchase orders and invoices related to printing and other operational requirements. • Provides on-the-job learning opportunities to McKinley High School students by partnering with graphic arts curriculum/classes (printing and graphics). • Provides consultative services in the technical and creative aspects of preparing materials to be printed. • Provides graphic services for printing, including artwork, photography, photo typesetting and computer-generated type and visuals. Printing Unit • Provides consultative services regarding printing production format, paper stock, methods of binding, production time and estimates total production costs of all printing jobs. • Provides plate making, printing, and binding services. • Provides black/white and color copying services. • Prepares specifications for commercial printing, consults with vendors, and reviews quotes. • Provides consultative services on funding, general printing requirements, and distributions. • Arranges and coordinates distribution of printed materials to offices, schools, and other agencies. FACILITIES DEVELOPMENT BRANCH Plans, coordinates, organizes, directs and controls a variety of engineering and architectural services including land acquisition, planning, designing, project management, construction E-14 6/30/10
  • 275.
    inspection, design &construction quality control, contracting, construction management, and equipping facilities and improvements for the Department of Education. • Plans and directs the expenditure of Capital Improvement and Repair and Maintenance Funds and other operating funds released to the Department for projects. Standards and Quality Assurance Unit • Follows up on warranty requirements. Coordinates with and assists the Attorney General in litigation involving Department projects. • Develops/revises design and construction guidelines based on feedback from staff and in consultation with the various industry organizations. Disseminates information and arranges for staff training where necessary. • Assists in the development, approval, and revision of the Educational Specifications. Planning Section Administers and directs the planning activities of the Department’s schools and other facilities. Provides land acquisition coordination and planning services; formulates and implements the Department’s CIP and R&M budget requests; reviews office space needs and conducts other studies as directed. The branch is organized into the Building Inspection Planning Unit, Planning Unit I and Planning Unit II. Building Inspection Planning Unit • Provides technical support to identify, cost, plan and evaluate repair projects and make recommendation on the condition of department facilities. • Provide staff assistance in project tracking activities to prioritize, schedule, budget and monitor construction and subsequent warranty period for major R&M projects. • Scope work, formulate requirements, solicit bids and monitor construction activity for major R&M projects initiated by staff contract. • Provide for the overall management of repair and maintenance services and implements a preventative maintenance program for department facilities. • Administers databases and report generation for repair and maintenance projects. Planning Unit I • Maintains annual records on use of classrooms. Prepares and disseminates Classroom Utilization Report. Determines classroom requirements and estimates future classroom needs. • Reviews, proposes amendments and interprets administrative rule, Chapter 8-39, Use of School Buildings, Facilities and Grounds. • Conducts studies for the development of new schools. • Coordinates the preparation of complex development plans with schools and districts. • Assists in determining the feasibility of school service boundary changes, school grade reorganizations; alternative means to accommodate overcrowded schools, and the need for new schools. • Prepares school capacity deficit summaries by districts for the six-year planning period. • Prepares draft budgets, coordinates with school complexes and districts, and finalizes the state budget draft for approval. • Prepares submittal for executive budget requests and for legislative submittal and testimonies, and lobbies for the budget. • Prepares expenditure plans, initiates appropriated projects, and monitors expenditures and funding. E-15 6/30/10
  • 276.
    Maintains and disseminates quarterly status of school CIP projects and computer files of all ongoing projects, and the CIP Annual Report. Maintains files of all completed projects, appropriate statistics related to costs, numbers and locations of projects. • Provides training for school administrators and personnel, school organizations, and community members on planning and financing schools and offices, including the CIP budgeting and expenditure cycles or understanding of legislative appropriations. • Provides assistance, workshops or briefings for school complexes, school community groups or faculties, public or legislative hearings on the relationship of housing developments to the need for new school facilities. Planning Unit II • Prepares cost estimates and schedules for land, plans, design, construction and equipment for proposed projects. This includes analysis and ranking of alternatives by cost effectiveness, risk, and other factors for meeting program space needs and schedules. • Prepares site selection studies and assists in making presentations to interested groups. Coordinates the actual acquisition of the site, including securing subdivision or consolidation approvals, state land use boundary change and/or county general plan and zoning changes. Prepares tenant relocation plans, coordinates the relocation of all tenants from the site, and disburses the appropriate compensation. • Prepares complex development reports when a number of buildings are to be built on a site and project development reports (as required) for the individual buildings. • Processes project initiations, makes environmental assessments, provides scope of work, prepares engineering estimates of the project cost and schedule, and as applicable, preparing an analysis of alternatives for providing the program spaces required. Prepares and files environmental notices for each project as necessary. • Coordinates the development of future school sites and existing school properties. • Processes requests for review of environmental impact statements and environmental assessments for change of State zoning and county zoning and county zoning classifications, subdivision requests, and other county and State requests related to housing developments. • Coordinates and organizes responses to developer requests related to future school sites, including fair share contributions, State Land Use Commission submittals, and county zoning applications. • Researches, analyzes, prepares responses or possible solutions to requests for easements, revocable permits, long-term leases, executive orders, return of surplus lands, exchange or purchase of land for schools, encroachments or other problems related to school sites or department office locations. Project Management Section Provides in-house and consultant design services for new facilities and repairs or alterations of existing facilities. Generally, the Project Management Unit I performs in-house design of engineering projects and project management services; Project Management Unit II provides project management services; and Project Management Unit III conducts in-house architectural design of projects and project management services. Project Management Unit I • Schedules projects for implementation and establishes design criteria. • Prepares design calculations, plans, specifications and other bidding documents; establishes scope, negotiates fee and coordinates work of special sub-consultants for in- house design projects. • Establishes scope, negotiates fee and administers contracts for projects designed entirely by consultants. E-16 6/30/10
  • 277.
    Requests approval to advertise for bids, prepares addenda, evaluates bid results and recommends award, include alternates, if applicable. • On a selective basis, provides inspection and administration of contracts let for construction of facilities and acquisition of furniture and equipment for such improvements in specific instances. • Reviews shop drawings and submittals for in-house design projects. • Investigates, analyzes and recommends corrective measures for buildings which show signs of distress and for ground improvement problems. • Establishes scope, negotiates fees and administers contracts for projects designed entirely by consultants. • Provides immediate engineering technical service in responding to investigations and safety evaluations of facilities damaged by fire or natural disaster. • Provides professional engineering design services and technical supervision over the engineering drafting technicians. • Assists in final inspection, interprets plans and specifications during construction, reviews and approves changes/additions during construction. Project Management Unit II • Negotiates fee and coordinates work of the prime consultant and reviews and approves fee for special sub-consultants for subsurface investigation; surveying and hazardous material testing and air monitoring. • Reviews plans and estimates prepared by consultants and requires modifications in the design, as required, to meet budgetary constraints. • Prepares project budget estimates based on design estimates of quantities and cost. • Requests approval to advertise for bids, evaluates bid results and recommends award of alternates, if applicable. • Coordinates the incorporation of Federal requirements in the bidding documents and prepares necessary material for submittal to Federal agencies as required. • Assists in final inspection, interprets plans and specifications during construction, reviews and approves changes and additions that become advisable during construction. • On occasion administers consultant contracts where consultant is responsible for contract administration and inspection of a construction contract. Project Management Unit III • Schedules projects for implementation and establishes design criteria. • Prepares design calculations, plans, specifications and other bidding documents; establishes scope, negotiates fee and coordinates work of special consultants. • Requests approval to advertise for bids; prepares addenda to clarify or correct mistakes in bid documents; evaluates bid results and recommends award of alternates, if applicable. • Checks manufacturers' and contractors' shop drawings; advises and clarifies design concept and details; prepares post contract drawings and specifications; and assists in final inspection for in-house projects. • On a selective basis, provides inspection and administration of contracts let for construction of facilities and acquisition of furniture and equipment for such improvements in specific instances. • Establishes scope, negotiates fee and administers contracts for projects designed entirely by consultants. E-17 6/30/10
  • 278.
    Provides immediate architectural technical service in responding to investigations and safety evaluations of facilities damaged by fire or natural disaster. • Investigates, analyzes and recommends corrective measures for buildings which show signs of distress. • Provides professional architectural design services and technical supervision over the architectural drafting technicians. Construction Management Section Provides construction inspection; administers construction management services and contracts for construction of facilities and acquisition of furniture and equipment for such improvements; and provides services to scope work, formulate requirements, solicit bids and monitor construction activity for major R&M projects initiated by purchase order. • Holds pre-construction conferences with contractors and subcontractors. Coordinates work and settles disputes between different contractors working on separate projects on the same job site. • Inspects for workmanship and adherence and compliance with contract plans and specifications, shop drawings, change orders, and General Conditions. • Determines and recommends changes, either additions or deletions, which become advisable during construction. Prepares cost estimates, Change Orders, and Statement of Funds to incorporate changes. Makes field changes during construction to accommodate field conditions. • Verifies computation of partial and final payments to contractors and Statement of Contract Time. Checks payroll affidavits for compliance with State Wage and Hour Law. • Prepares weekly construction reports and other special reports as required. • Obtains materials for laboratory testing and prepares sample cards for the project record. Arranges for testing, reviews all material and equipment test results and takes appropriate action. • Performs final inspection of projects, recommends acceptance and prepares Contract Completion Report. • Maintains a complete and accurate daily construction log. • Administers consultant contracts where consultant is responsible for contract administration and inspection of a construction contract (construction management services). • Scopes work, formulates requirements, solicits bids and monitors construction activity for major R&M projects initiated by staff contract. • Administers consultant contracts where consultant is responsible for contract administration and inspection of a construction contract (construction management services). FACILITIES MAINTENANCE BRANCH Plans, coordinates, organizes, directs and controls a variety of services, which include maintaining and repairing public school buildings and facilities; providing technical support to school HVAC systems and electrical systems; and providing the overall planning and managing of repair and maintenance support to school facilities. Develops and administers policies, rules, regulations, and department budgets for the school custodial, school landscaping and grounds maintenance programs. Repair and Maintenance Engineering Section Provides engineering and technical support to maintain school facilities. Develops technical specifications, estimates and administers maintenance service contracts for repair and maintenance functions, including but not limited to air conditioning, elevator maintenance contracts, refuse pickup, program bells, grease trap and fire extinguishers. E-18 6/30/10
  • 279.
    Provides technical expertise to program operations on the design, construction, operation, maintenance, repair, and inspection of electrical and mechanical equipment and systems. • Provides evaluations on replacement or modifications of various existing electrical and mechanical systems. • Scopes work, formulates requirements, solicits bids, and monitors construction activity for 3- quote informal bid repair and maintenance contracts. • Provides technical reviews of project plans and specifications for CIP and R&M projects. • Maintains and inputs into program databases and utilizes information derived from these databases to generate reports for repair and maintenance activity. Repair and Maintenance Operations Section Supports planning and implements an on-going and comprehensive program of repair and preventative maintenance of assigned facilities. • Generates staff negotiated repair contracts; plans and implements energy conservation measures. • Provides overall trade and engineering support services in identifying, budgeting, evaluating and implementing repair and maintenance activities. • Provides technical expertise to program operations on the design, budgeting, construction, operation, maintenance, repair, and inspection of mechanical and electrical equipment/systems at assigned school facilities. • Provides evaluations on replacement or modifications of various existing electrical and mechanical systems. • Provides school landscaping and grounds maintenance programs. • Develops and administers policies, rules, regulations, and department budgets for the school custodial program. Windward Oahu, Honolulu, Central Oahu and Leeward Oahu Units • Provides for the overall management of repair and maintenance of school buildings and facilities; coordinates these functions with school personnel; develops a program of preventative maintenance for school buildings and facilities; and administers a variety of repair and maintenance contracts for school buildings. • Operates a centralized lawn mowing service for all Oahu public schools. Carpentry and Building Maintenance Subunit--Carpentry Group/Building Maintenance Group/Roofing & Maintenance Services • Provides carpentry, painting, and building maintenance services in the repair, maintenance, and emergency repairs of assigned school buildings. • Develops a program for regular and preventative maintenance of school buildings and other facilities. • Administers contracts for a variety of repair and maintenance functions. • Constructs "finished" wood products such as doors, cabinets, and shelving. • Performs minor roofing repairs, inspection, and maintenance work by clearing gutters and downspouts. • Provides utility/auxiliary services: Moving, disposal, etc. Electrical and Plumbing Subunit--Electrical Group/Plumbing Group • Provides electrical and plumbing services in the repair, maintenance, and emergency repairs of assigned school buildings. E-19 6/30/10
  • 280.
    Develops a program for regular and preventative maintenance for school buildings and other facilities. • Administers contracts for a variety of repair and maintenance functions. Support District Unit Provides for those repair and maintenance services that are not regularly utilized or which are so specialized that their operations would be more efficient if they were centralized and assigned out to the other districts as needed. General Construction and Maintenance Group I • Provides general construction services to maintain school facilities in good condition. Masonry Services • Provides masonry support for school facilities. Construction and Maintenance Services • Provides transport support by delivering materials and supplies as well as transporting new and used school furniture and equipment. Automotive Service and Repair Groups I and II • Provides for the control and disposition of all equipment and vehicles in the branch; provides for the repair and maintenance of these equipment and vehicles; and provides for equipment operators. General Construction and Maintenance Group II • Provides general construction and transport services to maintain school facilities in good condition. Welding and Furniture Repair Services • Provides support in metal repair work and fabrication to school facilities and structures, and maintains, repairs, and refurbishes a variety of furniture to meet school needs and to preserve the school furniture and equipment inventory. General Labor Services • Provides physical labor to support activities such as erecting fencing, delivery/pickup of school furniture, and installing sign posts. School Custodial Services Program • Provides training, workshops, and consultative services on school maintenance, custodial scheduling, and custodial practices. • Develops supply and equipment standards, evaluates new products and recommends purchases for custodial or ground maintenance products for schools. • Provides emergency response support as needed. School Landscaping Services Program • Operates a centralized lawn mowing service for all Kauai, Maui and Hawaii islands. • Provides landscaping plan assistance, drainage assessment and mitigation planning, school grounds maintenance technical assistance and training and school beautification consultations for all schools. Purchasing Services Office • Provides for the centralized purchasing and storing of equipment and supplies for the branch. E-20 6/30/10
  • 281.
    Provides for the storing, warehousing, and inventorying of materials, supplies and equipment. • Provides for centralized school furniture purchasing, storing, and distributing. • Provides administrative and technical support for state-sponsored events and activities. SCHOOL FOOD SERVICES BRANCH The School Food Services Branch develops and administers statewide program plans, budgets, policies, standards and specifications for food services operations of the public school system. Fiscal Management • Prepares budgets, expenditure plans, and financial projects for the School Food Services Program. • Provides technical assistance to the Assistant Superintendent in developing and administering fiscal policies and internal control procedures governing program expenditures, cafeteria cash collections and meal tickets, delivery/receipt/inventory of cafeteria supplies and equipment, and other fiscal transactions of the program. • Reviews and analyzes financial data of departmental ledgers and prepares financial reports to management for decision-making and evaluation. • Participates in the United States Department of Agriculture (USDA) disaster relief program for the DOE. • Coordinates the administration of the USDA Verification of Free and Reduced Price Applications; On-Site Reviews and Coordinated Review Efforts. • Meets with independent auditors to discuss findings and recommendations of School Food Services Program audits. Technical Support • Reviews, analyzes, and develops intermediate and long-range program plans for improvement of the School Food Services Program. • Develops and administers the DOE School Food Services Program policies, rules, regulations, standards, and specifications governing the operations of public school cafeterias. • Promotes participation in various child nutrition programs throughout the State by disseminating information and publications, and in-servicing Complex Area Superintendent’s staff, school staff and school food service managers. • Researches, tests, and evaluates new products (food, supplies, equipment, and services) and prepares bid specifications, and promotes the introduction of new products in the statewide public school system. • Coordinates the planning of new cafeteria kitchens, and the renovation and replacement of existing cafeteria equipment. • Maintains liaison with other DOE state offices and State agencies on matters of mutual concern. • Consolidates reports from schools for reimbursement claims, staffing, and purchasing information. • Inspects food service operations of the DOE public schools for compliance with applicable federal, state, and county laws and administrative regulations and DOE program policies, standards, and specifications. • Provides technical assistance and consultation to school principals, food service managers, and workers on improving their operations, including, but not limited to, efficient and effective utilization of facilities, equipment, supplies, and personnel; improved food preparation, handling and storage procedures and practices; reliable recordkeeping; E-21 6/30/10
  • 282.
    accounting and reporting;dissemination of program information; and maintaining liaison with appropriate local field offices of other state agencies and the county governments. Commodity Distribution • Reviews the DOE menu requirements and requests commodity foods from the Office of Hawaii Child Nutrition Program (OHCNP). • Consults with the OHCNP on food safety notification, and other USDA Commodity Distribution concerns. • Allocates and distributes federal commodities to public schools in the most cost-efficient manner. • Reviews use of commodities by recipient schools. • Maintains records and prepares reports on commodity inventory and receipts. • Administers the Department of Defense fresh fruits and vegetable commodity purchasing program for the DOE schools. SCHOOL SAFETY AND EMERGENCY PREPAREDNESS BRANCH Develops and administers policies, rules, regulations, and department budgets for the safety and security and school inspection programs. • Administers the safety and security program for the public school system; plans and administers a statewide program to improve school safety, security, as well as emergency preparedness. • Under the direction of the Deputy Superintendent, administers the department’s involvement with the State Civil Defense Program. Communicates with State Civil Defense and County Civil Defense in times of emergencies or natural disasters. Coordinates the designation of school facilities as evacuation shelters with State Civil Defense. • Coordinates the traffic safety program for the public school system; maintains liaison with the county police departments and other agencies regarding traffic safety, including the Junior Police Officers (JPO) program. Serves on the Oahu Traffic Safety Committee to resolve school-related safety concerns. • Administers the Federal Asbestos Hazard Emergency Response Act (AHERA) for the control, abatement, management, inspection and training. • Administers and coordinates night security program for selected schools. • Administers and coordinates the surveillance camera program. Provides guidance in the use of surveillance cameras. Maintains school justification for surveillance camera checklists. • Coordinates other activities aimed at preventing, managing, and reducing offenses against persons, property, and the living-learning environment of schools; and accidents, injuries and losses to students, staff, or other users of school facilities. • Coordinates and represents the department in developing helicopter landing guidelines and approving appropriate sites. • Chairs the department's Statewide Safety Committee meetings. Prepares the monthly agenda, disseminates meeting minutes. Administers and coordinates the implementation of school safety committees. • Administers the department's hazardous materials management program, including training, recordkeeping, and mitigation or disposal; coordinates and administers Hawaii Occupational Safety and Health (HIOSH) hazard communication standards and program; and maintains liaison with the Department of Labor and other appropriate agencies regarding HIOSH regulations. • Coordinates responses to Hawaii Occupational Safety and Health (HIOSH) issues and concerns. E-22 6/30/10
  • 283.
    Coordinates responses to issues and concerns regarding radon, safe drinking water, lead in paint, indoor air quality and electrical and magnetic fields issues and concerns. • Coordinates the School Safety manager program with the contractor and school administrators; attends to operational matters of the program. • Administers the school emergency preparedness program. Provides training and technical assistance to schools in the development of school emergency responses, including lock downs, shelter in place, and emergency evacuations. Provides bomb threat response training and technical assistance to schools; compiles and analyzes bomb threat information. • Administers and implements the Department's picture identification badge program; provides ID production services for all school level administrators, schools on military bases, and all district and state employees; maintains employee ID database of all IDs issued. • Manages and coordinates the school fire inspection program. Acts as liaison to State Fire Council and County Fire Departments. Represents the Department in all fire inspection related matters including fire code violations and fire safety concerns. • Coordinates the School Inspection Program with schools; works with the Facilities Development Branch, Facilities Maintenance Branch, and the Neighbor Island Department of Accounting and General Services to address concerns raised by the school inspections. STUDENT TRANSPORTATION SERVICES BRANCH The Student Transportation Services Branch is responsible for the statewide program planning, budgeting, implementing, enforcing and evaluating of student transportation services for eligible public school students in accordance with Section 302-406, Hawaii Revised Statutes. The program provides safe, timely, and efficient student transportation services to eligible students to attend and participate in schools, designated programs, and other services statewide. • Develops and administers contracts that procure the required services from privately- operated school bus contractors to transport eligible public school students to and from public school and as required by a student’s Individualized Education Program (IEP) or Modification Plan (MP). - Researches, analyzes, and prepares bid documents that address department, school, and student needs for both regular and special education students. - Modifies contract requirements as necessary to address concerns and to conform to amendments to law, rule and/or procedure. - Computes contract annual rate increase/decrease to account for wage, fuel, and consumer Price Index adjustments. - Computes the daily cost of school buses covered by contracts to utilize the program’s resources efficiently and effectively. • Develops, prepares, and issues guidelines and procedures related to student transportation requirements to ensure the proper processing of necessary paperwork to ensure services are provided on a timely basis. • Identifies training needs of its constituency and develops and prepares appropriate training modules. • Provides information on federal, state, and contract requirements to schools, parents, media, and other interested parties. - Provides clarification/interpretation of various laws, rules, policies, procedures, and guidelines to contractors, schools, parents, and others as requested. - Provides training/clarification on related student transportation rules, guidelines, procedures and responsibilities to school administrators and personnel. - Provides training of student transportation program requirements and responsibilities to school bus contractors. E-23 6/30/10
  • 284.
    Serves as the Department’s primary point of contact/liaison for student transportation concerns. - Monitors contractor performance on contracted routes on a regular basis and as necessary. - Enforces contract specifications and levies fines and penalties as appropriate. - Receives, investigates, and resolves transportation-related complaints and concerns between parents, students, schools, school bus contractors, and the general public. - Reviews, approves, audits, and processes parent mileage transportation reimbursement claims for regular education students who reside beyond the qualifying distance from established bus stops along public roads as determined by Chapter 27, Hawaii Administrative Rules. - Reviews, approves, audits, and processes parent mileage transportation reimbursements for special education students as required by an Individualized Education Program (IEP) or Modification Plan (MP). - Reviews, approves, audits, and processes parent mileage transportation reimbursements for eligible transporters as required by the federal No Child Left Behind Act. • Reviews, processes, and maintains applicable DOE employment forms for school bus contractors’ personnel. • Conducts annual criminal history check for school bus drivers and aides. • Prepares and provides written and oral testimonies/reports to legislative bills and resolutions. • Prepares and provides written and oral testimonies/reports to the Board of Education and its committees, as necessary. • Prepares and provides written responses to inquiries addressed to the Superintendent and/or other state officials. • Reviews, approves, audits, procures, and distributes monthly Oahu Transit Services bus passes for eligible Honolulu District students who do not have access to contracted bus services. • Assists in the determination of student eligibility for services being requested. • Coordinates special education student transportation requests received from school administrators. - Coordinates, processes, schedules, and tracks transportation requests submitted by schools. - Computes daily compensation cost to contractor for providing mid/post-day or unusual transportation requests. - Attends special education meetings when unusual special transportation requests are received. - Provides clarification of student transportation requirements and guidelines. • Represents the Department at school bus contractors’ and other meetings as necessary. • Develops, prints, distributes, and maintains student transportation forms to meet federal, state, municipal, and Departmental transportation requirements. • Prepares budget requests and other related budget documents and properly performs all budget functions. • Provides oversight relating to the collection of student bus fares and seeks accountability for the collections. • Ensures the proper and prompt payment of program claims. E-24 6/30/10
  • 285.
