PHYSICS PAPER 1, 2 & 3 SPM 2014
Prepared by Lembaga Peperiksaan Malaysia
Answer scheme prepared by SPM Soalan
More SPM Paper at :
http://www.spmsoalan.com/
S"- .,*,.+3Hf,i"SiB13L5ii#ILAysrA
-_-
ffi Uataysa
SIJIL PELAJARAN MALAYSIA 2014 453III
PHYSICS
Kertas I
Nov./Dis.
rliam
SULIT
Satu jam lima belas minit
JANGAN BUKA KERTAS SOALAN INI SEHINGGA DIBERITAHU
l. Kertas soalan ini adalah dalam dwibahasa.
2. Soalan dalam bahasa Inggeris mendahului soalan yang sepadan dalam
bahasa Melayu.
3. Calon dikehendaki membaca maklumat di halaman belakang kertas soalan ini.
Kertas soalan ini mengandungi 50 halaman bercetak dan 2 halaman tidak bercetak
lLihat halaman sebelah
453ltl a 2014 Hak cipta Kerajaan Malaysia SULIT
illtil]illlililtiltilllllllfl llllllillll453111- 1
More SPM Papers at:
www.spmsoalan.com
SULIT 2 453III
The following information may be useful. The s).rnbols have their usual meaning.
Maklumat berikut mungkin berfaedah. Simbol-simbol mempunyai makna yang biasa.
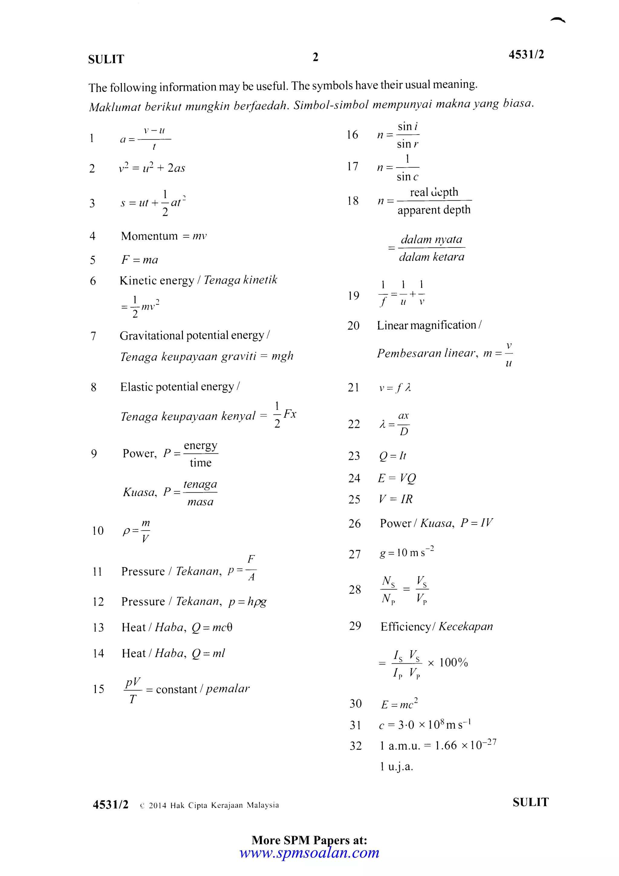
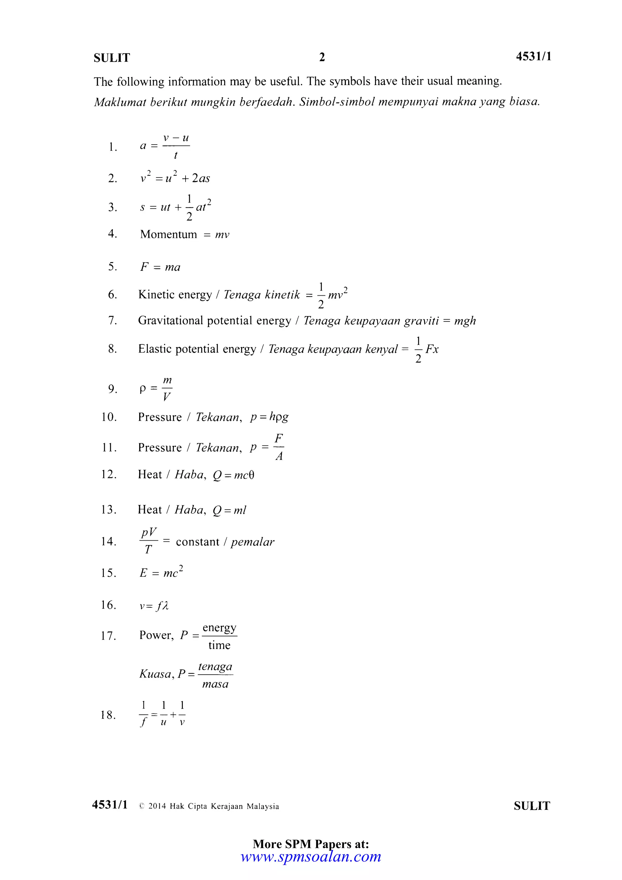
v-u
l' a =
-
t
^))^l. V =U + ZOS
1-
3. s=ur+Lat2
2
4. Momentum = lzy
5. F=ma
6. Kinetic energy I Tenaga kinerik = ! mv2
"2
7. Gravitational potential energy / Tenaga keupayaan graviti: mgh
8. Elastic potential energy I Tbnaga keupayaa, t eWA =
)f,
m
e' o=v
10. Pressure I Tekanan, p=hpg
11. Pressure / Tekanan, I =|
12. Heat I Haba, Q=mc|
13. HeatlHaba, Q=1nl
nV
14. t- = constant / pemalar
1'
15. E = mc2
16. u= -fl
17. Power,P=elergY
trme
Kuasa, P =
tenoga
mosa
lll
18. -;=-+-
luv
453lll -e,2014 Hak Cipra Kerajaan Mataysia SULIT
More SPM Papers at:
www.spmsoalan.com
STJLIT
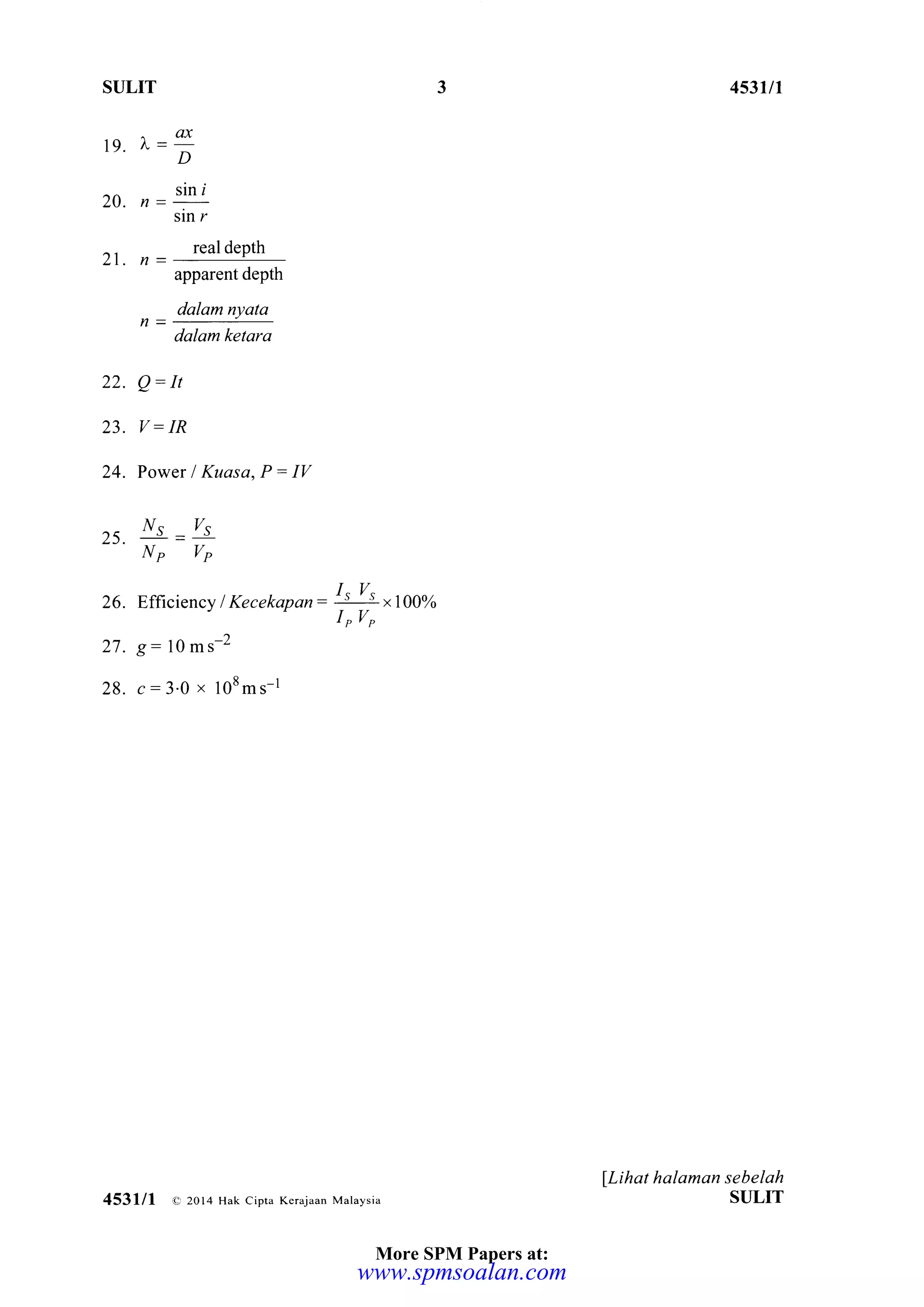
^ea19. t"=
D
zo. , = "!ni
sln r
21. n=
real depth
apparent depth
dalam nyata
dalam ketara
22. Q= h
23. V: IR
24. Power I Kuasa, P: IV
,< Ns
-
zs
NP T/P
26. Efficiency I Kecekapan=
I-t
!-t ,tooN
I,V,
27. g=19^"-z
28. c=3.0 x 108ms-1
4531n
lLihat halaman sebelah
St]LIT4531/1 e 2ol4 Hak cipta Kerajaan Malaysia
3
More SPM Papers at:
www.spmsoalan.com
SULIT 4s3u1
Which quantity is base quantity?
Kuantiti manakah adalah kuantiti asas?
A Potential difference
Beza kettpalraan
B Elecric current
Arus elektrik
C Electric energy
Tenaga elektrik
D Electric power
Kuasa elektrik
Diagram 1 shows two identical eggs are dropped from the same height, h, onto a floor
and a sponge respectively.
Rajah I menunjukkan dua biji telur serupa dijatuhkan dari ketinggian yang
sama. h. ke alas lantai dan span masing-masing.
Egg n -TTelnr I I I
-/ I
)rrJT_/ I
h
I
I
I
/ Eee I
I  T"tu, I
)t__./ ^sponge
Span
Broken egg
Telur pecah
Floor
Lantai
Diagram I
Rajah I
Which inference is correct?
Inferens manakah yang betul?
A Impulsive force depends on velocity ofegg
Daya impuls bergantung kepada halaju telur
B lmpulsive force depends on time of impact
Daya impuls bergantung kepada maso hentaman
C Impulsive force depends on gravitational force
Daya impuls bergdntung kepada daya graviti
D Impulsive force depends on height ofegg
Daya impuls berganlung kepada ketinggion telur
453lll e 20t4 Hak Cipra Kerajaan Malaysia SULIT
More SPM Papers at:
www.spmsoalan.com
SIILIT 5 453u1
3 Diagram 2 shows a velocity-time graph for a motion of an object.
Rajah 2 menunjukkan satu graf halaju-masa bagi gerakan satu objek.
Velocity (m sr)
Halaju (ms t)
4
Diagram2
Rajah 2
Time (s)
Masa (s)
llihat halaman sebelah
SULIT
What is the displacement of the object?
Berapakah sesaran objek itu?
A l2m
B 18m
C 24m
D 36m
453lll e 2014 Hak cipia Kerajaan Malaysia
More SPM Papers at:
www.spmsoalan.com
SULIT
4 Diagram 3 shows a cat chasing a rat.
Rajah 3 menunjukkan seekor kucing sedang mengejar seekor tikus.
Diagram 3
Raj ah 3
The inertia ofthe cat is bigger than the rat because
Inersia bagi kucing adalah lebih besar daripada tikus kerana
A the size of the cat is bigger than the rat
saiz kucing lebih besar daripada tikus
B the mass ofthe cat is bigger than the rat
jisim kucing lebih besar daripada tikus
C the length of the cat is more than the rat
panjang kucing lebih besar daripada tikus
D the height of the cat is more than the rat
tinggi kucing lebih besar daripada tikus
453y1
453111 o 20r4 Hak cipra Kerajaan Malaysia SULIT
More SPM Papers at:
www.spmsoalan.com
SULIT 7 453III
5 The balanced forces that act on the moving object could make the object
Daya-daya seimbang yang bertindak ke atas objek yang sedang bergerak akan
membuat objek itu
A decelerates
menyahpecut
B accelerates
memecut
C change the direction of motion
berubah arah gerakan
D moves with constant velocity
bergerak dengan halaju seragam
lLihat halaman sebelah
ST]LIT453,.ll o 20l4 Hak cipta Kerajaan Malaysia
More SPM Papers at:
www.spmsoalan.com
SI,JLIT 4s3ut
6 Which diagram shows the unbalanced forces acting on an object?
Rajah manakah menunjukkan daya-daya tak seimbang bertindak ke atas
suatu objek?
A A car stops at a junction
Sebuah kereta berhenti di suatu simpang
B An aeroplane take off
Sebuah kapal terbang
from the runaway
berlepas dari landasan
A train moves with constant velocity
Sebuah kereta api bergerak dengan halaju seragam
D A submarine stays stationary at a certain depth
Sebuah kapal selam berada pegun pada suatu kedalaman
C
SULIT4531/1 e 20l4 Hak cipta Kerajaan Malaysia
More SPM Papers at:
www.spmsoalan.com
SULIT 4537t7
7 Diagram 4 shows a martial art student breaking a pile of bricks.
Rajah 4 menunjukkan seorang pelajar seni mempertahankan diri memecahkan satu
susunan batu bata.
What is the physics concept that make the brick break?
Apakah konsep fizik menyebabkan batu bata pecah2
A Impulsive force
Daya impuls
B Momentum
Momentum
C Pressure
Tekanan
D Impulse
Impuls
llihat halaman sebelah
SULIT4531/1 o 20l4 Hak cipta Kerajaan Malaysia
More SPM Papers at:
www.spmsoalan.com
sul.rT 10 4s3lll
8 Diagram 5 shows a stone is thrown vertically upwards at a velocity of 20 m s I'
Rajah 5 menunjukkan sebiji batu dilontar tegak ke atas dengan halaju 20ms-t.
Diagram 5
Raj ah 5
What is the maximum height achieved by the stone?
Berapakah ketinggian maksimum dicapai oleh batu itu?
A2m
B 19m
C 20m
D 40m
4531/1 e 2014 Hak cipra Kerajaan Mataysia SULIT
?
l
More SPM Papers at:
www.spmsoalan.com
SULIT 11 453u1
9 The force, F, applied to a spring is directly proportional to the spring's extension or
compression, x.
The above statement is
Daya, F, dikenakan pada satu spring adalah berkadar langsung kepada
pemanjangan atau mampatan spring, x.
Penyataan di atas adalah
A Snell's Law
Hukum Snell
B Hooke's Law
Hukum Hooke
C Charles' Law
Hukum Charles
D Newton's Third Law of motion
Hukum gerakan Newton ketiga
lLihat halaman sebelah
SULIT4531/1 e 20l4 Hak cipta Kerajaan Malaysia
More SPM Papers at:
www.spmsoalan.com
sulrT 12 453tlt
10 Pressure is defined as force per unit area.
Which graph represents relationship between pressure (P) and area (A)?
Tekanan ditakrilkon sebagai dayo per unit luqs.
Grof manakah yang mewakili hubungan antara tekanan (P) dan luas (A)?
Ap Bp
I
A
I
A
1
A
I
A
SULIT453lll e 2014 Hak Cipra Kerajaan Mataysia
More SPM Papers at:
www.spmsoalan.com
SULIT 13
11 Diagram 6 shows a cyclist on a road.
Rajah 6 menunjukkan seorang pelumba basikal di atas jalon raya.
Mass of cyclist:60 kg
Jisim pelumba basikal - 60 kg
Mass of bicycle : 8 kg
Jisim basikal=8kg
Diagram 6
Rajah 6
What is the total downward force acting on the road?
Berapakah jumlah daya ke bawah yang bertindak pada jalan raya?
AON
B SON
C 6OON
D 68ON
llihat halaman sebelah
SULIT
453U1
4531ll a 2014 luak cipta Kerajaan Malaysia
More SPM Papers at:
www.spmsoalan.com
SULIT 14
12 Diagram 7 shows an empty bottle tied to a load in the water.
Rajah 7 menunjukkan botol kosong diikat pada beban dalam air.
Empty bottle
Botol kosong
Load
Beban
453il1
_.-.--.-.--.--.-/
String
Tali
Basement
Dasar
Diagram 7
Rajah 7
Which changes will increase the pressure on the bottle?
Perubahan manakah akan meningkatkan tekanan dalam botol'!
A Decreases the depth of the bottle
Mengurangkan kedalaman botol
B Shorten the string
Pendekkan talinya
C Use a heavier load
Menggunakan beban yang lebih berat
D Submerge the bottle into a less dense liquid
Tenggelamkan botol ke dalam cecair kurang tumpat
4531/1 o 2014 Hak Cipla Kerajaan Mataysia SULIT
More SPM Papers at:
www.spmsoalan.com
SULIT 453u1
13 Diagram 8 shows a thin wire is used to slice through a boiled egg.
Rajah 8 menunjukkan satu dawai halus digunakan untuk memotong telur rebus.
Diagram 8
Rajah 8
The purpose of using thin wire is to increase
Tujuan menggunakan dawai halus adalah untuk meningkalkan
A force
daya
B energy
tendgd
C pressure
tekanan
D inertia
inersia
llihat halaman sebelah
SULIT
15
453lll a.20t4 Hak cipta Kerajaan Malaysia
More SPM Papers at:
www.spmsoalan.com
SULIT 16 453lll
14 Diagram 9 shows different liquids spurts out of their containers. Spurt distance for each
liquid is x, y and z cm.
Rajah 9 menunjukkan cecair berlainan terpancut dari bekasnya. Jarak pancutan
ttntuk setiap cecair adalah x, y dan z cm.
Water
Air
oil
Minyak
Salt water
Air garam
Spurtdistance=xcm
Jorak pancutan= x cm
Which arrangement is correct?
Susunan manakah adalah betul?
A x<y<z
B x:y:z
C z>x>y
D z<y<x
Spurtdistance:ycm
Jarak pancutan: y cm
Diagram 9
Raj ah 9
Spurtdistance=zcm
Jarak pancutan= z cm
SULIT453lll a 2014 Hak cipta Kerajaan Mataysia
More SPM Papers at:
www.spmsoalan.com
SULIT 453u1
15 Diagram l0 shows a fire extinguisher being used to extinguish fire.
Rajah 10 menunjukkan sebuah pemadam api digunakan untuk metnadamkan kebakaran.
Foam
Buih
Diagram 10
Raj ah l0
Why the foam does not come out after a while even though the handle is pushed down?
Mengapakah buih tidak keluar lagi setelah pemegang ditekan ke bawah seketika?
A All the foam in the tank has come out
Buih dalam tangki semuanya telah keluar
B The pressure inside the tank becomes equal to atmospheric pressure
Tekanan dalam tangki menjadi sama dengan tekanan atmosfera
C The pressure in the tank becomes higher than atmospheric pressure
Tekanan dalam tangki menjadi lebih tinggi dari tekanan atmosfera
D The pressure inside the tank becomes lower than atmospheric pressure
Tekanan dalam tangki menjadi lebih rendah dari tekanan atmosfera
LLihat halaman sebelah
SULIT
t7
4531/1 o 2014 Hak cipta Kerajaan Malaysia
More SPM Papers at:
www.spmsoalan.com
SULIT 453y1
16 Diagram 11 shows an aerofoil attached to the back of Formula One car.
Rajah ll menunjukkan sebuah aerofoil dipasang di belakang kereta Formula One.
Air flow direction
Arah aliran udara
Diagram 11
Rajah ll
Which statement is correct when the car is moving fast?
Penyataan manokah betul apabila kereta itu bergerak laju?
A Pressure at X is greater than at Y
Tekanan di X lebih besar dari di Y
B Pressure at X and Y is the same
Tekanan di X dan Y adalah sama
C Velocity of air at X and Y is the same
Halaju udara di X dan Y adalah sama
D Velocity of air at X is greater than at Y
Halaju udara di X lebih besar dari di Y
17 Why is the volume of a balloon reduced when it is pushed deeper into the water?
Mengapakah isi padu belon berkurang apabila ia ditolak lebih dalam
ke dalam air?
A Pressure of water increases
Tekanan air bertambah
B Pressure of water decreases
Tekanan air berkurang
C Density of water increases
Ketumpatan air bertambah
D Density of water decreases
Ketumpatan air berkurang
18
453lll t- 20r4 Hak cipta Kerajaan Maraysia SULIT
More SPM Papers at:
www.spmsoalan.com
F
I
sulrT t9 453u1
18 Diagram 12 shows force F, acting on a piston P in a hydraulic system.
Rajah 12 menunjukkan daya F, bertindak pada omboh P dalam sistem hidraulik.
Piston P
Omboh P
Diagram 12
Rajah 12
Which modification can increase the force acting on piston Q?
Pengubahsuaian manakah boleh menambah daya bertindak pada omboh Q?
A Increase the diameter of the tube
Menambah diameter tiub
B Decrease the diameter of the tube
Mengurangkan diameter tiub
C Increase the surface area of piston Q
Menambah luas permukaan omboh Q
D Decrease the surface area ofpiston Q
Mengurangkan luas permukaan omboh Q
Piston Q
Omboh Q
llihat halaman sebelah
SULIT453lll a 2ot4 Hak cipta Kelajaan Malaysia
l
rI
Tube
Tiub
t_
--J_-_l
-t-_-i
-_-i
-_-i
-J
r---tl t_-
More SPM Papers at:
www.spmsoalan.com
SULIT 20 453ut
19 Diagram 13 shows a log floating on the surface of water.
Rajah 13 menunjukkan sebalang kayu balak terapung di alas permukaan air.
Log
Kavu balak
- Water - -
' Air
Diagram 13
Rojah 13
Which statement is correct?
Penyataan manakah betul2
A Buoyant force : Weight
Daya apung : Beral
B Buoyant force > Weight
Daya apung > Berat
C Density of log > Density of water
Ketumpolan kayu balak > Ketumpatan air
D Density of log : Density of water
Ketumpaton kayu balak - Ketumpatan oir
SULIT453lll e 2014 Hak Cipta Kerajaan Mataysia
More SPM Papers at:
www.spmsoalan.com
SULIT 2I
20 Diagram 14 shows a spoon is placed in a bowl of soup at 95"C.
Rajah 14 menunjukkan sebatang sudu diletakkan dalam semangkuk sup pada
suhu 95" C.
Diagram 14
Rajah 14
Which statement is correct when thermal equilibrium is reached?
Penyataan manakah yang betul apabila keseimbangan terma dicapai?
A Temperature ofsoup is unchanged
Suhu sup tidak berubah
B Temperature of spoon is unchanged
Suhu sudu tidak berubah
C No flow ofheat between soup and spoon
Tiada pengaliran haba antara sup dan sudu
D Soup and spoon has the same temperature
Sup dan sudu mempunyai suhu yang sama
llihat halaman sebelah
SULIT
453U1
4531ll e 2014 Hak cipta Kerajaan Malaysia
More SPM Papers at:
www.spmsoalan.com
SULIT 'r1 453u1
21 Diagram l5 shows a pot.
Rajah l5 menunjukkan sebuah periuk.
Handle
Pemegang
Diagram 15
Rajah 15
Why is the pot's handle made of high specific heat capacity material?
Mengapakah pemegang periuk diperbuat daripada bohan bermuatan haba
tentu tinggi?
A To increase the mass of the pot
Untuk meningkotkan jisim perittk itu
B To reduce the increase in temperature
Untuk mengurangkan peningkatan suhu
C To increase the melting point
Untuk meningkolkan takat lebur
D To reduce the expansion of the handle
Untuk mengurangkan pengembongon pemegdng
453lll , l0l4 Hak Cipta Kerajaan Malaysia SULIT
More SPM Papers at:
www.spmsoalan.com
SULIT 23 453u1
22 Which graph shows the correct relationship between the volume and the temperature of
gas in Charles's Law?
Graf manakah yang menunjukkan hubungan yang betul di antara isi podu dengan
suhu suatu gas dalam Hukum Charles?
A V(cm3) B V(cm3)
T (K)
T (K)
C V(cm3) D V(cm3)
T (K) T (K)
f,Lihat halaman sebe lah
SULIT4531/1 e 2014 Hak cipta Kerajaan Malaysia
More SPM Papers at:
www.spmsoalan.com
SULIT 24
23 Diagram l6 shows an air-tight cylinder with a piston. A force, F
piston to produce pressure.
Rajah 16 merutnjukkan silinder kedap udara dengan omboh.
pada onboh untuk menghasilkan tekanan.
453llt
is applied onto the
Daya F dikenakan
Distance of compression, 1
Jarak mampatan, I
Piston
Omboh
Cylinder
Silinder
Diagram 16
Rajah 16
Which graph represents the relationship between pressure (P) and distance of
compression, /?
Grof manakah mev'akili hubungan ontaro Tekanan (P) dan jarak mampatan, 12
AP
C
SULIT453lll e 20t4 Hak cipta Kerajaan Malaysia
More SPM Papers at:
www.spmsoalan.com
SULIT 25 453u1
a distance of 2 m.
cermin satah dalam
Boy
Budak lelaki
I m away from
bergerak 1m
lLihat halaman sebelah
SULIT
24 Diagram 17 shows a boy standing in front of a plane mirror in
Rajah 17 menunjukkan seorang budak lelaki berdiri di depon
jarak 2m.
