Embed presentation
Downloaded 257 times





























































































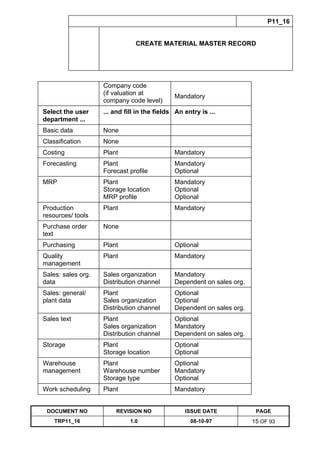
This document provides guidance on creating material master records in SAP. It discusses the material master database structure and organizational levels like client, company code, plant, and storage location. It describes the different types of data stored for each user department like purchasing, MRP, quality management, and accounting. The document provides step-by-step instructions for creating a material master record, including selecting views, entering basic data, classification, purchasing data, and more. Users can reference this document to learn how to properly create and structure material master records in SAP.




























































































