MATA KULIAH : BIOKIMIA
NAMA DOSEN PEMBIMBING:Dr.Muh.Marlin
“METABOLISME PURIN DAN PIRIMIDIN”

DISUSUN OLEH:KELOMPOK 1( TNGKT 1A )
1. Alfini Ambo
2. Ayu Andiani Achdaniyah
3. Cece Indrawati
4. Dewi sartina
5. Eka fitriani
5. Elvi zariska
7. Fadilah Nur
8. Fatmawati
9. Herida andiwahyuni
10. Halifah
AKADEMI KEBIDANAN PARAMATA RAHA
KABUPATEN MUNA
2012
KATA PENGANTAR

Puji syukur kami panjatkan kepada Tuhan Yang Maha Esa atas Rahmatnya sehingga
kami dapat menyelesaikan tugas makalah ini yang membahas tentang METABOLISME PURIN
DAN PIRIMIDIN.
Terima kasih kami ucapkan kepada Dosen pembimbing atas bimbingan dan pendidikan
yang diberikan sehingga kami dapat menyelesaikan tugas ini dengan baik.
Makalah ini merupakan hasil diskusi kelompok kami.Pembahasan di dalamnya kami
dapatkan dari kuliah, browsing internet, diskusi anggota, dll.Dengan pemahaman berdasarkan
pokok bahasan masalah Metabolisme Purin dan Pirimidin.
Kami sadari makalah ini masih jauh dari kesempurnaan. Kritik dan saran yang membangun
dari semua pihak sangat kami harapkan demi kesempurnaan makalah yang selanjutnya.Demikian
yang dapat kami sampaikan, semoga makalah ini dapat bermanfaat khususnya bagi kami yang
sedang menempuh pendidikan dan dapat dijadikan pelajaran bagi teman-teman dan kami
khususnya.

Raha,27 Mei 1994

Penulis
DAFTAR ISI
KATA PENGANTAR
DAFTAR ISI
BAB I. PENDAHULUAN
A. Latar Belakang……………………………………………………………….
B. Rumusan Masalah……………………………………………………………
C. Tujuan Penulisan…………………………………………………………….
D. Manfaat Penulisan……………………………………………………………
E. Metode Penulisan……………………………………………………………
BAB II. PEMBAHASAN
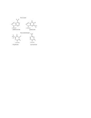
A. Pengertian Purin dan Pirimidin………………………………………………
B. Metabolisme purin Dan Pirimidin……………………………………………
C. Asam Nukleat………………………………………………………………..
D. Nukleosida Alam…………………………………………………………….
E. Perbedaan DNA dan RNA…………………………………………………..
F. Katabolisme Asam Nukleat………………………………………………….
G. Katabolisme Purin……………………………………………………………
H. Katabolisme Pirimidin……………………………………………………….
I. Asam Urat……………………………………………………………………
BAB III. PENUTUP
A. Kesimpulan…………………………………………………………………..
B. Saran…………………………………………………………………………
DAFTAR PUSTAKA
BAB I
PENDAHULUAN

A. LATAR BELAKANG
Purin dan Pirimidin merupakan komponen utama DNA, RNA, koenzim (NAD, NADP,
ATP, UDPG). Inti purin dan pirimidin adalah inti dari senyawa komponen molekul nukleotida
asam nukleat RNA dan DNA. Contoh Pirimidin: (sitosin, urasil, timin) → dimetabolisme jadi
CO2 dan NH3. Sedangkan contoh Purin adalah Adenin dan Guanin. Purin dan Pirimidin
merupakan unsur yang nonesensial secara dietetik artinya manusia dapat mensintesis nukleotida
secara denovo (dari senyawa intermediet anfibolik), meskipun tidak mengkonsumsi asam
nukleat.
Sintesis purin terjadi di hati. Sintesis dari nukleotida purin dimulai dengan PRPP dan
mengarah ke penuh pertama terbentuk nukleotida, inosine 5′-monophosphate (IMP). jalur ini
adalah diagram di bawah ini. Basis purin tanpa terikat pada molekul ribosa terlampir adalah
Hipoxantina. Basis purin dibangun di atas ribosa dengan beberapa amidotransferase dan reaksi
transformylation. Sintesis IMP membutuhkan lima mol ATP, dua mol glutamin, satu mol glisin,
satu mol CO

