Deep Learning
Shanghai
#4
Goal
• Help people get introduced into DL
• Help investors find potential projects
• Utilize wonderful techniques to solve problems
Review of #1 meetup
• Introduction to DL
• Pai Peng’s talk:
• DeepCamera: A Unified Framework for Recognizing Places-of-
Interest based on Deep ConvNets. CIKM 2015
• Problems left:
• 9 fraud detect,
• 7 social topic extraction,
• 7 image.
Review of #2 meetup
• Tom’s talk about Deep Learning in HealthCare
• Anson & John’s talk about Introduction to
RapidMiner & presentation of DL4J Deep
Learning extension
Review of #3 meetup
• PART 1: Deep Learning Program
• PART 2: informative sharing
• AlphaGo related technology by Davy
• CNN for text classifcation by Yale from Alibaba
Schedule
• PART 1: Deep Reinforcement Learning
• Reinforcement learning
• Deep Q-Network
• Atari games
• PART 2: evaluation platform
• RLLAB
• OpenAI gym
Part 1
• Deep reinforcement learning
• Reinforcement learning basis
• Deep Q-Network
• Atari games
Reinforcement Learning
• Reinforcement learning is an area of machine learning
inspired by behaviorist psychology, concerned with how
software agents ought to take actions in an environment
so as to maximize some notion of cumulative reward. [the
definition from wikipedia]
Reinforcement learning
intersection of various domains
• game theory,
• control theory,
• operations research,
• information theory,
• simulation-based
optimization,
• multi-agent systems,
• swarm intelligence,
• statistics,
• genetic algorithms.
economics and game theory
• In economics and game theory, reinforcement
learning may be used to explain how equilibrium
may arise under bounded rationality.
Machine learning
• In machine learning, the environment is typically
formulated as a Markov decision process (MDP)
as many reinforcement learning algorithms for this
context utilize dynamic programming techniques.
• The main difference between the classical
techniques and reinforcement learning algorithms
is that the latter do not need knowledge about the
MDP and they target large MDPs where exact
methods become infeasible.
Characteristics of RL
• Reinforcement learning differs from standard supervised
learning in that correct input/output pairs are never
presented, nor sub-optimal actions explicitly corrected.
• Further, there is a focus on on-line performance, which
involves finding a balance between exploration (of
uncharted territory) and exploitation (of current
knowledge).
• The exploration vs. exploitation trade-off in reinforcement
learning has been most thoroughly studied through the
multi-armed bandit problem and in finite MDPs.
Reinforcement Learning
From Richard Sutton’s book:
RL problems have Three characteristics:
1. being closed-loop in an essential way
2. not having direct instructions as to
what actions to take
3. where the consequences of actions,
including reward signals, play out over
extended time periods
Elements of RL
a policy, a reward signal, a value function, and, optionally,
a model of the environment.
policy
A policy defines the learning agent’s way of behaving at a
given time. Roughly speaking, a policy is a mapping from
perceived states of the environment to actions to be taken
when in those states.
reward signal
A reward signal defines the goal in a reinforcement learning
problem.
• On each time step, the environment sends to the
reinforcement learning agent a single number, a reward.
• The agent’s sole objective is to maximize the total
reward it receives over the long run.
• The reward signal thus defines what are the good and
bad events for the agent.
Value function
Whereas the reward signal indicates what is good in an
immediate sense, a value function specifies what is good
in the long run.
• Roughly speaking, the value of a state is the total amount
of reward an agent can expect to accumulate over the
future, starting from that state.
Comments on reinforcement
learning
• Rewards are basically given directly by the environment,
but values must be estimated and re-estimated from the
sequences of observations an agent makes over its entire
lifetime.
• In fact, the most important component of almost all
reinforcement learning algorithms we consider is a method
for efficiently estimating values.
• The central role of value estimation is arguably the most
important thing we have learned about reinforcement
learning over the last few decades.
Model
The fourth and final element of some reinforcement learning
systems is a model of the environment. This is something
that mimics the behavior of the environment, or more
generally, that allows inferences to be made about how the
environment will behave.
Model
• For example, given a state and action, the model might
predict the resultant next state and next reward. Models
are used for planning, by which we mean any way of
deciding on a course of action by considering possible
future situations before they are actually experienced.
• Methods for solving reinforcement learning problems that
use models and planning are called model-based
methods, as opposed to simpler model-free methods
that are explicitly trial-and-error learners—viewed as
almost the opposite of planning.
