Відділ освіти , молоді та спорту
Чемеровецької районної державної адміністрації
Районний методичний кабінет
( Дидактичні матеріали )
Шановні колеги !
У 2014 -2015 навчальному році педагоги та учні України
працюватимуть за новою програмою , затвердженою
Міністерством освіти і науки, молоді та спорту України
наказ Міністерства освіти і науки, молоді та спорту України
від 06.06 2012 р. № 664 «Про затвердження навчальних програм
для загальноосвітніх навчальних закладів ІІ ступеня»
Творча група вчителів біології Чемеровецького району
Хмельницької області при відділі освіти Чемеровецької РДА
пропонує підбір дидактичних матеріалів , що дозволить
швидко та якісно підготуватись до уроку , враховуючи
особистісно-орієнтований та діяльнісний підхід у викладанні
біології .
Даний комплект рекомендується для використання
вчителями біології. Використання посібника можливе
вчителями природознавства, географії, екології та керівниками
гуртків природничого циклу.
Урок 1
( Додаток 1А )
Заповніть схему
( Додаток 1 Б )
Виконайте завдання. Дай відповідь на запитання:
1. Що вивчають різні біологічні науки
Наука Предмет вивчення
( Додаток 1В )
1. Ботаніка – наука про тварин.
2. Біологія – наука про живі організми.
3. Анатомія – наука про особливості будови організму.
4. Мікробіологія вивчає гриби.
5. Біос з латинської мови означає ботаніку.
6. Термін « Біологія» в науку ввів Ламарк.
7. Зоологія – наука про тварин.
8. Різноманітність організмів вивчає систематика.
9. Вернацький є українським вченим
10.Біологія тісно пов’язана з хімією.
11.Знання з біології потрібні людині.
12.Мікологія – наука про гриби.
Урок 3
Додаток 3А
Біологія як наука
Предмет вивчення Галузі використання
Додаток 3Б
Дайте характеристику одному з царств живої природи.
Описати до якого царства належить даний організм.
Урок 4
Додаток 4А
Завдання з вибором однієї правильної відповіді
1. Позначте компоненти середовища життя (існування) живих організмів,
А Чинники неживої природи;
Б інші живі організми;
В чинники неживої природи та інші живі організми.
2. Рослина має назву Люпин повзучий. Перше з цих двох слів - де назва:
А виду;
Б роду;
В відділу;
Г царства
3. Позначте одиницю, яка є основною у систематиці.
А Рід;
Б вид;
В клас;
Г відділ;
Д царство.
4. Позначте науку, яка досліджує різноманітність живих організмів нашої
планети.
А Ботаніка;
Б мікробіологія;
В систематика
Завдання з вибором кількох правильних відповідей
5. Позначте науки, що вивчають життя.
А Ботаніка;
Б зоологія;
В математика;
Г мікологія;
Д фізика.
6. Більшість лікарських речовин отримують з:
А рослин, грибів, тварин;
Б продуктів життєдіяльності
бактерій;
В нафти і газу.
7. Позначте середовища існування живих організмів.
А Наземно-повітряне;
Б країна;
В водне;
Г ґрунт;
Д область;
Е самі живі організми.
8. Позначте правильні твердження.
Наукові назви видів складаються з двох слів.
Класифікувати організм - це визначити його місце в системі органічного
світу.
Біологія вивчає неживу природу.
На Землі є чотири основні середовища життя.
Процеси життєдіяльності організмів вивчає анатомія.
Тип - це найвищий таксон у царстві Рослини.
Завдання на встановлення відповідності
9. Установіть відповідність між терміном і його визначенням.
1 Група організмів, подібних за будовою, які можуть схрещуватися і давати
плідне потомство.
2 Частина природи, де мешкають організми і звідки вони отримують
поживні речовини.
3 Групи організмів, об'єднані за особливостями будови.
4 Вивчає належність організмів до тієї чи іншої систематичної одиниці.
А Систематичні одиниці
Б Систематика
В Вид
Г Середовище існування
Завдання на встановлення логічної послідовності
10. Установіть логічну послідовність розміщення систематичних одиниць у
системі живої природи.
А Відділ;
Б порядок;
В вид;
Г рід;
Д царство;
Е родина;
Ж клас.
1 2 3 4 5 6 7
А
Б
В
Г
Додаток 4Б
1 група
З’єднайте стрілками методи досліджень у біології та предмети її
вивчення:
2 група
Які методи наукового дослідження використовують для вивчення
біологічних об’єктів?
3 група
Чим відрізняються описові та експериментальні методи дослідження?
4 група
Навіщо потрібні теоретичні методи дослідження?
мікроскопія
спостереження
вимірювання
зважування
збір гербарію
електронна
мікроскопія
склад рослинного покриву
зовнішня будова листка
урожайність пшениці
початок цвітіння конвалії
внутрішня будова листка
будова вірусу
Урок 5
Додаток 5А
1. Графічний диктант.
(Поставити знак + , якщо твердження правильне, знак - , якщо “ ні”).
1) Цитологія – наука про будову і функції клітини.
2) Клітина – найменша структурна і функціональна одиниця живого.
3) Усі організми мають клітинну будову.
4) Ззовні клітина оточена мембраною.
5) Всередині клітина заповнена цитоплазмою.
6) У всіх рослинних організмів клітини мають ядро .
7) Цитоплазма складається з води ( близько 80 ), органічних та
неорганічних сполук.
8) У ядрі містяться носії спадкової інформації про клітини та весь
організм в цілому.
Урок 6
Додаток 6А
Підпишіть малюнок.
Додаток 6Б
Заповнення таблиці.
Методи цитологічних досліджень.
Методи цитологічних досліджень Сутність методу
Урок 7
Додаток 7А
Додаток 7Б
КРОСВОРД "МІКРОСКОП
По горизонталі:
1 — трубка, в яку вставлено головні
частини мікроскопа;
2 — частина мікроскопа, до якої, серед
іншого, кріпиться предметний столик;
3 — один із типів сучасних мікроскопів.
По вертикалі:
4 — одна з головних частин мікроскопа;
5 — один із типів сучасних мікроскопів.
Урок 8
Додаток 8А
Запитання:
І Як називаються дрібні пухирці м'якоті перестиглого кавуна, видимі за
допомогою лупи?
2.У скільки разів збільшує ручна лупа?
3.Яка частина лупи є головною?
4.На чому закріплений тубус мікроскопа?
5.Як називається частина мікроскопа, на якій закріплюють об'єкт для
дослідження?
6.Чим вловлюють світло, щоб просвітити об'єкт?
7.Який прилад ви використовували для розгляду клітин шкірочки цибулі?
8.Що є головною частиною мікроскопа?
9.У яку частину мікроскопа вставлені збільшувальні лінзи?
Ю. Як називається система лінз, яка розміщена на верхівці тубуса? П. Як
називається система лінз, які направлені на предмет, що розглядається?
12. Як називається деталь мікроскопа, за допомогою якої піднімають
і опускають тубус?
13. Як називається тонкий зріз об'єкта, який розглядають під
мікроскопом?
14. Як правильно встановити мікроскоп на робочому столі?
15. Чим закріплюють предметне скельце на предметному столику?
16. Куди потрібно прибрати мікроскоп після роботи?
Урок 9
Додаток 9А
1.Клітина - це ... .
2.Розрізняють два основних типи клітин:... .
1.Вперше мертві клітини побачив у... році вчений... за допомогою
сконструйованого ним приладу... .
3.Живі клітини вперше побачив ... у... році.
Додаток 9Б
Як називається:
1. Група клітин, які мають однакову будову і виконують однакові
функції.
1.Збільшувальний прилад для розгляду будови клітин.
2.Ниткоподібні структури, видимі в ядрі при поділі клітини.
3.Безбарвна в'язка жива речовина клітини.
4.Порожнина клітини, заповнена клітинним соком.
5.Щільне тільце, яке знаходиться у цитоплазмі.
6.Назва лабораторного обладнання, на який кладуть об'єкт для дослідження.
8. Дуже тонка прозора пластинка, якою накривають
Урок 10
Додаток 10А
Розглянути малюнок. Записати назви органоїдів.
Додаток 10Б
Розглянути проблемні запитання.
1. Чим схожі мітохондрії і хлоропласти? Як ви думаєте, чому деякі вчені
вважають, що колись ці органели були бактеріями, які вселилися в
еукаріотичну клітину?
2. Назвіть подібні й відмітні ознаки рослинної і тваринної клітин.
3. Чи можуть фотосинтезувати червоні пелюстки троянди? Чому?
4. Чому одноклітинні тварини мають скоротливі вакуолі, а клітини рослин —
ні? Який компонент рослинної клітини дозволяє їй обходитися без
скоротливих вакуолей?
5. Червоний пігмент коренеплоду буряка міститься у вакуолях клітин, а
оранжевий пігмент моркви — у хромопластах. Поясніть, чому під час варіння
буряка його пігмент яскраво забарвлює воду, а моркви — колір води
практично не змінюється і лише трохи стає жовтуватим?
Урок 11
Додаток 11 А
Розглянути клітини м'якоті плода кавуна, листка валіснерії, шкірочки цибулі,
листка бегонії. Порівняти їх будову, вказати, у чому їхня подібність і
відмінність.
Клітина листка
бегонії
5
З
2
4
Клітина
м'якоті
плода
кавуна
5
З
4
Клітин
а листка
валіснерії
Клітина шкірочки
цибулі
Урок 12
Додаток 12А
Переписати текст, вставляючи пропущені слова.
Клітина зовні має міцну.... Під... розміщена жива безбарвна напіврідка речовина
—..., в якій знаходиться округле або овальне тільце — .... У цитоплазмі розміщені
порожнини — ..., заповнені..., і багаточисельні дрібні тільця - ... . Зелені пластиди
називаються... .
Додаток 12 Б
На малюнку зображені різні стадії поділу клітини. Записати назви стадій поділу
клітини відповідно до цифр 1-8.
2 група Які зміни перетерплює клітина в процесі своєї життєдіяльності?
а)___________________________________________
б)___________________________________________
в)___________________________________________
Чим відрізняється молода клітина від старої?
Клітина шкірочки цибулі та її зміна
5 6 7
8
2..
( Додаток 12 В )
Нижче перераховані різні терміни і поняття:
а)цитоплазма; ж ) хромосоми;
б) дезоксирибонуклеїнова кислота; з ) генетика;
в)електронний мікроскоп; і) соматичні клітини;
г) органоїд, або органела; к ) диплоїдний набір;
д)гаплоїдний набір; л ) гамети.
е)цитологія;
Вказати, які з записаних нижче означень відповідають кожному з цих
термінів.
1. Наука про клітину.
2. Прилад, який дозволяє детально вивчати внутрішню будову органоїдів
клітини.
3. Структури ядра, що несуть спадкову інформацію і виявляються під час поділу
ядра.
4. Оформлений структурний елемент клітини.
5. Структура, яка здатна рухатись.
6. Наука, що досліджує закономірності передачі спадкових ознак.
7. Спеціальна речовина, в якій закодовані всі ознаки даного організму.
8. Набір хромосом статевої клітини.
9. Клітини тіла організму.
10. Набір хромосом соматичної клітини.
11. Спеціальні клітини, які беруть участь у заплідненні.
Урок 13
Додаток 13А
Метод "Мікрофон".
1. Що вивчає наука цитологія?
2. Розгадування цитологічного кросворду.
Ц
1 И
2 Т
3 О
4 Л
5 О
6 Г
7 І
8 Я
1. Основна структурно-функціональна одиниця всіх живих організмів.
2. Учення про будь-яку галузь знань чи явищ життя, створене на основі
узагальнення.
3. Оптичний прилад, за допомогою якого вивчають клітини.
4. Головні частини світлових мікроскопів.
5. Об’єкт, розглядаючи який, англійський фізик Роберт Гук відкрив
клітинну будову рослинних тварин.
6. Оформлений структурний елемент клітини.
7. Організми, клітини яких утворюють тканини, органи та їх системи.
8. Органоїд клітини, що контролює всі процеси в ній і забезпечує
передачу спадкових ознак.
Урок № 14
Додаток 14 А
І рівень.
1.Усі організми складаються з клітин: а) так; б) усі, крім вірусів; в) ні.
2. Виберіть пластиди, що надають клітині зеленого кольору:
А) лейкопласти;
Б) хромопласти;
В) хлоропласти;
Г) правильна відповідь відсутня.
3.Вкажіть науку, яка вивчає будову клітини:
А) біологія; Б) ботаніка;
В) анатомія;
Г) цитологія
4.Вкажіть прилади, які використовують при вивченні клітини:
А)телескоп; Б) лупа;
В)терези; Г) мікроскоп.
5. Напіврідкий внутрішній уміст клітини називається:
А цитоплазма;
Б ядро;
В хромосома;
Г органела.
6. Наука, що вивчає клітини, називається:
А цитологія;
Б біохімія;
В анатомія;
Г морфологія.
ІІ рівень
1.Допишіть речення:
Клітина - це_______________________________
2.Підпишіть будову рослинної клітини:
1. На якому малюнку зображено представника царства Рослини?
1 2
3
ІІІ рівень
1. Встановіть
відповідність
Ядро а) внутрішнє середовище клітини,
Цитоплазма б) носій спадкової інформації;
Хлоропласти в) захисна, бар'єрна функції, обмін
речовин;
Вакуоля Г) визначає фізичні властивості клітини;
2. Укажіть відповідність між цифрами на малюнку і частинами клітини
(один варіант зайвий).
А ядро;
Б вакуоля;
В хлоропласт;
Г цитоплазма.
ІУ рівень
1. Чому клітина гине, коли з неї видалити ядро?
2. Поясніть, чому клітину вважають одиницею життєдіяльності рослинного
організму.
Б
Урок 15
Додаток 15 А
Біологічний диктант .
Рослинний організм має ------------ будову . Ззовні клітини є щільна
------------. Крізь --------------- відбувається обмін речовин між ------------ і
------------ , що її оточує. Під ------------- розташовані ----------- та --------------- .
Цитоплазма – це … . В цитоплазмі розміщуються --------------: ----------,
---------- . Основними особливостями будови рослинної клітини є наявність
---------
Додаток 15 Б
Лабораторні дослідження
Спостереження інфузорій.
Мета :ознайомитися з будовою інфузорії у природному середовищі, а також
на постійних мікропрепаратах. Повторити прийоми роботи з мікроскопом.
Хід роботи
1.Підготуйте мікроскоп до роботи.
2. Розмістіть краплю води, взятої з акваріума на предметному склі.
3.Не накриваючи покривним скельцем помістіть скло під об’єктив.
4.Спочатку знайдіть об’єкт вивчення при малому збільшенні ,а потім при
великому.
5.Визначте форму тіла найпростіших ,їх спосіб пересування.
6.Капніть ще одну краплю води і сполучіть дві краплі між собою. В одну з
них киньте кристалик солі. Що ви спостерігаєте ?Де зібрались всі
найпростіші ?Як ви можете пояснити це явище?
7.Розгляньте будову різних найпростіших на постійних мікропрепаратах
Знайдіть ядро, скоротливу вакуоль, травні вакуолі.
Додаток 15 В
Методична система « Поміч»
Учні читають текст і роблять позначки:
У – я це знаю;
+ - нова інформація для мене
- - суперечить тому, що я знаю
? – дивує мене.
Додаток 15 Г
Аналіз опрацьованого тексту. Складання характеристика організму.
Наприклад
Підцарство Найпростіші.
Відомо – 70 тис.
Одноклітинні.
Розміри – 2 – 150 мкм.
Поширені у водоймах, грунтах, є паразитичні види.
Здатні до руху, дихання, живлення, виділення , розмноження.
Додаток 15 Д
Інтелектуальна гра « Впізнай організм»
Робота з німими малюнками. Впізнай організм, назви його та дай йому
характеристику
Урок 16
Додаток 16 А
Приклади сенканів
Амеба
Маленька, непостійна
Плаває, пожирає, інцистується
Здатна до фагоцитозу – захоплює тверді частинки.Клякса.
Інфузорія
Одноклітинна, туфлеподібна
Рухається, дихає, розмножується
Має два ядра –велике і мале
Підошва.
Евглена
Видовжена, зелена
Плаває, фотосинтезує, поглинає
Має яскраво чутливе вічко
Джгутиконосець
Додаток 16 Б
«Створи свою квітку.»
На пелюстках написати значення і прикмети найпростіших.
?
Значення найпростіших
Додаток 16 В
Біологічний диктант
Знаком «+» учні позначають правильні твердження , « -»- неправильні
1. Органелою руху інфузорії є джгутик.
2. Найпростіші належать до еукаріотів.
3. У багатьох найпростіших травлення відбувається у травних вакуолях.
4. Найпростіші живуть тільки у водному середовищі.
5. Статевий процес кон’югація властивий інфузорії – туфельці.
6. Завдяки пелікулі амеба протей має сталу форму тіла.
7. За несприятливих умов найпростіші вкриваються спорою.
8. Неперетравлені рештки в інфузорії виводяться через рот.
9. На світлі в евглени зеленої відбувається фотосинтез.
10.Інфузорія - туфелька – це хижак.
11.Амеба звичайна захоплює їжу шляхом фагоцитозу.
12.Носієм спадкової інформації у найпростіших є ядро.
( Діти обмінюються зошитами і здійснюють взаємоперевірку за ключем.
Додаток 16 Г
Ключ до біологічного диктанту
1 2 3 4 5 6 7 8 9 10 11 12
- + + - + - - - + + + +
Урок 17
Додаток 17 А
Проблемне завдання про переваги одних найпростіших над іншими.
Амеба протей найкраще пристосована тому що…
Інфузорія туфелька- найбільш організована серед усіх найпростіших…
Евглена зелена найкраще пристосована тому що…
Додаток 17 Б
Створення міні – проекту по проблемі: (робота в групах)
1. Хвороби, викликані дизентерійною амебою.
2. Хвороби, викликані малярійним плазмодієм.
Проект готується за планом: середовище існування одноклітинного
організму; ознаки хвороби, викликані найпростішим; заходи профілактики
.
Додаток 17 В
3. *Вправа « Логікон» ( змагання між групами за бажанням учнів)
1 - ? 3 - ? 5 - ? Лямблії 7 - ? 8 - ?
2 -? Укус
малярійного
комара
У разі
контакту зі
свинями
6 - ? Через
статеві
контакти
Укус
мухи це
– це
Дизентерія 4 - ? Балантидіо
з
Лямбліоз Трихомоніаз 9 - ?
Додаток 17 Г
4. Ключ до вправи «Логікон»: 1. – дизентерійна амеба; 2 – через рот з
брудом, де є цисти амеби; 3 – малярійний плазмодій; 4 – малярія; 5 –
інфузорія балантидій; 6 – через рот з брудною водою і продуктами; 7 –
трихомонада; 8 – трипаносома; 9 – сонна хвороба
Урок 18
Додаток 18 А
« Відстрочена відгадка». Проблемні запитання:
1. Які основні процеси життєдіяльності рослин?
2. Що є елементарною структурною одиницею рослин?
3. Що таке клітина?
4. Що утворюють групи однакових за будовою і функцією клітини?
5. Які тканини рослинних організмів вам відомі?
6. Назвіть органи рослин, які є на гербарних зразках.
Додаток 18 Б
Експрес –тести.
1.Як називається наука, що вивчає водорості?
а) ботаніка
б) цитологія
в) альгологія
г) мікробіологія
2. Водорості живуть у середовищі
а) водному
б) на сухих ділянках суші
в) на вологих ділянках суші
г) на суходолі.
3. За будовою водорості бувають:
а) тільки одноклітинні
б) тільки багатоклітинні
в) одноклітинні, колоніальні, багатоклітинні
4. За типом живлення водорості є:
а) сапротрофи
б) автотрофи
в) гетеротрофи
Додаток 18 В
* «Розгадай процес» Який процес ви бачите на малюнку? Поясніть його.
Урок 19
Додаток 19А
Гра « Політ фантазії». Кожен учень може висловити свою думку.
Відповіді повинні починатися:
- Я думаю, що …
- На мою думку…
- Тому що …
Додаток 19 Б
Проблемні запитання до гри « Політ фантазії»
1.Які зелені водорості зустрічаються у прісних водоймах України?
2.Чому хламідомонада відноситься до нижчих рослин.
1. Встановіть співвідношення:
А. Одноклітинні зелені водорості а) улотрикс
Б. Багатоклітинні зелені водорості б) хлорела
в) спірогира
г) ламінарія
д) хламідомонада
Додаток 19 В
«Цікаво знати». Розпізнай дріжджі. За якими ознаками ви їх впізнали.
Урок 20
Додаток 20 А
Гра « Напиши книгу» .Завдання
Підготуйте для відповідних сторінок інформацію про:
1. Будова бактеріальної клітини.
2. Поширення бактерій в природі, їх середовища існування.
3. Розмноження бактерій.
4. Роль бактерій у природі та значення в житті людини
Додаток 20Б
Особливості процесів життєдіяльності бактерій.
Тип
живлення
Автотрофи Гетеротрофи
Фототрофи Хемотрофи Сапротрофи Паразити Симбіонти
Додаток 20 В
Заповнити таблицю "Характеристика морфологічних груп
бактерій".
Морфологічні групи бактерій
1. Кулькоподібні коки
2. Циліндричні бацили
3. Спіральні:
а) вібріони
б) спірили
в) спірохети
Тип диханняТип дихання
АеробиАероби АнаеробиАнаероби
Урок 21
Додаток 21 А
Експрес-тести.
1. Бактерія має будову:
а) одноклітинну; б) багатоклітинну.
2. До складу бактеріальної клітини входять:
а) оболонка; б) ядро; в) пластиди; г) цитоплазма; д) джгутики; ж) слизова
оболонка.
3. Для бактерій характерний спосіб живлення:
а) фотосинтез; б) сапротрофний; в) гетеротрофний; г) паразитичний; д)
автотрофний.
4. Бактерії розмножуються:
а) спорами; б) поділом клітин; в) вегетативно.
5. За несприятливих умов бактерії перетворюються:
а) бактеріальні спори; б) цисти; в) пилкові зерна; г) насінини.
6. Кулясту форму мають клітини бактерій, які належать до групи:
а) бацил: б) вібріонів; в) стафілококів; г) коків.
Додаток 21 Б
Завданнями міні – проекту « Корисний йогурт».
І група « Історики»- досліджують історичні відомості про вживання
кисломолочних продуктів.
ІІ група «Дієтологи» - досліджують значення кисломолочних
продуктів, а саме йогурту для організму людини.
ІІІ група «Географи» - встановлюють поширеність вживання
йогуртів в різних країнах.
ІУ група «Технологи» - досліджують способи приготування
йогуртів.
Додаток 21 В
"Мікрофон".
• Сапротрофні бактерії спричиняють …
• Бактерії-паразити є збудниками …
• Бактерії, що живуть у ґрунті забезпечують …
• Паразитичні види бактерій спричиняють …
• Хвороботворні бактерії можуть переносити …
• Бульбочкові бактерії оселяються на …
Урок 22
Додаток 22А
Парадоксальна розповідь.
Найбільш суттєва різниця між одноклітинними і багатоклітинними
організмами полягає в характері харчування. Одноклітинні засвоюють
потрібні їм речовини прямо з навколишнього середовища використовуючи
енергію сонця . Важливу роль при цьому відіграють вакуолі в яких міститься
хлорофіл. Цей процес називається хемосинтез. Багатоклітинні тварини
являються сукупністю мільйонів однакових клітин , що живуть разом .
Кожна така клітина може існувати самостійно. За характером живлення вони
є автотрофи – тобто живляться готовими органічними речовинами, поїдаючи
рослини або інших тварин.
Додаток 22Б
«Розпізнай організм». Поясни, за якими ознаками ви їх розпізнали
1
2 3
Додаток 22В
«Продовж думку»
1. У багатоклітинних організмів кожна окрема клітина …
2. Переважна більшість губок живуть у ….водоймах.
3. Губки можуть розмножуватись….
4. Вольвокс – це ….організм
5. Ульва відноситься до царства ….
Урок 23
Додаток 23 А
І рівень
1.Тіло одноклітинних організмів виконує:
а) одну функцію б) декілька функцій в) усі функції
2.Для евглени зеленої характерні типи живлення:
а) мікотрофне б) автотрофне в) гетеротрофне
3 .Гриби – організми:
а) тільки одноклітинні; б) тільки багатоклітинні; в) як одноклітинні так і
багатоклітинні.
Вкажіть правильну відповідь («так» чи «ні»):
4. Водорості живуть тільки у воді.
5.Водорості живуть тільки в солоній воді.
6.Серед водоростей є одноклітинні й багатоклітинні
ІІ рівень
1. Під час сходження тіста дріжджі масово розмножуються:
а) брунькуванням; б) спороутворенням; в) статевим способом; г) різними
способами.
2.Основними відділами водоростей є:…
3.Хлоропласт у хламідомонади має форму…
4. Завдяки діяльності молочнокислих бактерій виробляють:
а) вершкове масло; б) вершки; г) йогурт.
5. Терміном "міцелій" у грибів називають:
а) грибницю; б) шапку на ніжці; в) спосіб розмноження.
6. Гриби можуть зростати:
а) тільки у воді; б) тільки всередині іншого організму; в) тільки у
ґрунті; г) у всіх перелічених вище умовах
III рівень.