2,

satu mol aspartate dan dua mol formate. Para moieties formil dilakukan pada

tetrahydrofolate (THF) dalam bentuk N 5, N 10-methenyl-THFdan N 10-formil-THF.
Sintesis AMP dan GMP dari IMP
Sintesis pertama terbentuk sepenuhnya nukleotida purin, monophosphate inosine, IMP
dimulai

dengan

5-phospho-α-ribosyl-1-pirofosfat,

PRPP.

Melalui

serangkaian

reaksi

menggunakan ATP, tetrahydrofolate (THF) derivatif, glutamin, glisin dan aspartate ini
menghasilkan jalur IMP. Tingkat membatasi reaksi ini dikatalisis oleh glutamin amidotransferase
PRPP, enzim ditunjukkan oleh 1 pada Gambar tersebut. Struktur nucleobase dari IMP
(Hipoxantina) akan muncul.
IMP merupakan titik cabang untuk biosintesis purin, karena dapat dikonversi menjadi baik
AMP atau GMP melalui dua jalur reaksi yang berbeda. jalur yang mengarah ke AMP
memerlukan energi dalam bentuk GTP; yang mengarah ke GMP memerlukan energi dalam
bentuk ATP. Pemanfaatan GTP dalam jalur untuk sintesis AMP memungkinkan sel untuk
mengontrol proporsi AMP dan GMP untuk dekat kesetaraan. GTP akumulasi kelebihan akan
menyebabkan sintesis AMP dipercepat dari IMP sebaliknya, dengan mengorbankan sintesis
GMP. Sebaliknya, sejak konversi IMP untuk GMP memerlukan ATP, akumulasi kelebihan ATP
menyebabkan sintesis percepatan GMP atas yang AMP.
Sintesis dari pirimidin kurang kompleks dibandingkan dengan purin, karena dasar jauh lebih
sederhana. Basis menyelesaikan pertama adalah berasal dari 1 mol glutamin, salah satu mol
ATP dan satu mol CO 2 (yang merupakan karbamoilfosfat) dan satu mol aspartate. Sebuah mol
tambahan glutamin dan ATP yang diperlukan dalam konversi UTP untuk CTP adalah. Jalur
biosintesis pirimidin yang digambarkan di bawah ini. Karbamoilfosfat digunakan untuk sintesis
nukleotida pirimidin berasal dari glutamin dan bikarbonat, dalam sitosol, yang bertentangan
dengan siklus karbamoil fosfat urea berasal dari amonia dan bikarbonat dalam mitokondria.
Reaksi siklus urea dikatalisis oleh sintetase karbamoilfosfat I (CPS-I) sedangkan prekursor
nukleotida pirimidin disintesis oleh CPS-II. karbamoilfosfat kemudian kental dengan aspartat
dalam reaksi dikatalisis oleh enzim yang membatasi laju biosintesis nukleotida pirimidin,
transcarbamoylase aspartate (ATCase).

B. RUMUSAN MASALAH

A. Pengertian Purin dan Pirimidin
B. Metabolisme purin Dan Pirimidin
C. Asam Nukleat
D. Nukleosida Alam
E. Perbedaan DNA dan RNA
F. Katabolisme Asam Nukleat
G. Katabolisme Purin
H. Katabolisme Pirimidin
I. Asam Urat
C. TUJUAN PENULISAN
1. Untuk Mengetahui Pengertian Purin dan Pirimidin
2. Untuk Mengetahui Metabolisme purin Dan Pirimidin
3. Untuk Mengetahui Nukleosida Alam
4. Untuk Mengetahui Perbedaan DNA dan RNA
5. Untuk Mengetahui Katabolisme Asam Nukleat
6. Untuk Mengetahui Katabolisme Purin
7. Untuk Mengetahui Katabolisme Pirimidin

