1 
Nama Pelajar : ………………………………… 
Tingkatan 5 : ……………………. 
3472/2 
Additional Mathematics 
August 2014 
MODUL PENINGKATAN PRESTASI TINGKATAN 5 
TAHUN 2014 
ADDITIONAL MATHEMATICS 
Paper 2 
( MODUL 2 ) 
MARKING SCHEME
2 
SULIT 3472/2 
MARKING SCHEME 
ADDITIONAL MATHEMATICS PAPER 2 2014 
N0. SOLUTION MARKS 
1 
x  2y 1 or 
1 
2 
x 
y 
 
 
2 2 x  x  50 
2 x  25 
x  5 x  5 
x  5 and x  5 (both) 
y  2 and y  3 (both) 
P1 
K1 Eliminate x/y 
K1 Solve quadratic equation 
N1 
N1 
5 
2 
(a) 
(b) 
(i) 
(ii) 
7 
8 (1)(2) 
128 
T  
 
10 
10 
(1)(2 1) 
2 1 
1023 
1023 (3)(7)(5) 
107415 
S 
V 
 
 
 
 
  
 
1023 0.8 
818.4 
 
 
K1 
N1 
K1 
K1 
N1 
K1 
N1 
7 
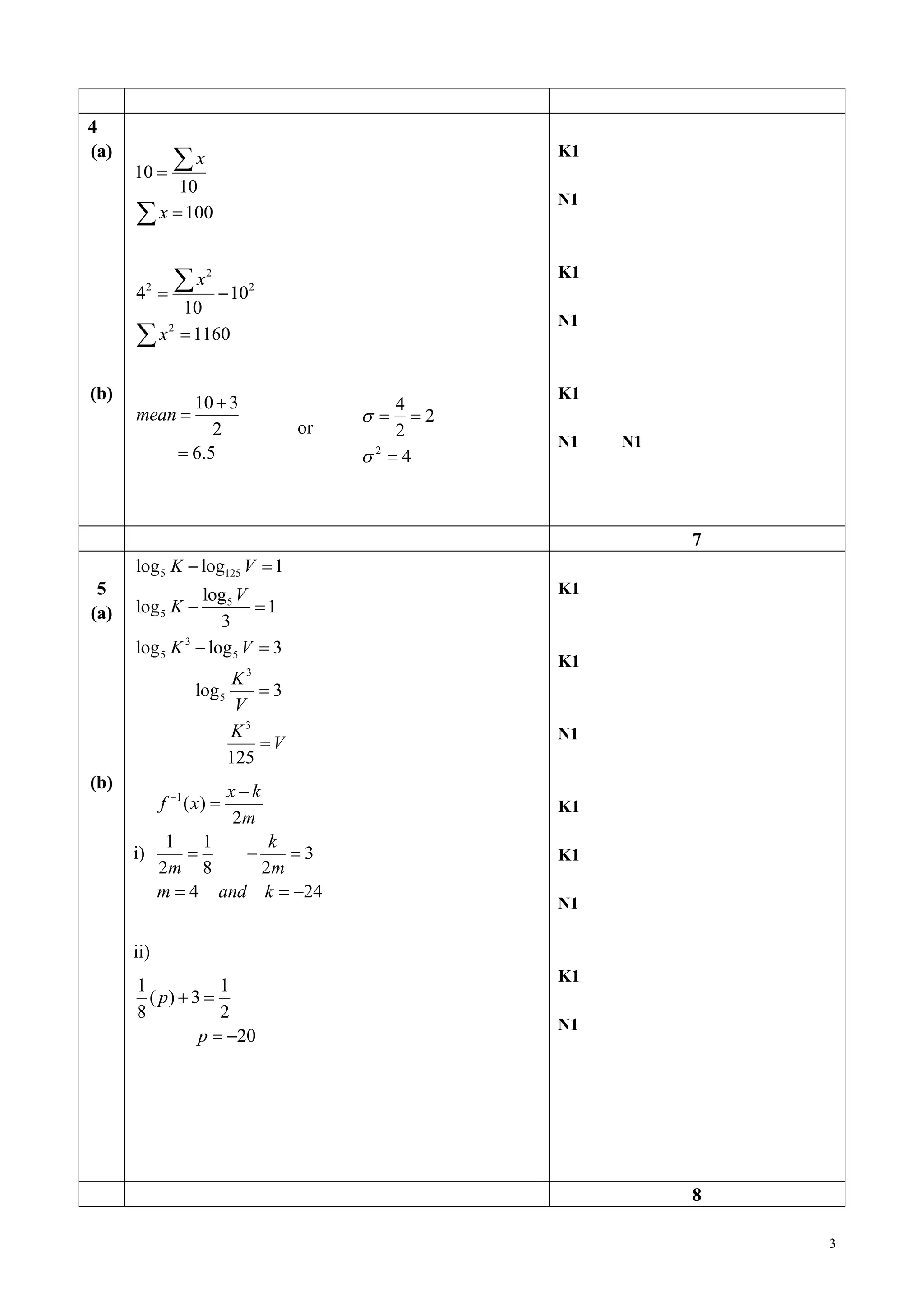
3 
(a) 
(b) 
y = 
x 
 
