1
ĐỀ CƯƠNG ÔN TẬP HÈ LỚP 7 LÊN LỚP 8
ÔN TẬP KIẾN THỨC HỌC KÌ I
II. PHẦN ĐẠI SỐ
Câu 1. Thực hiện phép tính:
a)
3 2 2 1 5 2
: :
4 7 3 4 7 3
   
− + + − +
   
   
b) ( )
2
0
1 6 14 1
.2 : 2 1,21
2 7 15 3
 
− − + −
 
 
c)
3
1 1 9
4. 1 : 25
2 2 4
 
−
+ − +
 
 
d) ( )
2
1 1
6 3. : 0, 9
3 4
 
 
−
 
− +
 
 
 
 
e)
2 2
1 16 2 1 4
. 81 1 .
2 25 3 2 9
   
− + − −
   
   
f)
2 1 4 8 64 25
0,75 : : . 6.
3 16 15 25 25 144
   
−
− + +
   
   
g) ( )
2
2
3 2
1 1
2 3. 2 .4 2 : .8
2 2
   
+ − − + −
   
   
h)
2 2
5 1 4 5 2
0,36. . : 1
4 4 81 9 5
   
   
   
− + − −
   
   
   
   
i) ( )
2 10 5 7
2 : 3,72 0,02 . : 2,8
3 37 6 15
 
 
− + −
 
 
 
 
Câu 2. Tìm x, biết
1.
15 1 x 5
: 0,5
8 8 4 4
 
− − =
 
 
2.
3 1 1
: x
4 5 4
+ = 3.
3
2 3 1 1
2x x
3 4 8 2
   
− − − = −
   
   
4. ( )( )
2
3x 2 5 x 0
+ − = 5.
2 3
x 1 2
3 4
− − − = 6.
2 2 1
x
3 5 3
− − =
7. x 2 1 2x 0
− − − = 8. ( )
1 4 1
: 3 : 3x 2
12 21 2
= − 9.
8 3
x 5 x 1
=
− +
(với x 5; 1
≠ − )
10)
1 4
2 5
x
x
−
=
+
với ( )
2
x ≠ − . 11)
3 3
2 8
9 27
x
   
− =
   
   
. 12) 1
2.3 405 3
x x−
− =.
13)
8
4
3 2
4 3
x
 
=
 
 
. 14) ( )
2 36
5 1
49
x + =. 15) ( )
3 1
0,5
64
x
 
− =
 
.
16) ( )( )
2 2 3
2020 1
x x
− +
= . 17) ( ) ( )
10 4
1 1
x x
x x
+ +
+ =+ với x∈. 18)
3 1 1
4 2 3
x − =
Câu 3. Tìm , ,
x y z biết
1. ( )
: : 3:5: 2
x y z
= − và 5 3z 16
x y
− + =
− .
2.
2 3
x y
=
−
;
3 4
z y
= và 5,2
x y z
+ + = .
3. 2 3
x y
= ; 7z 5y
= và 3 7 5z 30
x y
− + =.
4. 3 4 5z
x y
= = và ( ) 21
x y z
− + =
− .
2
5.
1 2 3
2 3 4
x y z
− − −
= = và 2 3 50
x y z
+ − = .
6.
2 3 4
x y z
= = và 2z 18
x y
− − =
− .
7. : : 2:3: 4
x y z = và 2 3 20
x y z
+ − =
− .
8.
3 4 6
2 5 7
x y z
= = và 2 45
x y z
− − =
−
9.
2 3 4
x y z
= = và 2 2 2
2z 108
x y
− + = .
10.
3 3 3
8 64 216
x y z
= = và 2 2 2
14
x y z
+ + =.
Câu 4. So sánh các lũy thừa sau :
1. 240 160
( 2) va` (-3)
− 2. 11 21
( 84) va` ( 9)
− − 3.
7 5
1 1
va`
8 16
− −
   
   
   
Câu 5. Tìm n Z
∈ để các số hữu tỉ sau là những số nguyên :
1.
5
2
n −
2.
6
1
n
−
+
3.
3
4
n
−
−
4.
6 4
2 1
n
n
−
+
5.
3 2
4 5
n
n
+
−
6.
4 1
3 2
n
n
−
−
Câu 6. Tìm giá trị nhỏ nhất của biểu thức:
1. ( )
2
2 3 15
x − +
2. ( )
8
5 7 2020
x + −
3. 2016 1 2019x
+ −
4. 9 4 1
x
− + +
5. 1 2
x x
− + −
6.
15
2021
3 2021
x
−
+ −
Câu 7. Tìm giá trị lớn nhất của biểu thức:
1. ( )
2
8 4 7
x
− −
2. 7 6 1
x
− −
3. 2
6 5
x
− +
4.
( )
2
3
14
2 5 6
x
+
+ −
5.
15
6
5 7 4
x
− +
+ +
6.
2
2
4 9
1
x
x
+
+
Câu 8.
3
a) Cho tỉ lệ thức
a c
b d
= . Chứng minh rằng ta có các tỉ lệ thức sau:
1.
2 3 2 3
2 3 2 3
a b c d
a b c d
+ +
=
− −
2.
2 2
2 2
ab a b
cd c d
−
=
−
3.
7 4 7 4
3 5 3 5
a b c d
a b c d
− −
=
+ +
4.
( )
2
2 2
2 2 2
( )
c a
ac a c
bd b d d b
−
+
= =
+ −
5.
( )
( )
3
3 3
3
3 3
a b
a b
c d c d
+
+
=
+ +
với 1
a c
b d
 
= ≠
 
 
b) Cho
2 13 2 13
3 7 3 7
a b c d
a b c d
+ +
=
− −
. Chứng minh:
a c
b d
=
c) Cho , ,
a b c là ba số hữu tỉ khác 0 sao cho
a b c a b c a b c
c b a
+ − − + − + +
= =
Tính giá trị bằng số của biểu thức
( )( )( )
a b b c c a
M
abc
+ + +
=
Câu 9. Cho đại lượng y tỉ lệ thuận với đại lượng x khi 6
x = thì 2
y = .
a) Hãy biểu diễn y theo x
b) Tìm y khi 15
x = . Tìm x khi 6
y = − ?
c) Nếu đại lượng z tỉ lệ nghịch với đại lượng x theo hệ số tỉ lệ bằng
1
2
thì y và z là hai đại lượng
tỉ lệ như thế nào với nhau và hệ số tỉ lệ bằng bao nhiêu? Tính z khi 8
y =
Câu 10. Ba lớp 7A, 7B, 7C trồng được 120 cây. Tính số cây trồng được ở mỗi lớp, biết rằng
số cây trồng được của mỗi lớp lần lượt tỉ lệ với 3 : 4 : 5.
Câu 11. Số học sinh của ba khối 6, 7, 8 tỉ lệ với 10, 9, 8. Tính số học sinh của mỗi khối biết
số học sinh của khối 8 ít hơn số học sinh của khối 6 là 20 em.
Câu 12. Một cửa hàng có ba tấm vải, sau khi bán đi
1
2
tấm thứ nhất,
2
3
tấm thứ hai và
3
4
tấm thứ ba thì số vải còn lại của ba tấm là bằng nhau. Tính chiều dài của mỗi tấm vải lúc
ban đầu. Biết chiều dài tổng cộng của ba tấm vải là 126 m.
Câu 13. Tìm ba số có tổng bằng 150 và biết số thứ 1 và số thứ 2 tỉ lệ với 3;2 , số thứ 2 và
số thứ 3 tỉ lệ với 3;5.
Câu 14. Ba đơn vị kinh doanh , ,
A B C góp vốn theo tỉ lệ 2;4;6 và sau một năm thu được
tổng 1 tỉ 800 triệu đồng tiền lãi. Hỏi mỗi đơn vị được chia bao nhiêu tiền lãi, biết tiền lãi
được chia tỉ lệ thuận với số vốn đã góp.
Câu 15. Một ô tô đi từ A đến B với vận tốc 65 /
km h , cùng lúc đó một xe máy chạy từ B
đến A với vận tốc 40 /
km h. Biết quãng đường AB dài 540km và C là điểm chính giữa của
AB . Hỏi sau khi khởi hành bao lâu thì ô tô cách C một khoảng bằng nửa khoảng cách từ xe
máy đến C và khi đó khoảng cách giữa hai xe là bao nhiêu ?
4
Bài 16. Cho hàm số ( )
2 1
y m x
= − .
a) Tìm m biết điểm ( )
2;4
A thuộc đồ thị hàm số trên. Viết công thức xác định hàm
số trên.
b) Hãy vẽ đồ thị hàm số vừa xác định.
c) Đánh dấu các điểm ( ) ( ) ( )
1
2; 4 , 3;0 , 0;2 , ; 1
2
B C D E
 
− − − − −
 
 
trên cùng mặt phẳng
tọa độ Oxy.
d) Hãy chỉ ra các điểm thuộc đường thẳng OA?Vì sao ?
PHẦN II : HÌNH HỌC
Bài 1: Cho ABC
∆ có  60
B
= °,  30
C
= °. Tia phân giác của góc A cắt BC tại D . Kẻ
AH BC
⊥
( H BC
∈ )
a) Tính số đo của các góc 
BAC ,. 
ADH , 
HAD
b) Kẻ // ( ),
DE AB E AC EK
∈ là phân giác của góc 
AED . Chứng minh EK AD
⊥ .
Bài 2: Cho ABC
∆ có AB AC
= , M là trung điểm của BC . Trên tia đối của tia MA lấy
điểm D sao cho MA MD
= .
a) Chứng minh : ABM DCM
∆ =
∆ .
b) //
AB DC
c) AM MC
⊥
d) Tìm điều kiện ABC
∆ để  30
ADC
= ° .
Bài 5: Cho ABC
 , M là trung điểm của BC . Trên tia đối MA lấy điểm E sao cho MA ME
= .
a) Chứng minh: //
AC BE
b) Trên AC lấy điểm I , trên BE lấy điểm K sao cho AI EK
= . Chứng minh:
, ,
I M K thẳng hàng.
Bài 6: Cho ABC
 có AB AC
< . Trên tia đối của tia CB lấy điẻm D sao cho D
C AB
= . Trên
nửa mặt phẳng bờ BC không chứa điểm Akẻ Dx AB
 lấy điểm E thuộc tia Dx sao cho
DE BC
= .
a) Chứng minh: AC CE
=
b) Lấy P DE
∈ sao cho D
P AB
= . Chứng minh : D
A BP
 .
c) Tìm điều kiện của ABC
 để D
EP B
⊥ .
d) Gọi O là trung điểm của D
B . Chứng minh O là trung điểm của AP .
Bài 7: Cho ABC
∆ có AB AC
< . Trên tia đối của tia AB lấy điểm D sao cho BD BC
= . Tia
phân giác của góc ABC cắt AC , DC tại E và F . Chứng minh:
a. Chứng minh: DBE CBE
∆ =
∆ .
b. Chứng minh: DF CF
= .
5
c. Từ A kẻ ( )
AH CD H CD
⊥ ∈ . Chứng minh: AH // BF .
Bài 8. Cho ABC
∆ ( AB AC
= ), phân giác của góc BAC cắt BC tại M .
a) Chứng minh: M là trung điểm của BC .
b) Trên tia đối của tia ,
AB AC lấy điểm ,
E F sao cho AE AF
= . Chứng minh:
BCE CBF
∆ =
∆ .
c) Chứng minh: ME MF
= .
d) Gọi N là trùn điểm của EF . Chứng minh: , ,
A M N thẳng hàng.
ÔN TẬP KIẾN THỨC HỌC KÌ II
I. PHẦN TRẮC NGHIỆM
Câu 1. Nhóm gồm các đơn thức đồng dạng với nhau là
A. 2 3 2 3 3 2
–3,5 ; ; 2 .
x y x y x y
− B. 3 2 3 2 3
– ; 4 ; 4
x y x y x y .
C. 2 3 2 3 2 3
–5 ; ; 2
x y x y x y
− . D. 2 3 2 3 3 2
–3 ;4 ; z
z .
x y y x
−
Câu 2. Tổng của các đơn thức 2 3 2 3 2 3
3 ; 5 ;
x y x y x y
− là
A. 2 3
2x y
− . B. 2 3
x y
− . C. 2 3
x y . D. 2 3
9x y .
Câu 3. Đa thức 2 3 5
3 2 – 3 6
x x x x
+ + + sắp xếp theo lũy thừa giảm dần của biến là
A. 3 2 5
3 2 – 3 6
x x x x
+ + + . B. 5 2 3
2 3 – 3 6.
x x x x
+ + + .
C. 5 3 2
2 – 3 3 6
x x x x
+ + + . D. 5 3 2
2 3 – 3 6
x x x x
+ + + .
Câu 4. Đa thức 2 3 5
5 – 3 – 10
x x x x
+ + sắp xếp theo lũy thừa tăng dần của biến là
A. 3 5 2
– 3 – 10 5
x x x x
+ + . B. 2 5 3
5 – 3 – 10
x x x x
+ + .
C. 2 3 5
5 – 3 – 10
x x x x
+ + . D. 2 3 5
–10 – 3 5
x x x x
+ + + .
Câu 5. Hệ số cao nhất của đa thức 3 5 2
M 3 9 10
x x x
= − + + là
A. 10. B. 1
− . C. 3. D. 9.
Câu 6. Hệ số tự do của đa thức 4 3 2
A( ) 7 1 2 3 9
x x x x
=− + − + + là
A. 1. B. 9. C. 10. D. 7
− .
Câu 7. Thu gọn đa thức 2 2 2 2
P 2 7 3 7
x y xy x y xy
=
− − + + được kết quả là
A. 2
P x y
= . B. 2
P x y
= − .
C. 2 2
P 14
x y xy
= + . D. 2 2
P 5 14
x y xy
=
− − .
Câu 8. Bậc của đa thức 3 4 3 4
Q 7 11
x x y xy x y
= − + + − là
A. 7 . B. 5. C. 4 . D. 3.
Câu 9. Giá trị 2
x = là nghiệm của đa thức
A. ( ) 2
f x x
= + . B. ( ) 2
2
f x x
= − . C. ( ) 2
f x x
= − . D.
( ) ( )
2
f x x x
= + .
6
Câu 10. Đa thức ( ) 3
P – 4
x x x
= có nghiệm là
A. 0
x = . B. 0; 2
x x
= = . C. 0; 2
x x
= = − . D. 0 ; 2
x x
= = ±
.
Câu 11. Cho tam giác ABC cân tại A , kẻ AH vuông góc với BC tại H , ( H BC
∈ ). Khẳng
định nào sau đây là sai?
A. H là trung điểm của cạnh BC .
B. AH là tia phân giác của 
BAC.
C. AHB = AHC
∆ ∆ (cạnh huyền – góc vuông).
D. 2 2 2
AB AH HC
= + .
Câu 12. Cho tam giác ABC vuông tại B , biết
AB 3
; BC AB 2cm
BC 4
= − = . Độ dài cạnh AC là
A. 7cm . B. 100cm. C. 14cm . D. 10cm .
Câu 13. Cho tam giác MNP cân tại N , biết  
2M N 20
− = ° . Số đo của góc N là
A. 68°. B. 40°. C. 100°. D. 80° .
Câu 14. Cho tam giác ABC cân tại A có 
BAC 40
= ° , tia phân giác của 
ACB cắt cạnh AB
tại D . Số đo 
ADC là
A. 40°. B. 70°. C. 105°. D. 75°.
Câu 15. Cho tam giác XYZ vuông tại Y có  ( )
X 60 , YZ 4cm, YH ZX H ZX
= ° = ⊥ ∈ . Khẳng
định nào sau đây là sai ?
A. 
Z 30
= ° . B. XZ 8cm
= . C. ZH 6cm
= . D. YH 2cm
= .
Câu 16. Trong một tam giác, điểm cách đều ba cạnh của tam giác là
A. giao điểm ba đường trung tuyến. B. giao điểm ba đường trung trực.
C. giao điểm ba đường phân giác. D. giao điểm ba đường cao.
Câu 17. Trong một tam giác, tâm của đường tròn đi qua ba đỉnh của tam giác là
A. giao điểm ba đường trung tuyến. B. giao điểm ba đường trung trực.
C. giao điểm ba đường phân giác. D. giao điểm ba đường cao.
Câu 18. Nếu AM là đường trung tuyến và G là trọng tâm của tam giác ABC thì
A. AM AB
= . B.
2
AG AM
3
= . C.
3
AG AB
4
= . D. AM AG
= .
Câu 19. Cho góc vuông xOy và ,
A B là hai điểm lần lượt thuộc hai tia ,
Ox Oy . Đường
trung trực của OA và đường trung trực của OB cắt nhau tại I . Gọi ,
H K lần lượt
là trung điểm của ,
OA OB . Khẳng định nào sau đây là sai ?
7
A. IH IK
= . B. 
AIB 180
= °. C.
AB
OI
2
= . D. IA IB
= .
Câu 20. Cho ABC
∆ có H là giao điểm của hai đường cao BB' và CC' ; 
A 50
= °. Phát biểu
nào sau đây là sai ?
A. AH BC
⊥ .
B. Điểm A là trực tâm của HBC
∆ .
C.  
ABH ACH 40
= = °.
D.  
HBC HCB 130
+ = ° .
II. PHẦN TỰ LUẬN
Câu 8. Thu gọn các đa thức và sắp xếp theo lũy thừa tăng của biến, Tìm hệ số cao nhất và
hệ số tự do của mỗi đa thức:
( ) ( )
7 7 5 5 3
2 5 2 2 3 7
A x x x x x x
= + + − + + − −
3 2 3 2
1 3
4 2 5
2 2
B x x x x x x
= + − − − − +
Câu 9. Cho ( ) 3 5 199 201
1 ...
P x x x x x x
= + + + + + + . Tính giá trị của đa thức tại 1
x = ; 1
x = −
Câu 10. Cho ( ) 5 2
3 2 1
f x x x x
= − + − và ( ) 5 3 5 3
4 5 2 5 4 2
g x x x x x x x
=
− + − + =
− − + + . Tìm đa
thức ( )
h x sao cho:
a) ( ) ( ) ( )
f x h x g x
+ =
b) ( ) ( ) ( )
g x h x f x
+ =
Bài 4. Cho ( ) 2
3 2 1
f x x x
= + − . Chứng minh rằng 1
x = − và
1
3
x = là hai nghiệm của đa
thức ( )
f x .
Bài 5. Tìm nghiệm của đa thức f(x) biết
a)
1
2
( ) 3
f x x
=
− + b) 2
( ) 5
f x x x
= +
c)
1 3
( ) 1
2 4
f x x x
−
= + + ; d) 2 1
( )
4
f x x
= −
e) 2
( ) 2 3
f x x
= + f) 2
( ) 3 2
f x x x
= + +
Bài 6. Chứng minh rằng 2
( ) 4 5
f x x x
= + + vô nghiệm.
Bài 7. Cho đa thức 2
( )
f x ax bx c
= + + chứng minh nếu
1
(0); (1); ( 1); ( )
2
f f f f
− là các số
nguyên thì ; ;
a b c đều là các số nguyên
Bài 8. Cho đa thức 3 2
( )
f x x ax bx c
= + + + với ; ;
a b c là các số nguyên.Chứng minh rằng.
Nếu
8
là một nghiệm nguyên của f(x) thì 0
c x

Bài 9. Cho tam giác ABC đều, 4
AB cm
= . Trên cạnh AC và cạnh BC lần lượt lấy các
điểm ,
M N ( M và N không trùng với các đỉnh của ABC
∆ ) sao choCM BN
= .
Gọi G là giao điểm của AN và BM .
a) Kẻ CH vuông góc với AB tại H . Tính CH ;
b) Chứng minh AN BM
= . Tính góc 
AGM .
Bài 10. Cho tam giác ABC vuông tại A , M là trung điểm của BC
a) Chứng minh rằng:
2
BC
AM = ;
b) Chứng minh rằng: Nếu  30
C
= ° thì
2
BC
AB = .
Bài 11. Cho tam giác ABC vuông tại A , kẻ AH vuông góc với BC tại H . Trên cạnh BC
lấy điểm sao cho CM = CA , trên cạnh AB lấy điểm N sao cho AN= AH . Biết
AB = 3cm , BC = 6cm .
a) Tính độ dài cạnh AC;
b) Trên tia đối của tia AB lấy diểm D sao cho AD = AB . Chứng minh tam giác
BCDđều;
c) Chứng minh  
MAH MAN
= và MN AB
⊥ .
Bài 12. Cho tam giác ABC nhọn, đường cao BD, CE cắt nhau ở H , AH cắt BC tại M ,
Chứng minh rằng:
a) AM vuông góc với BC ;  
BAM ECB
=
b) Lấy điểm K sao cho AB là trung trực của HK .Chứng minh rằng  
KAB KCB
= .
Bài 13. Cho tam giác ABC có AB AC
< . Hai đường cao AD và BE cắt nhau tại H và
AD BE
= ( ; )
D BC E AC
∈ ∈ . Chứng minh rằng:
a) Tam giác ABC cân tại C ;
b) Đường thẳng CH là đường trung trực của đoạn thẳng AB ;
c) DE song song với AB .
Bài 14. Cho tam giác ABC vuông tại A ,  ,
ABC ACB
> trung tuyến AM . Trên tia đối của tia
CB lấy
Bài 15. điểm D sao cho C là trung điểm của MD . Trên tia đối của tia BA lấy điểm E sao
cho .
BE BA
= Trên tia đối của tia MA lấy điểm N sao cho MN MA
= .
a) Chứng minh tam giác AMB bằng tam giác NMC và NC vuông góc với AC ;
9
b) Gọi I là trung điểm của DE . Chứng minh ba điểm , ,
A M I thẳng hàng;
c*) So sánh AD và BC .
Bài 16. Cho ABC
∆ có ba đường trung tuyến , ,
AD BE CF cắt nhau tại G . Chứng minh
rằng:
)
2
AB AC
a AD
+
<
3
)
2
b BE CF BC
+ >
( )
3
)
4
c AB BC AC AD BE CF AB BC AC
+ + < + + < + +
ĐÁP ÁN BÀI TẬP ÔN TẬP HỌC KÌ I
Câu 1. Thực hiện phép tính:
a)
3 2 2 1 5 2
: :
4 7 3 4 7 3
   
− + + − +
   
   
b) ( )
2
0
1 6 14 1
.2 : 2 1,21
2 7 15 3
 
− − + −
 
 
c)
3
1 1 9
4. 1 : 25
2 2 4
 
−
+ − +
 
 
d) ( )
2
1 1
6 3. : 0, 9
3 4
 
 
−
 
− +
 
 
 
 
e)
2 2
1 16 2 1 4
. 81 1 .
2 25 3 2 9
   
− + − −
   
   
f)
2 1 4 8 64 25
0,75 : : . 6.
3 16 15 25 25 144
   
−
− + +
   
   
g) ( )
2
2
3 2
1 1
2 3. 2 .4 2 : .8
2 2
   
+ − − + −
   
   
h)
2 2
5 1 4 5 2
0,36. . : 1
4 4 81 9 5
   
   
   
− + − −
   
   
   
   
i) ( )
2 10 5 7
2 : 3,72 0,02 . : 2,8
3 37 6 15
 
 
− + −
 
 
 
 
Lời giải
a)
3 2 2 1 5 2 3 2 1 5 2
: : :
4 7 3 4 7 3 4 7 4 7 3
     
−
− + + − + = − + + +
     
     
( ) 2
1 1 : 0
3
= − + =
b) ( )
2
0
1 6 14 1 1 20 14 7 5 2 46
.2 : 2 1,21 . : 1 1
2 7 15 3 4 7 15 3 7 5 35
 
− − + − = − + = − + =
 
 
c)
3
1 1 9 1 3 3 1
4. 1 : 25 4. : 5
2 2 4 8 2 2 2
 
−
+ − + = + − + =
 
 
d) ( ) ( )
2
1 1 1 1 37 37
6 3. : 0, 9 6 3. : 0, 9 :1
3 4 9 2 6 6
 
   
−
 
− + = − + = =
   
 
   
 
10
e)
2 2
1 16 2 1 4
. 81 1 .
2 25 3 2 9
   
− + − −
   
   
1 4 4 3 2 1 16
. 9. . 4 1
4 5 9 2 3 5 5
= + − = + − =
f)
2 1 4 8 64 25
0,75 : : . 6.
3 16 15 25 25 144
   
−
− + +
   
   
2 3 1 5 8 5 1 1 4 5 1 4 5 5
: . 6. :
3 4 4 6 5 12 12 4 3 2 3 3 2 6
   
= − + − + =
− − + =
− − + =
   
   
g) ( )
2
2
3 2
1 1
2 3. 2 .4 2 : .8
2 2
   
+ − − + −
   
   
3 1 35 227
8 4.4 4 : .8 16 64
4 2 4 4
 
= + − + = − + =
 
 
h)
2 2
5 1 4 5 2
0,36. . : 1
4 4 81 9 5
   
   
   