D. MANFAAT PENULISAN
Agar dapat menambah wawasan mahasiswi tentang metabolisme purin dan pirimidin.
E. METODE PENULISAN
Data penulisan makalah ini diperoleh dengan metode studi kepustakaan. Metode studi
kepustakaan yaitu suatu metode dengan membaca pustaka tentang Metabolisme Purin dan
Pirimidin.Selain itu, tim penulis juga memperoleh data dari internet.
BAB II
PEMBAHASAN

A. Pengertian Purin dan Pirimidin

Purin dan Pirimidin merupakan komponen utama DNA, RNA, koenzim (NAD, NADP,
ATP, UDPG). Inti purin dan pirimidin adalah inti dari senyawa komponen molekul nukleotida
asam nukleat RNA dan DNA. Contoh Pirimidin: (sitosin, urasil, timin) → dimetabolisme jadi
CO2 dan NH3. Sedangkan contoh Purin adalah Adenin dan Guanin. Purin dan Pirimidin
merupakan unsur yang nonesensial secara dietetik artinya manusia dapat mensintesis nukleotida
secara denovo (dari senyawa intermediet anfibolik), meskipun tidak mengkonsumsi asam
nukleat.

Inti Purin dan Pirimidin adalah inti dari senyawa komponen molekul nukleotida asam
nukleat RNA dan DNA. Derivat Purin berupa senyawa: Adenin dan Guanin. sedangkan Derivat
Pirimidin berupa senyawa: sitosin, urasil dan timin. Nukleosida diberi nama sesuai nama basa
pembentuknya: adenin nukleisida (adenosin), guanin nukleisida (guanosin), urasil nukleosida
(uridin), timin nukleisida (timidin), sitosin nukleisida (sitidin).
Purin dan pirimidin merupakan komponen utama DNA, RNA, koenzim, (NAD, NADP,
ATP, UDPG)
Contoh Purin: (adenin, guanin, hipoxantin, xantin) → dimetabolisme jadi asam urat
Contoh Pirimidin: (sitosin, urasil, timin) → dimetabolisme jadi CO2 dan NH3
B. Metabolisme apaurin Dan Pirimidin
C. Asam Nukleat
Asam nukleat atau asam inti, dikatakan demikian karena asam tersebut pertama kali
diketemukan didalam inti sel. Di dalam inti sel asam nukleat ada dalam bentuk: DNA dan RNA.
DNA (Deoksiribo Nukleic Acid) merupakan bahan genetik yang disebut Gen. RNA (Ribo
Nukleic Acid) merupakan bahan cetakan (template) informasi genetic.
Nukleoprotein
Nukleoprotein → asam nukleat + protein
Asam nukleat → gabungan nukleotida
Nukleotida → nukleosida + asam fosfat
Nukleosida → basa purin/pirimidin + pentosa
Hidrolisis nukleoprotein → protein, asam fosfat, pento sa, basa purin atau basa pirimidin
Macam Asam Nukleat:
1.

DNA (deoksiribonucleic acid)

DNA mengandung gugus gula pentosa yang kehilangan satu atom oksigen (deoksiribosa),
dengan basa : adenin, guanin,
sitosin, timin.
2

RNA (ribonucleic acid)

RNA: mengandung gugus gula pentose (ribosa), dengan basa: adenin, guanin, sitosin, urasil
D. Nukleosida Alam
Adenin nukleotida /Adenosin Mono fosfat (AMP)
Guanin nukleotida /Guanosin Mono fosfat (GMP)
Hipoksantin nukleotida/Inosin Mono fosfat (IMP)
Urasil nukleotida/Uridin Mono fosfat (UMP)
Sitidin nukleotida/Sitidin Mono fosfat (SMP)
Timin nukleotida/Timidin Mono fosfat (TMP)
Adenosin Trifosfat (ATP) → ikatan energi tinggi
Uridin Trifosfat (UTP) → ikatan energi tinggi
E. Perbedaan DNA dan RNA