    Audits deposits into special funds and disburses available funds as required to meet contractual obligations. • Collects and maintains statistics related to contracted student transportation services for evaluation purposes. • Operates school buses to address student transportation for the Kona area. E-25 6/30/10
  • 286.
    OFFICE OF CURRICULUM,INSTRUCTION, AND STUDENT SUPPORT
  • 287.
    STATE OF HAWAII DEPARTMENT OF EDUCATION OFFICE OF CURRICULUM, INSTRUCTION, AND STUDENT SUPPORT ORGANIZATION CHART OFFICE OF CURRICULUM, INSTRUCTION, AND STUDENT SUPPORT ASSISTANT SUPERINTENDENT STUDENT SUPPORT BRANCH CURRICULUM AND INSTRUCTION BRANCH EXTENDED LEARNING SCHOOL LITERACY OPPORTUNITIES & STUDENT IMPROVEMENT AND INNOVATION SUPPORT COMPREHENSIVE STUDENT SPECIAL EDUCATION SUPPORT SERVICES SPECIAL PROGRAMS SCHOOL RENEWAL AND MANAGEMENT SECTION REDESIGN HAWAIIAN EDUCATION ATHLETICS PROGRAMS F-1 6/30/10
  • 288.
    STATE OF HAWAII DEPARTMENT OF EDUCATION OFFICE OF CURRICULUM, OFFICE OF CURRICULUM, INSTRUCTION, AND STUDENT SUPPORT INSTRUCTION, AND POSITION ORGANIZATION CHART STUDENT SUPPORT Private Secretary I Assistant Superintendent 1784 SR-20 67118 SPECIAL PROGRAMS STUDENT SUPPORT MGMT ADMINISTRATION BRANCH SCHOOL IMPROVEMENT TEAM Special Programs Secretary IV Educational Director Management Director 15083 SR-18 60010 EO-10 60048 EO-10 1/ Educational Specialist III Educational Specialist III School Specialist II 60053 EO-8 60022 EO-8 75428 EO-7 EXTENDED LRNG OPP & STDNT SUPPT School Library Services Clerk Typist II Secretary II Secretary II Secretary II Specialist III 58858 SR-8 11482 SR-14 11947 SR-14 3630 SR-14 60026 EO-8 GIFTED & TALENTED NON-SCHOOL HOUR STUDENT ACTIVITIES PROGRAMS 21st CENTURY INSTRUCTIONAL TECHNOLOGIES Educational Specialist II Educational Specialist II Educational Specialist II 60033, 73056 60080 EO-7 60057 EO-7 EO-7 School Library Services Secretary II ITV Specialist II ITV Specialist II Teleschool Specialist II Educational Specialist II Specialist II 14163 SR-14 1/ 73100 EO-7 68086 EO-7 66358 EO-7 60104 EO-7 60562 EO-7 State Office Teacher Secretary II State Office Teacher TV Production Svcs Secretary II Advanced Tech Ed Spec II 79317 1/ 21957 SR-14 74906, 79491 2/ 2/ Supervisor 6824 SR-14 60031 EO-7 79492 2/ 47750 SR-23 2/ Program Specialist IV Program Specialist III 12-Month State Office Advanced Tech Ed Spec II 59925 SR-22 3/ 19190 SR-20 TV Production 66356 EO-7 Teacher Crew Chief 1/ 79286 46593, 46594 2/ 2/ Clerk Typist II SR-17 School Library Services TV Production Tech (.50 FTE) State Office Teacher Specialist II 08912, 19184 59112 SR-8 1/ TV Production 76113, 79316 2/ 1/ 69973 EO-7 SR-13 Technician 79285, 79146 1/ 1/ 52011, 52999 2/ Educational Specialist II 53190 SR-13 Clerk Typist II 79869, 79886 1/ 1/ Audio Visual Tech III Account Clerk III 36449 SR-8 EO-7 21960 BC-12 47002 SR-11 Clerk Stenographer II 1/ Temporary position, Federal funds 17439 SR-9 2/ Temporary position, Trust funds 3/ Temporary position, Revolving funds F-2 6/30/10
  • 289.
    STATE OF HAWAII DEPARTMENT OF EDUCATION OFFICE OF CURRICULUM, INSTRUCTION, AND STUDENT SUPPORT POSITION ORGANIZATION CHART COMPREHENSIVE STUDENT SUPPT SVCS Educational Specialist III Secretary II 60050 EO-8 5077 SR-14 SCHOOL BASED PRIMARY/SECONDARY DIAGNOSTIC SUPPORT POSITIVE BEHAVIORAL 504/HOME HOSPITAL BEHAVIORAL HEALTH PREV INTERVENTION SUPPORT Educational Specialist II Educational Specialist II Educational Specialist II Educational Specialist II Educational Specialist II 74728, 74955 75400 EO-7 72880F EO-7 79311 EO-7 2/ 73228 EO-7 EO-7 Secretary II Secretary II State Office Tchr Educational Interpreter II Secretary II Secretary II 59674 SR-14 53148 SR-14 60273, 61233 801324, 801325 5571 SR-14 11427 SR-14 801326, 801327 801328, 801329 School Psychologist Audiologist IV 801330 SR-14 Athletic Health Care (District Based) 44553 SR-22 Specialist Coordinator 58695 SR-26 800328 SR-24 Educational Interpreter I 801316, 801317 Social Worker IV 801318, 801319 School Psychologist 42545 SR-22 Clerk Typist II 801320, 801321 800508 SR-24 1/ 59995, 59996 1/ 1/ 801322, 801323 SR-8 SR-12 Speech Pathologist IV School Psychologist 42399 SR-22 800023 SR-24 1/ Clerk Typist II DP Syst Analyst IV 13497 SR-8 59698 SR-22 1/ 1/ Temporary position, General funds 2/ Temporary position, Federal funds F-3 6/30/10
  • 290.
    STATE OF HAWAII DEPARTMENT OF EDUCATION OFFICE OF CURRICULUM, INSTRUCTION, AND STUDENT SUPPORT POSITION ORGANIZATION CHART SPECIAL PROGRAMS ATHLETICS MANAGEMENT SECTION DOE Athletics Special Prog Mgmt Spec III Secretary II Administrative Officer 67674 EO-8 14050 SR-14 69838 EO-8 12-Month State Office TITLE I Teacher 73989, 73990 Account Clerk III Educational Specialist II Educational Specialist II Special Prog Mgmt Spec II 46557 SR-11 79209, 79790 1/ 1/ 79206 EO-7 1/ 79789 EO-7 1/ 79792 EO-7 1/ Secretary II State Office Teacher 2/ Secretary II 56079 SR-14 1/ 76173, 76174 14190 SR-14 1/ 79499 1/ Program Specialist IV 1/ State Office Teacher 800802 SR-22 Community Relations 79574, 79775 1/ 1/ Program Spec Asst 801307 SR-15 1/ Account Clerk III 41723 SR-11 1/ Clerk Typist II 52511 SR-8 1/ 1/ Temporary position, Federal funds 2/ State Office Teacher position nos. 76143, 76174 & 79499 receive technical supervision from Educational Specialist II, position no. 79209 F-4 6/30/10
  • 291.
    STATE OF HAWAII DEPARTMENT OF EDUCATION Assistant Superintendent OFFICE OF CURRICULUM, INSTRUCTION, AND STUDENT SUPPORT 67118 POSITION ORGANIZATION CHART CURRICULUM & INSTRUCTION BRANCH Secretary IV Educational Director 5179 SR-18 60023 EO-10 School Custodian II (.50 FTE) 57703, 58603 BC-02 SCHOOL LITERACY IMPROV & INNOVATION Educational Specialist III Secretary II 60081 EO-8 4914 SR-14 Educational Specialist II Educational Specialist II Educational Specialist II Educational Specialist II Educational Specialist II Educational Specialist II Educational Specialist II Educational Specialist II (Language Arts) (Reading First) (Science) (Social Studies) (Health/Physical Educ) (Fine Arts) (Career and Technical Ed) (Literacy Prog Supports) 60037 EO-7 79331 EO-7 2/ 60024 EO-7 60025 EO-7 60020 EO-7 60032 EO-7 60054 EO-7 66419 EO-7 Secretary II State Office Tchr Secretary II State Office Teacher Secretary II Secretary II Educational Specialist II 26567 SR-14 79328 2/ 12020 SR-14 79320 2/ 1797 SR-14 3618 SR-14 (Reading/Multisensory) 75399 EO-7 1/ JUNIOR RESERVE OFFICER’S Educational Specialist II Educational Specialist II State Office Teacher Clerk Typist II State Office Teacher TRAINING CORPS HMSU (Eng Lang Learners) (Mathematics) 79334 2/ 58900 SR-8 2/ 76171, 76172 3/ 3/ Secretary II 60039 EO-7 ROTC Instructor 60058 EO-7 21984 SR-14 69232, 73150 1/ Clerk Typist II 73393, 73439 1/ 1/ Educational Specialist II (.50 FTE) Secretary II Secretary II (Healthy Hawaii Initiative) 12-Month State Office 58678 SR-8 2/ 3903 SR-14 8268 SR-14 74927 EO-7 1/ Storekeeper I Teacher 34064 SR-11 1/ 75434 1/ Educational Specialist II Educational Specialist II Clerk Typist II Secretary I (World Languages) 59583 SR-8 2/ 58605 SR-12 1/ 68273 EO-7 Voc/Tech Ed Specialist II (NCLB Title III) (Perkins Career & Tech Ed) 79329 EO-7 2/ 79887, 79889 2/ 2/ EO-7 State Office Tchr State Office Tchr 68640, 68862 1/ 1/ Educational Specialist II 79332 2/ State Office Teacher (Stnds Res Dev) 79755, 79800 2/ 2/ 73595 EO-7 1/ Special Programs 79801, 79802 2/ 2/ Management Specialist II 79628 EO-7 2/ Secretary II 51240 SR-14 2/ 1/ Temporary position, General funds 2/ Temporary position, Federal funds 3/ Temporary position, Special funds 12-Month State Office F-5 6/30/10 Teacher 79777 2/
  • 292.
    STATE OF HAWAII DEPARTMENT OF EDUCATION OFFICE OF CURRICULUM, INSTRUCTION, AND STUDENT SUPPORT POSITION ORGANIZATION CHART SPECIAL EDUCATION SECTION Secretary II Educational Specialist III 5790 SR-14 60013 EO-8 SPED COMPLIANCE/PROCEDURE AUTISM STATE IMPROVEMENT Educational Specialist II Educational Specialist II Educational Specialist II Accountant IV Educational Spec II Educational Specialist II GRANT (Data Reqirements - MIS) (Admin Rules & Procedures) (Transition Support) 57687 SR-22 2/ (Autism Center) 75401 EO-7 1/ 60059 EO-7 79859 EO-7 2/ 60016F EO-7 76186 EO-7 Educational Specialist II 79645 EO-7 2/ Account Clerk IV Secretary II 12-Month State Office Secretary II 53000 SR-13 2/ Secretary II Behavioral Spec IV 19050 SR-14 2/ Teacher 42306 SR-14 32303 SR-14 2/ 12-Month State Office 79737 2/ Teacher Clerk Typist II 79920 2/ Registered 12-Month State Office 12-Month State Office 40066 SR-8 2/ Speech Lang Path III Professional Nurse V Teacher Clerk Typist II Teacher 15778 SR-24 79925, 79735 2/ 2/ 10130 SR-8 79697 2/ Neurotraining Therapist III Occupational 55414 SR-20 Physical Therapist V 2/ DP User Support Therapist IV Educational Specialist II State Office Teacher 28987 SR-24 Technician II (Complaints) 79205 2/ 58278, 58279 79767 EO-7 2/ Clerk Typist II 58721, 59146 2/ 2/ Occupational SR-15 Educational Asst III 58593 SR-8 2/ Therapist V Educational Specialist II (3) 28988 SR-24 Secretary II (Charter School SPED) Educational Specialist II 56324 SR-14 79312 EO-7 2/ (IEP) Speech Pathologist V Clerk Typist II 76085 EO-7 1/ 800055 SR-24 2/ 59961 SR-8 12-Month State Office 12-Month State Office Teacher Teacher Secretary II 79313, 79791 2/ 2/ 79314 2/ Clerk Typist II 24497 SR-14 2/ 56358 SR-8 1/ Clerk Typist II 12-Month State Office 55545 SR-8 2/ Teacher 79484, 79899 2/ 2/ 79905 2/ Clerk Typist II 1/ Temporary position, General funds 30748 SR-8 2/ Temporary position, Federal funds F-6 6/30/10
  • 293.
    STATE OF HAWAII DEPARTMENT OF EDUCATION OFFICE OF CURRICULUM, INSTRUCTION, AND STUDENT SUPPORT POSITION ORGANIZATION CHART SCHOOL RENEWAL & HAWAIIAN EDUCATION REDESIGN PROGRAMS Secretary II Educational Specialist III Secretary II Educational Specialist III 12310 SR-14 60035 EO-8 59052 SR-14 79933 EO-8 PROGRAM DATA Educational Specialist II P-20 SUPPORT Educational Specialist II (Hawaiian Language (Pihana Na Mamo) Educational Specialist II Educational Specialist II Immersion) 79497 EO-7 2/ (Early Childhood Education) (CSSS Database) 74166 EO-7 1/ 76056 EO-7 1/ 74953F EO-7 Secretary I State Office Teacher 800751 (.50 FTE) 2/ Educational Spec II DP Systems 74839, 74841 1/ 1/ SR-12 (GEAR UP) Analyst IV 74890, 75099 1/ 3/ 79264 EO-7 2/ 59156 SR-22 2/ 12-Month State Office Teacher Educational Specialist II 79530, 79531 2/ 2/ (Hawaiian Studies) State Office Teacher 79917 2/ 74735 EO-7 1/ 79257 2/ State Office Teacher State Office Teacher 79827 2/ Clerk Typist II 73030, 74920 1/ 1/ (.50 FTE) 74921 1/ 59883 2/ Account Clerk III 800750 SR-11 2/ School/Community Based Clerk Typist II Mgmt Specialist II (.50 FTE) 60029 EO-7 801424 SR-8 3/ Secretary II 59169 SR-14 Program Specialist III 59072 SR-20 1/ 1/ Temporary position, General funds 2/ Temporary position, Federal funds 3/ Temporary position, Trust funds F-7 6/30/10
  • 294.
    DEPARTMENT OF EDUCATION OFFICE OF CURRICULUM, INSTRUCTION AND STUDENT SUPPORT FUNCTIONAL STATEMENT Office of Curriculum, Instruction and Student Support (OCISS) This office is a flexible organization which supports system-wide accountability, systems requirements, standards-based curriculum, instruction, and student support. This includes primary responsibility for coordination and implementation of the Department’s initiatives to meet the requirements for state and federal mandates. The office is under the direction of the Assistant Superintendent; the responsibilities of the office are performed by the Student Support Branch and Curriculum and Instruction Branch. Student Support Branch This branch provides leadership, support, and research in establishing an array of services including extended learning opportunities, monitoring appropriate state and federal mandates, and professional development for student support. Extended Learning Opportunities and Student Support The section provides support for the development and implementation of expanded learning opportunities that include the use of instructional technologies, multimedia resources and non-traditional environments and/or school day. • Provides statewide leadership in extended learning programs, educational resources, multimedia programs and materials, and consultative services that model the use of 21st century skills and new technologies for students, educators, and administrators. • Prepares students and educators for the 21st century workforce through technology rich, standards-based credit courses for students and best practices, online professional development and resources for educators through programs such as Hawaii Virtual Learning Network and distance learning. • Develops, maintains, and provides online, distance learning, and video conferencing programs and systems. • Provides support and technical services to Community Schools for Adults in programs such as Adult Basic Education, Adult General Education, English as a Second Language, English Literacy/Civics, Workplace Literacy, Family Literacy and cultural, recreational and social enhancements, and monitors programs for compliance with state and federal requirements. • Provides support and technical services for student leadership development, enrichment, and acceleration. Comprehensive Student Support Services This section provides a focused and responsive system of supports to strengthen the social, emotional and physical well-being of all students and their families and communities to impact student achievement. • Provides leadership and support to schools in implementing a Comprehensive Student Support System (CSSS). • Works with complexes and schools to ensure that supports are available to reduce barriers to learning and facilitate educational achievement. F-8 6/30/10
  • 295.
    Focuses on preventive and developmentally appropriate supports and services for all students; provides for intervention and tertiary services to address to students in need. • Provides program direction and guidance for parent and family support services, early childhood intervention services, secondary school intervention services, psycho-social-emotional services, positive behavior support services, and student health services. (NCLB) – School Improvement Programs This section provides coordination and technical oversight on the State Framework for School Improvement and Title I grant administration to schools, complex areas, and state offices of the Department. • Administers, on a statewide basis, No Child Left Behind federal mandates, and other federal grant programs. • Provides technical assistance to Title I schools through the school improvement process to ensure that all children meet challenging state academic standards. • Coordinates and develops support services to supplement the Framework for School Improvement. • Partners with Charter School Administrative Office to provide oversight, technical assistance, and monitoring of Title I charter schools. • Provides oversight over all Title I programs assigned to the (NCLB) School Improvement Programs Section, including the Private School Title I Program. Athletics This section provides statewide leadership for and the coordination of the interscholastic athletics program by serving as consultant and liaison to the public school district athletics specialists and main point-of-contact between OCISS and the complex areas. • Provides statewide leadership for the interscholastic athletics program by serving as consultant and liaison to the public school district athletics specialists and main point-of-contact between OCISS and the districts. • Provides guidance and consultation in completing systems tasks relating to athletic programs. • Plans, develops, and implements staff development activities for school personnel involved with athletics to ensure quality and effective program implementation and operation. Curriculum and Instruction Branch This branch supports schools and complex areas through the research and development of standards-based education for all students. The branch develops guidelines and procedures, and provides technical assistance and support for implementation. The branch monitors organizational effectiveness in meeting state and federal mandates for student achievement and school improvement. School Literacy Improvement and Innovation This section provides leadership and research through the development of standards-based curriculum, assessment and instructional tools/resources that support literacy and innovations in content areas. F-9 6/30/10
  • 296.
    Assesses, analyzes, evaluates, and addresses the needs of students, complex areas, complexes, and schools in relation to the effective implementation of the Hawaii Content and Performance Standards. • Researches and develops tools to support instructional programs to meet the needs of students and teachers in the various curricular areas. • Develops curricular guidelines and standards for application throughout the school system. • Develops curriculum frameworks and other resource materials to guide and stimulate curriculum development and standards implementation in the schools. • Provides professional development opportunities to complex areas and complexes in planning, developing, delivering, and assessing standards-based education. Special Education This section ensures that all children/youth with disabilities have available a free appropriate public education. The Section ensures that the rights of children/youth with disabilities and their parents are protected, and monitors, enforces and reports on the implementation of federal and state special education requirements. • Develops procedures, standards and policies, and rules for the education of individuals with disabilities, ages 3 to 20, for application throughout the school system. • Provides technical assistance and training to complex areas, districts, schools, other cooperating agencies, and parents to address the Individuals with Disabilities Education Act (IDEA), and the corresponding administrative rule. • Monitors the activities of schools and complex areas to ensure conformance to program standards, established instructional policies, and legal and administrative directives. • Provides leadership, technical support and training to complex areas, schools, and parents in organizing the instructional and student support components to maximize the use of available resources. School Improvement and Redesign This section provides support through the research and dissemination of innovative products/best practices and dynamic technical assistance to continuously improve school quality and performance. • Provides leadership, professional development, and technical assistance to schools and complex areas in planning and implementing School Community Councils (SCC), shared decision- making, and school improvement focused on increasing student achievement. • Coordinates the review and approval process of all SCC waivers and exception requests to BOE policy and collective bargaining agreements. • Provides leadership, support, and technical assistance to schools in planning, implementing, and monitoring secondary school redesign (middle school reform and high school redesign). F-10 6/30/10
  • 297.
    Provides leadership, coordination, and oversight of the school accreditation process. • Provides coordination and support in implementing and planning school improvement activities. Hawaiian Education Programs This section provides the resources needed to fully implement the goals and objectives of Hawaiian education to include the study of Hawaiian culture, history, and language in the public schools along with the achievement of the Hawaii Content and Performance Standards. • Provides leadership in the development of culturally relevant educational programs which use Hawaiian culture, history, language as the foundation for the achievement of the Hawaii Content and Performance Standards. • Assesses, analyzes, evaluates, plans and develops tools and resources to support the needs of students, complex areas, complexes, and schools in relation to the effective implementation of Hawaiian education programs such as the Hawaiian Studies Program and the Hawaiian Language Immersion Program. • Works in partnership with Hawaiian organizations and agencies in support of the State Constitutional mandate to promote Hawaiian education within the public school system. F-11 6/30/10
  • 298.
    OFFICE OF HUMANRESOURCES • Organization Chart • Position Organization Chart • Functional Statement
  • 299.
    OFFICE OF HUMANRESOURCES STATE OF HAWAII ASSISTANT SUPERINTENDENT DEPARTMENT OF EDUCATION OFFICE OF HUMAN RESOURCES ORGANIZATION CHART PERSONNEL MANAGEMENT BRANCH PERSONNEL ASSISTANCE BRANCH PERSONNEL DEVELOPMENT BRANCH TRAINING & CERTIFICATION RECRUITMENT SECTION LABOR RELATIONS SECTION SECTION CONTRACT ADMINISTRATION TECHNOLOGY INTEGRATION RECLASSIFICATION UNIT UNIT & EVALUATION INDUCTION, MONITORING & EMPLOYEE BACKGROUND EVALUATIONS UNIT PROFESSIONAL DEVELOPMENT CHECK UNIT SECTION CLASSIFICATION & MANAGEMENT SUPPORT NEGOTIATIONS SECTION COMPENSATION SECTION SERVICES SECTION WORKERS’ COMPENSATION, PROFESSIONAL DEVELOPMENT & RECORDS & TRANSACTIONS HEALTH BENEFITS & EDUCATIONAL RESEARCH SECTION AWARDS SECTION INSTITUTE WORKERS’ COMPENSATION SUBSTITUTES UNIT CLASSIFIED PROS UNIT HEALTH BENEFITS & CERTIFICATED PROS AWARDS UNIT G-1 6/30/10
  • 300.
    STATE OF HAWAII DEPARTMENT OF EDUCATION OFFICE OF HUMAN RESOURCES OFFICE OF HUMAN POSITION ORGANIZATION CHART RESOURCES Private Secretary I Assistant Superintendent Personnel Specialist II 1785 SR-20 60046 69986 EO-7 PERSONNEL MANAGEMENT BRANCH Secretary IV Personnel Director 5043 SR-18 69985 EO-10 RECRUITMENT CLASSIFICATION & SECTION COMPENSATION SEC Secretary II Personnel Specialist III Secretary II Personnel Specialist III 08911 SR-14 69984 EO-8 21947 SR-14 69980 EO-8 RECLASSIFICATION UNIT EMP BACKGROUND Personnel Specialist II Personnel Specialist II CHECK UNIT Personnel Program 66018, 75392 60006 EO-7 Personnel Specialist II Personnel Specialist II Manager 75405 EO-7 60044 EO-7 79303 EO-7 1/ 58571 EM05 Personnel Mgmt Personnel Management Personnel Management Personnel Mgmt Specialist IV Specialist V Specialist VI Specialist III Personnel Mgmt Personnel Mgmt 58722 SR-22 Personnel Clerk V 59125 SR-24 59041 SR-26 4312 SR-20 Specialist V Specialist V 46337 SR-13 14751 SR-24 38479, 59040 Personnel Mgmt Personnel Mgmt Personnel Clerk V 59118 SR-24 Personnel Tech VI Specialist III Specialist V 3619, 14378 Personnel Clerk III Personnel Mgmt 58569 SR-15 Personnel Tech VI 7142 SR-20 59121, 59122 19131, 45185 51561, 58231 Specialist III Personnel Mgmt 19128 SR-15 59123, 59124 801103 1/ 58232, 58233 17389 SR-20 Specialist IV Pers Clerk V SR-24 SR-13 58234 58425 SR-22 Personnel Technician VI 58570, 59128 58235 (.50 FTE) 59633 SR-15 Personnel Clerk V Pers Clerk V SR-13 Personnel Mgmt 59050, 59528 59529 (.50 FTE) 10407 SR-13 59119 SR-13 Personnel Clerk V Specialist IV SR-9 58573 SR-13 Personnel Clerk V 58572 SR-22 Personnel Tech VI 15521, 19238 8762 SR-15 Pers Clerk IV 42225, 42226 Personnel Tech VI 58305 SR-11 Personnel Clerk IV 45353, 58220 59126 SR-15 58578 SR-11 58221, 59632 Pers Clerk V 801105 1/ 58579, 59127 SR-13 SR-13 Personnel Clerk III 14063, 15480 SR-9 1/ Temporary position, Federal funds G-2 6/30/10
  • 301.