− + − −
   
   
   
   
( )
3 5 1 2 5 7 3 1 2 7
. . : . 1. 1 1
5 4 4 9 9 5 4 4 5 5
       
= + − = + − =− =
−
       
       
i) ( )
2 10 5 7
2 : 3,72 0,02 . : 2,8
3 37 6 15
 
 
− + −
 
 
 
 
8 10 5 7
: 3,7. : 2,8
3 37 6 15
 
 
= + −
 
 
 
 
8 5 7 8 7 1
: 1: 2,8 : 4
3 6 15 3 15 5
 
= + − = − =
 
 
Câu 2. Tìm x, biết
1.
15 1 x 5
: 0,5
8 8 4 4
 
− − =
 
 
2.
3 1 1
: x
4 5 4
+ = 3.
3
2 3 1 1
2x x
3 4 8 2
   
− − − = −
   
   
4. ( )( )
2
3x 2 5 x 0
+ − = 5.
2 3
x 1 2
3 4
− − − = 6.
2 2 1
x
3 5 3
− − =
7. x 2 1 2x 0
− − − = 8. ( )
1 4 1
: 3 : 3x 2
12 21 2
= − 9.
8 3
x 5 x 1
=
− +
(với x 5; 1
≠ − )
10)
1 4
2 5
x
x
−
=
+
với ( )
2
x ≠ − . 11)
3 3
2 8
9 27
x
   
− =
   
   
. 12) 1
2.3 405 3
x x−
− =.
13)
8
4
3 2
4 3
x
 
=
 
 
. 14) ( )
2 36
5 1
49
x + =. 15) ( )
3 1
0,5
64
x
 
− =
 
.
11
16) ( )( )
2 2 3
2020 1
x x
− +
= . 17) ( ) ( )
10 4
1 1
x x
x x
+ +
+ =+ với x∈. 18)
3 1 1
4 2 3
x − =
Lời giải
1.
15 1 x 5
: 0,5
8 8 4 4
 
− − =
 
 
1 x 15 5
: 0,5
8 4 8 4
 
− = −
 
 
1 x 5
: 0,5
8 4 8
 
− =
 
 
x 1 5
0,5 :
4 8 8
− =
x 1
0,5
4 5
− =
x 1
0,5
4 5
= +
x 7
4 10
=
7.4
x
10
=
14
x
5
=
2.
3 1 1
: x
4 5 4
+ =
1 1 3
: x
5 4 4
= −
1 1
: x
5 2
−
=
1 1
x :
5 2
−
=
2
x
5
−
=
3.
3
2 3 1 1
2x x
3 4 8 2
   
− − − = −
   
   
1 1 1
2x x
2 12 8
−
− − + =
12
23 1 1
x
12 8 2
− −
= +
23 3
x
12 8
−
=
3 23
x :
8 12
−
=
9
x
46
−
=
4. ( )( )
2
3x 2 5 x 0
+ − =
Trường hợp 1: 3x 2 0
+ =
3x 2
= −
2
x
3
−
=
Trường hợp 2: 2
5 x 0
− =
2
x 5
=
x 5
= hoặc x 5
= −
5.
2 3
x 1 2
3 4
− − − =
1
x 1 2
12
− − =
1
x 1 2
12
− = +
1
x 1 2
12
− =
Trường hợp 1:
1
x 1 2
12
− =
1
x 2 1
12
= +
1
x 3
12
=
Trường hợp 2:
1
x 1 2
12
− =
−
1
x 2 1
12
=
− +
13
1
x 1
12
= −
6.
2 2 1
x
3 5 3
− − =
2 1 2
x
3 3 5
− = +
2 11
x
3 15
− =
Trường hợp 1:
2 11
x
3 15
− =
11 2
x
15 3
= +
7
x
5
=
Trường hợp 2:
2 11
x
3 15
−
− =
11 2
x
15 3
−
= +
1
x
15
−
=
7. x 2 1 2x 0
− − − =
x 2 1 2x
− = −
Trường hợp 1: x 2 1 2x
− = −
x 2x 1 2
+ =+
3x 3
=
x 1
=
Trường hợp 2: x 2 2x 1
− = −
x 2x 1 2
− =− +
x 1
− =
−
x 1
=
8. ( )
1 4 1
: 3 : 3x 2
12 21 2
= −
14
( )
1 4 1
3x 2 3 . :
2 21 12
⇒ − =
3x 2 8
− =
3x 8 2
= +
3x 10
=
10
x
3
=
9.
8 3
x 5 x 1
=
− +
(với x 5; 1
≠ − )
( ) ( )
8. x 1 3. x 5
⇒ + = −
8x 8 3x 15
+ = −
8x 3x 15 8
− =
− −
5x 23
= −
23
x
5
−
= (thỏa mãn)
10)
1 4
2 5
x
x
−
=
+
với ( )
2
x ≠ − .
( ) ( )
5 1 4 2
x x
⇒ − = +
5 5 4 8
x x
− = +
5 4 8 5
x x
− = +
13
x =
Vậy 13
x = .
11)
3 3
2 8
9 27
x
   
− =
   
   
.
2 8
9 27
x − =
8 2
27 9
x
= +
8 6
27 27
x
= +
14
27
x =
Vậy
14
27
x = .
12) 1
2.3 405 3
x x−
− =.
3
2.3 5.81
3
x
x
− =
15
4
3.2.3 3.5.3 3
x x
− =
5
6.3 5.3 3
x x
− =
5
6.3 3 5.3
x x
− =
5
3 (6 1) 5.3
x
− =
5
3 .5 5.3
x
=
5
3 3
x
=
5
x =
Vậy 5
x = .
13)
8
4
3 2
4 3
x
 
=
 
 
.
2.4
4
3 2
4 3
x
 
=
 
 
( )
4
2
4
2
3
4 3
x
x
=
4
4
3 4
4 3
x
x
=
4 4
3 .3 4 .4
x x
=
4 4
3 4
x x
+ +
=
4 0
x + =
4
x = −
Vậy 4
x = − .
14) ( )
2 36
5 1
49
x + =.
( )
2
2 6
5 1
7
x
 
+ =
 
 
6
5 1
7
6
5 1
7
x
x

+ =

⇒ 
 + =
−


*
6
5 1
7
x + =
−
6
5 1
7
x =
− −
13
5
7
x = −
13
:5
7
x = −
13
35
x = −
*
6
5 1
7
x + =
16
6
5 1
7
x
= −
1
5
7
x = −
1
:5
7
x = −
1
35
x = −
Vậy
1
35
x = − ;
13
35
x = − .
15) ( )
3 1
0,5
64
x
 
− =
 
.
3
1 1
2 64
x
 
 
− =
 
 
 
 
 
2
1 1
8 8
x
   
− =
−
 
 
   
2
x =
Vậy 2
x = .
16) ( )( )
2 2 3
2020 1
x x
− +
= .
( )( )
2 2 3 0
x x
− + =
2 0
2 3 0
x
x
− =

⇒  + =

2
2 3
x
x
=

⇒  = −

2
3
2
x
x
=


⇒ −
 =

Vậy 2
x = ;
3
2
x
−
= .
17) ( ) ( )
10 4
1 1
x x
x x
+ +
+ =+ với x∈.
Cách 1. ( ) ( )
10 4
1 1
x x
x x
+ +
+ =+ với x∈.
1 1
1 1
1 0
x
x
x
+ =
−


⇒ + =

 + =

1 1
1 1
0 1
x
x
x
=− −


⇒ =−

 = −

2
0
1
x
x
x
= −


⇒ =

 = −

Thử lại:
Với 2
x = − ta có ( ) ( )
2 10 2 4
2 1 2 1
− + − +
− + = − + hay ( ) ( )
8 2
1 1
− =− (luôn đúng).
Với 0
x = ta có ( ) ( )
0 10 0 4
0 1 0 1
+ +
+ =+ hay 10 4
1 1
= (luôn đúng).
17
Với 1
x = − ta có ( ) ( )
1 10 1 4
1 1 1 1
− + − +
− + = − + hay 9 3
0 0
= (luôn đúng).
Vậy 1
x = − ; 0
x = ; 1
x = .
Cách 2. ( ) ( )
10 4
1 1
x x
x x
+ +
+ =+ với x∈.
Với 1
x = − thì 1 10 1 4
0 0
− + − +
= hay 9 3
0 0
= (luôn đúng). Vậy 1
x = − thỏa mãn.
Với 1
x ≠ − thì 1 0
x + ≠
• Trường hợp 1. x chẵn, giả sử 2
x k
= với k ∈
Do đó 1 2 1
x k
+ = + lẻ
10 2 10
x k
+ = + ; 4 2 4
x k
+ = + chẵn
Ta có ( ) ( )
2 10 2 4
2 1 2 1
k k
k k
+ +
+ = +
Suy ra 2 1 1
k + = hoặc 2 1 1
k + =
−
2 0
2 2
k
k
=

⇒  = −

( )
( )
0
1
k
k
=

⇒ 
= −


nhaän
nhaän
Suy ra 2 2.0 0
x k
= = = hoặc ( )
2 2. 1 2
x k
= = − =
− .
• Trường hợp 2. x lẻ, giả sử 2 1
x k
= + với k ∈ và
Do đó 1 2 1 1 2 2
x k k
+ = + + = + chẵn
10 2 1 10 2 11
x k k
+ = + + = + ; 4 2 1 4 2 5
x k k
+ = + + = + lẻ
Ta có ( ) ( )
2 11 2 5
2 2 2 2
k k
k k
+ +
+ = +
Suy ra 2 2 0
k + =
2 2
k
⇒ =
− 1
k
⇒ =
− (nhận)
Suy ra 2 1 1 1 0
x k
= + =
− + = (loại)
Vậy 2
x = − ; 0
x = ; 1
x = .
18)
3 1 1
4 2 3
x − =. ĐK 0
x ≥ .
3 1 1
4 3 2
x= +
3 5
4 6
x =
5 3
:
6 4
x =
5 4
.
6 3
x =
10
9
x =
2
10
9
x
 
=  
 
100
81
x = (thỏa mãn điều kiện)
18
Vậy
100
81
x = .
Câu 3. Tìm , ,
x y z biết
1. ( )
: : 3:5: 2
x y z
= − và 5 3z 16
x y
− + =
− .
2.
2 3
x y
=
−
;
3 4
z y
= và 5,2
x y z
+ + = .
3. 2 3
x y
= ; 7z 5y
= và 3 7 5z 30
x y
− + =.
4. 3 4 5z
x y
= = và ( ) 21
x y z
− + =
− .
5.
1 2 3
2 3 4
x y z
− − −
= = và 2 3 50
x y z
+ − = .
6.
2 3 4
x y z
= = và 2z 18
x y
− − =
− .
7. : : 2:3: 4
x y z = và 2 3 20
x y z
+ − =
− .
8.
3 4 6
2 5 7
x y z
= = và 2 45
x y z
− − =
−
9.
2 3 4
x y z
= = và 2 2 2
2z 108
x y
− + = .
10.
3 3 3
8 64 216
x y z
= = và 2 2 2
14
x y z
+ + =.
Lời giải
1. ( )
: : 3:5: 2
x y z
= −
5 3
3 5 2 15 5 6
x y z x y z
⇒ = = = = =
− −
5 3
15 5 6
x y z
− +
=
− −
16
4
4
−
= = −
• 4
3
x
= − 12
x
⇒ =
− .
• 4
5
y
= − 20
y
⇒ =
− .
• 4
2
z
= −
−
8
z
⇒ =.
2.
2 3
x y
=
−
;
3 4
z y
=
;
8 12 12 9
x y y z
⇒
= =
− − −
8 12 9
x y z
⇒ = =
− − 8 12 9
x y z
+ +
=
− −
5,2 2
13 5
= = −
−
•
2
8 5
x
= −
16
5
x
⇒ =
−
19
•
2
12 5
y
= −
−
24
5
y
⇒ =
•
2
9 5
z
= −
−
18
5
z
⇒ = .
3. Ta có
2 3
x y
=
3 2
x y
⇒ =
7z 5y
=
7 5
y z
⇒ =
;
21 14 14 10
x y y z
⇒ = =
21 14 10
x y z
⇒ = =
3 7 5
63 98 50
x y z
= = =
3 7 5
63 98 50
x y z
− +
=
− +
30
2
15
= =
• 2
21
x
= 42
x
⇒ =
• 2
14
y
= 28
x
⇒ =
• 2
10
z
= 20
z
⇒ = .
4. Ta có 3 4 5z
x y
= =
3 4 5
60 60 60
x y z
⇒ = =
20 15 12
x y z
⇒ = =
Ta có
( )
( )
20 15 12 20 15 12
x y z
x y z − +
= = =
− +
21
3
7
−
= =
−
• 3
20
x
= 60
x
⇒ =
• 3
15
y
= 45
y
⇒ =
• 3
12
z
= 36
z
⇒ =
5.
1 2 3
2 3 4
x y z
− − −
= =
2 2 3 6 3
4 9 4
x y z
− − −
= = =
2 2 3 6 3
4 9 4
x y z
− + − − +
=
+ −
50 5
5
9
−
= = .
*
1
5
2
x −
= 11
x
⇒ =
*
2
5
3
y −
= 17
z
⇒ =
*
3
5
4
z −
= 23
z
⇒ = .
6.
2 3 4
x y z
= =
2 3 8
2
x y z
⇒ = =
2 3 8
2
x y z
− −
=
− −
9 1
18 2
−
= =
−
20
*
2 1
2
x
= 4
x
⇒ =
*
3 1
2
y
= 6
y
⇒ =
*
4 1
2
z
= 8
z
⇒ =.
7. : : 2:3: 4
x y z =
2 3 4
x y z
⇒ = =
2 3
2 6 12
x y z
⇒ = =
2 3z
2 6 12
x y
+ −
=
+ −
20
5
4
−
= =
−
.
* 5
2
x
= 10
x
⇒ =
* 5
3
y
= 15
y
⇒ =
* 5
4
z
= 20
z
⇒ =
8.
3 4 6 3 4 6
2 5 7 2 5 7
x y z
x y z
= = ⇒ = =
3 4 6
2.12 5.12 7.12
x y z
⇒ = =
8 15 14
x y z
⇒ = =
2 2z 45 9
8 15 28 8 15 28 35 7
x y z x y
− − −
⇒ = = = = =
− − −
Ta có
9
8 7
x
=
72
7
x
⇒ =
9
15 7
y
=
135
7
⇒ =
y
2 9
28 7
z
= 18
z
⇒ =
9. Đặt
2 3 4
x y z
k
= = =
Ta có 2
2
x
k x k
= ⇒ =
3
3
y
k y k
= ⇒ =
4
4
z
k z k
= ⇒ =
Ta có 2 2 2
2z 108
x y
− + =
21
( ) ( ) ( )
2 2 2
2 3 2 4 108
k k k
⇒ − + =
2
27 108
k =
2
4
k =
2
k
⇒ =hoặc 2
k = − .
Với 2
k = ta có 4, 6, 8
x y z
= = = .
Với 2
k = − ta có 4, 6, 8
x y z
=
− =
− =
− .
10. Ta có
3 3 3
8 64 216
x y z
= =
3 3 3
2 4 6
x y z
     
⇒ = =
     
      2 4 6
x y z
⇒ = =
Đặt
2 4 6
x y z
k
= = = 2 , 4 , 6
x k y k z k
⇒= = = .
Ta có 2 2 2
14
x y z
+ + =
( ) ( ) ( )
2 2 2
2 4 6 14
k k k
⇒ + + =
2
56 14
k =
2 1
4
k =
1
2
k
⇒ = hoặc
1
2
k = − .
Với
1
2
k = ta có 1, 2, 3
x y z
= = = .
Với
1
2
k = − ta có 1, 2, 3
x y z
=
− =
− =
− .
Câu 4. So sánh các lũy thừa sau :
1. 240 160
( 2) va` (-3)
− 2. 11 21
( 84) va` ( 9)
− − 3.
7 5
1 1
va`
8 16
− −
   
   
   
Lời giải
1.Ta có:
( )
80 80
240 3 80
80
160 2 80
( 2) = ( 2) = 8 =8
(-3) ( 3) 9
 
− − −
 
 
=
− =
 
Vì 80
8 < 80
9 nên: 240
( 2)
− < 160
(-3)
2.Ta có:
22
11 10
21 20 10
( 84) = 84.84
( 9) 9.9 9.81
− −
− =
− =
−
Vì 10
84 > 10
81 ⇒ 10
84.84 > 10
9.81 ⇒ 11 21
( 84) ( 9)
− > −
3. Ta có :
7
7 7 3 21
5
5 5 4 20
1 1 1 1
= = =
8 8 2 2
1 1 1 1
=
16 16 2 2
 
−
       
− − −
 
       
       
 
 
 
−
       
=
− =
− −
 
       
       
 
 
Vì
21
1
2
 
 
 
<
20
1
2
 
 
 
⇒
21 20
1 1
2 2
   
− > −
   
   
Vậy:
7 5
1 1
8 16
− −
   
>
   
   
.
Câu 5. Tìm n Z
∈ để các số hữu tỉ sau là những số nguyên :
1.
5
2
n −
Để
5
2
n −
là số nguyên { }
5 ( 2) 2 (5) 1; 5
n n U
− ⇒ − ∈ = ± ±

Ta có bảng giá trị sau :
n- 2 -1 1 - 5 5
n 1 3 -3 7
Vậy : { }
1;3; 3;7
n∈ −
2.
6
1
n
−
+
Để
6
1
n
−
+
là số nguyên { }
6 ( 1) 1 (6) 1; 2; 3; 6
n n U
− + ⇒ + ∈ = ± ± ± ±

Ta có bảng giá trị sau :
n+1 -1 1 -2 2 -3 3 -6 6
n -2 0 -3 1 -4 2 -7 5
Vậy : { }
0;1; 2; 3; 4; 7;5
n∈ ± − − −
3.
3
4
n
−
−
Để
3
4
n
−
−
là số nguyên { }
3 ( 4) 4 (3) 1; 3
n n U
− − ⇒ − ∈ = ± ±

Ta có bảng giá trị sau :
23
n-4 -1 1 -3 3
n 3 4 1 7
Vậy : { }
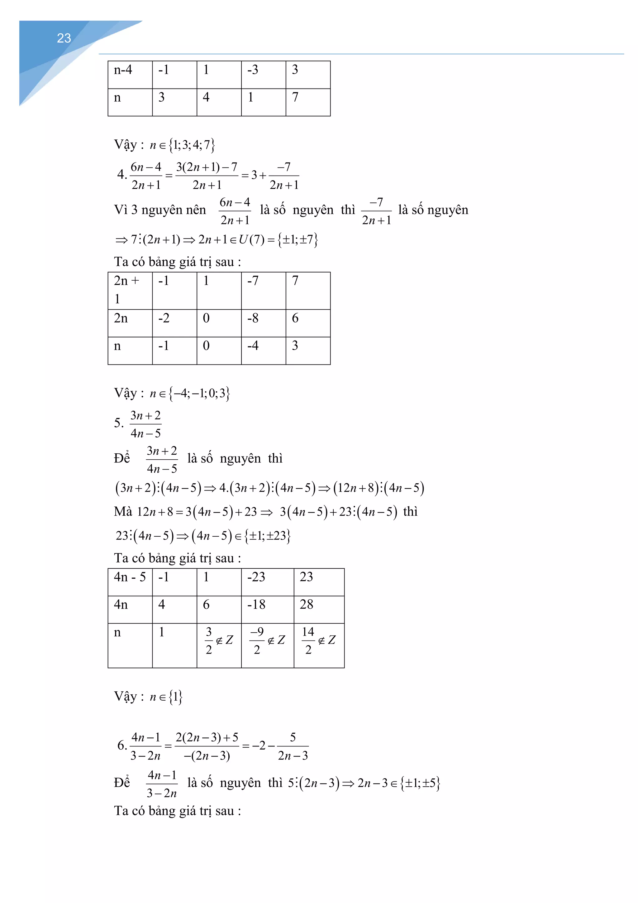
1;3;4;7
n∈
4.
6 4 3(2 1) 7 7
3
2 1 2 1 2 1
n n
n n n
− + − −
= = +
+ + +
Vì 3 nguyên nên
6 4
2 1
n
n
−
+
là số nguyên thì
7
2 1
n
−
+
là số nguyên
{ }
7 (2 1) 2 1 (7) 1; 7
n n U
⇒ + ⇒ + ∈ = ± ±

Ta có bảng giá trị sau :
2n +
1
-1 1 -7 7
2n -2 0 -8 6
n -1 0 -4 3
Vậy : { }
4; 1;0;3
n∈ − −
5.
3 2
4 5
n
n
+
−
Để
3 2
4 5
n
n
+
−
là số nguyên thì
( ) ( ) ( ) ( ) ( ) ( )
3 2 4 5 4. 3 2 4 5 12 8 4 5
n n n n n n
+ − ⇒ + − ⇒ + −
  
Mà ( )
12 8 3 4 5 23
n n
+= − + ⇒ ( ) ( )
3 4 5 23 4 5
n n
− + −
 thì
( ) ( ) { }
23 4 5 4 5 1; 23
n n
− ⇒ − ∈ ± ±

Ta có bảng giá trị sau :
4n - 5 -1 1 -23 23
4n 4 6 -18 28
n 1 3
2
Z
∉
9
2
Z
−
∉
14
2
Z
∉
Vậy : { }
1
n∈
6.
4 1 2(2 3) 5 5
2
3 2 (2 3) 2 3
n n
n n n
− − +
= =− −
− − − −
Để
4 1
3 2
n
n
−
−
là số nguyên thì ( ) { }
5 2 3 2 3 1; 5
n n
− ⇒ − ∈ ± ±

Ta có bảng giá trị sau :
24
2n - 3 -1 1 -5 5
2n 2 4 -2 8
n 1 2 -1 4
Vậy : { }
1;2;4
n∈ ±
Câu 6. Tìm giá trị nhỏ nhất của biểu thức:
1. ( )
2
2 3 15
x − +
2. ( )
8
5 7 2020
x + −
3. 2016 1 2019x
+ −
4. 9 4 1
x
− + +
5. 1 2
x x
− + −
6.
15
2021
3 2021
x
−
+ −
Lời giải
1. Ta có: ( )
2
2 3 0,
x x
− ≥ ∀
( )
2
2 3 15 15,
x x
⇒ − + ≥ ∀
Dấu " "
= xảy ra ( )
2
2 3 0
x
⇔ − = 2 3 0
x
⇔ − = 2 3
x
⇔ =
3
2
x
⇔ =.
2. Ta có: ( )
8
5 7 0,
x x
+ ≥ ∀
( )
8
5 7 2020 2020,
x x
⇒ + − ≥ − ∀
Dấu " "
= xảy ra ( )
8
5 7 0
x
⇔ + = 5 7 0
x
⇔ + = 5 7
x
⇔ =
−
7
5
x
−
⇔ = .
3. Ta có: 1 2019 0,
x x
− ≥ ∀
2016 1 2019 2016,
x x
⇒ + − ≥ ∀
Dấu " "
= xảy ra 1 2019 0
x
⇔ − = 1 2019 0
x
⇔ − = 2019 1
x
⇔ =
1
2019
x
⇔ = .
4. Ta có: 4 1 0,
x x
+ ≥ ∀
9 4 1 9,
x x
⇒ − + + ≥ − ∀
Dấu " "
= xảy ra 4 1 0
x
⇔ + = 4 1 0
x
⇔ + = 4 1
x
⇔ =
−
1
4
x
−
⇔ = .
5. Ta có: ( ) ( )
1 2 1 2 1 2 1
x x x x x x
− + − = − + − ≥ − + − =
Dấu " "
= xảy ra ( )( )
1 2 0
x x
⇔ − − ≥ 1 2
x
⇔ − ≤ ≤ .
6. Ta có: 2021 0,
x x
− ≥ ∀
3 2021 3,
x x
⇒ + − ≥ ∀
25
15
5,
3 2021
x
x
−
⇒ ≥ − ∀
+ −
15
2021 2016,
3 2021
x
x
⇒ − ≥ ∀
+ −
Dấu " "
= xảy ra 2021 0
x
⇔ − = 2021 0
x
⇔ − = 2021
x
⇔ = .
Câu 7. Tìm giá trị lớn nhất của biểu thức:
1. ( )
2
8 4 7
x
− −
2. 7 6 1
x
− −
3. 2
6 5
x
− +
4.
( )
2
3
14
2 5 6
x
+
+ −
5.
15
6
5 7 4
x
− +
+ +
6.
2
2
4 9
1
x
x
+
+
Lời giải
1. Ta có: ( )
2
4 7 0,
x x
− ≥ ∀
( )
2
4 7 0,
x x
⇒ − − ≤ ∀
( )
2
8 4 7 8,
x x
⇒ − − ≤ ∀
Dấu " "
= xảy ra ( )
2
4 7 0
x
⇔ − = 4 7 0
x
⇔ − = 4 7
x
⇔ =
7
4
x
⇔ =.
2. Ta có: 6 1 0,
x x
− ≥ ∀
6 1 0,
x x
⇒ − − ≤ ∀
7 6 1 7,
x x
⇒ − − ≤ ∀
Dấu " "
= xảy ra 6 1 0
x
⇔ − = 6 1 0
x
⇔ − = 6 1
x
⇔ =
1
6
x
⇔ =.
3. Ta có: 2
0,
x x
≥ ∀
2
5 5,
x x
⇒ + ≥ ∀
2
5 5,
x x
⇒ + ≥ ∀
2
5 5,
x x
⇒ − + ≤ − ∀
2
6 5 1,
x x
⇒ − + ≤ ∀
Dấu " "
= xảy ra 2
0
x
⇔ = 0
x
⇔ =.
4. Ta có: ( )
2
5 6 0,
x x
− ≥ ∀
( )
2
2 5 6 2,
x x
⇒ + − ≥ ∀
26
( )
2
3 3
,
2
2 5 6
x
x
⇒ ≤ ∀
+ −
( )
2
3 31
14 ,
2
2 5 6
x
x
⇒ + ≤ ∀
+ −
Dấu " "
= xảy ra ( )
2
5 6 0
x
⇔ − = 5 6 0
x
⇔ − = 5 6
x
⇔ =
6
5
x
⇔ =.
5. Ta có: 7 4 0,
x x
+ ≥ ∀
5 7 4 5,
x x
⇔ + + ≥ ∀
15
3,
5 7 4
x
x
⇔ ≤ ∀
+ +
15
6 3,
5 7 4
x
x
⇔ − + ≤ − ∀
+ +
Dấu " "
= xảy ra 7 4 0
x
⇔ + = 7 4 0
x
⇔ + = 7 4
x
⇔ =
−
4
7
x
−
⇔ = .
6. Ta có:
2
2 2
4 9 5
4
1 1
x
x x
+
= +
+ +
Lại có: 2
0,
x x
≥ ∀
2
1 1,
x x
⇒ + ≥ ∀
2
5
5,
1
x
x
⇒ ≤ ∀
+
2
5
4 9,
1
x
x
⇒ + ≤ ∀
+
Dấu " "
= xảy ra 2
0
x
⇔ = 0
x
⇔ =.
Câu 8.
a) Cho tỉ lệ thức
a c
b d
= . Chứng minh rằng ta có các tỉ lệ thức sau:
1.
2 3 2 3
2 3 2 3
a b c d
a b c d
+ +
=
− −
2.
2 2
2 2
ab a b
cd c d
−
=
−
3.
7 4 7 4
3 5 3 5
a b c d
a b c d
− −
=
+ +
4.
( )
2
2 2
2 2 2
( )
c a
ac a c
bd b d d b
−
+
= =
+ −
5.
( )
( )
3
3 3
3
3 3
a b
a b
c d c d
+
+
=
+ +
với 1
a c
b d
 