Definition of RL
• Reinforcement learning is a computational approach to
understanding and automat- ing goal-directed learning and
decision-making.
• It is distinguished from other computational approaches by
its emphasis on learning by an agent from direct interaction
with its environment, without relying on exemplary
supervision or complete models of the environment.
• In our opinion, reinforcement learning is the first field to
seriously address the computational issues that arise when
learning from interaction with an environment in order to
achieve long-term goals.
History of RL
The term “optimal control” came into use in the late 1950s to describe the problem of
designing a controller to minimize a measure of a dynamical system’s behavior over time.
One of the approaches to this problem was developed in the mid-1950s by Richard
Bellman and others through extending a nineteenth century theory of Hamilton and
Jacobi.
This approach uses the concepts of a dynamical system’s state and of a value function,
or “optimal return function,” to define a functional equation, now often called the Bellman
equation.
The class of methods for solving optimal control problems by solving this equation came
to be known as dynamic programming (Bellman, 1957a).
Bellman (1957b) also introduced the discrete stochastic version of the optimal control
problem known as Markovian decision processes (MDPs), and Ronald Howard (1960)
devised the policy iteration method for MDPs. All of these are essential elements
underlying the theory and algorithms of modern reinforcement learning.
dynamic programming for
reinforcement learning
Dynamic programming is widely considered the only feasible way of solving
general stochastic optimal control problems. It suffers from what Bellman called
“the curse of dimensionality,” meaning that its computational requirements grow
exponentially with the number of state variables, but it is still far more efficient
and more widely applicable than any other general method.
Dynamic programming has been extensively developed since the late 1950s,
including extensions to partially observable MDPs (surveyed by Lovejoy, 1991),
many applications (surveyed by White, 1985, 1988, 1993), approximation
methods (surveyed by Rust, 1996), and asynchronous methods (Bertsekas,
1982, 1983).
Many excellent modern treatments of dynamic programming are available (e.g.,
Bertsekas, 2005, 2012; Puterman, 1994; Ross, 1983; and Whittle, 1982, 1983).
Bryson (1996) provides an authoritative history of optimal control.
Atari Games
• https://deepmind.com/dqn.html
Atari Games
• breakout
• https://www.youtube.com/watch?v=UXurvvDY93o
• https://github.com/corywalker/deep_q_rl/tree/pull_request
• van Hasselt, H., Guez, A., & Silver, D. (2015). Deep
Reinforcement Learning with Double Q-learning. arXiv preprint
arXiv:1509.06461.
Reinforcement Learning
• Another paradigm machine learning
• learning from interaction
Ingredients of RL
• Markov Decision Process
• Discounted Future Reward
• Q-learning
Questions in
Reinforcement learning
• What are the main challenges in reinforcement
learning? We will cover the credit assignment problem
and the exploration-exploitation dilemma here.
• How to formalize reinforcement learning in
mathematical terms? We will define Markov Decision
Process and use it for reasoning about reinforcement
learning.
• How do we form long-term strategies? We define
“discounted future reward”, that forms the main basis
for the algorithms in the next sections.
Questions in
Reinforcement learning(con.)
• How can we estimate or approximate the future reward?
Simple table-based Q-learning algorithm is defined and
explained here.
• What if our state space is too big? Here we see how Q-
table can be replaced with a (deep) neural network.
• What do we need to make it actually work? Experience
replay technique will be discussed here, that stabilizes the
learning with neural networks.
• Are we done yet? Finally we will consider some simple
solutions to the exploration-exploitation problem.