Plane mirror
Cermin satah
2m
Diagram l7
Raj ah 17
What is the distance between the boy and his image when he moves
the mirror?
Apakah jarak antara budak lelaki dengan imejnya bila dia
menjauhi cermin?
A2m
B3m
C4m
D6m
453lll e 2014 Hak cipta Kerajaa. Malaysia
More SPM Papers at:
www.spmsoalan.com
SULIT 453il1
25 Diagram l8 shows an apparatus set-up ofan experiment to investigate the relationship
between object distance, u and image distance, v of a convex lens.
Rajah 18 menunjukkan susunon radas bagi eksperimen untuk mengkaji hubungon
antara jorok objek, u dan jarak inej, v bagi kanta cembung.
26
Object
Objek
Convex lens
Kanta cembung
Bulb
Mentol
Diagram 18
Rajah 18
Which changes increases the image distance, v?
Perubahan manakah meningkatkan jarak imej, v?
A Increase the object distance, u
Tambahkan jarak objek, u
B Decrease the object distance, u
Kttrangkan jarak objek, u
C Increase the diameter ofthe convex lens
Tambahkan diameter kanta cembung itu
D Increase the distance between objectandbulb
Tambahkan jarak antara objek dengan mentol
White screen
Slgrin putih
Metre rule
Pembaris meter
SULIT453lll c 2014 Hak cipra Kerajaan Maraysia
More SPM Papers at:
www.spmsoalan.com
SULIT
26 Diagram 19 shows a beam of light travelling from air to medium X.
Rajah 19 menunjukkan sinar cahaya bergerak dari udara ke medium X.
What is the refractive index of medium X?
Berapokah indeks biasan medium X?
A 0-4
B 0.7
c 1.5
D 2.2
27 A pool is filled with water to a depth of 5 m.
What is the apparent depth of the pool?
[Refractive index of water is I .33]
Sebuah kolam diisi dengan air sehingga kedalaman 5m.
Apakah dalam ketara kolam itu?
lndeks biasan air iolah 1.33)
A 0.27 m
B 3.67 m
c 3.76m
D 6.65 m
'r1 453u1
fLihat halaman sebelah
SULIT
Diagram l9
Rajah 19
453lll e 2014 Hak Cipta Kerajaan Mataysia
7ooAir
Udara
MediumX -^o
MediumX 5u
400 |
More SPM Papers at:
www.spmsoalan.com
SULIT 28
28 Diagram 20 shows a displacement-distance graph produced by a water wave.
Rajoh 20 menunjukkan graf sesaran-jarak dihasilkan oleh gelombang air.
Displacement, y(cm)
Sesaran, y(cm)
453U1
Distance, s(cm)
Jarak, s(cm)
Which pair of amplitude and wave length is correct?
Pasangan manokah bagi amplitud dan panjang gelombang adolah betul?
Amplitude
Amplitud
Wavelength
Panjang gelombang
OM
ON
ON
MN
OR
oQ
OP
OS
A
B
C
D
SULIT453111 c:.2014 Hak cipla Kerajaan Malaysia
More SPM Papers at:
www.spmsoalan.com
SULIT 29
29 Which diagram shows the phenomenon ofwave reflection?
Rajah manakah menunjukkan fenomena pantulan gelombang?
llllD
rtll
453u1
halaman sebelah
ST]LIT453lll a 2014 Hak cipta Kerajaan Malaysia
ILihat
More SPM Papers at:
www.spmsoalan.com
ST]LIT 30 453u1
30 Diagram 21 shows the propagation of sound wave in the air from cooler air area to
warmer air area.
Rojah 21 menunjukkan perambatan gelombang bunyi di udara dari kawasan udara
lebih sejuk ke kawasan udara lebih panas.
Warmer air
Udara lebih panos
Cooler air
Udaro lebih s
Diagram 21
Rajah 2l
Which comparison about the wave is correct?
Perbondingan manakah tentang gelombang itu adalah betul2
A The wave length at the upper level < the lower level
Panjang gelombang pada aras atas < aras bawah
B The amplitude at the upper level < the lower level
Amplitud pada aras atos < aras bawah
C The speed at the upper level > the lower level
Kelajuan poda oras otos > aras bawah
D The frequency at the upper level > the lower level
Frekuensi pada oras atas > aras bawah
Lower
Ards L
453lll e 20t4 Hak cipta Kerajaan Malaysia SULIT
More SPM Papers at:
www.spmsoalan.com
SULIT 453u1
31 Diagram 22 shows a water wave propagating through a small gap.
Rajah 22 menunjukkan gelombang air merambat melalui suatu celah yang kecil.
Diagram22
Raj ah 22
Which property of the diffracted wave is correct?
Ciri gelombang terbelau manakah yang betul?
A The amplitude is decreased
Amplitud berkurang
B The wave length is decreased
Panjang gelombang berkurang
C The speed is decreased
Kelajuan berkurang
D The frequency is increased
Frekuensi bertambah
lLihat halaman sebelah
SULIT
31
453lll <:20r4 Hak cipta Kerajaan Mataysia
More SPM Papers at:
www.spmsoalan.com
SULIT 32 453lll
32 Diagram 23 shows sound waves produced by a loudspeaker.
Rajah 23 menunjukkan gelombang bunyi dihasilkan oleh satu pembesar suara.
Loudspeaker
Pembesar suara
Air molecules
Molekul udara
Diagram 23
Rajah 23
Which combination is correct?
Kombinasi ntanakah adalah betul?
A
B
C
D
SULIT
Direction of air
molecules vibration
Arah getaran
molekul udara
Direction of wave
propagation
Arah perambatan
gelombang
Airmolecule
Molekul udara
------>
Air molecule
Molekul udaro <-
Air molecule
Molekul udara I
Air molecule
Molekul udoro
-----+
453lll c,2014 Hak cipla Kerajaan Malaysia
More SPM Papers at:
www.spmsoalan.com
SULIT 33 453u1
33 Which combination produce low loudness and high pitch sound?
Kombinasi manakah menghasilkan bunyi kekuatan rendah dan kelangsingan
tinggi?
A
B
C
D
Amplitude
Amplitud
Frequency
Frekuensi
Small
Kecil
Low
Rendah
Large
Besar
Low
Rendah
Small
Kecil
High
Tinggi
Large
Besar
High
Tinggi
flihat halaman sebelah
SULIT453lll a 20t4 Hak cipta Kerajaan Malaysia
More SPM Papers at:
www.spmsoalan.com
SULIT 34
34 Diagram 24 shows an application of electromagnetic waves'
Raj ah 24 menunj ukkan penggunaan gelombang e lektromagnet.
Diagram24
Rajah 24
Which pair is correct about the characteristics of the waves used?
Pasangan manakah yang betul tentang ciri-ciri gelombang yang digunakan?
Frequency
Frekuensi
Wave length
Panjang gelombang
Hieh
Tinggi
Short
Pendek
Hieh
Tinggi
Long
Panjang
Low
Rendah
Long
Panjang
Low
Rendah
Short
Pendek
D
453u1
453lll e 2014 Hak cipta Kerajaan Malaysia SULIT
More SPM Papers at:
www.spmsoalan.com
SULIT 453u1
35 Three different resistors are connected in series.
Which statement is correct?
Tiga perintang berbeza disambung bersiri.
Penyataan manakah adalah betul?
A Potential different across each resistor is the same
Beza keupayaan merentasi setiap perintang adalah sama
B Power dissipated by each resistor is the same
Kuasa dilesapkan oleh setiap perintang adalah sama
C Effective resistance is smaller than individual resistance
Rintangan berkesan lebih kecil daripada rintangan individu
D The current passing through each resistor is the same
Arus yang melalui setiap perintang adalah sama
36 Diagram 25 shows an electric circuit. When the switch is offthe voltmeter reading is
9.0 V. The internal resistance of the cell is 1Q.
Rajah 25 menunjukkan satu litar elektrik. Apabila suis dibuka bacaan voltmeter
adalah 9.0Y. Rintangan dalam bagi sel adalah lA.
Diagram 25
Rajah 25
What is the ammeter reading when the switch is on?
Berapakah bacaan ammeter apabila suis ditutup?
A 3.OA
B 3.5A
C 4.54
D 6.0A
35
llihat halaman sebelah
SULIT4531.ll e 2or4 Hak cipta Kerajaan M.laysia
More SPM Papers at:
www.spmsoalan.com
SULIT 36 453Ur
37 Diagram 26 shows a direct current drilling tool. The resistance of the coil in the drilling
tool is 0. 48 O . The current flows through the coil is 25 A.
Rajah 26 menunjukkan olat gerudi arus terus. Rintangan gegelung dalom alat
gerudi adalah 0.48 O. Arus yang mengolir menentsi gegelung adalah 25 A.
Diagram 26
Rajah 26
What is the power produced by the drilling toot?
Berapakah kuasa yang dihasilkan oleh alat gerudi itu?
A 52W
B l44W
c 300w
D 1302W
SULIT4531/l c 20t4 Hak cipra Kerajaan Malaysia
More SPM Papers at:
www.spmsoalan.com
SULIT 37
38 Which diagram shows the correct rule to
straight wire?
Rajah manakah menunjukkan peraturan
magnet di sekeliling dawai lurus?
453u1
determine the magnetic field around a
yang betul untuk menentukan medan
BA
Left-hand Grip rule
Peraturan Genggaman Tangan kiri
Fleming's Right hand rule
Peraturan Tangan kanan Fleming
Fleming's Left hand rule
Perqturan Tangan kiri Fleming
Right-hand Grip rule
Peraturan Genggaman Tangan kanan
lLihat halaman sebelah
SULIT
D
453lll a 2014 Hak cipta Keraiaan Malaysia
C


_)
),,,,,,I
More SPM Papers at:
www.spmsoalan.com
SULIT 38 453lll
39 Which diagram shows the correct combination of forces when the magnetic field due
to the current in the coil combines with the extemal magnetic field?
Rajah manakah menunjukkan kombinasi yang betul bagi daya-daya apabila medan
magnet yang disebabkan oleh arus dalam gegelung bergabung dengan medan
magnet luor?
Force
Doya
Force
Daya
Force
Daya
Force
Daya
Force
Daya
Force
Daya
Force
Daya
453lll c.20t4 Hak cipta Kerajaan Malaysia SULIT
More SPM Papers at:
www.spmsoalan.com
SULIT 39 453lll
40 Diagram 27 shows a current is induced when a magnet moves towards a coil.
Rajah 27 menunjukkan arus diaruhkan apabila mognet bergerak ke
arah gegelung.
Galvanometer
Galvanomeler
Coil
Gegelung
Magnet
Magnet
Diagram 27
Rajah 27
The magnitude of current increases when the
Magnitud arus bertambah apabila
A relative motion is reduced
ger aka n re lat if diku rang kan
B number of turns ofcoil is reduced
bil angan lilitan gegelung diktrrangkan
C magnitude of magnetic strength is reduced
magnitud bagi kekuatan magnet diknrangkan
D the resistance ofthe coil wire is reduced
rintangan gegelung dawai dikurangkan
llihat halaman sebelah
ST]LIT453lll a 20t4 Hak cipta Kerajaan Malaysia
More SPM Papers at:
www.spmsoalan.com
SULIT
4l Diagram 28 shows a step-down transformer.
Rajah 28 menunjukkan satu transformer injak turun.
Primarv coil Secondary coil
Gegelung primer Gegelung sekunder
Diagram 28
Rajah 28
When the current in the primary coil increases,
Apabila arus dalam gegelung primer bertambah,
A the frequency of the induced current in the secondary coil increases.
frektrensi arus aruhan dalam gegelung sekunder bertambah.
B the frequency of the current in the primary coil decreases.
frekuensi arus dalom gegelung primer berkurang.
C magnetic field in the secondary coil decreases.
medan magnet dalam gegelung sekunder berkurang.
D magnetic field in the primary coil increases.
ntedan magnet dalam gegelung primer bertambah.
40 4s3ut
SULIT453lll c 2014 Hak Cipta Kerajaan Mataysia
More SPM Papers at:
www.spmsoalan.com
SULIT
42 Diagram 29 shows a vacuum tube
Rajah 29 menunjukkan sat u
pancdran termion.
a.c. supply -|
bekalan at.
4t 453u1
used to investigate a thermionic emission.
tiub vakum digunakan untuk menyiasat
Cathode(-)
Katod (-) Anode (+)
Anod (+)
High voltage supply
Bekalan voltan tinggi
Diagram29
Rajah 29
What is the function of cathode?
Apakah fungsi katod!
A To produce the electron when it is heated by a filament
Untuk menghasilkan elektron apabila ia dipanaskan oleh filamen
B To accelerate the electron at a high speed.
Untuk memecut elektron poda kelajuan tinggi
C To control the intensity of electron beam.
Untuk mengawal keamatan alur elektron
D To deflect the electron beam vertically
Untuk memesong alur eleklron secara menegak
Heating filament
Filamen pemanas
Vacuum tube
Tiub vakum
lLihat halaman sebelah
St]LIT
---+>C athode rays/
Sinar katod
453lll a:2014 Hak cipta Kerajaan Malaysia
More SPM Papers at:
www.spmsoalan.com
SULIT 42 453lll
43 Diagram 30 shows an atomic sructure of an intrinsic material of semiconductor.
Rajah 30 menunjukkan suatu atom bagi suatu bahan semikondttktor tulen.
Si
Si
Si
+ :',
:i, :. .t
Si Si
'*.11.:
[ ];'-;1 1
'!l!
I:";
Si Si Si
'",1 ' t:,
[.'-1 ffi ' r .l,r
?"i{&'l
:!'ws
,,1
ti
Si Si Si Si I
;: r;.,*
l:-r-EF"''t
:.:a:1,'-i: .'r:'l
':;i
';
'i'"ii:r:-
I
i a -l: ."t"'
Diagram 30
Rajah 30
Which impurity element should be added to form n-type semiconductor?
Elemen bendasing manakah yang potut ditambah untuk membentuk semikonduktor
jenis n?
A Boron
Boron
B Indium
Indium
C Gallium
Galium
D Phosphorus
Fosforus
453lll c:2014 Hak Cipta Kerajaan l4alaysia SULIT
More SPM Papers at:
www.spmsoalan.com
SULIT 43
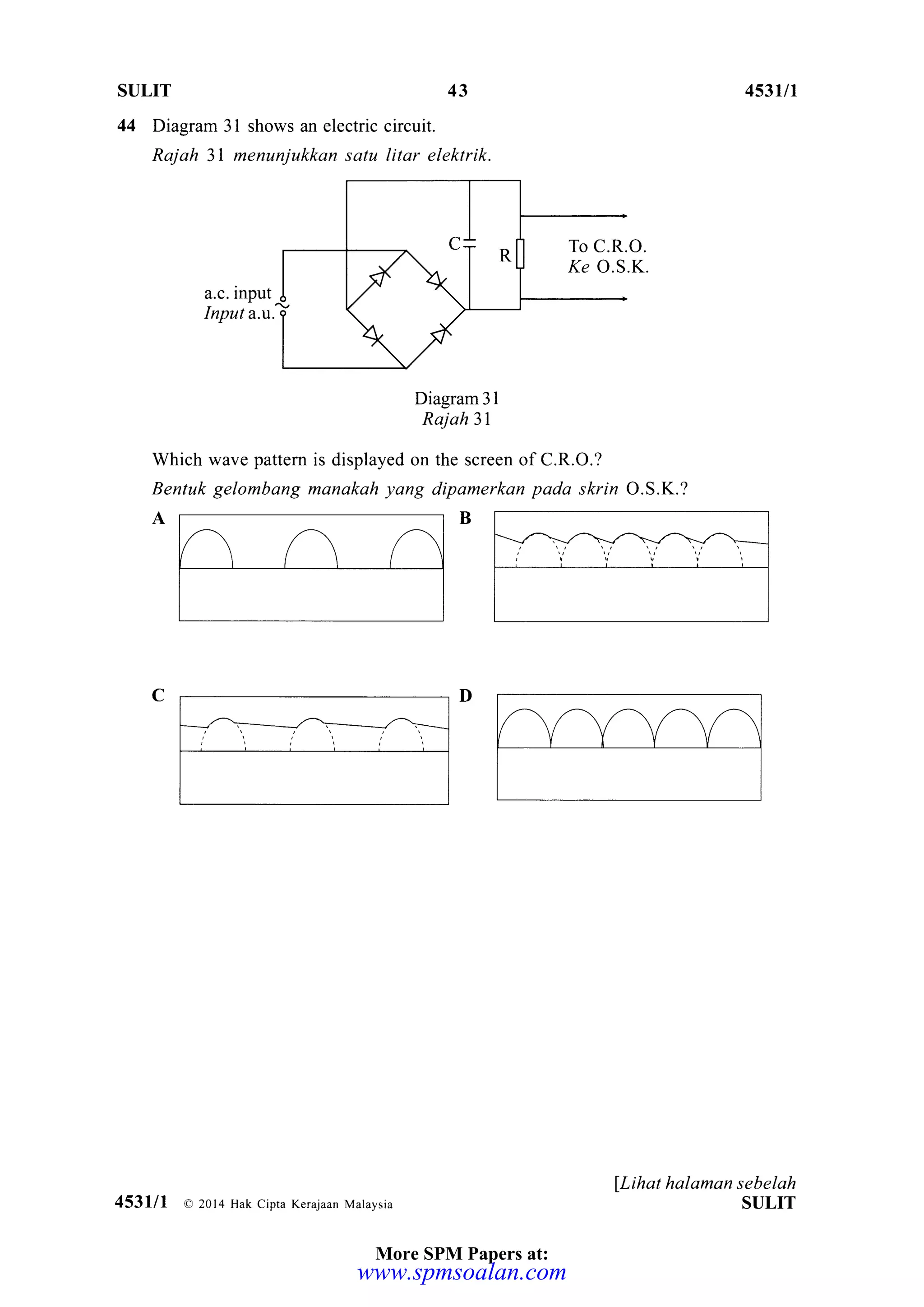
44 Diagram 3l shows an electric circuit.
Rajah 3l menunjukkan satu litar elektrik.
a.c. input
Input a.t.
Diagram 31
Rajah 31
Which wave pattem is displayed on the screen of C.R.O.?
Bentuk gelombang manakah yang dipamerkan pada skrin O.S.K.?
453u1
lLihat halaman sebelah
ST]LIT
C
To C.R.O.
,(e O.S.K.
453lll a 2014 Hak Cipra Kerajaan Malaysia
More SPM Papers at:
www.spmsoalan.com
SULIT
45 Diagram 32 shows an automatic
Rajah 32 menunjukkan suatu
44
switch circuit.
litar suis automatik.
4s3ut
l0 ko
What is Q?
Apakah Q?
A Resistor
Perintang
B Termistor
Termistor
C Light emitting diode
Diod pemancar cahaya
D Light dependent resistor
Perintang peko cahaya

Diagram32
Raj ah 32
4531/1 c 2014 Hak Cipta Kerajaan Malaysia SULIT
More SPM Papers at:
www.spmsoalan.com
45SULIT
46 Diagram 33 shows an induced current flows in a wire which
two magnets.
453y1
is moved between
Rajah 33 menunjukkan arus aruhan mengalir dalam dawai yang digerakkan
di antara dua magnet.
Induced current
Direction of motion of wire
Arah gerakan dawai
Arus aruhan Magnetic field
Medan magnet
Diagram 33
Rajah 33
Which step will increase the magnitude of the induced current?
Langkah manakah yong akan meningkatkan magnitud arus aruhan?
A Use wire with smaller diameter
Guna dawai dengan diameter lebih kecil
B Increase the distance between two magnet
Tambah jarak di antara dua magnet
C Move the wire horizontally
Gerak dawai secara mengufuk
D Use stronger magnets
Guna magnet yang lebih kuat
lLihat halaman sebelah
SULIT453lll e 20r4 Hak cipra Kerajaan Maraysia
More SPM Papers at:
www.spmsoalan.com
46 4S3ut
47 Diagram 34 shows a combination of logic gates with one input and two output
XandY
Rajah 34 menunjukkan gdbungan get-get logik dengan satu input dan dua output
X dan Y.
Diagram 34
Rajah 34
Which output is correct?
Output manakah adalah betul?
D
Input
Input
OutDut
outlut
x Y
0 1 1
0 0 1
1 I 1
1 0 1
453lll e 2014 Hak cipta Kerajaan Malaysia SULIT
More SPM Papers at:
www.spmsoalan.com
SULIT 47 453u1
48 Nuclear fusion is
Pelakuran nuklear adalah
A a loss ofmass in nuclear reaction
kehilanganjisim dalam tindak balas nuklear
B a loss ofenergy in nuclear reaction
kehilangan tenaga dalam tindak balas nuklear
C the combining of two lighter nuclei to form a heavier nucleus
penggabungan dua nukleus ringan untuk membentuk satu nukleus lebih berat
D the spliuing ofa heay nucleus into two lighter nuclei
pembelahan satu nukleus berat kepada dua nukleus lebih ringan
lLihat halaman sebelah
SULIT453lll a 2014 Hak Cipra Kerajaan Malaysia
More SPM Papers at:
www.spmsoalan.com
SULIT 48
49 Diagram 35 shows a model of hidrogen, atom ]H.
Rajah 35 menunjukkan model otom hidrogen,tH.
.
,l
/l
,l
,l
, (+)
,' Protium atom
Atom ProtiumI
t-,
key
kunci
453u1
lH.
proton
proton
electron
elektron
neutron
neutron
Diagram 35
Rajah 35
Which diagram shows the model for isotope of hidrogen, tritium atom, iH
Rojah manakah yang menunjukkan model bagi isotop hidrogen, atom
A-,/
o
D
titium,
A
a
C
SULIT
o
o
o
453lll e 20t4 Hak cipra Kerajaan Malaysia
I
A o..
More SPM Papers at:
www.spmsoalan.com
SULIT
50 Which is correct about the category of radioactive waste?
Manakah yang betul mengenai kategori sisa radioaktif
END OFQUESTION PAPER
KERTAS SOALAN TAMAT
49 453u1
A
B
C
D
SULIT
Radioactive waste
Sisa radioaktd
HalfJife
Separah hayat
Source
Punca
High level
Aras tinggi
hrg
Panjang
Hospitals, laboratories and industries
Hospital. makmal dan industri
Low level
Aras rendah
Long
Panjang
Used fuel rods or liquid waste from
fuel reprocessing
Sisa rod bahan api atau sisa cecair
daripada pemprosesan semula bahan opi
High level
Aras tinggi
Short
Pendek
Used fuel rods or liquid waste from
fuel reprocessing
Sisa rod bahan api otau sisa cecair
daripada pemprosesan semula bahan api
Low level
Aras rendah
Short
Pendek
Hospitals, laboratories and industries
Hospital. makmal dan indust ri
453lll e,2014 Hak cipra Kerajaan Malaysia
More SPM Papers at:
www.spmsoalan.com
52SULIT
453llr
INFORMATION FOR CANDIDATES
MAKL(IMAT UNTUK CALON
1. This question paper consists of50 questions'
Kertas soalan ini mengandungi 50 soalan'
2. Answer all questions.
Jav'ab semua, soalan.
3. Each question is followed by either three or four options' Choose the best option for
"
;;q;r1i"; and blacken the correct space on the objective answer sheet'
Tian-tiap soalan diikuti oleh sama ada tiga atau emptt pilihan jawapan"Pilih satu
;*[,p;;;;;';;",i)i[i"i:i iittip 'oatoi
don hitu;ka; ruansan vang betut pada
kertas jau'aPan objekt if.
4. Blacken only one space for each question'
Hitomkan satv ruongon sahaja bagi setiap soalan'
5. Ifvou wish to change your answer, erase the blackened mark that you have made' Then I
blicken the space for the new answer'
Sekiranya anda hendak menukar jawapan, padamkan londa yang telah dibuat'
Kemudian hitamkon jawapan yang baharu'
6. The diagrams in the questions provided are not drawn to scale unless stated'
Rajah yang mengiringi soalan tidak dilukis mengikut skala kecuali dinyatakan'
'7
. You may use a scientific calculator'
Anda dibenarkan menggunakan kalkulator saintifik'
8. A list offormulae is provided on pages 2 and 3'
Sattt senarai formula disediakan di halaman 2 dan 3'
SULIT
453lll e 2014 Hak cipta Kerajaan Malavsia
More SPM Papers at:
www.spmsoalan.com
NO, KAD PENGENALAN
SULIT
ANGKAGILIRAN
8?-
-(=-h
€ft=g4k
Uahysa
LEMBAGA PEPERIKSAAN
KEMENTERIAN PENDIDIKAN MALAYSIA
SIJIL PELAJARAN MALAYSIA 2014 453112
PHYSICS
Kertas 2
Nov./Dis.
Zl ian Dua jam tiga puluh minit
JANGAN BUKA KERTAS SOALAN INI SEHINGGADIBERITAIIU
1. Tulis nombor kad pengenalan dan
angka giliran anda pada petak yang
disediakan.
2. Kertas soalan ini adalah
dalam dwibahasa.
3. Soalan dalam bahasa Inggeris
mendahului soalan yang sepadan dalam
bahasa Melayu.
4. Calon dibenarkan menjawab
keseluruhan atau sebahagian soalan
sama ada dalam bahasa Inggeris atau
bahasa Melayu.
5. Calon dikehendaki membaca maklumat
di halaman belakang kertas soalan ini.