= ≠
 
 
.
b) Cho
2 13 2 13
3 7 3 7
a b c d
a b c d
+ +
=
− −
. Chứng minh:
a c
b d
= .
c) Cho , ,
a b c là ba số hữu tỉ khác 0 sao cho
a b c a b c a b c
c b a
+ − − + − + +
= =
27
Tính giá trị bằng số của biểu thức
( )( )( )
a b b c c a
M
abc
+ + +
= .
Lời giải
a)
1)
2 3 3 2 3 2 3 2 3 2 3
2 3 3 2 3 2 3 2 3 2 3
a c a b a b b a b a b a b c d
b d c d c d d c d c d a b c d
− + − + +
= ⇒ = = = = = = ⇒ =
− + − − −
2)
2 2 2 2
2 2 2 2
a b ab a b a b
c d cd c d c d
−
= ⇒ = = =
−
3)
7 4 3 5 7 4 3 5
7 4 3 5 7 4 3 5
a c a b a b a b a b a b
b d c d c d c d c d c d
− +
= ⇒ = = = = = = = ⇒
− +
7 4 7 4
3 5 3 5
a b c d
a b c d
− −
=
+ +
4)
( )
( )
2
2 2 2 2 2 2
2
2 2 2 2 2 2
2 2
2 2
c a
a c ac a c a c ac a ac c
b d bd b d b d bd b bd d d b
−
+ − +
= ⇒ = = = = = =
+ − + −
⇒
( )
2
2 2
2 2 2
( )
c a
ac a c
bd b d d b
−
+
= =
+ −
5)
( )
( )
3
3 3 3 3
3
3 3 3 3
a b
a c a b a b a b a b
b d c d c d c d c d c d
+
+ +
= ⇒ = = ⇒ = = =
+ + +
với 1
a c
b d
 
= ≠
 
 
b)
2 13 2 13 2 13 3 7 6 39 6 14 6 39 6 14 53
3 7 3 7 2 13 3 7 6 39 6 14 6 39 6 14 53
a b c d a b a b a b a b a b a b b b
a b c d c d c d c d c d c d c d d d
+ + + − + − + − +
= ⇒ = = = = = =
− − + − + − + − +
(1)
2 13 2 13 2 13 3 7 14 91 39 91 14 91 39 91 53
3 7 3 7 2 13 3 7 14 91 39 91 14 91 39 91 53
a b c d a b a b a b a b a b a b a a
a b c d c d c d c d c d c d c d c c
+ + + − + − + + −
= ⇒ = = = = = =
− − + − + − + + −
(2)
Từ (1) và (2) suy ra
a b
c d
=
c)
( )
( )
2
2 2 2
1
2
a b c
a b c a b c a b c a b c
c b a c b c a a b a b c
+ +
+ − − + − + +
= = ⇒ = = = =
+ + + + +
( )
1 1
8
2 ( )( ) 8
a b c abc
M
c b c a a b c b c a a b
⇒ = = = ⇒ = ⇒ =
+ + + + + +
.
Câu 9. Cho đại lượng y tỉ lệ thuận với đại lượng x khi 6
x = thì 2
y = .
a) Hãy biểu diễn y theo x
b) Tìm y khi 15
x = . Tìm x khi 6
y = − ?
28
c) Nếu đại lượng z tỉ lệ nghịch với đại lượng x theo hệ số tỉ lệ bằng
1
2
thì y và z là hai
đại lượng tỉ
lệ như thế nào với nhau và hệ số tỉ lệ bằng bao nhiêu? Tính z khi 8
y = .
Lời giải
a)
1
3
y x
= .
b) 15 5
x y
= ⇒ = ;
1
6 6 18
3
y x x
=
− ⇒ =
− ⇒ =
− .
c) Đại lượng z tỉ lệ nghịch với đại lượng x theo hệ số tỉ lệ bằng
1
2
1
1
2
2
z
x x
⇒ = = mà
3
x y
=
1 1
2.3 6
z
y y
⇒= = ⇒ z và y là hai đại lượng tỉ lệ nghịch với hệ số tỉ lệ bằng
1
6
.
Khi 8
y = thì
1 1
6.8 48
z
= = .
Câu 10. Ba lớp 7A, 7B, 7C trồng được 120 cây. Tính số cây trồng được ở mỗi lớp, biết
rằng số cây trồng được của mỗi lớp lần lượt tỉ lệ với 3 : 4 : 5.
Lời giải
Gọi số cây trồng được của lớp 7A là 3x ( 0
x > , x cây)
⇒ Số cây trồng được của lớp 7B và 7C lần lượt là 4 ,5
x x (cây)
Tổng số cây của 3 lớp là: 3 4 5 12
x x x x
+ + = (cây)
Theo giả thiết: 12 120
x = 10
x
⇔ = (cây)
Vậy số cây trồng được của 3 lớp 7A, 7B, 7C lần lượt là 30 cây, 40 cây, 50 cây.
Câu 11. Số học sinh của ba khối 6, 7, 8 tỉ lệ với 10, 9, 8. Tính số học sinh của mỗi khối biết
số học sinh của khối 8 ít hơn số học sinh của khối 6 là 20 em.
Lời giải
Gọi số học sinh của 3 khối 6, 7, 8 lần lượt là 10 ,9 ,8
x x x ( *,
x x
∈ học sinh)
Số học sinh khối 8 ít hơn số học sinh của khối 6 là 20 em nên ta có: 10 8 20
x x
− =
2 20
x
⇔ = 10
x
⇔ = (học sinh)
Vậy số học sinh của 3 khối 6, 7, 8 lần lượt là 100, 90, 80 học sinh.
29
Câu 12. Một cửa hàng có ba tấm vải, sau khi bán đi
1
2
tấm thứ nhất,
2
3
tấm thứ hai và
3
4
tấm thứ ba thì số vải còn lại của ba tấm là bằng nhau. Tính chiều dài của mỗi tấm
vải lúc ban đầu. Biết chiều dài tổng cộng của ba tấm vải là 126 m.
Lời giải
Vì sau khi bán đi
1
2
tấm thứ nhất,
2
3
tấm thứ hai và
3
4
tấm thứ ba thì số vải còn lại của ba
tấm là bằng nhau nên số vải ban đầu của 3 tấm tỉ lệ với 2, 3, 4.
Gọi số vải của 3 tấm lần lượt là 2 ,3 ,4
x x x ( 0,
x x m
> )
Vì chiều dài tổng cộng của ba tấm vải là 126 m nên ta có: 2 3 4 126
x x x
+ + = 9 126
x
⇔ =
14
x
⇔ = ( )
m
Vậy tấm thứ nhất có chiều dài là 28m, tấm thứ hai có chiều dài là 42m, tấm thứ ba có chiều
dài là 56m
Câu 13. Tìm ba số có tổng bằng 150 và biết số thứ 1 và số thứ 2 tỉ lệ với 3;2 , số thứ 2 và
số thứ 3 tỉ lệ với 3;5.
Lời giải
Gọi ba số cần tìm lần lượt là ; ;
x y z . Theo đề ta có :
;
3 2 3 5
x y y z
= = và 150
x y z
+ + = .
Suy ra
9 6 10
x y z
= = . Theo tính chất của dãy tỉ số bằng nhau ta có :
150
6.
9 6 10 9 6 10 25
x y z x y z
+ +
= = = = =
+ +
Do đó : 6 54; 6 36; 6 60
9 6 10
x y z
x y z
= ⇒ = = ⇒ = = ⇒ = .
Vậy ba số cần tìm là 54;36;60 .
Câu 14. Ba đơn vị kinh doanh , ,
A B C góp vốn theo tỉ lệ 2;4;6 và sau một năm thu được
tổng 1 tỉ 800 triệu đồng tiền lãi. Hỏi mỗi đơn vị được chia bao nhiêu tiền lãi, biết
tiền lãi được chia tỉ lệ thuận với số vốn đã góp.
Lời giải
Gọi số tiền lãi của mỗi đơn vị , ,
A B C lần lượt là , ,
x y z (triệu đồng).
Theo đề ta có :
2 4 6
x y z
= = và 1800
x y z
+ + = .
Theo tính chất của dãy tỉ số bằng nhau ta có :
30
1800
150
2 4 6 2 4 6 12
x y z x y z
+ +
= = = = =
+ +
.
Do đó : 150 300; 150 600; 150 900
2 4 6
x y z
x y z
= ⇒ = = ⇒ = = ⇒ = .
Vậy số tiền lãi mỗi đơn vị nhận được lần lượt là 300,600,900 triệu đồng.
Câu 15. Một ô tô đi từ A đến B với vận tốc 65 /
km h , cùng lúc đó một xe máy chạy từ B
đến A với vận tốc 40 /
km h. Biết quãng đường AB dài 540km và C là điểm chính
giữa của AB . Hỏi sau khi khởi hành bao lâu thì ô tô cách C một khoảng bằng nửa
khoảng cách từ xe máy đến C và khi đó khoảng cách giữa hai xe là bao nhiêu ?
Lời giải
Gọi ( )
,
x y km lần lượt là quãng đường ô tô và xe máy đã đi được.
Vì quãng đường và vận tốc là hai đại lượng tỉ lệ thuận nên theo đề ta có :
65 40
x y
= và ( )
1
270 270 2 270
2
x y x y
−
= − ⇒ −
= .
Theo tính chất của dãy tỉ số bằng nhau tao có :
2 270
3
65 40 2.65 40 90
x y x y
−
= = = =
−
. Do đó 3 195, 3 120
65 40
x y
x y
= ⇒ = = ⇒ = .
Vậy sau khi khởi hành
195
3
65
= giờ thì hai xe đến vị trí thỏa mãn yêu cầu bài toán.
Khoảng cách hai xe khi đó là 540 540 195 120 225
x y km
− − = − − = .
Câu 16. Cho hàm số ( )
2 1
y m x
= − .
a) Tìm m biết điểm ( )
2;4
A thuộc đồ thị hàm số trên. Viết công thức xác định hàm
số trên.
b) Hãy vẽ đồ thị hàm số vừa xác định.
c) Đánh dấu các điểm ( ) ( ) ( )
1
2; 4 , 3;0 , 0;2 , ; 1
2
B C D E
 
− − − − −
 
 
trên cùng mặt phẳng
tọa độ Oxy.
d) Hãy chỉ ra các điểm thuộc đường thẳng OA?Vì sao ?
Lời giải
a) Ta có: điểm ( )
2;4
A thuộc đồ thị hàm số ( ) ( )
3
2 1 4 2 1 .2
2
y m x m m
= − ⇔ = − ⇔ = .
Công thức xác định hàm số trên là : 2
y x
= .
b) Bảng giá trị :
x 0 1
y 0 2
Đồ thị hàm số 2
y x
=
31
c) Đánh dấu các điểm ( ) ( ) ( )
1
2; 4 , 3;0 , 0;2 , ; 1
2
B C D E
 
− − − − −
 
 
trên cùng mặt phẳng
tọa độ Oxy.
d) Hãy chỉ ra các điểm thuộc đường thẳng OA? Vì sao ?
Giả sử ( ) ( )
2; 4 : 2 4 2 2 4 4
B OA y x
− − ∈ = ⇒ − = − ⇒ − = − (đúng).
Giả sử ( ) ( )
3;0 : 2 0 2. 3 0 6
C OA y x
− ∈ = ⇒ = − ⇒ =
− (sai).
Giả sử ( ) ( )
0;2 : 2 2 2 0 2 0
D OA y x
∈ = ⇒ = ⇒ = (sai).
Giả sử
1 1
; 1 : 2 1 2 1 1
2 2
E OA y x
   
− − ∈ = ⇒ − = − ⇒ − = −
   
   
(đúng).
Vậy ,
B E OA
∈ .
PHẦN II : HÌNH HỌC
Bài 1. Cho ABC
∆ có  60
B
= °,  30
C
= °. Tia phân giác của góc A cắt BC tại D . Kẻ
AH BC
⊥ ( H BC
∈ )
a) Tính số đo của các góc 
BAC ,. 
ADH , 
HAD
32
b) Kẻ // ( ),
DE AB E AC EK
∈ là phân giác của góc 
AED . Chứng minh
EK AD
⊥ .
Lời giải
Ta có    180
A B C
+ + = °


60 30 180
90
A
A
⇒ + °+ °
= °
⇒ = °
 
1 1
.90 45
2 2
BAD A
= = °
= °
  


180
45 60 180
85
BAD B ADB
ADB
ADB
+ + = °
⇒ °+ °+ = °
⇒ =°
Mặt khác
 


90
60 90
30
BAH B
BAH
BAH
+ = °
⇒ + °
= °
⇒ =°
 (30 45 )
BAH BAD
⇒ < ° < °
nên
  


30 45
15
BAH HAD BAD
HAD
HAD
+ =
⇒ °+ = °
⇒ =
°
b) Vì //
ED AB nên   45
EDA DAB
= = ° (hai góc so le trong)
 
1 1
.90 45
2 2
DAE A
= = °
= °
Và DE AC
⊥
30°
60°
K
E
H D
B C
A
33
 90
AED
⇒ =° mà EK là phân giác 
AED  
1 1
.90 45
2 2
AEK AED
⇒ = = °
= °
Xét tam giác AKE có    180
AKE AEK EAK
+ + = °
 45 45 180
AKE
⇒ + °+ ° = °
 90
AKE
= ° EK AD
⇒ ⊥ .
Bài 2. Cho ABC
∆ có AB AC
= , M là trung điểm của BC . Trên tia đối của tia MA lấy
điểm D sao cho MA MD
= .
a) Chứng minh : ABM DCM
∆ =
∆ .
b) //
AB DC
c) AM MC
⊥
d) Tìm điều kiện ABC
∆ để  30
ADC
= ° .
Lời giải
a) Xét AMB
∆ và DMC
∆ có:
AM MD
= (gt)
 
AMB DMC
= (hai góc đối đỉnh)
MB MC
= (gt)
ABM DCM
⇒ ∆ = ∆ (c-g-c).
b) Theo câu a, ABM DCM
∆ =
∆  
BAM CDM
= (hai góc tương ứng)
//
AB CD (hai góc so le trong bằng nhau).
c) Xét ABM
∆ và ACM có :
AM chung
MB MC
= (gt)
AB AC
= (gt)
AMB AMC
⇒ ∆ = ∆ (c-c-c)
 
1 2
M M
= (hai góc tương ứng)
Mà    
1 2 1 2
180 180 : 2 90
M M M M
+ = ° ⇒ = = ° = °
Suy ra AM MC
⊥ .
d) Vì ABM DCM
∆ =
∆   30
BAM ADC
⇒ = =
°
 
2 2.30 60
A BAM
⇒ = = °
= ° tam giác ABC cân có góc 60° nên ABC
∆ đều.
Bài 5: Cho ABC
 , M là trung điểm của BC . Trên tia đối MA lấy điểm E sao cho MA ME
= .
a) Chứng minh: AC BE

D
M
B C
A
34
b) Trên AC lấy điểm I , trên BE lấy điểm K sao cho AI EK
= . Chứng minh:
, ,
I M K thẳng hàng.
Lời giải
a) Xét AMC
∆ và EMB
∆ ta có:
D
MA M
= (gt)

AMC EMB
= (đối đỉnh)
MC MB
= (gt)
AMC EMB
⇒ ∆ = ∆ (c – g – c )  
CAM BEM
⇒ = (2 góc tương ứng).
Mà hai góc này ở vị trí so le trong AC BE
⇒  .
b) Chứng minh ba điểm , ,
I M K thẳng hàng.
Xét MAI
 và MEK
 , ta có:
AI KE
= (gt)
 
IAM KEM
= (câu a)
MA ME
= (gt)
MAI MEK
⇒ =
  ( c – g – c )  
IMA KME
⇒ = (2 góc tương ứng).
Lại có, ,
ME MA là hai tia đối nhau nên    0
180
AMB BMK KME
+ + =
(kề bù)
Hay    0
180
AMB BMK IMA
+ + =
Vậy, ba điểm , ,
I M K thẳng hàng (đpcm).
Bài 6: Cho ABC
 có AB AC
< . Trên tia đối của tia CB lấy điẻm D sao cho D
C AB
= . Trên
nửa mặt phẳng bờ BC không chứa điểm Akẻ Dx AB
 lấy điểm E thuộc tia Dx sao cho
DE BC
= .
35
a) Chứng minh: AC CE
=
b) Lấy P DE
∈ sao cho D
P AB
= . Chứng minh : D
A BP
 .
c) Tìm điều kiện của ABC
 để D
EP B
⊥ .
d) Gọi O là trung điểm của D
B . Chứng minh O là trung điểm của AP .
Lời giải
a)Xét ABC
 và D
C E
 có:
D
AB C
= (gt)
 
D
ABC C E
= (2 góc so le trong)
BC DE
= (gt)
D
ABC C E
⇒ =
  (c – g – c ).
AC CE
⇒ =(2 cạnh tương ứng).
b) Xét D
AB
 và D
P B
 , ta có:
AB DP
= (gt)
 
BDP
ABD = (2 góc so le trong)
D
B : cạnh chung
D D
AB P B
⇒ =
  ( c – g – c )  
PBD
ADB
⇒ =( 2 góc tương ứng)
Mà hai góc này ở vị trí so le trong D
A BP
⇒  .
c) Để D
EP B
⊥
Mà EP AB
 (do ,
P DE DE AB
∈  )
Hay D AB C ABC
AB B B
⊥ ⇔ ⊥ ⇔ vuông tại B .
Vậy, nếu ABC
 vuông tại B thì D
EP B
⊥ .
d) Xét tứ giác D
ABP , ta có:
AB DP
AB DP
=


 
(gt)
36
D
ABP
⇒ là hình bình hành (tứ giác có các cặp cạnh đối song song và bằng nhau là hình
bình hành) ,
BD AP
⇒ là hai đường chéo của hình bình hành.
Mà O là trung điểm của D
B nên O cũng là trung điểm của AP ( Trong hình bình
hành, hai đường chéo cắt nhau tại trung điểm mỗi đường).
Bài 6: Cho ABC
∆ có AB AC
< . Trên tia đối của tia AB lấy điểm D sao cho BD BC
= . Tia
phân giác của góc ABC cắt AC , DC tại E và F . Chứng minh:
a. Chứng minh: DBE CBE
∆ =
∆ .
b. Chứng minh: DF CF
= .
c. Từ A kẻ ( )
AH CD H CD
⊥ ∈ . Chứng minh: AH // BF .
Lời giải
a. Chứng minh: DBE CBE
∆ =
∆ .
Xét DBE
∆ và CBE
∆ có:
DB BC
= (gt)
 
DBE CBE
= (Vì BE là tia phân giác của 
DBC )
BE là cạnh chung
Suy ra DBE CBE
∆ =
∆ (c – g - c).
b. Chứng minh: DF CF
= .
Xét BCF
∆ và DBF
∆ có:
DB BC
= (gt)
 
DBE CBE
= (Vì BE là tia phân giác của 
DBC )
BF là cạnh chung
Suy ra CBF DBF
∆ =
∆ (c – g - c).
Vậy DF CF
= (hai cạnh tương ứng).
c. Chứng minh: BF // AH .
Vì CBF DBF
∆ =
∆ (câu b) nên  
BFC BFD
= (hai góc tương ứng) (1)
Mà   0
180
BFC BFD
+ =(kề bù) (2)
Từ (1) và (2) suy ra  
0
0
180
90
2
BFC BFD
= = =
Hay BF CD
⊥ (3)
Ta có: AH CD
⊥ (gt) (4)
Từ (3) và (4) suy ra BF // AH (Tính chất từ vuông góc đến song song).
Bài 8. Cho ABC
∆ ( AB AC
= ), phân giác của góc BAC cắt BC tại M .
a) Chứng minh: M là trung điểm của BC .
H
F
E
D
C
A
B
37
b) Trên tia đối của tia ,
AB AC lấy điểm ,
E F sao cho AE AF
= . Chứng minh:
BCE CBF
∆ =
∆ .
c) Chứng minh: ME MF
= .
d) Gọi N là trùn điểm của EF . Chứng minh: , ,
A M N thẳng hàng.
Lời giải
a) Vì ABM
∆ và ACM
∆ có:
AB AC
= (gt)
 
BAM CAM
= (vì AM là phân giác của 
BAC )
AM chung
Nên ABM
∆ ACM
= ∆ (c.g.c)
MB MC
⇒ =(hai cạnh tương ứng)
M
⇒ là trung điểm của đoạn thẳng BC
b) +) Ta có:
(gt)
(gt)
AB AC
AB AE AC AF
AE AF
BE CF
= 
⇒ + = +

= 
⇒ =
+) ABM
∆ ACM
= ∆ (chứng minh trên)
 
ABC ACB
⇒ =(hai góc tương ứng)
+) Vì BCE
∆ và CBF
∆ có:
BE CF
= (cmt)
 
ABC ACB
= (cmt)
BC chung
Nên BCE
∆ CBF
= ∆ (c.g.c)
c) +) BCE
∆ CBF
= ∆ (chứng minh trên)
CE BF
⇒ =(hai cạnh tương ứng) và  
BCE CBF
= (hai góc tương ứng)
+) Vì FBM
∆ và ECM
∆ có:
CE BF
= (chứng minh trên)
 
