UNIT–V
Spread-Spectrum Modulation
UNIT–V
• Spread-Spectrum Modulation
• Need for spreading a code,
• generation and properties of PN sequence.
• Direct Sequence Spread Spectrum,
• Frequency Hopping spread spectrum systems
and their applications.
General Model of Spread Spectrum
System
Advantages of DS-SS System
• 1. This system combats the intentional
interference (jamming) most effectively.
• 2. This system has a very high degree of
discrimination against the multipath signals.
Therefore, the interference caused by the
multipath reception is minimized successfully.
• 3. The performance of DS-SS system in the
presence of noise is superior to other systems
Disadvantages of DS-SS system
• 1. The PN code generator output must have a
high rate. The length of such a sequence needs
to be long enough to make the sequence truly
random.
• 2. With the serial search system, the acquisition
time is too large. This makes the DS-SS system
be slow.
• 3. Synchronization is affected by the variable
distance between the transmitter and receiver.
• 4. The DS-SS signal is not very effective against
broadband interference.
Major applications of DS-SS system
• 1. Providing immunity against a jamming
signal – Anti-jamming application.
• 2. Low detectability signal transmission – the
signal is purposely transmitted at a very low
power level. Hence the signal has a Low
Probability of being intercepted (LPI) and it is
called an LPI signal.
• 3. Accommodating a number of simultaneous
signal transmissions on the same channel, ie.
Code Division Multiple Access (CDMA) or
spread spectrum multiple access (SSMA).
FREQUENCY HOPPING SPREAD SPECTRUM SYSTEMS (FH-SS)
• In the Direct sequence spread spectrum systems (DS-SS), the
use of a PN sequence to modulate a phase shift keyed signal
achieves instantaneous spreading of the transmission
bandwidth.
• The frequency hopping spread spectrum (FH-SS) system is an
alternative method.
• In FH-SS, the spectrum of the transmitted signal is spread
sequentially by randomly hopping the data modulated carrier
from one frequency to the next.
• Hence, the type of spread spectrum in which the carrier hops
randomly from one frequency to another is called Frequency-
hopped Spread Spectrum (FH-SS) system.
Basic Principle
• In a FH-SS communication system the
available channel bandwidth is subdivided
into a large number of contiguous frequency
slots. In any signalling interval, the
transmitted signal occupies one or more of
the available frequency slots.
• The selection of the frequency slot(s) in each
signalling interval is made pseudorandomly
according to the output from a PN generator.
The figure illustrates a particular FH pattern in
the time-frequency plane.
An example of a frequency –
hopped (FH) pattern
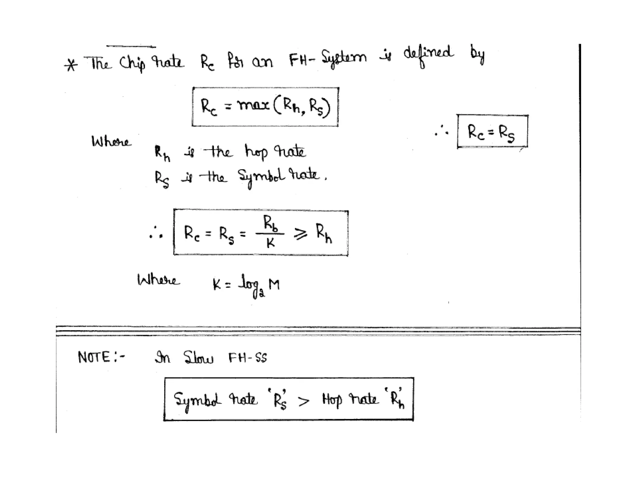
Slow and Fast FHSS
• commonly use multiple FSK (MFSK)
• have frequency shifted every Tc seconds
• duration of signal element is Ts seconds
• Slow FHSS has Tc  Ts
• Fast FHSS has Tc < Ts
• FHSS quite resistant to noise or jamming
– with fast FHSS giving better performance
• First, the incoming binary data are applied to an
M-ary FSK modulator. The resulting M-ary FSK
modulated signal is applied to a Mixer. The Mixer
consists of a multiplier followed by a band pass
filter (BPF).
• The other input to the mixer block is obtained
from a digital frequency synthesizer. The
frequency synthesiser is controlled by a PN code
generator.
• Hence the M-ary FSK modulated signal is
again modulated by a carrier produced by the
frequency synthesizer.
• The Mixer produces two outputs of the sum
frequency and the difference frequency.
• The band pass filter that follows the mixer
selects only the sum frequency signal, which is
the FH-MFSK signal. This signal is then
transmitted.
Using the M-ary FSK system, M symbols can be
transmitted, where M=2K
. Here k is the number of
bits of the input binary data that form one symbol.
• The M-ary FSK modulator will assign a distinct
frequency for each of these M symbols.
