‫ﺻﻔﺤﺔ‬
1
‫ﻣﻦ‬
7
‫ﺍﻟﺸﻌﺒﻴﺔ‬ ‫ﺍﻟﺪﳝﻘﺮﺍﻃﻴﺔ‬ ‫ﺍﳉﺰﺍﺋﺮﻳﺔ‬ ‫ﺍﳉﻤﻬﻮﺭﻳﺔ‬
‫ﺍﻟﻮﻃﻨﻴﺔ‬ ‫ﺍﻟﺘﺮﺑﻴﺔ‬ ‫ﻭﺯﺍﺭﺓ‬
‫ﻣﺪﻳﺮﻳﺔ‬
‫ﻗﺴﻨﻄﻴﻨﺔ‬ ‫ﻟﻮﻻﻳﺔ‬ ‫ﺍﻟﺘﺮﺑﻴﺔ‬
‫ﺍﻣﺘﺤﺎﻥ‬
‫ﺍﻟ‬
‫ﺒﻜﺎﻟﻮﺭﻳﺎ‬
‫ﺍﳌﻮﺣﺪ‬ ‫ﺍﻟﺘﺠﺮﻳﱯ‬
‫ﺩﻭﺭﺓ‬
17
‫ﻣﺎﻱ‬
2017
‫ﺍﻟﺸﻌﺒﺔ‬
:
‫ﲡﺮﻳﺒﻴﺔ‬ ‫ﻋﻠﻮﻡ‬
‫ﻣﺎﺩﺓ‬ ‫ﰲ‬ ‫ﲡﺮﻳﱯ‬ ‫ﺍﺧﺘﺒﺎﺭ‬
:
‫ﺍﻟﻔﻴﺰﻳﺎﺋﻴﺔ‬ ‫ﺍﻟﻌﻠﻮﻡ‬
‫ﺍﳌﺪﺓ‬
:
3
‫ﻭ‬ ‫ﺳﺎﻋﺔ‬
30
‫ﺩ‬
‫المترشح‬ ‫على‬
‫اختيار‬
‫التاليين‬ ‫الموضوعين‬ ‫أحد‬
‫األول‬ ‫الموضوع‬
‫على‬ ‫األول‬ ‫الموضوع‬ ‫يحتوي‬
4
‫صفحات‬
)
‫الصفحة‬ ‫من‬
1
‫من‬
7
‫إلى‬
4
‫من‬
7
(
‫األول‬ ‫الجزء‬
:
‫األول‬ ‫التمرين‬
:
)
7
‫نقاط‬
(
‫اإليثانويك‬ ‫حمض‬ ‫يستعمل‬
CH3COOH
‫تصنيع‬ ‫و‬ ‫النسيج‬ ‫صناعة‬ ‫و‬ ‫الجلود‬ ‫دباغة‬ ‫في‬ ‫و‬ ‫األسماك‬ ‫و‬ ‫اللحوم‬ ‫تعليب‬ ‫في‬
‫المذيبات‬ ‫و‬ ‫العطرية‬ ‫المواد‬ ‫من‬ ‫الكثير‬
......
‫بغرض‬
‫مع‬ ‫اإليثانويك‬ ‫حمض‬ ‫تفاعل‬ ‫دراسة‬
‫من‬ ‫كل‬
‫الماء‬
‫و‬
‫ال‬ ‫صيغته‬ ‫كحول‬
‫عامة‬
R-OH
‫طريقتين‬ ‫نتبع‬
:
I
-
‫الماء‬ ‫مع‬ ‫اإليثانويك‬ ‫حمض‬ ‫تفاعل‬
:
1
-
‫محلوال‬ ‫نحضر‬
)
S
(
‫حجمه‬ ‫اإليثانويك‬ ‫لحمض‬
V
‫المولي‬ ‫تركيزه‬
C = 10-2
mol/L
،
‫ناقلي‬ ‫نقيس‬
‫ته‬
‫في‬ ‫النوعية‬
‫الحرارة‬ ‫درجة‬
25°C
‫فنجد‬
:
σ = 16.0 mS/m
.
‫أ‬
-
‫المنمذج‬ ‫التفاعل‬ ‫معادلة‬ ‫أكتب‬
‫ا‬ ‫الكيميائي‬ ‫للتحول‬
‫ال‬ ‫نحالل‬
‫الماء‬ ‫في‬ ‫حمض‬
.
‫ب‬
-
‫أو‬
‫عبارة‬ ‫جد‬
[ ]f
+
3O
H
‫المحلول‬ ‫في‬
)
S
(
‫بداللة‬
σ
‫و‬
‫ـ‬
3COO
CH
λ
،
+
3O
H
λ
‫قيمته‬ ‫أحسب‬ ‫ثم‬
.
‫جـ‬
-
‫قيمة‬ ‫أوجد‬
pH
‫المحلول‬
)
S
. (
‫د‬
-
‫الحموضة‬ ‫ثابت‬ ‫قيمة‬ ‫أحسب‬
Ka
‫للثنائية‬
)
CH3COOH/CH3COO-
(
‫الـ‬ ‫قيمة‬ ‫استنتج‬ ‫ثم‬
pKa
.
II
-
‫الكحول‬ ‫مع‬ ‫اإليثانويك‬ ‫حمض‬ ‫تفاعل‬ ‫دراسة‬
:
2
-
‫مركب‬ ‫لتحضير‬
‫عضوي‬
)
E
(
،
‫الكحول‬ ‫و‬ ‫اإليثانويك‬ ‫حمض‬ ‫من‬ ‫الموالت‬ ‫متساوي‬ ‫مزيجا‬ ‫باالرتداد‬ ‫نسخن‬
R-OH
‫المركز‬ ‫الكبريت‬ ‫حمض‬ ‫من‬ ‫قطرات‬ ‫و‬
.
‫أ‬
-
‫المتفاعلين‬ ‫بين‬ ‫الحادث‬ ‫الكيميائي‬ ‫التحول‬ ‫اسم‬ ‫ما‬
‫ذكر‬ ‫مع‬
‫خواصه‬
.
‫ب‬
-
‫ال‬ ‫من‬ ‫الفائدة‬ ‫ما‬
‫؟‬ ‫الكبريت‬ ‫حمض‬ ‫دور‬ ‫ما‬ ‫و‬ ‫؟‬ ‫المرتد‬ ‫تسخين‬
‫جـ‬
-
‫الكحول‬ ‫و‬ ‫اإليثانويك‬ ‫حمض‬ ‫بين‬ ‫الحاصل‬ ‫الكيميائي‬ ‫للتحول‬ ‫المنمذجة‬ ‫الكيميائية‬ ‫المعادلة‬ ‫أكتب‬
R-OH
.
3
-
‫ز‬‫ننج‬
‫ة‬‫كتل‬ ‫ن‬‫م‬ ‫ا‬‫انطالق‬ ‫ل‬‫التفاع‬
mA = 30 g
‫ول‬‫الكح‬ ‫ن‬‫م‬
R-OH
‫ف‬
‫ي‬
‫ة‬‫كتل‬ ‫ل‬‫التفاع‬ ‫ة‬‫نھاي‬ ‫د‬‫عن‬ ‫شكل‬‫ت‬
mE = 30.6 g
‫المركب‬ ‫من‬
)
E
(
.
‫أ‬
-
‫التفاعل‬ ‫كسر‬ ‫عبارة‬ ‫استنتج‬ ‫و‬ ‫التفاعل‬ ‫تقدم‬ ‫جدول‬ ‫أنشئ‬
Qr
‫التفاعل‬ ‫تقدم‬ ‫بداللة‬
x
‫اللحظة‬ ‫عند‬
t
.
‫ب‬
-
‫التقدم‬ ‫حدد‬
xeq
‫التوازن‬ ‫ثابت‬ ‫أن‬ ‫علما‬ ‫التوازن‬ ‫عند‬
K = 2.25
.
‫جـ‬
-
‫المستعمل‬ ‫الكحول‬ ‫صنف‬ ‫استنتج‬ ‫ثم‬ ‫التفاعل‬ ‫مردود‬ ‫أحسب‬
.
‫د‬
-
‫المفصلة‬ ‫نصف‬ ‫الصيغة‬ ‫اكتب‬
‫للمركب‬
E
‫اسمه‬ ‫أعط‬ ‫و‬
.
‫ھـ‬
-
‫التفاعل‬ ‫مردود‬ ‫لرفع‬ ‫طريقتين‬ ‫اقترح‬
.
‫المعطيات‬
:
M(H) = 1 g/mol
،
M(O) = 16 g/mol
،
M(C) = 12 g/mol
،
M(R-OH) = 60 g/mol
.mol
mS.m
4.09
=
λ -1
2
COO
CH ‫ـ‬
3
،
.mol
mS.m
35.5
=
λ -1
2
O
H +
3
‫ﺻﻔﺤﺔ‬
2
‫ﻣﻦ‬
7
‫الثاني‬ ‫التمرين‬
:
)
6
‫نقاط‬
(
1
-
‫و‬‫أبول‬ ‫ضائية‬‫الف‬ ‫ة‬‫المركب‬
)
Apollo
(
‫نة‬‫س‬ ‫ر‬‫القم‬ ‫طح‬‫س‬ ‫ى‬‫إل‬ ‫ضاء‬‫الف‬ ‫رواد‬ ‫ق‬‫فري‬ ‫ت‬‫حمل‬
1968
‫ى‬‫أت‬ ‫ق‬‫الفري‬ ‫ذا‬‫ھ‬ ،
، ‫القمر‬ ‫من‬ ‫بصخور‬
‫التحليل‬ ‫أعطى‬
‫الكمي‬
‫من‬ ‫لعينة‬
‫الصخور‬ ‫ھذه‬
‫حجم‬
‫ا‬
‫قدره‬
8.1 . 10-3
mL
‫األرغون‬ ‫غاز‬ ‫من‬
Ar
40
18
‫و‬ ‫النظامية‬ ‫الشروط‬ ‫في‬
‫كتلة‬
1.67 . 10-6
g
‫البوتاسيوم‬ ‫من‬
K
40
19
.