    STATE OF HAWAII DEPARTMENT OF EDUCATION OFFICE OF HUMAN RESOURCES POSITION ORGANIZATION CHART RECORDS & HONOLULU CENTRAL LEEWARD WINDWARD HAWAII MAUI KAUAI TRANSACTIONS SECTION CERTIFICATED PRO CERTIFICATED PRO CERTIFICATED PRO CERTIFICATED PRO CERTIFICATED PRO CERTIFICATED PRO CERTIFICATED PRO Personnel Specialist III Secretary II Personnel Specialist II Personnel Specialist II Personnel Specialist II Personnel Specialist II Personnel Specialist II Personnel Specialist II Personnel Specialist II 69978 EO-8 19239 SR-14 60100 EO-7 67826 EO-7 67849 EO-7 67857 EO-7 64824 EO-7 69930 EO-7 66062 EO-7 Personnel Clerk IV Personnel Clerk IV Personnel Clerk IV Personnel Clerk IV Personnel Clerk IV Personnel Clerk IV Personnel Clerk IV 38729, 45399 15435 SR-11 14790 SR-11 15663 SR-11 15439 SR-11 10411, 56392 2/ 15325 SR-11 SR-11 SR-11 Personnel Specialist II Personnel Specialist II 67803 EO-7 69977 EO-7 Personnel Management Personnel Management Specialist IV Specialist IV 1782 SR-22 58574 SR-22 Personnel Personnel Management Technician VI Specialist IV 59530 SR-15 17387 SR-22 Personnel Personnel Clerk V Technician VI 4311, 14738 14188 SR-15 19127, 19129 19130, 48629 SR-13 Personnel Clerk V 12321, 14187 17388, 48496 Personnel Clerk IV 58576 SR-13 59815 SR-11 1/ Personnel SUBSTITUTES Technician VI UNIT 58575 SR-15 Personnel Clerk V 10408 SR-13 Personnel Clerk V 15361, 19644 48495, 58577 Personnel Clerk IV 59129 SR-13 50395, 50396 50397, 59690 1/ 1/ Temporary position, Federal funds SR-11 Clerk Typist II 2/ Position is on loan from Hawaii District Office 58677 SR-8 G-3 6/30/10
  • 302.
    STATE OF HAWAII DEPARTMENT OF EDUCATION OFFICE OF HUMAN RESOURCES POSITION ORGANIZATION CHART Assistant Superintendent 60046 PERSONNEL ASSISTANCE BRANCH Secretary IV Personnel Director 58285 SR18 60070 EO-10 LABOR RELATIONS NEGOTIATIONS SECTION WC, HEALTH BENEFITS & SECTION Personnel AWARDS SECTION Management Personnel Specialist III Secretary II Personnel Specialist III Personnel Specialist III Secretary II Specialist III 60073 EO-8 19243 SR-14 76183 EO-8 64827 EO-8 14377 SR-14 56337 SR-20 1/ CONTRACT EVALUATIONS UNIT Personnel Specialist II WORKERS’ HEALTH BENEFITS & ADMINISTRATION UNIT 60076 EO-7 COMPENSATION UNIT AWARDS UNIT Personnel Specialist II Personnel Management Personnel Specialist III Personnel Specialist II 73073, 74640 Specialist IV 69981 EO-8 74633 EO-7 EO-7 19380 SR-22 Personnel Clerk IV Personnel Mangement Secretary II Personnel Specialist II Specialist V 19133 SR-11 19241 SR-14 60078 EO-7 28031, 35778 40658, 45188 59120, 59625 Personnel Clerk V Personnel Clerk III 42311 (Hawaii) 13863, 19132 19242 SR-9 Personnel Clerk V 45186 (Maui) 19240, 35168 34569 SR-13 42090 (Kauai) 42466 SR-13 SR-24 Personnel Clerk V 15437, 45250 45352 46158 (Maui) 51563 (Hawaii) 1/ SR-13 Personnel Clerk IV 51562 (.50 FTE) 1/ SR-11 Personnel Clerk III 52759 SR-9 1/ 1/ Temporary position, General funds G-4 6/30/10
  • 303.
    STATE OF HAWAII DEPARTMENT OF EDUCATION OFFICE OF HUMAN RESOURCES POSITION ORGANIZATION CHART PERSONNEL DEVELOPMENT BRANCH Secretary IV Personnel Director 55567 SR-18 75381 EO-10 Personnel Clerk III Accountant IV 42145 SR-9 59037 SR-22 1/ Account Clerk III 55568 SR-11 TRAINING / INDUCTION, MONITORING CERTIFICATION SECTION IMPD & PROFESSIONAL (Hawaii) DEVELOPMENT SECTION Personnel Specialist III Personnel Specialist III Personnel Specialist III 75403 EO-8 60051 EO-8 79191 EO-8 1/ 12 Month State Office Clerk Typist III Teacher 45344 SR-10 74696 TECH INTEGRATION & Personnel Specialist II Personnel Specialist II Personnel Specialist II EVALUATION Personnel Specialist I 73633A (.49 FTE) 74711, 79304 1/ 73635 EO-7 Personnel Specialist II 79267 EO-6 1/ EO-7 EO-7 75389 EO-7 12-Month State Office 12-Month State Office 12-Month State Office 12-Month State Office 2/ Teacher PROG EVALUATOR DATABASE SUPPORT Teacher Teacher Teacher 73531 73903 74901, 74738 Computer Programmer IV 73961, 73965 73533 (Hilo) Personnel Specialist II 73927 (Kauai) 74899, 74929 58727, 58857 1/ 1/ 74698, 74737 73535 79333 EO-7 74699 (Hilo) 1/ 1/ 1/ 800742, 800743 74725 800744 SR-22 1/ 74736 (Kona) Personnel Mgmt State Office Teacher Specialist IV 79305 (.50 FTE) 1/ Personnel Mgmt 801275, 801276 1/ 1/ Specialist III 1/ State Office Teacher 801277 SR-22 59916 SR-20 1/ 75103, 75104 3/ 3/ Personnel Clerk III Personnel Clerk V 59798 SR-9 1/ 801055, 801056 1/ 1/ SR-13 1/ Temporary position, Federal funds 2/ Positions receive technical supervision from Personnel Specialist II, position no. 74711 3/ Temporary position, Trust funds G-5 6/30/10
  • 304.
    STATE OF HAWAII DEPARTMENT OF EDUCATION OFFICE OF HUMAN RESOURCES POSITION ORGANIZATION CHART MANAGEMENT SUPPORT PROFESSIONAL DEVELOPMENT & EDUCATIONAL RESEARCH INSTITUTE SERVICES SECTION Personnel Specialist III Educational Specialist III Secretary II 75407 EO-8 73061 EO-8 48337 SR-14 Clerk Typist II 57804, 59051 SR-8 Personnel Specialist II Personnel Specialist II 76292 EO-7 76094 EO-7 Account Clerk II 59708 SR-8 Personnel Mgmt Personnel Mgmt Specialist IV Specialist IV 59703 SR-22 2/ 59640 SR-22 2/ Educational Specialist II Educational Specialist II Personnel Specialist II 74336, 76280 1/ (NCLB State Grants) 60043, 74338 EO-7 79217, 79218 2/ 2/ 79211 EO-7 2/ 79219 EO-7 2/ ACE Intern 3/ 75132, 75133 ACE Intern 75134, 75135 74339, 74341 76400, 76401 74343, 74344 76402, 76403 74716, 74717 76404, 76405 74719, 74720 76406, 76407 74721, 74722 76408, 76409 74723 EO-1 76410, 76411 76412, 76413 76414, 76415 HONOLULU CENTRAL CLASSIFIED LEEWARD CLASSIFIED WINDWARD HAWAII CLASSIFIED MAUI CLASSIFIED 76416, 76417 CLASSIFIED PRO PRO PRO CLASSIFIED PRO PRO PRO 76418, 76419 Personnel Specialist II Personnel Specialist II Personnel Specialist II Personnel Specialist II Personnel Specialist II Personnel Specialist II 76420 EO-1 67771 EO-7 67830 EO-7 67842 EO-7 68467 EO-7 74637 EO-7 68468 EO-7 Personnel Clerk IV Personnel Clerk IV Personnel Clerk IV Personnel Clerk IV Personnel Clerk IV Personnel Clerk IV 10410 SR-11 19097 SR-11 15440 SR-11 29196 SR-11 12176 SR-11 41968 SR-11 1/ Temporary position, General funds 2/ Temporary position, Federal funds 3/ Temporary ACE Intern positions, General funds G-6 6/30/10
  • 305.
    DEPARTMENT OF EDUCATION OFFICE OF HUMAN RESOURCES FUNCTIONAL STATEMENT The Office of Human Resources (OHR) administers a comprehensive personnel program for certificated, classified, and casual employees of the public school system within the framework of established laws, policies, and accepted principles of personnel management. OHR develops and administers administrative rules and regulations, publishes operational guidelines, and provides centralized employment and personnel administration services to schools and district and state administrative offices to ensure that the support is being provided efficiently and effectively. OHR collaborates with the state and district administrative offices for in-service training, monitoring, and technical assistance. The scope of the comprehensive personnel program includes the following services: • Recruitment, selection, and employment processing • Reclassification • Certification of educational officers • Leave administration • Personnel resource accounting and position allocation • School administrator training • Employee awards and recognition • Criminal history record checks/Temporary Disability Insurance Program administration • HIV guidelines • Collective bargaining and negotiations • Collective bargaining contract administration • Employee grievance administration • Health benefits, tax shelter annuity 403(b), Premium Conversion Plan, Deferred Compensation Program, PTS Program, Flex Spending, service awards, retirement awards • Classification and compensation systems • Fair labor practices and equal employment opportunity • Employee development and training • Employee evaluation systems • Workers’ Compensation Program administration • Employee safety and security administration Under the direction of the assistant superintendent and the directors of OHR, these services are provided directly, or coordinated throughout the public school system, by the following 13 groups: Employee Safety & Security Section; Recruitment Section; Classification and Compensation Section; Records and Transactions Section; Certificated Personnel Regional Officers; Labor Relations Section; Negotiations Section; Benefits Section; Training and Certification Section; Induction, Monitoring & Professional Development Section; Management Support Services Section; Professional Development & Educational Research Institute; and the Classified Personnel Regional Officers. The Employee Safety & Security Section is a new initiative of OHR under the direct supervision of the assistant superintendent. G-7 6/30/10
  • 306.
    Employee Safety &Security Section Provides leadership, vision, and direction in the areas of Alcohol and Controlled Substances and Identity Theft. • Develops and designs a coordinated DOE Alcohol and Controlled Substance program in accordance with federal and State laws, rules and regulations, collective bargaining agreements, Executive Orders, and other applicable requirements. • Develops and designs policies, procedures, and guidelines on alcohol and controlled substances. • Develops and designs the alcohol and controlled substances training program as well as educational materials and handbooks. • Designs, implements, and administers an Identity Theft program in accordance with Chapters 487J, 487N, and 487R, Hawaii Revised Statutes. • Administers and develops policies and procedures that support the department’s compliance with Chapters 487J, 487N, and 487R, HRS. The remaining groups are divided into three branches with each branch headed by a director, who is responsible for the operation and supervision of each group in the branch. The Personnel Management Branch includes the Recruitment Section; Classification and Compensation Section; the Records & Transactions Section, and the Certificated Personnel Regional Officers. The Personnel Assistance Branch includes the Labor Relations Section; Negotiations Section; and Benefits Section. The Personnel Development Branch includes the Certification & Training Section; Induction, Monitoring & Professional Development Section; Management Support Services Section; Professional Development & Educational Research Institute; and the Classified Personnel Regional Officers. PERSONNEL MANAGEMENT BRANCH The Personnel Management Branch administers the recruitment process for the filling of vacant positions; processing of personnel actions for qualified applicants selected to fill position vacancies, as well as personnel actions for existing employees; and classification and compensation system for all positions. Recruitment Section • Plans and administers a recruitment program for all employees in the public school system: identifying and publicizing actual and anticipated vacancies; screens and refers, through applicant lists, qualified applicants for vacancies; provides guidance and procedures for interview and selection; interviews and/or coordinates teacher assessment evaluations; processes selected applicants for employment; and responds to related inquiries. G-8 6/30/10
  • 307.
    Maintains and monitors web page used to market school personnel for department positions. • Plans, develops, and administers the Temporary Contract Employee (TCE) Program. • Plans and coordinates the assignment and transfer program for employees in the public school system. • Administers Teacher Reclassification Program. • Maintains teacher license area(s) of preparation file; maintains database of external administrators who possess a master’s degree in Educational Administration and three years of teaching who are interested in seeking employment as an educational officer in the State of Hawaii. • Administers, plans, develops, and coordinates the Part-Time Temporary (PTT) Teacher Program which includes the Casual Personnel System. • Administers, plans, develops, and coordinates the teacher’s Job Sharing Program, Early Return Program, and Hardship Transfer Program. • Determines initial classification for substitute teacher applicants and reclassification of existing substitute teachers. • Reviews and verifies all summer school hires on the Casual Personnel System. • Maintains database for DOE Driver Education Certification and issues DOE Driver Training and Education Instructor Certificates. • Maintains and trains a cadre of qualified interviewers to conduct interviews for all teacher applicants. • Administers the Recruitment and Retention Program to provide qualified teachers and support staff for special education students by utilizing contracts such as Teacher-Teacher.com and Teach for America. • Ensures contract provisions of recruitment agency’s contracts regarding scope of services are appropriately monitored; ensures budget and allocation amounts are adequate for funding needs; revises contracts as necessary to clarify procedural requirements and/or changes in scope of services and compensation; ensures contract funds are appropriately spent; works toward building capacity for DOE to assume contracts responsibilities when contracts are terminated. • Tracks and documents all implementation steps necessary to meet state benchmarks for activities relating to personnel recruitment. • Administers and processes the hard-to-fill incentive for qualified special education teachers and regular education teachers in identified hard-to-fill schools. • Administers and processes the incentive program for the return of qualified teachers who have dual certification to special education. • Provides and monitors the relocation bonus for special education teachers who are recruited from the continental United States, based upon the time zone of the states. G-9 6/30/10
  • 308.
    Processes Temporary Contract Employee forms for Administrative Workload Relief Program. • Processes payment and compliance of requirements through casual payroll for the relocation bonus for special education teachers who are recruited from the continental United States, based upon the time zone of the states. • Provides linkers to the Hawaii Teacher Standards Board for concerns related to teacher licensing. • Coordinates job searches and placement for disabled employees with the Department of Human Resources Development, vocational rehabilitation counselors, and district and state offices. Employee Background Check Unit • Processes criminal history record checks and clearances for all employees, prospective employees, provider and subcontractors, and Institute of Higher Education (IHE) trainees. • Coordinates exchange of highly confidential information with federal and state criminal and investigative agencies when processing classified information on prospective employees, providers and subcontractors and IHE trainees. • Maintains a confidential, highly classified database on background information on all employees of the department. • Processes temporary disability insurance claims for all employees of the department. Classification & Compensation Section • Administers, implements, monitors, and evaluates the establishment, reallocation, and abolishment of all DOE positions. • Analyzes departmental classification problems and issues; develops program and operational procedures and practices for all DOE positions. • Maintains a compensation plan consisting of all classes of work in the classification plan, indicating class titles and appropriate salary schedules. • Maintains a library of civil service class specifications and minimum qualification requirements for DOE and other jurisdictions. • Coordinates all amendments to the compensation plan with other jurisdictions to help assure the statutory provisions of equal pay are met. • Conducts reviews to determine if labor shortages exist for classes of work or group of positions. • Establishes a raised hiring rate or authorizes hiring above the minimum salary when a labor shortage is identified in order to better compete in the recruitment and fill of positions. • Monitors statewide labor market conditions and participates in wage surveys. G-10 6/30/10
  • 309.
    Conducts departmental classification studies and special projects; conducts on-site desk audit reviews of classified and Support Services Personnel (SSP) position duties as needed. • Recommends the development of new and amended class specifications, including minimum qualification requirements; analyzes the scheme of classes for program improvement. • Recommends bargaining unit designations. • Provides management advisory services to departmental offices, district/complexes, line managers, and others; develops classification procedures and guidelines; provides technical assistance to others in their use and application. • Represents the department in civil service classification appeals to the Merit Appeals Board (MAB). • Develops and maintains a departmental classified position management system. • Maintains position descriptions for all existing positions except for teachers and teacher-type positions. • Conducts annual reviews of projected school lists to ensure all positions are properly identified and assigns position numbers for new positions for the upcoming school year. • Maintains and establishes occupational group codes for all DOE positions. • Under Weighted Student Formula (WSF) in accordance with each school’s Academic Financial Plan (AFP), establishes/deletes positions beginning in May through February of the new school year. Also establishes/deletes/transfers Special Education, General Education Article VI positions in accordance with official student enrollment count and program needs. • Conducts annual review of the principal and vice principal classification levels to ensure positions are properly classified by applying formulas to the official enrollment count. • Supports the Classification/Compensation Appeals Board to review classification and compensation actions relating to educational officers. • Administers the Educational Officer Recruitment Program which includes but is not limited to identifying and publicizing actual and anticipated vacancies (principals/vice-principals, 12-month internal, external, and Charter School administrators); administers the recruitment of non-DOE prospective school level administrative applicants – coordinates, screens, and refers applicants; coordinates interview and selection guidelines and responds to educational officer recruitment inquiries. • Ensures that educational officer selection criteria, procedures, and compensation practices comply with federal and state laws, the School Code, and the bargaining contract, where applicable. • Upon approval by the superintendent, processes the filling of temporary appointees to vacant educational officer positions and the filling of G-11 6/30/10
  • 310.
    substitutes (retirees, externalhires) to school-level educational officer vacancies. Records & Transactions Section • Administers the salary and compensation of all employees; certifies pay authorizations; and ensures that employees are paid properly and in a timely manner; maintains a personnel record and information system and the School List. • Processes all personnel actions from initial appointment to separation for all employees during their employment with the department. • Provides employment statistics and reports to comply with requirements of federal, state, and DOE equal employment opportunity and affirmative action programs; provides reports to the unions and legislature; provides employment verification; provides employee information as requested in accordance with State Office of Information Practices guidelines. • Develops guidelines and procedures to ensure that personnel transactions are processed in accordance with applicable personnel rules and regulations, collective bargaining provisions, and departmental regulations and procedures. • Provides technical guidance, support, and assistance to departmental administrators, supervisors, managers, and staff regarding personnel matters. • Provides technical support and assistance for ensuring compliance with federal laws such as the Fair Labor Standards Act, the Immigration Reform and Control Act, the Drug-Free Workplace Act, and the Americans with Disabilities Act. • Plans and administers a records program, including computerized master files for public school teachers. Maintains employee information in the department’s computerized personnel systems. • Administers the DOE Leave Sharing Program. • Implements and administers coach’s compensation through the Casual Personnel System. • Maintains data file on employee bonus and incentives. • Supports the teacher stipends program, Early Returns and Hardship Transfers for teachers, and the annual Teacher Transfer Program. Substitutes Unit • Administers the program to report the hiring and compensation of substitute and casual employment. • Administers the program for substitute teachers (maintains and monitors TSEAS System). • Prepares Columbus billing data for use of substitute teachers. G-12 6/30/10
  • 311.
    Certificated Personnel RegionalOfficers Personnel Regional Offices provide employment and personnel administration services to schools, complexes, and districts, within the framework of established laws, policies and accepted principles of personnel management. The scope of the services provided by the Personnel Regional Offices include: - Recruitment, selection, and employment processing - Certification of teachers and educational officers - Leave administration - Personnel resource accounting and position allocation - Training of school administrators - Employee awards and recognition - Criminal history checks - Employee grievances - Employee benefits - Classification and compensation - Fair labor practices and EEO - Employee evaluation system - Workers compensation program - Substitute employees and casual hires Personnel Regional Offices foster and maintain positive working relationships between the DOE, unions, and other agencies. PERSONNEL ASSISTANCE BRANCH The Personnel Assistance Branch comprises the following sections, with its respective functions: Labor Relations Section, which administers the employee grievance/arbitration program and the performance evaluation programs; Negotiations Section, which oversees collective bargaining negotiations and contract interpretations and consult and confer; and WC, Health Benefits and Awards Section, which oversees workers compensation, certain health benefit plans, certain awards, and certain other employee benefits (e.g. tax-sheltered annuities, liaisons to provide benefit information, etc.). Labor Relations Section Contract Administration Unit • Administers the employee grievance/arbitration program, which includes processing employee/union grievances; provides advisory services and coordination of grievance hearings at the various levels; serves as the department advocate in grievance and arbitration cases; maintains a system of grievance recordkeeping and accountability; and conducts workshops for first-line supervisors and middle-management personnel on the processing of employee grievances and contract administration. • Plans and administers the contract administration, compliance and monitoring program for the public school system. • Serves as liaison between the public school system and various unions on employer-employee matters as required by state statutes and/or collective bargaining agreements. • Provides guidance in the processing of employee disciplinary actions, non-renewal of employee contracts and termination of employment for disciplinary reasons, maintaining a system of recordkeeping and G-13 6/30/10
  • 312.
    accountability for adversedisciplinary actions; and conducts workshops for first-line supervisors and middle-management personnel in the processing of adverse disciplinary actions. • Fosters and maintains positive and cooperative working relationships with the unions. • Coordinates Release Time requests for bargaining unit representation by the Hawaii Government Employees Association, Hawaii State Teachers Association, and the United Public Workers. Evaluations Unit • Develops, implements and maintains the evaluation program and performance appraisal system for teachers (PEP-T), principals and vice- principals (PEP-SL), state and district educational officers (Form 753), and classified employees (PAS). • Develops and maintains the profiles or standards for teachers and administrators. Negotiations Section • Provides research, technical information, staff support, and facilitation assistance to the negotiations teams and spokespersons for teachers and educational officers; may also serve as spokesperson. • Provides research, technical information, and staff support to the negotiations teams for the classified bargaining units (Units 1, 2, 3, 4, 9, 10, and 13). • Assesses the effectiveness of operations and procedures in relation to future negotiations. • Coordinates the preparation of the initial intent and new contract language interpretation for teachers and educational officers. • Provides staff assistance and maintains records and files on collective bargaining and negotiations, as mandated by the legislature or negotiated agreements, such as Labor Management Cooperation Committee, Grievance Protocol Committee, and Labor Relations Committee. • Maintains liaison between the Board of Education and other state agencies in collective bargaining and negotiations matters, e.g., assisting in coordinating the preparation of memoranda of understanding necessary to implement new provisions of negotiated agreements; and assisting other state agencies on collective bargaining matters relating to collective bargaining units and employees. • Advises the BOE members serving on the respective School Community Councils (SSC) Exception Review Committees for Bargaining Unit 5 and Bargaining Unit 6 on issues relating to requests for contract exceptions. • Coordinates, monitors, and maintains the Consult and Confer process and all communication to the Union as part of that process. • Maintains the School Code/Standard Practices on personnel policies, regulations and procedures as provided for by the Board of Education and state statutes which include recommending revisions to conform to the G-14 6/30/10
  • 313.
    provisions of negotiatedcontracts to the Board of Education and providing interpretations of approved School Code/Standard Practices provisions. WC, Health Benefits and Awards Section Workers’ Compensation (WC) Unit • Plans and administers the WC Program for all employees, and students and adult volunteers that are providing services to the department. • Determines eligibility for WC benefits. • Processes WC claims and pays for WC benefits as required by WC law. • Monitors WC activities for effectiveness and efficiency. • Represents the DOE at Department of Labor and Industrial Relations (DLIR) – Disability Compensation Division hearings. • Provides staff support to the staff of the Department of the Attorney General on matters relating to appeals at the DLIR – Labor Appeals Board and third-party liability claims. • Assists with returning claimants back to work as soon as possible and refers claimants to the Return-to-Work Priority Program. • Ensures compliance with applicable WC laws, related administrative rules, and DOE policies and procedures. • Plans and administers certain bloodborne pathogens activities for the DOE as follows: - Provides and coordinates Hepatitis B vaccinations for all qualified DOE employees. - Provides access to bloodborne pathogens training information involving universal precautions. - Processes and pays for medical costs related to post-exposure evaluation and follow-up for DOE employees who are exposed to bloodborne pathogens while performing work-related tasks. Health Benefits and Awards Unit • Assists with the administering of health benefits plans offered by the Hawaii Employer-Union Health Benefits Trust Fund (EUTF). Works with the HSTA VEBA Trust Fund for Bargaining Unit 05/45 employees. • Administers the Tax Shelter Annuity 403(b) Program for eligible employees in the department. • Coordinates Service (10, 20, 30, 40 and 50 years) and the Retirement Awards for eligible employees. • Coordinates certain other awards programs for employees of the Department to include Teacher of the Year, Employee of the Year (Sustained Superior Performance Award), Certificate of Achievement, Team Excellence Award of Merit (TEAM), Teacher in Residence Program, and international exchange programs. G-15 6/30/10
  • 314.