1. Хламідомонада за несприятливих умов життя:
а) розмножується простим поділом;
б) відкидає джгутики;
в) розмножується статевим способом;
г)припиняє фотосинтез.
2. Водорості живляться:
а)синтезуючи необхідні речовини під час фотосинтезу;
б)вбираючи поживні речовини з води;
в) вбираючи поживні речовини з дна водойм.
3.Встановіть співвідношення:
1. Циста а) захист клітин;
2. Капсула б) збереження спадкової інформації;
3. Ядерна речовина в) перенесення несприятливих умов.
IV рівень.
(На вибір)
1.Доведіть, що одноклітинна водорість є окремим організмом.
2. Як слід поводити себе, щоб запобігти бактеріальним захворюванням?
Урок 24
Додаток 24 А
Запитання для бесіди.
1. Що вивчає біологія?
2. Які галузі біології ви знаєте?
3. З якими науками біологія має тісний зв’язок?
4. Які українські вчені зробили суттєвий внесок у розвиток сучасної
біології?
5. Яка галузь біології вивчає класифікацію і номенклатуру живих
організмів?
Додаток 24 Б
Порівняльна характеристика царств живих організмів,
які розглядаються в межах шкільної програми.
Царство Які
організми
включає
Особливості будови й
життєдіяльності
Віруси Віруси Неклітинна форма життя.
Можуть розмножуватися тільки
в клітинах інших організмів
Дроб’янки Бактерії,
ціанобактерії
У клітинах немає ядра.
Відрізняються значним
різноманіттям біохімічних
Царство Які
організми
включає
Особливості будови й
життєдіяльності
процесів у клітинах
Гриби Гриби У клітинах є ядра. Необхідні для
життя
речовини поглинають з
навколишнього
середовища через поверхню тіла.
Потрібні для організму сполуки
синтезують за рахунок готових
органічних речовин
Рослини Водорості,
вищі спорові
рослини,
насінні
рослини
У клітинах є ядра. Необхідні для
життя
речовини споживають із
навколишнього середовища з
допомогою травної системи.
Потрібні для організму сполуки
синтезують з неорганічних
речовин, використовуючи
енергію світла
Тварини Найпростіші,
безхребетні
тварини,
хребетні
тварини
У клітинах є ядра. Необхідні для
життя
речовини поглинають з
навколишнього
середовища через поверхню тіла.
Потрібні для організму сполуки
синтезують за рахунок готових
Царство Які
організми
включає
Особливості будови й
життєдіяльності
органічних речовин
Додаток 24 В
Дати відповіді на питання .
Який учений заклав основи сучасної систематики?
Що таке таксон?
Яка систематична категорія є найдрібнішою?
Які царства живих організмів ви знаєте?
Урок 25
Додаток 25 А
Заповнити таблицю.
Питання для порівняння Фотосинтез Дихання
1.Вихідні речовини
2. У яких клітинах
відбувається
3. Енергія витрачається
чи вивільняється
4. Кінцеві речовини
5.У який час доби
відбувається
Урок 26
Додаток 26 А
Тестова перевірка навчальних досягнень:
1. Фотосинтез у клітинах рослин відбувається в :
А) ядрі, б) хлоропластах, в) вакуолях.
2. Під час фотосинтезу рослини поглинають:
а) кисень, б) вуглекислий газ, в) органічну речовину.
3. Під час фотосинтезу рослини виділяють:
а) кисень, б) вуглекислий газ.
4. Процес фотосинтезу відбувається тільки при сонячному світлі, а при
штучному – ні :
а) так, б) ні, в) власний варіант відповіді.
5. Під час дихання рослини поглинають :
а) кисень, б) вуглекислий газ.
6. Під час дихання рослини виділяють :
а) кисень, б) вуглекислий газ.
Додаток 26 Б
Вправа “Лови помилку “
( Учитель пропонує твердження , діти реагують оплеском , якщо
твердження неправильне .
Наприклад : Мінеральне живлення – це надходження та засвоєння з
грунту розчинених у воді неорганічних та деяких органічних речовин.
Органічні добрива – це азотні , фосфорні, калійні.
Добрива можна вносити в грунт в необмеженій кількості
Урок 27
Додаток 27А
Заповнити таблицю
Основні частини клітини Будова і функції
1. Оболонка Обмежує її вміст , захищає її від
несприятливих впливів довкілля
2. Цитоплазма Містяться органели
3. Пластиди Накопичуються запасні поживні
речовини
4. Вакуолі Підтримують тиск всередині клітини,
сприяють збереженню її сталої форми
5. Ядро Носій спадкової інформації
6. Клітинні включення Тимчасові утвори
7. Хлоропласти Відбувається фотосинтез
Додаток 27 Б
“ Карусель”:
( Клас об’єднується в 2 ланки , у кожній з яких утворюються пари ( 2ряди
парт та пари учнів , що сидять за однією партою.) Склад ланок є постійним ,
пари змінні , з одного боку ряду діти сидять на своїх місцях , а з іншого
пересідають , рухаючись уздовж ряду. Ланки отримують однаковий пакет
завдань , а кожна пара працює над якимось одним питанням. Учні в парах
разом обговорюють своє завдання, по завершенню склад пар змінюється. У
новоутворених парах діти діляться один з одним інформацією, якою вони
оволоділи під час роботи у першій парі . Вправа продовжується до тих пір ,
доки не утворяться початкові пари.)
Завдання для ланок: “Будова і функції основних частин рослинної
клітини”:
1 пара - будова і функції оболонки
2 пара - будова і функції цитоплазми
3 пара - будова і функції ядра
4 пара - основні органели клітини , їх функції.
Додаток 27 В
Графічний диктант.
(Поставити знак + , якщо твердження правильне, знак - , якщо “ ні”).
1.Цитологія – наука про будову і функції клітини.
2.Клітина – найменша структурна і функціональна одиниця живого.
3.Усі організми мають клітинну будову.
4.Ззовні клітина оточена мембраною.
5.Всередині клітина заповнена цитоплазмою.
6.У цитоплазмі містяться лише пластиди і вакуолі.
7.У всіх рослинних організмів клітини мають ядро .
8Цитоплазма складається з води ( близько 80 ), органічних та
неорганічних сполук.
9.У ядрі містяться носії спадкової інформації про клітини та весь організм
в цілому.
10.Клітинні включення є постійними утворами в цитоплазмі.
Урок 28
Додаток 28 А
Біологічний диктант
Рослинний організм має ------------ будову . Ззовні клітини є щільна
------------. Крізь --------------- відбувається обмін речовин між ------------ і
------------ , що її оточує. Під ------------- розташовані ----------- та --------------- .
Цитоплазма – це … . В цитоплазмі розміщуються --------------: ----------,
---------- . Основними особливостями будови рослинної клітини є наявність
--------- .
Додаток 28 Б
Використовуючи нижче названі особливості будови і функцій різних типів
тканин заповніть таблицю .
ТИПИ ТКАНИН Особливості будови Значення
Твірна
Покривна
Основна
Провідна
Механічна
Особливості будови :
1) складаються з живих або мертвих клітин з міцною клітинною
оболонкою;
2) складаються з живих дрібних клітин , які мають тоненькі стінки та
великі ядра ;
3) утворені зімкнутими живими або мертвими клітинами , які вкриті
захисними речовинами;
4) утворені живими або мертвими видовженими клітинами , стінки яких
мають дрібні отвори ;
5) складаються з живих клітин і добре розвинених міжклітинників.
Значення :
1) забезпечують висхідний та низхідний плин речовин ;
2) надають рослинні пружності та підтримують її органи в певному
положенні ;
3) дають початок іншим типам тканин;
4) відмежовують органи рослин від зовнішнього середовища;
5) забезпечують фотосинтез, запасання поживних речовин та води
газообмін тощо.
Додаток 28 В
Продовж думку
- Основними органами рослин є …
- Органи поділяються на ….
- До вегетативних органів відносяться …
- До генеративних органів відносяться …
- Вегетативні органи забезпечують … розмноження .
- Генеративні органи забезпечують …
Урок 29
Додаток 29 А
Парадоксальна розповідь “
( Учні поділяються на 2 групи . Кожна з яких отримує конверт із текстом , де
необхідно знайти свідомо допущені вчителем помилки , і виправити їх .)
Корінь – це осьовий підземний орган рослини . Корінь слугує тільки для
забезпечення рослини розчинами мінеральних речовин . У кожної рослини є
головні та бічні корені . Додаткові корені виникають будь-де , чи то на стеблах ,
листках але тільки не на коренях . Коренева система – це сукупність додаткових
та головних коренів .
Кореневі системи бувають стрижневі , мичкуваті та змішані . У
стрижневій кореневій системі немає головного кореня або він слабо
розвинений . У мичкуватій кореневій системі виділяється головний корінь .
Людина не може впливати на формування кореневої системи у культурних
рослин
Додаток 29 Б
Заповніть таблицю :
Зона кореня Особливості будови Функції
Урок 30
Додаток 30 А
Метод “Мікрофон “:
1) Корінь – це …
2) Види коренів :…
3) Бічні корені – це корені , які ..
4) Коренева система – це сукупність …
5) Є два типи кореневих систем …
6) У мичкуватій кореневій системі ..
7) Стрижнева коренева система характеризується…
8) Мичкувату кореневу систему мають ..
9) У кореня виділяють такі зони …
10) Корінь виконує функції …
11) Пікірування кореня проводять , щоб …
12)Корінь у довжину росте за рахунок …
Урок 31
Додаток 31 А
Вправа „Доповни речення.”
1. Пагін – це комплексний орган, який
має................................................................
2. Пагін, на відміну від кореня,
має...........................................................................
3. Пагін розвивається
з...................................................................................................
Додаток 3 1 Б
Заповни таблицю „Значення складових частин пагона.”
№ Назва частини Функції частини пагона
1 Стебло
2 Листки
3 Бруньки
Додаток 31 В
Різноманітність стебел. ( Опорна схема)
Стебло - це...
Різноманітність Різноманітність стебел за
стебел за твердістю. спрямованістю росту.
Додаток 31 Г
Вивчення схеми внутрішньої будови стебла.
3. Лабораторна робота
Тема: Внутрішня будова стебла у зв'язку з його функціями.
Мета: Вивчити внутрішню будову стебла у зв'язку з його функціями,
поглибити знання учнів про тканини рослин.
Обладнання та матеріали: Набір поперечних зрізів стебел дерев'янистих
рослин, лупи.
Хід роботи.
1. Розгляньте поперечний зріз стебла та знайдіть кору, камбій, деревину
та серцевину.
2. Порівняйте зріз з малюнком підручника та вкажіть чим утворена
кора.
3. Знайдіть на зрізі камбій і вкажіть товщину цього шару та розміри
клітин.
4. Розгляньте шар зрізу, який розташований під камбієм. Чим
відрізняються клітини цього шару від інших?
5. Знайдіть серцевину.
6. Заповніть таблицю.
Таблиця. Будова і функції стебла.
№ Будова Взаємозв'язок будови і функцій.
1 Один шар щільно зімкнутих клітин, які
виконують захисну функцію.
2 Багатошарова мертва тканина, стінки клітин якої
просякнуті жироподібними
Речовинами і яка виконує захисну функцію.
3 Багатоклітинний шар з паренхім них живих
клітин, які мають тонкі оболонки,
що виконують захисну функцію та забезпечують
газообмін.
4 Тканина з дрібних тонкостінних клітин, здатних
швидко ділитися, за рахунок
якої відбувається потовщення стебла.
5 Тканина з мертвих порожнистих трубок.
6 Тканина з живих витягнутих трубок.
7 Шар з великих паренхімних тонкостінних
клітин, в яких про запас
відкладаються поживні речовини.
ВИСНОВОК: Стебло складається з таких тканин як........................................
Клітини стебла утворюють ..... основні шари...................................................
Кора виконує ........................... функцію, а камбій забезпечує ріст стебла
в.......................................................................... , деревина
забезпечує ................................................................ функції, а
серцевина................................. функцію. Транспорт речовин
здійснюють..........................................................
Урок 32
Додаток 32 А
Вправа „ КУТИ”.
(За кількістю кутів у класній кімнаті учні формують чотири групи
і обирають
поставлені завдання, які виконують і представляють.)
І. Зовнішня будова листка.
1 група.
Будова листка: 1.
2.
3.
4.
Функції листка:
- Фотосинтез – це.......................................................................
- Транспірація –це....................................................................
- Газообмін - це.......................................................................
2 група. Типи листкорозміщення:
1.......................................................................................
Наприклад:
2.......................................................................................
Наприклад:
3......................................................................................
Наприклад:
3 група. Різноманітність листків:
- за формою листкової
пластинки:................................................................................
- за формою країв листкової
пластинки......................................................................
за структурою:
прості:
черешкові - .........................................................................................................
сидячі - ...............................................................................................................
складні:
трійчасті - ...........................................................................................................
пальчасті - ...........................................................................................................
перисті - ..............................................................................................................
4 група. Жилкування листків:
- Сітчасте - ..............................................................................................................
Наприклад:........................................................................................................
- Дугове- .................................................................................................................
Наприклад:........................................................................................................
- Паралельне - ........................................................................................................
Наприклад:........................................................................................................
Додаток 32 Б
Демонстрування.
1.Розгляньте тимчасовий мікропрепарат шкірки листка традесканції чи
пеларгонії
у мікроскоп.
2. Знайдіть верхню та нижню шкірки, клітини фото синтезуючої тканини,
судинно-волокнистий пучок, міжклітинники.
3. Зробіть висновок.
Висновок: Листки зверху і знизу вкриті.....................................................
В шкірці розташовані ............................. , які забезпечують........................
Основу листка складають клітини.................................. , які містять............
......................... .Транспортну функцію в листку виконує............................
тканина, яка розташована у .......................................... пучках.
Додаток 32 В .
Експрес-тести.
1.У більшості рослин продихи розташовані: а) у верхній шкірці; б) у
нижній шкірці;
в) у верхній і нижній шкірці.
2. Функцію фотосинтезу виконують: а) епідерма; б) судини; в)
стовпчаста паренхіма.
3. Сидячими називають листки6 а) в яких не відбувається фотосинтез;
б) які не мають черешка; в) які повільно ростуть.
4. Складний листок відрізняється від простого тим, що: а)його листкова
пластинка розділена на лопаті; б) має кілька листкових пластинок на
одному черешку.
5. Жилки забезпечують у листках: а) механічний захист; б) запас
поживних речовин; в) транспорт води і поживних речовин; г)
фотосинтез.
6. Через продихи в листках відбувається: а) фотосинтез; б) газообмін; в)
дихання;
г) транспірація.
Урок 33
Додаток 33 А
Життя дерев в помірних широтах строго підпорядковане річному циклу. І
щоосені по цьому вічному природному "розкладу" у лісах, парках і садах
починається листопад. Явище для нас настільки звичне, що багато хто навіть
не замислюються, наскільки складний цей процесс, і яке мудре рішення
обрала природа для захисту рослин від холодів.
— природне явище опадання листків у рослин. Листки опадають масово в
певні періоди, або поступово протягом тривалого часу. В основі листопаду,
здебільшого лежать фізіологічні зміни в листках. Масовий листопад —
корисне пристосування до переживання періодів з несприятливими умовами
існування. У рослин помірних зон листопад відбувається восени, у більшості
рослин зон жаркого клімату — з настанням посушливого періоду. Перед
листопадом в листковій пластинці послаблюється обмін речовин і біля
основи її утворюється віддільний шар з паренхімних клітин, які легко
роз'єднуються. Місце прикріплення листка до пагона вкривається захисним
шаром корку. Під впливом ваги листка, атмосферних опадів і поривів вітру,
зв'язаний з листком судинно-волокнистий пучок розривається, і листок
відпадає. Іноді у відмираючих листків віддільний шар клітин не встигає
утворитися, і вони залишаються протягом тривалого часу на рослині.
Листопад , викликаний штучно, називається. дефоліацією.
Для чого потрібний деревам листопад?
Листки - це легені дерева. Без них неможливий фотосинтез - процес, що є для
рослини й подихом, і харчуванням одночасно. Найкраще фотосинтез
протікає, коли дереву досить світла й тепла. Тому з першими променями
весняного сонця вони починає розпускати юні клейкі листочки.
Але в зимові холоди листки стають тягарем. І перша причина, що спонукує
дерево позбутися від пишної крони - це недолік вологи й холод. Узимку
верхній шар ґрунту промерзає, і добувати з нього воду стає неможливо.
Листки випаровують дуже велику кількість вологи. Якби рослина не скинула
їх у зимові холоди, воно загинуло б від спраги.
Ще один вагомий привід позбутися від листя - зимові опади. Буває, навіть без
листів сніг і іній, налипаючи на гілки, своєю масою ламають дерево. А
уявіть, скільки такого вантажу накопичувалося би на листках! Деякі дерева
дожили б до весни в цілості й схоронності.
Підготовку до осіннього листопаду рослина починає заздалегідь. У серпні-
вересні на черешку листка виростає гладка перегородка - так званий
корковий шар. Збільшуючись в об’ємі , він поступово відокремлює черешок
від гілки. Якийсь час листок ще тримається за рахунок "водоносних"
посудин, однак варто налетіти легкому вітру, і він обпадає.
Вірною ознакою того, що листопад незабаром почнеться, є пожовтіння або
почервоніння листя. Це відбувається тому, що від недоліку денного світла не
встигає відновлюватися хлорофіл - речовина, що бере участь у процесі
фотосинтезу й забарвлює листок у зелений колір. Його поступово заміщають
інші речовини, листок змінює забарвлення.
Урок 34
Додаток 34 А
Додаток 1.Різноманіття видозмін наземних вегетативних органів
Видозміна
пагона
Особливості будови
Бульба Значно потовщений м’ясистий пагін. Має
лускоподібні листки (брівки), у пазухах яких
розташовані бруньки (вічка)
Столон Тонкий знебарвлений підземний пагін, на
якому формуються бульби
Цибулина Надземний або підземний укорочений пагін
з лускоподібними сухими або соковитими
листками і вкороченим стеблом
(денцем)
Кореневище Підземний пагін багаторічних рослин, який
зовні схожий на корінь. У пазухах
лускоподібних листків має бруньки
Колючки Тверді гострі пагони без листків або з
недорозвиненими
листками
Вусик Тонкий чіпкий пагін, який виходить з пазухи
листка
Соковите
стебло
Товстий м’ясистий пагін, пристосований для
накопичення і збереження великої кількості
Видозміна
пагона
Особливості будови
вологи
Додаток 34 Б
Різноманіття видозмін підземних вегетативних органів
Рослина
Тип
кореневої
системи
Наявні
види
коренів
Видозміни коренів
головного бічних
Пшениця
Морква
Буряк
Жоржина
Горох
Додаток 34 В
Лабораторна робота № 6. Видозміни вегетативних органів.
Мета: ознайомитися з різноманітністю пагонів і особливостями будови їх
видозмін.
Обладнання й матеріали: живі або гербарні зразки видозмінених пагонів
картоплі, цибулі, пирію, капусти, зошит, підручник.
Хід роботи
1. Розгляньте наявні у вас пагони рослин, знайдіть на них вузли й
міжвузля.
2. Розгляньте видозмінений пагін картоплі. Відмітьте особливості його
будови й занесіть їх у таблицю.
3. Розгляньте видозмінений пагін цибулі. Відмітьте особливості його
будови й занесіть їх у таблицю.
4. Розгляньте видозмінений пагін пирію. Відмітьте особливості його
будови й занесіть їх у таблицю.
5. Розгляньте видозмінений пагін капусти. Відмітьте особливості його
будови
й занесіть їх у таблицю.
6. Розгляньте видозміни коренів у моркви, буряка і жоржини.
6. Заповніть таблицю і зробіть висновок, у якому вкажіть, яке значення
для рослин мають видозмінені пагони.
Рослина
Видозміна пагона Особливості будови
видозміненого пагона
Картопля
Цибуля
Пирій
Капуста
Буряк
Морква
Жоржина
Урок 35
Додаток 35 А
Вправа «Пригадай»
1. Пригадайте , що забезпечує безперервність та наступність життя
організмів?
2. Які способи розмноження вам відомі?
3. Чому розмноження є важливою ознакою живих організмів?
Додаток 35 Б .
Опорна схема
Типи розмноження
Нестатеве Статеве
здійснюється спорами , здійснюється спеціалізованими
зооспорами, частинами тіла клітинами – гаметами)
Додаток 35 В .
Метод «Дискусії» .
• Яке біологічне значення має вегетативне розмноження?
• Які способи вегетативного розмноження ви застосовували на
присадибній ділянці чи з кімнатними рослинами?
Урок 38
Додаток 38 А
Лабораторна робота
Будова та різноманітність квіток
Мета: ознайомити з будовою квітки; довести , що квітка є органом
розмноження.
Обладнання і матеріали: гербарні колекції квіток рослин, квітки кімнатних та
декоративних рослин, підручник.
Хід роботи
1. Розгляньте квітку. Знайдіть квітконіжку, квітколоже, оцвітину, головні
частини квітки.
2. Розгляньте квітку, підрахуйте число чашолистків, пелюсток, тичинок,
маточок.
3. Визначте тип оцвітини, чашечки, віночка.
4. Розгляньте будову тичинки, пиляка за допомогою лупи.
5. Розгляньте будову маточки. Розріжте завязь упоперек, розгляньте її під
лупою.
6. Вивчену вами квітку опишіть за наведеним далі планом. Підкресліть
ознаку, характерну для вашої квітки.
Ознака Її характеристика
Кількість членів квітки
ділиться на
1. Три. Чотири. П’ять.
Тип оцвітини 1. Проста. 2. Подвійна.
Чашечка 1. Вільно листа. 2. Зросло листа.
Віночок 1. Вільно пелюстковий. 2. Зрослопелюстковий.
Забарвлення віночка 1. Неяскраве. 2. Біле. 3. жовте. 4. Червоне. 5.
Рожеве.6. Синє. 7. Фіолетове.
Симетрія квітки 1. Правильна. 2. Неправильна. 3. Асиметрична.
Наявність тичинок та
маточок
1. Двостатева. 2. Маточкова. 3. Тичинкова.
Що міститься
усередині пиляка
1. Насінина. 2. Чоловічий гаметофіт. 3. Жіночий
гаметофіт.
Що міститься
усередині завязі
1. Насіння. 2. Насінний зачаток. 3. Чоловічий гамет
офіт. 4. Жіночий гамет офіт.
Формула квітки Ч П А Г
Висновок:____________________________________________________
_____________________________________________________________
Урок 39
Додаток 39 А
Гра “Далі, далі”.
Умови гри. Вчитель дає запитання і кидає м’яч одному із учнів Учень ловить
м’яч і дає відповідь. Якшо відповідь правильна ,то вчитель говорить
“Молодець” і м’яч повертається до нього. Якщо відповідь не правильна то ,
вчитель говорить «Далі» і учень кидає м’яч іншому учневі.
 Квітка-це.... .
 Вісь квітки називається... .
 Верхня розширена частина квітки називається... .
 Оцвітина- це... .
 Оцвітина буває... .
 Віночок може бути... .
 Головними частинами квітки є... .
 Маточка складається з... .
 Тичинка складається з... .
 Квітки можуть бути... .
Додаток 39 Б
Мікрофон
 Суцвіття- це... .
 Суцвіття бувають... .
 Прості суцвіття від складних відрізняються тим , що... .
 Я знаю такі прості суцвіття... .
 Я знаю такі складні суцвіття... .
Урок 40
Додаток 40 А
Гра ”Біологічна естафета”.
(На парті у кожного учня гербарний зразок рослини і перфокартка.
Завдання: назвати рослину та визначити тип суцвіття. Учні по черзі
передають естафетну паличку і виконують завдання).
Китиця Груша
Зонтик Черемха
Складний зонтик Примула
Кошик Подорожник
Колос Кульбаба
Складний колос Береза
Щиток Пшениця
Волоть Овес
Сережка Морква
Додаток 40 Б
Структурно-логічна схема
Типи запилення
САМОЗАПИЛЕННЯ ПЕРЕХРЕСНЕ
ШТУЧНЕ ПРИРОДНЕ
(здійснюється людиною) Вітром (анемогамія)
Комахами (ентомогамія)
Водою (гідрогамія)
Птахами (орнітогамія)
Додаток 40 В
Цифровий диктант
Кодові питання
1. Які частини квітки є головними?
2. Квітки яких рослин запилюються комахами?
3. Квітки яких рослин запилюються вітром?
4. У яких рослин відбувається самозапилення?
5. Які пристосування у рослин до запилення вітром?
6. Які пристосування у рослин до запилення комахами?
7. Для чого проводять штучне запилення?
8. Що приваблює комах у квітках?
Код
1. Пилок, нектар.
2. Льон, картопля, пшениця.
3. Великі яскраві квіти, запах.
4. Маточка і тичинки.
5. Одержання високих врожаїв, виведення нових сортів.
6. Мак, вишня , соняшник.
7. Маленькі квіти, дрібний, легкий, сухий пилок.
8. Вільха, береза, ліщина, жито.
Урок 41
Додаток 41 А
Структурно-логічна схема.
Пилкове зерно пилкова труба пилковхід
зародковий мішок злиття гамет запліднення.