Macam-Macam RNA
mRNA (messenger RNA): membawa kode genetik dari inti ke ribosom (sebagai tempat sintesa
protein), kode terdiri 3 nukleotida yang disebut Kodon. tRNA (transfer R
NA): membawa bahan sintesa protein dari sitoplasma ke ribosom, sesuai kode yang dibawa
mRNA, kode dalam rRNA disebut: Antikodon. rRNA (ribosomal RNA): tempat sintesa protein
F. Katabolisme Asam Nukleat
Nukleoprotein dalam pencernakan akan dipecah jadi molekul yang lebih kecil → Nukleoprotein
→ asam nukleat + protein. Asam nukleat → Nukleotida → Nukleosida + asam fosfat.
Nukleosida → basa purin/pirimidin + pentose. Hidrolisis nukleoprotein → protein, asam fosfat,
pentosa, basa purin atau basa pirimidin.
G. Katabolisme Purin
Adenosin → Inosin → Hiposantin → Santin → Asam Urat. Guanosin → Guanin → Santin →
Asam Urat. Santin oksidase adalah enzim yang merubah santin → asam urat, enzim tsb banyak
terdapat di: hati, ginjal, usus halus. Penyakit Gout (pirai) ditandai oleh tingginya asam urat dalam
tubuh, sehingga terjadi penimbunan dibawah kulit berbentuk tophi
H. Katabolisme Pirimidin
Sitosin → Urasil → Dihidrourasil → Asam β ureidopropionat → CO2 + NH3. Timin →
Dihidrotimin → Asam β ureidoisobutirat → CO2 + NH3. Katabolisme pirimidin terutama
berlangsung di hati.
I. Asam Urat
Asam urat dibentuk dari metabolisme purin dieksresikan melalui ginjal. Jika produksi purin
meningkat atau ekskresi menurun → penumpukan asam urat dalam darah → penyakit Gout.
Gout adalah penyakit di mana terjadi penumpukan asam urat dalam tubuh secara berlebihan, baik
akibat produksi yang meningkat, atau pembuangan melalui ginjal yang menurun, atau akibat
peningkatan asupan makanan kaya purin.
BAB III
PENUTUP
A. KESIMPULAN

Purin dan Pirimidin merupakan komponen utama DNA, RNA, koenzim (NAD, NADP,
ATP, UDPG). Inti purin dan pirimidin adalah inti dari senyawa komponen molekul nukleotida
asam nukleat RNA dan DNA. Contoh Pirimidin: (sitosin, urasil, timin) → dimetabolisme jadi
CO2 dan NH3. Sedangkan contoh Purin adalah Adenin dan Guanin. Purin dan Pirimidin
merupakan unsur yang nonesensial secara dietetik artinya manusia dapat mensintesis nukleotida
secara denovo (dari senyawa intermediet anfibolik), meskipun tidak mengkonsumsi asam
nukleat.

B. SARAN

1. Diharapkan kepada seluruh mahasiswi untuk dapat memehami isi dari materi ini.
2. Diharapkan setelah mempelajari materi ini mahasiswi bisa menambah wawasannya
mengenai materi ini.
DAFTAR PUSTAKA

Colby.1992. Ringkasan Biokimia Harper.Jakarta: Adji Dharma
Harper, Rodwell, Mayes. 1977.Review of Physiological Chemistry
Harjasasmita.1996.Ikhtisar Biokimia Dasar B.Jakarta;FKUI
Poedjiadi, Supriyanti.2007.Dasar-Dasar Biokimia.Bandung;UI Press
Toha.2001.Biokimia Metabolisme Biomolekul.Bandung;Alfabeta
Wirahadikusumah.1985.Metabolisme Energi, Karbohidrat dan Lipid. Bandung, ITB