    Liaison between the Department and other State agencies (ERS, EUTF, DHRD, etc.) to provide information and updates to all employees related to the State’s Deferred Compensation Program (DC 001), PTS Deferred Compensation Retirement Plan (DC 015), Island Flex Flexible Spending Accounts Program, Premium Conversion Plan and the ERS program. • Works with the Payroll Section to provide information and updates on the Department’s Post-Separation Vacation Pay Deferral Program. PERSONNEL DEVELOPMENT BRANCH The Personnel Development Branch administers training and certification of educational assistants, special education teachers, and support services personnel to teachers and speech pathologists; employee evaluation program; sabbatical leaves; employee awards; compliance and monitoring of federal and state requirements, such as the Felix consent decree and No Child Left Behind; maintenance and updates of the departmental organizational charts and functional statements; review of proposed reorganizations; legislation coordination, budget/fiscal oversight, and procurement contracts for OHR; maintenance of various databases to support personnel decision making; and establishment/tracking of OHR performance measures. Training & Certification Section Para Educator Career Ladder Training Program – this program provides comprehensive, systematic, competency-based training to educational assistants (EA) and other support service personnel to increase their knowledge and skills to improve their performance in the classroom. The training includes in-service workshops to schools, professional development courses, and career ladder opportunities. This program also assists paraprofessionals to prepare for the state test of competency that satisfies No Child Left Behind (NCLB) highly qualified requirements. • Designs, develops and implements training programs for paraprofessionals. • Develops and writes Instructional Modules for EA orientation, immediate and advanced courses. • Develops, writes and implements in-service and workshop modules for complex waiver days and other school requests which address specific issues faced by paraprofessionals. • Designs and develops formative and summative evaluation plans for paraprofessional training. • Observes and assesses classroom performance. • Coordinates trailing and career ladder opportunities with community school for adults, community colleges and universities. • Trains EAs in literacy tutoring and math tutoring. • Provides information and training to high school students interested in pursuing a career in education. G-16 6/30/10
  • 315.
    Conducts informational meetings to recruit paraprofessionals into the Chaminade Dual Certification in Teaching Program and Leeward Community College’s Associate of Arts in Teaching Programs. • Prepares bi-monthly newsletter for distribution to all paraprofessionals. • Creates, copies and distributes flyers, posters, memos regarding professional development opportunities. • Coordinates information with TIES for Para Educator website. Alternative Route to Licensure in Special Education (ARLISE) – provides non- licensed special education teachers with an opportunity to teach in the classroom while earning special education licensure. • Recruits, registers, and enrolls teacher candidates statewide into the ARLISE Program. • Conducts research on latest research-based instructional practices and incorporates it into program curriculum and instruction. • Develops instructional modules that meet national and state competency and content standards. • Implements instructional modules via seminar and on-line coursework. • Conducts classroom performance measurement via on-the-job assessment of teaching behaviors. • Conducts individual conferences with teachers to provide feedback on classroom teaching performance. • Conducts conferences with principals to coordinate teacher progress through the licensure program. • Tracks progress of teachers in their progress towards graduation and stores data for accountability analyses. • Prepares formative and summative evaluation reports of the ARLISE Program. • Provides counseling and resources to help teachers meet program requirements. • Prepares documentation for state approval of teacher education (SATE) program review. • Meets with partnering universities (City University, Bellevue Washington and Chaminade University in Honolulu) to coordinate program instruction. • Provides personnel managers with graduate data to update the HDOE personnel file. Bachelor of Arts in Special Education (BASE) – serves as the City University (Bellevue Washington) operations center in Hawaii to assist teacher candidates in completing all requirements toward graduation and licensure as special education teachers. G-17 6/30/10
  • 316.
    Recruits, registers and enrolls teacher candidates statewide into the BASE Program. • Hires and pays instructors. • Hires and pays evaluators for student teaching. • Procures and arranges for instructional facilities. • Provides text information and course materials to students. • Tracks progress of students in their progress toward graduation and stores data for accountability analyses including terms and conditions of tuition stipend agreement. • Provides counseling and resources to help students meet program requirements. • Prepares documentation for SATE program review. • Conducts periodic reviews for City University staff from Bellevue, WA. Technology Integration & Evaluation Unit • Provides data collection, analyses, and reporting. • Creates web-accessed databases that store performance measures, grades, and program status data from the center’s alternative licensure programs. • Analyzes training data to determine the degree of success of training programs in meeting program objectives. • Provides program managers with formative evaluation data and results that assist them in improving training programs to meet planned benchmarks. • Provides program managers with summative evaluation data and results that assist them in determining the degree of success of training program and whether or not the programs should be continued or stopped. • Provides personnel managers with program graduates’ retention rates. • Provides Center staff and trainers with office equipment, computers, distance learning equipment, telecommunication capabilities, internet access, and e-mail capability. • Provides systematic training in technology use. Induction, Monitoring & Professional Development Section The Induction/Professional Development Section supports all teachers in building their teaching capacity, relative to the Hawaii State Teaching Standards and No Child Left Behind requirements, in addressing the needs of a diverse student population and building a support network that includes professional dialogue among teachers. The section is involved in the development of a comprehensive Induction Program that will provide beginning teachers with supports based on a performance-based assessment that will ultimately lead to increased student achievement. Licensure and re-licensure requirement supports are addressed G-18 6/30/10
  • 317.
    through ongoing workshops.Professional development activities and opportunities are provided throughout the year to enable all teachers to meet and exceed professional teaching standards. Services and activities: • Provides various training in partnership with New Teacher Center University of California Santa Cruz and University of Hawaii Special Education Department that focus on the development of a comprehensive induction program (i.e. mentor training, administrator training, induction institute, formative assessment system for beginning teachers). • Coordinates and collaborates with various complexes in developing and/or enhancing their induction program. • Provides additional beginning teacher supports with district/complex area support providers and administrators specifically in the area of Special Education. • Collects data on mentoring support e.g. New Teacher Center Online Survey. • Pilots an Induction Program in Maui. • Provides Praxis Prep workshops. Math: Oahu, Big Island, Kauai, and Maui. Reading and writing on Oahu only. • Aligns the Hawaii Teacher Standards, PEP-T to a national continuum of teacher professional development. • Develops and expands online and live courses aligned to continuum. • Conducts live professional development courses on the islands of Hawaii, Maui, and Oahu during the fall, spring, and summer semesters. • Provides and facilitates professional development online courses that are accessible to teachers across the state. • Develops professional development program plans based on Leadership Development & Educational Research Institute (LDERI) guidelines. • Develops professional development courses (modules, activities, handouts, assignments). • Submits professional development courses to LDERI for approval. • Posts professional development activities on the DOE Learning Catalog. • Updates and posts courses on RRSC, personnel support section website. • Creates and disseminates course and workshop flyers. • Secures facilities and equipment for courses. • Coordinates online logistics with Webed (threaded discussions, access codes, log on instructions). G-19 6/30/10
  • 318.
    Develops training packet and trains contracted course instructors. • Provides feedback to course participants on course content application through class visitations and review of their learning portfolio. • Develops and conducts inservice/workshops/training based on area needs and requests. • Collects money to purchase course materials. Management Support Services Section • Reviews, analyzes, and recommends reorganization proposals based on sound organization principles and in compliance with the governor’s administrative directive. • Publishes and maintains the department’s official Plan of Organization; coordinates the annual update. • Monitors the Title II NCLB Grant for teacher and administrator quality; monitors other federal grants as needed. • Serves as liaison between the department and agencies to ensure correct and proper communication in the implementation of compliance activities. • Assists the branch with coordination of legislative bills. • Provides budget and fiscal oversight for OHR. • Establishes and monitors OHR performance measures. • Assists the branch with compliance to procurement requirements. Professional Development & Educational Research Institute This section is responsible for program leadership for and coordination of all activities related to professional development for teachers, administrators, and educational officers. • Researches and shares information regarding best practices related to instruction and school leadership. • Provides coordination necessary to develop and implement an integrated professional development program. • Supports teacher leaders and administrators with overall leadership development, mentoring and support. • Designs and conducts the training sessions for the Teacher Leader Academy, ACE Program, Hawaii Principals Academy, and Superintendent’s Academy. • Conducts and participates in focus groups and forums related to leadership. G-20 6/30/10
  • 319.
    Plans, develops, conducts, and administers the school administration training program for the screening, training, and certification of school administrators. • Develops partnerships with the universities in support of administrator training. • Provides registration for the employee training programs sponsored by the Department of Education. Classified Personnel Regional Officers Personnel Regional Offices provide employment and personnel administration services to schools, complexes and districts, within the framework of established laws, policies and accepted principles of personnel management. The scope of the services provided by the Personnel Regional Offices include: - Recruitment, selection, and employment processing - Leave administration - Personnel resource accounting and position allocation - Employee awards and recognition - Criminal history checks - Employee grievances - Employee benefits - Classification and compensation - Fair labor practices and EEO - Employee evaluation system - Workers compensation program - Substitute employees and casual hires Personnel Regional Offices foster and maintain positive working relationships between the DOE, unions, and other agencies. G-21 6/30/10
  • 320.
    OFFICE OF INFORMATIONTECHNOLOGY SERVICES
  • 321.
    OFFICE OF INFORMATIONTECHNOLOGY STATE OF HAWAII SERVICES DEPARTMENT OF EDUCATION OFFICE OF INFORMATION TECHNOLOGY SERVICES ASSISTANT SUPERINTENDENT ORGANIZATION CHART INFORMATION RESOURCE INFORMATION SYSTEM SERVICES NETWORK SUPPORT SERVICES MANAGEMENT BRANCH BRANCH BRANCH DECISION SUPPORT / DATA NETWORK & COMPUTER STUDENT INFORMATION WAREHOUSE SYSTEM SYSTEM OPERATIONS SERVICES SECTION DEVELOPMENT SECTION SECTION PERSONNEL & PAYROLL LOTUS NOTES SUPPORT WIDE AREA NETWORK SYSTEM DEVELOPMENT SECTION MANAGEMENT SECTION SECTION SCHOOL LOCAL NETWORK INFORMATION MANAGEMENT SCHOOL & STUDENT SYSTEM OPERATIONS SUPPORT ARCHITECTURE SECTION DEVELOPMENT SECTION SECTION DESKTOP & SERVER STUDENT SERVICES SCHOOL TECHNOLOGY & T/N APPLICATION DEVELOPMENT APPLICATION SECTION SUPPORT SECTION SECTION BUDGET SYSTEMS & SPECIAL INFORMATION SYSTEMS VOICE NETWORK APPLICATION DEVELOPMENT TRAINING SECTION MANAGEMENT SECTION SECTION INFORMATION ACCESS FMS MAINFRAME SYSTEM INTERNET SERVICES & SUPPORT SECTION DEVELOPMENT SECTION OPERATIONS SECTION FMS WORKSTATION AND WEB SERVICES SYSTEM DEVELOPMENT SECTION LOTUS NOTES APPLICATION DEVELOPMENT & SYSTEM MANAGEMENT H-1 6/30/10
  • 322.
    STATE OF HAWAII DEPARTMENT OF EDUCATION OFFICE OF INFORMATION OFFICE OF INFORMATION TECHNOLOGY SERVICES TECHNOLOGY SERVICES POSITION ORGANIZATION CHART Private Secretary I Assistant Superintendent 44792 SR-20 66812 General Prof VI (PM & CA Specialist) 800917 SR-26 1/ INFORMATION RESOURCE MANAGEMENT BRANCH Information Resource Secretary IV Management Director 21911 SR-18 60072 EO-10 STUDENT INFORMATION LOTUS NOTES SUPPORT INFORMATION MANAGEMENT STUDENT SERVICES INFORMATION SYSTEMS INFORMATION ACCESS SERVICES SECTION SECTION ARCHITECTURE SECTION APPLICATION SECTION TRAINING SECTION SUPPORT SECTION Information Technology Information Specialist II ITV Specialist II Information Specialist II Educational Specialist III Educational Specialist II Training Specialist II 60067 EO-7 68087 EO-7 68622 EO-7 75388 EO-8 60762 EO-7 66816 EO-7 12-Month State Office DP User Support DP Systems Secretary II 2/ Secretary II 12-Month State Office Secretary II Teacher Technician II Analyst IV 53195 SR-14 19177 SR-14 Teacher 35337 SR-14 3/ 72805, 72831 58269, 58270 801158 SR-22 72802, 75141 1/ 1/ 73038, 76282 1/ 59154, 59155 75147, 75148 1/ 1/ SR-15 Clerical Supervisor II DOE Decision Support 75151 1/ DP User Support Data Processing Technician II 11495 SR-12 Specialist I Systems Analyst V 44936, 44938 69702, 79143 4/ 57920 SR-24 44939, 44940 79144 EO-6 4/ DP Systems 44941, 44942 Clerk IV Analyst IV Data Processing 44943, 44944 25813 SR-10 55541, 801044 1/ Systems Analyst IV 44945, 44946 Research 801054 SR-22 1/ 57921, 800988 44947, 59055 Statistician IV 59150, 59152 SR-22 48871 SR-22 59153 SR-15 DP User Support DP User Support Technician II Technician II DP Systems 55535, 58602 DP User Support 59057, 59151 Analyst IV SR-15 Technician I 59075 SR-15 801399, 801400 4/ 4/ 59919, 59920 SR-22 59922, 59923 Clerk Typist II SR-13 Clerical Supervisor I 58681 SR-8 10405 SR-10 Clerk II 8264, 9498 9628, 9829 13793 SR-6 1/ Temporary position, General funds 2/ Position also serves as secretary to ITV Specialist II, position no. 68087 3/ Position also serves as secretary to Information Technology Training Specialist II, position no. 66816 H-2 6/30/10 4/ Temporary position, Federal funds
  • 323.
    STATE OF HAWAII DEPARTMENT OF EDUCATION OFFICE OF INFORMATION TECHNOLOGY SERVICES POSITION ORGANIZATION CHART INFORMATION SYSTEM SERVICES BRANCH Information System Director Secretary IV 69845 EO-10 14820 SR-18 Data Processing Data Processing Secretary II Specialist III Specialist III 48559 SR-14 69266 EO-8 60014 EO-8 Data Processing Data Processing Specialist II Clerk Typist II Specialist II 60937 EO-7 32163 SR-8 60938 EO-7 DECISION SUPP/DATA PERSONNEL & PAYROLL SCHOOL & STUDENT DESKTOP & SERVER BUDGET SYST & SPECIAL FMS MAINFRAME FMS WORKSTATION & LOTUS NOTES APP DEV WAREHOUSE SYST DEV SEC SYSTEMS DEV SECTION SYSTEM DEV SECTION APPLICATION DEV SEC APPLICATION DEV SEC SYSTEM DEV SECTION WEB SVCS SYST DEV & SYST MANAGEMENT DP Systems Analyst V DP Systems Analyst VI DP Systems Analyst VI DP Systems Analyst V DP Systems Analyst VI DP Systems Analyst VI DP Systems Analyst VI DP Systems Analyst V 14788, 800918 14445 SR-26 15307 SR-26 28749 SR-24 50437 SR-26 41050 SR-26 47861 SR-26 800939 SR-24 SR-24 DP Systems Analyst V DP Systems DP Systems DP Systems DP Systems Analyst V DP Systems Analyst V DP Systems Analyst V DP Systems Analyst V 17862, 28709 Analyst IV Analyst IV Analyst IV 27921, 55534 27734, 801091 27694, 47862 41432, 43013 58548 SR-24 42957, 47667 48872, 49233 47668 SR-22 58590, 58601 801110 SR-24 SR-24 SR-24 SR-22 800783 SR-22 SR-24 DP Systems DP Systems DP Systems DP Systems Computer Analyst IV DP Systems Analyst IV Analyst IV Analyst IV Programmer V 35493, 47666 Analyst IV 15776, 23740 46736, 47669 25013, 50435 47685 SR-24 59944, 59945 29192, 47671 SR-22 58591, 59693 SR-22 SR-22 50436, 800774 59694 SR-22 SR-22 Computer DP Systems Analyst III Programmer IV 59695 SR-20 46737 SR-22 Computer Programmer IV 41051 SR-22 H-3 6/30/10
  • 324.
    STATE OF HAWAII DEPARTMENT OF EDUCATION OFFICE OF INFORMATION TECHNOLOGY SERVICES POSITION ORGANIZATION CHART NETWORK SUPPORT SERVICES BRANCH Telecom Director Secretary IV 66355 EO-10 36699 SR-18 Telecom Network Secretary II Specialist II 48541 SR-14 2/ 66415, 73098 EO-7 1/ NETWORK & COMPUTER WIDE AREA NETWORK SCHOOL LOCAL SCHOOL TECHNOLOGY & VOICE NETWORK INTERNET SERVICES & SYSTEMS OPERATIONS MANAGEMENT SECTION NETWORK OPERATIONS T/N SUPPORT SECTION MANAGEMENT SECTION OPERATIONS SECTION SECTION SUPPORT SECTION Telecom Network Spec II Data Processing Systems Telecom Network 60060, 60135 Telecom Network DP Systems Analyst VI Telecom Specialist II Analyst VI Specialist II 66357, 66818 Specialist I 42301 SR-26 73085 EO-7 27695 SR-26 73097 EO-7 1/ 69217, 73064 60096 E0-6 EO-7 DP Systems Automated Systems Data Processing DP Systems Analyst IV Equipment Tech I Systems Analyst V Analyst IV Automated Systems 47863, 48841 7804, 14886 800755 SR-24 47670 SR-22 Equipment Supervisor SR-22 BC-14 30541 F1-14 Data Processing Data Processing Systems Analyst IV Automated Systems Clerk Typist III Systems Analyst V 48842, 50420 Equipment Tech I 7136 SR-10 800753 SR-24 SR-22 30542, 42580 43070, 50419 BC-14 Computer Operator II 35492 SR-15 DP User Support Technician II 43516, 43517 SR-15 1/ Temporary position, General funds 2/ Secretary II, position no. 48541 receives technical supervision from Telecommunications Network Specialist II, position no. 66415 H-4 6/30/10
  • 325.
    DEPARTMENT OF EDUCATION OFFICE OF INFORMATION TECHNOLOGY SERVICES FUNCTIONAL STATEMENT The Office of Information Technology Services (OITS) exercises technical oversight of information and telecommunication systems, facilities, and services of the public school system and department-wide operations to ensure that information technology and telecommunications support are being provided efficiently and effectively, and in accordance with laws, policies, and accepted principles of management. The scope of OITS’ technical oversight includes voice, data, video, information systems infrastructure, and support services for schools and for complex areas and state administrative offices. Support services to schools are exercised in collaboration with the complex area superintendent. OITS provides the public school system with leadership and support in the management and use of information, telecommunication, instructional technologies and related resources; develops strategic plans, policies, procedures, and standards for information and telecommunication services; plans and maintains the information and telecommunication systems infrastructure, local networking, and statewide connectivity to permit rapid adaptation to new directions and to limit the risk of obsolescence in meeting the needs for voice, video, and data communication; manages information, telecommunication, instructional technologies, and related resources; provides training and technical support in use of voice, video, data, and information systems; and provides direct consultative services to schools through the assignment of staff to school sites. Under the direction of the assistant superintendent, Office of Information Technology Services, these functions are provided by three OITS branches: Information System Services Branch, Information Resource Management Branch, and Network Support Services Branch. INFORMATION RESOURCE MANAGEMENT BRANCH The Information Resource Management Branch develops policies, procedures, and guidelines relating to information resource management, coordinates the development of operational plans for the information systems and services of the public school system, and provides information technology support services for various department-wide computer applications. Student Information Services Section This section is the planning focal point for the department’s policies, procedures, standards, and guidelines with respect to student information systems and services. The section also provides operational support to users of the student information system and services. • Develops and maintains policies, procedures, standards, and guidelines to ensure quality processing, communication, and dissemination of student information and data. • Provides technical consultation in planning and developing new or enhanced student information systems in order to ensure long-term compatibility and usability of information and data. H-5 6/30/10
  • 326.
    Provides data control services for student accounting, federal impact aid survey, grade reporting, scheduling, attendance, and other student information-related functions. • Conducts the federal impact aid survey. • Provides logistical services for statewide testing programs. • Provides the interface between users and technical staff in the operations of the student information system. • Provides and maintains a help desk for users. Information Access Support Section This section administers the department’s record management program. • Plans, coordinates, and develops procedures and guidelines for access to personally identifiable records within the department. • Serves as the department’s liaison with the Office of Information Practices. • Plans and coordinates the microfilming of student records, including providing consultative services to school staff on preparing the records for microfilming. • In consultation with the DAGS records management program staff, develops and maintains the retention schedule for department unique records. • Manages and administers the administrative rule regarding the educational rights and privacy of students and parents. • Manages and administers the administrative rule regarding geographic exceptions. Lotus Notes Support Section This section has functional and user support responsibilities for developing and maintaining the Lotus Notes groupware that is the backbone of the department’s electronic communication and dissemination system. • Analyzes the business processes considered for incorporation as a function of the groupware. • Plans and designs system-wide functional enhancements to the department’s Lotus Notes groupware based on business process analysis. • Provides design and overall direction to the technical staff on the programming of enhancements or new uses for the groupware. • Plans and coordinates the implementation of enhancements or new uses department-wide. • Provides consultative design services to schools and offices to meet their customized functional needs. • Provides training of users on various Lotus Notes applications. H-6 6/30/10
  • 327.