‫أ‬
-
‫العمر‬ ‫نصف‬ ‫زمن‬ ‫عرف‬
t1/2
‫و‬
‫التفكك‬ ‫ثابت‬ ‫بداللة‬ ‫عنه‬ ‫عبر‬
λ
.
‫ب‬
-
‫البوتاسيوم‬ ‫تفكك‬ ‫معادلة‬ ‫أكتب‬
K
‫ى‬‫إل‬
‫األرغون‬
Ar
‫نمطه‬ ‫محددا‬
‫ث‬‫حي‬ ‫من‬ ‫األرغون‬ ‫و‬ ‫البوتاسيوم‬ ‫ين‬‫ب‬ ‫قارن‬ ،
‫التعليل‬ ‫مع‬ ‫االستقرار‬
.
‫جـ‬
-
‫أن‬ ‫أثبت‬ ‫اإلشعاعي‬ ‫التناقص‬ ‫قانون‬ ‫بتطبيق‬
:
‫د‬
-
‫حدد‬
‫عمر‬
‫ھ‬
‫ذه‬
‫الصخ‬
‫و‬
‫ر‬
.
‫أن‬ ‫علما‬
‫ھو‬ ‫عمرھا‬ ‫نصف‬ ‫زمن‬
:
t1/2 = 1.3.109
ans
.
‫ھـ‬
-
‫الكربون‬ ‫بواسطة‬ ‫التأريخ‬ ‫يمكن‬ ‫ھل‬
14
‫علل‬ ‫؟‬
.
2
-
‫و‬‫أبول‬ ‫الفضائية‬ ‫المركبة‬
)
Apollo
(
‫وفق‬ ‫ر‬‫القم‬ ‫مركز‬ ‫ول‬‫ح‬ ‫حلقت‬
‫مدار‬
‫ت‬‫ثاب‬ ‫ارتفاع‬ ‫ى‬‫عل‬ ‫دائري‬ ‫ره‬‫نعتب‬
hA = 1.10 . 105
m
.
‫أ‬
-
‫اسم‬ ‫ما‬
‫ال‬ ‫المرجع‬
‫حركة‬ ‫لدراسة‬ ‫مناسب‬
‫القمر‬ ‫مركز‬ ‫حول‬ ‫أبولو‬ ‫الفضائية‬ ‫المركبة‬
.
‫ب‬
-
‫رض‬‫نف‬
‫أن‬
‫و‬‫أبول‬ ‫ضائية‬‫الف‬ ‫ة‬‫المركب‬
)
Apollo
(
‫ة‬‫المركب‬ ‫و‬ ‫ر‬‫القم‬ ‫ين‬‫ب‬ ‫ام‬‫الع‬ ‫ذب‬‫الج‬ ‫وة‬‫ق‬ ‫أثير‬‫ت‬ ‫ى‬‫إل‬ ‫ضع‬‫تخ‬
‫الفضائية‬
)
Apollo
(
‫التي‬
‫كتلتھا‬ ‫بداللة‬ ‫شدتھا‬ ‫عن‬ ‫نعبر‬
mA
‫الجاذبية‬ ‫شدة‬ ‫و‬
g
‫نقطة‬ ‫في‬
M
‫من‬
‫الفضاء‬
‫المجاور‬
‫للقمر‬
‫بالعالقة‬
:
F = mA.g
،
‫التالية‬ ‫العالقة‬ ‫أثبت‬
:
2
L
)
h
+
R
(
M
G
=
g
‫حيث‬
:
ML
‫كتلة‬ ‫ھي‬
‫القمر‬
،
G
:
‫العام‬ ‫الجذب‬ ‫ثابت‬
.
R
:
‫قطر‬ ‫نصف‬
‫القمر‬
،
h
‫النقطة‬ ‫ارتفاع‬
M
‫القمر‬ ‫سطح‬ ‫عن‬
.
‫جـ‬
-
‫الجاذبية‬ ‫شدة‬ ‫أحسب‬
g0
‫القمر‬ ‫سطح‬ ‫على‬
.
‫د‬
-
‫أن‬ ‫أثبت‬
‫الجاذبية‬ ‫عبارة‬
g
‫بالعالقة‬ ‫تعطى‬
:
2
2
0
)
h
+
R
(
R
g
=
g
‫ھـ‬
-
‫مدار‬ ‫في‬ ‫الجاذبية‬ ‫شدة‬ ‫أحسب‬
‫أبولو‬ ‫الفضائية‬ ‫المركبة‬
)
Apollo
(
.
‫و‬
-
‫ة‬‫عطال‬ ‫ز‬‫مرك‬ ‫رعة‬‫س‬ ‫ن‬‫ع‬ ‫ر‬‫عب‬ ، ‫وتن‬‫لني‬ ‫اني‬‫الث‬ ‫انون‬‫الق‬ ‫ق‬‫بتطبي‬
‫و‬‫أبول‬ ‫ضائية‬‫الف‬ ‫ة‬‫المركب‬
)
Apollo
(
‫ة‬‫بدالل‬
g0
،
R
،
h
.
‫ي‬
-
‫ع‬
‫الدور‬ ‫عن‬ ‫بر‬
TA
‫لحركة‬
‫أبولو‬ ‫الفضائية‬ ‫المركبة‬
)
Apollo
(
‫بداللة‬
R
،
h
،
g0
.
‫العددية‬ ‫قيمته‬ ‫أحسب‬
.
3
-
‫الثالث‬ ‫كبلر‬ ‫قانون‬ ‫من‬ ‫تحقق‬
.
‫نعتبر‬
r = R + h
‫الفضائية‬ ‫المركبة‬ ‫مدار‬ ‫قطر‬ ‫نصف‬
)
Apollo
(
.
‫المعطيات‬
:
-
‫العام‬ ‫الجذب‬ ‫ثابت‬
:
G = 6.67 . 10-11
N.m2
.kg-2
.
-
‫كتلة‬
‫القمر‬
:
ML = 7.34 . 1022
kg
.
-
‫القمر‬ ‫قطر‬ ‫نصف‬
:
R = 1.74 . 106
. m
.
-
‫أفوقادرو‬ ‫عدد‬
:
NA = 6.02 . 1023
mol-1
.
-
‫الكربون‬ ‫عمر‬ ‫نصف‬ ‫زمن‬
14
:
t1/2 = 5730 ans
.
-
‫المولي‬ ‫الحجم‬
:
VM = 22.4 L/mol
.
)
N(K)
N(Ar)
+
ln(1
.
2
ln
t
=
t 1/2
‫ﺻﻔﺤﺔ‬
3
‫ﻣﻦ‬
7
‫الجزء‬
‫الثاني‬
:
‫التجريبي‬ ‫التمرين‬
:
)
7
‫نقاط‬
(
‫م‬ ‫تحديد‬ ‫بھدف‬
‫مكثفة‬ ‫ميزات‬
)
C
(
‫صرفة‬ ‫وشيعة‬ ‫و‬
)
L
(
‫في‬ ‫المبين‬ ‫التركيب‬ ‫نحقق‬
)
‫الشكل‬
-
1
(
‫حيث‬ ،
R = 50 Ω
‫و‬ ،
‫مشحونة‬ ‫غير‬ ‫المكثفة‬
.
I
-
‫الوضع‬ ‫في‬ ‫البادلة‬
)
1
: (
1
-
‫التفاضل‬ ‫المعادلة‬ ‫أوجد‬
‫ية‬
‫تحققھا‬ ‫التي‬
uC(t)
.
2
-
‫كان‬ ‫إذا‬
‫التفاضلية‬ ‫المعادلة‬ ‫حل‬
‫السابقة‬
‫ھو‬
‫الشكل‬ ‫من‬
:
)
e
-
1
(
A
=
(t)
u t
α
-
C
‫عبارتي‬ ‫أكتب‬
A
‫و‬
α
‫بداللة‬
‫المم‬ ‫المقادير‬
‫يزة‬
‫للدارة‬
.
II
-
‫الوضع‬ ‫في‬ ‫البادلة‬
)
2
: (
1
-
‫بداللة‬ ‫التفاضلية‬ ‫المعادلة‬ ‫أن‬ ‫بين‬
uL
‫الشكل‬ ‫على‬ ‫تكتب‬
:
0
=
u
λ
+
dt
du
L
L
‫حيث‬
λ
‫عبارته‬ ‫كتابه‬ ‫يطلب‬ ‫ثابت‬
.
2
-
‫إن‬
‫المعادلة‬
‫التفاضلية‬
‫لھا‬ ‫حال‬ ‫تقبل‬ ‫السابقة‬
‫الش‬ ‫من‬
‫كل‬
:
t
λ
-
L e
B
=
(t)
u
،
‫الثابت‬ ‫عبارة‬ ‫عندئذ‬ ‫أكتب‬
B
.
III
-
‫التجريبية‬ ‫الدراسة‬
:
‫دخلين‬‫م‬ ‫ذي‬ ‫ي‬‫المھبط‬ ‫زاز‬‫االھت‬ ‫م‬‫راس‬ ‫از‬‫جھ‬ ‫طة‬‫بواس‬
Y1
،
Y2
‫و‬
‫ال‬
‫سجيل‬‫ت‬ ‫ن‬‫أمك‬ ‫ات‬‫معلوم‬ ‫ة‬‫ببطاق‬ ‫زود‬‫م‬
‫الوثيقتين‬
)
a
(
،
)
b
(
‫أسفله‬
‫حيث‬
:
-
‫الوضع‬ ‫في‬ ‫البادلة‬ ‫حالة‬
)
1
(
‫المنح‬ ‫نشاھد‬
‫نيين‬
uR(t)
‫و‬
uC(t)
.