• The synthesizer output at a given instant of time is
the frequency hop.
• The output bits of the PN generator change
randomly. Hence the synthesizer output frequency
will also change randomly.
• .
• Each frequency hop is mixed with the MFSK
signal to produce the transmitted signal.
• If the number of successive bits at the output
of PN generator is n, then the total number of
frequency hops will be 2n
.
• The total bandwidth of the transmitted FH-
MFSK signal is equal to the sum of all the
frequency hops. Therefore, the bandwidth of
the transmitted FH-MFSK signal is very large of
the order of few GHz
The received signal is applied as input to the Mixer. The other
input to the mixer is obtained from the digital frequency
synthesizer.
• The frequency synthesizer is driven by a PN code generator.
This generator is synchronized with the PN code generator at
the transmitter.
• Therefore, the frequency hops produced at the synthesizer
output will be identical to those at the transmitter.
• The mixer produces two outputs of the sum frequency and
the difference frequency. The band pass filter selects only
the difference frequency, which is the MFSK signal. Thus the
mixer removes the frequency hopping.
• The MFSK signal is then applied to a non-
coherent MFSK detector. A bank of M, non-
coherent matched filters are used for non-
coherent MFSK detection. Each matched filter
is matched to one of the tones of the MFSK
signal.
• An estimate of the original symbol transmitted
is obtained by selecting the largest filter
output.
• For an FH/MFSK system
Slow MFSK FHSS
Fast MFSK FHSS
Comparison of between Slow & Fast FHSS
Applications of FHSS system:
• 1) CDMA systems based on FH spread
spectrum signals are particularly attractive for
mobile communication.
• 2) Wireless local area networks (WLAN)
standard for Wi-Fi.
• 3) Wireless Personal area network (WPAN)
standard for Bluetooth.
BENEFICIAL ATTRIBUTES OF
SPREAD SPECTRUM SYSTEMS
• Spread spectrum modulation was originally
developed for military applications where
resistance to jamming (interference) is of
major concern. However there are civilian
applications that also benefit from the unique
characteristics of spread spectrum
modulation. We hereby list the following
beneficial attributes of spread spectrum
systems.
Applications of Spread Spectrum Modulation
Multiple Access

Spread Sprectrum Modulation(UNIT-V).ppt ece

  • 1.
  • 2.
    UNIT–V • Spread-Spectrum Modulation •Need for spreading a code, • generation and properties of PN sequence. • Direct Sequence Spread Spectrum, • Frequency Hopping spread spectrum systems and their applications.
  • 6.
    General Model ofSpread Spectrum System
  • 37.
    Advantages of DS-SSSystem • 1. This system combats the intentional interference (jamming) most effectively. • 2. This system has a very high degree of discrimination against the multipath signals. Therefore, the interference caused by the multipath reception is minimized successfully. • 3. The performance of DS-SS system in the presence of noise is superior to other systems
  • 41.
    Disadvantages of DS-SSsystem • 1. The PN code generator output must have a high rate. The length of such a sequence needs to be long enough to make the sequence truly random. • 2. With the serial search system, the acquisition time is too large. This makes the DS-SS system be slow. • 3. Synchronization is affected by the variable distance between the transmitter and receiver. • 4. The DS-SS signal is not very effective against broadband interference.
  • 42.
    Major applications ofDS-SS system • 1. Providing immunity against a jamming signal – Anti-jamming application. • 2. Low detectability signal transmission – the signal is purposely transmitted at a very low power level. Hence the signal has a Low Probability of being intercepted (LPI) and it is called an LPI signal. • 3. Accommodating a number of simultaneous signal transmissions on the same channel, ie. Code Division Multiple Access (CDMA) or spread spectrum multiple access (SSMA).
  • 43.
    FREQUENCY HOPPING SPREADSPECTRUM SYSTEMS (FH-SS) • In the Direct sequence spread spectrum systems (DS-SS), the use of a PN sequence to modulate a phase shift keyed signal achieves instantaneous spreading of the transmission bandwidth. • The frequency hopping spread spectrum (FH-SS) system is an alternative method. • In FH-SS, the spectrum of the transmitted signal is spread sequentially by randomly hopping the data modulated carrier from one frequency to the next. • Hence, the type of spread spectrum in which the carrier hops randomly from one frequency to another is called Frequency- hopped Spread Spectrum (FH-SS) system.
  • 44.
    Basic Principle • Ina FH-SS communication system the available channel bandwidth is subdivided into a large number of contiguous frequency slots. In any signalling interval, the transmitted signal occupies one or more of the available frequency slots. • The selection of the frequency slot(s) in each signalling interval is made pseudorandomly according to the output from a PN generator. The figure illustrates a particular FH pattern in the time-frequency plane.
  • 45.
    An example ofa frequency – hopped (FH) pattern
  • 48.