Untuk Kegunaan Pemeriksa
Kod Pemeriksa:
Bahagian Soalan
Markah
Penuh
Markah
Diperoleh
A
1 4
2 5
3 6
4 7
5 I
6 8
7 10
I 12
B
9 20
10 20
C
11 20
t2 20
Jumlah
Kertas soalan ini mengandungi 35 halaman bercetak dan I halaman tidak bercetak.
lLihat halaman sebelah
453112 a 2014 Hak cipta Kerajaan Malaysia SULIT
| |1il]1ilffi Iilililt ilil ril ffiIl ffi llll
4 53112 - 1
il
I
More SPM Papers at:
www.spmsoalan.comwww.spmsoalan.com
SULIT 453il2
The following information may be useful. The symbols have their usual meaning'
Maklumot berikttt mlmgkin berfaedoh. simbol-simbol mempunyai makna yang biasa.
sln I
16 n=-
sin r
17 ,= '
18 n=
sln c
real ticpth
apparent depth
dalam nyata
dalam ketara
lll
re 7=i*l
20 Linear magnification /
Pembesaran lineor, m =
v-lt
I o=- t
2 v2:u2 +2as
I
3 s =ut +-ol-
2
4 Momentum = mv
5 F =ma
6 Kinetic energy / Tenaga kinetik
=lr,"2
7 Gravitational potential energy /
Tenaga keupayaan gravili : ntgh
8 Elastic potential energy i
Tenaga keupayao, k"nlrat - )F*
9 Power, P=elergY
tlme
Kuasa. P =tenaSa
maso
m
lo p=i
F
1l Pressure I Tekanon, P= O
12 Pressure I Tekanan, p=hpg
l3 HeatlHaba, Q=mcl
14 HeatlHoba, Q=pl
15 Pv =ron tuntI pemalar
T
v=.f).
ox
"D
Q=tt
E_VQ
V=IR
PowerlKuasa, P=IV
g=l0ms -
N,
--
v,
NP VP
Efftciency I Kecekapan
: I, v, x 1oo%o
Io V,
-)
c:3.0 x 108 m s-l
1 a.m.u. : I .66 x l0 27
I u j.a.
I
u
2t
22
ZJ
24
25
26
27
28
29
30
JI
32
SULIT453112 c- 2014 Hak cipm Kerajaan Malaysia
More SPM Papers at:
www.spmsoalan.comwww.spmsoalan.com
SULIT 453u2
Section A
Bahagian A
[60 marks]
160 markahl
Answer all questions in this section.
Jawab semta soalan dalam bahagian ini.
Diagram I shows a number ofthumb-tack are attracted by an electromagnet.
Rajah I menunjukkan sejumlah paku tekan tertarik kepada satu elektromagnet.
Iron nail Switch
SalsPoku besi
Electromagnet
Elektromagnet
Thumb-tack
Paku tekan
Diagram 1
Rajah I
(a) Based on Diagram l,
Berdasarkan Rajah 1,
(i) Tick (/)the correct answer in the box provided.
Tanda (/) pada jawapan yang betul dalam kotak yang disediakan.
Electromagnet is a
E lektromagnet adalah satu
temporary magnet
magnet sementara
permanent magnet
magnet kekal
[1 mark]
l1 markahl
lLihat halaman sebelah
SULIT453112 e 2014 Hak Cipta Kerajaan Malaysia
Exqminer's
Use
l(a)(i)
More SPM Papers at:
www.spmsoalan.comwww.spmsoalan.com
Erominer's
Use
1(a)(ii)
l(bxi)
l(bxii)
Total
AI
E
SULIT 4
(ii) At wire PQ, label the direction of current flow
Pada wayar PQ, label arah pengaliran arus.
The current flow through wire PQ is increased.
Arus yang mengalir melalui wayar PQ ditambah.
(i) State what happens to the number ofthumb-tack attracted by the electromagnet.
Nyatakan apa yang berlaku kepada bilangan paku tekan yang tertarik
kepada elektromagnet.
ll markl
fl markahf
(ii) Give one reason for your answer in 1(6)(i).
Beri satt sebab bagi jawapan anda di l(b)(t).
453l/2
ll markl
ll markah)
(b)
I mark)
ll markahl
453112 <:20t4 Hak cipra Kerajaan r4alaysia SULIT
More SPM Papers at:
www.spmsoalan.comwww.spmsoalan.com
SULIT 453u2
2 Diagram2 shows an instrument which is used to measure the atmospheric pressure.
Raj ah 2 menunjukkan satu alat yang digunakan untuk mengukur tekanan dtmosfero.
Diagram2
Rajah 2
(a) Based on Diagram2,
Berdasarkan Rajah 2,
(i) Name the instrument which is used to measure the atmospheric pressure.
Namakan alat yang digunakan untuk mengukur tekanan atmosfera.
11, mark)
11 markahl
(ii) State one reason why mercury is used in the instrument.
Nyatakan satu sebab mengapa merkuri digunakan dalam alat tersebut.
Examiner's
Use
2(a)(t)
2(aXii)
ll markl
fl markahf
lLihat halaman sebelah
SULIT453112 e 2014 Hak cipta Kerajaan Maraysia
More SPM Papers at:
www.spmsoalan.comwww.spmsoalan.com
For
Examiner's
Use
Total
A2
G
z(b)(i)
2(b)(ti)
SULIT
(b)
6
Based on Diagram 2,
Berdasarkan Rajah 2,
(i) state the atmospheric pressue in the unit of cmHg.
nyatakan tekanon atmosfera dalam unit cmHg.
453y2
(ii) calculate the atmospheric pressure in the unit ofPascal.
I Density of mercury = 13'6 x 103 kg m-3 ]
hitung tekanan atmosfera dalam unit Pascal.
f Ketilmpatan merkuii: 13'6 x 103 kg m 31
11 markl
11 markahl
12 marks I
12 markahl
4S3ll2 e 2014 Hak cipta Kerajaan Malaysia SULIT
More SPM Papers at:
www.spmsoalan.comwww.spmsoalan.com
SULIT 453U2
Diagram 3.1 shows the electromagnetic spectrum.
Raj ah 3.1 menunjukkan spektrum electromagnet.
Diagram 3.1
Rajah 3.1
(a) State the electromagnetic wave R.
Ny at akan ge lo mb ang e lektromagnet R.
ll markl
11 markahl
Give one reason why microwave is used in satellite communication.
Beri sata sebab mengapa gelombang mikro digunakan dalam komunikasi satelit.
[1 mark]
[1 markahl
(c) A radio station emits radio wave at a frequency of 100 MHz.
Sebuah stesen radio mengeluarkan gelombang radio pada frekuensi 100 MHz.
(i) State the frequency in the unit ofHz.
Nyatakan frekuensi dalam unit Hz.
ll markl
11 markahl
(ii) Calculate the wave length of the radio wave.
(Speed ofradio wave is 3 x 108 m s l)
Hitung panjang gelombang untuk gelombang radio itu.
(Laju gelombang radio ialah 3 x 108 m s-l )
f2 marksl
12 markahl
lLihat halaman sebelah
ST]LIT
(b)
R
X-ray
Sinar-X
Ultra-
violet
Ultra-
ungu
Visible
liCht
Cahaya
nampak
Infrared
Inframerah
Microwave
Gelombang
mikro
Radio wave
Gelombang
radio
453112 a 2014 Hak cipta Kerajaan Malaysia
Examiner's
Use
3(a)
E
3(b)
3(c)(i)
3(c)(ii)
More SPM Papers at:
www.spmsoalan.comwww.spmsoalan.com
For
Examiner's
Use
3(A
E
Total
A3
G
SULIT
(d
8
Diagram 3.2 shows a wave form of ultraviolet wave.
Rajoh 3.2 menunjukkan bentuk gelombang bagi gelombang ultraungu.
BoxZ
Kotak Z
453U2
11 mark)
ll markahl
Ultraviolet
Ultraungu
Diagram 3.2
Rajah 3.2
Sketch the wave form of visible tight in Box Z.
Lakar bentuk gelombang bagi cahaya nampak dalam Kotak Z.
SI]LIT453112 t- 20t4 Hak Cipta Kerajaan Malaysia
More SPM Papers at:
www.spmsoalan.comwww.spmsoalan.com
sulrT 9 453u2
4 Diagram 4.1 shows a 50kg box is pushed by a man with a force of 300N. The box
moved with a constant velocity.
Raj ah 4.1 menunjukkan satu kotak 50kg ditolak oleh seorang lelaki dengan satu
daya 300N. Kotak itu bergerak dengan halaju serogam.
Diagram 4. I
Rajah 4.1
(a) What is the meaning of force?
Apakah yang dimaksudkan dengan daya2
Exa iner's
Use
4(a)
E
4(rxi)
I mark)
11 markahl
(D) (D What is the frictional force acting on the box?
Berapakah daya geseran yang bertindak pada kotak itu?
[1 mark)
11 markahl
LLihat halaman sebelah
SULIT453112 < 2014 Hak Cipta Kerajaan Malaysia
More SPM Papers at:
www.spmsoalan.comwww.spmsoalan.com
Exominer's
Use
tE
Total
A4
G
4(bxiD
a(c)(i)
SULIT 10 453u2
(ii) Sketch a displacement-time graph motion of the box in Diagram 4.2.
Lakar satu graf sesaran-maso untuk pergerakan kotok itu dalam
Raj ah 4.2.
Displacement (m)
Sesaran (m)
Time (s)
Masa (s)
Diagram 4.2
Rajah 4.2
[1 mark]
ll markahl
(c) The pushing force ofthe box is increased to 350 N.
Daya tolakan kotak itu ditambah kepada 350 N.
Calculate
Hitung
(i) the resultant force acting on the box.
daya padtran yong bertindak ke atas kotak itu.
12 marksl
12 markah)
(ii) the acceleration ofthe box
pecutqn kotak itu.
12 marks)
f2 markahf
453112 e 2014 Hak cipta Kerajaan Mataysia SULIT
More SPM Papers at:
www.spmsoalan.comwww.spmsoalan.com
ST]LIT 11 453U2
Diagram 5.1
Rajah 5.1
Diagram 5.2 shows the reading ofthe Bourdon Gauge when the piston ofthe bicycle
pump is pushed inwards.
Rajah 5.2 menunjukkan bacaan Tolok Bourdon apabila omboh pam basikal dilolak
ke dalam.
Bicycle pump
Pam basikal
-------+
5 Diagram 5. I shows the reading ofthe Bourdon Gauge before the piston ofthe bicycle
pump is pushed inwards.
Rajah 5.1 menunjukkan bacaan Tolok Bourdon sebelum omboh pam basikal ditolak
ke dalam.
Piston
Omboh
Diagram 5.2
Rajah 5.2
Bourdon Gauge
Tolok Bourdon
llihat halaman sebelah
SULIT453112 a 2014 Hak cipta Kerajaan Malaysia
Bourdon Gauge
Tolok Bourdon
Bicycle pump
Pam basikal
-------->
Piston
Omboh
More SPM Papers at:
www.spmsoalan.comwww.spmsoalan.com
Erafiiner's
Use
s(a)
E
s(bxi)
s(bxii)
s(bxiii)
SULIT 12
(a) Based on Diagram 5.1, tick ('/) the correct answer in the box'
Berdasarkan Rajah 5.1, tando (/) padajawapon yang betul dalam kotak yang
disediakan.
Bourdon Gauge can measure
Bourdon boleh mengukur
gas temperature
suhu gas
gas pressure
tekanan gas
ll markl
ll markahl
(b) Observe Diagram 5.1 and Diagram 5.2,
Perhatikan Rajah 5.1 dan Raiah 5.2,
(i) compare the volume of air inside the bicycle pump.
bandingkan isi padu udara dalam pam basikal.
Tolok
tr
tr
453il2
ll morkl
fl markahl
compare the pressure produced inside the bicycle pump.
bandingkan tekanan yang dihasilkan dalam pam basikal.
11 markl
ll markahl
compare the number of air particles inside the bicycle pump.
bandingkan bilangan zarah-zarah udara dalam pam basikal.
l1 mark l
ll markahf
(iD
(iii)
SULIT453112 t: 2014 Hak Cipra Kerajaan Malaysia
More SPM Papers at:
www.spmsoalan.comwww.spmsoalan.com
SULIT T3
(c) Based on the answer in 5(6),
Berdasarkan jawapan di 5(b),
453u2
(i) State the relationship between the volume of air inside the bicycle pump with the
pressure produced.
Nyatakan hubungan antara isi padu udara dalam pam basikal dengan
tekanan yang dihos i I kan.
11 markl
ll markahl
(ii) State the physics law involved.
Nyatakan hukum fizik yang terlibat.
ll markl
11 markahl
(d) (i) Based on the answer in 5(c), what happens to the kinetic energy ofthe air particles
when the air is compressed.
Berdasarkan jawapan di 5(c), apakah yang berlaku kepada tenaga kinetik
zarah-zarah udara apabila udara dimampatkan.
11 markl
ll markahl
(ii) Give one reason for the answer in 5(d)(i)
Beri satt sebab untukjawapan anda di 5(40).
Etaminer's
Use
s(cXii)
G
s(dxi)
E
s(/)(iD
E
Total
A5
G
s(c)(i)
11 markl
ll markah)
lLihat halaman sebelah
SULIT453112 e 2014 Hak cipta Kerajaan Malaysia
More SPM Papers at:
www.spmsoalan.comwww.spmsoalan.com
Exa iner's
Use
6(a)
E
6(rxi)
E
6(bxii)
SULIT t4 4s3y2
6 Diagram 6. I shows the nuclide notation of an element.
Rajah 6.1 menunjukkan simbol nuklid untuk satu unsur.
2@Diagram 6.1
Rajah 6.1
Table 6. I shows equations ofthe decay process ofradioisotopes uranium and radium.
Jadual 6.1 menunjukkan persamaan untuk proses pereputan radioisotop uranium
dan radium.
'z3ru------* "lorh+ltle + Energy I Tenaga
2l[Ra--*'l]nn+lue + Energy I Tenaga
Table 6.1
Jadual 6.1
(a) What is the meaning of radioisotope?
Apakah yang dimaksudkan dengan radioisotop?
ll markl
l1 markahl
(D) By using both equations in Table 6.l,
calculate the difference ofnucleon number between:
Dengan menggunakan kedua-dua persamaan dalam Jadual 6.1,
hitung perbezaan nombor nukleon antara:
(i) Uranium, U and Thorium, Th.
Uranium, U dan Thorium, Th.
ll markl
ll markahl
(ii) Radium, Ra and Radon, Rn.
Radium, Ra dan Rado n, Fin.
453112 a.20t4 Hak cipra Kerajaan Malaysia
ll markl
ll markahf
SULIT
More SPM Papers at:
www.spmsoalan.comwww.spmsoalan.com
SULIT 15
(c) By using both equations in Table 6.1,
calculaG the difference ofproton number between:
Dengan menggunakan kedua-dua persamaan dalam Jadual 6.1,
hitung perbezaan nombor proton antardl
(i) Uranium, U and Thorium, Th.
Uranium, U dan Thorium, Th.
453u2
ll markl
l1 markahl
(ii) Radium, Ra and Radon, Rn
Radium, Ra dan Radon, Rn.
11 markl
ll markahl
(d) Based on the answers in 6(b) and 6(c), complete the sentence below.
Berdasarkan jawapan dalam 6(b) dan 6(c), lengkapkan ayat di bawah.
When ............... decay occurs, the nucleon number decreases by ....".."......, the
proton number decreases by
Apabila berlaku pereputan ................., nombor nukleon berkurang sebanyak
nombor proton berkurang sebanyak .......................
ll mark)
fl markah)
(e) Diagran 6.2 shows a radioisotope which emits alpha particle.
Rajah 6.2 menunjukkan satu radioisotop yang mengeluarkan zarah alfa.
Radioisotope
Metal plate
Plat logam
Diagram 6.2
Rajah 6.2
lLihat halaman sebelah
SULIT453112 a 2014 Hak cipta Kerajaan Malavsia
For
Examiner's
Use
6(c)(ii)
E
6(O
G
6(c)(i)
t;Path ofalpha particle
Lintasan zarah alfa
More SPM Papers at:
www.spmsoalan.comwww.spmsoalan.com
Exahit er's
Use
6(a)(i)
E
Total
A6
G
6(e)(ii)
ST]LIT t6 453112
(i) In Diagram 6.2, complete the path ofthe alpha particle when it enters the region
between the two metal plates.
Dalam Rajoh 6.2, lengkapkan lintasan zarah alfa apabila memasuki
kawasan antara duo plat logam.
11 markl
ll markahl
(ii) Give one reason for your answer in 6(c)(i).
Beri sat:u sebab bagijawapan anda di 6(c)(1).
ll markl
ll markahl
SULIT453112 e 2014 Hak Cipta Kerajaan Mataysia
More SPM Papers at:
www.spmsoalan.comwww.spmsoalan.com
SULIT t7 453y2
7 (a) Diagran 7.I shows electric transmission cables that transmit electrical energy from one
place to another.
Rajah 7.1 menunjukkan kabel penghantaran elektrik yang menghantar tenagd
elektrik dari sdtu tempat ke tempat yang lain.
Diagram 7.1
Rajah 7 .1
The electric current transmitted through the cable ofresistance 10 Q is 10 A.
Arus elektrik yang mengalir melalui kabel yang berintangan l0 Cl itu ialah 10 A.
(i) What is the meaning of electric current?
Apakah yang dimaksudkan dengan arus elektrik?
ll mark I
11 narkahl
(ii) Calculate the power loss in the cable.
Hitung kehilangan kuasa dalam kabel itu.
12 marksl
12 markahl
lLihat halaman sebelah
SULIT453112 e 20r4 Hak cipta Keraiaan Malaysia
Examiner's
Use
7(a)(i)
7(a)(ii)
More SPM Papers at:
www.spmsoalan.comwww.spmsoalan.com
For
Etaminer's
Use
7(b)(i)
SULIT 18 453u2
(b) Diagram7 .2 shows a model of electric power transmission'
Rajah 7 .2 menuniukkan satu model penghantaran kuasa elektrik.
Transformer A
Transfgrmer A
WireX
WayarX
Transformer B
Transformer B
Secondary
coil
Gegelung Gegelung
prirner sekunder
BulbA
Mentol A
t2v
24W t2Y
24W
12 Y a.c.
supply
Bekalan
12 Va.u.
Primary
coil
Secondary
coil coil
Gegelung Gegelung
primer sekunder
Diagram7 .2
Rajah 7 .2
The brightness ofthe bulb B is lower than bulb Adue to the power loss in the wire X.
Kecerahan mentol B adalah lebih rendah daripada mentol A disebabkan
kehilangan kuasa di dalam wayar X.
Suggest modifications that can be made to the model to increase the brightness of
bulb B based on the following aspects:
Cadangkan pengubahsuaian yang boleh dibuat kepada model itu untuk
menambahkan kecerahan mentol B berdasarkan aspek-aspek berikut:
(i) diameter of wire X
diameter wayar X
reason
sebab
f2 marksl
f2 markahl
ST]LIT453112 e 2014 Hak cipra Kerajaan Malaysia
B
BulbB
More SPM Papers at:
www.spmsoalan.comwww.spmsoalan.com
SULIT t9
number oftums ofsecondary coil of transformer A
bilangan lilitan gegelung sekunder bagi transformer A
453,/2
(ii)
Examiner's
Use
Total
A7
G
7(b)(ii)
7(rxiii)
7(")
reason
sebab
12 marksl
[2 markah]
(o name of material of wire X
nama bahan bagi wayar X
reason
sebab
12 marlcs l
12 markahl
(c) Give one reason why a.c. power supply is used in the model.
Beri sata sebab mengapa bekalan kuasa a.u. digunakan dalam model ini.
ll markl
l1 markahl
fLihat halaman sebelah
STJLIT453112 a 2014 Hak Cipta Kemjaan Malaysia
More SPM Papers at:
www.spmsoalan.comwww.spmsoalan.com
Examiner's
Use
8(r)
E
8(}XD
G
8(bxiD
SULIT 20 453u2
8 The lens in Diagram 8 is used as a magniSing glass.
Kanta dalam Rajah I digunakan sebagai kanta pembesar.
Diagram 8
Rajah 8
(a) Name the type of lens in Diagram 8.
Namakan jenis kanta dalam Rajah8.
11 markl
11 markahl
(r) (i) On Diagram 8, draw a ray diagram to show how the image of the object
is formed.
Dalam Rajah S,lukis satu rajah sinar untuk menunjukkan bagaimana imej
bagi objek itu terbentuk.
13 marksl
13 markah)
(ii) State two characteristics of the image formed in 8(bXi).
Nyatakan dua ciri imej yang terbentuk dalam 8(b)(i).
t. .....................
2 ....................
ll markl
11 markahl
SULIT453112 e,2014 Hak cipta Keraiaan Malaysia
More SPM Papers at:
www.spmsoalan.comwww.spmsoalan.com
SULIT 2t 453u2
(c) A compound microscope contains an objective lens and an eyepiece lens. The focal
length ofthe objective lens is fo and the focal length ofeyepiece lens is f".
Table 8 shows three different distances ofobject and different distances between the
two lenses.
Sebuah mikroskop majmuk mengandungi satu kanta objektif dan satu kanta
mata. Jarak fokus kanta objektif itu adalah fo dan jarak fokus kanta mata
adalah f".
Jadual 8 menunjukkan tiga jarak objek dan jarak antara dua kanta
yang berbeza.
Arrangement
Susunan
Object distance,
uo from objective lens
Jarak objek, u"
dari kanta objek
Distance between
objective lens and
eyepiece lens, d
Jarak antara kanta
objek dengan kanto
mata, d
Distance between the
image formed by the
objective lens and the
eyepiece lens, u,
Jarak antara iinej
yang terbentuk oleh
kanta objek dengan
kanta mata, t,
J u <f d<(fo+fe) u,>f
K uo=fo d=(fo+fe) ui=f"
L fo<uo<2fo d>(fo+fe) ui'f"
Table 8
Jadual 8
Based on Table 8, state the suitable arrangement in order to build a simple compound
microscope. Give one reason for the suitable arrangement.
Berdasarkan Jadual 8, nyatakan susundn yang sesuai untuk membina sebuah
mikroskop majmuk ringkas. Beri satt sebab untuk kesesuaian susunan itu.
(i) Object distance, uo:
Jarak objek, :uo:
Reason :
Sebab :
For
Exa iher's
Use
8(c)(i)
12 marks )
12 markahl
Llihat halaman sebelah
ST]LIT453112 a 2014 Hak Cipta Kerajaan Malaysia
More SPM Papers at:
www.spmsoalan.comwww.spmsoalan.com
For
Examiner's
Use
8(c)(ii)
G
8(d)
G
Total
A8
E
8(c)(iii)
)7SULIT
(ii)
453u2
Distance, d :
Jarak, d,.
Reason :
Sebab :
12 marksl
12 markahl
(iii) Distance, u' :
Jarak,lur.
Reason :
Sebab :
12 marksl
12 markahl
Based on the answer in 8(c), choose the most suitable arrangement for a simple
compound microscope.
Berdasarkan jawapan anda di 8(c), pilih susunan yang paling sesuai sebagai
mikroskop majmuk ringkas.
11 mark I
11 markahf
(d)
St]LIT453112 e 20t4 Hak Cipta Kerajaan Malaysia
More SPM Papers at:
www.spmsoalan.comwww.spmsoalan.com
SULIT
Power supply
Bekalan kuasa
Polystyrene cup
Cawan polistirena
Immersion heater
Pemanas rendam
Diagmm9.1
Rajah 9.1
Polystyrene cup
Cawan polistirena
Immersion heater
Pemanas rendam
Diagram9.2
Rajah 9.2
Penutup
Water
Air
lLihat halaman sebelah
ST]LIT
453u2
Section B
Bahagian B
[20 marks)
120 markahl
Answer any one question from this section.
Jawab mana-mana satt. soalan daripada bahagian ini.
Diagram 9.1 and Diagram 9.2 show the reading of the thermometers when an amount of
water is heated for 5 minutes. Both immersion heaters have the same specification.
Rajah 9.1 dan Rajah 9.2 menunjukkan bacaan termometer apabila sejumlah air
dipanaskan selama 5 minit, Kedua-dua pemanas rendam mempunyai spesifikasi yang
sama.
Power supply
Bekalan kuasa
23
Thermometer
Termometer
Lid
Penutup
Thermometer
Termometer
Lid
453112 a 2014 Hak cipta Kerajaan Malaysia
More SPM Papers at:
www.spmsoalan.comwww.spmsoalan.com
SULIT 24
(a) (i) What is the meaning of heat?
Apakah yang dimaksudkan dengan haba'!
453u2
ll markl
11 markahl
(ii) Using Diagram 9. I and Diagram 9.2, compare the readings ofboth thermometers,
the volume of water in the polystyrene cup and the time of heating the water.
Relate the reading of thermometer with volume of water to make a deduction
regarding the relationship between the increase in temperature and the mass of
water in the polystyrene cup. 15 marks)
Dengan menggunakan Rajah 9.1 dan Rajah 9.2, bandingkan bacaan
kedua-dua termomeler, isi padu air dalam cawan polistirena dan masa
pemanasan air.
Hubungkaitkan bocaan termometer dengan isi padu air untuk membuat
satu deduksi yang menghubungkaitkan hubungan antara kenaikan suhu
dengan jisim air dalam cdwan polistirena. 15 markahl
(b) Diagram 9.3 shows the sea breeze phenomenon.
Rajah 9.3 menunjukkan fenomena bayu laut.
:kl 1-
-,-/r
/tt 
Sea water
Air laut
.----.......,-.--.-,-.
_-/'---,/- - -
Diagram 9.3
Raj ah 9.3
Explain how the sea breeze phenomenon occurs during the day time . 14 marks)
Terangkan bogaimanafenomena bayu laut berlaku pada hari siang.f4 markah)
453112 a- 2014 Hak cipta Keraiaan Malaysia SI,JLIT
More SPM Papers at:
www.spmsoalan.comwww.spmsoalan.com
SULIT 453u2
(c) Diagram 9.4 shows a car radiator system.
Rajah 9.4 menunjukkan sotu sistem radiator kereta.
Cooling liquid
Cecair penyejuk
Fin blade
Bilah sirip
Fan
Kipas
Diagram 9.4
Rajah 9.4
You are required to modify the car radiator system so that it can cool the engine
effectively.
Anda dikehendaki mengubahsuai sistem radiator kereta itu supaya ia dapat
menyejukkan enjin dengan lebih efektif.
State and explain the modifications based on the following aspects;
Nyata dan terangkan pengubahsuaian berdasarkan aspek-aspek berikut;
(i) size ofthe fan used
saiz kipas yang digunakan
(ii) number of the fin blade
bilangan bilah sirip
(iii) material of the fin blade
bahan untuk bilah sirip
(iv) specific heat capacity ofthe cooling liquid used
muatan haba tentu untuk cecair penyejuk yang digunakan
(v) boiling point ofthe cooling liquid used
takat didih untuk cecair penyejuk yang digunakan
[10 marksl
ll0 markahl
lLihat halaman sebelah
SULIT
25
t!t!