-
‫الوضع‬ ‫في‬ ‫البادلة‬ ‫حالة‬
)
2
(
‫المنحنيين‬ ‫نشاھد‬
uR(t)
‫و‬
uL(t)
.
1
-
‫حالة‬ ‫كل‬ ‫في‬ ‫المھبطي‬ ‫االھتزاز‬ ‫راسم‬ ‫ربط‬ ‫كيفية‬ ‫مبينا‬ ‫الدارة‬ ‫مخطط‬ ‫رسم‬ ‫أعد‬
.
2
-
‫الموافق‬ ‫المنحنى‬ ‫الوشيعة‬ ‫و‬ ‫للمكثفة‬ ‫أنسب‬
‫وثيقة‬ ‫كل‬ ‫في‬
‫التعليل‬ ‫مع‬
.
0 5
1
)
V
(
u
)
ms
(
t 0 10
1
)
V
(
u
)
ms
(
t
2
uR(t)
D
uR(t)
2
‫الوثيقة‬
)
b
(
‫الوثيقة‬
)
a
(
E
R
R
L C
)
2
( )
1
(
‫ﺻﻔﺤﺔ‬
4
‫ﻣﻦ‬
7
3
-
‫ال‬ ‫على‬ ‫اعتمادا‬
‫وثيقتين‬
)
a
(
‫و‬
)
b
(
‫أوجد‬
:
▪
‫الزمن‬ ‫ثابت‬
τ1
‫للدارة‬
RC
.
▪
‫الزمن‬ ‫ثابت‬
τ2
‫للدارة‬
RL
.
▪
‫الكھربائية‬ ‫المحركة‬ ‫القوة‬
E
‫للمولد‬
.
▪
‫الدارة‬ ‫في‬ ‫األعظمية‬ ‫التيار‬ ‫شدة‬
RL
.
▪
‫المكثفة‬ ‫سعة‬
C
.
▪
‫الوشيعة‬ ‫ذاتية‬
L
.
4
-
‫تمثل‬
D
‫الوثيقة‬ ‫في‬ ‫المنحنيين‬ ‫تقاطع‬ ‫نقطة‬
)
b
. (
‫أن‬ ‫أثبت‬
:
tD = τ1.ln2
.
‫يعطى‬
:
e
E
=
)
t
(
u 1
τ
t/
-
R
‫ﺻﻔﺤﺔ‬
5
‫ﻣﻦ‬
7
‫الموضوع‬
‫الثاني‬
‫الموضوع‬ ‫يحتوي‬
‫الثاني‬
‫على‬
4
‫صفحات‬
)
‫الصفحة‬ ‫من‬
5
‫من‬
7
‫إلى‬
7
‫من‬
7
(
‫األول‬ ‫الجزء‬
:
‫األول‬ ‫التمرين‬
:
)
7
‫نقاط‬
(
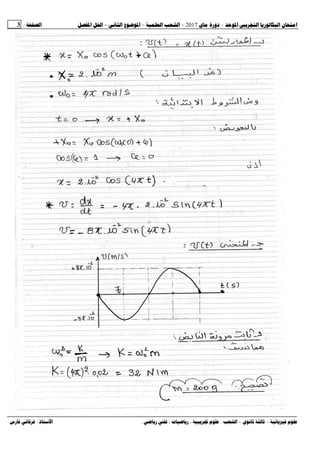
‫نقطي‬ ‫صلب‬ ‫جسم‬ ‫من‬ ‫مرن‬ ‫نواس‬ ‫يتكون‬
)
S
(
‫كتلته‬
m = 200 g
‫ال‬ ‫يمكنه‬
، ‫أفقي‬ ‫مستوي‬ ‫على‬ ‫احتكاك‬ ‫دون‬ ‫حركة‬
‫نابض‬ ‫من‬ ‫و‬
‫الكتلة‬ ‫مھمل‬
‫مرونته‬ ‫ثابت‬ ، ‫متالصقة‬ ‫غير‬ ‫حلقاته‬
k
)
‫الشكل‬
-
1
. (
‫الجسم‬ ‫يكون‬ ‫التوازن‬ ‫عند‬
)
S
(
‫عند‬
‫النقطة‬
)
A
(
‫للفواصل‬ ‫مبدأ‬ ‫نعتبرھا‬
.
‫يعطى‬
g = 10 m/s2
،
π2
= 10
.
I
-
‫سم‬‫الج‬ ‫زيح‬‫ن‬
)
S
(
‫ى‬‫حت‬ ‫ه‬‫توازن‬ ‫ع‬‫وض‬ ‫ن‬‫ع‬
‫ا‬
‫ع‬‫لموض‬
B
‫سافة‬‫بم‬
AB = X0
‫ة‬‫ابتدائي‬ ‫رعة‬‫س‬ ‫دون‬ ‫ه‬‫نترك‬ ‫م‬‫ث‬
‫ي‬‫ف‬
‫اللحظة‬
t = 0
.
1
-
‫الجسم‬ ‫على‬ ‫المؤثرة‬ ‫الخارجية‬ ‫القوى‬ ‫مختلف‬ ‫مثل‬
)
S
(
‫فاصلته‬ ‫وضع‬ ‫إلى‬ ‫يزاح‬ ‫عندما‬
x(t)
.
2
-
‫لنيوتن‬ ‫الثاني‬ ‫القانون‬ ‫نص‬ ‫اذكر‬
.
3
-
‫لنيوتن‬ ‫الثاني‬ ‫القانون‬ ‫بتطبيق‬
‫الجسم‬ ‫على‬
)
S
(
‫المعل‬ ‫في‬
، ‫الغاليلي‬ ‫األرضي‬ ‫السطحي‬ ‫م‬
‫التفاضلية‬ ‫المعادلة‬ ‫أن‬ ‫بين‬
‫للحركة‬
‫تحققھا‬ ‫التي‬
x(t)
‫الشكل‬ ‫من‬
:
0
=
x
ω
+
dt
x
d 2
0
2
2
4
-
‫الذاتي‬ ‫للنبض‬ ‫الحرفية‬ ‫العبارة‬ ‫أعط‬
ω0
.
5
-
‫المنحنى‬ ‫رسم‬ ‫من‬ ‫تمكنا‬ ‫مناسبة‬ ‫برمجية‬ ‫بواسطة‬
a = f(x)
‫في‬ ‫الموضح‬
)
‫الشكل‬
-
2
. (
m
2
=
h
'
x
y
C
B
M
A
x
x
‫الشكل‬
-
1
0
X
0 0,5
1
)
s
/
m
(
a 2
)
cm
(
x
‫الشكل‬
-
2
2
.
3
2
‫ﺻﻔﺤﺔ‬
6
‫ﻣﻦ‬
7
‫أ‬
-
‫اعت‬
‫حدد‬ ‫البيان‬ ‫ھذا‬ ‫على‬ ‫مادا‬
:
‫للحركة‬ ‫الذاتي‬ ‫النبض‬
ω0
‫الذاتي‬ ‫دورھا‬ ‫و‬
T0
.
‫ب‬
-
‫الزمنيتين‬ ‫المعادلتين‬ ‫أكتب‬
x(t)
،
v(t)
.
‫جـ‬
-
‫البياني‬ ‫المنحنى‬ ‫أرسم‬
v(t)
.
‫د‬
-
‫النابض‬ ‫مرونة‬ ‫ثابت‬ ‫استنتج‬
k
.
II
-
‫الجسم‬ ‫مرور‬ ‫لحظة‬
)
S
(
‫ينفصل‬ ‫للحركة‬ ‫الموجب‬ ‫االتجاه‬ ‫في‬ ‫التوزان‬ ‫بوضع‬
‫لي‬ ‫النابض‬ ‫عن‬
‫المستوي‬ ‫ذلك‬ ‫بعد‬ ‫غادر‬
‫النقطة‬ ‫في‬ ‫األفقي‬
C
.
1
-
‫أن‬ ‫بين‬
vC = vB
‫قيمتھا‬ ‫أحسب‬ ‫و‬
.
2
-
‫سم‬‫الج‬ ‫ة‬‫حرك‬ ‫أدرس‬
)
S
(
‫م‬‫المعل‬ ‫ي‬‫ف‬
)
cy
,
x
c
(
،
‫ار‬‫باعتب‬
‫ادرة‬‫مغ‬ ‫ة‬‫لحظ‬ ‫ة‬‫األزمن‬ ‫دأ‬‫مب‬
‫سم‬‫الج‬
)
S
(
‫ة‬‫للنقط‬
c
‫م‬‫ث‬
‫المسار‬ ‫معادلة‬ ‫استنتج‬
y(x)
)
‫أرخم‬ ‫دافعة‬ ‫و‬ ‫الھواء‬ ‫مع‬ ‫االحتكاك‬ ‫نھمل‬
‫يدس‬
. (
4
-
‫النقطة‬ ‫احداثيات‬ ‫أوجد‬
M
)
‫ارتطام‬ ‫نقطة‬
)
S
(
‫باألرض‬
(
‫السرعة‬ ‫قيمة‬ ‫كذا‬ ‫و‬
VM
‫عندئذ‬
.
‫الثاني‬ ‫التمرين‬
:
)
6
‫نقاط‬
(
‫اليورانيوم‬ ‫انشطار‬ ‫يحدث‬ ‫نووي‬ ‫مفاعل‬ ‫في‬
235
‫المعادلة‬ ‫حسب‬
:
n
2
+
Xe
+
Sr
=
n
+
U 1
0
140
54
94
38
1
0
235
92
1
-
‫النووي‬ ‫االندماج‬ ‫و‬ ‫االنشطار‬ ‫عرف‬
.
2
-
‫ك‬ ‫طاقة‬ ‫إلى‬ ‫نحتاج‬ ‫لماذا‬
‫األنوية‬ ‫لدمج‬ ‫بيرة‬
.