Go Deeper Reinforcement
Learning
• Deep Q-Network [Volodymyr Mnih]
Deep Q-Network
• Deep Q Network
• Experience Replay
• Exploration-Exploitation
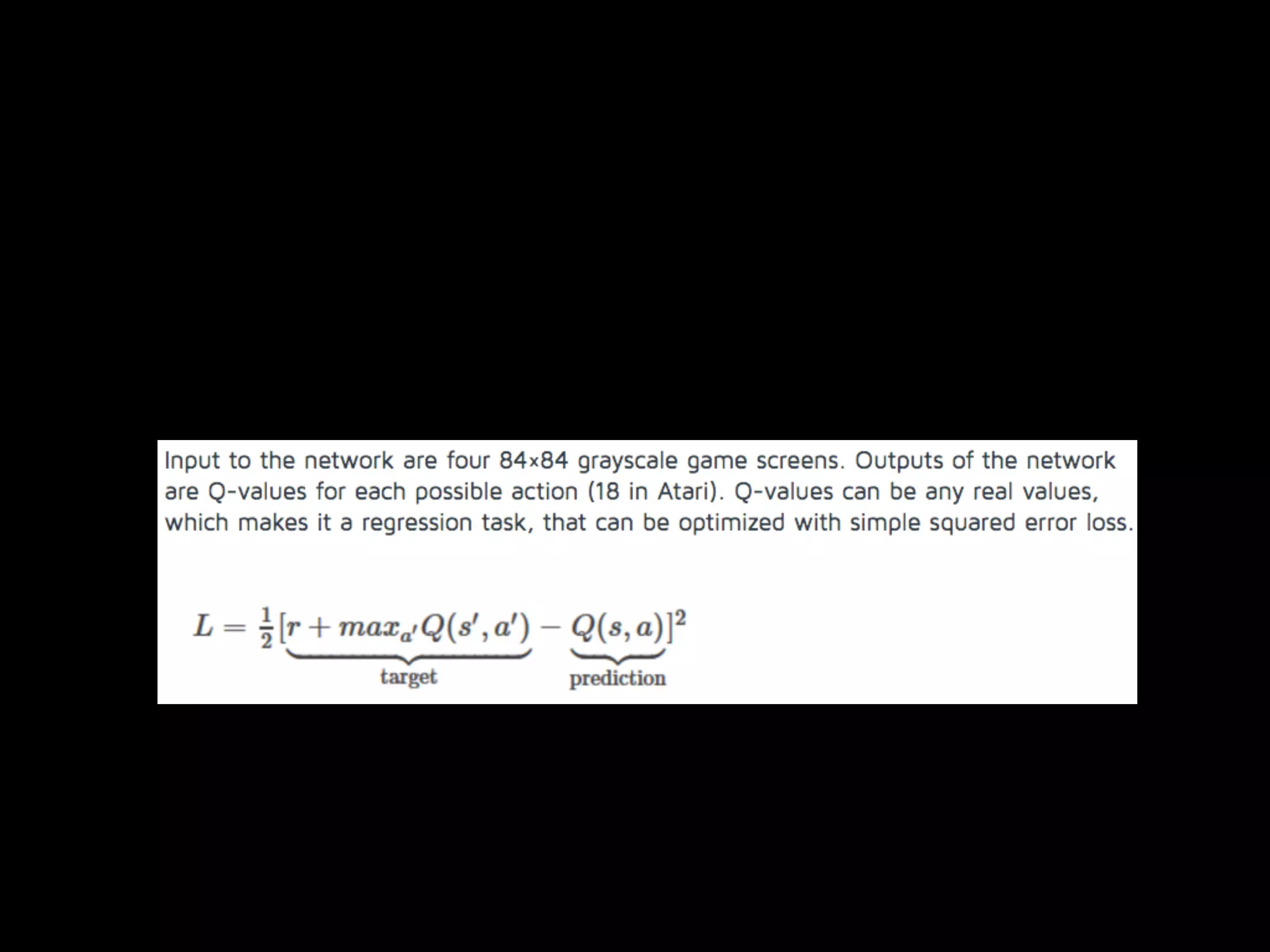
Structure of DQN
Parameter settings
• The state of the environment in the Breakout
game can be defined by the location of the
paddle, location and direction of the ball and the
presence or absence of each individual brick.
This intuitive representation however is game
specific.
• If we apply the same preprocessing to game
screens as in the DeepMind paper – take the
four last screen images, resize them to 84×84
and convert to grayscale with 256 gray levels –
we would have 25684x84x4 ≈ 1067970 possible
game states. This means 1067970 rows in our
imaginary Q-table
Deep Q-learning algorithm
Experience replay
Deep Q-learning algorithm
with experience replay
Pipeline of DQN
Extended Data Figure 1 | Two-dimensional t-SNE embedding of the
representations in the last hidden layer assigned by DQN to game states
experienced during a combination of human and agent play in Space
Invaders. The plot was generated by running the t-SNE algorithm25
on the last
hidden layer representation assigned by DQN to game states experienced
during a combination of human (30 min) and agent (2 h) play. The fact that
there is similar structure in the two-dimensional embeddings corresponding
to the DQN representation of states experienced during human play (orange
points) and DQN play (blue points) suggests that the representations
learned by DQN do indeed generalize to data generated from policies other
than its own. The presence in the t-SNE embedding of overlapping clusters
of points corresponding to the network representation of states experienced
during human and agent play shows that the DQN agent also follows
sequences of states similar to those found in human play. Screenshots
corresponding to selected states are shown (human: orange border; DQN:
blue border).