draw the straight line y = 
x 
 
Number of solutions = 3 
P1 cos shape correct. 
P1 Amplitude = 2 [ Maximum = 1 
and Minimum = -1 ] 
P1 
1 
1 
2 
cycle in 0  x   or 
N1 For equation 
K1 Sketch the straight line 
N1 
6 
-4 

3 
4 
(a) 
(b) 
10 
10 
100 
x 
x 
 
 
 
 
2 
2 2 
2 
4 10 
10 
1160 
x 
x 
  
 
 
 
10 3 
2 
6.5 
mean 
 
 
 
or 
2 
4 
2 
2 
4 
 
 
  
 
K1 
N1 
K1 
N1 
K1 
N1 N1 
7 
5 
(a) 
(b) 
5 125 
5 
5 
3 
5 5 
3 
5 
3 
log log 1 
log 
log 1 
3 
log log 3 
log 3 
125 
K V 
V 
K 
K V 
K 
V 
K 
V 
  
  
  
 
 
i) 
1( ) 
2 
1 1 
3 
2 8 2 
4 24 
x k 
f x 
m 
k 
m m 
m and k 
  
 
   
   
ii) 
1 1 
( ) 3 
8 2 
20 
p 
p 
  
  
K1 
K1 
N1 
K1 
K1 
N1 
K1 
N1 
8
4 
6 
(a) 
(b) 
(3 1)(3 1) 
( ) 3 1 
3 1 
'( ) 3 
x x 
f x x 
x 
f x 
  
   
 
 
i) 
2 
2 
3 
2 (2) 3(2) 
2 
dy 
kx x 
dx 
k 
k 
  
   
  
ii) 
1 
2 
1 
12 (2) 
2 
1 
11 
2 
normal m 
c 
y x 
 
  
  
K1 
N1 
K1 
N1 
P1 
K1 
N1 
7
5 
7 
(a) 
(b) 
(c) 
(i) 
(ii) 
(iii) 
x 1 2 3 4 5 6 
2 
y 
x 
3.5 5.5 7.5 9.5 11.5 13.5 
2 
y 
x 
2 
y 
x 
= kx+ 
p 
k 
k = *gradient 
k = 2.0 
p 
k 
= *y-intercept 
p = 3.0 
y = 40 
N1 6 correct 
values of 
2 
y 
x 
K1 Plot 
2 
y 
x 
vs x. 
Correct axes & 
uniform scale 
N1 6 points plotted 
correctly 
N1 Line of best-fit 
P1 
K1 
N1 
K1 
N1 
N1 
10 
1.5 
0 
x
6 
N0. SOLUTION MARKS 
8(a) 
i) 
ii) 
iii) 
b) 
2 
(9 ) 
3 
TS  x 
2 
PT 
QR  
TR  TP  PQQR 
PS  PT TS 
MS  MR  RS 
PS kMS 
PS PT TS 
 
  
6x 8y = 
k =4 
PS  4MS and S is a common point or equivalent 
2 2 
1 3 
6( ) 8( ) 
2 4 
PS 
    
      
    
= 45 
K1 (TS or QR ) 
N1 
K1 
N1 
K1 
N1 
K1 
N1 
K1 
N1 
8 9 4 
9 4 
y x y 
x y 
    
  
 3 4  
2 
9 4 
3 4 
2 
3 
2 
2 
TR 
x y 
x y 
x y 
x 
y 
    
   
     
  
  