3
-
‫يمثل‬
)
‫الشكل‬
-
3
(
‫الحادث‬ ‫النووي‬ ‫للتفاعل‬ ‫الطاقوي‬ ‫المخطط‬
.
‫أ‬
-
‫المقادير‬ ‫أوجد‬
a
،
b
،
c
‫المخطط‬ ‫على‬ ‫المبينة‬
.
‫ب‬
-
‫المخطط‬ ‫من‬ ‫استنتج‬
:
▪
‫للنواتين‬ ‫نكليون‬ ‫لكل‬ ‫الربط‬ ‫طاقة‬
U
235
،
Sr
94
.
▪
‫الطاقة‬
‫انشطار‬ ‫عن‬ ‫المحررة‬
1 mol
‫اليورانيوم‬ ‫أنوية‬ ‫من‬
235
.
4
-
‫قدرھا‬ ‫كھربائية‬ ‫استطاعة‬ ‫النووي‬ ‫المفاعل‬ ‫ينتج‬
P = 900 MW
)
900
‫ميغاواط‬
(
‫طاقوي‬ ‫بمردود‬
η= 30%
.
‫أ‬
-
‫التفاعل‬ ‫ھذا‬ ‫من‬ ‫الواحدة‬ ‫الثانية‬ ‫في‬ ‫اإلنشطارات‬ ‫عدد‬ ‫أحسب‬
.
‫ب‬
-
‫اليورانيوم‬ ‫كتلة‬ ‫أحسب‬
235
‫الن‬ ‫المفاعل‬ ‫يستھلكھا‬ ‫التي‬
‫سنة‬ ‫خالل‬ ‫ووي‬
.
‫المعطيات‬
:
u
234.9934
=
U)
m(235
،
u
93.8945
=
Sr)
m(94
،
u
139.8919
=
Xe)
m(140
،
u
1.0073
=
m(p)
،
u
1.0086
=
m(n)
،
eV/nuc
M
29
.
8
=
)
Xe
(
A
E 140
l
،
1 an = 365.25 j
1u = 931.5 MeV/c2
،
NA = 6.02 . 1023
mol-1
،
1 u = 1.66 . 10-27
kg
E
n
144
+
p
92
n
+
U 1
0
235
92
n
2
+
Xe
+
Sr 1
0
140
54
94
38
E
∆
a
b
c
‫الشكل‬
-
3
‫ﺻﻔﺤﺔ‬
7
‫ﻣﻦ‬
7
‫الجزء‬
‫الثاني‬
:
‫التجريبي‬ ‫التمرين‬
:
)
7
‫نقاط‬
(
‫لل‬ ‫حصة‬ ‫في‬
‫ء‬
‫للجملة‬ ‫يحدث‬ ‫الذي‬ ‫الكيميائي‬ ‫التحول‬ ‫دراسة‬ ‫التالميذ‬ ‫من‬ ‫فوج‬ ‫أراد‬ ، ‫المخبرية‬ ‫أعمال‬
)
، ‫صلب‬ ‫ألمنيوم‬
‫الھيدروجين‬ ‫كلور‬ ‫حمض‬ ‫محلول‬
(
،
‫و‬
‫التالميذ‬ ‫أحد‬ ‫ضع‬
‫مسحوق‬
‫أل‬
‫كتلته‬ ‫منيوم‬
m0
‫دورق‬ ‫في‬
‫حجما‬ ‫إليه‬ ‫أضاف‬ ‫ثم‬ ،
V = 60 mL
‫المولي‬ ‫التركيز‬ ‫ذي‬ ‫الھيدروجين‬ ‫كلور‬ ‫حمض‬ ‫محلول‬ ‫من‬
C = 0.3 mol/L
‫أن‬ ‫بعد‬ ‫الدورق‬ ‫سد‬ ‫و‬ ،
‫الم‬ ‫الغاز‬ ‫بحجز‬ ‫يسمح‬ ‫بتجھيز‬ ‫أوصله‬
، ‫ألخرى‬ ‫لحظة‬ ‫من‬ ‫حجمه‬ ‫قياس‬ ‫و‬ ‫نطلق‬
‫التي‬ ‫القياسات‬ ‫نتائج‬ ‫اآلتي‬ ‫الجدول‬ ‫يمثل‬
‫الفوج‬ ‫عليھا‬ ‫حصل‬
:
t (s) 0 50 100 150 200 250 300 350 400 450 500
V(H2) mL 0 30 54 72 90 105 120 132 144 156 162
[ ] )
L
/
mol
(
10
.
Al 2
‫ـ‬
+
3
0.00 2.50 4.17 5.60 6.70 7.50
1
-
‫حجمه‬ ‫قياس‬ ‫و‬ ‫المنطلق‬ ‫الغاز‬ ‫بحجز‬ ‫للتالميذ‬ ‫تسمح‬ ‫التي‬ ‫الطريقة‬ ‫شرح‬ ‫مع‬ ‫للتجربة‬ ‫مخطط‬ ‫مثل‬
.
2
-
‫التام‬ ‫التفاعل‬ ‫عرف‬
.
3
-
‫أكتب‬
‫الكيميائي‬ ‫للتحول‬ ‫المنمذج‬ ‫الكيميائي‬ ‫التفاعل‬ ‫معادلة‬
‫التام‬
‫ھما‬ ‫المشاركيتن‬ ‫الثنائيتين‬ ‫أن‬ ‫علما‬ ‫الحادث‬
:
(H3O+
(aq)/H2(g)) , (Al3+
(aq)/Al(s))
.
4
-
‫جدوال‬ ‫أنشئ‬
‫ل‬
‫التفاعل‬ ‫تقدم‬
.
5
-
‫األلمنيوم‬ ‫لشوارد‬ ‫المولي‬ ‫التركيز‬ ‫عن‬ ‫التعبير‬ ‫يمكن‬ ‫أنه‬ ‫بين‬
Al3+
‫بالعالقة‬
:
[ ]
V
.
V
3
)
H
(
V
2
=
Al
M
2
+
3
‫التجربة‬ ‫شروط‬ ‫في‬ ‫المولي‬ ‫الحجم‬ ‫حيث‬
:
VM = 24 L/mol
.
6
-
‫المنحنى‬ ‫أرسم‬ ‫ثم‬ ‫السابق‬ ‫الجدول‬ ‫أكمل‬
[ ] )
t
(
f
=
Al +
3
‫التالي‬ ‫الرسم‬ ‫سلم‬ ‫بأخذ‬
:
1 cm → 50 s
،
1 cm → 10-2
mol/L
7
-
‫أ‬
-
‫للتفاعل‬ ‫الحجمية‬ ‫السرعة‬ ‫أحسب‬
‫في‬
‫اللحظة‬
t = 0
،
‫ھ‬ ‫تتطور‬ ‫كيف‬
‫السرعة‬ ‫ذه‬
‫مع‬
‫؟‬ ‫الزمن‬
‫التعليل‬ ‫مع‬
.
8
-
‫شوارد‬ ‫نعاير‬ ‫التفاعل‬ ‫نھاية‬ ‫في‬
H3O+
‫الصوديوم‬ ‫ھيدروكسيد‬ ‫محلول‬ ‫بواسطة‬ ‫المتبقية‬
)
Na+
+ HO-
(
‫تركيزه‬
‫المولي‬
Cb = 0.15 mol/L
‫حجم‬ ‫إضافة‬ ‫عند‬ ‫المزيج‬ ‫لون‬ ‫فيتغير‬ ، ‫مناسب‬ ‫ملون‬ ‫كاشف‬ ‫بوجود‬
VbE = 20 mL
‫من‬
‫الصوديوم‬ ‫ھيدروكسيد‬ ‫محلول‬
.
‫أ‬
-
‫م‬
‫الملون‬ ‫الكاشف‬ ‫استخدام‬ ‫من‬ ‫الھدف‬ ‫ھو‬ ‫ا‬
.
‫ب‬
-
‫مادة‬ ‫كمية‬ ‫أوجد‬
H3O+
‫السابق‬ ‫التفاعل‬ ‫من‬ ‫المتبقية‬
)
Al
‫مع‬
H3O+
(
‫النھائي‬ ‫التقدم‬ ‫قيمة‬ ‫حدد‬ ‫ثم‬
xf
.
‫جـ‬
-
‫األلمنيوم‬ ‫كتلة‬ ‫أحسب‬
m0
‫التجربة‬ ‫في‬ ‫المستعملة‬
.
9
-
‫أوجد‬
‫التفاعل‬ ‫نصف‬ ‫زمن‬
t1/2
‫أھميته‬ ‫حدد‬ ‫ثم‬
.
‫يعطى‬
:
M(Al) = 27 g/mol
.
-

 
2017
-
-
!
#
-
$% $'
%
:
1
)
*+ ,-
–
.
/ 0
/
–
:
1!
 234 ، 6
!
 ، 	7 ,-
.
9
:#
:
;
+ 1.
	+
‫األول‬ ‫التمرين‬
Sujet : 2AS 02 - 01
-

 
2017
-
-
!
#
-
$% $'
%
:
2
)
*+ ,-
–
.
/ 0
/
–
:
1!
 234 ، 6
!
 ، 	7 ,-
.
9
:#
:
;
+ 1.
	+
-

 
2017
-
-
!
#
-
$% $'
%
:
3
)
*+ ,-
–
.
/ 0
/
–
:
1!
 234 ، 6
!
 ، 	7 ,-
.
9
:#
:
;
+ 1.
	+
-

 
2017
-
-
!
#
-
$% $'
%
:
4
)
*+ ,-
–
.
/ 0
/
–
:
1!
 234 ، 6
!
 ، 	7 ,-
.
9
:#
:
;
+ 1.
	+
-

 
2017
-
-
!