FBM ECM
= (chứng minh trên)
MB MC
= (chứng minh trên)
Nên FBM
∆ ECM
= ∆ (c.g.c)
MF ME
⇒ =(hai cạnh tương ứng)
d) N là trung điểm của EF N
⇒ thuộc đường trung trực của đoạn thẳng EF
(1)
AE AF
= (gt) A
⇒ thuộc đường trung trực của đoạn thẳng EF (2)
MF ME
= (chứng minh trên) M
⇒ thuộc đường trung trực của đoạn thẳng EF (3)
Từ (1) ,(2) và (3) , ,
N A M
⇒ thẳng hàng.
N E
M
B C
A
F
38
ĐÁP ÁN BÀI TẬP ÔN TẬP HỌC KÌ II
BẢNG ĐÁP ÁN
1 2 3 4 5 6 7 8 9 10
C B D D C B A B C D
11 12 13 14 15 16 17 18 19 20
C D D C C C B B A D
HƯỚNG DẪN GIẢI CHI TIẾT
Câu 1. Nhóm gồm các đơn thức đồng dạng với nhau là
A. 2 3 2 3 3 2
–3,5 ; ; 2 .
x y x y x y
− B. 3 2 3 2 3
– ; 4 ; 4
x y x y x y .
C. 2 3 2 3 2 3
–5 ; ; 2
x y x y x y
− . D. 2 3 2 3 3 2
–3 ;4 ; z
z .
x y y x
−
Lời giải
Chọn C
Các đơn thức có cùng phần biến 2 3
x y .
Câu 2. Tổng của các đơn thức 2 3 2 3 2 3
3 ; 5 ;
x y x y x y
− là
A. 2 3
2x y
− . B. 2 3
x y
− . C. 2 3
x y . D. 2 3
9x y .
Lời giải
Chọn B
( )
2 3 2 3 2 3 2 3
3 5
+
x y x y x y x y
= −
+
−
Câu 3. Đa thức 2 3 5
3 2 – 3 6
x x x x
+ + + sắp xếp theo lũy thừa giảm dần của biến là
A. 3 2 5
3 2 – 3 6
x x x x
+ + + . B. 5 2 3
2 3 – 3 6.
x x x x
+ + + .
C. 5 3 2
2 – 3 3 6
x x x x
+ + + . D. 5 3 2
2 3 – 3 6
x x x x
+ + + .
Lời giải
Chọn D
Câu 4. Đa thức 2 3 5
5 – 3 – 10
x x x x
+ + sắp xếp theo lũy thừa tăng dần của biến là
A. 3 5 2
– 3 – 10 5
x x x x
+ + . B. 2 5 3
5 – 3 – 10
x x x x
+ + .
C. 2 3 5
5 – 3 – 10
x x x x
+ + . D. 2 3 5
–10 – 3 5
x x x x
+ + + .
Lời giải
39
Chọn D
Câu 5. Hệ số cao nhất của đa thức 3 5 2
M 3 9 10
x x x
= − + + là
A. 10. B. 1
− . C. 3. D. 9.
Lời giải
Chọn C
Câu 6. Hệ số tự do của đa thức 4 3 2
A( ) 7 1 2 3 9
x x x x
=− + − + + là
A. 1. B. 9. C. 10. D. 7
− .
Lời giải
Chọn B
Câu 7. Thu gọn đa thức 2 2 2 2
P 2 7 3 7
x y xy x y xy
=
− − + + được kết quả là
A. 2
P x y
= . B. 2
P x y
= − .
C. 2 2
P 14
x y xy
= + . D. 2 2
P 5 14
x y xy
=
− − .
Lời giải
Chọn A
Câu 8. Bậc của đa thức 3 4 3 4
Q 7 11
x x y xy x y
= − + + − là
A. 7 . B. 5. C. 4 . D. 3.
Lời giải
Chọn B
Câu 9. Giá trị 2
x = là nghiệm của đa thức
A. ( ) 2
f x x
= + . B. ( ) 2
2
f x x
= − . C. ( ) 2
f x x
= − . D.
( ) ( )
2
f x x x
= + .
Lời giải
Chọn C
Câu 10. Đa thức ( ) 3
P – 4
x x x
= có nghiệm là
A. 0
x = . B. 0; 2
x x
= = . C. 0; 2
x x
= = − . D. 0 ; 2
x x
= = ±
Lời giải
Chọn D
40
( ) ( )
3 2
2
0
0
P – 4 0 4 0 2
4 0
2
x
x
x x x x x x
x
x
 =

=
 
= = ⇔ − = ⇔ ⇔ =
 
− =
  = −


Câu 11. Cho tam giác ABC cân tại A, kẻ AH vuông góc với BC tại H, ( H BC
∈ ). Khẳng
định nào sau đây là sai?
A. H là trung điểm của cạnh BC.
B. AH là tia phân giác của 
BAC.
C. AHB = AHC
∆ ∆ (cạnh huyền – góc vuông).
D. 2 2 2
AB AH HC
= + .
Lời giải
Chọn C
AHB = AHC
∆ ∆ (cạnh huyền – cạnh góc vuông).
Câu 12. Cho tam giác ABC vuông tại B, biết
AB 3
; BC AB 2cm
BC 4
= − = . Độ dài cạnh AC là
A. 7cm . B. 100cm. C. 14cm . D. 10cm .
Lời giải
Chọn D
AB 6cm ; BC 8cm.
= =
Áp dụng định lý Pitago trong tam giác vuông ABC ta có
2 2 2 2 2
AC AB + BC 6 8 100 AC 10cm.
= = + = ⇒ =
Câu 13. Cho tam giác MNP cân tại N, biết  
2M N 20
− = ° . Số đo của góc N là
A. 68°. B. 40°. C. 100°. D. 80° .
Lời giải
Chọn D
Vì MNP
∆ cân tại N nên   
M P 2. M
= =
Suy ra  
N 2. M 180
+ = °(định lý tổng ba góc trong một tam giác) mà  
2M N 20
− = ° (gt).
 ( )
N 180 20 : 2 80 .
⇒ = °− ° = °
Câu 14. Cho tam giác ABC cân tại A có 
BAC 40
= ° , tia phân giác của 
ACB cắt cạnh AB
tại D. Số đo 
ADC là
A. 40°. B. 70°. C. 105°. D. 75°.
41
Lời giải
Chọn C
Vì ABC
∆ cân tại A (gt)   ( )
ABC ACB 180 40 : 2 70
⇒ = = °− ° = °(tính chất tam giác
cân).
Vì CD là phân giác của 
ACB nên 
ACD 70 : 2 35
= ° = °.
Áp dụng định lý tổng ba góc trong tam giác ACD ta có 
ADC 180 35 40 105 .
= °− °− °
= °
Câu 15. Cho tam giác XYZ vuông tại Y có  ( )
X 60 , YZ 4cm, YH ZX H ZX
= ° = ⊥ ∈ . Khẳng
định nào sau đây là sai ?
A. 
Z 30
= ° . B. XZ 8cm
= . C. ZH 6cm
= . D. YH 2cm
= .
Lời giải
Chọn C
Tam giác XYZ vuông ở Y có   
X Z 90 Z 90 60 30 .
+ = ° ⇒ = °− °
= °
Trong YHZ
∆ vuông tại H có 
Z 30
= °nên cạnh YH đối diện với 
Z 30
= ° sẽ bằng nửa
cạnh huyền YZ, hay YH = 2cm.
Áp dụng định lý Pytago trong YHZ
∆ vuông tại H có
( )
2 2 2 2 2 2
YZ YH + HZ HZ 4 2 16 4 12 HZ 12 cm .
= ⇒ = − = − = ⇒ =
? D
C
A
B
40°
4cm
Z
H
60°
Y
X
42
Vậy chọn đáp án C.
Câu 16. Trong một tam giác, điểm cách đều ba cạnh của tam giác là
A. giao điểm ba đường trung tuyến. B. giao điểm ba đường trung trực.
C. giao điểm ba đường phân giác. D. giao điểm ba đường cao.
Lời giải
Chọn C
Câu 17. Trong một tam giác, tâm của đường tròn đi qua ba đỉnh của tam giác là
A. giao điểm ba đường trung tuyến. B. giao điểm ba đường trung trực.
C. giao điểm ba đường phân giác. D. giao điểm ba đường cao.
Lời giải
Chọn B
Câu 18. Nếu AM là đường trung tuyến và G là trọng tâm của tam giác ABC thì
A. AM AB
= . B.
2
AG AM
3
= . C.
3
AG AB
4
= . D. AM AG
= .
Lời giải
Chọn B
Câu 19. Cho góc vuông xOy và A, B là hai điểm lần lượt thuộc hai tia Ox, Oy. Đường
trung trực của OA và đường trung trực của OB cắt nhau tại I. Gọi H, K lần lượt là
trung điểm của OA, OB. Khẳng định nào sau đây là sai ?
A. IH IK
= . B. 
AIB 180
= °. C.
AB
OI
2
= . D. IA IB
= .
Lời giải
Chọn A
A
B
K
H I
y
x
O
43
Câu 20. Cho ABC
∆ có H là giao điểm của hai đường cao BB' và CC' ; 
A 50
= °. Phát biểu
nào sau đây là sai ?
A. AH BC
⊥ .
B. Điểm A là trực tâm của HBC
∆ .
C.  
ABH ACH 40
= = °.
D.  
HBC HCB 130
+ = ° .
Lời giải
Chọn D
Trong ABC
∆ có 
A 50
= °nên  
ABC ACB 180 50 130
+ = °− °
= ° (định lý tổng ba góc).
Suy ra  
HBC HCB 130
+ < ° .
Vậy chọn đáp án D.
II. PHẦN TỰ LUẬN
Bài 1. Thu gọn các đa thức và sắp xếp theo lũy thừa tăng của biến, Tìm hệ số cao nhất và
hệ số tự do của mỗi đa thức:
( ) ( )
7 7 5 5 3
2 5 2 2 3 7
A x x x x x x
= + + − + + − −
3 2 3 2
1 3
4 2 5
2 2
B x x x x x x
= + − − − − +
Lời giải
( ) ( )
7 7 5 5 3
2 5 2 2 3 7
A x x x x x x
= + + − + + − −
7 5 3
3 3 2 3 7
A x x x x
= − + − −
3 2 3 2
1 3
4 2 5
2 2
B x x x x x x
= + − − − − +
( ) ( )
3 3 2 2 1 3
2 4 5
2 2
B x x x x x x
 
= − + − + + − −
 
 
H
B'
C'
C
B
A
50°
44
3 2
3 5
B x x x
=
− − − −
Hệ số cao nhất của A là 3, hệ số tự do là -7.
Hệ số cao nhất của B là -1, hệ số tự do là -5.
Bài 2. Cho ( ) 3 5 199 201
1 ...
P x x x x x x
= + + + + + + . Tính giá trị của đa thức tại 1
x = ; 1
x = −
Lời giải
( ) 3 5 199 201
1 ...
P x x x x x x
= + + + + + +
( )
101 soá 1
1 1 1 1 ... 1 101
P = + + + + =




( )
101 soá 1
1 1 1 1 ... 1 100
P − = − − − − =−




Bài 3. Cho ( ) 5 2
3 2 1
f x x x x
= − + − và ( ) 5 3 5 3
4 5 2 5 4 2
g x x x x x x x
=
− + − + =
− − + + . Tìm đa
thức ( )
h x sao cho:
a) ( ) ( ) ( )
f x h x g x
+ =
b) ( ) ( ) ( )
g x h x f x
− =
Lời giải
a) Cho ( ) 5 2
3 2 1
f x x x x
= − + −
( ) 5 3 5 3
4 5 2 5 4 2
g x x x x x x x
=
− + − + =
− − + +
( ) ( ) ( )
f x h x g x
+ =
( ) ( ) ( )
h x g x f x
⇒ = −
( )
( )
( ) ( ) ( )
5 2
5 2
5 3
5 4 2
3 2 1
2 2 2 3
g x x x x
f x x x x
h x g x f x x x x
=
− − + +
−
= − + −
= − =
− − + +
b) ( ) ( ) ( )
g x h x f x
+ =
( ) ( ) ( )
h x f x g x
⇒ = −
( ) 5 3
2 2 2 3
h x x x x
= + − −
Bài 4. Cho ( ) 2
3 2 1
f x x x
= + − . Chứng minh rằng 1
x = − và
1
3
x = là hai nghiệm của đa
thức ( )
f x .
Lời giải
Cho ( ) 2
3 2 1
f x x x
= + −
Ta có: ( ) ( ) ( )
2
1 3 1 2 1 1
f − = − + − −
3 2 1 0
= − − =
45
2
1 1 1
3 2 1
3 3 3
f
     
= + −
     
     
1 2
1 0
3 3
= + − =
Nên 1
x = − và
1
3
x = là hai nghiệm của đa thức ( )
f x .
Bài 5. Tìm nghiệm của đa thức f(x) biết
a)
1
2
( ) 3
f x x
=
− + b) 2
( ) 5
f x x x
= +
c)
1 3
( ) 1
2 4
f x x x
−
= + + ; d) 2 1
( )
4
f x x
= −
e) 2
( ) 2 3
f x x
= + f) 2
( ) 3 2
f x x x
= + +
Lời giải
a) Cho
1
2
1
3 0
6
x x
− + = ⇒ = .Vậy
1
6
x = là nghiệm của f(x)
Bài 6.
b) Cho 2
5 0 ( 5) 0
x x x x
+ = ⇒ + =
0
x = hoặc 5
x = − .Vậy { }
0;5
x∈ là nghiệm của f(x)
c) Cho
1 3 1 3 1
1 0 ) 1 1 4
2 4 2 4 4
x x x x x
− −
+ + = ⇒ + =− ⇒ =− ⇒ =−
Vậy 4
x = − là nghiệm của f(x)
d) Cho 2 2
1 1 1
0
4 4 2
x x x
− = ⇒ = ⇒ =
±
Vậy
1 1
;
2 2
x
−
 
∈ 
 
là nghiệm của f(x)
e) Ta có 2 2
2 0 2 3 3 0
x x
≥ ⇒ + ≥ > với x R
∀ ∈ .Vậy f(x) vô nghiệm
f) Ta có
2 2
3 2 0 2 2 0 ( 2) ( 2) 0 ( 1).( 2) 0
x x x x x x x x x x
+ + = ⇒ + + + = ⇒ + + + = ⇒ + + =
2 0
x + =hoặc 1 0
x + =
2
x = − hoặc 1
x = −
Vậy }
{ 2; 1
x∈ − − là nghiệm của f(x)
Bài 6. Chứng minh rằng 2
( ) 4 5
f x x x
= + + vô nghiệm.
Lời giải
Bài 7.
Ta có 2 2
4 5 2 2 4 1 ( 2) 2( 2) 1 ( 2).( 2) 1
x x x x x x x x x x
+ + = + + + + = + + + + = + + +
2
( 2) 1 1 0
x
= + + ≥ > Với x R
∀ ∈ .Vậy f(x) vô nghiệm
Bài 7. Cho đa thức 2
( )
f x ax bx c
= + + chứng minh nếu
1
(0); (1); ( 1); ( )
2
f f f f
− là các số
nguyên thì ; ;
a b c đều là các số nguyên
46
Lời giải
Ta có 2
(0) .0 .0
f a b c c
= + + = vì (0) nguyên
f nên c nguyên
Bài 8.
2
(1) .1 .1
f a b c a b c
= + + = + + ; 2
( 1) .( 1) .( 1)
f a b c a b c
− = − + − + = − +
Bài 9.
Vì (1); ( 1) nguyên (1) ( 1) 2 nguyên nguyên
f f f f b b
− ⇒ − −
= ⇒
Bài 10.
Vì (1); ( 1) (1) ( 1) 2 2 nguyên nguyên Vì nguyên
f f nguyên f f a c a c
− ⇒ + − = + ⇒
Vậy ; ;
a b c đều là các số nguyên
Bài 8. Cho đa thức 3 2
( )
f x x ax bx c
= + + + với ; ;
a b c là các số nguyên.Chứng minh rằng.
Nếu
0 0
x ≠ là một nghiệm nguyên của f(x) thì 0
c x

Lời giải
Ta có 0 0
x ≠ là một nghiệm nguyên của f(x)
3 2 3 2 2
0 0 0 0 0 0 0 0 0 0 0
( ) 0 0 ( )
f x x ax bx c c x ax bx x x ax b x
⇒ = ⇒ + + + = ⇒ = − − − = − − − 
Vậy 0 0
x ≠ là một nghiệm nguyên của f(x) thì 0
c x

Bài 9. Cho tam giác ABC đều, 4
AB cm
= . Trên cạnh AC và cạnh BC lần lượt lấy các
điểm ,
M N (M và N không trùng với các đỉnh của ABC
∆ ) sao choCM BN
= . Gọi
G là giao điểm của AN và BM .
a) Kẻ CH vuông góc với AB tại H . TínhCH ;
b) Chứng minh AN BM
= . Tính góc AGM .
Lời giải
Áp dụng định lý pytago cho tam giác vuông AHC ta có:
2 2 2 2 2
4 2 12 12
HC AC AH HC
= − = − = ⇒ = cm
b) Xét ABN
∆ và BCM
∆ có
AB BC
= (tam giác ABC đều)
G
B
A
C
H
N
M
47
 
B C
= (tam giác ABC đều)
BN CM
= (gt)
( )
. .
ABN BCM c g c
⇒ ∆ = ∆
AN BM
⇒ = (Hai cạnh tương ứng)
Và  
ABN BCM BAN MBC
∆ =
∆ ⇒ = (2 góc tương ứng)
Theo tính chất góc ngoài của tam giác ta có:
      60
AGM GBA BAN GBA MBC ABC
= + = + = = °
Bài 10. Cho tam giác ABC vuông tại A , M là trung điểm của BC
a) Chứng minh rằng:
2
BC
AM = ;
b) Chứng minh rằng: Nếu góc C bằng 300
thì
2
BC
AB = .
Lời giải
Trên tia đối của tia MA lấy D sao cho MA MD
= suy ra ( )
1
2
AD
AM =
Xét ABM
∆ và CMD
∆ có
AM MD
= (theo cách vẽ)
 
AMB CMD
= (2 góc đối đỉnh)
BM CM
= (gt)
( )
. .
AMB DMC c g c
⇒ ∆ = ∆
AB CD
⇒ = (Hai cạnh tương ứng)
       90
AMB DMC ABC DCM ABC ACB DCM ACB ACD
∆ =
∆ ⇒ = ⇒ + = + ⇒ =
°
Xét ABC
∆ và DCA
∆ có
AB CD
= (cmt)
 ( 90 )
BAC ACD
= = °
Cạnh AC chung
( )
. .
ABC CDA c g c
⇒ ∆ = ∆ ( )
2
BC AD
⇒ = (Hai cạnh tương ứng)
Từ (1) và (2) ta có :
2
BC
AM =
M
A
B
C
D
48
Vì ;
2 2
BC BC
AM BM AM BM ABM cân
= = ⇒ = ⇒ ∆
Nếu  
30 60
C ABC ABM
= ° ⇒ = ° ⇒ ∆ đều
2
BC
AB AM
⇒ = = (t/c tam giác đều)
suy ra :
2
BC
AB =
Bài 11. Cho tam giác ABC vuông tại A , kẻ AH vuông góc với BC tại H . Trên cạnh BC
lấy điểm M sao cho CM = CA , trên cạnh AB lấy điểm N sao cho AN= AH . Biết
AB = 3cm , BC = 6cm .
a) Tính độ dài cạnh AC;
b) Trên tia đối của tia AB lấy diểm D sao cho AD = AB . Chứng minh tam giác
BCDđều;
c) Chứng minh  
MAH MAN
= và MN AB
⊥ .
Lời giải
a)Tính độ dài cạnh AC
Xét tam giác vuông ABC theo Py-ta-go ta có 2 2 2
AC = BC - AB 2 2
= 6 - 3 27
=
Vậy AC 27cm
=
b) Trên tia đối của tia AB lấy diểm D sao cho AB AD
= . Chứng minh tam giác
BCD đều;
Xét tam giác CAB
∆ và CAD
∆ có  
CAB CAD 90o
= = , AD=AB ,CA là cạnh chung
CAB= CAD (c-g-c)
⇒ ∆ ∆ . Suy raCB CD
= mặt khác BD 2AB
= =2.3= 6 = CB
Vậy CB CD = BD
= vậy tam giác BCDlà tam giác đều
c) Chứng minh  
MAH MAN
= và MN AB
⊥ .
Theo giả thiết CA = CM nên CAM
∆ cân tại C , suy ra  
CAM CMA
=

180 ACM
2
o
−
=
180 30
75
2
o o
o
−
= = . Xét tam giác vuông AHM ta có   
MAH 180 AHM AMH
o
= − −
49

MAH 180 90 75 15
o o o o
= − − =
Xét tam giác AHB ta có   
HAB 180 AHB HBA
o
= − − 180 90 60 30
o o o o
= − − =
Mặt khác   
MAN MAB MAH
= − 30 15 15
o o o
= − = . Vậy  
MAH MAN 15o
= =
Ta có MAN= MAH (c-g-c)
∆ ∆ do AN = AH ,  
MAH MAN
= và cạnh AM chung. Suy
ra
 
ANM AHM
= 90o
= . Vậy MN AB
⊥
Bài 12. Cho tam giác ABC nhọn, đường cao BD, CE cắt nhau ở H , AH cắt BC tại M ,
Chứng minh rằng:
a) AM vuông góc với BC ;  
BAM ECB
=
b) Lấy điểm K sao cho AB là trung trực của HK .Chứng minh rằng  
KAB KCB
= .
Lời giải
a) Chứng minh AM vuông góc với BC ;  
BAM ECB
=
Theo gải thiết ta có CH AB; BH AC
⊥ ⊥ nên H là trực tâm tam giác ABC. Suy ra
AH vuông góc với BC hay AM BC
⊥
Xét tam giác BAM ta có
  
BAM 180 AMB MBA
o
= − −  
180 90 MBA 90 MBA (1)
o o o
− − = −
Xét tam giác BCE ta có
  
ECB 180 CEB MBE
o
= − −  
180 90 MBA 90 MBA (2)
o o o
= − − = −
Từ (1),(2) ta suy ra  
BAM ECB
=
b) Lấy điểm K sao cho AB là trung trực của HK .Chứng minh rằng  
KAB KCB
= .
Xét hai tam giác vuông AKEvà AHEcó EK=EH ,AE là cạnh chung. Vậy
AKE= AHE
∆ ∆ (Hai cạnh góc vuông bằng nhau). Suy ra  
KAE HAE
= mà
 
HAE KCB
= theo ý a
Vậy  
KAB KCB
=
50
Bài 13. Cho tam giác ABC có AB AC
< . Hai đường cao AD và BE cắt nhau tại H và
AD BE
= ( ; )
D BC E AC
∈ ∈ . Chứng minh rằng:
a) Tam giác ABC cân tại C ;
b) Đường thẳng CH là đường trung trực của đoạn thẳng AB ;
c) DE song song với AB .
Lời giải
a) Xét ADE
∆ và BED
∆ có
( )
AD BE GT
=
  90
AED BDE
= = 
AB chung
( )
ADE BED ch cgv
⇒ ∆ = ∆ −
 
EAB ABD
⇒ =(hai góc tương ứng)
⇒Tam giác ABC cân tại C ;
b) Tam giác ABC cân tại C (cma)
CA CB
⇒ =
⇒ C thuộc đường trung trực của AB
 
( )
ADE BED cma EBA DAB
∆ =
∆ ⇒ = (hai góc tương ứng)
⇒Tam giác HAB cân tại H ;
HA HB
⇒ =(ĐN tam giác cân)
⇒ H thuộc đường trung trực của AB
⇒ Đường thẳng CH là đường trung trực của đoạn thẳng AB ;
c) Tam giác ABC cân tại C (cma)


180
2
ACB
CAB
−
⇒ =

( )
ADE BED cma AE BD
∆ =
∆ ⇒ = (hai cạnh tương ứng)
CA AE CB BD
⇒ − = −
CE CD
⇒ =
H
E D
A B
C
51
⇒ Tam giác CED cân tại C


180
2
ACB
CED
−
⇒ =

 
CAB CED
⇒ =
Mà hai góc ở vị trí đồng vị
/ /
ED BA
⇒
Bài 14. Cho tam giác ABC vuông tại A ,  ,
ABC ACB
> trung tuyến AM . Trên tia đối của tia
CB lấy điểm D sao cho C là trung điểm của MD . Trên tia đối của tia BA lấy
điểm E sao cho .
BE BA
= Trên tia đối của tia MA lấy điểm N sao cho MN MA
= .
a) Chứng minh tam giác AMB bằng tam giác NMC và NC vuông góc với AC ;
b) Gọi I là trung điểm của DE . Chứng minh ba điểm , ,
A M I thẳng hàng;
c*) So sánh AD và BC .
Lời giải
a) Xét AMB
∆ và NMC
∆ có
( )
MC MB GT
=
 