    Provides help desk support to users. • Creates and maintains user accounts and access levels. Information Management Architecture Section This section coordinates the department’s cross-functional information management (IM) activities. It ensures that IM activities provide the department personnel with access to data in a useful format when and where needed, data that is accurate and consistent, and is shared across the organization. • Develops and maintains the department’s information management strategy. This includes: − Developing and adapting the department’s information management architecture according to evolving departmental information needs; − Ensuring that the department’s technical and application systems are aligned with the IM architecture and direction. • Provides information support to state and district offices on data modeling and statistical analysis based on programmatic issues. This includes: − Evaluating information requirements and ensuring IM/IT efforts are aligned with the intent of the needs; and − Coordinating IM activities between OITS and other DOE offices or external agencies. • Administers and conducts statistical research and analysis. This includes: − Disseminating yearly and ad-hoc reports such as student enrollment projections; enrollment counts; student attendance; student transfer, withdrawal and retention; demographic, population, and socioeconomic characteristics of school attendance areas; and other applications and analyses of school and student data as required; − Coordinating and managing the collection and retrieval of student information and other types of data to respond to requests from federal and state agencies and the public; − Serving as the liaison to the National Center for Education Statistics (NCES) on state-national data issues; and − Providing functional planning, modeling, and content support for the department’s decision support system. Student Services Application Section This section provides support for the development, maintenance, and user training for the department-wide computerized application (eCSSS) that tracks and manages services to students. • Assists in the analysis of the business process involved in the student services that is considered for computerization. • Assists in the development of user requirements. • Provides and maintains a help desk for users. H-7 6/30/10
  • 328.
    Provides the interface between users and technical staff in the operations of student services applications. This includes conducting initial troubleshooting of user problems, and where needed, working with technical staff to resolve problems. • Assists in the planning and coordination of the implementation of new student services applications or enhancements of existing ones. • Provides training and other support to users in using various student services applications. • Evaluates the operations of various student services computer systems. Information Systems Training Section This section plans, coordinates, administers, and implements a department-wide education and training program on information processing and telecommunication systems and services to continually develop the knowledge and skills of administrators, professional and technical staff, and clerical personnel to efficiently and effectively use department-wide application systems, end-user hardware and software, and telecommunication networks. The section researches and obtains access to databases developed and maintained by federal and other state agencies, universities, research institutes, and commercial sources which meet the information and data needs of schools and offices. It provides training to end users in methods and procedures of accessing on-line information resources. The section is also responsible for the development and implementation of the DOE’S Centralized Service Desk (CSD). • Develops and provides a regular program of workshops and seminars for end users in the methods and processes of accessing on-line information resources, and responds to requests for specific user groups for such training. • In coordination with the Information System Services Branch and other state program offices that have primary responsibility for various application systems, assesses training needs, and develops, conducts, and evaluates training courses to ensure reliable implementation and operation of department-wide application systems. • In consultation with schools and offices, assesses education and training needs, and develops and coordinates an end-user training program to develop knowledge and skills in the use and application of microcomputers, office automation products, electronic mail and other communication hardware and systems in their administrative and educational operations. • Plans, develops, and administers other education and training activities to upgrade the level of knowledge of department administrators, and to expand the technical competencies of information processing and communications professionals in OITS. • Coordinates educational activities and training programs with other training resources of the department, other agencies, vendors, and consultants. • In consultation with various offices and vendors, plans and manages the development and implementation of the DOE’s CSD. H-8 6/30/10
  • 329.
    INFORMATION SYSTEM SERVICESBRANCH The Information System Services Branch develops, integrates, and maintains DOE statewide computer-based application systems on the department’s multi-user host computers and servers, as well as the Department of Accounting and General Services’ (DAGS) mainframe computers. In addition, the branch develops and maintains specialized application systems such as the automated substitute teacher assignment system, Workers’ Compensation system, TSA vendor database, Driver’s Education database, etc. When resources allow, ISSB also develops web-sites for offices that request this service. This branch is headed by a director and technically supported by two project management specialists, two technology integration specialists, and a clerical staff consisting of a secretary and a clerk for the Honolulu location, and a secretary and clerk at the Kapolei location. School and Student System Development Section This section provides systems development, enhancement, and maintenance support for the department’s school and student information processing systems. • Provides system and database management, system analysis, analysis of hardware and software alternatives, and programming support for the development and installation of new application systems for information processing. • Participates with the Network Support Services Branch in planning the installation of necessary data communications networks prior to implementing new application systems. • Provides enhancement and maintenance support for existing local and statewide application systems to meet user requirements and implement new or revised system software and hardware. • Develops documentation required to operate, maintain, and utilize computer-based application systems, and provides technical assistance in user training on new application systems. • Plans and designs the databases for statewide school application systems. • Manages physical database structures and program libraries, and performs daily monitoring of all databases to detect and correct conditions that may lead to database degradation. • Provides technical support in resolving computer hardware and software, as well as data communication problems. • Assists in the technical evaluation and acquisition of new hardware and software tools to facilitate the development and enhancement of application systems. • Provides assistance in the preparation of technical specifications for bids and contracts relating to computer hardware, software, and related services, and participates in the selection process. H-9 6/30/10
  • 330.
    Personnel and PayrollSystem Development Section This section provides systems development, enhancement, and maintenance support for the department’s personnel and payroll information processing systems. • Provides system and database management, system analysis, analysis of hardware and software alternatives, and programming support for the development and installation of new application systems for information processing. • Participates with the Network Support Services Branch in planning the installation of necessary data communications networks prior to implementing new application systems. • Participates with contractors, users, and other state departments as well as other organizations in defining requirements and providing modifications and enhancements to existing local and statewide application systems. • Develops user manuals required to utilize computer-based application systems and system and programming documentation to operate, enhance and maintain these systems. Also provides technical assistance during user training on new application systems. • Plans and designs the databases for application systems. • Manages personnel database structures and program libraries, and performs database administration (DBA) functions that include daily monitoring of all database relations to detect and correct conditions that may lead to database corruption. • Provides technical support in resolving computer hardware, software, and data communication problems. • Assists in the technical evaluation and testing of new hardware and software tools to facilitate the development and enhancement of personnel and payroll application systems. • Provides assistance in the preparation of technical specifications for bids and contracts related to computer hardware, software, and related services. Desktop and Server Application Development Section This section provides systems development, enhancement, and maintenance support of systems that supplement the department’s statewide information processing systems. This section also provides operating system support and server administration for other branch projects. • Provides system and application support for Workers’ Compensation system, including software/hardware/network infrastructure, server administration, database administration, security policies, system enhancement, user technical support, and integration with other DOE systems such as FMS. • Provides system and database management, system analysis, analysis of hardware and software alternatives, and programming support for the H-10 6/30/10
  • 331.
    development and installationof the Hawaii State Test for Essential Competencies (HSTEC). • Designs, implements, and provides system administration for internal networked servers which support infrastructure for this branch’s daily operations as well as other local and statewide applications. • Assists with the Network Support Services Branch in performing installation of necessary data communication networks in offices located in the Liliuokalani Building. • Provides enhancement and maintenance support for existing local and statewide application systems such as HSTEC, the Workers’ Compensation record keeping system, Driver’s Education system, T-SEAS, student suspensions, etc. • Develops documentation required to use, operate, maintain, and enhance various computer-based application systems and provides technical assistance in user training on new application systems. • Plans and designs the databases for application systems. • Maintains the integrity of the physical database structures and program libraries by performing regular monitoring and evaluation operations. • Provides technical support in resolving computer hardware and software problems, as well as data communication problems. • Provides assistance to state and district offices in setting up, configuring, and trouble-shooting of hardware and software. • Assists in the technical evaluation and acquisition of new hardware and software tools that would facilitate development and enhancement of systems. Budget Systems and Special Application Development Section This section provides systems development, enhancement, and maintenance support for the department’s Budget Preparation and Budget Execution systems, as well as special applications such as the casual employee Time and Attendance system. • Provides system and database management, system analysis, analysis of hardware and software alternatives, and programming support for the development and enhancement of new budget, casual employee time and attendance, and other application systems. • Participates with the Network Support Services Branch in planning the installation of necessary data communications networks prior to implementing new application systems. • Provides enhancement and maintenance support for statewide budget application systems to meet the budget director’s and budget analysts’ requirements, and also requirements from the legislature and the Budget and Accounting Office’s requirements. • Develops documentation required to use, operate, and maintain the Budget Preparation and Budget Execution computer-based application H-11 6/30/10
  • 332.
    systems and providestechnical assistance in user training on new budget application systems. • Develops casual employee Time and Attendance system user manuals for distribution to all schools and offices. Provides technical assistance and user training to the user support technicians on new casual employee and other application systems. • Develops documentation required to use, operate, and maintain casual employee Time and Attendance computer-based application systems. Develops programming documentation to operate, enhance, and maintain these systems. • Plans and designs the databases for budget, casual employee Time and Attendance, and other application systems. • Manages physical database structures and program libraries, and performs regular checks of all databases to detect and correct conditions that may undermine the integrity of these databases. • Provides technical support in resolving budget, casual employee Time and Attendance, and other application related computer hardware and software, as well as data communication problems. • Assists in the technical evaluation and acquisition of new hardware and software tools to facilitate the development and enhancement of application systems. FMS Workstation and Web Services System Development Section This section provides systems development, enhancement, and maintenance support for the client-level software which runs on the FMS workstation at each school and office, and provides the user interface to the department’s financial management systems. • Performs system analysis, analysis of hardware and software alternatives, programming support for the maintenance and enhancement to the financial management system, and other administrative data systems. • Participates with the Network Support Services Branch in planning the installation of necessary data communications infrastructure in support of improved versions of financial management and other systems. • Defines requirements for computer-based applications to meet new or changing departmental business processes. • Develops user documentation required to utilize, operate, enhance, and maintain these computer-based application systems. Also provides technical assistance in user training on new application systems. • Plans and designs the databases for application systems. • Provides technical support in resolving computer hardware, software, and data communication problems. • Performs technical evaluation and testing of new hardware and software tools to facilitate the enhancement of the department-wide financial management systems and other administrative data systems. H-12 6/30/10
  • 333.
    Applies web-services technologies to create web-based computer applications and associated data bases for financial and other administrative needs. FMS Mainframe System Development Section This section provides systems development, enhancement, and maintenance support for the department’s primary financial systems which includes purchase order processing, payment processing, fixed assets, general ledger, cash receipts, and other accounting functions residing on a mainframe computer. In addition, the section provides enhancement and support of the local school fund accounting system which is used by all schools to keep records of non- appropriated funds. • Provides system and database management, system analysis, analysis of hardware and software alternatives, and programming support for the maintenance and enhancement to the financial management system. • Participates with the Network Support Services Branch in planning the installation of necessary data communications infrastructure in support of the financial management systems. • Participates with contractors and users in defining requirements and providing enhancements to existing local and statewide application systems to meet user requirements and implement revised system software and hardware. • Develops user manuals required to utilize, operate, enhance, and maintain these computer-based application systems. Also provides technical assistance in user training on new application systems. • Plans and designs the databases for application systems. • Manages the financial system DB2 database structure and program libraries, and performs database administration (DBA) functions that include daily monitoring of all database relations to detect and correct conditions that may otherwise lead to database corruption. • Provides technical support in resolving computer hardware, software, and data communication problems. • Performs technical evaluation and testing of new hardware and software tools to facilitate the enhancement of the department-wide financial management systems. Decision Support and Data Warehouse System Development Section This section provides requirements definition, system design, development, maintenance, operation, and support of decision support applications and associated integrated data bases. These applications transform and integrate data from the department’s operational data systems into an integrated data structure optimized for on-line analysis. They also provide associated user tools to summarize or drill-down, aggregate or disaggregate, and produce results in either tabular or graphic forms, referred to as “business intelligence.” • Defines departmental requirements for decision support, business intelligence applications. H-13 6/30/10
  • 334.
    Applies Data Warehouse and other technologies to meet departmental needs. • Designs and implements data bases to integrate data from the department’s operational systems. • Designs and implements supplementary data structures (multi- dimensional cubes) to provide responsive on-line analysis. • Develops extract, transformation and load processes to extract data from the various operational systems, transform and eliminate irregularities as necessary, and load the data into an integrated data base. • Defines and implements user interface and data display applications to provide users the tools to interact with the data. Lotus Notes Application Development and System Management Section This section provides application development for schools and offices using the Lotus Notes platform, system management and administration of the distributed, multi-server Notes infrastructure, and system administration of Lotus Notes electronic mail system used for official administrative communications department-wide. • Manages the DOE-wide Notes distributed server infrastructure. • Performs system administration of all Notes servers. Defines and implements the Notes data architecture including both logical and physical file structures. • Defines, configures, and implements server data replication and data backup policies. • Designs, develops, and supports collaborative computer applications for schools and offices utilizing the Lotus Notes application development environment and associated programming languages. • Designs, develops, and supports administrative computer applications that require workflow processes for schools and offices, utilizing the Lotus Notes application development environment and associated programming languages. • Manages the Lotus Notes electronic mail statewide system, including user-level and organizational-level security certificates, mail accounts, and web access. NETWORK SUPPORT SERVICES BRANCH The Network Support Services Branch plans, develops the department’s statewide telecommunications network architecture, infrastructure, and operational plans including strategic, long-range planning, policies and standards. The branch plans, designs, installs, and operates the department’s telecommunication network for data, video, and voice. The branch plans, installs, and maintains the school local telecommunication networks and supports operating of the networked resources at schools and offices. The branch provides direction and guidance in development of technology plans for the schools, participates in developing standards and evaluation for the department’s technology adoption and implementation for instructional and administrative H-14 6/30/10
  • 335.
    functions. The branchplans, installs, and operates the department’s enterprise- wide systems for statewide access and utilization of instructional and administrative uses by all schools and offices. Network and Computer System Operations Section This section manages the operation of the department’s telecommunication systems and the host and distributed computer systems. • Manages operations of enterprise computer host and distributed servers for administrative and instructional uses, including servers for network access and protection, and the storage area network systems. • Develops and implements procedures and safeguards against unauthorized access to departmental systems and networks, and manages and grants user authorization to access application systems and data. • Plans and implements disaster recovery plans in cooperation with the other state agencies and department’s offices. • Plans, installs, and manages the network and computer access and security servers such as firewall server, intrusion detection server, Internet filtering server, anti-virus server, Internet cache server, load balancing server, etc. Monitors the network access for security, and coordinates security management with other sections in the branch and other offices in the division. • Analyzes usage and performance data to monitor and optimize the capacity and effectiveness of the department’s host and distributed computer systems and plans for their expansion. • Works with services/system providers and end users in the resolution of problems involving the department’s network and computer systems. • Plans, coordinates, and schedules with the Information and Communication Systems Division (ICSD) of the state Department of Accounting and General Services for the access and use of their computer resources and services. • Installs and maintains operating system, database management, networking, and system utility software for the department’s host and distributed computer systems. • Prepares bid specifications for planned resources and acquires and installs major computer hardware and software. • Monitors the operation of the department’s wide area data network (WAN) and the local area data networks participating in the department’s WAN. Coordinates activities to correct any WAN malfunctions with the Wide Area Network Management Section. • Provides the first one of user support in access and use of the telecommunication network, networked computer resources and applications. • Manages system resources, including the allocation of data storage resources, storage area network resources for the department’s host and distributed computer systems. H-15 6/30/10
  • 336.
    Plans and manages the computer data backup library and the safekeeping of data files through appropriate backup systems and off-site storage. Wide Area Network Management Section This section provides engineering, planning, installing and operating of the WAN that connects the school networks to the global network through WAN technologies. • Determines requirements for WAN to support information technology infrastructure including data, image, and video communication systems in coordination with other state agencies, other offices in the department, and the schools. • Manages installation and upgrade of the department’s WAN for data, and video for remote school/office sites and central communications center sites in accordance with school technology requirements, industry standards, and department’s plans/requirements. • Manages daily operations of the WAN for data and video, manages telecommunication network services provided by telecommunications service providers and WAN hardware/software vendors. • Plans and manages performance of Internet backbone access network through the commercial network service provider and manages network access to Internet II through the University of Hawaii. • Schedules and monitors the operations of statewide data, image, and video communication systems to optimize the use of available telecommunication resources. Monitors network performance of the WAN through the network management systems and takes appropriate action to provide network capacity required by various applications for the schools and offices. • Plans, installs, and supports internetworking connections between the school local area network (LAN) and the WAN for schools’ access to the Internet and the Intranet, sets up and supports Internet services such as NAT, DHCP, DNS, Network Security System, Network Management System, etc. • Plans and coordinates with other state agencies to implement and expand/upgrade the statewide backbone network, such as the state’s institutional network (I-Net) to support data, video, and voice communication requirements for the department. Manages and operates the department’s part of the I-Net to provide high capacity network connections. • Evaluates WAN telecommunications hardware, software, and services. Develops specifications for competitive bidding and participates in evaluation of bids and selection of appropriate vendors and network transport service providers. • Researches, analyzes, and assesses the applicability of the advances in WAN telecommunication technologies and services to stay abreast of major trends and potential applications for improving the department’s WAN. • Manages Internet resources such as IP addresses, autonomous system number for the department. Allocates IP addresses to schools and H-16 6/30/10
  • 337.
    offices. Designs, plans,and operates IP (public and private) assignment scheme to the schools and offices. • Reviews and approves all requests for data, image, and video telecommunication network and services. School Local Network Operations Support Section This section provides support in the area of installation, administration, and management of the Network Operating Systems (NOS) for schools and offices; and provides support in management and use of the networked resources effectively and efficiently. • Provides technical consultation and support in planning, designing, implementing, and operating the NOS and networked applications of the schools operating in the school LAN, across the department’s WAN and Internet. • Develops and proposes budget requirements for future network projects according to school-identified priorities and technology plans. Assists schools in the selection and purchase of equipment and software necessary to implement and maintain their technology projects. • Determines the NOS requirements for the school, provides support in selection and procurement of the NOS that meets the requirements of planned or existing applications. Configures and installs NOS with the school technology personnel. • Provides training for the school technology personnel in administration and operation of the NOS installed, trains the users in the efficient use and management of network applications. • Provides phone support and on-site technical problem resolution on school LANs as necessary. Provides remote management and diagnosis of the school NOS and LAN operations as necessary. School Technology and Telecommunication Network Support Section This section provides schools with support in planning, installing, operating, and managing technology for instructional and administrative functions. This section plans, designs, installs, maintains, and repairs the physical telecommunication network for voice, video, and data in schools and district/state offices. • Supports schools in planning, designing, upgrading, and installing voice, video, and data networks in accordance with the school technology plans and/or to address specific requirements (e.g., safety/security, special student needs, etc.). • Plans, schedules, designs, and installs the school physical network infrastructure in accordance with school technology plans, industry/building standards, and department standards and requirements. • Maintains and repairs school physical telecommunication network for voice, video, and data. • Supports schools in participating in programs and applying for funds for school telecommunication network installation, operation, network enhancements, and upgrades. Processes program applications on behalf of schools (e.g., E-Rate Program). H-17 6/30/10
  • 338.
    Supports the schools in collecting and managing data needed for Standards Based Education. • Participates in project planning (initial planning, review/revision), progress monitoring, and final inspections of telecommunication-related Capital Improvement Projects (CIP) for the schools. • Assists schools in developing their school technology plans aligned with their Standards Implementation Design (SID). • Supports the schools in effective use and application of standard statewide computer applications. • Researches, reviews, analyzes, and assesses emerging telecommunications technologies and services for possible applications and practices to improve instructional and administrative functions and improve student performances. Informs and advises schools of possible use of these technologies to achieve their instructional and administrative objectives. • Evaluates telecommunications hardware, software, and services for possible school applications. • Participates in establishing, reviewing, and updating the department’s networking policies, standards, and procedures for the installation and operation of telecommunication networks for voice, video, and data. These reviews are based on the current and emerging technologies and their potential benefit of the educational objectives and administrative needs of the schools. • Evaluates effectiveness of the technology and telecommunication network implementation and use in the functional areas, and makes recommendations for improvements. Voice Network Management Section This section manages planning, installation, and operation of the voice network for the department’s schools and offices. • Provides support in planning and installing voice network infrastructure according to the school technology plan and planned administrative and instructional uses. • Works with telecommunication service providers to secure quality and timely service at schools and offices, handles billing issues, and communicates to schools awareness of new services available to the department. Advises schools to ensure effective use of funds, credits, and reimbursements. • Supports the schools in planning, procuring, configuring, installing, and upgrading of the voice processing systems, such as KSU, PBX, and Voice over IP systems. • Coordinates all voice-related services and equipment installation for schools through the Telecom Request process. • Manages repair and maintenance requests by coordinating services provided by the section and telecommunication equipment repair service providers. H-18 6/30/10
  • 339.
    Coordinates with other state agencies in the use of the statewide voice network system and service projects and contracts. • Installs, analyzes, and tests school and office voice network, voice system and components, determining the cause of any problem, and replaces or repairs the source of the trouble. Provides periodic preventive maintenance of voice network and equipment as needed. Internet Services and Operations Section This section provides Internet and Intranet services to all department users and manages planning, installing, and operating of the various Internet server hardware and software used to provide the required services. • Manages the department’s Internet/Intranet computer resources; performs system management functions of the computer servers; manages user accounts; installs, configures, and maintains services such as E-mail, Web services, Usenet news, mailing lists, domain name services, Internet chat and others. • Provides the security of the Internet servers; works with the Network and Computer Operations Section on planning and operations of the firewalls, intrusion detection system, web content filtering servers, anti-virus system, etc. Investigates computer security break-ins and cyber misconducts committed by the department users. • Coordinates efforts to ensure the department’s web sites comply with the Americans with Disabilities Act directives and Children Internet Protection Act. • Provides second level technical support to users in the schools and offices in troubleshooting problems and providing assistance with the Internet services offered. Provides support to the school technology personnel in the schools, who provide the first level of technical support. • Performs system administration and maintenance functions for the Internet and Intranet servers. Applies all software upgrades and patches, manages new installation and upgrade of hardware and software. • Evaluates, monitors, and analyzes performance of the Internet and Intranet servers and network connections/utilization for effective capacity planning and performance optimization. • Participates in planning, designing, and implementing of the department’s Internet and Intranet application plans. • Develops training materials, conducts in-service workshops and presentations related to using the Internet as a teaching tool to improve teacher productivity and student achievement. • Sets up Internet and Intranet client applications and services for the schools and offices. Advises users with problems determination and resolution for Internet and Intranet application systems. • Provides support in setup and creation of web sites for the schools and offices needed to deploy Standards Based Education information. H-19 6/30/10
  • 340.
    COMPLEX AREAS • Organization Chart • Position Organization Chart • Functional Statement
  • 341.