#
-
$% $'
%
:
5
)
*+ ,-
–
.
/ 0
/
–
:
1!
 234 ، 6
!
 ، 	7 ,-
.
9
:#
:
;
+ 1.
	+
‫التمرين‬
‫الثاني‬
Sujet : 2AS 02 - 01
-

 
2017
-

Studyadz 3as-physique-c3-12-23

  • 1.
    ‫ﺻﻔﺤﺔ‬ 1 ‫ﻣﻦ‬ 7 ‫ﺍﻟﺸﻌﺒﻴﺔ‬ ‫ﺍﻟﺪﳝﻘﺮﺍﻃﻴﺔ‬ ‫ﺍﳉﺰﺍﺋﺮﻳﺔ‬‫ﺍﳉﻤﻬﻮﺭﻳﺔ‬ ‫ﺍﻟﻮﻃﻨﻴﺔ‬ ‫ﺍﻟﺘﺮﺑﻴﺔ‬ ‫ﻭﺯﺍﺭﺓ‬ ‫ﻣﺪﻳﺮﻳﺔ‬ ‫ﻗﺴﻨﻄﻴﻨﺔ‬ ‫ﻟﻮﻻﻳﺔ‬ ‫ﺍﻟﺘﺮﺑﻴﺔ‬ ‫ﺍﻣﺘﺤﺎﻥ‬ ‫ﺍﻟ‬ ‫ﺒﻜﺎﻟﻮﺭﻳﺎ‬ ‫ﺍﳌﻮﺣﺪ‬ ‫ﺍﻟﺘﺠﺮﻳﱯ‬ ‫ﺩﻭﺭﺓ‬ 17 ‫ﻣﺎﻱ‬ 2017 ‫ﺍﻟﺸﻌﺒﺔ‬ : ‫ﲡﺮﻳﺒﻴﺔ‬ ‫ﻋﻠﻮﻡ‬ ‫ﻣﺎﺩﺓ‬ ‫ﰲ‬ ‫ﲡﺮﻳﱯ‬ ‫ﺍﺧﺘﺒﺎﺭ‬ : ‫ﺍﻟﻔﻴﺰﻳﺎﺋﻴﺔ‬ ‫ﺍﻟﻌﻠﻮﻡ‬ ‫ﺍﳌﺪﺓ‬ : 3 ‫ﻭ‬ ‫ﺳﺎﻋﺔ‬ 30 ‫ﺩ‬ ‫المترشح‬ ‫على‬ ‫اختيار‬ ‫التاليين‬ ‫الموضوعين‬ ‫أحد‬ ‫األول‬ ‫الموضوع‬ ‫على‬ ‫األول‬ ‫الموضوع‬ ‫يحتوي‬ 4 ‫صفحات‬ ) ‫الصفحة‬ ‫من‬ 1 ‫من‬ 7 ‫إلى‬ 4 ‫من‬ 7 ( ‫األول‬ ‫الجزء‬ : ‫األول‬ ‫التمرين‬ : ) 7 ‫نقاط‬ ( ‫اإليثانويك‬ ‫حمض‬ ‫يستعمل‬ CH3COOH ‫تصنيع‬ ‫و‬ ‫النسيج‬ ‫صناعة‬ ‫و‬ ‫الجلود‬ ‫دباغة‬ ‫في‬ ‫و‬ ‫األسماك‬ ‫و‬ ‫اللحوم‬ ‫تعليب‬ ‫في‬ ‫المذيبات‬ ‫و‬ ‫العطرية‬ ‫المواد‬ ‫من‬ ‫الكثير‬ ...... ‫بغرض‬ ‫مع‬ ‫اإليثانويك‬ ‫حمض‬ ‫تفاعل‬ ‫دراسة‬ ‫من‬ ‫كل‬ ‫الماء‬ ‫و‬ ‫ال‬ ‫صيغته‬ ‫كحول‬ ‫عامة‬ R-OH ‫طريقتين‬ ‫نتبع‬ : I - ‫الماء‬ ‫مع‬ ‫اإليثانويك‬ ‫حمض‬ ‫تفاعل‬ : 1 - ‫محلوال‬ ‫نحضر‬ ) S ( ‫حجمه‬ ‫اإليثانويك‬ ‫لحمض‬ V ‫المولي‬ ‫تركيزه‬ C = 10-2 mol/L ، ‫ناقلي‬ ‫نقيس‬ ‫ته‬ ‫في‬ ‫النوعية‬ ‫الحرارة‬ ‫درجة‬ 25°C ‫فنجد‬ : σ = 16.0 mS/m . ‫أ‬ - ‫المنمذج‬ ‫التفاعل‬ ‫معادلة‬ ‫أكتب‬ ‫ا‬ ‫الكيميائي‬ ‫للتحول‬ ‫ال‬ ‫نحالل‬ ‫الماء‬ ‫في‬ ‫حمض‬ . ‫ب‬ - ‫أو‬ ‫عبارة‬ ‫جد‬ [ ]f + 3O H ‫المحلول‬ ‫في‬ ) S ( ‫بداللة‬ σ ‫و‬ ‫ـ‬ 3COO CH λ ، + 3O H λ ‫قيمته‬ ‫أحسب‬ ‫ثم‬ . ‫جـ‬ - ‫قيمة‬ ‫أوجد‬ pH ‫المحلول‬ ) S . ( ‫د‬ - ‫الحموضة‬ ‫ثابت‬ ‫قيمة‬ ‫أحسب‬ Ka ‫للثنائية‬ ) CH3COOH/CH3COO- ( ‫الـ‬ ‫قيمة‬ ‫استنتج‬ ‫ثم‬ pKa . II - ‫الكحول‬ ‫مع‬ ‫اإليثانويك‬ ‫حمض‬ ‫تفاعل‬ ‫دراسة‬ : 2 - ‫مركب‬ ‫لتحضير‬ ‫عضوي‬ ) E ( ، ‫الكحول‬ ‫و‬ ‫اإليثانويك‬ ‫حمض‬ ‫من‬ ‫الموالت‬ ‫متساوي‬ ‫مزيجا‬ ‫باالرتداد‬ ‫نسخن‬ R-OH ‫المركز‬ ‫الكبريت‬ ‫حمض‬ ‫من‬ ‫قطرات‬ ‫و‬ . ‫أ‬ - ‫المتفاعلين‬ ‫بين‬ ‫الحادث‬ ‫الكيميائي‬ ‫التحول‬ ‫اسم‬ ‫ما‬ ‫ذكر‬ ‫مع‬ ‫خواصه‬ . ‫ب‬ - ‫ال‬ ‫من‬ ‫الفائدة‬ ‫ما‬ ‫؟‬ ‫الكبريت‬ ‫حمض‬ ‫دور‬ ‫ما‬ ‫و‬ ‫؟‬ ‫المرتد‬ ‫تسخين‬ ‫جـ‬ - ‫الكحول‬ ‫و‬ ‫اإليثانويك‬ ‫حمض‬ ‫بين‬ ‫الحاصل‬ ‫الكيميائي‬ ‫للتحول‬ ‫المنمذجة‬ ‫الكيميائية‬ ‫المعادلة‬ ‫أكتب‬ R-OH . 3 - ‫ز‬‫ننج‬ ‫ة‬‫كتل‬ ‫ن‬‫م‬ ‫ا‬‫انطالق‬ ‫ل‬‫التفاع‬ mA = 30 g ‫ول‬‫الكح‬ ‫ن‬‫م‬ R-OH ‫ف‬ ‫ي‬ ‫ة‬‫كتل‬ ‫ل‬‫التفاع‬ ‫ة‬‫نھاي‬ ‫د‬‫عن‬ ‫شكل‬‫ت‬ mE = 30.6 g ‫المركب‬ ‫من‬ ) E ( . ‫أ‬ - ‫التفاعل‬ ‫كسر‬ ‫عبارة‬ ‫استنتج‬ ‫و‬ ‫التفاعل‬ ‫تقدم‬ ‫جدول‬ ‫أنشئ‬ Qr ‫التفاعل‬ ‫تقدم‬ ‫بداللة‬ x ‫اللحظة‬ ‫عند‬ t . ‫ب‬ - ‫التقدم‬ ‫حدد‬ xeq ‫التوازن‬ ‫ثابت‬ ‫أن‬ ‫علما‬ ‫التوازن‬ ‫عند‬ K = 2.25 . ‫جـ‬ - ‫المستعمل‬ ‫الكحول‬ ‫صنف‬ ‫استنتج‬ ‫ثم‬ ‫التفاعل‬ ‫مردود‬ ‫أحسب‬ . ‫د‬ - ‫المفصلة‬ ‫نصف‬ ‫الصيغة‬ ‫اكتب‬ ‫للمركب‬ E ‫اسمه‬ ‫أعط‬ ‫و‬ . ‫ھـ‬ - ‫التفاعل‬ ‫مردود‬ ‫لرفع‬ ‫طريقتين‬ ‫اقترح‬ . ‫المعطيات‬ : M(H) = 1 g/mol ، M(O) = 16 g/mol ، M(C) = 12 g/mol ، M(R-OH) = 60 g/mol .mol mS.m 4.09 = λ -1 2 COO CH ‫ـ‬ 3 ، .mol mS.m 35.5 = λ -1 2 O H + 3
  • 2.