Додаток 41 Б
Схема «Результат подвійного запліднення.»
З зав’язі з зиготи
Плід зародок насінини
Результат
подвійного запліднення
з насінного з покриву з триплоїдної
зачатку насінного зачатку клітини
насінина шкірочка насінини ендосперм насінини
Урок 42
Додаток 42 А
Покриви насінного Зигота Центральна клітина
зачатка
насінна шкірка зародок запасні речовини
Залежно від того де знаходяться поживні речовини розрізняють
Білкове насіння Безбілкове насіння
(поживні речовини містяться (поживні речовини містяться
в ендоспермі ) в сім’ядолях )
Додаток 42 Б
Лабораторна робота
Тема: Будова насінини.
Мета: ознайомитися з будовою насінини квасолі та пшениці,
сформувати уявлення про насінину, як зародок, що містить зародкові
органи квіткової рослини і запас поживних речовин.
Обладнання: сухе та набубнявіле насіння квасолі та пшениці, ванночки,
препарувальні голки, лупи.
Хід роботи.
1. Розгляньте сухе та набубнявіле насіння квасолі. Порівняйте їх.
2.За допомогою препарувальної голки та пінцета відокремте насінну
шкірку квасолі та знайдіть зародок.
3. Використовуючи лупу розгляньте зародок насінини. Знайдіть сім’ядолі,
зародковий корінець, зародкове стебельце і брунечку з листочками .
4. Замалюйте будову насінини квасолі.
5. За поданою схемою розгляньте насінину пшениці.
6. Виконайте завдання та зробіть висновки.
Порівняння будови насіння квасолі та пшениці.
Назва
рослини
Дводольна
чи
однодольна
рослина
Чим
вкрита
насінина
З чого
складається
зародок насінини
Де знаходяться
поживні речовини
Квасоля
Пшениця
Додаток 42 В
Метод «Мікрофон».
• Які способи поширення насіння та пристосування до поширення вам
відомі? Наведіть приклади.
• Які умови необхідні для проростання насіння?
Проблемне запитання.
• Яке біологічне значення насінини?
Урок 43
Додаток 43 А
Біологічний диктант.
Потрапивши на приймочку маточки пилкове зерно..., утворюється...,
яка росте в бік зав’язі.В пилковій трубці знаходяться… .Пилкова труба
доростає до… . Один із сперміїв зливається з…, відбувається запліднення і
утворюється… . Другий спермій зливається з…. Від першого злиття
розвивається…, а від другого… . Насінний зачаток після запліднення
перетворується на…, з його покривів утворюється…
Додаток 43 Б
Плід- це утворення , яке складається з однієї чи кількох насінин та
оплодня.
Плоди
Сухі Соковиті
Розкривні Нерозкривні прості складні
Коробочка горіх кістянка супліддя
листянка сім’янка ягода багатокістянка
Біб горішок
Стручок крилатка
Стручечок зернівка
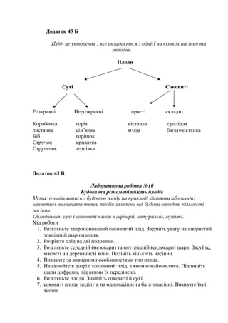
Додаток 43 В
Лабораторна робота №10
Будова та різноманітність плодів
Мета: ознайомитись з будовою плоду на прикладі кістянки або ягоди;
навчитись визначати типии плодів залежно від будови оплодня, кількості
насінин.
Обладнання: сухі і соковиті плоди в гербарії, натуральні, муляжі.
Хід роботи
1. Розгляньте запропонований соковитий плід. Зверніть увагу на шкірястий
зовнішній шар оплодня.
2. Розріжте плід на дві половини.
3. Розгляньте середній (мезокарп) та внутрішній (ендокарп) шари. Зясуйте,
мясисті чи деревянисті вони. Полічіть кількість насінин.
4. Визначте за вивченими особливостями тип плода.
5. Намалюйте в розрізі соковитий плід, з яким ознайомилмся. Підпишіть
шари цифрами, під якими їх перелічено.
6. Розгляньте плоди. Знайдіть соковиті й сухі.
7. соковиті плоди поділіть на однонасінні та багатонасінні. Визначте їхні
типии.
8. Поділіть сухі плоди на однонасінні та багатонасінні. Визначте їхні
типии.
9. Результати досліджень занесіть до таблиці.
Назва рослини Соковитий чи
сухий
Однонасінний чи
багатонасінний
Тип плода
Висновок.
Друга частина інтеракції проводиться із застосуванням технології
«Акваріум».
Проблемне завдання для І групи:
 Яке значення мають плоди і насіння в природі і житті людини.
Проблемне завдання для ІІ групи:
 Як розповсюджуються плоди і насіння.
Додаток 43 Г
 Плід- це... .
 Плоди бувають ... .
 Я знаю такі типи сухих плодів... .
 Сухі розкриваючі плоди- це… .
 Сухі нерозкриваючі плоди – це… .
 Соковиті прості плоди – це… .
 Соковиті складні плоди – це… .
2. Заповнити схему «Способи поширення плодів»
3. Закінчити речення, вказавши назви рослин. «Способи поширення
плодів»
4. Розв’язати кросворд «Сухі нерозкривні плоди»
Урок 45
Додаток 45 А
«Експрес-опитування»
1. Які основні процеси життєдіяльності рослин?
2.Що є елементарною структурною одиницею рослин?
3.Що таке клітина?
4.Що утворюють групи однакових за будовою і функцією клітини?
5.Які тканини рослинних організмів вам відомі?
6.Назвіть органи рослин, які є на гербарних зразках
Додаток 45 Б
Лабораторна робота виконується згідно інструктивних карток.
Завдання 1.
Робота з натуральними об’єктами
одноклітинних водоростей.
Завдання 2.
Робота з постійними мікропрепаратами спірогіри.
Додаток 45 В
Вибрати правильні відповіді.
1.Як називається наука, що вивчає водорості?
а) ботаніка
б) цитологія
в) альгологія
г) мікробіологія
2. Водорості живуть у середовищі
а) водному
б) на сухих ділянках суші
в) на вологих ділянках суші
г) на суходолі
3. За будовою водорості бувають:
а) тільки одноклітинні
б) тільки багатоклітинні
в) одноклітинні, колоніальні, багатоклітинні
4. За типом живлення водорості є:
а) сапротрофи
б) автотрофи
в) гетеротрофи
Додаток 45 Г
Метод «Мікрофон» Передаючи «мікрофон» по ланцюжку, учні відповідають
на запитання з вивченої теми, доповнюючи один одного.
Заповнити таблицю на підставі виконаної роботи.
Об’єкти
Ознаки
Одноклітинні
водорості
Багатоклітинні водорості
Середовище існування
Одно чи багатоклітинна
водорість
Форма тіла
Наявність органел
Кількість і форма
хлоропластів
Наявність органів руху
Розміщення піреноїдів
Урок 46
Додаток 46 А
Експрес-опитування.
Учневі дається запитання, якщо він не відповідає, питання переходить до
другого учня.
- чим Рослини відрізняються від інших царств?
- якими формами живих організмів представлено царство Рослини?
- коли і де з’явилися перші рослини?
- на які дві групи умовно поділяють царство Рослини?
- чому водорості відносять до нижчих спорових рослин?
Інтерактивний метод “Біологічна мозаїка”
Групи учнів отримують картки, на яких запропоновано набір слів, з яких
потрібно скласти задані поняття. Наприклад: водоростей, називається, тіло,
слань.
Додаток 46 Б
Тема. Будова мохоподібних.
Мета: Ознайомитися з будовою листостеблових мохів, вияснити ознаки
пристосовуваності до умов існування.
Обладнання і матеріали: гербарні зразки різних мохів.
Хід роботи:
1. Розгляньте зелений мох зозулин льон. Знайдіть ограни і вкажіть
особливості:
 Стебло (розгалужене чи не розгалужене);
 Листки (мають жилку чи ні; зелений чи білуватий колір);
Чим зумовлений колір листків?
 Ризоїди (є чи немає);
 Антеридії та архегонії (на одній рослині чи на різних; на
верхівкових чи бічних гілочках);
 Спорофіт (один чи багато на верхівках; куляста чи видовжена
коробочка).
2. Розгляньте торфовий мох сфагнум. Знайдіть ограни і вкажіть
особливості:
 Стебло (розгалужене чи не розгалужене);
 Листки (мають жилку чи ні; зелений чи білуватий колір);
Чим зумовлений колір листків?
 Ризоїди (є чи немає);
 Антеридії та архегонії (на одній рослині чи на різних; на
верхівкових чи бічних гілочках);
 Спорофіт (один чи багато на верхівках; куляста чи видовжена
коробочка).
3. Висновки. Чим відрізняється зозулин льон від сфагнуму? Які ознаки
пристосування забезпечують їхнє існування в певних умовах
середовища?
Додаток 46 В
Відділ Мохоподібні.
Середовище існування………………………. . Кількість видів……..……… .
Наука , що вивчає відділ Мохоподібні, - ……. Термін життя виду..……….. .
Будова мохів
Тіло
Живлення- ………………., у зелених клітинах постійно
відбувається…………………………………………….. .
Розмножуються мохи ……………., для процесу запліднення
необхідна…………………… .
Характерні ознаки мохів
Життєвий цикл мохів – це чергування ………….. та ………………. з
переважанням .
Спорофіт мохів називається…………………, формується на …………, термін
життя спорогона - …………… .
Коробочка
Будова споргона Ніжка
Стопа(гаусторія)
Додаток 46 Г
Порівняльна характеристика зозулиного льону і сфагнуму.
Урок 47
Додаток 47 А
Мохи
Ознаки
Зозулин льон Сфагнум
Листки
Стебло
Ризоїди
Архегонії та
антеридії
Однодомні
чи дводомні
Наявність
коробочки
Гра «Не спи»
Поставте плюс якщо твердження правильне і мінус- якщо не вірне.
1. Мох зозулин льон має корінь, стебло, листя.
2. Сфагнум викликає заболочення місцевості.
3. Сфагнум належить до зелених мохів.
4. Зелений мох зозулин льон рослина дводомна, спори утворюються в
коробочці.
5. В зозулиного льону процес фотосинтезу відбувається під снігом, в
глибоких печерах.
6. У сфагнуму роль коренів виконують ризоїди.
7. У зеленого моху в листках є мертві клітини заповнені водою, або
повітрям.
8. У життєвому циклі мохоподібних переважає гаметофіт.
( Додаток 47 Б)
Інтерактивна вправа «Все навпаки»
На моніторі комп’ютера висвітлюються не зовсім вірні матеріали. Учні
шукають в підручнику потрібний матеріал, виправляють написане.
Наприклад:
 Папороті поширені лише у водоймах.
 Папороті представлені лише мікроскопічними формами.
 У життєвому циклі переважає гаметофіт.
 Листки папороті прості, овальної форми.
 У молодому віці листки розправлені і ростуть стрілеподібно.
 На верхній частині листка знаходяться соруси.
Додаток 47 В
Гра «Чорний ящик» На слайді характеристика предмета, а учні за
підручником знаходять назву предмета.
1.Корисні копалини, що утворилися з давніх
папоротеподібних… .
2.Як використовують в харчовій і хімічній промисловості кореневище
орляка, яке багате на крохмаль?
3.Які ліки виробляють з кореневища щитника чоловічого?
4.Як використовують папороті в побуті?
5.Листки орляка використовують як зелену тару. Чому?
Додаток 47 Г
Лабораторна робота
Тема: «Будова щитника чоловічого»
Мета: Зясувати особливості зовнішньої будови щитника чоловічого.
Обладнання та матеріали: гербарні зразки, препарувальні голки, пінцети,
лупи, мікроскоп.
Хід роботи:
1. Розглянь спороносну рослину папороті. Знайди листки, стебло,
кореневище з коренями.
2. Розглянь нижню частину листкової пластинки. Зверни увагу на
розміщення сорусів, які вкриті покривальцями серцевидної форми.
3. Препарувальною голкою зніми покривальце одного-двох сорусів папороті.
4. Розглянь у лупу спорангії.
5. Намалюй загальний вигляд рослини, листок з сорусами.Підпиши органи
папороті.
6. Зроби висновок (які органи має папороть? Які особливості будови
папоротеподібних забезпечили їм існування на суші?)
Додаток 47 Д
Метод «Уявний мікрофон»
1. Де хвощі ростуть і як люди їх зовуть?
2. На яких пагонах спори достигнути зуміють, і пагони які все літо
зеленіють?
3. Де в медицині хвощ застосування має?
Які хвороби людям вилікувати допомагає?
4. Де переважно плауни ростуть? І середовище життя яке займають?
5. Розмноження як у них проходить,
Спори де зростають?
Гаметофіт чи спорофіт у них переважають?
Де в лікарні чи в аптеці ви препарати з плаунів знайдете
Урок 48
Додаток 48 А
Експрес-тести
1.До вищих спорових рослин належать:
a. бурі водорості;
b. папороті ;
c. ціанобактерії.
2.Спори у наземних рослин можуть бути за розмірами однаковими. Такі
рослини називають:
d. рівноспоровими;
e. різноспоровими.
3.Із мегаспори розвивається гаметофіт:
f. чоловічий;
g. жіночий.
4.Якщо статеві органи розміщені на одній рослині, гаметофіт називають:
h. одностатевими;
i. двостатевими.
Інтелектуальна розминка за запитаннями.
1. Вищі спорові рослини розмножуються … .
2. Насінні рослини розмножуються ….
3. В насінині є … .
4. Для розмноження насінних рослин не потрібно … .
5. Мікроспори дають початок … .
6. Мегаспори дають початок … .
Сучасні насінні рослини поділяються на …
Додаток 48 Б
Лабораторна робота
Тема: Будова голонасінних рослин.
Мета: Ознайомитися з будовою голонасінних рослин на прикладі сосни та
ялини.
Обладнання та матеріали:гербарні екземпляри голонасінних рослин
(ялини,сосни),лупа,мікроскоп,пінцет,готовий мікропрепарат « Чоловіча
шишка сосни»,шишки голонасінних.
Хід роботи
1. Встанови відмінність у зовнішній будові ялини та сосни.
2. Розглянь малюнок будови спорофіта та підпиши його,згрупувавши в
одну колонку вегетативні органи,а в іншу-генеративні.
3. На спорофіті голонасінних розміщені жіночі та чоловічі шишки. Як
такі рослини називаються?
4. Розглянь гербарні екземпляри або малюнки сосни та ялини.Встанови
відміність урозташуванні голок на пагоні.
5. Відносні розміри хвої-
6. Розглянь мікропрепарат «Чоловіча шишка сосни» під
мікроскопом.Знайди пилок.Порівняй побачене із зображенням у
підручнику і замалюй зовнішній вигляд.
7. Порівняй шишки ялини та сосни. В чому їх подібність,а в чому-
відмінність?
8. Обережно відігни пінцетом одну лусочку шишки і вийми
насінину.Розглянь насінину сосни за допомогою лупи.Замалюй
насінину і підпиши.
9. Зроби висновок,давши відповіді на запитання.За якою ознакою будови
спорофіиі сосну та ялину відносять до голонасінних рослин? Які
пристосування до поширення мають пилок та насіння?
Творче завдання:
Ти архітектор-еколог. Тобі потрібно засадити схил яру сосною або
ялиною для закріплення грунту.Яку рослину ти використаєш з цією
метою,щоб досягти максимальних результатів? Відповідь обґрунтуй.
Додаток 48 В
Гра «Вірно – невірно», або графічний біологічний диктант
1.Насінні рослини відрізняються від вищих спорових наявністю насінини.
2.Хвоя - це видозміна пагона.
3.Шишка - це вкорочена видозміна пагона.
4.Запилення у сосни відбувається за допомогою комах.
5.Насінні зачатки у ялини розміщенні на лусках шишки.
6.«Кедрові» горіхи - це насінина кедра.
7.Тайга - це великі темнохвойні ліси Півночі.
8.У повітрі хвойних лісів багато бактерій.
9.До листопадних рослин належить модрина.
10.Гінкго називають «Драконовим деревом»
Урок 49
Додаток 49 А
Додаток 49 Б
Ознаки Клас Дводольні Клас Однодольні
• Кількість
сім’ядолей у зародку
насінини
• Дві • Одна
• Коренева система
а) походження;
б) форма.
• Система головного
кореня
• Стрижнева,
мичкувата (рідко)
• Система
додаткових коренів
• мичкувата
• Камбій • Є • Відсутній
• Листки • Прості, складні;
пластинки суцільні, з
виїмками
• Прості, пластинки
суцільні
• Жилкування • Сітчасте (перисте,
пальчасте)
• Паралельне, дугове
Місце покритонасінних у
системі живої природи.
Жива природа
↑
Імперія
Клітинні форми життя
↑
Надцарство
Еукаріоти
↑
Царство
Рослини
↑
Підцарство
Вищі рослини
↑
Відділ
↑
Покритонасінні
(квіткові) Схема 1
Основні таксони в класифікації
покритонасінних
Відділ
↑
Клас
↑
Ряд
↑
Родина
↑
Рід
↑
Вид
Схема 2
• Кількість
частин квітки
• Кратна чотирьом,
п’яти
• Кратна трьом
• Найважливіші
родини
• Хрестоцвіті, Розові,
Бобові, Пасльонові,
Айстрові тощо.
• Злакові, Лілійні
тощо
Додаток 49 В
Чи відомо вам, що
1) Багато дерев живуть значно довше , ніж найбільш довговічні тварини.
Так , груша і вишня живуть до 300 років, ялівець - до 500, ялинка і сосна –
до1000, липа – до 1200, дуб – до 2000 років. Вік мамонтового дерева з
Каліфорнії (висота 112 м, в поперечнику 9 м) визначається в 3500 років.
Мексиканські кипариси живуть до 10 000 років. Але макрозамія із
саговникових досягає рекордного віку - 12 000 – 15 000 років.
2) Є тюльпанне дерево . Квітки його дуже схожі на квітки тюльпана , за що
це дерево і дістало таку назву . Батьківщина його – Китай і Північна
Америка. Але воно добре росте і в Україні , зокрема в ботанічному саду міста
Кам’янця-Подільського.
3) Є листяні буряки. Це овочеві і декоративні рослини .Називають її
мангольд. Для їжі споживають листя і черешки. Декоративні орти мангольда
мають красиве велике листя.
4) Молоду кропиву використовують для приготування смачних супів,
багатих на вітаміни . мінеральні солі, білки. Листя кропиви є також
надзвичайно цінним полівітаміном і білковим кормом для свійських тварин –
корів, коней і птахів. Після відгодівлі тварин таким кормом було помічено,
що молоко , масло, яйця збагачуються вітамінами .Вчені встановили , що
поживна цінність кропиви не поступається навіть перед бобовими
культурами.
5) Усі відомі золотисті квіти декоративної рослини настурції можна вживати
в їжу . Пелюстками квіток заправляють супи, що надає страві аромату і
смаку.
6)Найбільша в світі квітка у рослини рафлезії Арнольді. Вона має до 3 м. в
окружності і до1 м. в поперечнику. Ця рослина не має ні стебел , ні листя ,ні
коріння. Вона паратизує на коренях винограду, що росте в тропічних лісах на
острові Суматра.
7) Суцвіття - гігант утворює зонтична пальма. Вона росте в тропіках (Індія) і
цвіте один раз на все життя. Суцвіття досягає великих розмірів – 12-15м
довжини. Це найбільше суцвіття в рослин.
8 )У лісах далекого Сходу росте «залізна береза». Міцність цієї берези в 2-3
рази більша, ніж дуба. Таке дерево може знайти широке застосування не
тільки в деревообробній, а й машинобудівній промисловості.
Додаток 49 Г
- Дати відповідь на такі запитання :
1.Чому покритонасінні отримали таку назву?
2.Встановити ознаки , відмінності покритонасінні рослин?
3.Чому покритонасінні займають панівне місце на землі серед рослин?
4.Які ароморфози характеризують покритонасінні рослини?
5.У чому відмінність рослин класів Одно – та Дводольні.
- Якщо ви погоджуєтесь з наведеною інформацією, то поставте у
спеціальній таблиці "+" або "-" .
1. Суниця лісова – деревна рослина.
2. Родина Лілійні належить до класу Дводольні.
3. Усі дводольні рослини мають стрижневу кореневу систему.
4. Зародок однодольних має одну сім’ядолю.
5. Рослини із класу Дводольні мають сітчасте жилкування.
6. В однодольних рослин листки мають лінійне та дугове жилкування.
7. Рід – найменша таксономічна одиниця.
8. Інша назва покритонасінних – «Квіткові».
1 2 3 4 5 6 7 8
Урок 50
Додаток 50 А
Заповніть таблицю
Назви культур представники
Зернові
технічні
кормові
Урок 51
Додаток 51 А
Додаток 51 Б
Урок 52
Додаток 52 А
Криголам „ Усе про тебе”
- Якщо ви вважаєте, що потрібно оберігати природу, плесніть в долоні.
1. якщо ви не смітите на вулицях – встаньте
2. якщо ви вимикаєте світло – підстрибніть
3. якщо ви допомагаєте батькам – тупніть
4. якщо вам не подобається запах бруду – махніть рукою перед своїм
обличчям.
Бачите, які ми єдині, як у нас багато спільного. Тож давайте ми будемо
працювати дружно, активно, взявшись за руки
Додаток 52 Б
Картка для опитування.
1. Екологічні групи рослин по відношенню до вологи :
-...
-...
-...
2. Екологічні групи рослин по відношенню до світла :
-...
-...
-...
3. Екологічні групи рослин по відношенню до температури:
-...
-...
Наведіть приклади теплолюбних і холодостійких рослин.
Із запропонованих гербарних листків виберіть окремо світлолюбні,
тіньовитривалі, тіньолюбні рослини.
Додаток 52 В
Вправа „Міні – практикум”
Виконання невеликого практичного завдання за допомогою підручника
Життєва форма рослин Особливості зовнішньої
будови
приклади
1.
2.
3.
Додаток 52 Г
Вправа „ Встав пропущені слова”
Однорiчнi рослини нaвecнi розвиваються з насіння, ........, утворюють ..... з
насінням і після цьоrо вiдмирають.
Дворiчнi ....... живуть майже ... роки. У перший piк цi рослини утворюють
звичайно тiльки ......., стебла i ....... На другий ... розвиваються новi ......,
цвiтуть i дають плоди з ........, а до oceнi вiдмирають.
Багаторiчнi рослини живуть бiльше ...... років.
Надземнi ....... бiльшостi багаторiчних ............ рослин восени .........., а нaвecнi
............ заново, тому що в грунті пiд ...... зберiгаються кopeнi та iншi ........
органи з ..........
Слова для довідки
Плоди,два, корені, цвітуть, рослини, листки, рік, насінням, частини, пагони,
тисячі, трав”янистих, розвиваються, снігом, відмирають, підземні,
бруньками..
Урок 53
Додаток 53 А
Гра „ Мікрофон” Вчитель ставить запитання з базових понять.
Наприклад:
1. Що вивчає екологія
2. Яке значення екології як науки.
3. На які групи розподіляють чинники середовища.
4. lз наведених чинникiв довкiлля виберiтьтiльки абiотичнi фактори:
земне тяжiння,
опади,
солонiсть океану,
сонячне свiтло,
веснянi повенi,
температура,
вирубка лicу,
осушення болiт,
запилення квітів комахами.
Додаток 53 Б
Додаток 53 В
Додаток 53 Г
Вправа „Світлофор”
Учитель ставить запитання з вивченого матеріалу. Учні піднімають картки.
Зелену – знають відповідь, червону - якщо утруднюються з відповіддю.
Експрес-опитування журнaлiстiв
. Що вивчає екологiя?
. Що таке середовище iснування, або довкiлля?
. Що таке екологiчна свідомість?
. Якi екологiчнi чинники вам вiдомi?
. Про що йдеться?
Живе i ллється,
Часом i на кaмiнь пнеться,
Як нeмає - все всихає,
звiр i птиця помирає?
Який це фактор?
Хто за piк чотири рази перевдягається?
Урок 54
Додаток 54 А
10 золотих правил.
Не заливайте їх.
Надайте їм спокій.
Змиріться з неминучою втратою деяких рослин.
Створіть їм вологе середовище.
Вчасно приймайте необхідні міри.
Групуйте рослини.
Навчіться пересаджувати.
Робіть правильний вибір.
Придбайте необхідний інвентар.
Правильно доглядайте за кожною рослиною.
Додаток 54 Б
Заповніть таблицю:
Використання рослин людиною у:
Сільському господарстві
промисловості
побуті
Лікувальній справі
Урок 55
Додаток 55 А
Практична робота №4 Розпізнавання видів кімнатних рослин
Практична робота виконується за етапами.
І етап. Вступне слово вчителя.
У короткому вступі вчитель знайомить учнів із найбільш поширеними
видами кімнатних рослин, дає коротку характеристику їм та спрямовує увагу
учнів на рослини, що є об’єктами дослідження(живі рослини, гербарні
зразки) на цьому уроці.
2 етап. Знайомство із енциклопедією кімнатних рослин – повідомлення учня.
3 етап. Робота в парах.
Завдання для учнів, які працюють в парах. (Кожній парі пропонується
2-3 види рослин).