    STATE OF HAWAII DEPARTMENT OF EDUCATION HONOLULU DISTRICT OFFICE ORGANIZATION CHART HONOLULU DISTRICT OFFICE FARRINGTON / KAISER / KALANI COMPLEX AREA KAIMUKI / MCKINLEY / ROOSEVELT SUPERINTENDENT COMPLEX AREA SUPERINTENDENT FARRINGTON COMPLEX KAISER COMPLEX KALANI COMPLEX KAIMUKI COMPLEX MCKINLEY COMPLEX ROOSEVELT COMPLEX SCHOOLS SCHOOLS SCHOOLS SCHOOLS SCHOOLS SCHOOLS FARRINGTON KAISER KALANI KAIMUKI MCKINLEY ROOSEVELT LEARNING SUPPORT LEARNING SUPPORT LEARNING SUPPORT LEARNING SUPPORT LEARNING SUPPORT LEARNING SUPPORT CENTER CENTER CENTER CENTER CENTER CENTER SCHOOL BASED HAWAII SCHOOL FOR THE SPECIAL SERVICES SPECIAL EDUCATION AUTISM BEHAVIORAL HEALTH DEAF AND THE BLIND I-1 6/30/10
  • 342.
    STATE OF HAWAII DEPARTMENT OF EDUCATION HONOLULU DISTRICT OFFICE POSITION ORGANIZATION CHART FARRINGTON / KAISER / KAIMUKI / MCKINLEY / KALANI COMPLEX AREA ROOSEVELT COMPLEX AREA Business Management Complex Area Business Management Complex Area Private Secretary I Private Secretary I Officer I Superintendent Officer I Superintendent 16257 SR-20 11481 SR-20 800842 EM-05 60088 800844 EM-05 60085 Clerk Typist II School Custodian II 800658 SR-8 1/ 16819 BC-02 FARRINGTON COMPLEX KAISER COMPLEX KALANI COMPLEX KAIMUKI COMPLEX MCKINLEY COMPLEX ROOSEVELT COMPLEX SCHOOLS SCHOOLS SCHOOLS SCHOOLS SCHOOLS SCHOOLS Principals Principals Principals Principals Principals Principals Administrative Administrative Administrative Administrative Administrative Administrative Services Assistant Services Assistant Services Assistant Services Assistant Services Assistant Services Assistant 57933, 57934 57940 SR-22 57939 SR-22 57938 SR-22 57937 SR-22 57935, 57936 SR-22 SR-22 FARRINGTON LEARNING KAISER LEARNING KALANI LEARNING KAIMUKI LEARNING MCKINLEY LEARNING ROOSEVELT LEARNING SUPPORT CENTER SUPPORT CENTER SUPPORT CENTER SUPPORT CENTER SUPPORT CENTER SUPPORT CENTER Complex School Renewal Complex School Renewal Complex School Renewal Complex School Renewal Complex School Renewal Complex School Renewal Specialist II Specialist II Specialist II Specialist II Specialist II Specialist II 60220Z EO-7 74718 EO-7 69227 EO-7 69137 EO-7 68045Z EO-7 60223 EO-7 Complex Area Tchr Educational Asst III Complex Area Tchr District Office Teacher Complex Area Tchr Complex Area Tchr Complex Area Tchr 60132, 69998 2/ 1/ 1/ 28510, 53300 76351, 72966F 1/ 75030 75080, 76354 69994, 72467 60141, 60370 72451, 74964Z 1/ 2/ SR-12 60682Z 72964F 74963Z 76350, 79407 Complex Area Tchr District Office Teacher Account Clerk III 61675, 72452 Clerk Steno II Title I Linker Teacher District PCNC Asst 67045, 79404 2/ 23101 SR-11 2/ 74962 15438 SR-9 79273 2/ 44766 SR-15 79417, 79576 2/ 2/ 79661, 79996 2/ 2/ Clerk Steno III Title I Linker Teacher DP User Support Clerk Typist II 12244 SR-11 79272 2/ Technician II 24499 SR-8 Title I Linker Teacher 59084 SR-15 1/ 79848 2/ Bilingual/Bicultural S/H Clerk Typist II Clerk Steno II Assistant 48491 SR-8 1/ 15436 SR-9 29998, 29999 1/ 1/ 32181, 32182 1/ 1/ 32184, 32223 1/ 1/ 32278 1/ 58664 (.50 FTE) 1/ 58666 SR-11 1/ 1/ Temporary position, General funds 2/ Temporary position, Federal funds I-2 6/30/10
  • 343.
    STATE OF HAWAII DEPARTMENT OF EDUCATION HONOLULU DISTRICT OFFICE POSITION ORGANIZATION CHART FARRINGTON / KAISER / KAIMUKI / MCKINLEY / KALANI COMPLEX AREA ROOSEVELT COMPLEX AREA Complex Area Superintendent Complex Area Superintendent SPECIAL SERVICES District Educational District Educational Specialist II Secretary II Specialist II District Educational Specialist II 76349, 79895 1/ 2/ 15362 SR-14 79324 EO-7 2/ 67769 EO-7 EO-7 FARRINGTON COMPLEX KAISER COMPLEX KALANI COMPLEX KAIMUKI COMPLEX MCKINLEY COMPLEX ROOSEVELT COMPLEX Complex Area Tchr Social Worker IV Social Worker IV Social Worker IV District Office Teacher Social Worker IV Social Worker IV 72883Z 43962 SR-22 4901, 50472 6284 SR-22 60063 25967, 34681 50470 SR-22 SR-22 District Office Teacher Speech Pathologist IV Speech Pathologist IV Social Worker IV Speech Pathologist IV 79260, 79613 2/ 2/ 29814, 30012 Speech Pathologist IV Speech Pathologist IV 30421, 30426 12165, 50471 30420, 30425 79771, 79824 2/ 2/ 30424, 32049 30423, 33176 30427, 30428 33172, 47110 SR-22 30429, 33177 33174, 33424 42465, 56289 48542, 50761 56284, 56285 56282, 56287 Speech Pathologist IV 58826 SR-22 SR-22 56286 SR-22 SR-22 55608, 56288 33178, 800383 SR-22 Speech Pathologist IV SR-22 30422, 33173 Human Services Communication Aide Human Services 33175, 43934 District PCNC Asst DP User Support 56281, 56283 Professional IV 30490 Communication Aide Professional IV 44766 SR-15 Technician II SR-22 32320 SR-22 30931 (.50 FTE) 30935 SR-12 9617 SR-22 58903, 59623 2/ 2/ SR-12 SR-15 Communication Aide Communication Aide Clerk II Communication Aide Communication Aide 30494 (.50 FTE) Clerk Steno II 30484 Clerk II 59683 SR-6 2/ 30491 (.50 FTE) 30489, 30928 30936 (.50 FTE) 30929 (.50 FTE) 59684 (.50 FTE) 2/ 30495 (.50 FTE) SR-12 30937 (.50 FTE) 21672 SR-9 30933 (.50 FTE) SR-6 30496 (.50 FTE) SR-12 30934 (.50 FTE) 30932 (.50 FTE) Clerk Typist II SR-12 SR-22 31501, 31524 34874, 44053 2/ SR-8 Clerk II 59681 SR-6 2/ Clerk II 59682 (.50 FTE) 2/ SR-6 1/ Temporary position, General funds 2/ Temporary position, Federal funds I-3 6/30/10
  • 344.
    STATE OF HAWAII DEPARTMENT OF EDUCATION HONOLULU DISTRICT OFFICE POSITION ORGANIZATION CHART FARRINGTON / KAISER / KALANI COMPLEX AREA Complex Area Superintendent SCHOOL BASED BEHAVIORAL HEALTH District Educational Specialist II 75412 EO-7 FARRINGTON COMPLEX KAISER COMPLEX KALANI COMPLEX KAIMUKI COMPLEX MCKINLEY COMPLEX ROOSEVELT COMPLEX 12-Month District Clinical Psych VIII Clinical Psych VI Clinical Psych VI Clinical Psych VI Clinical Psych VI Clinical Psych VI Office Teacher 58335 (.50 FTE) 1/ 58209 (.50 FTE) 58288 SR-26 58289 SR-26 58207 SR-26 58208 SR-26 79612 2/ SR-30 SR-26 School Psychologist School Psychologist School Psychologist School Psychologist Clinical Psych VIII Clinical Psych VI School Psychologist 800465 SR-24 800466 SR-24 32307, 800463 2/ 56129, 800462 2/ 58201 59947 (.50 FTE) 800384, 800464 SR-24 SR-24 58202 (.50 FTE) SR-26 SR-24 SR-30 Psych Examiner IV Psych Examiner IV Psychological 36968 SR-22 32246 SR-22 Behavioral Health Examiner IV School Psychologist Behavioral Health 35556 SR-22 Specialist IV 1/ Clinical Psych VI 33165, 800461 Specialist IV 58309, 58316 58290 (.50 FTE) SR-24 58315, 58319 Behavioral Health 58318, 58328 Behavioral Health 59089 (.50 FTE) 58322, 58330 Specialist IV 58340, 59827 Specialist IV Behavioral Health SR-26 58332 (.50 FTE) 1/ 58311, 58314 59829, 800859 1/ 58307, 58321 Specialist IV 58333 SR-22 58331, 58336 800863 SR-22 1/ Psych Examiner IV 58324, 58329 58317, 58323 58342 58825 59826 SR-22 58326, 58334 800858 (.50 FTE) 1/ School Psychologist SR-22 58341, 58343 800862 1/ (District Based) 59828 SR-22 Behavioral Spec IV 29132 SR-26 Behavioral Spec IV 58313, 58338 Behavioral Health 58337 SR-22 Behavioral Spec IV SR-22 Specialist IV 58308 SR-22 School Psychologist 58314, 58331 (Complex Area Based) 58336, 58342 29155, 32285 800857 (.50 FTE) 1/ SR-24 800860, 800861 1/ 1/ SR-22 Clerk Typist II 58039, 58047 1/ Behavioral Spec IV 58094 SR-8 58320 SR-22 1/ Temporary position, General funds 2/ Temporary position, Federal funds I-4 6/30/10
  • 345.
    STATE OF HAWAII DEPARTMENT OF EDUCATION HONOLULU DISTRICT OFFICE POSITION ORGANIZATION CHART KAIMUKI / MCKINLEY / ROOSEVELT COMPLEX AREA Complex Area Superintendent SPECIAL EDUCATION AUTISM Secretary II District Educational Specialist II District Educational Specialist II 3909 SR-14 60011 EO-7 76101 EO-7 1/ 12-Month District Office Teacher FARRINGTON COMPLEX KAISER COMPLEX KAIMUKI COMPLEX KALANI COMPLEX ROOSEVELT COMPLEX 75409, 75410 1/ 1/ 76108 1/ 12-Month District Physical Therapist IV District Office Teacher Physical Therapist IV 12-Month District 12-Month District Social Worker IV Office Teacher 28886 SR-22 79540 2/ 30554 SR-22 Office Teacher Office Teacher 57987, 57989 79689, 79835 2/ 2/ 79863 2/ 79858 2/ SR-12 79860, 79598 2/ 2/ Occupational Occupational Physical Therapist IV Therapist IV District Office Teacher Therapist IV 801136 SR-22 Physical Therapist IV Occupational 17745, 25969 79261 2/ 30572 SR-22 30558 (.50 FTE) Therapist IV 28717 SR-22 SR-22 32379 SR-22 Occupational Human Services Therapist IV School Based Professional IV 56308 SR-22 Occupational Therapy Occupational School Based 57988 SR-22 Assistant Therapist IV Occupational Therapy 30708 HE10 30570 SR-22 Assistant School Based Physical 30709 HE10 Therapist Assistant 39991 HE10 School Based Physical School Based Therapist Aide Occupational Therapy 22839 HE08 Assistant Educational Asst II 30715 HE10 800604 1/ 53040 (.50 FTE) 2/ Account Clerk II 34382 SR-8 2/ Clerk Typist II 48491, 55829 1/ 2/ 56235 SR-8 1/ 1/ Temporary position, General funds 2/ Temporary position, Federal funds I-5 6/30/10
  • 346.
    STATE OF HAWAII DEPARTMENT OF EDUCATION HONOLULU DISTRICT OFFICE POSITION ORGANIZATION CHART FARRINGTON / KAISER / KALANI COMPLEX AREA Complex Area Superintendent 60088 HAWAII SCHOOL FOR THE DEAF AND THE BLIND 12-Month HS Principal V 76175 EO-8 12-Month Student Educational Asst III School Psychologist Head Houseparent for School Food Services Services Coordinator 18603, 18604 800887 SR-24 Deaf/Blind Manager II 75411 1/ 18605, 19407 11390 HE-07 1943 F1-06 23320, 23365 24048, 44596 School Administrative Clerk III 47165, 48493 Houseparent for Deaf/ Services Assistant I 56326 SR-8 1/ School Cook II 52602, 52603 Blind 1820 SR-12 1938, 2025 57889, 800644 1936, 1940 800645, 800646 BC-06 11568, 13498 12-Month Librarian 800647, 800648 22049, 54485 Clerk Typist II 68511 800649 SR-12 48543 (.50 FTE) 29121, 57995 Cafeteria Helper 48966 (.50 FTE) SR-8 1942 BC-02 54486, 54487 Counselor Speech Pathologist IV 801441, 801442 61502 56356, 56357 801443, 801444 SR-22 HE-05 Building Maintenance Worker I Special Education 1939 BC-09 Teacher Registered 72899F, 75794 Professional Nurse III 75795, 75796 1935 SR-20 75797 School Custodian III 1944 WS-02 Special School Tchr 60071 60271 (.50 FTE) School Custodian 60232, 60267 15543 60268, 60282 22216 (.50 FTE) 60283, 60284 22217 (.50 FTE) 60334, 61236 BC-02 61506 71708 (.50 FTE) 72956F, 72957F 1/ 1/ 75020 1/ Temporary position, General funds I-6 6/30/10
  • 347.
    STATE OF HAWAII DEPARTMENT OF EDUCATION CENTRAL DISTRICT OFFICE ORGANIZATION CHART CENTRAL DISTRICT OFFICE AIEA / MOANALUA / RADFORD LEILEHUA / MILILANI / WAIALUA COMPLEX AREA COMPLEX AREA SUPERINTENDENT SUPERINTENDENT MOANALUA COMPLEX RADFORD COMPLEX LEILEHUA COMPLEX AIEA COMPLEX SCHOOLS MILILANI COMPLEX SCHOOLS WAIALUA COMPLEX SCHOOLS SCHOOLS SCHOOLS SCHOOLS AIEA MOANALUA RADFORD LEILEHUA MILILANI WAIALUA LEARNING SUPPORT LEARNING SUPPORT CENTER LEARNING SUPPORT CENTER LEARNING SUPPORT CENTER LEARNING SUPPORT CENTER LEARNING SUPPORT CENTER CENTER STUDENT SUPPORT STUDENT SUPPORT SCHOOL BASED BEHAVIORAL SERVICES SERVICES LEILEHUA / AUTISM HEALTH AIEA / MOANALUA / RADFORD MILILANI / WAIALUA J-1 6/30/10
  • 348.
    STATE OF HAWAII AIEA / MOANALUA / RADFORD COMPLEX AREA LEILEHUA / MILILANI / DEPARTMENT OF EDUCATION Private Secretary I WAIALUA COMPLEX AREA CENTRAL DISTRICT OFFICE Complex Area Superintendent 67825 21919 SR-20 Complex Area Superintendent Private Secretary I POSITION ORGANIZATION CHART 60095 12263 SR-20 District Office Teacher Complex Academic 79145 Complex Academic District Educational Officer Officer Specialist 79214, 79215 EO-7 2/ 2/ Account Clerk III 79268 EO-7 2/ 76347 EO-7 1/ 15434 SR-11 Business Management Business Management Clerk Typist II Officer I Clerk Typist II Officer I 35675 SR-8 800805 EM-05 30546 SR-8 800806 EM-05 AIEA COMPLEX MOANALUA COMPLEX RADFORD COMPLEX LEILEHUA COMPLEX MILILANI COMPLEX WAIALUA COMPLEX SCHOOLS SCHOOLS SCHOOLS SCHOOLS SCHOOLS SCHOOLS Principals Principals Principals Principals Principals Principals Administrative Administrative Administrative Administrative Administrative Administrative Services Assistant Services Assistant Services Assistant Services Assistant Services Assistant Services Assistant 57941 SR-22 57942 SR-22 57944, 57945 57946 SR-22 57943 SR-22 57947 SR-22 SR-22 AIEA LEARNING MOANALUA LEARNING RADFORD LEARNING LEILEHUA LEARNING MILILANI LEARNING WAIALUA LEARNING SUPPORT CENTER SUPPORT CENTER SUPPORT CENTER SUPPORT CENTER SUPPORT CENTER SUPPORT CENTER Complex School Renewal Complex School Renewal Complex School Renewal Complex School Renewal Complex School Renewal Complex School Renewal Specialist II Specialist II Specialist II Specialist II Specialist II Specialist II 67829 EO-7 60084 EO-7 60087 EO-7 60036 EO-7 68505 EO-7 79773 EO-7 12-Month District Complex Area Tchr District Office Teacher Complex Area Tchr Complex Area Tchr Complex Area Tchr Office Teacher 62385, 62861Z 79428, 79432 2/ 2/ 73581Z, 74965Z 72444Z, 76359 1/ 76360 1/ 79451 2/ 63190 79460, 79721 2/ 2/ 76358 1/ 79728 2/ District Office Teacher CSSS Resource Tchr District Office Teacher CSSS Resource Tchr 62346 74966 79437, 79438 2/ 2/ CSSS Resource Tchr 74967Z 75082 CSSS Resource Tchr District Office Teacher CSSS Resource Tchr 75081 72740 1/ 74949F Literacy Teacher 72453 Complex Area Tchr Title I Linker Teacher 72454, 76357 1/ 79849 2/ Complex Area Tchr 67286 Title I Linker Teacher Bilingual/Bicultural S/H 79276 2/ Assistant Clerk Typist II 29991 1/ 15433 SR-8 32152 (.50 FTE) 1/ District PCNC 32153 (.50 FTE) 1/ Assistant 30739 (.50 FTE) 1/ 44765 SR-15 40229 (.50 FTE) 1/ SR-11 1/ Temporary position, General funds Clerk Typist II 2/ Temporary position, Federal funds 15229 SR-8 J-2 6/30/10
  • 349.
    STATE OF HAWAII DEPARTMENT OF EDUCATION CENTRAL DISTRICT OFFICE POSITION ORGANIZATION CHART AIEA / MOANALUA / RADFORD LEILEHUA / MILILANI / COMPLEX AREA WAIALUA COMPLEX AREA Complex Area Superintendent Complex Area Superintendent STUDENT SUPPT SVCS STUDENT SUPPT SVCS SCHOOL BASED AUTISM District Educational AIEA / MOANALUA /RADFORD LEILEHUA / MILILANI / WAIALUA BEHAVIORAL HEALTH Specialist II District Educational Specialist II District Educational Specialist II District Educational Specialist II District Educational Specialist II 2/ 79322 61643 EO-7 68029 EO-7 75413 EO-7 75732 EO-7 12-Month District Behavioral Health 12-Month District Secretary II Psych Examiner IV Secretary II School Psychologist Office Teacher Specialist IV Office Teacher 22435 SR-14 37067, 38297 1786 SR-14 46654 SR-24 75376, 79999 1/ 2/ 12164, 46659 75390, 75391 1/ 1/ 41122 SR-22 58344, 58345 75730 1/ 12-Month District 2/ 58346, 58347 12-Month District 2/ Psych Examiner IV Clinical Psych VIII 58348, 58349 Office Teacher Office Teacher 29137, 29156 58275, 58276 58350, 58351 Social Worker IV Physical Therapist IV 79232, 79251 79366, 79367 33307 SR-22 59677 SR-30 58352, 58353 12162, 32144 28884 SR-22 79548, 79751 79368, 79369 58354, 58355 50755 SR-22 79754, 79784 79370, 79757 58625, 58626 79854, 79943 Communication Aide 79825, 79826 Clinical Psych VI 58627, 58628 79911 30459, 30460 58630, 58631 Behavioral Health Account Clerk III 58729, 58745 Diag TM/Psych 30463 58632, 58633 Specialist IV 43843 SR-11 2/ 59733 SR-26 1/ Examiner 51213 (.50 FTE) 58634, 58635 59555, 59556 69159 SR-12 58636, 58746 59557, 59559 District Office Tchr 58747, 58748 59560, 59561 79776, 79782 2/ 2/ Clerk Typist II School Psychologist 58749, 58750 801198, 801199 44536, 56233 1/ Speech Pathologist IV Clerk Typist II (District Based) 58751, 58752 801200, 801201 SR-8 30417, 30418 30547, 46719 29133 SR-26 801202, 801203 59147, 59148 30419, 33042 46721 (.50 FTE) 801204 SR-22 59635, 59636 1/ 33043, 37409 47701 SR-8 Occupational 59795 SR-22 1/ 46656, 46658 School Psychologist Therapist IV 46663 800419, 800420 Behavioral Spec IV 3082, 28719 50312 (.50 FTE) Janitor II 800421, 800422 Behavioral Spec IV 59558 SR-22 30569, 30574 55681, 56177 19038 (.50 FTE) 800423, 800424 27257, 58629 56311 SR-22 56179, 56180 BC-02 800932 SR-24 59073, 59074 56181, 56182 Educational Asst III SR-22 School Based 56183, 56185 800260, 800261 Occupational Therapy 56186, 56187 800262, 800263 Assistant 56188, 56189 Social Worker IV 800264, 800265 30713, 30716 56190, 56191 29142, 29144 Educational Asst III 800266, 800267 30717 HE-10 56192, 56193 32145, 50754 58108, 58109 2/ 2/ 800268, 800269 800335, 800337 50756, 50757 58110, 58598 2/ 2/ 800270, 800271 800469, SR-22 52742 SR-22 800560, 800561 2/ 2/ 800272, 800273 SR-12 800274, 800275 800276 SR-12 Clerk Typist II 58040, 58048 1/ Clerk Typist II 58095, 59994 1/ 29559, 801381 2/ SR-8 SR-8 1/ Temporary position, General funds 2/ Temporary position, Federal funds J-3 6/30/10
  • 350.
    STATE OF HAWAII DEPARTMENT OF EDUCATION LEEWARD DISTRICT OFFICE ORGANIZATION CHART LEEWARD DISTRICT OFFICE CAMPBELL / KAPOLEI WAIANAE / NANAKULI PEARL CITY / WAIPAHU COMPLEX AREA COMPLEX AREA COMPLEX AREA SUPERINTENDENT SUPERINTENDENT SUPERINTENDENT CAMPBELL COMPLEX KAPOLEI COMPLEX WAIANAE COMPLEX NANAKULI COMPLEX PEARL CITY COMPLEX WAIPAHU COMPLEX SCHOOLS SCHOOLS SCHOOLS SCHOOLS SCHOOLS SCHOOLS CAMPBELL KAPOLEI WAIANAE NANAKULI PEARL CITY WAIPAHU LEARNING SUPPORT LEARNING SUPPORT LEARNING SUPPORT LEARNING SUPPORT LEARNING SUPPORT LEARNING SUPPORT CENTER CENTER CENTER CENTER CENTER CENTER STUDENT SUPPORT SERVICES SCHOOL BASED BEHAVIORAL CAMPBELL / KAPOLEI HEALTH STUDENT SUPPORT SERVICES AUTISM PEARL CITY / WAIPAHU K-1 6/30/10
  • 351.