    ‫ﺻﻔﺤﺔ‬ 2 ‫ﻣﻦ‬ 7 ‫الثاني‬ ‫التمرين‬ : ) 6 ‫نقاط‬ ( 1 - ‫و‬‫أبول‬ ‫ضائية‬‫الف‬‫ة‬‫المركب‬ ) Apollo ( ‫نة‬‫س‬ ‫ر‬‫القم‬ ‫طح‬‫س‬ ‫ى‬‫إل‬ ‫ضاء‬‫الف‬ ‫رواد‬ ‫ق‬‫فري‬ ‫ت‬‫حمل‬ 1968 ‫ى‬‫أت‬ ‫ق‬‫الفري‬ ‫ذا‬‫ھ‬ ، ، ‫القمر‬ ‫من‬ ‫بصخور‬ ‫التحليل‬ ‫أعطى‬ ‫الكمي‬ ‫من‬ ‫لعينة‬ ‫الصخور‬ ‫ھذه‬ ‫حجم‬ ‫ا‬ ‫قدره‬ 8.1 . 10-3 mL ‫األرغون‬ ‫غاز‬ ‫من‬ Ar 40 18 ‫و‬ ‫النظامية‬ ‫الشروط‬ ‫في‬ ‫كتلة‬ 1.67 . 10-6 g ‫البوتاسيوم‬ ‫من‬ K 40 19 . ‫أ‬ - ‫العمر‬ ‫نصف‬ ‫زمن‬ ‫عرف‬ t1/2 ‫و‬ ‫التفكك‬ ‫ثابت‬ ‫بداللة‬ ‫عنه‬ ‫عبر‬ λ . ‫ب‬ - ‫البوتاسيوم‬ ‫تفكك‬ ‫معادلة‬ ‫أكتب‬ K ‫ى‬‫إل‬ ‫األرغون‬ Ar ‫نمطه‬ ‫محددا‬ ‫ث‬‫حي‬ ‫من‬ ‫األرغون‬ ‫و‬ ‫البوتاسيوم‬ ‫ين‬‫ب‬ ‫قارن‬ ، ‫التعليل‬ ‫مع‬ ‫االستقرار‬ . ‫جـ‬ - ‫أن‬ ‫أثبت‬ ‫اإلشعاعي‬ ‫التناقص‬ ‫قانون‬ ‫بتطبيق‬ : ‫د‬ - ‫حدد‬ ‫عمر‬ ‫ھ‬ ‫ذه‬ ‫الصخ‬ ‫و‬ ‫ر‬ . ‫أن‬ ‫علما‬ ‫ھو‬ ‫عمرھا‬ ‫نصف‬ ‫زمن‬ : t1/2 = 1.3.109 ans . ‫ھـ‬ - ‫الكربون‬ ‫بواسطة‬ ‫التأريخ‬ ‫يمكن‬ ‫ھل‬ 14 ‫علل‬ ‫؟‬ . 2 - ‫و‬‫أبول‬ ‫الفضائية‬ ‫المركبة‬ ) Apollo ( ‫وفق‬ ‫ر‬‫القم‬ ‫مركز‬ ‫ول‬‫ح‬ ‫حلقت‬ ‫مدار‬ ‫ت‬‫ثاب‬ ‫ارتفاع‬ ‫ى‬‫عل‬ ‫دائري‬ ‫ره‬‫نعتب‬ hA = 1.10 . 105 m . ‫أ‬ - ‫اسم‬ ‫ما‬ ‫ال‬ ‫المرجع‬ ‫حركة‬ ‫لدراسة‬ ‫مناسب‬ ‫القمر‬ ‫مركز‬ ‫حول‬ ‫أبولو‬ ‫الفضائية‬ ‫المركبة‬ . ‫ب‬ - ‫رض‬‫نف‬ ‫أن‬ ‫و‬‫أبول‬ ‫ضائية‬‫الف‬ ‫ة‬‫المركب‬ ) Apollo ( ‫ة‬‫المركب‬ ‫و‬ ‫ر‬‫القم‬ ‫ين‬‫ب‬ ‫ام‬‫الع‬ ‫ذب‬‫الج‬ ‫وة‬‫ق‬ ‫أثير‬‫ت‬ ‫ى‬‫إل‬ ‫ضع‬‫تخ‬ ‫الفضائية‬ ) Apollo ( ‫التي‬ ‫كتلتھا‬ ‫بداللة‬ ‫شدتھا‬ ‫عن‬ ‫نعبر‬ mA ‫الجاذبية‬ ‫شدة‬ ‫و‬ g ‫نقطة‬ ‫في‬ M ‫من‬ ‫الفضاء‬ ‫المجاور‬ ‫للقمر‬ ‫بالعالقة‬ : F = mA.g ، ‫التالية‬ ‫العالقة‬ ‫أثبت‬ : 2 L ) h + R ( M G = g ‫حيث‬ : ML ‫كتلة‬ ‫ھي‬ ‫القمر‬ ، G : ‫العام‬ ‫الجذب‬ ‫ثابت‬ . R : ‫قطر‬ ‫نصف‬ ‫القمر‬ ، h ‫النقطة‬ ‫ارتفاع‬ M ‫القمر‬ ‫سطح‬ ‫عن‬ . ‫جـ‬ - ‫الجاذبية‬ ‫شدة‬ ‫أحسب‬ g0 ‫القمر‬ ‫سطح‬ ‫على‬ . ‫د‬ - ‫أن‬ ‫أثبت‬ ‫الجاذبية‬ ‫عبارة‬ g ‫بالعالقة‬ ‫تعطى‬ : 2 2 0 ) h + R ( R g = g ‫ھـ‬ - ‫مدار‬ ‫في‬ ‫الجاذبية‬ ‫شدة‬ ‫أحسب‬ ‫أبولو‬ ‫الفضائية‬ ‫المركبة‬ ) Apollo ( . ‫و‬ - ‫ة‬‫عطال‬ ‫ز‬‫مرك‬ ‫رعة‬‫س‬ ‫ن‬‫ع‬ ‫ر‬‫عب‬ ، ‫وتن‬‫لني‬ ‫اني‬‫الث‬ ‫انون‬‫الق‬ ‫ق‬‫بتطبي‬ ‫و‬‫أبول‬ ‫ضائية‬‫الف‬ ‫ة‬‫المركب‬ ) Apollo ( ‫ة‬‫بدالل‬ g0 ، R ، h . ‫ي‬ - ‫ع‬ ‫الدور‬ ‫عن‬ ‫بر‬ TA ‫لحركة‬ ‫أبولو‬ ‫الفضائية‬ ‫المركبة‬ ) Apollo ( ‫بداللة‬ R ، h ، g0 . ‫العددية‬ ‫قيمته‬ ‫أحسب‬ . 3 - ‫الثالث‬ ‫كبلر‬ ‫قانون‬ ‫من‬ ‫تحقق‬ . ‫نعتبر‬ r = R + h ‫الفضائية‬ ‫المركبة‬ ‫مدار‬ ‫قطر‬ ‫نصف‬ ) Apollo ( . ‫المعطيات‬ : - ‫العام‬ ‫الجذب‬ ‫ثابت‬ : G = 6.67 . 10-11 N.m2 .kg-2 . - ‫كتلة‬ ‫القمر‬ : ML = 7.34 . 1022 kg . - ‫القمر‬ ‫قطر‬ ‫نصف‬ : R = 1.74 . 106 . m . - ‫أفوقادرو‬ ‫عدد‬ : NA = 6.02 . 1023 mol-1 . - ‫الكربون‬ ‫عمر‬ ‫نصف‬ ‫زمن‬ 14 : t1/2 = 5730 ans . - ‫المولي‬ ‫الحجم‬ : VM = 22.4 L/mol . ) N(K) N(Ar) + ln(1 . 2 ln t = t 1/2
  • 3.
    ‫ﺻﻔﺤﺔ‬ 3 ‫ﻣﻦ‬ 7 ‫الجزء‬ ‫الثاني‬ : ‫التجريبي‬ ‫التمرين‬ : ) 7 ‫نقاط‬ ( ‫م‬ ‫تحديد‬‫بھدف‬ ‫مكثفة‬ ‫ميزات‬ ) C ( ‫صرفة‬ ‫وشيعة‬ ‫و‬ ) L ( ‫في‬ ‫المبين‬ ‫التركيب‬ ‫نحقق‬ ) ‫الشكل‬ - 1 ( ‫حيث‬ ، R = 50 Ω ‫و‬ ، ‫مشحونة‬ ‫غير‬ ‫المكثفة‬ . I - ‫الوضع‬ ‫في‬ ‫البادلة‬ ) 1 : ( 1 - ‫التفاضل‬ ‫المعادلة‬ ‫أوجد‬ ‫ية‬ ‫تحققھا‬ ‫التي‬ uC(t) . 2 - ‫كان‬ ‫إذا‬ ‫التفاضلية‬ ‫المعادلة‬ ‫حل‬ ‫السابقة‬ ‫ھو‬ ‫الشكل‬ ‫من‬ : ) e - 1 ( A = (t) u t α - C ‫عبارتي‬ ‫أكتب‬ A ‫و‬ α ‫بداللة‬ ‫المم‬ ‫المقادير‬ ‫يزة‬ ‫للدارة‬ . II - ‫الوضع‬ ‫في‬ ‫البادلة‬ ) 2 : ( 1 - ‫بداللة‬ ‫التفاضلية‬ ‫المعادلة‬ ‫أن‬ ‫بين‬ uL ‫الشكل‬ ‫على‬ ‫تكتب‬ : 0 = u λ + dt du L L ‫حيث‬ λ ‫عبارته‬ ‫كتابه‬ ‫يطلب‬ ‫ثابت‬ . 2 - ‫إن‬ ‫المعادلة‬ ‫التفاضلية‬ ‫لھا‬ ‫حال‬ ‫تقبل‬ ‫السابقة‬ ‫الش‬ ‫من‬ ‫كل‬ : t λ - L e B = (t) u ، ‫الثابت‬ ‫عبارة‬ ‫عندئذ‬ ‫أكتب‬ B . III - ‫التجريبية‬ ‫الدراسة‬ : ‫دخلين‬‫م‬ ‫ذي‬ ‫ي‬‫المھبط‬ ‫زاز‬‫االھت‬ ‫م‬‫راس‬ ‫از‬‫جھ‬ ‫طة‬‫بواس‬ Y1 ، Y2 ‫و‬ ‫ال‬ ‫سجيل‬‫ت‬ ‫ن‬‫أمك‬ ‫ات‬‫معلوم‬ ‫ة‬‫ببطاق‬ ‫زود‬‫م‬ ‫الوثيقتين‬ ) a ( ، ) b ( ‫أسفله‬ ‫حيث‬ : - ‫الوضع‬ ‫في‬ ‫البادلة‬ ‫حالة‬ ) 1 ( ‫المنح‬ ‫نشاھد‬ ‫نيين‬ uR(t) ‫و‬ uC(t) . - ‫الوضع‬ ‫في‬ ‫البادلة‬ ‫حالة‬ ) 2 ( ‫المنحنيين‬ ‫نشاھد‬ uR(t) ‫و‬ uL(t) . 1 - ‫حالة‬ ‫كل‬ ‫في‬ ‫المھبطي‬ ‫االھتزاز‬ ‫راسم‬ ‫ربط‬ ‫كيفية‬ ‫مبينا‬ ‫الدارة‬ ‫مخطط‬ ‫رسم‬ ‫أعد‬ . 2 - ‫الموافق‬ ‫المنحنى‬ ‫الوشيعة‬ ‫و‬ ‫للمكثفة‬ ‫أنسب‬ ‫وثيقة‬ ‫كل‬ ‫في‬ ‫التعليل‬ ‫مع‬ . 0 5 1 ) V ( u ) ms ( t 0 10 1 ) V ( u ) ms ( t 2 uR(t) D uR(t) 2 ‫الوثيقة‬ ) b ( ‫الوثيقة‬ ) a ( E R R L C ) 2 ( ) 1 (
  • 4.