1)Розгляньте зразки рослин, запропоновані вчителем. Зверніть увагу на:
форму квітки;
форму листкової пластинки;
колір листка;
розміщення стебла у просторі;
довжину стебла.
( Для деяких видів рослин потрібна лупа та препарувальний набір).
2) З допомогою схем визначте вид рослини(робота з комп’ютером). Приклад
схем.
Традесканція (Tradescantia)
1.Т. прирічна
2. Т. білоквіткова
3. Т. Блоссфельда
1. 60 см.. Загострені темно-зелені зверху і пурпурові знизу листки довжиною
5-10 см.. Сік рожево-фіолетовий.
2. 40см. Блискучі загострені листки довжиною 5см. Нижня сторона зелена,
сік безбарвний.
3. 60 см. Опущені, темно-зелені зверху і пурпурові знизу листки довжиною 8
см. Квіти довжиною 1см.
Бегонія (Begonia)
1. Б. королівська
2. Б. завждиквітуча
3. Б. бульбочкова
4. Б. Мейсона
1. Переважають серед декоративних бегоній. Листки асиметричні, 15-30 см. у
довжину.
2. Прості або махрові білі, рожеві, оранжеві або червоні квіти. Листки
діаметром 5 см. різних відтінків: від жовто-зеленого до темно-червоного.
Кущова рослина.
3. 30 см. Має м’ясисте стебло, на якому формуються великі чоловічі квіти
червоного, блідо-рожевого кольору.
4. Зморшкуваті листки довжиною 15 см. з темним хрестоподібним малюнком
в центрі.
Агава (Agave)
1. А. американська
2. А. королеви Вікторії
1. Сукулент. Найпоширеніший вид, утворює розетку із великих м’ясистих
листків з гострою колючкою на кінці. Діаметр розетки 2 м., листки сіро-
зелені. В кімнатних умовах цвітуть рідко.
2. Сукулент. Трикутні листки довжиною 15 см. з білою смугою і чорною
колючкою на кінцях.
Алоє (Aloe)
1. А. перисте
2. А. приземисте
3. А. приємне
4. А. залякуюче
1. Сукулент. Зелені з пурпуровим блиском і білими краями смугасті листки
довжиною 15 см.
2. Сукулент. Синьо-зелені листки довжиною 10 см. із зубчастим краєм.
3. Сукулент. Утворює розетку діаметром 10 см. із колючих листків з
кремовими плямами.
4. Сукулент. Покриті колючками листки довжиною 45 см. сидять на товстому
стеблі.
Аспарагус (Asparagus)
1. А. перистий
2. А. густоквітковий
3. А.Мейєра
4. А.серповидний
1. 1 м. Тонкі пагони розміщені горизонтально у вигляді пера. Іноді
з’являються червоні плоди ягоди.
2. Дугоподібні тонкі стебла з шилоподібними яскраво-зеленими листками
довжиною 2 см.
3. 40 см. Прямі стебла з шилоподібними листками довжиною 2 см.
4. 1 м. Серповидні листки, колючі стебла.
Колеус (Coleus)
1. К. Блюме
2. К. карликовий
1. 30-60 см. Пилчасті або зубчасті листки різноманітного забарвлення.
Рослини можна залишати на наступний рік, але за звичай з ним поводяться як
з однорічним.
2. До 30 см. Однорічне, пильчасті або зубчасті листки.
Гібриди
Червоний. Жовтий. Жовто-червоний. Зелений. Кремовий.
Дурман (Datura)
1. Д. білосніжний
2. Д. пахучий
1. 2 м. Духмяні трубчасті квіти довжиною 20 см., як правило, білі,
зустрічаються також рожеві або кремові. Овальні листки довжиною 20 см.
Єдиний вид в продажі. Всі частини рослини отруйні.
2. Квіти більш крупніші, ніж у Д. білосніжного. Велике красиве дерево,
дорослі представники розкидають своє гілля на 2 м. в сторону. Всі частини
рослини отруйні.
Диффенбахія (Dieffenbachia)
1. Д. розфарбована, або плямиста
2. Д. прекрасна
3. Д. Баузе
4. Д. Бауманна
1. Яскраво забарвлені листки. Найбільш поширений вид. 50 см. – 1м. Овальні
листки довжиною до 30 см. З білими або кремовими плямами.
2.Найпоширеніший вид висотою 1,5м. і більше. Зелені з поперечними білими
смугами овальні листки довжиною 45см. сидять на товстих черешках.
3. Довжиною 1м. Листя зелені в білу крапочку. Потребують постійної
температури, не виносять протягів.
4. Листя довжиною до 70 см. Потребує постійної температури. З часом нижні
листки відпадають.
3) Зробіть висновки на основі результатів.
4 етап. З метою розкриття значення кімнатних рослин для людини. Вчитель
пропонує дати відповідь на екологічне завдання.
- Виявляється, звичайні кімнатні рослини: герань, бегонія, знижує вміст
мікроорганізмів у повітрі на 43%, циперус – на 59%, дрібноквіткові
хризантеми – на 66%.Який висновок можна зробити на підставі наведених
фактів?
Відповідь: Рослини не лише прикрашають приміщення, але й позитивно
впливають на здоров’я людини, згубно діючи на мікроорганізми( в тому
числі хвороботворні), знижують ймовірність захворювань
Урок 57
Додаток 57 А
Письмова різнорівнева робота
І варіант
І рівень
Вкажіть правильну відповідь («так» чи «ні»):
1. Гаметофіт і спорофіт – це два покоління однієї спорової рослини.
2. На гаметофіті ніколи не утворюються статеві клітини.
3. Життева форма рослини - це гербарний зразок.
4. У посушливих мiсцях ростуть невеликi рослини.
5. Бурі водорості живуть лише в морській воді.
6. З червоних водоростей добувають агар і йод.
ІІ рівень
1. У яких рослин бiльше розгалужена коренева система: в тих, що ростуть на
глинистому чи пiщаному rpунтi?
2. Чи можливе.iснування рослин у повнiй темрявi?
3.Хлоропласт у хламідомонади має форму…
4.Визначте, що таке талом (слань).
5. У папоротеподібних листки:
а) справжні;
б) не справжні;
в) видозмінені;
6. Серед вищих спорових рослин лікарською рослиною є:
а) хвощ польовий;
б) мох зозулин льон;
в) щитник чоловічий;
ІІІ рівень
1. До трав'янистих рослин належать: а) верба; б) клен; в) осика; г) кукурудза.
2.Баговиння, яке часто з’являється влітку у сонячних водоймах, утворюють
переважно:
а)нитчасті водорості;
б)одноклітинні водорості;
в)червоні водорості;
г)колоніальні водорості.
3. Вищими називають рослини, тіло яких:
а) складається з багатьох клітин;
б) здатне утворювати захисну оболонку;
в) складаються з органів;
г) здатне перебувати як у воді, так і на суходолі;
4. Червона книга - це: а) збiрник правил поведiнки в природi; б) список
рослин i тварин, якi пiдлягають oxopонi;
в) збiрник правил збирання
грибiв; г) список рослин i тварин, яких заборонено
вивозити за кордон.
5.Водорості живляться:
а)синтезуючи необхідні речовини під час фотосинтезу;
б)вбираючи поживні речовини з води;
в) вбираючи поживні речовини з дна водойм.
6. Фотосинтез у хвоща польового відбувається у:
а) листках;
б) стеблах;
в) спороносних колосках;
г) весняних пагонах;
ІV рівень
Одне завдання на вибір
1.Поясніть, чому степові рослини не можуть зростати на болотах?
2. Чому зі збільшенням глибини кількість і різноманітність водоростей
поступово зменшується?
3. Які відмінності мають спори у рівноспорових і різноспорових
папоротеподібних?
2 варіант
І рівень
Вкажіть правильну відповідь („так” чu „ні”) .
1. Дерева i кущi - це одна життєва форма рослин.
2.Водорості живуть тільки в солоній воді.
3. Заростки папоротей – це спорофіти.
4. Латаття бiле - типовий представник водного рослинного угруповання.
5.Гаметофіт і спорофіт – це два покоління однієї спорової рослини.
6.Серед водоростей є одноклітинні й багатоклітинні.
ІІ рівень
1. У яких рослин бiльше розгалужена коренева система: в тих, що ростуть на
глинистому чи пiщаному rpунтi?
2.Основними відділами водоростей є:…
3. У вищих спорових рослин є:
а) є органи;
б) немає органів;
4. Чи можливе iснування на планетi iнших живих органiзмiв, якщо знищити
yci рослини?
5.Назвіть водорості, тіло яких має форму тонких нерозгалужених ниток.
6. Серед вищих спорових рослин лікарською рослиною є:
а) хвощ польовий;
б) мох зозулин льон;
в) щитник чоловічий;
ІІІ рівень
1.Водорості живляться:
а)синтезуючи необхідні речовини під час фотосинтезу;
б)вбираючи поживні речовини з води;
в) вбираючи поживні речовини з дна водойм.
2. Тепло, свiтло, волога разом становлять: а) середовище життя рослин;
б) джерела живлення рослин; в) абiотичнi чинники
навколишнього середовища; г) сприятливi умови
життя рослин.
3. Рослини, що накопичують у своїх вегетативних органах воду, складають:
а) окрему життєву форму; б) окреме рослинне
угруповання; в) окремий клас дводольних;
г) окремий вiддiл
4. Запліднення у мохоподібних відбувається тільки:
а) у суху сонячну погоду;
б) у воді;
в) під час проростання спори;
г) у коробочці спорофіта;
5. Органами в яких утворюються спори називають:
а) спорофіти;
б) гаметофіти;
в) колоски;
г) спорангії;
6.Хлоропласт у хламідомонади має форму…
ІV рівень
Одне завдання на вибір .
1. На які групи поділяють рослини за їхньою потребою у світлі?
2. 2. Чому зі збільшенням глибини кількість і різноманітність водоростей
поступово зменшується?
3. Порівняйте відділи спорових рослин, у циклі розвитку яких переважає
гаметофіт (рослина статевого покоління), або спорофіт (рослина не
статевого покоління).
Урок 58
Додаток 58 А
Додаток 58 Б
Два, чотири, всі разом". Учні для роботи об’єднуються в пари.
Кожна пара отримує завдання і працюють з додатковою літературою, на
опрацювання якого відводиться 10 хв. Після чого пари об’єднуються і
обмінюються інформацією.
Царство Гриби
Відділ Слизовики Відділ Гриби Відділ Лишайники
Нижчі гриби
Класи:
1. Хитридіоміцети
2. Ооміцети
3. Зигоміцети
Вищі гриби
Класи:
1. Аскоміцети
2. Базидіоміцети
3. Дейтероміцети
Будова
одноклітинні багатоклітинні
Завдання для роботи в групах:
І група. Які спільні риси грибів і тварин?
ІІ група. Які спільні риси грибів і рослин?
В процесі опрацювання матеріалів учні заповнюють таблицю
Спільні риси грибів і тварин Спільні риси грибів і рослин
Додаток 58 В
Розв’яжіть кросворд.
Завдання. Заповніть клітини, давши правильні відповіді.
 Царство органічного світу.
Г
(Відповідь: гриби)
 Наука про гриби.
 Симбіоз грибів і вищих рослин.
 Вегетативне тіло гриба.
М
(Відповіді: мікологія, мікориза, міцелій.)
 Який буває міцелій?
Міцелій
(Відповіді: неклітинний, клітинний.)
Додаток 58 Г
Експрес-опитування
Запитання:
• Чому гриби виділять в окреме царство?
• На які відділи поділяють царства Гриби?
• Як називається вегетативне тіло грибів?
• Що означає поняття "міцелій"?
• Що таке "гіфи"?
• Як живляться гриби?
• На які групи поділяють гриби за типом живлення?
• Як розмножуються гриби?
Урок 59 -60
Додаток 59 А
Характеристика Опис
ЖИВЛЕННЯ
БУДОВА
РОЗМНОЖЕННЯ
Урок 61
Додаток 61 А
Гра "Далі, далі"
Умови гри. Вчитель дає запитання і кидає м’яч одному із учнів.
Учень ловить м’яч і дає відповідь. Якщо відповідь не правильна, то вчитель
говорить "Далі" і учень кидає м’яч іншому учневі.
1. За будовою гриби поділяються …
2. Розмножуються гриби …
3. Вегетативне розмноження здійснюється …
4. За способом живлення гриби поділяються на …
Грибниця складається з …
Додаток 61 Б
Поради грибнику-початківцю.
o Збирайте тільки ті гриби, про які вам точно відомо, що вони їстівні.
o Найкраще збирати гриби рано-вранці. Гриби, зібрані в цей час, свіжі,
міцні і стійкі при зберіганні.
o Не виривайте грибів, а зрізуйте їх ножем, щоб не пошкодити грибницю.
o Збирайте гриби тільки в екологічно чистій місцевості.
o Ніколи не куштуйте сирих грибів.
o Не збирайте старих грибів.
Додаток 61 В
Лабораторна робота.
Тема: Будова і різноманітність шапинкових грибів.
Мета: ознайомитись з будовою вищих шапкових грибів; з'ясувати
особливості будови плодового тіла; навчитись розрізняти
трубчасті та пластинчасті гриби.
Хід роботи: 1. Розгляньте будову плодового тіла шапкового гриба.
Знайдіть його основні частини і підпишіть. Підпишіть міцелій.
1. - ______________________
2. - ______________________
3. - ______________________
2. Розгляньте будову нижньої частини шапки. Поділіть гриби
на пластинчасті та трубчасті з урахуванням будови їхніх шапок і
заповніть таблицю:
Група Особливість будови Приклали грибів
Пластинчасті
Трубчасті
3. У висновку дайте відповідь на запитання:
а) що формується на міцелії шапкового гриба?
б) чим утворене плодове тіло?
в) за якою ознакою розрізняють пластинчасті і трубчасті плодові
тіла?
Висновок: ________________________________________________________
1
2
3
Додаток 61 Г
1. Сигнальна гра "Який це гриб?"
а) червоний сигнал – трубчастий гриб, зелений – пластинчастий.
б) червоний сигнал – отруйний гриб, зелений – їстівний.
Вчитель зачитує назви грибів, а учні підіймають сигнали.
2. Впишіть у клітинка назви грибів, що закінчуються буквою "К".
Р И Ж И
К
М А С Л Ю
О П Е Н Ь О
Т Р У Т О В И
П І Д О С И Ч Н И
П І Д Б Е Р Е З Н И
Урок 62
Додаток 62 А
Лишайники – дуже своєрідні організми, які утворилися внаслідок
співжиття грибів із ціанобактеріями та зеленими водоростями. Тобто це
організми, які утворені симбіозом гриба і водорості.
Симбіоз – взаємокорисне для різних форм організмів співжиття.
Особливості будови. (Пояснення вчителя з використанням
наочності. Висвітлюється на моніторі комп'ютера.)
Додаток 62 Б
Завдання для роботи в групах.
Розгляньте гербарій лишайників.
І група. Виберіть кущисті лишайники; поясніть чому вони так
називаються.
ІІ група. Розгляньте накипні лишайники і встановіть, чим вони
відрізняються від листуватих.
ІІІ група. Розгляньте листуваті лишайники, поясніть, чому вони
мають таку назву.
Додаток 62 В
Метод "Мікрофон". Закінчіть речення:
Розмноження
Вегетативне – частинами
слані
Нестатеве - спорами
1. Лишайники поділяються на такі групи: … . (Кущисті, листуваті,
накипні.)
2. На каменях оселяються лишайники, сході на брунатно-сірий
накип, це … . (Накипні лишайники.)
3. Ксенторія належить до … . (Листуватих лишайників.)
4. Ягіль належить до … . (Кущистих лишайників.)
5. Тіло лишайників – слань складається з двох організмів: … .
(Грибів і водоростей.)
6. Лишайники вбирають воду … . (Усією поверхнею тіла.)
Урок 63
Додаток 63 А
Графічний біологічний диктант.
1. Мікологія - наука про гриби.
2. Міцелій - сукупність гіфів, що утворюють тіло гриба.
3. Мікориза-спеціалізовані клітини, які відокремлюються від
материнського організму і служать для нестатевого розмноження
грибів і рослин.
4. Симбіоз - співжиття двох організмів різних видів.
5. Гриби - евкаріотичні безхлорофільні організми.
6. Сапротрофи - організми, які використовують для свого живлення
рештки речовин мертвого тіла.
7. Спорангій - одноклітинний або багатоклітинний орган нестатевого
розмноження, в якому утворюються спори.
8. Паразити - організми, які живуть на поверхні або всередині іншого
організму і живляться за рахунок його поживних речовин.
9. Гіфи - коренеподібні вирости грибів та водоростей, що служать для
закріплення та поглинання води.
10. Спори - нитчасті утворення, сплетіння яких утворюють міцелій.
+ + - + + + + + - -
1 2 3 4 5 6 7 8 9 10
Додаток 63 Б
Різноманітність грибів.
 Будова: міцелій без перегородок (одноклітинний), простий або
розгалужений.
 Живлення: сапротрофи і паразити.
 Представники: синхітрум, ольпідіум капустяний, фітофтора, мукор.
 Будова: вегетативне тіло здебільшого ниткоподібне, багатоклітинне.
 Живлення: сапротрофи і паразити.
 Розмноження: вегетативне, нестатеве, статеве.
 Представники: пеніцил, аспергил, дріжджі, трутовики, сажкові, іржасті
гриби.
Додаток 63 В
Лабораторна робота
Тема: Особливості будови нижчих грибів.
Мета: ознайомитися з будовою нижчих грибів на прикладі мукора;
визначити особливості будови нижчих грибів.
Хід роботи: 1. Розгляньте неозброєним оком цвіль на продуктах.
Нижчі гриби
Клас Ооміцети Клас Зигоміцети
Клас
Хитридіоміцети
Вищі гриби
Клас Аскоміцети
Клас
Бозидіоміцети
Клас
Дейтероміцети
2. Розгляньте мікропрепарат білої цвілі мукора за
допомогою мікроскопа за збільшення у 56 разів.
3. Розгляньте мікропрепарат мукора за допомогою
мікроскопа за збільшення у 300 разів. Знайдіть на
кінцях міцелію цвілі чорні головки зі спорами, а
також головки мукора, які луснули і з яких
висипалися спори. Розгляньте спори.
4. Запишіть у зошиті, якими цифрами позначено на
малюнку міцелій, головки зі спорами, спори.
1. — _____________________
2. — _____________________
3. — _____________________
5. У висновку дайте відповідь на запитання:
а) мукор є одноклітинним чи багатоклітинним
організмом?
б) що являє собою міцелій мукора?
в) де утворюються спори?
Висновок: _____________________________________________________
Урок 64
Додаток 64 А
Цвілеві гриби живляться …..
На пластинках і у трубочках шапки грибів утворюються …..
До їстівних грибів належать …..
Плодові тіла шапкових грибів слугують для…..
Додаток 64 Б
Бульби ураженої картоплі спочатку темніють, а згодом загнивають;
плоди помідорів вкриваються темними плямочками та стають
непридатними до вжитку.
Урок 65
Додаток 65 А
Кросворд «Що ви знаєте про гриби?»
1 2
3
4 5
6 7
8
9
По горизонталі:
1. Нитки грибниці. (Гіфи)
4. Гриб, плодове тіло якого перебуває під землею. (Трюфель)
5. Гриб, який завдає шкоди деревним рослинам. (Трутовик)
6. Отруйний гриб із червоною шапкою. (Мухомор)
8. Речовини, які вбивають або гальмують ріст і розмноження хвороботворних
мікроорганізмів. (Антибіотики)
9. Симбіоз міцелію гриба й коріння рослини. (Мікориза)
По вертикалі:
2. Гриб, який викликає захворювання картоплі й томатів. (Фітофтора)
3. Гриб, який не утворює грибницю. (Дріжджі)
7. Сукупність гіфів. (Грибниця)
Додаток 65 Б
Отруєння грибами і отруйними рослинами займають важливе місце серед
немікробних харчових отруєнь.
З всіх отрутних грибів найбільш небезпечним, безсумнівно, є бліда
поганка, до складу якої входять сильнодіючі токсичні речовини –
аманітогемолізин і аманітотоксин. Про грізні наслідки, зв'язаних з
випадковим її вживанням у їжу, свідчить хоча б той факт, що смертність при
даних отруєннях досягає 50% і більш.
Найбільше часто отруєння блідою поганкою спостерігаються серед
дітей, чому сприяє та обставина, що вона є смертельно небезпечним
двійником таких їстівних грибів, як печериці і сироїжки.
На другому місці по токсичності – найбільш ранні весняні гриби,
отрутним початком яких служить гельвелова кислота, що володіє
гемолітичним і гепатотропним ефектом. Через 8-10 год посля вживання в
потерпілих з'являються тривала блювота, сильні болі в животі, адінамія,
судороги і надалі розвивається жовтяниця, причому летальність може
досягати 30%.
Варто підкреслити, що гельвеловая кислота легко розчинна у воді.
Якщо проварити гриби протягом 15 хв і потім злити відвар, то вони стають
придатними в їжу. Для безпеки необхідно піддавати такій же обробці і дуже
схожі на них неотруйні гриби – зморшки.
На третьому місці по отруйності стоять мухомори, у яких містяться
мускарин, мікоатропин і інші токсини, що викликають отруєння з перевагою
нервових симптомів (слинотеча, блювота, понос, звуження зіниць,
галюцинації, марення, судороги і коматозний стан). Смертність при цих
отруєннях звичайно не перевищує 2 – 3%.
Про отруйні властивості деяких грибів людство знає вже багато століть
.такі гриби ще в Стародавньому Римі , а потім у середньовіччі ставали
грізною зброєю в боротьбі за владу. Діяла ця зброя безвідмовно – отруєння
було раптовим , а тогочасні медики не мали змоги допомогти потерпілим .
Так загинув римський імператор Клавдій- любитель грибних страв ,
римський папа Климент VII , французький король Карл VI .
Римський імператор Нерон, який зайняв престол після вбивства імператора
Клавдія , отруєний стравою з білих грибів , називав ці гриби їжею богів
Додаток 65 В
Приклади отруйних , їстівних , умовно-їстівних грибів
Отруйні гриби Умовно-їстівні гриби Їстівнв гриби
В Україні близько 80
видів , 20 видів –
небезпечні
Спричиняють отруєння Потребують додаткової
обробки
( вимочування ,
повторного кип’ятіння)
Не потребують
додаткової обробки
Мухомори , несправжні
опеньки ,несправжні
лисички , бліда поганка
Сироїжки , строчки ,
зморшки
Підберезники ,
підосичники ,
опеньки ,білі
Додаток 65 Г
Як відрізнити їстівні гриби від отруйних
Гриби-двійники
Назва їстівного гриба Назва отруйного гриба Ознаки отруйного
гриба
Білий Жовчний Верхня частина ніжки
має візерунок у вигляді
чорної сіточки , м’якоть
на зламі червоніє
Лисички Несправжні лисички Шапки червонуваті , з
надломленої шапки
виділяється біла
речовина
Опеньки Несправжні опеньки Немає плівчастого
кільця під шапкою ,
пластинки під шапкою
зеленуваті
Сироїжки Бліда поганка Наявні вольва ,
плівчасте кільце під
шапкою , неламкі
Урок 66
Додаток 66 А
Експрес – тести.
1. Як живляться шапкові гриби?
а) сапротрофно; б) фотосинтез;
в) паразитичний спосіб живлення; г) хемосинтез.
2. Шапкові гриби розмножуються:
а) вегетативно; б) спорами; в) статево.
3. Спори шапкових грибів утворюються:
а) у грибниці; б) у ніжці; в) на нижній частині шапки.
4. Гриб з коренів поглинає речовини:
а) мінеральні; б) органічні; в) воду.
5. Корені дерев одержують від гриба речовини:
а) мінеральні; б) органічні; в) воду.
6. Плодові тіла грибів складаються з:
а) гіфів; б) спор; в) крохмалю; г) білків.
Додаток 66 Б
№п/п Етап роботи Результат
1 Ключове питання - Пояснити відносність понять
«отруйний» -« неотруйний» гриб
2 Допоміжні
питання(тематичні)
Що вам відомо про значення грибів в
природі і житті людини ?
Чи завжди воно є позитивним ?
3 Існуючі джерела:
Літературні
Інтернет
Інтерв’ю
Відеоматеріали
Фотоматерфали
Я знайшов інформацію у …..
4 Ключові слова до
відповіді на
Перше питання…..
Друге питання…..
5 Фотокоментарі,
малюнки
6 Висновки
7 Я обов’язково усіх
здивую:
- Естетичним
оформленням…
- Цікавими
малюнками…
- Коротким і цікавим
текстом …
Урок 68
Додаток 68 А
Гра «Напиши книгу»
Великий німецький поет – природолюб Й.Гете назвав природу книгою, всі
сторінки якої сповнені глибоким змістом. Ми теж читаємо цю книгу. Але
погляньте – на деяких немає записів, та й сторінки різного кольору
Завдання
Підготуйте для відповідних сторінок книги назви живих організмів, що
мешкають:
Група 1 – у воді ( блакитного кольору);
Група 2 – на суходолі ( зеленого кольору);
Група 3 – у повітрі ( жовтого кольору);
Група 4 - у грунті ( рожевого кольору).