Tugas dr.marlin purin

  • 1.
    MATA KULIAH :BIOKIMIA NAMA DOSEN PEMBIMBING:Dr.Muh.Marlin “METABOLISME PURIN DAN PIRIMIDIN” DISUSUN OLEH:KELOMPOK 1( TNGKT 1A ) 1. Alfini Ambo 2. Ayu Andiani Achdaniyah 3. Cece Indrawati 4. Dewi sartina 5. Eka fitriani 5. Elvi zariska 7. Fadilah Nur 8. Fatmawati 9. Herida andiwahyuni 10. Halifah AKADEMI KEBIDANAN PARAMATA RAHA KABUPATEN MUNA 2012
  • 2.
    KATA PENGANTAR Puji syukurkami panjatkan kepada Tuhan Yang Maha Esa atas Rahmatnya sehingga kami dapat menyelesaikan tugas makalah ini yang membahas tentang METABOLISME PURIN DAN PIRIMIDIN. Terima kasih kami ucapkan kepada Dosen pembimbing atas bimbingan dan pendidikan yang diberikan sehingga kami dapat menyelesaikan tugas ini dengan baik. Makalah ini merupakan hasil diskusi kelompok kami.Pembahasan di dalamnya kami dapatkan dari kuliah, browsing internet, diskusi anggota, dll.Dengan pemahaman berdasarkan pokok bahasan masalah Metabolisme Purin dan Pirimidin. Kami sadari makalah ini masih jauh dari kesempurnaan. Kritik dan saran yang membangun dari semua pihak sangat kami harapkan demi kesempurnaan makalah yang selanjutnya.Demikian yang dapat kami sampaikan, semoga makalah ini dapat bermanfaat khususnya bagi kami yang sedang menempuh pendidikan dan dapat dijadikan pelajaran bagi teman-teman dan kami khususnya. Raha,27 Mei 1994 Penulis
  • 3.
    DAFTAR ISI KATA PENGANTAR DAFTARISI BAB I. PENDAHULUAN A. Latar Belakang………………………………………………………………. B. Rumusan Masalah…………………………………………………………… C. Tujuan Penulisan……………………………………………………………. D. Manfaat Penulisan…………………………………………………………… E. Metode Penulisan…………………………………………………………… BAB II. PEMBAHASAN A. Pengertian Purin dan Pirimidin……………………………………………… B. Metabolisme purin Dan Pirimidin…………………………………………… C. Asam Nukleat……………………………………………………………….. D. Nukleosida Alam……………………………………………………………. E. Perbedaan DNA dan RNA………………………………………………….. F. Katabolisme Asam Nukleat…………………………………………………. G. Katabolisme Purin…………………………………………………………… H. Katabolisme Pirimidin………………………………………………………. I. Asam Urat…………………………………………………………………… BAB III. PENUTUP A. Kesimpulan………………………………………………………………….. B. Saran………………………………………………………………………… DAFTAR PUSTAKA
  • 4.
    BAB I PENDAHULUAN A. LATARBELAKANG Purin dan Pirimidin merupakan komponen utama DNA, RNA, koenzim (NAD, NADP, ATP, UDPG). Inti purin dan pirimidin adalah inti dari senyawa komponen molekul nukleotida asam nukleat RNA dan DNA. Contoh Pirimidin: (sitosin, urasil, timin) → dimetabolisme jadi CO2 dan NH3. Sedangkan contoh Purin adalah Adenin dan Guanin. Purin dan Pirimidin merupakan unsur yang nonesensial secara dietetik artinya manusia dapat mensintesis nukleotida secara denovo (dari senyawa intermediet anfibolik), meskipun tidak mengkonsumsi asam nukleat. Sintesis purin terjadi di hati. Sintesis dari nukleotida purin dimulai dengan PRPP dan mengarah ke penuh pertama terbentuk nukleotida, inosine 5′-monophosphate (IMP). jalur ini adalah diagram di bawah ini. Basis purin tanpa