• Double Q-learning http://arxiv.org/abs/1509.06461
• Prioritized Experience Replay http://arxiv.org/abs/
1511.05952
• Dueling Network Architecture http://arxiv.org/abs/
1511.06581
• extension to continuous action space http://
arxiv.org/abs/1509.02971
• But beware, that deep Q-learning has been
patented by Google !!!
OpenAI
• From (partially)closed to open
• release a benchmark platform for reinforcement
learning
Plan for the DL program
• explanations about the design, the
implementation, and the tricks inside DL
• instructions for solving problems (we prefer
using DL)
• inspirations for novel thoughts and applications
DL startups
• clarifi
• alchemyapi
• metamind
• …
online courses
• https://www.cs.ox.ac.uk/people/nando.defreitas/
machinelearning/ Lecture15-16
• http://www0.cs.ucl.ac.uk/staff/d.silver/web/
Teaching.html (rl)
• http://rll.berkeley.edu/deeprlcourse/
Benchmarks
• RLLAB
• OpenAI gym
Recall the Plan
• explanations about the design, the
implementation, and the tricks inside DL
• instructions for solving problems (we prefer
using DL)
• inspirations for novel thoughts and applications
Standpoint
• independent researcher and
practicers
• open to novel ideas
• focus on technology for
addressing humanity issues
• open to sponsors
Tracking
• trello board
• meetup page
• periscope
References
• http://www.nervanasys.com/demystifying-deep-
reinforcement-learning/
• http://www.nature.com/news/game-playing-
software-holds-lessons-for-neuroscience-1.16979
• http://www.nature.com/nature/journal/v518/
n7540/pdf/nature14236.pdf

Shanghai deep learning meetup 4

  • 1.
  • 2.
    Goal • Help peopleget introduced into DL • Help investors find potential projects • Utilize wonderful techniques to solve problems
  • 3.
    Review of #1meetup • Introduction to DL • Pai Peng’s talk: • DeepCamera: A Unified Framework for Recognizing Places-of- Interest based on Deep ConvNets. CIKM 2015 • Problems left: • 9 fraud detect, • 7 social topic extraction, • 7 image.
  • 4.
    Review of #2meetup • Tom’s talk about Deep Learning in HealthCare • Anson & John’s talk about Introduction to RapidMiner & presentation of DL4J Deep Learning extension
  • 5.
    Review of #3meetup • PART 1: Deep Learning Program • PART 2: informative sharing • AlphaGo related technology by Davy • CNN for text classifcation by Yale from Alibaba
  • 6.
    Schedule • PART 1:Deep Reinforcement Learning • Reinforcement learning • Deep Q-Network • Atari games • PART 2: evaluation platform • RLLAB • OpenAI gym
  • 7.
    Part 1 • Deepreinforcement learning • Reinforcement learning basis • Deep Q-Network • Atari games
  • 8.
    Reinforcement Learning • Reinforcementlearning is an area of machine learning inspired by behaviorist psychology, concerned with how software agents ought to take actions in an environment so as to maximize some notion of cumulative reward. [the definition from wikipedia]
  • 9.
    Reinforcement learning intersection ofvarious domains • game theory, • control theory, • operations research, • information theory, • simulation-based optimization, • multi-agent systems, • swarm intelligence, • statistics, • genetic algorithms.
  • 10.
    economics and gametheory • In economics and game theory, reinforcement learning may be used to explain how equilibrium may arise under bounded rationality.
  • 11.
    Machine learning • Inmachine learning, the environment is typically formulated as a Markov decision process (MDP) as many reinforcement learning algorithms for this context utilize dynamic programming techniques. • The main difference between the classical techniques and reinforcement learning algorithms is that the latter do not need knowledge about the MDP and they target large MDPs where exact methods become infeasible.
  • 12.