( Представники груп презентують свої записи)
Додаток 68 Б
Гра « Політ фантазії».
Учні готують і зачитують проблемні завдання, як готують самі. Кожен може
висловити свою думку. Відповіді повинні починатися :
Я думаю, що…
На мою думку …
Тому що…
Додаток 68 В
Інтерактивна вправа «Круглий стіл»
Тема «Круглого столу» - значення живих організмів у житті людини.
Коротко висловіть свої думки щодо теми, запишіть їх на листок і прикріпіть
на дерево, намальоване на дошці.
Урок 69
Додаток 69 А
1.Група «Систематики» - готують опорні схеми щодо місця рослин, тварин,
бактерій, грибів в системі органічного світу.
2.Група « Цитологи» - досліджують подібність та різноманітність клітин
живих організмів.
3. Група « Художники» - малюють представників живих організмів,
допускаючи при цьому помилки, для визначення правильної відповіді.
4. Група «Краєзнавці» - складають вірші, загадки, кросворди про рослин,
тварин своєї місцевості.
5. Група « Співробітники «Подільських товтр»»- досліджують
червонокнижні рослини, тварини своєї місцевості, показують необхідність
охорони природних багатств.

додатки

  • 1.
    Відділ освіти ,молоді та спорту Чемеровецької районної державної адміністрації Районний методичний кабінет ( Дидактичні матеріали ) Шановні колеги !
  • 2.
    У 2014 -2015навчальному році педагоги та учні України працюватимуть за новою програмою , затвердженою Міністерством освіти і науки, молоді та спорту України наказ Міністерства освіти і науки, молоді та спорту України від 06.06 2012 р. № 664 «Про затвердження навчальних програм для загальноосвітніх навчальних закладів ІІ ступеня» Творча група вчителів біології Чемеровецького району Хмельницької області при відділі освіти Чемеровецької РДА пропонує підбір дидактичних матеріалів , що дозволить швидко та якісно підготуватись до уроку , враховуючи особистісно-орієнтований та діяльнісний підхід у викладанні біології . Даний комплект рекомендується для використання вчителями біології. Використання посібника можливе вчителями природознавства, географії, екології та керівниками гуртків природничого циклу. Урок 1 ( Додаток 1А )
  • 3.
    Заповніть схему ( Додаток1 Б ) Виконайте завдання. Дай відповідь на запитання: 1. Що вивчають різні біологічні науки Наука Предмет вивчення ( Додаток 1В ) 1. Ботаніка – наука про тварин. 2. Біологія – наука про живі організми. 3. Анатомія – наука про особливості будови організму. 4. Мікробіологія вивчає гриби. 5. Біос з латинської мови означає ботаніку. 6. Термін « Біологія» в науку ввів Ламарк. 7. Зоологія – наука про тварин. 8. Різноманітність організмів вивчає систематика. 9. Вернацький є українським вченим 10.Біологія тісно пов’язана з хімією. 11.Знання з біології потрібні людині. 12.Мікологія – наука про гриби. Урок 3 Додаток 3А Біологія як наука Предмет вивчення Галузі використання
  • 4.
    Додаток 3Б Дайте характеристикуодному з царств живої природи.
  • 5.
    Описати до якогоцарства належить даний організм. Урок 4 Додаток 4А
  • 6.
    Завдання з виборомоднієї правильної відповіді 1. Позначте компоненти середовища життя (існування) живих організмів, А Чинники неживої природи; Б інші живі організми; В чинники неживої природи та інші живі організми. 2. Рослина має назву Люпин повзучий. Перше з цих двох слів - де назва: А виду; Б роду; В відділу; Г царства 3. Позначте одиницю, яка є основною у систематиці. А Рід; Б вид; В клас; Г відділ; Д царство. 4. Позначте науку, яка досліджує різноманітність живих організмів нашої планети. А Ботаніка; Б мікробіологія; В систематика Завдання з вибором кількох правильних відповідей 5. Позначте науки, що вивчають життя. А Ботаніка; Б зоологія; В математика; Г мікологія; Д фізика.
  • 7.
    6. Більшість лікарськихречовин отримують з: А рослин, грибів, тварин; Б продуктів життєдіяльності бактерій; В нафти і газу. 7. Позначте середовища існування живих організмів. А Наземно-повітряне; Б країна; В водне; Г ґрунт; Д область; Е самі живі організми. 8. Позначте правильні твердження. Наукові назви видів складаються з двох слів. Класифікувати організм - це визначити його місце в системі органічного світу. Біологія вивчає неживу природу. На Землі є чотири основні середовища життя. Процеси життєдіяльності організмів вивчає анатомія. Тип - це найвищий таксон у царстві Рослини. Завдання на встановлення відповідності 9. Установіть відповідність між терміном і його визначенням. 1 Група організмів, подібних за будовою, які можуть схрещуватися і давати плідне потомство. 2 Частина природи, де мешкають організми і звідки вони отримують поживні речовини. 3 Групи організмів, об'єднані за особливостями будови.
  • 8.
    4 Вивчає належністьорганізмів до тієї чи іншої систематичної одиниці. А Систематичні одиниці Б Систематика В Вид Г Середовище існування Завдання на встановлення логічної послідовності 10. Установіть логічну послідовність розміщення систематичних одиниць у системі живої природи. А Відділ; Б порядок; В вид; Г рід; Д царство; Е родина; Ж клас. 1 2 3 4 5 6 7 А Б В Г
  • 9.
    Додаток 4Б 1 група З’єднайтестрілками методи досліджень у біології та предмети її вивчення: 2 група Які методи наукового дослідження використовують для вивчення біологічних об’єктів? 3 група Чим відрізняються описові та експериментальні методи дослідження? 4 група Навіщо потрібні теоретичні методи дослідження? мікроскопія спостереження вимірювання зважування збір гербарію електронна мікроскопія склад рослинного покриву зовнішня будова листка урожайність пшениці початок цвітіння конвалії внутрішня будова листка будова вірусу
  • 10.
    Урок 5 Додаток 5А 1.Графічний диктант. (Поставити знак + , якщо твердження правильне, знак - , якщо “ ні”). 1) Цитологія – наука про будову і функції клітини. 2) Клітина – найменша структурна і функціональна одиниця живого. 3) Усі організми мають клітинну будову. 4) Ззовні клітина оточена мембраною. 5) Всередині клітина заповнена цитоплазмою. 6) У всіх рослинних організмів клітини мають ядро . 7) Цитоплазма складається з води ( близько 80 ), органічних та неорганічних сполук. 8) У ядрі містяться носії спадкової інформації про клітини та весь організм в цілому.
  • 11.
    Урок 6 Додаток 6А Підпишітьмалюнок. Додаток 6Б Заповнення таблиці. Методи цитологічних досліджень. Методи цитологічних досліджень Сутність методу
  • 12.
    Урок 7 Додаток 7А Додаток7Б КРОСВОРД "МІКРОСКОП По горизонталі: 1 — трубка, в яку вставлено головні частини мікроскопа; 2 — частина мікроскопа, до якої, серед іншого, кріпиться предметний столик; 3 — один із типів сучасних мікроскопів. По вертикалі: 4 — одна з головних частин мікроскопа; 5 — один із типів сучасних мікроскопів.
  • 13.
    Урок 8 Додаток 8А Запитання: ІЯк називаються дрібні пухирці м'якоті перестиглого кавуна, видимі за допомогою лупи? 2.У скільки разів збільшує ручна лупа? 3.Яка частина лупи є головною? 4.На чому закріплений тубус мікроскопа? 5.Як називається частина мікроскопа, на якій закріплюють об'єкт для дослідження? 6.Чим вловлюють світло, щоб просвітити об'єкт? 7.Який прилад ви використовували для розгляду клітин шкірочки цибулі? 8.Що є головною частиною мікроскопа? 9.У яку частину мікроскопа вставлені збільшувальні лінзи? Ю. Як називається система лінз, яка розміщена на верхівці тубуса? П. Як називається система лінз, які направлені на предмет, що розглядається? 12. Як називається деталь мікроскопа, за допомогою якої піднімають і опускають тубус? 13. Як називається тонкий зріз об'єкта, який розглядають під мікроскопом? 14. Як правильно встановити мікроскоп на робочому столі? 15. Чим закріплюють предметне скельце на предметному столику? 16. Куди потрібно прибрати мікроскоп після роботи?
  • 14.
    Урок 9 Додаток 9А 1.Клітина- це ... . 2.Розрізняють два основних типи клітин:... . 1.Вперше мертві клітини побачив у... році вчений... за допомогою сконструйованого ним приладу... . 3.Живі клітини вперше побачив ... у... році. Додаток 9Б Як називається: 1. Група клітин, які мають однакову будову і виконують однакові функції. 1.Збільшувальний прилад для розгляду будови клітин. 2.Ниткоподібні структури, видимі в ядрі при поділі клітини. 3.Безбарвна в'язка жива речовина клітини. 4.Порожнина клітини, заповнена клітинним соком. 5.Щільне тільце, яке знаходиться у цитоплазмі. 6.Назва лабораторного обладнання, на який кладуть об'єкт для дослідження. 8. Дуже тонка прозора пластинка, якою накривають
  • 15.
    Урок 10 Додаток 10А Розглянутималюнок. Записати назви органоїдів. Додаток 10Б Розглянути проблемні запитання. 1. Чим схожі мітохондрії і хлоропласти? Як ви думаєте, чому деякі вчені вважають, що колись ці органели були бактеріями, які вселилися в еукаріотичну клітину? 2. Назвіть подібні й відмітні ознаки рослинної і тваринної клітин. 3. Чи можуть фотосинтезувати червоні пелюстки троянди? Чому? 4. Чому одноклітинні тварини мають скоротливі вакуолі, а клітини рослин — ні? Який компонент рослинної клітини дозволяє їй обходитися без скоротливих вакуолей? 5. Червоний пігмент коренеплоду буряка міститься у вакуолях клітин, а оранжевий пігмент моркви — у хромопластах. Поясніть, чому під час варіння буряка його пігмент яскраво забарвлює воду, а моркви — колір води практично не змінюється і лише трохи стає жовтуватим?
  • 16.
    Урок 11 Додаток 11А Розглянути клітини м'якоті плода кавуна, листка валіснерії, шкірочки цибулі, листка бегонії. Порівняти їх будову, вказати, у чому їхня подібність і відмінність. Клітина листка бегонії 5 З 2 4 Клітина м'якоті плода кавуна 5 З 4 Клітин а листка валіснерії Клітина шкірочки цибулі
  • 17.
    Урок 12 Додаток 12А Переписатитекст, вставляючи пропущені слова. Клітина зовні має міцну.... Під... розміщена жива безбарвна напіврідка речовина —..., в якій знаходиться округле або овальне тільце — .... У цитоплазмі розміщені порожнини — ..., заповнені..., і багаточисельні дрібні тільця - ... . Зелені пластиди називаються... . Додаток 12 Б На малюнку зображені різні стадії поділу клітини. Записати назви стадій поділу клітини відповідно до цифр 1-8. 2 група Які зміни перетерплює клітина в процесі своєї життєдіяльності? а)___________________________________________ б)___________________________________________ в)___________________________________________ Чим відрізняється молода клітина від старої? Клітина шкірочки цибулі та її зміна 5 6 7 8 2..
  • 18.
    ( Додаток 12В ) Нижче перераховані різні терміни і поняття: а)цитоплазма; ж ) хромосоми; б) дезоксирибонуклеїнова кислота; з ) генетика; в)електронний мікроскоп; і) соматичні клітини; г) органоїд, або органела; к ) диплоїдний набір; д)гаплоїдний набір; л ) гамети. е)цитологія; Вказати, які з записаних нижче означень відповідають кожному з цих термінів. 1. Наука про клітину. 2. Прилад, який дозволяє детально вивчати внутрішню будову органоїдів клітини. 3. Структури ядра, що несуть спадкову інформацію і виявляються під час поділу ядра. 4. Оформлений структурний елемент клітини. 5. Структура, яка здатна рухатись. 6. Наука, що досліджує закономірності передачі спадкових ознак. 7. Спеціальна речовина, в якій закодовані всі ознаки даного організму. 8. Набір хромосом статевої клітини. 9. Клітини тіла організму. 10. Набір хромосом соматичної клітини. 11. Спеціальні клітини, які беруть участь у заплідненні.
  • 19.
    Урок 13 Додаток 13А Метод"Мікрофон". 1. Що вивчає наука цитологія? 2. Розгадування цитологічного кросворду. Ц 1 И 2 Т 3 О 4 Л 5 О 6 Г 7 І 8 Я 1. Основна структурно-функціональна одиниця всіх живих організмів. 2. Учення про будь-яку галузь знань чи явищ життя, створене на основі узагальнення. 3. Оптичний прилад, за допомогою якого вивчають клітини. 4. Головні частини світлових мікроскопів. 5. Об’єкт, розглядаючи який, англійський фізик Роберт Гук відкрив клітинну будову рослинних тварин. 6. Оформлений структурний елемент клітини.
  • 20.
    7. Організми, клітинияких утворюють тканини, органи та їх системи. 8. Органоїд клітини, що контролює всі процеси в ній і забезпечує передачу спадкових ознак. Урок № 14 Додаток 14 А І рівень. 1.Усі організми складаються з клітин: а) так; б) усі, крім вірусів; в) ні. 2. Виберіть пластиди, що надають клітині зеленого кольору: А) лейкопласти; Б) хромопласти; В) хлоропласти; Г) правильна відповідь відсутня. 3.Вкажіть науку, яка вивчає будову клітини: А) біологія; Б) ботаніка; В) анатомія; Г) цитологія 4.Вкажіть прилади, які використовують при вивченні клітини: А)телескоп; Б) лупа; В)терези; Г) мікроскоп. 5. Напіврідкий внутрішній уміст клітини називається: А цитоплазма; Б ядро; В хромосома; Г органела. 6. Наука, що вивчає клітини, називається: А цитологія; Б біохімія; В анатомія; Г морфологія. ІІ рівень 1.Допишіть речення: Клітина - це_______________________________
  • 21.
    2.Підпишіть будову рослинноїклітини: 1. На якому малюнку зображено представника царства Рослини? 1 2 3 ІІІ рівень 1. Встановіть відповідність Ядро а) внутрішнє середовище клітини, Цитоплазма б) носій спадкової інформації; Хлоропласти в) захисна, бар'єрна функції, обмін речовин; Вакуоля Г) визначає фізичні властивості клітини; 2. Укажіть відповідність між цифрами на малюнку і частинами клітини (один варіант зайвий). А ядро; Б вакуоля; В хлоропласт; Г цитоплазма. ІУ рівень 1. Чому клітина гине, коли з неї видалити ядро? 2. Поясніть, чому клітину вважають одиницею життєдіяльності рослинного організму. Б
  • 22.
    Урок 15 Додаток 15А Біологічний диктант . Рослинний організм має ------------ будову . Ззовні клітини є щільна ------------. Крізь --------------- відбувається обмін речовин між ------------ і ------------ , що її оточує. Під ------------- розташовані ----------- та --------------- . Цитоплазма – це … . В цитоплазмі розміщуються --------------: ----------, ---------- . Основними особливостями будови рослинної клітини є наявність --------- Додаток 15 Б Лабораторні дослідження Спостереження інфузорій. Мета :ознайомитися з будовою інфузорії у природному середовищі, а також на постійних мікропрепаратах. Повторити прийоми роботи з мікроскопом. Хід роботи 1.Підготуйте мікроскоп до роботи. 2. Розмістіть краплю води, взятої з акваріума на предметному склі. 3.Не накриваючи покривним скельцем помістіть скло під об’єктив. 4.Спочатку знайдіть об’єкт вивчення при малому збільшенні ,а потім при великому. 5.Визначте форму тіла найпростіших ,їх спосіб пересування. 6.Капніть ще одну краплю води і сполучіть дві краплі між собою. В одну з них киньте кристалик солі. Що ви спостерігаєте ?Де зібрались всі найпростіші ?Як ви можете пояснити це явище? 7.Розгляньте будову різних найпростіших на постійних мікропрепаратах Знайдіть ядро, скоротливу вакуоль, травні вакуолі. Додаток 15 В Методична система « Поміч»
  • 23.
    Учні читають тексті роблять позначки: У – я це знаю; + - нова інформація для мене - - суперечить тому, що я знаю ? – дивує мене. Додаток 15 Г Аналіз опрацьованого тексту. Складання характеристика організму. Наприклад Підцарство Найпростіші. Відомо – 70 тис. Одноклітинні. Розміри – 2 – 150 мкм. Поширені у водоймах, грунтах, є паразитичні види. Здатні до руху, дихання, живлення, виділення , розмноження. Додаток 15 Д Інтелектуальна гра « Впізнай організм» Робота з німими малюнками. Впізнай організм, назви його та дай йому характеристику
  • 24.
    Урок 16 Додаток 16А Приклади сенканів Амеба Маленька, непостійна Плаває, пожирає, інцистується Здатна до фагоцитозу – захоплює тверді частинки.Клякса. Інфузорія Одноклітинна, туфлеподібна Рухається, дихає, розмножується Має два ядра –велике і мале Підошва. Евглена Видовжена, зелена Плаває, фотосинтезує, поглинає Має яскраво чутливе вічко Джгутиконосець Додаток 16 Б «Створи свою квітку.» На пелюстках написати значення і прикмети найпростіших.
  • 25.
    ? Значення найпростіших Додаток 16В Біологічний диктант Знаком «+» учні позначають правильні твердження , « -»- неправильні 1. Органелою руху інфузорії є джгутик. 2. Найпростіші належать до еукаріотів. 3. У багатьох найпростіших травлення відбувається у травних вакуолях. 4. Найпростіші живуть тільки у водному середовищі. 5. Статевий процес кон’югація властивий інфузорії – туфельці. 6. Завдяки пелікулі амеба протей має сталу форму тіла. 7. За несприятливих умов найпростіші вкриваються спорою. 8. Неперетравлені рештки в інфузорії виводяться через рот. 9. На світлі в евглени зеленої відбувається фотосинтез. 10.Інфузорія - туфелька – це хижак. 11.Амеба звичайна захоплює їжу шляхом фагоцитозу. 12.Носієм спадкової інформації у найпростіших є ядро. ( Діти обмінюються зошитами і здійснюють взаємоперевірку за ключем. Додаток 16 Г Ключ до біологічного диктанту 1 2 3 4 5 6 7 8 9 10 11 12 - + + - + - - - + + + +
  • 26.
    Урок 17 Додаток 17А Проблемне завдання про переваги одних найпростіших над іншими. Амеба протей найкраще пристосована тому що… Інфузорія туфелька- найбільш організована серед усіх найпростіших… Евглена зелена найкраще пристосована тому що… Додаток 17 Б Створення міні – проекту по проблемі: (робота в групах) 1. Хвороби, викликані дизентерійною амебою. 2. Хвороби, викликані малярійним плазмодієм. Проект готується за планом: середовище існування одноклітинного організму; ознаки хвороби, викликані найпростішим; заходи профілактики . Додаток 17 В 3. *Вправа « Логікон» ( змагання між групами за бажанням учнів) 1 - ? 3 - ? 5 - ? Лямблії 7 - ? 8 - ? 2 -? Укус малярійного комара У разі контакту зі свинями 6 - ? Через статеві контакти Укус мухи це – це Дизентерія 4 - ? Балантидіо з Лямбліоз Трихомоніаз 9 - ? Додаток 17 Г 4. Ключ до вправи «Логікон»: 1. – дизентерійна амеба; 2 – через рот з брудом, де є цисти амеби; 3 – малярійний плазмодій; 4 – малярія; 5 – інфузорія балантидій; 6 – через рот з брудною водою і продуктами; 7 – трихомонада; 8 – трипаносома; 9 – сонна хвороба
  • 27.
    Урок 18 Додаток 18А « Відстрочена відгадка». Проблемні запитання: 1. Які основні процеси життєдіяльності рослин? 2. Що є елементарною структурною одиницею рослин? 3. Що таке клітина? 4. Що утворюють групи однакових за будовою і функцією клітини? 5. Які тканини рослинних організмів вам відомі? 6. Назвіть органи рослин, які є на гербарних зразках. Додаток 18 Б Експрес –тести. 1.Як називається наука, що вивчає водорості? а) ботаніка б) цитологія в) альгологія г) мікробіологія 2. Водорості живуть у середовищі а) водному б) на сухих ділянках суші в) на вологих ділянках суші г) на суходолі. 3. За будовою водорості бувають: а) тільки одноклітинні
  • 28.
    б) тільки багатоклітинні в)одноклітинні, колоніальні, багатоклітинні 4. За типом живлення водорості є: а) сапротрофи б) автотрофи в) гетеротрофи Додаток 18 В * «Розгадай процес» Який процес ви бачите на малюнку? Поясніть його.
  • 29.
    Урок 19 Додаток 19А Гра« Політ фантазії». Кожен учень може висловити свою думку. Відповіді повинні починатися: - Я думаю, що … - На мою думку… - Тому що … Додаток 19 Б Проблемні запитання до гри « Політ фантазії» 1.Які зелені водорості зустрічаються у прісних водоймах України? 2.Чому хламідомонада відноситься до нижчих рослин. 1. Встановіть співвідношення: А. Одноклітинні зелені водорості а) улотрикс Б. Багатоклітинні зелені водорості б) хлорела в) спірогира г) ламінарія д) хламідомонада Додаток 19 В «Цікаво знати». Розпізнай дріжджі. За якими ознаками ви їх впізнали.
  • 30.
    Урок 20 Додаток 20А Гра « Напиши книгу» .Завдання Підготуйте для відповідних сторінок інформацію про: 1. Будова бактеріальної клітини. 2. Поширення бактерій в природі, їх середовища існування. 3. Розмноження бактерій. 4. Роль бактерій у природі та значення в житті людини Додаток 20Б Особливості процесів життєдіяльності бактерій. Тип живлення Автотрофи Гетеротрофи Фототрофи Хемотрофи Сапротрофи Паразити Симбіонти
  • 31.
    Додаток 20 В Заповнититаблицю "Характеристика морфологічних груп бактерій". Морфологічні групи бактерій 1. Кулькоподібні коки 2. Циліндричні бацили 3. Спіральні: а) вібріони б) спірили в) спірохети Тип диханняТип дихання АеробиАероби АнаеробиАнаероби
  • 32.
    Урок 21 Додаток 21А Експрес-тести. 1. Бактерія має будову: а) одноклітинну; б) багатоклітинну. 2. До складу бактеріальної клітини входять: а) оболонка; б) ядро; в) пластиди; г) цитоплазма; д) джгутики; ж) слизова оболонка. 3. Для бактерій характерний спосіб живлення: а) фотосинтез; б) сапротрофний; в) гетеротрофний; г) паразитичний; д) автотрофний. 4. Бактерії розмножуються: а) спорами; б) поділом клітин; в) вегетативно. 5. За несприятливих умов бактерії перетворюються: а) бактеріальні спори; б) цисти; в) пилкові зерна; г) насінини. 6. Кулясту форму мають клітини бактерій, які належать до групи: а) бацил: б) вібріонів; в) стафілококів; г) коків. Додаток 21 Б Завданнями міні – проекту « Корисний йогурт». І група « Історики»- досліджують історичні відомості про вживання кисломолочних продуктів. ІІ група «Дієтологи» - досліджують значення кисломолочних продуктів, а саме йогурту для організму людини. ІІІ група «Географи» - встановлюють поширеність вживання йогуртів в різних країнах.
  • 33.
    ІУ група «Технологи»- досліджують способи приготування йогуртів. Додаток 21 В "Мікрофон". • Сапротрофні бактерії спричиняють … • Бактерії-паразити є збудниками … • Бактерії, що живуть у ґрунті забезпечують … • Паразитичні види бактерій спричиняють … • Хвороботворні бактерії можуть переносити … • Бульбочкові бактерії оселяються на …
  • 34.
    Урок 22 Додаток 22А Парадоксальнарозповідь. Найбільш суттєва різниця між одноклітинними і багатоклітинними організмами полягає в характері харчування. Одноклітинні засвоюють потрібні їм речовини прямо з навколишнього середовища використовуючи енергію сонця . Важливу роль при цьому відіграють вакуолі в яких міститься хлорофіл. Цей процес називається хемосинтез. Багатоклітинні тварини являються сукупністю мільйонів однакових клітин , що живуть разом . Кожна така клітина може існувати самостійно. За характером живлення вони є автотрофи – тобто живляться готовими органічними речовинами, поїдаючи рослини або інших тварин. Додаток 22Б «Розпізнай організм». Поясни, за якими ознаками ви їх розпізнали 1 2 3 Додаток 22В «Продовж думку» 1. У багатоклітинних організмів кожна окрема клітина … 2. Переважна більшість губок живуть у ….водоймах. 3. Губки можуть розмножуватись…. 4. Вольвокс – це ….організм
  • 35.