AMB NMC
= ( hai góc đối đỉnh)
( )
MA MN GT
=
( . . )
AMB NMC c g c
⇒ ∆ = ∆
 
MAB MNC
⇒ =(hai góc tương ứng)
Mà hai góc ở vị trí so le trong
/ / AB
CN
⇒
BA CA CN CA
⊥ ⇒ ⊥
b) B là trung điểm của AE .
⇒ DB là đường trung tuyến của DAE
∆ .
I
N
E
D
M
A B
C
52
2
;
3
DC CM CM MB DM DB
= = ⇒ =
⇒ M là trọng tâm của DAE
∆
I là trung điểm của DE
⇒ AI là đường trung tuyến của DAE
∆ .
M AI
⇒ ∈
⇒ ba điểm , ,
A M I thẳng hang.
c) Vì AMB NMC
∆ =
∆ (cmt)
AB NC
⇒ = ( 2 cạnh tương ứng )
Xét ACN
∆ và CAB
∆ có
Cạnh CA chung ;  
CAB ACN
= = 0
90 , CN AB
= (cmt)
( )
ACN CAB c g c
⇒ ∆ = ∆ − −
AN BC
⇒ =( 2 cạnh tương ứng )
1 1
2 2
AN BC
⇒ =
AM MC MB
⇒ = =
AMC
⇒ ∆ và AMB
∆ cân tại M. Theo tính chất góc ngoài tam giác ta có
   
2
AMB ACB CAM ACB
= + =
   
2
AMC ABC BAM ABC
= + =
Mà  
ACB ABC
<
 
AMB AMC
⇒ <
Mà 
AMB và 
AMC là hai góc kề bù

AMC
⇒ là góc tù
Xét AMB
∆ có 
AMD là góc tù
 
AMD DAM
⇒ >
AD MD
⇒ > ( quan hệ giữa góc và cạnh đối diện)
Lại có MB MC CD
= = MB MC MC CD
⇒ + = +
Hay BC MD
=
Do đó BC MD
= (dpcm).
)
2
AB AC
a AD
+
<
3
)
2
b BE CF BC
+ >
( )
3
)
4
c AB BC AC AD BE CF AB BC AC
G
E
F
A
+ + < + + < + +
Lời giải
Bài 15. Cho ∆ABC có ba đường trung tuyến AD, ,
BE CF cắt nhau tại G . Chứng minh
rằng:
53
a) Trên tia đối của tia DA lấy điểm H sao cho DA DH
=
Xét ADB
∆ và HDC
∆ có
BD CD
= (D là trung điểm của BC)
 
ADB HDC
= (đối đỉnh)
AD HD
= (cách dựng)
( . . )
ADB HCD c g c
⇒ ∆ = ∆
AB HC
⇒ = (2 cạnh tương ứng)
* Xét ACH
∆ ta có
AC HC AH
+ > (bất đẳng thức trong tam giác)
2
AC AB AD
⇒ + > hay
2
AB AC
AD
+
<
b) Ta có , ,
AD BE CF cắt nhau tại G nên G là trọng tâm của ABC
∆
2
3
BG BE
⇒ = ,
2
3
CG CF
= ,
2
3
AG AD
=
Xét BGC
∆ ta có
BG CG BC
+ > (bất đẳng thức trong tam giác)
( )
2
3
BE CF BC
⇒ + >
3
2
BE CF BC
⇒ + >
c) * Xét AGB
∆ ta có
AG BG AB
+ > (1) (bất đẳng thức trong tam giác)
Xét AGC
∆ ta có
AG CG AC
+ > (2) (bất đẳng thức trong tam giác)
Xét BGC
∆ ta có
BG CG BC
+ > (3)(bất đẳng thức trong tam giác)
Cộng vế với vế của (1), (2), (3) ta được:
AG BG AG CG BG CG AB AC BC
+ + + + + > + +
2 2 2 2 2 2
3 3 3 3 3 3
AD BE AD CF BE CF AB AC BC
⇒ + + + + + > + +
4 4 4
3 3 3
AD BE CF AB AC BC
⇒ + + > + +
( )
3
4
AB BC AC AD BE CF
⇒ + + < + +
* Theo câu a) ta có
2
AB AC
AD
+
<
Chứng minh tương tự ta có
2
AB BC
BE
+
< ,
2
BC AC
CF
+
<
2 2 2
AB AC AB BC BC AC
AD BE CF
+ + +
⇒ + + > + +
AD BE CF AB BC AC
⇒ + + < + +
54
Vậy ( )
3
4
AB BC AC AD BE CF AB BC AC
+ + < + + < + +
 HẾT 