 6x 8y 
3 
( 2 ) 
2 
k x  y 
= 6x 
= 4y 
 6x 8y
7 
9 
a) 
b) 
c) 
2 
2 
3 4 
3 4 0 
( 1)( 4) 0 
4, 16 
(4,16) 
x x 
x x 
x x 
x y 
K 
  
   
   
  
4 
2 
y 
x 
 
 
2 
2 
0 
2 
3 
0 
3 
2 
(4)(2) 
8 
3 
2 
8 
3 
16 
3 
x dx 
x 
cm 
  
  
   
  
  
   
  
 
 
16 
2 
4 
16 
2 
4 
2 2 
1 
(4) (12) 
3 
64 
2 
16 4 
64 
2 2 
256 16 
64 
2 2 
56 
ydy 
y 
  
  
  
  
 
  
   
  
  
    
  
  
     
  
  
     
  
 
 
K1 for solving 
quad.eqn. 
N1 
N1 
K1 use area of 
rectangle -  ( y) dx 
K1 integrate 
correctly 
and Sub. 
the limit 
correctly 
N1 
K1 
K1 correct limit 
K1 integrate 
correctly 
N1 
10 
Area B 
Volume A
8 
N0. SOLUTION MARKS 
10 
(a) 
(b) 
(c) 
60o 
1.047 rad 
8(1.047) OB S  or 8(2.095) BC S  OR 8(3.142) AC S  
= 8.38 = 16.76 = 25.14 
Perimeter = 8.38+16.76+8 or Perimeter = 25.14 + 8 
= 33.14 = 33.14 
Area of OAB = 2 1 
(8) (1.047) 
2 
= 33.50 cm2 
Area of triangle OAB = 2 1 
(8) sin 60 
2 
= 27.71 
Area of the shaded region = 33.50 – 27.71 
= 5.79 cm2 
P1 
N1 
K1 Use s  r 
N1 
K1 
N1 
K1 Use formula 
1 2 
2 
A  r  
K1 
K1 
N1 
10
9 
N0. SOLUTION MARKS 
11 
(a) 
(i) 
(ii) 
(b) 
(i) 
(ii) 
X= Students passed Mathematics 
p = 0.85 , q = 1- 0.85 = 0.15 , n = 6 
P(X =6) = 6 6 0 
6 c (0.85) (0.15) 
=0.3772 
P (Y≥2) = 1 – P(Y=0) – P(Y = 1) 
Or = P(Y  2)  P(Y  3) ......... P(Y  6) 
= 1 - 6 1 5 
1c (0.15) (0.85) - 6 0 6 
0 c (0.15) (0.85) 
=0.2235 
μ= 52 , σ =10 
P( 40 < X < 60 ) = P ( 
40 52 
10 
 
< Z < 
60 52 
10 
 
) 
= P( -1.2 < Z < 0.8) 
= 0.6731 
n = 0.6731 x 500 
n = 337 
P1 
K1 Use P ( X=r ) = 
r n r 
r 
n C p q  
N1 
K1 
N1 
K1 Use Z = 
 
X   
K1 
N1 
K1 
N1 
10
10 
N0. SOLUTION MARKS 
12 
(a) 
(b) 
(c) 
(d) 
a  k 6t 
k 6(2.5)  0 
k = 15 
2 3 15 
2 
s  t t 
2 3 15 
0 
2 
t t  
t = 7.5 s 
2 15t 3t  0 
t = 5 
Total distance 
= 
5 7 
2 2 
3 3 
0 5 
15 15 
2 2 
t t 
t t 
    
       
    
d = 62.5 + 38 
= 100.5 
K1 
N1 
K1 
K1 
N1 
K1 
N1 
K1 (for 
Integration; 
either one 
and 
substitute 
the limit 
5 7 
0 5 
 or ) 
K1 
(for use and 
summation) 
N1 
10
11 
N0. 
SOLUTION 
MARKS 
13 
(a) 
(b) 
(i) 
(ii) 
(iii) 
(i) 
KI (PetuaKosinus) 
N1 
K1 (Petua Sinus) 
N1 
K1 (GunaPetua Sinus) 
K1 
N1 
K1 
K1 
N1 
10
12 
N0. 
SOLUTION 
MARKS 
14 
(a) 
(b) 
(c) 
(i) 
Lihat 45º 
I2012/2010 = 
= 124.64 
I2014/2010 = 124.64 
= 137.10 
Q2014 = 
= RM685.50 
K1 
N1 
K1 
N1 
K1 
K1 
N1 
K1 
K1 
N1 
10 
i)
13 
N0. SOLUTION MARKS 
15 
(a) 
(b) 
(c) 
i) 
ii) 
iii) 
 Sekurang-kurangnya 1 garislurusdilukis dengan betul yang 
melibatanx dan y. 
 Semuagarislurusdilukisbetul. 
 Kawasandilorek dengan betul 
i) BilanganmaksimumbantalA = 220 
ii) Titikmaksimum (300, 200) 
Keuntunganmaksimum; 
k = RM8 400 
N1 
N1 
N1 
K1 
K1 
N1 
N1 
P1 
K1 
N1 
10 
END OF MARKING SCHEME 
650 
600 
550 
500 
450 
400 
350 
300 
250 
200 
150 
100 
50 
-50 
-100 
-400 -300 -200 -100 100 200 300 400 500 600 700 800 900 1000 1100 1200 
220 
(300, 200) 
Type B 
Type A