    Characteristics of RL •Reinforcement learning differs from standard supervised learning in that correct input/output pairs are never presented, nor sub-optimal actions explicitly corrected. • Further, there is a focus on on-line performance, which involves finding a balance between exploration (of uncharted territory) and exploitation (of current knowledge). • The exploration vs. exploitation trade-off in reinforcement learning has been most thoroughly studied through the multi-armed bandit problem and in finite MDPs.
  • 13.
    Reinforcement Learning From RichardSutton’s book: RL problems have Three characteristics: 1. being closed-loop in an essential way 2. not having direct instructions as to what actions to take 3. where the consequences of actions, including reward signals, play out over extended time periods
  • 14.
    Elements of RL apolicy, a reward signal, a value function, and, optionally, a model of the environment.
  • 15.
    policy A policy definesthe learning agent’s way of behaving at a given time. Roughly speaking, a policy is a mapping from perceived states of the environment to actions to be taken when in those states.
  • 16.
    reward signal A rewardsignal defines the goal in a reinforcement learning problem. • On each time step, the environment sends to the reinforcement learning agent a single number, a reward. • The agent’s sole objective is to maximize the total reward it receives over the long run. • The reward signal thus defines what are the good and bad events for the agent.
  • 17.
    Value function Whereas thereward signal indicates what is good in an immediate sense, a value function specifies what is good in the long run. • Roughly speaking, the value of a state is the total amount of reward an agent can expect to accumulate over the future, starting from that state.
  • 18.
    Comments on reinforcement learning •Rewards are basically given directly by the environment, but values must be estimated and re-estimated from the sequences of observations an agent makes over its entire lifetime. • In fact, the most important component of almost all reinforcement learning algorithms we consider is a method for efficiently estimating values. • The central role of value estimation is arguably the most important thing we have learned about reinforcement learning over the last few decades.
  • 19.
    Model The fourth andfinal element of some reinforcement learning systems is a model of the environment. This is something that mimics the behavior of the environment, or more generally, that allows inferences to be made about how the environment will behave.
  • 20.
    Model • For example,given a state and action, the model might predict the resultant next state and next reward. Models are used for planning, by which we mean any way of deciding on a course of action by considering possible future situations before they are actually experienced. • Methods for solving reinforcement learning problems that use models and planning are called model-based methods, as opposed to simpler model-free methods that are explicitly trial-and-error learners—viewed as almost the opposite of planning.
  • 21.
    Definition of RL •Reinforcement learning is a computational approach to understanding and automat- ing goal-directed learning and decision-making. • It is distinguished from other computational approaches by its emphasis on learning by an agent from direct interaction with its environment, without relying on exemplary supervision or complete models of the environment. • In our opinion, reinforcement learning is the first field to seriously address the computational issues that arise when learning from interaction with an environment in order to achieve long-term goals.
  • 22.
    History of RL Theterm “optimal control” came into use in the late 1950s to describe the problem of designing a controller to minimize a measure of a dynamical system’s behavior over time. One of the approaches to this problem was developed in the mid-1950s by Richard Bellman and others through extending a nineteenth century theory of Hamilton and Jacobi. This approach uses the concepts of a dynamical system’s state and of a value function, or “optimal return function,” to define a functional equation, now often called the Bellman equation. The class of methods for solving optimal control problems by solving this equation came to be known as dynamic programming (Bellman, 1957a). Bellman (1957b) also introduced the discrete stochastic version of the optimal control problem known as Markovian decision processes (MDPs), and Ronald Howard (1960) devised the policy iteration method for MDPs. All of these are essential elements underlying the theory and algorithms of modern reinforcement learning.
  • 23.
    dynamic programming for reinforcementlearning Dynamic programming is widely considered the only feasible way of solving general stochastic optimal control problems. It suffers from what Bellman called “the curse of dimensionality,” meaning that its computational requirements grow exponentially with the number of state variables, but it is still far more efficient and more widely applicable than any other general method. Dynamic programming has been extensively developed since the late 1950s, including extensions to partially observable MDPs (surveyed by Lovejoy, 1991), many applications (surveyed by White, 1985, 1988, 1993), approximation methods (surveyed by Rust, 1996), and asynchronous methods (Bertsekas, 1982, 1983). Many excellent modern treatments of dynamic programming are available (e.g., Bertsekas, 2005, 2012; Puterman, 1994; Ross, 1983; and Whittle, 1982, 1983). Bryson (1996) provides an authoritative history of optimal control.
  • 24.
  • 25.