    STATE OF HAWAII DEPARTMENT OF EDUCATION LEEWARD DISTRICT OFFICE POSITION ORGANIZATION CHART CAMPBELL / KAPOLEI WAIANAE / NANAKULI PEARL CITY / WAIPAHU COMPLEX AREA COMPLEX AREA COMPLEX AREA Complex Area Complex Area Complex Area Private Secretary I Private Secretary I Private Secretary I Superintendent Superintendent Superintendent 14791 SR-20 11394 SR-20 8913 SR-20 67840 60086 68264 Business Management Business Management Complex Academic Business Management Account Clerk III Officer I Officer I Officer Officer I 51186 SR-11 800813 EM-05 800843 EM-05 76300 EO-7 800814 EM-05 CAMPBELL COMPLEX KAPOLEI COMPLEX WAIANAE COMPLEX NANAKULI COMPLEX PEARL CITY COMPLEX WAIPAHU COMPLEX SCHOOLS SCHOOLS SCHOOLS SCHOOLS SCHOOLS SCHOOLS Principals Principals Principals Principals Principals Principals Administrative Administrative Administrative Administrative Administrative Administrative Services Assistant Services Assistant Services Assistant Services Assistant Services Assistant Services Assistant 57950, 57951 57952 SR-22 57954 SR-22 57953 SR-22 57948 SR-22 57949 SR-22 SR-22 CAMPBELL LEARNING KAPOLEI LEARNING WAIANAE LEARNING NANAKULI LEARNING PEARL CITY LEARNING WAIPAHU LEARNING SUPPORT CENTER SUPPORT CENTER SUPPORT CENTER SUPPORT CENTER SUPPORT CENTER SUPPORT CENTER Complex School Renewal Complex School Renewal Complex School Renewal Complex School Renewal Complex School Renewal Complex School Renewal Specialist II Specialist II Specialist II Specialist II Specialist II Specialist II 60018 EO-7 76084 EO-7 60066 EO-7 60015 EO-7 67846 EO-7 60089 EO-7 District Office Teacher Complex Area Tchr District Office Teacher District Office Teacher Complex Area Tchr District Office Teacher 71562, 76363Z 1/ 1/ 63188, 64377 79963 2/ 79467 2/ 72450, 74950F, 79426 2/ 79509 2/ 64400, 72455 76364, 76368 1/ 1/ 74970, 76365 1/ CSSS Resource Tchr 76366 1/ 74968 Complex Area Tchr Complex Area Tchr Complex Area Tchr 72456, 74969 75083, 76367 1/ District Office Teacher 64544 73565 79427 2/ District Office Teacher Complex Area Tchr 79465 2/ 73572 Secondary Teacher CSSS Resource Tchr Secondary Teacher 66531 Title I Linker Teacher 75084 71311, 71315 Bilingual/Bicultural S/H 79852 2/ Title I Linker Teacher 71316 Assistant 79274 2/ Educational Asst III District PCNC 29992 (.50 FTE) 1/ 47278 SR-12 Assistant 29996, 32337 1/ 1/ Account Clerk III Clerk Typist II 44764 SR-15 40375 (.50 FTE) 1/ 801420 SR-11 2/ 23300 SR-8 Clerk Typist III 40376 (.50 FTE) 1/ 801170 SR-10 1/ 54917 (.50 FTE) 1/ Clerk Typist II 58599 (.50 FTE) 2/ Clerk Typist III 800888 SR-8 1/ 2/ 58600 (.50 FTE) 801171 SR-10 1/ 801411 (.50 FTE) 1/ 801412 (.50 FTE) 1/ SR-11 1/ Temporary position, General funds 2/ Temporary position, Federal funds K-2 6/30/10
  • 352.
    STATE OF HAWAII DEPARTMENT OF EDUCATION CAMPBELL / KAPOLEI PEARL CITY / WAIPAHU WAIANAE / NANAKULI COMPLEX AREA COMPLEX AREA COMPLEX AREA LEEWARD DISTRICT OFFICE Complex Area Superintendent Complex Area Superintendent Complex Area Superintendent POSITION ORGANIZATION CHART STUDENT SUPPORT SERVICES STUDENT SUPPORT SERVICES AUTISM SCHOOL BASED BEHAVIORAL CAMPBELL / KAPOLEI PEARL CITY / WAIPAHU HEALTH District Educational Specialist II District Educational Specialist II District Educational Specialist II District Educational Specialist II 67909 EO-7 69114 EO-7 75733 EO-7 75414 EO-7 12-Month District Office Behavioral Health Secretary II Secretary II Secretary II Teacher Specialist V 12188 SR-14 32349 SR-14 2/ 59678 SR-14 61512, 75420 1/ 59879 SR-24 75731 1/ 12-Month District Office 12-Month District Office Behavioral Health 12-Month District Office Teacher Teacher Specialist IV 2/ 2/ District Office Teacher Teacher 79624, 79866 79505, 79515 2/ 2/ 58356, 58357 61730 73907, 79651 1/ 2/ 79888, 79956 2/ 2/ 79518, 79577 2/ 2/ 58358, 58360 1/ 79972 2/ 79595, 79650 2/ 2/ 58361, 58362 79704, 79850 2/ 2/ 58363, 58364 1/ 79867, 79955 2/ 2/ Educational Assistant III Clinical Psychologist VIII 58365, 58367 District Office Teacher 79973 2/ 800521, 800522 58204, 58291 1/ 58369, 58370 79283 2/ 800523, 800524 58292 SR-30 1/ 58371, 58372 800525, 800815 58374, 58375 Occupational Therapist IV 800816, 800817 58376, 58377 Speech Pathologist IV 28716, 30578 800818, 800819 Clinical Psychologist VI 1/ 58378, 58380 27393, 29813, 29816 SR-22 800820, 800821 58210, 58211 58381, 58383 30444, 30445, 30446 800822, 800823 58294, 58297 1/ 58384, 58385 30447, 30449, 30450 800824, 800825 SR-26 School Based Occupational 58637, 58638 30451, 30452, 30453 800826, 800827 Therapy Assistant 58639, 58640 1/ 33040, 33179, 33180 800828, 800829 30714, 39994 58641, 58642 1/ 33182 (.50 FTE) 800830, 800831 1/ School Psychologist HE-10 58643, 58644 33183, 33184, 33185 800832, 800833 1/ (District Based) 58645, 58646 1/ 37328, 46661, 46662 800834, 800835 1/ 1/ 29131 SR-26 58649, 58651 1/ 47672, 47673, 48826 800836, 800837 Physical Therapist IV 59801, 59802 1/ 50361, 52965, 55719 800838, 800839 1/ 12023, 28883 School Psychologist 59803, 59804 56360, 56361, 56362 SR-12 SR-22 30688, 800445 SR-22 56363, 56364, 56365 56366, 56367, 56368 800446, 800447 56369, 56370, 56371 School Based Physical 800448, 800449 Behavioral Specialist IV Therapist Aide Behavioral Health 800450, 800567 1/ 56372, 56373, 56374 58359, 58366 7629 HE-08 Specialist IV 800568 SR-24 58996, 800934 (.50 FTE) 58368, 58373 59886, 800946 SR-22 58379, 58382 800947, 800948 Psychological Examiner IV 58647, 58648 Educational Assistant III 801308 SR-24 Communication Aide 27697, 29815 58650 SR-22 1/ 800507 SR-12 2/ 30479, 30481 34870, 36292 30482, 30485 46157, 46975 Clerk Typist II SR-22 Clerk Typist II 30487, 32334 Clerk Typist II 800853 SR-8 1/ 31332, 58041 1/ 32667 SR-12 23543, 44127 2/ 1/ 58049, 58096 56238 SR-8 Social Worker IV 800673 SR-8 1/ Clerk Typist II 4900, 6283 31331, 33189 25273, 27304 34666, 56343 2/ 29140, 29141 SR-8 32151, 46976 50473, 50474 Janitor II 50475, 50476 31685 (.50 FTE) 1/ Temporary position, General funds 52595 SR-22 BC-02 2/ Temporary position, Federal funds K-3 6/30/10
  • 353.
    STATE OF HAWAII DEPARTMENT OF EDUCATION WINDWARD DISTRICT OFFICE ORGANIZATION CHART WINDWARD DISTRICT OFFICE CASTLE / KAHUKU KAILUA / KALAHEO COMPLEX AREA COMPLEX AREA SUPERINTENDENT SUPERINTENDENT CASTLE COMPLEX KAHUKU COMPLEX KAILUA COMPLEX KALAHEO COMPLEX SCHOOLS SCHOOLS SCHOOLS SCHOOLS CASTLE KAHUKU KAILUA KALAHEO LEARNING SUPPORT CENTER LEARNING SUPPORT CENTER LEARNING SUPPORT CENTER LEARNING SUPPORT CENTER SPECIAL EDUCATION / SPECIAL SCHOOL BASED AUTISM SERVICES BEHAVIORAL HEALTH L-1 6/30/10
  • 354.
    STATE OF HAWAII DEPARTMENT OF EDUCATION WINDWARD DISTRICT OFFICE POSITION ORGANIZATION CHART CASTLE / KAHUKU KAILUA / KALAHEO COMPLEX AREA COMPLEX AREA Complex Area Private Secretary I Complex Area Private Secretary I Superintendent 1812 SR-20 Superintendent 21918 SR-20 60091 67855 Complex Academic Account Clerk III Business Management District PCNC Officer 31012 SR-11 Officer I Assistant 79269 EO-7 2/ 800841 EM-05 44763 SR-15 Clerk II 59955 (.75 FTE 1/ Business Management Account Clerk III 801435 SR-6 3/ Officer I 800752 SR-11 1/ 800840 EM-05 Janitor II 40598 BC-02 KAILUA COMPLEX KALAHEO COMPLEX CASTLE COMPLEX KAHUKU COMPLEX SCHOOLS SCHOOLS SCHOOLS SCHOOLS Principals Principals Principals Principals Administrative Administrative Services Assistant Administrative Services Assistant 57956 SR-22 Services Assistant 57958, 57959 57957 SR-22 SR-22 CASTLE LEARNING KAHUKU LEARNING KAILUA LEARNING KALAHEO LEARNING District Educational SUPPORT CENTER SUPPORT CENTER SUPPORT CENTER SUPPORT CENTER Specialist II 76371 EO-7 1/ Complex School Renewal Complex School Renewal Complex School Renewal Complex School Renewal Specialist II Specialist II Specialist II Specialist II 60093 EO-7 60041 EO-7 67858 EO-7 60061 EO-7 Clerk Typist II Complex Area Tchr District Office Teacher District Office Teacher 41896 (.50 FTE) 72457 67139 1/ 67114 SR-8 Clerk Typist II Complex Area Tchr Complex Area Tchr 14792 SR-8 69964, 73639 Bilingual/Bicultural S/H 72458 Assistant (.50 FTE) 32136, 32159 1/ 1/ SR-11 Title I Linker Teacher Title I Linker Teacher 79853 2/ 79275 2/ 1/ Temporary position, General funds 2/ Temporary position, Federal funds 3/ Temporary position, Trust funds L-2 6/30/10
  • 355.
    STATE OF HAWAII DEPARTMENT OF EDUCATION CASTLE / KAHUKU KAILUA / KALAHEO WINDWARD DISTRICT OFFICE COMPLEX AREA COMPLEX AREA POSITION ORGANIZATION CHART Complex Area Complex Area Superintendent Superintendent SPECIAL EDUCATION / SPECIAL EDUCATION / SPECIAL SERVICES SPECIAL SERVICES Secretary II District Educational Spec II District Educational Spec II 21671 SR-14 68481 EO-7 67983 EO-7 Secretary II Account Clerk II Clerk Typist II 4881 SR-14 35423 SR-8 2/ 46770 SR-8 Clerk Typist II 32931, 44050 2/ SR-8 CASTLE COMPLEX KAHUKU COMPLEX KAILUA COMPLEX KALAHEO COMPLEX 12-Month District 12-Month District School Based Physical 12-Month District 12-Month District Speech Pathologist IV Office Teacher Office Teacher Therapist Assistant Office Teacher 2/ 2/ Office Teacher 29805, 30436 79694, 79816 60754, 73240 1/ 1/ 40296 HE-10 79443 2/ 79815 2/ 30437, 30438 79818, 79840 2/ 2/ 79809, 79813 2/ 2/ 33210, 46779 46780, 54992 Speech Pathologist IV School Psychologist Complex Area Tchr Complex Area Tchr 56147, 56148 District Office Teacher 30439, 30440 32092 SR-24 76382 1/ 72886F SR-22 79373, 79439 2/ 2/ 30442, 30443 79440, 79883 2/ 2/ 32177, 33207 33208, 33211 36966, 40301 Speech Pathologist IV District Office Teacher Psych Examiner IV Communication Aide 56150, 56198 31336, 33247 79374, 79375 2/ 2/ 33158, 35178 30467, 32221 Psych Examiner IV SR-22 46778, 56149 79441, 79821 2/ 2/ SR-22 SR-12 29158, 33035 56151 SR-22 SR-22 Communication Aide Occupational Clerk Typist II Psych Examiner IV 30464, 30468 Therapist IV (.50 FTE) Communication Aide 34212 SR-22 30470, 32222 32738 SR-22 56320 SR-8 1/ Physical Therapist IV 30469 SR-12 SR-12 28885 SR-22 Speech Pathologist IV School Based Clerk Typist II 30441 Occupational Therapy Occupational (.50 FTE) 33209 (.50 FTE Assistant Therapist IV 56234 SR-8 1/ 46781 (.50 FTE) 59548 HE-10 28718 SR-22 47336 54961 (.50 FTE) School Based 56146, 56199 Occupational Therapy 800296 SR-22 Assistant 30710, 30711 Communication Aide HE-10 30465, 30466 SR-12 1/ Temporary positon, General funds 2/ Temporary position, Federal funds L-3 6/30/10
  • 356.
    STATE OF HAWAII DEPARTMENT OF EDUCATION WINDWARD DISTRICT OFFICE CASTLE / KAHUKU KAILUA / KALAHEO POSITION ORGANIZATION CHART COMPLEX AREA COMPLEX AREA Complex Area Complex Area Superintendent Superintendent SCHOOL BASED AUTISM BEHAVIORAL HEALTH Secretary II Secretary II District Educational Spec II District Educational Spec II 58180 SR-14 801000 SR-14 2/ 75415 EO-7 75734 EO-7 School Psychologist Clerk Typist II 1/ 12-Month District (District Based) 58042, 58050 1/ Office Teacher 29130 SR-26 58098, 59998 75418, 76105 1/ 1/ SR-8 Clinical Psych VI 58205 SR-26 District Office Teacher 79448 2/ CASTLE COMPLEX KAHUKU COMPLEX KAILUA COMPLEX KALAHEO COMPLEX Speech Pathologist IV 35116 SR-22 School Psychologist Educational Asst III School Psychologist School Psychologist School Psychologist 800441, 800444 800877, 800878 800440 SR-24 800442 SR-24 800443 SR-24 SR-24 800879, 800880 800881, 800882 Behavioral Health 800883, 800884 Mental Health Supv I Mental Health Supv I Mental Health Supv I 800885, 800886 Specialist V 58168 SR-24 59554 SR-24 58170 SR-24 SR-12 59799 SR-24 Behavioral Health Behavioral Health Behavioral Health Behavioral Health Specialist IV Specialist IV Specialist IV Specialist IV 58392, 58393 58397, 58398 58386, 58387 1/ 1/ 58410, 58411 58395, 58396 58401, 58404 58415, 58416 58412, 58414 58400, 58408 1/ 58405, 58406 58418, 58420 58417, 58422 58413, 58704 58407 SR-22 58423, 58424 58653, 58656 59573 SR-22 58655, 59938 1/ 59939, 59940 SR-22 SR-22 Behavioral Specialist IV Behavioral Specialist IV 58402, 58403 58389, 58390 SR-22 Behavioral Specialist IV Behavioral Specialist IV 58391, 58657 58705 SR-22 58409 SR-22 SR-22 Social Worker IV Social Worker IV Social Worker IV Social Worker IV 27649 SR-22 11356, 32096 27648, 41123 32093, 50752 56231 (.50 FTE) 50753, 52792 SR-22 SR-22 SR-22 Clerk Typist II 55830 SR-8 1/ Clerk Typist II Human Services 58102 SR-8 1/ Clerk Typist II Professional IV 1/ 58101 SR-8 50751 (.50 FTE) SR-22 1/ Temporary position, General funds Clerk Typist II 2/ Temporary position, Federal funds L-4 6/30/10 58103 SR-8 1/
  • 357.
    STATE OF HAWAII DEPARTMENT OF EDUCATION HAWAII DISTRICT OFFICE ORGANIZATION CHART HAWAII DISTRICT OFFICE HONOKA’A / KEALAKEHE / KOHALA / HILO / LAUPAHOEHOE / WAIAKEA KA’U / KEA’AU / PAHOA KONAWAENA COMPLEX AREA SUPERINTENDENT COMPLEX AREA SUPERINTENDENT COMPLEX AREA SUPERINTENDENT KA’U / KEA’AU / HILO COMPLEX LAUPAHOEHOE WAIAKEA COMPLEX HONOKA’A COMPLEX KEALAKEHE KOHALA COMPLEX KONAWAENA PAHOA COMPLEX SCHOOLS COMPLEX SCHOOLS SCHOOLS SCHOOLS COMPLEX SCHOOLS SCHOOLS COMPLEX SCHOOLS SCHOOLS HILO LAUPAHOEHOE WAIAKEA KA’U / KEA’AU / PAHOA HONOKA’A KEALAKEHE KOHALA KONAWAENA LEARNING SUPPORT LEARNING SUPPORT LEARNING SUPPORT LEARNING SUPPORT LEARNING SUPPORT LEARNING SUPPORT LEARNING SUPPORT LEARNING SUPPORT CENTER CENTER CENTER CENTER CENTER CENTER CENTER CENTER SCHOOL BASED ATHLETICS AND BEHAVIORAL HEALTH STUDENT ACTIVITIES M-1 6/30/10
  • 358.
    STATE OF HAWAII DEPARTMENT OF EDUCATION HAWAII DISTRICT OFFICE POSITION ORGANIZATION CHART HILO / LAUPAHOEHOE / KA’U / KEA’AU / PAHOA HONOKA’A / KEALAKEHE / KOHALA / WAIAKEA COMPLEX AREA COMPLEX AREA KONAWAENA COMPLEX AREA Complex Area Superintendent Complex Area Superintendent Complex Area Superintendent 64819 64814 69905 Business Management Business Management Business Management Private Secretary I Private Secretary I Private Secretary I Officer I Officer I Officer I 1818 SR-20 12255 SR-20 43970 SR-20 800810 EM-05 800811 EM-05 800809 EM-05 Account Clerk III Clerk Typist II 48490 (.50 FTE) 1/ 59863 SR-8 59877 SR-11 2/ HILO / LAUPAHOEHOE WAIAKEA COMPLEX KA’U / KEA’AU / PAHOA HONOKA’A COMPLEX KEALAKEHE COMPLEX KOHALA COMPLEX KONAWAENA COMPLEX COMPLEX SCHOOLS SCHOOLS COMPLEX SCHOOLS SCHOOLS SCHOOLS SCHOOLS SCHOOLS Principals Principals Principals Principals Principals Principals Principals Administrative Administrative Administrative Administrative Administrative Administrative Services Assistant Services Assistant Services Assistant Services Assistant Services Assistant Services Assistant 57961 SR-22 57960 SR-22 57962, 57964 SR-22 57963 SR-22 57965 SR-22 57966 SR-22 HILO / LAUPAHOEHOE WAIAKEA LEARNING KA’U / KEA’AU / PAHOA KA’U / KEA’AU / PAHOA HONOKA’A LEARNING KEALAKEHE LEARNING KOHALA LEARNING KONAWAENA LEARNING LEARNING SUPPORT CENTER SUPPORT CENTER LEARNING SUPPORT CENTER LEARNING SUPPORT CENTER SUPPORT CENTER SUPPORT CENTER SUPPORT CENTER SUPPORT CENTER Complex School Renewal District Educational Complex School Renewal Complex School Renewal Complex School Renewal Complex School Renewal Complex School Renewal Complex School Renewal Specialist II Specialist II Specialist II Specialist II Specialist II Specialist II Specialist II Specialist II 67772 EO-7 76301 EO-7 1/ 60083 EO-7 76083 EO-7 60055 EO-7 64825 EO-7 76082 EO-7 1/ 64826 EO-7 District Office Teacher District Office Teacher Complex Area Tchr District Office Teacher Complex Area Tchr Complex Area Tchr 79421 2/ 63409, 75095 1/ 3/ 75089, 76375 66997 1/ 75088 72967F, 73152 District Office Teacher Secondary Teacher 74501 65389, 69988 64893 Complex Area Tchr 75096, 79405 Complex Area Tchr 3/ 2/ Complex Area Tchr Title I Linker Teacher 60128, 64725 79564 Bilingual/Bicultural S/H 72445Z, 75087Z 1/ 2/ 72461, 74973 79489 2/ 72806, 72887F 1/ Assistant (.50 FTE) 76374Z 1/ Account Clerk III 74975, 76373 1/ 48834 SR-11 1/ 800864 (.50 FTE) 1/ Complex Area Tchr SR-11 Secondary Teacher Clerk Typist II Bilingual/Bicultural S/H 61609Z, 72460 67686 801099 SR-8 1/ Title I Linker Teacher Clerk Typist II Assistant 74974Z, 75086 79855 2/ 16130 SR-8 (.50 FTE) 31104, 32180 1/ 1/ Clerk Typist II SR-11 5061 SR-8 Clerk Typist II Title I Linker Teacher 9725 SR-8 79270 2/ School Custodian II District PCNC 48827 (.50 FTE) Assistant 16139 BC-02 44762 SR-15 Bilingual/Bicultural S/H Assistant 1/ Temporary position, General funds (.50 FTE) 2/ Temporary position, Federal funds 801440 1/ 3/ Temporary position, Trust funds M-2 6/30/10
  • 359.
    STATE OF HAWAII DEPARTMENT OF EDUCATION HAWAII DISTRICT OFFICE POSITION ORGANIZATION CHART HILO / LAUPAHOEHOE / KA’U / KEA’AU / PAHOA WAIAKEA COMPLEX AREA COMPLEX AREA Complex Area Complex Area Superintendent Superintendent EAST HAWAII REGIONAL SOUTH HAWAII SPED OFFICE REGIONAL SPED OFFICE Secretary II Secretary II District Educational Spec II District Educational Spec II 1819 SR-14 55386 SR-14 2/ 69482 EO-7 79795 EO-7 2/ 12-Month District School Psychologist Office Teacher (District Based) 75385, 79953 1/ 2/ 29129 SR-26 79954, 79978 2/ 2/ 79979 2/ Clerk Typist II 44255, 49258 2/ District Office Tchr 55455 2/ 79371, 79377 2/ 2/ 56323 (.50 FTE) 1/ 79379, 79606 2/ 2/ SR-8 HILO / LAUPAHOEHOE COMPLEX WAIAKEA COMPLEX KA’U / KEA’AU / PAHOA COMPLEX School Psychologist Speech Pathologist IV School Psychologist 12-Month District Speech Pathologist IV (District Based) 30434, 33037 800427 SR-24 Office Teacher 29804, 29809 29808 SR-26 49165 (.75 FTE) 74594, 79688 1/ 2/ 30430, 30431 56250, 58742 79744, 79808 2/ 2/ 30432, 33038 SR-22 Human Services 46652, SR-22 Professional IV School Psychologist 12197, 12198 800425, 800757 SR-22 District Office Teacher Communication Aide Behavioral Health SR-24 79378 2/ (.75 FTE) Specialist IV 30505, 30506 800866 SR-22 SR-12 Psych Examiner IV Social Worker IV 29159 SR-22 School Psychologist Communication Aide 50479, 52967 800428, 800431 (.75 FTE) SR-22 Educational Asst III SR-24 30501, 30504 800845, 800846 Physical Therapist IV SR-12 800847 SR-12 30555 SR-22 Human Services Professional IV Clerk Typist II Occupational 29139, 50477 30842, 43047 2/ 2/ Therapist IV SR-22 43734 SR-8 28713, 30571 59532 SR-22 Social Worker IV Educational Asst III 30843 SR-22 800848, 800849 Speech Pathologist IV 800850 SR-12 33036, 33039 SR-22 Psych Examiner IV 32380, 54465 SR-22 Communication Aide 34625 (.75 FTE) 1/ Temporary position, General funds SR-12 2/ Temporary position, Federal funds M-3 6/30/10
  • 360.