    ‫ﺻﻔﺤﺔ‬ 4 ‫ﻣﻦ‬ 7 3 - ‫ال‬ ‫على‬ ‫اعتمادا‬ ‫وثيقتين‬ ) a ( ‫و‬ ) b ( ‫أوجد‬ : ▪ ‫الزمن‬‫ثابت‬ τ1 ‫للدارة‬ RC . ▪ ‫الزمن‬ ‫ثابت‬ τ2 ‫للدارة‬ RL . ▪ ‫الكھربائية‬ ‫المحركة‬ ‫القوة‬ E ‫للمولد‬ . ▪ ‫الدارة‬ ‫في‬ ‫األعظمية‬ ‫التيار‬ ‫شدة‬ RL . ▪ ‫المكثفة‬ ‫سعة‬ C . ▪ ‫الوشيعة‬ ‫ذاتية‬ L . 4 - ‫تمثل‬ D ‫الوثيقة‬ ‫في‬ ‫المنحنيين‬ ‫تقاطع‬ ‫نقطة‬ ) b . ( ‫أن‬ ‫أثبت‬ : tD = τ1.ln2 . ‫يعطى‬ : e E = ) t ( u 1 τ t/ - R
  • 5.
    ‫ﺻﻔﺤﺔ‬ 5 ‫ﻣﻦ‬ 7 ‫الموضوع‬ ‫الثاني‬ ‫الموضوع‬ ‫يحتوي‬ ‫الثاني‬ ‫على‬ 4 ‫صفحات‬ ) ‫الصفحة‬ ‫من‬ 5 ‫من‬ 7 ‫إلى‬ 7 ‫من‬ 7 ( ‫األول‬‫الجزء‬ : ‫األول‬ ‫التمرين‬ : ) 7 ‫نقاط‬ ( ‫نقطي‬ ‫صلب‬ ‫جسم‬ ‫من‬ ‫مرن‬ ‫نواس‬ ‫يتكون‬ ) S ( ‫كتلته‬ m = 200 g ‫ال‬ ‫يمكنه‬ ، ‫أفقي‬ ‫مستوي‬ ‫على‬ ‫احتكاك‬ ‫دون‬ ‫حركة‬ ‫نابض‬ ‫من‬ ‫و‬ ‫الكتلة‬ ‫مھمل‬ ‫مرونته‬ ‫ثابت‬ ، ‫متالصقة‬ ‫غير‬ ‫حلقاته‬ k ) ‫الشكل‬ - 1 . ( ‫الجسم‬ ‫يكون‬ ‫التوازن‬ ‫عند‬ ) S ( ‫عند‬ ‫النقطة‬ ) A ( ‫للفواصل‬ ‫مبدأ‬ ‫نعتبرھا‬ . ‫يعطى‬ g = 10 m/s2 ، π2 = 10 . I - ‫سم‬‫الج‬ ‫زيح‬‫ن‬ ) S ( ‫ى‬‫حت‬ ‫ه‬‫توازن‬ ‫ع‬‫وض‬ ‫ن‬‫ع‬ ‫ا‬ ‫ع‬‫لموض‬ B ‫سافة‬‫بم‬ AB = X0 ‫ة‬‫ابتدائي‬ ‫رعة‬‫س‬ ‫دون‬ ‫ه‬‫نترك‬ ‫م‬‫ث‬ ‫ي‬‫ف‬ ‫اللحظة‬ t = 0 . 1 - ‫الجسم‬ ‫على‬ ‫المؤثرة‬ ‫الخارجية‬ ‫القوى‬ ‫مختلف‬ ‫مثل‬ ) S ( ‫فاصلته‬ ‫وضع‬ ‫إلى‬ ‫يزاح‬ ‫عندما‬ x(t) . 2 - ‫لنيوتن‬ ‫الثاني‬ ‫القانون‬ ‫نص‬ ‫اذكر‬ . 3 - ‫لنيوتن‬ ‫الثاني‬ ‫القانون‬ ‫بتطبيق‬ ‫الجسم‬ ‫على‬ ) S ( ‫المعل‬ ‫في‬ ، ‫الغاليلي‬ ‫األرضي‬ ‫السطحي‬ ‫م‬ ‫التفاضلية‬ ‫المعادلة‬ ‫أن‬ ‫بين‬ ‫للحركة‬ ‫تحققھا‬ ‫التي‬ x(t) ‫الشكل‬ ‫من‬ : 0 = x ω + dt x d 2 0 2 2 4 - ‫الذاتي‬ ‫للنبض‬ ‫الحرفية‬ ‫العبارة‬ ‫أعط‬ ω0 . 5 - ‫المنحنى‬ ‫رسم‬ ‫من‬ ‫تمكنا‬ ‫مناسبة‬ ‫برمجية‬ ‫بواسطة‬ a = f(x) ‫في‬ ‫الموضح‬ ) ‫الشكل‬ - 2 . ( m 2 = h ' x y C B M A x x ‫الشكل‬ - 1 0 X 0 0,5 1 ) s / m ( a 2 ) cm ( x ‫الشكل‬ - 2 2 . 3 2
  • 6.
    ‫ﺻﻔﺤﺔ‬ 6 ‫ﻣﻦ‬ 7 ‫أ‬ - ‫اعت‬ ‫حدد‬ ‫البيان‬ ‫ھذا‬‫على‬ ‫مادا‬ : ‫للحركة‬ ‫الذاتي‬ ‫النبض‬ ω0 ‫الذاتي‬ ‫دورھا‬ ‫و‬ T0 . ‫ب‬ - ‫الزمنيتين‬ ‫المعادلتين‬ ‫أكتب‬ x(t) ، v(t) . ‫جـ‬ - ‫البياني‬ ‫المنحنى‬ ‫أرسم‬ v(t) . ‫د‬ - ‫النابض‬ ‫مرونة‬ ‫ثابت‬ ‫استنتج‬ k . II - ‫الجسم‬ ‫مرور‬ ‫لحظة‬ ) S ( ‫ينفصل‬ ‫للحركة‬ ‫الموجب‬ ‫االتجاه‬ ‫في‬ ‫التوزان‬ ‫بوضع‬ ‫لي‬ ‫النابض‬ ‫عن‬ ‫المستوي‬ ‫ذلك‬ ‫بعد‬ ‫غادر‬ ‫النقطة‬ ‫في‬ ‫األفقي‬ C . 1 - ‫أن‬ ‫بين‬ vC = vB ‫قيمتھا‬ ‫أحسب‬ ‫و‬ . 2 - ‫سم‬‫الج‬ ‫ة‬‫حرك‬ ‫أدرس‬ ) S ( ‫م‬‫المعل‬ ‫ي‬‫ف‬ ) cy , x c ( ، ‫ار‬‫باعتب‬ ‫ادرة‬‫مغ‬ ‫ة‬‫لحظ‬ ‫ة‬‫األزمن‬ ‫دأ‬‫مب‬ ‫سم‬‫الج‬ ) S ( ‫ة‬‫للنقط‬ c ‫م‬‫ث‬ ‫المسار‬ ‫معادلة‬ ‫استنتج‬ y(x) ) ‫أرخم‬ ‫دافعة‬ ‫و‬ ‫الھواء‬ ‫مع‬ ‫االحتكاك‬ ‫نھمل‬ ‫يدس‬ . ( 4 - ‫النقطة‬ ‫احداثيات‬ ‫أوجد‬ M ) ‫ارتطام‬ ‫نقطة‬ ) S ( ‫باألرض‬ ( ‫السرعة‬ ‫قيمة‬ ‫كذا‬ ‫و‬ VM ‫عندئذ‬ . ‫الثاني‬ ‫التمرين‬ : ) 6 ‫نقاط‬ ( ‫اليورانيوم‬ ‫انشطار‬ ‫يحدث‬ ‫نووي‬ ‫مفاعل‬ ‫في‬ 235 ‫المعادلة‬ ‫حسب‬ : n 2 + Xe + Sr = n + U 1 0 140 54 94 38 1 0 235 92 1 - ‫النووي‬ ‫االندماج‬ ‫و‬ ‫االنشطار‬ ‫عرف‬ . 2 - ‫ك‬ ‫طاقة‬ ‫إلى‬ ‫نحتاج‬ ‫لماذا‬ ‫األنوية‬ ‫لدمج‬ ‫بيرة‬ . 3 - ‫يمثل‬ ) ‫الشكل‬ - 3 ( ‫الحادث‬ ‫النووي‬ ‫للتفاعل‬ ‫الطاقوي‬ ‫المخطط‬ . ‫أ‬ - ‫المقادير‬ ‫أوجد‬ a ، b ، c ‫المخطط‬ ‫على‬ ‫المبينة‬ . ‫ب‬ - ‫المخطط‬ ‫من‬ ‫استنتج‬ : ▪ ‫للنواتين‬ ‫نكليون‬ ‫لكل‬ ‫الربط‬ ‫طاقة‬ U 235 ، Sr 94 . ▪ ‫الطاقة‬ ‫انشطار‬ ‫عن‬ ‫المحررة‬ 1 mol ‫اليورانيوم‬ ‫أنوية‬ ‫من‬ 235 . 4 - ‫قدرھا‬ ‫كھربائية‬ ‫استطاعة‬ ‫النووي‬ ‫المفاعل‬ ‫ينتج‬ P = 900 MW ) 900 ‫ميغاواط‬ ( ‫طاقوي‬ ‫بمردود‬ η= 30% . ‫أ‬ - ‫التفاعل‬ ‫ھذا‬ ‫من‬ ‫الواحدة‬ ‫الثانية‬ ‫في‬ ‫اإلنشطارات‬ ‫عدد‬ ‫أحسب‬ . ‫ب‬ - ‫اليورانيوم‬ ‫كتلة‬ ‫أحسب‬ 235 ‫الن‬ ‫المفاعل‬ ‫يستھلكھا‬ ‫التي‬ ‫سنة‬ ‫خالل‬ ‫ووي‬ . ‫المعطيات‬ : u 234.9934 = U) m(235 ، u 93.8945 = Sr) m(94 ، u 139.8919 = Xe) m(140 ، u 1.0073 = m(p) ، u 1.0086 = m(n) ، eV/nuc M 29 . 8 = ) Xe ( A E 140 l ، 1 an = 365.25 j 1u = 931.5 MeV/c2 ، NA = 6.02 . 1023 mol-1 ، 1 u = 1.66 . 10-27 kg E n 144 + p 92 n + U 1 0 235 92 n 2 + Xe + Sr 1 0 140 54 94 38 E ∆ a b c ‫الشكل‬ - 3
  • 7.