    Atari Games • breakout •https://www.youtube.com/watch?v=UXurvvDY93o • https://github.com/corywalker/deep_q_rl/tree/pull_request • van Hasselt, H., Guez, A., & Silver, D. (2015). Deep Reinforcement Learning with Double Q-learning. arXiv preprint arXiv:1509.06461.
  • 26.
    Reinforcement Learning • Anotherparadigm machine learning • learning from interaction
  • 27.
    Ingredients of RL •Markov Decision Process • Discounted Future Reward • Q-learning
  • 28.
    Questions in Reinforcement learning •What are the main challenges in reinforcement learning? We will cover the credit assignment problem and the exploration-exploitation dilemma here. • How to formalize reinforcement learning in mathematical terms? We will define Markov Decision Process and use it for reasoning about reinforcement learning. • How do we form long-term strategies? We define “discounted future reward”, that forms the main basis for the algorithms in the next sections.
  • 29.
    Questions in Reinforcement learning(con.) •How can we estimate or approximate the future reward? Simple table-based Q-learning algorithm is defined and explained here. • What if our state space is too big? Here we see how Q- table can be replaced with a (deep) neural network. • What do we need to make it actually work? Experience replay technique will be discussed here, that stabilizes the learning with neural networks. • Are we done yet? Finally we will consider some simple solutions to the exploration-exploitation problem.
  • 35.
    Go Deeper Reinforcement Learning •Deep Q-Network [Volodymyr Mnih]
  • 36.
    Deep Q-Network • DeepQ Network • Experience Replay • Exploration-Exploitation
  • 37.
  • 38.
  • 40.
    • The stateof the environment in the Breakout game can be defined by the location of the paddle, location and direction of the ball and the presence or absence of each individual brick. This intuitive representation however is game specific.
  • 41.
    • If weapply the same preprocessing to game screens as in the DeepMind paper – take the four last screen images, resize them to 84×84 and convert to grayscale with 256 gray levels – we would have 25684x84x4 ≈ 1067970 possible game states. This means 1067970 rows in our imaginary Q-table
  • 42.
  • 43.
  • 44.
  • 45.
  • 49.
    Extended Data Figure1 | Two-dimensional t-SNE embedding of the representations in the last hidden layer assigned by DQN to game states experienced during a combination of human and agent play in Space Invaders. The plot was generated by running the t-SNE algorithm25 on the last hidden layer representation assigned by DQN to game states experienced during a combination of human (30 min) and agent (2 h) play. The fact that there is similar structure in the two-dimensional embeddings corresponding to the DQN representation of states experienced during human play (orange points) and DQN play (blue points) suggests that the representations learned by DQN do indeed generalize to data generated from policies other than its own. The presence in the t-SNE embedding of overlapping clusters of points corresponding to the network representation of states experienced during human and agent play shows that the DQN agent also follows sequences of states similar to those found in human play. Screenshots corresponding to selected states are shown (human: orange border; DQN: blue border).
  • 50.
    • Double Q-learninghttp://arxiv.org/abs/1509.06461 • Prioritized Experience Replay http://arxiv.org/abs/ 1511.05952 • Dueling Network Architecture http://arxiv.org/abs/ 1511.06581 • extension to continuous action space http:// arxiv.org/abs/1509.02971
  • 51.
    • But beware,that deep Q-learning has been patented by Google !!!
  • 52.
    OpenAI • From (partially)closedto open • release a benchmark platform for reinforcement learning
  • 53.
    Plan for theDL program • explanations about the design, the implementation, and the tricks inside DL • instructions for solving problems (we prefer using DL) • inspirations for novel thoughts and applications
  • 54.
    DL startups • clarifi •alchemyapi • metamind • …
  • 55.
    online courses • https://www.cs.ox.ac.uk/people/nando.defreitas/ machinelearning/Lecture15-16 • http://www0.cs.ucl.ac.uk/staff/d.silver/web/ Teaching.html (rl) • http://rll.berkeley.edu/deeprlcourse/
  • 56.
  • 57.
    Recall the Plan •explanations about the design, the implementation, and the tricks inside DL • instructions for solving problems (we prefer using DL) • inspirations for novel thoughts and applications
  • 58.
    Standpoint • independent researcherand practicers • open to novel ideas • focus on technology for addressing humanity issues • open to sponsors
  • 59.
    Tracking • trello board •meetup page • periscope
  • 61.