453112 a 2014 Hak Cipra Kerajaan Malaysia
More SPM Papers at:
www.spmsoalan.comwww.spmsoalan.com
sul-rT 26 453112
10 Diagram 10.1 and Diagram 10.2 show two electrical circuits. The ammeter, voltmeter and
dry cells are identical in both diagrams.
Raj ah 10.1 dan Rajah 10.2 menunjukkan dua litar elektrik. Ammeter, voltmeter
dan sel kering adalah sama dalam kedua-dua rajah.
Voltmeter
I/oltmeter Diagram 10.1
Rajah l0.l
Voltmeter
Voltmeter
Diagram 10.2
Rajah 10.2
453112 e 20t4 Hak cipta Kerajaan Malaysia SULIT
Konduktor
More SPM Papers at:
www.spmsoalan.comwww.spmsoalan.com
SULIT 27
(a) State the physical quantity measured by ammeter.
Nyatakan kuantiti fizikal yang diukur oleh ammeter.
(D) By using Diagram l0.l and Diagram 10.2
Dengan menggunakan Rajah 10.1 dan Rajah 10.2
of voltmeter.
bandingkan panjang konduktor,
453u2
l1 markl
11 markahl
13 marks)
bacaan ammeter dan bacaan voltmeter.
13 markahl
13 markahl
lLihat halaman sebelah
SULIT
(i) compare the length ofthe conductor, the reading ofammeter and the reading
(ii) relate the length ofthe conductor with the resistance ofthe con ductor.fl markf
hubungkaitkan panjang konduktor dengon rintangan konduktor itu.
l1 markahl
(iii) relate the length of the conductor with the reading of the ammeter. 11 markl
hubungkaitkan panjang konduktor dengan bacaan ammeter. 11 markah)
(iv) deduce a relationship between the resistance ofthe conductor with current flows
in the circuit. 11 mark)
deduksikan hubungan antara rintangan bagi konduktor dengan drus yang
mengalir dalam litar.
(c) Diagram 10.3 shows a rheostat.
Rajah 10.3 menunjukkan satu reostat.
[1 markahl
Slider
P Metal rod
Rod logam
Coil ofconductor wire
Gegelung wayar pengalir Insulator
Penebat
Diagram 10.3
Raj ah 10.3
Explain how the rheostat is used to control the current flows in an electric circuit.
[3 marksl
Terangkan bagaimana reostat itu digunakan untuk mengawal aliran arus dalam
litar elektrik.
453112 a 2014 Hak cipta Kerajaan Malaysia
mrum 11 il
More SPM Papers at:
www.spmsoalan.comwww.spmsoalan.com
sulrr 28 453112
(d) Diagram 10.4 shows a heating element used to boil the water in an electric kettle.
Rajah 10.4 menunjukkan satu unsur peman(ts yang digunakan untuk
mendidihkan air dalam sebuah cerek elektrik.
Outer cover
Penutltp luar
Diagram 10.4
Rajah 10.4
You are required to modif,z the electric kettle so that it can boil the water faster, easy
to carry and safer.
Ando dikehendaki untuk mengubahsuoi cerek elektrik itu supaya io dapat
mendidihkan air dengan lebih cepat, senang dibawa dan lebih selamat.
State and explain the modifications based on the following aspects;
Nyata dan terangkan pengubahsuaian berdasarkan aspek-aspek berikut;
(i) the number of tums of the coil of the heating element'
bilangan lilitan pada gegelung unsur pemanas tersebut.
(ii) the density of material of the heating element.
ketumpatan bahan bagi unsur pemdnas tersebut.
(iii) the rate of oxidation of the heating element.
kadar pengoksidaan bagi unsur pemanas tersebut.
(iv) the diameter of the wire of the coil.
diameter wayar bagi gegelung.
(v) the type of material used as heating element.
jenis bahan yang digunakan sebagai unsur pemanas tersebut-
110 marksl
ll0 markahl
Heating elemeht
453112 e 2014 Hak cipm Keraiaan Malaysia SULIT
More SPM Papers at:
www.spmsoalan.comwww.spmsoalan.com
St]LIT 453112
Section C
Bahagian C
120 marks)
120 markahl
Answer any one question from this section.
Jawab mana-mana satu soalan daripada bahagian ini.
11 Diagram I I .1 shows a fast train. The train moves fast by levitating on the track. The
levitation is due to the magnetic forces produced between the electromagnet at the base of
the train and the electromagnet on the track.
Raj ah 11.1 menunjukkan sebuah kereta api laju. Kereta api itu bergerak laju dengan
terapung di alas landasan. Pengapungan ini menggunakan daya mognet yang
dihasilkan antara elektromagnet pada dasar kereta api dengan elektromagnet
pada landasan.
Fast train
Kereta api laju
Track
Landasan
Diagram I 1.1
Rajah 11.1
lLihat halaman sebelah
SIJLIT
29
453112 <:2014 Hak Cipta KeEjaan Malaysia
More SPM Papers at:
www.spmsoalan.comwww.spmsoalan.com
ST]LIT 30 453il2
km j-t dalam
l1 mark)
l1 markahl
11 markl
I markahl
f2 marksf
12 markahl
12 marksl
12 markahl
The fast train changes it's speed from 0 km h-l to 360 km h-l in 10 s.
Kereta api laju itu bertukar kelajuannya daripada 0 km j I fe 360
masa l0 s.
(a) What is the meaning of speed?
Apakah yang dimaksudkan dengan laju'!
(b) Calculate
Hitung
(i) the final speed ofthe train in the unit ofm s l.
laju akhir kereta api itu dalam unit m s 1'
(ii) the acceleration ofthe train in the unit ofm s-2.
pecutdn kereta api itu dalam unit m s-2'
(iii) the distance travelled by the train in 10 s.
jarak perjalanan kereta api itu dalom 10 s.
SULIT453112 e 2014 Hak cipra Kerajaan Malaysia
More SPM Papers at:
www.spmsoalan.comwww.spmsoalan.com
SULIT 31
(c) Diagram I 1 .2 shows the cross-sectional ofa fast train.
Raj ah 11.2 menunjukkan kerdtan rentas sebuah kereta api laju.
453U2
Fast train
Kereta api laju
Seat
Tempat duduk
Electromagnet
Elektromagnet
Track
Landasan
Diagram 11.2
Rajah 11.2
You are required to investigate the characteristics of the fast train as shown in
Table 1 1.
Anda dikehendaki menyiasat ciri-ciri kereta api laju seperti ditunjukkan dalam
Jadual 11.
Table 1 1
Jadual ll
lLihat halaman sebelah
SULIT
Fast
train
Kereta
api
laju
Material to
build the body
of the fast
train
Bahan untuk
membina
badan kereta
api laja
Side view of
the shape of
the fast train
Pandangan
sisi bentuk
kereta api
laj u
Material to make
the electromagnet at
the base of the fast
train
Bahan yang diguna
untuk membuat
elektromagnet pada
dasar kereta api laju
Number ofcoach
ofthe fast train
Bilangan
gerabak pada
kereta api laju
J
low density
ketumpatan
rendah
Pentagon
superconductor
superkonduktor
one long coach
satu gerabak
panjang
K
highdensity
ketumpatdn
tinggi
Aerodynamic
Aerodinamik
soft-iron core
teras besi lembut
8 short coaches
8 gerabak pendek
L
low density
ketumpalan
rendah
-_iAetodinmnik
superconductor
superkonduktor
8 short coaches
8 gerabak pendek
M
highdensity
ketumpatdn
tinggi
Pentagon
Pentagon
soft-iron core
teras besi lembut
one long coach
satu gerabak
panjang
453112 c,2014 Hak cipra K€rajaan Malaysia
More SPM Papers at:
www.spmsoalan.comwww.spmsoalan.com
ST]LIT 32
Explain the suitability ofeach characteristic ofa fast train.
Terangkan kesesuaian setiap ciri pada kereta api laju.
453u2
Determine the most suitable fast train which can move with highest speed.
Tentukan kereta api laju yang poling sesuai untuk bergetak dengan kelajuan
yang paling tinggi.
Cive reasons lor your choice.
Berikan sebab-sebab untuk pilihan anda.
ll0 marksl
ll0 markah)
(d) Diagram I 1.3 shows lorces acting on a car.
Rajah ll.3 menunjukkan daya-daya yang bertindak ke atas sebuah kereta'
Diagram 1 1.3
Rajah ll.3
By using the forces acting on the car, explain how the car can moves with
Dengan menggunakan daya-daya yang bertindak ke atas kereta itu, terongkan
bagaimana kereta ilu boleh bergerak dengon
(i) a constant velocity
halaju seragam
(ii) an acceleration
Pecutan
14 marks)
14 markahf
SULIT453112 c- 2014 Hak cipra Kerajaan Malaysia
More SPM Papers at:
www.spmsoalan.comwww.spmsoalan.com
SULIT 33 453u2
12 (a) Diagram 12. I shows a bat using ultrasonic waves to detect obstacle in front ofit.
Rajah 12.1 menunjukkan seekor kelawar sedang menggunakan gelombang
ultrasonik untuk mengesan penghalang di hadapannya.
(
)
(oo9 Ultrasonic wave
Gelombang ultrasonik
Diagram 12.1
Raj ah l2.l
(i) What is the meaning of ultrasonic wave? I markl
Apakah yang dimaksudkan dengan gelombang ultrasonik? 11 markahl
(ii) Explain how the ultrasonic waves are used by the bat to detect the distance of
the obstacle. f4 marksl
Terangkan bagaimana gelombang ultrasonik digunakan oleh kelawar untuk
mengesan jarak penghalang itu. 14 markahl
(D) A beam of sonar with speed 1450 ms-l sent to a shoat of fish underneath a
fishing boat.
Satu alur sonar dengan kelajuan 1450 ms I dihantar ke sekumpulan ikan yang
berada di bawah bot nelayan.
Calculate
Hitung
(i) The depth of the shoal of fish when the echo retums after 100 milliseconds.
13 marksl
Kedalaman kumpulan ikan itu berada apabila gema diterima balik selepas
100 milisaat. [3 markah)
(ii) The wave length of the sonar waves when its frequency is 40 kHz.l2 marksl
Panjang gelombang untuk gelombang sonar opabilafrekuensi ialah 40 kHz.
12 narkah)
lLihat halaman sebelah
SULIT453112 t:2014 Hak Cipta Kerajaan Mataysia
More SPM Papers at:
www.spmsoalan.comwww.spmsoalan.com
SULIT 34 453112
(c) Three classrooms in your school are combined to become a lecture hall.
Tiga bilik darjah di sekolah anda digabungkan untuk menjadi sebuah
dewan kuliah.
Table 12 shows four type of sound system to be used in the hall.
Jadual 12 menunjukkan empatienis sistem bunyi yang akan digunakan dalam
dev'an kulioh tersebut.
Table 12
.Iadual 12
You are asked to investigate the design ofthe sound system to produce better quality
ofsound.
Explain the suitability ofeach characteristics ofthe sound system.
Determine the most suitable sound system.
Give reasons for your choice.
Anda dikehendaki menyiasat rekabentuk sistem bunyi untuk menghasilkan kualiti
bunyi yang lebih baik.
Terangkan kesesuaian setiap ciri pada sistem bunyi tersebul.
Tentukan sistem bunyi yang paling sesuai.
Berikan sebab-sebab untuk pilihan anda.
110 marksl
110 markahf
END OFQUESTION PAPER
KERTAS SOALAN TAMAT
453112 e 2014 Hak cipta Kerajaan Malaysia SULIT
Sound
Location of
the loud
speakers
Kedudukan
pembesar suara
Distance between
two loud speakers
Jarak antara
kedaa-dua
pembesar suara
Material used
to cover the wall
Bahan yang
digunakan antuk
menutupi dinding
The position of
the microphone
Kedudukan
mikrofon
sysrem
Sistem
bunyi
w
Hieh
Tinggi
Small
Kecil
Softboard
Papan lembut
Behind the speaker
Di belakang
pembesar suara
x
Low
Rendah
Large
Besar
Hardwood
Kayu keras
In front ofthe speaker
Di hadapan
pembesar suara
Y
High
Tinggi
Large
Besar
Softboard
Papan lembut
Behind the speaker
Di belakang
pembesar suara
Z
Low
Rendah
Small
Kecil
Hardwood
Koyu keras
In front ofthe speaker
Di hadapan
pembesar suara
More SPM Papers at:
www.spmsoalan.comwww.spmsoalan.com
SULIT 4s3y2
INFORMATION FOR CANDIDATES
MAKLAMAT UNTUK CALON
This question paper consists ofthree sections: Section A, Section B and Section C.
Kertas soalan ini mengandungi tiga bahagian: Bahagian A, Bahagian B dan
Bahagian C.
Answer all questions in Section A. Write your answers for Section A in the spaces
provided in the question paper.
Jawab semua soalan dalam Bahagian A. Tulis jawapan anda bagi Bahagian A' pada
ruang yang disediakan dalam kertas soalan ini.
Answer one question from Section B and one question from Section C. Write your
answers for Section B and Section C on the 'helaian tambahan' provided by
the invigilators.
Jawab satu soalan daripada Bahagian B dan satu soalan daripada Bahagian C.
Tulis jawapan anda bagi Bahagian B dan Bahagian C dalam helaian tambahan
yang dibekalkan oleh pengawas peperiksaan.
Show your working, it may help you to get marks.
Tunjukkan kerja mengira, ini membantu anda mendapatkan markah.
Ifyou wish to change your answer, cross out the answer that you have done. Then write
down the new answer.
Jika anda hendak menukar sesuatu jawapan, batalkan jawapan yang telah dibuat.
Kemudian tulis jawapan yang baharu.
The diagrams in the questions provided are not drawn to scale unless stated.
Rajah yang mengiringi soalan tidak dilukis mengikut skala kecuali dinyatakan.
A list of formulae is provided on page 2.
Satu senarai formula disediakan di halaman 2.
The marks allocated for each question or part question are shown in brackets.
Markah yang diperuntukkan bagi setiap soaldn atau ceraian soalan ditunjukkan
dalam kurungan.
You are advised to spend 90 minutes to answer questions in Section A, 30 minutes for
Section B and 30 minutes for Section C.
Anda dinasihati supaya mengambil masa 90 minit unluk menjawab soalan dalam
Bahagian A,30 minit untuk Bahagian B dan 30 minit untuk Bahagian C.
You may use a scientific calculator.
Anda dibenarkan menggunakan kalkulator s aintifik.
Detach Section B and Section C from this question paper. Tie the 'helaian tambahan'
together with this question paper and hand in to the invigilator at the end of
the examination.
Ceraikan Bahagian B dan Bahagian C daripada kertas soalan ini. Ikat helaian
tambahan bersama-sama kertas soalan ini dan serahkan kepada pengawas
pepe r iksaan p ada akh ir peperiks aan.
36
2.
3.
1.
7.
6.
I
4.
5.
8.
9.
10.
11.
453112 e 2014 Hak cipta Kerajaan Malaysia SULIT
More SPM Papers at:
www.spmsoalan.comwww.spmsoalan.com
SULIT
NO. KAD PENGENALAN
ANGKAGILIRAN
S"- *,,,.+Bffii"SiB1Bffff$flLAysrA
---
ffi Uobytu
SIJIL PELAJARAN MALAYSIA 2014 453113
PHYSICS
Kertas 3
Nov./Dis.
_l
tlJam Satu jam tiga puluh minit
JANGAN BUKA KERTAS SOALAN INI SEHINGGA DIBERITAHU
T
l. Tulis nombor kad pengenalan dan angka
giliran anda pada petak
yang disediakan.
2. Kertas soalan ini adalah dalam
dwibahasa.
Soalan dalam bahasa Inggeris
mendahului soalan yang sepadan dalam
bahasa Melayu.
Calon dibenarkan menjawab
keseluruhan atau sebahagian soalan
sama ada dalam bahasa Inggeris atau
bahasa Melayu.
Calon dikehendaki membaca maklumat
di halaman belakang kertas soalan ini.
4.
3.
5.
Untuk Kegunaan Pemeriksa
Kod Pemeriksa:
Bahagian Soalan
Markah
Penuh
Markah
Diperoleh
A
I 16
, 12
B
3 t2
4 12
Jumlah
Kertas soalan ini mengandungi 17 halaman bercetak dan 3 halaman tidak bercetak.
lLihat halaman sebelah
SULIT
illlilltillillilutililililtilffiilil|l]4 53113 1
4531/3 o 2014 Hak cipta Kerajaan Malaysia
More SPM Papers at:
www.spmsoalan.comwww.spmsoalan.com
SULIT 4s31t3
Section A
Bahagian A
128 marksl
128 markahl
Answer all questions in this section.
Jawab semua soalan dalam bahagian ini.
A student carries out an experiment to investigate the relationship between the voltage, V,
and the current, I, flows through a fixed length ofa constantan wire.
Seorang murid menjalankan sdtu eksperimen untuk menyiasat hubungon antaro
voltan, Y, dengan arus elektrik, l, yang mengalir melalui satu woyar konstantan
pada panjang yang tetap.
The arrangement ofthe apparatus for this experiment is shown in Diagram I . l.
Susunan radas bagi eksperimen ini ditunjukkan dalam Rajah l.l.
Dry cells
Sel kering
Switch
Ammeter
Ammeter
Szos
Constantan wire
Wayar konstantan
Rheostat
Reostat
Voltmeter
Voltmeter
Diagram l.l
Rajah |.l
SULIT4531/3 e 20r4 Hak cipra Kerajaan Malaysia
More SPM Papers at:
www.spmsoalan.comwww.spmsoalan.com
sul,rr 3 453u3
Diagram 1.2 on page 4 shows the zero error, x, on the voltmeter.
The experiment is carried out by adjusting the rheostat to set a value of current, I,
to obtain the responding value ofvoltage, V.
Diagram 1.3 on page 4 shows the reading of voltmeter, V, when current, I, is adjusted at
I:0.1A.
The experiment is repeated with the readings of I = 0.2 A, 0.3 A, 0.4 A and 0.5 A. The
corresponding readings of voltmeter are shown in Diagram 1 .4, 1.5, 1 .6 and 1 .7 on
pages 5 and 6.
Rajah 1.2 di halaman 4 menunjukkan ralat sifar, x, pada voltmeter.
Eksperimen dijalankan dengan melaraskan reostat untuk menetapkan satu nilai arus
elektrik, I, bagi mendapatkan nilai voltan, Y, yang sepadan.
Rajah 1.3 di halaman 4 menunjukkan bacaan voltmeter, Y, bila arus elektrik, l,
dilaraskan pada I:0'l A.
Eksperimen diulangi dengan bacaan I : 0'2 A, 0'3 A, 0'4 A dan 0'5 A. Bacaan
voltmeter yang sepadan ditunjukkan dalam Raj ah 1.4, 1.5, 1.6 dan 1.7 di halaman 5
dan 6.
(a) For the experiment described on pages 2, 3, 4, 5 and 6, identify:
Bagi eksperimen yang diterangkan pada halaman 2,3, 4, 5 dan 6, kenal pastt
(i) The manipulated variable
P embo I ehub ah diman ipul as ikan
11 markl
l1 markah)
The responding variable
P embo lehubah b ergerak b alas
(ii)
E)caminerb
Use
1(a)(i)
tE
1(aXii)
E
1(a)(iii)
ll markl
11 markahl
(iii) The constant variable.
P emb o I ehu b a h d im al ar kan.
l1 markl
11 markahl
lLihat halaman sebelah
SULIT4531/3 c 20l4 Hak cipta Ke.ajaan Malaysia
More SPM Papers at:
www.spmsoalan.comwww.spmsoalan.com
SULIT 453,/3
Zero error, x:
Ralat sifar, x =
I = 0.1A
Diagram 1.2
Rajah 1.2
Diagram 1.3
Rajah 1.3
453113 e 2014 Hak Cipta Kerajaan Malaysia SULIT
More SPM Papers at:
www.spmsoalan.comwww.spmsoalan.com
SULIT
Diagram 1.4
Rajah 1.4
Diagram 1.5
Rajah 1.5
453u3
I:0.2A
I: 0.3 A
llihat halaman sebelah
SULIT4531/3 o 2014 Hak Cipta Kerajaan Malaysia
J
More SPM Papers at:
www.spmsoalan.comwww.spmsoalan.com
SULIT
Diagram 1.6
Rajah 1.6
Diagram 1.7
Rajah 1.7
4s31t3
I = 0'4A
I=0'5A
4531/3 o 20t4 Hak Cipta Kerajaan Malaysia SULIT
More SPM Papers at:
www.spmsoalan.comwww.spmsoalan.com
flruT 7
(D) (i) Based on Diagram 1.2 on page 4, determine the zero error, x.
Berdasarkan Rajah 1 .2 di halaman 4, tentukan ralat sdar, x.
453U3
l1 markl
l1 markah)
Based on Diagram 1.3, 1.4, 1.5, 1.6 and 1.7 on pages 4, 5 and 6, record the
readings ofV,, in spaces provided.
Berdasarkan Rajah 1.3,1.4, 1.5,1.6 dan 1.7 pada halaman 4,5 dan 6,
catat bacaan Y r, dalam ruang yang disediakan.
12 marksl
12 markahl
For each value ofv, in l(D)(ii), calculate the actual voltage across the conductor,
V, by using the following equation:
V=Vi-x
where x is the zero error on the voltmeter.
Record the value ofV, in spaces provided.
Bagi setiap nilai Y, di l(b)(i1), hitung nilai voltan sebenar merentasi
konduktor, Y, dengan menggunakan persamaan berikut'.
v:vr x
di mana x adalah ralat sifar pada voltmeter.
Catat nilaiY, dalam ruang yang disediakan.
12 marksl
12 markahl
flihat halaman sebelah
SULIT
(ii)
(o
4531/3 o 2014 Hak cipta Keraiaan Malaysia
For
Etaminerb
Use
l(rxi)
E
1(DXii)
G
1(bxiii)
E
More SPM Papers at:
www.spmsoalan.comwww.spmsoalan.com
For
Examiner's
Use
1(c)
r(d)
E
r(e)
E
Totat
A1
G
SULIT 4s3u3
(c) Tabulate your result for all values ofl, V, and V on the space below
Jadualkan keputusan anda bagi semua nilai l,Y , dan Y pada ruang di bawah.
12 marks)
12 markah)
(d) On the graph paper on page 9, draw a graph ofV against L
Pada kertas graf di halaman 9, lukis grafY melawan I.
15 marles)
f5 markahl
(e) Based on the graph in 1(d), state the relationship between V and I.
Berdasarkan graf di l(d1, nyatakan hubungan antara Y dengan L
ll markl
l1 markahl
ST]LIT4531/3 o 2014 Hak Cipta Kerajaan Mataysia
More SPM Papers at:
www.spmsoalan.comwww.spmsoalan.com
SULM 9
Graph of V against I
Graf Y melawan I
453U3
llihat halaman sebelah
SULIT453113 @ z0t4 Hak cipta Kerajaan Malaysia
For
Examiner's
Use
More SPM Papers at:
www.spmsoalan.comwww.spmsoalan.com
For
Examiner's
Use
2(a)(r)
E
2(a)(ri)
E
2(a)(iii)
E
sulrT 10 4s3113
2 Astudent carries out an experiment to investigate the relationship between force, F, and
the extension ofspring, x. The results ofthis experiment are shown in the graph of x
against F in Diagram 2 on page 11.
Seorang murid menjalankan eksperimen untuk menyiasat hubungan di antara
daya, F, dengan pemanjangan spring, x. Keputusan eksperimen ditunjukkan oleh
graf x melawan F dalam Rajah 2 di halaman ll.
(a) Based on the graph in Diagram 2:
Berdasarkan grafdalam Rajah 2:
(i) What happen to x as F increases?
Apakah yang berlaku kepada x apabild F bertambah?
ll markl
ll narkahl
(ii) Determine the value of x when F : 3.5 N.
Show on the graph, how you determine the value of x.
Tentukan nilai x apabila F = 3.5 N.
Tunjukkan pada graf itu bagaimana anda menentukan nilai x.
12 marksf
12 markahl
(iii) Calculate the gradient, h, ofthe graph x against F.
Show on the graph, how you determine h.
Hitung kecerunan, h, bagi graf x melawan F,
Tunjukkan pada graf itu bagaimana anda menentukan nilai h.
h=
13 marksl
[3 markah)
453113 a 20t4 Hak cipta Kerajaan Maraysia SULIT
More SPM Papers at:
www.spmsoalan.comwww.spmsoalan.com
,,
SULIT 11
Graph of x against F
Graf x melawan F
Diagram2
Rajah 2
453u3
llihat halaman sebelah
SULIT453113 @ 2ot4 Hak cipta Kerajaan Malaysia
More SPM Papers at:
www.spmsoalan.comwww.spmsoalan.com
For
Exami er's
Use
2(b)
E
2(c)
E
2(A
ETotal
A2
G
SULIT 12
(b) The spring constant, k ofthe spring is given by formula;
F=kx
where,
F is the force
x is the extension ofthe spring
Using the value of h in 2(a)(iii) and the formula F : kx, calculate the value ofk in
SI unit.
Pemalar spring,k bagi spring itu diberi olehformula;
F: kx
di mana,
F adalah daya
x adalah pemanjangan spring.
Menggunakan nilai h di 2(a)(il1) dan formula F : Y'x, hitung nilai k dalam unit Sl.
k:
[4 marks]
14 markahl
(c) This experiment is repeated by using two identical springs arranged in parallel.
What happens to the gradient ofthe graph, h?
Eksperimen ini diulang menggunakan dua spring yang serupa disusun
secara selari.
Apakah yang berlaku kepada kecerunan gral h?
ll markl
ll markahf
State one precaution that should be taken to improve the accuracy ofthe readings in
this experiment.
Nyatakan satu langkah berjaga-jaga yang perlu diambil untuk memperbaik
kelepatan bacaan dalam elcsperimen ini.
ll markl
ll markahf
SULIT
453u3
(d)
453113 a 2014 Hak Cipra Kerajaan Malaysia
More SPM Papers at:
www.spmsoalan.comwww.spmsoalan.com
SULIT 453U3
Section B
Bahagian B
112 marksl
ll2 narkahl
Answer any one question from this section.
Jawab mana-mana sattl soalan daripada bahagian ini.
Diagmm 3.1 shows a man pulling a fishing rod with a force when the fish is fully immened
in water.
Raj ah 3.I menunjukkan seorang lelaki menarik joran dengan satu daya apabila
ikan itu tenggelam sepenuhnya dalam air.