Trial kedah 2014 spm add math k2 skema

  • 1.
    1 Nama Pelajar: ………………………………… Tingkatan 5 : ……………………. 3472/2 Additional Mathematics August 2014 MODUL PENINGKATAN PRESTASI TINGKATAN 5 TAHUN 2014 ADDITIONAL MATHEMATICS Paper 2 ( MODUL 2 ) MARKING SCHEME
  • 2.
    2 SULIT 3472/2 MARKING SCHEME ADDITIONAL MATHEMATICS PAPER 2 2014 N0. SOLUTION MARKS 1 x  2y 1 or 1 2 x y   2 2 x  x  50 2 x  25 x  5 x  5 x  5 and x  5 (both) y  2 and y  3 (both) P1 K1 Eliminate x/y K1 Solve quadratic equation N1 N1 5 2 (a) (b) (i) (ii) 7 8 (1)(2) 128 T   10 10 (1)(2 1) 2 1 1023 1023 (3)(7)(5) 107415 S V        1023 0.8 818.4   K1 N1 K1 K1 N1 K1 N1 7 3 (a) (b) y = x  draw the straight line y = x  Number of solutions = 3 P1 cos shape correct. P1 Amplitude = 2 [ Maximum = 1 and Minimum = -1 ] P1 1 1 2 cycle in 0  x   or N1 For equation K1 Sketch the straight line N1 6 -4 
  • 3.
    3 4 (a) (b) 10 10 100 x x     2 2 2 2 4 10 10 1160 x x      10 3 2 6.5 mean    or 2 4 2 2 4      K1 N1 K1 N1 K1 N1 N1 7 5 (a) (b) 5 125 5 5 3 5 5 3 5 3 log log 1 log log 1 3 log log 3 log 3 125 K V V K K V K V K V         i) 1( ) 2 1 1 3 2 8 2 4 24 x k f x m k m m m and k          ii) 1 1 ( ) 3 8 2 20 p p     K1 K1 N1 K1 K1 N1 K1 N1 8
  • 4.
    4 6 (a) (b) (3 1)(3 1) ( ) 3 1 3 1 '( ) 3 x x f x x x f x        i) 2 2 3 2 (2) 3(2) 2 dy kx x dx k k        ii) 1 2 1 12 (2) 2 1 11 2 normal m c y x      K1 N1 K1 N1 P1 K1 N1 7
  • 5.
    5 7 (a) (b) (c) (i) (ii) (iii) x 1 2 3 4 5 6 2 y x 3.5 5.5 7.5 9.5 11.5 13.5 2 y x 2 y x = kx+ p k k = *gradient k = 2.0 p k = *y-intercept p = 3.0 y = 40 N1 6 correct values of 2 y x K1 Plot 2 y x vs x. Correct axes & uniform scale N1 6 points plotted correctly N1 Line of best-fit P1 K1 N1 K1 N1 N1 10 1.5 0 x
  • 6.
    6 N0. SOLUTIONMARKS 8(a) i) ii) iii) b) 2 (9 ) 3 TS  x 2 PT QR  TR  TP  PQQR PS  PT TS MS  MR  RS PS kMS PS PT TS    6x 8y = k =4 PS  4MS and S is a common point or equivalent 2 2 1 3 6( ) 8( ) 2 4 PS               = 45 K1 (TS or QR ) N1 K1 N1 K1 N1 K1 N1 K1 N1 8 9 4 9 4 y x y x y        3 4  2 9 4 3 4 2 3 2 2 TR x y x y x y x y                  6x 8y 3 ( 2 ) 2 k x  y = 6x = 4y  6x 8y
  • 7.