    STATE OF HAWAII DEPARTMENT OF EDUCATION HAWAII DISTRICT OFFICE POSITION ORGANIZATION CHART HONOKA’A / KEALAKEHE / KOHALA / KONAWAENA COMPLEX AREA Complex Area Superintendent WEST HAWAII REGIONAL NORTH HAWAII SCHOOL BASED BEHAVIORAL District Educational SPED OFFICE REGIONAL SPED OFFICE HEALTH, EAST HAWAII Specialist II Secretary II Secretary II District Educational Spec II District Educational Spec II District Educational Spec II Autism 8745 SR-14 58286 SR-14 2/ 1/ 64815 EO-7 79393 EO-7 2/ 75416 EO-7 76102 EO-7 Clerk Typist II Clinical Psych VI 23359 58214, 58300 1/ 56322 (.50 FTE) 1/ 58302 1/ SR-8 SR-26 Behavioral Health Specialist V KEALAKEHE COMPLEX KONAWAENA COMPLEX KOHALA / HONOKA’A COMPLEX 1/ 1/ 58299, 58301 58436 SR-24 12-Month District 12-Month District Physical Therapist IV 12-Month District Occupational Office Teacher Office Teacher Behavioral Health 30245 SR-22 Office Teacher Therapist IV 79372 2/ 75097, 75386 3/ 1/ Specialist IV 71907, 79295 1/ 2/ 30576 SR-22 79534, 79703 2/ 2/ 58427, 58428 Occupational 58429, 58430 School Psychologist 58431, 58432 Therapist IV 30689, 800432 District Office Teacher District Office Teacher Speech Pathologist IV 58433, 58434 1/ 38472, 56314 SR-24 79394 2/ 79376, 79966 2/ 2/ 31395, 46650 1/ SR-22 58435, 58437 55745, 56256 58438, 58440 1/ 1/ SR-22 58441, 58442 1/ Social Worker IV Speech Pathologist IV School Psychologist School Psychologist 58443, 58444 50768 SR-22 35537, 38296 800430, 800459 2/ 800426, 800429 58445, 58446 1/ 46651, 50770 SR-24 SR-24 Communication Aide 58447, 58448 56253 SR-22 (.75 FTE) 58449, 58450 1/ 30502, 34624 58451, 58452 Psych Examiner IV SR-12 50767 SR-22 Social Worker IV Social Worker IV 58454, 58455 Communication Aide 58456, 58466 1/ 50478 SR-22 27280, 54466 800599 (.75 FTE) 2/ 58467, 58469 1/ SR-22 Clerk Typist II SR-8 58473, 58487 1/ 1/ 54467, 58851 2/ 2/ 58488, 58652 1/ Human Services SR-8 1/ 1/ 58654, 58696 Clerk Typist II Professional IV Psych Examiner IV 58697 SR-22 1/ 55293 SR-8 2/ 57990 SR-22 52951 SR-22 Behavioral Spec IV Speech Pathologist IV Educational Asst III 58439, 58453 30433, 54464 800933 SR-12 SR-22 SR-22 Communication Aide Clerk Typist II 30503 (.75 FTE) 58099, 58043 1/ SR-12 58051, 800666 1/ Clerk Typist II 1/ Temporary position, General funds 38737 SR-8 2/ 2/ Temporary position, Federal funds M-4 6/30/10
  • 361.
    STATE OF HAWAII DEPARTMENT OF EDUCATION HAWAII DISTRICT OFFICE POSITION ORGANIZATION CHART HONOKA’A / KEALAKEHE / KOHALA / KA’U / KEA’AU / PAHOA COMPLEX KONAWAENA COMPLEX AREA AREA Complex Area Superintendent Complex Area Superintendent SCHOOL BASED BEHAVIORAL ATHLETICS AND HEALTH, WEST HAWAII STUDENT ACTIVITIES District Educational Spec II District Educational Spec II 79321 EO-7 2/ 73666 EO-7 Clinical Psych VIII Account Clerk III 58206 SR-30 33118 (.50 FTE) SR-11 Clinical Psych VI 58212, 58213 Clerk Typist II 58303, 58304 1/ 1/ 45504 SR-8 1/ SR-26 Behavioral Health Specialist V 58474 SR-24 1/ Behavioral Health Specialist IV 58457, 58458 1/ 1/ 58459, 58460 58461, 58462 1/ 58463, 58464 58465, 58468 58470, 58471 58472, 58475 58476, 58477 1/ 1/ 58478, 58479 1/ 58480, 58481 1/ 1/ 58482, 58483 1/ 1/ 58484, 58485 1/ 58486, 58489 1/ 58490, 58491 1/ 59115 (.50 FTE) 2/ SR-22 Clerk Typist II 59697, 800665 1/ SR-8 1/ Temporary position, General funds 2/ Temporary position, Federal funds M-5 6/30/10
  • 362.
    STATE OF HAWAII DEPARTMENT OF EDUCATION MAUI DISTRICT OFFICE ORGANIZATION CHART MAUI DISTRICT OFFICE BALDWIN / KEKAULIKE / MAUI HANA / LAHAINA / LANAI / MOLOKAI COMPLEX AREA COMPLEX AREA SUPERINTENDENT SUPERINTENDENT BALDWIN COMPLEX KEKAULIKE COMPLEX MAUI COMPLEX HANA COMPLEX LAHAINA COMPLEX MOLOKAI COMPLEX LANAI COMPLEX SCHOOLS SCHOOLS SCHOOLS SCHOOLS SCHOOLS SCHOOLS SCHOOLS BALDWIN KEKAULIKE MAUI HANA LAHAINA MOLOKAI LANAI LEARNING SUPPORT LEARNING SUPPORT LEARNING SUPPORT LEARNING SUPPORT LEARNING SUPPORT LEARNING SUPPORT LEARNING SUPPORT CENTER CENTER CENTER CENTER CENTER CENTER CENTER SCHOOL BASED ATHLETICS EDUCATIONAL TECHNOLOGY SPECIAL EDUCATION BEHAVIORAL HEALTH N-1 6/30/10
  • 363.
    STATE OF HAWAII DEPARTMENT OF EDUCATION MAUI DISTRICT OFFICE POSITION ORGANIZATION CHART BALDWIN / KEKAULIKE / HANA / LAHAINA / LANAI / MAUI COMPLEX AREA MOLOKAI COMPLEX AREA Complex Area Complex Area Private Secretary I Private Secretary Superintendent Superintendent 1816 SR-20 19051 SR-20 65542 65534 Business Management Business Management Clerk Typist II Account Clerk V Officer I Officer I (.50 FTE) 3985 SR-15 800807 EM-05 800808 EM-05 51238, 59808 SR-8 1/ 1/ BALDWIN COMPLEX KEKAULIKE COMPLEX MAUI COMPLEX HANA / LAHAINA MOLOKAI / LANAI SCHOOLS SCHOOLS SCHOOLS COMPLEX SCHOOLS COMPLEX SCHOOLS Principals Principals Principals Principals Principals Administrative Administrative Administrative Administrative Administrative Services Assistant Services Assistant Services Assistant Services Assistant Services Assistant 57967 SR-22 57968 SR-22 57970 SR-22 57969 SR-22 57971 SR-22 BALDWIN LEARNING KEKAULIKE LEARNING MAUI LEARNING ATHLETICS HANA / LAHAINA MOLOKAI / LANAI EDUCATIONAL SUPPORT CENTER SUPPORT CENTER SUPPORT CENTER LEARNING SUPPT CNTR LEARNING SUPPT CNTR TECHNOLOGY Complex School Renewal Complex School Renewal Complex School Renewal District Educational Spec II Complex School Renewal Complex School Renewal Telecommunications Spec II Specialist II Specialist II Specialist II 60231 EO-7 Specialist II Specialist II (OITS) 66815 EO-7 65545 EO-7 73068 EO-7 65539 EO-7 73088 EO-7 60135 EO-7 4/ District Office Teacher Secretary II District Office Teacher District Office Teacher 61699 1/ District Office Teacher Secretary II Secretary II 41034 SR-14 72462, 79453 2/ 72464, 79347 2/ 79463, 79638 2/ 2/ 24498 SR-14 47022 SR-14 79454, 79555 2/ 2/ District Office Teacher Clerk Typist II Complex Area Tchr Complex Area Tchr District Office Teacher 69186, 72463 9422 SR-8 Title I Linker Teacher 76195, 76196 1/ 1/ 76197, 76198 1/ 1/ 76376, 76377 1/ 1/ 72564 79856 2/ Television Production Secondary Teacher District Office Teacher Crew Chief Clerk Typist II 68474 75098 3/ 48568 SR-17 14603 SR-8 Television Production Title I Linker Teacher Technician 79271 2/ 59615 SR-13 3/ 1/ Temporary position, General funds 2/ Temporary position, Federal funds 3/ Temporary position, Trust funds 4/ Position no. 60135 receives technical supervision from position no. 66355, Telecom Director, Office of Information Technology Services N-2 6/30/10
  • 364.
    STATE OF HAWAII Complex Area Complex Area DEPARTMENT OF EDUCATION Superintendent Superintendent MAUI DISTRICT OFFICE 65542 65534 POSITION ORGANIZATION CHART Secretary II Educational Director 12061 SR-14 75474 EO-10 School Custodian II Clerk Typist II 16253 31049, 44484 37392 (.50 FTE) 44485 SR-8 BC-02 SPECIAL EDUCATION SPECIAL EDUCATION SPECIAL EDUCATION SPECIAL EDUCATION KEKAULIKE / BALDWIN HANA / LAHAINA COMPLEXES MAUI COMPLEX MOLOKAI / LANAI COMPLEXES COMPLEXES District Educational Spec II District Educational Spec II District Educational Spec II District Educational Spec II 65535 EO-7 65543 EO-7 75735 EO-7 75384 EO-7 INTENSIVE LEARNING 12-Month District Behavioral Health Spec V 12-Month District Speech Pathologist IV Secretary II CENTER Office Teacher Molokai Complex Office Teacher 29806, 29807 58217 SR-14 1/ 79811 2/ 58671 SR-24 75393, 76106 1/ 1/ 30401, 30402 District Office Teacher Secretary II 30403, 30405 79543 2/ 42661 SR-14 2/ 30406, 32097 District Office Teacher District Office Teacher Behavioral Health 33073, 35268 79351 2/ 79578 2/ Specialist IV District Office Teacher 1/ 43765, 43766 58419, 58498 64699, 68677 1/ 1/ District Office Teacher 48241 (.75 FTE) 58502, 58537 Educational Asst III 79346, 79348 2/ 2/ 50895, 54423 58538, 58543 School Psychologist School Psychologist SR-22 800094, 800095 2/ 2/ 79349 (.50 FTE) 2/ 55682, 55683 Behavioral Health 31503, 800433 800438 SR-24 800096 SR-12 2/ 79350, 79579 2/ 2/ 55684, 56275 79868 2/ Specialist IV 56276, 56277 800434, 800435 79870 (.50 FTE) 2/ 59835, 59836 56278, 56279 800436, 800437 Behavioral Spec IV 59837 SR-22 800439, 800470 Social Worker IV 56280, 800634 58536 SR-22 801233 SR-24 22581, 42195 800935 (.50 FTE) SR-22 Occupational 801019 (.50 FTE) Mental Health Supervisor I Therapist IV 801434 SR-22 Lanai Complex 28684, 30575 Psych Examiner IV Speech Pathologist IV 1/ 59531 SR-24 56309 SR-22 30568, 44571 47674 SR-22 Communication Aide 54422 (.50 FTE) (.75 FTE) 800019 (.50 FTE) Behavioral Health 30474, 30477 SR-22 Communication Aide Specialist IV Physical Therapist IV 30926, 30927 (.75 FTE) 58495, 58500 1/ 30557 SR-22 SR-12 30475, 30476 58519, 58514 1/ Social Worker IV SR-12 58531, 58540 1/ Educational Asst III 12064, 12065 SR-22 800471, 800472 27506, 50764 Clerk Typist II 800473, 800474 50765, 54420 (.50 FTE) 801353, 801354 1/ 1/ 42088 SR-8 Behavioral Spec IV 800475, 800476 801355 SR-22 1/ 58518 SR-22 800477, 800478 800479, 800480 SR-12 1/ Temporary position, General funds 2/ Temporary position, Federal funds N-3 6/30/10
  • 365.
    STATE OF HAWAII DEPARTMENT OF EDUCATION MAUI DISTRICT OFFICE POSITION ORGANIZATION CHART SCHOOL BASED BEHAVIORAL HEALTH Clerk Typist II District Educational Spec II 58044, 58052 1/ 75417 EO-7 58100, 59997 1/ INTENSIVE LEARNING CENTER SR-8 School Psychologist Behavioral Health Spec V Behavioral Health Spec V Behavioral Health Spec V (District-Based) Kekaulike Complex Maui Complex 58670 29128 SR-26 59638 SR-24 1/ 59637 SR-24 1/ Behavioral Health Clinical Psychologist VI Behavioral Health Behavioral Health Specialist IV 58669 SR-26 Specialist IV Specialist IV 1/ 1/ 1/ 58388, 58421 58517, 58520 58399, 58501 SR-22 58521, 58527 58539, 58499 Behavioral Health 58528 SR-22 1/ SR-22 Specialist IV 58505, 58506 1/ 58507, 58515 Behavioral Spec IV Behavioral Spec IV 58525 SR-22 1/ 58508, 58541 1/ 58516, 58534 58545 SR-22 58535 SR-22 1/ Behavioral Spec IV 58492 SR-22 Behavioral Health Spec V Behavioral Health Spec V Baldwin Complex 59003 1/ 59639 SR-24 1/ SR-24 Clinical Psychologist VI 58215, 58668 SR-26 Behavioral Health Behavioral Health Specialist IV Specialist IV 58493, 58494 1/ 58513, 58526 1/ Behavioral Health 58503, 58504 1/ SR-22 Specialist IV 58509, 58511 1/ 1/ 58497, 58510 1/ 58512, 58532 58522, 58523 1/ SR-22 58524, 58529 58530, 58533 58542, 58544 1/ SR-22 1/ Temporary position, General funds N-4 6/30/10
  • 366.
    STATE OF HAWAII DEPARTMENT OF EDUCATION KAUAI DISTRICT OFFICE ORGANIZATION CHART KAUAI DISTRICT OFFICE KAPAA / KAUAI / WAIMEA COMPLEX AREA SUPERINTENDENT KAPAA COMPLEX SCHOOLS KAUAI COMPLEX SCHOOLS WAIMEA COMPLEX SCHOOLS KAPAA LEARNING SUPPORT WAIMEA LEARNING SUPPORT KAUAI LEARNING SUPPORT CENTER CENTER CENTER SPECIAL SERVICES / MOKIHANA SCHOOL BASED CURRICULUM SPECIAL EDUCATION BEHAVIORAL HEALTH O-1 6/30/10
  • 367.
    STATE OF HAWAII DEPARTMENT OF EDUCATION KAUAI DISTRICT OFFICE POSITION ORGANIZATION CHART KAPAA / KAUAI / WAIMEA COMPLEX AREA Complex Area Private Secretary I Superintendent 1815 SR-20 66026 KAPAA COMPLEX KAUAI COMPLEX WAIMEA COMPLEX Business Management SCHOOLS SCHOOLS SCHOOLS Officer I 800812 EM5 Principals Principals Principals Administrative Services Assistant 57972, 57973 57974 SR-22 KAPAA LEARNING KAUAI LEARNING WAIMEA LEARNING SUPPORT CENTER SUPPORT CENTER SUPPORT CENTER School Custodian II Complex School Renewal Complex School Renewal Complex School Renewal 16115 BC-02 Specialist II Specialist II Specialist II 67701 EO-7 67000 EO-7 66020 EO-7 District Office Teacher Secretary II Secretary II 72513 1/ 14604 SR-14 21946 SR-14 Complex Area Tchr Complex Area Tchr Complex Area Tchr 76193 1/ 76192, 76194 1/ 1/ 76191 1/ Clerk Typist II District PCNC Asst 9957 SR-8 801439 SR-15 2/ 1/ Temporary position, General funds 2/ Temporary position, Federal funds O-2 6/30/10
  • 368.
    STATE OF HAWAII DEPARTMENT OF EDUCATION KAUAI DISTRICT OFFICE POSITION ORGANIZATION CHART SPECIAL SERVICES / CURRICULUM MOKIHANA SCHOOL BASED SPECIAL EDUCATION BEHAVIORAL HEALTH Secretary II District Educational Specialist II District Educational Specialist II District Educational Specialist II 11979 SR-14 3/ 66015 EO-7 66019 EO-7 75028 EO-7 District Office Teacher 12-Month District Office Human Services 69959, 71166 Teacher Professional IV 12-Month District Office KAPAA COMPLEX KAUAI COMPLEX WAIMEA COMPLEX 75422 1/ 58078, 58079 Teacher 2/ 2/ 58080, 58081 79783, 79820 2/ 2/ 58082, 58084 79880, 79977 Complex Area Teacher 58085, 58086 76379Z 1/ District Office Teacher 58087, 58088 Social Worker IV Psychological Psychological 76107 1/ 800727, 800729 District Office Teacher 36461, 50481 Examiner IV Examiner IV SR-22 79326, 79327 2/ 2/ SR-22 27394 SR-22 37884 SR-22 Secondary Teacher 2/ 2/ Clinical Psychologist VIII 79365, 79631 66031 2/ 2/ 59027, 59814 79872, 79903 Social Worker IV SR-30 Speech Pathologist IV Social Worker IV 58083, 58089 Social Worker IV 30407, 33114 12082, 36698 Title I Linker Teacher 58090, 58091 Occupational 31329 SR-22 Clinical Psychologist VI 56044, 56045 SR-22 79857 2/ 58092, 58093 Therapist IV 58728, 59732 1/ SR-22 800728 SR-22 35841 SR-22 SR-26 Speech Pathologist IV Human Services Bilingual/Bicultural S/H 30409, 33093 School Psychologist Clerk Typist II Physical Therapist IV Communication Aide Professional IV Assistant 33115, 43929 1/ 800467, 800468 (.50 FTE) 30563 SR-22 (.75 FTE) 50480 SR-22 30000 SR-11 56046, 56047 SR-24 59130, 59131 1/ 1/ 30498 SR-12 SR-22 59132, 59133 1/ 1/ School Based Physical Behavioral Health 59134, 59135 1/ 1/ Speech Pathologist IV Clerk Typist II 1/ 1/ Therapist Assistant Specialist V 59136, 59137 Communication Aide 30408, 56048 44024 SR-8 1/ 1/ 56239 HE-10 58163 SR-24 59138, 59139 (.75 FTE) SR-22 59140, 59141 1/ 1/ 30910 SR-12 SR-8 Educ Assistant III 800674 (.75 FTE) Communication Aide 801071, 801072 1/ 1/ (.75 FTE) Clerk Typist II 801073 SR-12 1/ 30499, 30500 58045, 58053 1/ SR-12 59001, 800654 1/ Clerk Typist II SR-8 21673, 56237 1/ SR-8 1/ Temporary position, General funds 2/ Temporary position, Federal funds 3/ Position also serves as secretary to District Educational Specialist II, position no. 66019 O-3 6/30/10
  • 369.
    DEPARTMENT OF EDUCATION COMPLEX AREAS FUNCTIONAL STATEMENT Public schools are assigned, for administrative purposes, to complex areas of one or more school complexes, each consisting of a high school and its feeder middle and elementary schools. There are fifteen (15) complex areas in the statewide public school system. Each complex area is supervised by a complex area superintendent to assist individual schools and school complexes in meeting the Hawaii Content and Performance Standards, Hawaii Goals for Education, and the education renewal initiatives of the state and federal government. Complex area superintendents exercise supervision over school renewal specialists and other educational support personnel and monitor the provision of centralized fiscal, personnel, and facilities support by other DOE state offices to facilitate school renewal efforts. COMPLEX AREA SUPERINTENDENT • Supervises schools in a complex area and provides area-wide program coordination and support of special education, special services, and federal-funded programs. • Provides area-wide program coordination and support of special education, special services, school-based mental health and federal- funded programs. • School-Based Support Services: Occupational and Physical Therapy Program − Administers the Occupational and Physical Therapy Program (OT/PT − Coordinates with the schools to identify health problems and occupational and/or physical therapy needs as related to the students’ educational programs in the district. − Assures appropriate resources to the schools to provide occupational and/or physical therapy services to support the educational program of identified students. − Consults with school personnel, families and others to assure that there is integration of educationally related OT/PT strategies into the school curriculum and home. − Collects appropriate data to assure compliance of timelines and that eligible students are receiving the necessary occupational and/or physical therapy services. − Collaborates and coordinates with the state office to assure that there is conformance with program standards and established procedural guidelines. − Coordinates with the state office for orientation of new occupational and/or physical therapists. − Coordinates with the schools to assure appropriate office space for the therapy staff within the district. P-1 6/30/10
  • 370.
    Reviews each school’s strategic and academic/financial plans for, and progress towards, attaining effective school status. • Provides consultation and professional assistance to schools and complexes to ensure sound planning, effective implementation, and efficient use of available school resources for curriculum, instruction, and student services reform aspects of school renewal. • Facilitates, monitors, and assesses the effectiveness and responsiveness of fiscal, facilities, personnel, information and telecommunications, and other administrative support services that are centrally administered by DOE state offices and other state agencies; maintains liaison between schools and the central services agencies to assure that services meet current operational and projected school renewal requirements. • Coordinates schools’ requests for assignment of school renewal specialists from Office of Curriculum, Instruction and Student Support or from other complex areas or complexes to assist a particular school or complex in its restructuring efforts; exercises field supervision over school renewal specialists who are assigned to assist the schools and complexes. • Promotes collaboration among schools in each complex to articulate their educational programs and student performance expectations, coordinate school renewal and improvement efforts, and share resources. • Coordinates sharing of resources among complexes in the area, and cooperative support arrangements between complex areas. • Develops and maintains collaborative partnerships with the University of Hawaii and other institutions of higher learning to support school renewal efforts of the complex area schools. • Maintains liaison with government, community, and business organizations and officials on matters of mutual interest involving the complex area’s schools. • Conducts meetings and hearings to ensure administrative due process for students and employees of the complex area in accordance with law and department rules and regulations. Schools Public schools assigned to the complex areas include elementary, intermediate and middle schools, high schools, special schools for qualified students with disabilities, and institutionalized juvenile delinquents, offering instruction in grades K-12; and community schools for adults. Complex Learning Support Centers Complex learning support centers facilitate sharing of curriculum and instructional resources among schools of a school complex, which consists of a high school and its feeder elementary and intermediate or middle schools. The complex learning support centers provide technical support to schools in the complex. In addition, there is much collaboration between and among support centers. P-2 6/30/10