    ‫ﺻﻔﺤﺔ‬ 7 ‫ﻣﻦ‬ 7 ‫الجزء‬ ‫الثاني‬ : ‫التجريبي‬ ‫التمرين‬ : ) 7 ‫نقاط‬ ( ‫لل‬ ‫حصة‬‫في‬ ‫ء‬ ‫للجملة‬ ‫يحدث‬ ‫الذي‬ ‫الكيميائي‬ ‫التحول‬ ‫دراسة‬ ‫التالميذ‬ ‫من‬ ‫فوج‬ ‫أراد‬ ، ‫المخبرية‬ ‫أعمال‬ ) ، ‫صلب‬ ‫ألمنيوم‬ ‫الھيدروجين‬ ‫كلور‬ ‫حمض‬ ‫محلول‬ ( ، ‫و‬ ‫التالميذ‬ ‫أحد‬ ‫ضع‬ ‫مسحوق‬ ‫أل‬ ‫كتلته‬ ‫منيوم‬ m0 ‫دورق‬ ‫في‬ ‫حجما‬ ‫إليه‬ ‫أضاف‬ ‫ثم‬ ، V = 60 mL ‫المولي‬ ‫التركيز‬ ‫ذي‬ ‫الھيدروجين‬ ‫كلور‬ ‫حمض‬ ‫محلول‬ ‫من‬ C = 0.3 mol/L ‫أن‬ ‫بعد‬ ‫الدورق‬ ‫سد‬ ‫و‬ ، ‫الم‬ ‫الغاز‬ ‫بحجز‬ ‫يسمح‬ ‫بتجھيز‬ ‫أوصله‬ ، ‫ألخرى‬ ‫لحظة‬ ‫من‬ ‫حجمه‬ ‫قياس‬ ‫و‬ ‫نطلق‬ ‫التي‬ ‫القياسات‬ ‫نتائج‬ ‫اآلتي‬ ‫الجدول‬ ‫يمثل‬ ‫الفوج‬ ‫عليھا‬ ‫حصل‬ : t (s) 0 50 100 150 200 250 300 350 400 450 500 V(H2) mL 0 30 54 72 90 105 120 132 144 156 162 [ ] ) L / mol ( 10 . Al 2 ‫ـ‬ + 3 0.00 2.50 4.17 5.60 6.70 7.50 1 - ‫حجمه‬ ‫قياس‬ ‫و‬ ‫المنطلق‬ ‫الغاز‬ ‫بحجز‬ ‫للتالميذ‬ ‫تسمح‬ ‫التي‬ ‫الطريقة‬ ‫شرح‬ ‫مع‬ ‫للتجربة‬ ‫مخطط‬ ‫مثل‬ . 2 - ‫التام‬ ‫التفاعل‬ ‫عرف‬ . 3 - ‫أكتب‬ ‫الكيميائي‬ ‫للتحول‬ ‫المنمذج‬ ‫الكيميائي‬ ‫التفاعل‬ ‫معادلة‬ ‫التام‬ ‫ھما‬ ‫المشاركيتن‬ ‫الثنائيتين‬ ‫أن‬ ‫علما‬ ‫الحادث‬ : (H3O+ (aq)/H2(g)) , (Al3+ (aq)/Al(s)) . 4 - ‫جدوال‬ ‫أنشئ‬ ‫ل‬ ‫التفاعل‬ ‫تقدم‬ . 5 - ‫األلمنيوم‬ ‫لشوارد‬ ‫المولي‬ ‫التركيز‬ ‫عن‬ ‫التعبير‬ ‫يمكن‬ ‫أنه‬ ‫بين‬ Al3+ ‫بالعالقة‬ : [ ] V . V 3 ) H ( V 2 = Al M 2 + 3 ‫التجربة‬ ‫شروط‬ ‫في‬ ‫المولي‬ ‫الحجم‬ ‫حيث‬ : VM = 24 L/mol . 6 - ‫المنحنى‬ ‫أرسم‬ ‫ثم‬ ‫السابق‬ ‫الجدول‬ ‫أكمل‬ [ ] ) t ( f = Al + 3 ‫التالي‬ ‫الرسم‬ ‫سلم‬ ‫بأخذ‬ : 1 cm → 50 s ، 1 cm → 10-2 mol/L 7 - ‫أ‬ - ‫للتفاعل‬ ‫الحجمية‬ ‫السرعة‬ ‫أحسب‬ ‫في‬ ‫اللحظة‬ t = 0 ، ‫ھ‬ ‫تتطور‬ ‫كيف‬ ‫السرعة‬ ‫ذه‬ ‫مع‬ ‫؟‬ ‫الزمن‬ ‫التعليل‬ ‫مع‬ . 8 - ‫شوارد‬ ‫نعاير‬ ‫التفاعل‬ ‫نھاية‬ ‫في‬ H3O+ ‫الصوديوم‬ ‫ھيدروكسيد‬ ‫محلول‬ ‫بواسطة‬ ‫المتبقية‬ ) Na+ + HO- ( ‫تركيزه‬ ‫المولي‬ Cb = 0.15 mol/L ‫حجم‬ ‫إضافة‬ ‫عند‬ ‫المزيج‬ ‫لون‬ ‫فيتغير‬ ، ‫مناسب‬ ‫ملون‬ ‫كاشف‬ ‫بوجود‬ VbE = 20 mL ‫من‬ ‫الصوديوم‬ ‫ھيدروكسيد‬ ‫محلول‬ . ‫أ‬ - ‫م‬ ‫الملون‬ ‫الكاشف‬ ‫استخدام‬ ‫من‬ ‫الھدف‬ ‫ھو‬ ‫ا‬ . ‫ب‬ - ‫مادة‬ ‫كمية‬ ‫أوجد‬ H3O+ ‫السابق‬ ‫التفاعل‬ ‫من‬ ‫المتبقية‬ ) Al ‫مع‬ H3O+ ( ‫النھائي‬ ‫التقدم‬ ‫قيمة‬ ‫حدد‬ ‫ثم‬ xf . ‫جـ‬ - ‫األلمنيوم‬ ‫كتلة‬ ‫أحسب‬ m0 ‫التجربة‬ ‫في‬ ‫المستعملة‬ . 9 - ‫أوجد‬ ‫التفاعل‬ ‫نصف‬ ‫زمن‬ t1/2 ‫أھميته‬ ‫حدد‬ ‫ثم‬ . ‫يعطى‬ : M(Al) = 27 g/mol .
  • 8.
  • 9.
  • 10.
  • 11.
  • 12.
    : 1! 234 ،6 ! ، 7 ,- . 9 :# : ; + 1. + ‫األول‬ ‫التمرين‬ Sujet : 2AS 02 - 01
  • 13.
  • 14.
  • 15.
  • 16.
  • 17.
    : 1! 234 ،6 ! ، 7 ,- . 9 :# : ; + 1. +
  • 18.
  • 19.
  • 20.
  • 21.
  • 22.
    : 1! 234 ،6 ! ، 7 ,- . 9 :# : ; + 1. +
  • 23.
  • 24.
  • 25.
  • 26.
  • 27.
    : 1! 234 ،6 ! ، 7 ,- . 9 :# : ; + 1. +
  • 28.
  • 29.
  • 30.
  • 31.
  • 32.
    : 1! 234 ،6 ! ، 7 ,- . 9 :# : ; + 1. + ‫التمرين‬ ‫الثاني‬ Sujet : 2AS 02 - 01
  • 33.