Diagram 3.1
Rajah 3.1
Diagram 3.2 shows the man has to pull the fishing rod with bigger force when the fish is
partially immersed in the water.
Rajah 3.2 menunjukkan lelaki itu menarikjoran dengan daya yang lebih besar bila
ikan itu tenggelam sebahagian dalam air itu.
Diagram3.2
Rajah 3.2
lLihat halaman sebelah
SULIT
13
453113 a 20l4 Hak cipta Kerajaan Malaysia
More SPM Papers at:
www.spmsoalan.comwww.spmsoalan.com
sulrr t4 4531/3
Based on the information and observation:
Berdasarkan maklumat dan pemerhatian itu:
(a) State one suitable inference. ll markl
Nyatakan satt inferens yang sesuai. ll markah]
(D) State one suitable hypothesis . ll markl
Nyatakan s^tt hipotesis yang sesuai. 11 markahl
(c) With the use of apparatus such as a spring balance, cylindrical steel rod and other
suitable apparatus, describe one experiment to investigate the hypothesis stated
in 3(b).
Dengan menggunakan radas seperti neraca spring, rod keluli berbentuk silinder
dan lain-lain radas yang sesuai, terangkan satu eksperimen untuk menyiasat
hipotesis yang dinyatakan di 3(b).
In your description, state clearly the following:
Dalam penerangan anda, nyatakan dengan jelas perkara berikut:
(i) The aim of the experiment.
Tujuan elesperimen.
(ii) The variables in the experiment.
P emb olehubah dalam eksp erimen.
(iii) The list ofapparatus and materials.
Senarai radas dan bahan.
(iv) The arrangement ofthe apparatus.
Susunan radas.
(v) The procedure ofthe experiment which include one method ofcontrolling the
manipulated variable and one method ofmeasuring the responding variable'
Prosedur eksperimen termasuk satru kaedah mengawal pembolehubah
dimanipulasikan dan satt kaedah mengukur pembolehubah bergerak balos.
(vi) The way to tabulate the data.
Cara untuk menj adualkan data.
(vii) The way to analyse the data.
Cara untuk menganalisis data.
l1O marks)
ll0 narkahl
453113 a 2014 Hak cipra Kerajaan Malaysia SULIT
More SPM Papers at:
www.spmsoalan.comwww.spmsoalan.com
SULIT 15 4s3u3
4 Diagram4.l shows a table fan blades are spinning when the speed adjusting button is set
at a low current.
Rajah 4.1 menunjukkan bilah kipas berputar apabila butang pelaras laju dilaraskan
pada arus yang rendah.
Diagram 4.1
Rajah 4.1
Diagram 4.2 shows the blades are spinning faster when the speed adjusting button is set at
a high current. The blades spin faster represents the greater force produced by the motor
ofthe fan.
Rajah 4.2 menunjukkan bilah kipas berputar lebih laju apabila butang pelaras laju
dilaraskan pada arus yang tinggi. Putaran bilah yang lebih laju mewakili daya yang
lebih besar dihasilkan oleh motor kipas itu.
Diagram4.2
Rajah 4.2 flihat halanan sebelah
SULIT
Speed adjusting button
Butang pelaras laju
Speed adjusting button
Butang pelaras laju
453113 a 2014 Hak cipta K€rajaan Malaysia
More SPM Papers at:
www.spmsoalan.comwww.spmsoalan.com
ST]LIT t6 4s3U3
Based on the information and observation:
Berdasarkan maklumat dan pemerhatian itu:
(a) State one suitable inference.
Nyatakan satu inferens yang sesuai.
(b) State one suitable hypothesis.
Nyatakan sata hipotesis yang sesuai.
lI markl
ll markahl
ll mark)
I markahl
(c) With the use ofapparatus such as a magnadur magnets, C-shaped iron yoke, and
other apparatus, describe one experiment to investigate the hypothesis stated in 4(6).
Dengan menggunakan radas seperti magnet magnadur, dening besi berbentuk C,
dan radas lain, terangkan satlu eksperimen untuk menyiasat hipotesis yang
dinyatakan di 4(b).
In your description, state clearly the following:
Dalam penerangan anda, nyatakan dengan jelas perkara berikut:
(i) The aim ofthe experiment.
Tujuan eksperimen.
(ii) The variables in the experiment.
P embol ehub ah dalam e ksp erimen.
(iii) The list ofapparatus and materials.
Senarai radas dan bahan.
(iv) The arrangement ofthe apparatus.
Susunan radas.
(v) The procedure ofthe experiment which include one method ofcontrolling the
manipulated variable and one method ofmeasuring the responding variable.
Prosedur eksperimen termasuk satt kaedah mengawal pembolehubah
dimanipulasikan dan satt kaedah mengukur pembolehubah bergerak balas.
(vi) The way to tabulate the data.
Cara untuk menj adualkan data.
(vii) The way to analyse the data.
Cara untuk menganalisis data.
ll0 marles)
110 markah)
END OFQUESTION PAPER
KERTAS SOALAN TAMAT
453113 a 2014 Hak cipta Kerajaan Mataysia SULIT
More SPM Papers at:
www.spmsoalan.comwww.spmsoalan.com
SULIT 453U3
INFORMATION FOR CANDIDATES
MAKLUMAT UNTAK CALON
1 . This question paper consists oftwo sections: Section A and Section B.
Kertas soalan ini mengandungi dua bahagian: Bahagian A' dan Bahagian B.
2. Answer all questions in Section A. Write your answers for Section A in the spaces
provided in this question paper.
Jawab semta soalan dalam Bahagian A. Tulis jawapan anda bagi Bahagian A,
pada ruang yang disediakan dalam kertas soalan ini.
3. Answer any one question from Section B. Write your answers for Section B on the
'helaian tambahan' provided by the invigilators. You may use equations, diagrams, tables,
graphs and other suitable methods to explain your answers.
Jawab mana-mana satu soalon daripada Bahagian B. Tulis jawapan anda bagi
Bahagian B pada helaian tambahan yang dibekalkan oleh pengawas peperiksaan.
Anda boleh menggunakan persamaan, rajah,jadual, grafdan cara lain yang sesuai
untuk menjelaskan jawapan anda.
4. Show your working, it may help you to get marks.
Tunjukkan kerjo mengira, ini membantu anda mendapatkan markah.
5. The diagrams in the questions are not dravr'n to scale unless stated.
Rajah yang mengiringi soalan tidak dilukis mengikut skala kecuali dinyotakan.
6. The marks allocated for each question or sub-part ofa question are shown in brackets.
y:Ilrl::rrr:;:eruntukkan bagi setiap soalan atau ceraian soatan dituniukkan
I
7. Ifyou wish to change your answer, cross out the answer that you have done. Then write t
:i:,^":;:;:,^;'o*il),,0,, ,o*,oan. baratkan iowapon vanp tetoh dibuat. Kemudian I
tulis jawapan yang baharu.
I
8. You may use a scientific calculator.
Anda dibenarkan menggunakan kal kulator s aintifik.
9. You are advised to spend 60 minutes to answer questions in Section A and 30 minutes for
Section B.
Anda dinasihati supaya mengambil masa 60 minit untuk menjawab soalan dalam
Bahagian A dan 30 minit untuk Bahagian B.
10. Detach Section B lrom this question paper. Tie the 'helaian tambahan' together with this
question paper and hand in to the invigilator at the end ofthe examination.
Ceraikan Bahagian B daripado kertas soalan ini. Ikat helaian tambahan
bersama-sama kertas soalan ini dan serahkan kepada pengawas peperiksaan pada
akhir peperiksaan.
SULIT453113 e,20t4 Hak Cipra Kerajaan Malaysia
More SPM Papers at:
www.spmsoalan.comwww.spmsoalan.com

[Spmsoalan] soalan-physics-spm-2014

  • 1.
    PHYSICS PAPER 1,2 & 3 SPM 2014 Prepared by Lembaga Peperiksaan Malaysia Answer scheme prepared by SPM Soalan More SPM Paper at : http://www.spmsoalan.com/
  • 2.
    S"- .,*,.+3Hf,i"SiB13L5ii#ILAysrA -_- ffi Uataysa SIJILPELAJARAN MALAYSIA 2014 453III PHYSICS Kertas I Nov./Dis. rliam SULIT Satu jam lima belas minit JANGAN BUKA KERTAS SOALAN INI SEHINGGA DIBERITAHU l. Kertas soalan ini adalah dalam dwibahasa. 2. Soalan dalam bahasa Inggeris mendahului soalan yang sepadan dalam bahasa Melayu. 3. Calon dikehendaki membaca maklumat di halaman belakang kertas soalan ini. Kertas soalan ini mengandungi 50 halaman bercetak dan 2 halaman tidak bercetak lLihat halaman sebelah 453ltl a 2014 Hak cipta Kerajaan Malaysia SULIT illtil]illlililtiltilllllllfl llllllillll453111- 1 More SPM Papers at: www.spmsoalan.com
  • 3.
    SULIT 2 453III Thefollowing information may be useful. The s).rnbols have their usual meaning. Maklumat berikut mungkin berfaedah. Simbol-simbol mempunyai makna yang biasa. v-u l' a = - t ^))^l. V =U + ZOS 1- 3. s=ur+Lat2 2 4. Momentum = lzy 5. F=ma 6. Kinetic energy I Tenaga kinerik = ! mv2 "2 7. Gravitational potential energy / Tenaga keupayaan graviti: mgh 8. Elastic potential energy I Tbnaga keupayaa, t eWA = )f, m e' o=v 10. Pressure I Tekanan, p=hpg 11. Pressure / Tekanan, I =| 12. Heat I Haba, Q=mc| 13. HeatlHaba, Q=1nl nV 14. t- = constant / pemalar 1' 15. E = mc2 16. u= -fl 17. Power,P=elergY trme Kuasa, P = tenoga mosa lll 18. -;=-+- luv 453lll -e,2014 Hak Cipra Kerajaan Mataysia SULIT More SPM Papers at: www.spmsoalan.com
  • 4.
    STJLIT ^ea19. t"= D zo. ,= "!ni sln r 21. n= real depth apparent depth dalam nyata dalam ketara 22. Q= h 23. V: IR 24. Power I Kuasa, P: IV ,< Ns - zs NP T/P 26. Efficiency I Kecekapan= I-t !-t ,tooN I,V, 27. g=19^"-z 28. c=3.0 x 108ms-1 4531n lLihat halaman sebelah St]LIT4531/1 e 2ol4 Hak cipta Kerajaan Malaysia 3 More SPM Papers at: www.spmsoalan.com
  • 5.
    SULIT 4s3u1 Which quantityis base quantity? Kuantiti manakah adalah kuantiti asas? A Potential difference Beza kettpalraan B Elecric current Arus elektrik C Electric energy Tenaga elektrik D Electric power Kuasa elektrik Diagram 1 shows two identical eggs are dropped from the same height, h, onto a floor and a sponge respectively. Rajah I menunjukkan dua biji telur serupa dijatuhkan dari ketinggian yang sama. h. ke alas lantai dan span masing-masing. Egg n -TTelnr I I I -/ I )rrJT_/ I h I I I / Eee I I T"tu, I )t__./ ^sponge Span Broken egg Telur pecah Floor Lantai Diagram I Rajah I Which inference is correct? Inferens manakah yang betul? A Impulsive force depends on velocity ofegg Daya impuls bergantung kepada halaju telur B lmpulsive force depends on time of impact Daya impuls bergantung kepada maso hentaman C Impulsive force depends on gravitational force Daya impuls bergdntung kepada daya graviti D Impulsive force depends on height ofegg Daya impuls berganlung kepada ketinggion telur 453lll e 20t4 Hak Cipra Kerajaan Malaysia SULIT More SPM Papers at: www.spmsoalan.com
  • 6.
    SIILIT 5 453u1 3Diagram 2 shows a velocity-time graph for a motion of an object. Rajah 2 menunjukkan satu graf halaju-masa bagi gerakan satu objek. Velocity (m sr) Halaju (ms t) 4 Diagram2 Rajah 2 Time (s) Masa (s) llihat halaman sebelah SULIT What is the displacement of the object? Berapakah sesaran objek itu? A l2m B 18m C 24m D 36m 453lll e 2014 Hak cipia Kerajaan Malaysia More SPM Papers at: www.spmsoalan.com
  • 7.
    SULIT 4 Diagram 3shows a cat chasing a rat. Rajah 3 menunjukkan seekor kucing sedang mengejar seekor tikus. Diagram 3 Raj ah 3 The inertia ofthe cat is bigger than the rat because Inersia bagi kucing adalah lebih besar daripada tikus kerana A the size of the cat is bigger than the rat saiz kucing lebih besar daripada tikus B the mass ofthe cat is bigger than the rat jisim kucing lebih besar daripada tikus C the length of the cat is more than the rat panjang kucing lebih besar daripada tikus D the height of the cat is more than the rat tinggi kucing lebih besar daripada tikus 453y1 453111 o 20r4 Hak cipra Kerajaan Malaysia SULIT More SPM Papers at: www.spmsoalan.com
  • 8.
    SULIT 7 453III 5The balanced forces that act on the moving object could make the object Daya-daya seimbang yang bertindak ke atas objek yang sedang bergerak akan membuat objek itu A decelerates menyahpecut B accelerates memecut C change the direction of motion berubah arah gerakan D moves with constant velocity bergerak dengan halaju seragam lLihat halaman sebelah ST]LIT453,.ll o 20l4 Hak cipta Kerajaan Malaysia More SPM Papers at: www.spmsoalan.com
  • 9.
    SI,JLIT 4s3ut 6 Whichdiagram shows the unbalanced forces acting on an object? Rajah manakah menunjukkan daya-daya tak seimbang bertindak ke atas suatu objek? A A car stops at a junction Sebuah kereta berhenti di suatu simpang B An aeroplane take off Sebuah kapal terbang from the runaway berlepas dari landasan A train moves with constant velocity Sebuah kereta api bergerak dengan halaju seragam D A submarine stays stationary at a certain depth Sebuah kapal selam berada pegun pada suatu kedalaman C SULIT4531/1 e 20l4 Hak cipta Kerajaan Malaysia More SPM Papers at: www.spmsoalan.com
  • 10.
    SULIT 4537t7 7 Diagram4 shows a martial art student breaking a pile of bricks. Rajah 4 menunjukkan seorang pelajar seni mempertahankan diri memecahkan satu susunan batu bata. What is the physics concept that make the brick break? Apakah konsep fizik menyebabkan batu bata pecah2 A Impulsive force Daya impuls B Momentum Momentum C Pressure Tekanan D Impulse Impuls llihat halaman sebelah SULIT4531/1 o 20l4 Hak cipta Kerajaan Malaysia More SPM Papers at: www.spmsoalan.com
  • 11.
    sul.rT 10 4s3lll 8Diagram 5 shows a stone is thrown vertically upwards at a velocity of 20 m s I' Rajah 5 menunjukkan sebiji batu dilontar tegak ke atas dengan halaju 20ms-t. Diagram 5 Raj ah 5 What is the maximum height achieved by the stone? Berapakah ketinggian maksimum dicapai oleh batu itu? A2m B 19m C 20m D 40m 4531/1 e 2014 Hak cipra Kerajaan Mataysia SULIT ? l More SPM Papers at: www.spmsoalan.com
  • 12.
    SULIT 11 453u1 9The force, F, applied to a spring is directly proportional to the spring's extension or compression, x. The above statement is Daya, F, dikenakan pada satu spring adalah berkadar langsung kepada pemanjangan atau mampatan spring, x. Penyataan di atas adalah A Snell's Law Hukum Snell B Hooke's Law Hukum Hooke C Charles' Law Hukum Charles D Newton's Third Law of motion Hukum gerakan Newton ketiga lLihat halaman sebelah SULIT4531/1 e 20l4 Hak cipta Kerajaan Malaysia More SPM Papers at: www.spmsoalan.com
  • 13.
    sulrT 12 453tlt 10Pressure is defined as force per unit area. Which graph represents relationship between pressure (P) and area (A)? Tekanan ditakrilkon sebagai dayo per unit luqs. Grof manakah yang mewakili hubungan antara tekanan (P) dan luas (A)? Ap Bp I A I A 1 A I A SULIT453lll e 2014 Hak Cipra Kerajaan Mataysia More SPM Papers at: www.spmsoalan.com
  • 14.
    SULIT 13 11 Diagram6 shows a cyclist on a road. Rajah 6 menunjukkan seorang pelumba basikal di atas jalon raya. Mass of cyclist:60 kg Jisim pelumba basikal - 60 kg Mass of bicycle : 8 kg Jisim basikal=8kg Diagram 6 Rajah 6 What is the total downward force acting on the road? Berapakah jumlah daya ke bawah yang bertindak pada jalan raya? AON B SON C 6OON D 68ON llihat halaman sebelah SULIT 453U1 4531ll a 2014 luak cipta Kerajaan Malaysia More SPM Papers at: www.spmsoalan.com
  • 15.
    SULIT 14 12 Diagram7 shows an empty bottle tied to a load in the water. Rajah 7 menunjukkan botol kosong diikat pada beban dalam air. Empty bottle Botol kosong Load Beban 453il1 _.-.--.-.--.--.-/ String Tali Basement Dasar Diagram 7 Rajah 7 Which changes will increase the pressure on the bottle? Perubahan manakah akan meningkatkan tekanan dalam botol'! A Decreases the depth of the bottle Mengurangkan kedalaman botol B Shorten the string Pendekkan talinya C Use a heavier load Menggunakan beban yang lebih berat D Submerge the bottle into a less dense liquid Tenggelamkan botol ke dalam cecair kurang tumpat 4531/1 o 2014 Hak Cipla Kerajaan Mataysia SULIT More SPM Papers at: www.spmsoalan.com
  • 16.
    SULIT 453u1 13 Diagram8 shows a thin wire is used to slice through a boiled egg. Rajah 8 menunjukkan satu dawai halus digunakan untuk memotong telur rebus. Diagram 8 Rajah 8 The purpose of using thin wire is to increase Tujuan menggunakan dawai halus adalah untuk meningkalkan A force daya B energy tendgd C pressure tekanan D inertia inersia llihat halaman sebelah SULIT 15 453lll a.20t4 Hak cipta Kerajaan Malaysia More SPM Papers at: www.spmsoalan.com
  • 17.
    SULIT 16 453lll 14Diagram 9 shows different liquids spurts out of their containers. Spurt distance for each liquid is x, y and z cm. Rajah 9 menunjukkan cecair berlainan terpancut dari bekasnya. Jarak pancutan ttntuk setiap cecair adalah x, y dan z cm. Water Air oil Minyak Salt water Air garam Spurtdistance=xcm Jorak pancutan= x cm Which arrangement is correct? Susunan manakah adalah betul? A x<y<z B x:y:z C z>x>y D z<y<x Spurtdistance:ycm Jarak pancutan: y cm Diagram 9 Raj ah 9 Spurtdistance=zcm Jarak pancutan= z cm SULIT453lll a 2014 Hak cipta Kerajaan Mataysia More SPM Papers at: www.spmsoalan.com
  • 18.
    SULIT 453u1 15 Diagraml0 shows a fire extinguisher being used to extinguish fire. Rajah 10 menunjukkan sebuah pemadam api digunakan untuk metnadamkan kebakaran. Foam Buih Diagram 10 Raj ah l0 Why the foam does not come out after a while even though the handle is pushed down? Mengapakah buih tidak keluar lagi setelah pemegang ditekan ke bawah seketika? A All the foam in the tank has come out Buih dalam tangki semuanya telah keluar B The pressure inside the tank becomes equal to atmospheric pressure Tekanan dalam tangki menjadi sama dengan tekanan atmosfera C The pressure in the tank becomes higher than atmospheric pressure Tekanan dalam tangki menjadi lebih tinggi dari tekanan atmosfera D The pressure inside the tank becomes lower than atmospheric pressure Tekanan dalam tangki menjadi lebih rendah dari tekanan atmosfera LLihat halaman sebelah SULIT t7 4531/1 o 2014 Hak cipta Kerajaan Malaysia More SPM Papers at: www.spmsoalan.com
  • 19.
    SULIT 453y1 16 Diagram11 shows an aerofoil attached to the back of Formula One car. Rajah ll menunjukkan sebuah aerofoil dipasang di belakang kereta Formula One. Air flow direction Arah aliran udara Diagram 11 Rajah ll Which statement is correct when the car is moving fast? Penyataan manokah betul apabila kereta itu bergerak laju? A Pressure at X is greater than at Y Tekanan di X lebih besar dari di Y B Pressure at X and Y is the same Tekanan di X dan Y adalah sama C Velocity of air at X and Y is the same Halaju udara di X dan Y adalah sama D Velocity of air at X is greater than at Y Halaju udara di X lebih besar dari di Y 17 Why is the volume of a balloon reduced when it is pushed deeper into the water? Mengapakah isi padu belon berkurang apabila ia ditolak lebih dalam ke dalam air? A Pressure of water increases Tekanan air bertambah B Pressure of water decreases Tekanan air berkurang C Density of water increases Ketumpatan air bertambah D Density of water decreases Ketumpatan air berkurang 18 453lll t- 20r4 Hak cipta Kerajaan Maraysia SULIT More SPM Papers at: www.spmsoalan.com
  • 20.
    F I sulrT t9 453u1 18Diagram 12 shows force F, acting on a piston P in a hydraulic system. Rajah 12 menunjukkan daya F, bertindak pada omboh P dalam sistem hidraulik. Piston P Omboh P Diagram 12 Rajah 12 Which modification can increase the force acting on piston Q? Pengubahsuaian manakah boleh menambah daya bertindak pada omboh Q? A Increase the diameter of the tube Menambah diameter tiub B Decrease the diameter of the tube Mengurangkan diameter tiub C Increase the surface area of piston Q Menambah luas permukaan omboh Q D Decrease the surface area ofpiston Q Mengurangkan luas permukaan omboh Q Piston Q Omboh Q llihat halaman sebelah SULIT453lll a 2ot4 Hak cipta Kelajaan Malaysia l rI Tube Tiub t_ --J_-_l -t-_-i -_-i -_-i -J r---tl t_- More SPM Papers at: www.spmsoalan.com
  • 21.
    SULIT 20 453ut 19Diagram 13 shows a log floating on the surface of water. Rajah 13 menunjukkan sebalang kayu balak terapung di alas permukaan air. Log Kavu balak - Water - - ' Air Diagram 13 Rojah 13 Which statement is correct? Penyataan manakah betul2 A Buoyant force : Weight Daya apung : Beral B Buoyant force > Weight Daya apung > Berat C Density of log > Density of water Ketumpolan kayu balak > Ketumpatan air D Density of log : Density of water Ketumpaton kayu balak - Ketumpatan oir SULIT453lll e 2014 Hak Cipta Kerajaan Mataysia More SPM Papers at: www.spmsoalan.com
  • 22.
    SULIT 2I 20 Diagram14 shows a spoon is placed in a bowl of soup at 95"C. Rajah 14 menunjukkan sebatang sudu diletakkan dalam semangkuk sup pada suhu 95" C. Diagram 14 Rajah 14 Which statement is correct when thermal equilibrium is reached? Penyataan manakah yang betul apabila keseimbangan terma dicapai? A Temperature ofsoup is unchanged Suhu sup tidak berubah B Temperature of spoon is unchanged Suhu sudu tidak berubah C No flow ofheat between soup and spoon Tiada pengaliran haba antara sup dan sudu D Soup and spoon has the same temperature Sup dan sudu mempunyai suhu yang sama llihat halaman sebelah SULIT 453U1 4531ll e 2014 Hak cipta Kerajaan Malaysia More SPM Papers at: www.spmsoalan.com
  • 23.
    SULIT 'r1 453u1 21Diagram l5 shows a pot. Rajah l5 menunjukkan sebuah periuk. Handle Pemegang Diagram 15 Rajah 15 Why is the pot's handle made of high specific heat capacity material? Mengapakah pemegang periuk diperbuat daripada bohan bermuatan haba tentu tinggi? A To increase the mass of the pot Untuk meningkotkan jisim perittk itu B To reduce the increase in temperature Untuk mengurangkan peningkatan suhu C To increase the melting point Untuk meningkolkan takat lebur D To reduce the expansion of the handle Untuk mengurangkan pengembongon pemegdng 453lll , l0l4 Hak Cipta Kerajaan Malaysia SULIT More SPM Papers at: www.spmsoalan.com
  • 24.
    SULIT 23 453u1 22Which graph shows the correct relationship between the volume and the temperature of gas in Charles's Law? Graf manakah yang menunjukkan hubungan yang betul di antara isi podu dengan suhu suatu gas dalam Hukum Charles? A V(cm3) B V(cm3) T (K) T (K) C V(cm3) D V(cm3) T (K) T (K) f,Lihat halaman sebe lah SULIT4531/1 e 2014 Hak cipta Kerajaan Malaysia More SPM Papers at: www.spmsoalan.com
  • 25.
    SULIT 24 23 Diagraml6 shows an air-tight cylinder with a piston. A force, F piston to produce pressure. Rajah 16 merutnjukkan silinder kedap udara dengan omboh. pada onboh untuk menghasilkan tekanan. 453llt is applied onto the Daya F dikenakan Distance of compression, 1 Jarak mampatan, I Piston Omboh Cylinder Silinder Diagram 16 Rajah 16 Which graph represents the relationship between pressure (P) and distance of compression, /? Grof manakah mev'akili hubungan ontaro Tekanan (P) dan jarak mampatan, 12 AP C SULIT453lll e 20t4 Hak cipta Kerajaan Malaysia More SPM Papers at: www.spmsoalan.com
  • 26.
    SULIT 25 453u1 adistance of 2 m. cermin satah dalam Boy Budak lelaki I m away from bergerak 1m lLihat halaman sebelah SULIT 24 Diagram 17 shows a boy standing in front of a plane mirror in Rajah 17 menunjukkan seorang budak lelaki berdiri di depon jarak 2m. Plane mirror Cermin satah 2m Diagram l7 Raj ah 17 What is the distance between the boy and his image when he moves the mirror? Apakah jarak antara budak lelaki dengan imejnya bila dia menjauhi cermin? A2m B3m C4m D6m 453lll e 2014 Hak cipta Kerajaa. Malaysia More SPM Papers at: www.spmsoalan.com
  • 27.