terikat pada molekul ribosa terlampir adalah Hipoxantina. Basis purin dibangun di atas ribosa dengan beberapa amidotransferase dan reaksi transformylation. Sintesis IMP membutuhkan lima mol ATP, dua mol glutamin, satu mol glisin, satu mol CO 2, satu mol aspartate dan dua mol formate. Para moieties formil dilakukan pada tetrahydrofolate (THF) dalam bentuk N 5, N 10-methenyl-THFdan N 10-formil-THF. Sintesis AMP dan GMP dari IMP Sintesis pertama terbentuk sepenuhnya nukleotida purin, monophosphate inosine, IMP dimulai dengan 5-phospho-α-ribosyl-1-pirofosfat, PRPP. Melalui serangkaian reaksi menggunakan ATP, tetrahydrofolate (THF) derivatif, glutamin, glisin dan aspartate ini menghasilkan jalur IMP. Tingkat membatasi reaksi ini dikatalisis oleh glutamin amidotransferase PRPP, enzim ditunjukkan oleh 1 pada Gambar tersebut. Struktur nucleobase dari IMP (Hipoxantina) akan muncul.
  • 5.
    IMP merupakan titikcabang untuk biosintesis purin, karena dapat dikonversi menjadi baik AMP atau GMP melalui dua jalur reaksi yang berbeda. jalur yang mengarah ke AMP memerlukan energi dalam bentuk GTP; yang mengarah ke GMP memerlukan energi dalam bentuk ATP. Pemanfaatan GTP dalam jalur untuk sintesis AMP memungkinkan sel untuk mengontrol proporsi AMP dan GMP untuk dekat kesetaraan. GTP akumulasi kelebihan akan menyebabkan sintesis AMP dipercepat dari IMP sebaliknya, dengan mengorbankan sintesis GMP. Sebaliknya, sejak konversi IMP untuk GMP memerlukan ATP, akumulasi kelebihan ATP menyebabkan sintesis percepatan GMP atas yang AMP. Sintesis dari pirimidin kurang kompleks dibandingkan dengan purin, karena dasar jauh lebih sederhana. Basis menyelesaikan pertama adalah berasal dari 1 mol glutamin, salah satu mol ATP dan satu mol CO 2 (yang merupakan karbamoilfosfat) dan satu mol aspartate. Sebuah mol tambahan glutamin dan ATP yang diperlukan dalam konversi UTP untuk CTP adalah. Jalur biosintesis pirimidin yang digambarkan di bawah ini. Karbamoilfosfat digunakan untuk sintesis nukleotida pirimidin berasal dari glutamin dan bikarbonat, dalam sitosol, yang bertentangan dengan siklus karbamoil fosfat urea berasal dari amonia dan bikarbonat dalam mitokondria. Reaksi siklus urea dikatalisis oleh sintetase karbamoilfosfat I (CPS-I) sedangkan prekursor nukleotida pirimidin disintesis oleh CPS-II. karbamoilfosfat kemudian kental dengan aspartat dalam reaksi dikatalisis oleh enzim yang membatasi laju biosintesis nukleotida pirimidin, transcarbamoylase aspartate (ATCase). B. RUMUSAN MASALAH A. Pengertian Purin dan Pirimidin B. Metabolisme purin Dan Pirimidin C. Asam Nukleat D. Nukleosida Alam E. Perbedaan DNA dan RNA F. Katabolisme Asam Nukleat
  • 6.