    5. Ульва відноситьсядо царства …. Урок 23 Додаток 23 А І рівень 1.Тіло одноклітинних організмів виконує: а) одну функцію б) декілька функцій в) усі функції 2.Для евглени зеленої характерні типи живлення: а) мікотрофне б) автотрофне в) гетеротрофне 3 .Гриби – організми: а) тільки одноклітинні; б) тільки багатоклітинні; в) як одноклітинні так і багатоклітинні. Вкажіть правильну відповідь («так» чи «ні»): 4. Водорості живуть тільки у воді. 5.Водорості живуть тільки в солоній воді. 6.Серед водоростей є одноклітинні й багатоклітинні ІІ рівень 1. Під час сходження тіста дріжджі масово розмножуються: а) брунькуванням; б) спороутворенням; в) статевим способом; г) різними способами. 2.Основними відділами водоростей є:… 3.Хлоропласт у хламідомонади має форму… 4. Завдяки діяльності молочнокислих бактерій виробляють: а) вершкове масло; б) вершки; г) йогурт. 5. Терміном "міцелій" у грибів називають: а) грибницю; б) шапку на ніжці; в) спосіб розмноження.
  • 36.
    6. Гриби можутьзростати: а) тільки у воді; б) тільки всередині іншого організму; в) тільки у ґрунті; г) у всіх перелічених вище умовах III рівень. 1. Хламідомонада за несприятливих умов життя: а) розмножується простим поділом; б) відкидає джгутики; в) розмножується статевим способом; г)припиняє фотосинтез. 2. Водорості живляться: а)синтезуючи необхідні речовини під час фотосинтезу; б)вбираючи поживні речовини з води; в) вбираючи поживні речовини з дна водойм. 3.Встановіть співвідношення: 1. Циста а) захист клітин; 2. Капсула б) збереження спадкової інформації; 3. Ядерна речовина в) перенесення несприятливих умов. IV рівень. (На вибір) 1.Доведіть, що одноклітинна водорість є окремим організмом. 2. Як слід поводити себе, щоб запобігти бактеріальним захворюванням?
  • 37.
    Урок 24 Додаток 24А Запитання для бесіди. 1. Що вивчає біологія? 2. Які галузі біології ви знаєте? 3. З якими науками біологія має тісний зв’язок? 4. Які українські вчені зробили суттєвий внесок у розвиток сучасної біології? 5. Яка галузь біології вивчає класифікацію і номенклатуру живих організмів? Додаток 24 Б Порівняльна характеристика царств живих організмів, які розглядаються в межах шкільної програми. Царство Які організми включає Особливості будови й життєдіяльності Віруси Віруси Неклітинна форма життя. Можуть розмножуватися тільки в клітинах інших організмів Дроб’янки Бактерії, ціанобактерії У клітинах немає ядра. Відрізняються значним різноманіттям біохімічних
  • 38.
    Царство Які організми включає Особливості будовий життєдіяльності процесів у клітинах Гриби Гриби У клітинах є ядра. Необхідні для життя речовини поглинають з навколишнього середовища через поверхню тіла. Потрібні для організму сполуки синтезують за рахунок готових органічних речовин Рослини Водорості, вищі спорові рослини, насінні рослини У клітинах є ядра. Необхідні для життя речовини споживають із навколишнього середовища з допомогою травної системи. Потрібні для організму сполуки синтезують з неорганічних речовин, використовуючи енергію світла Тварини Найпростіші, безхребетні тварини, хребетні тварини У клітинах є ядра. Необхідні для життя речовини поглинають з навколишнього середовища через поверхню тіла. Потрібні для організму сполуки синтезують за рахунок готових
  • 39.
    Царство Які організми включає Особливості будовий життєдіяльності органічних речовин Додаток 24 В Дати відповіді на питання . Який учений заклав основи сучасної систематики? Що таке таксон? Яка систематична категорія є найдрібнішою? Які царства живих організмів ви знаєте?
  • 40.
    Урок 25 Додаток 25А Заповнити таблицю. Питання для порівняння Фотосинтез Дихання 1.Вихідні речовини 2. У яких клітинах відбувається 3. Енергія витрачається чи вивільняється 4. Кінцеві речовини 5.У який час доби відбувається
  • 41.
    Урок 26 Додаток 26А Тестова перевірка навчальних досягнень: 1. Фотосинтез у клітинах рослин відбувається в : А) ядрі, б) хлоропластах, в) вакуолях. 2. Під час фотосинтезу рослини поглинають: а) кисень, б) вуглекислий газ, в) органічну речовину. 3. Під час фотосинтезу рослини виділяють: а) кисень, б) вуглекислий газ. 4. Процес фотосинтезу відбувається тільки при сонячному світлі, а при штучному – ні : а) так, б) ні, в) власний варіант відповіді. 5. Під час дихання рослини поглинають : а) кисень, б) вуглекислий газ. 6. Під час дихання рослини виділяють : а) кисень, б) вуглекислий газ. Додаток 26 Б Вправа “Лови помилку “ ( Учитель пропонує твердження , діти реагують оплеском , якщо твердження неправильне . Наприклад : Мінеральне живлення – це надходження та засвоєння з грунту розчинених у воді неорганічних та деяких органічних речовин. Органічні добрива – це азотні , фосфорні, калійні. Добрива можна вносити в грунт в необмеженій кількості
  • 42.
    Урок 27 Додаток 27А Заповнититаблицю Основні частини клітини Будова і функції 1. Оболонка Обмежує її вміст , захищає її від несприятливих впливів довкілля 2. Цитоплазма Містяться органели 3. Пластиди Накопичуються запасні поживні речовини 4. Вакуолі Підтримують тиск всередині клітини, сприяють збереженню її сталої форми 5. Ядро Носій спадкової інформації 6. Клітинні включення Тимчасові утвори 7. Хлоропласти Відбувається фотосинтез Додаток 27 Б “ Карусель”: ( Клас об’єднується в 2 ланки , у кожній з яких утворюються пари ( 2ряди парт та пари учнів , що сидять за однією партою.) Склад ланок є постійним , пари змінні , з одного боку ряду діти сидять на своїх місцях , а з іншого пересідають , рухаючись уздовж ряду. Ланки отримують однаковий пакет завдань , а кожна пара працює над якимось одним питанням. Учні в парах разом обговорюють своє завдання, по завершенню склад пар змінюється. У новоутворених парах діти діляться один з одним інформацією, якою вони оволоділи під час роботи у першій парі . Вправа продовжується до тих пір , доки не утворяться початкові пари.) Завдання для ланок: “Будова і функції основних частин рослинної клітини”: 1 пара - будова і функції оболонки 2 пара - будова і функції цитоплазми
  • 43.
    3 пара -будова і функції ядра 4 пара - основні органели клітини , їх функції. Додаток 27 В Графічний диктант. (Поставити знак + , якщо твердження правильне, знак - , якщо “ ні”). 1.Цитологія – наука про будову і функції клітини. 2.Клітина – найменша структурна і функціональна одиниця живого. 3.Усі організми мають клітинну будову. 4.Ззовні клітина оточена мембраною. 5.Всередині клітина заповнена цитоплазмою. 6.У цитоплазмі містяться лише пластиди і вакуолі. 7.У всіх рослинних організмів клітини мають ядро . 8Цитоплазма складається з води ( близько 80 ), органічних та неорганічних сполук. 9.У ядрі містяться носії спадкової інформації про клітини та весь організм в цілому. 10.Клітинні включення є постійними утворами в цитоплазмі. Урок 28 Додаток 28 А Біологічний диктант
  • 44.
    Рослинний організм має------------ будову . Ззовні клітини є щільна ------------. Крізь --------------- відбувається обмін речовин між ------------ і ------------ , що її оточує. Під ------------- розташовані ----------- та --------------- . Цитоплазма – це … . В цитоплазмі розміщуються --------------: ----------, ---------- . Основними особливостями будови рослинної клітини є наявність --------- . Додаток 28 Б Використовуючи нижче названі особливості будови і функцій різних типів тканин заповніть таблицю . ТИПИ ТКАНИН Особливості будови Значення Твірна Покривна Основна Провідна Механічна Особливості будови : 1) складаються з живих або мертвих клітин з міцною клітинною оболонкою; 2) складаються з живих дрібних клітин , які мають тоненькі стінки та великі ядра ; 3) утворені зімкнутими живими або мертвими клітинами , які вкриті захисними речовинами; 4) утворені живими або мертвими видовженими клітинами , стінки яких мають дрібні отвори ; 5) складаються з живих клітин і добре розвинених міжклітинників. Значення : 1) забезпечують висхідний та низхідний плин речовин ; 2) надають рослинні пружності та підтримують її органи в певному положенні ; 3) дають початок іншим типам тканин; 4) відмежовують органи рослин від зовнішнього середовища;
  • 45.
    5) забезпечують фотосинтез,запасання поживних речовин та води газообмін тощо. Додаток 28 В Продовж думку - Основними органами рослин є … - Органи поділяються на …. - До вегетативних органів відносяться … - До генеративних органів відносяться … - Вегетативні органи забезпечують … розмноження . - Генеративні органи забезпечують … Урок 29 Додаток 29 А Парадоксальна розповідь “
  • 46.
    ( Учні поділяютьсяна 2 групи . Кожна з яких отримує конверт із текстом , де необхідно знайти свідомо допущені вчителем помилки , і виправити їх .) Корінь – це осьовий підземний орган рослини . Корінь слугує тільки для забезпечення рослини розчинами мінеральних речовин . У кожної рослини є головні та бічні корені . Додаткові корені виникають будь-де , чи то на стеблах , листках але тільки не на коренях . Коренева система – це сукупність додаткових та головних коренів . Кореневі системи бувають стрижневі , мичкуваті та змішані . У стрижневій кореневій системі немає головного кореня або він слабо розвинений . У мичкуватій кореневій системі виділяється головний корінь . Людина не може впливати на формування кореневої системи у культурних рослин Додаток 29 Б Заповніть таблицю : Зона кореня Особливості будови Функції Урок 30 Додаток 30 А Метод “Мікрофон “: 1) Корінь – це … 2) Види коренів :… 3) Бічні корені – це корені , які ..
  • 47.
    4) Коренева система– це сукупність … 5) Є два типи кореневих систем … 6) У мичкуватій кореневій системі .. 7) Стрижнева коренева система характеризується… 8) Мичкувату кореневу систему мають .. 9) У кореня виділяють такі зони … 10) Корінь виконує функції … 11) Пікірування кореня проводять , щоб … 12)Корінь у довжину росте за рахунок … Урок 31 Додаток 31 А Вправа „Доповни речення.” 1. Пагін – це комплексний орган, який має................................................................
  • 48.
    2. Пагін, навідміну від кореня, має........................................................................... 3. Пагін розвивається з................................................................................................... Додаток 3 1 Б Заповни таблицю „Значення складових частин пагона.” № Назва частини Функції частини пагона 1 Стебло 2 Листки 3 Бруньки Додаток 31 В Різноманітність стебел. ( Опорна схема) Стебло - це... Різноманітність Різноманітність стебел за стебел за твердістю. спрямованістю росту. Додаток 31 Г Вивчення схеми внутрішньої будови стебла. 3. Лабораторна робота Тема: Внутрішня будова стебла у зв'язку з його функціями. Мета: Вивчити внутрішню будову стебла у зв'язку з його функціями, поглибити знання учнів про тканини рослин.
  • 49.
    Обладнання та матеріали:Набір поперечних зрізів стебел дерев'янистих рослин, лупи. Хід роботи. 1. Розгляньте поперечний зріз стебла та знайдіть кору, камбій, деревину та серцевину. 2. Порівняйте зріз з малюнком підручника та вкажіть чим утворена кора. 3. Знайдіть на зрізі камбій і вкажіть товщину цього шару та розміри клітин. 4. Розгляньте шар зрізу, який розташований під камбієм. Чим відрізняються клітини цього шару від інших? 5. Знайдіть серцевину. 6. Заповніть таблицю. Таблиця. Будова і функції стебла. № Будова Взаємозв'язок будови і функцій. 1 Один шар щільно зімкнутих клітин, які виконують захисну функцію. 2 Багатошарова мертва тканина, стінки клітин якої просякнуті жироподібними Речовинами і яка виконує захисну функцію. 3 Багатоклітинний шар з паренхім них живих клітин, які мають тонкі оболонки, що виконують захисну функцію та забезпечують газообмін. 4 Тканина з дрібних тонкостінних клітин, здатних
  • 50.
    швидко ділитися, зарахунок якої відбувається потовщення стебла. 5 Тканина з мертвих порожнистих трубок. 6 Тканина з живих витягнутих трубок. 7 Шар з великих паренхімних тонкостінних клітин, в яких про запас відкладаються поживні речовини. ВИСНОВОК: Стебло складається з таких тканин як........................................ Клітини стебла утворюють ..... основні шари................................................... Кора виконує ........................... функцію, а камбій забезпечує ріст стебла в.......................................................................... , деревина забезпечує ................................................................ функції, а серцевина................................. функцію. Транспорт речовин здійснюють.......................................................... Урок 32 Додаток 32 А Вправа „ КУТИ”. (За кількістю кутів у класній кімнаті учні формують чотири групи і обирають
  • 51.
    поставлені завдання, яківиконують і представляють.) І. Зовнішня будова листка. 1 група. Будова листка: 1. 2. 3. 4. Функції листка: - Фотосинтез – це....................................................................... - Транспірація –це.................................................................... - Газообмін - це....................................................................... 2 група. Типи листкорозміщення: 1....................................................................................... Наприклад: 2....................................................................................... Наприклад: 3...................................................................................... Наприклад: 3 група. Різноманітність листків: - за формою листкової пластинки:................................................................................
  • 52.
    - за формоюкраїв листкової пластинки...................................................................... за структурою: прості: черешкові - ......................................................................................................... сидячі - ............................................................................................................... складні: трійчасті - ........................................................................................................... пальчасті - ........................................................................................................... перисті - .............................................................................................................. 4 група. Жилкування листків: - Сітчасте - .............................................................................................................. Наприклад:........................................................................................................ - Дугове- ................................................................................................................. Наприклад:........................................................................................................ - Паралельне - ........................................................................................................ Наприклад:........................................................................................................
  • 53.
    Додаток 32 Б Демонстрування. 1.Розгляньтетимчасовий мікропрепарат шкірки листка традесканції чи пеларгонії у мікроскоп. 2. Знайдіть верхню та нижню шкірки, клітини фото синтезуючої тканини, судинно-волокнистий пучок, міжклітинники. 3. Зробіть висновок. Висновок: Листки зверху і знизу вкриті..................................................... В шкірці розташовані ............................. , які забезпечують........................ Основу листка складають клітини.................................. , які містять............ ......................... .Транспортну функцію в листку виконує............................ тканина, яка розташована у .......................................... пучках. Додаток 32 В . Експрес-тести. 1.У більшості рослин продихи розташовані: а) у верхній шкірці; б) у нижній шкірці; в) у верхній і нижній шкірці. 2. Функцію фотосинтезу виконують: а) епідерма; б) судини; в) стовпчаста паренхіма. 3. Сидячими називають листки6 а) в яких не відбувається фотосинтез; б) які не мають черешка; в) які повільно ростуть. 4. Складний листок відрізняється від простого тим, що: а)його листкова пластинка розділена на лопаті; б) має кілька листкових пластинок на одному черешку.
  • 54.
    5. Жилки забезпечуютьу листках: а) механічний захист; б) запас поживних речовин; в) транспорт води і поживних речовин; г) фотосинтез. 6. Через продихи в листках відбувається: а) фотосинтез; б) газообмін; в) дихання; г) транспірація. Урок 33 Додаток 33 А Життя дерев в помірних широтах строго підпорядковане річному циклу. І щоосені по цьому вічному природному "розкладу" у лісах, парках і садах
  • 55.
    починається листопад. Явищедля нас настільки звичне, що багато хто навіть не замислюються, наскільки складний цей процесс, і яке мудре рішення обрала природа для захисту рослин від холодів. — природне явище опадання листків у рослин. Листки опадають масово в певні періоди, або поступово протягом тривалого часу. В основі листопаду, здебільшого лежать фізіологічні зміни в листках. Масовий листопад — корисне пристосування до переживання періодів з несприятливими умовами існування. У рослин помірних зон листопад відбувається восени, у більшості рослин зон жаркого клімату — з настанням посушливого періоду. Перед листопадом в листковій пластинці послаблюється обмін речовин і біля основи її утворюється віддільний шар з паренхімних клітин, які легко роз'єднуються. Місце прикріплення листка до пагона вкривається захисним шаром корку. Під впливом ваги листка, атмосферних опадів і поривів вітру, зв'язаний з листком судинно-волокнистий пучок розривається, і листок відпадає. Іноді у відмираючих листків віддільний шар клітин не встигає утворитися, і вони залишаються протягом тривалого часу на рослині. Листопад , викликаний штучно, називається. дефоліацією. Для чого потрібний деревам листопад? Листки - це легені дерева. Без них неможливий фотосинтез - процес, що є для рослини й подихом, і харчуванням одночасно. Найкраще фотосинтез протікає, коли дереву досить світла й тепла. Тому з першими променями весняного сонця вони починає розпускати юні клейкі листочки. Але в зимові холоди листки стають тягарем. І перша причина, що спонукує дерево позбутися від пишної крони - це недолік вологи й холод. Узимку верхній шар ґрунту промерзає, і добувати з нього воду стає неможливо. Листки випаровують дуже велику кількість вологи. Якби рослина не скинула їх у зимові холоди, воно загинуло б від спраги. Ще один вагомий привід позбутися від листя - зимові опади. Буває, навіть без листів сніг і іній, налипаючи на гілки, своєю масою ламають дерево. А уявіть, скільки такого вантажу накопичувалося би на листках! Деякі дерева дожили б до весни в цілості й схоронності. Підготовку до осіннього листопаду рослина починає заздалегідь. У серпні- вересні на черешку листка виростає гладка перегородка - так званий корковий шар. Збільшуючись в об’ємі , він поступово відокремлює черешок від гілки. Якийсь час листок ще тримається за рахунок "водоносних" посудин, однак варто налетіти легкому вітру, і він обпадає.
  • 56.
    Вірною ознакою того,що листопад незабаром почнеться, є пожовтіння або почервоніння листя. Це відбувається тому, що від недоліку денного світла не встигає відновлюватися хлорофіл - речовина, що бере участь у процесі фотосинтезу й забарвлює листок у зелений колір. Його поступово заміщають інші речовини, листок змінює забарвлення. Урок 34 Додаток 34 А Додаток 1.Різноманіття видозмін наземних вегетативних органів
  • 57.
    Видозміна пагона Особливості будови Бульба Значнопотовщений м’ясистий пагін. Має лускоподібні листки (брівки), у пазухах яких розташовані бруньки (вічка) Столон Тонкий знебарвлений підземний пагін, на якому формуються бульби Цибулина Надземний або підземний укорочений пагін з лускоподібними сухими або соковитими листками і вкороченим стеблом (денцем) Кореневище Підземний пагін багаторічних рослин, який зовні схожий на корінь. У пазухах лускоподібних листків має бруньки Колючки Тверді гострі пагони без листків або з недорозвиненими листками Вусик Тонкий чіпкий пагін, який виходить з пазухи листка Соковите стебло Товстий м’ясистий пагін, пристосований для накопичення і збереження великої кількості
  • 58.
    Видозміна пагона Особливості будови вологи Додаток 34Б Різноманіття видозмін підземних вегетативних органів Рослина Тип кореневої системи Наявні види коренів Видозміни коренів головного бічних Пшениця Морква Буряк Жоржина Горох
  • 59.
    Додаток 34 В Лабораторнаробота № 6. Видозміни вегетативних органів. Мета: ознайомитися з різноманітністю пагонів і особливостями будови їх видозмін. Обладнання й матеріали: живі або гербарні зразки видозмінених пагонів картоплі, цибулі, пирію, капусти, зошит, підручник. Хід роботи 1. Розгляньте наявні у вас пагони рослин, знайдіть на них вузли й міжвузля. 2. Розгляньте видозмінений пагін картоплі. Відмітьте особливості його будови й занесіть їх у таблицю. 3. Розгляньте видозмінений пагін цибулі. Відмітьте особливості його будови й занесіть їх у таблицю. 4. Розгляньте видозмінений пагін пирію. Відмітьте особливості його будови й занесіть їх у таблицю. 5. Розгляньте видозмінений пагін капусти. Відмітьте особливості його будови й занесіть їх у таблицю. 6. Розгляньте видозміни коренів у моркви, буряка і жоржини. 6. Заповніть таблицю і зробіть висновок, у якому вкажіть, яке значення для рослин мають видозмінені пагони. Рослина Видозміна пагона Особливості будови видозміненого пагона Картопля Цибуля Пирій
  • 60.
    Капуста Буряк Морква Жоржина Урок 35 Додаток 35А Вправа «Пригадай» 1. Пригадайте , що забезпечує безперервність та наступність життя організмів? 2. Які способи розмноження вам відомі? 3. Чому розмноження є важливою ознакою живих організмів?
  • 61.
    Додаток 35 Б. Опорна схема Типи розмноження Нестатеве Статеве здійснюється спорами , здійснюється спеціалізованими зооспорами, частинами тіла клітинами – гаметами) Додаток 35 В . Метод «Дискусії» . • Яке біологічне значення має вегетативне розмноження? • Які способи вегетативного розмноження ви застосовували на присадибній ділянці чи з кімнатними рослинами? Урок 38 Додаток 38 А Лабораторна робота Будова та різноманітність квіток Мета: ознайомити з будовою квітки; довести , що квітка є органом розмноження.
  • 62.
    Обладнання і матеріали:гербарні колекції квіток рослин, квітки кімнатних та декоративних рослин, підручник. Хід роботи 1. Розгляньте квітку. Знайдіть квітконіжку, квітколоже, оцвітину, головні частини квітки. 2. Розгляньте квітку, підрахуйте число чашолистків, пелюсток, тичинок, маточок. 3. Визначте тип оцвітини, чашечки, віночка. 4. Розгляньте будову тичинки, пиляка за допомогою лупи. 5. Розгляньте будову маточки. Розріжте завязь упоперек, розгляньте її під лупою. 6. Вивчену вами квітку опишіть за наведеним далі планом. Підкресліть ознаку, характерну для вашої квітки. Ознака Її характеристика Кількість членів квітки ділиться на 1. Три. Чотири. П’ять. Тип оцвітини 1. Проста. 2. Подвійна. Чашечка 1. Вільно листа. 2. Зросло листа. Віночок 1. Вільно пелюстковий. 2. Зрослопелюстковий. Забарвлення віночка 1. Неяскраве. 2. Біле. 3. жовте. 4. Червоне. 5. Рожеве.6. Синє. 7. Фіолетове. Симетрія квітки 1. Правильна. 2. Неправильна. 3. Асиметрична. Наявність тичинок та маточок 1. Двостатева. 2. Маточкова. 3. Тичинкова. Що міститься усередині пиляка 1. Насінина. 2. Чоловічий гаметофіт. 3. Жіночий гаметофіт. Що міститься усередині завязі 1. Насіння. 2. Насінний зачаток. 3. Чоловічий гамет офіт. 4. Жіночий гамет офіт. Формула квітки Ч П А Г Висновок:____________________________________________________ _____________________________________________________________
  • 63.
    Урок 39 Додаток 39А Гра “Далі, далі”. Умови гри. Вчитель дає запитання і кидає м’яч одному із учнів Учень ловить м’яч і дає відповідь. Якшо відповідь правильна ,то вчитель говорить “Молодець” і м’яч повертається до нього. Якщо відповідь не правильна то , вчитель говорить «Далі» і учень кидає м’яч іншому учневі.  Квітка-це.... .  Вісь квітки називається... .
  • 64.
     Верхня розширеначастина квітки називається... .  Оцвітина- це... .  Оцвітина буває... .  Віночок може бути... .  Головними частинами квітки є... .  Маточка складається з... .  Тичинка складається з... .  Квітки можуть бути... . Додаток 39 Б Мікрофон  Суцвіття- це... .  Суцвіття бувають... .  Прості суцвіття від складних відрізняються тим , що... .  Я знаю такі прості суцвіття... .  Я знаю такі складні суцвіття... . Урок 40 Додаток 40 А Гра ”Біологічна естафета”. (На парті у кожного учня гербарний зразок рослини і перфокартка. Завдання: назвати рослину та визначити тип суцвіття. Учні по черзі передають естафетну паличку і виконують завдання). Китиця Груша Зонтик Черемха
  • 65.
    Складний зонтик Примула КошикПодорожник Колос Кульбаба Складний колос Береза Щиток Пшениця Волоть Овес Сережка Морква Додаток 40 Б Структурно-логічна схема Типи запилення САМОЗАПИЛЕННЯ ПЕРЕХРЕСНЕ ШТУЧНЕ ПРИРОДНЕ (здійснюється людиною) Вітром (анемогамія) Комахами (ентомогамія) Водою (гідрогамія) Птахами (орнітогамія) Додаток 40 В Цифровий диктант Кодові питання 1. Які частини квітки є головними? 2. Квітки яких рослин запилюються комахами? 3. Квітки яких рослин запилюються вітром? 4. У яких рослин відбувається самозапилення? 5. Які пристосування у рослин до запилення вітром? 6. Які пристосування у рослин до запилення комахами? 7. Для чого проводять штучне запилення? 8. Що приваблює комах у квітках? Код 1. Пилок, нектар. 2. Льон, картопля, пшениця. 3. Великі яскраві квіти, запах. 4. Маточка і тичинки. 5. Одержання високих врожаїв, виведення нових сортів.