    Slow and FastFHSS • commonly use multiple FSK (MFSK) • have frequency shifted every Tc seconds • duration of signal element is Ts seconds • Slow FHSS has Tc  Ts • Fast FHSS has Tc < Ts • FHSS quite resistant to noise or jamming – with fast FHSS giving better performance
  • 52.
    • First, theincoming binary data are applied to an M-ary FSK modulator. The resulting M-ary FSK modulated signal is applied to a Mixer. The Mixer consists of a multiplier followed by a band pass filter (BPF). • The other input to the mixer block is obtained from a digital frequency synthesizer. The frequency synthesiser is controlled by a PN code generator.
  • 53.
    • Hence theM-ary FSK modulated signal is again modulated by a carrier produced by the frequency synthesizer. • The Mixer produces two outputs of the sum frequency and the difference frequency. • The band pass filter that follows the mixer selects only the sum frequency signal, which is the FH-MFSK signal. This signal is then transmitted.
  • 54.
    Using the M-aryFSK system, M symbols can be transmitted, where M=2K . Here k is the number of bits of the input binary data that form one symbol. • The M-ary FSK modulator will assign a distinct frequency for each of these M symbols. • The synthesizer output at a given instant of time is the frequency hop. • The output bits of the PN generator change randomly. Hence the synthesizer output frequency will also change randomly. • .
  • 55.
    • Each frequencyhop is mixed with the MFSK signal to produce the transmitted signal. • If the number of successive bits at the output of PN generator is n, then the total number of frequency hops will be 2n . • The total bandwidth of the transmitted FH- MFSK signal is equal to the sum of all the frequency hops. Therefore, the bandwidth of the transmitted FH-MFSK signal is very large of the order of few GHz
  • 57.
    The received signalis applied as input to the Mixer. The other input to the mixer is obtained from the digital frequency synthesizer. • The frequency synthesizer is driven by a PN code generator. This generator is synchronized with the PN code generator at the transmitter. • Therefore, the frequency hops produced at the synthesizer output will be identical to those at the transmitter. • The mixer produces two outputs of the sum frequency and the difference frequency. The band pass filter selects only the difference frequency, which is the MFSK signal. Thus the mixer removes the frequency hopping.
  • 58.
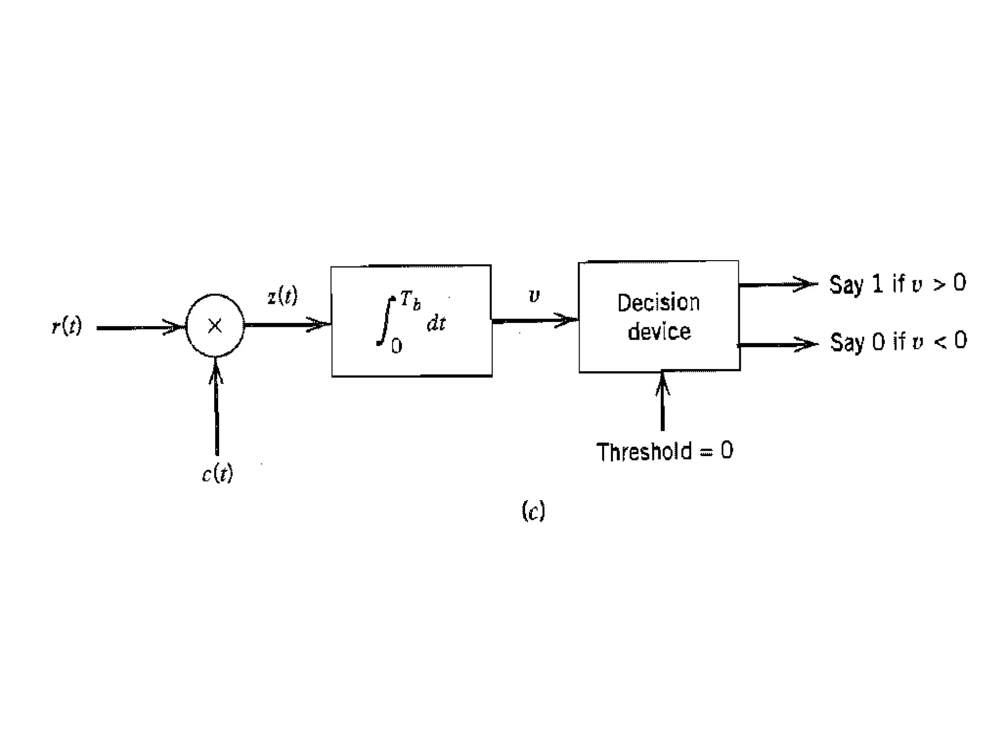
    • The MFSKsignal is then applied to a non- coherent MFSK detector. A bank of M, non- coherent matched filters are used for non- coherent MFSK detection. Each matched filter is matched to one of the tones of the MFSK signal. • An estimate of the original symbol transmitted is obtained by selecting the largest filter output. • For an FH/MFSK system
  • 61.