    SULIT 453il1 25 Diagraml8 shows an apparatus set-up ofan experiment to investigate the relationship between object distance, u and image distance, v of a convex lens. Rajah 18 menunjukkan susunon radas bagi eksperimen untuk mengkaji hubungon antara jorok objek, u dan jarak inej, v bagi kanta cembung. 26 Object Objek Convex lens Kanta cembung Bulb Mentol Diagram 18 Rajah 18 Which changes increases the image distance, v? Perubahan manakah meningkatkan jarak imej, v? A Increase the object distance, u Tambahkan jarak objek, u B Decrease the object distance, u Kttrangkan jarak objek, u C Increase the diameter ofthe convex lens Tambahkan diameter kanta cembung itu D Increase the distance between objectandbulb Tambahkan jarak antara objek dengan mentol White screen Slgrin putih Metre rule Pembaris meter SULIT453lll c 2014 Hak cipra Kerajaan Maraysia More SPM Papers at: www.spmsoalan.com
  • 28.
    SULIT 26 Diagram 19shows a beam of light travelling from air to medium X. Rajah 19 menunjukkan sinar cahaya bergerak dari udara ke medium X. What is the refractive index of medium X? Berapokah indeks biasan medium X? A 0-4 B 0.7 c 1.5 D 2.2 27 A pool is filled with water to a depth of 5 m. What is the apparent depth of the pool? [Refractive index of water is I .33] Sebuah kolam diisi dengan air sehingga kedalaman 5m. Apakah dalam ketara kolam itu? lndeks biasan air iolah 1.33) A 0.27 m B 3.67 m c 3.76m D 6.65 m 'r1 453u1 fLihat halaman sebelah SULIT Diagram l9 Rajah 19 453lll e 2014 Hak Cipta Kerajaan Mataysia 7ooAir Udara MediumX -^o MediumX 5u 400 | More SPM Papers at: www.spmsoalan.com
  • 29.
    SULIT 28 28 Diagram20 shows a displacement-distance graph produced by a water wave. Rajoh 20 menunjukkan graf sesaran-jarak dihasilkan oleh gelombang air. Displacement, y(cm) Sesaran, y(cm) 453U1 Distance, s(cm) Jarak, s(cm) Which pair of amplitude and wave length is correct? Pasangan manokah bagi amplitud dan panjang gelombang adolah betul? Amplitude Amplitud Wavelength Panjang gelombang OM ON ON MN OR oQ OP OS A B C D SULIT453111 c:.2014 Hak cipla Kerajaan Malaysia More SPM Papers at: www.spmsoalan.com
  • 30.
    SULIT 29 29 Whichdiagram shows the phenomenon ofwave reflection? Rajah manakah menunjukkan fenomena pantulan gelombang? llllD rtll 453u1 halaman sebelah ST]LIT453lll a 2014 Hak cipta Kerajaan Malaysia ILihat More SPM Papers at: www.spmsoalan.com
  • 31.
    ST]LIT 30 453u1 30Diagram 21 shows the propagation of sound wave in the air from cooler air area to warmer air area. Rojah 21 menunjukkan perambatan gelombang bunyi di udara dari kawasan udara lebih sejuk ke kawasan udara lebih panas. Warmer air Udara lebih panos Cooler air Udaro lebih s Diagram 21 Rajah 2l Which comparison about the wave is correct? Perbondingan manakah tentang gelombang itu adalah betul2 A The wave length at the upper level < the lower level Panjang gelombang pada aras atas < aras bawah B The amplitude at the upper level < the lower level Amplitud pada aras atos < aras bawah C The speed at the upper level > the lower level Kelajuan poda oras otos > aras bawah D The frequency at the upper level > the lower level Frekuensi pada oras atas > aras bawah Lower Ards L 453lll e 20t4 Hak cipta Kerajaan Malaysia SULIT More SPM Papers at: www.spmsoalan.com
  • 32.
    SULIT 453u1 31 Diagram22 shows a water wave propagating through a small gap. Rajah 22 menunjukkan gelombang air merambat melalui suatu celah yang kecil. Diagram22 Raj ah 22 Which property of the diffracted wave is correct? Ciri gelombang terbelau manakah yang betul? A The amplitude is decreased Amplitud berkurang B The wave length is decreased Panjang gelombang berkurang C The speed is decreased Kelajuan berkurang D The frequency is increased Frekuensi bertambah lLihat halaman sebelah SULIT 31 453lll <:20r4 Hak cipta Kerajaan Mataysia More SPM Papers at: www.spmsoalan.com
  • 33.
    SULIT 32 453lll 32Diagram 23 shows sound waves produced by a loudspeaker. Rajah 23 menunjukkan gelombang bunyi dihasilkan oleh satu pembesar suara. Loudspeaker Pembesar suara Air molecules Molekul udara Diagram 23 Rajah 23 Which combination is correct? Kombinasi ntanakah adalah betul? A B C D SULIT Direction of air molecules vibration Arah getaran molekul udara Direction of wave propagation Arah perambatan gelombang Airmolecule Molekul udara ------> Air molecule Molekul udaro <- Air molecule Molekul udara I Air molecule Molekul udoro -----+ 453lll c,2014 Hak cipla Kerajaan Malaysia More SPM Papers at: www.spmsoalan.com
  • 34.
    SULIT 33 453u1 33Which combination produce low loudness and high pitch sound? Kombinasi manakah menghasilkan bunyi kekuatan rendah dan kelangsingan tinggi? A B C D Amplitude Amplitud Frequency Frekuensi Small Kecil Low Rendah Large Besar Low Rendah Small Kecil High Tinggi Large Besar High Tinggi flihat halaman sebelah SULIT453lll a 20t4 Hak cipta Kerajaan Malaysia More SPM Papers at: www.spmsoalan.com
  • 35.
    SULIT 34 34 Diagram24 shows an application of electromagnetic waves' Raj ah 24 menunj ukkan penggunaan gelombang e lektromagnet. Diagram24 Rajah 24 Which pair is correct about the characteristics of the waves used? Pasangan manakah yang betul tentang ciri-ciri gelombang yang digunakan? Frequency Frekuensi Wave length Panjang gelombang Hieh Tinggi Short Pendek Hieh Tinggi Long Panjang Low Rendah Long Panjang Low Rendah Short Pendek D 453u1 453lll e 2014 Hak cipta Kerajaan Malaysia SULIT More SPM Papers at: www.spmsoalan.com
  • 36.
    SULIT 453u1 35 Threedifferent resistors are connected in series. Which statement is correct? Tiga perintang berbeza disambung bersiri. Penyataan manakah adalah betul? A Potential different across each resistor is the same Beza keupayaan merentasi setiap perintang adalah sama B Power dissipated by each resistor is the same Kuasa dilesapkan oleh setiap perintang adalah sama C Effective resistance is smaller than individual resistance Rintangan berkesan lebih kecil daripada rintangan individu D The current passing through each resistor is the same Arus yang melalui setiap perintang adalah sama 36 Diagram 25 shows an electric circuit. When the switch is offthe voltmeter reading is 9.0 V. The internal resistance of the cell is 1Q. Rajah 25 menunjukkan satu litar elektrik. Apabila suis dibuka bacaan voltmeter adalah 9.0Y. Rintangan dalam bagi sel adalah lA. Diagram 25 Rajah 25 What is the ammeter reading when the switch is on? Berapakah bacaan ammeter apabila suis ditutup? A 3.OA B 3.5A C 4.54 D 6.0A 35 llihat halaman sebelah SULIT4531.ll e 2or4 Hak cipta Kerajaan M.laysia More SPM Papers at: www.spmsoalan.com
  • 37.
    SULIT 36 453Ur 37Diagram 26 shows a direct current drilling tool. The resistance of the coil in the drilling tool is 0. 48 O . The current flows through the coil is 25 A. Rajah 26 menunjukkan olat gerudi arus terus. Rintangan gegelung dalom alat gerudi adalah 0.48 O. Arus yang mengolir menentsi gegelung adalah 25 A. Diagram 26 Rajah 26 What is the power produced by the drilling toot? Berapakah kuasa yang dihasilkan oleh alat gerudi itu? A 52W B l44W c 300w D 1302W SULIT4531/l c 20t4 Hak cipra Kerajaan Malaysia More SPM Papers at: www.spmsoalan.com
  • 38.
    SULIT 37 38 Whichdiagram shows the correct rule to straight wire? Rajah manakah menunjukkan peraturan magnet di sekeliling dawai lurus? 453u1 determine the magnetic field around a yang betul untuk menentukan medan BA Left-hand Grip rule Peraturan Genggaman Tangan kiri Fleming's Right hand rule Peraturan Tangan kanan Fleming Fleming's Left hand rule Perqturan Tangan kiri Fleming Right-hand Grip rule Peraturan Genggaman Tangan kanan lLihat halaman sebelah SULIT D 453lll a 2014 Hak cipta Keraiaan Malaysia C _) ),,,,,,I More SPM Papers at: www.spmsoalan.com
  • 39.
    SULIT 38 453lll 39Which diagram shows the correct combination of forces when the magnetic field due to the current in the coil combines with the extemal magnetic field? Rajah manakah menunjukkan kombinasi yang betul bagi daya-daya apabila medan magnet yang disebabkan oleh arus dalam gegelung bergabung dengan medan magnet luor? Force Doya Force Daya Force Daya Force Daya Force Daya Force Daya Force Daya 453lll c.20t4 Hak cipta Kerajaan Malaysia SULIT More SPM Papers at: www.spmsoalan.com
  • 40.
    SULIT 39 453lll 40Diagram 27 shows a current is induced when a magnet moves towards a coil. Rajah 27 menunjukkan arus diaruhkan apabila mognet bergerak ke arah gegelung. Galvanometer Galvanomeler Coil Gegelung Magnet Magnet Diagram 27 Rajah 27 The magnitude of current increases when the Magnitud arus bertambah apabila A relative motion is reduced ger aka n re lat if diku rang kan B number of turns ofcoil is reduced bil angan lilitan gegelung diktrrangkan C magnitude of magnetic strength is reduced magnitud bagi kekuatan magnet diknrangkan D the resistance ofthe coil wire is reduced rintangan gegelung dawai dikurangkan llihat halaman sebelah ST]LIT453lll a 20t4 Hak cipta Kerajaan Malaysia More SPM Papers at: www.spmsoalan.com
  • 41.
    SULIT 4l Diagram 28shows a step-down transformer. Rajah 28 menunjukkan satu transformer injak turun. Primarv coil Secondary coil Gegelung primer Gegelung sekunder Diagram 28 Rajah 28 When the current in the primary coil increases, Apabila arus dalam gegelung primer bertambah, A the frequency of the induced current in the secondary coil increases. frektrensi arus aruhan dalam gegelung sekunder bertambah. B the frequency of the current in the primary coil decreases. frekuensi arus dalom gegelung primer berkurang. C magnetic field in the secondary coil decreases. medan magnet dalam gegelung sekunder berkurang. D magnetic field in the primary coil increases. ntedan magnet dalam gegelung primer bertambah. 40 4s3ut SULIT453lll c 2014 Hak Cipta Kerajaan Mataysia More SPM Papers at: www.spmsoalan.com
  • 42.
    SULIT 42 Diagram 29shows a vacuum tube Rajah 29 menunjukkan sat u pancdran termion. a.c. supply -| bekalan at. 4t 453u1 used to investigate a thermionic emission. tiub vakum digunakan untuk menyiasat Cathode(-) Katod (-) Anode (+) Anod (+) High voltage supply Bekalan voltan tinggi Diagram29 Rajah 29 What is the function of cathode? Apakah fungsi katod! A To produce the electron when it is heated by a filament Untuk menghasilkan elektron apabila ia dipanaskan oleh filamen B To accelerate the electron at a high speed. Untuk memecut elektron poda kelajuan tinggi C To control the intensity of electron beam. Untuk mengawal keamatan alur elektron D To deflect the electron beam vertically Untuk memesong alur eleklron secara menegak Heating filament Filamen pemanas Vacuum tube Tiub vakum lLihat halaman sebelah St]LIT ---+>C athode rays/ Sinar katod 453lll a:2014 Hak cipta Kerajaan Malaysia More SPM Papers at: www.spmsoalan.com
  • 43.
    SULIT 42 453lll 43Diagram 30 shows an atomic sructure of an intrinsic material of semiconductor. Rajah 30 menunjukkan suatu atom bagi suatu bahan semikondttktor tulen. Si Si Si + :', :i, :. .t Si Si '*.11.: [ ];'-;1 1 '!l! I:"; Si Si Si '",1 ' t:, [.'-1 ffi ' r .l,r ?"i{&'l :!'ws ,,1 ti Si Si Si Si I ;: r;.,* l:-r-EF"''t :.:a:1,'-i: .'r:'l ':;i '; 'i'"ii:r:- I i a -l: ."t"' Diagram 30 Rajah 30 Which impurity element should be added to form n-type semiconductor? Elemen bendasing manakah yang potut ditambah untuk membentuk semikonduktor jenis n? A Boron Boron B Indium Indium C Gallium Galium D Phosphorus Fosforus 453lll c:2014 Hak Cipta Kerajaan l4alaysia SULIT More SPM Papers at: www.spmsoalan.com
  • 44.
    SULIT 43 44 Diagram3l shows an electric circuit. Rajah 3l menunjukkan satu litar elektrik. a.c. input Input a.t. Diagram 31 Rajah 31 Which wave pattem is displayed on the screen of C.R.O.? Bentuk gelombang manakah yang dipamerkan pada skrin O.S.K.? 453u1 lLihat halaman sebelah ST]LIT C To C.R.O. ,(e O.S.K. 453lll a 2014 Hak Cipra Kerajaan Malaysia More SPM Papers at: www.spmsoalan.com
  • 45.
    SULIT 45 Diagram 32shows an automatic Rajah 32 menunjukkan suatu 44 switch circuit. litar suis automatik. 4s3ut l0 ko What is Q? Apakah Q? A Resistor Perintang B Termistor Termistor C Light emitting diode Diod pemancar cahaya D Light dependent resistor Perintang peko cahaya Diagram32 Raj ah 32 4531/1 c 2014 Hak Cipta Kerajaan Malaysia SULIT More SPM Papers at: www.spmsoalan.com
  • 46.
    45SULIT 46 Diagram 33shows an induced current flows in a wire which two magnets. 453y1 is moved between Rajah 33 menunjukkan arus aruhan mengalir dalam dawai yang digerakkan di antara dua magnet. Induced current Direction of motion of wire Arah gerakan dawai Arus aruhan Magnetic field Medan magnet Diagram 33 Rajah 33 Which step will increase the magnitude of the induced current? Langkah manakah yong akan meningkatkan magnitud arus aruhan? A Use wire with smaller diameter Guna dawai dengan diameter lebih kecil B Increase the distance between two magnet Tambah jarak di antara dua magnet C Move the wire horizontally Gerak dawai secara mengufuk D Use stronger magnets Guna magnet yang lebih kuat lLihat halaman sebelah SULIT453lll e 20r4 Hak cipra Kerajaan Maraysia More SPM Papers at: www.spmsoalan.com
  • 47.
    46 4S3ut 47 Diagram34 shows a combination of logic gates with one input and two output XandY Rajah 34 menunjukkan gdbungan get-get logik dengan satu input dan dua output X dan Y. Diagram 34 Rajah 34 Which output is correct? Output manakah adalah betul? D Input Input OutDut outlut x Y 0 1 1 0 0 1 1 I 1 1 0 1 453lll e 2014 Hak cipta Kerajaan Malaysia SULIT More SPM Papers at: www.spmsoalan.com
  • 48.
    SULIT 47 453u1 48Nuclear fusion is Pelakuran nuklear adalah A a loss ofmass in nuclear reaction kehilanganjisim dalam tindak balas nuklear B a loss ofenergy in nuclear reaction kehilangan tenaga dalam tindak balas nuklear C the combining of two lighter nuclei to form a heavier nucleus penggabungan dua nukleus ringan untuk membentuk satu nukleus lebih berat D the spliuing ofa heay nucleus into two lighter nuclei pembelahan satu nukleus berat kepada dua nukleus lebih ringan lLihat halaman sebelah SULIT453lll a 2014 Hak Cipra Kerajaan Malaysia More SPM Papers at: www.spmsoalan.com
  • 49.
    SULIT 48 49 Diagram35 shows a model of hidrogen, atom ]H. Rajah 35 menunjukkan model otom hidrogen,tH. . ,l /l ,l ,l , (+) ,' Protium atom Atom ProtiumI t-, key kunci 453u1 lH. proton proton electron elektron neutron neutron Diagram 35 Rajah 35 Which diagram shows the model for isotope of hidrogen, tritium atom, iH Rojah manakah yang menunjukkan model bagi isotop hidrogen, atom A-,/ o D titium, A a C SULIT o o o 453lll e 20t4 Hak cipra Kerajaan Malaysia I A o.. More SPM Papers at: www.spmsoalan.com
  • 50.
    SULIT 50 Which iscorrect about the category of radioactive waste? Manakah yang betul mengenai kategori sisa radioaktif END OFQUESTION PAPER KERTAS SOALAN TAMAT 49 453u1 A B C D SULIT Radioactive waste Sisa radioaktd HalfJife Separah hayat Source Punca High level Aras tinggi hrg Panjang Hospitals, laboratories and industries Hospital. makmal dan industri Low level Aras rendah Long Panjang Used fuel rods or liquid waste from fuel reprocessing Sisa rod bahan api atau sisa cecair daripada pemprosesan semula bahan opi High level Aras tinggi Short Pendek Used fuel rods or liquid waste from fuel reprocessing Sisa rod bahan api otau sisa cecair daripada pemprosesan semula bahan api Low level Aras rendah Short Pendek Hospitals, laboratories and industries Hospital. makmal dan indust ri 453lll e,2014 Hak cipra Kerajaan Malaysia More SPM Papers at: www.spmsoalan.com
  • 51.
    52SULIT 453llr INFORMATION FOR CANDIDATES MAKL(IMATUNTUK CALON 1. This question paper consists of50 questions' Kertas soalan ini mengandungi 50 soalan' 2. Answer all questions. Jav'ab semua, soalan. 3. Each question is followed by either three or four options' Choose the best option for " ;;q;r1i"; and blacken the correct space on the objective answer sheet' Tian-tiap soalan diikuti oleh sama ada tiga atau emptt pilihan jawapan"Pilih satu ;*[,p;;;;;';;",i)i[i"i:i iittip 'oatoi don hitu;ka; ruansan vang betut pada kertas jau'aPan objekt if. 4. Blacken only one space for each question' Hitomkan satv ruongon sahaja bagi setiap soalan' 5. Ifvou wish to change your answer, erase the blackened mark that you have made' Then I blicken the space for the new answer' Sekiranya anda hendak menukar jawapan, padamkan londa yang telah dibuat' Kemudian hitamkon jawapan yang baharu' 6. The diagrams in the questions provided are not drawn to scale unless stated' Rajah yang mengiringi soalan tidak dilukis mengikut skala kecuali dinyatakan' '7 . You may use a scientific calculator' Anda dibenarkan menggunakan kalkulator saintifik' 8. A list offormulae is provided on pages 2 and 3' Sattt senarai formula disediakan di halaman 2 dan 3' SULIT 453lll e 2014 Hak cipta Kerajaan Malavsia More SPM Papers at: www.spmsoalan.com
  • 52.
    NO, KAD PENGENALAN SULIT ANGKAGILIRAN 8?- -(=-h €ft=g4k Uahysa LEMBAGAPEPERIKSAAN KEMENTERIAN PENDIDIKAN MALAYSIA SIJIL PELAJARAN MALAYSIA 2014 453112 PHYSICS Kertas 2 Nov./Dis. Zl ian Dua jam tiga puluh minit JANGAN BUKA KERTAS SOALAN INI SEHINGGADIBERITAIIU 1. Tulis nombor kad pengenalan dan angka giliran anda pada petak yang disediakan. 2. Kertas soalan ini adalah dalam dwibahasa. 3. Soalan dalam bahasa Inggeris mendahului soalan yang sepadan dalam bahasa Melayu. 4. Calon dibenarkan menjawab keseluruhan atau sebahagian soalan sama ada dalam bahasa Inggeris atau bahasa Melayu. 5. Calon dikehendaki membaca maklumat di halaman belakang kertas soalan ini. Untuk Kegunaan Pemeriksa Kod Pemeriksa: Bahagian Soalan Markah Penuh Markah Diperoleh A 1 4 2 5 3 6 4 7 5 I 6 8 7 10 I 12 B 9 20 10 20 C 11 20 t2 20 Jumlah Kertas soalan ini mengandungi 35 halaman bercetak dan I halaman tidak bercetak. lLihat halaman sebelah 453112 a 2014 Hak cipta Kerajaan Malaysia SULIT | |1il]1ilffi Iilililt ilil ril ffiIl ffi llll 4 53112 - 1 il I More SPM Papers at: www.spmsoalan.comwww.spmsoalan.com
  • 53.
    SULIT 453il2 The followinginformation may be useful. The symbols have their usual meaning' Maklumot berikttt mlmgkin berfaedoh. simbol-simbol mempunyai makna yang biasa. sln I 16 n=- sin r 17 ,= ' 18 n= sln c real ticpth apparent depth dalam nyata dalam ketara lll re 7=i*l 20 Linear magnification / Pembesaran lineor, m = v-lt I o=- t 2 v2:u2 +2as I 3 s =ut +-ol- 2 4 Momentum = mv 5 F =ma 6 Kinetic energy / Tenaga kinetik =lr,"2 7 Gravitational potential energy / Tenaga keupayaan gravili : ntgh 8 Elastic potential energy i Tenaga keupayao, k"nlrat - )F* 9 Power, P=elergY tlme Kuasa. P =tenaSa maso m lo p=i F 1l Pressure I Tekanon, P= O 12 Pressure I Tekanan, p=hpg l3 HeatlHaba, Q=mcl 14 HeatlHoba, Q=pl 15 Pv =ron tuntI pemalar T v=.f). ox "D Q=tt E_VQ V=IR PowerlKuasa, P=IV g=l0ms - N, -- v, NP VP Efftciency I Kecekapan : I, v, x 1oo%o Io V, -) c:3.0 x 108 m s-l 1 a.m.u. : I .66 x l0 27 I u j.a. I u 2t 22 ZJ 24 25 26 27 28 29 30 JI 32 SULIT453112 c- 2014 Hak cipm Kerajaan Malaysia More SPM Papers at: www.spmsoalan.comwww.spmsoalan.com
  • 54.
    SULIT 453u2 Section A BahagianA [60 marks] 160 markahl Answer all questions in this section. Jawab semta soalan dalam bahagian ini. Diagram I shows a number ofthumb-tack are attracted by an electromagnet. Rajah I menunjukkan sejumlah paku tekan tertarik kepada satu elektromagnet. Iron nail Switch SalsPoku besi Electromagnet Elektromagnet Thumb-tack Paku tekan Diagram 1 Rajah I (a) Based on Diagram l, Berdasarkan Rajah 1, (i) Tick (/)the correct answer in the box provided. Tanda (/) pada jawapan yang betul dalam kotak yang disediakan. Electromagnet is a E lektromagnet adalah satu temporary magnet magnet sementara permanent magnet magnet kekal [1 mark] l1 markahl lLihat halaman sebelah SULIT453112 e 2014 Hak Cipta Kerajaan Malaysia Exqminer's Use l(a)(i) More SPM Papers at: www.spmsoalan.comwww.spmsoalan.com
  • 55.
    Erominer's Use 1(a)(ii) l(bxi) l(bxii) Total AI E SULIT 4 (ii) Atwire PQ, label the direction of current flow Pada wayar PQ, label arah pengaliran arus. The current flow through wire PQ is increased. Arus yang mengalir melalui wayar PQ ditambah. (i) State what happens to the number ofthumb-tack attracted by the electromagnet. Nyatakan apa yang berlaku kepada bilangan paku tekan yang tertarik kepada elektromagnet. ll markl fl markahf (ii) Give one reason for your answer in 1(6)(i). Beri satt sebab bagi jawapan anda di l(b)(t). 453l/2 ll markl ll markah) (b) I mark) ll markahl 453112 <:20t4 Hak cipra Kerajaan r4alaysia SULIT More SPM Papers at: www.spmsoalan.comwww.spmsoalan.com
  • 56.
    SULIT 453u2 2 Diagram2shows an instrument which is used to measure the atmospheric pressure. Raj ah 2 menunjukkan satu alat yang digunakan untuk mengukur tekanan dtmosfero. Diagram2 Rajah 2 (a) Based on Diagram2, Berdasarkan Rajah 2, (i) Name the instrument which is used to measure the atmospheric pressure. Namakan alat yang digunakan untuk mengukur tekanan atmosfera. 11, mark) 11 markahl (ii) State one reason why mercury is used in the instrument. Nyatakan satu sebab mengapa merkuri digunakan dalam alat tersebut. Examiner's Use 2(a)(t) 2(aXii) ll markl fl markahf lLihat halaman sebelah SULIT453112 e 2014 Hak cipta Kerajaan Maraysia More SPM Papers at: www.spmsoalan.comwww.spmsoalan.com
  • 57.
    For Examiner's Use Total A2 G z(b)(i) 2(b)(ti) SULIT (b) 6 Based on Diagram2, Berdasarkan Rajah 2, (i) state the atmospheric pressue in the unit of cmHg. nyatakan tekanon atmosfera dalam unit cmHg. 453y2 (ii) calculate the atmospheric pressure in the unit ofPascal. I Density of mercury = 13'6 x 103 kg m-3 ] hitung tekanan atmosfera dalam unit Pascal. f Ketilmpatan merkuii: 13'6 x 103 kg m 31 11 markl 11 markahl 12 marks I 12 markahl 4S3ll2 e 2014 Hak cipta Kerajaan Malaysia SULIT More SPM Papers at: www.spmsoalan.comwww.spmsoalan.com
  • 58.