  • 66.
    6. Мак, вишня, соняшник. 7. Маленькі квіти, дрібний, легкий, сухий пилок. 8. Вільха, береза, ліщина, жито. Урок 41 Додаток 41 А Структурно-логічна схема. Пилкове зерно пилкова труба пилковхід зародковий мішок злиття гамет запліднення.
  • 67.
    Додаток 41 Б Схема«Результат подвійного запліднення.» З зав’язі з зиготи Плід зародок насінини Результат подвійного запліднення з насінного з покриву з триплоїдної зачатку насінного зачатку клітини насінина шкірочка насінини ендосперм насінини Урок 42 Додаток 42 А Покриви насінного Зигота Центральна клітина зачатка
  • 68.
    насінна шкірка зародокзапасні речовини Залежно від того де знаходяться поживні речовини розрізняють Білкове насіння Безбілкове насіння (поживні речовини містяться (поживні речовини містяться в ендоспермі ) в сім’ядолях ) Додаток 42 Б Лабораторна робота Тема: Будова насінини. Мета: ознайомитися з будовою насінини квасолі та пшениці, сформувати уявлення про насінину, як зародок, що містить зародкові органи квіткової рослини і запас поживних речовин. Обладнання: сухе та набубнявіле насіння квасолі та пшениці, ванночки, препарувальні голки, лупи. Хід роботи. 1. Розгляньте сухе та набубнявіле насіння квасолі. Порівняйте їх. 2.За допомогою препарувальної голки та пінцета відокремте насінну шкірку квасолі та знайдіть зародок. 3. Використовуючи лупу розгляньте зародок насінини. Знайдіть сім’ядолі, зародковий корінець, зародкове стебельце і брунечку з листочками . 4. Замалюйте будову насінини квасолі. 5. За поданою схемою розгляньте насінину пшениці. 6. Виконайте завдання та зробіть висновки. Порівняння будови насіння квасолі та пшениці.
  • 69.
    Назва рослини Дводольна чи однодольна рослина Чим вкрита насінина З чого складається зародок насінини Дезнаходяться поживні речовини Квасоля Пшениця Додаток 42 В Метод «Мікрофон». • Які способи поширення насіння та пристосування до поширення вам відомі? Наведіть приклади. • Які умови необхідні для проростання насіння? Проблемне запитання. • Яке біологічне значення насінини? Урок 43 Додаток 43 А Біологічний диктант. Потрапивши на приймочку маточки пилкове зерно..., утворюється..., яка росте в бік зав’язі.В пилковій трубці знаходяться… .Пилкова труба доростає до… . Один із сперміїв зливається з…, відбувається запліднення і утворюється… . Другий спермій зливається з…. Від першого злиття розвивається…, а від другого… . Насінний зачаток після запліднення перетворується на…, з його покривів утворюється…
  • 70.
    Додаток 43 Б Плід-це утворення , яке складається з однієї чи кількох насінин та оплодня. Плоди Сухі Соковиті Розкривні Нерозкривні прості складні Коробочка горіх кістянка супліддя листянка сім’янка ягода багатокістянка Біб горішок Стручок крилатка Стручечок зернівка Додаток 43 В Лабораторна робота №10 Будова та різноманітність плодів Мета: ознайомитись з будовою плоду на прикладі кістянки або ягоди; навчитись визначати типии плодів залежно від будови оплодня, кількості насінин. Обладнання: сухі і соковиті плоди в гербарії, натуральні, муляжі. Хід роботи 1. Розгляньте запропонований соковитий плід. Зверніть увагу на шкірястий зовнішній шар оплодня. 2. Розріжте плід на дві половини. 3. Розгляньте середній (мезокарп) та внутрішній (ендокарп) шари. Зясуйте, мясисті чи деревянисті вони. Полічіть кількість насінин. 4. Визначте за вивченими особливостями тип плода. 5. Намалюйте в розрізі соковитий плід, з яким ознайомилмся. Підпишіть шари цифрами, під якими їх перелічено. 6. Розгляньте плоди. Знайдіть соковиті й сухі. 7. соковиті плоди поділіть на однонасінні та багатонасінні. Визначте їхні типии.
  • 71.
    8. Поділіть сухіплоди на однонасінні та багатонасінні. Визначте їхні типии. 9. Результати досліджень занесіть до таблиці. Назва рослини Соковитий чи сухий Однонасінний чи багатонасінний Тип плода Висновок. Друга частина інтеракції проводиться із застосуванням технології «Акваріум». Проблемне завдання для І групи:  Яке значення мають плоди і насіння в природі і житті людини. Проблемне завдання для ІІ групи:  Як розповсюджуються плоди і насіння. Додаток 43 Г  Плід- це... .  Плоди бувають ... .  Я знаю такі типи сухих плодів... .  Сухі розкриваючі плоди- це… .  Сухі нерозкриваючі плоди – це… .  Соковиті прості плоди – це… .  Соковиті складні плоди – це… . 2. Заповнити схему «Способи поширення плодів» 3. Закінчити речення, вказавши назви рослин. «Способи поширення плодів» 4. Розв’язати кросворд «Сухі нерозкривні плоди» Урок 45 Додаток 45 А «Експрес-опитування» 1. Які основні процеси життєдіяльності рослин? 2.Що є елементарною структурною одиницею рослин? 3.Що таке клітина?
  • 72.
    4.Що утворюють групиоднакових за будовою і функцією клітини? 5.Які тканини рослинних організмів вам відомі? 6.Назвіть органи рослин, які є на гербарних зразках Додаток 45 Б Лабораторна робота виконується згідно інструктивних карток. Завдання 1. Робота з натуральними об’єктами одноклітинних водоростей. Завдання 2. Робота з постійними мікропрепаратами спірогіри. Додаток 45 В Вибрати правильні відповіді. 1.Як називається наука, що вивчає водорості? а) ботаніка б) цитологія в) альгологія г) мікробіологія 2. Водорості живуть у середовищі а) водному б) на сухих ділянках суші в) на вологих ділянках суші г) на суходолі 3. За будовою водорості бувають: а) тільки одноклітинні б) тільки багатоклітинні в) одноклітинні, колоніальні, багатоклітинні 4. За типом живлення водорості є: а) сапротрофи б) автотрофи в) гетеротрофи Додаток 45 Г Метод «Мікрофон» Передаючи «мікрофон» по ланцюжку, учні відповідають на запитання з вивченої теми, доповнюючи один одного.
  • 73.
    Заповнити таблицю напідставі виконаної роботи. Об’єкти Ознаки Одноклітинні водорості Багатоклітинні водорості Середовище існування Одно чи багатоклітинна водорість Форма тіла Наявність органел Кількість і форма хлоропластів Наявність органів руху Розміщення піреноїдів Урок 46 Додаток 46 А Експрес-опитування. Учневі дається запитання, якщо він не відповідає, питання переходить до другого учня. - чим Рослини відрізняються від інших царств?
  • 74.
    - якими формамиживих організмів представлено царство Рослини? - коли і де з’явилися перші рослини? - на які дві групи умовно поділяють царство Рослини? - чому водорості відносять до нижчих спорових рослин? Інтерактивний метод “Біологічна мозаїка” Групи учнів отримують картки, на яких запропоновано набір слів, з яких потрібно скласти задані поняття. Наприклад: водоростей, називається, тіло, слань. Додаток 46 Б Тема. Будова мохоподібних. Мета: Ознайомитися з будовою листостеблових мохів, вияснити ознаки пристосовуваності до умов існування. Обладнання і матеріали: гербарні зразки різних мохів. Хід роботи: 1. Розгляньте зелений мох зозулин льон. Знайдіть ограни і вкажіть особливості:  Стебло (розгалужене чи не розгалужене);  Листки (мають жилку чи ні; зелений чи білуватий колір); Чим зумовлений колір листків?  Ризоїди (є чи немає);  Антеридії та архегонії (на одній рослині чи на різних; на верхівкових чи бічних гілочках);  Спорофіт (один чи багато на верхівках; куляста чи видовжена коробочка). 2. Розгляньте торфовий мох сфагнум. Знайдіть ограни і вкажіть особливості:  Стебло (розгалужене чи не розгалужене);  Листки (мають жилку чи ні; зелений чи білуватий колір); Чим зумовлений колір листків?  Ризоїди (є чи немає);  Антеридії та архегонії (на одній рослині чи на різних; на верхівкових чи бічних гілочках);  Спорофіт (один чи багато на верхівках; куляста чи видовжена коробочка). 3. Висновки. Чим відрізняється зозулин льон від сфагнуму? Які ознаки пристосування забезпечують їхнє існування в певних умовах середовища? Додаток 46 В Відділ Мохоподібні.
  • 75.
    Середовище існування………………………. .Кількість видів……..……… . Наука , що вивчає відділ Мохоподібні, - ……. Термін життя виду..……….. . Будова мохів Тіло Живлення- ………………., у зелених клітинах постійно відбувається…………………………………………….. . Розмножуються мохи ……………., для процесу запліднення необхідна…………………… . Характерні ознаки мохів Життєвий цикл мохів – це чергування ………….. та ………………. з переважанням . Спорофіт мохів називається…………………, формується на …………, термін життя спорогона - …………… . Коробочка Будова споргона Ніжка Стопа(гаусторія) Додаток 46 Г Порівняльна характеристика зозулиного льону і сфагнуму.
  • 76.
    Урок 47 Додаток 47А Мохи Ознаки Зозулин льон Сфагнум Листки Стебло Ризоїди Архегонії та антеридії Однодомні чи дводомні Наявність коробочки
  • 77.
    Гра «Не спи» Поставтеплюс якщо твердження правильне і мінус- якщо не вірне. 1. Мох зозулин льон має корінь, стебло, листя. 2. Сфагнум викликає заболочення місцевості. 3. Сфагнум належить до зелених мохів. 4. Зелений мох зозулин льон рослина дводомна, спори утворюються в коробочці. 5. В зозулиного льону процес фотосинтезу відбувається під снігом, в глибоких печерах. 6. У сфагнуму роль коренів виконують ризоїди. 7. У зеленого моху в листках є мертві клітини заповнені водою, або повітрям. 8. У життєвому циклі мохоподібних переважає гаметофіт. ( Додаток 47 Б) Інтерактивна вправа «Все навпаки» На моніторі комп’ютера висвітлюються не зовсім вірні матеріали. Учні шукають в підручнику потрібний матеріал, виправляють написане. Наприклад:  Папороті поширені лише у водоймах.  Папороті представлені лише мікроскопічними формами.  У життєвому циклі переважає гаметофіт.  Листки папороті прості, овальної форми.  У молодому віці листки розправлені і ростуть стрілеподібно.  На верхній частині листка знаходяться соруси. Додаток 47 В Гра «Чорний ящик» На слайді характеристика предмета, а учні за підручником знаходять назву предмета. 1.Корисні копалини, що утворилися з давніх папоротеподібних… . 2.Як використовують в харчовій і хімічній промисловості кореневище орляка, яке багате на крохмаль? 3.Які ліки виробляють з кореневища щитника чоловічого? 4.Як використовують папороті в побуті? 5.Листки орляка використовують як зелену тару. Чому? Додаток 47 Г Лабораторна робота
  • 78.
    Тема: «Будова щитникачоловічого» Мета: Зясувати особливості зовнішньої будови щитника чоловічого. Обладнання та матеріали: гербарні зразки, препарувальні голки, пінцети, лупи, мікроскоп. Хід роботи: 1. Розглянь спороносну рослину папороті. Знайди листки, стебло, кореневище з коренями. 2. Розглянь нижню частину листкової пластинки. Зверни увагу на розміщення сорусів, які вкриті покривальцями серцевидної форми. 3. Препарувальною голкою зніми покривальце одного-двох сорусів папороті. 4. Розглянь у лупу спорангії. 5. Намалюй загальний вигляд рослини, листок з сорусами.Підпиши органи папороті. 6. Зроби висновок (які органи має папороть? Які особливості будови папоротеподібних забезпечили їм існування на суші?) Додаток 47 Д Метод «Уявний мікрофон» 1. Де хвощі ростуть і як люди їх зовуть? 2. На яких пагонах спори достигнути зуміють, і пагони які все літо зеленіють? 3. Де в медицині хвощ застосування має? Які хвороби людям вилікувати допомагає? 4. Де переважно плауни ростуть? І середовище життя яке займають? 5. Розмноження як у них проходить, Спори де зростають? Гаметофіт чи спорофіт у них переважають? Де в лікарні чи в аптеці ви препарати з плаунів знайдете Урок 48 Додаток 48 А
  • 79.
    Експрес-тести 1.До вищих споровихрослин належать: a. бурі водорості; b. папороті ; c. ціанобактерії. 2.Спори у наземних рослин можуть бути за розмірами однаковими. Такі рослини називають: d. рівноспоровими; e. різноспоровими. 3.Із мегаспори розвивається гаметофіт: f. чоловічий; g. жіночий. 4.Якщо статеві органи розміщені на одній рослині, гаметофіт називають: h. одностатевими; i. двостатевими. Інтелектуальна розминка за запитаннями. 1. Вищі спорові рослини розмножуються … . 2. Насінні рослини розмножуються …. 3. В насінині є … . 4. Для розмноження насінних рослин не потрібно … . 5. Мікроспори дають початок … . 6. Мегаспори дають початок … . Сучасні насінні рослини поділяються на … Додаток 48 Б Лабораторна робота Тема: Будова голонасінних рослин. Мета: Ознайомитися з будовою голонасінних рослин на прикладі сосни та ялини. Обладнання та матеріали:гербарні екземпляри голонасінних рослин (ялини,сосни),лупа,мікроскоп,пінцет,готовий мікропрепарат « Чоловіча шишка сосни»,шишки голонасінних. Хід роботи 1. Встанови відмінність у зовнішній будові ялини та сосни. 2. Розглянь малюнок будови спорофіта та підпиши його,згрупувавши в одну колонку вегетативні органи,а в іншу-генеративні. 3. На спорофіті голонасінних розміщені жіночі та чоловічі шишки. Як такі рослини називаються? 4. Розглянь гербарні екземпляри або малюнки сосни та ялини.Встанови відміність урозташуванні голок на пагоні. 5. Відносні розміри хвої-
  • 80.
    6. Розглянь мікропрепарат«Чоловіча шишка сосни» під мікроскопом.Знайди пилок.Порівняй побачене із зображенням у підручнику і замалюй зовнішній вигляд. 7. Порівняй шишки ялини та сосни. В чому їх подібність,а в чому- відмінність? 8. Обережно відігни пінцетом одну лусочку шишки і вийми насінину.Розглянь насінину сосни за допомогою лупи.Замалюй насінину і підпиши. 9. Зроби висновок,давши відповіді на запитання.За якою ознакою будови спорофіиі сосну та ялину відносять до голонасінних рослин? Які пристосування до поширення мають пилок та насіння? Творче завдання: Ти архітектор-еколог. Тобі потрібно засадити схил яру сосною або ялиною для закріплення грунту.Яку рослину ти використаєш з цією метою,щоб досягти максимальних результатів? Відповідь обґрунтуй. Додаток 48 В Гра «Вірно – невірно», або графічний біологічний диктант 1.Насінні рослини відрізняються від вищих спорових наявністю насінини. 2.Хвоя - це видозміна пагона. 3.Шишка - це вкорочена видозміна пагона. 4.Запилення у сосни відбувається за допомогою комах. 5.Насінні зачатки у ялини розміщенні на лусках шишки. 6.«Кедрові» горіхи - це насінина кедра. 7.Тайга - це великі темнохвойні ліси Півночі. 8.У повітрі хвойних лісів багато бактерій. 9.До листопадних рослин належить модрина. 10.Гінкго називають «Драконовим деревом» Урок 49 Додаток 49 А
  • 81.
    Додаток 49 Б ОзнакиКлас Дводольні Клас Однодольні • Кількість сім’ядолей у зародку насінини • Дві • Одна • Коренева система а) походження; б) форма. • Система головного кореня • Стрижнева, мичкувата (рідко) • Система додаткових коренів • мичкувата • Камбій • Є • Відсутній • Листки • Прості, складні; пластинки суцільні, з виїмками • Прості, пластинки суцільні • Жилкування • Сітчасте (перисте, пальчасте) • Паралельне, дугове Місце покритонасінних у системі живої природи. Жива природа ↑ Імперія Клітинні форми життя ↑ Надцарство Еукаріоти ↑ Царство Рослини ↑ Підцарство Вищі рослини ↑ Відділ ↑ Покритонасінні (квіткові) Схема 1 Основні таксони в класифікації покритонасінних Відділ ↑ Клас ↑ Ряд ↑ Родина ↑ Рід ↑ Вид Схема 2
  • 82.
    • Кількість частин квітки •Кратна чотирьом, п’яти • Кратна трьом • Найважливіші родини • Хрестоцвіті, Розові, Бобові, Пасльонові, Айстрові тощо. • Злакові, Лілійні тощо Додаток 49 В Чи відомо вам, що 1) Багато дерев живуть значно довше , ніж найбільш довговічні тварини. Так , груша і вишня живуть до 300 років, ялівець - до 500, ялинка і сосна – до1000, липа – до 1200, дуб – до 2000 років. Вік мамонтового дерева з Каліфорнії (висота 112 м, в поперечнику 9 м) визначається в 3500 років. Мексиканські кипариси живуть до 10 000 років. Але макрозамія із саговникових досягає рекордного віку - 12 000 – 15 000 років. 2) Є тюльпанне дерево . Квітки його дуже схожі на квітки тюльпана , за що це дерево і дістало таку назву . Батьківщина його – Китай і Північна Америка. Але воно добре росте і в Україні , зокрема в ботанічному саду міста Кам’янця-Подільського. 3) Є листяні буряки. Це овочеві і декоративні рослини .Називають її мангольд. Для їжі споживають листя і черешки. Декоративні орти мангольда мають красиве велике листя. 4) Молоду кропиву використовують для приготування смачних супів, багатих на вітаміни . мінеральні солі, білки. Листя кропиви є також надзвичайно цінним полівітаміном і білковим кормом для свійських тварин – корів, коней і птахів. Після відгодівлі тварин таким кормом було помічено, що молоко , масло, яйця збагачуються вітамінами .Вчені встановили , що поживна цінність кропиви не поступається навіть перед бобовими культурами. 5) Усі відомі золотисті квіти декоративної рослини настурції можна вживати в їжу . Пелюстками квіток заправляють супи, що надає страві аромату і смаку. 6)Найбільша в світі квітка у рослини рафлезії Арнольді. Вона має до 3 м. в окружності і до1 м. в поперечнику. Ця рослина не має ні стебел , ні листя ,ні коріння. Вона паратизує на коренях винограду, що росте в тропічних лісах на острові Суматра. 7) Суцвіття - гігант утворює зонтична пальма. Вона росте в тропіках (Індія) і цвіте один раз на все життя. Суцвіття досягає великих розмірів – 12-15м довжини. Це найбільше суцвіття в рослин.
  • 83.
    8 )У лісахдалекого Сходу росте «залізна береза». Міцність цієї берези в 2-3 рази більша, ніж дуба. Таке дерево може знайти широке застосування не тільки в деревообробній, а й машинобудівній промисловості. Додаток 49 Г - Дати відповідь на такі запитання : 1.Чому покритонасінні отримали таку назву? 2.Встановити ознаки , відмінності покритонасінні рослин? 3.Чому покритонасінні займають панівне місце на землі серед рослин? 4.Які ароморфози характеризують покритонасінні рослини? 5.У чому відмінність рослин класів Одно – та Дводольні. - Якщо ви погоджуєтесь з наведеною інформацією, то поставте у спеціальній таблиці "+" або "-" . 1. Суниця лісова – деревна рослина. 2. Родина Лілійні належить до класу Дводольні. 3. Усі дводольні рослини мають стрижневу кореневу систему. 4. Зародок однодольних має одну сім’ядолю. 5. Рослини із класу Дводольні мають сітчасте жилкування. 6. В однодольних рослин листки мають лінійне та дугове жилкування. 7. Рід – найменша таксономічна одиниця. 8. Інша назва покритонасінних – «Квіткові». 1 2 3 4 5 6 7 8 Урок 50 Додаток 50 А
  • 84.
    Заповніть таблицю Назви культурпредставники Зернові технічні кормові Урок 51 Додаток 51 А
  • 85.
    Додаток 51 Б Урок52 Додаток 52 А
  • 86.
    Криголам „ Усепро тебе” - Якщо ви вважаєте, що потрібно оберігати природу, плесніть в долоні. 1. якщо ви не смітите на вулицях – встаньте 2. якщо ви вимикаєте світло – підстрибніть 3. якщо ви допомагаєте батькам – тупніть 4. якщо вам не подобається запах бруду – махніть рукою перед своїм обличчям. Бачите, які ми єдині, як у нас багато спільного. Тож давайте ми будемо працювати дружно, активно, взявшись за руки Додаток 52 Б Картка для опитування. 1. Екологічні групи рослин по відношенню до вологи : -... -... -... 2. Екологічні групи рослин по відношенню до світла : -... -... -... 3. Екологічні групи рослин по відношенню до температури: -... -... Наведіть приклади теплолюбних і холодостійких рослин. Із запропонованих гербарних листків виберіть окремо світлолюбні, тіньовитривалі, тіньолюбні рослини. Додаток 52 В Вправа „Міні – практикум” Виконання невеликого практичного завдання за допомогою підручника Життєва форма рослин Особливості зовнішньої будови приклади 1. 2. 3.
  • 87.
    Додаток 52 Г Вправа„ Встав пропущені слова” Однорiчнi рослини нaвecнi розвиваються з насіння, ........, утворюють ..... з насінням і після цьоrо вiдмирають. Дворiчнi ....... живуть майже ... роки. У перший piк цi рослини утворюють звичайно тiльки ......., стебла i ....... На другий ... розвиваються новi ......, цвiтуть i дають плоди з ........, а до oceнi вiдмирають. Багаторiчнi рослини живуть бiльше ...... років. Надземнi ....... бiльшостi багаторiчних ............ рослин восени .........., а нaвecнi ............ заново, тому що в грунті пiд ...... зберiгаються кopeнi та iншi ........ органи з .......... Слова для довідки Плоди,два, корені, цвітуть, рослини, листки, рік, насінням, частини, пагони, тисячі, трав”янистих, розвиваються, снігом, відмирають, підземні, бруньками.. Урок 53 Додаток 53 А Гра „ Мікрофон” Вчитель ставить запитання з базових понять. Наприклад: 1. Що вивчає екологія
  • 88.
    2. Яке значенняекології як науки. 3. На які групи розподіляють чинники середовища. 4. lз наведених чинникiв довкiлля виберiтьтiльки абiотичнi фактори: земне тяжiння, опади, солонiсть океану, сонячне свiтло, веснянi повенi, температура, вирубка лicу, осушення болiт, запилення квітів комахами. Додаток 53 Б
  • 89.
    Додаток 53 В Додаток53 Г Вправа „Світлофор” Учитель ставить запитання з вивченого матеріалу. Учні піднімають картки. Зелену – знають відповідь, червону - якщо утруднюються з відповіддю. Експрес-опитування журнaлiстiв . Що вивчає екологiя? . Що таке середовище iснування, або довкiлля? . Що таке екологiчна свідомість? . Якi екологiчнi чинники вам вiдомi? . Про що йдеться? Живе i ллється, Часом i на кaмiнь пнеться, Як нeмає - все всихає, звiр i птиця помирає? Який це фактор? Хто за piк чотири рази перевдягається?
  • 90.
    Урок 54 Додаток 54А 10 золотих правил. Не заливайте їх. Надайте їм спокій. Змиріться з неминучою втратою деяких рослин. Створіть їм вологе середовище. Вчасно приймайте необхідні міри. Групуйте рослини. Навчіться пересаджувати. Робіть правильний вибір. Придбайте необхідний інвентар. Правильно доглядайте за кожною рослиною. Додаток 54 Б Заповніть таблицю: Використання рослин людиною у: Сільському господарстві промисловості побуті Лікувальній справі
  • 91.
    Урок 55 Додаток 55А Практична робота №4 Розпізнавання видів кімнатних рослин Практична робота виконується за етапами. І етап. Вступне слово вчителя. У короткому вступі вчитель знайомить учнів із найбільш поширеними видами кімнатних рослин, дає коротку характеристику їм та спрямовує увагу учнів на рослини, що є об’єктами дослідження(живі рослини, гербарні зразки) на цьому уроці. 2 етап. Знайомство із енциклопедією кімнатних рослин – повідомлення учня. 3 етап. Робота в парах. Завдання для учнів, які працюють в парах. (Кожній парі пропонується 2-3 види рослин). 1)Розгляньте зразки рослин, запропоновані вчителем. Зверніть увагу на: форму квітки; форму листкової пластинки; колір листка; розміщення стебла у просторі; довжину стебла. ( Для деяких видів рослин потрібна лупа та препарувальний набір). 2) З допомогою схем визначте вид рослини(робота з комп’ютером). Приклад схем. Традесканція (Tradescantia) 1.Т. прирічна 2. Т. білоквіткова 3. Т. Блоссфельда 1. 60 см.. Загострені темно-зелені зверху і пурпурові знизу листки довжиною 5-10 см.. Сік рожево-фіолетовий. 2. 40см. Блискучі загострені листки довжиною 5см. Нижня сторона зелена, сік безбарвний. 3. 60 см. Опущені, темно-зелені зверху і пурпурові знизу листки довжиною 8 см. Квіти довжиною 1см. Бегонія (Begonia) 1. Б. королівська 2. Б. завждиквітуча 3. Б. бульбочкова 4. Б. Мейсона
  • 92.