    G. Katabolisme Purin H.Katabolisme Pirimidin I. Asam Urat C. TUJUAN PENULISAN 1. Untuk Mengetahui Pengertian Purin dan Pirimidin 2. Untuk Mengetahui Metabolisme purin Dan Pirimidin 3. Untuk Mengetahui Nukleosida Alam 4. Untuk Mengetahui Perbedaan DNA dan RNA 5. Untuk Mengetahui Katabolisme Asam Nukleat 6. Untuk Mengetahui Katabolisme Purin 7. Untuk Mengetahui Katabolisme Pirimidin D. MANFAAT PENULISAN Agar dapat menambah wawasan mahasiswi tentang metabolisme purin dan pirimidin. E. METODE PENULISAN Data penulisan makalah ini diperoleh dengan metode studi kepustakaan. Metode studi kepustakaan yaitu suatu metode dengan membaca pustaka tentang Metabolisme Purin dan Pirimidin.Selain itu, tim penulis juga memperoleh data dari internet.
  • 7.
    BAB II PEMBAHASAN A. PengertianPurin dan Pirimidin Purin dan Pirimidin merupakan komponen utama DNA, RNA, koenzim (NAD, NADP, ATP, UDPG). Inti purin dan pirimidin adalah inti dari senyawa komponen molekul nukleotida asam nukleat RNA dan DNA. Contoh Pirimidin: (sitosin, urasil, timin) → dimetabolisme jadi CO2 dan NH3. Sedangkan contoh Purin adalah Adenin dan Guanin. Purin dan Pirimidin merupakan unsur yang nonesensial secara dietetik artinya manusia dapat mensintesis nukleotida secara denovo (dari senyawa intermediet anfibolik), meskipun tidak mengkonsumsi asam nukleat. Inti Purin dan Pirimidin adalah inti dari senyawa komponen molekul nukleotida asam nukleat RNA dan DNA. Derivat Purin berupa senyawa: Adenin dan Guanin. sedangkan Derivat Pirimidin berupa senyawa: sitosin, urasil dan timin. Nukleosida diberi nama sesuai nama basa pembentuknya: adenin nukleisida (adenosin), guanin nukleisida (guanosin), urasil nukleosida (uridin), timin nukleisida (timidin), sitosin nukleisida (sitidin). Purin dan pirimidin merupakan komponen utama DNA, RNA, koenzim, (NAD, NADP, ATP, UDPG) Contoh Purin: (adenin, guanin, hipoxantin, xantin) → dimetabolisme jadi asam urat Contoh Pirimidin: (sitosin, urasil, timin) → dimetabolisme jadi CO2 dan NH3
  • 12.
  • 13.
    C. Asam Nukleat Asamnukleat atau asam inti, dikatakan demikian karena asam tersebut pertama kali diketemukan didalam inti sel. Di dalam inti sel asam nukleat ada dalam bentuk: DNA dan RNA. DNA (Deoksiribo Nukleic Acid) merupakan bahan genetik yang disebut Gen. RNA (Ribo Nukleic Acid) merupakan bahan cetakan (template) informasi genetic.
  • 14.
    Nukleoprotein Nukleoprotein → asamnukleat + protein Asam nukleat → gabungan nukleotida Nukleotida → nukleosida + asam fosfat Nukleosida → basa purin/pirimidin + pentosa Hidrolisis nukleoprotein → protein, asam fosfat, pento sa, basa purin atau basa pirimidin
  • 15.
    Macam Asam Nukleat: 1. DNA(deoksiribonucleic acid) DNA mengandung gugus gula pentosa yang kehilangan satu atom oksigen (deoksiribosa), dengan basa : adenin, guanin, sitosin, timin.
  • 16.
    2 RNA (ribonucleic acid) RNA:mengandung gugus gula pentose (ribosa), dengan basa: adenin, guanin, sitosin, urasil
  • 17.
    D. Nukleosida Alam Adeninnukleotida /Adenosin Mono fosfat (AMP) Guanin nukleotida /Guanosin Mono fosfat (GMP) Hipoksantin nukleotida/Inosin Mono fosfat (IMP) Urasil nukleotida/Uridin Mono fosfat (UMP) Sitidin nukleotida/Sitidin Mono fosfat (SMP) Timin nukleotida/Timidin Mono fosfat (TMP) Adenosin Trifosfat (ATP) → ikatan energi tinggi Uridin Trifosfat (UTP) → ikatan energi tinggi