tai-lieu-on-tap-he-mon-toan-lop-7-len-8-co-dap-an.pdf

  • 1.
    1 ĐỀ CƯƠNG ÔNTẬP HÈ LỚP 7 LÊN LỚP 8 ÔN TẬP KIẾN THỨC HỌC KÌ I II. PHẦN ĐẠI SỐ Câu 1. Thực hiện phép tính: a) 3 2 2 1 5 2 : : 4 7 3 4 7 3     − + + − +         b) ( ) 2 0 1 6 14 1 .2 : 2 1,21 2 7 15 3   − − + −     c) 3 1 1 9 4. 1 : 25 2 2 4   − + − +     d) ( ) 2 1 1 6 3. : 0, 9 3 4     −   − +         e) 2 2 1 16 2 1 4 . 81 1 . 2 25 3 2 9     − + − −         f) 2 1 4 8 64 25 0,75 : : . 6. 3 16 15 25 25 144     − − + +         g) ( ) 2 2 3 2 1 1 2 3. 2 .4 2 : .8 2 2     + − − + −         h) 2 2 5 1 4 5 2 0,36. . : 1 4 4 81 9 5             − + − −                 i) ( ) 2 10 5 7 2 : 3,72 0,02 . : 2,8 3 37 6 15     − + −         Câu 2. Tìm x, biết 1. 15 1 x 5 : 0,5 8 8 4 4   − − =     2. 3 1 1 : x 4 5 4 + = 3. 3 2 3 1 1 2x x 3 4 8 2     − − − = −         4. ( )( ) 2 3x 2 5 x 0 + − = 5. 2 3 x 1 2 3 4 − − − = 6. 2 2 1 x 3 5 3 − − = 7. x 2 1 2x 0 − − − = 8. ( ) 1 4 1 : 3 : 3x 2 12 21 2 = − 9. 8 3 x 5 x 1 = − + (với x 5; 1 ≠ − ) 10) 1 4 2 5 x x − = + với ( ) 2 x ≠ − . 11) 3 3 2 8 9 27 x     − =         . 12) 1 2.3 405 3 x x− − =. 13) 8 4 3 2 4 3 x   =     . 14) ( ) 2 36 5 1 49 x + =. 15) ( ) 3 1 0,5 64 x   − =   . 16) ( )( ) 2 2 3 2020 1 x x − + = . 17) ( ) ( ) 10 4 1 1 x x x x + + + =+ với x∈. 18) 3 1 1 4 2 3 x − = Câu 3. Tìm , , x y z biết 1. ( ) : : 3:5: 2 x y z = − và 5 3z 16 x y − + = − . 2. 2 3 x y = − ; 3 4 z y = và 5,2 x y z + + = . 3. 2 3 x y = ; 7z 5y = và 3 7 5z 30 x y − + =. 4. 3 4 5z x y = = và ( ) 21 x y z − + = − .
  • 2.
    2 5. 1 2 3 23 4 x y z − − − = = và 2 3 50 x y z + − = . 6. 2 3 4 x y z = = và 2z 18 x y − − = − . 7. : : 2:3: 4 x y z = và 2 3 20 x y z + − = − . 8. 3 4 6 2 5 7 x y z = = và 2 45 x y z − − = − 9. 2 3 4 x y z = = và 2 2 2 2z 108 x y − + = . 10. 3 3 3 8 64 216 x y z = = và 2 2 2 14 x y z + + =. Câu 4. So sánh các lũy thừa sau : 1. 240 160 ( 2) va` (-3) − 2. 11 21 ( 84) va` ( 9) − − 3. 7 5 1 1 va` 8 16 − −             Câu 5. Tìm n Z ∈ để các số hữu tỉ sau là những số nguyên : 1. 5 2 n − 2. 6 1 n − + 3. 3 4 n − − 4. 6 4 2 1 n n − + 5. 3 2 4 5 n n + − 6. 4 1 3 2 n n − − Câu 6. Tìm giá trị nhỏ nhất của biểu thức: 1. ( ) 2 2 3 15 x − + 2. ( ) 8 5 7 2020 x + − 3. 2016 1 2019x + − 4. 9 4 1 x − + + 5. 1 2 x x − + − 6. 15 2021 3 2021 x − + − Câu 7. Tìm giá trị lớn nhất của biểu thức: 1. ( ) 2 8 4 7 x − − 2. 7 6 1 x − − 3. 2 6 5 x − + 4. ( ) 2 3 14 2 5 6 x + + − 5. 15 6 5 7 4 x − + + + 6. 2 2 4 9 1 x x + + Câu 8.
  • 3.
    3 a) Cho tỉlệ thức a c b d = . Chứng minh rằng ta có các tỉ lệ thức sau: 1. 2 3 2 3 2 3 2 3 a b c d a b c d + + = − − 2. 2 2 2 2 ab a b cd c d − = − 3. 7 4 7 4 3 5 3 5 a b c d a b c d − − = + + 4. ( ) 2 2 2 2 2 2 ( ) c a ac a c bd b d d b − + = = + − 5. ( ) ( ) 3 3 3 3 3 3 a b a b c d c d + + = + + với 1 a c b d   = ≠     b) Cho 2 13 2 13 3 7 3 7 a b c d a b c d + + = − − . Chứng minh: a c b d = c) Cho , , a b c là ba số hữu tỉ khác 0 sao cho a b c a b c a b c c b a + − − + − + + = = Tính giá trị bằng số của biểu thức ( )( )( ) a b b c c a M abc + + + = Câu 9. Cho đại lượng y tỉ lệ thuận với đại lượng x khi 6 x = thì 2 y = . a) Hãy biểu diễn y theo x b) Tìm y khi 15 x = . Tìm x khi 6 y = − ? c) Nếu đại lượng z tỉ lệ nghịch với đại lượng x theo hệ số tỉ lệ bằng 1 2 thì y và z là hai đại lượng tỉ lệ như thế nào với nhau và hệ số tỉ lệ bằng bao nhiêu? Tính z khi 8 y = Câu 10. Ba lớp 7A, 7B, 7C trồng được 120 cây. Tính số cây trồng được ở mỗi lớp, biết rằng số cây trồng được của mỗi lớp lần lượt tỉ lệ với 3 : 4 : 5. Câu 11. Số học sinh của ba khối 6, 7, 8 tỉ lệ với 10, 9, 8. Tính số học sinh của mỗi khối biết số học sinh của khối 8 ít hơn số học sinh của khối 6 là 20 em. Câu 12. Một cửa hàng có ba tấm vải, sau khi bán đi 1 2 tấm thứ nhất, 2 3 tấm thứ hai và 3 4 tấm thứ ba thì số vải còn lại của ba tấm là bằng nhau. Tính chiều dài của mỗi tấm vải lúc ban đầu. Biết chiều dài tổng cộng của ba tấm vải là 126 m. Câu 13. Tìm ba số có tổng bằng 150 và biết số thứ 1 và số thứ 2 tỉ lệ với 3;2 , số thứ 2 và số thứ 3 tỉ lệ với 3;5. Câu 14. Ba đơn vị kinh doanh , , A B C góp vốn theo tỉ lệ 2;4;6 và sau một năm thu được tổng 1 tỉ 800 triệu đồng tiền lãi. Hỏi mỗi đơn vị được chia bao nhiêu tiền lãi, biết tiền lãi được chia tỉ lệ thuận với số vốn đã góp. Câu 15. Một ô tô đi từ A đến B với vận tốc 65 / km h , cùng lúc đó một xe máy chạy từ B đến A với vận tốc 40 / km h. Biết quãng đường AB dài 540km và C là điểm chính giữa của AB . Hỏi sau khi khởi hành bao lâu thì ô tô cách C một khoảng bằng nửa khoảng cách từ xe máy đến C và khi đó khoảng cách giữa hai xe là bao nhiêu ?
  • 4.
    4 Bài 16. Chohàm số ( ) 2 1 y m x = − . a) Tìm m biết điểm ( ) 2;4 A thuộc đồ thị hàm số trên. Viết công thức xác định hàm số trên. b) Hãy vẽ đồ thị hàm số vừa xác định. c) Đánh dấu các điểm ( ) ( ) ( ) 1 2; 4 , 3;0 , 0;2 , ; 1 2 B C D E   − − − − −     trên cùng mặt phẳng tọa độ Oxy. d) Hãy chỉ ra các điểm thuộc đường thẳng OA?Vì sao ? PHẦN II : HÌNH HỌC Bài 1: Cho ABC ∆ có  60 B = °,  30 C = °. Tia phân giác của góc A cắt BC tại D . Kẻ AH BC ⊥ ( H BC ∈ ) a) Tính số đo của các góc  BAC ,.  ADH ,  HAD b) Kẻ // ( ), DE AB E AC EK ∈ là phân giác của góc  AED . Chứng minh EK AD ⊥ . Bài 2: Cho ABC ∆ có AB AC = , M là trung điểm của BC . Trên tia đối của tia MA lấy điểm D sao cho MA MD = . a) Chứng minh : ABM DCM ∆ = ∆ . b) // AB DC c) AM MC ⊥ d) Tìm điều kiện ABC ∆ để  30 ADC = ° . Bài 5: Cho ABC  , M là trung điểm của BC . Trên tia đối MA lấy điểm E sao cho MA ME = . a) Chứng minh: // AC BE b) Trên AC lấy điểm I , trên BE lấy điểm K sao cho AI EK = . Chứng minh: , , I M K thẳng hàng. Bài 6: Cho ABC  có AB AC < . Trên tia đối của tia CB lấy điẻm D sao cho D C AB = . Trên nửa mặt phẳng bờ BC không chứa điểm Akẻ Dx AB  lấy điểm E thuộc tia Dx sao cho DE BC = . a) Chứng minh: AC CE = b) Lấy P DE ∈ sao cho D P AB = . Chứng minh : D A BP  . c) Tìm điều kiện của ABC  để D EP B ⊥ . d) Gọi O là trung điểm của D B . Chứng minh O là trung điểm của AP . Bài 7: Cho ABC ∆ có AB AC < . Trên tia đối của tia AB lấy điểm D sao cho BD BC = . Tia phân giác của góc ABC cắt AC , DC tại E và F . Chứng minh: a. Chứng minh: DBE CBE ∆ = ∆ . b. Chứng minh: DF CF = .
  • 5.
    5 c. Từ Akẻ ( ) AH CD H CD ⊥ ∈ . Chứng minh: AH // BF . Bài 8. Cho ABC ∆ ( AB AC = ), phân giác của góc BAC cắt BC tại M . a) Chứng minh: M là trung điểm của BC . b) Trên tia đối của tia , AB AC lấy điểm , E F sao cho AE AF = . Chứng minh: BCE CBF ∆ = ∆ . c) Chứng minh: ME MF = . d) Gọi N là trùn điểm của EF . Chứng minh: , , A M N thẳng hàng. ÔN TẬP KIẾN THỨC HỌC KÌ II I. PHẦN TRẮC NGHIỆM Câu 1. Nhóm gồm các đơn thức đồng dạng với nhau là A. 2 3 2 3 3 2 –3,5 ; ; 2 . x y x y x y − B. 3 2 3 2 3 – ; 4 ; 4 x y x y x y . C. 2 3 2 3 2 3 –5 ; ; 2 x y x y x y − . D. 2 3 2 3 3 2 –3 ;4 ; z z . x y y x − Câu 2. Tổng của các đơn thức 2 3 2 3 2 3 3 ; 5 ; x y x y x y − là A. 2 3 2x y − . B. 2 3 x y − . C. 2 3 x y . D. 2 3 9x y . Câu 3. Đa thức 2 3 5 3 2 – 3 6 x x x x + + + sắp xếp theo lũy thừa giảm dần của biến là A. 3 2 5 3 2 – 3 6 x x x x + + + . B. 5 2 3 2 3 – 3 6. x x x x + + + . C. 5 3 2 2 – 3 3 6 x x x x + + + . D. 5 3 2 2 3 – 3 6 x x x x + + + . Câu 4. Đa thức 2 3 5 5 – 3 – 10 x x x x + + sắp xếp theo lũy thừa tăng dần của biến là A. 3 5 2 – 3 – 10 5 x x x x + + . B. 2 5 3 5 – 3 – 10 x x x x + + . C. 2 3 5 5 – 3 – 10 x x x x + + . D. 2 3 5 –10 – 3 5 x x x x + + + . Câu 5. Hệ số cao nhất của đa thức 3 5 2 M 3 9 10 x x x = − + + là A. 10. B. 1 − . C. 3. D. 9. Câu 6. Hệ số tự do của đa thức 4 3 2 A( ) 7 1 2 3 9 x x x x =− + − + + là A. 1. B. 9. C. 10. D. 7 − . Câu 7. Thu gọn đa thức 2 2 2 2 P 2 7 3 7 x y xy x y xy = − − + + được kết quả là A. 2 P x y = . B. 2 P x y = − . C. 2 2 P 14 x y xy = + . D. 2 2 P 5 14 x y xy = − − . Câu 8. Bậc của đa thức 3 4 3 4 Q 7 11 x x y xy x y = − + + − là A. 7 . B. 5. C. 4 . D. 3. Câu 9. Giá trị 2 x = là nghiệm của đa thức A. ( ) 2 f x x = + . B. ( ) 2 2 f x x = − . C. ( ) 2 f x x = − . D. ( ) ( ) 2 f x x x = + .
  • 6.
    6 Câu 10. Đathức ( ) 3 P – 4 x x x = có nghiệm là A. 0 x = . B. 0; 2 x x = = . C. 0; 2 x x = = − . D. 0 ; 2 x x = = ± . Câu 11. Cho tam giác ABC cân tại A , kẻ AH vuông góc với BC tại H , ( H BC ∈ ). Khẳng định nào sau đây là sai? A. H là trung điểm của cạnh BC . B. AH là tia phân giác của  BAC. C. AHB = AHC ∆ ∆ (cạnh huyền – góc vuông). D. 2 2 2 AB AH HC = + . Câu 12. Cho tam giác ABC vuông tại B , biết AB 3 ; BC AB 2cm BC 4 = − = . Độ dài cạnh AC là A. 7cm . B. 100cm. C. 14cm . D. 10cm . Câu 13. Cho tam giác MNP cân tại N , biết   2M N 20 − = ° . Số đo của góc N là A. 68°. B. 40°. C. 100°. D. 80° . Câu 14. Cho tam giác ABC cân tại A có  BAC 40 = ° , tia phân giác của  ACB cắt cạnh AB tại D . Số đo  ADC là A. 40°. B. 70°. C. 105°. D. 75°. Câu 15. Cho tam giác XYZ vuông tại Y có  ( ) X 60 , YZ 4cm, YH ZX H ZX = ° = ⊥ ∈ . Khẳng định nào sau đây là sai ? A.  Z 30 = ° . B. XZ 8cm = . C. ZH 6cm = . D. YH 2cm = . Câu 16. Trong một tam giác, điểm cách đều ba cạnh của tam giác là A. giao điểm ba đường trung tuyến. B. giao điểm ba đường trung trực. C. giao điểm ba đường phân giác. D. giao điểm ba đường cao. Câu 17. Trong một tam giác, tâm của đường tròn đi qua ba đỉnh của tam giác là A. giao điểm ba đường trung tuyến. B. giao điểm ba đường trung trực. C. giao điểm ba đường phân giác. D. giao điểm ba đường cao. Câu 18. Nếu AM là đường trung tuyến và G là trọng tâm của tam giác ABC thì A. AM AB = . B. 2 AG AM 3 = . C. 3 AG AB 4 = . D. AM AG = . Câu 19. Cho góc vuông xOy và , A B là hai điểm lần lượt thuộc hai tia , Ox Oy . Đường trung trực của OA và đường trung trực của OB cắt nhau tại I . Gọi , H K lần lượt là trung điểm của , OA OB . Khẳng định nào sau đây là sai ?
  • 7.
    7 A. IH IK =. B.  AIB 180 = °. C. AB OI 2 = . D. IA IB = . Câu 20. Cho ABC ∆ có H là giao điểm của hai đường cao BB' và CC' ;  A 50 = °. Phát biểu nào sau đây là sai ? A. AH BC ⊥ . B. Điểm A là trực tâm của HBC ∆ . C.   ABH ACH 40 = = °. D.   HBC HCB 130 + = ° . II. PHẦN TỰ LUẬN Câu 8. Thu gọn các đa thức và sắp xếp theo lũy thừa tăng của biến, Tìm hệ số cao nhất và hệ số tự do của mỗi đa thức: ( ) ( ) 7 7 5 5 3 2 5 2 2 3 7 A x x x x x x = + + − + + − − 3 2 3 2 1 3 4 2 5 2 2 B x x x x x x = + − − − − + Câu 9. Cho ( ) 3 5 199 201 1 ... P x x x x x x = + + + + + + . Tính giá trị của đa thức tại 1 x = ; 1 x = − Câu 10. Cho ( ) 5 2 3 2 1 f x x x x = − + − và ( ) 5 3 5 3 4 5 2 5 4 2 g x x x x x x x = − + − + = − − + + . Tìm đa thức ( ) h x sao cho: a) ( ) ( ) ( ) f x h x g x + = b) ( ) ( ) ( ) g x h x f x + = Bài 4. Cho ( ) 2 3 2 1 f x x x = + − . Chứng minh rằng 1 x = − và 1 3 x = là hai nghiệm của đa thức ( ) f x . Bài 5. Tìm nghiệm của đa thức f(x) biết a) 1 2 ( ) 3 f x x = − + b) 2 ( ) 5 f x x x = + c) 1 3 ( ) 1 2 4 f x x x − = + + ; d) 2 1 ( ) 4 f x x = − e) 2 ( ) 2 3 f x x = + f) 2 ( ) 3 2 f x x x = + + Bài 6. Chứng minh rằng 2 ( ) 4 5 f x x x = + + vô nghiệm. Bài 7. Cho đa thức 2 ( ) f x ax bx c = + + chứng minh nếu 1 (0); (1); ( 1); ( ) 2 f f f f − là các số nguyên thì ; ; a b c đều là các số nguyên Bài 8. Cho đa thức 3 2 ( ) f x x ax bx c = + + + với ; ; a b c là các số nguyên.Chứng minh rằng. Nếu
  • 8.
    8 là một nghiệmnguyên của f(x) thì 0 c x  Bài 9. Cho tam giác ABC đều, 4 AB cm = . Trên cạnh AC và cạnh BC lần lượt lấy các điểm , M N ( M và N không trùng với các đỉnh của ABC ∆ ) sao choCM BN = . Gọi G là giao điểm của AN và BM . a) Kẻ CH vuông góc với AB tại H . Tính CH ; b) Chứng minh AN BM = . Tính góc  AGM . Bài 10. Cho tam giác ABC vuông tại A , M là trung điểm của BC a) Chứng minh rằng: 2 BC AM = ; b) Chứng minh rằng: Nếu  30 C = ° thì 2 BC AB = . Bài 11. Cho tam giác ABC vuông tại A , kẻ AH vuông góc với BC tại H . Trên cạnh BC lấy điểm sao cho CM = CA , trên cạnh AB lấy điểm N sao cho AN= AH . Biết AB = 3cm , BC = 6cm . a) Tính độ dài cạnh AC; b) Trên tia đối của tia AB lấy diểm D sao cho AD = AB . Chứng minh tam giác BCDđều; c) Chứng minh   MAH MAN = và MN AB ⊥ . Bài 12. Cho tam giác ABC nhọn, đường cao BD, CE cắt nhau ở H , AH cắt BC tại M , Chứng minh rằng: a) AM vuông góc với BC ;   BAM ECB = b) Lấy điểm K sao cho AB là trung trực của HK .Chứng minh rằng   KAB KCB = . Bài 13. Cho tam giác ABC có AB AC < . Hai đường cao AD và BE cắt nhau tại H và AD BE = ( ; ) D BC E AC ∈ ∈ . Chứng minh rằng: a) Tam giác ABC cân tại C ; b) Đường thẳng CH là đường trung trực của đoạn thẳng AB ; c) DE song song với AB . Bài 14. Cho tam giác ABC vuông tại A ,  , ABC ACB > trung tuyến AM . Trên tia đối của tia CB lấy Bài 15. điểm D sao cho C là trung điểm của MD . Trên tia đối của tia BA lấy điểm E sao cho . BE BA = Trên tia đối của tia MA lấy điểm N sao cho MN MA = . a) Chứng minh tam giác AMB bằng tam giác NMC và NC vuông góc với AC ;
  • 9.
    9 b) Gọi Ilà trung điểm của DE . Chứng minh ba điểm , , A M I thẳng hàng; c*) So sánh AD và BC . Bài 16. Cho ABC ∆ có ba đường trung tuyến , , AD BE CF cắt nhau tại G . Chứng minh rằng: ) 2 AB AC a AD + < 3 ) 2 b BE CF BC + > ( ) 3 ) 4 c AB BC AC AD BE CF AB BC AC + + < + + < + + ĐÁP ÁN BÀI TẬP ÔN TẬP HỌC KÌ I Câu 1. Thực hiện phép tính: a) 3 2 2 1 5 2 : : 4 7 3 4 7 3     − + + − +         b) ( ) 2 0 1 6 14 1 .2 : 2 1,21 2 7 15 3   − − + −     c) 3 1 1 9 4. 1 : 25 2 2 4   − + − +     d) ( ) 2 1 1 6 3. : 0, 9 3 4     −   − +         e) 2 2 1 16 2 1 4 . 81 1 . 2 25 3 2 9     − + − −         f) 2 1 4 8 64 25 0,75 : : . 6. 3 16 15 25 25 144     − − + +         g) ( ) 2 2 3 2 1 1 2 3. 2 .4 2 : .8 2 2     + − − + −         h) 2 2 5 1 4 5 2 0,36. . : 1 4 4 81 9 5             − + − −                 i) ( ) 2 10 5 7 2 : 3,72 0,02 . : 2,8 3 37 6 15     − + −         Lời giải a) 3 2 2 1 5 2 3 2 1 5 2 : : : 4 7 3 4 7 3 4 7 4 7 3       − − + + − + = − + + +             ( ) 2 1 1 : 0 3 = − + = b) ( ) 2 0 1 6 14 1 1 20 14 7 5 2 46 .2 : 2 1,21 . : 1 1 2 7 15 3 4 7 15 3 7 5 35   − − + − = − + = − + =     c) 3 1 1 9 1 3 3 1 4. 1 : 25 4. : 5 2 2 4 8 2 2 2   − + − + = + − + =     d) ( ) ( ) 2 1 1 1 1 37 37 6 3. : 0, 9 6 3. : 0, 9 :1 3 4 9 2 6 6       −   − + = − + = =            
  • 10.
    10 e) 2 2 1 162 1 4 . 81 1 . 2 25 3 2 9     − + − −         1 4 4 3 2 1 16 . 9. . 4 1 4 5 9 2 3 5 5 = + − = + − = f) 2 1 4 8 64 25 0,75 : : . 6. 3 16 15 25 25 144     − − + +         2 3 1 5 8 5 1 1 4 5 1 4 5 5 : . 6. : 3 4 4 6 5 12 12 4 3 2 3 3 2 6     = − + − + = − − + = − − + =         g) ( ) 2 2 3 2 1 1 2 3. 2 .4 2 : .8 2 2     + − − + −         3 1 35 227 8 4.4 4 : .8 16 64 4 2 4 4   = + − + = − + =     h) 2 2 5 1 4 5 2 0,36. . : 1 4 4 81 9 5             − + − −                 ( ) 3 5 1 2 5 7 3 1 2 7 . . : . 1. 1 1 5 4 4 9 9 5 4 4 5 5         = + − = + − =− = −                 i) ( ) 2 10 5 7 2 : 3,72 0,02 . : 2,8 3 37 6 15     − + −         8 10 5 7 : 3,7. : 2,8 3 37 6 15     = + −         8 5 7 8 7 1 : 1: 2,8 : 4 3 6 15 3 15 5   = + − = − =     Câu 2. Tìm x, biết 1. 15 1 x 5 : 0,5 8 8 4 4   − − =     2. 3 1 1 : x 4 5 4 + = 3. 3 2 3 1 1 2x x 3 4 8 2     − − − = −         4. ( )( ) 2 3x 2 5 x 0 + − = 5. 2 3 x 1 2 3 4 − − − = 6. 2 2 1 x 3 5 3 − − = 7. x 2 1 2x 0 − − − = 8. ( ) 1 4 1 : 3 : 3x 2 12 21 2 = − 9. 8 3 x 5 x 1 = − + (với x 5; 1 ≠ − ) 10) 1 4 2 5 x x − = + với ( ) 2 x ≠ − . 11) 3 3 2 8 9 27 x     − =         . 12) 1 2.3 405 3 x x− − =. 13) 8 4 3 2 4 3 x   =     . 14) ( ) 2 36 5 1 49 x + =. 15) ( ) 3 1 0,5 64 x   − =   .
  • 11.
    11 16) ( )() 2 2 3 2020 1 x x − + = . 17) ( ) ( ) 10 4 1 1 x x x x + + + =+ với x∈. 18) 3 1 1 4 2 3 x − = Lời giải 1. 15 1 x 5 : 0,5 8 8 4 4   − − =     1 x 15 5 : 0,5 8 4 8 4   − = −     1 x 5 : 0,5 8 4 8   − =     x 1 5 0,5 : 4 8 8 − = x 1 0,5 4 5 − = x 1 0,5 4 5 = + x 7 4 10 = 7.4 x 10 = 14 x 5 = 2. 3 1 1 : x 4 5 4 + = 1 1 3 : x 5 4 4 = − 1 1 : x 5 2 − = 1 1 x : 5 2 − = 2 x 5 − = 3. 3 2 3 1 1 2x x 3 4 8 2     − − − = −         1 1 1 2x x 2 12 8 − − − + =
  • 12.
    12 23 1 1 x 128 2 − − = + 23 3 x 12 8 − = 3 23 x : 8 12 − = 9 x 46 − = 4. ( )( ) 2 3x 2 5 x 0 + − = Trường hợp 1: 3x 2 0 + = 3x 2 = − 2 x 3 − = Trường hợp 2: 2 5 x 0 − = 2 x 5 = x 5 = hoặc x 5 = − 5. 2 3 x 1 2 3 4 − − − = 1 x 1 2 12 − − = 1 x 1 2 12 − = + 1 x 1 2 12 − = Trường hợp 1: 1 x 1 2 12 − = 1 x 2 1 12 = + 1 x 3 12 = Trường hợp 2: 1 x 1 2 12 − = − 1 x 2 1 12 = − +
  • 13.
    13 1 x 1 12 = − 6. 22 1 x 3 5 3 − − = 2 1 2 x 3 3 5 − = + 2 11 x 3 15 − = Trường hợp 1: 2 11 x 3 15 − = 11 2 x 15 3 = + 7 x 5 = Trường hợp 2: 2 11 x 3 15 − − = 11 2 x 15 3 − = + 1 x 15 − = 7. x 2 1 2x 0 − − − = x 2 1 2x − = − Trường hợp 1: x 2 1 2x − = − x 2x 1 2 + =+ 3x 3 = x 1 = Trường hợp 2: x 2 2x 1 − = − x 2x 1 2 − =− + x 1 − = − x 1 = 8. ( ) 1 4 1 : 3 : 3x 2 12 21 2 = −
  • 14.
    14 ( ) 1 41 3x 2 3 . : 2 21 12 ⇒ − = 3x 2 8 − = 3x 8 2 = + 3x 10 = 10 x 3 = 9. 8 3 x 5 x 1 = − + (với x 5; 1 ≠ − ) ( ) ( ) 8. x 1 3. x 5 ⇒ + = − 8x 8 3x 15 + = − 8x 3x 15 8 − = − − 5x 23 = − 23 x 5 − = (thỏa mãn) 10) 1 4 2 5 x x − = + với ( ) 2 x ≠ − . ( ) ( ) 5 1 4 2 x x ⇒ − = + 5 5 4 8 x x − = + 5 4 8 5 x x − = + 13 x = Vậy 13 x = . 11) 3 3 2 8 9 27 x     − =         . 2 8 9 27 x − = 8 2 27 9 x = + 8 6 27 27 x = + 14 27 x = Vậy 14 27 x = . 12) 1 2.3 405 3 x x− − =. 3 2.3 5.81 3 x x − =
  • 15.
    15 4 3.2.3 3.5.3 3 xx − = 5 6.3 5.3 3 x x − = 5 6.3 3 5.3 x x − = 5 3 (6 1) 5.3 x − = 5 3 .5 5.3 x = 5 3 3 x = 5 x = Vậy 5 x = . 13) 8 4 3 2 4 3 x   =     . 2.4 4 3 2 4 3 x   =     ( ) 4 2 4 2 3 4 3 x x = 4 4 3 4 4 3 x x = 4 4 3 .3 4 .4 x x = 4 4 3 4 x x + + = 4 0 x + = 4 x = − Vậy 4 x = − . 14) ( ) 2 36 5 1 49 x + =. ( ) 2 2 6 5 1 7 x   + =     6 5 1 7 6 5 1 7 x x  + =  ⇒   + = −   * 6 5 1 7 x + = − 6 5 1 7 x = − − 13 5 7 x = − 13 :5 7 x = − 13 35 x = − * 6 5 1 7 x + =
  • 16.
    16 6 5 1 7 x = − 1 5 7 x= − 1 :5 7 x = − 1 35 x = − Vậy 1 35 x = − ; 13 35 x = − . 15) ( ) 3 1 0,5 64 x   − =   . 3 1 1 2 64 x     − =           2 1 1 8 8 x     − = −         2 x = Vậy 2 x = . 16) ( )( ) 2 2 3 2020 1 x x − + = . ( )( ) 2 2 3 0 x x − + = 2 0 2 3 0 x x − =  ⇒  + =  2 2 3 x x =  ⇒  = −  2 3 2 x x =   ⇒ −  =  Vậy 2 x = ; 3 2 x − = . 17) ( ) ( ) 10 4 1 1 x x x x + + + =+ với x∈. Cách 1. ( ) ( ) 10 4 1 1 x x x x + + + =+ với x∈. 1 1 1 1 1 0 x x x + = −   ⇒ + =   + =  1 1 1 1 0 1 x x x =− −   ⇒ =−   = −  2 0 1 x x x = −   ⇒ =   = −  Thử lại: Với 2 x = − ta có ( ) ( ) 2 10 2 4 2 1 2 1 − + − + − + = − + hay ( ) ( ) 8 2 1 1 − =− (luôn đúng). Với 0 x = ta có ( ) ( ) 0 10 0 4 0 1 0 1 + + + =+ hay 10 4 1 1 = (luôn đúng).
  • 17.