    SULIT 453U2 Diagram 3.1shows the electromagnetic spectrum. Raj ah 3.1 menunjukkan spektrum electromagnet. Diagram 3.1 Rajah 3.1 (a) State the electromagnetic wave R. Ny at akan ge lo mb ang e lektromagnet R. ll markl 11 markahl Give one reason why microwave is used in satellite communication. Beri sata sebab mengapa gelombang mikro digunakan dalam komunikasi satelit. [1 mark] [1 markahl (c) A radio station emits radio wave at a frequency of 100 MHz. Sebuah stesen radio mengeluarkan gelombang radio pada frekuensi 100 MHz. (i) State the frequency in the unit ofHz. Nyatakan frekuensi dalam unit Hz. ll markl 11 markahl (ii) Calculate the wave length of the radio wave. (Speed ofradio wave is 3 x 108 m s l) Hitung panjang gelombang untuk gelombang radio itu. (Laju gelombang radio ialah 3 x 108 m s-l ) f2 marksl 12 markahl lLihat halaman sebelah ST]LIT (b) R X-ray Sinar-X Ultra- violet Ultra- ungu Visible liCht Cahaya nampak Infrared Inframerah Microwave Gelombang mikro Radio wave Gelombang radio 453112 a 2014 Hak cipta Kerajaan Malaysia Examiner's Use 3(a) E 3(b) 3(c)(i) 3(c)(ii) More SPM Papers at: www.spmsoalan.comwww.spmsoalan.com
  • 59.
    For Examiner's Use 3(A E Total A3 G SULIT (d 8 Diagram 3.2 showsa wave form of ultraviolet wave. Rajoh 3.2 menunjukkan bentuk gelombang bagi gelombang ultraungu. BoxZ Kotak Z 453U2 11 mark) ll markahl Ultraviolet Ultraungu Diagram 3.2 Rajah 3.2 Sketch the wave form of visible tight in Box Z. Lakar bentuk gelombang bagi cahaya nampak dalam Kotak Z. SI]LIT453112 t- 20t4 Hak Cipta Kerajaan Malaysia More SPM Papers at: www.spmsoalan.comwww.spmsoalan.com
  • 60.
    sulrT 9 453u2 4Diagram 4.1 shows a 50kg box is pushed by a man with a force of 300N. The box moved with a constant velocity. Raj ah 4.1 menunjukkan satu kotak 50kg ditolak oleh seorang lelaki dengan satu daya 300N. Kotak itu bergerak dengan halaju serogam. Diagram 4. I Rajah 4.1 (a) What is the meaning of force? Apakah yang dimaksudkan dengan daya2 Exa iner's Use 4(a) E 4(rxi) I mark) 11 markahl (D) (D What is the frictional force acting on the box? Berapakah daya geseran yang bertindak pada kotak itu? [1 mark) 11 markahl LLihat halaman sebelah SULIT453112 < 2014 Hak Cipta Kerajaan Malaysia More SPM Papers at: www.spmsoalan.comwww.spmsoalan.com
  • 61.
    Exominer's Use tE Total A4 G 4(bxiD a(c)(i) SULIT 10 453u2 (ii)Sketch a displacement-time graph motion of the box in Diagram 4.2. Lakar satu graf sesaran-maso untuk pergerakan kotok itu dalam Raj ah 4.2. Displacement (m) Sesaran (m) Time (s) Masa (s) Diagram 4.2 Rajah 4.2 [1 mark] ll markahl (c) The pushing force ofthe box is increased to 350 N. Daya tolakan kotak itu ditambah kepada 350 N. Calculate Hitung (i) the resultant force acting on the box. daya padtran yong bertindak ke atas kotak itu. 12 marksl 12 markah) (ii) the acceleration ofthe box pecutqn kotak itu. 12 marks) f2 markahf 453112 e 2014 Hak cipta Kerajaan Mataysia SULIT More SPM Papers at: www.spmsoalan.comwww.spmsoalan.com
  • 62.
    ST]LIT 11 453U2 Diagram5.1 Rajah 5.1 Diagram 5.2 shows the reading ofthe Bourdon Gauge when the piston ofthe bicycle pump is pushed inwards. Rajah 5.2 menunjukkan bacaan Tolok Bourdon apabila omboh pam basikal dilolak ke dalam. Bicycle pump Pam basikal -------+ 5 Diagram 5. I shows the reading ofthe Bourdon Gauge before the piston ofthe bicycle pump is pushed inwards. Rajah 5.1 menunjukkan bacaan Tolok Bourdon sebelum omboh pam basikal ditolak ke dalam. Piston Omboh Diagram 5.2 Rajah 5.2 Bourdon Gauge Tolok Bourdon llihat halaman sebelah SULIT453112 a 2014 Hak cipta Kerajaan Malaysia Bourdon Gauge Tolok Bourdon Bicycle pump Pam basikal --------> Piston Omboh More SPM Papers at: www.spmsoalan.comwww.spmsoalan.com
  • 63.
    Erafiiner's Use s(a) E s(bxi) s(bxii) s(bxiii) SULIT 12 (a) Basedon Diagram 5.1, tick ('/) the correct answer in the box' Berdasarkan Rajah 5.1, tando (/) padajawapon yang betul dalam kotak yang disediakan. Bourdon Gauge can measure Bourdon boleh mengukur gas temperature suhu gas gas pressure tekanan gas ll markl ll markahl (b) Observe Diagram 5.1 and Diagram 5.2, Perhatikan Rajah 5.1 dan Raiah 5.2, (i) compare the volume of air inside the bicycle pump. bandingkan isi padu udara dalam pam basikal. Tolok tr tr 453il2 ll morkl fl markahl compare the pressure produced inside the bicycle pump. bandingkan tekanan yang dihasilkan dalam pam basikal. 11 markl ll markahl compare the number of air particles inside the bicycle pump. bandingkan bilangan zarah-zarah udara dalam pam basikal. l1 mark l ll markahf (iD (iii) SULIT453112 t: 2014 Hak Cipra Kerajaan Malaysia More SPM Papers at: www.spmsoalan.comwww.spmsoalan.com
  • 64.
    SULIT T3 (c) Basedon the answer in 5(6), Berdasarkan jawapan di 5(b), 453u2 (i) State the relationship between the volume of air inside the bicycle pump with the pressure produced. Nyatakan hubungan antara isi padu udara dalam pam basikal dengan tekanan yang dihos i I kan. 11 markl ll markahl (ii) State the physics law involved. Nyatakan hukum fizik yang terlibat. ll markl 11 markahl (d) (i) Based on the answer in 5(c), what happens to the kinetic energy ofthe air particles when the air is compressed. Berdasarkan jawapan di 5(c), apakah yang berlaku kepada tenaga kinetik zarah-zarah udara apabila udara dimampatkan. 11 markl ll markahl (ii) Give one reason for the answer in 5(d)(i) Beri satt sebab untukjawapan anda di 5(40). Etaminer's Use s(cXii) G s(dxi) E s(/)(iD E Total A5 G s(c)(i) 11 markl ll markah) lLihat halaman sebelah SULIT453112 e 2014 Hak cipta Kerajaan Malaysia More SPM Papers at: www.spmsoalan.comwww.spmsoalan.com
  • 65.
    Exa iner's Use 6(a) E 6(rxi) E 6(bxii) SULIT t44s3y2 6 Diagram 6. I shows the nuclide notation of an element. Rajah 6.1 menunjukkan simbol nuklid untuk satu unsur. 2@Diagram 6.1 Rajah 6.1 Table 6. I shows equations ofthe decay process ofradioisotopes uranium and radium. Jadual 6.1 menunjukkan persamaan untuk proses pereputan radioisotop uranium dan radium. 'z3ru------* "lorh+ltle + Energy I Tenaga 2l[Ra--*'l]nn+lue + Energy I Tenaga Table 6.1 Jadual 6.1 (a) What is the meaning of radioisotope? Apakah yang dimaksudkan dengan radioisotop? ll markl l1 markahl (D) By using both equations in Table 6.l, calculate the difference ofnucleon number between: Dengan menggunakan kedua-dua persamaan dalam Jadual 6.1, hitung perbezaan nombor nukleon antara: (i) Uranium, U and Thorium, Th. Uranium, U dan Thorium, Th. ll markl ll markahl (ii) Radium, Ra and Radon, Rn. Radium, Ra dan Rado n, Fin. 453112 a.20t4 Hak cipra Kerajaan Malaysia ll markl ll markahf SULIT More SPM Papers at: www.spmsoalan.comwww.spmsoalan.com
  • 66.
    SULIT 15 (c) Byusing both equations in Table 6.1, calculaG the difference ofproton number between: Dengan menggunakan kedua-dua persamaan dalam Jadual 6.1, hitung perbezaan nombor proton antardl (i) Uranium, U and Thorium, Th. Uranium, U dan Thorium, Th. 453u2 ll markl l1 markahl (ii) Radium, Ra and Radon, Rn Radium, Ra dan Radon, Rn. 11 markl ll markahl (d) Based on the answers in 6(b) and 6(c), complete the sentence below. Berdasarkan jawapan dalam 6(b) dan 6(c), lengkapkan ayat di bawah. When ............... decay occurs, the nucleon number decreases by ....".."......, the proton number decreases by Apabila berlaku pereputan ................., nombor nukleon berkurang sebanyak nombor proton berkurang sebanyak ....................... ll mark) fl markah) (e) Diagran 6.2 shows a radioisotope which emits alpha particle. Rajah 6.2 menunjukkan satu radioisotop yang mengeluarkan zarah alfa. Radioisotope Metal plate Plat logam Diagram 6.2 Rajah 6.2 lLihat halaman sebelah SULIT453112 a 2014 Hak cipta Kerajaan Malavsia For Examiner's Use 6(c)(ii) E 6(O G 6(c)(i) t;Path ofalpha particle Lintasan zarah alfa More SPM Papers at: www.spmsoalan.comwww.spmsoalan.com
  • 67.
    Exahit er's Use 6(a)(i) E Total A6 G 6(e)(ii) ST]LIT t6453112 (i) In Diagram 6.2, complete the path ofthe alpha particle when it enters the region between the two metal plates. Dalam Rajoh 6.2, lengkapkan lintasan zarah alfa apabila memasuki kawasan antara duo plat logam. 11 markl ll markahl (ii) Give one reason for your answer in 6(c)(i). Beri sat:u sebab bagijawapan anda di 6(c)(1). ll markl ll markahl SULIT453112 e 2014 Hak Cipta Kerajaan Mataysia More SPM Papers at: www.spmsoalan.comwww.spmsoalan.com
  • 68.
    SULIT t7 453y2 7(a) Diagran 7.I shows electric transmission cables that transmit electrical energy from one place to another. Rajah 7.1 menunjukkan kabel penghantaran elektrik yang menghantar tenagd elektrik dari sdtu tempat ke tempat yang lain. Diagram 7.1 Rajah 7 .1 The electric current transmitted through the cable ofresistance 10 Q is 10 A. Arus elektrik yang mengalir melalui kabel yang berintangan l0 Cl itu ialah 10 A. (i) What is the meaning of electric current? Apakah yang dimaksudkan dengan arus elektrik? ll mark I 11 narkahl (ii) Calculate the power loss in the cable. Hitung kehilangan kuasa dalam kabel itu. 12 marksl 12 markahl lLihat halaman sebelah SULIT453112 e 20r4 Hak cipta Keraiaan Malaysia Examiner's Use 7(a)(i) 7(a)(ii) More SPM Papers at: www.spmsoalan.comwww.spmsoalan.com
  • 69.
    For Etaminer's Use 7(b)(i) SULIT 18 453u2 (b)Diagram7 .2 shows a model of electric power transmission' Rajah 7 .2 menuniukkan satu model penghantaran kuasa elektrik. Transformer A Transfgrmer A WireX WayarX Transformer B Transformer B Secondary coil Gegelung Gegelung prirner sekunder BulbA Mentol A t2v 24W t2Y 24W 12 Y a.c. supply Bekalan 12 Va.u. Primary coil Secondary coil coil Gegelung Gegelung primer sekunder Diagram7 .2 Rajah 7 .2 The brightness ofthe bulb B is lower than bulb Adue to the power loss in the wire X. Kecerahan mentol B adalah lebih rendah daripada mentol A disebabkan kehilangan kuasa di dalam wayar X. Suggest modifications that can be made to the model to increase the brightness of bulb B based on the following aspects: Cadangkan pengubahsuaian yang boleh dibuat kepada model itu untuk menambahkan kecerahan mentol B berdasarkan aspek-aspek berikut: (i) diameter of wire X diameter wayar X reason sebab f2 marksl f2 markahl ST]LIT453112 e 2014 Hak cipra Kerajaan Malaysia B BulbB More SPM Papers at: www.spmsoalan.comwww.spmsoalan.com
  • 70.
    SULIT t9 number oftumsofsecondary coil of transformer A bilangan lilitan gegelung sekunder bagi transformer A 453,/2 (ii) Examiner's Use Total A7 G 7(b)(ii) 7(rxiii) 7(") reason sebab 12 marksl [2 markah] (o name of material of wire X nama bahan bagi wayar X reason sebab 12 marlcs l 12 markahl (c) Give one reason why a.c. power supply is used in the model. Beri sata sebab mengapa bekalan kuasa a.u. digunakan dalam model ini. ll markl l1 markahl fLihat halaman sebelah STJLIT453112 a 2014 Hak Cipta Kemjaan Malaysia More SPM Papers at: www.spmsoalan.comwww.spmsoalan.com
  • 71.
    Examiner's Use 8(r) E 8(}XD G 8(bxiD SULIT 20 453u2 8The lens in Diagram 8 is used as a magniSing glass. Kanta dalam Rajah I digunakan sebagai kanta pembesar. Diagram 8 Rajah 8 (a) Name the type of lens in Diagram 8. Namakan jenis kanta dalam Rajah8. 11 markl 11 markahl (r) (i) On Diagram 8, draw a ray diagram to show how the image of the object is formed. Dalam Rajah S,lukis satu rajah sinar untuk menunjukkan bagaimana imej bagi objek itu terbentuk. 13 marksl 13 markah) (ii) State two characteristics of the image formed in 8(bXi). Nyatakan dua ciri imej yang terbentuk dalam 8(b)(i). t. ..................... 2 .................... ll markl 11 markahl SULIT453112 e,2014 Hak cipta Keraiaan Malaysia More SPM Papers at: www.spmsoalan.comwww.spmsoalan.com
  • 72.
    SULIT 2t 453u2 (c)A compound microscope contains an objective lens and an eyepiece lens. The focal length ofthe objective lens is fo and the focal length ofeyepiece lens is f". Table 8 shows three different distances ofobject and different distances between the two lenses. Sebuah mikroskop majmuk mengandungi satu kanta objektif dan satu kanta mata. Jarak fokus kanta objektif itu adalah fo dan jarak fokus kanta mata adalah f". Jadual 8 menunjukkan tiga jarak objek dan jarak antara dua kanta yang berbeza. Arrangement Susunan Object distance, uo from objective lens Jarak objek, u" dari kanta objek Distance between objective lens and eyepiece lens, d Jarak antara kanta objek dengan kanto mata, d Distance between the image formed by the objective lens and the eyepiece lens, u, Jarak antara iinej yang terbentuk oleh kanta objek dengan kanta mata, t, J u <f d<(fo+fe) u,>f K uo=fo d=(fo+fe) ui=f" L fo<uo<2fo d>(fo+fe) ui'f" Table 8 Jadual 8 Based on Table 8, state the suitable arrangement in order to build a simple compound microscope. Give one reason for the suitable arrangement. Berdasarkan Jadual 8, nyatakan susundn yang sesuai untuk membina sebuah mikroskop majmuk ringkas. Beri satt sebab untuk kesesuaian susunan itu. (i) Object distance, uo: Jarak objek, :uo: Reason : Sebab : For Exa iher's Use 8(c)(i) 12 marks ) 12 markahl Llihat halaman sebelah ST]LIT453112 a 2014 Hak Cipta Kerajaan Malaysia More SPM Papers at: www.spmsoalan.comwww.spmsoalan.com
  • 73.
    For Examiner's Use 8(c)(ii) G 8(d) G Total A8 E 8(c)(iii) )7SULIT (ii) 453u2 Distance, d : Jarak,d,. Reason : Sebab : 12 marksl 12 markahl (iii) Distance, u' : Jarak,lur. Reason : Sebab : 12 marksl 12 markahl Based on the answer in 8(c), choose the most suitable arrangement for a simple compound microscope. Berdasarkan jawapan anda di 8(c), pilih susunan yang paling sesuai sebagai mikroskop majmuk ringkas. 11 mark I 11 markahf (d) St]LIT453112 e 20t4 Hak Cipta Kerajaan Malaysia More SPM Papers at: www.spmsoalan.comwww.spmsoalan.com
  • 74.
    SULIT Power supply Bekalan kuasa Polystyrenecup Cawan polistirena Immersion heater Pemanas rendam Diagmm9.1 Rajah 9.1 Polystyrene cup Cawan polistirena Immersion heater Pemanas rendam Diagram9.2 Rajah 9.2 Penutup Water Air lLihat halaman sebelah ST]LIT 453u2 Section B Bahagian B [20 marks) 120 markahl Answer any one question from this section. Jawab mana-mana satt. soalan daripada bahagian ini. Diagram 9.1 and Diagram 9.2 show the reading of the thermometers when an amount of water is heated for 5 minutes. Both immersion heaters have the same specification. Rajah 9.1 dan Rajah 9.2 menunjukkan bacaan termometer apabila sejumlah air dipanaskan selama 5 minit, Kedua-dua pemanas rendam mempunyai spesifikasi yang sama. Power supply Bekalan kuasa 23 Thermometer Termometer Lid Penutup Thermometer Termometer Lid 453112 a 2014 Hak cipta Kerajaan Malaysia More SPM Papers at: www.spmsoalan.comwww.spmsoalan.com
  • 75.
    SULIT 24 (a) (i)What is the meaning of heat? Apakah yang dimaksudkan dengan haba'! 453u2 ll markl 11 markahl (ii) Using Diagram 9. I and Diagram 9.2, compare the readings ofboth thermometers, the volume of water in the polystyrene cup and the time of heating the water. Relate the reading of thermometer with volume of water to make a deduction regarding the relationship between the increase in temperature and the mass of water in the polystyrene cup. 15 marks) Dengan menggunakan Rajah 9.1 dan Rajah 9.2, bandingkan bacaan kedua-dua termomeler, isi padu air dalam cawan polistirena dan masa pemanasan air. Hubungkaitkan bocaan termometer dengan isi padu air untuk membuat satu deduksi yang menghubungkaitkan hubungan antara kenaikan suhu dengan jisim air dalam cdwan polistirena. 15 markahl (b) Diagram 9.3 shows the sea breeze phenomenon. Rajah 9.3 menunjukkan fenomena bayu laut. :kl 1- -,-/r /tt Sea water Air laut .----.......,-.--.-,-. _-/'---,/- - - Diagram 9.3 Raj ah 9.3 Explain how the sea breeze phenomenon occurs during the day time . 14 marks) Terangkan bogaimanafenomena bayu laut berlaku pada hari siang.f4 markah) 453112 a- 2014 Hak cipta Keraiaan Malaysia SI,JLIT More SPM Papers at: www.spmsoalan.comwww.spmsoalan.com
  • 76.
    SULIT 453u2 (c) Diagram9.4 shows a car radiator system. Rajah 9.4 menunjukkan sotu sistem radiator kereta. Cooling liquid Cecair penyejuk Fin blade Bilah sirip Fan Kipas Diagram 9.4 Rajah 9.4 You are required to modify the car radiator system so that it can cool the engine effectively. Anda dikehendaki mengubahsuai sistem radiator kereta itu supaya ia dapat menyejukkan enjin dengan lebih efektif. State and explain the modifications based on the following aspects; Nyata dan terangkan pengubahsuaian berdasarkan aspek-aspek berikut; (i) size ofthe fan used saiz kipas yang digunakan (ii) number of the fin blade bilangan bilah sirip (iii) material of the fin blade bahan untuk bilah sirip (iv) specific heat capacity ofthe cooling liquid used muatan haba tentu untuk cecair penyejuk yang digunakan (v) boiling point ofthe cooling liquid used takat didih untuk cecair penyejuk yang digunakan [10 marksl ll0 markahl lLihat halaman sebelah SULIT 25 t!t! 453112 a 2014 Hak Cipra Kerajaan Malaysia More SPM Papers at: www.spmsoalan.comwww.spmsoalan.com
  • 77.
    sul-rT 26 453112 10Diagram 10.1 and Diagram 10.2 show two electrical circuits. The ammeter, voltmeter and dry cells are identical in both diagrams. Raj ah 10.1 dan Rajah 10.2 menunjukkan dua litar elektrik. Ammeter, voltmeter dan sel kering adalah sama dalam kedua-dua rajah. Voltmeter I/oltmeter Diagram 10.1 Rajah l0.l Voltmeter Voltmeter Diagram 10.2 Rajah 10.2 453112 e 20t4 Hak cipta Kerajaan Malaysia SULIT Konduktor More SPM Papers at: www.spmsoalan.comwww.spmsoalan.com
  • 78.
    SULIT 27 (a) Statethe physical quantity measured by ammeter. Nyatakan kuantiti fizikal yang diukur oleh ammeter. (D) By using Diagram l0.l and Diagram 10.2 Dengan menggunakan Rajah 10.1 dan Rajah 10.2 of voltmeter. bandingkan panjang konduktor, 453u2 l1 markl 11 markahl 13 marks) bacaan ammeter dan bacaan voltmeter. 13 markahl 13 markahl lLihat halaman sebelah SULIT (i) compare the length ofthe conductor, the reading ofammeter and the reading (ii) relate the length ofthe conductor with the resistance ofthe con ductor.fl markf hubungkaitkan panjang konduktor dengon rintangan konduktor itu. l1 markahl (iii) relate the length of the conductor with the reading of the ammeter. 11 markl hubungkaitkan panjang konduktor dengan bacaan ammeter. 11 markah) (iv) deduce a relationship between the resistance ofthe conductor with current flows in the circuit. 11 mark) deduksikan hubungan antara rintangan bagi konduktor dengan drus yang mengalir dalam litar. (c) Diagram 10.3 shows a rheostat. Rajah 10.3 menunjukkan satu reostat. [1 markahl Slider P Metal rod Rod logam Coil ofconductor wire Gegelung wayar pengalir Insulator Penebat Diagram 10.3 Raj ah 10.3 Explain how the rheostat is used to control the current flows in an electric circuit. [3 marksl Terangkan bagaimana reostat itu digunakan untuk mengawal aliran arus dalam litar elektrik. 453112 a 2014 Hak cipta Kerajaan Malaysia mrum 11 il More SPM Papers at: www.spmsoalan.comwww.spmsoalan.com
  • 79.
    sulrr 28 453112 (d)Diagram 10.4 shows a heating element used to boil the water in an electric kettle. Rajah 10.4 menunjukkan satu unsur peman(ts yang digunakan untuk mendidihkan air dalam sebuah cerek elektrik. Outer cover Penutltp luar Diagram 10.4 Rajah 10.4 You are required to modif,z the electric kettle so that it can boil the water faster, easy to carry and safer. Ando dikehendaki untuk mengubahsuoi cerek elektrik itu supaya io dapat mendidihkan air dengan lebih cepat, senang dibawa dan lebih selamat. State and explain the modifications based on the following aspects; Nyata dan terangkan pengubahsuaian berdasarkan aspek-aspek berikut; (i) the number of tums of the coil of the heating element' bilangan lilitan pada gegelung unsur pemanas tersebut. (ii) the density of material of the heating element. ketumpatan bahan bagi unsur pemdnas tersebut. (iii) the rate of oxidation of the heating element. kadar pengoksidaan bagi unsur pemanas tersebut. (iv) the diameter of the wire of the coil. diameter wayar bagi gegelung. (v) the type of material used as heating element. jenis bahan yang digunakan sebagai unsur pemanas tersebut- 110 marksl ll0 markahl Heating elemeht 453112 e 2014 Hak cipm Keraiaan Malaysia SULIT More SPM Papers at: www.spmsoalan.comwww.spmsoalan.com
  • 80.
    St]LIT 453112 Section C BahagianC 120 marks) 120 markahl Answer any one question from this section. Jawab mana-mana satu soalan daripada bahagian ini. 11 Diagram I I .1 shows a fast train. The train moves fast by levitating on the track. The levitation is due to the magnetic forces produced between the electromagnet at the base of the train and the electromagnet on the track. Raj ah 11.1 menunjukkan sebuah kereta api laju. Kereta api itu bergerak laju dengan terapung di alas landasan. Pengapungan ini menggunakan daya mognet yang dihasilkan antara elektromagnet pada dasar kereta api dengan elektromagnet pada landasan. Fast train Kereta api laju Track Landasan Diagram I 1.1 Rajah 11.1 lLihat halaman sebelah SIJLIT 29 453112 <:2014 Hak Cipta KeEjaan Malaysia More SPM Papers at: www.spmsoalan.comwww.spmsoalan.com
  • 81.
    ST]LIT 30 453il2 kmj-t dalam l1 mark) l1 markahl 11 markl I markahl f2 marksf 12 markahl 12 marksl 12 markahl The fast train changes it's speed from 0 km h-l to 360 km h-l in 10 s. Kereta api laju itu bertukar kelajuannya daripada 0 km j I fe 360 masa l0 s. (a) What is the meaning of speed? Apakah yang dimaksudkan dengan laju'! (b) Calculate Hitung (i) the final speed ofthe train in the unit ofm s l. laju akhir kereta api itu dalam unit m s 1' (ii) the acceleration ofthe train in the unit ofm s-2. pecutdn kereta api itu dalam unit m s-2' (iii) the distance travelled by the train in 10 s. jarak perjalanan kereta api itu dalom 10 s. SULIT453112 e 2014 Hak cipra Kerajaan Malaysia More SPM Papers at: www.spmsoalan.comwww.spmsoalan.com
  • 82.