  • 68.
  • 69.
    Comparison of betweenSlow & Fast FHSS
  • 73.
    Applications of FHSSsystem: • 1) CDMA systems based on FH spread spectrum signals are particularly attractive for mobile communication. • 2) Wireless local area networks (WLAN) standard for Wi-Fi. • 3) Wireless Personal area network (WPAN) standard for Bluetooth.
  • 74.
    BENEFICIAL ATTRIBUTES OF SPREADSPECTRUM SYSTEMS • Spread spectrum modulation was originally developed for military applications where resistance to jamming (interference) is of major concern. However there are civilian applications that also benefit from the unique characteristics of spread spectrum modulation. We hereby list the following beneficial attributes of spread spectrum systems.
  • 75.
    Applications of SpreadSpectrum Modulation Multiple Access

Editor's Notes

  • #6 highlights the key characteristics of any spread spectrum system. Input is fed into a channel encoder that produces an analog signal with a relatively narrow bandwidth around some center frequency. This signal is further modulated using a sequence of digits known as a spreading code or spreading sequence. Typically, but not always, the spreading code is generated by a pseudonoise, or pseudorandom number, generator. The effect of this modulation is to increase significantly the bandwidth (spread the spectrum) of the signal to be transmitted. On the receiving end, the same digit sequence is used to demodulate the spread spectrum signal. Finally, the signal is fed into a channel decoder to recover the data.
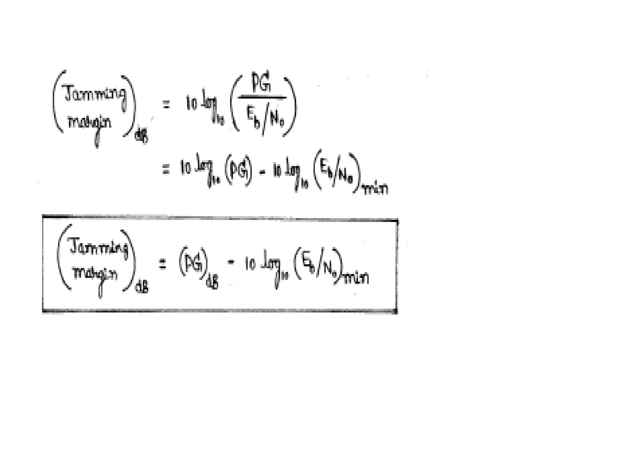
  • #48 A common modulation technique used in conjunction with FHSS is multiple FSK (MFSK), which uses M = 2L different frequencies to encode the digital input L bits at a time (see Chapter 5). For FHSS, the MFSK signal is translated to a new frequency every Tc seconds by modulating the MFSK signal with the FHSS carrier signal. The effect is to translate the MFSK signal into the appropriate FHSS channel. For a data rate of R, the duration of a bit is T = 1/R seconds and the duration of a signal element is Ts = LT seconds. If Tc is greater than or equal to Ts, the spreading modulation is referred to as slow-frequency-hop spread spectrum; otherwise it is known as fast-frequency-hop spread spectrum. Typically, a large number of frequencies is used in FHSS so that bandwidth of the FHSS signal is much larger than that of the original MFSK signal. One benefit of this is that a large value of k results in a system that is quite resistant to jamming. If frequency hopping is used, the jammer must jam all 2k frequencies. With a fixed power, this reduces the jamming power in any one frequency band to Sj/2k. In general, fast FHSS provides improved performance compared to slow FHSS in the face of noise or jamming, as will discuss shortly.
  • #61 Stallings an example of slow FHSS, using the MFSK example from Stallings DCC8e Figure 5.9. Here we have M = 4, which means that four different frequeDCC8e Figure 9.4 shows ncies are used to encode the data input 2 bits at a time. Each signal element is a discrete frequency tone, and the total MFSK bandwidth is Wd = Mfd. We use an FHSS scheme with k = 2. That is, there are 4 = 2k different channels, each of width Wd. The total FHSS bandwidth is Ws = 2kWd. Each 2 bits of the PN sequence is used to select one of the four channels. That channel is held for a duration of two signal elements, or four bits (Tc = 2Ts = 4T).
  • #68 Stallings DCC8e Figure 9.5 shows an example of fast FHSS, using the same MFSK example. Again, M = 4 and k = 2. In this case, however, each signal element is represented by two frequency tones. Again, Wd = Mfd and Ws = 2kWd. In this example Ts = 2Tc = 2T. In general, fast FHSS provides improved performance compared to slow FHSS in the face of noise or jamming. For example, if three or more frequencies (chips) are used for each signal element, the receiver can decide which signal element was sent on the basis of a majority of the chips being correct.