    7 9 a) b) c) 2 2 3 4 3 4 0 ( 1)( 4) 0 4, 16 (4,16) x x x x x x x y K           4 2 y x   2 2 0 2 3 0 3 2 (4)(2) 8 3 2 8 3 16 3 x dx x cm                   16 2 4 16 2 4 2 2 1 (4) (12) 3 64 2 16 4 64 2 2 256 16 64 2 2 56 ydy y                                             K1 for solving quad.eqn. N1 N1 K1 use area of rectangle -  ( y) dx K1 integrate correctly and Sub. the limit correctly N1 K1 K1 correct limit K1 integrate correctly N1 10 Area B Volume A
  • 8.
    8 N0. SOLUTIONMARKS 10 (a) (b) (c) 60o 1.047 rad 8(1.047) OB S  or 8(2.095) BC S  OR 8(3.142) AC S  = 8.38 = 16.76 = 25.14 Perimeter = 8.38+16.76+8 or Perimeter = 25.14 + 8 = 33.14 = 33.14 Area of OAB = 2 1 (8) (1.047) 2 = 33.50 cm2 Area of triangle OAB = 2 1 (8) sin 60 2 = 27.71 Area of the shaded region = 33.50 – 27.71 = 5.79 cm2 P1 N1 K1 Use s  r N1 K1 N1 K1 Use formula 1 2 2 A  r  K1 K1 N1 10
  • 9.
    9 N0. SOLUTIONMARKS 11 (a) (i) (ii) (b) (i) (ii) X= Students passed Mathematics p = 0.85 , q = 1- 0.85 = 0.15 , n = 6 P(X =6) = 6 6 0 6 c (0.85) (0.15) =0.3772 P (Y≥2) = 1 – P(Y=0) – P(Y = 1) Or = P(Y  2)  P(Y  3) ......... P(Y  6) = 1 - 6 1 5 1c (0.15) (0.85) - 6 0 6 0 c (0.15) (0.85) =0.2235 μ= 52 , σ =10 P( 40 < X < 60 ) = P ( 40 52 10  < Z < 60 52 10  ) = P( -1.2 < Z < 0.8) = 0.6731 n = 0.6731 x 500 n = 337 P1 K1 Use P ( X=r ) = r n r r n C p q  N1 K1 N1 K1 Use Z =  X   K1 N1 K1 N1 10
  • 10.
    10 N0. SOLUTIONMARKS 12 (a) (b) (c) (d) a  k 6t k 6(2.5)  0 k = 15 2 3 15 2 s  t t 2 3 15 0 2 t t  t = 7.5 s 2 15t 3t  0 t = 5 Total distance = 5 7 2 2 3 3 0 5 15 15 2 2 t t t t                d = 62.5 + 38 = 100.5 K1 N1 K1 K1 N1 K1 N1 K1 (for Integration; either one and substitute the limit 5 7 0 5  or ) K1 (for use and summation) N1 10
  • 11.
    11 N0. SOLUTION MARKS 13 (a) (b) (i) (ii) (iii) (i) KI (PetuaKosinus) N1 K1 (Petua Sinus) N1 K1 (GunaPetua Sinus) K1 N1 K1 K1 N1 10
  • 12.
    12 N0. SOLUTION MARKS 14 (a) (b) (c) (i) Lihat 45º I2012/2010 = = 124.64 I2014/2010 = 124.64 = 137.10 Q2014 = = RM685.50 K1 N1 K1 N1 K1 K1 N1 K1 K1 N1 10 i)
  • 13.
    13 N0. SOLUTIONMARKS 15 (a) (b) (c) i) ii) iii)  Sekurang-kurangnya 1 garislurusdilukis dengan betul yang melibatanx dan y.  Semuagarislurusdilukisbetul.  Kawasandilorek dengan betul i) BilanganmaksimumbantalA = 220 ii) Titikmaksimum (300, 200) Keuntunganmaksimum; k = RM8 400 N1 N1 N1 K1 K1 N1 N1 P1 K1 N1 10 END OF MARKING SCHEME 650 600 550 500 450 400 350 300 250 200 150 100 50 -50 -100 -400 -300 -200 -100 100 200 300 400 500 600 700 800 900 1000 1100 1200 220 (300, 200) Type B Type A