    SULIT 31 (c) DiagramI 1 .2 shows the cross-sectional ofa fast train. Raj ah 11.2 menunjukkan kerdtan rentas sebuah kereta api laju. 453U2 Fast train Kereta api laju Seat Tempat duduk Electromagnet Elektromagnet Track Landasan Diagram 11.2 Rajah 11.2 You are required to investigate the characteristics of the fast train as shown in Table 1 1. Anda dikehendaki menyiasat ciri-ciri kereta api laju seperti ditunjukkan dalam Jadual 11. Table 1 1 Jadual ll lLihat halaman sebelah SULIT Fast train Kereta api laju Material to build the body of the fast train Bahan untuk membina badan kereta api laja Side view of the shape of the fast train Pandangan sisi bentuk kereta api laj u Material to make the electromagnet at the base of the fast train Bahan yang diguna untuk membuat elektromagnet pada dasar kereta api laju Number ofcoach ofthe fast train Bilangan gerabak pada kereta api laju J low density ketumpatan rendah Pentagon superconductor superkonduktor one long coach satu gerabak panjang K highdensity ketumpatdn tinggi Aerodynamic Aerodinamik soft-iron core teras besi lembut 8 short coaches 8 gerabak pendek L low density ketumpalan rendah -_iAetodinmnik superconductor superkonduktor 8 short coaches 8 gerabak pendek M highdensity ketumpatdn tinggi Pentagon Pentagon soft-iron core teras besi lembut one long coach satu gerabak panjang 453112 c,2014 Hak cipra K€rajaan Malaysia More SPM Papers at: www.spmsoalan.comwww.spmsoalan.com
  • 83.
    ST]LIT 32 Explain thesuitability ofeach characteristic ofa fast train. Terangkan kesesuaian setiap ciri pada kereta api laju. 453u2 Determine the most suitable fast train which can move with highest speed. Tentukan kereta api laju yang poling sesuai untuk bergetak dengan kelajuan yang paling tinggi. Cive reasons lor your choice. Berikan sebab-sebab untuk pilihan anda. ll0 marksl ll0 markah) (d) Diagram I 1.3 shows lorces acting on a car. Rajah ll.3 menunjukkan daya-daya yang bertindak ke atas sebuah kereta' Diagram 1 1.3 Rajah ll.3 By using the forces acting on the car, explain how the car can moves with Dengan menggunakan daya-daya yang bertindak ke atas kereta itu, terongkan bagaimana kereta ilu boleh bergerak dengon (i) a constant velocity halaju seragam (ii) an acceleration Pecutan 14 marks) 14 markahf SULIT453112 c- 2014 Hak cipra Kerajaan Malaysia More SPM Papers at: www.spmsoalan.comwww.spmsoalan.com
  • 84.
    SULIT 33 453u2 12(a) Diagram 12. I shows a bat using ultrasonic waves to detect obstacle in front ofit. Rajah 12.1 menunjukkan seekor kelawar sedang menggunakan gelombang ultrasonik untuk mengesan penghalang di hadapannya. ( ) (oo9 Ultrasonic wave Gelombang ultrasonik Diagram 12.1 Raj ah l2.l (i) What is the meaning of ultrasonic wave? I markl Apakah yang dimaksudkan dengan gelombang ultrasonik? 11 markahl (ii) Explain how the ultrasonic waves are used by the bat to detect the distance of the obstacle. f4 marksl Terangkan bagaimana gelombang ultrasonik digunakan oleh kelawar untuk mengesan jarak penghalang itu. 14 markahl (D) A beam of sonar with speed 1450 ms-l sent to a shoat of fish underneath a fishing boat. Satu alur sonar dengan kelajuan 1450 ms I dihantar ke sekumpulan ikan yang berada di bawah bot nelayan. Calculate Hitung (i) The depth of the shoal of fish when the echo retums after 100 milliseconds. 13 marksl Kedalaman kumpulan ikan itu berada apabila gema diterima balik selepas 100 milisaat. [3 markah) (ii) The wave length of the sonar waves when its frequency is 40 kHz.l2 marksl Panjang gelombang untuk gelombang sonar opabilafrekuensi ialah 40 kHz. 12 narkah) lLihat halaman sebelah SULIT453112 t:2014 Hak Cipta Kerajaan Mataysia More SPM Papers at: www.spmsoalan.comwww.spmsoalan.com
  • 85.
    SULIT 34 453112 (c)Three classrooms in your school are combined to become a lecture hall. Tiga bilik darjah di sekolah anda digabungkan untuk menjadi sebuah dewan kuliah. Table 12 shows four type of sound system to be used in the hall. Jadual 12 menunjukkan empatienis sistem bunyi yang akan digunakan dalam dev'an kulioh tersebut. Table 12 .Iadual 12 You are asked to investigate the design ofthe sound system to produce better quality ofsound. Explain the suitability ofeach characteristics ofthe sound system. Determine the most suitable sound system. Give reasons for your choice. Anda dikehendaki menyiasat rekabentuk sistem bunyi untuk menghasilkan kualiti bunyi yang lebih baik. Terangkan kesesuaian setiap ciri pada sistem bunyi tersebul. Tentukan sistem bunyi yang paling sesuai. Berikan sebab-sebab untuk pilihan anda. 110 marksl 110 markahf END OFQUESTION PAPER KERTAS SOALAN TAMAT 453112 e 2014 Hak cipta Kerajaan Malaysia SULIT Sound Location of the loud speakers Kedudukan pembesar suara Distance between two loud speakers Jarak antara kedaa-dua pembesar suara Material used to cover the wall Bahan yang digunakan antuk menutupi dinding The position of the microphone Kedudukan mikrofon sysrem Sistem bunyi w Hieh Tinggi Small Kecil Softboard Papan lembut Behind the speaker Di belakang pembesar suara x Low Rendah Large Besar Hardwood Kayu keras In front ofthe speaker Di hadapan pembesar suara Y High Tinggi Large Besar Softboard Papan lembut Behind the speaker Di belakang pembesar suara Z Low Rendah Small Kecil Hardwood Koyu keras In front ofthe speaker Di hadapan pembesar suara More SPM Papers at: www.spmsoalan.comwww.spmsoalan.com
  • 86.
    SULIT 4s3y2 INFORMATION FORCANDIDATES MAKLAMAT UNTUK CALON This question paper consists ofthree sections: Section A, Section B and Section C. Kertas soalan ini mengandungi tiga bahagian: Bahagian A, Bahagian B dan Bahagian C. Answer all questions in Section A. Write your answers for Section A in the spaces provided in the question paper. Jawab semua soalan dalam Bahagian A. Tulis jawapan anda bagi Bahagian A' pada ruang yang disediakan dalam kertas soalan ini. Answer one question from Section B and one question from Section C. Write your answers for Section B and Section C on the 'helaian tambahan' provided by the invigilators. Jawab satu soalan daripada Bahagian B dan satu soalan daripada Bahagian C. Tulis jawapan anda bagi Bahagian B dan Bahagian C dalam helaian tambahan yang dibekalkan oleh pengawas peperiksaan. Show your working, it may help you to get marks. Tunjukkan kerja mengira, ini membantu anda mendapatkan markah. Ifyou wish to change your answer, cross out the answer that you have done. Then write down the new answer. Jika anda hendak menukar sesuatu jawapan, batalkan jawapan yang telah dibuat. Kemudian tulis jawapan yang baharu. The diagrams in the questions provided are not drawn to scale unless stated. Rajah yang mengiringi soalan tidak dilukis mengikut skala kecuali dinyatakan. A list of formulae is provided on page 2. Satu senarai formula disediakan di halaman 2. The marks allocated for each question or part question are shown in brackets. Markah yang diperuntukkan bagi setiap soaldn atau ceraian soalan ditunjukkan dalam kurungan. You are advised to spend 90 minutes to answer questions in Section A, 30 minutes for Section B and 30 minutes for Section C. Anda dinasihati supaya mengambil masa 90 minit unluk menjawab soalan dalam Bahagian A,30 minit untuk Bahagian B dan 30 minit untuk Bahagian C. You may use a scientific calculator. Anda dibenarkan menggunakan kalkulator s aintifik. Detach Section B and Section C from this question paper. Tie the 'helaian tambahan' together with this question paper and hand in to the invigilator at the end of the examination. Ceraikan Bahagian B dan Bahagian C daripada kertas soalan ini. Ikat helaian tambahan bersama-sama kertas soalan ini dan serahkan kepada pengawas pepe r iksaan p ada akh ir peperiks aan. 36 2. 3. 1. 7. 6. I 4. 5. 8. 9. 10. 11. 453112 e 2014 Hak cipta Kerajaan Malaysia SULIT More SPM Papers at: www.spmsoalan.comwww.spmsoalan.com
  • 87.
    SULIT NO. KAD PENGENALAN ANGKAGILIRAN S"-*,,,.+Bffii"SiB1Bffff$flLAysrA --- ffi Uobytu SIJIL PELAJARAN MALAYSIA 2014 453113 PHYSICS Kertas 3 Nov./Dis. _l tlJam Satu jam tiga puluh minit JANGAN BUKA KERTAS SOALAN INI SEHINGGA DIBERITAHU T l. Tulis nombor kad pengenalan dan angka giliran anda pada petak yang disediakan. 2. Kertas soalan ini adalah dalam dwibahasa. Soalan dalam bahasa Inggeris mendahului soalan yang sepadan dalam bahasa Melayu. Calon dibenarkan menjawab keseluruhan atau sebahagian soalan sama ada dalam bahasa Inggeris atau bahasa Melayu. Calon dikehendaki membaca maklumat di halaman belakang kertas soalan ini. 4. 3. 5. Untuk Kegunaan Pemeriksa Kod Pemeriksa: Bahagian Soalan Markah Penuh Markah Diperoleh A I 16 , 12 B 3 t2 4 12 Jumlah Kertas soalan ini mengandungi 17 halaman bercetak dan 3 halaman tidak bercetak. lLihat halaman sebelah SULIT illlilltillillilutililililtilffiilil|l]4 53113 1 4531/3 o 2014 Hak cipta Kerajaan Malaysia More SPM Papers at: www.spmsoalan.comwww.spmsoalan.com
  • 88.
    SULIT 4s31t3 Section A BahagianA 128 marksl 128 markahl Answer all questions in this section. Jawab semua soalan dalam bahagian ini. A student carries out an experiment to investigate the relationship between the voltage, V, and the current, I, flows through a fixed length ofa constantan wire. Seorang murid menjalankan sdtu eksperimen untuk menyiasat hubungon antaro voltan, Y, dengan arus elektrik, l, yang mengalir melalui satu woyar konstantan pada panjang yang tetap. The arrangement ofthe apparatus for this experiment is shown in Diagram I . l. Susunan radas bagi eksperimen ini ditunjukkan dalam Rajah l.l. Dry cells Sel kering Switch Ammeter Ammeter Szos Constantan wire Wayar konstantan Rheostat Reostat Voltmeter Voltmeter Diagram l.l Rajah |.l SULIT4531/3 e 20r4 Hak cipra Kerajaan Malaysia More SPM Papers at: www.spmsoalan.comwww.spmsoalan.com
  • 89.
    sul,rr 3 453u3 Diagram1.2 on page 4 shows the zero error, x, on the voltmeter. The experiment is carried out by adjusting the rheostat to set a value of current, I, to obtain the responding value ofvoltage, V. Diagram 1.3 on page 4 shows the reading of voltmeter, V, when current, I, is adjusted at I:0.1A. The experiment is repeated with the readings of I = 0.2 A, 0.3 A, 0.4 A and 0.5 A. The corresponding readings of voltmeter are shown in Diagram 1 .4, 1.5, 1 .6 and 1 .7 on pages 5 and 6. Rajah 1.2 di halaman 4 menunjukkan ralat sifar, x, pada voltmeter. Eksperimen dijalankan dengan melaraskan reostat untuk menetapkan satu nilai arus elektrik, I, bagi mendapatkan nilai voltan, Y, yang sepadan. Rajah 1.3 di halaman 4 menunjukkan bacaan voltmeter, Y, bila arus elektrik, l, dilaraskan pada I:0'l A. Eksperimen diulangi dengan bacaan I : 0'2 A, 0'3 A, 0'4 A dan 0'5 A. Bacaan voltmeter yang sepadan ditunjukkan dalam Raj ah 1.4, 1.5, 1.6 dan 1.7 di halaman 5 dan 6. (a) For the experiment described on pages 2, 3, 4, 5 and 6, identify: Bagi eksperimen yang diterangkan pada halaman 2,3, 4, 5 dan 6, kenal pastt (i) The manipulated variable P embo I ehub ah diman ipul as ikan 11 markl l1 markah) The responding variable P embo lehubah b ergerak b alas (ii) E)caminerb Use 1(a)(i) tE 1(aXii) E 1(a)(iii) ll markl 11 markahl (iii) The constant variable. P emb o I ehu b a h d im al ar kan. l1 markl 11 markahl lLihat halaman sebelah SULIT4531/3 c 20l4 Hak cipta Ke.ajaan Malaysia More SPM Papers at: www.spmsoalan.comwww.spmsoalan.com
  • 90.
    SULIT 453,/3 Zero error,x: Ralat sifar, x = I = 0.1A Diagram 1.2 Rajah 1.2 Diagram 1.3 Rajah 1.3 453113 e 2014 Hak Cipta Kerajaan Malaysia SULIT More SPM Papers at: www.spmsoalan.comwww.spmsoalan.com
  • 91.
    SULIT Diagram 1.4 Rajah 1.4 Diagram1.5 Rajah 1.5 453u3 I:0.2A I: 0.3 A llihat halaman sebelah SULIT4531/3 o 2014 Hak Cipta Kerajaan Malaysia J More SPM Papers at: www.spmsoalan.comwww.spmsoalan.com
  • 92.
    SULIT Diagram 1.6 Rajah 1.6 Diagram1.7 Rajah 1.7 4s31t3 I = 0'4A I=0'5A 4531/3 o 20t4 Hak Cipta Kerajaan Malaysia SULIT More SPM Papers at: www.spmsoalan.comwww.spmsoalan.com
  • 93.
    flruT 7 (D) (i)Based on Diagram 1.2 on page 4, determine the zero error, x. Berdasarkan Rajah 1 .2 di halaman 4, tentukan ralat sdar, x. 453U3 l1 markl l1 markah) Based on Diagram 1.3, 1.4, 1.5, 1.6 and 1.7 on pages 4, 5 and 6, record the readings ofV,, in spaces provided. Berdasarkan Rajah 1.3,1.4, 1.5,1.6 dan 1.7 pada halaman 4,5 dan 6, catat bacaan Y r, dalam ruang yang disediakan. 12 marksl 12 markahl For each value ofv, in l(D)(ii), calculate the actual voltage across the conductor, V, by using the following equation: V=Vi-x where x is the zero error on the voltmeter. Record the value ofV, in spaces provided. Bagi setiap nilai Y, di l(b)(i1), hitung nilai voltan sebenar merentasi konduktor, Y, dengan menggunakan persamaan berikut'. v:vr x di mana x adalah ralat sifar pada voltmeter. Catat nilaiY, dalam ruang yang disediakan. 12 marksl 12 markahl flihat halaman sebelah SULIT (ii) (o 4531/3 o 2014 Hak cipta Keraiaan Malaysia For Etaminerb Use l(rxi) E 1(DXii) G 1(bxiii) E More SPM Papers at: www.spmsoalan.comwww.spmsoalan.com
  • 94.
    For Examiner's Use 1(c) r(d) E r(e) E Totat A1 G SULIT 4s3u3 (c) Tabulateyour result for all values ofl, V, and V on the space below Jadualkan keputusan anda bagi semua nilai l,Y , dan Y pada ruang di bawah. 12 marks) 12 markah) (d) On the graph paper on page 9, draw a graph ofV against L Pada kertas graf di halaman 9, lukis grafY melawan I. 15 marles) f5 markahl (e) Based on the graph in 1(d), state the relationship between V and I. Berdasarkan graf di l(d1, nyatakan hubungan antara Y dengan L ll markl l1 markahl ST]LIT4531/3 o 2014 Hak Cipta Kerajaan Mataysia More SPM Papers at: www.spmsoalan.comwww.spmsoalan.com
  • 95.
    SULM 9 Graph ofV against I Graf Y melawan I 453U3 llihat halaman sebelah SULIT453113 @ z0t4 Hak cipta Kerajaan Malaysia For Examiner's Use More SPM Papers at: www.spmsoalan.comwww.spmsoalan.com
  • 96.
    For Examiner's Use 2(a)(r) E 2(a)(ri) E 2(a)(iii) E sulrT 10 4s3113 2Astudent carries out an experiment to investigate the relationship between force, F, and the extension ofspring, x. The results ofthis experiment are shown in the graph of x against F in Diagram 2 on page 11. Seorang murid menjalankan eksperimen untuk menyiasat hubungan di antara daya, F, dengan pemanjangan spring, x. Keputusan eksperimen ditunjukkan oleh graf x melawan F dalam Rajah 2 di halaman ll. (a) Based on the graph in Diagram 2: Berdasarkan grafdalam Rajah 2: (i) What happen to x as F increases? Apakah yang berlaku kepada x apabild F bertambah? ll markl ll narkahl (ii) Determine the value of x when F : 3.5 N. Show on the graph, how you determine the value of x. Tentukan nilai x apabila F = 3.5 N. Tunjukkan pada graf itu bagaimana anda menentukan nilai x. 12 marksf 12 markahl (iii) Calculate the gradient, h, ofthe graph x against F. Show on the graph, how you determine h. Hitung kecerunan, h, bagi graf x melawan F, Tunjukkan pada graf itu bagaimana anda menentukan nilai h. h= 13 marksl [3 markah) 453113 a 20t4 Hak cipta Kerajaan Maraysia SULIT More SPM Papers at: www.spmsoalan.comwww.spmsoalan.com
  • 97.
    ,, SULIT 11 Graph ofx against F Graf x melawan F Diagram2 Rajah 2 453u3 llihat halaman sebelah SULIT453113 @ 2ot4 Hak cipta Kerajaan Malaysia More SPM Papers at: www.spmsoalan.comwww.spmsoalan.com
  • 98.
    For Exami er's Use 2(b) E 2(c) E 2(A ETotal A2 G SULIT 12 (b)The spring constant, k ofthe spring is given by formula; F=kx where, F is the force x is the extension ofthe spring Using the value of h in 2(a)(iii) and the formula F : kx, calculate the value ofk in SI unit. Pemalar spring,k bagi spring itu diberi olehformula; F: kx di mana, F adalah daya x adalah pemanjangan spring. Menggunakan nilai h di 2(a)(il1) dan formula F : Y'x, hitung nilai k dalam unit Sl. k: [4 marks] 14 markahl (c) This experiment is repeated by using two identical springs arranged in parallel. What happens to the gradient ofthe graph, h? Eksperimen ini diulang menggunakan dua spring yang serupa disusun secara selari. Apakah yang berlaku kepada kecerunan gral h? ll markl ll markahf State one precaution that should be taken to improve the accuracy ofthe readings in this experiment. Nyatakan satu langkah berjaga-jaga yang perlu diambil untuk memperbaik kelepatan bacaan dalam elcsperimen ini. ll markl ll markahf SULIT 453u3 (d) 453113 a 2014 Hak Cipra Kerajaan Malaysia More SPM Papers at: www.spmsoalan.comwww.spmsoalan.com
  • 99.
    SULIT 453U3 Section B BahagianB 112 marksl ll2 narkahl Answer any one question from this section. Jawab mana-mana sattl soalan daripada bahagian ini. Diagmm 3.1 shows a man pulling a fishing rod with a force when the fish is fully immened in water. Raj ah 3.I menunjukkan seorang lelaki menarik joran dengan satu daya apabila ikan itu tenggelam sepenuhnya dalam air. Diagram 3.1 Rajah 3.1 Diagram 3.2 shows the man has to pull the fishing rod with bigger force when the fish is partially immersed in the water. Rajah 3.2 menunjukkan lelaki itu menarikjoran dengan daya yang lebih besar bila ikan itu tenggelam sebahagian dalam air itu. Diagram3.2 Rajah 3.2 lLihat halaman sebelah SULIT 13 453113 a 20l4 Hak cipta Kerajaan Malaysia More SPM Papers at: www.spmsoalan.comwww.spmsoalan.com
  • 100.
    sulrr t4 4531/3 Basedon the information and observation: Berdasarkan maklumat dan pemerhatian itu: (a) State one suitable inference. ll markl Nyatakan satt inferens yang sesuai. ll markah] (D) State one suitable hypothesis . ll markl Nyatakan s^tt hipotesis yang sesuai. 11 markahl (c) With the use of apparatus such as a spring balance, cylindrical steel rod and other suitable apparatus, describe one experiment to investigate the hypothesis stated in 3(b). Dengan menggunakan radas seperti neraca spring, rod keluli berbentuk silinder dan lain-lain radas yang sesuai, terangkan satu eksperimen untuk menyiasat hipotesis yang dinyatakan di 3(b). In your description, state clearly the following: Dalam penerangan anda, nyatakan dengan jelas perkara berikut: (i) The aim of the experiment. Tujuan elesperimen. (ii) The variables in the experiment. P emb olehubah dalam eksp erimen. (iii) The list ofapparatus and materials. Senarai radas dan bahan. (iv) The arrangement ofthe apparatus. Susunan radas. (v) The procedure ofthe experiment which include one method ofcontrolling the manipulated variable and one method ofmeasuring the responding variable' Prosedur eksperimen termasuk satru kaedah mengawal pembolehubah dimanipulasikan dan satt kaedah mengukur pembolehubah bergerak balos. (vi) The way to tabulate the data. Cara untuk menj adualkan data. (vii) The way to analyse the data. Cara untuk menganalisis data. l1O marks) ll0 narkahl 453113 a 2014 Hak cipra Kerajaan Malaysia SULIT More SPM Papers at: www.spmsoalan.comwww.spmsoalan.com
  • 101.
    SULIT 15 4s3u3 4Diagram4.l shows a table fan blades are spinning when the speed adjusting button is set at a low current. Rajah 4.1 menunjukkan bilah kipas berputar apabila butang pelaras laju dilaraskan pada arus yang rendah. Diagram 4.1 Rajah 4.1 Diagram 4.2 shows the blades are spinning faster when the speed adjusting button is set at a high current. The blades spin faster represents the greater force produced by the motor ofthe fan. Rajah 4.2 menunjukkan bilah kipas berputar lebih laju apabila butang pelaras laju dilaraskan pada arus yang tinggi. Putaran bilah yang lebih laju mewakili daya yang lebih besar dihasilkan oleh motor kipas itu. Diagram4.2 Rajah 4.2 flihat halanan sebelah SULIT Speed adjusting button Butang pelaras laju Speed adjusting button Butang pelaras laju 453113 a 2014 Hak cipta K€rajaan Malaysia More SPM Papers at: www.spmsoalan.comwww.spmsoalan.com
  • 102.
    ST]LIT t6 4s3U3 Basedon the information and observation: Berdasarkan maklumat dan pemerhatian itu: (a) State one suitable inference. Nyatakan satu inferens yang sesuai. (b) State one suitable hypothesis. Nyatakan sata hipotesis yang sesuai. lI markl ll markahl ll mark) I markahl (c) With the use ofapparatus such as a magnadur magnets, C-shaped iron yoke, and other apparatus, describe one experiment to investigate the hypothesis stated in 4(6). Dengan menggunakan radas seperti magnet magnadur, dening besi berbentuk C, dan radas lain, terangkan satlu eksperimen untuk menyiasat hipotesis yang dinyatakan di 4(b). In your description, state clearly the following: Dalam penerangan anda, nyatakan dengan jelas perkara berikut: (i) The aim ofthe experiment. Tujuan eksperimen. (ii) The variables in the experiment. P embol ehub ah dalam e ksp erimen. (iii) The list ofapparatus and materials. Senarai radas dan bahan. (iv) The arrangement ofthe apparatus. Susunan radas. (v) The procedure ofthe experiment which include one method ofcontrolling the manipulated variable and one method ofmeasuring the responding variable. Prosedur eksperimen termasuk satt kaedah mengawal pembolehubah dimanipulasikan dan satt kaedah mengukur pembolehubah bergerak balas. (vi) The way to tabulate the data. Cara untuk menj adualkan data. (vii) The way to analyse the data. Cara untuk menganalisis data. ll0 marles) 110 markah) END OFQUESTION PAPER KERTAS SOALAN TAMAT 453113 a 2014 Hak cipta Kerajaan Mataysia SULIT More SPM Papers at: www.spmsoalan.comwww.spmsoalan.com
  • 103.
    SULIT 453U3 INFORMATION FORCANDIDATES MAKLUMAT UNTAK CALON 1 . This question paper consists oftwo sections: Section A and Section B. Kertas soalan ini mengandungi dua bahagian: Bahagian A' dan Bahagian B. 2. Answer all questions in Section A. Write your answers for Section A in the spaces provided in this question paper. Jawab semta soalan dalam Bahagian A. Tulis jawapan anda bagi Bahagian A, pada ruang yang disediakan dalam kertas soalan ini. 3. Answer any one question from Section B. Write your answers for Section B on the 'helaian tambahan' provided by the invigilators. You may use equations, diagrams, tables, graphs and other suitable methods to explain your answers. Jawab mana-mana satu soalon daripada Bahagian B. Tulis jawapan anda bagi Bahagian B pada helaian tambahan yang dibekalkan oleh pengawas peperiksaan. Anda boleh menggunakan persamaan, rajah,jadual, grafdan cara lain yang sesuai untuk menjelaskan jawapan anda. 4. Show your working, it may help you to get marks. Tunjukkan kerjo mengira, ini membantu anda mendapatkan markah. 5. The diagrams in the questions are not dravr'n to scale unless stated. Rajah yang mengiringi soalan tidak dilukis mengikut skala kecuali dinyotakan. 6. The marks allocated for each question or sub-part ofa question are shown in brackets. y:Ilrl::rrr:;:eruntukkan bagi setiap soalan atau ceraian soatan dituniukkan I 7. Ifyou wish to change your answer, cross out the answer that you have done. Then write t :i:,^":;:;:,^;'o*il),,0,, ,o*,oan. baratkan iowapon vanp tetoh dibuat. Kemudian I tulis jawapan yang baharu. I 8. You may use a scientific calculator. Anda dibenarkan menggunakan kal kulator s aintifik. 9. You are advised to spend 60 minutes to answer questions in Section A and 30 minutes for Section B. Anda dinasihati supaya mengambil masa 60 minit untuk menjawab soalan dalam Bahagian A dan 30 minit untuk Bahagian B. 10. Detach Section B lrom this question paper. Tie the 'helaian tambahan' together with this question paper and hand in to the invigilator at the end ofthe examination. Ceraikan Bahagian B daripado kertas soalan ini. Ikat helaian tambahan bersama-sama kertas soalan ini dan serahkan kepada pengawas peperiksaan pada akhir peperiksaan. SULIT453113 e,20t4 Hak Cipra Kerajaan Malaysia More SPM Papers at: www.spmsoalan.comwww.spmsoalan.com