  • 19.
    E. Perbedaan DNAdan RNA Macam-Macam RNA
  • 20.
    mRNA (messenger RNA):membawa kode genetik dari inti ke ribosom (sebagai tempat sintesa protein), kode terdiri 3 nukleotida yang disebut Kodon. tRNA (transfer R NA): membawa bahan sintesa protein dari sitoplasma ke ribosom, sesuai kode yang dibawa mRNA, kode dalam rRNA disebut: Antikodon. rRNA (ribosomal RNA): tempat sintesa protein F. Katabolisme Asam Nukleat Nukleoprotein dalam pencernakan akan dipecah jadi molekul yang lebih kecil → Nukleoprotein → asam nukleat + protein. Asam nukleat → Nukleotida → Nukleosida + asam fosfat. Nukleosida → basa purin/pirimidin + pentose. Hidrolisis nukleoprotein → protein, asam fosfat, pentosa, basa purin atau basa pirimidin. G. Katabolisme Purin Adenosin → Inosin → Hiposantin → Santin → Asam Urat. Guanosin → Guanin → Santin → Asam Urat. Santin oksidase adalah enzim yang merubah santin → asam urat, enzim tsb banyak terdapat di: hati, ginjal, usus halus. Penyakit Gout (pirai) ditandai oleh tingginya asam urat dalam tubuh, sehingga terjadi penimbunan dibawah kulit berbentuk tophi H. Katabolisme Pirimidin Sitosin → Urasil → Dihidrourasil → Asam β ureidopropionat → CO2 + NH3. Timin → Dihidrotimin → Asam β ureidoisobutirat → CO2 + NH3. Katabolisme pirimidin terutama berlangsung di hati. I. Asam Urat Asam urat dibentuk dari metabolisme purin dieksresikan melalui ginjal. Jika produksi purin meningkat atau ekskresi menurun → penumpukan asam urat dalam darah → penyakit Gout. Gout adalah penyakit di mana terjadi penumpukan asam urat dalam tubuh secara berlebihan, baik akibat produksi yang meningkat, atau pembuangan melalui ginjal yang menurun, atau akibat peningkatan asupan makanan kaya purin.
  • 21.
    BAB III PENUTUP A. KESIMPULAN Purindan Pirimidin merupakan komponen utama DNA, RNA, koenzim (NAD, NADP, ATP, UDPG). Inti purin dan pirimidin adalah inti dari senyawa komponen molekul nukleotida asam nukleat RNA dan DNA. Contoh Pirimidin: (sitosin, urasil, timin) → dimetabolisme jadi CO2 dan NH3. Sedangkan contoh Purin adalah Adenin dan Guanin. Purin dan Pirimidin merupakan unsur yang nonesensial secara dietetik artinya manusia dapat mensintesis nukleotida secara denovo (dari senyawa intermediet anfibolik), meskipun tidak mengkonsumsi asam nukleat. B. SARAN 1. Diharapkan kepada seluruh mahasiswi untuk dapat memehami isi dari materi ini. 2. Diharapkan setelah mempelajari materi ini mahasiswi bisa menambah wawasannya mengenai materi ini.
  • 22.
    DAFTAR PUSTAKA Colby.1992. RingkasanBiokimia Harper.Jakarta: Adji Dharma Harper, Rodwell, Mayes. 1977.Review of Physiological Chemistry Harjasasmita.1996.Ikhtisar Biokimia Dasar B.Jakarta;FKUI Poedjiadi, Supriyanti.2007.Dasar-Dasar Biokimia.Bandung;UI Press Toha.2001.Biokimia Metabolisme Biomolekul.Bandung;Alfabeta Wirahadikusumah.1985.Metabolisme Energi, Karbohidrat dan Lipid. Bandung, ITB