    17 Với 1 x =− ta có ( ) ( ) 1 10 1 4 1 1 1 1 − + − + − + = − + hay 9 3 0 0 = (luôn đúng). Vậy 1 x = − ; 0 x = ; 1 x = . Cách 2. ( ) ( ) 10 4 1 1 x x x x + + + =+ với x∈. Với 1 x = − thì 1 10 1 4 0 0 − + − + = hay 9 3 0 0 = (luôn đúng). Vậy 1 x = − thỏa mãn. Với 1 x ≠ − thì 1 0 x + ≠ • Trường hợp 1. x chẵn, giả sử 2 x k = với k ∈ Do đó 1 2 1 x k + = + lẻ 10 2 10 x k + = + ; 4 2 4 x k + = + chẵn Ta có ( ) ( ) 2 10 2 4 2 1 2 1 k k k k + + + = + Suy ra 2 1 1 k + = hoặc 2 1 1 k + = − 2 0 2 2 k k =  ⇒  = −  ( ) ( ) 0 1 k k =  ⇒  = −   nhaän nhaän Suy ra 2 2.0 0 x k = = = hoặc ( ) 2 2. 1 2 x k = = − = − . • Trường hợp 2. x lẻ, giả sử 2 1 x k = + với k ∈ và Do đó 1 2 1 1 2 2 x k k + = + + = + chẵn 10 2 1 10 2 11 x k k + = + + = + ; 4 2 1 4 2 5 x k k + = + + = + lẻ Ta có ( ) ( ) 2 11 2 5 2 2 2 2 k k k k + + + = + Suy ra 2 2 0 k + = 2 2 k ⇒ = − 1 k ⇒ = − (nhận) Suy ra 2 1 1 1 0 x k = + = − + = (loại) Vậy 2 x = − ; 0 x = ; 1 x = . 18) 3 1 1 4 2 3 x − =. ĐK 0 x ≥ . 3 1 1 4 3 2 x= + 3 5 4 6 x = 5 3 : 6 4 x = 5 4 . 6 3 x = 10 9 x = 2 10 9 x   =     100 81 x = (thỏa mãn điều kiện)
  • 18.
    18 Vậy 100 81 x = . Câu3. Tìm , , x y z biết 1. ( ) : : 3:5: 2 x y z = − và 5 3z 16 x y − + = − . 2. 2 3 x y = − ; 3 4 z y = và 5,2 x y z + + = . 3. 2 3 x y = ; 7z 5y = và 3 7 5z 30 x y − + =. 4. 3 4 5z x y = = và ( ) 21 x y z − + = − . 5. 1 2 3 2 3 4 x y z − − − = = và 2 3 50 x y z + − = . 6. 2 3 4 x y z = = và 2z 18 x y − − = − . 7. : : 2:3: 4 x y z = và 2 3 20 x y z + − = − . 8. 3 4 6 2 5 7 x y z = = và 2 45 x y z − − = − 9. 2 3 4 x y z = = và 2 2 2 2z 108 x y − + = . 10. 3 3 3 8 64 216 x y z = = và 2 2 2 14 x y z + + =. Lời giải 1. ( ) : : 3:5: 2 x y z = − 5 3 3 5 2 15 5 6 x y z x y z ⇒ = = = = = − − 5 3 15 5 6 x y z − + = − − 16 4 4 − = = − • 4 3 x = − 12 x ⇒ = − . • 4 5 y = − 20 y ⇒ = − . • 4 2 z = − − 8 z ⇒ =. 2. 2 3 x y = − ; 3 4 z y = ; 8 12 12 9 x y y z ⇒ = = − − − 8 12 9 x y z ⇒ = = − − 8 12 9 x y z + + = − − 5,2 2 13 5 = = − − • 2 8 5 x = − 16 5 x ⇒ = −
  • 19.
    19 • 2 12 5 y = − − 24 5 y ⇒= • 2 9 5 z = − − 18 5 z ⇒ = . 3. Ta có 2 3 x y = 3 2 x y ⇒ = 7z 5y = 7 5 y z ⇒ = ; 21 14 14 10 x y y z ⇒ = = 21 14 10 x y z ⇒ = = 3 7 5 63 98 50 x y z = = = 3 7 5 63 98 50 x y z − + = − + 30 2 15 = = • 2 21 x = 42 x ⇒ = • 2 14 y = 28 x ⇒ = • 2 10 z = 20 z ⇒ = . 4. Ta có 3 4 5z x y = = 3 4 5 60 60 60 x y z ⇒ = = 20 15 12 x y z ⇒ = = Ta có ( ) ( ) 20 15 12 20 15 12 x y z x y z − + = = = − + 21 3 7 − = = − • 3 20 x = 60 x ⇒ = • 3 15 y = 45 y ⇒ = • 3 12 z = 36 z ⇒ = 5. 1 2 3 2 3 4 x y z − − − = = 2 2 3 6 3 4 9 4 x y z − − − = = = 2 2 3 6 3 4 9 4 x y z − + − − + = + − 50 5 5 9 − = = . * 1 5 2 x − = 11 x ⇒ = * 2 5 3 y − = 17 z ⇒ = * 3 5 4 z − = 23 z ⇒ = . 6. 2 3 4 x y z = = 2 3 8 2 x y z ⇒ = = 2 3 8 2 x y z − − = − − 9 1 18 2 − = = −
  • 20.
    20 * 2 1 2 x = 4 x ⇒= * 3 1 2 y = 6 y ⇒ = * 4 1 2 z = 8 z ⇒ =. 7. : : 2:3: 4 x y z = 2 3 4 x y z ⇒ = = 2 3 2 6 12 x y z ⇒ = = 2 3z 2 6 12 x y + − = + − 20 5 4 − = = − . * 5 2 x = 10 x ⇒ = * 5 3 y = 15 y ⇒ = * 5 4 z = 20 z ⇒ = 8. 3 4 6 3 4 6 2 5 7 2 5 7 x y z x y z = = ⇒ = = 3 4 6 2.12 5.12 7.12 x y z ⇒ = = 8 15 14 x y z ⇒ = = 2 2z 45 9 8 15 28 8 15 28 35 7 x y z x y − − − ⇒ = = = = = − − − Ta có 9 8 7 x = 72 7 x ⇒ = 9 15 7 y = 135 7 ⇒ = y 2 9 28 7 z = 18 z ⇒ = 9. Đặt 2 3 4 x y z k = = = Ta có 2 2 x k x k = ⇒ = 3 3 y k y k = ⇒ = 4 4 z k z k = ⇒ = Ta có 2 2 2 2z 108 x y − + =
  • 21.
    21 ( ) () ( ) 2 2 2 2 3 2 4 108 k k k ⇒ − + = 2 27 108 k = 2 4 k = 2 k ⇒ =hoặc 2 k = − . Với 2 k = ta có 4, 6, 8 x y z = = = . Với 2 k = − ta có 4, 6, 8 x y z = − = − = − . 10. Ta có 3 3 3 8 64 216 x y z = = 3 3 3 2 4 6 x y z       ⇒ = =             2 4 6 x y z ⇒ = = Đặt 2 4 6 x y z k = = = 2 , 4 , 6 x k y k z k ⇒= = = . Ta có 2 2 2 14 x y z + + = ( ) ( ) ( ) 2 2 2 2 4 6 14 k k k ⇒ + + = 2 56 14 k = 2 1 4 k = 1 2 k ⇒ = hoặc 1 2 k = − . Với 1 2 k = ta có 1, 2, 3 x y z = = = . Với 1 2 k = − ta có 1, 2, 3 x y z = − = − = − . Câu 4. So sánh các lũy thừa sau : 1. 240 160 ( 2) va` (-3) − 2. 11 21 ( 84) va` ( 9) − − 3. 7 5 1 1 va` 8 16 − −             Lời giải 1.Ta có: ( ) 80 80 240 3 80 80 160 2 80 ( 2) = ( 2) = 8 =8 (-3) ( 3) 9   − − −     = − =   Vì 80 8 < 80 9 nên: 240 ( 2) − < 160 (-3) 2.Ta có:
  • 22.
    22 11 10 21 2010 ( 84) = 84.84 ( 9) 9.9 9.81 − − − = − = − Vì 10 84 > 10 81 ⇒ 10 84.84 > 10 9.81 ⇒ 11 21 ( 84) ( 9) − > − 3. Ta có : 7 7 7 3 21 5 5 5 4 20 1 1 1 1 = = = 8 8 2 2 1 1 1 1 = 16 16 2 2   −         − − −                         −         = − = − −                       Vì 21 1 2       < 20 1 2       ⇒ 21 20 1 1 2 2     − > −         Vậy: 7 5 1 1 8 16 − −     >         . Câu 5. Tìm n Z ∈ để các số hữu tỉ sau là những số nguyên : 1. 5 2 n − Để 5 2 n − là số nguyên { } 5 ( 2) 2 (5) 1; 5 n n U − ⇒ − ∈ = ± ±  Ta có bảng giá trị sau : n- 2 -1 1 - 5 5 n 1 3 -3 7 Vậy : { } 1;3; 3;7 n∈ − 2. 6 1 n − + Để 6 1 n − + là số nguyên { } 6 ( 1) 1 (6) 1; 2; 3; 6 n n U − + ⇒ + ∈ = ± ± ± ±  Ta có bảng giá trị sau : n+1 -1 1 -2 2 -3 3 -6 6 n -2 0 -3 1 -4 2 -7 5 Vậy : { } 0;1; 2; 3; 4; 7;5 n∈ ± − − − 3. 3 4 n − − Để 3 4 n − − là số nguyên { } 3 ( 4) 4 (3) 1; 3 n n U − − ⇒ − ∈ = ± ±  Ta có bảng giá trị sau :
  • 23.
    23 n-4 -1 1-3 3 n 3 4 1 7 Vậy : { } 1;3;4;7 n∈ 4. 6 4 3(2 1) 7 7 3 2 1 2 1 2 1 n n n n n − + − − = = + + + + Vì 3 nguyên nên 6 4 2 1 n n − + là số nguyên thì 7 2 1 n − + là số nguyên { } 7 (2 1) 2 1 (7) 1; 7 n n U ⇒ + ⇒ + ∈ = ± ±  Ta có bảng giá trị sau : 2n + 1 -1 1 -7 7 2n -2 0 -8 6 n -1 0 -4 3 Vậy : { } 4; 1;0;3 n∈ − − 5. 3 2 4 5 n n + − Để 3 2 4 5 n n + − là số nguyên thì ( ) ( ) ( ) ( ) ( ) ( ) 3 2 4 5 4. 3 2 4 5 12 8 4 5 n n n n n n + − ⇒ + − ⇒ + −    Mà ( ) 12 8 3 4 5 23 n n += − + ⇒ ( ) ( ) 3 4 5 23 4 5 n n − + −  thì ( ) ( ) { } 23 4 5 4 5 1; 23 n n − ⇒ − ∈ ± ±  Ta có bảng giá trị sau : 4n - 5 -1 1 -23 23 4n 4 6 -18 28 n 1 3 2 Z ∉ 9 2 Z − ∉ 14 2 Z ∉ Vậy : { } 1 n∈ 6. 4 1 2(2 3) 5 5 2 3 2 (2 3) 2 3 n n n n n − − + = =− − − − − − Để 4 1 3 2 n n − − là số nguyên thì ( ) { } 5 2 3 2 3 1; 5 n n − ⇒ − ∈ ± ±  Ta có bảng giá trị sau :
  • 24.
    24 2n - 3-1 1 -5 5 2n 2 4 -2 8 n 1 2 -1 4 Vậy : { } 1;2;4 n∈ ± Câu 6. Tìm giá trị nhỏ nhất của biểu thức: 1. ( ) 2 2 3 15 x − + 2. ( ) 8 5 7 2020 x + − 3. 2016 1 2019x + − 4. 9 4 1 x − + + 5. 1 2 x x − + − 6. 15 2021 3 2021 x − + − Lời giải 1. Ta có: ( ) 2 2 3 0, x x − ≥ ∀ ( ) 2 2 3 15 15, x x ⇒ − + ≥ ∀ Dấu " " = xảy ra ( ) 2 2 3 0 x ⇔ − = 2 3 0 x ⇔ − = 2 3 x ⇔ = 3 2 x ⇔ =. 2. Ta có: ( ) 8 5 7 0, x x + ≥ ∀ ( ) 8 5 7 2020 2020, x x ⇒ + − ≥ − ∀ Dấu " " = xảy ra ( ) 8 5 7 0 x ⇔ + = 5 7 0 x ⇔ + = 5 7 x ⇔ = − 7 5 x − ⇔ = . 3. Ta có: 1 2019 0, x x − ≥ ∀ 2016 1 2019 2016, x x ⇒ + − ≥ ∀ Dấu " " = xảy ra 1 2019 0 x ⇔ − = 1 2019 0 x ⇔ − = 2019 1 x ⇔ = 1 2019 x ⇔ = . 4. Ta có: 4 1 0, x x + ≥ ∀ 9 4 1 9, x x ⇒ − + + ≥ − ∀ Dấu " " = xảy ra 4 1 0 x ⇔ + = 4 1 0 x ⇔ + = 4 1 x ⇔ = − 1 4 x − ⇔ = . 5. Ta có: ( ) ( ) 1 2 1 2 1 2 1 x x x x x x − + − = − + − ≥ − + − = Dấu " " = xảy ra ( )( ) 1 2 0 x x ⇔ − − ≥ 1 2 x ⇔ − ≤ ≤ . 6. Ta có: 2021 0, x x − ≥ ∀ 3 2021 3, x x ⇒ + − ≥ ∀
  • 25.
    25 15 5, 3 2021 x x − ⇒ ≥− ∀ + − 15 2021 2016, 3 2021 x x ⇒ − ≥ ∀ + − Dấu " " = xảy ra 2021 0 x ⇔ − = 2021 0 x ⇔ − = 2021 x ⇔ = . Câu 7. Tìm giá trị lớn nhất của biểu thức: 1. ( ) 2 8 4 7 x − − 2. 7 6 1 x − − 3. 2 6 5 x − + 4. ( ) 2 3 14 2 5 6 x + + − 5. 15 6 5 7 4 x − + + + 6. 2 2 4 9 1 x x + + Lời giải 1. Ta có: ( ) 2 4 7 0, x x − ≥ ∀ ( ) 2 4 7 0, x x ⇒ − − ≤ ∀ ( ) 2 8 4 7 8, x x ⇒ − − ≤ ∀ Dấu " " = xảy ra ( ) 2 4 7 0 x ⇔ − = 4 7 0 x ⇔ − = 4 7 x ⇔ = 7 4 x ⇔ =. 2. Ta có: 6 1 0, x x − ≥ ∀ 6 1 0, x x ⇒ − − ≤ ∀ 7 6 1 7, x x ⇒ − − ≤ ∀ Dấu " " = xảy ra 6 1 0 x ⇔ − = 6 1 0 x ⇔ − = 6 1 x ⇔ = 1 6 x ⇔ =. 3. Ta có: 2 0, x x ≥ ∀ 2 5 5, x x ⇒ + ≥ ∀ 2 5 5, x x ⇒ + ≥ ∀ 2 5 5, x x ⇒ − + ≤ − ∀ 2 6 5 1, x x ⇒ − + ≤ ∀ Dấu " " = xảy ra 2 0 x ⇔ = 0 x ⇔ =. 4. Ta có: ( ) 2 5 6 0, x x − ≥ ∀ ( ) 2 2 5 6 2, x x ⇒ + − ≥ ∀
  • 26.
    26 ( ) 2 3 3 , 2 25 6 x x ⇒ ≤ ∀ + − ( ) 2 3 31 14 , 2 2 5 6 x x ⇒ + ≤ ∀ + − Dấu " " = xảy ra ( ) 2 5 6 0 x ⇔ − = 5 6 0 x ⇔ − = 5 6 x ⇔ = 6 5 x ⇔ =. 5. Ta có: 7 4 0, x x + ≥ ∀ 5 7 4 5, x x ⇔ + + ≥ ∀ 15 3, 5 7 4 x x ⇔ ≤ ∀ + + 15 6 3, 5 7 4 x x ⇔ − + ≤ − ∀ + + Dấu " " = xảy ra 7 4 0 x ⇔ + = 7 4 0 x ⇔ + = 7 4 x ⇔ = − 4 7 x − ⇔ = . 6. Ta có: 2 2 2 4 9 5 4 1 1 x x x + = + + + Lại có: 2 0, x x ≥ ∀ 2 1 1, x x ⇒ + ≥ ∀ 2 5 5, 1 x x ⇒ ≤ ∀ + 2 5 4 9, 1 x x ⇒ + ≤ ∀ + Dấu " " = xảy ra 2 0 x ⇔ = 0 x ⇔ =. Câu 8. a) Cho tỉ lệ thức a c b d = . Chứng minh rằng ta có các tỉ lệ thức sau: 1. 2 3 2 3 2 3 2 3 a b c d a b c d + + = − − 2. 2 2 2 2 ab a b cd c d − = − 3. 7 4 7 4 3 5 3 5 a b c d a b c d − − = + + 4. ( ) 2 2 2 2 2 2 ( ) c a ac a c bd b d d b − + = = + − 5. ( ) ( ) 3 3 3 3 3 3 a b a b c d c d + + = + + với 1 a c b d   = ≠     . b) Cho 2 13 2 13 3 7 3 7 a b c d a b c d + + = − − . Chứng minh: a c b d = . c) Cho , , a b c là ba số hữu tỉ khác 0 sao cho a b c a b c a b c c b a + − − + − + + = =
  • 27.
    27 Tính giá trịbằng số của biểu thức ( )( )( ) a b b c c a M abc + + + = . Lời giải a) 1) 2 3 3 2 3 2 3 2 3 2 3 2 3 3 2 3 2 3 2 3 2 3 a c a b a b b a b a b a b c d b d c d c d d c d c d a b c d − + − + + = ⇒ = = = = = = ⇒ = − + − − − 2) 2 2 2 2 2 2 2 2 a b ab a b a b c d cd c d c d − = ⇒ = = = − 3) 7 4 3 5 7 4 3 5 7 4 3 5 7 4 3 5 a c a b a b a b a b a b b d c d c d c d c d c d − + = ⇒ = = = = = = = ⇒ − + 7 4 7 4 3 5 3 5 a b c d a b c d − − = + + 4) ( ) ( ) 2 2 2 2 2 2 2 2 2 2 2 2 2 2 2 2 2 2 c a a c ac a c a c ac a ac c b d bd b d b d bd b bd d d b − + − + = ⇒ = = = = = = + − + − ⇒ ( ) 2 2 2 2 2 2 ( ) c a ac a c bd b d d b − + = = + − 5) ( ) ( ) 3 3 3 3 3 3 3 3 3 3 a b a c a b a b a b a b b d c d c d c d c d c d + + + = ⇒ = = ⇒ = = = + + + với 1 a c b d   = ≠     b) 2 13 2 13 2 13 3 7 6 39 6 14 6 39 6 14 53 3 7 3 7 2 13 3 7 6 39 6 14 6 39 6 14 53 a b c d a b a b a b a b a b a b b b a b c d c d c d c d c d c d c d d d + + + − + − + − + = ⇒ = = = = = = − − + − + − + − + (1) 2 13 2 13 2 13 3 7 14 91 39 91 14 91 39 91 53 3 7 3 7 2 13 3 7 14 91 39 91 14 91 39 91 53 a b c d a b a b a b a b a b a b a a a b c d c d c d c d c d c d c d c c + + + − + − + + − = ⇒ = = = = = = − − + − + − + + − (2) Từ (1) và (2) suy ra a b c d = c) ( ) ( ) 2 2 2 2 1 2 a b c a b c a b c a b c a b c c b a c b c a a b a b c + + + − − + − + + = = ⇒ = = = = + + + + + ( ) 1 1 8 2 ( )( ) 8 a b c abc M c b c a a b c b c a a b ⇒ = = = ⇒ = ⇒ = + + + + + + . Câu 9. Cho đại lượng y tỉ lệ thuận với đại lượng x khi 6 x = thì 2 y = . a) Hãy biểu diễn y theo x b) Tìm y khi 15 x = . Tìm x khi 6 y = − ?
  • 28.
    28 c) Nếu đạilượng z tỉ lệ nghịch với đại lượng x theo hệ số tỉ lệ bằng 1 2 thì y và z là hai đại lượng tỉ lệ như thế nào với nhau và hệ số tỉ lệ bằng bao nhiêu? Tính z khi 8 y = . Lời giải a) 1 3 y x = . b) 15 5 x y = ⇒ = ; 1 6 6 18 3 y x x = − ⇒ = − ⇒ = − . c) Đại lượng z tỉ lệ nghịch với đại lượng x theo hệ số tỉ lệ bằng 1 2 1 1 2 2 z x x ⇒ = = mà 3 x y = 1 1 2.3 6 z y y ⇒= = ⇒ z và y là hai đại lượng tỉ lệ nghịch với hệ số tỉ lệ bằng 1 6 . Khi 8 y = thì 1 1 6.8 48 z = = . Câu 10. Ba lớp 7A, 7B, 7C trồng được 120 cây. Tính số cây trồng được ở mỗi lớp, biết rằng số cây trồng được của mỗi lớp lần lượt tỉ lệ với 3 : 4 : 5. Lời giải Gọi số cây trồng được của lớp 7A là 3x ( 0 x > , x cây) ⇒ Số cây trồng được của lớp 7B và 7C lần lượt là 4 ,5 x x (cây) Tổng số cây của 3 lớp là: 3 4 5 12 x x x x + + = (cây) Theo giả thiết: 12 120 x = 10 x ⇔ = (cây) Vậy số cây trồng được của 3 lớp 7A, 7B, 7C lần lượt là 30 cây, 40 cây, 50 cây. Câu 11. Số học sinh của ba khối 6, 7, 8 tỉ lệ với 10, 9, 8. Tính số học sinh của mỗi khối biết số học sinh của khối 8 ít hơn số học sinh của khối 6 là 20 em. Lời giải Gọi số học sinh của 3 khối 6, 7, 8 lần lượt là 10 ,9 ,8 x x x ( *, x x ∈ học sinh) Số học sinh khối 8 ít hơn số học sinh của khối 6 là 20 em nên ta có: 10 8 20 x x − = 2 20 x ⇔ = 10 x ⇔ = (học sinh) Vậy số học sinh của 3 khối 6, 7, 8 lần lượt là 100, 90, 80 học sinh.
  • 29.
    29 Câu 12. Mộtcửa hàng có ba tấm vải, sau khi bán đi 1 2 tấm thứ nhất, 2 3 tấm thứ hai và 3 4 tấm thứ ba thì số vải còn lại của ba tấm là bằng nhau. Tính chiều dài của mỗi tấm vải lúc ban đầu. Biết chiều dài tổng cộng của ba tấm vải là 126 m. Lời giải Vì sau khi bán đi 1 2 tấm thứ nhất, 2 3 tấm thứ hai và 3 4 tấm thứ ba thì số vải còn lại của ba tấm là bằng nhau nên số vải ban đầu của 3 tấm tỉ lệ với 2, 3, 4. Gọi số vải của 3 tấm lần lượt là 2 ,3 ,4 x x x ( 0, x x m > ) Vì chiều dài tổng cộng của ba tấm vải là 126 m nên ta có: 2 3 4 126 x x x + + = 9 126 x ⇔ = 14 x ⇔ = ( ) m Vậy tấm thứ nhất có chiều dài là 28m, tấm thứ hai có chiều dài là 42m, tấm thứ ba có chiều dài là 56m Câu 13. Tìm ba số có tổng bằng 150 và biết số thứ 1 và số thứ 2 tỉ lệ với 3;2 , số thứ 2 và số thứ 3 tỉ lệ với 3;5. Lời giải Gọi ba số cần tìm lần lượt là ; ; x y z . Theo đề ta có : ; 3 2 3 5 x y y z = = và 150 x y z + + = . Suy ra 9 6 10 x y z = = . Theo tính chất của dãy tỉ số bằng nhau ta có : 150 6. 9 6 10 9 6 10 25 x y z x y z + + = = = = = + + Do đó : 6 54; 6 36; 6 60 9 6 10 x y z x y z = ⇒ = = ⇒ = = ⇒ = . Vậy ba số cần tìm là 54;36;60 . Câu 14. Ba đơn vị kinh doanh , , A B C góp vốn theo tỉ lệ 2;4;6 và sau một năm thu được tổng 1 tỉ 800 triệu đồng tiền lãi. Hỏi mỗi đơn vị được chia bao nhiêu tiền lãi, biết tiền lãi được chia tỉ lệ thuận với số vốn đã góp. Lời giải Gọi số tiền lãi của mỗi đơn vị , , A B C lần lượt là , , x y z (triệu đồng). Theo đề ta có : 2 4 6 x y z = = và 1800 x y z + + = . Theo tính chất của dãy tỉ số bằng nhau ta có :
  • 30.
    30 1800 150 2 4 62 4 6 12 x y z x y z + + = = = = = + + . Do đó : 150 300; 150 600; 150 900 2 4 6 x y z x y z = ⇒ = = ⇒ = = ⇒ = . Vậy số tiền lãi mỗi đơn vị nhận được lần lượt là 300,600,900 triệu đồng. Câu 15. Một ô tô đi từ A đến B với vận tốc 65 / km h , cùng lúc đó một xe máy chạy từ B đến A với vận tốc 40 / km h. Biết quãng đường AB dài 540km và C là điểm chính giữa của AB . Hỏi sau khi khởi hành bao lâu thì ô tô cách C một khoảng bằng nửa khoảng cách từ xe máy đến C và khi đó khoảng cách giữa hai xe là bao nhiêu ? Lời giải Gọi ( ) , x y km lần lượt là quãng đường ô tô và xe máy đã đi được. Vì quãng đường và vận tốc là hai đại lượng tỉ lệ thuận nên theo đề ta có : 65 40 x y = và ( ) 1 270 270 2 270 2 x y x y − = − ⇒ − = . Theo tính chất của dãy tỉ số bằng nhau tao có : 2 270 3 65 40 2.65 40 90 x y x y − = = = = − . Do đó 3 195, 3 120 65 40 x y x y = ⇒ = = ⇒ = . Vậy sau khi khởi hành 195 3 65 = giờ thì hai xe đến vị trí thỏa mãn yêu cầu bài toán. Khoảng cách hai xe khi đó là 540 540 195 120 225 x y km − − = − − = . Câu 16. Cho hàm số ( ) 2 1 y m x = − . a) Tìm m biết điểm ( ) 2;4 A thuộc đồ thị hàm số trên. Viết công thức xác định hàm số trên. b) Hãy vẽ đồ thị hàm số vừa xác định. c) Đánh dấu các điểm ( ) ( ) ( ) 1 2; 4 , 3;0 , 0;2 , ; 1 2 B C D E   − − − − −     trên cùng mặt phẳng tọa độ Oxy. d) Hãy chỉ ra các điểm thuộc đường thẳng OA?Vì sao ? Lời giải a) Ta có: điểm ( ) 2;4 A thuộc đồ thị hàm số ( ) ( ) 3 2 1 4 2 1 .2 2 y m x m m = − ⇔ = − ⇔ = . Công thức xác định hàm số trên là : 2 y x = . b) Bảng giá trị : x 0 1 y 0 2 Đồ thị hàm số 2 y x =
  • 31.
    31 c) Đánh dấucác điểm ( ) ( ) ( ) 1 2; 4 , 3;0 , 0;2 , ; 1 2 B C D E   − − − − −     trên cùng mặt phẳng tọa độ Oxy. d) Hãy chỉ ra các điểm thuộc đường thẳng OA? Vì sao ? Giả sử ( ) ( ) 2; 4 : 2 4 2 2 4 4 B OA y x − − ∈ = ⇒ − = − ⇒ − = − (đúng). Giả sử ( ) ( ) 3;0 : 2 0 2. 3 0 6 C OA y x − ∈ = ⇒ = − ⇒ = − (sai). Giả sử ( ) ( ) 0;2 : 2 2 2 0 2 0 D OA y x ∈ = ⇒ = ⇒ = (sai). Giả sử 1 1 ; 1 : 2 1 2 1 1 2 2 E OA y x     − − ∈ = ⇒ − = − ⇒ − = −         (đúng). Vậy , B E OA ∈ . PHẦN II : HÌNH HỌC Bài 1. Cho ABC ∆ có  60 B = °,  30 C = °. Tia phân giác của góc A cắt BC tại D . Kẻ AH BC ⊥ ( H BC ∈ ) a) Tính số đo của các góc  BAC ,.  ADH ,  HAD
  • 32.
    32 b) Kẻ //( ), DE AB E AC EK ∈ là phân giác của góc  AED . Chứng minh EK AD ⊥ . Lời giải Ta có    180 A B C + + = °   60 30 180 90 A A ⇒ + °+ ° = ° ⇒ = °   1 1 .90 45 2 2 BAD A = = ° = °      180 45 60 180 85 BAD B ADB ADB ADB + + = ° ⇒ °+ °+ = ° ⇒ =° Mặt khác     90 60 90 30 BAH B BAH BAH + = ° ⇒ + ° = ° ⇒ =°  (30 45 ) BAH BAD ⇒ < ° < ° nên      30 45 15 BAH HAD BAD HAD HAD + = ⇒ °+ = ° ⇒ = ° b) Vì // ED AB nên   45 EDA DAB = = ° (hai góc so le trong)   1 1 .90 45 2 2 DAE A = = ° = ° Và DE AC ⊥ 30° 60° K E H D B C A
  • 33.
    33  90 AED ⇒ =°mà EK là phân giác  AED   1 1 .90 45 2 2 AEK AED ⇒ = = ° = ° Xét tam giác AKE có    180 AKE AEK EAK + + = °  45 45 180 AKE ⇒ + °+ ° = °  90 AKE = ° EK AD ⇒ ⊥ . Bài 2. Cho ABC ∆ có AB AC = , M là trung điểm của BC . Trên tia đối của tia MA lấy điểm D sao cho MA MD = . a) Chứng minh : ABM DCM ∆ = ∆ . b) // AB DC c) AM MC ⊥ d) Tìm điều kiện ABC ∆ để  30 ADC = ° . Lời giải a) Xét AMB ∆ và DMC ∆ có: AM MD = (gt)   AMB DMC = (hai góc đối đỉnh) MB MC = (gt) ABM DCM ⇒ ∆ = ∆ (c-g-c). b) Theo câu a, ABM DCM ∆ = ∆   BAM CDM = (hai góc tương ứng) // AB CD (hai góc so le trong bằng nhau). c) Xét ABM ∆ và ACM có : AM chung MB MC = (gt) AB AC = (gt) AMB AMC ⇒ ∆ = ∆ (c-c-c)   1 2 M M = (hai góc tương ứng) Mà     1 2 1 2 180 180 : 2 90 M M M M + = ° ⇒ = = ° = ° Suy ra AM MC ⊥ . d) Vì ABM DCM ∆ = ∆   30 BAM ADC ⇒ = = °   2 2.30 60 A BAM ⇒ = = ° = ° tam giác ABC cân có góc 60° nên ABC ∆ đều. Bài 5: Cho ABC  , M là trung điểm của BC . Trên tia đối MA lấy điểm E sao cho MA ME = . a) Chứng minh: AC BE  D M B C A
  • 34.
    34 b) Trên AClấy điểm I , trên BE lấy điểm K sao cho AI EK = . Chứng minh: , , I M K thẳng hàng. Lời giải a) Xét AMC ∆ và EMB ∆ ta có: D MA M = (gt)  AMC EMB = (đối đỉnh) MC MB = (gt) AMC EMB ⇒ ∆ = ∆ (c – g – c )   CAM BEM ⇒ = (2 góc tương ứng). Mà hai góc này ở vị trí so le trong AC BE ⇒  . b) Chứng minh ba điểm , , I M K thẳng hàng. Xét MAI  và MEK  , ta có: AI KE = (gt)   IAM KEM = (câu a) MA ME = (gt) MAI MEK ⇒ =   ( c – g – c )   IMA KME ⇒ = (2 góc tương ứng). Lại có, , ME MA là hai tia đối nhau nên    0 180 AMB BMK KME + + = (kề bù) Hay    0 180 AMB BMK IMA + + = Vậy, ba điểm , , I M K thẳng hàng (đpcm). Bài 6: Cho ABC  có AB AC < . Trên tia đối của tia CB lấy điẻm D sao cho D C AB = . Trên nửa mặt phẳng bờ BC không chứa điểm Akẻ Dx AB  lấy điểm E thuộc tia Dx sao cho DE BC = .
  • 35.
    35 a) Chứng minh:AC CE = b) Lấy P DE ∈ sao cho D P AB = . Chứng minh : D A BP  . c) Tìm điều kiện của ABC  để D EP B ⊥ . d) Gọi O là trung điểm của D B . Chứng minh O là trung điểm của AP . Lời giải a)Xét ABC  và D C E  có: D AB C = (gt)   D ABC C E = (2 góc so le trong) BC DE = (gt) D ABC C E ⇒ =   (c – g – c ). AC CE ⇒ =(2 cạnh tương ứng). b) Xét D AB  và D P B  , ta có: AB DP = (gt)   BDP ABD = (2 góc so le trong) D B : cạnh chung D D AB P B ⇒ =   ( c – g – c )   PBD ADB ⇒ =( 2 góc tương ứng) Mà hai góc này ở vị trí so le trong D A BP ⇒  . c) Để D EP B ⊥ Mà EP AB  (do , P DE DE AB ∈  ) Hay D AB C ABC AB B B ⊥ ⇔ ⊥ ⇔ vuông tại B . Vậy, nếu ABC  vuông tại B thì D EP B ⊥ . d) Xét tứ giác D ABP , ta có: AB DP AB DP =     (gt)
  • 36.