    1. Переважають середдекоративних бегоній. Листки асиметричні, 15-30 см. у довжину. 2. Прості або махрові білі, рожеві, оранжеві або червоні квіти. Листки діаметром 5 см. різних відтінків: від жовто-зеленого до темно-червоного. Кущова рослина. 3. 30 см. Має м’ясисте стебло, на якому формуються великі чоловічі квіти червоного, блідо-рожевого кольору. 4. Зморшкуваті листки довжиною 15 см. з темним хрестоподібним малюнком в центрі. Агава (Agave) 1. А. американська 2. А. королеви Вікторії 1. Сукулент. Найпоширеніший вид, утворює розетку із великих м’ясистих листків з гострою колючкою на кінці. Діаметр розетки 2 м., листки сіро- зелені. В кімнатних умовах цвітуть рідко. 2. Сукулент. Трикутні листки довжиною 15 см. з білою смугою і чорною колючкою на кінцях. Алоє (Aloe) 1. А. перисте 2. А. приземисте 3. А. приємне 4. А. залякуюче 1. Сукулент. Зелені з пурпуровим блиском і білими краями смугасті листки довжиною 15 см. 2. Сукулент. Синьо-зелені листки довжиною 10 см. із зубчастим краєм. 3. Сукулент. Утворює розетку діаметром 10 см. із колючих листків з кремовими плямами. 4. Сукулент. Покриті колючками листки довжиною 45 см. сидять на товстому стеблі. Аспарагус (Asparagus) 1. А. перистий 2. А. густоквітковий 3. А.Мейєра 4. А.серповидний
  • 93.
    1. 1 м.Тонкі пагони розміщені горизонтально у вигляді пера. Іноді з’являються червоні плоди ягоди. 2. Дугоподібні тонкі стебла з шилоподібними яскраво-зеленими листками довжиною 2 см. 3. 40 см. Прямі стебла з шилоподібними листками довжиною 2 см. 4. 1 м. Серповидні листки, колючі стебла. Колеус (Coleus) 1. К. Блюме 2. К. карликовий 1. 30-60 см. Пилчасті або зубчасті листки різноманітного забарвлення. Рослини можна залишати на наступний рік, але за звичай з ним поводяться як з однорічним. 2. До 30 см. Однорічне, пильчасті або зубчасті листки. Гібриди Червоний. Жовтий. Жовто-червоний. Зелений. Кремовий. Дурман (Datura) 1. Д. білосніжний 2. Д. пахучий 1. 2 м. Духмяні трубчасті квіти довжиною 20 см., як правило, білі, зустрічаються також рожеві або кремові. Овальні листки довжиною 20 см. Єдиний вид в продажі. Всі частини рослини отруйні. 2. Квіти більш крупніші, ніж у Д. білосніжного. Велике красиве дерево, дорослі представники розкидають своє гілля на 2 м. в сторону. Всі частини рослини отруйні. Диффенбахія (Dieffenbachia) 1. Д. розфарбована, або плямиста 2. Д. прекрасна 3. Д. Баузе 4. Д. Бауманна 1. Яскраво забарвлені листки. Найбільш поширений вид. 50 см. – 1м. Овальні листки довжиною до 30 см. З білими або кремовими плямами. 2.Найпоширеніший вид висотою 1,5м. і більше. Зелені з поперечними білими смугами овальні листки довжиною 45см. сидять на товстих черешках.
  • 94.
    3. Довжиною 1м.Листя зелені в білу крапочку. Потребують постійної температури, не виносять протягів. 4. Листя довжиною до 70 см. Потребує постійної температури. З часом нижні листки відпадають. 3) Зробіть висновки на основі результатів. 4 етап. З метою розкриття значення кімнатних рослин для людини. Вчитель пропонує дати відповідь на екологічне завдання. - Виявляється, звичайні кімнатні рослини: герань, бегонія, знижує вміст мікроорганізмів у повітрі на 43%, циперус – на 59%, дрібноквіткові хризантеми – на 66%.Який висновок можна зробити на підставі наведених фактів? Відповідь: Рослини не лише прикрашають приміщення, але й позитивно впливають на здоров’я людини, згубно діючи на мікроорганізми( в тому числі хвороботворні), знижують ймовірність захворювань
  • 95.
    Урок 57 Додаток 57А Письмова різнорівнева робота І варіант І рівень Вкажіть правильну відповідь («так» чи «ні»): 1. Гаметофіт і спорофіт – це два покоління однієї спорової рослини. 2. На гаметофіті ніколи не утворюються статеві клітини. 3. Життева форма рослини - це гербарний зразок. 4. У посушливих мiсцях ростуть невеликi рослини. 5. Бурі водорості живуть лише в морській воді. 6. З червоних водоростей добувають агар і йод. ІІ рівень 1. У яких рослин бiльше розгалужена коренева система: в тих, що ростуть на глинистому чи пiщаному rpунтi? 2. Чи можливе.iснування рослин у повнiй темрявi? 3.Хлоропласт у хламідомонади має форму… 4.Визначте, що таке талом (слань). 5. У папоротеподібних листки: а) справжні; б) не справжні; в) видозмінені; 6. Серед вищих спорових рослин лікарською рослиною є: а) хвощ польовий; б) мох зозулин льон; в) щитник чоловічий; ІІІ рівень 1. До трав'янистих рослин належать: а) верба; б) клен; в) осика; г) кукурудза. 2.Баговиння, яке часто з’являється влітку у сонячних водоймах, утворюють переважно: а)нитчасті водорості; б)одноклітинні водорості; в)червоні водорості; г)колоніальні водорості. 3. Вищими називають рослини, тіло яких: а) складається з багатьох клітин; б) здатне утворювати захисну оболонку; в) складаються з органів; г) здатне перебувати як у воді, так і на суходолі;
  • 96.
    4. Червона книга- це: а) збiрник правил поведiнки в природi; б) список рослин i тварин, якi пiдлягають oxopонi; в) збiрник правил збирання грибiв; г) список рослин i тварин, яких заборонено вивозити за кордон. 5.Водорості живляться: а)синтезуючи необхідні речовини під час фотосинтезу; б)вбираючи поживні речовини з води; в) вбираючи поживні речовини з дна водойм. 6. Фотосинтез у хвоща польового відбувається у: а) листках; б) стеблах; в) спороносних колосках; г) весняних пагонах; ІV рівень Одне завдання на вибір 1.Поясніть, чому степові рослини не можуть зростати на болотах? 2. Чому зі збільшенням глибини кількість і різноманітність водоростей поступово зменшується? 3. Які відмінності мають спори у рівноспорових і різноспорових папоротеподібних? 2 варіант І рівень Вкажіть правильну відповідь („так” чu „ні”) . 1. Дерева i кущi - це одна життєва форма рослин. 2.Водорості живуть тільки в солоній воді. 3. Заростки папоротей – це спорофіти. 4. Латаття бiле - типовий представник водного рослинного угруповання. 5.Гаметофіт і спорофіт – це два покоління однієї спорової рослини. 6.Серед водоростей є одноклітинні й багатоклітинні. ІІ рівень 1. У яких рослин бiльше розгалужена коренева система: в тих, що ростуть на глинистому чи пiщаному rpунтi? 2.Основними відділами водоростей є:… 3. У вищих спорових рослин є:
  • 97.
    а) є органи; б)немає органів; 4. Чи можливе iснування на планетi iнших живих органiзмiв, якщо знищити yci рослини? 5.Назвіть водорості, тіло яких має форму тонких нерозгалужених ниток. 6. Серед вищих спорових рослин лікарською рослиною є: а) хвощ польовий; б) мох зозулин льон; в) щитник чоловічий; ІІІ рівень 1.Водорості живляться: а)синтезуючи необхідні речовини під час фотосинтезу; б)вбираючи поживні речовини з води; в) вбираючи поживні речовини з дна водойм. 2. Тепло, свiтло, волога разом становлять: а) середовище життя рослин; б) джерела живлення рослин; в) абiотичнi чинники навколишнього середовища; г) сприятливi умови життя рослин. 3. Рослини, що накопичують у своїх вегетативних органах воду, складають: а) окрему життєву форму; б) окреме рослинне угруповання; в) окремий клас дводольних; г) окремий вiддiл 4. Запліднення у мохоподібних відбувається тільки: а) у суху сонячну погоду; б) у воді; в) під час проростання спори; г) у коробочці спорофіта; 5. Органами в яких утворюються спори називають: а) спорофіти; б) гаметофіти; в) колоски; г) спорангії; 6.Хлоропласт у хламідомонади має форму… ІV рівень Одне завдання на вибір . 1. На які групи поділяють рослини за їхньою потребою у світлі? 2. 2. Чому зі збільшенням глибини кількість і різноманітність водоростей поступово зменшується? 3. Порівняйте відділи спорових рослин, у циклі розвитку яких переважає гаметофіт (рослина статевого покоління), або спорофіт (рослина не статевого покоління).
  • 98.
    Урок 58 Додаток 58А Додаток 58 Б Два, чотири, всі разом". Учні для роботи об’єднуються в пари. Кожна пара отримує завдання і працюють з додатковою літературою, на опрацювання якого відводиться 10 хв. Після чого пари об’єднуються і обмінюються інформацією. Царство Гриби Відділ Слизовики Відділ Гриби Відділ Лишайники Нижчі гриби Класи: 1. Хитридіоміцети 2. Ооміцети 3. Зигоміцети Вищі гриби Класи: 1. Аскоміцети 2. Базидіоміцети 3. Дейтероміцети Будова одноклітинні багатоклітинні
  • 99.
    Завдання для роботив групах: І група. Які спільні риси грибів і тварин? ІІ група. Які спільні риси грибів і рослин? В процесі опрацювання матеріалів учні заповнюють таблицю Спільні риси грибів і тварин Спільні риси грибів і рослин Додаток 58 В Розв’яжіть кросворд. Завдання. Заповніть клітини, давши правильні відповіді.  Царство органічного світу. Г (Відповідь: гриби)  Наука про гриби.  Симбіоз грибів і вищих рослин.  Вегетативне тіло гриба. М (Відповіді: мікологія, мікориза, міцелій.)
  • 100.
     Який буваєміцелій? Міцелій (Відповіді: неклітинний, клітинний.) Додаток 58 Г Експрес-опитування Запитання: • Чому гриби виділять в окреме царство? • На які відділи поділяють царства Гриби? • Як називається вегетативне тіло грибів? • Що означає поняття "міцелій"? • Що таке "гіфи"? • Як живляться гриби? • На які групи поділяють гриби за типом живлення? • Як розмножуються гриби?
  • 101.
    Урок 59 -60 Додаток59 А Характеристика Опис ЖИВЛЕННЯ БУДОВА РОЗМНОЖЕННЯ
  • 102.
    Урок 61 Додаток 61А Гра "Далі, далі" Умови гри. Вчитель дає запитання і кидає м’яч одному із учнів. Учень ловить м’яч і дає відповідь. Якщо відповідь не правильна, то вчитель говорить "Далі" і учень кидає м’яч іншому учневі. 1. За будовою гриби поділяються … 2. Розмножуються гриби … 3. Вегетативне розмноження здійснюється … 4. За способом живлення гриби поділяються на … Грибниця складається з … Додаток 61 Б Поради грибнику-початківцю. o Збирайте тільки ті гриби, про які вам точно відомо, що вони їстівні. o Найкраще збирати гриби рано-вранці. Гриби, зібрані в цей час, свіжі, міцні і стійкі при зберіганні. o Не виривайте грибів, а зрізуйте їх ножем, щоб не пошкодити грибницю. o Збирайте гриби тільки в екологічно чистій місцевості. o Ніколи не куштуйте сирих грибів. o Не збирайте старих грибів. Додаток 61 В Лабораторна робота. Тема: Будова і різноманітність шапинкових грибів. Мета: ознайомитись з будовою вищих шапкових грибів; з'ясувати особливості будови плодового тіла; навчитись розрізняти трубчасті та пластинчасті гриби.
  • 103.
    Хід роботи: 1.Розгляньте будову плодового тіла шапкового гриба. Знайдіть його основні частини і підпишіть. Підпишіть міцелій. 1. - ______________________ 2. - ______________________ 3. - ______________________ 2. Розгляньте будову нижньої частини шапки. Поділіть гриби на пластинчасті та трубчасті з урахуванням будови їхніх шапок і заповніть таблицю: Група Особливість будови Приклали грибів Пластинчасті Трубчасті 3. У висновку дайте відповідь на запитання: а) що формується на міцелії шапкового гриба? б) чим утворене плодове тіло? в) за якою ознакою розрізняють пластинчасті і трубчасті плодові тіла? Висновок: ________________________________________________________ 1 2 3
  • 104.
    Додаток 61 Г 1.Сигнальна гра "Який це гриб?" а) червоний сигнал – трубчастий гриб, зелений – пластинчастий. б) червоний сигнал – отруйний гриб, зелений – їстівний. Вчитель зачитує назви грибів, а учні підіймають сигнали. 2. Впишіть у клітинка назви грибів, що закінчуються буквою "К". Р И Ж И К М А С Л Ю О П Е Н Ь О Т Р У Т О В И П І Д О С И Ч Н И П І Д Б Е Р Е З Н И
  • 105.
    Урок 62 Додаток 62А Лишайники – дуже своєрідні організми, які утворилися внаслідок співжиття грибів із ціанобактеріями та зеленими водоростями. Тобто це організми, які утворені симбіозом гриба і водорості. Симбіоз – взаємокорисне для різних форм організмів співжиття. Особливості будови. (Пояснення вчителя з використанням наочності. Висвітлюється на моніторі комп'ютера.) Додаток 62 Б Завдання для роботи в групах. Розгляньте гербарій лишайників. І група. Виберіть кущисті лишайники; поясніть чому вони так називаються. ІІ група. Розгляньте накипні лишайники і встановіть, чим вони відрізняються від листуватих. ІІІ група. Розгляньте листуваті лишайники, поясніть, чому вони мають таку назву. Додаток 62 В Метод "Мікрофон". Закінчіть речення: Розмноження Вегетативне – частинами слані Нестатеве - спорами
  • 106.
    1. Лишайники поділяютьсяна такі групи: … . (Кущисті, листуваті, накипні.) 2. На каменях оселяються лишайники, сході на брунатно-сірий накип, це … . (Накипні лишайники.) 3. Ксенторія належить до … . (Листуватих лишайників.) 4. Ягіль належить до … . (Кущистих лишайників.) 5. Тіло лишайників – слань складається з двох організмів: … . (Грибів і водоростей.) 6. Лишайники вбирають воду … . (Усією поверхнею тіла.)
  • 107.
    Урок 63 Додаток 63А Графічний біологічний диктант. 1. Мікологія - наука про гриби. 2. Міцелій - сукупність гіфів, що утворюють тіло гриба. 3. Мікориза-спеціалізовані клітини, які відокремлюються від материнського організму і служать для нестатевого розмноження грибів і рослин. 4. Симбіоз - співжиття двох організмів різних видів. 5. Гриби - евкаріотичні безхлорофільні організми. 6. Сапротрофи - організми, які використовують для свого живлення рештки речовин мертвого тіла. 7. Спорангій - одноклітинний або багатоклітинний орган нестатевого розмноження, в якому утворюються спори. 8. Паразити - організми, які живуть на поверхні або всередині іншого організму і живляться за рахунок його поживних речовин. 9. Гіфи - коренеподібні вирости грибів та водоростей, що служать для закріплення та поглинання води. 10. Спори - нитчасті утворення, сплетіння яких утворюють міцелій. + + - + + + + + - - 1 2 3 4 5 6 7 8 9 10 Додаток 63 Б Різноманітність грибів.
  • 108.
     Будова: міцелійбез перегородок (одноклітинний), простий або розгалужений.  Живлення: сапротрофи і паразити.  Представники: синхітрум, ольпідіум капустяний, фітофтора, мукор.  Будова: вегетативне тіло здебільшого ниткоподібне, багатоклітинне.  Живлення: сапротрофи і паразити.  Розмноження: вегетативне, нестатеве, статеве.  Представники: пеніцил, аспергил, дріжджі, трутовики, сажкові, іржасті гриби. Додаток 63 В Лабораторна робота Тема: Особливості будови нижчих грибів. Мета: ознайомитися з будовою нижчих грибів на прикладі мукора; визначити особливості будови нижчих грибів. Хід роботи: 1. Розгляньте неозброєним оком цвіль на продуктах. Нижчі гриби Клас Ооміцети Клас Зигоміцети Клас Хитридіоміцети Вищі гриби Клас Аскоміцети Клас Бозидіоміцети Клас Дейтероміцети
  • 109.
    2. Розгляньте мікропрепаратбілої цвілі мукора за допомогою мікроскопа за збільшення у 56 разів. 3. Розгляньте мікропрепарат мукора за допомогою мікроскопа за збільшення у 300 разів. Знайдіть на кінцях міцелію цвілі чорні головки зі спорами, а також головки мукора, які луснули і з яких висипалися спори. Розгляньте спори. 4. Запишіть у зошиті, якими цифрами позначено на малюнку міцелій, головки зі спорами, спори. 1. — _____________________ 2. — _____________________ 3. — _____________________ 5. У висновку дайте відповідь на запитання: а) мукор є одноклітинним чи багатоклітинним організмом? б) що являє собою міцелій мукора? в) де утворюються спори? Висновок: _____________________________________________________
  • 110.
    Урок 64 Додаток 64А Цвілеві гриби живляться ….. На пластинках і у трубочках шапки грибів утворюються ….. До їстівних грибів належать ….. Плодові тіла шапкових грибів слугують для….. Додаток 64 Б Бульби ураженої картоплі спочатку темніють, а згодом загнивають; плоди помідорів вкриваються темними плямочками та стають непридатними до вжитку.
  • 111.
    Урок 65 Додаток 65А Кросворд «Що ви знаєте про гриби?» 1 2 3 4 5 6 7 8 9
  • 112.
    По горизонталі: 1. Ниткигрибниці. (Гіфи) 4. Гриб, плодове тіло якого перебуває під землею. (Трюфель) 5. Гриб, який завдає шкоди деревним рослинам. (Трутовик) 6. Отруйний гриб із червоною шапкою. (Мухомор) 8. Речовини, які вбивають або гальмують ріст і розмноження хвороботворних мікроорганізмів. (Антибіотики) 9. Симбіоз міцелію гриба й коріння рослини. (Мікориза) По вертикалі: 2. Гриб, який викликає захворювання картоплі й томатів. (Фітофтора) 3. Гриб, який не утворює грибницю. (Дріжджі) 7. Сукупність гіфів. (Грибниця)
  • 113.
    Додаток 65 Б Отруєннягрибами і отруйними рослинами займають важливе місце серед немікробних харчових отруєнь. З всіх отрутних грибів найбільш небезпечним, безсумнівно, є бліда поганка, до складу якої входять сильнодіючі токсичні речовини – аманітогемолізин і аманітотоксин. Про грізні наслідки, зв'язаних з випадковим її вживанням у їжу, свідчить хоча б той факт, що смертність при даних отруєннях досягає 50% і більш. Найбільше часто отруєння блідою поганкою спостерігаються серед дітей, чому сприяє та обставина, що вона є смертельно небезпечним двійником таких їстівних грибів, як печериці і сироїжки. На другому місці по токсичності – найбільш ранні весняні гриби, отрутним початком яких служить гельвелова кислота, що володіє гемолітичним і гепатотропним ефектом. Через 8-10 год посля вживання в потерпілих з'являються тривала блювота, сильні болі в животі, адінамія, судороги і надалі розвивається жовтяниця, причому летальність може досягати 30%. Варто підкреслити, що гельвеловая кислота легко розчинна у воді. Якщо проварити гриби протягом 15 хв і потім злити відвар, то вони стають придатними в їжу. Для безпеки необхідно піддавати такій же обробці і дуже схожі на них неотруйні гриби – зморшки. На третьому місці по отруйності стоять мухомори, у яких містяться мускарин, мікоатропин і інші токсини, що викликають отруєння з перевагою нервових симптомів (слинотеча, блювота, понос, звуження зіниць, галюцинації, марення, судороги і коматозний стан). Смертність при цих отруєннях звичайно не перевищує 2 – 3%. Про отруйні властивості деяких грибів людство знає вже багато століть .такі гриби ще в Стародавньому Римі , а потім у середньовіччі ставали грізною зброєю в боротьбі за владу. Діяла ця зброя безвідмовно – отруєння було раптовим , а тогочасні медики не мали змоги допомогти потерпілим . Так загинув римський імператор Клавдій- любитель грибних страв , римський папа Климент VII , французький король Карл VI . Римський імператор Нерон, який зайняв престол після вбивства імператора Клавдія , отруєний стравою з білих грибів , називав ці гриби їжею богів
  • 114.
    Додаток 65 В Прикладиотруйних , їстівних , умовно-їстівних грибів Отруйні гриби Умовно-їстівні гриби Їстівнв гриби В Україні близько 80 видів , 20 видів – небезпечні Спричиняють отруєння Потребують додаткової обробки ( вимочування , повторного кип’ятіння) Не потребують додаткової обробки Мухомори , несправжні опеньки ,несправжні лисички , бліда поганка Сироїжки , строчки , зморшки Підберезники , підосичники , опеньки ,білі Додаток 65 Г Як відрізнити їстівні гриби від отруйних Гриби-двійники Назва їстівного гриба Назва отруйного гриба Ознаки отруйного гриба Білий Жовчний Верхня частина ніжки має візерунок у вигляді чорної сіточки , м’якоть на зламі червоніє Лисички Несправжні лисички Шапки червонуваті , з надломленої шапки виділяється біла речовина Опеньки Несправжні опеньки Немає плівчастого кільця під шапкою , пластинки під шапкою зеленуваті
  • 115.
    Сироїжки Бліда поганкаНаявні вольва , плівчасте кільце під шапкою , неламкі Урок 66 Додаток 66 А Експрес – тести. 1. Як живляться шапкові гриби? а) сапротрофно; б) фотосинтез; в) паразитичний спосіб живлення; г) хемосинтез. 2. Шапкові гриби розмножуються: а) вегетативно; б) спорами; в) статево. 3. Спори шапкових грибів утворюються: а) у грибниці; б) у ніжці; в) на нижній частині шапки. 4. Гриб з коренів поглинає речовини: а) мінеральні; б) органічні; в) воду. 5. Корені дерев одержують від гриба речовини: а) мінеральні; б) органічні; в) воду. 6. Плодові тіла грибів складаються з:
  • 116.
    а) гіфів; б)спор; в) крохмалю; г) білків. Додаток 66 Б №п/п Етап роботи Результат 1 Ключове питання - Пояснити відносність понять «отруйний» -« неотруйний» гриб 2 Допоміжні питання(тематичні) Що вам відомо про значення грибів в природі і житті людини ? Чи завжди воно є позитивним ? 3 Існуючі джерела: Літературні Інтернет Інтерв’ю Відеоматеріали Фотоматерфали Я знайшов інформацію у ….. 4 Ключові слова до відповіді на Перше питання….. Друге питання….. 5 Фотокоментарі, малюнки 6 Висновки 7 Я обов’язково усіх здивую: - Естетичним оформленням… - Цікавими малюнками…
  • 117.
    - Коротким іцікавим текстом … Урок 68 Додаток 68 А Гра «Напиши книгу» Великий німецький поет – природолюб Й.Гете назвав природу книгою, всі сторінки якої сповнені глибоким змістом. Ми теж читаємо цю книгу. Але погляньте – на деяких немає записів, та й сторінки різного кольору Завдання Підготуйте для відповідних сторінок книги назви живих організмів, що мешкають: Група 1 – у воді ( блакитного кольору); Група 2 – на суходолі ( зеленого кольору); Група 3 – у повітрі ( жовтого кольору); Група 4 - у грунті ( рожевого кольору). ( Представники груп презентують свої записи) Додаток 68 Б
  • 118.
    Гра « Політфантазії». Учні готують і зачитують проблемні завдання, як готують самі. Кожен може висловити свою думку. Відповіді повинні починатися : Я думаю, що… На мою думку … Тому що… Додаток 68 В Інтерактивна вправа «Круглий стіл» Тема «Круглого столу» - значення живих організмів у житті людини. Коротко висловіть свої думки щодо теми, запишіть їх на листок і прикріпіть на дерево, намальоване на дошці. Урок 69 Додаток 69 А 1.Група «Систематики» - готують опорні схеми щодо місця рослин, тварин, бактерій, грибів в системі органічного світу. 2.Група « Цитологи» - досліджують подібність та різноманітність клітин живих організмів. 3. Група « Художники» - малюють представників живих організмів, допускаючи при цьому помилки, для визначення правильної відповіді. 4. Група «Краєзнавці» - складають вірші, загадки, кросворди про рослин, тварин своєї місцевості. 5. Група « Співробітники «Подільських товтр»»- досліджують червонокнижні рослини, тварини своєї місцевості, показують необхідність охорони природних багатств.