    36 D ABP ⇒ là hìnhbình hành (tứ giác có các cặp cạnh đối song song và bằng nhau là hình bình hành) , BD AP ⇒ là hai đường chéo của hình bình hành. Mà O là trung điểm của D B nên O cũng là trung điểm của AP ( Trong hình bình hành, hai đường chéo cắt nhau tại trung điểm mỗi đường). Bài 6: Cho ABC ∆ có AB AC < . Trên tia đối của tia AB lấy điểm D sao cho BD BC = . Tia phân giác của góc ABC cắt AC , DC tại E và F . Chứng minh: a. Chứng minh: DBE CBE ∆ = ∆ . b. Chứng minh: DF CF = . c. Từ A kẻ ( ) AH CD H CD ⊥ ∈ . Chứng minh: AH // BF . Lời giải a. Chứng minh: DBE CBE ∆ = ∆ . Xét DBE ∆ và CBE ∆ có: DB BC = (gt)   DBE CBE = (Vì BE là tia phân giác của  DBC ) BE là cạnh chung Suy ra DBE CBE ∆ = ∆ (c – g - c). b. Chứng minh: DF CF = . Xét BCF ∆ và DBF ∆ có: DB BC = (gt)   DBE CBE = (Vì BE là tia phân giác của  DBC ) BF là cạnh chung Suy ra CBF DBF ∆ = ∆ (c – g - c). Vậy DF CF = (hai cạnh tương ứng). c. Chứng minh: BF // AH . Vì CBF DBF ∆ = ∆ (câu b) nên   BFC BFD = (hai góc tương ứng) (1) Mà   0 180 BFC BFD + =(kề bù) (2) Từ (1) và (2) suy ra   0 0 180 90 2 BFC BFD = = = Hay BF CD ⊥ (3) Ta có: AH CD ⊥ (gt) (4) Từ (3) và (4) suy ra BF // AH (Tính chất từ vuông góc đến song song). Bài 8. Cho ABC ∆ ( AB AC = ), phân giác của góc BAC cắt BC tại M . a) Chứng minh: M là trung điểm của BC . H F E D C A B
  • 37.
    37 b) Trên tiađối của tia , AB AC lấy điểm , E F sao cho AE AF = . Chứng minh: BCE CBF ∆ = ∆ . c) Chứng minh: ME MF = . d) Gọi N là trùn điểm của EF . Chứng minh: , , A M N thẳng hàng. Lời giải a) Vì ABM ∆ và ACM ∆ có: AB AC = (gt)   BAM CAM = (vì AM là phân giác của  BAC ) AM chung Nên ABM ∆ ACM = ∆ (c.g.c) MB MC ⇒ =(hai cạnh tương ứng) M ⇒ là trung điểm của đoạn thẳng BC b) +) Ta có: (gt) (gt) AB AC AB AE AC AF AE AF BE CF =  ⇒ + = +  =  ⇒ = +) ABM ∆ ACM = ∆ (chứng minh trên)   ABC ACB ⇒ =(hai góc tương ứng) +) Vì BCE ∆ và CBF ∆ có: BE CF = (cmt)   ABC ACB = (cmt) BC chung Nên BCE ∆ CBF = ∆ (c.g.c) c) +) BCE ∆ CBF = ∆ (chứng minh trên) CE BF ⇒ =(hai cạnh tương ứng) và   BCE CBF = (hai góc tương ứng) +) Vì FBM ∆ và ECM ∆ có: CE BF = (chứng minh trên)   FBM ECM = (chứng minh trên) MB MC = (chứng minh trên) Nên FBM ∆ ECM = ∆ (c.g.c) MF ME ⇒ =(hai cạnh tương ứng) d) N là trung điểm của EF N ⇒ thuộc đường trung trực của đoạn thẳng EF (1) AE AF = (gt) A ⇒ thuộc đường trung trực của đoạn thẳng EF (2) MF ME = (chứng minh trên) M ⇒ thuộc đường trung trực của đoạn thẳng EF (3) Từ (1) ,(2) và (3) , , N A M ⇒ thẳng hàng. N E M B C A F
  • 38.
    38 ĐÁP ÁN BÀITẬP ÔN TẬP HỌC KÌ II BẢNG ĐÁP ÁN 1 2 3 4 5 6 7 8 9 10 C B D D C B A B C D 11 12 13 14 15 16 17 18 19 20 C D D C C C B B A D HƯỚNG DẪN GIẢI CHI TIẾT Câu 1. Nhóm gồm các đơn thức đồng dạng với nhau là A. 2 3 2 3 3 2 –3,5 ; ; 2 . x y x y x y − B. 3 2 3 2 3 – ; 4 ; 4 x y x y x y . C. 2 3 2 3 2 3 –5 ; ; 2 x y x y x y − . D. 2 3 2 3 3 2 –3 ;4 ; z z . x y y x − Lời giải Chọn C Các đơn thức có cùng phần biến 2 3 x y . Câu 2. Tổng của các đơn thức 2 3 2 3 2 3 3 ; 5 ; x y x y x y − là A. 2 3 2x y − . B. 2 3 x y − . C. 2 3 x y . D. 2 3 9x y . Lời giải Chọn B ( ) 2 3 2 3 2 3 2 3 3 5 + x y x y x y x y = − + − Câu 3. Đa thức 2 3 5 3 2 – 3 6 x x x x + + + sắp xếp theo lũy thừa giảm dần của biến là A. 3 2 5 3 2 – 3 6 x x x x + + + . B. 5 2 3 2 3 – 3 6. x x x x + + + . C. 5 3 2 2 – 3 3 6 x x x x + + + . D. 5 3 2 2 3 – 3 6 x x x x + + + . Lời giải Chọn D Câu 4. Đa thức 2 3 5 5 – 3 – 10 x x x x + + sắp xếp theo lũy thừa tăng dần của biến là A. 3 5 2 – 3 – 10 5 x x x x + + . B. 2 5 3 5 – 3 – 10 x x x x + + . C. 2 3 5 5 – 3 – 10 x x x x + + . D. 2 3 5 –10 – 3 5 x x x x + + + . Lời giải
  • 39.
    39 Chọn D Câu 5.Hệ số cao nhất của đa thức 3 5 2 M 3 9 10 x x x = − + + là A. 10. B. 1 − . C. 3. D. 9. Lời giải Chọn C Câu 6. Hệ số tự do của đa thức 4 3 2 A( ) 7 1 2 3 9 x x x x =− + − + + là A. 1. B. 9. C. 10. D. 7 − . Lời giải Chọn B Câu 7. Thu gọn đa thức 2 2 2 2 P 2 7 3 7 x y xy x y xy = − − + + được kết quả là A. 2 P x y = . B. 2 P x y = − . C. 2 2 P 14 x y xy = + . D. 2 2 P 5 14 x y xy = − − . Lời giải Chọn A Câu 8. Bậc của đa thức 3 4 3 4 Q 7 11 x x y xy x y = − + + − là A. 7 . B. 5. C. 4 . D. 3. Lời giải Chọn B Câu 9. Giá trị 2 x = là nghiệm của đa thức A. ( ) 2 f x x = + . B. ( ) 2 2 f x x = − . C. ( ) 2 f x x = − . D. ( ) ( ) 2 f x x x = + . Lời giải Chọn C Câu 10. Đa thức ( ) 3 P – 4 x x x = có nghiệm là A. 0 x = . B. 0; 2 x x = = . C. 0; 2 x x = = − . D. 0 ; 2 x x = = ± Lời giải Chọn D
  • 40.
    40 ( ) () 3 2 2 0 0 P – 4 0 4 0 2 4 0 2 x x x x x x x x x x  =  =   = = ⇔ − = ⇔ ⇔ =   − =   = −   Câu 11. Cho tam giác ABC cân tại A, kẻ AH vuông góc với BC tại H, ( H BC ∈ ). Khẳng định nào sau đây là sai? A. H là trung điểm của cạnh BC. B. AH là tia phân giác của  BAC. C. AHB = AHC ∆ ∆ (cạnh huyền – góc vuông). D. 2 2 2 AB AH HC = + . Lời giải Chọn C AHB = AHC ∆ ∆ (cạnh huyền – cạnh góc vuông). Câu 12. Cho tam giác ABC vuông tại B, biết AB 3 ; BC AB 2cm BC 4 = − = . Độ dài cạnh AC là A. 7cm . B. 100cm. C. 14cm . D. 10cm . Lời giải Chọn D AB 6cm ; BC 8cm. = = Áp dụng định lý Pitago trong tam giác vuông ABC ta có 2 2 2 2 2 AC AB + BC 6 8 100 AC 10cm. = = + = ⇒ = Câu 13. Cho tam giác MNP cân tại N, biết   2M N 20 − = ° . Số đo của góc N là A. 68°. B. 40°. C. 100°. D. 80° . Lời giải Chọn D Vì MNP ∆ cân tại N nên    M P 2. M = = Suy ra   N 2. M 180 + = °(định lý tổng ba góc trong một tam giác) mà   2M N 20 − = ° (gt).  ( ) N 180 20 : 2 80 . ⇒ = °− ° = ° Câu 14. Cho tam giác ABC cân tại A có  BAC 40 = ° , tia phân giác của  ACB cắt cạnh AB tại D. Số đo  ADC là A. 40°. B. 70°. C. 105°. D. 75°.
  • 41.
    41 Lời giải Chọn C VìABC ∆ cân tại A (gt)   ( ) ABC ACB 180 40 : 2 70 ⇒ = = °− ° = °(tính chất tam giác cân). Vì CD là phân giác của  ACB nên  ACD 70 : 2 35 = ° = °. Áp dụng định lý tổng ba góc trong tam giác ACD ta có  ADC 180 35 40 105 . = °− °− ° = ° Câu 15. Cho tam giác XYZ vuông tại Y có  ( ) X 60 , YZ 4cm, YH ZX H ZX = ° = ⊥ ∈ . Khẳng định nào sau đây là sai ? A.  Z 30 = ° . B. XZ 8cm = . C. ZH 6cm = . D. YH 2cm = . Lời giải Chọn C Tam giác XYZ vuông ở Y có    X Z 90 Z 90 60 30 . + = ° ⇒ = °− ° = ° Trong YHZ ∆ vuông tại H có  Z 30 = °nên cạnh YH đối diện với  Z 30 = ° sẽ bằng nửa cạnh huyền YZ, hay YH = 2cm. Áp dụng định lý Pytago trong YHZ ∆ vuông tại H có ( ) 2 2 2 2 2 2 YZ YH + HZ HZ 4 2 16 4 12 HZ 12 cm . = ⇒ = − = − = ⇒ = ? D C A B 40° 4cm Z H 60° Y X
  • 42.
    42 Vậy chọn đápán C. Câu 16. Trong một tam giác, điểm cách đều ba cạnh của tam giác là A. giao điểm ba đường trung tuyến. B. giao điểm ba đường trung trực. C. giao điểm ba đường phân giác. D. giao điểm ba đường cao. Lời giải Chọn C Câu 17. Trong một tam giác, tâm của đường tròn đi qua ba đỉnh của tam giác là A. giao điểm ba đường trung tuyến. B. giao điểm ba đường trung trực. C. giao điểm ba đường phân giác. D. giao điểm ba đường cao. Lời giải Chọn B Câu 18. Nếu AM là đường trung tuyến và G là trọng tâm của tam giác ABC thì A. AM AB = . B. 2 AG AM 3 = . C. 3 AG AB 4 = . D. AM AG = . Lời giải Chọn B Câu 19. Cho góc vuông xOy và A, B là hai điểm lần lượt thuộc hai tia Ox, Oy. Đường trung trực của OA và đường trung trực của OB cắt nhau tại I. Gọi H, K lần lượt là trung điểm của OA, OB. Khẳng định nào sau đây là sai ? A. IH IK = . B.  AIB 180 = °. C. AB OI 2 = . D. IA IB = . Lời giải Chọn A A B K H I y x O
  • 43.
    43 Câu 20. ChoABC ∆ có H là giao điểm của hai đường cao BB' và CC' ;  A 50 = °. Phát biểu nào sau đây là sai ? A. AH BC ⊥ . B. Điểm A là trực tâm của HBC ∆ . C.   ABH ACH 40 = = °. D.   HBC HCB 130 + = ° . Lời giải Chọn D Trong ABC ∆ có  A 50 = °nên   ABC ACB 180 50 130 + = °− ° = ° (định lý tổng ba góc). Suy ra   HBC HCB 130 + < ° . Vậy chọn đáp án D. II. PHẦN TỰ LUẬN Bài 1. Thu gọn các đa thức và sắp xếp theo lũy thừa tăng của biến, Tìm hệ số cao nhất và hệ số tự do của mỗi đa thức: ( ) ( ) 7 7 5 5 3 2 5 2 2 3 7 A x x x x x x = + + − + + − − 3 2 3 2 1 3 4 2 5 2 2 B x x x x x x = + − − − − + Lời giải ( ) ( ) 7 7 5 5 3 2 5 2 2 3 7 A x x x x x x = + + − + + − − 7 5 3 3 3 2 3 7 A x x x x = − + − − 3 2 3 2 1 3 4 2 5 2 2 B x x x x x x = + − − − − + ( ) ( ) 3 3 2 2 1 3 2 4 5 2 2 B x x x x x x   = − + − + + − −     H B' C' C B A 50°
  • 44.
    44 3 2 3 5 Bx x x = − − − − Hệ số cao nhất của A là 3, hệ số tự do là -7. Hệ số cao nhất của B là -1, hệ số tự do là -5. Bài 2. Cho ( ) 3 5 199 201 1 ... P x x x x x x = + + + + + + . Tính giá trị của đa thức tại 1 x = ; 1 x = − Lời giải ( ) 3 5 199 201 1 ... P x x x x x x = + + + + + + ( ) 101 soá 1 1 1 1 1 ... 1 101 P = + + + + =     ( ) 101 soá 1 1 1 1 1 ... 1 100 P − = − − − − =−     Bài 3. Cho ( ) 5 2 3 2 1 f x x x x = − + − và ( ) 5 3 5 3 4 5 2 5 4 2 g x x x x x x x = − + − + = − − + + . Tìm đa thức ( ) h x sao cho: a) ( ) ( ) ( ) f x h x g x + = b) ( ) ( ) ( ) g x h x f x − = Lời giải a) Cho ( ) 5 2 3 2 1 f x x x x = − + − ( ) 5 3 5 3 4 5 2 5 4 2 g x x x x x x x = − + − + = − − + + ( ) ( ) ( ) f x h x g x + = ( ) ( ) ( ) h x g x f x ⇒ = − ( ) ( ) ( ) ( ) ( ) 5 2 5 2 5 3 5 4 2 3 2 1 2 2 2 3 g x x x x f x x x x h x g x f x x x x = − − + + − = − + − = − = − − + + b) ( ) ( ) ( ) g x h x f x + = ( ) ( ) ( ) h x f x g x ⇒ = − ( ) 5 3 2 2 2 3 h x x x x = + − − Bài 4. Cho ( ) 2 3 2 1 f x x x = + − . Chứng minh rằng 1 x = − và 1 3 x = là hai nghiệm của đa thức ( ) f x . Lời giải Cho ( ) 2 3 2 1 f x x x = + − Ta có: ( ) ( ) ( ) 2 1 3 1 2 1 1 f − = − + − − 3 2 1 0 = − − =
  • 45.
    45 2 1 1 1 32 1 3 3 3 f       = + −             1 2 1 0 3 3 = + − = Nên 1 x = − và 1 3 x = là hai nghiệm của đa thức ( ) f x . Bài 5. Tìm nghiệm của đa thức f(x) biết a) 1 2 ( ) 3 f x x = − + b) 2 ( ) 5 f x x x = + c) 1 3 ( ) 1 2 4 f x x x − = + + ; d) 2 1 ( ) 4 f x x = − e) 2 ( ) 2 3 f x x = + f) 2 ( ) 3 2 f x x x = + + Lời giải a) Cho 1 2 1 3 0 6 x x − + = ⇒ = .Vậy 1 6 x = là nghiệm của f(x) Bài 6. b) Cho 2 5 0 ( 5) 0 x x x x + = ⇒ + = 0 x = hoặc 5 x = − .Vậy { } 0;5 x∈ là nghiệm của f(x) c) Cho 1 3 1 3 1 1 0 ) 1 1 4 2 4 2 4 4 x x x x x − − + + = ⇒ + =− ⇒ =− ⇒ =− Vậy 4 x = − là nghiệm của f(x) d) Cho 2 2 1 1 1 0 4 4 2 x x x − = ⇒ = ⇒ = ± Vậy 1 1 ; 2 2 x −   ∈    là nghiệm của f(x) e) Ta có 2 2 2 0 2 3 3 0 x x ≥ ⇒ + ≥ > với x R ∀ ∈ .Vậy f(x) vô nghiệm f) Ta có 2 2 3 2 0 2 2 0 ( 2) ( 2) 0 ( 1).( 2) 0 x x x x x x x x x x + + = ⇒ + + + = ⇒ + + + = ⇒ + + = 2 0 x + =hoặc 1 0 x + = 2 x = − hoặc 1 x = − Vậy } { 2; 1 x∈ − − là nghiệm của f(x) Bài 6. Chứng minh rằng 2 ( ) 4 5 f x x x = + + vô nghiệm. Lời giải Bài 7. Ta có 2 2 4 5 2 2 4 1 ( 2) 2( 2) 1 ( 2).( 2) 1 x x x x x x x x x x + + = + + + + = + + + + = + + + 2 ( 2) 1 1 0 x = + + ≥ > Với x R ∀ ∈ .Vậy f(x) vô nghiệm Bài 7. Cho đa thức 2 ( ) f x ax bx c = + + chứng minh nếu 1 (0); (1); ( 1); ( ) 2 f f f f − là các số nguyên thì ; ; a b c đều là các số nguyên
  • 46.
    46 Lời giải Ta có2 (0) .0 .0 f a b c c = + + = vì (0) nguyên f nên c nguyên Bài 8. 2 (1) .1 .1 f a b c a b c = + + = + + ; 2 ( 1) .( 1) .( 1) f a b c a b c − = − + − + = − + Bài 9. Vì (1); ( 1) nguyên (1) ( 1) 2 nguyên nguyên f f f f b b − ⇒ − − = ⇒ Bài 10. Vì (1); ( 1) (1) ( 1) 2 2 nguyên nguyên Vì nguyên f f nguyên f f a c a c − ⇒ + − = + ⇒ Vậy ; ; a b c đều là các số nguyên Bài 8. Cho đa thức 3 2 ( ) f x x ax bx c = + + + với ; ; a b c là các số nguyên.Chứng minh rằng. Nếu 0 0 x ≠ là một nghiệm nguyên của f(x) thì 0 c x  Lời giải Ta có 0 0 x ≠ là một nghiệm nguyên của f(x) 3 2 3 2 2 0 0 0 0 0 0 0 0 0 0 0 ( ) 0 0 ( ) f x x ax bx c c x ax bx x x ax b x ⇒ = ⇒ + + + = ⇒ = − − − = − − −  Vậy 0 0 x ≠ là một nghiệm nguyên của f(x) thì 0 c x  Bài 9. Cho tam giác ABC đều, 4 AB cm = . Trên cạnh AC và cạnh BC lần lượt lấy các điểm , M N (M và N không trùng với các đỉnh của ABC ∆ ) sao choCM BN = . Gọi G là giao điểm của AN và BM . a) Kẻ CH vuông góc với AB tại H . TínhCH ; b) Chứng minh AN BM = . Tính góc AGM . Lời giải Áp dụng định lý pytago cho tam giác vuông AHC ta có: 2 2 2 2 2 4 2 12 12 HC AC AH HC = − = − = ⇒ = cm b) Xét ABN ∆ và BCM ∆ có AB BC = (tam giác ABC đều) G B A C H N M
  • 47.
    47   B C =(tam giác ABC đều) BN CM = (gt) ( ) . . ABN BCM c g c ⇒ ∆ = ∆ AN BM ⇒ = (Hai cạnh tương ứng) Và   ABN BCM BAN MBC ∆ = ∆ ⇒ = (2 góc tương ứng) Theo tính chất góc ngoài của tam giác ta có:       60 AGM GBA BAN GBA MBC ABC = + = + = = ° Bài 10. Cho tam giác ABC vuông tại A , M là trung điểm của BC a) Chứng minh rằng: 2 BC AM = ; b) Chứng minh rằng: Nếu góc C bằng 300 thì 2 BC AB = . Lời giải Trên tia đối của tia MA lấy D sao cho MA MD = suy ra ( ) 1 2 AD AM = Xét ABM ∆ và CMD ∆ có AM MD = (theo cách vẽ)   AMB CMD = (2 góc đối đỉnh) BM CM = (gt) ( ) . . AMB DMC c g c ⇒ ∆ = ∆ AB CD ⇒ = (Hai cạnh tương ứng)        90 AMB DMC ABC DCM ABC ACB DCM ACB ACD ∆ = ∆ ⇒ = ⇒ + = + ⇒ = ° Xét ABC ∆ và DCA ∆ có AB CD = (cmt)  ( 90 ) BAC ACD = = ° Cạnh AC chung ( ) . . ABC CDA c g c ⇒ ∆ = ∆ ( ) 2 BC AD ⇒ = (Hai cạnh tương ứng) Từ (1) và (2) ta có : 2 BC AM = M A B C D
  • 48.
    48 Vì ; 2 2 BCBC AM BM AM BM ABM cân = = ⇒ = ⇒ ∆ Nếu   30 60 C ABC ABM = ° ⇒ = ° ⇒ ∆ đều 2 BC AB AM ⇒ = = (t/c tam giác đều) suy ra : 2 BC AB = Bài 11. Cho tam giác ABC vuông tại A , kẻ AH vuông góc với BC tại H . Trên cạnh BC lấy điểm M sao cho CM = CA , trên cạnh AB lấy điểm N sao cho AN= AH . Biết AB = 3cm , BC = 6cm . a) Tính độ dài cạnh AC; b) Trên tia đối của tia AB lấy diểm D sao cho AD = AB . Chứng minh tam giác BCDđều; c) Chứng minh   MAH MAN = và MN AB ⊥ . Lời giải a)Tính độ dài cạnh AC Xét tam giác vuông ABC theo Py-ta-go ta có 2 2 2 AC = BC - AB 2 2 = 6 - 3 27 = Vậy AC 27cm = b) Trên tia đối của tia AB lấy diểm D sao cho AB AD = . Chứng minh tam giác BCD đều; Xét tam giác CAB ∆ và CAD ∆ có   CAB CAD 90o = = , AD=AB ,CA là cạnh chung CAB= CAD (c-g-c) ⇒ ∆ ∆ . Suy raCB CD = mặt khác BD 2AB = =2.3= 6 = CB Vậy CB CD = BD = vậy tam giác BCDlà tam giác đều c) Chứng minh   MAH MAN = và MN AB ⊥ . Theo giả thiết CA = CM nên CAM ∆ cân tại C , suy ra   CAM CMA =  180 ACM 2 o − = 180 30 75 2 o o o − = = . Xét tam giác vuông AHM ta có    MAH 180 AHM AMH o = − −
  • 49.
    49  MAH 180 9075 15 o o o o = − − = Xét tam giác AHB ta có    HAB 180 AHB HBA o = − − 180 90 60 30 o o o o = − − = Mặt khác    MAN MAB MAH = − 30 15 15 o o o = − = . Vậy   MAH MAN 15o = = Ta có MAN= MAH (c-g-c) ∆ ∆ do AN = AH ,   MAH MAN = và cạnh AM chung. Suy ra   ANM AHM = 90o = . Vậy MN AB ⊥ Bài 12. Cho tam giác ABC nhọn, đường cao BD, CE cắt nhau ở H , AH cắt BC tại M , Chứng minh rằng: a) AM vuông góc với BC ;   BAM ECB = b) Lấy điểm K sao cho AB là trung trực của HK .Chứng minh rằng   KAB KCB = . Lời giải a) Chứng minh AM vuông góc với BC ;   BAM ECB = Theo gải thiết ta có CH AB; BH AC ⊥ ⊥ nên H là trực tâm tam giác ABC. Suy ra AH vuông góc với BC hay AM BC ⊥ Xét tam giác BAM ta có    BAM 180 AMB MBA o = − −   180 90 MBA 90 MBA (1) o o o − − = − Xét tam giác BCE ta có    ECB 180 CEB MBE o = − −   180 90 MBA 90 MBA (2) o o o = − − = − Từ (1),(2) ta suy ra   BAM ECB = b) Lấy điểm K sao cho AB là trung trực của HK .Chứng minh rằng   KAB KCB = . Xét hai tam giác vuông AKEvà AHEcó EK=EH ,AE là cạnh chung. Vậy AKE= AHE ∆ ∆ (Hai cạnh góc vuông bằng nhau). Suy ra   KAE HAE = mà   HAE KCB = theo ý a Vậy   KAB KCB =
  • 50.
    50 Bài 13. Chotam giác ABC có AB AC < . Hai đường cao AD và BE cắt nhau tại H và AD BE = ( ; ) D BC E AC ∈ ∈ . Chứng minh rằng: a) Tam giác ABC cân tại C ; b) Đường thẳng CH là đường trung trực của đoạn thẳng AB ; c) DE song song với AB . Lời giải a) Xét ADE ∆ và BED ∆ có ( ) AD BE GT =   90 AED BDE = =  AB chung ( ) ADE BED ch cgv ⇒ ∆ = ∆ −   EAB ABD ⇒ =(hai góc tương ứng) ⇒Tam giác ABC cân tại C ; b) Tam giác ABC cân tại C (cma) CA CB ⇒ = ⇒ C thuộc đường trung trực của AB   ( ) ADE BED cma EBA DAB ∆ = ∆ ⇒ = (hai góc tương ứng) ⇒Tam giác HAB cân tại H ; HA HB ⇒ =(ĐN tam giác cân) ⇒ H thuộc đường trung trực của AB ⇒ Đường thẳng CH là đường trung trực của đoạn thẳng AB ; c) Tam giác ABC cân tại C (cma)   180 2 ACB CAB − ⇒ =  ( ) ADE BED cma AE BD ∆ = ∆ ⇒ = (hai cạnh tương ứng) CA AE CB BD ⇒ − = − CE CD ⇒ = H E D A B C
  • 51.
    51 ⇒ Tam giácCED cân tại C   180 2 ACB CED − ⇒ =    CAB CED ⇒ = Mà hai góc ở vị trí đồng vị / / ED BA ⇒ Bài 14. Cho tam giác ABC vuông tại A ,  , ABC ACB > trung tuyến AM . Trên tia đối của tia CB lấy điểm D sao cho C là trung điểm của MD . Trên tia đối của tia BA lấy điểm E sao cho . BE BA = Trên tia đối của tia MA lấy điểm N sao cho MN MA = . a) Chứng minh tam giác AMB bằng tam giác NMC và NC vuông góc với AC ; b) Gọi I là trung điểm của DE . Chứng minh ba điểm , , A M I thẳng hàng; c*) So sánh AD và BC . Lời giải a) Xét AMB ∆ và NMC ∆ có ( ) MC MB GT =   AMB NMC = ( hai góc đối đỉnh) ( ) MA MN GT = ( . . ) AMB NMC c g c ⇒ ∆ = ∆   MAB MNC ⇒ =(hai góc tương ứng) Mà hai góc ở vị trí so le trong / / AB CN ⇒ BA CA CN CA ⊥ ⇒ ⊥ b) B là trung điểm của AE . ⇒ DB là đường trung tuyến của DAE ∆ . I N E D M A B C
  • 52.
    52 2 ; 3 DC CM CMMB DM DB = = ⇒ = ⇒ M là trọng tâm của DAE ∆ I là trung điểm của DE ⇒ AI là đường trung tuyến của DAE ∆ . M AI ⇒ ∈ ⇒ ba điểm , , A M I thẳng hang. c) Vì AMB NMC ∆ = ∆ (cmt) AB NC ⇒ = ( 2 cạnh tương ứng ) Xét ACN ∆ và CAB ∆ có Cạnh CA chung ;   CAB ACN = = 0 90 , CN AB = (cmt) ( ) ACN CAB c g c ⇒ ∆ = ∆ − − AN BC ⇒ =( 2 cạnh tương ứng ) 1 1 2 2 AN BC ⇒ = AM MC MB ⇒ = = AMC ⇒ ∆ và AMB ∆ cân tại M. Theo tính chất góc ngoài tam giác ta có     2 AMB ACB CAM ACB = + =     2 AMC ABC BAM ABC = + = Mà   ACB ABC <   AMB AMC ⇒ < Mà  AMB và  AMC là hai góc kề bù  AMC ⇒ là góc tù Xét AMB ∆ có  AMD là góc tù   AMD DAM ⇒ > AD MD ⇒ > ( quan hệ giữa góc và cạnh đối diện) Lại có MB MC CD = = MB MC MC CD ⇒ + = + Hay BC MD = Do đó BC MD = (dpcm). ) 2 AB AC a AD + < 3 ) 2 b BE CF BC + > ( ) 3 ) 4 c AB BC AC AD BE CF AB BC AC G E F A + + < + + < + + Lời giải Bài 15. Cho ∆ABC có ba đường trung tuyến AD, , BE CF cắt nhau tại G . Chứng minh rằng:
  • 53.
    53 a) Trên tiađối của tia DA lấy điểm H sao cho DA DH = Xét ADB ∆ và HDC ∆ có BD CD = (D là trung điểm của BC)   ADB HDC = (đối đỉnh) AD HD = (cách dựng) ( . . ) ADB HCD c g c ⇒ ∆ = ∆ AB HC ⇒ = (2 cạnh tương ứng) * Xét ACH ∆ ta có AC HC AH + > (bất đẳng thức trong tam giác) 2 AC AB AD ⇒ + > hay 2 AB AC AD + < b) Ta có , , AD BE CF cắt nhau tại G nên G là trọng tâm của ABC ∆ 2 3 BG BE ⇒ = , 2 3 CG CF = , 2 3 AG AD = Xét BGC ∆ ta có BG CG BC + > (bất đẳng thức trong tam giác) ( ) 2 3 BE CF BC ⇒ + > 3 2 BE CF BC ⇒ + > c) * Xét AGB ∆ ta có AG BG AB + > (1) (bất đẳng thức trong tam giác) Xét AGC ∆ ta có AG CG AC + > (2) (bất đẳng thức trong tam giác) Xét BGC ∆ ta có BG CG BC + > (3)(bất đẳng thức trong tam giác) Cộng vế với vế của (1), (2), (3) ta được: AG BG AG CG BG CG AB AC BC + + + + + > + + 2 2 2 2 2 2 3 3 3 3 3 3 AD BE AD CF BE CF AB AC BC ⇒ + + + + + > + + 4 4 4 3 3 3 AD BE CF AB AC BC ⇒ + + > + + ( ) 3 4 AB BC AC AD BE CF ⇒ + + < + + * Theo câu a) ta có 2 AB AC AD + < Chứng minh tương tự ta có 2 AB BC BE + < , 2 BC AC CF + < 2 2 2 AB AC AB BC BC AC AD BE CF + + + ⇒ + + > + + AD BE CF AB BC AC ⇒ + + < + +
  • 54.
    54 Vậy ( ) 3 4 ABBC AC AD BE CF AB BC AC + + < + + < + +  HẾT 